RESOLUCIÓN 3104 DE 2021
(diciembre 14)
Diario Oficial No. 51.901 de 28 de diciembre de 2021
DEPARTAMENTO ADMINISTRATIVO PARA LA PROSPERIDAD SOCIAL
Por medio de la cual se efectúa la asignación de cupos y de recursos correspondientes a los adultos mayores residentes en los resguardos y/o comunidades indígenas legalmente constituidas en virtud de la convocatoria efectuadas por resoluciones número 233 de 2020 y número 01447 del 14 de julio 2021 en el Programa de Protección Social al Adulto - Mayor Colombia Mayor.
EL MINISTRO DEL TRABAJO Y LA DIRECTORA DEL DEPARTAMENTO ADMINISTRATIVO PARA LA PROSPERIDAD SOCIAL,
en ejercicio de las facultades constitucionales y legales, y en particular las conferidas en el artículo 209 de la Constitución Política de Colombia, el numeral 1 del artículo 6o del Decreto Ley 4108 de 2011, el artículo 5o del Decreto Legislativo 812 de 2020, el artículo 10 del Decreto 2094 de 2016, el artículo 2.2.14.1.32 y el Capítulo 1 del Título 14 de la Parte 2 del Libro 2 del Decreto 1833 de 2016, y
CONSIDERANDO:
Que el artículo 2o de la Constitución Política establece como unos de los fines esenciales del Estado, servir a la comunidad, promover la prosperidad general y garantizar la efectividad de los principios, derechos y deberes consagrados en la Constitución.
Que el inciso 2 del artículo 209 de la Constitución Política preceptúa que “Las autoridades administrativas deben coordinar sus actuaciones para el adecuado cumplimiento de los fines del Estado (…)”.
Que el artículo 25 de la Ley 100 de 1993 creó el Fondo de Solidaridad Pensional, como una cuenta especial de la Nación, sin personería jurídica, adscrita al Ministerio del Trabajo y Seguridad Social, cuyos recursos serán administrados en fiducia por las sociedades fiduciarias de naturaleza pública, preferencialmente por las sociedades fiduciarias del sector social solidario, o por administradoras de fondos de pensiones y/o cesantía del sector social solidario, las cuales quedan autorizadas para tal efecto por virtud de dicha ley.
Que el artículo 257 de la Ley 100 de 1993, estableció un programa de auxilios para ancianos indigentes, cuyo objeto es apoyar económicamente a aquellas personas que cumplan con los requisitos previstos en la normativa vigente.
Que el artículo 2o de la Ley 797 de 2003, modificó el literal i) del artículo 13 de la Ley 100 de 1993, creando la Subcuenta de Subsistencia del Fondo de Solidaridad Pensional, destinada a la protección de las personas en estado de indigencia o de pobreza extrema, mediante el otorgamiento de un subsidio económico que se entrega a través del Programa de Protección Social al Adulto Mayor, hoy Colombia Mayor.
Que en el artículo 2.2.14.1.32 del Decreto 1833 de 2016, modificado por el artículo 7o del Decreto 1690 de 2020, se establece que los beneficios de la Subcuenta de Subsistencia serán otorgados en las modalidades de subsidio económico directo y subsidio económico indirecto.
Que el subsidio económico directo es el que se otorga en dinero, el cual se gira directamente a los beneficiarios y el indirecto el que se otorga en servicios sociales básicos y se entrega a través de los Centros de Bienestar del Adulto Mayor y Centros Diurnos. Respecto al subsidio económico directo, se señala que los indígenas residentes en resguardos podrán ser beneficiarios de este, siempre y cuando se elija esta modalidad para todos los beneficiarios incluidos en el proy ecto.
Que la Ley 100 de 1993, estableció el programa para los ancianos con el objeto de apoyar económicamente y hasta el 50% del salario mínimo legal mensual vigente a quienes cumplan con los requisitos definidos en la normatividad vigente.
Que el artículo 2.2.14.1.32 del Decreto 1833 de 2016, señala. “(…) La asignación de cupos, el valor del subsidio económico y los componentes que se financien serán definidos por el Ministerio del Trabajo, de acuerdo con la disponibilidad presupuestal y de conformidad con las metas de cobertura señaladas por el Consejo Nacional de Política Económica y Social (Conpes). En todo caso, el valor del subsidio no podrá superar el (50%) del salario mínimo legal mensual vigente. (…)”.
Que el parágrafo 2 del artículo 5o del Decreto Legislativo 812 del 4 de junio de 2020, determinó como administrador y operador del Programa de Protección Social al Adulto Mayor -Colombia Mayor-, al Departamento Administrativo para la Prosperidad Social a partir de su entrada en vigor.
Que el Ministerio del Trabajo, en desarrollo de la transición del Programa de Protección Social Colombia Mayor, de conformidad con el Decreto 812 de 2020, cedió los contratos suscritos con los cuales se ejecutaba el programa Colombia Mayor, entre ellos cedió parcialmente su posición contractual al Departamento Administrativo para la Prosperidad Social, del contrato de encargo fiduciario número 604 de 2018, por Otrosíes número 2, 3, 4, 5, 6, 7 y 8 de 2021, suscritos con Fiduagraria S.A.
Que, en desarrollo del Programa Protección Social Colombia Mayor, con el fin de ejecutar los compromisos establecidos en la Mesa Permanente de Concertación con los Pueblos y Organizaciones Indígenas realizada el 20 de diciembre de 2019, el Ministerio del Trabajo profirió la Resolución número 0233 del 30 de enero de 2020, mediante la cual se asignaron recursos de la subcuenta de subsistencia del Fondo de Solidaridad Pensional para la vigencia fiscal 2020, se amplió la cobertura y se efectuó la convocatoria para la distribución de cupos a adultos mayores residentes en resguardos y/o comunidades indígenas legalmente constituidas.
Que en desarrollo de la Resolución número 233 de 2020 el Ministerio de Salud y Protección Social en virtud de la Resolución número 385 de 2020, declaró la emergencia sanitaria por causa del virus SARS-CoV-2 (COVID-19), así mismo, mediante el Decreto 417 del 17 de marzo de 2020, se declaró el estado de emergencia económica, social y ecológica en todo el territorio nacional, dada la declaratoria de la pandemia por la existencia del virus SARS-CoV-2 (COVID-19) y se tomaron medidas de “aislamiento preventivo obligatorio de todas las personas habitantes de la República de Colombia(...) en el marco de la emergencia sanitaria del Coronavirus COVID-19”.
Que, en consecuencia, la Resolución número 0233 del 30 de enero de 2020, fue suspendida en su ejecución, en el marco de lo establecido en el Decreto 417 de 2020 y el Decreto 491 del 28 de marzo de 2020, por lo que el Ministerio del Trabajo profirió la Resolución número 849 del 30 de marzo 2020, por medio de la cual en el artículo 1 se dispuso: “…Suspender la convocatoria para la distribución de los cupos a adultos mayores residentes en resguardos y/o comunidades indígenas legalmente constituidas, dispuesta en la Resolución número 0233 del 30 de enero de 2020”.
Que el Ministerio del Trabajo y el Departamento Administrativo para la Prosperidad Social, conjuntamente profirieron la Resolución número 1447 del 14 de julio de 2021 “Por medio de la cual se efectúa la reapertura de la convocatoria y se fija el plazo para la asignación de cupos a adultos mayores residentes en resguardos y/o comunidades indígenas legalmente constituidas, establecidos en la Resolución número 0233 de 2020 suspendida por la Resolución número 849 de 2020 en desarrollo del programa de Protección Social para el Adulto Mayor - Colombia Mayor”.
Que, en la Resolución de reapertura antes citada, se dispuso que el pago de subsidios, para la afiliación de los beneficiarios que sean determinados por parte de las autoridades indígenas de cada uno de los resguardos, se hará efectiva a partir de enero de 2020.
Que el valor total de los cinco mil (5.000) cupos corresponde a la suma de nueve mil doscientos millones de pesos moneda corriente ($9.200.000.000.00) cuatro mil cuatro cientos millones de pesos moneda corriente ($4.400.000.000.00), amparados con la reserva presupuestal del Ministerio del Trabajo registro presupuestal número 520 - RESERVA PRESUPUESTAL, que ampara el pago retroactivo de los subsidios asociados a los cinco mil (5000) cupos objeto de ampliación en favor de los beneficiarios que ingresen al programa Colombia Mayor y los subsidios de la vigencia 2021 serán cubiertos mediante el presupuesto asignado a Prosperidad Social para el programa Colombia Mayor, por valor de cuatro mil ochocientos millones de pesos moneda corriente ($4.800.000.000.00), amparados con el CDP 11521.
Que, una vez culminada la convocatoria, Fiduagraria S.A., remitió el resultado de los cupos y cifras asignadas a los diferentes resguardos indígenas legalmente constituidos que se postularon y cumplieron con los requisitos establecidos.
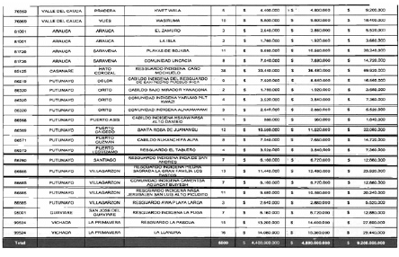
Que, en virtud de lo anterior, a continuación, se establece la asignación de cupos y recursos para el año 2021, distribuidos en cupos de asignación por resguardo indígena legalmente constituido.
Que, en mérito de lo expuesto,
RESUELVE:
ARTÍCULO 1o. ASIGNACIÓN. Asignar los cinco mil (5.000) cupos y los recursos por valor de nueve mil doscientos millones de pesos moneda corriente ($9.200.000.000.00), que a continuación se relacionan, a los adultos mayores en extrema pobreza residentes en los respectivos resguardos y/o comunidades indígenas legalmente constituidas a los que pertenecen.
La asignación de cupos indígenas, residentes en los resguardos indígenas legalmente constituidos, son:





ARTÍCULO 2o. El valor de los nueve mil doscientos millones de pesos moneda corriente ($9.200.000.000.00), asignados a los cinco mil (5.000) cupos, se discriminan así:
Cuatro mil cuatrocientos millones moneda corriente ($4.400.000.000.00) vigencia 2020, amparados por el Ministerio del Trabajo con el registro presupuestal número 520 - RESERVA PRESUPUESTAL y los cuatro mil ochocientos millones de pesos moneda corriente ($4.800.000.000.00) de la vigencia 2021 a cargo del Departamento para la Prosperidad Social amparados con el CDP número 11521.
ARTÍCULO 3o. Los cinco mil (5.000) cupos asignados y que serán beneficiarios del subsidio directo son los reportados por la Fiduagraria, en virtud de la convocatoria efectuada en las Resoluciones número 233 de 2020 y número 1447 de 2021.
ARTÍCULO 4o. La presente resolución rige a partir de la fecha de su publicación.
Publíquese y cúmplase.
Dada en Bogotá, D. C., a 14 de diciembre de 2021.
El Ministro de Trabajo,
Ángel Custodio Cabrera Báez.
La Directora del Departamento Administrativo para la Prosperidad Social,
Susana Correa Borrero