CIRCULAR EXTERNA 1 DE 2014
(enero 22)
Boletín Ministerio de Hacienda, Capítulo Superintendencia Financiera de Colombia, No. 295 de 24 de enero de 2014
SUPERINTENDENCIA FINANCIERA DE COLOMBIA
Señores
REPRESENTANTES LEGALES Y REVISORES FISCALES DE LAS COMPAÑÍAS DE SEGUROS DE VIDA Y DE LA ADMINISTRADORA DEL MECANISMO BEPS
Referencia: Por medio de la cual se imparten instrucciones relativas al Servicio Social Complementario de Beneficios Económicos Periódicos –BEPS
Apreciados señores:
Este Despacho en uso de las facultades establecidas en el numeral 9 del artículo 11.2.1.4.2. del Decreto 2555 de 2010, y en atención a lo dispuesto en el artículo 24 A del Decreto 0604 de 2013, considera necesario adicionar el subnumeral 3.11 al Capítulo Segundo del Título VI de la Circular Básica Jurídica en materia de autorización y operación del ramo de seguros BEPS.
La presente circular rige a partir de la fecha de su publicación.
Se anexan las páginas objeto de modificación.
Atentamente,
GERARDO HERNÁNDEZ CORREA
Superintendente Financiero de Colombia
CAPITULO SEGUNDO: DISPOSICIONES ESPECIALES APLICABLES A LAS ENTIDADES ASEGURADORAS Y REASEGURADORAS
1. REGLAS GENERALES SOBRE LA OPERACIÓN DE SEGUROS
1.1. Reglas para la autorización de ramos de seguros
De conformidad con lo previsto en el artículo 326, numeral 2o, literal d, concordante con el artículo 184 EOSF, le corresponde a la SBC autorizar los ramos de seguros.
Sin perjuicio de las reglas particulares de autorización para ciertos ramos, para la autorización de cualquier ramo debe presentarse ante la SBC solicitud de autorización, la cual debe acompañarse de un estudio que sustente la apertura del mismo.
No resulta necesaria la aprobación de un nuevo ramo para el ofrecimiento de productos que comprendan diversidad de amparos susceptibles de ser explotados bajo los ramos ya autorizados a la entidad. En tales eventos, las primas, siniestros y demás gastos e ingresos que se deriven de dichos amparos se deben clasificar bajo el ramo o ramos a los cuales correspondan los amparos respectivos. No obstante lo anterior, cuando quiera que mediante la expedición de tales amparos la entidad alcance una producción de un ramo no autorizado que se pueda considerar como significativa, debe solicitar la correspondiente autorización, sin la cual la entidad no podrá continuar expidiendo tales amparos. Lo anterior debe entenderse sin perjuicio de lo establecido en el numeral 3.3.1 del presente capítulo.
Para los efectos del inciso anterior, se considera que la expedición de amparos es “significativa” cuando quiera que el monto de la producción de una cobertura adicional supere el 15% de la obtenida por las demás coberturas de la póliza.
A partir del 1 de enero de 2003, los ramos bajo los cuales se pueden operar los diversos productos son los siguientes:
| RAMO | CÓDIGO |
| Automóviles | 03 |
| SOAT | 04 |
| Cumplimiento | 05 |
| Responsabilidad Civil | 06 |
| Incendio | 07 |
| Terremoto | 08 |
| Sustracción | 09 |
| Transporte | 10 |
| Corriente Débil | 11 |
| Todo Riesgo Contratista | 12 |
| Manejo | 13 |
| Lucro Cesante | 14 |
| Montaje y Rotura de Maquinaria | 15 |
| Aviación | 16 |
| Navegación y Casco | 17 |
| Minas y Petróleos | 18 |
| Vidrios | 19 |
| Crédito Comercial | 20 |
| Crédito a la Exportación | 21 |
| Agrícola | 22 |
| Semovientes | 23 |
| Desempleo | 24 |
| Hogar | 25 |
| Exequias | 30 |
| Accidentes Personales | 31 |
| Colectivo Vida | 32 |
| Educativo | 33 |
| Vida Grupo | 34 |
| Salud | 35 |
| Enfermedades de Alto Costo | 36 |
| Vida Individual | 37 |
| Previsional de Invalidez y Sobrevivencia | 38 |
| Riesgos Profesionales | 39 |
| Pensiones Ley 100 | 40 |
| Pensiones Voluntarias | 41 |
| Pensiones con Conmutación Pensional | 42 |
| Rentas Voluntarias | 43 |
| BEPS | 44 |
El estudio que se presente debe contener la documentación e información que se señala a continuación:
En este ramo se pueden ofrecer y comercializar aquellos productos que reúnan las siguientes características:
a. Que su estructura técnica actuarial corresponda a una renta contingente.
b. Que el amparo básico consista en el pago de una mesada o beneficio periódico.
c. Que el pago de cada mesada o beneficio periódico se efectúe, si se presenta la contingencia prevista en el contrato, respecto del o los asegurado(s).
d. Que su explotación u ofrecimiento no sea factible en alguno de los ramos de seguros definidos en el numeral 1.1. de este capítulo.
3.11. Reglas aplicables al Seguro de Beneficios Económicos Periódicos - BEPS
De conformidad con lo dispuesto en el artículo 48 de la Constitución Política, en el artículo 87 de la Ley 1328 de 2009 y el Decreto 0604 de 2013 o demás normas que lo modifiquen, sustituyan o adicionen, el Servicio Social Complementario de Beneficios Económicos Periódicos - BEPS permite mediante la contratación de una anualidad vitalicia, conceder beneficios económicos periódicos inferiores al salario mínimo mensual legal vigente, a aquellas personas que se encuentren vinculadas a la administradora del mecanismo BEPS y no cumplan con las condiciones requeridas para tener derecho a una pensión. En virtud de lo anterior, las compañías de seguros de vida que decidan ofrecer la anualidad vitalicia mediante el ramo de seguros BEPS, deberán atender las siguientes instrucciones:
3.11.1. Nota Técnica
De conformidad con las facultades otorgadas a esta Superintendencia en el artículo 24A del Decreto 0604 de 2013, se adopta la nota técnica para el ramo de seguros BEPS en el Anexo 9 del presente Título, la cual describe y sustenta la metodología utilizada para el cálculo de las primas y reservas técnicas del ramo.
3.11.2. Autorización Especial del Ramo de Seguro BEPS
Las entidades aseguradoras de vida que tengan aprobado el ramo de seguros de Pensiones Ley 100, no están obligadas a acreditar el cumplimiento de las reglas para la autorización de los ramos de seguros establecidas en los subnumerales 1.1.3. y 1.1.4 del presente capítulo, salvo lo dispuesto en el subnumeral 1.1.4.5. Las demás entidades aseguradoras deberán atender el régimen general de autorización.
3.11.3. Condiciones Generales de la Póliza
En desarrollo de la previsión contenida en el numeral 2 del artículo 184 del Estatuto Orgánico del Sistema Financiero, y para garantizar el cumplimiento de lo dispuesto en el numeral 1 del artículo 12 del Decreto 0604 de 2013, a continuación se establecen los requisitos que deben reunir las pólizas del ramo de seguro BEPS:
3.11.3.1 Definiciones.
Para los efectos del presente seguro se entiende por:
- Tomador, asegurado y beneficiario. La persona vinculada al Servicio Social Complementario BEPS que cumpla los requisitos señalados en el artículo 11 del Decreto 0604 de 2013 y opte por contratar una anualidad vitalicia en los términos del numeral 1 del artículo 12 del Decreto 0604 de 2013 o demás normas que lo modifiquen, sustituyan o adicionen.
3.11.3.2 Amparo. En virtud del seguro de Beneficios Económicos Periódicos – BEPS la entidad aseguradora se obliga a pagar, bimestralmente y hasta la muerte del asegurado, el valor del beneficio económico periódico, de conformidad con lo previsto en el numeral 1 del artículo 12 del Decreto 0604 de 2013 o demás normas que lo modifiquen, sustituyan o adicionen.
3.11.3.3 Exclusiones. La anualidad vitalicia no estará sujeta a ninguna exclusión.
3.11.3.4 Reajuste de valores. El beneficio económico periódico que otorga la póliza se reajustará cada año de acuerdo con la variación porcentual del Índice de Precios al Consumidor certificada por el DANE para el año inmediatamente anterior, tal como lo dispone el numeral 1 del artículo 12 del Decreto 0604 de 2013 o demás normas que lo modifiquen, sustituyan o adicionen.
3.11.3.5 Prima. La prima es única pagadera por una sola vez por la entidad administradora del mecanismo BEPS. La prima pura se sufragará con cargo a los recursos ahorrados, los rendimientos generados, el subsidio periódico otorgado por el Estado, y si es del caso, los recursos que se tengan en el Sistema General de Pensiones a título de indemnización sustitutiva o devolución de saldos, según el régimen al cual se encuentre afiliado. Los costos de administración serán sufragados con cargo al Presupuesto General de la Nación.
En el cálculo del beneficio no se incluirán los gastos derivados de la contratación del seguro, ni los costos asociados a la administración de la anualidad vitalicia.
La prima no podrá incluir ningún monto destinado al pago de comisiones de intermediación de seguros en virtud de lo señalado en el parágrafo 1 del artículo 12 del Decreto 0604 de 2013.
3.11.3.6 Pago del Beneficio Económico Periódico. El beneficio que se devengue en virtud de esta póliza se pagará en forma bimestral, el día y lugar que establezca la entidad aseguradora, sin embargo el tiempo transcurrido entre la fecha de emisión de la póliza y la fecha del primer pago no podrá ser superior a dos (2) meses. En ningún caso se devengarán intereses ni reajustes por atrasos en el cobro del beneficio que sean imputables al asegurado.
3.11.3.7 Fecha de vigencia. Este seguro tendrá vigencia a partir de la fecha de emisión de la póliza, previo pago de la prima por parte de la administradora del mecanismo BEPS a la respectiva entidad aseguradora.
3.11.3.8 Irrevocabilidad. Sin perjuicio de lo dispuesto en el Estatuto Orgánico del Sistema Financiero sobre cesión de activos, pasivos y contratos y demás normas relativas al funcionamiento de las instituciones financieras, ninguna de las partes puede poner término anticipado al contrato de seguro de Beneficios Económicos Periódicos BEPS, el cual debe permanecer vigente hasta la muerte del asegurado.
3.11.3.9 Prohibición de Beneficios Adicionales. Los recursos ahorrados dentro del mecanismo BEPS, el valor de sus rendimientos, el subsidio periódico otorgado por el Estado, según el caso, y los aportes que eventualmente el beneficiario tenga en el Sistema General de Pensiones, tienen una destinación específica bajo los postulados del Decreto 0604 de 2013 o demás normas que lo modifiquen, sustituyan o adicionen, por consiguiente, no es viable la destinación de dichos recursos al financiamiento de otros beneficios o coberturas.
4. REGLAS RELATIVAS A OTRAS ACTIVIDADES DESARROLLADAS POR LAS ENTIDADES ASEGURADORAS
4.1. Emisión de planes alternativos de pensiones
4.1.1. Requisitos
Los planes alternativos de pensiones que emitan las entidades aseguradoras deben elaborarse sobre bases que permitan al afiliado su traslado a otro plan de capitalización o pensiones autorizado y ajustarse a los siguientes requisitos:
4.1.1.1. Amparo: Los planes alternativos de pensiones, deben amparar a los afiliados y pensionados por lo menos contra los riesgos de vejez, invalidez, sobrevivientes y auxilio funerario. Para optar por uno de tales planes es necesario que el afiliado haya capitalizado en una administradora de fondos de pensiones una suma equivalente al capital mínimo que señale el reglamento de la Ley 100 de 1993.
4.1.1.2. Aportes: Los aportes en un plan alternativo de pensiones no pueden ser inferiores a las cotizaciones obligatorias previstas en la Ley 100 de 1993, determinadas según la base de cotizaciones al sistema general de pensiones de que tratan los artículos 18 y 19 de la misma Ley.
4.1.1.3. Traslado de capital: La sociedad que administre el fondo de pensiones debe trasladar a la entidad aseguradora que ofrezca el plan alternativo de pensiones escogido, los aportes que registre la cuenta individual de ahorro pensional del afiliado, dentro de los dos (2) días siguientes a la fecha en que éste le comunique su decisión de optar por dicho plan.
4.1.2. Condiciones generales
Los planes alternativos de pensiones que emitan las entidades aseguradoras, deben precisar además, los siguientes aspectos:
4.1.2.1. Las condiciones para acceder a las prestaciones del plan, las cuales, en relación con las coberturas mínimas señaladas en el amparo, no pueden ser distintas a las exigidas en la Ley 100 de 1993 para el régimen de ahorro individual con solidaridad.
4.1.2.2. Los valores de las pensiones con indicación de los reajustes a que hubiere lugar.
4.1.2.3. Determinación del momento a partir del cual se devenga la pensión de acuerdo con la naturaleza del riesgo.
4.1.2.4. Las condiciones de pago de la pensión. En el evento de que se estipulen cuotas periódicas, deben precisarse las fechas en que se realizarán los pagos.
----------------
NOTA TÉCNICA DEL RAMO DE SEGUROS DEL SERVICIO SOCIAL COMPLEMENTARIO DE BENEFICIOS ECONÓMICOS PERIÓDICOS - BEPS.
1. IDENTIFICACIÓN DE LA NOTA TÉCNICA
1.1 Nombre de la entidad
1.2 Código
Registrar el código de acuerdo con las instrucciones establecidas en el Capítulo Segundo del Título VI de la Circular Básica Jurídica.
1.3 Identificación del producto
El detalle de la presente Nota Técnica corresponde con la descripción de la Póliza del ramo de Seguros del Servicio Social Complementario de Beneficios Económicos Periódicos – BEPS.
1.4 Fecha de elaboración
2. DESCRIPCIÓN DEL PRODUCTO
2.1 Objeto principal del producto
Garantizar un ingreso periódico hasta la muerte, a aquellas personas que cumplan las condiciones descritas en el subnumeral 2.7.2 de la presente nota.
2.2 Descripción del amparo básico
La persona que cumpla con las condiciones descritas en el subnumeral 2.7.2 de la presente nota, tendrá derecho a una anualidad vitalicia pagadera bimestralmente, con cargo a los recursos ahorrados en el mecanismo BEPS (incluyendo los recursos por concepto de devolución de saldos o indemnización sustitutiva, que la persona destine para tal fin), los rendimientos generados y el incentivo periódico a que haya lugar en los términos del Decreto 0604 de 2013 o las normas que lo sustituyan, modifiquen o adicionen.
2.3 Exclusiones
La anualidad vitalicia no estará sujeta a ninguna exclusión.
2.4 Temporalidad
El beneficio será de carácter vitalicio e irrevocable hasta la muerte del asegurado.
2.5 Modalidad del seguro
Es un seguro de carácter individual y se comercializará bajo el ramo de seguros BEPS. Su contratación estará a cargo de la administradora del mecanismo BEPS en virtud del numeral 1 del artículo 12 del Decreto 0604 de 2013.
2.6 Moneda
El beneficio de que trata este seguro quedará establecido en pesos colombianos.
2.7 Medidas de Control
2.7.1 Grupo Asegurable
Serán asegurables las personas que cumplan con los requisitos establecidos en el artículo 11 del Decreto 0604 de 2013 y demás normas que lo modifiquen, sustituyan o adicionen.
2.7.2 Grupo Asegurado
El grupo asegurado estará conformado por aquellas personas que pertenezcan al grupo asegurable señalado en el subnumeral 2.7.1 que opten por contratar una anualidad vitalicia en los términos del numeral 1 del artículo 12 del Decreto 0604 de 2013 y demás normas que lo modifiquen, sustituyan o adicionen.
3. BASES TÉCNICAS
3.1 Hipótesis
3.1.1 Hipótesis Demográficas
Las tablas de mortalidad utilizadas tanto para el cálculo de la prima pura como para las reservas técnicas serán las establecidas por la Superintendencia Financiera de Colombia (SFC).
3.1.2 Hipótesis Financieras
Para el cálculo de la prima pura se tomará la variación del Índice de Precios al Consumidor del año calendario inmediatamente anterior, certificado por el DANE.
La tasa de interés técnico corresponderá a la tasa establecida en el parágrafo del artículo 24A del Decreto 0604 de 2013 o las normas que lo modifiquen, sustituyan o adicionen.
3.2 Prima Pura de Riesgo
3.2.1 Definición
La prima pura de riesgo (PPR) corresponde al capital con que cuenta el beneficiario BEPS que opte por contratar una anualidad vitalicia conformado por los recursos ahorrados, los rendimientos generados, el incentivo o subsidio periódico otorgado por el Estado, y si es del caso, los recursos que se tengan en el Sistema General de Pensiones a título de indemnización sustitutiva o devolución de saldos, según el régimen al cual se encuentre afiliado, en los términos del Decreto 0604 de 2013 o las normas que lo modifiquen, sustituyan o adicionen.
3.2.2. Fórmula de cálculo del beneficio
A partir del capital con el que cuenta el beneficiario BEPS que opte por contratar una anualidad vitalicia, se determinará un beneficio que se pagará en forma bimestral, el cual se calculará de acuerdo con la siguiente expresión:
![]()

donde:
Beneficio bimestral el cual será actualizado el 1 de enero de cada año, de acuerdo con lo establecido en el Decreto 0604 de 2013, o las normas que lo modifiquen, sustituyan o adicionen.
Prima pura de riesgo, definida en el subnumeral 3.2.1 de la presente nota técnica.
VPA = Valor presente actuarial de una anualidad vitalicia con beneficio bimestral, cuyo valor debe ajustarse el 1 de enero de cada año, de acuerdo con lo establecido en el Decreto 0604 de 2013 o las normas que lo modifiquen, sustituyan o adicionen.
u= subíndice que pertenece a los números naturales. ![]()
h0= Número de meses entre la fecha de cálculo del beneficio y la fecha del primer pago.
![]()
Última edad de la tabla de mortalidad establecida por la SFC.
= Variación del Índice de Precios al Consumidor, calculado de acuerdo con lo establecido en el subnumeral 3.1.2.
donde
es la tasa de interés técnico a la que se refiere el subnumeral 3.1.2.
representa el factor de descuento mensual.
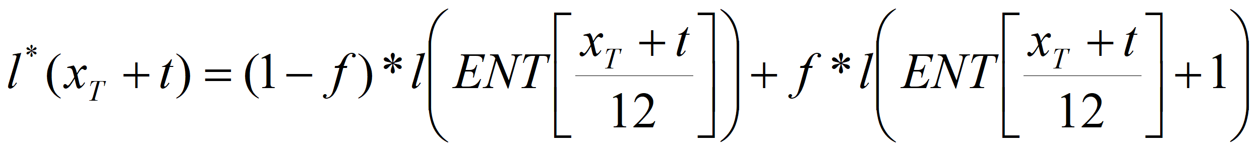
Parte entera de
, definido como el mayor entero que es menor o igual a ![]()
Edad en meses completos del beneficiario a la fecha de cálculo del beneficio, la cual se determinará de la siguiente forma:
- Si día de cálculo es menor que día de nacimiento:
(año de cálculo – año de nacimiento)*12 +
[(mes de cálculo – mes de nacimiento -1)/2]
- Si día de cálculo es mayor que día de nacimiento:
(año de cálculo – año de nacimiento)*12 +
[(mes de cálculo – mes de nacimiento)/2]
= Probabilidad de que una persona con x meses cumplidos, sobreviva
meses.
se determinará de la siguiente forma:
=
con
Número de sobrevivientes a la edad
(expresada en meses), el cual se construye a partir de las tablas de mortalidad establecidas por la SFC.


Número de sobrevivientes a la edad actuarial s, de acuerdo con las tablas de mortalidad establecidas por la SFC.
Fracción que excede el año entero tal que:

Índice correspondiente al número de meses entre el primer día del mes de cálculo del beneficio y el 1 de enero siguiente.
.
3.3 Prima Comercial
3.3.1 Definición
Corresponde a la prima pura de riesgo más los gastos de administración. Para este producto no habrá lugar al cobro de comisiones de intermediación dentro del cálculo.
3.3.2 Gastos de Administración
Los gastos de administración dependerán del nivel de carga operativa que requiera la operación de este seguro. Podrán establecerse como un porcentaje de la prima comercial para la anualidad vitalicia o como un valor monetario, de conformidad con los costos de administración autorizados por la Comisión Intersectorial de Pensiones y Beneficios Económicos, en virtud del artículo 20 del Decreto 0604 de 2013 modificado por el Decreto 2983 de 2013.
3.3.3 Fórmula de aplicación
Para la determinación de la prima comercial se debe tener en cuenta lo siguiente:
- Si los gastos de administración se establecen como un porcentaje, la prima comercial (PC) será igual a:
![]()
Siendo:
PC: Prima Comercial
PPR: Prima Pura de Riesgo, definida en el subnumeral 3.2.1
á: % de Gastos de Administración
- Si los gastos de administración se establecen como un valor monetario, la prima comercial PC estará dada por:
![]()
Donde:
PC= Prima Comercial
PPR=Prima Pura de Riesgo, definida en el subnumeral 3.2.1
GAdmin= Gastos de Administración
3.4 Reservas Técnicas
Para este ramo deberá constituirse la reserva matemática y demás reservas que apliquen, en los términos estipulados en el Decreto 2555 de 2010 o las normas que lo modifiquen, sustituyan o adicionen.
Reserva Matemática
Para la determinación de la reserva matemática deberá emplearse la tasa de interés técnico a la que se refiere el subnumeral 3.1.2.
La reserva matemática calculada al final del mes T, estará dada por:
si NT es par y
si NT es impar
Donde:
= Reserva Matemática calculada al final del mes T.
NT = Número de meses transcurridos entre el mes en que empezó a pagarse el beneficio y el mes de cálculo de la reserva.
u= Subíndice que pertenece a los números naturales.
.
Última edad de la tabla de mortalidad establecida por la SFC.
Edad del asegurado en meses completos en el mes T, la cual se calculará de acuerdo con lo establecido en el subnumeral 3.2.2.
B= Beneficio bimestral definido en el subnumeral 3.2.2.
= Variación del Índice de Precios al Consumidor, calculado como se señala en el subnumeral 3.1.2.
donde
es la tasa de interés técnico, a la que se refiere el subnumeral 3.1.2.
representa el factor de descuento mensual.
= Probabilidad de que una persona con
meses cumplidos, sobreviva
meses, calculada de la siguiente forma:
=
con
Número de sobrevivientes a la edad
(expresada en meses), el cual se construye a partir de las tablas de mortalidad establecidas por la SFC.


Número de sobrevivientes a la edad actuarial s, de acuerdo con las tablas de mortalidad establecidas por la SFC.
Fracción que excede el año entero tal que:
y 
Índice correspondiente al número de meses entre el primer día del mes en que se calcula el beneficio y el 1 de Enero siguiente.
.
Índice correspondiente al número de meses entre el último día del mes de cálculo de la reserva y el 31 de Diciembre siguiente.
.
: Gasto de administración variable, expresado como porcentaje del beneficio bimestral.
4. Nombre y firma del actuario
-------------------