DECRETO 977 DE 2021
(agosto 22)
Diario Oficial No. 51.774 de 22 de agosto de 2021
DEPARTAMENTO ADMINISTRATIVO DE LA FUNCIÓN PÚBLICA
<NOTA DE VIGENCIA: Decreto derogado por el artículo 9 del Decreto 467 de 2022>
Por el cual se fijan las escalas de asignación básica de los empleos públicos de los empleados civiles no uniformados del Ministerio de Defensa Nacional, de sus entidades descentralizadas, adscritas y vinculadas, las Fuerzas Militares y la Policía Nacional, y de los servidores públicos del Departamento Administrativo de Seguridad (DAS) Suprimido, incorporados a la Policía Nacional.
EL PRESIDENTE DE LA REPÚBLICA DE COLOMBIA
En desarrollo de las normas generales señaladas en la Ley 4a de 1992, y
CONSIDERANDO
Que dentro de los términos establecidos en el Decreto 1072 de 2015, se adelantó en el presente año la negociación del pliego presentado por los representantes de las centrales y federaciones sindicales de los empleados públicos.
Que el Gobierno nacional y las centrales y las federaciones sindicales de los empleados públicos acordaron que para el año 2021 el aumento salarial debe corresponder al incremento porcentual del IPC total en 2020 certificado por el DANE, más uno por ciento (1%), el cual debe regir a partir del 1o de enero del presente año.
Que el incremento porcentual del IPC total de 2020 certificado por el DANE fue de uno punto sesenta y uno por ciento (1.61%) y, en consecuencia, los salarios y prestaciones establecidos en el presente decreto se ajustarán en dos punto sesenta y uno por ciento (2.61%) para 2021, retroactivo a partir del 1o de enero del presente año.
Que en mérito de lo anterior,
DECRETA:
ESCALAS DE ASIGNACIÓN BÁSICA DE LOS EMPLEOS PÚBLICOS DE LOS EMPLEADOS CIVILES NO UNIFORMADOS DEL MINISTERIO DE DEFENSA NACIONAL, DE SUS ENTIDADES DESCENTRALIZADAS, ADSCRITAS Y VINCULADAS; LAS FUERZAS MILITARES Y LA POLICÍA NACIONAL.
ARTÍCULO 1o. CAMPO DE APLICACIÓN. El presente capítulo fija las escalas de remuneración de los. empleos públicos de los empleados civiles no uniformados del Ministerio de Defensa Nacional, de sus entidades descentralizadas, adscritas y vinculadas, las Fuerzas Militares y la Policía Nacional.
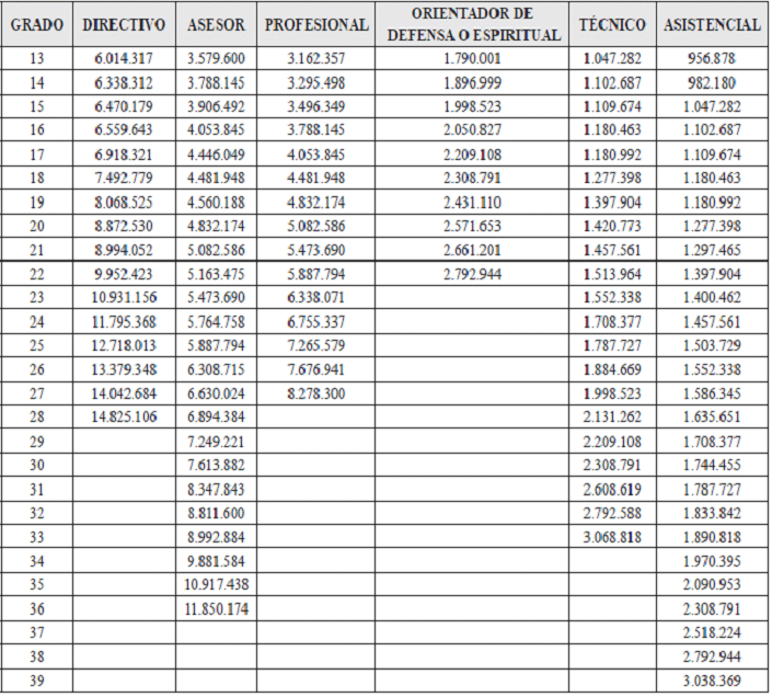
ARTÍCULO 2o. ASIGNACIONES BÁSICAS. A partir del 1o de enero de 2021, las asignaciones básicas mensuales de las escalas de empleos de las entidades de que trata el artículo anterior serán las siguientes:


PARÁGRAFO 1o. Para las escalas de los niveles de que trata el presente artículo, la primera columna fija los grados salariales correspondientes a las diferentes denominaciones de empleos, la segunda y siguientes columnas comprenden las asignaciones básicas mensuales para cada grado y nivel.
PARÁGRAFO 2o. Las asignaciones básicas mensuales de las escalas señaladas en el presente artículo corresponden a empleos de carácter permanente y de tiempo completo.
Se podrán crear empleos de medio tiempo los cuales se remunerarán en forma proporcional al tiempo trabajado y con relación a la asignación básica que les corresponda.
Se entiende, para efectos de este capítulo, por empleos de medio tiempo los que tienen jornada diaria de cuatro (4) horas.
PARÁGRAFO 3o. En el presente artículo se suprime el grado 03 del nivel Orientador de Defensa o Espiritual, el grado 07 del nivel Técnico y el grado 09 del nivel Asistencial. Por tal razón, los empleos del nivel Orientador de Defensa o Espiritual del grado suprimido devengarán en adelante la asignación básica mensual fijada para el grado 04 del nivel Orientador de Defensa o Espiritual; los empleos del nivel Técnico del grado suprimido devengarán en adelante la asignación básica mensual fijada para el grado 08 del nivel Técnico y los empleos del ·nivel Asistencial del grado suprimido devengarán en adelante la asignación básica mensual fijada para el grado 10 del nivel Asistencial.
Las entidades deberán ajustar su manual de funciones y de competencias laborales en lo correspondiente, sin que a los servidores que vienen desempeñando los citados empleos se les exija requisitos diferentes a los acreditados en el momento de su posesión.
PARÁGRAFO 4o. Ningún empleado a quien se aplique el presente capítulo perteneciente al nivel Orientador de Defensa o Espiritual tendrá una asignación básica mensual inferior a la correspondiente al grado 04, ninguno perteneciente al nivel Técnico tendrá una asignación básica mensual inferior a la correspondiente al grado 08 de dicho nivel y ninguno de los empleados pertenecientes al nivel Asistencial tendrá una asignación básica mensual inferior al grado 10 de la escala del citado nivel.
ARTÍCULO 3o. RÉGIMEN SALARIAL. Los empleados públicos del Ministerio de Defensa Nacional, de la Policía Nacional y de sus entidades adscritas y vinculadas, devengarán los elementos salariales que les vienen aplicando en los mismos términos y condiciones señaladas en el decreto general de la Rama Ejecutiva del orden Nacional.
Los empleados civiles no uniformados del Ministerio de Defensa Nacional, de las Fuerzas Militares y de la Policía Nacional a quienes se les aplica el Decreto Ley 1214 de 1990, continuarán con dicho régimen.
ESCALAS DE ASIGNACIÓN BÁSICA MENSUAL PARA LOS SERVIDORES PÚBLICOS DEL DEPARTAMENTO ADMINISTRATIVO DE SEGURIDAD (DAS) SUPRIMIDO, INCORPORADOS A LA POLICÍA NACIONAL.
ARTÍCULO 4o. CAMPO DE APLICACIÓN. El presente capítulo fija las escalas de remuneración de los empleos públicos de los empleados civiles no uniformados del Ministerio de Defensa Nacional, incorporados del Departamento Administrativo de Seguridad (DAS) Suprimido, a la Policía Nacional.
ARTÍCULO 5o. ASIGNACIONES BÁSICAS. A partir del 1o de enero de 2021, la asignación básica mensual para los servidores públicos del Departamento Administrativo de Seguridad (DAS) - Suprimido, incorporados a la Policía Nacional, quedará así:
| GRADO SALARIAL | PROFESIONAL | TÉCNICO | ASISTENCIAL |
| 1 | 3.056.879 | 1.916.640 | 1.558.191 |
| 2 | 3.368.114 | 2.052.180 | 1.721.546 |
| 3 | 3.455.601 | 2.131.273 | 1.916.640 |
| 4 | 3.595.237 | 2.409.079 | 2.052.180 |
| 5 | 3.776.180 | 2.501.925 | 2.210.193 |
| 6 | 4.064.180 | 2.644.270 | |
| 7 | 4.268.723 | 2.738.598 | |
| 8 | 2.909.553 | ||
| 9 | 2.989.173- | ||
| 10 | 3.104.140 | ||
| 11 | 3.360.114 | ||
| 12 | 3.768.886 | ||
PARÁGRAFO 1o. Para las escalas de los niveles de que trata el presente artículo, la primera columna· “fija los grados salariales correspondientes a las diferentes denominaciones de empleos, la segunda y siguientes columnas comprenden las asignaciones básicas mensuales para cada grado y nivel y corresponden a empleos de carácter permanente y de tiempo completo.
PARÁGRAFO 2o. En el valor de las asignaciones básicas mensuales señaladas en el presente artículo está incorporada la prima de riesgo correspondiente al cargo del cual el empleado era titular en el Departamento Administrativo de Seguridad (DAS) - Suprimido, en los términos del artículo 3o del Decreto 0236 de 2012.
ARTÍCULO 6. El artículo 3o del Decreto 1232 de 2012 continuará vigente.
DISPOSICIONES COMUNES.
ARTÍCULO 7o. COMPETENCIA PARA CONCEPTUAR. El Departamento Administrativo de la Función Pública es el órgano competente para conceptuar en materia salarial y prestacional. Ningún otro órgano puede arrogarse esta competencia.
ARTÍCULO 8o. PROHIBICIONES. Ninguna autoridad podrá establecer o modificar el régimen salarial prestacional estatuido por las normas del presente Decreto, en concordancia con lo establecido en el artículo 10 de la Ley 4a de 1992. Cualquier disposición en contrario carecerá de todo efecto y no creará derechos adquiridos.
Nadie podrá desempeñar simultáneamente más de un empleo público, ni recibir más de una asignación que provenga del Tesoro Público, o de empresas o de instituciones en las que tenga parte mayoritaria el Estado. Exceptúanse las asignaciones de que trata el artículo 19 de la Ley 4a de 1992.
ARTÍCULO 9o. VIGENCIAS Y DEROGATORIAS. El presente Decreto rige a partir de la fecha de su publicación, deroga las disposiciones que le sean contrarias, en especial el Decreto 308 de 2020 y surte efectos fiscales a partir del 1o de enero de 2021.
Publíquese y cúmplase.
Dado en Bogotá, D. C., a 22 de agosto de 2021.
IVÁN DUQUE MÁRQUEZ
El Ministro de Hacienda y Crédito Público,
José Manuel Restrepo Abondano.
El Ministro de Defensa Nacional,
Diego Molano Aponte.
El Director del Departamento Administrativo de la Función Pública,
Neiro José Alvis Barranco.