DECRETO 1474 DE 1997
(mayo 30)
Diario Oficial No. 43.056, de 6 de junio de 1997
MINISTERIO DE HACIENDA Y CREDITO PUBLICO
Por el cual se derogan, modifican y lo adicionan algunos artículos del Decreto reglamentario 1748 de 1995 y se dictan otras disposiciones.
El Presidente de la República de Colombia
en uso de las facultades que le confiere el numeral 11 del artículo 189 de la Constitución Política de 1991,
DECRETA:
ARTÍCULO 1o. VINCULACIONES LABORALES VÁLIDAS.<Artículo compilado en el artículo 2.2.16.1.3 del Decreto Único Reglamentario 1833 de 2016. Debe tenerse en cuenta lo dispuesto por el artículo 3.1.1 del mismo Decreto 1833 de 2016> El parágrafo 1 del artículo 3o del Decreto 1748 de 1995, quedará así:
PARÁGRAFO 1. En ningún caso de considerarán válidas aquellas vinculaciones laborales que sirvieron de base para el reconocimiento de una pensión, indemnización sustitutiva o para la expedición de un bono pensional vigente. Tampoco se tendrá en cuenta para el cálculo de un bono tipo A, el tiempo de cotizaciones al Instituto de Seguros Sociales efectuadas por un empleador con miras a compartir la pensión con el Instituto de Seguros Sociales.
ARTÍCULO 2o. IPC PENSIONAL-IPCP-. <Artículo compilado en el artículo 2.2.16.1.9 del Decreto Único Reglamentario 1833 de 2016. Debe tenerse en cuenta lo dispuesto por el artículo 3.1.1 del mismo Decreto 1833 de 2016> El literal c), del artículo 9o del Decreto 1748 de 1995, quedará así:
c) Si f no es un último día del mes, se interpelará entre IPCPg e IPCPh donde g y h son los finales de mes inmediatamente anterior e inmediatamente posterior a f. Si para este cálculo se requieren uno o más valores de la VIPC que aún no han sido certificados por el DANE, se tomarán todos ellos igual a:
![]()
donde m recorre los últimos doce meses con VIPC certificada.
Los IPCP se calcularán con siete cifras significativas.
ARTÍCULO 3o. TASAS E INTERESES DE MORA. <Artículo compilado en el artículo 2.2.16.1.12 del Decreto Único Reglamentario 1833 de 2016. Debe tenerse en cuenta lo dispuesto por el artículo 3.1.1 del mismo Decreto 1833 de 2016> El inciso primero del artículo 12 del Decreto 1748 de 1995, quedará así:
"Sea F la fecha correspondiente al último día del mes calendario anterior a la fecha límite en que debería haberse pagado el bono sin intereses de mora y sea A la fecha correspondiente a un año antes de F".
ARTÍCULO 4o. REDENCIÓN NORMAL DE LOS BONOS. <Artículo compilado en el artículo 2.2.16.1.20 del Decreto Único Reglamentario 1833 de 2016. Debe tenerse en cuenta lo dispuesto por el artículo 3.1.1 del mismo Decreto 1833 de 2016> El artículo 15o del Decreto 1748 de 1995 quedará así:
La redención normal de los bonos se da:
1. Para los bonos tipo A en la fecha FR determinada en el artículo 20.
2. Para los bonos tipo B en la fecha en que al trabajador se pensione por jubilación o vejez, por haber cumplido con la totalidad de los requisitos legales para obtener dicha pensión, de conformidad con la Ley 100 de 1993. Para efectos de la cancelación del bono, la Administradora le comunicará a la entidad emisora la fecha en la cual ésta reconocerá definitivamente la prestación.
ARTÍCULO 5o. REDENCIÓN ANTICIPADA DE LOS BONOS. <Artículo compilado en el artículo 2.2.16.1.21 del Decreto Único Reglamentario 1833 de 2016. Debe tenerse en cuenta lo dispuesto por el artículo 3.1.1 del mismo Decreto 1833 de 2016> El numeral 1. del artículo 16 del Decreto 1748 de 1995, quedará así:
1. Para bonos tipo A que no hayan sido negociados ni utilizados para adquirir acciones de empresas públicas, el fallecimiento o la declaratoria de invalidez del beneficiario, o bien la devolución del saldo en los casos previstos en los artículos 66, 72 y 78 de la Ley 100 de 1993.
ARTÍCULO 6o. PAGO DE LOS BONOS. <Artículo compilado en el artículo 2.2.16.1.22 del Decreto Único Reglamentario 1833 de 2016. Debe tenerse en cuenta lo dispuesto por el artículo 3.1.1 del mismo Decreto 1833 de 2016> Adiciónase el artículo 17 del Decreto 1748 de 1995 con el siguiente parágrafo.
PARÁGRAFO 3. Cuando se cause el derecho a redención de un bono aún no emitido, se hará el pago, sin que sea necesaria la expedición física del título, y el valor del bono se calculará de acuerdo con lo establecido en este decreto.
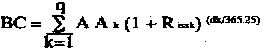
ARTÍCULO 7o. VALOR BÁSICO DEL BONO -BC-. <Artículo compilado en el artículo 2.2.16.2.3.1 del Decreto Único Reglamentario 1833 de 2016. Debe tenerse en cuenta lo dispuesto por el artículo 3.1.1 del mismo Decreto 1833 de 2016> El artículo 24 del Decreto 1748 de 1995, quedará así:
Para efectos de este artículo y del siguiente, se definen:
-q es el número de meses calendario durante los cuales el trabajador estuvo laboralmente activo, desde su primera vinculación válida hasta la víspera de FC.
-k como un mes genérico (1 £ k ³ q).
-sk salario devengado en el mes k, no menor a un salario mínimo legal mensual vigente ni mayor a veinte salarios mínimos legales mensuales o proporcional a los días efectivamente laborados.
-lk días efectivamente laborados en el mes k.
-mk días calendario del mes k, (28, 29, 30 ó 31)
-Mk salario mensual = Sk * lk / mk
-Rissk rendimiento real anual efectivo de las reservas del Instituto de Seguros Sociales, para el período.
-COTk factor de cotización aplicable al mes k, que será:
= 0,08 desde 1992 hasta 1994
= 0,09 en 1995
= 0,10 a partir de 1996
-Ak aporte real o hipotético en el mes k = MkCOT
-AAk valor de Ak actualizado desde el fin del mes k hasta la víspera de FC.
-dk días que van desde el fin del mes k hasta la víspera de FC.
Entonces el valor básico del bono será:

PARÁGRAFO 1o. Si el empleador del sector público no certificó los S~, el emisor podrá calcularlos a partir del último salario certificado por el empleador, actualizándolo desde la fecha reportada hasta el último día de cada uno de los meses k, salvo que el beneficiario del bono demuestre algo diferente.
PARÁGRAFO 2o. Cuando se trate de un afiliado que se traslade al Régimen de Ahorro Individual, pero no por primera vez, el valor BC se calculará de acuerdo con la fórmula siguiente:

donde q es el número de meses calendario desde el primero hasta el último traslado al régimen de ahorro individual.
ARTÍCULO 8o. SALARIO BASE-SB-. <Artículo NULO>
ARTÍCULO 9o. CERTIFICACIONES LABORALES DE EMPLEADORES. <Artículo compilado en el artículo 2.2.16.3.2 del Decreto Único Reglamentario 1833 de 2016. Debe tenerse en cuenta lo dispuesto por el artículo 3.1.1 del mismo Decreto 1833 de 2016> El artículo 35 del Decreto 1748 de 1995, quedará así:
Siempre que un empleador deba certificar información laboral con destino a la expedición de un bono tipo B, especificará lo siguiente:
a) Nombre del trabajador, fecha de nacimiento, sexo, tipo y número de documento de identifidad;
b) Nombre del empleador y su NIT;
c) Nombre y NIT de la entidad a la cual aporta o aportaba, o fondo territorial que responderá por los pagos derivados del bono, si es el caso. Si hubo más de una, especificará las fechas;
d) Fecha de ingreso y de retiro, si es el caso;
e) Número total de días de interrupción por suspensión o licencia no remunerada; opcionalmente, fechas de iniciación y terminación de las interrupciones;
f) Edad y tiempo de servicios requeridos para la pensión, y monto porcentual de la misma, según el régimen pensional legal aplicablel a este trabajador, si estaba vinculado en la fecha en que entró en vigencia el Sistema General de Pensiones;
g) Asignación básica, gastos de representación y prima técnica constitutiva de salario vigentes a FC, la de traslado al ISS, y el promedio de lo devengado por todos los demás conceptos salariales, durante los doce meses calendario anteriores a dicha fecha o durante todos los meses si fueren menos de doce. Lo dispuesto en este literal, sólo se aplicará al empleador al cual se encontraba vinculado el trabajador, en la fecha de traslado al ISS;
h) Fecha en la cual entró en vigencia para el empleador el Sistema General de Pensiones;
i) Fecha en !a cual se expide el certificado.
PARÁGRAFO. Si el empleador señala la duración del período de interrupción, pero no certifica las fechas de iniciación y terminación de las interrupciones, para efectos de los cálculos se desplazará hacia adelante la fecha de ingreso tantos días cuantos correspondan a la interrupción.
ARTÍCULO 10. FECHA DE REFERENCIA FR. <Artículo compilado en el artículo 2.2.16.3.3 del Decreto Único Reglamentario 1833 de 2016. Debe tenerse en cuenta lo dispuesto por el artículo 3.1.1 del mismo Decreto 1833 de 2016> El artículo 36 del Decreto 1748 de 1995 quedará así: Para trabajadores no cobijados por el régimen de transición, es la más tardía de las dos siguientes:
a) La fecha en que el trabajor cumpliría 60 años si es hombre,55 si es mujer, si ello ocurre antes del año 2014; de lo contratio la fecha en que cumpliría 62 años si es hombre y 57 si es mujer;
b) La fecha en que completaría 1.000 semanas de trabajo, incluyendo las vinculaciones que se tuvieron en cuenta para el cálculo de las cuotas partes del bono y el tiempo de aportes al ISS, suponiendo que aportará sin interrupciones a partir de FC.
Para trabajadores cobijados por el régimen de transición, es la más tardía de las dos siguientes:
a) La fecha en que cumpliría la edad requerida para pensión según el régimen legal que lo cobijaba en la fecha en que entró en vigencia el Sistema General de Pensiones;
b) La fecha en que completaría el tiempo de servicios requerido según el régimen legal que lo cobijaba en la fecha en que entró en vigencia el Sistema General de Pensiones, incluyendo todas las vinculaciones anteriores a FC y el tiempo de aportes al ISS, suponiendo que aportara sin interrupciones a partir de FC.
PARÁGRAFO. En ningún caso la fecha de referencia FR será anterior a la fecha de corte. Las personas que hayan cumplido los requisitos para obtener la pensión antes de la fecha en que entró a regir el régimen pensional previsto en la Ley 100 de 1993, o que los hubieren cumplido con posterioridad en alguna caja habilitada para administrar el Régimen de Prima Media con Prestación Definida, o en el caso previsto en el artículo 4o, numeral 2o del Decreto 2337 de 1996 y que sigan cotizando serán pensionadas conforme a las normas correspondientes por la entidad en la cual cumplieron los requisitos de pensión cuando esta no expida el bono pensional.
En tales casos, el Instituto de Seguros Sociales entregará a la respectiva entidad, a más tardar dentro de los dos (2) meses siguientes a la solicitud, las cotizaciones por pensión de vejez correspondietnes, con el rendimiento efectivo por el período de cotización, a partir del 1o de abril de 1994, de las reservas de dicho instituto representadas en las inversiones a que se refiere el artículo 54 de la Ley 100 de 1993, el cual será informado por la Superintendencia Bancaria. Además el instituto informará a la administradora el salario base de cotización y el tiempo de la misma para efectuar la liquidación de pensión.
No obstante lo anterior, las personas que sólo habían cumplido el tiempo de servicio y no tuviere aún la edad para pensionarse y dejen de estar sujetos al régimen de transición de que trata el artículo 36 de la Ley 100 de 1993, se pensionarán de acuerdo con dicha ley, por la entidad administradora a la cual estén afiliadas, sin perjuicio de lo dispuesto por el artículo 44 del Decreto 1748 de 1995, modificado por el artículo 13 del presente decreto.
ARTÍCULO 11. SALARIO BASE-SB-. <Artículo compilado en el artículo 2.2.16.3.4 del Decreto Único Reglamentario 1833 de 2016. Debe tenerse en cuenta lo dispuesto por el artículo 3.1.1 del mismo Decreto 1833 de 2016> El artículo 37 del Decreto 1748 de 1995, quedará así:
Para efectos de determinar el salario base se tomarán en cuenta los factores previstos en el numeral 2o del artículo 28 del presente decreto.
Los bonos que hayan sido expedidos por un valor menor al que correspondería según este artículo y que no hayan sido redimidos, se reliquidarán de acuerdo con lo dispuesto en el inciso anterior.
ARTÍCULO 12. VALOR BÁSICO DEL BONO-BB-. <Artículo compilado en el artículo 2.2.16.3.7 del Decreto Único Reglamentario 1833 de 2016. Debe tenerse en cuenta lo dispuesto por el artículo 3.1.1 del mismo Decreto 1833 de 2016> Adiciónase el artículo 41 del Decreto 1748 de 1995 con el siguiente parágrafo.
PARÁGRAFO 2o. El valor básico del bono BC se entiende disminuido en la cuota parte que corresponda al ISS, lo cual se hará constar al señalar el tiempo de cotización o de servicio utilizado para el cálculo del bono.
ARTÍCULO 13. RECONOCIMIENTO Y PAGO DE PRESTACIONES A SERVIDORES Y EXSERVIDORES PÚBLICOS CON DERECHO A BONO TIPO B. <Artículo compilado en el artículo 2.2.16.3.10 del Decreto Único Reglamentario 1833 de 2016. Debe tenerse en cuenta lo dispuesto por el artículo 3.1.1 del mismo Decreto 1833 de 2016> El artículo 44 del Decreto 1748 de 1995, quedará así:
De conformidad con lo dispuesto por el artículo 11 del Decreto 1296 de 1994, el ISS reconocerá y pagará la pensión de aquellos servidores o exservidores públicos del nivel territorial afiliados al ISS a partir del 1o de abril de 1994, una vez sea emitido el respectivo bono pensional a que tengan derecho por parte de la caja, fondo o entidad del sector público del nivel territorial.
Lo dispuesto en el inciso anterior, es sin perjuicio de que el ISS pueda comenzar a pagar la pensión que corresponda a dichos afiliados, tomando en cuenta únicamente las cotizaciones efectuadas al ISS, procediendo la reliquidación de la pensión, en los términos del artículo 11 del presente decreto, cuando se emita el bono pensional, que obligatoriamente debe expedir y pagar la entidad correspondiente, dentro de los plazos previstos para este efecto.
En el evento en que se cause la pensión de un servidor público del nivel territorial y el emisor no haya expedido el bono pensional, dentro de los plazos previstos para ello, el Instituto de Seguros Sociales continuará pagando la pensión a que se refiere el inciso anterior o en caso en que dicha pensión no pueda ser reconocida, trasladará el valor actualizado de las cotizaciones de pensión de vejez con el rendimiento efectivo de las reservas de dicho instituto, representadas en las inversiones de que trata el artículo 54 de la Ley 100 de 1993, obtenido por el período de cotización, a partir del 1o de abril de 1994, el cual será informado por la Superintendencia Bancaria a la entidad responsable de emitir el bono. Igualmente, el ISS comunicará a la entidad que debía emitir el bono el período y el salario base de cotización. Corresponderá a esta entidad el reconocimiento y pago de la prestación al servidor o ex servidor público, en el plazo previsto por la ley. Lo anterior sin perjuicio de las sanciones disciplinarias a que haya lugar.
Cuando se cause una indemnización sustitutiva, de conformidad con el artículo 37 de la Ley 100 de 1993, para calcular el valor de dicha indemnización se incluirán también las Semanas sin cotización al Instituto de Seguros Sociales que se tuviéron en cuenta para el cálculo del bono, suponiendo para ellas un porcentaje de cotización igual al 10%.
A los trabajadores cobijados por el régimen de transición previsto por el artículo 36 de la Ley 100 de 1993 y sus reglamentarios, el Instituto de Seguros Sociales les liquidará, reconocerá y pagará su pensión, respetando la edad, tiempo de servicios y monto porcentual que se tomaron para el cálculo del bono. El ingreso base de liquidación se establecerá de acuerdo con el tercer inciso del artículo 36 de la Ley 100 de 1993.
Las pensiones establecidas por una norma de inferior categoría a una ley, serán reconocidas por el Instituto de Seguros Sociales como pensiones compartidas de conformidad con la ley y los reglamentos de ese instituto a este respecto y, por lo tanto, el mayor valor de la pensión derivado de ordenanza, acuerdo, pacto, convención, laudo o cualquier otra forma de acto o determinación administrativa, estará a cargo del empleador.
ARTÍCULO 14. LIQUIDACIÓN PROVISIONAL Y EMISIÓN DE BONOS. <Artículo compilado en el artículo 2.2.16.7.8 del Decreto Único Reglamentario 1833 de 2016. Debe tenerse en cuenta lo dispuesto por el artículo 3.1.1 del mismo Decreto 1833 de 2016> El artículo 52 del Decreto 1748 de 1995, quedará así:
La solicitud de emisión de un bono, deberá estar acompañada de una manifestación del beneficiario ante la Administradora en el sentido de que el titular del bono no se encuentra afiliado a otra administradora, ni se encuentra tramitando, él o sus sobrevivientes, una pensión, indemnización sustitutiva o devolución de aportes o saldos, que sea incompatible con el bono. Dicha declaración, tendrá los efectos previstos en el artículo 10 del Decreto 2150 de 1995.
Cuando el emisor reciba una solicitud de liquidación de un bono procederá así:
Establecerá dentro de los treinta (30) días hábiles siguientes, la historia laboral del afiliado con base en los archivos que posea y la información que le haya sido suministrada por la administradora, sin que esta última deba acompañar las certificaciones correspondientes salvo que el emisor las solicite.
Dentro del mismo plazo, solicitará a quienes hayan sido empleadores públicos del afiliado y a quienes deban contribuir al pago del bono, que confirmen, modifiquen o nieguen toda la información laboral que incida en el valor del bono que les comunique, incluyendo si es del caso aquélla que repose en el archivo laboral masivo del Instituto de Seguros Sociales, así como la información sobre vinculaciones laborales que el trabajador acredite, al presentar la solicitud del bono.
El empleador o contribuyente o quien deba dar certificación, requerido por un emisor de bono para que confirme la información laboral que se le envíe, deberá responder en un plazo máximo de treinta días hábiles, contados a partir de la fecha en que reciba el requerimiento, los cuales serán prorrogados por el mismo término por el emisor cuando haya una solicitud debidamente justificada. Si la requerida es una entidad pública, se aplicará lo dispuesto en el artículo 6o del Código Contencioso Administrativo. Si se trata de servidores públicos, el incumplimiento de este plazo será sancionado disciplinariamente de acuerdo con la Ley 200 de 1995.
Para la liquidación y emisión del bono sólo se utilizará aquella información laboral que haya sido confirmada directamente por el empleador o por el contribuyente, si es diferente, o aquella certificada que no haya sido negada por alguno de estos dos, dentro del plazo señalado en el inciso anterior. Para efectos del cómputo del plazo, será necesario que la respuesta llegue dentro del mismo.
Es certificada la información que la entidad administradora reporte como tal, con base en los documentos que acrediten debidamente tal hecho, los cuales se comprometerá a mantener a disposición del emisor, para que éste los pueda verificar o solicitar copia en cualquier momento. En el caso de los archivos masivos, para que los mismos se consideren certificados será necesario además de la manifestación en tal sentido del representante legal de la entidad, que se produzcan dos copias idénticas, una de las cuales será entregada a la
Oficina de Obligaciones Pensionales y la otra se entregará en custodia a una entidad diferente que designe para ello el Ministerio de Hacienda y Crédito Público, la Oficina de Obligaciones Pensionales verificará que las dos copias sean idénticas. Adicionalmente, se tendrá en cuenta que la certificación individual de un empleador no afiliado al ISS prima sobre su Archivo Laboral Masivo; la certificación individual del ISS prima sobre su Archivo Laboral Masivo; la certificación de un empleador afiliado al ISS, sólo prevalece sobre el Archivo Laboral Masivo del ISS en el caso previsto en el numeral 1o del artículo 28 del Decreto 1748 de 1995.
El emisor producirá una liquidación provisional del bono y la hará conocer de la administradora, a más tardar treinta (30) días después de la fecha en que, habiendo recibido la primera solicitud, tenga confirmada o no objetada por el empleador y las entidades que deban asumir las cuotas partes, la información laboral certificada correspondiente.
Una vez producida la liquidación provisional, la entidad administradora la hará conocer al beneficiario, con la información laboral sobre la cual ésta se basó. La liquidación se dará a conocer al beneficiario a más tardar dentro de los cuatro meses siguientes a la fecha en que la entidad administradora reciba dicha liquidación, y en el caso del bono tipo A se podrá acompañar al extracto trimestral.
A partir de la primera liquidación provisional, el emisor atenderá cualquier solicitud de reliquidación que le sea presentada, con base en hechos nuevos que le hayan sido confirmados directamente por el empleador o por el contribuyente o que le sean certificados por los mismos y no sean objetados en el término previsto para el efecto en el presente artículo, para lo cual se aplicará en lo pertinente lo dispuesto en los incisos anteriores. En ningún caso la liquidación provisional constituirá una situación jurídica concreta.
Una vez que la información laboral esté confirmada o haya sido certificada y no objetada en los términos previstos en este artículo, los bonos se expedirán dentro del mes siguiente a la fecha en que el beneficiario manifieste por escrito por intermedio de la administradora, su aceptación del valor de la liquidación, siempre que:
a) El afiliado al ISS le presente solicitud de pensión de vejez a de indemnización sustitutiva;
b) Se cause la devolución de saldos al beneficiario de un bono tipo A;
c) El afiliado a una administradora del régimen de ahorro individual con solidaridad solicite su emisión.
PARÁGRAFO 1o. El emisor tendrá la posibilidad en cualquier momento, mientras el bono no haya sido expedido, de revisar la información laboral utilizada y reliquidar de oficio, de lo cual se dejará constancia en la liquidación. Lo anterior sin perjuicio de lo dispuesto en el artículo 56 del Decreto 1748 de 1995.
PARÁGRAFO 2o. Cuando se trate de emitir bonos de personas que hayan fallecido o hayan sido declaradas inválidas, los términos previstos en este artículo se reducirán a la mitad, en todo caso, la entidad administradora deberá hacerle conocer la liquidación provisional al beneficiario dentro de los quince (15) días siguientes a la fecha en que se recibe y el bono se emitirá dentro de los quince (15) días siguientes a la manifestación del beneficiario de aceptación de la liquidación en las condiciones previstas en este artículo.
PARÁGRAFO 3o. En el caso de bonos tipo B, corresponderá al ISS aceptar la liquidación provisional del bono, sin que sea necesario que se le comunique el valor del mismo al afiliado.
PARÁGRAFO transitorio. Salvo que se trate de bonos que deban ser pagados en el mismo momento de su emisión, y sin perjuicio de lo previsto en otras disposiciones legales, en los demás casos el plazo de emisión a que se refiere el inciso 10 del presente artículo se prorrogará, si se venciere antes, hasta el 30 de junio de 1997.
ARTÍCULO 15. TRASLADOS. <Artículo compilado en el artículo 2.2.16.7.18 del Decreto Único Reglamentario 1833 de 2016. Debe tenerse en cuenta lo dispuesto por el artículo 3.1.1 del mismo Decreto 1833 de 2016> El artículo 57 del Decreto 1748 de 1995, quedará así:
Cuando el afiliado a quien se le haya expedido un bono pensional tipo B se traslade al Régimen de Ahorro Individual, dicho bono será anulado, y tendrá derecho a que se le expidan dos (2) bonos tipo A de acuerdo con las normas que rigen estos títulos. Para expedir el bono tipo A por el período correspondiente al del bono tipo B que había sido anteriormente expedido, el emisor inicial solicitará que previamente se le restituya dicho bono tipo B. Adicionalmente, la administradora del Régimen de Prima Media deberá expedir el bono correspondiente por el período durante el cual quien se traslada estuvo afiliado a dicha administradora, teniendo en cuenta lo dispuesto en el artículo 10 del Decreto-ley 1299 de 1994 para efectos de determinar la tasa de interés aplicable según la fecha de traslado.
En el caso de que los empleadores en ejercicio de la facultad prevista en el artículo 25 del Decreto 692 de 1994, hubieren vinculado a sus trabajadores al ISS, y éstos seleccionen el régimen de ahorro individual sin que se hubiere emitido el bono pensional, el respectivo empleador deberá emitir el bono pensional o título pensional calculado a la fecha en que entró en vigencia el Sistema General de Pensiones para ese afiliado o de traslado al Instituto del Seguro Social, si ésta fuera posterior dentro de los plazos de traslado establecidos por la Ley 100 de 1993. Corresponderá al Instituto de Seguros Sociales, dentro de los dos (2) meses siguientes a la fecha de traslado, transferir a la administradora seleccionada por el trabajador, el monto de las cotizaciones efectuadas desde la fecha de su ingreso al Instituto de Seguros Sociales hasta la fecha de traslado, actualizadas con el rendimiento efectivo de las reservas obtenido por el Instituto de Seguros Sociales correspondiente a dicho período.
Cuando el afiliado a una AFP se traslade al régimen de Prima Media, la AFP entregará al lSS el valor de la cuenta individual; adicionalmente, se calculará y expedirá un bono tipo B a quienes tengan derecho a él, para lo cual el emisor exigirá que se le restituya el bono tipo A que previamente había emitido. Se procederá de la misma manera, cuando anteriormente haya sido expedido un bono tipo B y el mismo haya sido enviado para la emisión del bono tipo A. En todo caso para la expedición de estos bonos se utilizará la información con base en la cual se expidió el bono anterior sin que sea necesario adelantar un procedimiento adicional.
La AFP informará al Instituto de Seguros Sociales la historia laboral del afiliado, mes a mes, durante el tiempo en que estuvo en el régimen de Ahorro Individual.
Cuando para efectos de cancelar una pensión se le solicite a la entidad emisora el pago de un bono, deberá certificársele el régimen al cual se encuentra afiliado el interesado, para que la misma pueda verificar que el bono que cancela corresponde al régimen con el cual se otorgó la prestación.
Todo lo anterior sin perjuicio de lo previsto en el artículo 9o del Decreto 1299 de 1994.
ARTÍCULO 16. OBLIGACIÓN DE EXPEDIR BONOS PENSIONALES. <Artículo compilado en el artículo 2.2.16.7.2 del Decreto Único Reglamentario 1833 de 2016. Debe tenerse en cuenta lo dispuesto por el artículo 3.1.1 del mismo Decreto 1833 de 2016> Corresponde a los representantes legales de la respectiva entidad pública o al funcionario a quien se haya encomendado dicha labor de acuerdo con las normas que rigen la entidad, expedir los bonos pensionales dentro de los términos previstos para el efecto.
Los funcionarios encargados de preparar el proyecto de presupuesto deberán incluir en el mismo las partidas necesarias para cancelar los bonos pensionales y las cuotas partes a que haya lugar.
El incumplimiento del deber de expedir los bonos pensionales dentro del término previsto por las normas que lo rigen, la no inclusión en el proyecto de presupuesto de los recursos correspondientes, o la falta de pago de los bonos o de las cuotas partes correspondientes será sancionado de acuerdo con el régimen disciplinario, teniendo en cuenta h gravedad de la falta de conformidad con el artículo 27 de la Ley 200 de 1995, por razón del carácter esencial del pago de pensiones de acuerdo con el artículo 4o de la Ley 100 de 1993.
ARTÍCULO 17. EMISIÓN Y PAGO DE LOS TÍTULOS PENSIONALES. <Artículo compilado en el artículo 2.2.4.4.6 del Decreto Único Reglamentario 1833 de 2016. Debe tenerse en cuenta lo dispuesto por el artículo 3.1.1 del mismo Decreto 1833 de 2016> En caso de que el trabajador haya elegido el Régimen de Prima Media con Prestación Definida, para efectos de computar para la pensión el tiempo de servicio como trabajadores vinculados con empleadores del sector privado que tienen a su cargo el reconocimiento y pago de las pensiones, es necesario que previamente se haya cancelado el valor del cálculo actuarial o título pensional de acuerdo con las normas que regulan dichos títulos.
De no darse la cancelación de dicho valor, de acuerdo con el artículo 33 de la Ley 100 de 1993, no se tomarán en cuenta las semanas correspondientes para el cálculo de la pensión. Solamente una vez cancelado el valor del título pensional y a partir de dicha fecha, será exigible el valor de la pensión tomando en cuenta las semanas laboradas o cotizadas en la empresa o entidad emisora del título.
La emisión de los títulos pensionales o el pago de la suma correspondiente al valor del cálculo actuarial, deberá efectuarse a más tardar antes del 31 de diciembre de 1998.
ARTÍCULO 18. REDENCIÓN DEL TÍTULO PENSIONAL. <Artículo compilado en el artículo 2.2.4.4.9 del Decreto Único Reglamentario 1833 de 2016. Debe tenerse en cuenta lo dispuesto por el artículo 3.1.1 del mismo Decreto 1833 de 2016> El artículo 8o del Decreto 1887 de 1994 quedará así:
El título pensional se redimirá cuando ocurra alguna de las siguientes circunstancias:
1. Cuando el trabajador cumpla la edad que se tomó como base para el salario de referencia.
2. Cuando se cause la pensión de invalidez o de sobrevivencia.
3. Cuando la entidad emisora decida entregar el efectivo a cambio del saldo del título a la fecha.
4. Cuando el trabajador cumpla los requisitos para obtener una pensión de jubilación o vejez.
ARTÍCULO 19. PENSIONES DE JUBILACIÓN POR APORTES. <Artículo compilado en el artículo 2.2.16.3.13 del Decreto Único Reglamentario 1833 de 2016. Debe tenerse en cuenta lo dispuesto por el artículo 3.1.1 del mismo Decreto 1833 de 2016> En las pensiones de jubilación por aportes reconocidas por efectos del régimen de transición, si las entidades del sector público del orden nacional o territorial fueren sustituidas por el Fondo de Pensiones Públicas respectivo, será el Fondo quien pague las pensiones o cuotas panes correspondientes.
Los bonos pensionales que haya lugar a expedir, por razón de la pensión de jubilación por aportes, serán reconocidos y pagados por la entidad competente para expedir dichos bonos pensionales en el nivel nacional o territorial.
ARTÍCULO 20. PARTICIPACIÓN DE LA DIRECCIÓN DEL TESORO NACIONAL EN LA EXPEDICIÓN DE BONOS. <Artículo compilado en el artículo 2.2.16.7.24 del Decreto Único Reglamentario 1833 de 2016. Debe tenerse en cuenta lo dispuesto por el artículo 3.1.1 del mismo Decreto 1833 de 2016> La Dirección del Tesoro Nacional, de conformidad con el acuerdo que debe celebrar para el efecto con la Oficina de Obligaciones Pensionales, adelantará las operaciones necesarias para la expedición de los bonos respecto de los cuales se hayan cumplido todos los trámites previstos, por el artículo 52 del Decreto 1748 de 1995, modificado por el artículo 14 del presente decreto. Igualmente adelantará todas las operaciones y trámites relativos a la administración de los bonos que hayan sido expedidos, en cuanto hace referencia a la expedición y sustitución de títulos, su entrega a un depósito central de valores y su pago efectivo.
PARÁGRAFO. La Oficina de Obligaciones Pensionales, adoptará procedimientos con el fin de garantizar la confiabilidad, seguridad e inmutabilidad de los archivos laborales masivos que le sean entregados, para lo cual deberá proveerse la entrega de copias de seguridad a entidades encargadas de su custodia.
ARTÍCULO 21. BONOS PENSIONALES PARA PERSONAS QUE DEBAN COTIZAR QUINIENTAS SEMANAS. <Artículo no compilado en el Decreto Único Reglamentario 1833 de 2016. Debe tenerse en cuenta lo dispuesto por el artículo 3.1.1 del mismo Decreto 1833 de 2016> <Ver Notas del Editor> <Artículo modificado por el artículo 28 del Decreto 1513 de 1998. El nuevo texto es el siguiente:> Las personas cobijadas por el literal b) del artículo 61 de la Ley 100 de 1993, deberán cotizar por lo menos durante quinientas (500) semanas en el nuevo régimen y no podrán negociar el bono pensional para solicitar pensión o devolución de saldos de conformidad con el artículo 66 de la Ley 100, mientras mantengan una vinculación laboral con algún empleador o puedan seguir cotizando en condición de independientes. De lo contrario, deberán manifestar bajo juramento su imposibilidad de cotizar.
ARTÍCULO 22. OTRAS DISPOSICIONES.<Artículo compilado en el artículo 2.2.16.3.11 del Decreto Único Reglamentario 1833 de 2016. Debe tenerse en cuenta lo dispuesto por el artículo 3.1.1 del mismo Decreto 1833 de 2016> Adiciónase el Decreto 1748 de 1995 con el siguiente artículo, el cual será el número 63 del Decreto 1748 de 1995:
Cuando se cause una indemnización sustitutiva, de conformidad con el artículo 37 de la Ley 100 de 1993, el bono pensional se redimirá hasta por un monto que sumado a las cotizaciones realizadas y no tomadas en cuenta para el cálculo del bono, permita pagar el valor de la indemnización sustitutiva establecida por dicho artículo. En este caso, si el valor a pagar por razón del bono pensional es inferior al valor del mismo, esta diferencia se le reducirá a la cuota parte a cargo de las entidades donde no se realizaron cotizaciones. Si el bono no es pagado oportunamente, el ISS podrá pagar la indemnización que corresponda al afiliado, tomando en cuenta únicamente las cotizaciones efectuada al ISS, procediendo la reliquidación de la indemnización una vez se pague la cuota parte del bono a que haya lugar:
El bono pensional para los trabajadores cobijados por el régimen de transición de que trata el artículo 36 de la Ley 100 de 1993, se calculará tomando en cuenta la edad, el tiempo de servicio y el monto porcentual de la pensión aplicable a dichos trabajadores. El ingreso base de liquidación se establecerá de acuerdo con el tercer inciso del artículo 36 de la Ley 100 de 1993. Al solicitar el pago del bono, la entidad administradora deberá certificar los requisitos con los cuales hará el reconocimiento de la pensión o en el evento de devolución de aportes deberá certificar dicha circunstancia.
Las pensiones establecidas de conformidad con la ley, por una norma de inferior categoría a una ley o un decreto dictado en desarrollo de la Ley Marco de salarios o una ordenanza o acuerdo en los casos en que las Asambleas o los Consejos tengan la facultad constitucional de fijar salarios, serán reconocidas por el ISS como pensiones compartidas de acuerdo con la ley y los reglamentos de ese instituto a este respecto y por lo tanto, el mayor valor de la pensión derivado de ordenanza, acuerdo, pacto, convención, laudo o cualquiera otra forma de acto o determinación administrativa, estará a cargo del empleador.
Al liquidar el valor de la pensión o indemnización, la administradora dará aplicación al artículo 21, inciso 3o del artículo 36, y artículo 37 de la Ley 100 de 1993 para lo cual utilizará la historia laboral y demás información que se tuvo en cuenta para la emisión del bono, sin exigir al afiliado nuevas certificaciones, salvo cuando se trate de reportar información que no reposa en la historia laboral.
ARTÍCULO 23. DEPÓSITOS DE TÍTULOS. <Artículo compilado en el artículo 2.2.16.7.12 del Decreto Único Reglamentario 1833 de 2016. Debe tenerse en cuenta lo dispuesto por el artículo 3.1.1 del mismo Decreto 1833 de 2016> Adiciónese el Decreto 1748 de 1995 con el siguiente artículo, el cual será el número 64 del Decreto 1748 de 1995:
Para efectos del depósito de Bonos Pensionales emitidos por la Nación, el título representativo de la emisión, consistirá en el acta de la emisión correspondiente la cual será complementada con la información que le remita la Oficina de Obligaciones Pensionales del Ministerio de Hacienda a la administradora del depósito, en los términos del Decreto 437 de 1992.
ARTÍCULO 24. VIGENCIA Y DEROGATORIAS. <Artículo no compilado en el Decreto Único Reglamentario 1833 de 2016. Debe tenerse en cuenta lo dispuesto por el artículo 3.1.1 del mismo Decreto 1833 de 2016> <Aparte tachado NULO> Este decreto rige a partir de la fecha de su publicación, modifica los siguientes artículos del Decreto 1748 de 1995: 3o, 9o, 12, 15, 16, 17, 24, 28, 35, 36, 37, 41, 44, 52 y 57 y deroga el numeral 2o del artículo 3o, el artículo 25, el inciso 3o del artículo 29, el literal c) del artículo 36, el inciso 7o del artículo 47, el artículo 51 y el parágrafo transitorio del artículo 52 del mismo Decreto 1748 de 1995. Así mismo, modifica el artículo 8o del Decreto 1887 de 1994, y deroga el artículo 6o del Decreto 2709 de 1994 y todas las demás normas que le sean contrarias.
Publíquese y cúmplase.
Dado en Santa Fe de Bogotá, D. C., a 30 de mayo de 1997.
ERNESTO SAMPER PIZANO.
El Ministro de Hacienda y Crédito Público,
José Antonio Ocampo Gaviria.
El Ministro de Trabajo y Seguridad Social,
Iván Moreno Rojas.