DECRETO 1296 DE 2022
(julio 25)
Diario Oficial No. 52.106 de 25 de julio de 2022
MINISTERIO DE HACIENDA Y CRÉDITO PÚBLICO
<Consultar la vigencia de esta norma directamente en los artículos que modifica y/o adiciona>
Por el cual se modifican los artículos 2.2.4.4.3 y 2.2.4.4.4. y se adiciona el Capítulo 11 al Título 8 de la Parte 2 del Libro 2 del Decreto 1833 de 2016, Decreto Único Reglamentario por medio del cual se compilan las normas del Sistema General de Pensiones.
EL PRESIDENTE DE LA REPÚBLICA DE COLOMBIA,
en ejercicio de las facultades constitucionales y legales, en especial las conferidas por el numeral 11 del artículo 189 de la Constitución Política, y en desarrollo del parágrafo 4o del artículo 179 de la Ley 1607 de 2012 adicionado por el artículo 121 de la Ley 2010 de 2019, y
CONSIDERANDO:
Que de acuerdo con el parágrafo 1o del artículo 15 de la Ley 100 de 1993, adicionado por el artículo 3o de la Ley 797 de 2003, los trabajadores independientes están obligados a cotizar al Sistema General de Pensiones, sobre los ingresos efectivamente percibidos por el ejercicio de sus actividades económicas, y adicionalmente, su ingreso base de cotización no podrá ser inferior al salario mínimo y deberá guardar correspondencia con los ingresos efectivamente percibidos por el afiliado.
Que literal d) del parágrafo 1o del artículo 33 de la Ley 100 de 1993, modificado por el artículo 9o de la Ley 797 de 2003, establece que para efectos del cómputo de las semanas para obtener la pensión de vejez, se debe tener en cuenta el tiempo de servicio prestado como trabajador vinculado con aquellos empleadores que por omisión no hubieran realizado la afiliación al Sistema.
Que el inciso 6o del artículo 2.2.16.7.18 del Decreto 1833 de 2016, por medio del cual se compilan las normas del Sistema General de Pensiones, dispuso que en el caso en que, por omisión, el empleador no hubiera afiliado a sus trabajadores al Sistema General de Pensiones debiendo hacerlo, el cómputo para pensión del tiempo transcurrido entre la fecha de entrada en vigencia del Sistema General de Pensiones y la fecha de afiliación tardía, solo será procedente mediante el pago de la reserva actuarial o el título pensional correspondiente, calculado conforme lo señala el Capítulo 4 del Título 4 de la Parte 2 del Libro 2 del citado Decreto.
Que los artículos 2.2.4.4.2 y 2.2.4.4.3 del Decreto 1833 de 2016, por medio del cual se compilan las normas del Sistema General de Pensiones, establecen respectivamente el valor de la reserva actuarial y el cálculo para la determinación del valor de la reserva actuarial para ser pagada al Sistema General de Pensiones.
Que se hace necesario modificar la formulación contenida en los artículos 2.2.4.4.3 y 2.2.4.4.4 del Decreto 1833 de 2016, en la medida en que se deben consolidar y reconocer las actualizaciones en los parámetros aplicables, entre otros: las tablas de mortalidad y los factores actuariales que fueron modificados mediante la Resolución 1555 de 2010 de la Superintendencia Financiera de Colombia, así como la edad, la fecha de referencia, el ingreso base de cotización y el número de mesadas pensionales, conforme con lo establecido por la normativa vigente.
Que el artículo 2.12.1.1 del Decreto 1068 de 2015, Único Reglamentario del Sector Hacienda y Crédito Público, respecto de fiscalización de las contribuciones parafiscales de la protección social, define la omisión en la afiliación como “el incumplimiento de la obligación de afiliarse a alguno de los subsistemas que integran el Sistema de la Protección Social y como consecuencia de ella, no haber declarado ni pagado las respectivas contribuciones parafiscales, cuando surja la obligación conforme con las disposiciones legales vigentes”; y la omisión en la vinculación como “el no reporte de la novedad de ingreso a una Administradora del Sistema de la Protección Social cuando surja la obligación conforme con las disposiciones legales vigentes y como consecuencia de ello no se efectúa el pago de los aportes a su cargo a alguno o algunos de los subsistemas que integran el Sistema de la Protección Social”.
Que de conformidad con lo dispuesto en el parágrafo 4o del artículo 179 de la Ley 1607 de 2012, adicionado por el artículo 121 de la Ley 2010 de 2019: “Las sanciones por omisión, inexactitud y mora de que trata el presente artículo, se impondrán sin perjuicio del cobro de los respectivos intereses moratorios y/o cálculo actuarial según corresponda; este último será exigible en lo que respecta al Sistema General de Pensiones, tanto a los empleadores que por omisión no hubieren afiliado a sus trabajadores o reportado la novedad de vínculo laboral, en los términos señalados en la Ley 100 de 1993 y demás normas concordantes, como a los independientes, que por omisión no hubieren efectuado la respectiva afiliación o reportado la novedad de ingreso a dicho sistema estando obligados. En los demás casos, se cobrarán intereses moratorios cuando se presente inexactitud o mora en todos los subsistemas del Sistema de la Protección Social y cuando se genere omisión en los subsistemas distintos al de pensiones”.
Que, no obstante lo anterior, para los trabajadores independientes, la Sala Laboral de la Corte Suprema de Justicia ha sostenido en la providencia con radicado SL3838-2020, que “(...) en tratándose de trabajadores independientes, su incumplimiento (en el pago de las cotizaciones) se va a ver reflejado, negativamente, en el interés de obtener rápidamente el objetivo primordial de tales aportes, esto es, el reconocimiento pensional o, en otros términos, el incumplimiento va a postergar el derecho del trabajador independiente de recibir su prestación pensional (...)”.
Que de acuerdo con lo dispuesto en el artículo 2.2.2.1.2 del Decreto 1833 de 2016, “la afiliación al Sistema General de Pensiones es permanente e independiente del régimen que seleccione el afiliado. Dicha afiliación no se pierde por haber dejado de cotizar durante uno o varios periodos, pero podrá pasar a la categoría de afiliados inactivos cuando tenga más de seis meses de no pago de cotizaciones”. Vencido este plazo y para efectos de normalizarse en el Sistema General de Pensiones, se considera necesario establecer el mecanismo que le permita al cotizante cumplir con sus obligaciones nuevamente.
Que las administradoras de pensiones, para determinar el valor de la reserva actuarial que debe pagar un empleador o un trabajador independiente por los tiempos en que fueron omisos en vinculación o afiliación, hacen uso de la fórmula contenida en los artículos 2.2.4.4.3 y 2.2.4.4.4 del Decreto 1833 de 2016, en virtud de lo establecido en el parágrafo 1o del artículo 33 de la Ley 100 de 1993 modificado por el artículo 9o de la Ley 797 de 2003, en el que se indica que para el caso de los omisos, el cómputo de las semanas será procedente, siempre y cuando el empleador traslade, con base en el cálculo actuarial, la suma correspondiente del trabajador que se afilie, a satisfacción de la entidad administradora, el cual estará representado por un bono o título pensional.
Que mediante Sentencia SU-226 de 2019, la honorable Corte Constitucional indicó que una vez se ha establecido que el empleador incurrió en una omisión de su obligación de afiliación o de vinculación ante el Sistema General de Seguridad Social, el empleador debe subsanar el pago del pasivo liquidado por la administradora de pensiones con base en el cálculo actuarial. Por su parte, la entidad administradora está obligada, entre otras, a fijar el monto total adeudado.
Que la Corte Suprema de Justicia, como máximo órgano de cierre de la jurisdicción laboral ordinaria, ha sido reiterativa en su doctrina según la cual los aportes o cotizaciones a pensión no prescriben. Es así como en la sentencia SL738-2018 con ponencia del magistrado Rigoberto Echeverri Bueno reiteró: “En torno a este punto, en sentencias como las CSJ SL792-2013, CSJ SL7851-2015, CSJ SL1272-2016, CSJ SL2944-2016 y CSJ SL16856-2016, entre otras, la Corte ha sostenido que “(...) mientras el derecho pensional esté en formación, la acción para reclamar los aportes pensionales omitidos, a través de cálculo actuarial, no está sometida a prescripción.”
Que de acuerdo con lo anteriormente mencionado, se hace necesario adicionar el Capítulo 11 al Título 8 de la parte 2 del Libro 2 del Decreto 1833 de 2016, por medio del cual se compilan las normas del Sistema General de Pensiones, con el fin de modificar la fórmula para efectuar el cálculo de la reserva o cálculo actuarial, que deberán pagar los empleadores y trabajadores independientes que incurran en omisión en la vinculación o afiliación al Sistema General de Pensiones, así como reglamentar el procedimiento de pago y la imputación de los tiempos en la historia laboral, una vez efectuado el desembolso por parte del empleador o trabajador independiente que se encontraba en omisión de su obligación.
Que la Unidad de Gestión Pensional y Contribuciones Parafiscales (UGPP) en virtud de lo dispuesto en la Ley 1066 de 2006 y en el reglamento interno de cartera, en algunos casos concede a los aportantes facilidad para el pago de las obligaciones determinadas.
Que el artículo 3.2.1.9 del Decreto 780 de 2016 Único Reglamentario del Sector Salud y Protección Social, indica que “(...) Las consecuencias derivadas de la omisión de reporte a través de la Planilla Integrada de Liquidación de Aportes o de errores u omisiones en ésta, que afecten el cubrimiento y operatividad del Sistema de Seguridad Integral o la prestación de los servicios que él contempla con respecto a uno o más de los afiliados, serán responsabilidad exclusiva del aportante. En todo caso el empleador que tenga el carácter de aportante, deberá tener a disposición del trabajador que así lo solicite la copia de la planilla integral de liquidación de aportes en al Sistema de Seguridad Social Integral en que conste el respectivo pago, o el comprobante de pago respectivo en caso de que este último se haya efectuado en forma separada.
Igualmente, y de conformidad con las normas establecidas en el Código de Comercio sobre conservación de documentos, el aportante deberá conservar copia del archivo magnético contentivo de las planillas integrales de liquidación”
En mérito de lo expuesto,
DECRETA:
ARTÍCULO 1o. MODIFICACIÓN DEL ARTÍCULO 2.2.4.4.3 DEL DECRETO 1833 DE 2016. Modifíquese el artículo 2.2.4.4.3 del Decreto 1833 de 2016, el cual quedará así:
“Artículo 2.2.4.4.3. Determinación del valor de la reserva actuarial. La reserva actuarial a que hace referencia el artículo 2.2.4.4.2. del presente decreto, y el valor de los periodos omitidos respecto de la afiliación y vinculación al Sistema General de Pensiones, de los empleadores y trabajadores independientes, serán calculados con la siguiente fórmula:
Definiciones para la estimación del tiempo total de servicios (t) y tiempo de faltante para pensión (n):
FC: Fecha de corte:
Corresponde al último día del último periodo omitido objeto del cálculo actuarial.
En los casos en los que la estimación del cálculo actuarial comprenda periodos omitidos no continuos (por intervalos), la fecha de corte corresponderá al último día del periodo omitido más reciente.
t: Tiempo convalidación:
El parámetro t es igual al número de años y fracciones de año de cotización o de servicios a la FC a convalidar, sin acumular tiempos simultáneos a dos o más empleadores. Este resultado se expresará con seis decimales.
En aquellos casos donde los tiempos de convalidación no sean meses completos (por ejemplo, cotización por semanas) el parámetro t corresponde a la suma de todo el tiempo de servicios omitidos objeto del cálculo actuarial, sin acumular tiempos simultáneos a dos o más empleadores.
ER: Edad de Referencia:
Corresponderá a los 62 años de edad si es hombre o 57 años si es mujer.
i. Para las personas que cumplieron con los requisitos para acceder a la pensión de vejez (tiempo de cotización o de servicios mínimo y la edad de 55 años para mujeres o 60 años para hombres), con anterioridad al año 2014, la pensión de referencia y el salario de referencia para determinar el valor de la reserva actuarial se calculará con base en dichas edades.
ii. Para los trabajadores que no alcancen a cumplir el tiempo mínimo de cotización o de servicios para acceder a la pensión de vejez en las edades contempladas en las definiciones anteriores, la edad para determinar la pensión de referencia y el salario de referencia, será aquella que tendría la persona al completar dicho tiempo de servicios o de cotización, teniendo en cuenta para ello la suma del tiempo de servicios prestados o cotizados con anterioridad al periodo de omisión.
FR: Fecha de Referencia:
Se define como la máxima fecha entre la fecha que el trabajador cumple la edad de referencia (ER) y la fecha en que el trabajador completa las semanas necesarias para pensionarse en el régimen público si hubiere cotizado el 100% del tiempo ininterrumpidamente desde la fecha de corte FC.
Para objeto del cálculo de la fecha de cumplimiento de las semanas necesarias para pensionarse en el régimen público, no se tendrán en cuenta el tiempo que el trabajador hubiere cotizado (omisiones) entre la FC y la fecha de solicitud del cálculo actuarial.
La fecha en el que el trabajador completaría las semanas necesarias para pensionarse en el régimen público, se determinará de la siguiente forma:
Fecha de cumplimiento = FC + [(7días * SemMin) - (t * 365,25 días)]
Donde SemMin corresponde al número mínimo de semanas exigidas para pensión en el año en el cual cumple la edad de referencia, de acuerdo con la siguiente tabla:
| Año | SemMin |
| 2004 o Antes | 1.000 |
| 2005 | 1.050 |
| 2006 | 1.075 |
| 2007 | 1.100 |
| 2008 | 1.125 |
| 2009 | 1.150 |
| 2010 | 1.175 |
| 2011 | 1.200 |
| 2012 | 1.225 |
| 2013 | 1.250 |
| 2014 | 1.275 |
| 2015 o Posterior | 1.300 |
“Para los casos donde aplique el literal ii) de la definición de ER edad de referencia del presente decreto, el valor de t corresponderá a la sumatoria del tiempo omitido objeto del cálculo actuarial, más los tiempos cotizados u omitidos de los que exista un pago, previos al periodo de la omisión objeto del cálculo actuarial, expresado en años y fracción, redondeado a seis decimales. Bajo este escenario, este parámetro lo denominaremos t1.
n: tiempo de faltante para pensión:
Es el tiempo que transcurre desde la FC hasta la FR, es decir, la diferencia entre la edad a FR en años completos y la edad en años cumplidos a la FC, en años y fracción.
Definiciones y estimación del Salario de Referencia (SR):
SB: Salario Base de Liquidación:
Es el salario que el trabajador devengaba en la fecha de corte, es decir en la fecha del último periodo de cotización.
Para el trabajador independiente se entenderá que el Salario, corresponden a los ingresos efectivamente percibidos por el periodo omitido, con las deducciones a que haya lugar, para lo cual se podrán aplicar los esquemas de presunción de costos adoptados por la Unidad de Gestión Pensional y Contribuciones Parafiscales (UGPP) para las actividades económicas desarrolladas por cuenta propia o mediante la celebración de un contrato diferente al de prestación de servicios personales, cuando a ello hubiere lugar.
El salario base antes de la Ley 100 de 1993, no puede ser inferior 1 salario mínimo legal mensual vigente ni mayor a 15 salarios mínimos legales mensuales vigentes; con posterioridad a la vigencia de dicha ley, no podrá ser inferior a salario mínimo legal mensual vigente o mayor a 20 salarios mínimos legales mensuales vigentes a la fecha base si esta es anterior a la implementación de la Ley 797 de 2003. De lo contrario, este valor no puede ser inferior 1 salario mínimo legal mensual vigente o mayor a 25 salarios mínimos legales mensuales vigentes a la fecha de corte.
En aquellos casos donde los periodos omitidos no sean meses completos (por ejemplo, cotización por semanas) se debe agregar todo el tiempo de servicios omitidos objeto del cálculo actuarial y utilizar como salario base el correspondiente a un periodo completo de cotización.
En los casos donde la estimación del cálculo actuarial comprenda periodos omitidos no continuos (por intervalos), el salario base corresponderá al salario del último periodo omitido.
SMN: Salario Medio Nacional según la edad:
La tabla de salarios medios nacionales es la establecida por el DANE y oficializada por el Gobierno nacional, la cual se encuentra definida en el artículo 2o del Decreto 2779 de 1994. (Ver Tabla 1).
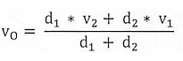
Tanto en la edad a la fecha de corte y/o la edad a la fecha de referencia, si se tienen edades no enteras, se debe interpolar (Ver artículo 6o del decreto 1748 de 1995) el salario de la edad en años completos y la edad posterior según los días trascurridos desde el último cumpleaños, de la siguiente forma, redondeando el valor obtenido a seis decimales:

v0: El SMN que se desea interpolar correspondiente a una fecha intermedia. v1: El SMN a la edad en años completos;
v2: El SMN a la edad posterior;
d1: Número de días trascurridos desde la fecha del último cumpleaños hasta la fecha intermedia;
d2: Número de días faltantes desde la fecha intermedia hasta la fecha del siguiente cumpleaños.
SMLV: Salario mínimo legal vigente
Corresponde al salario mínimo legal vigente a la fecha de corte FC. SR: Salario de Referencia.
Este es el Salario Base de Liquidación (SB) actualizado a la fecha de corte (FC) de acuerdo con el Salario Medio Nacional (SMN). En definición, es el SB multiplicado por el SMN de la edad que el afiliado tendrá en la FR, dividido por el Salario Medio Nacional de la edad que el afiliado tenía en FC:

Definiciones para estimación de la tasa de reemplazo (TR):
TR: Tasa de reemplazo
Factor que se aplicará al salario de referencia SR para determinar el monto de la pensión de referencia y corresponde al factor de remplazo aplicado al SB, de que trata este artículo:
La tasa de remplazo se determina adoptando las reglas establecidas en el artículo 34 de la Ley 100 de 1993, modificado por el artículo 10 de la Ley 797 de 2003, así:
Si el trabajador cumple la edad de referencia antes del 1o de enero de 2004:

Si el trabajador cumple la edad de referencia a partir del 1o de enero de 2004:

Definiciones para la estimación de la pensión de referencia (PR) y Auxilio Funerario de referencia (AR):
PR: Pensión de Referencia:
Definida como el valor presente en FC de la pensión estimada que recibiría el afiliado en FR sin ser superior al límite establecido para la pensión en el periodo en que se cause (esto es 15, 20, o 25 SMLMV según corresponda), ni inferior a un salario mínimo legal mensual vigente a la fecha de corte.
![]()
AR: Auxilio Funerario de referencia:
Definido como un valor igual a PR sin que sea inferior a cinco (5) salarios mínimos legales mensuales vigentes ni superior a diez (10) salarios mínimos legales mensuales vigentes a la fecha de corte.

Definiciones y estimación del valor de la reserva actuarial (VRA):
FAC 1: Factor Actuarial 1:
Definido como el factor de capital necesario para financiar una pensión unitaria de vejez y de sobrevivientes a la edad utilizada para el cálculo del salario de referencia de la reserva actuarial. (Ver Tabla 2). Los factores FAC1 dependen del sexo del afiliado y de su edad en FR.
FAC 2: Factor Actuarial 2:
Definido como el factor de capital necesario de la reserva actuarial para garantizar el pago del auxilio funerario a la edad utilizada para el cálculo del salario de referencia de la reserva actuarial. (Ver Tabla 2). Los factores FAC2 dependen del sexo del afiliado y de su edad en FR.
En los casos donde la edad a la FR exceda la edad máxima de 90 años, se utilizarán los factores actuariales correspondientes a la edad de 90 años.
En los casos donde normativamente al afiliado le sea aplicable como FR una edad inferior a la edad mínima de 55 años establecida en las tablas de factores, se utilizarán los factores actuariales correspondientes a la edad de 55.
De actualizarse las tablas de factores actuariales, las nuevas tablas se utilizarán para el cálculo de la reserva matemática de que trata este artículo.
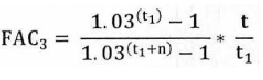
FAC 3: Factor Actuarial 3:

Definido como el factor de capitalización de acuerdo con el tiempo cotizado que se determina de conformidad con la siguiente fórmula, este factor se expresará redondeado a seis decimales:
Si se aplica el cálculo de t1, entonces:

VRA: Valor de la reserva actuarial:
Definido como el valor calculado a la fecha de corte FC, de acuerdo con la siguiente fórmula:
![]()
CA: Comisión de Administración, corresponde al 0,5% valor de la reserva. VR: Valor de la reserva:

Actualización de la reserva (VR) a la fecha del cálculo actuarial:
Se define la fecha de cálculo como el último día calendario del mes que corresponde a la fecha de solicitud del cálculo de la VR.
Para actualizar el VR a la fecha del cálculo con la DTF Pensional, se debe utilizar una TIRR (Tasa real de rendimiento) igual a 3%.
El DTF Pensional de cada año se calculará de conformidad con la siguiente fórmula, prorrateando según la cantidad de días dentro de cada periodo:
![]()
Donde INF¡ corresponde a la variación anual del Índice de Precios al Consumidor (IPC) calculado por el DANE del año calendario inmediatamente anterior.
Caso especial: Si la fecha de solicitud del cálculo actuarial es posterior a la fecha de referencia, se actualizará la VR desde la fecha de corte hasta la fecha de cálculo con DFT pensional.
TABLA 1. SALARIOS MEDIOS NACIONALES
La tabla a que se refiere el artículo 1 del Decreto 2779 de 1994, expresada en términos de índice, con base 1 para el nivel de 12 años, edad mínima contemplada será la siguiente:
| Edad | Salario medio | Edad | Salario medio |
| 12 | 1,000000 | 42 | 3,020004 |
| 13 | 1,006649 | 43 | 3,041946 |
| 14 | 1,135599 | 44 | 3,058210 |
| 15 | 1,206678 | 45 | 3,068682 |
| 16 | 1,279752 | 46 | 3,073323 |
| 17 | 1,354687 | 47 | 3,072096 |
| 18 | 1,431251 | 48 | 3,065019 |
| 19 | 1,509273 | 49 | 3,052111 |
| 20 | 1,588504 | 50 | 3,033468 |
| 21 | 1,668693 | 51 | 3,009187 |
| 22 | 1,749612 | 52 | 2,979401 |
| 23 | 1,830933 | 53 | 2,944284 |
| 24 | 1,912388 | 54 | 2,904026 |
| 25 | 1,993652 | 55 | 2,858858 |
| 26 | 2,074416 | 56 | 2,809030 |
| 27 | 2,154318 | 57 | 2,754790 |
| 28 | 2,233031 | 58 | 2,696446 |
| 29 | 2,310209 | 59 | 2,634304 |
| 30 | 2,385489 | 60 | 2,568691 |
| 31 | 2,458524 | 61 | 2,499933 |
| 32 | 2,528971 | 62 | 2,428355 |
| 33 | 2,596463 | 63 | 2,354341 |
| 34 | 2,660676 | 64 | 2,278237 |
| 35 | 2,721264 | 65 | 2,200368 |
| 36 | 2,777921 | 66 | 2,121119 |
| 37 | 2,830357 | 67 | 2,040814 |
| 38 | 2,878287 | 68 | 1,959800 |
| 39 | 2,941441 | 69 | 1,878421 |
| 40 | 2,959570 | 70 | 1,796985 |
| 41 | 2,992482 | 71 o más | 1,715798 |
TABLA 2. FACTORES ACTUARIALES 1 y 2
En todo caso, se debe proceder con la actualización de los factores actuariales 1 y 2 para ajustarse a las tablas de mortalidad vigentes, de conformidad con lo establecido en el artículo 2o de la Resolución 1555 de 2010 de la Superintendencia Financiera de Colombia.
Los factores actuariales FAC 1 y FAC 2 serán los siguientes, según el sexo y la edad:
| Edad | FAC 1 | FAC 2 | ||
| Hombres | Mujeres | Hombres | Mujeres | |
| 55 | 258,712212 | 243,005182 | 0,369543 | 0,311687 |
| 56 | 255,775386 | 239,546338 | 0,381199 | 0,322235 |
| 57 | 252,73826 | 235,977078 | 0,393132 | 0,333081 |
| 58 | 249,598775 | 232,296362 | 0,405334 | 0,344225 |
| 59 | 246,355 | 228,506137 | 0,417797 | 0,355667 |
| 60 | 243,005182 | 224,60602 | 0,430511 | 0,367403 |
| 61 | 239,546338 | 220,596052 | 0,443465 | 0,379431 |
| 62 | 235,977078 | 216,47656 | 0,456646 | 0,391747 |
| 63 | 232,296362 | 212,248425 | 0,470038 | 0,404345 |
| 64 | 228,506137 | 207,912956 | 0,483532 | 0,417217 |
| 65 | 224,60602 | 203,471943 | 0,497111 | 0,430356 |
| 66 | 220,596052 | 198,927674 | 0,510762 | 0,443751 |
| 67 | 216,47656 | 194,283137 | 0,524466 | 0,45739 |
| 68 | 212,248425 | 189,541818 | 0,538207 | 0,471261 |
| 69 | 207,912956 | 184,707913 | 0,551966 | 0,485348 |
| 70 | 203,471943 | 179,786208 | 0,565725 | 0,499635 |
| 71 | 198,927674 | 174,782204 | 0,579465 | 0,514104 |
| Edad | FAC 1 | FAC 2 | ||
| Hombres | Mujeres | Hombres | Mujeres | |
| 72 | 194,283137 | 169,702078 | 0,593165 | 0,528734 |
| 73 | 189,541818 | 164,552725 | 0,606808 | 0,543503 |
| 74 | 184,707913 | 159,341662 | 0,620372 | 0,558388 |
| 75 | 179,786208 | 154,077066 | 0,633837 | 0,573365 |
| 76 | 174,782204 | 148,767735 | 0,647184 | 0,588406 |
| 77 | 169,702078 | 143,423124 | 0,660392 | 0,603484 |
| 78 | 164,552725 | 138,053206 | 0,673442 | 0,618571 |
| 79 | 159,341662 | 132,668444 | 0,686313 | 0,633634 |
| 80 | 154,077066 | 127,279561 | 0,698988 | 0,648645 |
| 81 | 148,767735 | 121,897577 | 0,711448 | 0,663572 |
| 82 | 143,423124 | 116,533716 | 0,723675 | 0,678385 |
| 83 | 138,053206 | 111,199165 | 0,735655 | 0,693051 |
| 84 | 132,668444 | 105,904739 | 0,74737 | 0,707542 |
| 85 | 127,279561 | 100,661169 | 0,758807 | 0,721827 |
| 86 | 121,897577 | 95,47833 | 0,769955 | 0,73588 |
| 87 | 116,533716 | 90,365266 | 0,780801 | 0,749677 |
| 88 | 111,199165 | 85,329825 | 0,791336 | 0,763196 |
| 89 | 105,904739 | 80,378652 | 0,801555 | 0,776422 |
| 90 | 100,661169 | 75,516659 | 0,811453 | 0,789343 |
ARTÍCULO 2o MODIFICACIÓN DEL ARTÍCULO 2.2.4.4.4 DEL DECRETO 1833 DE 2016. Modifíquese el artículo 2.2.4.4.4 del Decreto 1833 de 2016, el cual quedará así:
“Artículo 2.2.4.4.4. Salario de referencia. Para efectos del artículo anterior, se entiende por salario de referencia:
a) En el caso de personas afiliadas al entonces Instituto de Seguros Sociales no cobijadas por ningún régimen de transición y que con anterioridad al año 2014 cumplen el tiempo de cotización o de servicios para acceder a la pensión de vejez, el salario de referencia será el que el trabajador tendría a la edad de 55 años de edad si es mujer o 60 si es hombre. Dicho salario se obtiene de multiplicar el último salario devengado por el trabajador en el periodo a validar o ciclo omitido, por la relación que exista entre el salario medio nacional a la edad de los 55 años si es mujer o 60 años si es hombre y el salario medio nacional a la edad que tenía el trabajador a la fecha de vinculación. La tabla de salarios medios nacionales es la establecida por el DANE y oficializada por el Gobierno nacional.
b) En el caso de personas afiliadas al Régimen de Ahorro Individual o a la Administradora Colombiana de Pensiones Colpensiones no cobijadas por ningún régimen de transición y que con posterioridad al año 2014 cumplen el tiempo de cotización o de servicios para acceder a la pensión de vejez, el salario de referencia será el que el trabajador tendría a la edad de 57 años de edad si es mujer o 62 si es hombre. Dicho salario se obtiene de multiplicar el último salario devengado por el trabajador en el periodo a validar o ciclo omitido, por la relación que exista entre el salario medio nacional a la edad de los 57 años si es mujer o 62 años si es hombre y el salario medio nacional a la edad que tenía el trabajador a la fecha efectiva de vinculación. La tabla de salarios medios nacionales es la establecida por el DANE y oficializada por el Gobierno nacional.
c) En el caso de personas afiliadas a Colpensiones cobijadas por algún régimen de transición, el salario de referencia será el que el trabajador tendría a la edad establecida para acceder a la pensión de acuerdo con el régimen de transición aplicable. Dicho salario se obtiene de multiplicar el último salario devengado por el trabajador en el periodo a validar o ciclo omitido, por la relación que exista entre el salario medio nacional a la edad establecida de acuerdo con el régimen de transición aplicable y el salario medio nacional a la edad que tenía el trabajador a la fecha de vinculación.
Para todos los casos, la tabla de salarios medios nacionales es la establecida por el Departamento Administrativo Nacional de Estadística (DANE) en la Resolución 1588 de 1994.
El último salario devengado en el periodo a validar o ciclo omitido estará 'conformado para los servidores públicos, por los factores salariales establecidos en el artículo 2.2.3.1.3 del Decreto 1833 de 2016. Para el sector privado, por lo establecido en el Código Sustantivo del Trabajo. Si el salario fuere integral, será sobre el 70%. En todo caso, el salario base de liquidación no podrá ser inferior al salario mínimo legal mensual vigente en dicha fecha, ni superior a 25 salarios mínimos legales mensuales vigentes.
PARÁGRAFO 1o. Para efectos del cálculo de la reserva actuarial de los trabajadores afiliados a Colpensiones que no alcancen a cumplir el tiempo mínimo de cotización o de servicios para acceder a la pensión de vejez en las edades contempladas en los literales anteriores, la edad para determinar la pensión de referencia y el salario de referencia será aquella que tendría la persona al completar el tiempo de servicios o de cotización contemplado en la Ley 797 del 2003 así como lo previsto en el Acto Legislativo 001 del 2005. Para lo anterior se deberá tener en cuenta la suma del tiempo de servicios prestados a los diferentes empleadores públicos, los tiempos a cargo del empleador del sector privado que tuviera a cargo la pensión y los que se hubieran cotizado al ISS hoy Colpensiones con anterioridad a la fecha de afiliación.
PARÁGRAFO 2o. En los casos previstos en este artículo, la pensión de referencia tomará en cuenta lo establecido en el artículo 10 de la Ley 797 de 2003, cuando a ello haya lugar.
PARÁGRAFO 3o. Para CAXDAC, el Salario Base corresponderá a lo reportado por las empresas afiliadas a CAXDAC el 31 de marzo de 1994, o en su defecto el 30 de junio de 1992. En caso de que estos no existan, el último salario conocido con anterioridad al 31 de marzo de 1994. En cualquier caso, el salario se indexará hasta el 31 de marzo de 1994.”
ARTÍCULO 3o. Adiciónese el Capítulo 11 al Título 8 de la parte 2 del Libro 2 del Decreto 1833 de 2016, por medio del cual se compilan las normas del Sistema General de Pensiones, el cual quedará así:
“CAPÍTULO 11
METODOLOGÍA DE CÁLCULO ACTUARIAL PARA EMPLEADORES POR OMISIÓN EN LA AFILIACIÓN O VINCULACIÓN DE SUS TRABAJADORES Y PARA TRABAJADORES INDEPENDIENTES POR OMISIÓN EN SU AFILIACIÓN O VINCULACIÓN AL SISTEMA GENERAL DE PENSIONES.”
Artículo 2.2.8.11.1. Objeto. El presente Capítulo tiene como objeto establecer la metodología actuarial que debe ser aplicada por las Administradoras y Reconocedoras de Pensión y la Unidad de Gestión Pensional y Parafiscales (UGPP), para efectuar el cálculo de la reserva actuarial que deberán pagar los empleadores que incurran en omisión en la vinculación o afiliación de sus trabajadores al Sistema General de Pensiones y de los trabajadores independientes que incurran en las mismas conductas.
Artículo 2.2.8.11.2. Alcance y campo de aplicación. El presente Capítulo aplica a las Administradoras o Reconocedoras de pensiones, a la Unidad de Gestión Pensional y Parafiscales (UGPP), a los empleadores que incurran en omisión en la afiliación o vinculación de sus trabajadores en cualquier tiempo, y a los independientes que incurran en esas mismas conductas después de la entrada en vigencia de la Ley 797 de 2003.
Los trabajadores independientes no podrán convalidar tiempos de cotización anteriores al 29 de enero de 2003, a través de los aportes o cálculo actuarial por omisión del que trata el presente Decreto, por no ser afiliados obligatorios al Sistema General de Pensiones a esa fecha.
Artículo 2.2.8.11.3. Cálculo actuarial por omisión en la afiliación y en la vinculación. Teniendo en cuenta que las cotizaciones al Sistema General de Pensiones son de carácter imprescriptible, los empleadores o trabajadores independientes que incurran en la omisión de afiliación, deberán pagar con base en el cálculo actuarial de que trata el artículo 2.2.4.4.3 del presente decreto, la suma que corresponda, a satisfacción de la Administradora o reconocedora de pensiones.
Los empleadores o trabajadores independientes que incurran en omisión a la vinculación al Sistema General de Pensiones deberán solicitar a la Administradora de Pensiones a la cual se encuentren afiliados, la liquidación de cálculo actuarial por el término de la omisión, si transcurridos seis (6) meses contados a partir de la fecha en que se debió reportar tal novedad, no la hubiesen reportado.
Cuando la omisión en la vinculación se subsane por parte del empleador o el trabajador independiente, dentro de los seis (6) meses siguientes contados desde el momento en que debió reportarla, deberán pagar el valor de los aportes y los intereses de mora establecidos en el artículo 23 de la Ley 100 de 1993, a través de la Planilla Integrada de Liquidación de Aportes PILA.
El valor del cálculo actuarial será aplicado a los periodos de omisión en los que el empleador o el trabajador independiente incumplieron la obligación de afiliación, o de reportar la novedad de ingreso al Sistema General de Pensiones y como consecuencia de ello, no se hicieran los pagos de los respectivos aportes al Sistema General de Pensiones, siempre que se realice el pago del valor total del cálculo.
Artículo 2.2.8.11.4. Efectos de las afiliaciones transitorias y voluntarias derivadas de la fiscalización realizada por la Unidad de Gestión Pensional y Parafiscales (UGPP). Cuando la Unidad de Gestión Pensional y Parafiscales (UGPP), conforme a sus funciones legales y reglamentarias realice la afiliación transitoria dispuesta en el artículo 2.12.1.6. del Decreto 1068 de 2015, la Administradora Colombiana de Pensiones (Colpensiones) deberá aceptarla y recibir el pago del cálculo actuarial que hubiere efectuado dicha Unidad por el periodo de omisión.
Sin perjuicio de lo anterior, la Administradora Colombiana de Pensiones (Colpensiones) no estará en la obligación de realizar la afiliación transitoria, ni de contabilizar o imputar los tiempos, determinados por la Unidad de Gestión Pensional y Parafiscales (UGPP), cuando se evidencie que existe múltiple vinculación, el afiliado se encuentra afiliado a otra administradora de pensiones, es un excluido de régimen, se encuentre inmerso en la situación de que trata el artículo 2o del Decreto 758 de 1990, existan aportes erróneamente pagados o no se haya pagado la totalidad del valor actuarial calculado.
En caso de que el trabajador se afilie voluntariamente a una Administradora del Régimen de Ahorro Individual con Solidaridad en virtud de la invitación hecha por la Unidad de Gestión Pensional y Parafiscales (UGPP), las Administradoras de Fondos de Pensiones deberán recibir el pago del valor establecido en el cálculo actuarial elaborado por dicha Unidad, por el periodo en que se causó la omisión por afiliación o vinculación, y lo acreditarán y aplicarán a los periodos de omisión siempre que se haya pagado la totalidad del valor actuarial calculado.
Cuando la persona fiscalizada se encuentre afiliada al Sistema General de Pensiones como trabajador dependiente y con omisión en el pago de aportes a dicho sistema por los ingresos adicionales recibidos en calidad de trabajador independiente, deberá reportar ante la Administradora de Pensiones a la que se encuentre afiliado, la novedad de ingreso en tal condición por el periodo en el cual la Unidad de Gestión Pensional y Parafiscales (UGPP) le determinó la omisión. En este evento, la Administradora de Pensiones deberá recibir el cálculo actuarial que dicha unidad en razón de su naturaleza de fiscalizadora y determinadora, le hubiera ordenado pagar por el periodo de omisión y lo acreditará cuando se haya pagado la totalidad del valor actuarial calculado.
PARÁGRAFO 1o. La elección de la administradora por parte del trabajador independiente, del empleador, o la afiliación transitoria que pueda efectuar la Unidad de Gestión Pensional y Parafiscales (UGPP), según corresponda, debe atender las reglas de afiliación y traslado del artículo 13 de la Ley 100 de 1993, modificada por el artículo 2o de la Ley 797 de 2003.
PARÁGRAFO 2o. Los cálculos actuariales elaborados por la Unidad de Gestión Pensional y Parafiscales (UGPP) en desarrollo de sus funciones legales de determinación de obligaciones con anterioridad a la expedición del presente Capítulo, serán aceptados por las Administradoras del Sistema General de Pensiones y serán imputados a los periodos de omisión determinados por esa Unidad, cuando se haya pagado la totalidad del valor actuarial calculado.
PARÁGRAFO 3o. La Unidad de Gestión Pensional y Parafiscales (UGPP) podrá celebrar acuerdos de pago con los aportantes, dividiendo el periodo total de omisión en fracciones de tiempo, pero en ningún caso dividiendo el valor total de la obligación en pagos periódicos.
Artículo 2.2.8.11.5. Elaboración del cálculo actuarial. La Administradora de Pensiones a la que se encuentre afiliado el trabajador, es la encargada de elaborar el cálculo actuarial, con base en toda la información laboral que se encuentre registrada en la Administradora Colombiana de Pensiones - Colpensiones, en otras Administradoras de Pensiones o en los sistemas de información del Sistema de Protección Social establecidos o los que se establezcan para este fin.
En los procesos de fiscalización adelantados por la Unidad de Gestión Pensional y Contribuciones Parafiscales de la Protección Social (UGPP) en los que se determine o se haya determinado el pago de un cálculo actuarial, la liquidación del mismo corresponderá a esa Unidad.
En todo caso, los cálculos de que trata el artículo 2.2.8.11.3 del presente capítulo que sean hechos por la Unidad de Gestión Pensional y Parafiscales (UGPP) o los que realicen las Administradoras de Pensiones deberán efectuarse, siempre que se evidencie que hay una obligación legal del trabajador independiente de cotizar al Sistema General de Pensiones, por causa de la obtención de ingresos propios por el ejercicio de sus actividades económicas.
PARÁGRAFO. Cuando el aportante requerido se presente a pagar el valor ordenado por la Unidad de Gestión Pensional y Contribuciones Parafiscales (UGPP) o calculado por una Administradora de Pensiones, fuera del plazo otorgado para tal fin, la entidad que elaboró el cálculo deberá actualizar su valor a la fecha estimada de pago.
Artículo 2.2.8.11.6. Pago del valor de la reserva actuarial. Los valores que por concepto de cálculo actuarial establezcan las administradoras de pensiones, o los que la Unidad de Gestión Pensional y Contribuciones Parafiscales (UGPP) fije con ocasión de un proceso de determinación de obligaciones parafiscales derivado de sus funciones legales y reglamentarias, por concepto de omisión en la afiliación o vinculación, deberán ser pagados por el aportante o por el empleador, hasta el 30 de mayo de 2023, directamente a las Administradoras de pensiones, o, a través de la Planilla Integral de Liquidación de Aporte –PILA.
A partir del 1o de junio de 2023, los pagos de la reserva actuarial de que trata este capítulo se deberán realizar únicamente a través de la Planilla Integral de Liquidación de Aportes-PILA.
PARÁGRAFO 1o. Cuando se realice el pago de la reserva actuarial calculada por la Unidad de Gestión Pensional y Contribuciones Parafiscales (UGPP), este será tenido en cuenta por la Administradora de Pensiones correspondiente, para el periodo de tiempo fiscalizado por la Unidad, una vez el valor haya sido pagado en su totalidad.
PARÁGRAFO 2o. Las Administradoras de Pensiones deberán desarrollar máximo hasta el 30 de noviembre de 2022, en conjunto con la Unidad de Gestión Pensional y Contribuciones Parafiscales (UGPP), una herramienta tecnológica que permita la adecuada elaboración de los cálculos actuariales de que trata el artículo 2.2.4.4.3 de este decreto. En esa fecha, la herramienta tecnológica, deberá ser entregada al Ministerio de Salud y Protección Social, entidad que dispondrá hasta el 30 de mayo de 2023, para establecer el mecanismo que permita realizar el pago del cálculo actuarial y de los intereses moratorios de que trata este decreto, a través de la Planilla Integral de Liquidación de Aportes – PILA, preservando de esta manera la trazabilidad de los aportes realizados al Sistema General de Pensiones.
Artículo 2.2.8.11.7. Efectos del pago del cálculo actuarial. El empleador o independiente sólo podrá acreditar el periodo declarado a través de un cálculo actuarial por omisión, cuando no hubiere tenido lugar la ocurrencia del siniestro que dé lugar al pago de prestaciones de invalidez o sobrevivencia.
En el evento en que ocurra el siniestro que cause la prestación de invalidez o sobrevivencia, el empleador o el independiente que haya incurrido en omisión de afiliación o vinculación, y por tanto omitió el pago de la prima del seguro previsional en el Régimen de Ahorro Individual o el aporte a los Fondos de Invalidez y sobrevivencia en el Régimen de Prima Media, deberá asumir con sus recursos, el pago de la totalidad de las reservas matemáticas que permitan financiar las prestaciones derivadas de las contingencias acaecidas por invalidez o muerte, a través de una conmutación pensional, o en su defecto deberá hacerse cargo del pago de la pensión que se cause.
En este evento el cálculo de las reservas necesarias para la conmutación pensional que permita reconocer la pensión a que haya lugar deberá realizarlo la administradora donde se encuentre afiliado el trabajador”.
ARTÍCULO 4o. VIGENCIA. El presente decreto entrará en vigencia a partir de la fecha de su expedición, modifica los artículos 2.2.4.4.3 y 2.2.4.4.4. y adiciona el Capítulo 11 al Título 8 de la Parte 2 del Libro 2 del Decreto 1833 de 2016, Decreto Único Reglamentario por el cual se compilan las normas del Sistema General de Pensiones.
Las entidades a las que corresponda, tendrán plazo desde la expedición del presente Decreto y hasta el 30 de mayo de 2023, para realizar las actividades y los ajustes técnicos necesarios a su cargo, que permitan realizar el pago de los cálculos actuariales por omisión a través de la Planilla Integral de Liquidación de Aportes - PILA.
Publíquese y cúmplase.
Dado en Bogotá, D. C., a 25 de julio de 2022.
IVÁN DUQUE MÁRQUEZ.
El Ministro de Hacienda y Crédito Público,
José Manuel Restrepo Abondano.
El Ministro del Trabajo,
Ángel Custodio Cabrera Báez.