DECRETO 1611 DE 2022
(agosto 5)
Diario Oficial No. 52.117 de 5 de agosto de 2022
MINISTERIO DE COMERCIO, INDUSTRIA Y TURISMO
<Consultar la vigencia de esta norma directamente en los artículos que modifica y/o adiciona>
Por el cual se modifica el anexo técnico de las Normas de Información Financiera para el Grupo 1 del Decreto Único Reglamentario de las Normas de Contabilidad, de Información Financiera y de Aseguramiento de la Información, Decreto 2420 de 2015 y se dictan otras disposiciones.
EL PRESIDENTE DE LA REPÚBLICA DE COLOMBIA,
en uso de sus atribuciones constitucionales y legales, en especial, las conferidas en el numeral 11 del artículo 189 de la Constitución Política y la Ley 1314 de 2009, y
CONSIDERANDO:
Que el artículo 1o de la Ley 1314 de 2009 señala que el Estado bajo la dirección del Presidente de la República y por intermedio de las entidades a que hace referencia dicha ley, se encuentra facultado para intervenir en la economía y para expedir normas contables, de información financiera y de aseguramiento de la información.
Que con base en lo dispuesto en el artículo 6o de la Ley 1314 de 2009, “bajo la Dirección del Presidente de la República y con respeto de las facultades regulatorias en materia de contabilidad pública a cargo de la Contaduría General de la Nación, los Ministerios de Hacienda y Crédito Público y de Comercio, Industria y Turismo, obrando conjuntamente, expedirán principios, normas, interpretaciones y guías de contabilidad e información financiera y aseguramiento de la información, con fundamento en las propuestas que deberá presentarles el Consejo Técnico de la Contaduría Pública, como organismo de normalización técnica de normas contables, de información financiera y de aseguramiento de la información”.
Que el Gobierno nacional expidió el Decreto Único Reglamentario de las Normas de Contabilidad, de Información Financiera y de Aseguramiento de la Información, Decreto 2420 de 2015, en el cual se compilaron y racionalizaron las normas reglamentarias de la Ley 1314 de 2009.
Que el Consejo Técnico de la Contaduría Pública (CTCP), observando lo dispuesto en el artículo 8o de la Ley 1314 de 2009, remitió mediante oficios electrónicos número CTCP - 2-2022-001216 del 19 de enero de 2022 y CTCP con radicado número 2-2022-001215 del 19 de enero de 2022 dirigidos a los Ministros de Comercio, Industria y Turismo y de Hacienda y Crédito Público, respectivamente, el “Documento de Sustentación de la propuesta a los Ministerios de Hacienda y Crédito Público (MHCP), y de Comercio, Industria y Turismo (MinCIT) sobre Interpretaciones y Enmiendas Emitidas por el IASB durante el primer semestre del año 2021”.
Que el Consejo Técnico de la Contaduría Pública (CTCP), remitió mediante oficio electrónico número CTCP-2022-00001O del 29 de junio de 2022, dirigido al Director de Regulación del Ministerio de Comercio, Industria y Turismo, el documento “Precisiones Enmiendas NIIF - 1 semestre 2021” en la que reitera “la posibilidad voluntaria de aplicación anticipada”.
Que una vez diligenciado el cuestionario de abogacía de la competencia, no resulta procedente la solicitud de concepto previo por parte de la Superintendencia de Industria y Comercio, toda vez, que la iniciativa regulatoria no afecta la libre competencia en los mercados, de conformidad con lo establecido en el artículo 7o de la Ley 1340 de 2009, modificado por el artículo 146 de la Ley 1955 de 2019.
Que conforme al numeral 8 del artículo 8o de la Ley 1437 de 2011 y al artículo 2.1.2.1.14 del Decreto Único Reglamentario del Sector Presidencia de la República, Decreto 1081 de 2015, el proyecto de decreto correspondiente a este acto administrativo, fue publicado en el sitio web del Ministerio de Comercio, Industria y Turismo, con el fin de recibir comentarios y observaciones por parte de los interesados.
En mérito de lo expuesto,
DECRETA:
ARTÍCULO 1o. MODIFICACIÓN DEL ANEXO TÉCNICO DE INFORMACIÓN FINANCIERA PARA EL GRUPO 1. Modifíquense las Normas Internacionales de Contabilidad 1, 8 y 12, y la Norma Internacional de Información Financiera 16 del anexo técnico de las Normas de Información Financiera para el Grupo 1, dispuesto en el “ANEXO TÉCNICO COMPILATORIO y ACTUALIZADO 1 - 2019, DE LAS NORMAS DE INFORMACIÓN FINANCIERA, GRUPO 1” del Decreto 2270 de 2019, modificado por el anexo técnico “MODIFICACIÓN A LA NIIF 16 DEL ANEXO TÉCNICO COMPILATORIO y ACTUALIZADO 1 - 2019, DE LAS NORMAS DE INFORMACIÓN FINANCIERA, GRUPO 1” del Decreto 1432 de 2020 y el “ANEXO TÉCNICO 2021, DE LAS NORMAS DE INFORMACIÓN FINANCIERA, GRUPO 1” del Decreto 938 de 2021, compilados en el Decreto Único Reglamentario de las Normas de Contabilidad, de Información Financiera y de Aseguramiento de la Información, Decreto 2420 de 2015, con el anexo denominado “ANEXO TÉCNICO 2022, DE LAS NORMAS DE INFORMACIÓN FINANCIERA, GRUPO 1”, el cual hace parte integral del presente Decreto.
ARTÍCULO 2o. VIGENCIA. El presente decreto rige a partir de la fecha de su publicación en el Diario Oficial, observando lo siguiente:
1. El anexo técnico señalado en el artículo 1o precedente y que hace parte integral del presente Decreto, será aplicable para los estados financieros de propósito general de las entidades clasificadas en el Grupo 1, que se preparen a partir del 1 de enero del año 2024.
2. Aquellos preparadores de información financiera que opten por la aplicación voluntaria, integral y anticipada de las normas contenidas en el anexo del presente decreto, deberán revelar de forma completa la razón de este hecho.
3. Las fechas de vigencia incorporadas en las normas NIC 1, 8 y 12, y la NIIF 16, contenidas en el anexo técnico que hace parte integral de este Decreto, no se tendrán en cuenta como fechas de entrada en vigencia en Colombia y, por lo tanto, solo tendrán aplicación conforme a las reglas de vigencia dispuestas en el presente decreto.
Publíquese y cúmplase.
Dado en Bogotá, D. C., a 5 de agosto de 2022.
IVÁN DUQUE MÁRQUEZ.
El Ministro de Hacienda y Crédito Público,
José Manuel Restrepo Abondano.
La Ministra de Comercio, Industria y Turismo,
María Ximena Lombana Villalba.
ANEXO TÉCNICO 2022, DE LAS NORMAS DE INFORMACIÓN FINANCIERA, GRUPO 1.
CONTENIDO
NIC 1 PRESENTACION DE ESTADOS FINANCIEROS
Objetivo
Alcance
Definiciones
Estados financieros
Finalidad de los estados financieros
Conjunto completo de estados financieros
Características generales
Estructura y contenido
Introducción
Identificación de los estados financieros
Estado de situación financiera
Estado del resultado del periodo y otro resultado integral
Estado de cambios en el patrimonio
Estado de flujos de efectivo
Notas
Transición y fecha de vigencia
Derogación de la NIC 1 (revisada en 2003)
NIC 8 POLÍTICAS CONTABLES, CAMBIOS CONTABLES Y ERRORES
Objetivo
Alcance
Definiciones
Políticas contables
Selección y aplicación de políticas contables
Uniformidad de las políticas contables
Cambios en las políticas contables
Estimaciones contables
Cambios en las estimaciones contables
Aplicación de los cambios en estimaciones contables
Información a revelar
Errores
Limitaciones a la reexpresión retroactiva
Información a revelar sobre errores de períodos anteriores
Impracticabilidad de la aplicación y de la reexpresión retroactiva
Fecha de vigencia y transición
Derogación de otros pronunciamientos
NIC 12 IMPUESTO A LAS GANANCIAS
Objetivo
Alcance
Definiciones
Base fiscal
Reconocimiento de pasivos y activos por impuestos corrientes
Reconocimiento de pasivos y activos por impuestos diferidos
Diferencias temporarias imponibles
Diferencias temporarias deducibles
Pérdidas y créditos fiscales no utilizados
Reconsideración de activos por impuestos diferidos no reconocidos
Inversiones en subsidiarias, sucursales y asociadas, y participaciones acuerdos conjuntos
Medición
Reconocimiento de impuestos corrientes y diferidos
Partidas reconocidas en el resultado
Partidas reconocidas fuera del resultado
Impuestos diferidos que surgen de una combinación de negocios
Impuestos corrientes y diferidos surgidos de pagos basados en acciones
Presentación
Activos y pasivos por impuestos
Gastos por el impuesto a las ganancias
Información a revelar
Fecha de vigencia
Derogación de la SIC-21
NIC 26 CONTABILIZACIÓN E INFORMACIÓN FINANCIERA SOBRE PLANES DE BENEFICIO POR RETIRO
Alcance
Definiciones
Planes de aportaciones definidas
Planes de beneficios definidos
Valor actuarial presente de los beneficios por retiro prometidos
Frecuencia de las evaluaciones actuariales
Contenido de los estados financieros
Referente a todos los planes
Valoración de los activos del plan
Información a revelar
Fecha de vigencia
NIC 34 INFORMACIÓN FINANCIERA INTERMEDIA
Objetivo
Alcance
Definiciones
Contenido de la información financiera intermedia
Componentes mínimos de la información financiera intermedia
Forma y contenido de los estados financieros intermedios
Hechos significativos y transacciones
Otra información a revelar
Información a revelar sobre el cumplimiento de las NIIF
Periodos para los que se requiere la presentación de estados financieros intermedios
Materialidad o con Importancia relativa
Información a revelar en los estados financieros anuales
Reconocimiento y medición
Políticas contables iguales a las utilizadas en la información anual
Ingresos de actividades ordinarias recibidos de forma estacional, cíclica u ocasionalmente
Costos incurridos de manera no uniforme a lo largo del periodo
Aplicación de los criterios de reconocimiento y medición
Uso de estimaciones
Ajustes a las cifras presentadas en periodos intermedios anteriores
Fecha de vigencia
NIIF 1 ADOPCIÓN POR PRIMERA VEZ DE LAS NORMAS INTERNACIONALES DE INFORMACIÓN FINANCIERA
Objetivo
Alcance
Reconocimiento y medición
Estado de situación financiera de apertura conforme a las NIIF
Políticas contables
Excepciones a la aplicación retroactiva de otras NIIF
Exenciones procedentes de otras NIIF
Presentación e información a revelar
Información comparativa
Explicación de la transición a las NIIF :
Fecha de vigencia
Derogación de la NIIF 1 (emitida en 2003)
Apéndice A Definiciones de términos
Apéndice B Excepciones a la aplicación retroactiva de otras NIIF
Baja en cuentas de activos financieros v pasivos financieros
Contabilidad de coberturas
Participaciones no controladoras
Clasificación y medición de instrumentos financieros
Deterioro del valor de activos financieros
Derivados implícitos
Préstamos del Gobierno
Impuestos diferidos relacionados con arrendamientos y pasivos por retiro del servicio, restauración y similares
Apéndice C Exenciones para las combinaciones de negocios
Apéndice D Exenciones procedentes de otras NIIF
Transacciones con pagos basados en acciones
Contratos de seguro
Costo atribuido
Arrendamientos
Diferencias de conversión acumuladas
Inversiones en subsidiarias, negocios conjuntos y asociadas
Activos y pasivos de subsidiarias, asociadas y negocios conjuntos
Instrumentos financieros compuestos
Designación de instrumentos financieros reconocidos previamente
Medición al valor razonable de activos financieros o pasivos financieros en el reconocimiento inicial.
Pasivos por desmantelamiento incluidos en el costo de propiedades, planta y equipo
Activos financieros o activos Intangibles contabilizados de acuerdo con la CINIIF 12
Costos por préstamos
Cancelación de pasivos financieros con instrumentos de patrimonio
Hiperinflación grave
Acuerdos conjuntos
Costos de desmonte en la fase de producción de una mina a cielo abierto
Designación de contratos para comprar o vender una partida no financiera
Ingresos de actividades ordinarias
Transacciones en moneda extranjera y contra prestaciones anticipadas
Apéndice E Exenciones a corto plazo de las NIIF
Exención del requerimiento de reexpresar información comparativa para la NIIF 9
La Incertidumbre frente a los tratamientos del impuesto a las ganancias
NIIF 7 INSTRUMENTOS FINANCIEROS: INFORMACIÓN A REVELAR
Objetivo
Alcance
Clases de instrumentos financieros y nivel de información
Relevancia de los instrumentos financieros en la situación financiera y el rendimiento
Estado de situación financiera
Estado del resultado integral
Otra Información a revelar
Naturaleza y alcance de los riesgos que surgen de los instrumentos financieros
Información cualitativa
Información cuantitativa
Riesgo de crédito
Riesgo de liquidez
Riesgo de mercado
Transferencias de activos financieros
Aplicación inicial de la NIIF 9
Fecha de vigencia y transición
Derogación de la NIC 30
Apéndice A Definiciones de términos
Apéndice B Guía de aplicación
Clases de instrumentos financieros y nivel de detalle de la información a revelar (párrafo 6)
Otra información a revelar - políticas contables (párrafo 21)
Naturaleza y alcance de los riesgos que surgen de los instrumentos financieros (párrafos 31 a 42)
Información cuantitativa (párrafo 34)
Prácticas de gestión del riesgo crediticio (párrafos 35F y Cambios en la corrección de valor por pérdidas (véase el párrafo 35H)
Garantía colateral (párrafo 35K)
Exposición al riesgo crediticio (párrafos 35M y 35N)
Máximo nivel de exposición al riesgo de crédito [apartado (a) del párrafo 361
Información a revelar de tipo cuantitativo sobre el riesgo de liquidez [párrafos 34(a) y 39(a) y (b)
Riesgo de mercado - análisis de sensibilidad (párrafos 40 y 41)
Riesgo de tasa de interés
Riesgo de tasa de cambio
Otros riesgos de precio
Baja en cuentas (párrafos 42C a 42H)
Implicación continuada (párrafo 42C)
Activos financieros transferidos que no se dan de baja en cuentas en su totalidad (párrafo 42D)
Tipos de implicación continuada (párrafos 42E a 42H)
Desglose de vencimientos para flujos de salida de efectivo no descontados para recomprar activos transferidos [párrafo 42E(e)
Información cualitativa [párrafo 42E (f)
Ganancias o pérdidas en la baja de cuentas [párrafo 42G(a)
Información adicional (párrafo 42H)
Compensación de activos financieros y pasivos financieros (párrafos 13A a 13F)
Información a revelar sobre información cuantitativa para activos financieros reconocidos y pasivos financieros reconocidos dentro del alcance del párrafo 13A (párrafo 130
Información a revelar sobre los importes brutos de los activos financieros reconocidos y pasivos financieros reconocidos dentro del alcance del párrafo 13A párrafo 13C (a)
Información a revelar sobre los importes que se compensan de acuerdo con los criterios del párrafo 42 de la NIC 32 [párrafo 13C fb)
Información a revelar sobre los importes netos presentados en el estado de situación financiera párrafo 13C (c)
Información a revelar sobre los importes sujetos a un acuerdo maestro de compensación exigible o acuerdo similar que no está incluido de otra forma en el párrafo 13C (b) (párrafo 13C (d))
Límites a los importes revelados en el párrafo 13C (d) (párrafo 13D)
Descripción de los derechos de compensación sujetos a acuerdos maestros de compensación exigibles y acuerdos similares (párrafo 13E)
Información a revelar por tipo de instrumentos financiero o por contraparte
Otros
NIIF 16 ARRENDAMIENTOS
Objetivo
Alcance
Exenciones al reconocimiento (párrafos B3 a B8)
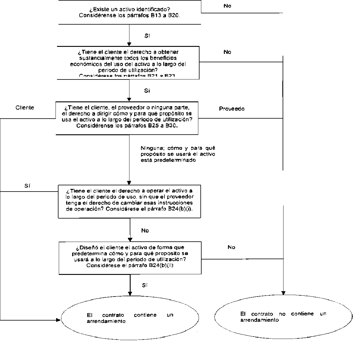
Identificación de un arrendamiento (párrafos B9 a B33)
Separación de componentes de un contrato
Plazo del arrendamiento (párrafos B34 a B41)
Arrendatario
Reconocimiento
Medición
Presentación
Información a revelar ,
Arrendador
Clasificación de los arrendamientos (B53 a B58)
Arrendamientos financieros
Arrendamientos operativos
Información a revelar
Transacciones de venta con arrendamiento posterior
Evaluación de si la transferencia del activo es una venta
Excepción temporal que surge de la reforma de la tasa de interés de referencia
Apéndice A Definiciones de términos
Apéndice B Guía de aplicación
Aplicación de la cartera
Combinación de contratos
Exención de reconocimiento: arrendamientos para los que el activo subyacente es de bajo valor (párrafos 5 8)
Identificación de un arrendamiento (párrafos 9 a 11)
Componentes separados de un contrato (párrafos 12 a 17)
Plazo del arrendamiento (párrafos 18 a 21)
Pagos por arrendamiento que son fijos en esencia [párrafos 27(a), 36(c) y 70(a)
Implicación del arrendatario con el activo subyacente antes de la fecha de comienzo
Información a revelar por el arrendatario (párrafo 59)
Clasificación del arrendamiento por el arrendador (párrafos 61 a 66)
Apéndice C Fecha de vigencia y transición
Fecha de vigencia
Transición
Definición de un arrendamiento
Arrendatarios
Arrendadores
Transacciones de venta con arrendamiento posterior antes de la fecha de aplicación inicial
Importes anteriormente reconocidos con respecto a combinaciones de negocios.
Referencias a la NIIF 9
Reducciones del alquiler relacionadas con el Covíd-19 para los arrendatarios
Reforma de la Tasa de Interés de Referencia Fase 2
Derogación de otras Normas
PRESENTACIÓN DE ESTADOS FINANCIEROS.
Objetivo
1 Esta Norma establece las bases para la presentación de los estados financieros de propósito general para asegurar que los mismos sean comparables, tanto con los estados financieros de la misma entidad correspondientes a periodos anteriores, como con los de otras entidades. Esta Norma establece requerimientos generales para la presentación de los estados financieros, guías para determinar su estructura y requisitos mínimos sobre su contenido.
Alcance
2 Una entidad aplicará esta Norma al preparar y presentar estados financieros de propósito de información general conforme a las Normas Internacionales de Información Financiera (NIIF).
3 En otras NIIF se establecen los requerimientos de reconocimiento, medición e información a revelar para transacciones y otros sucesos.
4 Esta Norma no será de aplicación a la estructura y contenido de los estados financieros intermedios condensados que se elaboren de acuerdo con la NIC 34 Información Financiera Intermedia. Sin embargo, los párrafos 15 a 35 se aplicarán a estos estados financieros. Esta Norma se aplicará de la misma forma a todas las entidades, incluyendo las que presentan estados financieros consolidados de acuerdo con la NIIF 10 Estados Financieros Consolidados y las que presentan estados financieros separados, de acuerdo con la NIC 27 Estados Financieros Separados.
5 Esta Norma utiliza terminología propia de las entidades con ánimo de lucro, incluyendo las pertenecientes al sector público. Si las entidades con actividades sin fines de lucro del sector privado o del sector público aplican esta Norma, podrían verse obligadas a modificar las descripciones utilizadas para partidas específicas de los estados financieros, e incluso para éstos.
6 Similarmente, las entidades que carecen de patrimonio, tal como se define en la NIC 32 instrumentos Financieros: Presentación (por ejemplo, algunos fondos de inversión colectiva), y las entidades cuyo capital en acciones no es patrimonio (por ejemplo, algunas entidades cooperativas) podrían tener la necesidad de adaptar la presentación en los estados financieros de las participaciones de sus miembros o participantes.
Definiciones
7 Los términos siguientes se usan, en esta Norma, con los significados que a continuación se especifican:
Los estados financieros con propósito general (denominados "estados financieros") son aquellos que pretende cubrir las necesidades de usuarios que no están en condiciones de exigir informes a la medida de sus necesidades específicas de información:
Impracticable La aplicación de un requisito será impracticable cuando la entidad no pueda aplicarlo tras efectuar todos los esfuerzos razonables para hacerlo.
Las normas internacionales de Información Financiera (NIIF) son las Normas e Interpretaciones emitidas por el Consejo de Normas Internacionales de Contabilidad (IASB). Esas Normas comprenden:
(a) las Normas Internacionales de Información Financiera;
(b) las Normas Internacionales de Contabilidad
(c) las Interpretaciones CINIIF; y
(d) Interpretaciones SIC (*).
(*) Definición de las NIIF modificada después de los cambios de nombre introducidos mediante la Constitución revisada de la Fundación IFRS en 2010
Material o con importancia relativa:
La información es material o tiene importancia relativa si su omisión, expresión inadecuada o ensordecimiento podría esperarse razonablemente que influya sobre las decisiones que los usuarios principales de los estados financieros con propósito general toman a partir de los estados financieros, que proporcionan información financiera sobre una entidad que informa específica.
La materialidad o importancia relativa depende de la naturaleza o magnitud de la información, o de ambas. Una entidad evalúa si la información, individualmente o en combinación con otra información, es material o con importancia relativa en el contexto de sus estados financieros tomados como un todo.
La información se ensombrece si se comunica de forma que hubiera tenido un efecto similar, para los usuarios principales de los estados financieros, que la omisión o expresión inadecuada de esa información. Ejemplos de circunstancias que pueden dar lugar a que información material o con importancia relativa esté siendo ensombrecida son los siguientes:
(a) la información con respecto a una partida material o con importancia relativa u otro suceso se revela en los estados financieros, pero el lenguaje usado es vago o poco claro;
(b) la información con respecto a una partida material o con importancia relativa, transacción u otro suceso está dispersa por los estados financieros;
(c) partidas diferentes, transacciones u otros sucesos se agregan inapropiadamente;
(d) partidas similares, transacciones u otros sucesos se desagregan inapropiadamente; y
(e) la comprensibilidad de los estados financieros se reduce como resultado de ocultar información material o con importancia relativa dentro de información no significativa, en la medida en que los usuarios principales no puedan determinar qué información es material o tiene importancia relativa.
La evaluación de si la información podría razonablemente esperarse que influya en las decisiones tomadas por los usuarios principales de los estados financieros con propósito general de una entidad que informa requiere que una entidad considere las características de los usuarios a la vez que considera también las circunstancias propias de la entidad.
Numerosos inversores, prestamistas y otros acreedores, existentes y potenciales, no tienen la posibilidad de requerir que las entidades que informan les proporcionen información directamente, y deben confiar en los estados financieros con propósito general para obtener la mayor parte de la información financiera que necesitan. Por consiguiente, ellos son los usuarios principales a quienes se dirigen los estados financieros con propósito general. Los estados financieros se preparan para usuarios que tienen un conocimiento razonable de las actividades económicas y del mundo de los negocios, que revisan y analizan la Información con diligencia. A veces, Incluso usuarios diligentes y bien informados pueden necesitar recabar la ayuda de un asesor para comprender Información sobre fenómenos económicos complejos.
Las notas contienen información añadida a la que se presenta en el estado de situación financiera, estado (estados) del resultado del periodo y otro resultado integral, estado de cambios en el patrimonio y estado de flujos de efectivo. Las notas suministran descripciones narrativas o desagregaciones de partidas presentadas en esos estados e información sobre partidas que no cumplen las condiciones para ser reconocidas en ellos.
Otro resultado integral comprende partidas de ingresos y gastos (incluyendo ajustes por reclasificación) que no se reconocen en el resultado del periodo tal como lo requieren o permiten otras NIIF.
Los componentes de otro resultado integral incluyen:
(a) cambios en el superávit de revaluación (véase la NIC 16 Propiedades, Planta y Equipo y la NIC 38 Activos Intangibles);
(b) nuevas mediciones de los planes de beneficios definidos (véase la NIC 19 Beneficios a los Empleados);
(c) ganancias y pérdidas producidas por la conversión de los estados financieros de un negocio en el extranjero (véase la NIC 21 Efectos de la Variación en las Tasas de Cambio de la Moneda Extranjera);
(d) las ganancias y pérdidas procedentes de inversiones en instrumentos de patrimonio designados a valor razonable con cambios en otro resultado integral de acuerdo con el párrafo 5.7.5 de la NIIF 9 Instrumentos Financieros;
(da) las ganancias y pérdidas sobre activos financieros medidos al valor razonable con cambios en otro resultado Integral de acuerdo con el párrafo 4.1.2A de la NIIF 9.
(e) la parte efectiva de las ganancias y pérdidas de los instrumentos de cobertura en una cobertura de flujos de efectivo y las ganancias y pérdidas de los Instrumentos de cobertura que cubren inversiones en instrumentos de patrimonio medidos a valor razonable con cambios en otro resultado integral de acuerdo con el párrafo 5.7.5 de NIIF 9 (véase el Capítulo 6 de la NIIF 9);
(f) para pasivos particulares designados como a valor razonable con cambios en resultados, el importe del cambio en el valor razonable que sea atribuible a cambios en el riesgo de crédito del pasivo (véase el párrafo 5.7.7 de la NIIF 9);
(g) los cambios en el valor temporal de las opciones al separar el valor intrínseco y el valor temporal de un contrato de opción y la designación como el instrumento de cobertura solo de los cambios en el valor intrínseco (véase el Capítulo 6 de la NIIF 9); y
(h) los cambios en el valor de los elementos a término de contratos a término al separar el elemento a término y el elemento al contado de un contrato a término y la designación como el instrumento de cobertura solo de los cambios en el elemento al contado, y los cambios en el valor del diferencial de la tasa de cambio de la moneda extranjera de un instrumento financiero al excluirlo de la designación de ese instrumento financiero como el instrumento de cobertura (véase el Capítulo 6 de la NIIF 9).
Los propietarios son poseedores de instrumentos clasificados como patrimonio.
El resultado del periodo es el total de ingresos menos gastos, excluyendo los componentes de otro resultado integral.
Los ajustes por reclasificación son importes reclasificados en el resultado en el periodo corriente que fueron reconocidos en otro resultado integral en el periodo corriente o en periodos anteriores.
El resultado integral total es el cambio en el patrimonio durante un periodo, que procede de transacciones y otros sucesos, distintos de aquellos cambios derivados de transacciones con los propietarios en su condición de tales.
El resultado integral total comprende todos los componentes del “resultado” y de “otro resultado integral".
Políticas contables se definen en el párrafo 5 de la NIC 8 Políticas Contables, Cambios en las Estimaciones Contables y Errores y se usa en esta Norma con el mismo significado.
8 Aunque esta Norma utiliza los términos “otro resultado integral”, “resultado” y "resultado integral total”, una entidad puede utilizar otros términos para denominar los totales, siempre que el significado sea claro. Por ejemplo, una entidad puede utilizar el término "resultado neto" para denominar al resultado.
8A Los siguientes términos se describen en la NIC 32 Instrumentos Financieros: Presentación y se utilizan en esta Norma con el significado especificado en dicha NIC 32:
(a) instrumento financiero con opción de venta clasificado como un instrumento de patrimonio (descrito en los párrafos 16Ay 16B de la NIC 32)
(b) un instrumento que impone a la entidad una obligación de entregar a terceros una participación proporcional de los activos netos de la entidad solo en el momento de la liquidación y se clasifica como un instrumento de patrimonio (descrito en los párrafos 16C y 16D de la NIC 32).
Estados financieros
Finalidad de los estados financieros
9 Los estados financieros constituyen una representación estructurada de la situación financiera y del rendimiento financiero de una entidad. El objetivo de los estados financieros es suministrar información acerca de la situación financiera, del rendimiento financiero y de los flujos de efectivo de una entidad, que sea útil a una amplia variedad de usuarios para tomar decisiones económicas. Los estados financieros también muestran los resultados de la gestión realizada por los administradores con los recursos que les han sido confiados. Para cumplir este objetivo, los estados financieros suministrarán información acerca de los siguientes elementos de una entidad:
(a) activos:
(b) pasivos:
(c) patrimonio;
(d) ingresos y gastos, en los que se incluyen las ganancias y pérdidas;
(e) aportaciones de los propietarios y distribuciones a los mismos en su condición de tales; y
(f) flujos de efectivo.
Esta información, junto con la contenida en las notas, ayuda a los usuarios a predecir los flujos de efectivo futuros de la entidad y, en particular, su distribución temporal y su grado de certidumbre.
Conjunto completo de estados financieros
10 Un juego completo de estados financieros comprende:
(a) un estado de situación financiera al final del período;
(b) un estado del resultado y otro resultado integral del periodo;
(c) un estado de cambios en el patrimonio del periodo
(d) un estado de flujos de efectivo del periodo;
(e) notas, que incluyan información sobre políticas contables materiales o con importancia relativa y otra información explicativa;
(ea) información comparativa con respecto al periodo inmediato anterior como se especifica en los párrafos 38 y 38A; y
(f) un estado de situación financiera al principio del primer periodo inmediato anterior comparativo, cuando una entidad aplique una política contable de forma retroactiva o realice una reexpresión retroactiva de partidas en sus estados financieros, o cuando reclasifique partidas en sus estados financieros de acuerdo con los párrafos 40A a 40D.
Una entidad puede utilizar, para denominar a los estados, títulos distintos a los utilizados en esta Norma. Por ejemplo, una entidad puede utilizar el título "estado del resultado integral" en lugar de “estado del resultado y otro resultado integral".
10A Una entidad puede presentar un estado del resultado del periodo y otro resultado integral único, con el resultado del periodo y el otro resultado integral presentados en dos secciones. Las secciones se presentarán juntas, con la sección del resultado del periodo presentado en primer lugar seguido directamente por la sección de otro resultado integral. Una entidad puede presentar la sección del resultado del periodo en un estado de resultado del periodo separado. Si lo hace así, el estado del resultado del periodo separado precederá inmediatamente al estado que presente el resultado integral, que comenzará con el resultado del periodo.
11 Una entidad presentará con el mismo nivel de importancia todos los estados financieros que forman un juego completo de estados financieros.
12 [Eliminado]
13 Muchas entidades presentan, fuera de sus estados financieros, un análisis financiero elaborado por la gerencia, que describe y explica las características principales del rendimiento financiero y la situación financiera de la entidad, así como las principales incertidumbres a las que se enfrenta. Tal informe puede incluir un examen de:
(a) los principales factores e influencias que han determinado el rendimiento financiero, incluyendo los cambios en el entorno en que opera la entidad, su respuesta a esos cambios y su efecto, así como la política de inversiones que sigue para mantener y mejorar dicho rendimiento financiero, incluyendo su política de dividendos;
(b) las fuentes de financiación de la entidad, así como su objetivo respecto al coeficiente de deudas sobre patrimonio; y
(c) los recursos de la entidad no reconocidos en el estado de situación financiera según las NIIF.
14 Muchas entidades también presentan, fuera de sus estados financieros, informes y estados tales como informes medioambientales y estados del valor añadido, particularmente en sectores industriales en los que los factores del medio ambiente son significativos y cuando los trabajadores se consideran un grupo de usuarios importante. Los informes y estados presentados fuera de los estados financieros quedan fuera del alcance de las NIIF.
Características generales
Presentación razonable y cumplimiento de las NIIF
15 Los estados financieros deberán presentar razonablemente la situación financiera, rendimiento financiero, y los flujos de efectivo de una entidad. Esta presentación razonable requiere la presentación fidedigna de los efectos de las transacciones, así como de otros sucesos y condiciones, de acuerdo con las definiciones y los criterios de reconocimiento de activos, pasivos, ingresos y gastos establecidos en el Marco Conceptual para la Información Financiera (Marco Conceptual). Se presume que la aplicación de las NIIF, acompañada de información adicional cuando sea preciso, dará lugar a estados financieros que proporcionen una presentación razonable.
16 Una entidad cuyos estados financieros cumplan las NIIF efectuará, en las notas, una declaración, explícita y sin reservas, de dicho cumplimiento. Una entidad no señalará que sus estados financieros cumplen con las NIIF a menos que satisfagan todos los requerimientos de estas.
17 En casi la totalidad de las circunstancias, una entidad logrará una presentación razonable cumpliendo con las NIIF aplicables. Una presentación razonable también requiere que una entidad:
(a) Seleccione y aplique las políticas contables de acuerdo con la NIC 8 Políticas Contables, Cambios en las Estimaciones Contables y Errores, La NIC 8 establece una jerarquía normativa, a considerar por la gerencia en ausencia de una NIIF que sea aplicable específicamente a una partida.
(b) Presente información, que incluya a las políticas contables, de una forma que sea relevante, fiable, comparable y comprensible.
(c) Suministre información adicional, siempre que el cumplimiento con los requerimientos especificados por las NIIF resulte insuficiente para permitir a los usuarios comprender el impacto de determinadas transacciones, de otros sucesos o condiciones, sobre la situación financiera y el rendimiento financiero de la entidad.
18 Una entidad no puede rectificar políticas contables inapropiadas mediante la revelación de las políticas contables utilizadas, ni mediante la utilización de notas u otro material explicativo.
19 En la circunstancia extremadamente excepcional de que la gerencia concluyera que el cumplimiento de un requerimiento de una NIIF sería tan engañoso como para entraren conflicto con el objetivo de los estados financieros establecido en el Marco Conceptual, la entidad no lo aplicará, según se establece en el párrafo 20, siempre que el marco regulatorio aplicable requiera, o no prohíba, esta falta de aplicación.
20 Cuando una entidad no aplique un requerimiento establecido en una NIIF de acuerdo con el párrafo 19, revelará:
(a) que la gerencia ha llegado a la conclusión de que los estados financieros presentan razonablemente la situación financiera, rendimiento financiero y los flujos de efectivo;
(b) que ha cumplido con las NIIF aplicables, excepto que ha dejado de aplicar un requerimiento concreto para lograr una presentación razonable;
(c) el título de la NIIF que la entidad ha dejado de aplicar, la naturaleza del desacuerdo, incluyendo el tratamiento que la NIIF requeriría, la razón por la que ese tratamiento seria en las circunstancias tan engañoso como para entrar en conflicto con el objetivo de los estados financieros establecido en el Marco Conceptual, junto con el tratamiento alternativo adoptado; y
(d) para cada periodo sobre el que se presente información, el Impacto financiero de la no aplicación sobre cada partida de los estados financieros que hubiera sido presentada al cumplir con el requerimiento mencionado.
21 Cuando una entidad haya dejado de aplicar, en algún periodo anterior, un requerimiento de una NIIF, y ello afecte a los importes reconocidos en los estados financieros del periodo actual, deberá revelar la información establecida en el párrafo 20(c) y (d).
22 El párrafo 21 se aplicará, por ejemplo, cuando una entidad haya dejado de cumplir, en un periodo anterior, un requerimiento de una NIIF para la medición de activos o pasivos, y ello afectase a la medición de los cambios en activos y pasivos reconocidos en los estados financieros del periodo actual.
23 En la circunstancia extremadamente excepcional de que la gerencia concluyera que el cumplimiento de un requerimiento de una NIIF sería tan engañoso como para entraren conflicto con el objetivo de los estados financieros establecido en el Marco Conceptual, pero el marco regulatorio prohibiera apartarse del requerimiento, la entidad reducirá, en la medida de lo posible, los aspectos de cumplimiento que perciba como causantes del engaño, mediante la revelación de:
(a) el título de la NIIF en cuestión, la naturaleza del requerimiento, y la razón por la cual la gerencia ha llegado a la conclusión de que su cumplimiento sería tan engañoso como para entrar en conflicto con el objetivo de los estados financieros establecido en el Marco Conceptual; y
(b) para cada período presentado, los ajustes a cada partida de los estados financieros que la gerencia haya concluido que serían necesarios para lograr una presentación razonable.
24 Para los fines de los párrafos 19 a 23, una partida entraría en conflicto con el objetivo de los estados financieros cuando no representase de una forma fidedigna las transacciones, así como los otros sucesos y condiciones que debiera representar, o pudiera razonablemente esperarse que representara y, en consecuencia, fuera probable que influyera en las decisiones económicas tomadas por los usuarios de los estados financieros. Al evaluar si el cumplimiento de un requerimiento específico, establecido en una NIIF, sería tan engañoso como para entrar en conflicto con el objetivo de los estados financieros establecido en el Marco Conceptual, la gerencia considerará:
(a) por qué no se alcanza el objetivo de los estados financieros, en las circunstancias particulares que se están sopesando; y
(b) la forma en que las circunstancias de la entidad difieren de las que se dan en otras entidades que cumplen con ese requerimiento. Si otras entidades cumplieran con ese requerimiento en circunstancias similares, existirá la presunción refutable de que el cumplimiento del requerimiento, por parte de la entidad, no sería tan engañoso como para entrar en conflicto con el objetivo de los estados financieros establecido en el Marco Conceptual.
Hipótesis de negocio en marcha
25 Al elaborar los estados financieros, la gerencia evaluará la capacidad que tiene una entidad para continuaren funcionamiento, una entidad elaborará los estados financieros bajo la hipótesis de negocio en marcha, a menos que la gerencia pretenda liquidar la entidad o cesaren su actividad, o bien no exista otra alternativa más realista que proceder de una de estas formas. Cuando la gerencia, al realizar esta evaluación, sea consciente de la existencia de incertidumbres importantes, relativas a eventos o condiciones que puedan aportar dudas significativas sobre la posibilidad de que la entidad siga funcionando normalmente, procederá a revelarías en los estados financieros. Cuando una entidad no prepare los estados financieros bajo la hipótesis de negocio en marcha, revelará ese hecho, junto con las hipótesis sobre las que han sido elaborados y las razones por las que la entidad no se considera como un negocio en marcha.
26 Al evaluar si la hipótesis de negocio en marcha resulta apropiada, la gerencia tendrá en cuenta toda la información disponible sobre el futuro, que deberá cubrir al menos los doce meses siguientes a partir del final del periodo sobre el que se informa, sin limitarse a dicho periodo. El grado de detalle de las consideraciones dependerá de los hechos que se presenten en cada caso. Cuando una entidad tenga un historial de operaciones rentable, así como un pronto acceso a recursos financieros, la entidad podrá concluir que la utilización de la hipótesis de negocio en marcha es apropiada, sin realizar un análisis detallado. En otros casos, puede ser necesario que la gerencia, antes de convencerse a sí misma de que la hipótesis de negocio en marcha es apropiada, deba ponderar una amplia gama de factores relacionados con la rentabilidad actual y esperada, el calendario de pagos de la deuda y las fuentes potenciales de sustitución de la financiación existente.
Base contable de acumulación (devengo)
27 Una entidad elaborará sus estados financieros, excepto en lo relacionado con la información sobre flujos de efectivo, utilizando la base contable de acumulación (o devengo).
28 Cuando se utiliza la base contable de acumulación (devengo), una entidad reconocerá partidas como activos, pasivos, patrimonio, ingresos y gastos (los elementos de los estados financieros), cuando éstas satisfagan las definiciones y los criterios de reconocimiento previstos para tales elementos en el Marco Conceptual.
Materialidad o importancia relativa y agregación de datos
29 Una entidad presentará por separado cada clase significativa de partidas similares. Una entidad presentará por separado las partidas de naturaleza o fundón distinta, a menos que no tengan importancia relativa,
30 Los estados financieros son el producto del procesamiento de un gran número de transacciones y otros sucesos, que se agrupan por clases de acuerdo con su naturaleza o función. La etapa final del proceso de agregación y clasificación es la presentación de datos condensados y clasificados, que constituyen las partidas de los estados financieros. Si una partida concreta careciese de importancia relativa por sí sola, se agregará con otras partidas, ya sea en los estados financieros o en las notas. Una partida que no tenga la suficiente importancia relativa como para justificar su presentación separada en esos estados financieros puede justificar su presentación separada en las notas.
30A Al aplicar esta y otras NIIF una entidad decidirá, teniendo en consideración todos los hechos y circunstancias relevantes, la forma en que agrega la información en los estados financieros, los cuales incluyen a las notas. Una entidad no reducirá la comprensibilidad de sus estados financieros ocultando información significativa en información sin importancia relativa o agrupando partidas importantes que tienen diferentes naturalezas o funciones.
31 Algunas NIIF especifican la información que se requiere incluir en los estados financieros, los cuales Incluyen a las notas. No es necesario que una entidad revele información específica requerida por una NIIF si la información procedente de esa revelación carece de importancia relativa. Este es el caso incluso si la NIIF contiene una lista de requerimientos específicos o los describe como requerimientos mínimos. Una entidad decidirá también revelar o no información adicional, cuando el cumplimiento con los requerimientos específicos de las NIIF resulte insuficiente para permitir a los usuarios de los estados financieros comprender el impacto de transacciones concretas, así como de otros sucesos y condiciones, sobre la situación y el rendimiento financieros de la entidad.
Compensación
32 Una entidad no compensará activos con pasivos o ingresos con gastos a menos que así lo requiera o permita una NIIF.
33 Una entidad informará por separado sobre sus activos y pasivos e ingresos y gastos. La compensación en el estado (o estados) del resultado del periodo y otro resultado integral o de situación financiera, excepto cuando la compensación refleja la sustancia de la transacción u otro suceso, limita la capacidad de los usuarios para comprender las transacciones y otros sucesos y condiciones que se hayan producido, así como para evaluar los flujos futuros de efectivo de la entidad. La medición por el neto en el caso de los activos sujetos a correcciones valorativas –por ejemplo, correcciones por deterioro del valor de inventarios por obsolescencia y de las cuentas por cobrar de dudoso cobro– no es una compensación.
34 La NIIF 15 Ingresos de Actividades Ordinarias Procedentes de Contratos con Clientes requiere que una entidad mida los ingresos de actividades ordinarias procedentes de contratos con clientes por la contraprestación a la que espera tener derecho a cambio de transferir los bienes o servicios comprometidos. Por ejemplo, el importe de ingresos de actividades ordinarias reconocidos refleja cualesquiera descuentos comerciales y rebajas por volumen de ventas que permita la entidad. Una entidad lleva a cabo, en el curso de sus actividades ordinarias, otras transacciones que no generan ingresos de actividades ordinarias, sino que son accesorias con respecto a las actividades principales que generan estos ingresos. Una entidad presentará los resultados de estas transacciones, siempre que dicha presentación refleje el fondo de la transacción u otro suceso, compensando los ingresos con los gastos relacionados que genere la misma operación. Por ejemplo:
(a) una entidad presentará las ganancias y pérdidas por la disposición de activos no corrientes, incluyendo inversiones y activos de operación, deduciendo del importe recibido importe de la contraprestación por dicha disposición el importe en libros del activo y los gastos de venta correspondientes; y
(b) una entidad podrá compensar los desembolsos relativos a las provisiones reconocidas de acuerdo con la NIC 37 Provisiones, Pasivos Contingentes y Activos Contingentes, que hayan sido reembolsados a la entidad como consecuencia de un acuerdo contractual con otra parte (por ejemplo, un acuerdo de garantía de productos cubierto por un proveedor) con los reembolsos relacionados.
35 Además, una entidad presentará en términos netos las ganancias y pérdidas que procedan de un grupo de transacciones similares, por ejemplo, las ganancias y pérdidas por diferencias de cambio, o las derivadas de instrumentos financieros mantenidos para negociar. Sin embargo, una entidad presentará estas ganancias y pérdidas por separado si tienen importancia relativa.
Frecuencia de la información
36 Una entidad presentará un juego completo de estados financieros (incluyendo información comparativa) al menos anualmente. Cuando una entidad cambie el cierre del periodo sobre el que informa y presente los estados financieros para un periodo contable superior o inferior a un año, revelará, además del periodo cubierto por los estados financieros:
(a) la razón para utilizar un periodo de duración inferior o superior; y
(b) el hecho de que los importes presentados en los estados financieros no son totalmente comparables.
37 Normalmente, una entidad prepara, de forma coherente en el tiempo, estados financieros que comprenden un periodo anual. No obstante, determinadas entidades prefieren informar, por razones prácticas, sobre periodos de 52 semanas. Esta Norma no prohíbe esta práctica.
Información comparativa
Información comparativa mínima
38 A menos que las NIIF permitan o requieran otra cosa, una entidad revelará información comparativa respecto del periodo anterior para todos los importes incluidos en los estados financieros del periodo corriente. Una entidad incluirá información comparativa para la información descriptiva y narrativa, cuando esto sea relevante para la comprensión de los estados financieros del periodo corriente.
38A Una entidad presentará, como mínimo, dos estados de situación financiera, dos estados del resultado y otro resultado integral del periodo, dos estados del resultado del periodo separados (si los presenta), dos estados de flujos de efectivo y dos estados de cambios en el patrimonio, y notas relacionadas.
38B En algunos casos, la Información narrativa proporcionada en los estados financieros de período(s) Inmediatamente anterior(es) continúa siendo relevante en el periodo actual. Por ejemplo, una entidad revelará en el periodo actual detalles de una disputa legal cuyo resultado era Incierto al final del periodo Inmediato anterior y que todavía está pendiente de resolución. Los usuarios se beneficiarán de la Información revelada sobre la incertidumbre existente al final del periodo Inmediato anterior, así como de la relativa a los pasos dados durante el periodo para resolver dicha incertidumbre.
Información comparativa adicional
38C Una entidad puede presentar Información comparativa, además de los estados financieros comparativos mínimos requeridos por las NIIF, en la medida en que esa Información se prepare de acuerdo con las NIIF. Esta Información comparativa puede consistir en uno o más estados a los que hace referencia el párrafo 10, pero no necesita comprender un juego completo de estados financieros. Cuando este sea el caso, la entidad presentará Información relacionada en una nota a dichos estados adicionales.
38D Por ejemplo, una entidad puede presentar un tercer estado del resultado del periodo y otro resultado Integral (presentando, de ese modo, el periodo actual, el periodo Inmediato anterior y un periodo comparativo adicional). Sin embargo, no se requiere que la entidad presente un tercer estado de situación financiera, un tercer estado de flujos de efectivo o un tercer estado de cambios en el patrimonio (es decir, un estado financiero adicional comparativo). Se requiere que la entidad presente, en las notas a los estados financieros, Información comparativa relacionada con el estado del resultado y otro resultado Integral adicional.
39 a 40 [Eliminado]
Cambios en políticas contables, reexpresíón retroactiva o reclasificación
40A Una entidad presentará un tercer estado de situación financiera al comienzo del periodo inmediato anterior, además de los estados financieros comparativos mínimos requeridos por el párrafo 38Asi:
(a) aplica una política contable de forma retroactiva, realiza una reexpresión retroactiva de partidas en sus estados financieros o reclasifica partidas en éstos; y
(b) la aplicación retroactiva, reexpresión retroactiva o reclasificación tiene un efecto material (de importancia relativa) sobre la información en el estado de situación financiera al comienzo del periodo inmediato anterior.
40B En las circunstancias descritas en el párrafo 40A, una entidad presentará tres estados de situación financiera, como sigue:
(a) al cierre del periodo actual;
(b) al cierre del periodo Inmediato anterior; y
(c) al comienzo del periodo Inmediato anterior,
40C Cuando se requiera que una entidad presente un estado de situación financiera adicional de acuerdo con el párrafo 40A, deberá revelar la información requerida por los párrafos 41 a 44 y la NIC 8, Sin embargo, no necesitará presentar las notas relativas al estado de situación financiera de apertura al comienzo del periodo inmediato anterior.
40D La fecha de ese estado de situación financiera de apertura será la del comienzo del periodo Inmediato anterior, independientemente de si los estados financieros de una entidad presentan información comparativa para períodos anteriores (como permite el párrafo 38C).
41 Cuando la entidad modifique la presentación o la clasificación de partidas en sus estados financieros, también reclasificará los importes comparativos, a menos que resulte impracticable hacerlo. Cuando una entidad reclasifique importes comparativos, revelará (incluyendo el comienzo del periodo inmediato anterior);
(a) la naturaleza de la reclasificación;
(b) el importe de cada partida o clase de partidas que se han reclasificado; y
(c) la razón de la reclaslficación.
42 Cuando la reclasificación de los importes comparativos sea impracticable, la entidad revelará:
(a) la razón para no reclasificar los importes; y
(b) la naturaleza de los ajustes que tendrían que haberse efectuado si los importes hubieran sido reclasificados.
43 El mejoramiento de la comparabilidad de la Información entre periodos ayuda a los usuarios en la toma de decisiones económicas, sobre todo al permitir la evaluación de tendencias en la información financiera con propósitos predictivos. En algunas circunstancias, la reclasificación de la información comparativa de periodos anteriores concretos para conseguir la comparabilidad con las cifras del periodo corriente es impracticable. Por ejemplo, una entidad puede no haber calculado algunos datos en periodos anteriores, de una manera que permita su reclasificación y la reproducción de la Información es, por tanto, impracticable.
44 La NIC 8 establece los ajustes a realizar en la información comparativa requerida, cuando una entidad cambia una política contable o corrige un error.
Uniformidad en la presentación
45 Una entidad mantendrá la presentación y clasificación de las partidas en los estados financieros de un periodo a otro, a menos que;
(a) tras un cambio en la naturaleza de las actividades de la entidad o una revisión de sus estados financieros, se ponga de manifiesto que sería más apropiada otra presentación u otra clasificación, tomando en consideración los criterios para la selección y aplicación de políticas contables de la NIC 8; o
(b) una NIIF requiera un cambio en la presentación.
46 Por ejemplo, una adquisición o disposición significativa, o una revisión de la presentación de los estados financieros, podrían sugerir que éstos necesitan ser presentados de forma diferente. Una entidad sólo cambiará la presentación de sus estados financieros cuando dicho cambio proporcione información fiable y más relevante para los usuarios de los estados financieros, y la nueva estructura tenga visos de continuidad, de modo que la comparabilidad no quede perjudicada. Cuando se realicen estos cambios en la presentación, una entidad reclasificará su información comparativa de acuerdo con los párrafos 41 y 42.
Estructura y contenido
Introducción
47 Esta Norma requiere revelar determinada información en el estado de situación financiera o en el estado (o estados) del resultado del periodo y otro resultado integral, o en el estado de cambios en el patrimonio, y requiere la revelación de partidas en estos estados o en las notas. La NIC 7 Estado de Flujos de Efectivo establece los requerimientos de presentación para la información sobre el flujo de efectivo,
48 Esta Norma a menudo utiliza el término "información a revelar" en un sentido amplio, incluyendo partidas presentadas en los estados financieros. Otras NIIF también requieren revelar información. A menos que en esta Norma se especifique lo contrario o en otra NIIF esta información a revelar podría estar en los estados financieros.
Identificación de los estados financieros
49 Una entidad identificará claramente los estados financieros y los distinguirá de cualquier otra información publicada en el mismo documento.
50 Las NIIF se aplican solo a los estados financieros, y no necesariamente a otra información presentada en un informe anual, en las presentaciones a entes reguladores o en otro documento. Por tanto, es importante que los usuarios sean capaces de distinguir la información que se prepara utilizando las NIIF de cualquier otra información que, aunque les pudiera ser útil, no está sujeta a los requerimientos de éstas.
51 Una entidad identificará claramente cada estado financiero y las notas. Además, una entidad mostrará la siguiente información en lugar destacado, y la repetirá cuando sea necesario para que la información presentada sea comprensible:
(a) el nombre de la entidad u otra forma de identificación de la misma, así como los cambios relativos a dicha información desde el final del periodo precedente;
(b) si los estados financieros pertenecen a una entidad individual o a un grupo de entidades;
(c) la fecha del cierre del periodo sobre el que se informa o el periodo cubierto por el juego de los estados financieros o notas;
(d) la moneda de presentación, tal como se define en la NIC 21; y
(e) el grado de redondeo practicado al presentar las cifras de los estados financieros.
52 Una entidad cumple con los requerimientos del párrafo 51 a través de la presentación de encabezamientos apropiados para las páginas, estados, notas, columnas y similares. Se requiere la utilización del juicio profesional para determinar la mejor forma de presentar esta información. Por ejemplo, cuando una entidad presenta los estados financieros electrónicamente no siempre se utilizan páginas separadas; en este caso, una entidad presentará las partidas anteriores para asegurar que la información incluida en los estados financieros puede entenderse.
53 Con frecuencia, una entidad hará más comprensibles los estados financieros presentando las cifras en miles o millones de unidades monetarias de la moneda de presentación. Esto será aceptable en la medida en que la entidad revele el grado de redondeo practicado y no omita información material o de importancia relativa al hacerlo.
Estado de situación financiera
Información a presentar en el estado de situación financiera
54 El estado de situación financiera incluirá partidas que presenten los siguientes importes:
(a) propiedades, planta y equipo;
(b) propiedades de inversión;
(c) activos intangibles;
(d) activos financieros (excluidos los importes mencionados en los apartados (e), (h) e (i));
(e) inversiones contabilizadas utilizando el método de la participación;
(f) activos biológicos dentro del alcance de la NIC 41 Agricultura;
(g) inventarios;
(h) deudores comerciales y otras cuentas por cobrar;
(i) efectivo y equivalentes al efectivo;
j) el total de activos clasificados como mantenidos para la venta y los activos incluidos en grupos de activos para su disposición, que se hayan clasificado como mantenidos para la venta de acuerdo con la NIIF 5 Activos No corrientes Mantenidos para la Venta y Operaciones Discontinuadas;
(k) acreedores comerciales y otras cuentas por pagar;
(l) provisiones;
(m) pasivos financieros [excluyendo los importes mencionados en los apartados (k) y (I)];
(n) pasivos y activos por impuestos corrientes, según se definen en la NIC 12 Impuesto a las Ganancias;
(o) pasivos y activos por impuestos diferidos, según se definen en la NIC 12;
(p) pasivos incluidos en los grupos de activos para su disposición clasificados como mantenidos para la venta de acuerdo con la NIIF 5;
(q) participaciones no controladoras, presentadas dentro del patrimonio; y
(r) capital emitido y reservas atribuibles a los propietarios de la controladora.
55 Una entidad presentará en el estado de situación financiera partidas adicionales (incluyendo por desagregación las partidas enumeradas en el párrafo 54), encabezados y subtotales, cuando esa presentación sea relevante para comprender su situación financiera.
55A Cuando una entidad presente subtotales de acuerdo con el párrafo 55, dichos subtotales:
(a) comprenderán partidas formadas por importes reconocidos y medidos de acuerdo con las NIIF;
(b) se presentarán y denominarán de forma que las partidas que constituyen el subtotal sean claras y comprensibles;
(c) serán congruentes de periodo a periodo, de acuerdo con el párrafo 45; y
(d) no se mostrarán con mayor importancia que los subtotales y totales requeridos en las NIIF para el estado de situación financiera.
56 Cuando una entidad presente en el estado de situación financiera los activos clasificados en corrientes o no corrientes, y los pasivos en corrientes o no corrientes como clasificaciones separadas, no clasificará los activos (o los pasivos) por impuestos diferidos como activos (o pasivos) corrientes.
57 Esta Norma no prescribe ni el orden ni el formato en que una entidad presentará las partidas. El párrafo 54 simplemente enumera partidas que son lo suficientemente diferentes, en su naturaleza o función, como para justificar su presentación por separado en el estado de situación financiera. Además:
(a) Se añadirán otras partidas cuando el tamaño, naturaleza o función de una partida o grupo de partidas sea tal que la presentación por separado resulte relevante para comprender la situación financiera de la entidad; y
(b) las denominaciones utilizadas y la ordenación de las partidas o agrupaciones de partidas similares, podrán ser modificadas de acuerdo con la naturaleza de la entidad y de sus transacciones, para suministrar información que sea relevante para la comprensión de la situación financiera de la entidad. Por ejemplo, una institución financiera puede modificar las denominaciones anteriores para proporcionar información que sea relevante para sus operaciones.
58 Una entidad decidirá si ha de presentar partidas adicionales de forma separada en función de una evaluación de;
(a) la naturaleza y la liquidez de los activos;
(b) la función de los activos dentro de la entidad; y
(c) los importes, la naturaleza y el plazo de los pasivos.
59 La utilización de diferentes bases de medición para distintas clases de activos sugiere que su naturaleza o su función difieren y, en consecuencia, que deben ser presentados como partidas separadas. Por ejemplo, ciertas clases de propiedades, planta y equipo pueden contabilizarse al costo histórico, o por sus importes revaluados, de acuerdo con la NIC 16,
Distinción entre partidas corrientes y no corrientes
60 Una entidad presentará sus activos corrientes y no corrientes, así como sus pasivos corrientes y no corrientes, como categorías separadas en su estado de situación financiera, de acuerdo con los párrafos 66 a 76, excepto cuando una presentación basada en el grado de liquidez proporcione una información fiable que sea más relevante. Cuando se aplique esa excepción, una entidad presentará todos los activos y pasivos ordenados atendiendo a su liquidez.
61 Independientemente del método de presentación adoptado, una entidad revelará el importe esperado a recuperar o a cancelar después de los doce meses para cada partida de activo o pasivo que combine importe a recuperar o a cancelar:
(a) dentro de los doce meses siguientes después del periodo sobre el que se informa, y
(b) después de doce meses tras esa fecha.
62 Cuando una entidad suministra bienes o servicios dentro de un ciclo de operación claramente identificable, la clasificación separada de los activos y pasivos corrientes y no corrientes, en el estado de situación financiera, proporciona una información útil al distinguir los activos netos que están circulando continuamente como capital de trabajo, de los utilizados en las operaciones a largo plazo de la entidad. Esta distinción servirá también para destacar tanto los activos que se espera realizar en el transcurso del ciclo normal de la operación, como los pasivos que se deban liquidar en ese mismo periodo.
63 Para algunas entidades, tales como las instituciones financieras, una presentación de activos y pasivos en orden ascendente o descendente de liquidez proporciona información fiable y más relevante que la presentación corriente-no corriente, debido a que la entidad no suministra bienes ni presta servicios dentro de un ciclo de operación claramente identificable.
64 Se permite que, al aplicar el párrafo 60, una entidad presente algunos de sus activos y pasivos empleando la clasificación corriente/no corriente, y otros en orden a su liquidez, siempre que esto proporcione información fiable y más relevante. La necesidad de mezclar las bases de presentación podría aparecer cuando una entidad realice actividades diferentes.
65 La información sobre las fechas esperadas de realización de los activos y pasivos es útil para evaluar la liquidez y la solvencia de una entidad. La NIIF 7 Instrumentos Financieros: Informaciones a Revelar requiere la revelación de información acerca de las fechas de vencimiento de los activos financieros y pasivos financieros. Los activos financieros incluyen las cuentas de deudores comerciales y otras cuentas por cobrar, y los pasivos financieros las cuentas de acreedores comerciales y otras cuentas por pagar. También será de utilidad la información acerca de la fecha esperada de recuperación de los activos no monetarios, como los inventarios, y la fecha esperada de cancelación de pasivos como las provisiones, con independencia de que se los clasifiquen como corrientes o no corrientes. Por ejemplo, una entidad revelará los importes de los inventarios que espera realizar después de los doce meses después del periodo sobre el que se informa.
Activos corrientes
66 Una entidad clasificará un activo como corriente cuando:
(a) espera realizar el activo, o tiene la intención de venderlo o consumirlo en su ciclo normal de operación;
(b) mantiene el activo principalmente con fines de negociación;
(c) espera realizar el activo dentro de los doce meses siguientes al periodo sobre el que se informa; o
(d) el activo es efectivo o equivalente al efectivo (como se define en la NIC 7), a menos que éste se encuentre restringido y no pueda ser intercambiado ni utilizado para cancelar un pasivo por un ejercicio mínimo de doce meses después del ejercicio sobre el que se Informa.
Una entidad clasificará todos los demás activos como no corrientes.
67 En esta Norma, el término “no corriente" incluye activos tangibles, intangibles y financieros que por su naturaleza son a largo plazo. No está prohibido el uso de descripciones alternativas siempre que su significado sea claro.
68 El ciclo normal de la operación de una entidad es el periodo comprendido entre la adquisición de los activos que entran en el proceso productivo, y su realización en efectivo o equivalentes al efectivo. Cuando el ciclo normal de la operación no sea claramente identificable, se supondrá que su duración es de doce meses. Los activos corrientes incluyen activos (tales como inventarios y deudores comerciales) que se venden, consumen o realizan, dentro del ciclo normal de la operación, incluso cuando no se espere su realización dentro del periodo de doce meses a partir de la fecha del periodo de presentación. Los activos corrientes también incluyen activos que se mantienen fundamentalmente para negociar (por ejemplo, algunos activos financieros que cumplen la definición de mantenidos para negociar de la NIIF 9) y la parte a corto plazo de los activos financieros no corrientes.
Pasivos corrientes
69 Una entidad clasificará un pasivo como corriente cuando:
(a) espera liquidar el pasivo en su ciclo normal de operación;
(b) mantiene el pasivo principalmente con fines de negociación;
(c) el pasivo debe liquidarse dentro de los doce meses siguientes al periodo de presentación; o
(d) no tiene el derecho al final del periodo sobre el que se informa de aplazar la liquidación del pasivo durante, al menos, los doce meses siguientes a la fecha del periodo sobre el que se informa.
Una entidad clasificará todos los demás pasivos como no corrientes.
Ciclo normal de operación [párrafo 69(a)]
70 Algunos pasivos corrientes, tales como las cuentas comerciales por pagar y otros pasivos acumulados (devengados), ya sea por costos de personal o por otros costos de operación, integran el capital de trabajo utilizado en el ciclo normal de operación de la entidad. Una entidad clasificará estas partidas de operación como pasivos corrientes, aunque se vayan a liquidar después de los doce meses de la fecha del periodo sobre el que se informa. Para la clasificación de los activos y pasivos de una entidad se aplicará el mismo ciclo normal de operación. Cuando el ciclo normal de la operación no sea claramente identificable, se supondrá que su duración es de doce meses.
Mantenido principalmente con el propósito de negociar [párrafo 69(b)] o que debe liquidarse dentro de los doce meses siguientes [párrafo 69(c)]
71 Otros tipos de pasivos corrientes no son liquidados como parte del ciclo normal de operaciones, pero deben liquidarse dentro de los doce meses siguientes a la fecha del periodo de presentación o se mantienen fundamentalmente con propósitos de negociación. Son ejemplos de este tipo algunos pasivos financieros que cumplen la definición como mantenidos para negociar de acuerdo con la NIIF 9, los sobregiros bancarios, y la parte corriente de los pasivos financieros no corrientes, los dividendos a pagar, los impuestos sobre las ganancias y otras cuentas por pagar no comerciales. Los pasivos financieros que proporcionan financiación a largo plazo (es decir, no forman parte del capital de trabajo utilizado en el ciclo normal de operación de la entidad) y que no deban liquidarse dentro de los doce meses a partir de la fecha del periodo de presentación, son pasivos no corrientes, sujetos a las condiciones de los párrafos 74 y 75.
72 Una entidad clasificará sus pasivos financieros como corrientes cuando deban liquidarse dentro de los doce meses siguientes a la fecha del periodo de presentación, incluso si:
(a) el plazo original del pasivo fuera un periodo superior a doce meses; y
(b) se haya concluido un acuerdo de refinanciación o de reestructuración de los pagos a largo plazo después de la fecha del periodo sobre el que se informa y antes de que los estados financieros sean autorizados para su publicación.
Derecho a diferir la liquidación al menos por doce meses [párrafo 69(d)]
72A El derecho de una entidad a diferir la liquidación de un pasivo por al menos doce meses después del periodo sobre el que se informa debe ser sustancial y, como ilustran los párrafos 73 a 75, debe existir al final del periodo sobre el que se informa. Si el derecho a diferir la liquidación está sujeto a que la entidad cumpla con condiciones especificadas, el derecho existe al final del periodo sobre el que informa solo si la entidad cumple con dichas condiciones en ese momento. La entidad debe cumplir con las condiciones al final del período sobre el que se informa incluso si el prestamista no comprueba el cumplimiento hasta una fecha posterior.
73 Si una entidad tiene el derecho al final del periodo sobre el que se informa de renovar una obligación por, al menos, los doce meses siguientes después del periodo sobre el que se informa, de acuerdo con las condiciones de financiación existentes, clasificará la obligación como no corriente, incluso si, en otro caso, venciera en un período más corto. Si la entidad no tiene ese derecho, no tendrá en cuenta la refinanciación potencial y la obligación se clasificará como corriente.
74 Cuando una entidad infrinja una condición contenida en un contrato de préstamo a largo plazo, al final del periodo sobre el que se informa o antes con el efecto de que el pasivo se convierta en exigidle a voluntad del prestamista, tal pasivo se clasificará como corriente, incluso si el prestamista hubiera acordado, después de la fecha del periodo sobre el que se informa y antes de que los estados financieros sean autorizados para su publicación, no exigir el pago como consecuencia de la infracción. Una entidad clasificará el pasivo como corriente porque, al final del periodo sobre el que se informa, no tiene el derecho de aplazar la cancelación del pasivo durante al menos, doce meses tras esa fecha.
75 Sin embargo, una entidad clasificará el pasivo como no corriente si el prestamista hubiese acordado, al final del periodo sobre el que se informa, la concesión de un periodo de gracia que finalice al menos doce meses después de esa fecha, dentro de cuyo plazo la entidad puede rectificar la infracción y durante el cual el prestamista no puede exigir el reembolso inmediato.
75A La clasificación de un pasivo no se verá afectada por la probabilidad de que la entidad ejerza su derecho a diferir la liquidación del pasivo por al menos doce meses después del periodo sobre el que se informa. Si un pasivo cumple los criterios del párrafo 69 para su clasificación como no corriente, se clasificará como no corriente, incluso si la gerencia pretende o espera que la entidad liquide el pasivo dentro de los doce meses siguientes al periodo sobre el que se informa, o incluso si la entidad liquida el pasivo entre el final del periodo sobre el que se informa y la fecha en que se autorizan los estados financieros 'para su publicación. Sin embargo, en cualquiera de esas circunstancias, la entidad podría necesitar revelar información sobre el calendario de liquidación para permitir a los usuarios de sus estados financieros comprender el impacto del pasivo sobre la situación financiera de la entidad (véanse los párrafos 17(c) y 76(d)j,
76 Si los sucesos que siguen ocurriesen entre el final del periodo sobre el que se informa y la fecha en que los estados financieros son autorizados para su publicación, esos sucesos se revelarán como hechos ocurridos después de la fecha de balance que no implican ajustes, de acuerdo con la NIC 10 Hechos Ocurridos Después del Periodo sobre el que se Informa:
(a) refinanciación a largo plazo de un pasivo clasificado como corriente (véase el párrafo 72);
(b) rectificación de la infracción del contrato de préstamo a largo plazo clasificado como corriente (véase el párrafo 74);
(c) concesión, por parte del prestamista, de un periodo de gracia para rectificar la infracción relativa al contrato de préstamo a largo plazo clasificado como corriente (véase el párrafo 75); y
(d) liquidación de un pasivo clasificado como no corriente (véase el párrafo 75A)
Liquidación [párrafos 69(a), 69(c) y 69(d)]
76A A efectos de clasificar un pasivo como corriente o no corriente, el término liquidación se refiere a una transferencia a la contraparte que dé lugar a la extinción del pasivo. La transferencia podría ser de:
(a) efectivo u otros recursos económicos–por ejemplo, bienes o servicios; o
(b) instrumentos de patrimonio propio de la entidad, a menos que se aplique el párrafo 76B.
76B Las condiciones de un pasivo que podrían, a opción de la contraparte, dar lugar a su liquidación mediante la transferencia de instrumentos de patrimonio propio de la entidad no afectan a su clasificación como corriente o no corriente sí, aplicando la NIC 32 Instrumentos Financieros: Presentación, la entidad clasifica la opción como un instrumento de patrimonio, reconociéndolo por separado del pasivo como un componente de patrimonio de un instrumento financiero compuesto.
Información a presentar en el estado de situación financiera o en las notas
77 Una entidad revelará, ya sea en el estado de situación financiera o en las notas, subclasificaciones adicionales de las partidas presentadas, clasificadas de una manera que sea apropiada para las operaciones de la entidad.
78 El detalle suministrado en las subclasificaciones dependerá de los requerimientos de las NIIF, así como del tamaño, la naturaleza y la función de los importes afectados. Para decidir los criterios de subclasificación, una entidad utilizará también los factores descritos en el párrafo 58. El nivel de información suministrada variará para cada partida, por ejemplo:
(a) las partidas de propiedades, planta y equipo se desagregarán por clases, de acuerdo con la NIC 16;
(b) las cuentas por cobrar se desagregarán en importes por cobrar de clientes comerciales, de partes relacionadas, anticipos y otros importes;
(c) los inventarlos se desagregarán, de acuerdo con la NIC 2 Inventarios, en clasificaciones tales como mercaderías, materias primas, materiales, productos en curso y productos terminados;
(d) las provisiones se desglosarán, de forma que se muestren por separado las que corresponden a provisiones por beneficios a empleados y el resto; y
(e) el capital y las reservas se desagregarán en varias clases, tales como capital pagado, primas de emisión y reservas.
79 Una entidad revelará lo siguiente, sea en el estado de situación financiera, en el estado de cambios en el patrimonio o en las notas:
(a) para cada clase de capital en acciones:
(i) el número de acciones autorizadas;
(ii) el número de acciones emitidas y pagadas totalmente, así como las emitidas, pero aún no pagadas en su totalidad;
(iii) el valor nominal de las acciones, o el hecho de que no tengan valor nominal;
(iv) una conciliación entre el número de acciones en circulación al principio y al final del periodo;
(v) los derechos, privilegios y restricciones correspondientes a cada clase de acciones, incluyendo las restricciones sobre la distribución de dividendos y el reembolso del capital;
(vi) las acciones de la entidad que estén en su poder o bien en el de sus subsidiarias o asociadas; y
(vii) las acciones cuya emisión está reservada como consecuencia de la existencia de opciones o contratos para la venta de acciones, incluyendo las condiciones e importes correspondientes; y
(b) una descripción de la naturaleza y destino de cada partida de reservas que figure en el patrimonio;
80 Una entidad sin capital en acciones, tal como las que responden a una fórmula societaria o fiduciaria, revelará información equivalente a la requerida en el párrafo 79(a), mostrando los cambios producidos durante el periodo en cada una de las categorías que componen el patrimonio y los derechos, privilegios y restricciones asociados a cada una.
80A Si una entidad ha reclasificado
(a) un instrumento financiero con opción de venta clasificado como un instrumento de patrimonio, o
(b) un instrumento que impone a la entidad una obligación de entregar a terceros una participación proporcional de los activos netos de la entidad solo en el momento de la liquidación y se clasifica como un instrumento de patrimonio
entre pasivos financieros y patrimonio, revelará el importe reclasificado dentro y fuera de cada categoría (pasivo financiero o patrimonio), y el momento y razón de esa reclasificación.
Estado del resultado del periodo y otro resultado integral
81 [Eliminado]
81A El estado del resultado del periodo y otro resultado integral (estado del resultado integral) presentará, además de las secciones del resultado del período y otro resultado integral:
(a) el resultado del periodo;
(b) otro resultado integral total;
(c) el resultado integral del periodo, siendo el total del resultado del periodo y otro resultado Integral.
Si una entidad presenta un estado del resultado del período separado, no presentará la sección del resultado del periodo en el estado que presente el resultado integral.
81B Una entidad presentará las siguientes partidas, además de las secciones del resultado del periodo y otro resultado integral, como distribuciones del resultado del periodo y otro resultado integral para el periodo:
(a) resultado del periodo atribuible a:
(i) participaciones no controladoras y
(ii) propietarios de la controladora.
(b) resultado integral del periodo atribuible a:
(i) participaciones no controladoras y
(ii) propietarios de la controladora.
Si una entidad presenta el resultado del periodo en un estado separado, presentará (a) en ese estado.
Información a presentar en la sección del resultado del periodo o en el estado del resultado del periodo
82 Además de las partidas requeridas por otras NIIF, la sección del resultado del periodo o el estado del resultado del periodo incluirán las partidas que presenten los importes siguientes para el periodo:
(a) ingresos de actividades ordinarias que se presenten por separado de los ingresos por intereses calculados utilizando el método del interés efectivo;
(aa) ganancias y pérdidas que surgen de la baja en cuentas de activos financieros medidos al costo amortizado;
(b) costos financieros;
(ba) pérdidas por deterioro de valor (incluyendo reversiones de pérdidas por deterioro de valor o ganancias por deterioro de valor) determinados de acuerdo con la Sección 5.5 de la NIIF 9;
(c) participación en el resultado del periodo de las asociadas y negocios conjuntos que se contabilicen por el método de la participación;
(ca) si un activo financiero se reclasifica desde la categoría de medición del costo amortizado, y se pasa a medir a valor razonable con cambios en resultados, cualquier ganancia o pérdida que surja de una diferencia entre el costo amortizado anterior del activo financiero y su valor razonable en la fecha de la reclasificación (como se define en la NIIF 9);
(cb) si un activo financiero se reclasifica desde la categoría de medición de valor razonable con cambios en otro resultado integral de forma que se mida a valor razonable con cambios en resultados, las ganancias o pérdidas acumuladas anteriormente reconocidas en otro resultado integral que se reclasifican al resultado del período;
(d) gasto por impuestos;
(e) [eliminado]
(ea) un importe único para el total de operaciones discontinuadas (véase la NIIF 5).
(f) a(i) [eliminado]
Información a presentar en la sección de otro resultado integral
82A La sección del otro resultado integral presentará partidas por los importes para el periodo de:
(a) partidas de otro resultado integral [excluyendo los importes del párrafo (b)], clasificadas por naturaleza y agrupadas en aquellas que, de acuerdo con otras NIIF:
(i) no se reclasificarán posteriormente al resultado del período; y
(ii) se reclasificarán posteriormente al resultado del periodo, cuando se cumplan ciertas condiciones específicas.
(b) la participación en el otro resultado integral de asociadas y negocios conjuntos contabilizados utilizando el método de la participación, separada en la participación en partidas que, de acuerdo con otras NIIF:
(i) no se reclasificarán posteriormente al resultado del periodo; y
(ii) se reclasificarán posteriormente al resultado del periodo, cuando se cumplan ciertas condiciones específicas.
83 a 84 [Eliminado]
85 Una entidad presentará partidas adicionales (incluyendo aquellas por desagregación de las partidas enumeradas en el párrafo 82), encabezados y subtotales en el estado (estados), que presente los resultados del periodo y otro resultado integral, cuando dicha presentación sea relevante para comprender el rendimiento financiero de la entidad.
85A Cuando una entidad presente subtotales de acuerdo con el párrafo 85, dichos subtotales:
(a) comprenderán partidas formadas por importes reconocidos y medidos de acuerdo con las NIIF;
(b) se presentarán y denominarán de forma que las partidas que constituyen el subtotal sean claras y comprensibles;
(c) serán congruentes de periodo a periodo, de acuerdo con el párrafo 45; y
(d) no se mostrarán con mayor importancia que los subtotales y totales requeridos en las NIIF para el estado (estados) que presente el resultado del periodo y otro resultado integral.
85B Una entidad presentará las partidas en el estado (estados) que presente el resultado del periodo y otro resultado integral que concilien los subtotales presentados de acuerdo con el párrafo 85 con los subtotales o totales requeridos en las NIIF para este estado (estados).
86 Dado que los efectos de las diferentes actividades, transacciones y otros sucesos de una entidad, difieren en frecuencia, potencial de ganancias o pérdidas y capacidad de predicción, la revelación de información sobre los componentes del rendimiento financiero ayuda a los usuarios a comprender dicho rendimiento financiero logrado, así como a realizar proyecciones a futuro sobre éste. Una entidad incluirá partidas adicionales en los estados que presenten el resultado del periodo y otro resultado integral y modificará las denominaciones y la ordenación de partidas cuando sea necesario para explicar los elementos del rendimiento financiero. Una entidad considerará factores que incluyan la materialidad (importancia relativa) y la naturaleza y función de las partidas de Ingreso y gasto. Por ejemplo, una institución financiera puede modificar las denominaciones para proporcionar información que sea relevante para las operaciones de una institución financiera. Una entidad no compensará partidas de ingresos y gastos, a menos que se cumplan los criterios del párrafo 32.
87 Una entidad no presentará ninguna partida de Ingreso o gasto como partidas extraordinarias en los estados que presenten el resultado del periodo y otro resultado integral o en las notas.
Resultado del periodo
88 Una entidad reconocerá todas las partidas de ingreso y gasto de un periodo en el resultado a menos que una NIIF requiera o permita otra cosa.
89 Algunas NIIF especifican las circunstancias en las que una entidad reconocerá determinadas partidas fuera del resultado del periodo corriente. La NIC 8 especifica dos de estas circunstancias: la corrección de errores y el efecto de cambios en políticas contables. Otras NIIF requieren o permiten que componentes de otro resultado integral que cumplen la definición de ingreso o gasto proporcionada por el Marco Conceptual se excluyan del resultado (véase el párrafo 7).
Otro resultado integral del periodo
90 Una entidad revelará el importe del impuesto a las ganancias relativo a cada partida de otro resultado integral, incluyendo los ajustes por reclasificación, en el estado del resultado del periodo y otro resultado integral o en las notas.
91 Una entidad puede presentar las partidas de otro resultado integral:
(a) netas de los efectos fiscales relacionados, o
(b) antes de los efectos fiscales relacionados con un importe que muestre el importe acumulado del impuesto a las ganancias relacionado con esas partidas.
Si una entidad elige la alternativa (b), distribuirá el impuesto entre las partidas que pueden reclasificarse posteriormente a la sección del resultado del periodo y las que no se reclasificarán posteriormente a ésta sección.
92 Una entidad revelará los ajustes por reclasificación relacionados con los componentes de otro resultado integral.
93 Otras NIIF especifican si y cuándo reclasificar en resultados los importes previamente reconocidos en otro resultado integral. Estas reclasificaciones se denominan en esta Norma ajustes por reclasificación. Un ajuste por reclasificación se incluye con el componente relacionado de otro resultado integral en el periodo en el que tal ajuste se reclasifica dentro del resultado del periodo. Estos Importes pueden haber sido reconocidos en otro resultado integral como ganancias no realizadas en el periodo corriente o en periodos anteriores. Esas ganancias no realizadas deben deducirse de otro resultado integral en el periodo en que las ganancias realizadas se reclasifican dentro del resultado para evitar su Inclusión por duplicado en el resultado integral total.
94 Una entidad puede presentar el ajuste por reclasificación en los estados del resultado del periodo y otro resultado integral o en las notas. Una entidad que presente los ajustes por reclasificación en las notas presentará las partidas de otro resultado integral después de cualquier ajuste por reclasificación relacionado.
95 Los ajustes por reclasificación surgen, por ejemplo, al disponer un negocio en el extranjero (véase la NIC 21), y cuando algún flujo de efectivo previsto cubierto afecta al resultado del periodo (véase el párrafo 6.5.11 (d) de la NIIF 9 en relación con la cobertura de flujos de efectivo).
96 Los ajustes por reclasificación no surgen por cambios en el superávit de revaluación reconocido de acuerdo con la NIC 16 o la NIC 38, o por nuevas mediciones de planes de beneficios definidos reconocidas de acuerdo con la NIC 19. Estos componentes se reconocerán en otro resultado Integral y no se reclasificarán en el resultado en periodos posteriores. Los cambios en el superávit de revaluación pueden transferirse a ganancias acumuladas en periodos posteriores a medida que se utiliza el activo o cuando éste se da de baja (véase la NIC 16 y la NIC 38). De acuerdo con la NIIF 9, los ajustes de reclasificación no surgen si una cobertura de flujos de efectivo o la contabilidad del valor temporal de una opción (o el elemento a término de un contrato a término o el diferencial de la tasa de cambio de un instrumento financiero) dan lugar a importes que se eliminan de la reserva de cobertura de flujos de efectivo o de un componente separado de patrimonio, respectivamente, e incluido directamente en el costo inicial u otro importe en libros de un activo o pasivo. Estos importes se transfieren directamente a los activos o pasivos.
Información a presentar en los estados del resultado del periodo y otro resultado integral o en las notas.
97 Cuando las partidas de Ingreso o gasto son materiales (tienen importancia relativa), una entidad revelará de forma separada información sobre su naturaleza e importe.
98 Entre las circunstancias que darían lugar a revelaciones separadas de partidas de ingresos y gastos están las siguientes:
(a) la rebaja de los inventarios hasta su valor neto realizable, o de los elementos de propiedades, planta y equipo hasta su importe recuperable, así como la reversión de tales rebajas;
(b) la reestructuración de las actividades de una entidad y la reversión de cualquier provisión para hacer frente a los costos de ella;
(c) la disposición de partidas de propiedades, planta y equipo;
(d) las disposiciones de inversiones;
(e) las operaciones discontinuadas;
(f) cancelaciones de pagos por litigios; y
(g) otras reversiones de provisiones,
99 Una entidad presentará un desglose de los gastos reconocidos en el resultado, utilizando una clasificación basada en la naturaleza o en la función de ellos dentro de la entidad, lo que proporcione una información que sea fiable y más relevante.
100 Se recomienda que las entidades presenten el desglose del párrafo 99 en el estado que presente el resultado del periodo y otro resultado integral.
101 Los gastos se subclasifican para destacar los componentes del rendimiento financiero, que puedan ser diferentes en términos de frecuencia, potencial de ganancia o pérdida y capacidad de predicción. Este desglose se proporciona en una de las dos formas descritas a continuación.
102 La primera forma de desglose es el método de la “naturaleza de los gastos". Una entidad agrupará gastos dentro del resultado de acuerdo con su naturaleza (por ejemplo, depreciación, compras de materiales, costos de transporte, beneficios a los empleados y costos de publicidad) y no los redistribuirá atendiendo a las diferentes funciones que se desarrollan en la entidad. Este método resulta fácil de aplicar, porque no es necesario distribuir los gastos en clasificaciones funcionales. Un ejemplo de clasificación que utiliza el método de la naturaleza de los gastos es el siguiente:

103 La segunda forma de desglose es el método de la “función de los gastos” o del “costo de las ventas”, y clasifica los gastos de acuerdo con su función como parte del costo de las ventas o, por ejemplo, de los costos de actividades de distribución o administración. Como mínimo una entidad revelará, según este método, su costo de ventas de forma separada de otros gastos. Este método puede proporcionar a los usuarios una información más relevante que la clasificación de gastos por naturaleza, pero la distribución de los costos por función puede requerir asignaciones arbitrarias, e implicar la realización de juicios de importancia. Un ejemplo de clasificación utilizando el método de gastos por función es el siguiente:

104 Una entidad que clasifique los gastos por función revelará información adicional sobre la naturaleza de ellos, donde incluirá los gastos por depreciación y amortización y el gasto por beneficios a los empleados.
105 La elección entre el método de la naturaleza de los gastos o de la función de los gastos dependerá de factores históricos, así como del sector industrial y de la naturaleza de la entidad. Ambos métodos suministran una indicación de los costos que puedan variar directa o indirectamente, con el nivel de ventas o de producción de la entidad. Puesto que cada método de presentación tiene ventajas para tipos distintos de entidades, esta Norma requiere que la gerencia seleccione la presentación que sea fiable y más relevante. Sin embargo, puesto que la información sobre la naturaleza de los gastos es útil para predecir los flujos de efectivo futuros, se requieren información a revelar adicional cuando se utiliza la clasificación de la función de los gastos. En el párrafo 104, “beneficios a los empleados” tiene el mismo significado que en la NIC 19.
Estado de cambios en el patrimonio
Información a presentar en el estado de cambios en el patrimonio
106 Una entidad presentará un estado de cambios en el patrimonio tal como se requiere en el párrafo 10. El estado de cambios en el patrimonio incluye la siguiente información:
(a) el resultado integral total del periodo, mostrando de forma separada los importes totales atribuidles a los propietarios de la controladora y los atribuidles a las participaciones no controladoras;
(b) para cada componente de patrimonio, los efectos de la aplicación retroactiva o la reexpresión retroactiva reconocidos según la NIC 8; y
(c) [eliminado]
(d) para cada componente del patrimonio, una conciliación entre los importes en libros, al inicio y al final del periodo, revelando por separado (como mínimo) los cambios resultantes de:
(i) el resultado del periodo;
(ii) otro resultado integral; y
(iii) transacciones con los propietarios en su calidad de tales, mostrando por separado las contribuciones realizadas por los propietarios y las distribuciones a éstos y los cambios en las participaciones de propiedad en subsidiarias que no den lugar a una pérdida de control.
Información a presentar en el estado de cambios en el patrimonio o en las notas
106A Una entidad presentará para cada componente del patrimonio, ya sea en el estado de cambios en el patrimonio o en las notas, un desglose por partida de otro resultado integral [véase el párrafo 106(d)(ii)j.
107 Una entidad presentará, ya sea en el estado de cambios en el patrimonio o en las notas, el importe de los dividendos reconocidos como distribuciones a los propietarios durante el periodo, y el importe de dividendos por acción correspondiente.
108 En el párrafo 106, los componentes de patrimonio incluyen, por ejemplo, cada una de las clases de capitales aportados, el saldo acumulado de cada una de las clases que componen el otro resultado integral y las ganancias acumuladas.
109 Los cambios en el patrimonio de una entidad, entre el comienzo y el final del periodo sobre el que se informa, reflejarán el incremento o la disminución en sus activos netos en dicho periodo. Excepto por lo que se refiere a los cambios que procedan de transacciones con los propietarios en su condición de tales (como por ejemplo, aportaciones de patrimonio, las recompras por la entidad de sus propios instrumentos de patrimonio y los dividendos) y los costos directamente relacionados con estas transacciones, la variación integral del patrimonio durante el periodo representa el importe total de ingresos y gastos, incluyendo ganancias o pérdidas, generadas por las actividades de la entidad durante el periodo.
110 La NIC 8 requiere ajustes retroactivos al efectuar cambios en las políticas contables, en la medida en que sean practicables, excepto cuando las disposiciones transitorias de alguna NIIF requieran otra cosa. La NIC 8 también requiere que la reexpresión para corregir errores se efectúe retroactivamente, en la medida en que sea practicable. Los ajustes y las reexpresiones retroactivas no son cambios en el patrimonio sino ajustes al saldo inicial de las ganancias acumuladas, excepto cuando alguna NIIF requiera el ajuste retroactivo de otro componente de patrimonio. El párrafo 106 (b) requiere la revelación de información en el estado de cambios en el patrimonio, sobre los ajustes totales en cada uno de sus componentes derivados de los cambios en las políticas contables y, por separado, de la corrección de errores. Se revelará información sobre estos ajustes para cada periodo anterior y para el principio del periodo.
Estado de flujos de efectivo
111 La información sobre los flujos de efectivo proporciona a los usuarios de los estados financieros una base para evaluar la capacidad de la entidad para generar efectivo y equivalentes al efectivo y las necesidades de la entidad para utilizar esos flujos de efectivo. La NIC 7 establece los requerimientos para la presentación y revelación de información sobre flujos de efectivo.
Notas
Estructura
112 Las notas:
(a) presentarán información acerca de las bases para la preparación de los estados financieros, y sobre las políticas contables específicas utilizadas de acuerdo con los párrafos 117 a 124;
(b) revelarán la información requerida por las NIIF que no haya sido incluida en otro lugar de los estados financieros; y
(c) proporcionarán información que no se presente en ninguno de los estados financieros, pero que es relevante para entender cualquiera de ellos.
113 Una entidad presentará las notas, en la medida en que sea practicable, de una forma sistemática. Para la determinación de una forma sistemática, la entidad considerará el efecto sobre la comprensibilidad y comparabilidad de sus estados financieros. Una entidad hará referencia cruzada de cada partida incluida en los estados de situación financiera y del resultado integral, en el estado de resultados separado (cuando se lo presenta) y en los estados de cambios en el patrimonio y de flujos de efectivo, con cualquier Información relacionada en las notas.
114 Ejemplos de ordenamiento y agrupación sistemática de las notas incluyen:
(a) Dar importancia a las áreas de sus actividades que la entidad considera que son más relevantes para la comprensión de su rendimiento financiero y situación financiera, tal como agrupar información sobre actividades operativas concretas;
(b) agrupar información sobre partidas medidas de forma similar tal como activos medidos a valor razonable; o
(c) seguir el orden de las partidas en el (los) estado (estados) del resultado del periodo y otro resultado integral y del estado de situación financiera, tal como:
(i) una declaración de cumplimiento con las NIIF (véase el párrafo 16);
(ii) la información sobre políticas contables (véase el párrafo 117);
(iii) información de apoyo para las partidas presentadas en los estados de situación financiera, el estado (estados) del resultado del periodo y otro resultado integral, y en los estados de cambios en el patrimonio y de flujos de efectivo, en el orden en que se presenta cada estado y cada partida; y
(iv) otra información a revelar, incluyendo:
(1) pasivos contingentes (véase la NIC 37); y compromisos contractuales no reconocidos; y
(2) revelaciones de información no financiera, por ejemplo, los objetivos y políticas de gestión del riesgo financiero (véase la NIIF 7).
115 [Eliminado]
116 Una entidad puede presentar las notas que proporcionan información acerca de las bases para la preparación de los estados financieros y las políticas contables específicas como una sección separada de los estados financieros.
Información a revelar sobre políticas contables
117 Una entidad revelará información sobre políticas contables material o con importancia relativa (véase el párrafo 7), La información sobre políticas contables es material o tiene importancia relativa si, cuando se considera conjuntamente con otra información incluida en los estados financieros de una entidad, puede razonablemente esperarse que influya en las decisiones que toman los usuarios principales de los estados financieros con propósito general, sobre la base de dichos estados financieros,
117A La información sobre políticas contables que está relacionada con transacciones, otros sucesos o condiciones que carecen de materialidad o importancia relativa no es importante y, por ello, no necesita revelarse. La información sobre políticas contables podría, no obstante, ser material o tener importancia relativa debido a la naturaleza de las transacciones, otros sucesos o condiciones relacionados, incluso si los importes no son materiales o carecen de importancia relativa. Sin embargo, no toda la información sobre políticas contables relacionada con transacciones, otros sucesos o condiciones materiales o con importancia relativa es, por si misma, material o con importancia relativa,
117B La información sobre políticas contables se espera que sea material o que tenga importancia relativa si los usuarios de los estados financieros de una entidad la necesitarían para comprender otra información material o con importancia relativa en esos estados financieros. Por ejemplo, una entidad es probable que considere que la información sobre políticas contables es material o tiene importancia relativa para sus estados financieros si dicha información se relaciona con transacciones, otros sucesos o condiciones que son materiales o tienen importancia relativa y;
(a) la entidad modificó su política contable durante el periodo sobre el que se informa, lo que dio lugar a un cambio material o con importancia relativa en la información de los estados financieros;
(b) la entidad eligió la política contable entre una o más opciones permitidas por las NIIF – esta situación podría surgir si la entidad eligió medir las propiedades de inversión a costo histórico en lugar de a valor razonable;
(c) la política contable se desarrolló de acuerdo con la NIC 8, en ausencia de una NIIF que fuese aplicable de forma específica;
(d) la política contable se relaciona con un área para la cual se requiere que una entidad realice juicios o supuestos significativos al aplicar una política contable, y revela esos juicios o supuestos de acuerdo con los párrafos 122 y 125; o
(e) la contabilidad requerida para ellos es compleja y los usuarios de los estados financieros de la entidad no comprenderían, en otro caso, dichas transacciones materiales o con importancia relativa, otros sucesos o condiciones–esta situación podría surgir si una entidad aplica más de una NIIF a una clase de transacciones que materiales o tienen importancia relativa.
117C La información sobre políticas contables que se centra en cómo ha aplicado una entidad los requerimientos de las NIIF a sus propias circunstancias, proporciona información específica sobre la entidad que es más útil a los usuarios de los estados financieros que la información estandarizada o la información que solo duplica o resume los requerimientos de las Normas NIIF.
117D Si una entidad revela información sobre políticas contables que no es material o carece de importancia relativa, esta información no deberá ensombrecer el resto de información sobre políticas contables.
117E La conclusión de una entidad sobre que la información sobre políticas contables no es material o no tiene importancia relativa no afecta a los requerimientos de información a revelar relacionada establecidos en otras NIIF.
118 a 121 Eliminado.
122 Una entidad revelará, junto con la información sobre políticas contables material o con importancia relativa o en otras notas, los juicios, diferentes de aquéllos que involucren estimaciones (véase el párrafo 125), que la gerencia haya realizado en el proceso de aplicación de las políticas contables de la entidad y que tengan un efecto significativo sobre los importes reconocidos en los estados financieros.
123 En el proceso de aplicación de las políticas contables de la entidad, la gerencia realizará diversos juicios, diferentes de los relativos a las estimaciones, que pueden afectar significativamente a los importes reconocidos en los estados financieros. Por ejemplo, la gerencia realizará juicios profesionales para determinar:
(a) [eliminado]
(b) cuándo sustancialmente todos los riesgos y las ventajas significativos inherentes a la propiedad de los activos financieros y, para el arrendador, los activos sujetos a arrendamiento se transfieren a otras entidades;
(c) si, por su esencia económica, ciertas ventas de bienes son acuerdos de financiación y, en consecuencia, no ocasionan ingresos de actividades ordinarias; y
(d) si las condiciones contractuales de un activo financiero dan lugar, en fechas especificadas, a flujos de efectivo que son únicamente pagos del principal e intereses sobre el importe del principal pendiente.
124 Alguna de la información a revelar de conformidad con el párrafo 122, es requerida por otras NIIF. Por ejemplo, la NIIF 12 Información a Revelar sobre Participaciones en Otras Entidades requiere que una entidad revele los juicios que ha realizado para determinar si controla a otra entidad. La NIC 40 Propiedades de Inversión requiere, cuando la clasificación de una determinada Inversión presente dificultades, que se revele Información acerca de los criterios desarrollados por la entidad para distinguir las propiedades de inversión de las propiedades ocupadas por el dueño y de las propiedades mantenidas para su venta en el curso ordinario del negocio.
Causas de incertidumbre en las estimaciones
125 Una entidad revelará información sobre los supuestos realizados acerca del futuro y otras causas de incertidumbre en la estimación al final del periodo sobre el que se informa, que tengan un riesgo significativo de ocasionar ajustes significativos en el valor en libros de los activos o pasivos dentro del periodo contable siguiente. Con respecto a esos activos y pasivos, las notas Incluirán detalles de:
(a) su naturaleza; y
(b) su importe en libros al final del periodo sobre el que se informa.
126 La determinación del importe en libros de algunos activos y pasivos requerirá la estimación, al final del periodo sobre el que se informa, de los efectos de sucesos futuros inciertos sobre dichos activos y pasivos. Por ejemplo, en ausencia de precios de mercado observados recientemente, será necesario efectuar estimaciones acerca del futuro para medir el Importe recuperable de las distintas clases de propiedades, planta y equipo, el efecto de la obsolescencia tecnológica sobre los inventarios, las provisiones condicionadas por los desenlaces futuros de litigios en curso y los pasivos por beneficios a los empleados a largo plazo, tales como las obligaciones por pensiones. Estas estimaciones implican supuestos sobre estas partidas como los flujos de efectivo ajustados por el riesgo o las tasas de descuento empleadas, la evolución prevista en los salarios o los cambios en los precios que afectan a otros costos.
127 Los supuestos y otras fuentes de incertidumbre en las estimaciones reveladas de acuerdo con el párrafo 125, se refieren a las estimaciones que ofrezcan para la gerencia una mayor dificultad, subjetividad o complejidad en el juicio. A medida que aumenta el número de variables y supuestos que afectan al posible desenlace futuro de las incertidumbres, los juicios profesionales son más subjetivos y complejos, y la posibilidad de que se produzcan cambios significativos en el Importe en libros de los activos o pasivos normalmente se incrementa en consecuencia.
128 La información a revelar indicada en el párrafo 125 no se requiere para activos y pasivos con un riesgo significativo de que sus Importes en libros puedan cambiar significativamente dentro del siguiente periodo contable si, al final del periodo sobre el que se informa, han sido medidos a valor razonable basado en un precio cotizado en un mercado activo para un activo o pasivo idéntico. Dichos valores razonables pueden cambiar significativamente dentro del periodo contable próximo pero estos cambios se originarán de los supuestos u otros datos de estimación de la incertidumbre al final del periodo sobre el que se informa,
129 Una entidad presentará las revelaciones de información del párrafo 125 de forma que ayuden a los usuarios de los estados financieros a entender los juicios efectuados por la gerencia, sobre el futuro y otras fuentes de incertidumbre en la estimación. La naturaleza y el alcance de la información proporcionada variarán de acuerdo con la naturaleza de los supuestos, y con otras circunstancias. Son ejemplos de los tipos revelaciones que una entidad realizará;
(a) la naturaleza de los supuestos u otras incertidumbres en la estimación;
(b) la sensibilidad del importe en libros a los métodos, supuestos y estimaciones implícitas en su cálculo, incluyendo las razones de tal sensibilidad;
(c) la resolución esperada de la incertidumbre, así como el rango de las consecuencias razonablemente posibles dentro del año próximo, respecto del importe en libros de los activos y pasivos afectados; y
(d) cuando la incertidumbre continúe sin resolverse, una explicación de los cambios efectuados a los supuestos pasados referentes a dichos activos y pasivos.
130 Esta Norma no requiere que una entidad revele información presupuestaria o previsiones al revelar la información del párrafo 125.
131 Algunas veces es impracticable revelar el alcance de los posibles efectos de una hipótesis u otra fuente de incertidumbre en la estimación al final del periodo del que se informa. En tales casos, la entidad revelará que es razonablemente posible, sobre la base del conocimiento existente, que los desenlaces producidos dentro del siguiente periodo contable que sean diferentes de los supuestos utilizados, podrían requerir ajustes significativos en el importe en libros del activo o pasivo afectado. En cualquier caso, la entidad revelará la naturaleza y el importe en libros del activo o pasivo del específico (o de la clase de activos o pasivos) afectado por el supuesto en cuestión.
132 La información a revelar requerida por el párrafo 122, sobre los juicios particulares efectuados por la gerencia en el proceso de aplicación de las políticas contables de la entidad, no guarda relación con las informaciones a revelar acerca de las fuentes de incertidumbre en las estimaciones previstas en el párrafo 125.
133 Otras NIIF requieren la revelación de algunos de los supuestos que de otra forma serla requerida de acuerdo con el párrafo 125. Por ejemplo, la NIC 37 requiere la revelación, en circunstancias específicas, de las principales hipótesis sobre los sucesos futuros que afecten a las diferentes clases de provisiones. La NIIF 13 Medición del Valor Razonable requiere que se revelen las suposiciones significativas (incluyendo las técnicas de valoración y los datos de entrada) que la entidad aplica en la medición del valor razonable de los activos y pasivos, que se contabilicen al valor razonable.
Capital
134 Una entidad revelará Información que permita que los usuarios de sus estados financieros evalúen los objetivos, las políticas y los procesos que ella aplica para gestionar el capital.
135 Para cumplir lo establecido en el párrafo 134, la entidad revelará lo siguiente;
(a) información cualitativa sobre sus objetivos, políticas y procesos de gestión de capital, que incluya:
(i) una descripción de lo que considera capital a efectos de su gestión;
(ii) cuando una entidad está a sujeta a requerimientos externos de capital, la naturaleza de ellos y la forma en que se incorporan en la gestión de capital; y
(iii) cómo cumple sus objetivos de gestión de capital.
(b) datos cuantitativos resumidos acerca de lo que gestiona como capital. Algunas entidades consideran como parte del capital a determinados pasivos financieros (por ejemplo, algunas formas de deuda subordinada). Otras excluyen del capital a algunos componentes del patrimonio (por ejemplo, los componentes surgidos de las coberturas de flujos de efectivo).
(c) los cambios en (a) y (b) desde el periodo anterior.
(d) si durante el periodo ha cumplido con cualquier requerimiento externo de capital al cual esté sujeta.
(e) cuando la entidad no haya cumplido con alguno de estos requerimientos externos de capital impuestos, las consecuencias de este incumplimiento.
La entidad basa esta información a revelar internamente proporcionada al personal clave de la gerencia.
136 Una entidad puede gestionar su capital de diversas formas y estar sujeta a distintos requerimientos sobre el capital. Por ejemplo, un conglomerado puede incluir entidades que lleven a cabo actividades de seguro y actividades bancarias, y esas entidades pueden operar en diferentes jurisdicciones. Si la revelación de forma agregada de los requerimientos de capital y de la forma de gestionar el capital no proporcionase información útil o distorsionase la comprensión de los recursos de capital de una entidad por parte de los usuarios de los estados financieros, la entidad revelará información separada sobre cada requerimiento de capital al que esté sujeta.
Instrumentos financieros con opción de venta clasificados como patrimonio
136A En el caso de instrumentos financieros con opción de venta clasificados como instrumentos de patrimonio, una entidad revelará (en la medida en que no lo haya hecho en ninguna otra parte):
(a) un resumen de datos cuantitativos sobre el importe clasificado como patrimonio;
(b) sus objetivos, políticas y procesos de gestión de su obligación de recomprar o reembolsar los instrumentos cuando le sea requerido por los tenedores de los instrumentos, incluyendo cualquier cambio sobre el periodo anterior;
(c) las salidas de efectivo esperadas por reembolso o recompra de esa clase de instrumentos financieros; y
(d) información sobre cómo se determinaron las salidas de efectivo esperadas por reembolso o recompra.
Otra información a revelar
137 Una entidad revelará en las notas:
(a) el importe de los dividendos propuestos o anunciados antes de que los estados financieros hayan sido autorizados para su emisión, que no hayan sido reconocidos como distribución a los propietarios durante el periodo, así como los importes correspondientes por acción; y
(b) el importe de cualquier dividendo preferente de carácter acumulativo que no haya sido reconocido.
138 Una entidad revelará lo siguiente, si no ha sido revelado en otra parte de la Información publicada con los estados financieros:
(a) el domicilio y forma legal de la entidad, el país en que se ha constituido y la dirección de su sede social (o el domicilio principal donde desarrolle sus actividades, si fuese diferente de la sede social);
(b) una descripción de la naturaleza de las operaciones de la entidad, así como de sus principales actividades;
(c) el nombre de la controladora directa y de la controladora última del grupo; y
(d) si es una entidad de vida limitada, información sobre la duración de la misma.
Transición y fecha de vigencia
139 Una entidad aplicará esta Norma para los periodos anuales que comiencen a partir del 1 de enero de 2009. Se permite su aplicación anticipada. Si una entidad aplica esta Norma a periodos anteriores, revelará este hecho.
139A La NIC 27 (modificada en 2008) modificó el párrafo 106. Una entidad aplicará esa modificación para los periodos anuales que comiencen a partir del 1 de julio de 2009. Si la entidad aplicase la NIC 27 (modificada en 2008) a periodos anteriores, las modificaciones deberán aplicarse también a esos periodos. La modificación se aplicará de forma retroactiva.
139B Instrumentos Financieros con Opción de Venta y Obligaciones que Surgen en la Liquidación (Modificaciones a las NIC 32 y NIC 1), emitido en febrero de 2008, modificó el párrafo 138 e insertó los párrafos 8A, 80A y 136A. Una entidad aplicará esas modificaciones a periodos anuales que comiencen a partir del 1 de enero de 2009. Se permite su aplicación anticipada. Si una entidad aplicase las modificaciones en un periodo anterior, revelará este hecho y aplicará, al mismo tiempo, las modificaciones a las NIC 32, NIC 39, NIIF 7 y CINIIF 2 Aportaciones de los Socios de Entidades Cooperativas e Instrumentos Similares.
139C Los párrafos 68 y 71 fueron modificados mediante el documento Mejoras a las NIIF emitido en mayo de 2008. Una entidad aplicará esas modificaciones a periodos anuales que comiencen a partir del 1 de enero de 2009. Se permite su aplicación anticipada. Si una entidad aplicase las modificaciones en un período que comience con anterioridad, revelará este hecho.
139D [Eliminado]
139E [Eliminado]
139F Se modificaron los párrafos 106 y 107 y se añadió el párrafo 106A mediante el documento Mejoras a las NIIF emitido en mayo de 2010. Una entidad aplicará esas modificaciones a periodos anuales que comiencen a partir del 1 de enero de 2011. Se permite su aplicación anticipada.
139G [Eliminado]
139H La NIIF 10 y la NIIF 12, emitidas en mayo de 2011, modificaron los párrafos 4, 119, 123 y 124. Una entidad aplicará esas modificaciones cuando aplique las NIIF 10 y NIIF 12.
139I La NIIF 13, emitida en mayo de 2011, modificó los párrafos 128 y 133. Una entidad aplicará esas modificaciones cuando aplique la NIIF 13.
139J Presentación de Partidas de Otro Resultado Integral (Modificaciones a la NIC 1), emitido en junio de 2011, modificó los párrafos 7,10, 82, 85 a 87, 90, 91, 94,100 y 115, añadió los párrafos 10A, 81 A, 81B y 82A, y eliminó los párrafos 12, 81, 83 y 84. Una entidad aplicará esas modificaciones a periodos anuales que comiencen a partir del 1 de julio de 2012. Se permite su aplicación anticipada. Si una entidad aplicase las modificaciones en un período que comience con anterioridad, revelará este hecho.
139K La NIC 19 Beneficios a los Empleados (modificada en junio de 2011) modificó la definición de "otro resultado integral" en el párrafo 7 y el párrafo 96. Una entidad aplicará esas modificaciones cuando aplique la NIC 19 (modificada en junio de 2011).
139L Mejoras Anuales, Ciclo 2009-2011, emitido en mayo de 2012, modificó los párrafos 10, 38 y 41, eliminó los párrafos 39 y 40 y añadió los párrafos 38A a 38D y 40A a 40D. Una entidad debe aplicar esas modificaciones retroactivamente de acuerdo con la NIC 8 Políticas Contables, Cambios en las Estimaciones Contables y Errores en los periodos anuales que comiencen a partir del 1 de enero de 2013. Se permite su aplicación anticipada. Si una entidad aplicase la modificación en un período que comience con anterioridad, revelará ese hecho.
139M [Eliminado]
139N La NIIF 15 Ingresos de Actividades Ordinarias Procedentes de Contratos con Clientes, emitida en mayo de 2014, modificó el párrafo 34. Una entidad aplicará esa modificación cuando aplique la NIIF 15.
1390 La NIIF 9, emitida en julio de 2014, modificó los párrafos 7, 68, 71, 82, 93, 95, 96, 106 y 123 y eliminó los párrafos 139E, 139G y 139M. Una entidad aplicará esas modificaciones cuando aplique la NIIF 9.
139P Iniciativa sobre Información a Revelar (Modificaciones a la NIC 1), emitida en diciembre de 2014, modificó los párrafos 10, 31,54 y 55, 82A, 85,113 y 114,117, 119 y 122, añadió los párrafos 30A, 55A, 85A y 85B y eliminó los párrafos 115 y 120. Una entidad aplicará esas modificaciones a periodos anuales que comiencen a partir del 1 de enero de 2016. Se permite su aplicación anticipada. No se requiere que las entidades revelen la información exigida por los párrafos 28 a 30 de la NIC 8 en relación con estas modificaciones.
139Q La NIIF 16 Arrendamientos, emitida en enero de 2016, modificó el párrafo 123. Una entidad aplicará esa modificación cuando aplique la NIIF 16.
139R [Párrafo no utilizado] Este párrafo se refiere a una modificación que todavía no está vigente, y no está por ello, incluida en esta norma. El texto del párrafo será incorporado en el marco técnico local una vez se haga la recomendación para la aplicación de la NIIF 17 Contratos de seguros, la cual se encuentra en discusión pública.
139S Modificaciones a las Referencias al Marco Conceptual en las Normas NIIF, emitida en 2018 modificó los párrafos 7,15,19,20,23, 24, 28 y 89. Una entidad aplicará esas modificaciones a períodos anuales que comiencen a partir del 1 de enero de 2020. Se permite la aplicación anticipada si al mismo tiempo una entidad aplica también todas las demás modificaciones realizadas por Modificaciones a las Referencias al Marco Conceptual en las Normas NIIF. Una entidad aplicará las modificaciones a la NIC 1 de forma retroactiva, de acuerdo con la NIC 8 Políticas Contables, Cambios en las Estimaciones Contables y Errores. Sin embargo, si una entidad determina que la aplicación retroactiva fuera impracticable o implicará costos o esfuerzos desproporcionados, aplicará las modificaciones a la NIC 1 por referencia a los párrafos 23 a 28, 50 a 53 y 54F de la NIC 8.
139T Definición de Material o con Importancia Relativa (*) (Modificaciones a las NIC 1 y NIC 8), emitida en octubre de 2018, modificó el párrafo 7 de la NIC 1, y el párrafo 5 de la NIC 8, y eliminó el párrafo 6 de la NIC 8. Una entidad aplicará esas modificaciones de forma prospectiva a los periodos anuales que comiencen a partir del 1 de enero de 2020. Se permite su aplicación anticipada. Si una entidad aplica esas modificaciones en un periodo que comience con anterioridad, revelará este hecho.
(*) Mediante Decreto 2270 de 2019, en Colombia se ha incorporado dicha modificación.
139U Clasificación de Pasivos como Corrientes o No corrientes (*), emitida en enero de 2020 modificó los párrafos 69, 73, 74 y 76 y añadió los párrafos 72A, 75A, 76A y 76B. Una entidad aplicará esas modificaciones para los periodos anuales que comiencen a partir del 1 de enero de 2023 de forma retroactiva de acuerdo con la NIC 8. Se permite su aplicación anticipada. Si una entidad aplica esas modificaciones en un periodo que comience con anterioridad, revelará este hecho.
(*) Mediante Decreto 938 de 2021, en Colombia se ha incorporado dicha modificación, y es aplicable de manera obligatoria a partir del 1 de enero de 2023, se ha permitido su aplicación anticipada.
139V Información a Revelar sobre Políticas Contables, emitida en febrero de 2021, modificó los párrafos 7, 10, 114, 117 y 122 y añadió los párrafos 117A a 117E y eliminó los párrafos 118, 119 y 121. También modificó el Documento de Práctica de las NIIF N°2 Realización de Juicios sobre Materialidad o Importancia Relativa. Una entidad aplicará las modificaciones a la NIC 1 en los períodos anuales que comiencen a partir del 1 de enero de 2024 (fecha de aplicación en Colombia). Se permite su aplicación anticipada. Si una entidad aplica esas modificaciones en un periodo que comience con anterioridad, revelará este hecho.
Derogación de la NIC 1 (revisada en 2003)
140 [Párrafo no utilizado] Este párrafo se refiere a una derogatoria, antes que las Normas Internacionales de Información Financiera, fueran aplicables en Colombia.
POLÍTICAS CONTABLES, CAMBIOS EN LAS ESTIMACIONES CONTABLES Y ERRORES.
Objetivo
1 El objetivo de esta Norma es prescribir los criterios para seleccionar y modificar las políticas contables, así como el tratamiento contable y la información a revelar acerca de los cambios en las políticas contables, de los cambios en las estimaciones contables y de la corrección de errores. La Norma trata de realzar la relevancia y fiabilidad de los estados financieros de una entidad, así como la comparabilidad con los estados financieros emitidos por ésta en periodos anteriores, y con los elaborados por otras entidades.
2 Los requerimientos de información a revelar relativos a políticas contables, excepto los referentes a cambios en las políticas contables, han sido establecidos en la NIC 1 Presentación de Estados Financieros.
Alcance
3 Esta Norma se aplicará en la selección y aplicación de políticas contables, así como en la contabilización de los cambios en éstas, los cambios en las estimaciones contables y en la corrección de errores de periodos anteriores.
4 El efecto impositivo de la corrección de los errores de períodos anteriores, así como de los ajustes retroactivos efectuados al realizar cambios en las políticas contables se contabilizará de acuerdo con la NIC 12 Impuesto a las Ganancias, y se revelará la información requerida por esta Norma,
Definiciones
5 Los términos siguientes se usan, en esta Norma, con los significados que a continuación se especifican:
Políticas contables son los principios, bases, acuerdos, reglas y procedimientos específicos adoptados por la entidad en la elaboración y presentación de sus estados financieros.
Estimaciones contables son importes monetarios, en los estados financieros, que están sujetos a incertidumbre en la medición.
Las Normas Internacionales de Información Financiera (NIIF) son las Normas e Interpretaciones emitidas por el Consejo de Normas Internacionales de Contabilidad (IASB). Esas Normas comprenden:
(a) las Normas Internacionales de Información Financiera;
(b) las Normas Internacionales de Contabilidad;
(c) las Interpretaciones CINIIF; y
(d) Interpretaciones del SIC (definición de las NIIF modificada después de los cambios de nombre introducidos mediante la Constitución revisada de la Fundación IFRS en 2010).
Material: se define en el párrafo 7 de la NIC 1 y se utiliza en esta Norma con el mismo significado.
Errores de periodos anteriores son las omisiones e inexactitudes en los estados financieros de una entidad, para uno o más periodos anteriores, resultantes de un fallo al emplear o de un error al utilizar información fiable que:
(a) estaba disponible cuando los estados financieros para tales periodos fueron formulados; y
(b) podría esperarse razonablemente que se hubiera conseguido y tenido en cuenta en la elaboración y presentación de aquellos estados financieros.
Dentro de estos errores se incluyen los efectos de errores aritméticos, errores en la aplicación de políticas contables, la inadvertencia o mala interpretación de hechos, así como los fraudes.
La aplicación retroactiva consiste en aplicar una nueva política contable a transacciones, otros sucesos y condiciones, como si ésta se hubiera aplicado siempre.
La reexpresión retroactiva consiste en corregir el reconocimiento, medición e información a revelar de los importes de los elementos de los estados financieros, como si el error cometido en periodos anteriores no se hubiera cometido nunca.
Impracticable La aplicación de un requerimiento es impracticable cuando la entidad no pueda aplicarlo tras efectuar todos los esfuerzos razonables para hacerlo. Para un periodo anterior en particular, es impracticable aplicar un cambio en una política contable retroactivamente o realizar una reexpresión retroactiva para corregir un error si:
(a) los efectos de la aplicación o de la reexpresión retroactivas no son determinadles;
(b) la aplicación o la reexpresión retroactivas implican establecer suposiciones acerca de cuáles hubieran podido ser las intenciones de la gerencia en ese periodo; o
(c) la aplicación o la reexpresión retroactivas requieren estimaciones de importes significativos, y es imposible distinguir objetivamente información de tales estimaciones que:
(i) suministre evidencia de las circunstancias que existían en la fecha o fechas en que tales importes fueron reconocidos, medidos o fue revelada la correspondiente información; y
(ii) hubiera estado disponible cuando los estados financieros de los periodos anteriores fueron autorizados para su emisión a partir de otra información.
La aplicación prospectiva de un cambio en una política contable y del reconocimiento del efecto de un cambio en una estimación contable consiste, respectivamente, en:
(a) la aplicación de la nueva política contable a las transacciones, otros sucesos y condiciones ocurridos tras la fecha en que se cambió la política; y
(b) el reconocimiento del efecto del cambio en la estimación contable para el periodo corriente y los periodos futuros afectados por dicho cambio.
6 [Eliminado]
Políticas contables
Selección y aplicación de políticas contables
7 Cuando una NIIF sea específicamente aplicable a una transacción, otro evento o condición, la política o políticas contables aplicadas a esa partida se determinarán aplicando la NIIF concreta.
8 En las NIIF se establecen políticas contables sobre las que el IASB ha llegado a la conclusión de que dan lugar a estados financieros que contienen información relevante y fiable sobre las transacciones, otros eventos y condiciones a las que son aplicables. Estas políticas no necesitan ser aplicadas cuando el efecto de su utilización no sea significativo. Sin embargo, no es adecuado dejar de aplicar las NIIF, o dejar de corregir errores, apoyándose en que el efecto no es significativo, con el fin de alcanzar una presentación particular de la posición financiera de la entidad, de su rendimiento financiero o de sus flujos de efectivo.
9 Las NIIF se acompañan de gulas que ayudan a las entidades a aplicar sus requerimientos. Todas estas guías señalan si son parte integrante de las NIIF. Las gulas que sean parte integrante de las NIIF serán de cumplimiento obligatorio. Las guías que no sean parte integrante de las NIIF no contienen requerimientos aplicables a los estados financieros.
10 En ausencia de una NIIF que sea aplicable específicamente a una transacción o a otros hechos o condiciones, la gerencia deberá usar su juicio en el desarrollo y aplicación de una política contable, a fin de suministrar información que sea:
(a) relevante para las necesidades de toma de decisiones económicas de los usuarios; y
(b) fiable, en el sentido de que los estados financieros:
(i) presenten de forma fidedigna la situación financiera, el rendimiento financiero y los flujos de efectivo de la entidad;
(ii) reflejen la esencia económica de las transacciones, otros eventos y condiciones, y no simplemente su forma legal;
(iii) sean neutrales, es decir, libres de prejuicios o sesgos;
(iv) sean prudentes; y
(v) estén completos en todos sus extremos significativos,
11 Al realizar los juicios descritos en el párrafo 10, la gerencia se referirá, en orden descendente, a las siguientes fuentes a la hora de considerar su aplicabilidad:
(a) los requerimientos de las NI1F que traten temas similares y relacionados; y
(b) las definiciones, los criterios de reconocimiento y medición de activos, pasivos, ingresos y gastos establecidos en el Marco Conceptual para la Información Financiera (Marco Conceptual) (*)
(*) El párrafo 54G explica cómo se modifica este requerimiento para los saldos contables de actividades reguladas.
12 Al realizar los juicios descritos en el párrafo 10, la gerencia podrá considerar también los pronunciamientos más recientes de otras instituciones emisoras de normas que empleen un marco conceptual similar al emitir normas contables, así como otra literatura contable y las prácticas aceptadas en los diferentes sectores de actividad, en la medida que no entren en conflicto con las fuentes señaladas en el párrafo 11.
Uniformidad de las políticas contables
13 Una entidad seleccionará y aplicará sus políticas contables de manera uniforme para transacciones, otros eventos y condiciones que sean similares, a menos que una NIIF requiera o permita específicamente establecer categorías de partidas para las cuales podría ser apropiado aplicar diferentes políticas. Si una NIIF requiere o permite establecer esas categorías, se seleccionará una política contable adecuada, y se aplicará de manera uniforme a cada categoría.
Cambios en las políticas contables
14 La entidad cambiará una política contable sólo si tal cambio:
(a) se requiere por una NIIF; o
(b) lleva a que los estados financieros suministren información fiable y más relevante sobre los efectos de las transacciones, otros eventos o condiciones que afecten a la situación financiera, el rendimiento financiero o los flujos de efectivo de la entidad.
15 Los usuarios de los estados financieros tienen la necesidad de poder comparar los estados financieros de una entidad a lo largo del tiempo, a fin de identificar tendencias en su situación financiera, rendimiento financiero y flujos de efectivo. En consecuencia, se aplicarán las mismas políticas contables dentro de cada periodo, así como de un periodo a otro, excepto si se presentase algún cambio en una política contable que cumpliera alguno de los criterios del párrafo 14.
16 Las siguientes situaciones no constituyen cambios en las políticas contables:
(a) la aplicación de una política contable para transacciones, otros eventos o condiciones que difieren sustancialmente de aquéllos que han ocurrido previamente; y
(b) la aplicación de una nueva política contable para transacciones, otros eventos o condiciones que no han ocurrido anteriormente o que, de ocurrir, carecieron de materialidad.
17 La aplicación por primera vez de una política que consista en la revaluación de activos, de acuerdo con la NIC 16 Propiedades, Planta y Equipo, o con la NIC 38 Activos Intangibles, es un cambio de política contable que ha de ser tratado como una revaluación, de acuerdo con la NIC 16 o con la NIC 38, en lugar de aplicar las disposiciones contenidas en esta Norma.
18 Los párrafos 19 a 31 no serán de aplicación a los cambios en las políticas contables descritos en el párrafo 17.
Aplicación de los cambios en políticas contables
19 Con sujeción al párrafo 23:
(a) la entidad contabilizará un cambio en una política contable derivado de la aplicación inicial de una NIIF de acuerdo con las disposiciones transitorias específicas de tales NIIF, si las hubiera; y
(b) cuando la entidad cambie una política contable, ya sea por la aplicación inicial de una NIIF que no incluya una disposición transitoria específica aplicable a tal cambio, o porque haya decidido cambiarla de forma voluntaria, aplicará dicho cambio retroactivamente.
20 Para los propósitos de esta Norma, la aplicación anticipada de una NIIF no se considerará un cambio voluntario en una política contable.
21 En ausencia de una NIIF específicamente aplicable a una transacción u otros eventos o condiciones, la gerencia podrá, de acuerdo con el párrafo 12, aplicar una política contable considerando los pronunciamientos más recientes de otras instituciones emisoras de normas que empleen un marco conceptual similar al emitir normas contables. SI, debido a una modificación de tal pronunciamiento, la entidad optase por el cambio de una política contable, ese cambio se contabilizará y se revelará como un cambio voluntario de una política contable.
Aplicación retroactiva
22 Con sujeción a la limitación establecida en el párrafo 23, cuando un cambio en una política contable se aplique retroactivamente de acuerdo con los apartados (a) o (b) del párrafo 19, la entidad ajustará los saldos iniciales de cada componente afectado del patrimonio para el periodo anterior más antiguo que se presente, revelando información acerca de los demás importes comparativos para cada periodo anterior presentado, como si la nueva política contable se hubiese estado aplicando siempre. Limitaciones a la aplicación retroactiva
23 Cuando sea obligatoria la aplicación retroactiva en función de lo establecido en los apartados (a) o (b) del párrafo 19, el cambio en la política contable se aplicará retroactivamente, salvo y en la medida en que fuera impracticable determinar los efectos del cambio en cada periodo específico o el efecto acumulado.
24 Cuando sea impracticable determinar los efectos que se derivan, en cada periodo específico, del cambio de una política contable sobre la información comparativa en uno o más periodos anteriores para los que se presente información, la entidad aplicará la nueva política contable a los saldos iniciales de los activos y pasivos al principio del periodo más antiguo para el que la aplicación retroactiva sea practicable –que podría ser el propio periodo corriente–y efectuará el correspondiente ajuste a los saldos iniciales de cada componente del patrimonio que se vea afectado para ese periodo.
25 Cuando sea impracticable determinar el efecto acumulado, al principio del periodo corriente, por la aplicación de una nueva política contable a todos los periodos anteriores, la entidad ajustará la información comparativa aplicando la nueva política contable de forma prospectiva, desde la fecha más antigua en que sea practicable hacerlo.
26 Cuando la entidad aplique una nueva política contable retroactivamente, la aplicará a la información comparativa de periodos anteriores, retrotrayéndose en el tiempo tanto como sea practicable. La aplicación retroactiva a un periodo anterior no será practicable a menos que sea posible determinar el efecto acumulado tanto sobre los importes de apertura como de cierre del estado de situación financiera correspondiente a ese periodo. El importe del ajuste resultante, referido a los periodos previos a los presentados en los estados financieros, se llevará contra los saldos iniciales de cada componente afectado del patrimonio del periodo previo más antiguo sobre el que se presente información. Normalmente, el ajuste se hace contra las ganancias acumuladas. Sin embargo, los ajustes pueden hacerse contra otro componente del patrimonio (por ejemplo, para cumplir con una NIIF). Cualquier otro tipo de información que se incluya respecto a periodos anteriores, tal como resúmenes históricos de datos financieros, será asimismo objeto de ajuste, retrotrayéndose en el tiempo tanto como sea practicable.
27 Cuando sea impracticable para la entidad aplicar una nueva política contable retroactivamente, debido a que no pueda determinar el efecto acumulado de la aplicación de la política para todos los periodos anteriores, la entidad, de acuerdo con el párrafo 25, aplicará la nueva política contable de forma prospectiva desde el inicio del periodo más antiguo que sea practicable. En consecuencia, se ignorará la porción del ajuste acumulado de los activos, pasivos y patrimonio surgido antes de esa fecha. Se permitirán los cambios de políticas contables, incluso si fuera impracticable la aplicación de dicha política de forma prospectiva a algún periodo anterior. Los párrafos 50 a 53 suministran guías sobre cuándo resulta impracticable aplicar una nueva política contable a uno o más periodos anteriores.
Información a revelar
28. Cuando la aplicación por primera vez de una NIIF tenga efecto en el periodo corriente o en alguno anterior –salvo que fuera impracticable determinar el importe del ajuste– o bien pudiera tener efecto sobre periodos futuros, la entidad revelará:
(a) el título de la NIIF;
(b) en su caso, que el cambio en la política contable se ha efectuado de acuerdo con su disposición transitoria;
(c) la naturaleza del cambio en la política contable;
(d) en su caso, una descripción de la disposición transitoria;
(e) en su caso, la disposición transitoria que podría tener efectos sobre periodos futuros;
(f) para el periodo corriente y para cada periodo anterior presentado, en la medida en que sea practicable, el importe del ajuste:
(i) para cada partida del estado financiero que se vea afectada; y
(ii) si la NIC 33 Ganancias por Acción es aplicable a la entidad, para las ganancias por acción tanto básicas como diluidas;
(g) el importe del ajuste relativo a periodos anteriores presentados, en la medida en que sea practicable; y
(h) si la aplicación retroactiva exigida por los apartados (a) o (b) del párrafo 19 fuera impracticable para un periodo previo en concreto, o para periodos anteriores sobre los que se presente información, las circunstancias que conducen a la existencia de esa situación, y una descripción de cómo y desde cuándo se ha aplicado el cambio en la política contable.
No es necesario repetir esta información a revelar en estados financieros de periodos posteriores.
29. Cuando un cambio voluntario en una política contable tenga efecto en el periodo corriente o en alguno anterior, tendría efecto en ese periodo excepto que sea impracticable determinar el importe del ajuste – o bien pudiera tener efecto sobre periodos futuros, la entidad revelará:
(a) la naturaleza del cambio en la política contable;
(b) las razones por las que la aplicación de la nueva política contable suministra información fiable y más relevante Información;
(c) para el periodo corriente y para cada periodo anterior presentado, en la medida en que sea practicable, el importe del ajuste:
(i) para cada partida del estado financiero que se vea afectada; y
(ii) si la NIC 33 es aplicable a la entidad, para las ganancias por acción tanto básicas como diluidas;
(d) el Importe del ajuste relativo a periodos anteriores presentados, en la medida en que sea practicable; y
(e) si la aplicación retroactiva fuera impracticable para un periodo anterior en particular, o para periodos anteriores presentados, las circunstancias que conducen a esa situación, junto con una descripción de cómo y desde cuándo se ha aplicado el cambio en la política contable.
Esta información a revelar podrá omitirse en los estados financieros de periodos posteriores.
30 Cuando una entidad no haya aplicado una nueva NIIF que, habiendo sido emitida, todavía no ha entrado en vigor, la entidad deberá revelar:
(a) este hecho; y
(b) información relevante, conocida o razonablemente estimada, para evaluar el posible impacto que la aplicación de la nueva NIIF tendrá sobre los estados financieros de la entidad en el periodo en que se aplique por primera vez.
31 Para cumplir con el párrafo 30, la entidad revelará:
(a) el título de la nueva NIIF;
(b) la naturaleza del cambio o cambios inminentes en la política contable;
(c) la fecha en la cual es obligatoria la aplicación de la NIIF;
(d) la fecha a partir de la que está previsto aplicar la NIIF por primera vez; y
(e) una u otra de las siguientes informaciones:
(i) una explicación del impacto esperado, derivado de la aplicación inicial de la NIIF, sobre los estados financieros de la entidad; o
(ii) si el impacto fuera desconocido o no pudiera ser estimado razonablemente, una declaración al efecto.
Estimaciones contables
32 Una política contable podría requerir que elementos de los estados financieros se midan de una forma que comporte incertidumbre en la medición – es decir, la política contable podría requerir que estos elementos se midan por Importes monetarios que no pueden observarse directamente y deben ser estimados. En este caso, una entidad desarrolla una estimación contable para lograr el objetivo establecido por la política contable. El desarrollo de estimaciones contables implica el uso de juicios o supuestos basados en la última información disponible que sea fiable. Ejemplos de estimaciones contables Incluyen:
(a) una corrección de valor por pérdidas crediticias esperadas, aplicando la NIIF 9 Instrumentos Financieros;
(b) el valor neto realizable de un elemento de inventario, aplicando la NIC 2 Inventarios',
(c) el valor razonable de un activo o pasivo, aplicando la NIIF 13 Medición del Valor Razonable;
(d) el gasto por depreciación de un elemento de propiedades, planta y equipo aplicando la NIC 16; y
(e) una provisión para obligaciones por garantías concedidas, aplicando la NIC 37 Provisiones, Pasivos Contingentes y Activos Contingentes.
32A Para desarrollar una estimación contable, una entidad utiliza técnicas de medición y datos de entrada. Las técnicas de medición incluyen técnicas de estimación (por ejemplo, técnicas utilizadas para medir una corrección de valor por pérdidas crediticias esperadas aplicando la NIIF 9) y técnicas de valoración (por ejemplo, técnicas usadas para medir el valor razonable de un activo o pasivo aplicando la NIIF 13).
32B El término "estimación" en las NIIF, en ocasiones, hace referencia a una estimación que no es una estimación contable tal como se define en esta Norma. Por ejemplo, en ocasiones, hace referencia a un dato de entrada utilizado al desarrollar estimaciones contables.
33 La utilización de estimaciones razonables es una parte esencial de la elaboración de los estados financieros, y no menoscaba su fiabilidad.
Cambios en las estimaciones contables
34 Una entidad podría necesitar revisar una estimación contable si se produjesen cambios en las circunstancias en que se basa la estimación contable, o como consecuencia de nueva información obtenida, nuevos desarrollos o de poseer más experiencia. Por su propia naturaleza, un cambio en una estimación contable no está relacionada con periodos anteriores ni tampoco es una corrección de un error.
34A Los efectos sobre una estimación contable de un cambio en un dato de entrada o en una técnica de medición son cambios en estimaciones contables, a menos que procedan de la corrección de errores de periodos anteriores.
35 Un cambio en los criterios de medición aplicados es un cambio en una política contable, y no un cambio en una estimación contable. Cuando sea difícil distinguir entre un cambio de política contable y un cambio en una estimación contable, el cambio se tratará como si fuera un cambio en una estimación contable.
36 El efecto de un cambio en una estimación contable, diferente de aquellos cambios a los que se aplique el párrafo 37, se reconocerá de forma prospectiva, incluyéndolo en el resultado de:
(a) el periodo en que tiene lugar el cambio, si éste afecta solo a ese periodo; o
(b) el periodo del cambio y periodos futuros, sí el cambio afectase a todos ellos.
37 En la medida que un cambio en una estimación contable dé lugar a cambios en activos y pasivos, o se refiera a una partida de patrimonio, deberá ser reconocido ajustando el valor en libros de la correspondiente partida de activo, pasivo o patrimonio en el periodo en que tiene lugar el cambio.
Aplicación de los cambios en estimaciones contables
38 El reconocimiento prospectivo del efecto de un cambio en una estimación contable significa que el cambio se aplica a las transacciones, otros eventos y condiciones, a partir de esa fecha del cambio. Un cambio en una estimación contable podría afectar únicamente al resultado del periodo corriente, o bien al de éste y al de periodos futuros. Por ejemplo, un cambio en una corrección de valor por pérdidas crediticias esperadas afectará sólo al resultado del periodo corriente y, por tanto, se reconocerá en el periodo actual. Sin embargo, un cambio en la vida útil estimada, o en los patrones de consumo de los beneficios económicos futuros incorporados a un activo depreciable, afectará al gasto por depreciación del periodo corriente y de cada uno de los periodos de vida útil restantes del activo. En ambos casos, el efecto del cambio relacionado con el periodo corriente se reconoce como Ingreso o gasto del periodo corriente. El efecto, si existiese, en periodos futuros se reconoce como ingreso o gasto de dichos periodos futuros.
Información a revelar
39 La entidad revelará la naturaleza e importe de cualquier cambio en una estimación contable que haya producido efectos en el periodo corriente, o que se espere vaya a producirlos en periodos futuros, exceptuándose de lo anterior la revelación de información del efecto sobre periodos futuros, en el caso de que fuera impracticable estimar ese efecto.
40 Si no se revela el importe del efecto en periodos futuros debido a que la estimación es impracticable, la entidad revelará este hecho.
Errores
41 Los errores pueden surgir al reconocer, medir, presentar o revelar la información de los elementos de los estados financieros. Los estados financieros no cumplen con las NIIF si contienen errores, tanto materiales como inmateriales, cuando han sido cometidos intencionadamente para conseguir, respecto de una entidad, una determinada presentación de su situación financiera, el rendimiento financiero o los flujos de efectivo de la entidad. Los errores potenciales del periodo corriente, descubiertos en este mismo periodo, se corregirán antes de que los estados financieros sean autorizados para la emisión. Sin embargo, los errores materiales en ocasiones no se descubren hasta un periodo posterior, de forma que tales errores de periodos anteriores se corregirán en la información comparativa presentada en los estados financieros de los periodos siguientes (véanse los párrafos 42 a 47).
42 Con sujeción a lo establecido en el párrafo 43, la entidad corregirá los errores materiales de periodos anteriores, de forma retroactiva, en los primeros estados financieros formulados después de haberlos descubierto;
(a) reexpresando la información comparativa para el periodo o periodos anteriores en los que se originó el error; o
(b) si el error ocurrió con anterioridad al periodo más antiguo para el que se presenta información, reexpresando los saldos iniciales de activos, pasivos y patrimonio para dicho periodo.
Limitaciones a la reexpresión retroactiva
43 El error correspondiente a un periodo anterior se corregirá mediante la reexpresión retroactiva, salvo que sea impracticable determinar los efectos en cada periodo específico o el efecto acumulado del error.
44 Cuando sea impracticable determinar los efectos que se derivan, en cada periodo específico, de un error sobre la Información comparativa de uno o más periodos anteriores para los que se presente información, la entidad reexpresará los saldos iniciales de los activos, pasivos y patrimonio para los periodos más antiguos en los cuales tal reexpresión retroactiva sea practicable {que podría también ser el propio periodo corriente).
45 Cuando sea impracticable determinar el efecto acumulado, al principio del periodo actual, de un error sobre todos los periodos anteriores, la entidad reexpresará la información comparativa corrigiendo el error de forma prospectiva, desde la fecha más antigua en que sea practicable hacerlo.
46 El efecto de la corrección de un error de periodos anteriores no se incluirá en el resultado del periodo en el que se descubra el error. Cualquier otro tipo de información que se incluya respecto a periodos anteriores, tales como resúmenes históricos de datos financieros, será objeto de reexpresión, yendo tan atrás como sea posible.
47 Cuando sea impracticable determinar el importe de un error para todos los periodos previos {por ejemplo, una equivocación al aplicar una política contable), la entidad, de acuerdo con el párrafo 45, reexpresará la Información comparativa de forma prospectiva desde la fecha más remota posible. En consecuencia, se Ignorará la porción del ajuste acumulado de activos, pasivos y patrimonio que haya surgido antes de esa fecha. En los párrafos 50 a 53 se suministran guías sobre cuándo resulta impracticable corregir un error para uno o más periodos anteriores.
48 La corrección de errores puede distinguirse con facilidad de los cambios en las estimaciones contables. Las estimaciones contables son, por su naturaleza, aproximaciones que pueden necesitar un cambio cuando se tenga conocimiento de información adicional. Por ejemplo, las pérdidas o ganancias reconocidas como resultado del desenlace de una contingencia no constituyen la corrección de un error.
Información a revelar sobre errores de periodos anteriores
49 En aplicación del párrafo 42, una entidad revelará la siguiente información:
(a) la naturaleza del error del periodo anterior;
(b) para cada periodo anterior presentado, en la medida que sea practicable, el importe del ajuste:
(i) para cada partida del estado financiero que se vea afectada; y
(ii) para el importe de la ganancia por acción tanto básica como diluida, si la NIC 33 fuera aplicable a la entidad;
(c) el importe del ajuste al principio del periodo anterior más antiguo sobre el que se presente información; y
(d) si fuera impracticable la reexpresión retroactiva para un periodo anterior en particular, las circunstancias que conducen a esa situación, junto con una descripción de cómo y desde cuándo se ha corregido el error.
No es necesario repetir esta información a revelar en estados financieros de periodos posteriores.
Impracticabilidad de la aplicación y de la reexpresión retroactivas
50 En algunas circunstancias, es impracticable el ajuste de la información comparativa de uno o más periodos anteriores cuando se desea conseguir la comparabilidad con el periodo corriente. Por ejemplo, los datos podrían no haberse obtenido, en el periodo o periodos anteriores, de forma que permitan la aplicación retroactiva de una nueva política contable {incluyendo, para el propósito de los párrafos 51 a 53, su aplicación prospectiva a periodos anteriores), o la reexpresión retroactiva para corregir un error de un periodo anterior, como consecuencia de lo cual la reconstrucción de la información es impracticable.
51 Con frecuencia es necesario efectuar estimaciones al aplicar una política contable a los elementos de los estados financieros reconocidos o revelados que hacen referencia a determinadas transacciones, otros sucesos y condiciones. La estimación es subjetiva en sí misma, y podría haberse realizado después del periodo sobre el que se informa. El desarrollo de estimaciones puede ser todavía más difícil cuando se aplica retroactivamente una política contable, o cuando se efectúa una reexpresión retroactiva para corregir un error de periodos anteriores, debido al dilatado periodo de tiempo que podría haber transcurrido desde que se produjo la transacción afectada u ocurrió el otro suceso o condición objeto de la reexpresión. Sin embargo, el objetivo de una estimación, que se refiere a periodos anteriores, es el mismo que para las estimaciones realizadas en el periodo corriente, esto es, una y otra han de reflejar las circunstancias existentes cuando la transacción, suceso o condición haya ocurrido.
52 En consecuencia, la aplicación retroactiva de una nueva política contable o la corrección de un error de un periodo anterior exigen diferenciar la información que:
(a) suministra evidencia de las circunstancias existentes en la fecha o fechas en las que la transacción, otro suceso o condición hayan ocurrido, y
(b) hubiera estado disponible cuando los estados financieros de los periodos anteriores fueron formulados
de otro tipo de información. Para algunos tipos de estimaciones (por ejemplo, una medición del valor razonable que utiliza datos de entrada no observables significativos), es impracticable distinguir estos tipos de Información. Cuando la aplicación retroactiva o la reexpresión retroactiva exijan efectuar estimaciones significativas, para las que sea imposible distinguir aquellos dos tipos de información, resultará impracticable aplicar la nueva política contable o corregir el error del período previo de forma retroactiva.
53 Cuando se esté aplicando una nueva política contable o se corrijan importes de un periodo anterior, no debe utilizarse la retrospectiva, ya consista en suposiciones acerca de las intenciones que hubiera tenido la gerencia en un periodo previo o en estimaciones de los importes que se hubieran reconocido, medido o revelado en tal periodo anterior. Además, cuando una entidad corrija un error de un período anterior en el cálculo de sus pasivos a favor de los empleados por ausencias acumuladas en caso de enfermedad de acuerdo con la NIC 19 Beneficios a los Empleados, no considerará la información sobre una epidemia grave de gripe estacional que haya aparecido en el siguiente periodo, si este dato sólo pudo conocerse después de que los estados financieros para el periodo anterior fueran autorizados para su emisión. El hecho de que se requieren con frecuencia estimaciones significativas al modificar la información comparativa presentada para periodos anteriores no impide ajustar o corregir razonablemente dicha información comparativa.
Fecha de vigencia y transición
54 Una entidad aplicará esta Norma para los periodos anuales que comiencen a partir del 1 de enero de 2005. Se aconseja su aplicación anticipada. Si una entidad aplicase esta Norma en un periodo que comience antes del 1 de enero de 2005, revelará este hecho.
54A [Eliminado]
54B [Eliminado]
54C La NIIF 13 Medición del Valor Razonable, emitida en mayo de 2011, modificó el párrafo 52. Una entidad aplicará esa modificación cuando aplique la NIIF 13.
54D [Eliminado]
54E La NIIF 9 Instrumentos Financieros, emitida en julio de 2014, modificó el párrafo 53 y eliminó los párrafos 54A, 54B y 54D. Una entidad aplicará esas modificaciones cuando aplique la NIIF 9.
54F Modificaciones a las Referencias al Marco Conceptual en las Normas NIIF, emitida en 2018 modificó los párrafos 6 y 11 (b). Una entidad aplicará esas modificaciones a periodos anuales que comiencen a partir del 1 de enero de 2020. Se permite la aplicación anticipada si al mismo tiempo una entidad aplica también todas las demás modificaciones realizadas por Modificaciones a las Referencias al Marco Conceptual en las Normas NIIF. Una entidad aplicará las modificaciones a los párrafos 6 y 11(b) de forma retroactiva de acuerdo con esta Norma. Sin embargo, si una entidad determina que la aplicación retroactiva fuera impracticable o implicará costos o esfuerzos desproporcionados, aplicará las modificaciones a los párrafos 6 y 11 (b) por referencia a los párrafos 23 a 28 de esta Norma. Si la aplicación retroactiva de cualquier modificación en Modificaciones a las Referencias al Marco Conceptual en las Normas NIIF implicaría un costo o esfuerzo desproporcionado, una entidad interpretará, al aplicar los párrafos 23 a 28 de esta Norma, cualquier referencia, excepto en la última frase del párrafo 27 a "es impracticable" como que "implica costo o esfuerzo desproporcionado" y cualquier referencia a "practicable" como "posible sin costo o esfuerzo desproporcionado".
54G Si una entidad no aplica la NIIF 14 Cuentas de Diferimientos de Actividades Reguladas, al aplicar el párrafo 11 (b) a los saldos contables de actividades reguladas, continuará haciendo referencia a las definiciones, criterios de reconocimiento y conceptos de medición del Marco Conceptual para la Preparación y Presentación de los Estados Financieros, y considerará su aplicabilidad, en lugar de hacer referencia a los del Marco Conceptual. Un saldo contable de actividades reguladas es el saldo de cualquier cuenta de gasto (o ingreso) que no se reconoce como un activo o un pasivo de acuerdo con otras Normas NIIF aplicables, sino que se incluye o se espera que se incluya, por el regulador de la tarifa al establecer la tarifa (o tarifas) que pueden cargarse a los clientes. Un regulador de tarifas es un organismo autorizado que tiene poder por ley o regulación para establecer la tarifa o un rango de tarifas que vinculan a una entidad. El regulador de tarifas puede ser un organismo tercero o una parte relacionada de la entidad, incluyendo el órgano de dirección propio de la entidad, si se requiere por ley o regulación que ese organismo establezca tarifas en interés de los clientes y asegure la viabilidad financiera global de la entidad.
54H Definición de Material o con Importancia Relativa (Modificaciones a las NIC 1 y NIC 8), emitida en octubre de 2018, modificó el párrafo 7 de la NIC 1, y el párrafo 5 de la NIC 8, y eliminó el párrafo 6 de la NIC 8. Una entidad aplicará esas modificaciones de forma prospectiva a los periodos anuales que comiencen a partir del 1 de enero de 2020. Se permite su aplicación anticipada. Si una entidad aplica esas modificaciones en un periodo que comience con anterioridad, revelará este hecho (*).
(*) Mediante Decreto 2270 de 2019, en Colombia se ha Incorporado dicha modificación.
54I Definición de Estimaciones Contables, emitida en febrero de 2021, modificó los párrafos 5, 32, 34, 38 y 48 y añadió los párrafos 32A, 32B, 21C y 34A. Una entidad aplicará estas modificaciones a periodos anuales sobre los que se informa que comiencen a partir del 1 de enero de 2024 (fecha de aplicación en Colombia). Se permite su aplicación anticipada. Una entidad aplicará las modificaciones a cambios en estimaciones contables y a cambios en políticas contables que tengan lugar a partir del inicio del primer periodo anual en el que se utilicen las modificaciones.
Derogación de otros pronunciamientos
55 - 56 [Párrafos no utilizados] Estos párrafos se refieren a una derogatoria, antes que las Normas Internacionales de Información Financiera, fueran aplicables en Colombia.
IMPUESTO A LAS GANANCIAS.
Objetivo
El objetivo de esta Norma es prescribir el tratamiento contable del impuesto a las ganancias. El principal problema al contabilizar el impuesto a las ganancias es cómo tratar las consecuencias actuales y futuras de;
(a) la recuperación (liquidación) en el futuro del importe en libros de los activos (pasivos) que se han reconocido en el estado de situación financiera de la entidad; y
(b) las transacciones y otros sucesos del periodo corriente que han sido objeto de reconocimiento en los estados financieros.
Tras el reconocimiento, por parte de la entidad que informa, de cualquier activo o pasivo, está Inherente la expectativa de que recuperará el primero o liquidará el segundo, por los valores en libros que figuran en las correspondientes partidas. Cuando sea probable que la recuperación o liquidación de los valores contabilizados vaya a dar lugar a pagos fiscales futuros mayores (menores) de los que se tendrían si tal recuperación o liquidación no tuviera consecuencias fiscales, la presente Norma exige que la entidad reconozca un pasivo por el impuesto diferido, (activo) con algunas excepciones muy limitadas.
Esta Norma exige que las entidades contabilicen las consecuencias fiscales de las transacciones y otros sucesos de la misma manera que contabilizan esas mismas transacciones o sucesos económicos. Así, los efectos fiscales de transacciones y otros sucesos que se reconocen en el resultado del periodo se registran también en los resultados. Para las transacciones y otros sucesos reconocidos fuera del resultado (ya sea en otro resultado integral o directamente en el patrimonio), cualquier efecto impositivo relacionado también se reconoce fuera del resultado (ya sea en otro resultado integral o directamente en el patrimonio). De forma similar, el reconocimiento de los activos por impuestos diferidos y pasivos en una combinación de negocios afectará al importe de la plusvalía que surge en esa combinación de negocios o al importe reconocido de una compra en condiciones muy ventajosas.
Esta Norma también aborda el reconocimiento de activos por impuestos diferidos que aparecen ligados a pérdidas y créditos fiscales no utilizados, así como la presentación del impuesto a las ganancias en los estados financieros, incluyendo la información a revelar sobre los mismos.
Alcance
1 Esta Norma se aplicará en la contabilización del impuesto a las ganancias.
2 Para los propósitos de esta Norma, el término impuesto a las ganancias incluye todos los impuestos, ya sean nacionales, o extranjeros, que se relacionan con las ganancias sujetas a imposición. El impuesto a las ganancias incluye también otros tributos, tales como las retenciones sobre dividendos, que se pagan por parte de una entidad subsidiaria, asociada o acuerdo conjunto sobre las distribuciones de la entidad que informa.
3 [Eliminado]
4 Esta Norma no aborda los métodos de contabilización de las subvenciones del gobierno (véase la NIC 20 Contabilización de las Subvenciones del Gobierno e Información a Revelar sobre Ayudas Gubernamentales), ni de los créditos fiscales por inversiones. Sin embargo, la Norma se ocupa de la contabilización de las diferencias temporarias que pueden derivarse de tales subvenciones o deducciones fiscales.
Definiciones
5 Los términos siguientes se usan en esta Norma con los significados que a continuación se especifican:
Ganancia contable es la ganancia neta o la pérdida neta del periodo antes de deducir el gasto por el impuesto a las ganancias.
Ganancia fiscal {pérdida fiscal) es la ganancia (pérdida) de un periodo, calculada de acuerdo con las reglas establecidas por las autoridades fiscales sobre la que se pagan (recuperan) los impuestos a las ganancias.
Gasto (ingreso) por el impuesto a las ganancias es el importe total que, por este concepto, se incluye al determinar la ganancia o pérdida neta del periodo, conteniendo tanto el impuesto corriente como el diferido.
Impuesto corriente es la cantidad a pagar (recuperar) por el impuesto a las ganancias [relativo a la ganancia (pérdida) fiscal del periodo.
Pasivos por impuestos diferidos son las cantidades de impuestos sobre las ganancias a pagar en periodos futuros, relacionadas con las diferencias temporarias imponibles.
Activos por impuestos diferidos son las cantidades de impuestos sobre las ganancias a recuperar en periodos futuros, relacionadas con:
(a) las diferencias temporarias deducibles;
(b) la compensación de pérdidas obtenidas en periodos anteriores que todavía no hayan sido objeto de deducción fiscal; y
(c) la compensación de créditos no utilizados procedentes de periodos anteriores.
Las diferencias temporarias son las que existen entre el importe en libros de un activo o pasivo en el estado de situación financiera y su base fiscal. Las diferencias temporarias pueden ser:
(a) diferencias temporarias imponibles, que son aquellas diferencias temporarias que dan lugar a cantidades imponibles al determinar la ganancia (pérdida) fiscal correspondiente a periodos futuros, cuando el importe en libros del activo sea recuperado o el del pasivo sea liquidado; o
(b) diferencias temporarias deducibles, que son aquellas diferencias temporarias que dan lugar a cantidades que son deducibles al determinar la ganancia (pérdida) fiscal correspondiente a periodos futuros, cuando el importe en libros del activo sea recuperado o el del pasivo sea liquidado.
La base fiscal de un activo o pasivo es el importe atribuido, para fines fiscales, a dicho activo o pasivo.
6 El gasto (ingreso) por el impuesto a las ganancias comprende tanto la parte relativa al gasto (ingreso) por el impuesto corriente como la correspondiente al gasto (ingreso) por el impuesto diferido.
Base fiscal
7 La base fiscal de un activo es el importe que será deducidle a efectos fiscales de los beneficios económicos imponibles que, obtenga la entidad en el futuro, cuando recupere el importe en libros de dicho activo. Si tales beneficios económicos no tributan, la base fiscal del activo será igual a su importe en libros.
Ejemplos
1 El costo de una máquina es de 100. De los mismos, ya ha sido deducida una depreciación acumulada de 30, en el periodo corriente y en los anteriores, y el resto del costo será deducible en futuros periodos, ya sea como depreciación o como un importe deducible en caso de disposición del activo en cuestión. Los ingresos de actividades ordinarias generados por el uso de la máquina tributan, las eventuales ganancias obtenidas por su disposición son también objeto de tributación y las eventuales pérdidas por la disposición son fiscalmente deducibles. La base fiscal de la máquina es, por tanto, de 70.
2 Los intereses por cobrar tienen un importe en libros de 100. Fiscalmente, estos ingresos por intereses serán objeto de tributación cuando se cobren. La base fiscal de los intereses por cobrar es cero.
3 Los deudores comerciales de una entidad tienen un importe en libros de 100. Los ingresos de actividades ordinarias correspondientes a los mismos han sido ya incluidos para la determinación de la ganancia (pérdida) fiscal. La base Fiscal de los deudores comerciales es de 100.
4 Los dividendos a cobrar de una subsidiaria tienen un importe en libros de 100. Tales dividendos no tributan. En esencia, la totalidad del importe en libros del activo es deducible de los beneficios económicos. En consecuencia, la base fiscal de los dividendos por cobrar es de 100.(B)
5 Un préstamo concedido por la entidad tiene un importe en libros de 100. El reembolso del préstamo no tiene ninguna consecuencia fiscal. La base fiscal del préstamo concedido es de 100.
Ejemplos
(a) Bajo esta forma de análisis, no existen diferencias temporarias imponibles. Otra forma alternativa de realizar el análisis es la de suponer que los dividendos acumulados (o devengados) a cobrar tienen una base fiscal de cero, y que se aplica una tasa fiscal del cero por ciento a la diferencia temporaria imponible por valor de 100. En cualquiera de las dos formas de análisis no existe ningún pasivo por impuestos diferidos.
8 La base fiscal de un pasivo es igual a su importe en libros menos cualquier importe que, eventualmente, sea deducible fiscalmente respecto de tal partida en periodos futuros. En el caso de ingresos de actividades ordinarias que se reciben de forma anticipada, la base fiscal del pasivo correspondiente es su importe en libros, menos cualquier eventual importe de ingresos de actividades ordinarias que no resulte imponible en periodos futuros.
Ejemplos
1 Entre los pasivos corrientes se encuentran deudas provenientes de gastos acumulados (o devengados), con un Importe en libros de 100. El gasto correspondiente será deducible fiscalmente cuando se pague. La base fiscal de las deudas por esos gastos acumulados (devengados) es cero.
2 Entre los pasivos corrientes se encuentran ingresos por intereses cobrados por anticipado, con un importe en libros de 100. El correspondiente ingreso de actividades ordinarias tributa precisamente cuando se cobra. La base fiscal de los intereses cobrados por anticipado es cero.
3 Entre los pasivos corrientes se encuentran deudas provenientes de gastos acumulados (o devengados), con un importe en libros de 100. El gasto correspondiente ya ha sido objeto de deducción fiscal. La base fiscal de las deudas por gastos acumulados (o devengados) es de 100.
4 Entre los pasivos financieros corrientes se encuentran sanciones y multas con un importe en libros de 100, Ni las sanciones ni las multas son deducidles fiscalmente. La base fiscal de las sanciones y multas acumuladas (o devengadas) es de 100.(a)
5 Un préstamo recibido tiene un importe en libros de 100. El reembolso del préstamo no tiene ninguna consecuencia fiscal. La base fiscal del préstamo concedido es de 100.
(a) Bajo esta forma de análisis, no existen diferencias temporarias deducibles. Otra forma alternativa de realizar el análisis consiste en suponer que las sanciones y multas a pagar tienen una base fiscal de cero, y que se aplica una tasa fiscal del cero por ciento a la diferencia temporaria deducible de 100 que resulta. En cualquiera de las dos formas de análisis, no existe ningún activo por impuestos diferidos,
9 Algunas partidas tienen base fiscal aunque no figuren reconocidas como activos ni pasivos en el estado de situación financiera. Por ejemplo, los costos de Investigación contabilizados como un gasto, al determinar la ganancia contable en el periodo en que se incurren, que no son gastos deducibles para la determinación de la ganancia (pérdida) fiscal hasta un periodo posterior. La diferencia entre la base fiscal de los costos de investigación, esto es el importe que la autoridad fiscal permitirá deducir en periodos futuros, y el importe en libros nulo es una diferencia temporaria deducible que produce un activo por Impuestos diferidos.
10 Cuando la base fiscal de un activo o un pasivo no resulte obvia inmediatamente, es útil considerar el principio fundamental sobre el que se basa esta Norma, esto es, que la entidad debe, con ciertas excepciones muy limitadas, reconocer un pasivo (activo) por impuestos diferidos, siempre que la recuperación o el pago del importe en libros de un activo o pasivo vaya a producir pagos fiscales mayores (menores) que los que resultarían si tales recuperaciones o pagos no tuvieran consecuencias fiscales. El ejemplo C que sigue al párrafo 51A ilustra las circunstancias en las que puede ser útil considerar este principio fundamental; por ejemplo, cuando la base fiscal de un activo o un pasivo dependen de la forma en que se espera recuperar o pagar el mismo.
11 En los estados financieros consolidados, las diferencias temporarias se determinarán comparando el importe en libros de los activos y pasivos con la base fiscal que resulte apropiada para los mismos. La base fiscal se calculará tomando como referencia la declaración fiscal consolidada en aquellas jurisdicciones, o países en su caso, en las que tal declaración se presenta. En otras jurisdicciones, la base fiscal se determinará tomando como referencia las declaraciones fiscales de cada entidad del grupo en particular.
Reconocimiento de pasivos y activos por impuestos corrientes
12 El impuesto corriente, correspondiente al periodo presente y a los anteriores, debe ser reconocido como un pasivo en la medida en que no haya sido liquidado. Si la cantidad ya pagada, que corresponda al periodo presente y a los anteriores, excede el importe a pagar por esos períodos, el exceso debe ser reconocido como un activo.
13 El importe a cobrar que corresponda a una pérdida fiscal, si ésta puede ser retrotraída para recuperar las cuotas corrientes satisfechas en periodos anteriores, debe ser reconocido como un activo.
14 Cuando una pérdida fiscal se utilice para recuperar el impuesto corriente pagado en periodos anteriores, la entidad reconocerá tal derecho como un activo, en el mismo periodo en el que se produce la citada pérdida fiscal, puesto que es probable que la entidad obtenga el beneficio económico derivado de tal derecho, y además este beneficio puede ser medido de forma fiable.
Reconocimiento de pasivos y activos por impuestos diferidos
Diferencias temporarias imponibles
15 Se reconocerá un pasivo de naturaleza fiscal por causa de cualquier diferencia temporaria imponible, a menos que la diferencia haya surgido por:
(a) el reconocimiento inicial de una plusvalía; o
(b) el reconocimiento inicial de un activo o pasivo en una transacción que:
(i) no sea una combinación de negocios;
(ii) en el momento de la transacción, no afecte ni a la ganancia contable ni a la ganancia (pérdida) fiscal; y
(iii) en el momento de la transacción no da lugar a diferencias temporarias imponibles y deducibles de igual importe.
Sin embargo, debe ser reconocido un pasivo diferido de carácter fiscal, con las precauciones establecidas en el párrafo 39, por diferencias temporarias imponibles asociadas con inversiones en entidades subsidiarias, sucursales y asociadas, o con participaciones en acuerdos conjuntos.
16 Todo reconocimiento de un activo lleva inherente la suposición de que su importe en libros se recuperará, en forma de beneficios económicos, que la entidad recibirá en periodos futuros. Cuando el importe en libros del activo exceda a su base fiscal, el importe de los beneficios económicos imponibles excederá al importe fiscalmente deducidle de ese activo. Esta diferencia será una diferencia temporaria imponible, y la obligación de pagar los correspondientes impuestos en futuros periodos será un pasivo por impuestos diferidos. A medida que la entidad recupere el importe en libros del activo, la diferencia temporaria deducidle irá revirtiendo y, por tanto, la entidad tendrá una ganancia imponible. Esto hace probable que los beneficios económicos salgan de la entidad en forma de pagos de impuestos. Por lo anterior, esta Norma exige el reconocimiento de todos los pasivos por impuestos diferidos, salvo en determinadas circunstancias que se describen en los párrafos 15 y 39.
Ejemplo
Un activo cuyo costo histórico fue de 150, tiene un importe en libros de 100. La depreciación acumulada, a efectos fiscales, es de 90 y la tasa impositiva es el 25%.
La base fiscal del activo es de 60 (costo de 150 menos depreciación fiscal acumulada de 90). Para recuperar el importe en libros de 100, la entidad debe obtener ganancias fiscales por importe de 100, aunque solo podrá deducir una depreciación fiscal de 60. A consecuencia de lo anterior, la entidad deberá pagar impuestos sobre las ganancias por valor de 10 (el 25% de 40), a medida que vaya recuperando el importe en libros del activo. La diferencia entre el importe en libros de 100 y la base fiscal de 60, es una diferencia temporaria imponible de 40. Por tanto, la entidad reconocerá un pasivo por impuestos diferidos por importe de 10 (el 25% de 40) que representa los impuestos a satisfacer, a medida que vaya recuperando el importe en libros del activo.
17 Ciertas diferencias temporarias surgen cuando los gastos o los Ingresos se registran contablemente en un periodo, mientras que se computan fiscalmente en otro. Tales diferencias temporarias son conocidas también con el nombre de diferencias temporales. Los que siguen son ejemplos de diferencias temporarias de esta naturaleza, que constituyen diferencias temporarias Imponibles y que por tanto dan lugar a pasivos por impuestos diferidos:
(a) ingresos por actividades ordinarias por intereses, que se incluyen en la ganancia contable en proporción al tiempo transcurrido, pero pueden, en algunos regímenes fiscales, ser computados fiscalmente en el momento en que se cobran. La base fiscal de cualquier cuenta por cobrar reconocida en el estado de situación financiera procedente de tales ingresos de actividades ordinarias es cero, puesto que los ingresos por actividades ordinarias correspondientes no afectarán a la ganancia fiscal hasta que sean cobrados;
(b) la depreciación utilizada para determinar la ganancia (pérdida) fiscal puede ser diferente que la calculada para efectos contables. La diferencia temporaria es la diferencia entre el importe en libros del activo y su base fiscal, que será igual al costo original menos todas las deducciones respecto del citado activo que hayan sido permitidas por las normas fiscales, para determinar la ganancia fiscal del período actual y de los anteriores. En estas condiciones surgirá una diferencia temporaria imponible, que producirá un pasivo por impuestos diferidos, cuando la depreciación a efectos fiscales sea acelerada (si la depreciación fiscal es menor que la registrada contablemente, surgirá una diferencia temporaria deducible, que producirá un activo por impuestos diferidos); y
(c) los costos de desarrollo pueden ser objeto de capitalización y amortización en periodos posteriores, a efectos de determinar la ganancia contable, pero deducidos fiscalmente en el periodo en que se hayan producido. Estos costos de desarrollo capitalizados tienen una base fiscal igual a cero, puesto que ya han sido completamente deducidos de la ganancia fiscal. La diferencia temporaria es la que resulta de restar el importe en libros de los costos de desarrollo y su base fiscal nula.
18 Las diferencias temporarias surgen también cuando:
(a) los activos identificables adquiridos y los pasivos asumidos en una combinación de negocios se reconocen por sus valores razonables de acuerdo con la NllF 3 Combinaciones de Negocios, pero no se realizan ajustes equivalentes a efectos fiscales (véase el párrafo 19);
(b) se revalúan los activos, pero no se realiza un ajuste similar a efectos fiscales (véase el párrafo 20);
(c) surge una plusvalía en una combinación de negocios (véase el párrafo 21);
(d) la base fiscal de un activo o un pasivo, en el momento de ser reconocido por primera vez, difiere de su importe en libros inicial, por ejemplo, cuando una entidad se beneficia de subvenciones gubernamentales no imponibles relativas a activos (véanse los párrafos 22 y 33); o
(e) el importe en libros de las inversiones en subsidiarias, sucursales y asociadas, o el de la participación en acuerdos conjuntos, difiere de la base fiscal de estas mismas partidas (véanse los párrafos 38 a 45).
Combinaciones de negocios
19 Con limitadas excepciones, los activos identificables adquiridos y pasivos asumidos en una combinación de negocios se reconocerán según sus valores razonables en la fecha de la adquisición. Las diferencias temporarias aparecerán cuando las bases fiscales de los activos identificables adquiridos y los pasivos identificables asumidos no se modifiquen por la combinación de negocios o lo hagan de forma diferente. Por ejemplo, surgirá una diferencia temporaria imponible, que dará lugar a un pasivo por impuestos diferidos, en el caso de que el importe en libros de un determinado activo se incremente hasta su valor razonable tras la combinación, pero la base fiscal del activo sea el costo del propietario anterior. El pasivo por impuestos diferidos resultante afectará a la plusvalía (véase el párrafo 66).
Activos contabilizados por su valor razonable
20 Las NIIF permiten o requieren que ciertos activos se contabilicen a su valor razonable, o bien que sean revaluados (véanse, por ejemplo, la NIC 16 Propiedades, Planta y Equipo, laNIC38Acf/vos Intangibles, la NIC 40 Propiedades de Inversión, la NIIF 9 Instrumentos Financieros y la NIIF 16 Arrendamientos). En algunas jurisdicciones, la revaluación o cualquier otra reexpresión del valor del activo a valor razonable afecta a la ganancia (pérdida) fiscal del periodo corriente. Como resultado de esto, se ajusta la base fiscal del activo, y no surge ninguna diferencia temporaria. En otras jurisdicciones, sin embargo, la revaluación o reexpresión de un activo no afecta a la ganancia fiscal del periodo en que una u otra se llevan a efecto, y por tanto no se ajusta la base fiscal. No obstante, la recuperación futura del importe en libros producirá un flujo fiscal de beneficios económicos para la entidad, y los importes que serán deducibles para efectos fiscales serán diferentes de las cuantías de esos beneficios económicos. La diferencia entre el importe en libros de un activo revaluado y su base fiscal, es una diferencia temporaria, y da lugar a un activo o pasivo por impuestos diferidos. Esto se cumple incluso cuando:
(a) la entidad no desea disponer del activo. En estos casos, el importe en libros del activo se recuperará mediante el uso, lo que generará beneficios fiscales por encima de la depreciación deducible fiscalmente en periodos futuros; o
(b) se difiera el pago de impuestos sobre las ganancias, a condición de que el importe de la disposición de los activos se reinvierta en otros similares. En estos casos el impuesto se acabará pagando cuando se vendan los nuevos activos, o bien a medida que vayan siendo utilizados.
Plusvalía
21 La plusvalía que surja en una combinación de negocios se medirá como el exceso del apartado (a) sobre el (b) siguientes:
(a) Suma de;
(i) la contraprestación transferida medida de acuerdo con la NIIF 3, que, generalmente, se requiere que sea el valor razonable en la fecha de la adquisición;
(ii) el importe de cualquier participación no controladora en la adquirida reconocida de acuerdo con la NIIF 3; y
(iii) en una combinación de negocios llevada a cabo por etapas, el valor razonable en la fecha de adquisición de la participación previa de la adquirente en el patrimonio de la adquirida.
(b) El neto de los importes en la fecha de la adquisición de los activos identificables adquiridos y de los pasivos asumidos medidos de acuerdo con la NIIF 3.
Muchas autoridades fiscales no permiten reducciones en el Importe en libros de la plusvalía como gasto deducible al determinar la ganancia fiscal. Además, en estos países, el costo de la plusvalía no suele ser deducible, cuando la entidad subsidiaria dispone de los negocios de los cuales procede. En estas jurisdicciones, la plusvalía tiene una base fiscal igual a cero. Cualquier diferencia entre el importe en libros de la plusvalía y su base fiscal nula, será una diferencia temporaria imponible. No obstante, esta Norma no permite el reconocimiento del pasivo por impuestos diferidos correspondiente, puesto que la plusvalía se mide de forma residual, y el reconocimiento de un pasivo de esta naturaleza podría incrementar el importe en libros de la plusvalía.
21A Las reducciones posteriores de un pasivo por impuestos diferidos, que no se ha reconocido porque surge del reconocimiento inicial de una plusvalía, se considerarán que proceden del reconocimiento inicial de la plusvalía y, por tanto, no se reconocerán, según el párrafo 15(a). Por ejemplo, si en una combinación de negocios una entidad reconoce una plusvalía de 100 u.m. que tiene una base fiscal nula, el párrafo 15(a) prohíbe que la entidad reconozca el pasivo por impuestos diferidos resultante. Si la entidad reconociera posteriormente una pérdida por deterioro del valor de esa plusvalía de 20 u.m., el importe de la diferencia temporaria imponible relacionada con la plusvalía, se reducirá desde 100 u.m. hasta 80 u.m., con el correspondiente decremento en el valor del pasivo por impuestos diferidos no reconocido. Ese decremento no reconocido en el valor del pasivo por impuestos diferidos también se lo considera relacionado con el reconocimiento inicial de la plusvalía y, por tanto, el párrafo 15(a) prohíbe su reconocimiento.
21B Los pasivos por impuestos diferidos por diferencias temporarias imponibles relacionados con la plusvalía se reconocerán, sin embargo, en la medida en que no hayan surgido del reconocimiento inicial de esa plusvalía. Por ejemplo, sí en una combinación de negocios una entidad reconoce una plusvalía de 100 u.m., que es deducible a efectos fiscales a una tasa del 20 por ciento anual, comenzando desde el año de la adquisición, la base fiscal de la plusvalía es de 100 u.m. en el momento del reconocimiento inicial, y de 80 u.m. al final del año de adquisición. Si el importe en libros de la plusvalía al final del año de la adquisición permanece constante en 100 u.m., surgirá al final de ese año una diferencia temporaria imponible por 20 u.m. Puesto que esa diferencia temporaria imponible no se relaciona con el reconocimiento inicial de la plusvalía se reconocerá el correspondiente pasivo por impuestos diferidos.
Reconocimiento inicial de un activo o pasivo
22 En el reconocimiento inicial de un activo o de un pasivo puede surgir una diferencia temporaria, si, por ejemplo, una parte o la totalidad del costo de un activo no es deducidle a efectos fiscales. El método de contabilización de esta diferencia temporaria dependerá de la naturaleza de la transacción que haya llevado al reconocimiento inicial del activo o del pasivo:
(a) en una combinación de negocios, una entidad reconocerá cualquier pasivo o activo por impuestos diferidos y esto afecta al importe con que se reconoce la plusvalía o la ganancia por una compra en condiciones muy ventajosas (véase el párrafo 19);
(b) si la transacción afecta a la ganancia contable o a la ganancia fiscal o da lugar a diferencias temporarias deducidles e imponibles de igual importe, una entidad reconocerá cualquier pasivo o activo por impuestos diferidos, a la vez que reconocerá el correspondiente ingreso o gasto por impuesto diferido, en el resultado del periodo (véase el párrafo 59);
(c) si la transacción no es una combinación de negocios, no afecta ni a la ganancia contable ni a la ganancia fiscal, y no da lugar a diferencias temporarias deducidles e imponibles de igual importe una entidad podría reconocer el correspondiente activo o pasivo por impuestos diferidos, siempre que no se diese la exención a la que se refieren los párrafos 15 y 24, y ajustar por tanto el importe en libros del activo o del pasivo por el mismo monto. Tales ajustes podrían hacer menos transparentes los estados financieros. Por lo tanto, esta Norma no permite a las entidades reconocer el mencionado activo o pasivo por impuestos diferidos, ya sea en el momento del registro inicial o posteriormente (véase el ejemplo que ilustra este párrafo). Además, las entidades no reconocerán tampoco, a medida que el activo se deprecie, los cambios subsiguientes en el activo o el pasivo por impuestos diferidos que no se haya registrado inicialmente.
Ejemplo ilustrativo del párrafo 22(c)
Una entidad planea utilizar un activo, cuyo costo ha sido de 1.000, a lo largo de su vida útil de cinco años, y luego venderlo a un valor residual de cero. La tasa impositiva vigente es del 40%. La depreciación del activo no es deducible fiscalmente, Al proceder a su venta, cualquier ganancia de capital obtenida no tributa, y si se produjeran pérdidas no serían deducibles.
A medida que la entidad va recuperando el importe en libros del activo, la entidad obtendrá ingresos gravadles de 1.000 y pagará impuestos por 400. La entidad no ha de reconocer el correspondiente pasivo por impuestos diferidos por valor de 400 porque se deriva del registro Inicial del activo.
Al año siguiente, el importe en libros del activo será de 800. A medida que se vayan obteniendo los ingresos gravables de 800, la entidad pagará impuestos por valor de 320. La entidad no ha de reconocer el pasivo por impuestos diferidos de 320 porque se deriva del registro inicial del activo.
22A Una transacción que no es una combinación de negocios puede conducir al reconocimiento inicial de un activo o un pasivo y, en el momento de la transacción, no afectar ni a la ganancia contable ni a la ganancia fiscal. Por ejemplo, al comienzo de la fecha de un arrendamiento, un arrendatario reconoce, habitualmente, un pasivo por arrendamiento y el correspondiente importe como parte del costo de un activo por derecho de uso. En función de la legislación fiscal aplicable, en una transacción de este tipo, pueden surgir diferencias temporarias imponibles y deducibles de igual importe en el momento del reconocimiento inicial del activo y del pasivo. La exención proporcionada por los párrafos 15 y 24 no se aplica a estas diferencias temporarias y una entidad reconoce cualquier activo y pasivo por impuestos diferidos resultante.
23 De acuerdo con la NIC 32 Instrumentos Financieros; Presentación, el emisor de un instrumento financiero compuesto (por ejemplo, un bono convertible) procederá a clasificar el componente de pasivo del instrumento como un pasivo, y el componente de patrimonio como una partida del patrimonio, En algunos países, la base fiscal del componente de pasivo es igual al importe en libros inicial de la suma de los componentes de pasivo y patrimonio. La diferencia temporaria imponible aparecerá al registrar, ya desde el momento inicial, el componente de pasivo y el de patrimonio del instrumento por separado. Por tanto, la excepción establecida en el párrafo 15(b) no será aplicable. En consecuencia, la entidad procederá a reconocer el correspondiente pasivo por impuestos diferidos. Según el párrafo 61 A, el impuesto diferido se carga directamente al importe en libros del componente de patrimonio. Según el párrafo 58, los cambios posteriores en el pasivo por impuestos diferidos se reconocerán, en el resultado, como gastos (ingresos) por impuestos diferidos.
Diferencias temporarias deducibles
24 Se reconocerá un activo por impuestos diferidos, por causa de todas las diferencias temporarias deducidles, en la medida en que resulte probable que la entidad disponga de ganancias fiscales futuras contra las que utilizar esas diferencias temporarias deducidles, salvo que el activo por impuestos diferidos aparezca por causa del reconocimiento inicial de un activo o pasivo en una transacción que:
(a) no es una combinación de negocios;
(b) en el momento de la transacción, no afecte ni a la ganancia contable ni a la ganancia (pérdida) fiscal; y
(c) en el momento de la transacción, no da lugar a diferencias temporarias imponibles y deducidles de Igual importe.
No obstante, debe reconocerse un activo por impuestos diferidos, de acuerdo con lo establecido en el párrafo 44, para las diferencias temporarias deducidles asociadas con inversiones en entidades subsidiarias, sucursales y asociadas, así como con participaciones en acuerdos conjuntos.
25 Detrás del reconocimiento de cualquier pasivo, está inherente la expectativa de que la cantidad correspondiente será liquidada, en futuros periodos, por medio de una salida de recursos, que incorporen beneficios económicos. Cuando tales recursos salgan efectivamente de la entidad, una parte o la totalidad de sus importes pueden ser deducibles para la determinación de la ganancia fiscal, en periodos posteriores al del reconocimiento del pasivo. En estos casos se producirá una diferencia temporaria entre el importe en libros del citado pasivo y su base fiscal. Por consiguiente, aparecerá un activo por impuestos diferidos, respecto a los impuestos sobre las ganancias que se recuperarán en periodos posteriores, cuando sea posible la deducción del pasivo para determinar la ganancia fiscal. De forma similar, si el importe en libros de un activo es menor que su base fiscal, la diferencia entre ambos importes dará lugar a un activo por impuestos diferidos respecto a los impuestos sobre las ganancias que se recuperarán en periodos posteriores.
Ejemplo
Una entidad reconoce una obligación de pago por importe de 100, derivada de la provisión por garantías de productos vendidos. El importe de la provisión dotada no es deducidle a efectos fiscales, hasta que la entidad pague las correspondientes reclamaciones. La tasa fiscal es del 25%.
La base fiscal del pasivo creado por la provisión tiene valor nulo (importe en libros de 100 menos el importe que será deducible fiscalmente respecto del pasivo en periodos futuros). Al satisfacer la provisión por su importe en libros, la entidad reducirá su ganancia fiscal por importe de 100 y, consecuentemente, reducirá también los pagos de impuestos por importe de 25 (25% de 100). La diferencia entre el importe en libros de 100 y la base fiscal, que tiene un valor nulo, es una diferencia temporaria deducible por valor de 100. Por tanto, la entidad reconocerá un activo por impuestos diferidos de 25 (25% de 100), siempre que sea probable que pueda obtener suficiente ganancia fiscal en periodos posteriores como para conseguir tal reducción en los pagos por el impuesto.
26 Los siguientes son ejemplos de diferencias temporarias deducibles que dan lugar a activos por impuestos diferidos:
(a) los costos por beneficios por retiro, que pueden deducirse para determinar la ganancia contable, a medida que se reciben los servicios de los empleados, pero que no se pueden deducir fiscalmente hasta que la entidad los pague efectivamente a los trabajadores, o haga las correspondientes aportaciones a un fondo externo para que los gestione. En este caso existirá una diferencia temporaria entre el importe en libros del pasivo y su base fiscal; base fiscal que habitualmente tendrá valor nulo. Esta diferencia temporaria deducible hará surgir el activo por impuestos diferidos a medida que los beneficios económicos entren en la entidad, en la forma de una deducción del beneficio fiscal cuando se paguen los beneficios por retiro o se realicen las aportaciones al fondo externo;
(b) los costos de investigación se tratan como un gasto del periodo en que se producen al determinar la ganancia contable, pero su deducción a efectos fiscales puede no estar permitida hasta un periodo posterior a efectos del cálculo de la ganancia (pérdida) fiscal. La diferencia entre la base fiscal de los gastos de investigación, esto es el importe que la autoridad fiscal permitirá deducir en periodos futuros, y el importe en libros nulo, que será igual a cero, es una diferencia temporaria deducible que da lugar a un activo por impuestos diferidos;
(c) con limitadas excepciones, una entidad reconocerá los activos identificables adquiridos y los pasivos asumidos en una combinación de negocios por sus valores razonables, en la fecha de adquisición. Si se reconoce un pasivo asumido en la fecha de adquisición, pero los costos relacionados no se deducen para determinar el beneficio fiscal hasta un periodo posterior, surge una diferencia temporaria deducible que dará lugar a un activo por impuestos diferidos. También surge un activo por impuestos diferidos cuando el valor razonable de un activo identificable adquirido es inferior a su base fiscal. En ambos casos, el activo por impuestos diferidos resultante afectará a la plusvalía (véase el párrafo 66); y
(d) ciertos activos pueden ser contabilizados por su valor razonable, o pueden ser revaluados sin que se haga un ajuste similar para fines fiscales (véase el párrafo 20). En tal caso, aparecerá una diferencia temporaria deducible, siempre que la base fiscal del activo exceda a su importe en libros.
Ejemplos que ilustran el párrafo 26(d)
Identificación de una diferencia temporaria deducible al final del Año 2;
La Entidad A compra por 1.000 u.m,, al comienzo del Año 1 un instrumento de deuda con un valor nominal de 1.000 u.m. pagadero al vencimiento dentro de 5 años con una tasa de interés del 2% pagaderos al final de cada año. La tasa efectiva de interés es del 2%. El instrumento de deuda se mide al valor razonable.
Al final del Año 2, el valor razonable del instrumento de deuda ha disminuido a 918 u.m, como consecuencia de un incremento en las tasas de interés del mercado al 5%. Es probable que la Entidad A reciba todos los flujos de efectivo contractuales si se retiene hasta su vencimiento.
Cualquier ganancia (pérdida) sobre el instrumento de deuda es imponible (deducible) solo cuando se realice. Las ganancias (pérdidas) que surgen de la venta o vencimiento del instrumento de deuda se calculan a efectos fiscales como la diferencia entre el importe cobrado y el costo original del instrumento de deuda.
Por consiguiente, la base fiscal del instrumento de deuda es su costo original.
La diferencia entre el importe en libros del instrumento de deuda en el estado de situación financiera de la Entidad A de 918 u.m. y su base fiscal de 1.000 u.m. da lugar a una diferencia temporaria deducible de 82 u.m. al final del Año 2 [véanse los párrafos 20 y 26(d)j, independientemente de si la Entidad A espera recuperar el importe en libros del instrumento de deuda mediante la venta o el uso, es decir, reteniéndolo y cobrando los flujos de efectivo contractuales, o una combinación de ambos.
Esto es porque las diferencias temporarias deducibles son diferencias entre el importe en libros de un activo o un pasivo en el estado de situación financiera y su base fiscal, que dan lugar a cantidades que serán deducibles al determinarla ganancia (pérdida) fiscal de periodos futuros, cuando el importe en libros del activo o del pasivo sea recuperado o liquidado (véase el párrafo 5). La Entidad A obtiene una deducción equivalente a la base fiscal del activo de 1.000 u.m. al determinarla ganancia fiscal (pérdida fiscal) en el momento de la venta o del vencimiento.
27 La reversión de las diferencias temporarias deducibles dará lugar, como su propio nombre indica, a reducciones en la determinación de las ganancias fiscales de periodos futuros. No obstante, los beneficios económicos, en forma de reducciones en pagos de impuestos, llegarán a la entidad solo si es capaz de obtener ganancias fiscales suficientes como para cubrir las posibles deducciones. Por tanto, la entidad reconocerá activos fiscales por impuestos diferidos, solo si es probable que disponga de esos beneficios fiscales futuros contra los que cargar las deducciones por diferencias temporarias.
27A Cuando una entidad evalúa si estarán disponibles las ganancias fiscales contra las cuales se pueda utilizar una diferencia temporaria deducible, considerará si la legislación fiscal restringe las fuentes de las ganancias fiscales contra las que pueda realizar deducciones en el momento de la reversión de esa diferencia temporaria deducidle. Si la legislación fiscal no impone estas restricciones, una entidad evaluará una diferencia temporaria deducidle en condonación con todas las demás. Sin embargo, si las leyes fiscales restringen la utilización de pérdidas a deducir contra el ingreso de un tipo específico, una diferencia temporaria deducidle se evaluará en condonación solo con otras diferencias temporarias deducidles del tipo apropiado.
28 Será probable que se disponga de ganancias fiscales, contra los que cargar las deducciones por diferencias temporarias, siempre que existan diferencias temporarias imponibles en cuantía suficiente, relacionadas con la misma autoridad fiscal y referidas a la misma entidad fiscal, cuya reversión se espere:
(a) en el mismo periodo en el que se prevea que reviertan las diferencias temporarias deducidles; o
(d) en periodos en los que una pérdida fiscal, surgida por un activo por impuestos diferidos, pueda ser compensada con ganancias anteriores o posteriores.
En tales circunstancias, se reconocerá un activo por impuestos diferidos en el periodo en que aparezcan las diferencias temporarias deducidles.
29 Cuando el importe de las diferencias temporarias imponibles, relacionadas con la misma autoridad fiscal y a la misma entidad fiscal, sea insuficiente, solo se reconocerán activos por impuestos diferidos en la medida que se den cualquiera de estos supuestos:
(a) cuando sea probable que la entidad vaya a tener suficientes ganancias fiscales, relacionadas con la misma autoridad fiscal y a la misma entidad fiscal, en el mismo periodo en el que reviertan las diferencias temporarias deducidles (o en los periodos en los que la pérdida fiscal, procedente de un activo por impuestos diferidos, pueda ser compensada con ganancias anteriores o posteriores). Para evaluar si habrá suficiente ganancia fiscal en periodos futuros, una entidad:
(i) comparará las diferencias temporarias deducidles con ganancias fiscales futuras que excluyan las deducciones fiscales procedentes de la reversión de dichas diferencias temporarias deducidles. Esta comparación muestra la medida en que la ganancia fiscal futura será suficiente para que la entidad deduzca los importes procedentes de la reversión de las diferencias temporarias deducidles.
(ii) ignorará los importes imponibles que procedan de diferencias temporarias deducidles que se espera surjan en periodos futuros, puesto que los activos por impuestos diferidos, que surjan por causa de dichas diferencias temporarias deducidles, requerirán ellos mismos ganancias futuras para poder ser realizados efectivamente, o
(b) cuando la entidad tenga la posibilidad de aprovechar oportunidades de planificación fiscal para crear ganancias fiscales en los periodos oportunos.
29A La estimación de la ganancia fiscal futura probable podría incluir la recuperación de algunos de los activos de una entidad por un importe superior a su importe en libros si existe evidencia suficiente de que es probable que la entidad logre esto. Por ejemplo, cuando se mide un activo a valor razonable, la entidad considerará si existe evidencia suficiente para concluir que es probable que recuperará el activo por más de su importe en libros. Este puede ser el caso, por ejemplo, cuando una entidad espera mantener un instrumento de deuda de tasa fija y recauda los flujos de efectivo contractuales.
30 Las oportunidades de planificación fiscal son acciones que la entidad puede emprender para crear, o incrementar, ganancias fiscales en un determinado periodo, antes de que prescriba la posibilidad de deducir una pérdida fiscal u otro crédito por operaciones anteriores en el tiempo. Por ejemplo, en algunos países puede crearse, o incrementarse, la ganancia fiscal por medio de las siguientes actuaciones:
(a) eligiendo el momento de la tributación de los ingresos por intereses, ya sea en el momento en que sean exigibles o en el momento de recibirlos;
(b) difiriendo el ejercicio del derecho de ciertas deducciones sobre la ganancia fiscal;
(c) vendiendo, y quizá arrendando posteriormente con opción de compra, activos que se han revaluado pero cuya base fiscal no ha sido objeto de ajuste para reflejar la subida de valor; y
(d) vendiendo un activo que genere ganancias no imponibles (como por ejemplo, en ciertos países, los bonos emitidos por el Estado), para comprar otras inversiones que generen ganancia imponible.
En el caso de que las oportunidades de planificación fiscal anticipen la ganancia tributable de un periodo posterior a otro previo en el tiempo, la utilización de las pérdidas o de los créditos fiscales por operaciones de periodos anteriores aún dependerá de la existencia de ganancias tributadles futuras, de fuentes distintas a las que puedan originar diferencias temporarias en el futuro.
31 Cuando la entidad tiene un historial de pérdidas recientes, habrá de considerar las guías que se ofrecen en los párrafos 35 y 36.
32 [Eliminado]
Plusvalía
32A Si el importe en libros de la plusvalía que surge en una combinación de negocios es menor que su base imponible, la diferencia da lugar a un activo por impuestos diferidos. El activo por impuestos diferidos que surge en el reconocimiento Inicial de la plusvalía deberá reconocerse como parte de la contabilización de una combinación de negocios en la medida en que sea probable que se encuentre disponible el beneficio fiscal contra el cual se pueda utilizar la diferencia temporaria deducidle.
Reconocimiento inicial de un activo o pasivo
33 Un caso donde aparecerá un activo por impuestos diferidos, tras el reconocimiento inicial de un activo, es cuando la subvención del gobierno relacionada con el mismo se deduce del costo para determinar el Importe en libros del activo en cuestión, pero sin embargo no se deduce para efectos del importe depreciable fiscalmente (en otras palabras, es parte de la base fiscal); en este supuesto el Importe en libros del activo será inferior a su base fiscal, lo cual hará aparecer una diferencia temporaria deducidle. Las subvenciones del gobierno pueden también ser contabilizadas como ingresos diferidos, en cuyo caso la diferencia entre el Importe del ingreso diferido y su base fiscal, que es nula, será una diferencia temporaria deducidle. Sea uno u otro el método que la entidad adopte para la contabilización, nunca procederá a reconocer el activo por impuestos diferidos resultante, por las razones que se han dado en el párrafo 22.
Pérdidas y créditos fiscales no utilizados
34 Debe reconocerse un activo por impuestos diferidos, siempre que se puedan compensar, con ganancias fiscales de periodos posteriores, pérdidas o créditos fiscales no utilizados que la ganancia impositiva futura estará disponible contra la que puedan utilizarse las pérdidas fiscales no utilizadas y los créditos fiscales no utilizados.
35 Los criterios a emplear para el reconocimiento de los activos por impuestos diferidos, que nacen de la posibilidad de compensación de pérdidas y créditos fiscales no utilizados, son los mismos que los utilizados para reconocer activos por impuestos diferidos surgidos de las diferencias temporarias deducidles. No obstante, la existencia de pérdidas fiscales no utilizadas puede ser una evidencia para suponer que, en el futuro, no se dispondrá de ganancias fiscales. Por tanto, cuando una entidad tiene en su historial pérdidas recientes, procederá a reconocer un activo por impuestos diferidos surgido de pérdidas o créditos fiscales no utilizados, solo si dispone de una cantidad suficiente de diferencias temporarias imponibles, o bien si existe alguna otra evidencia convincente de que dispondrá en el futuro de suficiente ganancia fiscal, contra la que cargar dichas pérdidas o créditos. En estas circunstancias, el párrafo 82 exige revelar la cuantía del activo por impuestos diferidos, así como la naturaleza de la evidencia en que se apoya el reconocimiento del mismo.
36 Al evaluar la probabilidad de disponer de ganancias fiscales contra las que cargar las pérdidas o créditos fiscales no utilizados, la entidad puede considerar los siguientes criterios:
(a) si la entidad tiene suficientes diferencias temporarias imponibles, relacionadas con la misma autoridad fiscal, y referidas a la misma entidad fiscal, que puedan dar lugar a importes imponibles, en cantidad suficiente como para usar contra ellos las pérdidas o créditos fiscales no utilizados, antes de que el derecho de utilización expire;
(b) si es probable que la entidad tenga ganancias fiscales antes de que prescriba el derecho de compensación de las pérdidas o créditos fiscales no utilizados;
(c) si las pérdidas fiscales no utilizadas han sido producidas por causas identificadles, cuya repetición es improbable; y
(d) si la entidad dispone de oportunidades de planificación fiscal (véase el párrafo 30) que vayan a generar ganancias fiscales en los periodos en que las pérdidas o los créditos fiscales puedan ser utilizados.
En la medida en que no sea probable disponer de ganancias fiscales contra las que resulte factible utilizar las pérdidas o créditos fiscales no utilizados, no se procederá a reconocer los activos por impuestos diferidos.
Reconsideración de activos por impuestos diferidos no reconocidos
37 Al final del periodo sobre el que se informa, una entidad evaluará nuevamente los activos por impuestos diferidos no reconocidos. En ese momento la entidad procederá a registrar un activo de esta naturaleza, anteriormente no reconocido, siempre que sea probable que las futuras ganancias fiscales permitan la recuperación del activo por impuestos diferidos. Por ejemplo, una mejora en el desarrollo de las ventas, puede hacer más probable que la entidad sea capaz de generar ganancias fiscales en cuantía suficiente como para cumplir los criterios establecidos en los párrafos 24 o 34 para su reconocimiento. Otro ejemplo es cuando la entidad proceda a reconsiderar los activos por impuestos diferidos, en el momento de realizar una combinación de negocios o con posterioridad a la misma (véanse los párrafos 67 y 68).
Inversiones en subsidiarias, sucursales y asociadas, y participaciones en acuerdos conjuntos
38 Aparecen diferencias temporarias cuando el importe en libros de las inversiones financieras en subsidiarias, sucursales y asociadas, o de las participaciones en acuerdos conjuntos (igual a la porción que represente la participación del inversor en los activos netos de la subsidiaría, sucursal, asociada o participada, contando incluso con el importe en libros de la plusvalía) sea diferente de su base fiscal (que a menudo coincide con el costo). Estas diferencias pueden surgir en las más variadas circunstancias, como por ejemplo:
(a) por la existencia de ganancias no distribuidas en las subsidiarias, sucursales, asociadas o acuerdos conjuntos;
(b) por las diferencias de cambio, cuando la controladora y su subsidiaria estén situadas en diferentes países; y '
(c) por una reducción en el importe en libros de las inversiones en una asociada, como consecuencia de haber disminuido el importe recuperable de la misma.
En los estados financieros consolidados, la diferencia temporaria puede ser diferente de la diferencia temporaria registrada en los estados financieros individuales de la controladora, si ésta contabiliza, en sus estados financieros, la inversión al costo o por su valor revaluado.
39 Una entidad debe reconocer un pasivo por impuestos diferidos en todos los casos de diferencias temporarias imponibles asociadas con inversiones en subsidiarias, sucursales y asociadas, o con participaciones en acuerdos conjuntos, excepto que se den conjuntamente las dos condiciones siguientes;
(a) la controladora, inversor, participante en un negocio conjunto u operador conjunto sea capaz de controlar el momento de la reversión de la diferencia temporaria; y
(b) es probable que la diferencia temporaria no revierta en un futuro previsible.
40 Puesto que la controladora tiene poder para establecer la política de dividendos de su subsidiaria, será capaz también de controlar el momento de la reversión de las diferencias temporarias asociadas con la inversión (entre las que figurarán no solo las diferencias temporarias derivadas de ganancias no distribuidas, sino también las relacionadas con eventuales diferencias de conversión). Además, con frecuencia podría ser muy difícil estimar la cuantía de impuestos a pagar cuando las diferencias temporarias reviertan. Por tanto, cuando la controladora haya estimado que tales ganancias no serán objeto de distribución en un futuro previsible, no procederá a reconocer un pasivo por impuestos diferidos. Las mismas consideraciones se aplican en el caso de las sucursales.
41 Los activos y pasivos no monetarios de una entidad se medirán en términos de su moneda funcional (véase la NIC 21 Efectos de las Variaciones en las Tasas de Cambio de la Moneda Extranjera). Si las pérdidas o ganancias fiscales de la entidad (y, por tanto, la base fiscal de sus activos y pasivos no monetarios) se calculan en una moneda distinta, las variaciones en la tasa de cambio darán lugar a diferencias temporarias, que producirán el reconocimiento de un pasivo por impuestos diferidos o de un activo (en este último caso, en las condiciones establecidas por el párrafo 24). El impuesto diferido resultante se cargará o abonará a los resultados del periodo (véase el párrafo 58).
42 La entidad que ha invertido en una asociada no controla esta entidad, y normalmente no está en posición de determinar su política de dividendos. Por tanto, en ausencia de un acuerdo que establezca que los dividendos de la asociada no serán distribuidos en un futuro previsible, la entidad inversora procederá a reconocer un pasivo por impuestos diferidos, nacido de las diferencias temporarias imponibles relacionadas con su inversión en la asociada. En algunos casos, el inversor puede no ser capaz de determinar la cuantía de los impuestos que tendría que pagar sí recuperase el costo de su inversión en una asociada, pero puede determinar que serán iguales o superiores a un mínimo. En tales casos, el pasivo por impuestos diferidos se mide por referencia a ese mínimo.
43 El acuerdo entre las partes para crear un acuerdo conjunto contempla el reparto de las ganancias y establece si la decisión sobre estos temas exige el consentimiento de todos los participantes, o de un grupo de los mismos. Cuando el participante en un acuerdo conjunto u operador conjunto puede controlar el calendario de la distribución de su parte en las ganancias del acuerdo conjunto, y es probable que no se repartan su parte de los dividendos en un futuro previsible, no tendrá que reconocer ningún pasivo por impuestos diferidos.
44 Una entidad debe reconocer un activo por impuestos diferidos, para todas las diferencias temporarias deducibles procedentes de inversiones en subsidiarias, sucursales y asociadas, o de participaciones en acuerdos conjuntos, solo en la medida que sea probable que:
(a) las diferencias temporarias reviertan en un futuro previsible; y
(b) se disponga de ganancias fiscales contra las cuales puedan utilizarse las diferencias temporarias.
45 Al decidir reconocer o no activos por impuestos diferidos, por las diferencias temporarias asociadas con sus inversiones en entidades subsidiarias, sucursales y asociadas, o con participaciones en acuerdos conjuntos, la entidad considerará las guías establecidas en los párrafos 28 a 31.
Medición
46 Los pasivos (activos) corrientes de tipo fiscal, ya procedan del periodo presente o de períodos anteriores, deben ser medidos por las cantidades que se espere pagar (recuperar) de la autoridad fiscal, utilizando la normativa y tasas impositivas que se hayan aprobado, o cuyo proceso de aprobación esté prácticamente terminado, al final del periodo sobre el que se informa.
47 Los activos y pasivos por impuestos diferidos deben medirse empleando las tasas impositivas que se espera sean de aplicación en el período en el que el activo se realice o el pasivo se cancele, basándose en las tasas (y leyes fiscales) que al final del periodo de presentación hayan sido aprobadas, o prácticamente aprobadas, terminado el proceso de aprobación.
48 Los activos y pasivos por impuestos, ya sean corrientes o diferidos, se miden usualmente empleando las tasas y leyes fiscales que han sido aprobadas. No obstante, en algunas jurisdicciones los anuncios de tasas (y leyes fiscales) por parte del gobierno tienen, en esencia, el mismo efecto que su aprobación, que puede seguir al anuncio por un período de varios meses. En tales circunstancias, los activos y pasivos impositivos se miden utilizando las tasas fiscales anunciadas (y leyes fiscales).
49 En los casos en que se apliquen diferentes tasas impositivas según los niveles de ganancia fiscal, los activos y pasivos por impuestos diferidos se medirán utilizando las tasas promedio que se espere aplicar, a la ganancia o a la pérdida fiscal, en los periodos en los que se espere que vayan a revertir las correspondientes diferencias temporarias.
50 [Eliminado]
51 La medición de los pasivos por impuestos diferidos y los activos por impuestos diferidos reflejará las consecuencias fiscales que se derivarían de la forma en que la entidad espera, al final del periodo sobre el que se informa, recuperar o liquidar el importe en libros de sus activos y pasivos.
51A En algunos países, la forma en que la entidad vaya a recuperar (liquidar) el Importe en libros de un activo (pasivo), puede afectar alguna o ambas de las siguientes circunstancias:
(a) la tasa a aplicar cuando la entidad recupere (liquide) el importe en libros del activo (pasivo); y
(b) la base fiscal del activo (pasivo).
En tales casos, la entidad procederá a medir los activos y los pasivos por impuestos diferidos utilizando la tasa y la base impositiva que sean congruentes con la forma en que espere recuperar o pagar la partida correspondiente.
Ejemplo A
Una partida de propiedades, planta y equipo tiene un importe en libros de 100 y una base fiscal de 60. Si el activo se vendiese, sería de aplicación a las ganancias una tasa del 20%, pero si se obtienen del mismo otro tipo de ingresos, la tasa aplicable es del 30%.
La entidad reconocerá un pasivo por impuestos diferidos de 8 (el 20% de 40) si prevé vender el elemento sin usarlo, y un impuesto diferido de 12 (el 30% de 40) si prevé conservar el elemento y recuperar su valor mediante el uso.
Ejemplo B
Una partida de propiedades, planta y equipo con un costo de 100 y un importe en libros de 80 se revalúa a 150. No se realiza un ajuste equivalente a efectos fiscales. La depreciación acumulada, a efectos fiscales, es de 30 y la tasa impositiva es el 30%. Si la partida se vendiese por un precio mayor que su costo, la depreciación acumulada fiscal de 30 se incluiría en la ganancia fiscal, pero las cantidades recibidas por encima del costo no tributarían.
La base fiscal del elemento es de 70, y existe una diferencia temporaria imponible por importe de 80. Si la entidad espera recuperar el importe en libros del elemento mediante su uso, deberá generar ingresos imponibles por importe de 150, pero solo podrá deducir depreciaciones por importe de 70. Considerando que esta es la situación, existe un pasivo por impuestos diferidos por importe de 24 (30% de 80). Alternativamente, si la entidad esperase recuperar el importe en libros mediante la venta del elemento por importe de 150, el pasivo por impuestos diferidos resultante se computarla de la siguiente manera:
| Diferencia Temporaria Imponible | Tasa impositiva | Pasivo por impuestos diferidos | |
| Depreciación fiscal acumulada | 30 | 30% | 9 |
| Ingresos de la venta, deducido el costo | 50 | nula | - |
| Total | 80 | 9 | |
(nota; de acuerdo con el párrafo 61 A, el impuesto diferido adicional que surja en la revaluación se reconocerá en otro resultado integral)
Ejemplo C
La situación es la del ejemplo B, pero si el elemento se vende por más de su costo original, la depreciación acumulada se incluirá en la ganancia fiscal (al tipo del 30%), y el importe de la venta tributará al 40%, después de deducir un costo ajustado por inflación de 110.
Si la entidad espera recuperar el importe en libros del elemento mediante su uso, deberá generar ingresos imponibles por importe de 150, pero sólo podrá deducir depreciaciones por importe de 70. Considerando que la base fiscal es de 70, existe una diferencia temporaria imponible de 80 y un pasivo por impuestos diferidos de 24 (30% de 80), como en el ejemplo B.
Alternativamente, si la entidad espera recuperar el importe en libros vendiendo inmediatamente el elemento por 150, la entidad podrá deducir el costo ajustado de 110. Las ganancias netas fiscales de 40 tributarán al 40%. Además, la depreciación acumulada de 30 se incluirá en la ganancia fiscal y tributará al 30%. En esta situación, la base fiscal es de 80 (110 menos 30), existe una diferencia temporaria imponible de 70 y, por tanto, un pasivo por impuestos diferidos de 25 (40% de 40 más 30% de 30). Si el valor de la base fiscal no resulta evidente en este ejemplo, podría ser útil repasar el principio fundamental establecido en el párrafo 10.
(Nota: de acuerdo con el párrafo 61 A, el impuesto diferido adicional que surja en la revaluación se reconocerá en otro resultado integral)
51B Si un pasivo por impuestos diferidos o un activo por impuestos diferidos surge de un activo no depreciable medido utilizando el modelo de revaluación de la NIC 16, la medición del pasivo por impuestos diferidos o del activo por impuestos diferidos reflejará las consecuencias fiscales de la recuperación del importe en libros del activo no depreciable mediante la venta, independientemente de la base de medición del importe en libros de ese activo. Por lo tanto, si la norma fiscal especificara un tipo fiscal aplicable al importe tributable derivado de la venta de un activo, que fuese diferente del tipo fiscal aplicable al importe gravable que se derivarla del uso del activo, se aplicará el primer tipo en la medición del activo o pasivo por impuestos diferidos asociado con el activo no depreciable.
51C Si un activo o pasivo por impuestos diferidos surge de propiedades de inversión que se miden utilizando el modelo del valor razonable de la NIC 40, existe una presunción refutable de que el Importe en libros de la propiedad de inversión se recuperará mediante la venta. Por consiguiente, a menos de que la presunción sea refutada, la medición del pasivo por impuestos diferidos o activos por Impuestos diferidos reflejará las consecuencias fiscales de la recuperación del importe en libros de la propiedad de inversión en su totalidad mediante la venta. Esta presunción es refutada si la propiedad de inversión es depreciable y se mantiene dentro de un modelo de negocio cuyo objetivo es consumir sustancialmente todos los beneficios económicos incorporados en dicha propiedad de inversión a lo largo del tiempo, en lugar de mediante su venta. Si la presunción es refutada, se observarán los requerimientos de los párrafos 51 y 51 A.
Ejemplo ilustrativo del párrafo 51C
Una propiedad de inversión tiene un costo de 100 y un valor razonable de 150. Se mide utilizando el modelo del valor razonable de la NIC 40. Comprende un terreno con un costo de 40 y un valor razonable de 60 y un edificio con un costo de 60 y un valor razonable de 90. El terreno tiene una vida útil ilimitada.
La depreciación acumulada del edificio a efectos fiscales es de 30. Los cambios no realizados en el valor razonable de la propiedad de inversión no afectan a la ganancia fiscal. SI la propiedad de inversión se vende por más del costo, la reversión de la depreciación fiscal acumulada de 30 se incluirá en la ganancia fiscal y tributará a la tasa impositiva ordinaria del 30%. Para los ingresos por ventas que excedan al costo, la legislación fiscal especifica tasas impositivas del 25% de los activos mantenidos por un plazo inferior a dos años y el 20% para los activos mantenidos por dos años o más.
Dado que la propiedad de inversión se mide utilizando el modelo del valor razonable de la NIC 40, existe una presunción refutable de que la entidad recuperará el importe en libros de la propiedad de inversión en su totalidad mediante la venta. Si esa presunción no es refutada, el impuesto diferido reflejará las consecuencias fiscales de recuperar el importe en libros en su totalidad mediante la venta, incluso si la entidad espera obtener ingresos por arrendamiento procedentes de la propiedad antes de la venta.
Ejemplo ilustrativo del párrafo S1C
La base fiscal del terreno si se vende es de 40 y existe una diferencia temporaria imponible de 20 (60 - 40). La base fiscal del edificio si se vende es de 30 (60- 30) y existe una diferencia temporaria imponible de 60 (90 - 30). Como resultado, la diferencia temporaria imponible total relativa a la propiedad de inversión es de 80 (20 + 60).
De acuerdo con el párrafo 47, la tasa impositiva es la tasa esperada a aplicaren el periodo en que se realice la propiedad de inversión. Por ello, el pasivo por impuestos diferidos resultante se calculará de la forma siguiente, si la entidad espera vender la propiedad después de mantenerla por más de dos años:
| Diferencia Temporaria Imponible | Tasa impositiva | Pasivo por Impuestos diferidos | |
| Depreciación fiscal acumulada | 30 | 30% | 9 |
| Ingresos de la venta, deducido el costo | 50 | 20% | 10 |
| Total | 80 | 19 | |
Si la entidad espera vender la propiedad después de mantenerla por un plazo inferior a dos años, el cálculo anterior se modificaría para aplicar una tasa impositiva del 25% en lugar del 20%, a los ingresos deducido el costo.
Si, en su lugar, la entidad mantiene el edificio en un modelo de negocio cuyo objetivo es consumir sustancialmente todos los beneficios económicos incorporados en el edificio a lo largo del tiempo, en lugar de mediante la venta, esta presunción sería refutada para el edificio. Sin embargo, el terreno no es depreciable. Por ello, la presunción de recuperación mediante la venta no sería refutada para el terreno. De ello se deduce que el pasivo por impuestos diferidos reflejaría las consecuencias fiscales de la recuperación del importe en libros del edificio mediante su uso y del importe en libros del terreno mediante la venta.
Si se utiliza el edificio, la base fiscal es 30 (60 - 30) y existe una diferencia temporaria imponible de 60 (90 - 30), dando fugara un pasivo por impuestos diferidos de 18 (30% de 60).
Si se vende el terreno, la base fiscal es 40 y existe una diferencia temporaria imponible de 20(60- 40), dando tugara un pasivo por impuestos diferidos de 4 (20% de 20).
Como resultado, si la presunción de recuperación mediante la venta es refutada para el edificio, el pasivo por impuestos diferidos relativo a la propiedad de inversión es de 22 (18 + 4).
51D La presunción refutable del párrafo 51C también se aplicará cuando un pasivo por impuestos diferidos o un activo por Impuestos diferidos surge de la medición de propiedades de inversión en una combinación de negocios si la entidad utilizará el modelo del valor razonable al medir posteriormente esas propiedades de inversión.
51E Los párrafos 51B a 51D no cambian los requerimientos para aplicar los principios de los párrafos 24 a 33 (diferencias temporarias deducibles) y los párrafos 34 a 36 (pérdidas fiscales no utilizadas y créditos fiscales no utilizados) de esta Norma al reconocer y medir los activos por impuestos diferidos.
52 [trasladado y renumerado 51 A]
52A En algunas jurisdicciones, el impuesto a las ganancias se grava a una tasa mayor o menor, siempre que una parte o la totalidad de la ganancia neta o de las ganancias acumuladas se paguen como dividendos a los accionistas de la entidad. En algunas otras jurisdicciones, el Impuesto a las ganancias puede ser devuelto o pagado si una parte o la totalidad de la ganancia neta o de las ganancias acumuladas se pagan como dividendos a los accionistas de la entidad. En estas circunstancias, los activos y pasivos por impuestos corrientes y diferidos, se miden a la tasa aplicable a las ganancias no distribuidas.
52B [Eliminado] '
Ejemplo ilustrativo de los párrafos 52A y 57A
El ejemplo que sigue trata de la medición de los activos y pasivos por el impuesto, ya sean corrientes o diferidos, para una entidad en una jurisdicción donde se gravan a una tasa más alta las ganancias no distribuidas (50%), y se reembolsa una parte del importe cuando las ganancias se distribuyan. La tasa sobre las ganancias distribuidas es del 35%. Al final del periodo sobre el que se informa, 31 de diciembre de 20X1, la entidad no reconoce un pasivo por dividendos propuestos o declarados después del periodo sobre el que se informa. Como resultado, no se reconocen dividendos en el año 20X1. La ganancia imponible para 20X1 es de 100.000. La diferencia temporaria imponible neta, para el año 20X1, es de 40.000.
La entidad reconoce un pasivo comente por el impuesto y un gasto corriente por el mismo concepto, por 50.000. No se reconoce ningún activo por la cuantía potencialmente recuperable como resultado de dividendos futuros. La entidad también reconoce un pasivo por impuestos diferidos y un gasto por impuestos diferidos por 20.000 (50% de 40.000), que representa el impuesto a las ganancias que la entidad pagaré cuando recupere o pague el importe en libros de sus activos y pasivos, basándose en la tasa del impuesto aplicable a las ganancias no distribuidas.
Más tarde, el 15 de marzo de 20X2, la entidad reconoce como pasivo unos dividendos de 10.000, procedentes de las ganancias de las operaciones previas.
El 15 de marzo de 20X2, la entidad reconocerá la recuperación de impuestos sobre las ganancias por 1.500 (15% de los dividendos reconocidos como pasivo), que serán un activo por impuestos corrientes y una reducción del gasto corriente por impuestos del 20X2.
53 Los activos y pasivos por impuestos diferidos no deben ser descontados.
54 Una evaluación fiable del importe descontado de los activos y pasivos por impuestos diferidos, exigiría plantear la distribución en el tiempo de cada diferencia temporaria. En muchos casos esta distribución es impracticable o altamente compleja de realizar. Por tanto, resulta inapropiado exigir el descuento de los activos o pasivos por impuestos diferidos. El hecho de permitir este descuento, sin exigirlo, podría dar lugar a unas cifras sobre impuestos diferidos que no fueran comparables entre entidades. Por tanto, esta Norma no exige, ni permite, descontar los saldos de activos y pasivos por impuestos diferidos.
55 Las diferencias temporarias se calcularán tomando como referencia el importe en libros del activo o pasivo. Esto será de aplicación incluso cuando el saldo en cuestión se determina mediante el descuento, por ejemplo, en el caso de pasivos por fondos de beneficios por retiro (véase la NIC 19 Beneficios a los Empleados).
56 El importe en libros de un activo por impuestos diferidos debe someterse a revisión al final de cada periodo sobre el que se informe. La entidad debe reducir el importe del saldo del activo por impuestos diferidos, en la medida que estime probable que no dispondrá de suficiente ganancia fiscal, en el futuro, como para permitir cargar contra la misma la totalidad o una parte de los beneficios que comporta el activo por Impuestos diferidos. Esta reducción deberá ser objeto de reversión, en la medida en que pase a ser probable que haya disponible suficiente ganancia fiscal.
Reconocimiento de impuestos corrientes y diferidos
57 La contabilización de los efectos fiscales, tanto en el periodo corriente como los diferidos para posteriores periodos, de una determinada transacción o suceso económico, ha de ser coherente con el registro contable de la transacción o el suceso correspondiente. Los párrafos 58 a 68C desarrollan este principio.
57A Una entidad reconocerá las consecuencias de los dividendos en el impuesto a las ganancias como se define en la NIIF 9 cuando reconozca un pasivo por dividendos a pagar. Las consecuencias de los dividendos en el impuesto a las ganancias están más directamente relacionadas con transacciones o sucesos pasados que generaron ganancias distribuidles, que con las distribuciones hechas a los propietarios. Por ello, una entidad reconocerá las consecuencias de los dividendos en el impuesto a las ganancias en el resultado del periodo, otro resultado integral o patrimonio según dónde la entidad reconoció originalmente esas transacciones o sucesos pasados.
Partidas reconocidas en el resultado
58 El impuesto corriente y el diferido se reconocerá como ingreso o gasto e incluirá en el resultado del periodo, excepto en la medida en que el Impuesto surja de:
(a) una transacción o suceso que se reconoce en el mismo periodo o en otro diferente, fuera del resultado, ya sea en otro resultado Integral o directamente en el patrimonio (véanse los párrafos 61Aa65);o
(b) una combinación de negocios (distinta de la adquisición por una entidad de inversión, tal como se define en la NIIF 10 Estados Financieros Consolidados, de una subsidiaria que se requiere medir al valor razonable con cambios en resultados) (véanse los párrafos 66 a 68).
59 La mayoría de los pasivos y de los activos por impuestos diferidos aparecerán cuando los ingresos y gastos, que se incluyen en la ganancia contable de un determinado periodo, se computen dentro de la ganancia (pérdida) fiscal en otro diferente. El correspondiente impuesto diferido se reconocerá en el resultado del periodo. Son ejemplos de lo anterior:
(a) los ingresos de actividades ordinarias por intereses, regalías o dividendos que se reciban al final de los períodos a los que corresponden, y se computen en la ganancia contable según la NIIF 15 Ingresos de Actividades Ordinarias Procedentes de Contratos con Clientes, la NIC 39 Instrumentos Financieros: Reconocimiento y Medición o la NIIF 9 Instrumentos Financieros, según corresponda, pero se incluyan en la ganancia o pérdida fiscal cuando sean cobrados; y
(b) los costos de activos intangibles, que se hayan capitalizado de acuerdo con la NIC 38, y se amorticen posteriormente, mientras que se deducen para efectos fiscales en el mismo periodo en que se hayan incurrido.
60 El importe en libros de los activos y pasivos por impuestos diferidos puede cambiar, incluso cuando no haya cambiado el importe de las diferencias temporarias correspondientes. Esto puede pasar, por ejemplo, como resultado de:
(a) un cambio en las tasas o en las normativas fiscales;
(b) una reestimación de la recuperabilidad de los activos por impuestos diferidos; o
(c) un cambio en la forma esperada de recuperar el importe en libros de un activo.
El impuesto diferido, correspondiente a estos cambios, se reconocerá en el resultado del periodo, excepto en la medida en que se relacione con partidas previamente reconocidas fuera de los resultados del periodo (véase el párrafo 63).
Partidas reconocidas fuera del resultado
61 [Eliminado]
61A Los impuestos corrientes y los impuestos diferidos deberán reconocerse fuera del resultado si se relacionan con partidas que se reconocen, en el mismo periodo o en otro diferente, fuera del resultado. Por lo tanto, los impuestos corrientes y los Impuestos diferidos que se relacionan con partidas que se reconocen, en el mismo periodo o en otro diferente:
(a) en otro resultado integral, deberán reconocerse en otro resultado integral (véase el párrafo 62).
(b) directamente en patrimonio, deberán reconocerse directamente en el patrimonio (véase el párrafo 62A).
62 Las Normas Internacionales de Información Financiera requieren o permiten que determinadas partidas se reconozcan en otro resultado integral. Ejemplos de estas partidas son:
(a) un cambio en el importe en libros procedente de la revaluación de las propiedades, planta y equipo (véase la NIC 16); y
(b) [eliminado]
(c) diferencias de cambio que surjan de la conversión de los estados financieros de un negocio extranjero (véase la NIC 21).
(d) [eliminado]
62A Las Normas Internacionales de Información Financiera requieren o permiten que ciertas partidas sean acreditadas o cargadas directamente al patrimonio. Ejemplos de estas partidas son:
(a) un ajuste al saldo inicial de las ganancias acumuladas procedente de un cambio en las políticas contables, que se aplique retroactivamente, o de la corrección de un error (véase la NIC 8 Políticas Contables, Cambios en las Estimaciones Contables y Errores)-, y
(b) los importes que surgen del reconocimiento inicial del componente de patrimonio de un instrumento financiero compuesto (véase el párrafo 23).
63 En circunstancias excepcionales puede ser difícil determinar el importe del impuesto corriente y diferido relativo a partidas reconocidas fuera del resultado (sea en otro resultado integral o directamente en patrimonio). Este podría ser el caso, por ejemplo, cuando:
(a) exista una escala progresiva en el impuesto a las ganancias, y sea imposible calcular la tasa a la cual ha tributado un componente específico de la ganancia o la pérdida fiscal;
(b) un cambio en la tasa impositiva u otra norma fiscal afecte a un activo o pasivo por impuestos diferidos relacionados (en todo o en parte) con una partida que fue previamente reconocida fuera del resultado del periodo; o
(c) una entidad determine que un activo por impuestos diferidos debe reconocerse, o debe darse de baja por su importe total, y este se corresponda (en todo o en parte) con una partida que fue previamente reconocida fuera del resultado del periodo.
En estos casos, la parte del impuesto correspondiente al periodo y la parte diferida, relacionadas con partidas que se han reconocido fuera del resultado, se basarán en una proporción razonable de los impuestos corrientes y diferidos por la entidad en la jurisdicción fiscal correspondiente, o en otro método con el que se consiga una distribución más apropiada, en esas circunstancias.
64 La NIC 16 no especifica si la entidad debe trasladar cada año desde el superávit de revaluación a las ganancias acumuladas una cantidad igual a la diferencia entre la depreciación o amortización del activo revaluado y la depreciación o amortización que se hubiera practicado sobre el costo original del activo. Si la entidad hace esta transferencia, el importe correspondiente a la misma se calculará neto de cualquier impuesto diferido que le corresponda. Consideraciones similares se aplican a las transferencias hechas tras la venta de un elemento perteneciente a las propiedades, planta y equipo.
65 Cuando un activo se revalúa a efectos fiscales, y esa revaluación está relacionada con una revaluación contable practicada en un periodo anterior, o con una que se espera realizar en algún periodo posterior, los efectos fiscales de la revaluación contable y del ajuste en la base fiscal se reconocerán en otro resultado integral en los periodos en que tienen lugar. Sin embargo, si las revaluaciones a efectos fiscales no se relacionan con revaluaciones contables de un periodo anterior, o con otras que se esperan realizar en un periodo futuro, los efectos fiscales del ajuste de la base fiscal se reconocerán en el resultado del periodo.
65A Una entidad que pague dividendos a sus accionistas puede estar obligada a pagar una porción de dichos dividendos a las autoridades fiscales, en nombre de los accionistas. En muchas jurisdicciones estas cuantías se denominan retenciones de impuestos. Estos montos, pagados o por pagar a las autoridades fiscales, se cargan al patrimonio como parte de los dividendos.
Impuestos diferidos que surgen de una combinación de negocios
66 Como se ha explicado en los párrafos 19 y 26(c), en una combinación de negocios pueden surgir diferencias temporarias. De acuerdo con la NIIF 3, una entidad reconocerá cualquier activo resultante por impuestos diferidos (en la medida en que cumplan los criterios de reconocimiento del párrafo 24) o cualquier pasivo resultante por impuestos diferidos como activos y pasivos identificables en la fecha de adquisición. Por consiguiente, esos activos y pasivos por impuestos diferidos afectan al importe de la plusvalía o a la ganancia por una compra en condiciones muy ventajosas que reconozca la entidad. Sin embargo, de acuerdo con el párrafo 15(a), una entidad no reconocerá los pasivos por impuestos diferidos que surjan del reconocimiento inicial de la plusvalía.
67 Como resultado de una combinación de negocios, podría cambiar la probabilidad de realizar un activo por impuestos diferidos de la adquirente anterior a la adquisición. Una adquirente puede considerar probable la recuperación de sus propios activos por impuestos diferidos que no se reconocieron antes de la combinación de negocios. Por ejemplo, la adquirente podría ser capaz de utilizar los beneficios de sus pérdidas fiscales no utilizadas, para compensarlos con ganancias fiscales futuras de la adquirida. De forma alternativa, como resultado de la combinación de negocios puede dejar de ser probable que los beneficios fiscales futuros permitan recuperar los activos por impuestos diferidos. En estos casos, la adquirente reconocerá un cambio en el activo por impuestos diferidos en el periodo de la combinación de negocios, pero no lo incluirá como parte de la contabilización de la combinación de negocios. Por ello, la adquirente no lo tendrá en cuenta para medir la plusvalía o la ganancia por una compra en condiciones muy ventajosas que reconozca en la combinación de negocios.
68 Es posible que el beneficio potencial de las pérdidas fiscales de la adquirida compensables en el futuro, o de otros activos por impuestos diferidos no satisfaga los criterios para su reconocimiento por separado cuando una combinación de negocios se contabiliza inicialmente, pero pueda ser posteriormente realizado. Una entidad reconocerá los beneficios por impuestos diferidos adquiridos que aparezcan tras la combinación de negocios de la forma siguiente:
(a) Los beneficios por Impuestos diferidos de la adquirida reconocidos dentro del periodo de medición que procedan de nueva información sobre hechos y circunstancias que existían en la fecha de la adquisición deberán aplicarse para reducir el importe en libros de cualquier plusvalía relacionada con esa adquisición. SI el importe en libros de esa plusvalía es nulo, cualesquiera beneficios por impuestos diferidos que permanezcan deberán reconocerse en resultados.
(b) Cualesquiera otros beneficios por Impuestos diferidos adquiridos que se realicen deberán reconocerse en resultados (o si esta Norma así lo requiere, fuera del resultado).
Impuestos corrientes y diferidos surgidos de pagos basados en acciones
68A En algunas jurisdicciones fiscales, la entidad puede obtener una deducción fiscal (esto es, un Importe que es deducible para la determinación de la base imponible) asociada con una remuneración pagada en forma de acciones, en opciones sobre acciones o en otros Instrumentos de patrimonio de la propia entidad. El importe de esa deducción fiscal podría diferir del gasto de la remuneración asociada acumulada, y podría surgir en un periodo posterior. Por ejemplo, en algunas jurisdicciones, la entidad podría reconocer un gasto por el consumo de los servicios recibidos de un empleado como contrapartida por las opciones sobre acciones concedidas, de acuerdo con la NIIF 2 Pagos Basados en Acciones, y no recibir la deducción fiscal hasta que las opciones sobre acciones sean ejercitadas, de forma que la medición de la deducción fiscal se base en el precio que tengan las acciones de la entidad en la fecha de ejercicio.
68B Igual que sucede con los costos de investigación, discutidos en el párrafo 9 y el apartado (b) del párrafo 26 de esta Norma, la diferencia entre la base fiscal de los servicios recibidos de los empleados hasta la fecha (que es el Importe que las autoridades fiscales permitirán como deducción en futuros periodos), y el importe en libros de valor cero, será una diferencia temporaria deducible que dará lugar a un activo por impuestos diferidos. Si el Importe que las autoridades fiscales permitirán deducir en periodos futuros no se conociese al final del periodo, deberá estimarse a partir de la información disponible al término del periodo. Por ejemplo, si el importe que las autoridades fiscales permitirán deducir en periodos futuros depende del precio de las acciones de la entidad en una fecha futura, la medición de la diferencia temporaria deducible deberá basarse en el precio de las acciones de la entidad al finalizar el periodo.
68C Como se destacó en el párrafo 68A, el Importe de la deducción fiscal (o deducción fiscal futura estimada, medida de acuerdo con el párrafo 68B) puede diferir del gasto por remuneración acumulado correspondiente. El párrafo 58 de la Norma requiere que los Impuestos corrientes y diferidos sean reconocidos como Ingreso o gasto e Incluidos en el resultado del periodo, excepto en la medida en que el Impuesto surja de (a) una transacción o suceso que se reconoce fuera de resultados, en el mismo periodo o en uno diferente, o (b) una combinación de negocios (distinta de la adquisición por una entidad de Inversión de una subsidiaria que se requiere medir al valor razonable con cambios en resultados). Si el Importe de la deducción fiscal (o la deducción fiscal futura estimada) excede el importe del correspondiente gasto por remuneración acumulado, esto indica que la deducción fiscal está asociada no solo con el gasto por remuneración sino también con una partida de patrimonio. En esta situación, el exceso correspondiente del Impuesto corriente o diferido debe reconocerse directamente en el patrimonio.
Presentación
Activos y pasivos por impuestos
69 a 70[Eliminado]
Compensación
71 Una entidad compensará los activos por impuestos corrientes y los pasivos por impuestos corrientes si, y solo si, la entidad:
(a) tiene el derecho, exigible legalmente, de compensar los importes reconocidos; y
(b) tiene la intención de liquidar por el importe neto, o de realizar el activo y liquidar el pasivo simultáneamente.
72 Aunque los activos y pasivos corrientes de naturaleza fiscal se evalúen y reconozcan por separado, se compensan en el estado de situación financiera sujetos a los mismos criterios que los establecidos para los instrumentos financieros en la NIC 32. Una entidad tendrá, normalmente, un derecho reconocido legalmente para compensar activos corrientes por impuestos con pasivos corrientes por impuestos, cuando los mismos se relacionen con impuestos sobre las ganancias correspondientes a la misma autoridad fiscal, y ésta permita a la entidad pagar o recibir una sola cantidad que cancele la situación neta existente.
73 En los estados financieros consolidados, un activo fiscal de naturaleza corriente en una entidad de un grupo se compensará con un pasivo corriente fiscal de otra entidad del grupo si, y solo si, las entidades correspondientes tienen reconocido legalmente el derecho de pagar o recibir una sola cantidad que cancele la situación neta, en el caso de que tales entidades tengan la intención de hacer o recibir tal pago neto o recuperar el activo y pagar, simultáneamente, el pasivo.
74 Una entidad debe compensar activos por impuestos diferidos con pasivos por impuestos diferidos si, y solo si:
(a) tiene reconocido legalmente el derecho de compensar, activos corrientes por impuestos contra pasivos corrientes por impuestos; y
(b) los activos por impuestos diferidos y los pasivos por impuestos diferidos se derivan del impuesto a las ganancias correspondientes a la misma autoridad fiscal, que recaen sobre:
(i) la misma entidad o sujeto fiscal; o
(ii) diferentes entidades o sujetos a efectos fiscales que pretenden, ya sea liquidar los activos y pasivos fiscales corrientes por su importe neto, ya sea realizar los activos y pagar los pasivos simultáneamente, en cada uno de los periodos futuros en los que se espere liquidar o recuperar cantidades significativas de activos o pasivos por los impuestos diferidos.
75 A fin de evitar la necesidad de establecer un calendario detallado de los momentos en que cada diferencia temporaria revertirá, esta Norma exige a las entidades la compensación de activos y pasivos por impuestos diferidos de la misma entidad o sujeto fiscal si, y solo si, se relacionan con impuestos sobre las ganancias correspondientes a la misma administración fiscal, siempre y cuando la entidad tenga reconocido legalmente el derecho de compensar los activos por impuestos corrientes con los pasivos por impuestos corrientes.
76 En algunas circunstancias, muy raras en la práctica, la entidad puede tener reconocido legalmente el derecho de compensar, y la intención de liquidar en términos netos, las deudas fiscales de unos determinados periodos, pero no de otros. En tales casos muy especiales, puede requerirse una programación temporal detallada para determinar si el pasivo por impuestos diferidos, de una entidad o sujeto fiscal, producirá un incremento en los pagos por impuestos, en el mismo periodo en que un activo por impuestos diferidos, de otra entidad o sujeto fiscal, vaya a producir una disminución en los pagos de esta segunda entidad fiscal.
Gastos por el impuesto a las ganancias
Gasto (ingreso) por el impuesto a las ganancias relativo a las ganancias o pérdidas de las actividades ordinarias
77 El gasto (ingreso) por impuesto relacionado con el resultado del periodo procedente de actividades ordinarias se presentará como parte del resultado del periodo en los estados del resultado del periodo y otro resultado integral,
77A [Eliminado]
Diferencias de cambio en los activos o pasivos por impuestos diferidos en moneda extranjera
78 La NIC 21, exige el reconocimiento como ingresos o gastos de ciertas diferencias de cambio, pero no especifica si tales diferencias deben ser presentadas en el estado del resultado integral. Por consiguiente, cuando las diferencias de cambio en los activos y pasivos por impuestos diferidos extranjeros se reconozcan en el estado del resultado integral, estas diferencias pueden clasificarse como gastos (ingresos) por impuestos diferidos, si se considera que esa presentación es más útil para los usuarios de los estados financieros.
Información a revelar
79 Los componentes principales del gasto (Ingreso) por el Impuesto a las ganancias se revelarán por separado en los estados financieros.
80 Los componentes del gasto (ingreso) por el impuesto a las ganancias pueden incluir:
(a) gasto (ingreso) por impuesto corriente;
(b) cualesquiera ajustes reconocidos en el periodo para el impuesto corriente de periodos anteriores;
(c) el Importe del gasto (ingreso) por impuestos diferidos relacionado con el nacimiento y reversión de diferencias temporarias;
(d) el importe del gasto (ingreso) por impuestos diferidos relacionado con cambios en las tasas fiscales o con la aparición de nuevos impuestos;
(e) el importe de los beneficios de carácter fiscal procedentes de pérdidas fiscales, créditos fiscales o diferencias temporarias, no reconocidos en periodos anteriores, que se han utilizado para reducir el gasto por impuestos del presente periodo;
(f) el Importe de los beneficios de carácter fiscal procedentes de pérdidas fiscales, créditos fiscales o diferencias temporarias, no reconocidos en periodos anteriores, que se han utilizado para reducir el gasto por impuestos diferidos;
(g) el impuesto diferido surgido de la baja, o la reversión de bajas anteriores, de saldos de activos por impuestos diferidos, de acuerdo con lo establecido en el párrafo 56; y
(h) el importe del gasto (ingreso) por el impuesto, relacionado con los cambios en las políticas contables y los errores que se han incluido en la determinación del resultado del periodo, de acuerdo con la NIC 8, porque no ha podido ser contabilizado de forma retroactiva.
81 La siguiente información deberá también revelarse, por separado:
(a) el importe agregado de los impuestos, corrientes y diferidos, relacionados con las partidas cargadas o acreditadas directamente a patrimonio (véase el párrafo 62A);
(ab) el importe del ingreso por impuestos relativo a cada componente del otro resultado integral [véase el párrafo 62 y la NIC 1 (revisada en 2007)];
(b) [eliminado]
(c) una explicación de la relación entre el gasto (ingreso) por el impuesto y la ganancia contable, en una de las siguientes formas, o en ambas a la vez:
(i) una conciliación numérica entre el gasto (Ingreso) del impuesto y el resultado de multiplicar la ganancia contable por la tasa o tasas impositivas aplicables, especificando también la manera de computar las tasas aplicables utilizadas; o
(ii) una conciliación numérica entre la tasa promedio efectiva y la tasa impositiva aplicable, especificando también la manera de computar la tasa aplicable utilizada;
(d) una explicación de los cambios habidos en la tasa o tasas impositivas aplicables, en comparación con las del periodo anterior;
(e) el importe (y fecha de validez, si la tuvieran) de las diferencias temporarias deducibles, pérdidas o créditos fiscales no utilizados para los cuales no se hayan reconocido activos por impuestos diferidos en el estado de situación financiera;
(f) la cantidad total de diferencias temporarias relacionadas con inversiones en subsidiarias, sucursales y asociadas, o con participaciones en acuerdos conjuntos, para los cuales no se han reconocido pasivos por impuestos diferidos (véase el párrafo 39);
(g) con respecto a cada tipo de diferencia temporaria, y con respecto a cada tipo de pérdidas o créditos fiscales no utilizados;
(i) el importe de los activos y pasivos por impuestos diferidos reconocidos en el estado de situación financiera, para cada periodo presentado;
(ii) el importe de los gastos o ingresos por impuestos diferidos reconocidos en el resultado del periodo, si esta información no resulta evidente al considerar los cambios en los importes reconocidos en el estado de situación financiera;
(h) con respecto a las operaciones discontinuadas, el gasto por impuestos relativo a:
(i) la ganancia o pérdida derivada de la discontinuación; y
(ii) la ganancia o pérdida del período por las actividades ordinarias de la operación discontinuada, junto con los importes correspondientes para cada uno de los periodos anteriores presentados;
(i) el importe de las consecuencias en el impuesto sobre las ganancias de los dividendos para los accionistas de la entidad que hayan sido propuestos o declarados antes de que los estados financieros hayan sido autorizados para su emisión, pero no reconocidos como pasivos en los estados financieros;
(j) si una combinación de negocios en la que la entidad es la adquirente produce un cambio en el importe reconocido de su activo por impuestos diferidos anterior a la adquisición (véase el párrafo 67), el importe de ese cambio; y
(k) si los beneficios por impuestos diferidos adquiridos en una combinación de negocios no están reconocidos en la fecha de la adquisición, pero lo hayan sido tras dicha fecha (véase el párrafo 68), una descripción del suceso o del cambio en las circunstancias que dieron lugar al reconocimiento de beneficios por impuestos diferidos.
82 Una entidad debe revelar el importe del activo por impuestos diferidos, así como de la naturaleza de la evidencia que apoya su reconocimiento, cuando:
(a) la realización del activo por impuestos diferidos depende de ganancias fiscales futuras por encima de las ganancias surgidas de la reversión de las diferencias temporarias imponibles actuales; y
(b) la entidad ha experimentado una pérdida, ya sea en el periodo actual o en el precedente, en el país con el que se relaciona el activo por impuestos diferidos.
82A En las circunstancias descritas en el párrafo 52A, la entidad debe revelar la naturaleza de las consecuencias potenciales que podrían producirse, en el impuesto a las ganancias, en el caso de que se pagaran dividendos a sus accionistas. Además, la entidad revelará la cuantía de las consecuencias potenciales, que sea practicable determinar, en el impuesto a las ganancias, así como si hay otras consecuencias potenciales que no es practicable determinar.
83 [Eliminado]
84 La información a revelar requerida en el párrafo 81 (c), permitirá a los usuarios de los estados financieros entender si la relación entre el gasto (ingreso) por el impuesto y la ganancia contable está fuera de lo normal, así como comprender los factores significativos que pudieran afectar a tal relación en el futuro. La relación entre el gasto (ingreso) por impuestos y la ganancia contable puede estar afectada por factores tales como los ingresos de actividades ordinarias exentos de tributación, los gastos que no son deducibles al determinar la ganancia o la pérdida fiscal, el efecto de las pérdidas fiscales o el de las eventuales tasas impositivas soportadas en el extranjero.
85 Al explicar la relación entre el gasto (ingreso) por impuestos y la ganancia contable, la entidad utilizará la tasa impositiva aplicable que suministre la información más significativa para los usuarios de sus estados financieros. A menudo, la tasa más significativa es la tasa nominal del país en el que está domiciliada la entidad, sumando la tasa aplicada a los impuestos nacionales con las correspondientes a cualesquiera impuestos locales, que se calculen sobre un nivel de ganancias o pérdidas similares. No obstante, para una entidad que opera en diferentes países o administraciones fiscales, puede resultar más significativo agregar las conciliaciones hechas por separado utilizando las tasas nacionales de cada uno de los países. El ejemplo preparado al efecto ilustra cómo la presentación de la conciliación numérica se puede ver afectada por la tasa impositiva aplicable.
Ejemplo ilustrativo del párrafo 85
En 19X2, la entidad ha tenido una ganancia contable, antes de impuestos, en su propio país (país A) por 1.500 (en 19X1 fue de 2.000) y en el país B por 1.500 (en 19X1, 500). La tasa impositiva es del 30% en el país A y del 20% en el país B. En el país A los gastos de 100 (en 19X1 fue de 200) no son deducidles a efectos fiscales.
Lo que sigue es un ejemplo de conciliación con la tasa impositiva nacional.

Lo que sigue es un ejemplo de conciliación, preparado mediante agregacion de las conciliaciones separadas de cada pais. En este metodo, el efecto de las diferencias entre la tasa impositiva del pais de la entidad que informa y la tasa impositiva en el otro pais, no aparece como informacion separada en la conciliacion. Una entidad puede necesitar discutir el efecto de los cambios significativos, ya sea en las tasas impositivas o en la mezcla de ganancias obtenidas en los diferentes paises, a fin de explicar los cambios habidos en la tasa o tasas impositivas aplicables, como exige el párrafo 81(d)

86 La tasa promedio efectiva será igual al gasto (ingreso) por el impuesto a las ganancias dividido entre la ganancia contable.
87 A menudo, puede resultar impracticable computar el importe de los pasivos por impuestos diferidos que surgen de las inversiones en subsidiarias, sucursales y asociadas, o de las participaciones en acuerdos conjuntos (véase el párrafo 39). Por ello, esta Norma exige que la entidad revele información sobre las diferencias temporarias subyacentes, pero no sobre los pasivos por impuestos diferidos correspondientes. No obstante, cuando sea posible, se aconseja a las entidades que revelen también información acerca de las cuantías de los pasivos por impuestos diferidos no reconocidos, puesto que los usuarios de los estados financieros pueden encontrar útil esta información.
87A El párrafo 82A exige que la entidad revele la naturaleza de las consecuencias potenciales que, en el impuesto a las ganancias, podrían producirse en el caso de que se pagaran dividendos a sus accionistas. Una entidad revelará las características importantes del sistema impositivo sobre las ganancias y los factores que vayan a afectar al montante de las potenciales consecuencias del pago de dividendos sobre el impuesto a las ganancias.
87B A veces, puede no ser practicable el cálculo del importe total de las potenciales consecuencias que, sobre el impuesto, va a tener el pago de dividendos a los accionistas. Este podría ser el caso, por ejemplo, para una entidad que tuviera un gran número de subsidiarias extranjeras. No obstante, incluso en tales circunstancias, algunas porciones de la cuantía total pueden ser fácilmente determinadles. Por ejemplo, en un grupo consolidado, la controladora y alguna de sus subsidiarias pueden haber pagado impuestos sobre las ganancias a una tasa más alta por haber dejado ganancias sin distribuir, y tener conciencia de las cuantías que les podrían ser reembolsadas en el caso de pago de dividendos a los accionistas en el futuro, con cargo a las ganancias acumuladas consolidadas. En tal caso, se revelará la cuantía de estos reembolsos. Cuando sea aplicable, la entidad revelará también que existen consecuencias adicionales potenciales, en el impuesto a las ganancias, que no es posible determinar. En los estados financieros individuales de la controladora, si los hubiere, las revelaciones de las consecuencias potenciales en el impuesto a las ganancias, serán las relativas a las ganancias acumuladas de la propia controladora.
87C Una entidad obligada a suministrar las revelaciones del párrafo 82A puede también estar obligada a suministrar otra información a revelar relacionada con las diferencias temporarias que estén asociadas con sus inversiones en subsidiarias, sucursales y asociadas o participaciones en acuerdos conjuntos. En estos casos, la entidad habrá de considerar esto a la hora de determinar qué información revelar según lo establecido en el párrafo 82A. Por ejemplo, una entidad puede estar obligada a revelar la cuantía total de las diferencias temporarias, asociadas con las inversiones en subsidiarias, para las cuales no se han reconocido pasivos por impuestos diferidos [véase el párrafo 81 (f)]. SI no fuera practicable el cómputo de las cuantías de los pasivos por impuestos diferidos (véase el párrafo 87), puede haber importes, relativos a tales subsidiarias y derivados de las consecuencias potenciales de los dividendos, que tampoco sea practicable determinar.
88 La entidad revelará cualquier tipo de pasivos contingentes y activos contingentes, de acuerdo con la NIC 37 Provisiones, Pasivos Contingentes y Activos Contingentes. Pueden aparecer pasivos contingentes y activos contingentes, por ejemplo, derivados de litigios sin resolver con la administración fiscal. De igual forma, en el caso de que se hayan aprobado o anunciado leyes fiscales, o cambios en las tasas impositivas, después del periodo sobre el que se informa, la entidad revelará información acerca de cualquier efecto significativo que tales cambios vayan a suponer sobre sus activos y pasivos por impuestos, ya sean de tipo corriente o diferidos (véase la NIC 10 Hechos Ocumdos Después del Periodo sobre el que se Informa).
Fecha de vigencia
89. Esta Norma Internacional de Contabilidad tendrá vigencia para los estados financieros que cubran periodos que comiencen a partir del 1 de enero de 1998, salvo por lo especificado en el párrafo 91. Si alguna entidad aplica esta Norma en estados financieros que cubran periodos comenzados antes del 1 de enero de 1998, debe revelar en los mismos el hecho de que aplica lo previsto en este Norma, en lugar de la antigua NIC 12 Contabilidad del Impuesto a las Ganacias, aprobadas en 1979
90. Esta Norma deroga la antigua NIC 12 Contabilidad del Impuesto a las Ganacias, aprobadas en 1979
91 Los párrafos 52A, 52B, 65A, 81(i), 82A, 87A, 87B, 87C, y la elimicacion de los párrafos 3 y 350, tendran vigencias para los estados financieros anuales (*) que cubran periodos comenzados a partir del 1 de enero de 2001. Se aconseja su aplicacion anticipada. Si la adopcion anticipada afecta a los estados financieros, una entidad revelara este hecho
(*) El parrafo 91 hace referencia a los estados financieros anuales para aclara mas explicitamente la expresion de las fechas de vigencia adoptadas en 1998. El parrafo 89 hace referencia a estados financieros
92 La NIC 1 (revisada en 2007) modifico la terminologia utilizada en las NIIF. Ademas modifico los parrafos 23, 52, 58, 60, 62, 63, 65, 68C, 77 y 81, elimino el parrafo 61 y añadio los parrafos 61A y 77A. Una entidad aplicara esas modificaciones a periodos anuales que comiencen a partir del 1 de enero de 2009. Si una entidad utiliza la NIC 1 (revisada en 2007) en un periodo anterior, aplicara las modificaciones a dicho periodo
93 El parrafo 68 debera aplicarse prospectivamente desde la fecha de vigencia de la NIIF 3 (revisada en 2008) al reconocimiento de los activos por impuestos diferidos adquiridos en combinaciones de negocios
94 Por ello, las entidades no ajustaran la contabilizacion de combinaciones de negocios anteriores si los beneficios fiscales no satifagan los criterios para su reconocimiento separado a partir de la fecha de la aquisicion y se reconoceran con posterioridad a la adquisicion, a menos que los beneficios se reconozcan dentro del periodo de medicion y procedan de informacion nueva sobre hechos y circustancias que existan en la fecha de la adquisicion. Cualesquiera otros beneficios por impuestos reconocidos deberan llevarse a resultados (o si esta Norma asi lo requiere, fuera del resultado)
95 La NIIF 3 (revisada en 2008) modifico los parrafos 21 y 67 y agrego los parrafos 32A y 81(j) y (k). Una entidad aplicara esas modificaciones a periodos anuales que comiencen a partir del 1 de julio de 2009.
Si una entidad aplicase la NIIF 3 (revisada en 2008) a un periodo anterior, las modificaciones se aplicarán también a ese periodo.
96 [Eliminado]
97 [Eliminado]
98 El párrafo 52 se renumeró como 51 A, se modificaron el párrafo 10 y los ejemplos que siguen al párrafo 51 A, y se añadieron los párrafos 51B y 51C y el ejemplo siguiente y los párrafos 51D, 51E y 99 mediante Impuestos Diferidos: Recuperación de Activos Subyacentes, emitido en diciembre de 2010. Una entidad aplicará esas modificaciones a periodos anuales que comiencen a partir del domingo, 1 de enero de 2012. Se permite su aplicación anticipada. Si una entidad aplicase las modificaciones en un periodo que comience con anterioridad, revelará este hecho.
98A La NIIF 11 Acuerdos Conjuntos, emitida en mayo de 2011, modificó los párrafos 2, 15, 18(e), 24, 38, 39, 43 a 45, 81 (f), 87 y 87C. Una entidad aplicará esas modificaciones cuando aplique la NIIF 11.
98B Presentación de Partidas de Otro Resultado Integral (Modificaciones a la NIC 1), emitido en junio de 2011, modificó el párrafo 77 y eliminó el párrafo 77A. Una entidad aplicará esas modificaciones cuando aplique la NIC 1 (modificada en junio de 2011).
98C El documento Entidades de Inversión (Modificaciones a las NIIF 10, NIIF 12 y NIC 27), emitido en octubre de 2012, modificó los párrafos 58 y 68C. Una entidad aplicará esas modificaciones a periodos anuales que comiencen a partir del 1 de enero de 2014. Se permite la aplicación anticipada de Entidades de Inversión. Si una entidad aplica esas modificaciones con anterioridad, utilizará también todas las modificaciones incluidas en Entidades de Inversión al mismo tiempo.
98D [Eliminado]
98E La NIIF 15 Ingresos de Actividades Ordinarias Procedentes de Contratos con Clientes, emitida en mayo de 2014, modificó el párrafo 59. Una entidad aplicará esa modificación cuando aplique la NIIF 15.
98F La NIIF 9, emitida en julio de 2014, modificó el párrafo 20 y eliminó los párrafos 96, 97 y 98D. Una entidad aplicará esas modificaciones cuando aplique la NIIF 9.
98G La NIIF 16, emitida en enero de 2016, modificó el párrafo 20. Una entidad aplicará esa modificación cuando aplique la NIIF 16.
98H Reconocimiento de Activos por Impuestos Diferidos por Pérdidas no Realizadas (Modificaciones a la NIC 12), emitido en enero de 2016, modificó el párrafo 29 y añadió los párrafos 27A, 29A y el ejemplo a continuación del párrafo 26. Una entidad aplicará esas modificaciones a periodos anuales que comiencen a partir del 1 de enero de 2017. Se permite su aplicación anticipada. Si una entidad aplica las modificaciones en un periodo que comience con anterioridad, revelará este hecho. Una entidad aplicará estas modificaciones de forma retroactiva, de acuerdo con la NIC 8 Políticas Contables, Cambios en las Estimaciones Contables y Errores. Sin embargo, en el momento de la aplicación inicial de la modificación, el cambio en el patrimonio de apertura del primer periodo comparativo podría reconocerse en las ganancias acumuladas de apertura (o en otro componente de patrimonio, según proceda) sin distribuir el cambio entre las ganancias acumuladas de apertura y otros componentes del patrimonio. Si una entidad aplica esta exención, revelará este hecho.
98I Mejoras Anuales a las Normas NIIF, Ciclo 2015-2017, emitida en diciembre de 2017, añadió el párrafo 57A y eliminó el párrafo 52B. Una entidad aplicará esas modificaciones a periodos anuales sobre los que se informa que comiencen a partir del 1 de enero de 2019. Se permite su aplicación anticipada. Si una entidad aplica esas las modificaciones en un periodo que comience con anterioridad, revelará este hecho. Si una entidad utiliza por primera vez esas modificaciones, las aplicará a las consecuencias de los dividendos en el impuesto a las ganancias reconocidos a partir del comienzo del primer periodo comparativo.
98J Impuestos Diferidos relacionados con Activos y Pasivos que surgen de una Transacción Única, emitida en mayo de 2021, modificó los párrafos 15, 22 y 24 y añadió el párrafo 22A. Una entidad aplicará estas modificaciones de acuerdo con los párrafos 98K y 98L a los periodos anuales sobre los que se informa que comiencen a partir del 1 de enero de 2024 (fecha de aplicación en Colombia). Se permite su aplicación anticipada. Si una entidad aplica las modificaciones en un periodo anterior, revelará este hecho.
98K Una entidad aplicará Impuestos Diferidos relacionados con Activos y Pasivos que surgen de una Transacción Única a las transacciones que se ocurran a partir del inicio del primer periodo comparativo presentado.
98L Una entidad que aplique Impuestos Diferidos relacionados con Activos y Pasivos que surgen de una Transacción Única, deberán también a partir del inicio del primer periodo comparativo presentado:
(a) reconocerá un activo por impuestos diferidos – en la medida en que sea probable que se disponga de ganancias fiscales contra las que se pueda utilizar la diferencia temporaria deducible– y un pasivo por impuestos diferidos para todas las diferencias temporarias imponibles y deducibles asociadas con:
(I) activos por derecho de uso y pasivos por arrendamiento; y
(ii) pasivos por retiro del servicio, restauración y similares, así como los correspondientes Importes reconocidos como parte del costo del activo relacionado; y
(b) reconocerá el efecto acumulado de la aplicación inicial de las modificaciones como un ajuste al saldo de apertura de las ganancias acumuladas (u otro componente del patrimonio, según proceda), en esa fecha.
Derogación de la SIC-21
99 [Párrafo no utilizado] Este párrafo se refiere a una derogatoria, antes que las Normas Internacionales de Información Financiera, fueran aplicables en Colombia.
NIC 26 CONTABILIZACIÓN E INFORMACIÓN FINANCIERA SOBRE PLANES DE BENEFICIO POR RETIRO
Alcance
1 Esta Norma se aplica a los estados financieros de planes de beneficio por retiro cuando éstos se preparan.
2 Los planes de beneficio por retiro son conocidos, en ocasiones, con otros nombres, tales como “planes de pensiones", “sistemas complementarios de prestaciones por jubilación” o “planes de beneficios por retiro". Los planes de beneficio por retiro se consideran, en la Norma, como entidades diferentes de los empleadores y de las personas que participan en dichos planes. El resto de las Normas son aplicables a las informaciones procedentes de los planes de beneficio por retiro, en la medida en que no queden derogadas por la presente Norma.
3 Esta Norma trata de la contabilidad y la información a presentar, por parte del plan, a todos los participantes como grupo. No se ocupa, por el contrario de las informaciones a los individuos participantes acerca de sus derechos adquiridos sobre el plan.
4 La NIC 19 Beneficios a los Empleados se refiere a la determinación del costo de los beneficios por retiro, en los estados financieros de los empleadores que tienen establecido un plan. Por tanto, esta Norma complementa la citada NIC 19.
5 Los planes de beneficio por retiro pueden ser de aportaciones definidas o de beneficios definidos. Muchos de ellos exigen la creación de fondos separados, que pueden o no tener personalidad jurídica independiente, así como pueden o no tener fideicomisarios que reciben las aportaciones y pagan los beneficios por retiro. La presente Norma es de aplicación con independencia de la creación del fondo separado o de la existencia de fideicomisarios.
6 Los planes de beneficio por retiro cuyos activos han sido invertidos en una compañía de seguros, están sometidos a las mismas obligaciones de contabilidad y capitalización que aquéllos donde las inversiones se administran privadamente. Por consiguiente, estos planes quedan dentro del alcance de esta Norma, a menos que el contrato con la compañía de seguros se haya hecho en nombre de un participante específico o de un grupo de participantes, y la obligación sobre los beneficios por retiro recaiga exclusivamente sobre la citada compañía.
7 La presente Norma no se ocupa de otros tipos de ventajas sociales de los empleados tales como las indemnizaciones por despido, los acuerdos de remuneración diferida, las gratificaciones por ausencia prolongada, los planes de retiro anticipado o de reestructuración de plantilla, los programas de seguros de enfermedad y de previsión colectiva o los sistemas de bonos a los trabajadores, También se excluyen del alcance de la Norma los programas de seguridad social del gobierno.
Definiciones
8 Los siguientes términos se usan en esta Norma con los significados que a continuación se especifican:
Planes de beneficio por retiro son acuerdos en los que una entidad se compromete a suministrar beneficios a sus empleados, en el momento de terminar sus servicios o después (ya sea en forma de renta periódica o como pago único), siempre que tales beneficios, o las aportaciones a los mismos que dependan del empleador, puedan ser determinados o estimados con anterioridad al momento del retiro, ya sea a partir de las cláusulas establecidas en un documento o de las prácticas habituales de la entidad.
Planes de aportaciones definidas son planes de beneficio por retiro en los que las cantidades a pagar como beneficios se determinan en función de las cotizaciones al fondo y de los rendimientos de la inversión que el mismo haya generado.
Planes de beneficios definidos son planes de beneficio por retiro en los que las cantidades a pagar en concepto de beneficios se determinan por medio de una fórmula, normalmente basada en los salarios de los empleados, en los años de servicio o en ambas cosas a la vez.
Financiación mediante un fondo es el proceso de transferencia de los activos del plan a una entidad separada (el fondo), con cuyo patrimonio se cubre el pago de las obligaciones derivadas del plan de beneficio por retiro.
Para los propósitos de la presente Norma, se usan también los siguientes términos con el significado que a continuación se detalla:
Participantes son los miembros del plan de beneficio por retiro y otras personas que tienen derecho a prestaciones en virtud de las condiciones del plan.
Activos netos disponibles para el pago de beneficios son los activos del plan menos las obligaciones del mismo diferentes del valor actuarial presente de los beneficios prometidos.
Valor actuarial presente de los beneficios prometidos por retiro es, en un plan de beneficio por retiro, el valor presente de los pagos que se espera hacer a los empleados, antiguos y actuales, en razón de los servicios por ellos prestados hasta el momento.
Beneficios irrevocables son beneficios, derivados de las condiciones de un plan de beneficio por retiro, en los que el derecho a recibirlos no está condicionado a la continuidad en el empleo.
9 Algunos planes de beneficio por retiro son financiados por personas distintas de los empleadores; esta Norma también es de aplicación a la información financiera sobre tales planes.
10 La mayoría de los planes de beneficio por retiro se basan en un acuerdo contractual. Algunos planes son informales, pero han adquirido un carácter obligatorio como resultado de costumbres establecidas por los empleadores. Mientras que ciertos planes permiten al empleador terminar, en algún momento, con todas las obligaciones derivadas de los mismos, normalmente es difícil para el empleador cancelar un plan si los empleados han de permanecer a su servicio. Las mismas bases de contabilidad e información financiera se aplican a los planes formales y a los informales.
11 Muchos planes de beneficios prevén el establecimiento de fondos independientes, a los que se entregan las cotizaciones y se reclaman las prestaciones. Estos fondos son administrados por terceras personas, que actúan de forma independiente en la gestión de los activos del fondo. Esas personas son denominadas fiduciarios en algunos países. El término fiduciario se utiliza en esta Norma para describir a estas personas, con independencia de la existencia jurídica de la fiducia.
12 Normalmente, los planes de beneficio por retiro pertenecen a uno de los dos tipos ya mencionados: planes de aportaciones definidas o planes de beneficios definidos, teniendo cada uno sus propias características distintivas. Ocasionalmente pueden encontrarse planes con caracteres de ambos. Estos planes mixtos se consideran, para los propósitos de esta Norma, como planes de beneficios definidos.
Planes de aportaciones definidas
13 En la información procedente de un plan de aportaciones definidas, debe incluirse un estado de los activos netos para atender beneficios, así como una descripción de la política de capitalización.
14 Dentro de un plan de aportaciones definidas, la cuantía de los beneficios futuros a los participantes viene determinada por las aportaciones del empresario, del empleado o de ambos, junto con la eficiencia conseguida en la gestión del fondo y las rentas de las inversiones pertenecientes al mismo. El desembolso de las cotizaciones libera habitualmente al empleador de sus obligaciones con el fondo. Normalmente, no es necesario el asesoramiento de un profesional actuario, aunque tal asesoramiento se usa a veces para estimar los beneficios alcanzables en el futuro teniendo en cuenta las aportaciones actuales, así como los diversos niveles de aportaciones futuras y las ganancias que se consigan de las inversiones.
15 Los participantes están interesados en las actividades del plan en tanto que afectan directamente a los importes de los beneficios futuros. Los participantes, asimismo, están interesados en saber si las aportaciones han sido recibidas y si se ha ejercido el control apropiado para la protección de los derechos de los beneficiarios. El empleador, por su parte, está Interesado en el funcionamiento eficiente y equitativo del fondo.
16 El objetivo de la información procedente de un plan de aportaciones definidas es el de dar cuenta, periódicamente, de la situación del plan y de los rendimientos de sus inversiones. Tal objetivo se alcanza usualmente suministrando información que comprenda los siguientes extremos:
(a) una descripción de las actividades más significativas del periodo y del efecto de cualesquiera cambios relativos al plan, así como a sus participantes, plazos y condiciones;
(b) estados demostrativos de las transacciones y del rendimiento de las inversiones en et periodo, así como la situación financiera del plan al final del periodo; y
(c) una descripción de la política de inversiones.
Planes de beneficios definidos
17 La información proveniente de un plan de beneficios definidos debe contener la información reseñada en uno cualquiera de los siguientes apartados:
(a) un estado que muestre:
(i) los activos netos para atender beneficios;
(ii) el valor actuarial presente de los beneficios prometidos, distinguiendo entre los beneficios Irrevocables y los que no lo son; y
(iii) el superávit o déficit resultante; o
(b) un estado de los activos netos para atender beneficios incluyendo o bien:
(i) una nota en la que se revele el valor actuarial presente de los beneficios prometidos distinguiendo entre beneficios irrevocables y los que no lo son; o
(ii) una remisión al informe adjunto del actuario que contenga esta información.
Si no se ha preparado valoración actuarial en la fecha de la información, la valoración más reciente de que se disponga debe ser usada como base, revelando la fecha en que se hizo.
18 Para los propósitos del párrafo 17, el valor actuarial presente de los beneficios definidos, debe basarse en los beneficios definidos en virtud del plan, teniendo en cuenta los servicios prestados hasta la fecha de la rendición de cuentas. El establecimiento de la cifra concreta se hará, ya sea en función de los salarios actuales o de los proyectados, con explícita indicación del método utilizado. Asimismo, debe revelarse el efecto de cualquier cambio en las suposiciones actuariales que puedan tener una incidencia significativa en el valor actuarial presente de los beneficios prometidos.
19 Los estados financieros explicarán la relación existente entre el valor actuarial presente de los beneficios prometidos y los activos netos para atender tales beneficios, así como de la política seguida para la capitalización de los beneficios prometidos.
20 Dentro de un plan de beneficios definidos, el pago de los beneficios prometidos depende tanto de la situación financiera del plan y de la capacidad de los aportantes para realizar las aportaciones futuras, como del rendimiento de las inversiones del plan y de la eficiencia conseguida en la gestión del mismo.
21 En un plan de beneficios definidos, es necesario el asesoramiento periódico de un profesional actuario para evaluar la situación financiera del plan, revisar las suposiciones actuariales y hacer recomendaciones sobre los niveles que deben alcanzar las aportaciones futuras.
22 El objetivo de la información contable periódica, procedente de un plan de beneficios definidos, es dar cuenta de los recursos financieros y de las actividades del plan, datos que son útiles al evaluar las relaciones entre la acumulación de recursos y los beneficios satisfechos por el plan en cada momento. Este objetivo se alcanza, usualmente, suministrando información que comprenda los siguientes extremos:
(a) una descripción de las actividades más significativas del periodo y del efecto de cualesquiera cambios relativos al plan, así como a sus participantes, plazos y condiciones;
(b) estados demostrativos de las transacciones y del rendimiento de las inversiones en el periodo, así como la situación financiera del plan al final del periodo;
(c) información actuarial, ya sea presentada formando parte de los anteriores estados o por separado; y
(d) una descripción de la política de inversiones.
Valor actuarial presente de los beneficios por retiro prometidos
23 El valor presente de los beneficios a realizar en virtud de un plan de jubilación puede ser calculado, y presentados los cálculos, ya sea en función de los niveles de salarios actuales, o de los proyectados al momento del retiro de los participantes.
24 Entre las principales razones que pueden apoyar la adopción del método de los salarios actuales, están las siguientes:
(a) el valor actuarial presente de los beneficios prometidos, esto es, la suma de los importes actualmente atribuibles a cada participante en el plan, el cual puede ser calculado con este método más objetivamente que usando el de los salarlos proyectados, dado que implica un número menor de suposiciones valorativas;
(b) los incrementos en los beneficios correspondientes a un aumento en el salario se convierten en obligaciones para el plan en el momento de producirse el citado aumento; y
(c) usando salarios actuales, el importe del valor actuarial de los beneficios prometidos está más estrechamente relacionado con la cantidad a pagar si se produjese el cese o interrupción del plan.
25 Entre las principales razones que pueden apoyar la adopción del método de los salarios proyectados, están las siguientes;
(a) la información financiera debe prepararse sobre la base de la continuidad del plan, cualesquiera que sean las suposiciones y estimaciones a realizar;
(b) en el caso de planes según pagos finales, los beneficios se determinan en función de los salarios en el momento del retiro o en épocas cercanas al mismo, por lo cual es necesario hacer proyecciones de salarios, niveles de aportación y tasas de rendimiento de las inversiones; y
(c) el hecho de no incorporar proyecciones de salarios, cuando la mayoría de las capitalizaciones se fundamentan en este tipo de datos, puede dar como resultado que el plan aparezca, en la información presentada, como supercapitalizado cuando en realidad no lo está, o aparezca suficientemente dotado cuando en realidad está infracapitalizado.
26 Dentro de las informaciones provenientes del plan, se suministra el valor actuarial presente de los beneficios prometidos en función de los salarios corrientes, para indicar el importe de las obligaciones acumuladas (devengadas) hasta la fecha del informe. El valor actuarial presente de los beneficios prometidos en función de los salarios proyectados, se suministra para indicar el importe de las obligaciones potenciales en un régimen de gestión continuada, suposición que generalmente se toma como base para la capitalización. Además de presentar el valor actuarial presente de los beneficios prometidos, puede ser necesario dar una explicación suficiente para indicar claramente cuál es el contexto en el que debe ser leída e interpretada esta cifra. Esta explicación puede revestir la forma de información acerca de la capitalización planeada en el futuro y de la política de capitalización basada en las proyecciones de los salarios. Todo ello puede incluirse bien en la información financiera, bien en el informe del actuario.
Frecuencia de las evaluaciones actuariales
27 En muchos países las evaluaciones actuariales requieren una frecuencia no mayor de una vez cada tres años. En caso de que no se haya hecho una evaluación actuarial en la fecha de los estados financieros, se utiliza la evaluación más reciente como base indicando la fecha en que fue realizada.
Contenido de los estados financieros
28 Para el caso de los planes de aportaciones definidas, la información se suministra utilizando uno de los siguientes formatos, que reflejan diferentes prácticas en la presentación de la información actuarial;
(a) se Incluye en los estados financieros un estado que muestra los activos netos para atender beneficios, el valor actuarial presente de los beneficios prometidos y el déficit o superávit resultante. Los estados financieros del plan contienen también estados de cambios en los activos netos utilizables para el pago de beneficios, así como en el valor actuarial presente de los beneficios prometidos. Los estados financieros pueden incluir, por separado, un informe del actuario apoyando el cálculo del valor actuarial de los beneficios prometidos;
(b) un informe que incluye el estado de los activos netos para atender beneficios y el estado de cambios habidos en tales activos netos. El valor actuarial presente de los beneficios prometidos se desglosa en una nota a los anteriores estados. Los estados financieros pueden también estar acompañados de un informe del actuario apoyando el cálculo del valor actuarial de los beneficios prometidos; y
(c) estados financieros que incluyan el estado de activos netos para atender beneficios y el estado de cambios en los activos netos, suministrando por separado, a través del informe del actuario, el valor actuarial presente de los beneficios prometidos.
En cada uno de estos formatos de información, los estados financieros presentados pueden estar acompañados de un informe de los fideicomisarios a modo de informe de gestión y de un informe sobre las inversiones.
29 Quienes apoyan los formatos descritos en los apartados 28(a) y (b) estiman que la cuantificación de los beneficios prometidos y el resto de la información suministrada, ayudan a los usuarios al evaluar la situación actual del plan y la probabilidad de que puedan cumplirse los compromisos del mismo. También opinan que los estados financieros deben ser completos en sí mismos, sin tener que depender de los informes o declaraciones que puedan acompañarlos. No obstante, algunos piensan que el formato descrito en el apartado 28(a) puede llevar a la impresión de que existe una obligación contraída, cuando el valor actuarial presente de los beneficios prometidos no tiene, en su opinión, todas las características de un pasivo.
30 Quienes apoyan el formato descrito en el apartado 28(c) creen que el valor actuarial presente de los beneficios prometidos no debe ser incluido en el estado de los activos netos disponibles para el pago de beneficios, como se hace en el formato descrito en el apartado 28(a), ni siquiera ser desglosado en una nota como se hace en el formato del apartado 28(b), porque tal importe sería comparado directamente con la cuantía de los activos del plan y tal comparación puede no ser válida. Ellos argumentan que los actuarios no necesariamente comparan el valor actuarial presente de los beneficios prometidos con los valores de mercado de las inversiones, sino que, en su lugar, pueden evaluar simplemente el valor presente de los flujos de efectivo esperados de las inversiones. Por tanto, quienes apoyan este formato estiman poco probable que tal comparación pueda llevar a una evaluación actuarial global del plan y, por ello, que el hecho de realizarla puede inducir a error al lector de la información. Además, algunos opinan que las informaciones sobre beneficios prometidos, ya sean cuantitativas o no, solamente deben contenerse en el informe separado del actuario, donde puede ser suministrada la explicación adecuada.
31 La presente Norma acepta el punto de vista favorable a permitir la presentación de la información relativa a los beneficios prometidos en un Informe del actuario que se suministre por separado. La Norma rechaza los argumentos en contra de la cuantificación del valor actuarial presente de los beneficios prometidos. Por consiguiente, los formatos descritos en los apartados 28(a) y (b) se consideran aceptables en el contexto de la Norma, así como el formato descrito en el apartado 28(c), siempre que la información financiera contenida en el mismo remita al informe actuarial adjunto que incluye el valor actual presente de los beneficios prometidos.
Referente a todos los planes
Valoración de los activos del plan
32 Las inversiones del plan de beneficio por retiro deben contabilizarse por su valor razonable. En el caso de títulos cotizados, el valor razonable es el de mercado. Cuando existen inversiones, dentro del plan, cuyo valor razonable no puede estimarse, debe revelarse la razón por la cual no se ha podido usar tal método de valoración.
33 En el caso de títulos cotizados, el valor razonable es usualmente el valor de mercado, puesto que se considera como la medida más útil del valor de los mismos en la fecha de los estados financieros, así como del rendimiento de la inversión en el periodo. Los títulos con un valor fijo de reembolso, que han sido adquiridos para cumplir con las obligaciones que el plan tenga en el momento de su vencimiento, o con una parte de las mismas, puede ser contabilizados por importes basados en su valor de reembolso, de manera que se obtenga una rentabilidad constante hasta el momento del vencimiento. Cuando no se dispone de valores razonables para algunas inversiones del plan de beneficio por retiro, por ejemplo, en caso de poseer la totalidad del capital de una entidad, se revelará en los estados financieros la razón para no usar el valor razonable. Si existen inversiones que no se contabilizan por su valor de mercado o por su valor razonable, este último se revela, generalmente, también en los estados financieros. Los activos usados en la gestión de las operaciones del fondo se contabilizan empleando las Normas que les sean de aplicación,
Información a revelar
34 En la información procedente de un plan de beneficio por retiro, ya sea de aportaciones o de beneficios definidos, deben incluirse también los siguientes extremos;
(a) un estado de cambios en los activos netos para atender beneficios;
(b) información sobre políticas contables material o con importancia relativa; y
(c) una descripción del plan y del efecto de cualesquiera cambios habidos en el plan durante el periodo,
35 La información suministrada por los planes de beneficio por retiro incluye, en la medida en que sean aplicables, los siguientes datos;
(a) un estado de los activos netos para atender beneficios mostrando;
(i) los activos al final del periodo, clasificados adecuadamente;
(ii) las bases de valoración de los activos;
(iii) detalles de cualquier inversión individual que exceda el 5% de los activos netos para atender beneficios, o el 5% de cualquier clase o categoría de títulos;
(iv) detalles sobre cualquier inversión realizada en la entidad del empleador; y
(v) los pasivos distintos del valor actuarial presente de los beneficios prometidos;
(b) un estado que muestre la evolución en el periodo de los activos netos para atender beneficios, mostrando lo siguiente:
(i) las aportaciones del empleador;
(ii) las aportaciones de los empleados;
(iii) los rendimientos de las inversiones, tales como intereses y dividendos;
(iv) los ingresos provenientes de otras fuentes;
(v) los beneficios pagados en el periodo o exigibles a final del mismo (detallando, por ejemplo, los planes de beneficio por retiro, muerte e invalidez, así como los beneficios satisfechos mediante pagos únicos);
(vi) los gastos de administración y gestión;
(vii) otro tipo de gastos;
(viii) los impuestos sobre las ganancias;
(ix) las pérdidas y ganancias por disposición de inversiones, así como los cambios en el Importe en libros de las mismas; y
(x) las transferencias hechas a, o recibidas de, otros planes;
(c) una descripción de la política relacionada con la constitución y mantenimiento del fondo;
(d) para los planes de beneficios definidos, el valor actuarial presente de los beneficios prometidos (pudiendo distinguir entre beneficios irrevocables y aquéllos que no lo son) en función de los beneficios por retiro prometidos según el plan y de los servicios prestados hasta la fecha, utilizando los niveles de salarios corrientes o proyectados, pudiendo incluirse esta información en el informe adjunto del actuario, el cual debe ser leído e interpretado de forma conjunta con la información financiera correspondiente; y
(e) para los planes de aportaciones definidas, una descripción de las principales suposiciones aduanales realizadas y del método usado para calcular el valor presente de los beneficios definidos.
36 La información suministrada por un plan de beneficio por retiro contiene una descripción del propio plan, ya sea como parte de la información financiera o en documento aparte. Tal información puede contener los siguientes extremos:
(a) los nombres de los empleadores y la identificación de los grupos de empleados cubiertos;
(b) el número de participantes que reciben beneficios, así como el número de otros participantes, clasificados convenientemente;
(c) el tipo de plan de aportaciones definidas o de beneficios definidos;
(d) una nota en la que se precise si los participantes realizan sus cotizaciones al plan;
(e) una descripción de los beneficios por retiro prometidos a los participantes;
(f) una descripción de las eventuales condiciones de cese del plan; y
(g) los cambios habidos en los apartados (a) a (f) durante el periodo cubierto por la información.
No es infrecuente la práctica de remitir al usuario de la información a otros documentos, de fácil acceso y comprensión, donde se describe el plan, e incluir únicamente, en la información a la que se refiere este párrafo, los cambios subsiguientes a la emisión de tales documentos.
Fecha de vigencia
37 Esta Norma pasará a ser operativa para los estados financieros de los planes de beneficios por retiro que cubran periodos que comiencen a partir del 1 de enero de 1988
38 Información a Revelar sobre Políticas Contables que modifica la NIC 1 Presentación de Estados Financieros y el Documento de Práctica de las NIIF N,° 2 Realización de Juicios sobre Materialidad o Importancia Relativa, y fue emitida en febrero de 2021 modificó el párrafo 34. Una entidad aplicará esa modificación para los periodos anuales que comiencen a partir del 1 de enero de 2024 (fecha de aplicación en Colombia). Se permite su aplicación anticipada. Si una entidad aplicase la modificación en un periodo que comience con anterioridad, revelará este hecho.
NIC 34 INFORMACIÓN FINANCIERA INTERMEDIA
Objetivo
El objetivo de esta Norma es establecer el contenido mínimo de la información financiera intermedia así como prescribir los criterios para el reconocimiento y la medición que deben ser seguidos en los estados financieros intermedios, ya se presenten de forma completa o condensada para un periodo intermedio. La información financiera intermedia, si se presenta en el momento oportuno y contiene datos fiables, mejora la capacidad que los inversionistas, prestamistas y otros usuarios tienen para entender la capacidad de la entidad para generar beneficios y flujos de efectivo, así como su fortaleza financiera y liquidez.
Alcance
1 En esta Norma no se establece qué entidades deben ser obligadas a publicar estados financieros intermedios, ni tampoco la frecuencia con la que deben hacerlo ni cuánto tiempo debe transcurrir desde el final del periodo intermedio hasta la aparición de la información intermedia. No obstante, los gobiernos, las comisiones de valores, las bolsas de valores y los organismos profesionales contables requieren frecuentemente a las entidades cuyos valores cotizan en mercados de acceso público presentar información financiera intermedia. Esta Norma es de aplicación tanto si la entidad es obligada a publicar este tipo de información, como si ella misma decide publicar información financiera intermedia siguiendo las Normas Internacionales de Información Financiera (NIIF). El Comité de Normas Internacionales de Contabilidad (*) aconseja a las entidades cuyos títulos cotizan en los mercados que suministren estados financieros intermedios que cumplan con los criterios de reconocimiento, medición y presentación establecidos en esa Norma. Más específicamente, se aconseja a las entidades con valores cotizados en bolsa que:
(a) publiquen, al menos, estados financieros intermedios referidos al primer semestre de cada uno de sus periodos contables anuales; y
(b) pongan sus estados financieros intermedios a disposición de los usuarios en un plazo no mayor de 60 días tras la finalización del periodo intermedio.
(*) El Comité de Normas Internacionales de Contabilidad fue sustituido por el Consejo de Normas Internacionales de Contabilidad, el cual comenzó a operar en 2001.
2 La evaluación del cumplimiento y conformidad con las NIIF se hará, por separado, para cada conjunto de información financiera, ya sea anual o intermedia. El hecho de que una entidad no haya publicado información intermedia durante un periodo contable en particular, o de que haya publicado informes financieros intermedios que no cumplan con esta Norma, no Impide que sus estados financieros anuales cumplan con las NIIF, si se han confeccionado siguiendo las mismas.
3 Para calificar a los estados financieros intermedios de una entidad como conformes con las NIIF, deben cumplir con todos los requerimientos establecidos en esta Norma. Al respecto, el párrafo 19 requiere la revelación de determinadas informaciones.
Definiciones
4 Los siguientes términos se usan en esta Norma con los significados que a continuación se especifican:
Periodo intermedio es todo periodo contable menor que un periodo anual completo.
Por información financiera intermedia se entiende toda información financiera que contenga, o bien un juego completo de estados financieros [como se describe en la NIC 1 Presentación de Estados Financieros (revisada en 2007)], o bien un juego de estados financieros condensados (como se describe en esta Norma), para un periodo intermedio.
Contenido de la información financiera intermedia
5 La NIC 1 define un juego completo de estados financieros, como el que incluye los componentes siguientes:
(a) un estado de situación financiera al final del periodo;
(b) un estado del resultado y otro resultado integral del periodo;
(c) un estado de cambios en el patrimonio del periodo;
(d) un estado de flujos de efectivo del periodo;
(e) notas, información de las políticas contables materiales o con importancia relativa y otra información explicativa;
(ea) información comparativa con respecto al periodo inmediato anterior, como se especifica en los párrafos 38 y 38A de la NIC 1; y
(f) un estado de situación financiera al principio del primer periodo inmediato anterior comparativo, cuando una entidad aplique una política contable de forma retroactiva o realice una reexpresión retroactiva de partidas en sus estados financieros, o cuando reclasifique partidas en sus estados financieros de acuerdo con los párrafos 40A a 40D de la NIC 1.
Una entidad puede utilizar, para denominar a los estados, títulos distintos a los utilizados en esta Norma.
Por ejemplo, una entidad puede utilizar el título "estado del resultado integral1' en lugar de “estado del resultado y otro resultado integral”.
6 En beneficio de la oportunidad y del costo de la Información, así como para evitar la repetición de datos anteriormente publicados, la entidad puede estar obligada a, o decidir por sí misma, la publicación de menos información en los periodos intermedios, que la suministrada en sus estados financieros anuales. En esta Norma se delimita el contenido mínimo de la información financiera intermedia, que incluye estados financieros condensados y notas explicativas seleccionadas. La información financiera intermedia se elabora con la intención de poner al día el último conjunto de estados financieros anuales completos. Por consiguiente, se pone énfasis en las nuevas actividades, sucesos y circunstancias, y por tanto no se duplica la información publicada previamente.
7 No hay ningún párrafo en esta Norma que prohíba o desaconseje a las entidades publicar dentro de la información financiera intermedia, en lugar de los estados financieros condensados y las notas explicativas seleccionadas, un conjunto de estados financieros completos (como los descritos en la NIC 1). Tampoco se prohíbe ni se desaconseja en esta Norma la inclusión, en los estados financieros condensados, de información adicional a las partidas mínimas o a las notas seleccionadas exigidas en esta Norma. Las guías sobre reconocimiento y medición proporcionadas en esta Norma son de aplicación también a los estados financieros completos del periodo intermedio, y tales estados pueden contener todas las informaciones a revelar exigidas por la Norma (en particular, la información correspondiente a las notas seleccionadas que se contienen en el párrafo 16A), así como las que se requieren en otras NIIF.
Componentes mínimos de la información financiera intermedia
8 La información financiera intermedia contendrá, como mínimo, los siguientes componentes:
(a) un estado de situación financiera condensado;
(b) un estado condensado o estados condensados del resultado del periodo y otro resultado integral;
(c) un estado de cambios en el patrimonio condensado;
(d) un estado de flujos de efectivo condensado; y
(e) notas explicativas seleccionadas.
8A Sí una entidad presenta las partidas del resultado en un estado separado, según se describe en el párrafo 10A de la NIC 1 (modificada en 2011), presentará información intermedia condensada de ese estado.
Forma y contenido de los estados financieros intermedios
9 Si la entidad publica un conjunto de estados financieros completos en su información financiera intermedia, la forma y contenido de tales estados deben cumplir las exigencias establecidas en la NIC 1, para un conjunto de estados financieros completos.
10 Si la entidad publica un conjunto de estados financieros condensados en su información financiera intermedia, tales estados condensados deberán contener, como mínimo, cada uno de los grandes grupos de partidas y subtotales que hayan sido incluidos en los estados financieros anuales más recientes, así como las notas explicativas seleccionadas que se exigen en esta Norma, Deben incluirse partidas o notas adicionales siempre que su omisión pueda llevar a que los estados financieros intermedios sean mal interpretados.
11 Cuando la entidad se encuentre dentro del alcance de la NIC 33 Ganancias por Acción (*), presentará las ganancias por acción básicas y diluidas para ese periodo en el estado que presente los componentes del resultado para un periodo intermedio.
(*) Este párrafo se modificó mediante el documento Mejoras a las NIIF emitido en mayo de 2008 para aclarar el alcance de la NIC 34.
11A Sí una entidad presenta las partidas del resultado en un estado separado, según se describe en el párrafo 10A de la NIC 1 (modificada en 2011), presentará las ganancias por acción básica y diluida en ese estado.
12 La NIC 1 (revisada en 2007) proporciona una guía sobre la estructura de los estados financieros. La Guía de Implementación de la NIC 1 contiene ejemplos sobre la forma en que se pueden presentar el estado de situación financiera, el estado del resultado integral y el estado de cambios en el patrimonio,
13 [Eliminado]
14 La información financiera intermedia será consolidada si los estados financieros más recientes de la entidad también se prepararon de forma consolidada. Los estados financieros separados de la controladora no son coherentes ni comparables con los estados financieros consolidados más recientes del grupo. Si la información financiera anual de la entidad incluye, junto con los estados financieros consolidados, los estados separados de la controladora, esta Norma no requiere ni prohíbe que se incluyan también los estados separados de la controladora en la información intermedia elaborada por la entidad.
Hechos significativos y transacciones
15 Una entidad incluirá en su información financiera intermedia una explicación de los sucesos y transacciones, producidos desde el final del último periodo anual de presentación, que sean significativos para comprender los cambios en la situación financiera y el rendimiento de la entidad. La información revelada en relación con esos sucesos y transacciones actualizará la Información correspondiente presentada en el informe financiero anual más reciente.
15A Un usuario de la información financiera intermedia de la entidad tendrá también acceso al informe financiero anual más reciente de ésta. Por tanto, es innecesario que las notas de la información financiera intermedia proporcionen actualizaciones relativamente poco significativas de la información que se proporcionó en las notas del informe financiero anual más reciente.
15B Lo siguiente es una lista de sucesos y transacciones para los cuales se requeriría información a revelar si fueran significativos; la lista no es exhaustiva.
(a) la rebaja del importe en libros de los inventarios hasta su valor neto realizable, así como la reversión de dicha corrección;
(b) el reconocimiento de una pérdida por deterioro del valor de activos financieros, propiedades, planta y equipo, activos Intangibles, activos que surgen de contratos con clientes, o de otros activos, así como la reversión de dicha pérdida por deterioro;
(c) la reversión de cualquier provisión por costos de reestructuración;
(d) las adquisiciones y disposiciones de elementos de propiedades, planta y equipo;
(e) los compromisos de compra de elementos de propiedades, planta y equipo;
(f) cancelaciones de pagos por litigios;
(g) las correcciones de errores de periodos anteriores;
(h) cambios en las circunstancias económicas o de negocio que afectan al valor razonable de los activos financieros y pasivos financieros de la entidad, tanto si esos activos o pasivos están reconocidos al valor razonable como si lo están al costo amortizado;
(i) cualquier incumplimiento u otra infracción de un acuerdo de préstamo que no haya sido corregida al final del periodo sobre el que se informa, o antes del mismo;
(j) las transacciones con partes relacionadas;
(k) transferencias entre niveles de la jerarquía del valor razonable utilizada para medir el valor razonable de los instrumentos financieros;
(l) cambios en la clasificación de los activos financieros como resultado de un cambio en el propósito o uso de esos activos; y
(m) cambios en los pasivos contingentes o activos contingentes.
15C Las NIIF individuales proporcionan guías con respecto a los requerimientos de información a revelar para muchas de las cuestiones enumeradas en el párrafo 15B. Cuando un suceso o transacción sea significativo para la comprensión de los cambios en la situación financiera o rendimiento de la entidad desde el último periodo anual sobre el que se informa, su presentación de información financiera intermedia deberla proporcionar una explicación y actualización de la información relevante incluida en los estados financieros del último periodo anual sobre el que se informa.
16 [Eliminado]
Otra información a revelar
16A Además de revelar los sucesos y transacciones significativos de acuerdo con los párrafos 15 a 15C, una entidad deberá incluir en las notas de la información financiera intermedia la información que se detalla a continuación, siempre que no haya sido revelada en alguna otra parte de los estados financieros intermedios. La información a revelar siguiente se proporcionará bien sea en los estados financieros intermedios o incorporada mediante una referencia cruzada de los estados financieros intermedios con algún otro estado (tal como comentarios de la gerencia o informe de riesgos) que esté disponible para los usuarios de los estados financieros en las mismas condiciones y al mismo tiempo que los estados financieros intermedios. Si los usuarios de los estados financieros no tienen acceso a la información incorporada por referencias cruzadas en las mismas condiciones y al mismo tiempo, la información financiera intermedia está incompleta. Esta información debe ser normalmente ofrecida desde el comienzo del periodo contable.
(a) Una declaración de que se han seguido las mismas políticas y métodos contables de cálculo en los estados financieros intermedios que en los estados financieros anuales más recientes o, si algunas de esas políticas o algunos métodos hubiesen cambiado, una descripción de la naturaleza y efecto del cambio.
(b) Comentarios explicativos acerca de la estacionalidad o carácter cíclico de las transacciones del periodo intermedio.
(c) La naturaleza e importe de las partidas, ya afecten a los activos, pasivos, patrimonio, ganancia neta o flujos de efectivo, que sean no usuales por su naturaleza, importe o incidencia.
(d) La naturaleza e importe de cambios en estimaciones de importes presentados en periodos intermedios anteriores al ejercicio financiero corriente o cambios en estimaciones de importes presentados en ejercicios financieros anteriores.
(e) Emisiones, recompras y reembolsos de títulos representativos de la deuda o del capital de la entidad.
(f) Dividendos pagados (ya sea en términos agregados o por acción), separando los correspondientes a las acciones ordinarias y a otros tipos de acciones.
(g) La siguiente información sobre segmentos (se exige revelar información intermedia segmentada solo si la NIIF 8 Segmentos de Operación, obliga a la entidad a revelar información segmentada en sus estados financieros anuales);
(i) Los ingresos de actividades ordinarias procedentes de clientes externos, si se incluyen en la medida de las pérdidas o ganancias de los segmentos revisada por la máxima autoridad en la toma de decisiones de operación o se facilitan a la misma de otra forma con regularidad.
(ii) Los ingresos de actividades ordinarias inter-segmentos, si se incluyen en la medición de las pérdidas o ganancias de los segmentos revisada por la máxima autoridad en la toma de decisiones de operación o se facilitan a la misma de otra forma con regularidad.
(iii) Una medición de las pérdidas o ganancias de los segmentos.
(iv) Una medida de los activos y pasivos totales de un segmento sobre el que debe informarse, si estos importes se proporcionan de forma regular a la máxima autoridad en la toma de decisiones de operación y si para la cual ha habido un cambio importante en el importe revelado en los últimos estados financieros anuales para ese segmento sobre el que debe informarse.
(v) Una descripción de las diferencias, con respecto a los últimos estados financieros anuales, en el criterio de segmentación o de medición de las pérdidas o ganancias de los segmentos.
(vi) La conciliación del total del valor de las pérdidas o ganancias de los segmentos sobre los que deba informar con las pérdidas o ganancias de la entidad antes de tener en cuenta el gasto (Ingreso) por impuestos y las actividades discontinuadas; no obstante, si una entidad asignase a segmentos sobre los que deba informar conceptos tales como el gasto (ingreso) por impuestos, podrá conciliar el total de la medida de las pérdidas o ganancias de los segmentos con las pérdidas o ganancias después de tener en cuenta tales conceptos; las partidas significativas de conciliación se identificarán y describirán por separado en dicha conciliación.
(h) Sucesos después del periodo intermedio que no se han reflejado en los estados financieros para dicho periodo Intermedio.
(i) El efecto de los cambios en la composición de la entidad durante el período intermedio, incluyendo combinaciones de negocios, la obtención o la pérdida del control de subsidiarias e inversiones a largo plazo, reestructuraciones y operaciones discontinuadas. En el caso de las combinaciones de negocios, la entidad revelará la información requerida por la NIIF 3 Combinaciones de Negocios.
(j) Para instrumentos financieros, la Información a revelar sobre el valor razonable requerida por los párrafos 91 a 93(h), 94 a 96, 98 y 99 de la NIIF 13 Medición del Valor Razonable y los párrafos 25, 26 y 28 a 30 de la NIIF 7 Instrumentos Financieros: Información a Revelar.
(k) Para entidades que se conviertan o dejen de ser entidades de inversión, tal como se definen en la NIIF 10 Estados Financieros Consolidados, la información a revelar del párrafo 9B de la NIIF 12 información a Revelar sobre Participaciones en Otras Entidades.
(l) La desagregación de los ingresos de actividades ordinarias procedentes de contratos con clientes requerida por los párrafos 114 y 115 de la NIIF 15 Ingresos de Actividades Ordinarias Procedentes de Contratos con Clientes.
17 a 18 [Eliminado]
Información a revelar sobre el cumplimiento de las NIIF
19 Si un informe financiero intermedio de una entidad cumple con esta Norma, este hecho deberá ser informado. Un Informe financiero Intermedio no deberá describirse como que cumple con las NIIF a menos que cumpla con todos los requerimientos de ellas.
Periodos para los que se requiere la presentación de estados financieros intermedios
20 La información intermedia incluirá estados financieros intermedios (ya sean condensados o completos) para los periodos de la forma siguiente:
(a) Estado de situación financiera al final del período intermedio corriente y un estado comparativo de la situación financiera al final del periodo contable inmediatamente anterior.
(b) Estado del resultado del periodo y otro resultado integral para el periodo intermedio presente y el acumulado para el periodo contable corriente hasta la fecha, junto con estados comparativos del resultado del período y otro resultado integral para los periodos intermedios correspondientes (presente y anual acumulado hasta la fecha) del periodo contable anual precedente inmediato. Según permite la NIC 1 (modificada en 2011), una información intermedia puede presentar para cada periodo un estado o estados del resultado del periodo y otro resultado integral.
(c) Un estado de los cambios en el patrimonio, acumulado para todo el periodo contable hasta la fecha, junto con un estado comparativo del mismo periodo de tiempo referido al periodo contable anual precedente.
(d) Un estado de flujos de efectivo acumulado para todo el periodo contable hasta la fecha, junto con un estado comparativo del mismo periodo de tiempo referido al periodo contable anual precedente,
21 Para una entidad cuyas actividades sean fuertemente estacionales, puede ser útil presentar información financiera relativa a los doce meses que terminan al final del periodo intermedio, así como información comparativa de los doce meses anteriores a éstos. Por consiguiente, se aconseja a las entidades con actividades fuertemente estacionales considerar la publicación de estos datos, además de la información obligatoria según el párrafo precedente.
22 La Parte A de los ejemplos que acompañan a esta Norma ilustra los periodos requeridos a presentar por una entidad que informa con periodicidad semestral, y otra que informa trimestralmente.
Materialidad o con Importancia relativa
23 Al tomar la decisión relativa a cómo reconocer, medir, clasificar o revelar información sobre una determinada partida en los estados financieros intermedios, la importancia relativa debe ser evaluada en relación con los datos financieros del periodo intermedio en cuestión, Al realizar evaluaciones sobre importancia relativa, debe tenerse en cuenta que las mediciones intermedias pueden estar basadas en estimaciones en mayor medida que las mediciones correspondientes a los datos del periodo anual.
24 En la NIC 1 se requiere revelar información por separado de las partidas materiales entre las que se incluyen, a título de ejemplo, las operaciones en discontinuación; mientras que en la NIC 8 Políticas Contables, Cambios en las Estimaciones Contables y Errores se requiere revelar información de los errores, así como de los cambios en las estimaciones y en las políticas contables. Ninguna de las dos Normas contiene guías cuantitativas relativas a la materialidad o importancia relativa.
25 Aunque siempre es necesario realizar juicios al evaluar la materialidad, en esta Norma se fundamentan las decisiones de reconocimiento y revelación a partir de los datos del propio periodo intermedio por razones de comprensión de las cifras relativas al mismo. Así, por ejemplo, las partidas no usuales, los cambios en políticas contables o en estimaciones y los errores se reconocerán y revelarán según su importancia relativa, en relación con las cifras del periodo intermedio, para evitar las inferencias erróneas que se derivarían de la falta de revelación de tales partidas. El objetivo de esta excepción es asegurar que en el informe financiero intermedio se incluyen todos los datos relevantes para comprender la situación y el rendimiento financieros de la entidad durante el periodo intermedio.
Información a revelar en los estados financieros anuales
26 Si la estimación correspondiente a una partida, presentada en un periodo intermedio anterior, resulta modificada de forma significativa durante el periodo intermedio final del periodo contable anual, pero no se ha publicado información financiera intermedia separada para ese periodo final, la naturaleza e importe de tal cambio en las estimaciones debe ser objeto de información específica, utilizando para ello una nota de las que correspondan a los estados financieros para el periodo contable completo.
27 En la NIC 8 se requiere revelar la naturaleza y (si es practicable) el importe del cambio en las estimaciones que tengan un efecto significativo en el periodo corriente o que se espera que tengan efectos materiales en periodos posteriores. El apartado (d) del párrafo 16A de esta Norma requiere una revelación similar en cada informe financiero intermedio. Entre los posibles ejemplos se incluyen los cambios en el último periodo intermedio que se refieran a las rebajas de valor de los inventarios, a las reestructuraciones o a las pérdidas por deterioro que fueron presentadas en un periodo intermedio anterior, dentro del mismo periodo anual. La información requerida en el párrafo anterior es coherente con la obligación de la NIC 8, pero tiene un alcance menor–limitado exclusivamente a los cambios en las estimaciones. La entidad no estará obligada a revelar información adicional referente a periodos contables intermedios dentro de sus estados financieros anuales.
Continuación del Decreto "Por el cual se modifica el anexo técnico de las Normas de Información Financiera para el Grupo 1 del Decreto Único Reglamentario de las Normas de Contabilidad, de Información Financiera y de Aseguramiento de la Información, Decreto 2420 de 2015, y se dictan otras disposiciones”
Reconocimiento y medición
Políticas contables iguales a las utilizadas en la información anual
28 La entidad debe aplicar, en los estados financieros intermedios, las mismas políticas contables que aplica en sus estados financieros anuales, salvo por lo que se refiere a los cambios en las políticas contables llevados a cabo tras la fecha de cierre de los estados financieros anuales más recientes, que tendrán su reflejo en los próximos que presente. No obstante, la frecuencia con que la entidad presente información (anual, semestral o trimestralmente) no debe afectar a la medición de las cifras contables anuales. Para conseguir tal objetivo, las mediciones realizadas de cara a la información intermedia deben abarcar todo el intervalo transcurrido desde principio del periodo anual hasta la fecha final del periodo intermedio.
29 El hecho de exigir que la entidad aplique las mismas políticas contables en los estados financieros Intermedios y en los anuales, puede llevar a la conclusión aparente de que las mediciones intermedias se realizan como si cada periodo intermedio permaneciera aislado, como si se tratara de un periodo contable independiente. Sin embargo, al asegurar que la frecuencia de la información procedente de la entidad no afectará a la medición de sus cifras anuales, el párrafo 28 está efectuando el reconocimiento de que el periodo intermedio es parte de un periodo contable anual más largo. Las mediciones desde el último cierre anual hasta la fecha del periodo intermedio pueden implicar la revisión de los importes de ciertas partidas, según se presentaron en periodos intermedios anteriores dentro del mismo periodo anual. No obstante, las políticas para el reconocimiento de activos, pasivos, ingresos y gastos en los periodos intermedios, son los mismos que las utilizadas en los estados financieros anuales.
30 Como ilustración:
(a) las políticas para el reconocimiento y medición de las pérdidas por depreciación de inventarios, por reestructuraciones o por deterioro en el valor de otros activos, en el periodo intermedio, son los mismos que la entidad seguiría sí preparase únicamente estados financieros anuales. No obstante, si tales partidas de gastos se reconocieran y midieran en un periodo intermedio, y los cambios en las estimaciones se reconocieran en otro posterior dentro del mismo periodo anual, la estimación original sería corregida en el periodo posterior, ya fuera cargando al estado de resultados el gasto o la pérdida adicional, o en caso contrario revirtiendo el exceso en la rebaja de valor o la provisión previamente reconocida;
(b) un costo que no cumpliera la definición de activo al final de un determinado periodo contable intermedio, no tendría por qué ser diferido, colocándolo en el estado de situación financiera a la espera, bien de información futura que aportara mayor evidencia sobre el cumplimiento de las condiciones correspondientes, bien de cargarlo contra las ganancias de periodos intermedios subsiguientes del mismo periodo contable anual; y
(c) el gasto por el impuesto a las ganancias se reconocerá, en cada uno de los periodos intermedios, sobre la base de la mejor estimación del promedio ponderado de la tasa impositiva que se espere para el periodo contable anual. Los importes calculados para el gasto por el Impuesto, en este periodo intermedio, pueden necesitar ajustes en periodos posteriores siempre que las estimaciones de la tasa anual hayan cambiado para entonces.
31 Dentro del Marco Conceptual para la Preparación y Presentación de Estados Financieros (el "Marco
Conceptual”), reconocimiento es el “proceso de incorporación, en el balance o en el estado de resultados, de una partida que cumpla la definición del elemento correspondiente, satisfaciendo además los criterios para su reconocimiento''. Las definiciones de activo, pasivo, ingresos y gastos son fundamentales para proceder al reconocimiento en las fechas de cierre de los periodos anual e intermedio sobre los que se informa.
32 Para el caso de los activos, son de aplicación, en la fecha de la información intermedia y en la anual, las mismas pruebas referidas a las ganancias económicas futuras. Los costos que, por su naturaleza, no cumplirían las condiciones para ser activos en la fecha de los estados financieros anuales, tampoco las cumplirán en la fecha de cierre del periodo intermedio. De forma similar, un pasivo al final del periodo intermedio debe representar una obligación existente en ese momento, exactamente igual que sucedería si se tratase de la fecha de cierre del periodo anual sobre el que se informa.
33 Una característica esencial de los ingresos (ingresos de actividades ordinarias) y los gastos es que las correspondientes entradas o salidas de activos o pasivos, según los casos, ya han tenido lugar. Si tales flujos de entrada o salida se han producido efectivamente, se procede a reconocer el ingreso de actividades ordinarias o el gasto relacionado; y en caso contrario no se reconocen, El Marco Conceptual no permite el reconocimiento, en el estado de situación financiera, de partidas que no cumplen la definición de activos o pasivos,
34 Al medir los activos, pasivos, ingresos, gastos y flujos de efectivo para incluirlos en sus estados financieros, la entidad que sólo presenta información financiera anualmente habrá de tomar en cuenta la información disponible a lo largo del periodo contable. Sus mediciones se harán, en efecto, desde el principio del periodo hasta la fecha en que presenta la información, aunque ésta sea anual.
35 Una entidad que presente información financiera con periodicidad semestral, utilizará la información disponible a la fecha de la mitad del periodo contable, o bien algo más tarde, para realizar las mediciones de las partidas de sus estados semestrales, y la información disponible en la fecha de los estados financieros anuales, o algo más tarde, para realizar las mediciones de las partidas correspondientes al año completo. Estas mediciones relativas al año completo reflejarán los eventuales cambios en las estimaciones realizadas en las cifras del primer semestre. Los importes reflejados en la información intermedia semestral no serán objeto de ningún ajuste de carácter retroactivo. Los párrafos 16A(d) y 26 requieren, no obstante, que la entidad revele información sobre la naturaleza e importe de cualquier cambio significativo en las estimaciones previamente realizadas.
36 La entidad que presente información financiera con frecuencia mayor que la semestral, evaluará los Ingresos y gastos desde el principio del periodo anual hasta el final del correspondiente periodo Intermedio, utilizando la Información que esté disponible en el momento de elaborar los estados financieros. Los importes de los ingresos y los gastos, que se presenten en cada periodo intermedio, reflejarán también todos los cambios en las estimaciones de las partidas que han sido presentadas en periodos intermedios anteriores dentro del mismo periodo anual. Los importes reflejados en la información intermedia de periodos anteriores no serán objeto de ningún ajuste de carácter retroactivo. Los párrafos 16A(d) y 26 requieren, no obstante, que la entidad revele Información sobre la naturaleza e importe de cualquier cambio significativo en las estimaciones previamente realizadas.
Ingresos de actividades ordinarias recibidos de forma estacional, cíclica u ocasionalmente
37 Los ingresos de actividades ordinarias que se reciben estacional, cíclica u ocasionalmente dentro de un periodo anual no deben ser anticipados o diferidos a una fecha intermedia, si tal anticipación o aplazamiento no fuesen apropiados al final del periodo contable anual.
38 Entre los ejemplos de situaciones como las descritas anteriormente pueden citarse los dividendos, las regalías y las subvenciones oficiales. Además de lo anterior, ocurre que ciertas entidades obtienen, sistemáticamente, más Ingresos de actividades ordinarias en unos periodos intermedios que en otros, dentro del mismo periodo anual, como sucede por ejemplo, con los ingresos de actividades ordinarias estacionales de los vendedores al por menor. Tales Ingresos de actividades ordinarias se han de reconocer solo cuando hayan ocurrido efectivamente.
Costos incurridos de manera no uniforme a lo largo del periodo
39 Los costos en los que no se incurre de forma uniforme a lo largo del periodo serán objeto de anticipación o aplazamiento en los estados financieros Intermedios sí, y solo si, fuera también apropiado anticipar o diferir tales tipos de costos al final del periodo contable anual.
Aplicación de los criterios de reconocimiento y medición
40 La Parte B de los ejemplos ilustrativos que acompañan a esta Norma proporciona ejemplos de aplicación de los principios de medición y reconocimiento generales establecidos en los párrafos 28 a 39.
Uso de estimaciones
41 Los procedimientos de medición, que deben seguirse en los estados financieros intermedios, han de estar diseñados para asegurar que la información resultante sea fiable y que toda la información financiera significativa que sea relevante para la comprensión de la situación financiera o la rentabilidad de la entidad se revele de forma apropiada. Aunque las mediciones realizadas tanto en los estados financieros anuales como en los intermedios se basan, frecuentemente, en estimaciones razonables, la preparación de la información financiera intermedia requerirá, por lo general, un uso mayor de métodos de estimación que la Información anual.
42 La Parte C de los ejemplos ilustrativos que acompañan a esta Norma proporciona ejemplos del uso de estimaciones en periodos intermedios.
Ajustes a las cifras presentadas en periodos intermedios anteriores
43 Cualquier cambio en una política contable, distinto de aquéllos cuyo régimen transitorio haya sido especificado por una nueva NIIF, se reflejará mediante uno de los dos siguientes procedimientos:
(a) reexpresando los estados financieros de los periodos contables intermedios anteriores del mismo periodo contable anual, así como los correspondientes a periodos contables intermedios comparables de cualesquiera periodos anuales anteriores de acuerdo con la NIC 8; o
(b) si fuera impracticable determinar el efecto acumulativo, al comienzo del periodo anual, de la aplicación de una nueva política contable a todos los periodos anteriores, mediante el ajuste de los estados financieros de periodos intermedios anteriores dentro del mismo período anual, y de los periodos intermedios comparables que correspondan a periodos anuales anteriores, con el fin de aplicar la nueva política contable de forma prospectiva desde la fecha más remota posible.
44 Uno de los objetivos del principio establecido en el párrafo anterior consiste en asegurar que se aplique una sola política contable a cada categoría de transacciones, a lo largo del mismo periodo anual. Según la NIC 8, todo cambio en una política contable se refleja mediante aplicación retroactiva, reexpresando las cifras contables de los periodos anteriores hasta la fecha más remota en que sea posible hacerlo. No obstante, si fuera impracticable determinar el importe acumulado del ajuste relativo a los periodos anteriores, la NIC 8 dispone que la nueva política sea aplicada de forma prospectiva, desde la fecha más remota posible. El efecto del principio establecido en el párrafo 43 consiste en requerir a que, dentro del mismo periodo contable anual, cualquier cambio en una política contable sea aplicado o bien retroactivamente o, sí esto fuera impracticable, de forma prospectiva y, como muy tarde, desde el comienzo del periodo anual correspondiente.
45 Permitir que los cambios en las políticas contables fueran reflejados en la fecha de cierre de un periodo intermedio, dentro del periodo anual, permitiría aplicar dos políticas contables diferentes para reflejar un tipo particular de transacciones producidas dentro del mismo periodo contable. Como resultado de este posible tratamiento, se tendrían dificultades por hacer repartos entre periodos intermedios, se obscurecerían los resultados de la operación y se complicaría el análisis y la comprensión de la información intermedia.
Fecha de vigencia;
46 Esta Norma Internacional de Contabilidad tendrá vigencia para los estados financieros que cubran periodos que comiencen a partir del 1 de enero de 1999. Se aconseja su aplicación anticipada.
47 La NIC 1 (revisada en 2007) modificó la terminología utilizada en las NIIF. Además, modificó los párrafos 4, 5, 8, 11, 12 y 20, eliminó el párrafo 13 y añadió los párrafos 8A y 11 A. Una entidad aplicará esas modificaciones a periodos anuales que comiencen a partir del 1 de enero de 2009, Si una entidad utiliza la NIC 1 (revisada en 2007) en un periodo anterior, aplicará las modificaciones a dicho periodo.
48 La NIIF 3 (revisada en 2008) modificó el párrafo 16(i). Una entidad aplicará esa modificación para los periodos anuales que comiencen a partir del 1 de julio de 2009. Si una entidad aplicase la NIIF 3 (revisada en 2008) a un periodo anterior, la modificación se aplicará también a ese periodo,
49 El documento Mejoras a las NIIF emitido en mayo de 2010 modificó los párrafos 15,27, 35 y 36, añadió los párrafos 15Aa 15C y 16Ay eliminó los párrafos 16 a 18. Una entidad aplicará esas modificaciones a periodos anuales que comiencen a partir del 1 de enero de 2011. Se permite su aplicación anticipada. Si una entidad aplicase las modificaciones en un periodo que comience con anterioridad, revelará este hecho.
50 La NIIF 13, emitida en mayo de 2011, modificó el párrafo 16A(j). Una entidad aplicará esa modificación cuando aplique la NIIF 13.
51 Presentación de Partidas de Otro Resultado Integral (Modificaciones a la NIC 1), emitido en junio de 2011, modificó los párrafos 8, 8A, 11A y 20. Una entidad aplicará esas modificaciones cuando aplique la NIC 1 (modificada en junio de 2011).
52 El documento Mejoras Anuales, Ciclo 2009-2011, emitido en mayo de 2012, modificó el párrafo 5 como una modificación consiguiente derivada de la modificación de la NIC 1 Presentación de Estados Financieros. Una entidad aplicará esa modificación de forma retroactiva de acuerdo con la NIC 8 Políticas Contables, Cambios en las Estimaciones Contables y Errores para los periodos anuales que comiencen a partir del 1 de enero de 2013. Se permite su aplicación anticipada. Si una entidad aplicase la modificación en un periodo que comience con anterioridad, revelará ese hecho.
53 El documento Mejoras Anuales, Ciclo 2009-2011, emitido en mayo de 2012, modificó el párrafo 16A. Una entidad aplicará esa modificación deforma retroactiva de acuerdo con la NIC 8 Políticas Contables, Cambios en las Estimaciones Contables y Errores para los periodos anuales que comiencen a partir del 1 de enero de 2013. Se permite su aplicación anticipada. Si una entidad utilizase la modificación en un periodo que comience con anterioridad, revelará ese hecho.
54 Entidades de Inversión (Modificaciones a las NIIF 10, NIIF 12 y NIC 27), emitido en octubre de 2012, modificó e, párrafo 16A. Una entidad aplicará esa modificación para los periodos anuales que comiencen a partir del 1 de enero de 2014. Se permite la aplicación anticipada del documento Entidades de Inversión. Si una entidad aplica esas modificaciones con anterioridad, aplicará también todas las modificaciones incluidas en el documento Entidades de Inversión al mismo tiempo.
55 La NIIF 15 Ingresos de Actividades Ordinarias Procedentes de Contratos con Clientes emitida en mayo de 2014, modificó los párrafos 15B y 16A. Una entidad aplicará esas modificaciones cuando aplique la NIIF 15.
56 Mejoras Anuales a las NIIF, Ciclo 2012-2014, emitida en septiembre de 2014, modificó el párrafo 16A. Una entidad aplicará esa modificación deforma retroactiva de acuerdo con la NIC 8 Políticas Contables, Cambios en las Estimaciones Contables y Errores para los periodos anuales que comiencen a partir del 1 de enero de 2016. Se permite su aplicación anticipada. Si una entidad aplicase la modificación en un periodo que comience con anterioridad, revelará ese hecho.
57 Iniciativa sobre Información a Revelar (Modificaciones a la NIC 1), emitida en diciembre de 2014, modificó el párrafo 5. Una entidad aplicará esa modificación para los periodos anuales que comiencen a partir del 1 de enero de 2016. Se permite la aplicación anticipada de esa modificación.
58 Modificaciones a las Referencias al Marco Conceptual en las Normas NIIF, emitida en 2018 (*) modificó los párrafos 31 y 33. Una entidad aplicará esas modificaciones a periodos anuales que comiencen a partir del 1 de enero de 2020. Se permite la aplicación anticipada si al mismo tiempo una entidad aplica también todas las demás modificaciones realizadas por Modificaciones a las Referencias al Marco Conceptual en las Normas NIIF. Una entidad aplicará las modificaciones a la NIC 34 de forma retroactiva, de acuerdo con la NIC 8 Políticas Contables, Cambios en las Estimaciones Contables y Errores. Sin embargo, si una entidad determina que la aplicación retroactiva fuera impracticable o implicará costos o esfuerzos desproporcionados, aplicará las modificaciones a la NIC 34 por referencia a los párrafos 23 a 28, 50 a 53 y 54F de la NIC 8.
(*) Mediante Decreto 2270 de 2019, en Colombia se ha incorporado dicha modificación.
59 Definición de Material o con Importancia Relativa (Modificaciones a las NIC 1 y NIC 8) (*), emitida en octubre de 2018 modificó el párrafo 24. Una entidad aplicará esas modificaciones de forma retroactiva a los periodos anuales que comiencen a partir del 1 de enero de 2020. Se permite su aplicación anticipada. Si una entidad aplicase las modificaciones en un periodo que comience con anterioridad, revelará este hecho. Una entidad aplicará esas modificaciones cuando aplique las modificaciones a la definición de material o con importancia relativa del párrafo 7 de la NIC 1 y de los párrafos 5 y 6 de la NIC 8.
(*) Mediante Decreto 2270 de 2019, en Colombia se ha incorporado dicha modificación.
60 Información a Revelar sobre Políticas Contables que modifica la NIC 1 y el Documento de Práctica de las NIIF N.° 2 Realización de Juicios sobre Materialidad o Importancia Relativa, y fue emitida en febrero de 2021 modificó el párrafo 5. Una entidad aplicará esa modificación para los periodos anuales que comiencen a partir del 1 de enero de 2024 (fecha de aplicación en Colombia). Se permite su aplicación anticipada. Si una entidad aplicase la modificación en un periodo que comience con anterioridad, revelará este hecho.
NIIF 1 ADOPCIÓN POR PRIMERA VEZ DE LAS NORMAS INTERNACIONALES DE INFORMACIÓN FINANCIERA
Objetivo
1 El objetivo de esta NIIF es asegurar que los primeros estados financieros conforme a las NIIF de una entidad, así como sus informes financieros intermedios, relativos a una parte del periodo cubierto por tales estados financieros, contienen información de alta calidad que;
(a) sea transparente para los usuarios y comparable para todos los periodos en que se presenten;
(b) suministre un punto de partida adecuado para la contabilización según las Normas Internacionales de Información Financiera (NIIF)-, y
(c) pueda ser obtenida a un costo que no exceda a sus beneficios.
Alcance
2 Una entidad aplicará esta NIIF en:
(a) sus primeros estados financieros conforme a las NIIF; y
(b) en cada informe financiero intermedio que, en su caso, presente de acuerdo con la NIC 34 Información Financiera Intermedia relativos a una parte del periodo cubierto por sus primeros estados financieros conforme a las NIIF,
3 Los primeros estados financieros conforme a las NIIF son los primeros estados financieros anuales en los cuales la entidad adopta las NIIF, mediante una declaración, explícita y sin reservas, contenida en tales estados financieros, del cumplimiento con las NIIF. Los estados financieros conforme a las NIIF son los primeros estados financieros de una entidad según las NIIF si, por ejemplo, la misma:
(a) presentó sus estados financieros previos más recientes:
(i) según requerimientos nacionales que no son coherentes en todos los aspectos con las NIIF;
(ii) de conformidad con las NIIF en todos los aspectos, salvo que tales estados financieros no hayan contenido una declaración, explícita y sin reservas, de cumplimiento con las NIIF;
(iii) con una declaración explícita de cumplimiento con algunas NIIF, pero no con todas;
(iv) según requerimientos nacionales que no son coherentes con las NIIF, pero aplicando algunas NIIF individuales para contabilizar partidas para las que no existe normativa nacional; o
(v) según requerimientos nacionales, aportando una conciliación de algunos importes con los mismos determinados según las NIIF;
(b) preparó los estados financieros conforme a las NIIF únicamente para uso interno, sin ponerlos a disposición de los propietarios de la entidad o de otros usuarios externos;
(c) preparó un paquete de información de acuerdo con las NIIF, para su empleo en la consolidación, sin haber preparado un juego completo de estados financieros, según se define en la NIC 1 Presentación de Estados Financieros (revisada en 2007); o
(d) no presentó estados financieros en periodos anteriores.
4 Esta NIIF se aplicará cuando una entidad adopta por primera vez las NIIF. No será de aplicación
cuando, por ejemplo, una entidad: .
(a) abandona la presentación de los estados financieros según los requerimientos nacionales, si los ha presentado anteriormente junto con otro conjunto de estados financieros que contenían una declaración, explícita y sin reservas, de cumplimiento con las NIIF;
(b) presentó en el año precedente estados financieros según requerimientos nacionales, y tales estados financieros contenían una declaración, explícita y sin reservas, de cumplimiento con las NIIF; o
(c) presentó en el año precedente estados financieros que contenían una declaración, explícita y sin reservas, de cumplimiento con las NIIF, incluso si los auditores expresaron su opinión con salvedades en el informe de auditoría sobre tales estados financieros.
4A Sin perjuicio de los requerimientos de los párrafos 2 y 3, una entidad que ha aplicado las NIIF en un periodo anterior sobre el que se informa, pero cuyos estados financieros anuales más recientes no contenían una declaración, explícita y sin reservas, de cumplimiento con las NIIF, debe o bien aplicar esta NIIF, o bien aplicarlas NIIF retroactivamente de acuerdo con la NIC 8 Políticas Contables, Cambios en las Estimaciones Contables y Errores, como si la entidad nunca hubiera dejado de aplicar dichas NIIF.
4B Cuando una entidad opta por no aplicar esta NIIF de acuerdo con el párrafo 4A, aplicará, no obstante, los requerimientos sobre información a revelar de los párrafos 23A y 23B de la NIIF 1, además de los requerimientos sobre información a revelar de la NIC 8.
5 Esta NIIF no afectará a los cambios en las políticas contables hechos por una entidad que ya hubiera adoptado las NIIF. Tales cambios son objeto de:
(a) requerimientos relativos a cambios en políticas contables, contenidos en la NIC 8 Políticas Contables, Cambios en las Estimaciones Contables y Errores', y
(b) disposiciones de transición específicas contenidas en otras NIIF.
Reconocimiento y medición
Estado de situación financiera de apertura conforme a las NIIF
6 Una entidad elaborará y presentará un estado de situación financiera de conforme a las NIIF en la fecha de transición a las NIIF. Éste es el punto de partida para la contabilización según las NIIF.
Políticas contables
7 Una entidad usará las mismas políticas contables en su estado de situación financiera de apertura conforme a las NIIF y a lo largo de todos los periodos que se presenten en sus primeros estados financieros conforme a las NIIF. Estas políticas contables cumplirán con cada NIIF vigente al final del primer periodo sobre el que informe según las NIIF, excepto por lo especificado en los párrafos 13 a 19 y en los Apéndices B a E.
8 Una entidad no aplicará versiones diferentes de las NIIF que estuvieran vigentes en fechas anteriores. Una entidad podrá aplicar una nueva NIIF que todavía no sea obligatoria, siempre que en la misma se permita la aplicación anticipada.
Ejemplo: Aplicación uniforme de la última versión de las NIIF
Antecedentes
El final del primer periodo sobre el que se informa conforme a las NIIF de la entidad A es el 31 de diciembre de 20X5. La entidad A decide presentar información comparativa de tales estados financieros para un solo año (véase el párrafo 21). Por tanto, su fecha de transición a las NIIF es el comienzo de su actividad el 1 de enero de 20X4 (o, de forma alternativa, el cierre de su actividad el 31 de diciembre de 20X3). La entidad A presentó estados financieros anuales, conforme a sus PCGA anteriores, el 31 de diciembre de cada año, incluyendo el 31 de diciembre de 20X4.
Ejemplo: Aplicación uniforme de la última versión de las NIIF
Aplicación de los requerimientos
La entidad A estará obligada a aplicar las NIIF que tengan vigencia para periodos que terminen el 31 de diciembre de 20X5 al:
(a) elaborar y presentar su estado de situación financiera de apertura conforme a las NIIF el 1 de enero de 20X4; y
(b) elaborar y presentar su estado de situación financiera a 31 de diciembre de 20X5 (incluyendo los importes comparativos para 20X4), su estado del resultado integral, su estado de cambios en el patrimonio y su estado de flujos de efectivo para el año que termina el 31 de diciembre de 20X5 (Incluyendo los importes comparativos para 20X4) así como la información a revelar (incluyendo información comparativa para 20X4).
Si una nueva NIIF aún no fuese obligatoria, pero admitiese su aplicación anticipada, se permitirá a la entidad A, sin que tenga obligación de hacerlo, que aplique ese NIIF en sus primeros estados financieros conforme a las NIIF.
9 Las disposiciones de transición contenidas en otras NIIF se aplicarán a los cambios en las políticas contables que realice una entidad que ya esté usando las NIIF; pero no serán de aplicación en la transición a las NIIF de una entidad que las adopta por primera vez, salvo por lo especificado en los Apéndices B a E.
10 Excepto por lo señalado en los párrafos 13 a 19 y en los Apéndices B a E, una entidad deberá, en su estado de situación financiera de apertura conforme a las NIIF:
(a) reconocer todos los activos y pasivos cuyo reconocimiento sea requerido por las NIIF;
(b) no reconocer partidas como activos o pasivos si las NIIF no lo permiten;
(c) reclasificar partidas reconocidas según los PCGA anteriores como un tipo de activo, pasivo o componente del patrimonio, pero que conforme a las NIIF son un tipo diferente de activo, pasivo o componente del patrimonio; y
(d) aplicar las NIIF al medir todos los activos y pasivos reconocidos,
11 Las políticas contables que una entidad utilice en su estado de situación financiera de apertura conforme a las NIIF pueden diferir de las que aplicaba en la misma fecha conforme a sus PCGA anteriores. Los ajustes resultantes surgen de sucesos y transacciones anteriores a la fecha de transición a las NIIF. Por tanto, una entidad reconocerá tales ajustes, en la fecha de transición a las NIIF, directamente en las ganancias acumuladas (o, si fuera apropiado, en otra categoría del patrimonio).
12 Esta NIIF establece dos categorías de excepciones al principio de que el estado de situación financiera de apertura conforme a las NIIF de una entidad habrá de cumplir con todas las NIIF:
(a) Los párrafos 14 a 17 y el Apéndice B prohíben la aplicación retroactiva de algunos aspectos de otras NIIF.
(b) Los Apéndices C a E conceden exenciones para ciertos requerimientos contenidos en otras NIIF.
Excepciones a la aplicación retroactiva de otras NIIF
13 Esta NIIF prohíbe la aplicación retroactiva de algunos aspectos de otras NIIF. Estas excepciones están contenidas en los párrafos 14 a 17 y en el Apéndice B.
Estimaciones
14 Las estimaciones de una entidad realizadas según las NIIF, en la fecha de transición a las NIIF, serán coherentes con las estimaciones hechas para la misma fecha según los PCGA anteriores (después de realizar los ajustes necesarios para reflejar cualquier diferencia en las políticas contables), a menos que exista evidencia objetiva de que estas estimaciones fueron erróneas.
15 Después de la fecha de transición a las NIIF una entidad puede recibir información relativa a estimaciones hechas según los PCGA anteriores. De acuerdo con el párrafo 14, una entidad tratará la recepción de esa información de la misma forma que los hechos posteriores al periodo sobre el que se Informa que no implican ajustes según la NIC 10 Hechos Ocurridos después del Periodo sobre el que se Informa. Por ejemplo, supongamos que la fecha de transición a las NIIF de una entidad es el 1 de enero de 20X4, y que la nueva información, recibida el 15 de julio de 20X4, exige la revisión de una estimación realizada según los PCGA anteriores que se aplicaban el 31 de diciembre de 20X3, La entidad no reflejará esta nueva información en su estado de situación financiera de apertura conforme a las NIIF (a menos que dichas estimaciones precisaran de ajustes para reflejar diferencias en políticas contables, o hubiera evidencia objetiva de que contenían errores). En lugar de ello, la entidad reflejará esa nueva información en el resultado del periodo (o, si fuese apropiado, en otro resultado integral) para el año finalizado el 31 de diciembre de 20X4.
16 Una entidad puede tener que realizar estimaciones conforme a las NIIF, en la fecha de transición, que no fueran requeridas en esa fecha según los PCGA anteriores. Para lograr congruencia con la NIC 10, dichas estimaciones hechas según las NIIF reflejarán las condiciones existentes en la fecha de transición a dichas NIIF. En particular, las estimaciones realizadas en la fecha de transición a las NIIF, relativas a precios de mercado, tasas de interés o tasas de cambio, reflejarán las condiciones de mercado en esa fecha.
17 Los párrafos 14 a 16 se aplicarán al estado de situación financiera de apertura según las NIIF. También se aplicarán a los periodos comparativos presentados en los primeros estados financieros según las NIIF, en cuyo caso las referencias a la fecha de transición a las NIIF se reemplazarán por referencias relativas al final del periodo comparativo correspondiente.
Exenciones procedentes de otras NIIF
18 Una entidad puede optar por utilizar una o más de las exenciones contenidas en los Apéndices C a E. La entidad no aplicará estas exenciones por analogía a otras partidas.
19 [Eliminado]
Presentación e información a revelar
20 Esta NIIF no contiene exenciones a los requerimientos de presentación e información a revelar de otras NIIF.
Información comparativa
21 Los primeros estados financieros de una entidad que se presenten conforme a las NIIF incluirán al menos tres estados de situación financiera, dos estados del resultado y otro resultado integral del periodo, dos estados del resultado del periodo separados (si se presentan), dos estados de flujos de efectivo y dos estados de cambios en el patrimonio y las notas relacionadas, incluyendo información comparativa para todos los estados presentados.
Información comparativa no preparada conforme a las NIIF y resúmenes de datos históricos
22 Algunas entidades presentan resúmenes históricos de datos seleccionados, para periodos anteriores a aquél en el cual presentan información comparativa completa según las NIIF. Esta NIIF no requiere que estos resúmenes cumplan con los requisitos de reconocimiento y medición de las NIIF. Además, algunas entidades presentan información comparativa conforme a los PCGA anteriores, así como la información comparativa requerida por la NIC 1. En los estados financieros que contengan un resumen de datos históricos o información comparativa conforme a los PCGA anteriores, la entidad:
(a) identificará de forma destacada la información elaborada según PCGA anteriores como no preparada conforme a las NIIF; y
(b) revelará la naturaleza de los principales ajustes que habría que practicar para cumplir con las NIIF. La entidad no necesitará cuantificar dichos ajustes.
Explicación de la transición a las NIIF
23 Una entidad explicará cómo la transición de los PCGA anteriores a las NIIF ha afectado a su situación financiera, resultados y flujos de efectivo previamente informados.
23A Una entidad que haya aplicado las NIIF en un periodo anterior, tal como se describe en el párrafo 4A, revelará:
(a) la razón por la que dejó de aplicar las NIIF; y
(b) la razón por la que reanuda su aplicación,
23B Cuando una entidad, de acuerdo con el párrafo 4A, opte por no aplicar la NIIF 1, explicará las razones para elegir la aplicación de las NIIF como si nunca hubiera dejado de emplearlas.
Conciliaciones
24 Para cumplir con el párrafo 23, los primeros estados financieros conforme a las NIIF de una entidad incluirán:
(a) conciliaciones de su patrimonio, según los PCGA anteriores, con el que resulte de aplicar las NIIF para cada una de las siguientes fechas:
(i) la fecha de transición a las NIIF; y
(ii) el final del último periodo Incluido en los estados financieros anuales más recientes que la entidad haya presentado aplicando los PCGA anteriores.
(b) una conciliación de su resultado integral total según las NIIF para el último periodo en los estados financieros anuales más recientes de la entidad. El punto de partida para dicha conciliación será el resultado integral total según PCGA anteriores para el mismo periodo o, si una entidad no lo presenta, el resultado según PCGA anteriores.
(c) si la entidad procedió a reconocer o revertir pérdidas por deterioro del valor de los activos por primera vez al preparar su estado de situación financiera de apertura conforme a las NIIF, la información a revelar que habría sido requerida, según la NIC 36 Deterioro del Valor de los Activos, si la entidad hubiese reconocido tales pérdidas por deterioro del valor de los activos, o las reversiones correspondientes, en el periodo que comenzó con la fecha de transición a las NIIF.
25 Las conciliaciones requeridas por los apartados (a) y (b) del párrafo 24, deberán dar suficiente detalle como para permitir a los usuarios comprender los ajustes significativos realizados en el estado de situación financiera y en el estado del resultado integral. Si la entidad presentó un estado de flujos de efectivo según sus PCGA anteriores, explicará también los ajustes significativos al mismo.
26 Si una entidad tuviese conocimiento de errores contenidos en la información elaborada conforme a los PCGA anteriores, las conciliaciones requeridas por los apartados (a) y (b) del párrafo 24 distinguirán las correcciones de tales errores de los cambios en las políticas contables.
27 La NIC 8 no se aplicará a los cambios en las políticas contables que realice una entidad en la adopción de las NIIF o a los cambios en dichas políticas hasta después de presentar sus primeros estados financieros conforme a las NIIF. Por tanto, los requerimientos respecto a cambios en las políticas contables que contiene la NIC 8 no son aplicables en los primeros estados financieros conforme a las NIIF de una entidad.
27A Si durante el período cubierto por sus primeros estados financieros conforme a las NIIF una entidad cambia sus políticas contables o la utilización de las exenciones contenidas en esta NIIF, deberán explicarse los cambios entre sus primeros informes financieros intermedios conforme a las NIIF y sus primeros estados financieros conforme a las NIIF, de acuerdo con el párrafo 23, y actualizará las conciliaciones requeridas por el párrafo 24(a) y (b).
28 Si una entidad no presentó estados financieros en periodos anteriores, revelará este hecho en sus primeros estados financieros conforme a las NIIF.
Designación de activos financieros o pasivos financieros
29 La entidad revelará el valor razonable de los activos financieros así designados en la fecha de designación, así como sus clasificaciones e importes en libros en los estados financieros anteriores.
29A De acuerdo con el párrafo D19, se permite a una entidad designar un pasivo financiero reconocido anteriormente como un pasivo financiero al valor razonable con cambios en resultados. La entidad revelará el valor razonable de los pasivos financieros así designados en la fecha de designación, así como sus clasificaciones e importes en libros en los estados financieros anteriores.
Uso del valor razonable como costo atribuido
30 Si, en su estado de situación financiera de apertura conforme a las NIIF, una entidad usa el valor razonable como costo atribuido para una partida de propiedades, planta y equipo, una propiedad de inversión, para un activo intangible o para un activo por derecho de uso (véanse los párrafos D5 y D7), los primeros estados financieros conforme a las NIIF de la entidad revelarán, para cada partida del estado de situación financiera de apertura conforme a las NIIF:
(a) el total acumulado de tales valores razonables; y
(b) el ajuste total al importe en libros presentado según los PCGA anteriores.
Uso del costo atribuido para inversiones en subsidiarias, negocios conjuntos y asociadas
31 De forma análoga, si la entidad utilizase un costo atribuido en su estado de situación financiera de apertura conforme a las NIIF para una inversión en una subsidiaria, negocio conjunto o asociada en sus estados financieros separados (véase el párrafo D15), los estados financieros separados iniciales conforme a las NIIF de la entidad revelarán:
(a) la suma del costo atribuido de esas inversiones para las que el costo atribuido es su importe en libros según los PCGA anteriores;
(b) la suma del costo atribuido de esas inversiones para las que el costo atribuido es su valor razonable; y
(c) el ajuste total al importe en libros presentado según los PCGA anteriores.
Uso del costo atribuido para activos de petróleo y gas
31A Si una entidad utiliza la exención del párrafo D8A(b) para activos de petróleo y gas, revelará ese hecho y la base sobre la que se distribuyeron los importes en libros determinados conforme a los PCGA anteriores.
Uso del costo atribuido para operaciones sujetas a regulación de tarifas
31B Si una entidad utiliza la exención del párrafo D8B para operaciones sujetas a regulación de tarifas, revelará ese hecho y la base sobre la que se determinaron los importes en libros conforme a los PCGA anteriores.
Utilización del costo atribuido después de una hiperinflación grave
31C Si una entidad elige medir los activos y pasivos a valor razonable y utilizar dicho valor razonable como el costo atribuido en su estado de situación financiera de apertura conforme a las NIIF debido a una hiperinflación grave (véanse los párrafos D26 a D30), los estados financieros primeros conforme a las NIIF de la entidad revelarán una explicación de la forma en que, y la razón por la que, la entidad tuvo, y dejó de tener, una moneda funcional que reúna las dos características siguientes:
(a) No tiene disponible un índice general de precios fiable para todas las entidades con transacciones y saldos en la moneda.
(b) No existe intercambiabilidad entre la moneda y una moneda extranjera relativamente estable.
Información financiera intermedia
32 Para cumplir con el párrafo 23, si una entidad presentase un informe financiero intermedio, según la NIC 34 para una parte del período cubierto por sus primeros estados financieros presentados conforme a las NIIF, la entidad cumplirá con los siguientes requerimientos adicionales a los contenidos en la NIC 34:
(a) SI la entidad presentó informes financieros intermedios para el periodo contable intermedio comparable del año Inmediatamente anterior, en cada información financiera Intermedia incluirá:
(i) una conciliación de su patrimonio al final del periodo intermedio, según los PCGA anteriores, comparable con el patrimonio conforme a las NIIF en esa fecha; y
(ii) una conciliación con su resultado integral total según las NIIF para ese periodo Intermedio comparable (actual y acumulado en el año hasta la fecha). El punto de partida para esa conciliación será el resultado integral total según PCGA anteriores para ese periodo o, si una entidad no presenta dicho total, el resultado según PCGA anteriores.
(b) Además de las conciliaciones requeridas por (a), en el primer Informe financiero intermedio que presente según la NIC 34 para una parte del periodo cubierto por sus primeros estados financieros conforme a las NIIF, una entidad incluirá las conciliaciones descritas en los apartados (a) y (b) del párrafo 24 (complementadas con los detalles requeridos por los párrafos 25 y 26), o bien una referencia a otro documento publicado donde se Incluyan tales conciliaciones.
(c) Si una entidad cambia sus políticas contables o su uso de las exenciones contenidas en esta NIIF, explicará los cambios en cada Información financiera Intermedia de acuerdo con el párrafo 23 y actualizará las conciliaciones requeridas por (a) y (b).
33 La NIC 34 requiere que se revele cierta información mínima, que esté basada en la hipótesis de que los usuarios de los informes intermedios también tienen acceso a los estados financieros anuales más recientes. Sin embargo, la NIC 34 también requiere que una entidad revele "cualquier suceso o transacción que resulte significativo para la comprensión del periodo intermedio actual". Por tanto, si la entidad que adopta por primera vez las NIIF no reveló, en sus estados financieros anuales más recientes, preparados conforme a los PCGA anteriores, información significativa para la comprensión del periodo intermedio actual, lo hará dentro de la información financiera intermedia, o bien incluirá en la misma una referencia a otro documento publicado que la contenga.
Fecha de vigencia
34 Una entidad aplicará esta NIIF si sus primeros estados financieros conforme a las NIIF corresponden a un período que comience a partir del 1 de julio de 2009. Se permite su aplicación anticipada.
35 Una entidad aplicará las modificaciones en los párrafos D1(n) y D23 para los periodos anuales que comiencen a partir del 1 de julio de 2009. Si una entidad aplicase la NIC 23 Costos por Préstamos (revisada en 2007) en periodos anteriores, esas modificaciones se aplicarán también a esos periodos.
36 La NIIF 3 Combinaciones de Negocios (revisada en 2008) modificó los párrafos 19, C1 y C4(f) y (g). SI una entidad aplicase la NIIF 3 (revisada en 2008) a un periodo anterior, las modificaciones se aplicarán también a ese periodo.
37 La NIC 27 Estados Financieros Consolidados y Separados (modificada en 2008) modificó los párrafos B1 y B7. Si la entidad aplicase la NIC 27 (modificada en 2008) a periodos anteriores, las modificaciones deberán aplicarse también a esos períodos.
38 El documento Costo de una Inversión en una Subsidiaria, Entidad Controlada de Forma Conjunta o Asociada (Modificaciones a la NIIF 1 y NIC 27), emitido en mayo de 2008, añadió los párrafos 31, D1 (g), D14 y D15. Una entidad aplicará esos párrafos a los periodos anuales que comiencen a partir del 1 de julio de 2009. Se permite su aplicación anticipada. Si una entidad aplicase los párrafos en un período que comience con anterioridad, revelará este hecho.
39 El párrafo B7 fue modificado mediante el documento Mejoras a las NIIF emitido en mayo de 2008. Una entidad aplicará esas modificaciones a periodos anuales que comiencen a partir del 1 de julio de 2009. Si la entidad aplicase la NIC 27 (modificada en 2008) a periodos anteriores, las modificaciones deberán aplicarse también a esos periodos.
39A El documento Exenciones Adicionales para Entidades que Adoptan por Primera vez las NIIF (Modificaciones a la NIIF 1), emitido en julio de 2009, añadió los párrafos 31 A, D8A, D9A y D21A, y modificó el párrafo D1 (c), (d) y (I). Una entidad aplicará esas modificaciones a periodos anuales que comiencen a partir del 1 de enero de 2010. Se permite su aplicación anticipada. Si una entidad aplicase las modificaciones en un período que comience con anterioridad, revelará este hecho.
39B [Eliminado]
39C La CINIIF 19 Cancelación de Pasivos Financieros con Instrumentos de Patrimonio añadió el párrafo D25, Una entidad aplicará esa modificación cuando aplique la CINIIF 19.
39D [Eliminado]
39E Mejoras a las NIIF, emitido en mayo de 2010, añadió los párrafos 27A, 31B y D8B, y modificó los párrafos 27, 32, D1(c) y D8. Una entidad aplicará esas modificaciones a periodos anuales que comiencen a partir del 1 de enero de 2011, Se permite su aplicación anticipada. Si una entidad aplicase las modificaciones en un período que comience con anterioridad, revelará este hecho. A las entidades que adoptaron las NIIF en periodos anteriores a la fecha de vigencia de la NIIF 1 o aplicaron la NIIF 1 en un periodo anterior se les permite aplicar retroactivamente la modificación al párrafo D8 en el primer periodo anual después de que sea efectiva la modificación. Una entidad que aplique el párrafo D8 retroactivamente revelará ese hecho.
39F [Eliminado]
39G [Eliminado]
39H Hiperinflación Grave y Eliminación de las Fechas Fijadas para Entidades que Adoptan por Primera vez las NIIF (Modificaciones a la NIIF 1), emitido en diciembre de 2010, modificó los párrafos B2, D1 y D20, y añadió los párrafos 31C y D26 a D30. Una entidad aplicará esas modificaciones a periodos anuales que comiencen a partir del 1 de julio de 2011. Se permite su aplicación anticipada.
39I La NIIF 10 Estados Financieros Consolidados y la NIIF 11 Acuerdos Conjuntos, emitidas en mayo de 2011, modificaron los párrafos 31, B7, C1, D1, D14 y D15, y añadieron el párrafo D31. Una entidad aplicará esas modificaciones cuando aplique las NIIF 10 y NIIF 11.
39J La NIIF 13 Medición del Valor Razonable, emitida en mayo de 2011, eliminó el párrafo 19, modificó la definición de valor razonable del Apéndice A y modificó los párrafos D15 y D20. Una entidad aplicará esas modificaciones cuando aplique la NIIF 13.
39K Presentación de Partidas de Otro Resultado Integral (Modificaciones a la NIC 1) emitido en junio de 2011, modificó el párrafo 21. Una entidad aplicará esas modificaciones cuando aplique la NIC 1 modificada en junio de 2011.
39L La NIC 19 Beneficios a los Empleados (modificada en junio de 2011) modificó el párrafo D1, y eliminó los párrafos D10 y D11. Una entidad aplicará esas modificaciones cuando aplique la NIC 19 (modificada en junio de 2011).
39M La CINIIF 20 Costos de Desmonte en la Fase de Producción de una Mina a Cielo Abierto añadió el párrafo D32 y modificó el párrafo D1. Una entidad aplicará esa modificación cuando aplique la CINIIF 20.
39N Préstamos del Gobierno (Modificaciones a la NIIF 1), emitida en marzo de 2012, añadió los párrafos B1(f) y B10 a B12. Una entidad aplicará estos párrafos a los periodos anuales que comiencen a partir del 1 de enero de 2013. Se permite su aplicación anticipada.
390 Los párrafos B10 y B11 se refieren a la NIIF 9. Si una entidad aplica esta NIIF pero no aplica todavía la NIIF 9, las referencias de los párrafos B10 y B11 a la NIIF 9 deberán interpretarse como referencias a la NIC 39 Instrumentos Financieros: Reconocimiento y Medición.
39P El documento Mejoras Anuales, Ciclo 2009-2011, emitido en mayo de 2012, añadió los párrafos 4A a 4B y 23A a 23B. Una entidad aplicará esa modificación de forma retroactiva de acuerdo con la NIC 8 Políticas Contables, Cambios en las Estimaciones Contables y Errores a los periodos anuales que comiencen a partir del 1 de enero de 2013. Se permite su aplicación anticipada. Si una entidad aplicase la modificación en un periodo que comience con anterioridad, revelará ese hecho.
39Q El documento Mejoras Anuales, Ciclo 2009-2011, emitido en mayo de 2012, modificó el párrafo D23. Una entidad aplicará esa modificación de forma retroactiva de acuerdo con la NIC 8 Políticas Contables, Cambios en las Estimaciones Contables y Errores a los periodos anuales que comiencen a partir del 1 de enero de 2013. Se permite su aplicación anticipada. Si una entidad aplicase la modificación en un periodo que comience con anterioridad, revelará ese hecho.
39R El documento Mejoras Anuales, Ciclo 2009-2011, emitido en mayo de 2012, modificó el párrafo 21. Una entidad debe aplicar esas modificaciones retroactivamente de acuerdo con la NIC 8 Políticas Contables, Cambios en las Estimaciones Contables y Errores en los periodos anuales que comiencen a partir del 1 de enero de 2013. Se permite su aplicación anticipada. Si una entidad aplicase la modificación en un periodo que comience con anterioridad, revelará ese hecho.
39S El documento Estados Financieros Consolidados, Acuerdos Conjuntos e Información a Revelar sobre Participaciones en Otras Entidades: Guía de Transición (Modificaciones a las NIIF 10, NIIF 11 y NIIF 12), emitido en junio de 2012, modificó el párrafo D31. Una entidad aplicará esas modificaciones cuando aplique la NIIF 11 (modificada en junio de 2012).
39T El documento Entidades de Inversión (Modificaciones a las NIIF 10, NIIF 12 y NIC 27), emitido en octubre de 2012, modificó los párrafos D16, D17 y el Apéndice C. Una entidad aplicará esas modificaciones a periodos anuales que comiencen a partir del 1 de enero de 2014. Se permite la aplicación anticipada del documento Entidades de Inversión. Si una entidad aplica esas modificaciones con anterioridad, utilizará también todas las modificaciones incluidas en Entidades de Inversión al mismo tiempo.
39U [Eliminado]
39V La NIIF 14 Cuentas de Diferimientos de Actividades Reguladas, emitida en enero de 2014, modificó el párrafo D8B. Una entidad aplicará esa modificación para los periodos anuales que comiencen a partir del 1 de enero de 2016. Se permite su aplicación anticipada. Si una entidad aplica la NIIF 14 a un periodo anterior, la modificación se utilizará en dicho periodo anterior.
39W Contabilización de Adquisiciones de Participaciones en Operaciones Conjuntas (Modificaciones a la NIIF 11), emitida en mayo de 2014, modificó el párrafo C5. Una entidad aplicará esa modificación para los periodos anuales que comiencen a partir del 1 de enero de 2016. Si una entidad aplica las modificaciones a la NIIF 11 contenidas en Contabilización de Adquisiciones de Participaciones en Operaciones Conjuntas (Modificaciones a la NIIF 11) en un periodo anterior, la modificación al párrafo C5 se aplicará también en dicho periodo anterior.
39X La NIIF 15 Ingresos de Actividades Ordinarias Procedentes de Contratos con Clientes, emitida en mayo de 2014, modificó el párrafo D1, eliminó el párrafo D24 y su encabezamiento correspondiente y añadió los párrafos D34 y D35 y sus encabezamientos correspondientes. Una entidad aplicará esas modificaciones cuando aplique la NIIF 15.
39Y La NIIF 9 Instrumentos Financieros, emitida en julio de 2014, modificó los párrafos 29, B1 a B6, D1, D14, D15, D19 y D20, eliminó los párrafos 39B, 39G y 39U y añadió los párrafos 29A, B8 a B8G, B9, D19A a D19C, D33, E1 y E2. Una entidad aplicará esas modificaciones cuando aplique la NIIF 9 Una entidad aplicará esas modificaciones cuando aplique la NIIF 9.
39Z El Método de la Participación en los Estados Financieros Separados (Modificaciones a la NIC 27), emitida en agosto de 2014, modificó el párrafo D14 y añadió el párrafo D15A, Una entidad aplicará esas modificaciones a periodos anuales que comiencen a partir del 1 de enero de 2016. Se permite su aplicación anticipada. Si una entidad aplicase las modificaciones en un período que comience con anterioridad, revelará este hecho.
39AA [Eliminado]
39AB La NIIF 16 Arrendamientos, emitida en enero de 2016 modificó los párrafos 30, C4, D1, D7, D8B y D9, eliminó el párrafo D9A y modificó los párrafos D9B a D9E. Una entidad aplicará esas modificaciones cuando aplique la NIIF 16.
39AC La CINIIF 22 Transacciones en Moneda Extranjera y Contraprestaciones Anticipadas añadió el párrafo D36 y modificó el párrafo D1. Una entidad aplicará esa modificación cuando aplique la CINIIF 22.
39AD Mejoras Anuales a las Normas NIIF, Ciclo 2014-2016, emitida en diciembre de 2016, modificó los párrafos 39L y 39T, y eliminó los párrafos 39D, 39F, 39AA y E3 a E7. Una entidad aplicará esas modificaciones a periodos anuales que comiencen a partir del 1 de enero de 2018.
39AE [Párrafo no utilizado] Este párrafo se refiere a una modificación que todavía no está vigente, y no está por ello, incluida en esta norma. El texto del párrafo será incorporado en el marco técnico local una vez se haga la recomendación para la aplicación de la NIIF 17 Contratos de seguros, la cual se encuentra en discusión pública
39AF La CINIIF 23 La Incertidumbre frente a los Tratamientos del Impuesto a las Ganancias añadió el párrafo E8. Una entidad aplicará esa modificación cuando aplique la CINIIF 23.
39AG Mejoras Anuales a las Normas NIIF, 2018-2020, emitida en mayo de 2020, modificó el párrafo D1 (f) y añadió el párrafo D13A. Una entidad aplicará esta modificación a periodos anuales sobre los que informa que comiencen a partir del 1 de enero de 2023 (*). Se permite su aplicación anticipada. Si una entidad aplicase la modificación en un periodo que comience con anterioridad, revelará este hecho.
(*) Mediante Decreto 938 de 2021, en Colombia se ha incorporado dicha modificación, y es aplicable de manera obligatoria a partir del 1 de enero de 2023, se ha permitido su aplicación anticipada.
39AH Impuestos Diferidos relacionados con Activos y Pasivos que surgen de una Transacción Única, emitida en mayo de 2021, modificó el párrafo B1 y añadió el párrafo B14. Una entidad aplicará estas modificaciones a periodos anuales sobre los que se informa que comiencen a partir del 1 de enero de 2024 (fecha de aplicación en Colombia). Se permite su aplicación anticipada. Si una entidad aplica las modificaciones en un periodo que comience con anterioridad, revelará este hecho.
Derogación de la NIIF 1 (emitida en 2003)
40 [Párrafo no utilizado] Este párrafo se refiere a una derogatoria, antes que las Normas Internacionales de Información Financiera, fueran aplicables en Colombia.
Apéndice A Definiciones de términos
Este Apéndice forma parte integrante de la NIIF.
| fecha de transición a las NIIF | El comienzo del primer periodo para el que una entidad presenta información comparativa completa conforme a las NIIF en sus primeros estados financieros presentados conforme a las NIIF. |
| costo atribuido | Un importe usado como sustituto del costo o del costo depreciado en una fecha determinada. En la depreciación o amortización posterior se supone que la entidad había reconocido inicialmente el activo o pasivo en la fecha determinada, y que este costo era equivalente al costo atribuido. |
| valor razonable | Valor razonable es el precio que se recibiría por vender un activo o que se pagaría por transferir un pasivo en una transacción ordenada entre participantes del mercado en la fecha de la medición. (Véase la NIIF 13) |
| primeros estados conforme a las NIIF | Los primeros estados financieros anuales en los cuales una entidad adopta las Normas Internacionales de Información Financiera (NIIF), mediante una declaración, explícita y sin reservas, de cumplimiento con las NIIF. |
| primer periodo sobre el que se informa conforme a las NIIF | El periodo más reciente sobre el que se Informa cubierto por los primeros estados financieros conforme a las NIIF de una entidad. |
| entidad que dopta por primera vez las NIIF | La entidad que presenta sus primeros estados financieros conforme a las NIIF. |
| Normas Internacionales de Información Financiera (NIIF) | Normas e Interpretaciones emitidas por el Consejo de Normas Internacionales de Contabilidad (IASB). Esas Normas comprenden: (a) las Normas Internacionales de Información Financiera; (b) las Normas Internacionales de Contabilidad; (c) las Interpretaciones CINIIF; y (d) Interpretaciones SIC (*). |
| estado de situación financiera de apertura conforme a las NIIF | El estado de situación financiera de una entidad en la fecha de transición a las NIIF. |
| PCGA anteriores | Las bases de contabilización que la entidad que adopta por primera vez las NIIF utilizaba inmediatamente antes de aplicar las NIIF. |
(*) Definición de las NIIF modificada después de los cambios de nombre introducidos mediante la Constitución revisada de la Fundación IFRS en 2010.
Apéndice B Excepciones a la aplicación retroactiva de otras NIIF
Este Apéndice forma parte integrante de la NIIF.
B1 Una entidad aplicará las siguientes excepciones:
(a) la baja en cuentas de activos financieros y pasivos financieros (párrafos B2 y B3);
(b) contabilidad de coberturas (párrafos B4 a B6);
(c) participaciones no controladoras (párrafo B7);
(d) clasificación y medición de activos financieros (párrafos B8 a B8C);
(e) deterioro de activos financieros (párrafos B8D a B8G);
(f) derivados implícitos (párrafo B9);
(g) préstamos del gobierno (párrafos B10 a B12);
(h) [literal no utilizado] Se refiere a una modificación que todavía no está vigente, y no está por ello, incluida en esta norma. El texto del párrafo será incorporado en el marco técnico local una vez se haga la recomendación para la aplicación de la NIIF 17 Contratos de seguros, la cual se encuentra en discusión pública; y
(i) impuestos diferidos relacionados con arrendamientos y pasivos por retiro del servicio, restauración y similares (párrafo B14).
Baja en cuentas de activos financieros y pasivos financieros
B2 Excepto por lo permitido en el párrafo B3, una entidad que adopta por primera vez las NIIF aplicará los requerimientos de baja en cuentas de la NIIF 9 de forma prospectiva, para las transacciones que tengan lugar a partir de la fecha de transición a las NIIF. Por ejemplo, si una entidad que adopta por primera vez las NIIF diese de baja en cuentas activos financieros que no sean derivados o pasivos financieros que no sean derivados de acuerdo con sus PCGA anteriores como resultado de una transacción que tuvo lugar antes de la fecha de transición a las NIIF, no reconocerá esos activos y pasivos de acuerdo con las NIIF (a menos que cumplan los requisitos para su reconocimiento como consecuencia de una transacción o suceso posterior).
B3 Con independencia de lo establecido en el párrafo B2, una entidad podrá utilizar los requerimientos de baja en cuentas de la NIIF 9 de forma retroactiva desde una fecha a elección de la entidad, siempre que la información necesaria para aplicarla NIIF 9 a activos financieros y pasivos financieros dados de baja en cuentas como resultado de transacciones pasadas se obtuviese en el momento del reconocimiento inicial de esas transacciones.
Contabilidad de coberturas
B4 En la fecha de transición a las NIIF, según requiere la NIIF 9, una entidad:
(a) medirá todos los derivados a su valor razonable; y
(b) eliminará todas las pérdidas y ganancias diferidas, procedentes de derivados, que hubiera registrado según los PCGA anteriores como si fueran activos o pasivos.
B5 En su estado de situación financiera de apertura conforme a las NIIF, una entidad no reflejará una relación de cobertura de un tipo que no cumpla los requisitos de la contabilidad de coberturas según la NIIF 9 (por ejemplo, en muchas relaciones de cobertura donde el instrumento de cobertura es una opción emitida independiente o una opción emitida neta; o donde la partida cubierta es una posición neta en una cobertura de flujos de efectivo para otro riesgo distinto de riesgo de tasa de cambio). Sin embargo, si una entidad designó una posición neta como una partida cubierta, de acuerdo con PCGA anteriores, puede designar como una partida cubierta de acuerdo con las NIIF una partida individual dentro de esa posición neta, o una posición neta si cumple los requerimientos del párrafo 6.6.1 de la NIIF 9, siempre que no lo haga después de la fecha de transición a las NIIF.
B6 Si, antes de la fecha de transición a las NIIF, una entidad hubiese designado una transacción como de cobertura, pero ésta no cumpliese con las condiciones para la contabilidad de coberturas establecidas en la NIIF 9, la entidad aplicará los párrafos 6.5.6 y 6.5.7 de la NIIF 9 para discontinuar la contabilidad de coberturas. Las transacciones realizadas antes de la fecha de transición a las NIIF no se designarán de forma retroactiva como coberturas.
Participaciones no controladoras
B7 Una entidad que adopta por primera vez las NIIF aplicará los siguientes requerimientos de la NIIF 10 de forma prospectiva desde la fecha de transición a las NIIF:
(a) el requerimiento del párrafo B94 de que el resultado Integral total se atribuya a los propietarios de la controladora y a las participaciones no controladoras, incluso si esto diese lugar a un saldo deudor de estas últimas;
(b) los requerimientos de los párrafos 23 y B96 para la contabilización de los cambios en la participación de la controladora en la propiedad de una subsidiaria que no den lugar a una pérdida de control; y
(c) los requerimientos de los párrafos B97 a B99 para la contabilización de una pérdida de control sobre una subsidiarla, y los requerimientos relacionados del párrafo 8A de la NIIF 5 Activos no Corrientes Mantenidos para la Venta y Operaciones Discontinuadas.
Sin embargo, si una entidad que adopta por primera vez las NIIF elige aplicar la NIIF 3 de forma retroactiva a combinaciones de negocios pasadas, aplicará también la NIIF 10 de acuerdo con el párrafo C1 de esta NIIF.
Clasificación y medición de instrumentos financieros
B8 Una entidad evaluará si un activo financiero cumple las condiciones del párrafo 4.1.2 o las condiciones del párrafo 4.1.2A de la NIIF 9 sobre la base de los hechos y circunstancias que existan en la fecha de transición a las NIIF.
B8A Si es impracticable evaluar un elemento del valor temporal modificado de acuerdo con los párrafos B4.1.9B a B4.1.9D de la NIIF 9 sobre la base de los hechos y circunstancias que existían en la fecha de transición a las NIIF, una entidad evaluará las características de los flujos de efectivo contractuales de ese activo financiero sobre la base de los hechos y circunstancias que existían en la fecha de transición a las NIIF sin tener en cuenta los requerimientos relacionados con la modificación del elemento del valor temporal del dinero modificado de los párrafos B4.1,9B a B4.1,9D de la NIIF 9. (En este caso, la entidad aplicará también el párrafo 42R de la NIIF 7, pero las referencias al “párrafo 7.2.4 de la NIIF 9” se interpretarán con el significado de este párrafo y las referencias al “reconocimiento inicial del activo financiero” se interpretarán como que quiere decir “en la fecha de transición a las NIIF”.)
B8B Si es impracticable evaluar si el valor razonable de una característica de pago anticipado es insignificante de acuerdo con el párrafo B4.1.12(c) de la NIIF 9 sobre la base de los hechos y circunstancias que existían en la fecha de transición a las NIIF, una entidad evaluará las características de los flujos de efectivo contractuales de ese activo financiero sobre la base de los hechos y circunstancias que existían en la fecha de transición a las NIIF sin tener en cuenta la excepción para las características de pago anticipado del párrafo B4.1.12 de la NIIF 9. (En este caso, la entidad aplicará también el párrafo 42S de la NIIF 7, pero las referencias al “párrafo 7.2.5 de la NIIF 9” se interpretarán con el significado de este párrafo y las referencias al “reconocimiento inicial del activo financiero” se interpretarán como que quiere decir “en la fecha de transición a las NIIF”.)
B8C SI es impracticable (como se define en la NIC 8) para una entidad aplicar retroactivamente el método del interés efectivo de la NIIF 9, el valor razonable del activo financiero o el pasivo financiero en la fecha de transición a las NIIF será el nuevo Importe en libros bruto de ese activo financiero o el nuevo costo amortizado de ese pasivo financiero en la fecha de transición a las NIIF.
Deterioro del valor de activos financieros
B8D Una entidad aplicará los requerimientos de deterioro de valor de la Sección 5.5 de la NIIF 9 de forma retroactiva sujeta a los párrafos B8E a B8G y E1 a E2 de esa NIIF.
B8E En la fecha de transición a las NIIF, una entidad utilizará la Información razonable y sustentable que esté disponible sin costo o esfuerzo desproporcionado para determinar el riesgo crediticio en la fecha en que un instrumento financiero se reconoció inicialmente (o para compromisos de préstamos y contratos de garantía financiera en la fecha en que la entidad pasa a ser una parte del compromiso irrevocable de acuerdo con el párrafo 5.5.6 de la NIIF 9) y lo comparará con el riesgo crediticio en la fecha de transición a las NIIF (véanse también los párrafos B7.2.2 y B7.2.3 de la NIIF 9).
B8F Al determinar si ha habido un incremento significativo en el riesgo crediticio desde el reconocimiento inicial, una entidad puede aplicar:
(a) los requerimientos de los párrafos 5.5.10 y B5.5.22 a B5.5.24 de la NIIF 9; y
(b) la presunción refutable del párrafo 5.5.11 de la NIIF 9 para pagos contractuales que tengan más de 30 días de mora si una entidad va a aplicar los requerimientos de deterioro de valor identificando los incrementos significativos en el riesgo crediticio desde el reconocimiento inicial para esos instrumentos financieros sobre la base de la información sobre morosidad.
B8G Si, en la fecha de transición a las NIIF, la determinación de si ha habido un incremento significativo en el riesgo crediticio desde el reconocimiento inicial de un instrumento financiero requiriera un esfuerzo o costo desproporcionado, una entidad reconocerá una corrección de valor por pérdidas por un importe igual a las pérdidas crediticias esperadas durante el tiempo de vida del activo en cada fecha de presentación hasta que el instrumento financiero se dé de baja en cuentas [a menos que el Instrumento financiero sea de riesgo crediticio bajo en la fecha de presentación, en cuyo caso se aplicará el párrafo B8F(a)].
Derivados implícitos
B9 Una entidad que adopta por primera vez las NIIF evaluará si se requiere que un derivado implícito se separe de su contrato anfitrión y se contabilice como un derivado basándose en las condiciones existentes en la fecha en que la entidad se convirtió por primera vez en parte del contrato o en la fecha en que se requiera una nueva evaluación según el párrafo B4.3.11 de la NIIF 9, si ésta fuese posterior,
Préstamos del Gobierno
B10 Una entidad que adopta por primera vez las NIIF clasificará todos los préstamos del gobierno recibidos como un pasivo financiero o como un instrumento de patrimonio de acuerdo con la NIC 32 Instrumentos Financieros: Presentación. Excepto por lo permitido por el párrafo B11, una entidad que adopte por primera vez las NIIF aplicará los requerimientos de la NIIF 9 Instrumentos Financieros y de la NIC 20 Contabilización de las Subvenciones del Gobierno e Información a Revelar sobre Ayudas Gubernamentales de forma prospectiva a los préstamos del gobierno existentes en la fecha de transición a las NIIF y no reconocerá el beneficio correspondiente del préstamo del gobierno a una tasa de interés por debajo de la de mercado como una subvención gubernamental. Por consiguiente, si una entidad que adopta por primera vez las NIIF no reconoció y midió, según sus PCGA anteriores, un préstamo del gobierno a una tasa de interés por debajo de la de mercado sobre una base congruente con los requerimientos de las NIIF, utilizará el importe en libros del préstamo según sus PCGA anteriores, en la fecha de transición a las NIIF, como el importe en libros del préstamo en el estado de situación financiera de apertura según las NIIF. Una entidad aplicará la NIIF 9 para medir estos préstamos tras la fecha de transición a las NIIF.
B11 Sin perjuicio de lo previsto por el párrafo B10, una entidad podrá aplicar los requerimientos de las NIIF 9 y NIC 20 de forma retroactiva a cualquier préstamo del gobierno con origen en una fecha anterior a la transición a las NIIF, siempre que la información necesaria para hacerlo haya sido obtenida en la fecha de la contabilización inicial de ese préstamo.
B12 Los requerimientos y guías de los párrafos B10 y B11 no impiden que una entidad pueda utilizar las exenciones descritas en los párrafos D19 a D19C en relación con la designación de Instrumentos financieros reconocidos con anterioridad a valor razonable con cambios en resultados.
B13 [Párrafo no utilizado] Este párrafo se refiere a una modificación que todavía no está vigente, y no está por ello, incluida en esta norma. El texto del párrafo será incorporado en el marco técnico local una vez se haga la recomendación para la aplicación de la NIIF 17 Contratos de seguros, la cual se encuentra en discusión pública.
Impuestos diferidos relacionados con arrendamientos y pasivos por retiro del servicio, restauración y similares
B14 Los párrafos 15 y 24 de la NIC 12 Impuesto a las Ganancias eximen a una entidad de reconocer un activo o pasivo por impuestos diferidos en circunstancias concretas, A pesar de esta exención, en la fecha de transición a las NIIF, una entidad que adopta por primera vez las NIIF reconocerá un activo por impuestos diferidos–en la medida en que sea probable que la ganancia fiscal esté disponible para que pueda utilizarse contra las diferencias temporarias deducibles – y un pasivo por impuestos diferidos para todas las diferencias temporarias imponibles y deducibles asociadas con:
(a) activos por derecho de uso y pasivos por arrendamiento; y
(b) pasivos por retiro del servicio, restauración y similares y los correspondientes importes reconocidos como parte del costo del activo relacionado.
Continuación del Decreto "Por el cual se modifica el anexo técnico de las Normas de Información Financiera para el Grupo 1 del Decreto Único Reglamentario de las Normas de Contabilidad, de Información Financiera y de Aseguramiento de la Información, Decreto 2420 de 2015, y se dictan otras disposiciones”
Apéndice C Exenciones para las combinaciones de negocios
Este Apéndice forma parte integrante de la NIIF. Una entidad aplicará los siguientes requerimientos a las combinaciones de negocios que haya reconocido antes de la fecha de transición a las NIIF. Este Apéndice solo debería aplicarse a combinaciones de negocios dentro del alcance de la NIIF 3 Combinaciones de Negocios.
C1 Una entidad que adopte por primera vez las NIIF puede optar por no aplicar de forma retroactiva la NIIF 3 a las combinaciones de negocios realizadas en el pasado (combinaciones de negocios anteriores a la fecha de transición a las NIIF). Sin embargo, si la entidad que adopta por primera vez las NIIF reexpresase cualquier combinación de negocios para cumplir con la NIIF 3, reexpresará todas las combinaciones de negocios posteriores y aplicará también la NIIF 10 desde esa misma fecha. Por ejemplo, si una entidad que adopta por primera vez las NIIF opta por reexpresar una combinación de negocios que tuvo lugar el 30 de junio de 20X6, reexpresará todas las combinaciones de negocios que tuvieron lugar entre el 30 de junio de 20X6 y la fecha de transición a las NIIF, y aplicará también la NIIF 10 desde el 30 de junio de 20X6.
C2 Una entidad no necesitará aplicar de forma retroactiva la NIC 21 Efectos de las Variaciones en las Tasas de Cambio de la Moneda Extranjera a los ajustes al valor razonable ni a la plusvalía que hayan surgido en las combinaciones de negocios ocurridas antes de la fecha de transición a las NIIF. Si la entidad no aplicase, de forma retroactiva, la NIC 21 a esos ajustes al valor razonable ni a la plusvalía, los considerará como activos y pasivos de la entidad, y no como activos y pasivos de la adquirida. Por tanto, estos ajustes al valor razonable y a la plusvalía, o bien se encuentran ya expresados en la moneda funcional de la entidad, o bien son partidas no monetarias en moneda extranjera, que se registran utilizando el tipo de cambio aplicado según los PCGA anteriores.
C3 Una entidad podría aplicar la NIC 21 de forma retroactiva a los ajustes del valor razonable y la plusvalía que surge de:
(a) en todas las combinaciones de negocios que hayan ocurrido antes de la fecha de transición a las NIIF; o
(b) en todas las combinaciones de negocios que la entidad haya escogido reexpresar, para cumplir con la NIIF 3, tal como permite el párrafo C1 anterior.
C4 Si una entidad que adopta por primera vez las NIIF no aplica la NIIF 3 de forma retroactiva a una combinación de negocios anterior, este hecho tendrá las siguientes consecuencias para esa combinación:
(a) La entidad que adopta por primera vez las NIIF, conservará la misma clasificación (como una adquisición por parte de la adquirente legal, como una adquisición inversa por parte de la entidad legalmente adquirida o como una unificación de intereses) que tenía en sus estados financieros elaborados conforme a los PCGA anteriores.
(b) La entidad que adopta por primera vez las NIIF reconocerá todos sus activos y pasivos en la fecha de transición a las NIIF que hubieran sido adquiridos o asumidos en una combinación de negocios pasada, que sean diferentes de:
(i) algunos activos financieros y pasivos financieros que se dieron de baja según los PCGA anteriores (véase el párrafo B2); y
(ii) los activos, incluyendo la plusvalía, y los pasivos que no fueron reconocidos en el estado consolidado de situación financiera de la adquirente de acuerdo con los PCGA anteriores y que tampoco cumplirían las condiciones para su reconocimiento de acuerdo las NIIF en el estado de situación financiera separado de la adquirida (véanse los apartados (f) a (i) más adelante).
La entidad que adopta por primera vez las NIIF reconocerá cualquier cambio resultante, ajustando las ganancias acumuladas (o, si fuera apropiado, otra categoría del patrimonio), a menos que tal cambio proceda del reconocimiento de un activo intangible que estaba previamente incluido en la plusvalía (véase el punto (i) del apartado (g) siguiente).
(c) La entidad que adopta por primera vez las NIIF excluirá de su estado de situación financiera de apertura conforme a las NIIF todas las partidas, reconocidas según los PCGA anteriores, que no cumplan las condiciones para su reconocimiento como activos y pasivos según las NIIF. La entidad que adopta por primera vez las NIIF contabilizará los cambios resultantes de la forma siguiente:
Continuación del Decreto “Por el cual se modifica el anexo técnico de las Normas de Información Financiera para el Grupo 1 del Decreto Único Reglamentario de las Normas de Contabilidad, de Información Financiera y de Aseguramiento de la Información, Decreto 2420 de 2015, y se dictan otras disposiciones"
(i) La entidad que adopta por primera vez las NIIF pudo, en el pasado, haber clasificado una combinación de negocios como una adquisición, y pudo haber reconocido como activo intangible alguna partida que no cumpliera las condiciones para su reconocimiento como activo según la NIC 38 Activos Intangibles. Deberá reclasificar esta partida (y, si fuera el caso, las participaciones no controladoras y los impuestos diferidos correspondientes) como parte de la plusvalía (a menos que hubiera deducido la plusvalía, conforme a los PCGA anteriores, directamente del patrimonio; véase el punto (i) del apartado (g) y el apartado (i) siguientes).
(ii) La entidad que adopta por primera vez las NIIF reconocerá en las ganancias acumuladas todos los demás cambios resultantes (*).
(*) Estos cambios incluyen las reclasificaciones hacia o desde los activos intangibles si la plusvalía no se reconoció como un activo de acuerdo con PCGA previos. Esto sucede si, de acuerdo con los PCGA anteriores, la entidad (a) dedujo la plusvalía directamente del patrimonio, o (b) no trató la combinación de negocios como una adquisición.
(d) Las NIIF requieren una medición posterior de algunos activos y pasivos utilizando una base diferente al costo original, tal como el valor razonable. La entidad que adopta por primera vez las NIIF medirá estos activos y pasivos, en el estado de situación financiera de apertura conforme a las NIIF, utilizando esa base, incluso si las partidas fueron adquiridas o asumidas en una combinación de negocios anterior. Reconocerá cualquier cambio resultante en el importe en libros, ajustando las ganancias acumuladas (o, si fuera apropiado, otra categoría del patrimonio) en lugar de la plusvalía.
(e) Inmediatamente después de la combinación de negocios, el importe en libros, conforme a los PCGA anteriores, de los activos adquiridos y de los pasivos asumidos en esa combinación de negocios será su costo atribuido según las NIIF en esa fecha. Si las NIIF requieren, en una fecha posterior, una medición basada en el costo de estos activos y pasivos, este costo atribuido será la base para la depreciación o amortización basadas en el costo, a partir de la fecha de la combinación de negocios.
(f) Si un activo adquirido, o un pasivo asumido, en una combinación de negocios anterior no se reconoció según los PCGA anteriores, no tendrá un costo atribuido nulo en el estado de situación financiera de apertura conforme a las NIIF. En su lugar, la adquirente lo reconocerá y medirá, en su estado de situación financiera consolidado, utilizando la base que hubiera sido requerida de acuerdo con las NIIF en el estado de situación financiera de la adquirida. Por ejemplo: si la adquirente no había, según sus PCGA anteriores, capitalizado los arrendamientos financieros adquiridos en una combinación de negocios anterior, los capitalizará, en sus estados financieros consolidados, tal como la NIIF 16 Arrendamientos hubiera requerido hacerlo a la adquirida en su estado de situación financiera conforme a las NIIF. De forma similar, si la adquirente no tenía reconocido, según PCGA anteriores, un pasivo contingente que existe todavía en la fecha de transición a las NIIF, la adquirente reconocerá ese pasivo contingente en esa fecha a menos que la NIC 37 Provisiones, Pasivos Contingentes y Activos Contingentes prohibiera su reconocimiento en los estados financieros de la adquirida. Por el contrario, si un activo o pasivo quedó incluido, según los PCGA anteriores, en la plusvalía, pero se hubiera reconocido por separado de haber aplicado la NIIF 3, ese activo o pasivo permanecerá en la plusvalía, a menos que las NIIF requiriesen reconocerlo en los estados financieros de la adquirida.
(g) El importe en libros de la plusvalía en el estado de situación financiera de apertura conforme a las NIIF, será su importe en libros en la fecha de transición a las NIIF según los PCGA anteriores, tras realizar los dos ajustes siguientes:
(i) Si fuera requerido por el punto (i) del apartado (c) anterior, la entidad que adopta por primera vez las NIIF incrementará el importe en libros de la plusvalía cuando proceda a reclasificar una partida que reconoció como activo intangible según los PCGA anteriores. De forma similar, si el apartado (f) anterior requiere que la entidad que adopta por primera vez las NIIF reconozca un activo intangible que quedó incluido en la plusvalía reconocida según los PCGA anteriores, procederá a reducir en consecuencia el importe en libros de la plusvalía (y, si fuera el caso, a ajustar las participaciones no controladoras y los impuestos diferidos).
(ii) Con independencia de si existe alguna indicación de deterioro del valor de la plusvalía, la entidad que adopta por primera vez las NIIF aplicará la NIC 36 para comprobar, en la fecha de transición a las NIIF, si la plusvalía ha sufrido algún deterioro de su valor, y para reconocer, en su caso, la pérdida por deterioro resultante, mediante un ajuste a las ganancias acumuladas (o, si así lo exigiera la NIC 36, en el superávit por revaluación). La comprobación del deterioro se basará en las condiciones existentes en la fecha de transición a las NIIF,
(h) No se practicará, en la fecha de transición a las NIIF, ningún otro ajuste en el importe en libros de la plusvalía. Por ejemplo, la entidad que adopta por primera vez las NIIF no reexpresará el Importe en libros de la plusvalía:
(i) para excluir una partida de investigación y desarrollo en proceso adquirida en esa combinación de negocios (a menos que el activo intangible correspondiente cumpliera las condiciones para su reconocimiento, según la NIC 38, en el estado de situación financiera de la adquirida);
(ii) para ajustar la amortización de la plusvalía realizada con anterioridad;
(iii) para revertir ajustes de la plusvalía no permitidos por la NIIF 3, pero practicados según los PCGA anteriores, que procedan de ajustes a los activos y pasivos entre la fecha de la combinación de negocios y la fecha de transición a las NIIF,
(i) Si, de acuerdo con PCGA anteriores, una entidad que adopta por primera vez las NIIF reconoció la plusvalía como una reducción del patrimonio:
(i) No reconocerá esa plusvalía en su estado de situación financiera de apertura conforme a las NIIF. Además, no reclasificará esta plusvalía al resultado del periodo si dispone de la subsidiaria, o si la inversión en ésta sufriera un deterioro del valor,
(ii) Los ajustes que se deriven de la resolución posterior de una contingencia que afectase a la contraprestación de la compra se reconocerán en las ganancias acumuladas.
(j) La entidad que adopta por primera vez las NIIF, siguiendo sus PCGA anteriores, pudo no haber consolidado una subsidiaria adquirida en una combinación de negocios anterior (por ejemplo, porque la controladora no la considerase, según esos PCGA, como subsidiaria, o porque no preparaba estados financieros consolidados). La entidad que adopta por primera vez las NIIF ajustará el importe en libros de los activos y pasivos de la subsidiaria, para obtener los importes que las NIIF habrían requerido en el estado de situación financiera de la subsidiaria. El costo atribuido de la plusvalía será Igual a la diferencia, en la fecha de transición a las NIIF, entre:
(i) la participación de la controladora en tales importes en libros, una vez ajustados; y
(ii) el costo, en los estados financieros separados de la controladora, de su inversión en la subsidiaria.
(k) La medición de la participación no controladora y de los impuestos diferidos se deriva de la medición de otros activos y pasivos. Por tanto, los ajustes descritos anteriormente para los activos y pasivos reconocidos afectan a las participaciones no controladoras y a los impuestos diferidos.
C5 La exención para las combinaciones de negocios pasadas también se aplica a las adquisiciones pasadas de inversiones en asociadas, y de participaciones en negocios conjuntos y participaciones en operaciones conjuntas cuya actividad constituye un negocio, tal como se define en la NIIF 3. Además, la fecha seleccionada en función del párrafo C1 se aplica igualmente para todas esas adquisiciones.
Apéndice O Exenciones procedentes de otras NIIF
Este Apéndice forma parte integrante de la NIIF.
D1 Una entidad puede optar por utilizar una o más de las exenciones siguientes:
(a) transacciones con pagos basados en acciones (párrafos D2 y D3);
(b) contratos de seguro (párrafo D4);
(c) costo atribuido (párrafos D5 a D8B);
(d) arrendamientos (párrafos D9 y D9B a D9E);
(e) [eliminado]
(f) diferencias de conversión acumuladas (párrafos D12 a D13A);
(g) inversiones en subsidiarias, negocios conjuntos y asociadas (párrafos D14 a D15A);
(h) activos y pasivos de subsidiarias, asociadas y negocios conjuntos (párrafos D16 y D17);
(i) instrumentos financieros compuestos (párrafo D18);
(j) designación de instrumentos financieros reconocidos previamente (párrafos D19 a D19C);
(k) la medición a valor razonable de activos financieros o pasivos financieros en el reconocimiento inicial (párrafo D20);
(l) pasivos por desmantelamiento incluidos en el costo de propiedades, planta y equipo (párrafos D21 y D21A);
(m) activos financieros o activos intangibles contabilizados de acuerdo con la CINIIF 12 Acuerdos de Concesión de Servicios (párrafo D22),
(n) costos por préstamos (párrafo D23);
(o) eliminado;
(p) cancelación de pasivos financieros con Instrumentos de patrimonio (párrafo D25);
(q) hiperinflación grave (párrafos D26 a D30);
(r) acuerdos conjuntos (párrafo D31);
(s) costos de desmonte en la fase de producción de una mina a cielo abierto (párrafo D32);
(t) designación de contratos para comprar o vender una partida no financiera (párrafo D33).
(u) ingresos de actividades ordinarias (párrafos D34 y D35); y
(v) transacciones en moneda extranjera y contraprestación anticipada (párrafo D36).
La entidad no aplicará estas exenciones por analogía a otras partidas.
Transacciones con pagos basados en acciones
D2 Se recomienda, pero no se requiere, que una entidad que adopta por primera vez las NIIF aplique la NIIF 2 Pagos Basados en Acciones a los Instrumentos de patrimonio que fueron concedidos en o antes del 7 de noviembre de 2002. También se recomienda, pero no se requiere, que una entidad que adopta por primera vez las NIIF aplique la NIIF 2 a los instrumentos de patrimonio que fueron concedidos después del 7 de noviembre de 2002 y que son irrevocables (consolidados) antes de la fecha más tardía entre (a) la fecha de transición a las NIIF y (b) el 1 de enero de 2005. Sin embargo, si una entidad que adopta por primera vez las NIIF decidiese aplicar la NIIF 2 a esos instrumentos de patrimonio, puede hacerlo sólo si la entidad ha revelado públicamente el valor razonable de esos instrumentos de patrimonio, determinado en la fecha de medición, según se define en la NIIF 2. Para todas las concesiones de instrumentos de patrimonio a los que no se haya aplicado la NIIF 2 (por ejemplo, instrumentos de patrimonio concedidos en o antes del 7 de noviembre de 2002), una entidad que adopta por primera vez las NIIF revelará, no obstante, la información requerida en los párrafos 44 y 45 de la NIIF 2. Si una entidad que adopta por primera vez las NIIF modificase los términos o condiciones de una concesión de instrumentos de patrimonio a los que los que no se ha aplicado la NIIF 2, la entidad no estará obligada a aplicar los párrafos 26 a 29 de la NIIF 2 si la modificación hubiera tenido lugar antes de la fecha de transición a las NIIF.
D3 Se recomienda, pero no se requiere, que una entidad que adopta por primera vez las NIIF aplique la NIIF 2 a los pasivos surgidos de transacciones con pagos basados en acciones que fueran liquidados antes de la fecha de transición a las NIIF. También se recomienda, pero no se requiere, que una entidad que adopta por primera vez las NIIF aplique la NIIF 2 a los pasivos que fueron liquidados antes del 1 de enero de 2005. En el caso de los pasivos a los que se hubiera aplicado la NIIF 2, una entidad que adopta por primera vez las NIIF no estará obligada a reexpresar la información comparativa si dicha información está relacionada con un periodo o una fecha anterior al 7 de noviembre de 2002.
Contratos de seguro
D4 Una entidad que adopta por primera vez las NIIF puede aplicar las disposiciones transitorias de la NIIF 4 Contratos de Seguro. En la NIIF 4 se restringen los cambios en las políticas contables seguidas en los contratos de seguro, incluyendo los cambios que pueda hacer una entidad que adopta por primera vez las NIIF.
Costo atribuido
D5 La entidad podrá optar, en la fecha de transición a las NIIF, por la medición de una partida de propiedades, planta y equipo por su valor razonable, y utilizar este valor razonable como el costo atribuido en esa fecha.
D6 La entidad que adopta por primera vez las NIIF podrá elegir utilizar una revaluación según PCGA anteriores de una partida de propiedades, planta y equipo, ya sea a la fecha de transición o anterior, como costo atribuido en la fecha de la revaluación, si esta fue a esa fecha sustancialmente comparable:
(a) valor razonable; o
(b) al costo, o al costo depreciado según las NIIF, ajustado para reflejar, por ejemplo, cambios en un índice de precios general o especifico.
D7 Las opciones de los párrafos D5 y D6 podrán ser aplicadas también a:
(a) propiedades de inversión, si una entidad escoge la aplicación del modelo del costo de la NIC 40 Propiedades de inversión'
(aa) activos por derecho de uso (NIIF 16 Arrendamientos)', y
(b) activos intangibles que cumplan:
(í) los criterios de reconocimiento de la NIC 38 (incluyendo la medición fiable del costo original); y
(ii) los criterios establecidos por la NIC 38 para la realización de revaluaciones (incluyendo la existencia de un mercado activo).
La entidad no usará estas opciones de elección para otros activos o pasivos.
D8 Una entidad que adopta por primera vez las NIIF puede haber establecido un costo atribuido, según PCGA anteriores, para algunos o para todos sus activos y pasivos, midiéndolos a su valor razonable a una fecha particular, por causa de algún suceso, tal como una privatización o una oferta pública inicial.
(a) Si la fecha de medición es la fecha de transición a (as NIIF o una fecha anterior a ésta, la entidad podrá usar tales medidas del valor razonable, provocadas por el suceso en cuestión, como el costo atribuido para las NIIF a la fecha de la medición.
(b) Si la fecha de medición es posterior a la fecha de transición a las NIIF, pero durante el periodo cubierto por los primeros estados financieros conforme a las NIIF, las mediciones al valor razonable derivadas del suceso pueden utilizarse como costo atribuido cuando el suceso tenga lugar. Una entidad reconocerá los ajustes resultantes directamente en las ganancias acumuladas (o, si fuera apropiado, en otra categoría del patrimonio) en la fecha de medición. En la fecha de transición a las NIIF, la entidad establecerá el costo atribuido mediante la aplicación de los criterios de los párrafos D5 a D7, o medirá los activos y pasivos de acuerdo con los otros requerimientos de esta NIIF.
D8A Según algunos requerimientos de contabilidad nacionales, los costos de exploración y desarrollo para propiedades de petróleo y gas en las fases de desarrollo o producción se contabilizan en centros de costo que incluyan todas las propiedades en una gran área geográfica. Una entidad que adopta por primera vez las NIIF que utiliza esta contabilidad conforme a PCGA anteriores puede elegir medir los activos de petróleo y gas en la fecha de transición a las NIIF de acuerdo con las siguientes bases:
(a) activos de exploración y evaluación por el importe determinado conforme a los PCGA anteriores de la entidad; y
(b) activos en las fases de desarrollo o producción por el importe determinado para el centro de costo conforme a los PCGA anteriores de la entidad. La entidad distribuirá proporcionalmente este importe entre los activos subyacentes de los centros de costo utilizando volúmenes de reservas o valores de reservas en esa fecha.
La entidad comprobará el deterioro del valor de los activos de exploración y evaluación y activos en las fases de desarrollo y producción en la fecha de transición a las NIIF de acuerdo con la NIIF 6 Exploración y Evaluación de Recursos Minerales o la NIC 36 respectivamente y, si fuera necesario, reducirá el importe determinado de acuerdo con los apartados (a) o (b) anteriores. A efectos de este párrafo, los activos de petróleo y gas comprenden solo los activos utilizados en la exploración, evaluación, desarrollo o producción de petróleo y gas.
D8B Algunas entidades mantienen elementos de propiedades, planta y equipo, activos por derecho de uso o activos intangibles que se utilizan, o eran anteriormente utilizados, en operaciones sujetas a regulación de tarifas. El importe en libros de estos elementos puede incluir Importes que fueron determinados según PCGA anteriores, pero que no cumplen las condiciones de capitalización de acuerdo con las NIIF. Si es este el caso, una entidad que adopta por primera vez las NIIF puede optar por utilizar el importe en libros según PCGA anteriores para un elemento así en la fecha de transición a las NIIF como el costo atribuido. Si una entidad aplica esta exención a una partida, no necesitará aplicarla a todas. En la fecha de transición a las NIIF, una entidad comprobará el deterioro de valor, de acuerdo con la NIC 36, de cada partida para la que se utilice esta exención. A efectos de este párrafo, las operaciones están sujetas a regulación de tarifas si se rigen por un marco para la fijación de los precios que pueden cargarse a los clientes por bienes o servicios y ese marco está sujeto a la supervisión o aprobación por un regulador de tarifas (tal como se define en la NIIF 14 Cuentas de Diferimientos de Actividades Reguladas).
Arrendamientos
D9 En consecuencia, una entidad que adopta por primera vez las NIIF puede evaluar si un contrato existente en la fecha de transición a las NIIF contiene un arrendamiento aplicando los párrafos 9 a 11 de la NIIF 16, a partir de la consideración de los hechos y circunstancias existentes a dicha fecha.
D9A [Eliminado]
D9B Cuando una entidad que adopta por primera vez las NIIF, que es un arrendatario, reconoce pasivos por arrendamiento y activos por derecho de uso, podría aplicar el siguiente enfoque a todos sus arrendamientos (sujeto a la solución práctica descrita en el párrafo D9D).
(a) medición de un pasivo por arrendamiento en la fecha de transición a las NIIF. Un arrendatario que siga este enfoque medirá ese pasivo por arrendamiento al valor presente de los pagos por arrendamiento restantes (véase el párrafo D9E), descontados usando la tasa incremental del arrendatario por préstamos recibidos (véase el párrafo D9E) en la fecha de transición a las NIIF.
(b) medición de un activo por derecho de uso en la fecha de transición a las NIIF. El arrendatario elegirá, arrendamiento por arrendamiento, medir ese activo por derecho de uso:
(i) por su importe en libros como si la NIIF 16 se hubiera aplicado desde la fecha de comienzo del arrendamiento (véase el párrafo D9E), pero descontado usando la tasa Incremental de arrendamiento por préstamos recibidos en la fecha de transición a las NIIF; o
(ii) por un Importe igual al pasivo por arrendamiento, ajustado por el importe de cualesquiera pagos por arrendamiento anticipados o acumulados (devengados) relacionados con ese arrendamiento reconocidos en el estado de situación financiera inmediatamente antes de la fecha de transición a las NIIF.
(c) Aplicará la NIC 36 a los activos por derecho de uso en la fecha de transición a las NIIF,
D9C A pesar de los requerimientos del párrafo D9B, una entidad que adopta por primera vez las NIIF que es un arrendatario medirá el activo por derecho de uso a valor razonable en la fecha de transición a las NIIF para arrendamientos que cumplan la definición de propiedad de inversión de la NIC 40 y se midan usando el modelo de valor razonable de la NIC 40 desde la fecha de transición a las NIIF,
D9D Una entidad que adopta por primera vez las NIIF que es un arrendatario podrá elegir una o más de las siguientes opciones en la fecha de transición a las NIIF, aplicadas arrendamiento por arrendamiento:
(a) Aplicar una tasa de descuento única a una cartera de arrendamientos con características razonablemente similares (por ejemplo, un plazo de arrendamiento restante similar para una clase parecida de activo subyacente en un entorno económico similar).
(b) Elegir no aplicar los requerimientos del párrafo D9B a los arrendamientos para los cuales el plazo del arrendamiento (véase el párrafo D9E) finaliza dentro de los 12 meses de la fecha de transición a las NIIF). En su lugar, la entidad contabilizará (incluyendo la revelación de información sobre) estos arrendamientos como si fueran arrendamientos a corto plazo contabilizados de acuerdo con el párrafo 6 de la NIIF 16,
(c) Elegir no aplicar los requerimientos del párrafo D9B a los arrendamientos cuyo activo subyacente es de bajo valor (como se describe en los párrafos B3 a B8 de la NIIF 16). En su lugar, la entidad contabilizará (incluyendo la revelación de información sobre) estos arrendamientos de acuerdo con el párrafo 6 de la NIIF 16.
(d) Excluir los costos directos iniciales (véase el párrafo D9E) de la medición del activo por derecho de uso en la fecha de transición a las NIIF.
(e) Usar el razonamiento en retrospectiva, tal como al determinar el plazo del arrendamiento si el contrato contiene opciones para ampliar o terminar el arrendamiento.
D9E Pagos por arrendamiento, arrendatario, tasa incremental por préstamos del arrendatario, fecha de comienzo del arrendamiento, costos directos iniciales y plazo de arrendamiento son términos definidos en la NIIF 16 y se usan en esta Norma con el mismo significado.
D10 a D11 [Eliminado]
Diferencias de conversión acumuladas
D12 La NIC 21 requiere que una entidad:
(a) reconozca algunas diferencias de conversión en otro resultado integral y las acumule en un componente separado de patrimonio; y
(b) reclasifique la diferencia de conversión acumulada surgida en la disposición de un negocio en el extranjero, (incluyendo, si procede, las pérdidas y ganancias de coberturas relacionadas) del patrimonio a resultados como parte de la pérdida o ganancia derivada de la disposición.
D13 No obstante, una entidad que adopta por primera vez las NIIF no necesita cumplir con este requerimiento respecto de las diferencias de conversión acumuladas que existan a la fecha de transición a las NIIF. Si una entidad que adopta por primera vez las NIIF hace uso de esta exención:
(a) las diferencias de conversión acumuladas de todos los negocios en el extranjero se considerarán nulas en la fecha de transición a las NIIF; y
(b) la pérdida o ganancia por la disposición posterior de cualquier negocio en el extranjero excluirá las diferencias de conversión que hayan surgido antes de la fecha de transición a las NIIF, e incluirá las diferencias de conversión posteriores a esta.
D13A En lugar de aplicar el párrafo D12 o el párrafo D13, una subsidiaria que utilice la exención del párrafo D16(a) puede optar, en sus estados financieros, por medir las diferencias de conversión acumuladas para todos los negocios en el extranjero, por el importe en libros que se incluiría en los estados financieros consolidados de la controladora, basado en de la fecha de transición a las NIIF de la controladora, si no se realizaron ajustes en los procedimientos de consolidación y a efectos de la combinación de negocios en la cual la controladora adquirió la subsidiaria, Una opción similar está disponible para una asociada o negocio conjunto que utilice la exención del párrafo D16(a).
Inversiones en subsidiarias, negocios conjuntos y asociadas
D14 Cuando una entidad prepare estados financieros separados, la NIC 27 requiere que contabilice sus inversiones en subsidiarias, negocios conjuntos y asociadas de alguna de las formas siguientes:
(a) al costo;
(b) de acuerdo con la NIIF 9; o .
(c) utilizando el método de la participación tal como se describe en la NIC 28.
D15 Si una entidad que adopta por primera vez las NIIF midiese esta inversión al costo de acuerdo con la NIC 27, medirá esa inversión en su estado de situación financiera separado de apertura conforme a las NIIF mediante uno de los siguientes importes;
(a) el costo determinado de acuerdo con la NIC 27; o
(b) el costo atribuido. El costo atribuido de esa inversión será:
(i) el valor razonable en la fecha de transición a las NIIF de la entidad en sus estados financieros separados; o
(ii) el importe en libros en esa fecha según los PCGA anteriores.
Una entidad que adopta por primera vez las NIIF puede elegir entre los apartados (i) o (ii) anteriores para medir sus inversiones en cada subsidiarla, negocio conjunto o asociada que haya optado por medir utilizando el costo atribuido,
D15A Si una entidad que adopta por primera vez las NIIF contabiliza una inversión utilizando los procedimientos del método de la participación como se describe en la NIC 28:
(a) La entidad que adopta por primera vez las NIIF aplicará a la adquisición de la inversión la exención para las combinaciones de negocios anteriores (Apéndice C).
(b) Si la entidad pasa a ser una entidad que adopta por primera vez las NIIF en sus estados financieros separados antes que en sus estados financieros consolidados, y
(i) después que su controladora, la entidad aplicará el párrafo D16 en sus estados financieros separados.
(ii) después que su subsidiaria, la entidad aplicará el párrafo D17 en sus estados financieros separados.
Activos y pasivos de subsidiarias, asociadas y negocios conjuntos
D16 Si una subsidiaria adoptase por primera vez las NIIF con posterioridad a su controladora, la subsidiaria medirá en sus estados financieros sus activos y pasivos:
(a) los importes en libros que se hubieran incluido en los estados financieros consolidados de la controladora, basados en la fecha de transición a las NIIF de la controladora, si no se hicieron ajustes para propósitos de consolidación y para los efectos de la combinación de negocios por la que la controladora adquirió a la subsidiaria (esta elección no está disponible para una subsidiaria de una entidad de inversión, tal como se define en la NIIF 10, que se requiere medir al valor razonable con cambios en resultados); o
(b) los importes en libros requeridos por el resto de esta NIIF, basados en la fecha de transición a las NIIF de la subsidiaria. Estos importes pueden diferir de los descritos en la letra (a);
(i) Cuando las exenciones previstas en esta NIIF den lugar a mediciones que dependan de la fecha de transición a las NIIF.
(ii) Cuando las políticas contables aplicadas en los estados financieros de la subsidiaria difieran de las que se utilizan en los estados financieros consolidados. Por ejemplo, la subsidiaria puede emplear como política contable el modelo del costo de la NIC 16 Propiedades, Planta y Equipo, mientras que el grupo puede utilizar el modelo de revaluación.
Una elección similar puede ser hecha por una asociada o negocio conjunto que adopta por primera vez las NIIF, si bien en un momento posterior al que lo haya hecho la entidad que tiene sobre ella influencia significativa o control en conjunto con otros.
D17 Sin embargo, sí una entidad adopta por primera vez las NIIF después que su subsidiaria (o asociada o negocio conjunto), ésta medirá, en sus estados financieros consolidados, los activos y pasivos de la subsidiaria (o asociada o negocio conjunto) por los mismos importes en libros que figuran en los estados financieros de la subsidiaria (o asociada o negocio conjunto), después de realizar los ajustes que correspondan al consolidar o aplicar el método de la participación, así como los que se refieran a los efectos de la combinación de negocios en la que tal entidad adquirió a la subsidiaria. A pesar de este requerimiento, una controladora que no es una entidad de inversión no aplicará la excepción de consolidación que se utiliza por cualquier subsidiaria que es una entidad de inversión. De forma similar, si una controladora adopta por primera vez las NIIF en sus estados financieros separados, antes o después que en sus estados financieros consolidados, medirá sus activos y pasivos a los mismos importes en ambos estados financieros, excepto por los ajustes de consolidación.
Instrumentos financieros compuestos
D18 La NIC 32 Instrumentos Financieros: Presentación requiere que una entidad descomponga los instrumentos financieros compuestos, desde el inicio, en sus componentes separados de pasivo y de patrimonio. Si el componente de pasivo ha dejado de existir, la aplicación retroactiva de la NIC 32 implica la separación de dos porciones del patrimonio. Una porción estará en las ganancias acumuladas y representará la suma de los intereses totales acumulados (o devengados) por el componente de pasivo. La otra porción representará el componente original de patrimonio. Sin embargo, según esta NIIF, una entidad que adopta por primera vez las NIIF no necesitará separar esas dos porciones si el componente de pasivo ha dejado de existir en la fecha de transición a las NIIF.
Designación de instrumentos financieros reconocidos previamente
D19 La NIIF 9 permite que un pasivo financiero (siempre que cumpla ciertos criterios) sea designado como un pasivo financiero a valor razonable con cambios en resultados, A pesar de este requerimiento, se permite que una entidad designe, en la fecha de transición a las NIIF, cualquier pasivo financiero como a valor razonable con cambios en resultados siempre que el pasivo cumpla los criterios del párrafo 4.2.2 de la NIIF 9 en esa fecha. ,
D19A Una entidad puede designar un activo financiero como medido a valor razonable con cambios en resultados de acuerdo con el párrafo 4.1.5 de la NIIF 9 sobre la base de los hechos y circunstancias que existan en la fecha de transición a las NIIF.
D19B Una entidad puede designar una inversión en un instrumento de patrimonio como medida a valor razonable con cambios en otro resultado integral de acuerdo con el párrafo 5.7.5 de la NIIF 9 sobre la base de los hechos y circunstancias que existan en la fecha de transición a las NIIF.
D19C Para un pasivo financiero que se designe como un pasivo financiero a valor razonable con cambios en resultados, una entidad determinará si el tratamiento del párrafo 5.7.7 de la NIIF 9 crearía una asimetría contable en el resultado del periodo sobre la base de los hechos y circunstancias que existan en la fecha de transición a las NIIF.
Medición al valor razonable de activos financieros o pasivos financieros en el reconocimiento inicial.
D20 Sin perjuicio de los requerimientos de los párrafos 7 y 9, una entidad podrá aplicar los requerimientos del párrafo B5.1.2A(b) de la NIIF 9 de forma prospectiva a transacciones realizadas a partir de la fecha de transición a las NIIF.
Pasivos por desmantelamiento incluidos en el costo de propiedades, planta y equipo
D21 La CINIIF 1 Cambios en Pasivos Existentes por Desmantelamiento, Restauración y Similares requiere que los cambios específicos por desmantelamiento, restauración o un pasivo similar, se añadan o se deduzcan del costo del activo correspondiente; el importe depreciable ajustado del activo será, a partir de ese momento, depreciado de forma prospectiva a lo largo de su vida útil restante. Una entidad que adopta por primera vez las NIIF no estará obligada a cumplir estos requerimientos por los cambios en estos pasivos que hayan ocurrido antes de la fecha de transición a las NIIF. SI una entidad que adopta por primera vez las NIIF hace uso de esta exención:
(a) medirá el pasivo en la fecha de transición a las NIIF de acuerdo con la NIC 37;
(b) en la medida en que el pasivo esté dentro del alcance de la CINIIF 1, estimará el importe que habría sido incluido en el costo del activo correspondiente cuando surgió el pasivo por primera vez, mediante el descuento del pasivo a esa fecha utilizando su mejor estimación de la tasa de descuento histórico, ajustada por el riesgo, que habría sido aplicado para ese pasivo a lo largo del periodo correspondiente; y
(c) calculará la depreciación acumulada sobre ese importe, hasta la fecha de transición a las NIIF, sobre la base de la estimación actual de la vida útil del activo, utilizando la política de depreciación adoptada por la entidad conforme a las NIIF.
D21A Una entidad que utiliza la exención del párrafo D8A(b) (para activos de petróleo y gas en las fases de desarrollo o producción contabilizados en centros de costo que incluyen todas las propiedades en una gran área geográfica conforme a PCGA anteriores), en lugar de aplicar el párrafo D21 o la CINIIF 1:
(a) medirá los pasivos por retiro de servicio, restauración y similares a la fecha de transición a las NIIF de acuerdo con la NIC 37; y
(b) reconocerá directamente en ganancias acumuladas cualquier diferencia entre ese importe y el importe en libros de los pasivos en la fecha de transición a las NIIF determinados conforme a los PCGA anteriores de la entidad.
Activos financieros o activos intangibles contabilizados de acuerdo con la CINIIF 12
D22 Una entidad que adopta por primera vez las NIIF podrá aplicar las disposiciones transitorias de la CINIIF 12.
Costos por préstamos
D23 Una entidad que adopta por primera vez las NIIF puede optar por aplicar los requerimientos de la NIC 23 desde la fecha de transición o desde una fecha anterior, tal como lo permite el párrafo 28 de la NIC 23. A partir de la fecha en la que una entidad que aplica esta exención comience a aplicar la NIC 23, dicha entidad:
(a) no reexpresará el componente de costo por préstamos que estaba capitalizado según PCGA anteriores y que estaba incluido en el importe en libros de los activos en esa fecha; y
(b) contabilizará los costos por préstamos incurridos a partir de esa fecha de acuerdo con la NIC 23, incluyendo los costos por préstamos incurridos a partir de esa fecha por activos aptos que estén en construcción en ese momento.
D24 [Eliminado]
Cancelación de pasivos financieros con instrumentos de patrimonio
D25 Una entidad que adopte por primera vez las NIIF podrá aplicar las disposiciones transitorias de la CINIIF 19 Cancelación de Pasivos Financieros con Instrumentos de Patrimonio.
Hiperinflación grave
D26 Si una entidad tiene una moneda funcional que fue, o es, la moneda de una economía hiperinflacionaria, determinará si estuvo sujeta a una hiperinflación grave antes de la fecha de transición a las NIIF, Esto se aplicará a entidades que están adoptando las NIIF por primera vez, asi como a entidades que hayan aplicado las NIIF con anterioridad.
D27 La moneda de una economía hiperinflacionaria está sujeta a una hiperinflación grave si tiene las dos características siguientes:
(a) No tiene disponible un índice general de precios fiable para todas las entidades con transacciones y saldos en la moneda.
(b) No existe intercambiabilidad entre la moneda y una moneda extranjera relativamente estable.
D28 La moneda funcional de una entidad deja de estar sujeta a hiperinflación grave en la fecha de normalización de la moneda funcional Esa es la fecha en que la moneda funcional deja de tener una o ambas características del párrafo D27, o cuando se produce un cambio en la moneda funcional de la entidad a una moneda que no está sujeta a hiperinflación grave.
D29 Cuando la fecha de transición de una entidad a las NIIF sea a partir de la fecha de normalización de la moneda funcional, la entidad puede optar por medir todos los activos y pasivos mantenidos antes de la fecha de normalización de la moneda funcional al valor razonable en la fecha de transición a las NIIF, La entidad puede utilizar ese valor razonable como el costo atribuido de esos activos y pasivos en el estado de situación financiera de apertura conforme a las NIIF.
D30 Cuando la fecha de normalización de la moneda funcional quede dentro de los 12 meses de un periodo comparativo, éste puede ser menor que 12 meses, siempre que se proporcione un conjunto completo de estados financieros (tal como requiere el párrafo 10 de la NIC 1) para ese periodo más corto.
Acuerdos conjuntos
D31 Una entidad que adopta por primera vez las NIIF podrá aplicar las disposiciones transitorias de la NIIF 11 con las siguientes excepciones:
(a) Cuando aplique las disposiciones transitorias de la NIIF 11, una entidad que adopta por primera vez las NIIF aplicará estas disposiciones en la fecha de transición a las NIIF.
(b) Cuando una entidad que adopta por primera vez las NIIF cambie de la consolidación proporcional al método de la participación, comprobará el deterioro de valor de la inversión de acuerdo con la NIC 36 como en la fecha de transición a las NIIF, independientemente de que exista cualquier indicación de que la inversión pueda tener deteriorado su valor. Cualquier deterioro de valor resultante se reconocerá como un ajuste a las ganancias acumuladas en la fecha de transición a las NIIF.
Costos de desmonte en la fase de producción de una mina a cielo abierto
D32 Una entidad que adopta por primera vez las NIIF puede aplicar las disposiciones transitorias establecidas en los párrafos A1 a A4 de la CINIIF 20 Costos de Desmonte en la Fase de Producción de una Mina a Cielo Abierto. En ese párrafo, la referencia a la fecha de vigencia se interpretará como el 1 de enero de 2013 o el comienzo del primer periodo sobre el que se informa conforme a las NIIF, la que sea posterior.
Designación de contratos para comprar o vender una partida no financiera
D33 La NIIF 9 permite que algunos contratos para comprar o vender partidas no financieras se designen al comienzo como medidos al valor razonable con cambios en resultados (véase el párrafo 2.5 de la NIIF 9). A pesar de este requerimiento, se permite que una entidad designe, en la fecha de transición a las NIIF, contratos que ya existen en esa fecha como medidos al valor razonable con cambios en resultados, pero solo si cumplen los requerimientos del párrafo 2.5 de la NIIF 9 en esa fecha y la entidad designa todos los contratos similares.
Ingresos de actividades ordinarias
D34 Una entidad que adopta por primera vez las NIIF podrá aplicar las disposiciones de transición del párrafo C5 de la NIIF 15. En dichos párrafos las referencias a la “fecha de aplicación inicial” se interpretarán como el comienzo del primer período de presentación conforme a las NIIF. Si una entidad que adopta por primera vez las NIIF decide aplicar esas disposiciones de transición, aplicará también el párrafo C6 de la NIIF 15.
D35 No se requiere que una entidad que adopta por primera vez las NIIF reexprese los contratos que estuvieran completados antes del primer periodo presentado, Un contrato completo es un contrato para el cual la entidad ha transferido todos los bienes o servicios identificados de acuerdo con PCGA anteriores.
Transacciones en moneda extranjera y contraprestaciones anticipadas
D36 Una entidad que adopta por primera vez las NIIF no necesita aplicar la CINIIF 22 Transacciones en Moneda Extranjera y Contraprestaciones Anticipadas a activos, gastos e ingresos de actividades ordinarias que queden dentro del alcance de esa interpretación inicialmente reconocidos antes de la fecha de transición a las Normas NIIF.
Apéndice E Exenciones a corto plazo de las NIIF
Este Apéndice forma parte integrante de la NIIF.
Exención del requerimiento de reexpresar información comparativa para la NIIF 9
E1 Si el primer periodo de presentación conforme a las NIIF de una entidad comienza antes del 1 de enero de 2019 y la entidad aplica la versión completada de la NIIF 9 (emitida en 2014), la información comparativa en los primeros estados financieros conforme a las NIIF de la entidad no necesita cumplir con la NIIF 7 Instrumentos Financieros: Información a Revelar o la versión completada de la NIIF 9 (emitida en 2014), en la medida en que la información a revelar requerida por la NIIF 7 se relacione con partidas dentro del alcance de la NIIF 9. Para estas entidades, las referencias a la "fecha de transición a las NIIF” significará, en el caso de la NIIF 7 y NIIF 9 (2014) solo, el comienzo del primer periodo de presentación conforme a las NIIF.
E2 Una entidad que elija presentar Información comparativa que no cumpla con la NIIF 7 y la versión completada de la NIIF 9 (emitida en 2014) en su primer año de transición:
(a) Aplicará los requerimientos de sus PCGA anteriores en lugar de los requerimientos de la NIIF 9 y a la información comparativa sobre partidas que estén dentro del alcance de la NIIF 9.
(b) Revelará este hecho junto con la base utilizada para preparar esta información.
(c) Tratará cualquier ajuste entre el estado de situación financiera en la fecha de presentación del periodo comparativo (es decir, el estado de situación financiera que incluye información comparativa según PCGA anteriores) y el estado de situación financiera al comienzo del primer periodo de presentación conforme a las NIIF [es decir el primer periodo que incluye información que cumple con la NIIF 7 y la versión completada de la NIIF 9 (emitida en 2014)] como que surge de un cambio en una política contable y proporcionará la información a revelar requerida por los párrafos 28(a) a 28(e) y 28(f)(i) de la NIC 8. El párrafo 28(f)(i) aplicará solo a los importes presentados en el estado de situación financiera en la fecha de presentación del periodo comparativo.
(d) Aplicará el párrafo 17(c) de la NIC 1 para proporcionar información a revelar adicional cuando el cumplimiento con los requerimientos específicos de las NIIF resulte insuficiente para permitir a los usuarios comprender el Impacto de transacciones concretas, asi como de otros sucesos y condiciones, sobre la situación y el rendimiento financieros de la entidad.
E3 a E7 [Eliminado]
La Incertidumbre frente a los tratamientos del impuesto a las ganancias
E8 Una entidad que adopta por primera vez las NIIF cuya fecha de transición a las NIIF es antes del 1 de julio de 2017 puede optar por no reflejar la aplicación de la CINIIF 23 La Incertidumbre frente a los Tratamientos del Impuesto a las Ganancias en la información comparativa de sus primeros estados financieros conforme a las NIIF. Una entidad que realiza esa elección reconocerá el efecto acumulado de la aplicación de la CINIIF 23 como un ajuste al saldo de apertura de las ganancias acumuladas (u otro componente de patrimonio según proceda) al comienzo de su primer periodo sobre el que se informa conforme a las NIIF.
NIIF 7 INSTRUMENTOS FINANCIEROS: INFORMACIÓN A REVELAR
Objetivo
1 El objetivo de esta NIIF es requerir a las entidades que, en sus estados financieros, revelen información que permita a los usuarios evaluar:
(a) la relevancia de los instrumentos financieros en la situación financiera y en el rendimiento de la entidad; y
(b) la naturaleza y alcance de los riesgos procedentes de los instrumentos financieros a los que la entidad se haya expuesto durante el periodo y lo esté al final del periodo sobre el que se informa, así como la forma de gestionar dichos riesgos.
2 Los principios contenidos en esta NIIF complementan a los de reconocimiento, medición y presentación de los activos financieros y los pasivos financieros de la NIC 32 Instrumentos Financieros: Presentación y de la NIIF 9 Instrumentos Financieros.
Alcance
3 Esta NIIF deberá aplicarse por todas las entidades, a todo tipo de instrumentos financieros, excepto a:
(a) aquellas participaciones en subsidiarias, asociadas o negocios conjuntos, que se contabilicen de acuerdo con las NIIF 10 Estados Financieros Consolidados, NIC 27 Estados Financieros Separados o NIC 28 Inversiones en Asociadas y Negocios Conjuntos. No obstante, en algunos casos la NIIF 10, la NIC 27 o la NIC 28 requieren o permiten que una entidad contabilice las participaciones en una subsidiaria, asociada o negocio conjunto aplicando la NIIF 9; en esos casos, las entidades aplicarán los requerimientos de esta NIIF y, para aquellas medidas a valor razonable, los requerimientos de la NIIF 13 Medición del Valor Razonable. Las entidades aplicarán también está NIIF a todos los derivados vinculados a las participaciones en subsidiarias, asociadas o negocios conjuntos, a menos que el derivado cumpla la definición de un instrumento de patrimonio de la NIC 32.
(b) los derechos y obligaciones de los empleadores surgidos por los planes de beneficios a los empleados a los que se les aplique la NIC 19 Beneficios a los Empleados.
(c) [eliminado]
(d) los contratos de seguro, según se definen en la NIIF 4 Contratos de Seguro. No obstante, esta NIIF se aplicará a los derivados implícitos en contratos de seguro, siempre que la NIIF 9 requiera que la entidad los contabilice por separado. Además, un emisor aplicará esta NIIF a los contratos de garantía financiera si aplica la NIIF 9 en el reconocimiento y medición de esos contratos, pero aplicará la NIIF 4 si decidiese, de acuerdo con el apartado (d) del párrafo 4 de la NIIF 4, aplicar dicha NIIF 4 para su reconocimiento y medición.
(e) Los instrumentos financieros, contratos y obligaciones que surjan de transacciones con pagos basados en acciones a los que se aplique la NIIF 2 Pagos Basados en Acciones, excepto que esta NIIF se aplique a contratos dentro del alcance de la NIIF 9.
(f) Instrumentos que requieran ser clasificados como Instrumentos de patrimonio de acuerdo con los párrafos 16A y 16B o los párrafos 16C y 16D de la NIC 32.
4 Esta NIIF se aplicará tanto a los instrumentos financieros que se reconozcan contablemente como a los que no se reconozcan. Los instrumentos financieros reconocidos comprenden activos financieros y pasivos financieros que estén dentro del alcance de la NIIF 9. Los instrumentos financieros no reconocidos comprenden algunos instrumentos financieros que, aunque están fuera del alcance de la NIIF 9, entran dentro del alcance de esta NIIF.
5 Esta NIIF se aplicará a los contratos de compra o venta de una partida no financiera que esté dentro del alcance de la NIIF 9.
5A Los requerimientos de Información a revelar sobre riesgo crediticio de los párrafos 35A a 35N se aplicarán a los derechos que la NIIF 15 ingresos de Actividades Ordinarias Procedentes de Contratos con Clientes especifica que se contabilicen de acuerdo con la NIIF 9, a efectos del reconocimiento de las ganancias o pérdidas por deterioro de valor. Las referencias en estos párrafos a activos financieros o pasivos financieros incluirán esos derechos a menos que se especifique otra cosa.
Clases de instrumentos financieros y nivel de información
6 Cuando esta NIIF requiera que la información se suministre por clases de instrumentos financieros, una entidad los agrupará en clases que sean apropiadas según la naturaleza de la información a revelar y que tengan en cuenta las características de dichos instrumentos financieros. Una entidad suministrará información suficiente para permitir la conciliación con las partidas presentadas en las partidas del estado de situación financiera.
Relevancia de los instrumentos financieros en la situación financiera y el rendimiento.
7 Una entidad revelará información que permita a los usuarios de sus estados financieros evaluar la significatividad de los instrumentos financieros en su situación financiera y en su rendimiento.
Estado de situación financiera
Categorías de activos financieros y pasivos financieros
8 Se revelarán, ya sea en el estado de situación financiera o en las notas, los importes en libros de cada una de las siguientes categorías definidas en la NIIF 9:
(a) Activos financieros medidos a valor razonable con cambios en resultados, mostrando por separado (i) los designados como tales en el momento del reconocimiento inicial o posteriormente de acuerdo con el párrafo 6.7.1 de la NIIF 9, y (ii) los medidos como tales de acuerdo con la elección del párrafo 3.3.5 de la NIIF 9; (iii) los medidos como tales de acuerdo con la elección del párrafo 33A de la NIC 32 y (iv) los medidos obligatoriamente a valor razonable con cambios en resultados de acuerdo con la NIIF 9.
(b) a (d) [eliminado]
(e) Pasivos financieros medidos al valor razonable con cambios en resultados, mostrando por separado; (i) los designados como tales en el momento de su reconocimiento inicial o posteriormente de acuerdo con el párrafo 6.7.1 de la NIIF 9, y (ii) los que cumplan la definición de mantenido para negociar de la NIIF 9.
(f) Activos financieros medidos al costo amortizado.
(g) Pasivos financieros medidos al costo amortizado.
(h) Activos financieros medidos a valor razonable con cambios en otro resultado integral, mostrando por separado (i) los activos financieros que se miden a valor razonable con cambios en otro resultado integral de acuerdo con el párrafo 4.1.2A de la NIIF 9; e (ii) inversiones en instrumentos de patrimonio designados como tales en el momento del reconocimiento inicial de acuerdo con el párrafo 5.7.5 de la NIIF 9.
Activos financieros o pasivos financieros al valor razonable con cambios en resultados
9 Si la entidad ha designado un activo financiero (o grupo de activos financieros) como medido al valor razonable con cambios en resultados que en otro caso se mediría a valor razonable con cambios en otro resultado integral o al costo amortizado, revelará:
(a) El máximo nivel de exposición al riesgo de crédito [véase el apartado (a) del párrafo 36] del activo financiero (o del grupo de activos financieros) al final del periodo de presentación.
(b) El importe por el que se mitiga dicho máximo nivel de exposición al riesgo crediticio mediante el uso de derivados de crédito o instrumentos similares [véase el párrafo 36(b)].
(c) El importe de la variación, durante el período y la acumulada, del valor razonable del activo financiero (o del grupo de activos financieros) que sea atribuible a las variaciones en el riesgo de crédito del activo financiero, determinado como:
(i) el importe de la variación del valor razonable que no sea atribuible a cambios en las condiciones de mercado que dan lugar a riesgo de mercado', o
(ii) el importe que resulte de la aplicación de un método alternativo, si la entidad cree que de esta forma representa más fielmente la variación del valor razonable que sea atribuible a cambios en el riesgo de crédito del activo.
Los cambios en las condiciones de mercado que ocasionan riesgo de mercado incluyen las variaciones en una tasa de interés (de referencia) observada, en el precio de una materia prima cotizada, en una tasa de cambio de moneda extranjera o en un Índice de precios o tasas.
(d) El importe de la variación del valor razonable de cualesquiera derivados de crédito o instrumentos similares vinculados, durante el período y la acumulada desde que el activo financiero se hubiera designado.
10 Si la entidad ha designado un pasivo financiero como a valor razonable con cambios en resultados de acuerdo con el párrafo 4.2.2 de la NIIF 9 y se requiere que presente los efectos de cambios en ese riesgo de crédito del pasivo en otro resultado integral (véase el párrafo 5.7.7 de la NIIF 9), revelará:
(a) El importe del cambio, de forma acumulada, en el valor razonable del pasivo financiero que es atribuible a cambios en el riesgo de crédito de ese pasivo (véase los párrafos B5.7.13 a B5.7.20 de la NIIF 9 donde encontrar guías para determinar los efectos de cambios en el riesgo de crédito del pasivo).
(b) La diferencia entre el importe en libros del pasivo financiero y el importe que la entidad estaría obligada contractualmente a pagar al tenedor de la obligación, en el momento del vencimiento.
(c) Cualquier transferencia de ganancias o pérdidas acumuladas dentro de patrimonio durante el periodo incluyendo la razón para estas transferencias.
(d) Si un pasivo se da de baja en cuentas durante el periodo, el importe (si lo hubiera) presentado en otro resultado integral que se produjo en el momento de la baja en cuentas.
10A Si una entidad ha designado un pasivo financiero como a valor razonable con cambios en resultados de acuerdo con el párrafo 4.2.2 de la NIIF 9 y se requiere que presente todos los cambios en el valor razonable de ese pasivo (incluyendo los efectos de cambios en el riesgo de crédito del pasivo) en el resultado del periodo (véase los párrafos 5.7.7 y 5.7.8 de la NIIF 9), revelará:
(a) el Importe del cambio, durante el periodo y de forma acumulada, en el valor razonable del pasivo financiero que es atribuible a cambios en el riesgo crediticio de ese pasivo (véase los párrafos B5.7.13 a B5.7.20 de la NIIF 9 donde encontrar guías para determinar los efectos de cambios en el riesgo crediticio de pasivo); y
(b) La diferencia entre el importe en libros del pasivo financiero y el importe que la entidad estarla obligada contractualmente a pagar al tenedor de la obligación, en el momento del vencimiento.
11 La entidad revelará también:
(a) Una descripción detallada de los métodos utilizados para cumplir con los requerimientos de los párrafos 9(c), 10(a) y 10A(a) y el párrafo 5.7.7(a) de la NIIF 9, incluyendo una explicación de la razón por la que el método es apropiado.
(b) Si la entidad creyese que la información a revelar facilitada en el estado de situación financiera o en las notas para cumplir con los requerimientos en los párrafos 9(c), 10(a) o 10A(a) o el párrafo 5.7.7(a) de la NIIF 9 no representa fielmente la variación del valor razonable del activo financiero o del pasivo financiero que sea atribuible a cambios en su riesgo de crédito, las razones por las que ha llegado a esta conclusión y los factores que cree que son relevantes.
(c) Una descripción detallada de la metodología o metodologías utilizadas para determinar si presentar los efectos de cambios en un riesgo de crédito de pasivo en otro resultado integral crearía o aumentarla una asimetría contable en el resultado del periodo (véanse los párrafos 5.7.7 y 5.7.8 de la NIIF 9). Si se requiere que una entidad presente los efectos de cambios en un riesgo de crédito de pasivo en el resultado del periodo (véase el párrafo 5.7.8 de la NIIF 9), la información a revelar debe Incluir una descripción detallada de la relación económica descrita en el párrafo B5.7.6 de la NIIF 9.
Las inversiones en instrumentos de patrimonio designadas como a valor razonable con cambios en otro resultado integral
11A Si una entidad ha designado inversiones en instrumentos de patrimonio a medir a valor razonable con cambios en otro resultado integral, conforme permite el párrafo 5.7.5 de la NIIF 9, revelará:
(a) Qué inversiones en instrumentos de patrimonio se han designado para que se midan a valor razonable con cambios en otro resultado integral.
(b) Las razones para utilizar esta presentación alternativa.
(c) El valor razonable de cada una de estas inversiones al final del periodo de presentación.
(d) Los dividendos reconocidos durante el periodo, mostrando por separado los relacionados con inversiones dadas de baja en cuentas durante el periodo de presentación y las relacionadas con inversiones mantenidas al final del periodo de presentación.
(e) Cualquier transferencia de ganancias o pérdidas acumuladas dentro de patrimonio durante el periodo incluyendo la razón para estas transferencias.
11B Si una entidad da de baja en cuentas inversiones en instrumentos de patrimonio medidos a valor razonable con cambios en otro resultado integral durante el periodo de presentación, revelará:
(a) Las razones para disponer de las inversiones.
(b) El valor razonable de la inversión en la fecha de baja en cuentas.
(c) La ganancia o pérdida acumulada en el momento de la disposición.
Reclasificación
12 a 12A[Eliminado]
12B Una entidad revelará si, en los periodos sobre los que se informa actual o anteriores, se ha reclasificado cualquier activo financiero de acuerdo con el párrafo 4.4.1 de la NIIF 9. Para cada uno de estos sucesos, una entidad revelará:
(a) La fecha de reclasificación.
(b) Una explicación detallada del cambio en el modelo de negocio y una descripción cualitativa de su efecto sobre los estados financieros de la entidad.
(c) El importe reclasificado a cada una de esas categorías o fuera de éstas.
12C Para cada periodo de presentación siguiente a la reclasificación hasta la baja en cuentas, una entidad revelará los activos reclasificados desde la categoría de valor razonable con cambios en resultados, de forma que se midan al costo amortizado o a valor razonable con cambios en otro resultado integral de acuerdo con el párrafo 4.4.1 de la NIIF 9:
(a) la tasa de interés efectiva determinada en la fecha de la reclasificación; y
(b) los Ingresos por intereses reconocidos.
12D Si, desde su última fecha de presentación, una entidad ha reclasificado activos financieros desde la categoría de valor razonable con cambios en otro resultado integral, de forma que se miden al costo amortizado, o desde la categoría de valor razonable con cambios en resultados, de forma que se miden al costo amortizado o a valor razonable con cambios en otro resultado Integral, revelará:
(a) el valor razonable de los activos financieros al final del periodo de presentación; y
(b) la ganancia o pérdida del valor razonable que tendría que haber sido reconocida en el resultado del periodo o en otro resultado Integral durante el periodo de presentación si los activos financieros no se hubieran reclasificado.
13 [Eliminado]
Compensación de activos financieros y pasivos financieros
13A La información a revelar de los párrafos 13B a 13E amplía los otros requerimientos de información a revelar de esta NIIF y se requiere para todos los instrumentos financieros reconocidos que se compensan de acuerdo con el párrafo 42 de la NIC 32. Esta Información a revelar también se aplica a los instrumentos financieros reconocidos que están sujetos a un acuerdo maestro de compensación exigible o acuerdo similar, independientemente de si se compensan de acuerdo con el párrafo 42 de la NIC 32.
13B Una entidad revelará información para permitir a los usuarios de sus estados financieros evaluar el efecto o efecto potencial de los acuerdos de compensación sobre la situación financiera de la entidad. Esto incluye el efecto o efecto potencial de los derechos de compensación asociados con los activos financieros reconocidos y pasivos financieros reconocidos de la entidad que quedan dentro del alcance del párrafo 13A.
13C Para cumplir el objetivo del párrafo 13B, una entidad revelará, al final del periodo sobre el que se informa, la siguiente información cuantitativa de forma separada para los activos financieros reconocidos y pasivos financieros reconocidos que quedan dentro del alcance del párrafo 13A:
(a) los importes brutos de los activos financieros reconocidos y pasivos financieros reconocidos;
(b) los importes que están compensados de acuerdo con los criterios del párrafo 42 de la NIC 32, cuando determinen los importes netos presentados en el estado de situación financiera;
(c) los importes netos presentados en el estado de situación financiera;
(d) los importes sujetos a un acuerdo maestro de compensación exigible o acuerdo similar que no están incluidos de otra forma en el párrafo 13C (b), incluyendo:
(i) los importes relativos a instrumentos financieros reconocidos que no cumplen alguno o todos los criterios de compensación del párrafo 42 de la NIC 32; y
(ii) los importes relativos a garantías financieras (incluyendo garantías colaterales de efectivo); y
(e) el importe neto después de deducir los importes de (d) de los importes de (c) anteriores.
La información requerida por este párrafo se presentará en formato de tabla, de forma separada para los activos financieros y pasivos financieros, a menos que sea más apropiado otro formato.
13D El importe total revelado de acuerdo con el párrafo 13C (d) para un instrumento se limitará al importe del párrafo 13C (c) para ese instrumento.
13E Una entidad incluirá una descripción en la información a revelar de los derechos de compensación asociados con los activos financieros reconocidos y pasivos financieros reconocidos de la entidad sujetos a acuerdos maestros de compensación exigidles y acuerdos similares que se revelan de acuerdo con el párrafo 13C (d), incluyendo la naturaleza de esos derechos.
13F Si la Información requerida por los párrafos 13B a 13E se revela en más de una nota a los estados financieros, una entidad hará referencias cruzadas entre esas notas.
Garantía colateral
14 Una entidad revelará:
(a) el importe en libros de los activos financieros pignorados como garantía colateral de pasivos o pasivos contingentes, incluyendo los importes que hayan sido reclasificados de acuerdo con el párrafo 3.2.23(a) de la NIIF 9; y
(b) los plazos y condiciones relacionados con su pignoración.
15 Cuando una entidad haya recibido una garantía colateral (consistente en activos financieros o no financieros) y esté autorizada a venderla o a pignorarla sin que se haya producido un incumplimiento por parte del propietario de la garantía, revelará:
(a) el valor razonable de la garantía colateral poseída;
(b) el valor razonable de la garantía colateral vendida o nuevamente pignorada, y si la entidad tiene alguna obligación de devolverla; y
(c) los plazos y condiciones asociadas a la utilización de la garantía colateral.
Cuenta correctora para pérdidas crediticias
16 [Eliminado]
16A El importe en libros de los activos financieros medidos a valor razonable con cambios en otro resultado integral de acuerdo con el párrafo 4.1.2A de la NIIF 9 no se reduce por una corrección de valor por pérdidas y una entidad no presentará la corrección de valor por pérdidas de forma separada en el estado de situación financiera como una reducción del importe en libros del activo financiero. Sin embargo, una entidad revelará la corrección de valor por pérdidas en las notas a los estados financieros.
Instrumentos financieros compuestos con múltiples derivados implícitos
17 Cuando una entidad haya emitido un instrumento que contiene un componente de pasivo y otro de patrimonio (véase el párrafo 28 de la NIC 32), y el instrumento incorpore varios derivados implícitos cuyos valores fueran interdependientes (como es el caso de un instrumento de deuda convertible con una opción de rescate), informará la existencia de esas características.
Incumplimientos y otras infracciones
18 Para los préstamos por pagar reconocidos al final del periodo sobre el que se informa, una entidad revelará:
(a) detalles de los incumplimientos durante el período que se refieran al principal, a los intereses, a los fondos de amortización para cancelación de deudas o a las condiciones de rescate relativas a esos préstamos por pagar;
(b) el importe en libros de los préstamos por pagar que estén impagados al final del periodo sobre el que se informa; y
(c) si el incumplimiento ha sido corregido o si se han renegociado las condiciones de los préstamos por pagar antes de la fecha de autorización para emisión de los estados financieros.
19 Si durante el periodo se hubieran producido infracciones de las condiciones del acuerdo de préstamo, distintas de las descritas en el párrafo 18, y que autoricen al prestamista a reclamar el correspondiente pago, una entidad incluirá la misma información requerida en el párrafo 18 (a menos que, al final del periodo sobre el que se informa o antes, las infracciones se hubieran corregido o las condiciones del préstamo se hubieran renegociado).
Estado del resultado integral
Partidas de ingresos, gastos, ganancias o pérdidas
20 Una entidad revelará las siguientes partidas de ingresos, gastos, ganancias o pérdidas, ya sea en el estado del resultado integral o en las notas:
(a) ganancias o pérdidas netas por:
(i) Activos financieros o pasivos financieros medidos al valor razonable con cambios en resultados, mostrando de forma separada las correspondientes a los activos financieros o pasivos financieros designados como tales en el momento del reconocimiento inicial o posteriormente de acuerdo con el párrafo 6.7.1 de la NIIF 9, y las de los activos financieros o pasivos financieros que se hayan medido obligatoriamente al valor razonable con cambios en resultados de acuerdo con la NIIF 9 (por ejemplo pasivos financieros que cumplen la definición de mantenidos para negociar de la NIIF 9). Para activos financieros designados como a valor razonable con cambios en resultados, una entidad mostrará por separado el importe de ganancias o pérdidas reconocidas en otro resultado integral y el importe reconocido en el resultado del periodo.
(ii) a (iv) [eliminado]
(v) Pasivos financieros medidos al costo amortizado.
(vi) Activos financieros medidos al costo amortizado,
(vii) Inversiones en instrumentos de patrimonio designados al valor razonable con cambios en otro resultado integral de acuerdo con el párrafo 5.7.5 de la NIIF 9.
(viii) Activos financieros medidos a valor razonable con cambios en otro resultado integral de acuerdo con el párrafo 4,1.2A de la NIIF 9, mostrando por separado el importe de ganancias o pérdidas reconocido en otro resultado integral durante el periodo y el importe reclasificado en el momento de la baja en cuentas desde otro resultado integral acumulado al resultado del periodo.
(b) Los ingresos por intereses totales y los gastos por intereses totales (calculados utilizando el método del interés efectivo) para activos financieros que se miden al costo amortizado o que se miden a valor razonable con cambios en otro resultado integral, de acuerdo con el párrafo 4.1.2A de la NIIF 9 (mostrando estos importes por separado); o pasivos financieros que no están medidos al valor razonable con cambios en resultados.
(c) Ingresos y gastos por comisiones (distintos de los importes incluidos al determinar la tasa de interés efectiva) que surjan de:
(i) activos financieros y pasivos financieros que no están al valor razonable con cambios en resultados; y
(ii) actividades fiduciarias o de administración que supongan la tenencia o inversión de activos por cuenta de individuos, fideicomisos, planes de prestaciones por retiro u otras instituciones.
(d) [eliminado]
(e) [eliminado]
20A Una entidad revelará un desglose de la ganancia o pérdida reconocida en el estado del resultado integral que surge de la baja en cuentas de activos financieros medidos al costo amortizado, mostrando por separado las ganancias y pérdidas surgidas de la baja en cuentas de dichos activos financieros. Esta información a revelar incluirá las razones para dar de baja en cuentas a esos activos financieros.
Otra información a revelar
Políticas contables
21 De acuerdo con el párrafo 117 de la NIC 1 Presentación de Estados Financieros (revisada en 2007) una entidad revelará información sobre políticas contables materiales o con importancia relativa. La información sobre la base (o bases) de medición de los instrumentos financieros utilizada al preparar los estados financieros se espera que sea información sobre políticas contables material o con importancia relativa.
Contabilidad de coberturas
21A Una entidad aplicará los requerimientos de información a revelar de los párrafos 21B a 24F a las exposiciones de riesgo que una entidad cubra y para las cuales opte por aplicar la contabilidad de coberturas. La información a revelar de la contabilidad de coberturas proporcionará información sobre:
(a) la estrategia de gestión del riesgo de una entidad y la forma en que se aplica para gestionar el riesgo;
(b) la forma en que las actividades de cobertura de la entidad pueden afectar al importe, calendario e incertidumbre de sus flujos de efectivo futuros; y
(c) el efecto que la contabilidad de coberturas ha tenido sobre el estado de situación financiera de la entidad, estado del resultado integral y estado de cambios en el patrimonio.
21B Una entidad presentará la información a revelar requerida en una sola nota o sección separada en sus estados financieros, Sin embargo, una entidad no necesita duplicar información que ya se presenta en otra parte, siempre que la información se incorpore mediante referencias cruzadas de los estados financieros con algún otro estado, como por ejemplo un comentario de la dirección o un informe sobre riesgos, que esté disponible para los usuarios de los estados financieros en las mismas condiciones y al mismo tiempo que éstos. Sin la información incorporada mediante referencias cruzadas, los estados financieros estarán incompletos.
21C Cuando los párrafos 22A a 24F requieran que la entidad separe la información revelada por categoría de riesgo, la entidad determinará cada categoría de riesgo sobre la base de las exposiciones al riesgo que una entidad decida cubrir y para los cuales se aplica la contabilidad de coberturas. Una entidad determinará las categorías de riesgo de forma congruente para toda la información a revelar sobre contabilidad de coberturas.
21D Para cumplir los objetivos del párrafo 21 A, una entidad determinará (excepto por lo especificado a continuación) cuánto detalle revelar, cuánto énfasis dar a los diferentes aspectos de los requerimientos de información a revelar, el nivel apropiado de agregación o desagregación y, si los usuarios de los estados financieros necesitan explicaciones adicionales para evaluar la información cuantitativa revelada. Sin embargo, una entidad usará el mismo nivel de agregación o desagregación que utiliza para revelar los requerimientos de información relacionada con esta NIIF y la NIIF 13 Medición al Valor Razonable.
La estrategia de gestión de riesgos
22 [Eliminado]
22A Una entidad explicará su estrategia de gestión del riesgo para cada categoría de riesgo de exposiciones al riesgo que decide cubrir y para la cual aplica contabilidad de coberturas. Esta explicación debería permitir a los usuarios de los estados financieros evaluar (por ejemplo):
(a) Cómo surge cada riesgo.
(b) Cómo gestiona la entidad cada riesgo; esto incluye si la entidad cubre una partida en su totalidad para todos los riesgos o cubre un componente de riesgo (o componentes) de una partida y por qué.
(c) La amplitud de las exposiciones al riesgo que gestiona la entidad.
22B Para cumplir con los requerimientos del párrafo 22A, la información deberla incluir (pero no se limita a) una descripción de:
(a) los instrumentos de cobertura que se utilizan (y cómo se utilizan) para cubrir las exposiciones al riesgo;
(b) cómo determina la entidad la relación económica entre la partida cubierta y el instrumento de cobertura a efectos de evaluar la eficacia de la cobertura; y
(c) cómo establece la entidad la razón de cobertura y cuáles son los orígenes de la ineficacia de cobertura.
22C Cuando una entidad designa un componente de riesgo específico como una partida cubierta (véase el párrafo 6.3.7 de la NIIF 9) proporcionará, además de la información a revelar requerida por los párrafos 22A y 22B, información cuantitativa y cualitativa sobre:
(a) la forma en que la entidad determinó el componente del riesgo que se designa como la partida cubierta (incluyendo una descripción de la naturaleza de la relación entre el componente de riesgo y la partida en su totalidad); y
(b) la forma en que el componente del riesgo se relaciona con la partida en su totalidad (por ejemplo, el componente de riesgo designado históricamente cubierto en promedio del 80 por ciento de los cambios en el valor razonable de la partida en su totalidad).
El importe, calendario e incertidumbre de flujos de efectivo futuros
23 [Eliminado]
23A A menos que esté eximida por el párrafo 23C, una entidad revelará por categoría de riesgo información cuantitativa para permitir a los usuarios de sus estados financieros evaluar los términos y condiciones de los instrumentos de cobertura y la forma en que afectan al importe, calendario e incertidumbre de flujos de efectivo futuros de la entidad.
23B Para cumplir el requerimiento del párrafo 23A, una entidad proporcionará un desglose que revele:
(a) un perfil del calendario del importe nominal del instrumento de cobertura; y
(b) si procede, el precio o tasa promedio (por ejemplo, precios de ejercicio o a término, etc.) del instrumento de cobertura.
23C En situaciones en las que una entidad revisa con frecuencia (es decir, discontinúa y vuelve a comenzar) relaciones de cobertura porque el instrumento de cobertura y la partida cubierta cambian con frecuencia [es decir, la entidad utiliza un proceso dinámico en el que la exposición y los instrumentos de cobertura utilizados para gestionar esa exposición no se mantienen igual por mucho tiempo–tal como en el ejemplo del párrafo B6.5.24 (b) de la NIIF 9] la entidad:
(a) está exenta de proporcionar la información a revelar requerida por los párrafos 23A y 23B.
(b) revelará:
(i) información sobre cuál es la estrategia de gestión del riesgo final en relación con las relaciones de cobertura;
(ii) una descripción de la forma en que refleja su estrategia de gestión del riesgo mediante el uso de la contabilidad de coberturas y la designación de relaciones de cobertura específicas; y
(iii) una indicación de la frecuencia con que se discontinúan y reinician las relaciones de cobertura como parte del proceso de la entidad en relación con las relaciones de cobertura.
23D Una entidad revelará por categoría de riesgo una descripción de los orígenes de ineficacia de cobertura que se espera que afecten a la relación de cobertura durante su duración.
23E Si emergen otros orígenes de Ineficacia de cobertura en una relación de cobertura, una entidad revelará dichos orígenes por categoría de riesgo y explicarán la Ineficacia de cobertura resultante.
23F Para coberturas de flujos de efectivo, una entidad revelará una descripción de las transacciones previstas para las cuales se ha utilizado la contabilidad de coberturas en el periodo anterior, pero que no se espera que ocurran más.
Los efectos de la contabilidad de coberturas sobre la situación financiera y el rendimiento
24 [Eliminado]
24A Una entidad revelará, en forma de tabla, los importes siguientes relacionados con partidas designadas como instrumentos de cobertura de forma separada por categoría de riesgo para cada tipo de cobertura (cobertura del valor razonable, cobertura de flujos de efectivo o cobertura de una inversión neta en un negocio en el extranjero):
(a) el importe en libros de los instrumentos de cobertura (activos financieros por separado de los pasivos financieros);
(b) la partida en el estado de situación financiera que incluye el instrumento de cobertura;
(c) el cambio en el valor razonable del instrumento de cobertura utilizado como base para reconocer la ineficacia de cobertura para el periodo; y
(d) los importes nominales (incluyendo cantidades tales como toneladas o metros cúbicos) de los instrumentos de cobertura.
24B Una entidad revelará, en forma de tabla, los importes siguientes relacionados con las partidas cubiertas por separado por categoría de riesgo para los tipos de cobertura de la forma siguiente:
(a) para coberturas del valor razonable:
(i) el importe en libros de la partida cubierta reconocida en el estado de situación financiera (presentando los activos por separado de los pasivos);
(ii) el importe acumulado de los ajustes de cobertura del valor razonable sobre la partida cubierta incluido en el importe en libros de la partida cubierta reconocida en el estado de situación financiera (presentando activos por separado de pasivos);
(iii) la partida en el estado de situación financiera que incluye una partida cubierta;
(iv) el cambio en el valor razonable de la partida cubierta utilizada como base para reconocer la ineficacia de cobertura para el periodo; y
(v) el importe acumulado de los ajustes de cobertura del valor razonable que permanecen en el estado de situación financiera para las partidas cubiertas que han dejado de ajustarse por ganancias y pérdidas de cobertura de acuerdo con el párrafo 6.5.10 de la NIIF 9.
(b) para coberturas de flujos de efectivo y coberturas de una inversión neta en un negocio en el extranjero:
(i) el cambio en el valor de la partida cubierta utilizada como la base para reconocer la ineficacia de cobertura para el periodo (es decir, para coberturas de flujos de efectivo, el cambio en el valor utilizado para determinar la ineficacia de cobertura reconocida de acuerdo con el párrafo 6.5.11(c) de la NIIF 9);
(ii) los saldos de la reserva de cobertura de flujos de efectivo y la reserva por conversión de moneda extranjera para coberturas que continúan, que se contabilizan de acuerdo con los párrafos 6.5.11 y 6.5.13(a) de la NIIF 9; y
(iii) los saldos que permanecen en la reserva de cobertura de flujos de efectivo y la reserva de conversión de moneda extranjera de las relaciones de cobertura para las que deja de aplicarse la contabilidad de coberturas.
24C Una entidad revelará, en forma de tabla, los importes siguientes por separado por categoría de riesgo para los tipos de cobertura de la forma siguiente:
(a) para coberturas del valor razonable:
(i) ineficacia de la cobertura–es decir, la diferencia entre la ganancia o pérdida de cobertura sobre el instrumento de cobertura y la partida cubierta– reconocida en el resultado del periodo (u otro resultado integral para coberturas de un instrumento de patrimonio para el cual una entidad ha optado por presentar los cambios en el valor razonable en otro resultado integral de acuerdo con el párrafo 5.7.5 de la NIIF 9); y
(ii) la partida en el estado del resultado integral que incluye la ineficacia de la cobertura reconocida.
(b) para coberturas de flujos de efectivo y coberturas de una inversión neta en un negocio en el extranjero:
(i) las ganancias o pérdidas de cobertura del periodo de presentación que fueron reconocidos en otro resultado integral;
(ii) la Ineficacia de cobertura reconocida en el resultado del periodo;
(iii) la partida en el estado del resultado integral que incluye la ineficacia de cobertura reconocida;
(iv) el importe reclasificado desde la reserva de cobertura de flujos de efectivo o reserva de conversión de moneda extranjera al resultado del periodo como un ajuste por reclasificación (véase la NIC 1) (diferenciando entre los importes para los cuales se ha utilizado con anterioridad la contabilidad de coberturas, pero para los cuales los flujos de efectivo cubiertos dejan de esperarse que ocurran, y los importes que se han transferido porque la partida cubierta ha afectado al resultado del periodo);
(v) la partida en el estado del resultado integral que incluye el ajuste por reclasificación (véase la NIC 1); y
(vi) para coberturas de posiciones netas, las ganancias o pérdidas de cobertura reconocidas en partidas separadas en el estado del resultado integral (véase el párrafo 6.6.4 de la NIIF 9).
24D Cuando el volumen de las relaciones de cobertura a las cuales se aplica la exención del párrafo 23C no sea representativo de los volúmenes normales durante el periodo (es decir, el volumen en la fecha de presentación no refleja los volúmenes durante el periodo) una entidad revelará ese hecho y la razón por la que considera que los volúmenes no son representativos.
24E Una entidad proporcionará una conciliación de cada componente del patrimonio y un desglose de otro resultado integral de acuerdo con la NIC 1 que, tomados juntos:
(a) diferencie, como mínimo, entre los importes relacionados con la Información a revelar del párrafo 24C(b)(i) y (b)(iv), así como los importes contabilizados de acuerdo con el párrafo 6.5.11(d)(i) y (d)(iii) de la NIIF 9;
(b) diferencie entre los importes asociados con el valor temporal de las opciones que cubren partidas cubiertas relacionadas con transacciones y los importes asociados con el valor temporal de las opciones que cubren partidas cubiertas relacionada con un periodo de tiempo, cuando una entidad contabiliza el valor temporal de una opción de acuerdo con el párrafo 6.5.15 de la NIIF 9; y
(b) el progreso de la entidad hacia completar la transición a tasas de referencia alternativas, y cómo la entidad está gestionando esa transición.
24J Para cumplir el objetivo del párrafo 241, una entidad revelará:
(a) cómo está gestionando la entidad la transición a las tasas de referencia alternativas, su progreso en la fecha de presentación y los riesgos a los que se expone que surgen de instrumentos financieros debido a la transición;
(b) de forma desagregada por tasa de interés significativa sujeta a la reforma de la tasa de interés de referencia, información cuantitativa sobre los instrumentos financieros que tienen todavía que hacer la transición a una tasa de referencia alternativa al final del periodo sobre el que se informa, mostrando por separado:
(i) los activos financieros no derivados;
(ii) los pasivos financieros no derivados; y
(iii) derivados; y
(c) si los riesgos identificados en el párrafo 24J(a) han dado lugar a cambios en la estrategia de gestión del riesgo de una entidad (véase el párrafo 22A), una descripción de estos cambios.
Valor razonable
25 Salvo por lo establecido en el párrafo 29, una entidad revelará el valor razonable correspondiente a cada clase de activos financieros y de pasivos financieros (véase el párrafo 6), de una forma que permita la realización de comparaciones con los correspondientes importes en libros.
26 Al revelar los valores razonables, una entidad agrupará los activos financieros y los pasivos financieros en clases, pero sólo los compensará en la medida en que sus importes en libros estén compensados en el estado de situación financiera.
27 a 27B [Eliminado]
28 En algunos casos, una entidad no reconocerá una ganancia o pérdida en el reconocimiento Inicial de un activo financiero o pasivo financiero porque el valor razonable ni se pone de manifiesto mediante un precio cotizado en un mercado activo para un activo o pasivo idéntico (es decir, un dato de entrada de Nivel 1) ni se basa en una técnica de valoración que utiliza solo datos procedentes de mercados observables (véase el párrafo B5.1.2A de la NIIF 9). En estos casos, la entidad revelará por clase de activo financiero o pasivo financiero:
(a) Su política contable para reconocer en el resultado del periodo la diferencia entre el valor razonable en el reconocimiento inicial y el precio de transacción para reflejar las variaciones en los factores (incluyendo el tiempo) que los participantes del mercado tendrían en cuenta al fijar el precio del activo o pasivo (véase el párrafo B5.1.2A (b) de la NIIF 9).
(b) La diferencia acumulada que no haya sido reconocida todavía en el resultado del período al principio y al final del mismo, junto con una conciliación de esa diferencia durante ese período con el saldo.
(c) La razón por la cual la entidad concluyó que el precio de la transacción no era la mejor evidencia del valor razonable, incluyendo una descripción de la evidencia en que se basa el valor razonable.
29 No se requiere información a revelar sobre el valor razonable;
(a) cuando el importe en libros sea una aproximación razonable al valor razonable, por ejemplo para Instrumentos financieros tales como cuentas por pagar o por cobrar a corto plazo;
(b) [eliminado]
(c) para un contrato que contenga un componente de participación discrecional (como se describe en la NIIF 4), si el valor razonable de dicho componente no puede ser determinado de forma fiable; o
(d) para pasivos por arrendamiento.
30 En los casos descritos en el párrafo 29(c), una entidad revelará información que ayude a los usuarios de los estados financieros al hacer sus propios juicios acerca del alcance de las posibles diferencias entre el importe en libros de esos contratos y su valor razonable, Incluyendo:
(a) el hecho de que no se ha revelado información sobre el valor razonable porque éste no puede ser medido de forma fiable;
(b) una descripción de los instrumentos financieros, su importe en libros y una explicación de la razón por la que el valor razonable no puede ser determinado de forma fiable;
(c) información acerca del mercado para los instrumentos;
(d) información sobre si la entidad pretende disponer de esos instrumentos financieros, y cómo piensa hacerlo; y
(e) cuando algunos instrumentos financieros, cuyo valor razonable no hubiera podido ser estimado con fiabilidad previamente, hayan sido dados de baja en cuentas, informará de este hecho junto con su importe en libros en el momento de la baja en cuentas y el importe de la ganancia o pérdida reconocida.
Naturaleza y alcance de los riesgos que surgen de los instrumentos financieros
31 Una entidad revelará información que permita que los usuarios de sus estados financieros evalúen la naturaleza y el alcance de los riesgos que surgen de los instrumentos financieros a los que la entidad esté expuesta al final del periodo sobre el que se informa.
32 Las Informaciones requeridas por los párrafos 33 a 42 se centran en los riesgos procedentes de instrumentos financieros y en la manera en que se los gestiona. Dichos riesgos incluyen por lo general, sin que la enumeración sea taxativa, el riesgo de crédito, el riesgo de liquidez y el riesgo de mercado.
32A La provisión de información cualitativa en el contexto de información a revelar cuantitativa permite a los usuarios vincular revelaciones relacionadas y así formarse una imagen global de la naturaleza y alcance de los riesgos que surgen de los instrumentos financieros. La interacción entre información a revelar cualitativa y cuantitativa contribuirá a revelar información de la forma que mejor permita a los usuarios evaluar la exposición de una entidad a los riesgos.
Información cualitativa
33 Para cada tipo de riesgo que surja de los instrumentos financieros, una entidad revelará:
(a) las exposiciones al riesgo y la forma en que éstas surgen;
(b) sus objetivos, políticas y procesos para la gestión del riesgo, así como los métodos utilizados para medirlo; y
(c) cualesquiera cambios habidos en (a) o (b) desde el período precedente.
Información cuantitativa
34 Para cada tipo de riesgo que surja de los instrumentos financieros, una entidad revelará:
(a) Datos cuantitativos resumidos acerca de su exposición al riesgo al final del periodo sobre el que se informa. Esta información a revelar estará basada en la que se suministre internamente al personal clave de la dirección de la entidad (tal como se define en la NIC 24 Información a Revelar sobre Partes Relacionadas), por ejemplo al consejo de administración de la entidad o a su ejecutivo principal.
(b) La Información a revelar requerida por los párrafos 35A a 42, en la medida en que no haya sido suministrada siguiendo el apartado (a).
(c) Las concentraciones de riesgo, si no resultan aparentes de la información a revelar realizada de acuerdo con los apartados (a) y (b).
35 Si los datos cuantitativos revelados al final del periodo sobre el que se informa fueran poco representativos de la exposición al riesgo de la entidad durante el período, una entidad suministrará información adicional que sea representativa.
Riesgo de crédito
(c) diferencia entre los importes asociados con los elementos a término de los contratos a término y el diferencial de la tasa de cambio de los instrumentos financieros que cubren partidas cubiertas relacionadas con transacciones, y los importes asociados con los elementos a término de contratos a término y los diferenciales de la base de la tasa de cambio de los instrumentos financieros que cubren partidas cubiertas relacionadas con un periodo de tiempo cuando una entidad contabiliza dichos importes de acuerdo con el párrafo 6.5.16 de la NIIF 9.
24F Una entidad revelará la información requerida por el párrafo 24E de forma separada por categoría de riesgo. Esta desagregación por riesgo puede proporcionarse en las notas a los estados financieros
Opción de designar una exposición crediticia como medida al valor razonable con cambios en resultados
24G Si una entidad designó un instrumento financiero, o una proporción de éste, como medido al valor razonable con cambios en resultados porque utiliza un derivado crediticio para gestión el riesgo de crédito de ese instrumento financiero, revelará:
(a) para los derivados crediticios que se han utilizado para gestionar el riesgo de crédito de los instrumentos financieros designados como medidos al valor razonable con cambios en resultados de acuerdo con el párrafo 6.7.1 de la NIIF 9, una conciliación de cada importe nominal y el valor razonable al comienzo y al final del periodo;
(b) la ganancia o pérdida reconocida en el resultado del periodo en el momento de la designación de un instrumento financiero, o una proporción de éste, como medido al valor razonable con cambios en resultados de acuerdo con el párrafo 6.7.1 de la NIIF 9; y
(c) en el momento de la discontinuación de la medición de un instrumento de cobertura, o una proporción de éste, al valor razonable con cambios en resultados, ese valor razonable del instrumento financiero que ha pasado a ser el importe en libros nuevo de acuerdo con el párrafo 6.7.4 de la NIIF 9 y el importe principal o nominal relacionado (excepto para proporcionar información comparativa de acuerdo con la NIC 1, una entidad no necesita continuar revelando esta información en periodos posteriores).
Incertidumbre que surge de la reforma de la tasa de interés de referencia
24H Para las relaciones de cobertura a las que aplica una entidad las excepciones establecidas en los párrafos 6.8.4 a 6.8.12 de la NIIF 9 o los párrafos 102D a 102N de la NIC 39 ésta revelará:
(a) las tasas de interés de referencia significativas a las que están expuestas las relaciones de cobertura de la entidad;
(b) la medida de exposición al riesgo que la entidad gestiona que está directamente afectada por la reforma de la tasa de interés de referencia;
(c) la forma en que está gestionando la entidad el proceso de transición a las tasas de referencia alternativas;
(d) una descripción de los supuestos o juicios o significativos que realizó la entidad al aplicar estos párrafos (por ejemplo, supuestos o juicios sobre cuándo la incertidumbre que surge de la reforma de la tasa de interés de referencia deja de estar presente con respecto al calendario y al importe de los flujos de efectivo basado en la tasa de interés de referencia); y
(e) el importe nominal del instrumento de cobertura en dichas relaciones de cobertura.
Información a revelar adicional relacionada con la reforma de la tasa de interés de referencia
24I Para permitir a los usuarios de los estados financieros comprender el efecto de la reforma de la tasa de interés de referencia sobre los instrumentos financieros de una entidad, así como la estrategia de gestión del riesgo, una entidad revelará información sobre:
(a) la naturaleza y alcance de los riesgos a los que está expuesta la entidad que surgen de los instrumentos financieros sujetos a la reforma de la tasa de interés de referencia, y cómo la entidad gestiona estos riesgos; y
Alcance y objetivos
35A Una entidad aplicará los requerimientos de revelar información de los párrafos 35F a 35N a los instrumentos financieros a los que se apliquen los requerimientos de deterioro de valor de la NIIF 9. Sin embargo:
(a) para cuentas por cobrar comerciales, activos del contrato y cuentas por cobrar de arrendamientos, se aplica el párrafo 35J en aquellos casos en los que se reconocen las pérdidas crediticias esperadas durante el tiempo de vida del activo, de acuerdo con el párrafo 5,5,15 de la NIIF 9, si dichos activos financieros se modifican cuando tienen más de 30 días de mora; y
(b) no se aplica el párrafo 35K (b) a las cuentas por cobrar por arrendamientos.
35B La información revelada sobre riesgo crediticio de acuerdo con los párrafos 35F a 35N permitirá a los usuarios de los estados financieros comprender el efecto del riesgo crediticio sobre el importe, calendario e incertidumbre de los flujos de efectivo futuros. Para lograr este objetivo, la información revelada sobre riesgo crediticio proporcionará:
(a) información sobre las prácticas de gestión del riesgo crediticio de una entidad y cómo se relaciona con el reconocimiento y medición de las pérdidas crediticias esperadas, incluyendo los métodos, supuestos e información utilizados para medir las pérdidas crediticias esperadas;
(b) información cualitativa y cuantitativa que permita a los usuarios de los estados financieros evaluar los importes de los estados financieros que surgen de las pérdidas crediticias esperadas, incluyendo los cambios en el importe de las pérdidas crediticias esperadas y las razones para esos cambios; y
(c) información sobre la exposición al riesgo crediticio (es decir, el riesgo crediticio inherente en los activos financieros de una entidad y compromisos para ampliar el crédito) incluyendo las concentraciones de riesgo crediticio significativas.
35C Una entidad no necesita duplicar información que ya se presente en otra parte, siempre que dicha información se incorpore mediante referencias cruzadas de los estados financieros con otros estados, como por ejemplo un comentario de la dirección o un informe sobre riesgos, que esté disponible para los usuarios de los estados financieros en las mismas condiciones y al mismo tiempo que éstos. Sin la información incorporada mediante referencias cruzadas, los estados financieros estarán incompletos.
35D Para cumplir los objetivos del párrafo 35B, una entidad considerará (excepto cuando se especifique otra cosa) cuánto detalle revelar, cuánto énfasis dar a los diferentes aspectos de los requerimientos de Información a revelar, el nivel apropiado de agregación o desagregación y, si los usuarios de los estados financieros necesitan explicaciones adicionales para evaluar la información cuantitativa revelada.
35E Si la información a revelar proporcionada de acuerdo con los párrafos 35F a 35N, es insuficiente para alcanzar los objetivos del párrafo 35B, una entidad revelará la información adicional necesaria para cumplir con esos objetivos.
Prácticas de gestión del riesgo crediticio
35F Una entidad explicará sus prácticas de gestión del riesgo crediticio y cómo se relacionan con el reconocimiento y medición de las pérdidas crediticias esperadas. Para cumplir este objetivo una entidad revelará información que permita a los usuarios de los estados financieros comprender y evaluar:
(a) la forma en que la entidad determinó si el riesgo crediticio de los instrumentos financieros se ha incrementado de forma significativa desde el reconocimiento inicial, incluyendo, si y cómo:
(i) se considera que los instrumentos financieros tienen un bajo riesgo crediticio, de acuerdo con el párrafo 5.5.10 de la NIIF 9, incluyendo las clases de instrumentos financieros a las que se aplica; y
(ii) la presunción del párrafo 5.5.11 de la NIIF 9, de que ha habido incrementos significativos en el riesgo crediticio desde el reconocimiento inicial cuando los activos financieros tienen más de 30 días de mora, ha sido refutada;
(b) las definiciones de incumplimiento que la entidad utiliza, incluyendo las razones para seleccionar dichas definiciones;
(c) la forma en que se agruparon los instrumentos si las pérdidas crediticias esperadas se midieron sobre una base colectiva;
(d) la forma en que una entidad determina que los activos financieros son activos financieros con deterioro crediticio;
(e) la política de cancelaciones de una entidad, incluyendo los indicadores de que no hay expectativas razonables de recuperación, así como información sobre la política para activos financieros que se cancelan, pero que todavía están sujetos a una actividad de exigencia de cumplimiento; y
(f) la forma en que han sido aplicados los requerimientos del párrafo 5.5.12 de la NIIF 9 para la modificación de los flujos de efectivo contractuales de activos financieros, incluyendo cómo una entidad:
(i) determina si el riesgo crediticio de un activo financiero que ha sido modificado, cuando la corrección de valor por pérdidas se midió por un importe igual a las pérdidas crediticias esperadas durante el tiempo de vida del activo, ha mejorado hasta el punto de que la corrección de valor por pérdidas revierta hasta medirse por un importe igual a pérdidas crediticias esperadas de 12 meses, de acuerdo con el párrafo 5.5.5 de la NIIF 9; y
(ii) controla la medida en que la corrección de valor por pérdidas de activos financieros que cumplen los criterios de (i) es posteriormente medida nuevamente por un Importe igual a las pérdidas crediticias esperadas durante el tiempo de vida del activo, de acuerdo con el párrafo 5.5.3 de la NIIF 9.
35G Una entidad explicará los datos de entrada, supuestos y técnicas de estimación utilizadas para aplicar los requerimientos de la Sección 5.5 de la NIIF 9. Para este propósito, una entidad revelará:
(a) la base de los datos de entrada y supuestos y las técnicas de estimación utilizadas para;
(i) medir las pérdidas crediticias esperadas en los próximos 12 meses y para el resto de su vida;
(ii) determinar si el riesgo crediticio de los instrumentos financieros se ha incrementado de forma significativa desde el reconocimiento inicial; y
(iii) determinar si un activo financiero es un activo financiero con deterioro crediticio.
(b) la forma en que se ha incorporado la información con vistas al futuro para la determinación de las pérdidas crediticias esperadas, incluyendo el uso de información macroeconómica; y
(c) los cambios en las técnicas de estimación o supuestos significativos realizados durante el periodo de presentación y las razones de esos cambios.
Información cuantitativa y cualitativa sobre los importes que surgen de las pérdidas crediticias esperadas
35H Para explicar los cambios en las correcciones de valor por pérdidas y las razones para dichos cambios, una entidad proporcionará, por clase de instrumento financiero, una conciliación entre el saldo inicial y el final de la corrección de valor por pérdidas, en una tabla, mostrando por separado los cambios durante el periodo para:
(a) las correcciones de valor por pérdidas medidas por un importe igual a las pérdidas crediticias esperadas para 12 meses;
(b) las correcciones de valor por pérdidas medidas por un importe igual a las pérdidas crediticias esperadas durante el tiempo de vida del activo para:
(i) instrumentos financieros para los que se ha incrementado el nesgo crediticio de forma significativa desde el reconocimiento inicial pero que no son activos financieros con deterioro crediticio;
(ii) activos financieros que tienen deterioro crediticio en la fecha de presentación (pero que no tienen deterioro crediticio comprado u originado); y
(iii) cuentas por cobrar comerciales, activos del contrato o cuentas por cobrar por arrendamientos para los que las correcciones de valor por pérdidas se miden de acuerdo con el párrafo 5.5.15 de la NIIF 9.
(c) activos financieros que tienen deterioro crediticio comprado u originado. Además de la conciliación, una entidad revelará el importe total de las pérdidas crediticias esperadas sin descontar en el momento del reconocimiento inicial de los activos financieros inicialmente reconocidos durante el periodo de presentación.
35I Para permitir a los usuarios de los estados financieros comprender los cambios en las correcciones de valor por pérdidas reveladas de acuerdo con el párrafo 35H, una entidad proporcionará una explicación de la forma en que los cambios significativos en el importe en libros bruto de los instrumentos financieros durante el periodo contribuyeron a cambios en las correcciones de valor por pérdidas. La información se proporcionará por separado para los instrumentos financieros que representen las correcciones de valor por pérdidas tal como se enumeran en el párrafo 35H(a) a (c) e incluirán información relevante cuantitativa y cualitativa, Ejemplos de cambios en el importe en libros bruto de los instrumentos financieros que contribuyeron a los cambios en las correcciones de valor por pérdidas pueden incluir:
(a) los cambios debidos a instrumentos financieros originados o adquiridos durante el periodo de presentación;
(b) la modificación de flujos de efectivo contractuales de activos financieros que no dan lugar a la baja en cuentas de esos activos financieros de acuerdo con la NIIF 9;
(c) los cambios debidos a instrumentos financieros que fueron dados de baja (incluyendo los que se cancelaron) durante el periodo de presentación; y
(d) los cambios que surgirían de si las correcciones de valor por pérdidas se midieran por un importe igual a las pérdidas crediticias esperadas para 12 meses.
35J Para permitir a los usuarios de los estados financieros comprender la naturaleza y efectos de las modificaciones de los flujos de efectivo contractuales de los activos financieros que no dan lugar a la baja en cuentas y el efecto de estas modificaciones sobre la medición de las pérdidas crediticias esperadas, una entidad revelará:
(a) el costo amortizado antes de la modificación y la ganancia o pérdidas neta de la modificación reconocida para activos financieros para los que se han modificado los flujos de efectivo contractuales durante el periodo de presentación mientras tuvieron una corrección de valor por pérdidas medida por un importe igual a las pérdidas crediticias esperadas durante el tiempo de vida del activo; y
(b) el importe en libros bruto al final del periodo de presentación de los activos financieros que han sido modificado desde el reconocimiento inicial en un momento en el que la corrección de valor por pérdidas se midió por un importe igual a las pérdidas crediticias esperadas durante el tiempo de vida del activo y para los que la corrección de valor por pérdidas ha cambiado durante el periodo de presentación a un importe igual a las pérdidas crediticias esperadas para 12 meses.
35K Para permitir a los usuarios de los estados financieros comprender el efecto de la garantía colateral y otras mejoras crediticias sobre los importes que surgen de las pérdidas crediticias esperadas, una entidad revelará por clase de instrumento financiero;
(a) El importe que mejor represente su máximo nivel de exposición al riesgo crediticio al final del periodo de presentación, sin tener en cuenta ninguna garantía colateral tomada ni otras mejoras crediticias (por ejemplo, acuerdos de liquidación por el neto que no cumplan las condiciones para su compensación de acuerdo con la NIC 32).
(b) Una descripción narrativa de la garantía colateral mantenida como seguro y otras mejoras crediticias, incluyendo;
(i) una descripción de la naturaleza y calidad de la garantía colateral mantenida;
(iI) una explicación de los cambios significativos en la calidad de esa garantía colateral o mejoras crediticias como consecuencia del deterioro o cambios en las políticas de garantías colaterales de la entidad durante el periodo de presentación; y
(iii) información sobre los instrumentos financieros para lo cuáles una entidad no ha reconocido ninguna corrección de valor por pérdidas debido a la garantía colateral.
(C) información cuantitativa sobre la garantía colateral mantenida como seguro y otras mejoras crediticias (por ejemplo, cuantificación de la medida en que la garantía colateral y otras mejoras crediticias mitigan el riesgo crediticio) para activos financieros que tienen deterioro crediticio en la fecha de presentación.
35L Una entidad revelará los importes contractuales pendientes sobre los activos financieros que se cancelaron durante el periodo de presentación y que están todavía sujetos a actividades de exigencia de cumplimiento.
Exposición al riesgo crediticio
35M Para permitir a los usuarios de los estados financieros evaluar la exposición al riesgo crediticio de una entidad y comprender sus concentraciones de riesgo crediticio significativas, una entidad revelará, por grados en la calificación de riesgo crediticio, el importe en libros bruto de los activos financieros y la exposición al riesgo crediticio sobre compromisos de préstamo y contratos de garantía financiera. Esta información se proporcionará de forma separada por instrumentos financieros;
(a) para los que las correcciones de valor por pérdidas se miden por un importe igual a las pérdidas crediticias esperadas para 12 meses;
(b) para los que las correcciones de valor por pérdidas se miden por un importe igual a las pérdidas crediticias esperadas durante el tiempo de vida del activo:
(i) instrumentos financieros para los que se ha incrementado el riesgo crediticio de forma significativa desde el reconocimiento inicial pero que no son activos financieros con deterioro crediticio;
(ii) activos financieros que tienen deterioro crediticio en la fecha de presentación (pero que no tienen deterioro crediticio comprado u originado); y
(iii) cuentas por cobrar comerciales, activos del contrato o cuentas por cobrar por arrendamientos para los que las correcciones de valor por pérdidas se miden de acuerdo con el párrafo 5.5.15 de la NIIF 9.
(c) Que son activos financieros con deterioro de valor crediticio comprados u originados.
35N Para cuentas por cobrar comerciales, activos del contrato y cuentas por cobrar por arrendamientos a los que una entidad aplica el párrafo 5.5.15 de la NIIF 9, la información proporcionada de acuerdo con el párrafo 35IV1 puede basarse en una matriz de provisiones (véase el párrafo B5.5.35 de la NIIF 9),
36 Para todos los instrumentos financieros dentro del alcance de esta NIIF, pero a los que no se aplican los requerimientos de deterioro de valor de la NIIF 9, una entidad revelará por clase de instrumento financiero:
(a) El importe que mejor represente su máximo nivel de exposición al riesgo crediticio al final del periodo de presentación, sin tener en cuenta ninguna garantía colateral tomada ni otras mejoras crediticias (por ejemplo, acuerdos de liquidación por el neto que no cumplan las condiciones para su compensación de acuerdo con la NIC 32); esta información a revelar no se requiere para instrumentos financieros cuyo importe en libros sea la mejor forma de representar la máxima exposición al riesgo crediticio.
(b) La descripción de las garantías colaterales tomadas para asegurar el cobro y de otras mejoras para reducir el riesgo crediticio y sus efectos financieros (por ejemplo una cuantificación de la medida en que las garantías colaterales y otras mejoras que mitiguen el riesgo crediticio) con respecto al importe que mejor represente la exposición máxima al riesgo crediticio (si se revela de acuerdo con (a) o si se representa mediante el importe en libros de un instrumento financiero).
(c) [eliminado]
(d) [eliminado]
37 [Eliminado]
Garantías colaterales y otras mejoras crediticias obtenidas
38 Cuando una entidad obtenga, durante el período, activos financieros o no financieros mediante la toma de posesión de garantías colaterales para asegurar el cobro, o ejecute otras mejoras crediticias (por ejemplo avales), y tales activos cumplan los criterios de reconocimiento contenidos en otras NIIF, una entidad revelará sobre estos activos poseídos en la fecha sobre la que se informa;
(a) la naturaleza e importe en libros de los activos obtenidos; y
(b) cuando los activos no sean fácilmente convertibles en efectivo, sus políticas para disponer de tales activos, o para utilizarlos en sus operaciones.
Riesgo de liquidez
39 Una entidad revelará:
(a) Un análisis de vencimientos para pasivos financieros no derivados (incluyendo contratos de garantía financiera emitidos) que muestre los vencimientos contractuales remanentes.
(b) Un análisis de vencimientos para pasivos financieros derivados. El análisis de vencimientos incluirá los vencimientos contractuales remanentes para aquellos pasivos financieros derivados en los que dichos vencimientos contractuales sean esenciales para comprender el calendario de los flujos de efectivo (véase el párrafo B11B).
(c) Una descripción de cómo gestiona el riesgo de liquidez inherente en (a) y (b).
Riesgo de mercado
Análisis de sensibilidad
40 Salvo que una entidad cumpla lo establecido en el párrafo 41, revelará:
(a) un análisis de sensibilidad para cada tipo de riesgo de mercado al que la entidad esté expuesta al final del periodo sobre el que se informa, mostrando cómo podría verse afectado el resultado del período y el patrimonio debido a cambios en la variable relevante de riesgo, que sean razonablemente posibles en dicha fecha;
(b) los métodos e hipótesis utilizados al elaborar el análisis de sensibilidad; y
(c) los cambios habidos desde el período anterior en los métodos e hipótesis utilizados, así como las razones de tales cambios.
41 Si una entidad elaborase un análisis de sensibilidad, tal como el del valor en riesgo, que reflejase las interdependencias entre las variables de riesgo (por ejemplo, entre las tasas de interés y de cambio) y lo utilizase para gestionar riesgos financieros, podrá utilizar ese análisis de sensibilidad en lugar del especificado en el párrafo 40, La entidad revelará también:
(a) una explicación del método utilizado al elaborar dicho análisis de sensibilidad, así como de los principales parámetros e hipótesis subyacentes en los datos suministrados; y
(b) una explicación del objetivo del método utilizado, así como de las limitaciones que pudieran hacer que la información no reflejase plenamente el valor razonable de los activos y pasivos implicados.
Otra información a revelar sobre el riesgo de mercado
42 Cuando los análisis de sensibilidad, revelados de acuerdo con los párrafos 40 o 41, no fuesen representativos del riesgo Inherente a un instrumento financiero (por ejemplo, porque la exposición al final de año no refleja la exposición mantenida durante el mismo), la entidad revelará este hecho, así como la razón por la que cree que los análisis de sensibilidad carecen de representatividad.
Transferencias de activos financieros
42A Los requerimientos de información a revelar de los párrafos 42B a 42H relativos a transferencias de activos financieros complementan los otros requerimientos a este respecto de esta NIIF. Una entidad presentará la información a revelar requerida en los párrafos 42B a 42H en una nota única en sus estados financieros. Una entidad proporcionará la información a revelar requerida para todos los activos financieros transferidos que no se den de baja en cuentas y para toda implicación continuada en un activo transferido, que exista en la fecha de presentación, independientemente del momento en que tenga lugar la transacción de transferencia relacionada. A efectos de la aplicación de los requerimientos de información a revelar de esos párrafos, una entidad transfiere total o parcialmente un activo financiero (el activo financiero transferido) si y solo si se da, al menos, una de las siguientes condiciones:
(a) transfiere los derechos contractuales a recibir los flujos de efectivo de ese activo financiero; o
(b) retiene los derechos contractuales a recibir los flujos de efectivo de ese activo financiero, pero asume en un acuerdo, una obligación contractual de pagar dichos flujos de efectivo a uno o más receptores.
42B Una entidad revelará información que permita a los usuarios de sus estados financieros:
(a) comprender la relación entre los activos financieros transferidos que no se dan de baja en su totalidad y los pasivos asociados; y
(b) evaluar la naturaleza, y el riesgo asociado, de la implicación continuada de la entidad en los activos financieros dados de baja en cuentas.
42C A efectos de la aplicación de los requerimientos sobre información a revelar de los párrafos 42E a 42H, una entidad tiene implicación continuada en un activo financiero transferido si, como parte de la transferencia, la entidad retiene cualquiera de los derechos contractuales u obligaciones inherentes del activo financiero transferido u obtiene nuevos derechos u obligaciones contractuales relacionados con el activo financiero transferido. A efectos de la aplicación de los requerimientos de información a revelar de los párrafos 42E a 42H, lo siguiente no constituye implicación continuada:
(a) representaciones y garantías normales relacionadas con transferencias fraudulentas y conceptos de razonabilidad, buena fe y tratos justos que podrían invalidar una transferencia como resultado de una acción legal;
(b) contratos a término, opciones y otros contratos para readquirir el activo financiero transferido para los cuales el precio del contrato (o precio de ejercicio) es el valor razonable del activo financiero transferido; o
(c) un acuerdo mediante el cual una entidad retiene los derechos contractuales a recibir los flujos de efectivo de un activo financiero pero asume una obligación contractual de pagar los flujos de efectivo a una o más entidades y se cumplen las condiciones del párrafo 3.2.5(a) a (c) de la NIIF 9.
Activos financieros transferidos que no se dan de baja en cuentas en su totalidad
42D Una entidad puede haber transferido activos financieros de tal forma que los activos financieros transferidos total o parcialmente no cumplen los requisitos para su baja en cuentas. Para cumplir los objetivos establecidos en el párrafo 42B(a), la entidad revelará en cada fecha de presentación para cada clase de activos financieros transferidos que no se dan de baja en su totalidad:
(a) La naturaleza de los activos transferidos.
(b) La naturaleza de los riesgos y ventajas inherentes a la propiedad a los que la entidad está expuesta.
(c) Una descripción de la naturaleza de la relación entre los activos transferidos y los pasivos asociados, incluyendo restricciones que surgen de la transferencia sobre el uso de los activos transferidos de la entidad que informa.
(d) Una lista que establezca el valor razonable de los activos transferidos, el valor razonable de los pasivos asociados y la posición neta (la diferencia entre el valor razonable de los activos transferidos y los pasivos asociados), cuando la contraparte (contrapartes) a los pasivos asociados esté respaldada solo por los activos transferidos.
(e) Los importes en libros de éstos y de los pasivos asociados, cuando la entidad continúa reconociendo la totalidad de los activos transferidos.
(f) El importe en libros total de los activos originales antes de la transferencia, el importe en libros de los activos que la entidad continúa reconociendo, y el importe en libros de los pasivos asociados, cuando la entidad continúa reconociendo los activos en la medida de su implicación continuada (véanse los párrafos 3.2.6(c)(ii) y 3.2.16 de la NIIF 9).
Activos financieros transferidos que se dan de baja en su totalidad
42E Para cumplir con los objetivos establecidos en el párrafo 42B(b), cuando una entidad dé de baja en cuentas los activos financieros transferidos en su totalidad (véase el párrafo 3.2.6(a) y (c)(i) de la NIIF 9) pero tenga Implicación continuada en ellos, la entidad revelará, como mínimo, para cada tipo de implicación continuada en cada de fecha de presentación:
(a) El importe en libros de los activos y pasivos que se reconocen en el estado de situación financiera de la entidad y que representan la implicación continuada de la entidad en los activos financieros dados de baja en cuentas, y las partidas en las que se reconoce el importe en libros de esos activos y pasivos.
(b) El valor razonable de los activos y pasivos que representan la implicación continuada de la entidad en la baja en cuentas de los activos financieros.
(c) El importe que mejor representa la exposición máxima de la entidad a pérdidas procedentes de su implicación continuada en los activos financieros dados de baja en cuentas, e información que muestre la forma en que se ha determinado dicha exposición máxima a pérdidas.
(d) Los flujos de salida de efectivo no descontados que serían o podrían ser requeridos para recomprar los activos financieros dados de baja en cuentas (por ejemplo, el precio de ejercicio en un acuerdo de opciones) u otros importes a pagar al receptor de los activos transferidos con respecto a los mismos. Si el flujo de salida de efectivo es variable, entonces el importe a revelar debe basarse en las condiciones que existan en cada fecha de presentación.
(e) Un desglose de vencimientos de los flujos de salida de efectivo no descontados que serían o podrían ser requeridos para recomprar los activos financieros dados de baja en cuentas u otros importes a pagar al receptor de los activos transferidos con respecto a los mismos, mostrando los vencimientos contractuales restantes de la implicación continuada de la entidad.
(f) Información cualitativa que explique y dé soporte a la información cuantitativa requerida en (a) a(e).
42F Una entidad puede agregar la información requerida por el párrafo 42E con respecto a un activo en particular si ésta tiene más de un tipo de Implicación continuada en ese activo financiero dado de baja en cuentas, e informar sobre el mismo según un tipo de implicación continuada.
42G Además, una entidad revelará para cada tipo de implicación continuada:
(a) La ganancia o pérdida reconocida en la fecha de la transferencia de los activos.
(b) Los ingresos y gastos reconocidos, ambos en el periodo sobre el que se informa y de forma acumulada, procedentes de la implicación continuada de la entidad en los activos financieros dados de baja en cuentas (por ejemplo, cambios en el valor razonable de instrumentos derivados).
(c) Si el importe total de los recursos procedentes de la actividad de transferencia (que cumple los requisitos para la baja en cuentas) en el periodo sobre el que se informa no se distribuye de forma uniforme a lo largo de dicho periodo (por ejemplo si una proporción sustancial del importe total de la actividad de transferencia tiene lugar en los días de cierre de un periodo sobre el que se informa):
(i) cuando la mayor parte de la actividad de transferencia tuvo lugar dentro de ese periodo sobre el que se Informa (por ejemplo los últimos cinco días antes del final del periodo sobre el que se informa),
(ii) el importe (por ejemplo las ganancias o pérdidas relacionadas) reconocido procedente de la actividad de transferencia en esa parte del periodo sobre el que se informa, y
(iii) el importe total de los recursos procedentes de la actividad de transferencia en esa parte del periodo sobre el que se informa.
Una entidad proporcionará esta información para cada periodo para el cual se presente un estado del resultado integral.
Información adicional
42H Una entidad revelará la información adicional que considere necesaria para cumplir con los objetivos de información a revelar del párrafo 42B.
Aplicación inicial de la NIIF 9
42I En el periodo de presentación que incluya la fecha de aplicación Inicial de la NIIF 9, la entidad revelará la siguiente información para cada clase de activos financieros y pasivos financieros en la fecha de aplicación inicia:
(a) la categoría de medición inicial y el importe en libros determinado de acuerdo con la NIC 39 o de acuerdo con versiones anteriores de la NIIF 9 (si el enfoque elegido por la entidad para aplicar la NIIF 9 involucra más de una fecha de aplicación inicial para los distintos requerimientos);
(b) la nueva categoría de medición y el importe en libros determinado de acuerdo con la NIIF 9;
(c) el importe de los activos financieros y pasivos financieros en el estado de situación financiera que estaban anteriormente designados como medidos al valor razonable con cambios en resultados pero que han dejado de estar designados de esa forma, distinguiendo entre los que la NIIF 9 requiere que una entidad reclasifique y los que una entidad elige reclasificar en la fecha de aplicación inicial.
De acuerdo con el párrafo 7.2.2 de la NIIF 9, dependiendo del enfoque elegido por la entidad para aplicar la NIIF 9, la transición puede involucrar más de una fecha de aplicación inicial. Por ello, este párrafo puede dar lugar a revelar información sobre más de una fecha de aplicación inicial. Una entidad presentará esta información de tipo cuantitativo en forma de tabla, a menos que sea más apropiado otro formato.
42J En el periodo de presentación que incluya la fecha de aplicación inicial de la NIIF 9, una entidad revelará información cualitativa que permita a los usuarios comprender:
(a) Cómo aplicó los requerimientos de clasificación de la NIIF 9 a los activos financieros cuya clasificación ha cambiado como resultado de aplicar la NIIF 9.
(b) Las razones para cualquier designación o eliminación de la designación de activos financieros o pasivos financieros como medidos al valor razonable con cambios en resultados en la fecha de aplicación inicial.
De acuerdo con el párrafo 7.2.2 de la NIIF 9, dependiendo del enfoque elegido por la entidad para aplicar la NIIF 9, la transición puede involucrar más de una fecha de aplicación inicial. Por ello, este párrafo puede dar lugar a revelar información sobre más de una fecha de aplicación inicial.
42K En el periodo de presentación en que una entidad aplique por primera vez los requerimientos de clasificación y medición para activos financieros de la NIIF 9 (es decir, cuando la entidad migre de la NIC 39 a la NIIF 9 para activos financieros) presentará la información establecida en los párrafos 42L a 420 de esta NIIF como requiere el párrafo 7.2.15 de la NIIF 9.
42L Cuando el párrafo 42K lo requiera, una entidad revelará los cambios en las clasificaciones de activos financieros y pasivos financieros en la fecha de aplicación inicial de la NIIF 9, mostrando por separado:
(a) los cambios en los importes en libros sobre la base de sus categorías de medición de acuerdo con la NIC 39 (es decir no procedente de un cambio en el atributo de medición en la transición a la NIIF 9); y
(b) los cambios en los importes en libros que surgen de un cambio en el atributo de medición en la transición a la NIIF 9.
La información a revelar de este párrafo no necesita realizarse después del periodo de presentación anual en el que la entidad aplica inicialmente los requerimientos de clasificación y medición para activos financieros de la NIIF 9.
42M Cuando el párrafo 42K lo requiera, una entidad revelará la siguiente información para activos financieros y pasivos financieros que se hayan reclasificado, de forma que se midan a costo amortizado y, en el caso de activos financieros, que se hayan reclasificado desde el valor razonable con cambios en resultados, de forma que se midan a valor razonable con cambios en otro resultado integral, como consecuencia de la transición a la NIIF 9:
(a) el valor razonable de los activos financieros o pasivos financieros al final del periodo de presentación; y
(b) la ganancia o pérdida del valor razonable que tendría que haber sido reconocida en el resultado del periodo o en otro resultado Integral durante el periodo de presentación si los activos financieros o pasivos financieros no se hubieran reclasificado.
La información a revelar de este párrafo no necesita realizarse después del periodo de presentación anual en el que la entidad aplica inicialmente los requerimientos de clasificación y medición para activos financieros de la NIIF 9,
42N Cuando el párrafo 42K lo requiera, una entidad revelará la información siguiente para activos financieros y pasivos financieros que se hayan reclasificado desde la categoría de valor razonable con cambios en resultado con consecuencia de la transición a la NIIF 9:
(a) la tasa de interés efectiva determinada en la fecha de aplicación inicial; y
(b) los ingresos por intereses o gastos por intereses reconocidos.
Si una entidad trata el valor razonable de un activo financiero o un pasivo financiero como el importe en libros bruto nuevo en la fecha de aplicación inicial (véase el párrafo 7.2.11 de la NIIF 9) la información a revelar de este párrafo se realizará para cada periodo de presentación hasta su baja en cuentas. En otro caso, la información a revelar de este párrafo no necesita realizarse después del periodo de presentación anual en el que la entidad aplica inicialmente los requerimientos de clasificación y medición para activos financieros de la NIIF 9.
420 Cuando una entidad revela la información establecida en los párrafos 42K a 42N, dichas revelaciones, y las del párrafo 25 de esta NIIF deben permitir la conciliación entre:
(a) las categorías de medición presentadas de acuerdo con la NIC 39 y la NIIF 9; y
(b) la clase de instrumento financiero a la fecha de la aplicación inicial.
42P En la fecha de aplicación inicial de la Sección 5.5 de la NIIF 9, se requiere que una entidad revele información que permitirla la conciliación de las correcciones de valor por deterioro finales de acuerdo con la NIC 39, y las provisiones de acuerdo con la NIC 37 con las correcciones de valor por pérdidas determinadas de acuerdo con la NIIF 9. Para activos financieros, estas revelaciones se proporcionarán por categorías de medición de activos financieros relacionadas de acuerdo con la NIC 39 y la NIIF 9 y mostrarán por separado el efecto de los cambios en la categoría de medición sobre la corrección de valor por pérdidas en esa fecha.
42Q En el periodo de presentación que incluya la fecha de aplicación inicial de la NIIF 9, no se requiere que una entidad revele los importes de las partidas que se habrían presentado de acuerdo con los requerimientos de clasificación y medición (lo cual incluye los requerimientos relacionados con la medición del costo amortizado de activos financiero y el deterioro de valor de la Sección 5.4 y 5,5 de la NIIF 9) de:
(a) la NIIF 9, para periodos anteriores; y
(b) NIC 39 para el periodo corriente.
42R De acuerdo con el párrafo 7.2.4 de la NIIF 9 si es Impracticable (como se define en la NIC 8) en la fecha de aplicación inicial de la NIIF 9 para una entidad evaluar un elemento de valor temporal modificado de acuerdo con los párrafos B4.1.9B a B4.1.9D de la NIIF 9 sobre la base de los hechos y circunstancias que existían en el momento del reconocimiento inicial del activo financiero, una entidad evaluará las características de los flujos de efectivo contractuales de ese activo financiero sobre la base de los hechos y circunstancias que existían en el momento del reconocimiento inicial del activo financiero sin tener en cuenta los requerimientos relacionados con el elemento de valor temporal del dinero modificado de los párrafos B4.1.9B a B4.1.9D de la NIIF 9. Una entidad revelará el Importe en libros en la fecha de presentación de los activos financieros cuyas características de flujos de efectivo contractuales han sido evaluados sobre la base de los hechos y circunstancias que existían en el momento del reconocimiento inicial del activo financiero sin tener en cuenta los requerimientos relacionados con la modificación del elemento del valor temporal del dinero de la párrafos B4.1.9B a B4.1,9D de la NIIF 9 hasta que esos activos financieros se dan de baja en cuentas.
42S De acuerdo con el párrafo 7.2,5 de la NIIF 9 si es impracticable (como se define en la NIC 8) en la fecha de aplicación inicial para una entidad evaluar si el valor razonable de una característica de pago anticipado no era significativa de acuerdo con los párrafos B4.1.12(c) de la NIIF 9 sobre la base de los hechos y circunstancias que existían en el momento del reconocimiento inicial del activo financiero, una entidad evaluará las características de los flujos de efectivo contractuales de ese activo financiero sobre la base de los hechos y circunstancias que existían en el momento del reconocimiento inicial del activo financiero sin tener en cuenta la excepción de las característica de pago anticipado de los párrafos B4.1.12 de la NIIF 9. Una entidad revelará el importe en libros en la fecha de presentación de los activos financieros cuyas características de flujos de efectivo contractuales han sido evaluadas sobre la base de los hechos y circunstancias que existían en el momento del reconocimiento Inicial del activo financiero sin tener en cuenta la excepción para las características de pago anticipado del párrafo B4.1.12 de la NIIF 9 hasta que esos activos financieros se dan de baja en cuentas.
Fecha de vigencia y transición
43 Una entidad aplicará esta NIIF en los periodos anuales que comiencen a partir del 1 de enero de 2007. Se aconseja su aplicación anticipada. SI una entidad aplicase esta NIIF en un periodo anterior, revelará este hecho.
44 Si una entidad aplicase esta NIIF para periodos anuales que comiencen antes del 1 de enero de 2006, no será necesario que presente información comparativa para la información a revelar que requieren los párrafos 31 a 42, sobre la naturaleza y el alcance de los riesgos surgidos de instrumentos financieros.
44A La NIC 1 (revisada en 2007) modificó la terminología utilizada en las NIIF. Además, modificó los párrafos 20, 21, 23(c) y (d), 27(c) y B5 del Apéndice B. Una entidad aplicará esas modificaciones para los periodos anuales que comiencen a partir del 1 de enero de 2009. Si una entidad utiliza la NIC 1 (revisada en 2007) en un periodo anterior, aplicará las modificaciones a dicho periodo.
44B La NIIF 3 (revisada en 2008) eliminó el párrafo 3(c). Una entidad aplicará esa modificación para los periodos anuales que comiencen a partir del 1 de julio de 2009. Si una entidad aplicase la NIIF 3 (revisada en 2008) a un periodo anterior, la modificación se aplicará también a ese periodo. Sin embargo, la modificación no se aplicará a contraprestaciones contingentes que surgieron de una combinación de negocios para la que la fecha de adquisición era anterior a la aplicación de la NIIF 3 (revisada en 2008). En su lugar, una entidad contabilizará esta contraprestación de acuerdo con los párrafos 65A a 65E de la NIIF 3 (modificada en 2010).
44C Una entidad aplicará las modificaciones del párrafo 3 en los periodos anuales que comiencen a partir del 1 de enero de 2009. Si una entidad aplica a un periodo anterior Instrumentos Financieros con Opción de Venta y Obligaciones que Surgen en la Liquidación (Modificaciones a las NIC 32 y NIC 1), emitido en febrero de 2008, las modificaciones del párrafo 3 deberán aplicarse a dicho periodo.
44D El párrafo 3(a) fue modificado por el documento Mejoras a las NIIF emitido en mayo de 2008. Una entidad aplicará esa modificación para los periodos anuales que comiencen a partir del 1 de enero de 2009. Se permite su aplicación anticipada. SI una entidad aplicase las modificaciones en un periodo anterior revelará ese hecho y aplicará en ese periodo las modificaciones del párrafo 1 de la NIC 28, el párrafo 1 de la NIC 31 y el párrafo 4 de la NIC 32 emitidas en mayo de 2008. Se permite que una entidad aplique las modificaciones de forma prospectiva.
44E [Eliminado]
44F [Eliminado]
44G Mejora de la Información a Revelar sobre Instrumentos Financieros (Modificaciones a la NIIF 7), emitido en marzo de 2009, modificó los párrafos 27, 39 y B11 y añadió los párrafos 27A, 27B, B10A y B11A a B11F. Una entidad aplicará esas modificaciones a periodos anuales que comiencen a partir del 1 de enero de 2009. Una entidad no necesita proporcionar la información a revelar requerida por las modificaciones para:
(a) periodos intermedios o anuales, incluyendo los estados de situación financiera, presentados dentro de un periodo comparativo anual que finalice antes del 31 de diciembre de 2009, o
(b) estados de situación financiera al comienzo del primer periodo comparativo a una fecha anterior al 31 de diciembre de 2009.
Se permite su aplicación anticipada. Si una entidad aplicase las modificaciones en un periodo que comience con anterioridad, revelará este hecho (*).
(*) El párrafo 44G se modificó como consecuencia de Exención Limitada de la Información a Revelar Comparativa de la NIIF 7 para Entidades que Adoptan por Primera vez las NIIF (Modificación a la NIIF 1) emitido en enero de 2010. El Consejo modificó el párrafo 44G para aclarar sus conclusiones y la transición pretendida para Mejora de la Información a Revelar sobre Instrumentos Financieros (Modificaciones a la NIIF 7).
44H a 44J [Eliminado]
44K El párrafo 44B fue modificado por Mejoras a las NIIF emitido en mayo de 2010. Una entidad aplicará esa modificación para los periodos anuales que comiencen a partir del 1 de julio de 2010. Se permite su aplicación anticipada.
44L Mejoras a las NIIF emitido en mayo de 2010 añadió el párrafo 32A y modificó los párrafos 34 y 36 a 38. Una entidad aplicará esas modificaciones a periodos anuales que comiencen a partir del 1 de enero de 2011. Se permite su aplicación anticipada. Si una entidad aplicase las modificaciones en un período que comience con anterioridad, revelará este hecho.
44M Información a Revelar–Transferencias de Activos Financieros (Modificaciones a la NIIF 7), emitida en octubre de 2010, eliminó el párrafo 13 y añadió los párrafos 42A a 42H y B29 a B39. Una entidad aplicará esas modificaciones a periodos anuales que comiencen a partir del 1 de julio de 2011. Se permite su aplicación anticipada. Si una entidad aplicase las modificaciones en un periodo que comience con anterioridad, revelará este hecho. Una entidad no necesita proporcionar la información a revelar requerida por esas modificaciones para los periodos presentados que comiencen antes de la fecha de aplicación inicial de las modificaciones.
44N [Eliminado]
440 Las NIIF 10 y NIIF 11 Acuerdos Conjuntos, emitidas en mayo de 2011, modificaron el párrafo 3. Una entidad aplicará esas modificaciones cuando aplique las NIIF 10 y NIIF 11.
44P La NIIF 13, emitida en mayo de 2011, modificó los párrafos 3, 28 y 29 y el Apéndice A y eliminó los párrafos 27 a 27B. Una entidad aplicará esas modificaciones cuando aplique la NIIF 13.
44Q Presentación de Partidas de Otro Resultado Integral (Modificaciones a la NIC 1) emitido en junio de 2011, modificó el párrafo 27B. Una entidad aplicará esas modificaciones cuando aplique la NIC 1 modificada en junio de 2011.
44R El documento Información a Revelar–Compensación de Activos Financieros y Pasivos Financieros (Modificaciones a la NIIF 7), emitido en diciembre de 2011, añadió los párrafos 13A a 13F y B40 a B53. Una entidad aplicará esas modificaciones a periodos anuales sobre los que se informa que comiencen a partir del 1 de enero de 2013. Una entidad proporcionará la información a revelar requerida por esas modificaciones de forma retroactiva.
44S a 44W [Eliminados]
44X El documento Entidades de Inversión (Modificaciones a las NIIF 10, NIIF 12 y NIC 27), emitido en octubre de 2012, modificó el párrafo 3. Una entidad aplicará esa modificación para los periodos anuales que comiencen a partir del 1 de enero de 2014. Se permite la aplicación anticipada del documento Entidades de Inversión. Si una entidad aplica esas modificaciones con anterioridad, aplicará también todas las modificaciones incluidas en el documento Entidades de Inversión al mismo tiempo.
44Y [Eliminado]
44Z La NIIF 9, emitida en julio de 2014, modificó los párrafos 2 a 5, 8 a 11,14, 20, 28 a 30, 36, 42C a 42E, el Apéndice A, y los párrafos B1, B5, B9, B10, B22 y B27, eliminó los párrafos 12,12A, 16, 22 a 24, 37, 44E, 44F, 44H a 44J, 44N, 44S a 44W, 44Y, B4 y el Apéndice D y añadió los párrafos 5A, 10A, 11 A, 11B, 12B a 12D, 16A, 20A, 21A a 21D, 22A a 22C, 23A a 23F, 24A a 24G, 35A a 35N, 42I a 2S, 44ZA y B8A a B8J. Una entidad aplicará esas modificaciones cuando aplique la NIIF 9, Las modificaciones no necesitan aplicarse a la información comparativa proporcionada para periodos anteriores a la fecha de aplicación inicial de la NIIF 9.
44ZA Sin perjuicio de los requerimientos del párrafo 7.1.2 de la NIIF 9, para periodos anuales anteriores al 1 de enero de 2018, una entidad puede optar por aplicar de forma anticipada solo los requerimientos de presentación de las ganancias y pérdidas por pasivos financieros designados al valor razonable con cambios en resultados de los párrafos 5.7.1 (c), 5.7.7 a 5.7.9, 7.2.14 y B5.7.5 a B5.7.20 de la NIIF 9 sin aplicar el resto de los requerimientos de esta Norma. Si una entidad opta por aplicar solo esos párrafos de la NIIF 9, revelará ese hecho y proporcionará, sobre una base continuada, la información a revelar relacionada establecida en los párrafos 10 y 11 de esta NIIF [modificada por la NIIF 9 (2010)].
44AA Mejoras Anuales a las NIIF, Ciclo 2012-2014, emitida en septiembre de 2014, modificó los párrafos 44R y B30 y añadió el párrafo B30A. Una entidad aplicará esas modificaciones de forma retroactiva de acuerdo con la NIC 8 Políticas Contables, Cambios en las Estimaciones Contables y Errores para periodos anuales que comiencen a partir del 1 de enero de 2016 excepto que no necesita aplicar las modificaciones de los párrafos B30 y B30A para los periodos presentados que comiencen antes del periodo anual para el cual aplica por primera vez dichas modificaciones. Se permite la aplicación anticipada de las modificaciones a los párrafos 44R, B30 y B30A. Si una entidad aplica esas modificaciones en un periodo que comience con anterioridad, revelará este hecho.
44BB Iniciativa sobre Información a Revelar (Modificaciones a la NIC 1), emitida en diciembre de 2014, modificó los párrafos 21 y B5. Una entidad aplicará esas modificaciones a periodos anuales que comiencen a partir del 1 de enero de 2016. Se permite la aplicación anticipada de esas modificaciones.
44CC La NIIF 16 Arrendamientos, emitida en enero de 2016, modificó los párrafos 29 y B11D. Una entidad aplicará esas modificaciones cuando aplique la NIIF 16.
44DD Párrafo no utilizado. Este párrafo se refiere a una modificación que todavía no está vigente, y no está por ello, incluida en esta norma. El texto del párrafo será incorporado en el marco técnico local una vez se haga la recomendación para la aplicación de la NIIF 17 Contratos de seguros, la cual se encuentra en discusión pública
44EE La Reforma de la Tasa de Interés de Referencia, que modificó las NIIF 9, NIC 39 y NIIF 7, emitida en septiembre de 2019 añadió los párrafos 24H y 44FF. Una entidad aplicará esas modificaciones cuando aplique las modificaciones a las NIIF 9 y NIC 39.
44FF En el periodo sobre el que se informa en el que una entidad aplique por primera vez Reforma de la Tasa de Interés de Referencia, emitida en septiembre de 2019, no se requiere que una entidad presente la información cuantitativa requerida por el párrafo 28(f) de la NIC 8 Políticas Contables, Cambios en las Estimaciones Contables y Errores.
44GG Reforma de la Tasa de Interés de Referencia–Fase 2, que modificó las NIIF 9, NIC 39, NIIF 7, NIIF 4 y NIIF 16, emitida en agosto de 2020 añadió los párrafos 24I a 24J y 44HH. Una entidad aplicará esas modificaciones cuando aplique las modificaciones a las NIIF 9, NIC 39, NIIF 4 y NIIF 16.
44HH En el periodo sobre el que se informa en el que una entidad aplica por primera vez Reforma de la Tasa de Interés de Referencia–Fase 2, no se requiere que una entidad revele la información que serla requerida, en otro caso, por el párrafo 28<f) de la NIC 8.
44II Información a Revelar sobre Políticas Contables que modifica la NIC 1 y el Documento de Práctica de las NIIF N.° 2 Realización de Juicios sobre Materialidad o Importancia Relativa, y fue emitida en febrero de 2021 modificó los párrafos 21 y B5. Una entidad aplicará esa modificación para los periodos anuales que comiencen a partir del 1 de enero de 2024 (fecha de aplicación en Colombia). Se permite su aplicación anticipada. Sí una entidad aplicase la modificación en un periodo que comience con anterioridad, revelará este hecho.
Derogación de la NIC 30
45 [Párrafo no utilizado] Este párrafo se refiere a una derogatoria, antes que las Normas Internacionales de Información Financiera, fueran aplicables en Colombia.
Apéndice A Definiciones de términos
Este Apéndice forma parte integrante de la NIIF.
| riesgo de crédito | El riesgo de que una de las partes de un instrumento financiero cause una pérdida financiera a la otra parte por incumplir una obligación. |
| grado de calificación de riesgo crediticio | Calificación del riesgo crediticio basada en el riesgo de que ocurra un incumplimiento en un instrumento financiero. |
| riesgo de tasa cambio | El riesgo de que el valor razonable o los flujos de efectivo futuros de un instrumento financiero puedan fluctuar como consecuencia de variaciones en las tasas de cambio de una moneda extranjera. |
| riesgo de tasa interés | El riesgo de que el valor razonable o los flujos de efectivo futuros de un instrumento financiero puedan fluctuar como consecuencia de variaciones en las tasas de interés de mercado. |
| riesgo de liquidez | El riesgo de que una entidad encuentre dificultad para cumplir con obligaciones asociadas con pasivos financieros que se liquiden mediante la entrega de efectivo u otro activo financiero. |
| préstamos por pagar | Préstamos por pagar son pasivos financieros diferentes de las cuentas comerciales por pagar a corto plazo en condiciones normales de crédito. |
| riesgo de mercado | El riesgo de que el valor razonable o los flujos de efectivo futuros de un instrumento financiero puedan fluctuar como consecuencia de variaciones en los precios de mercado. El riesgo de mercado comprende tres tipos de riesgo: riesgo de tasa de cambio, riesgo de tasa de interés y otros riesgos de precio. |
| otros riesgos de precio | El riesgo de que el valor razonable o los flujos de efectivo futuros de un instrumento financiero puedan fluctuar como consecuencia de variaciones en los precios de mercado (diferentes de las que provienen del riesgo de tasa de interés y del riesgo de tasa de cambio), sea que ellas estén causadas por factores específicos al instrumento financiero en concreto o a su emisor, o por factores que afecten a todos los instrumentos financieros similares negociados en el mercado. |
Los siguientes términos se definen en el párrafo 11 de la NIC 32, párrafo 9 de la NIC 39, en el Apéndice A de la NIIF 9 o en el Apéndice A de la NIIF 13 y se utilizan en esta NIIF con el significado especificado en la NIC 32, la NIC 39, la NIIF 9 y la NIIF 13,
- costo amortizado de un activo financiero o de un pasivo financiero
- activo del contrato
- activo financiero con deterioro crediticio
- baja en cuentas
- derivado
- dividendos
- método del interés efectivo
- instrumento de patrimonio
- pérdidas crediticias esperadas
- valor razonable
- activo financiero
- contrato de garantía financiera
- instrumento financiero
- pasivo financiero
- pasivos financieros que se contabilicen al valor razonable con cambios en resultados
- transacción prevista
- importe en libros bruto de un activo financiero
- instrumento de cobertura
- mantenido para negociar
- ganancia o pérdida por deterioro de valor
- corrección de valor por pérdidas
- en mora
- activos financieros con deterioro de valor crediticio comprados u originados
- fecha de reclasificación
- compra o venta convencional
Apéndice B Guía de aplicación
Este Apéndice forma parte integrante de la NIIF.
Clases de instrumentos financieros y nivel de detalle de la información a revelar (párrafo 6)
B1 El párrafo 6 requiere que una entidad agrupe los instrumentos financieros en clases que sean apropiadas según la naturaleza de la información revelada y que tenga en cuenta las características de dichos instrumentos financieros. Las clases descritas en el párrafo 6 serán determinadas por la entidad y son distintas de las categorías de instrumentos financieros especificadas en la NIIF 9 (que determinan cómo se miden los instrumentos financieros y dónde se reconocen los cambios en el valor razonable).
B2 Al determinar las clases de instrumentos financieros, una entidad, como mínimo:
(a) distinguirá los Instrumentos medidos al costo amortizado de los medidos al valor razon
(b) tratará como clase separada o clases separadas a los instrumentos financieros que estén fuera del alcance de esta NIIF.
B3 Una entidad decidirá, en función de sus circunstancias, el nivel de detalle que ha de suministrar para cumplir con los requerimientos de esta NIIF, el énfasis que dará a los diferentes aspectos de tales requerimientos y la manera en que agregará la información para presentar una imagen global sin combinar información que tenga diferentes características. Es necesario lograr un equilibrio entre la sobrecarga de los estados financieros con excesivos detalles que pudieran no ayudar a los usuarios, y el oscurecimiento de información importante como resultado de su agregación excesiva. Por ejemplo, una entidad no oscurecerá información Importante incluyéndola entre una gran cantidad de detalles insignificantes. De forma similar, una entidad no revelará información que esté tan agregada que oscurezca diferencias importantes entre las transacciones individuales o los riesgos asociados.
B4 [Eliminado]
Otra información a revelar - políticas contables (párrafo 21)
B5 El párrafo 21 requiere que se revele la Información sobre políticas contables material o con importancia la cual se espera que incluya información sobre la base (o bases) de medición utilizada para los instrumentos financieros. Para los instrumentos financieros, esta información a revelar podrá incluir:
(a) para pasivos financieros designados como al valor razonable con cambios en resultados:
(I) la naturaleza de los pasivos financieros que la entidad haya designado como al valor razonable con cambios en resultados;
(ii) los criterios para designar así a los pasivos financieros en el momento de su reconocimiento inicial; y
(iii) la forma en que la entidad ha satisfecho los criterios del párrafo 4.2.2 de la NIIF 9 para esta designación.
(aa) Para activos financieros designados como medidos al valor razonable con cambios en resultados:
(i) la naturaleza de los activos financieros que la entidad haya designado como medidos al valor razonable con cambios en resultados; y
(ii) la forma en que la entidad ha satisfecho los criterios del párrafo 4.1.5 de la NIIF 9 para esta designación.
(b) [eliminado]
(c) Si las compras y ventas convencionales de activos financieros se contabilizan aplicando la fecha de contratación o la fecha de liquidación (véase el párrafo 3.1.2 de la NIIF 9).
(d) [eliminado]
(e) Cómo se han determinado las ganancias o pérdidas netas de cada categoría de instrumentos financieros [véase el apartado (a) del párrafo 20]; por ejemplo, si las ganancias o pérdidas netas en partidas registradas a valor razonable con cambios en resultados incluyen ingresos por intereses o dividendos.
(f) [eliminado]
(g) [eliminado]
El párrafo 122 de la NIC 1 (revisada en 2007) también requiere que las entidades revelen, junto con la información sobre políticas contables materiales o con importancia relativa o en otras notas, otros juicios, diferentes de los que implican estimaciones, que la dirección haya realizado en el proceso de aplicación de las políticas contables de la entidad y que tengan el efecto más significativo sobre los importes reconocidos en los estados financieros.
Naturaleza y alcance de los riesgos que surgen de los instrumentos financieros (párrafos 31 a 42)'
B6 La información a revelar requerida por los párrafos 31 a 42 se incluirá en los estados financieros o mediante referencias cruzadas de los estados financieros con otro estado, como por ejemplo un comentario de la dirección o un informe sobre riesgos, que esté disponible para los usuarios de los estados financieros en las mismas condiciones y al mismo tiempo que éstos. Sin la información incorporada mediante referencias cruzadas, los estados financieros estarán incompletos.
Información cuantitativa (párrafo 34)
B7 El apartado (a) del párrafo 34 requiere la revelación de datos cuantitativos resumidos sobre la exposición de una entidad a los riesgos, basada en la información suministrada internamente al personal clave de la dirección de la entidad. Cuando una entidad utilice diversos métodos para gestionar su exposición al riesgo, informará aplicando el método o métodos que suministren la información más relevante y fiable. En la NIC 8 Políticas Contables, Cambios en las Estimaciones Contables y Errores, se discuten las características de relevancia y fiabilidad.
B8 El apartado (c) del párrafo 34 requiere que se Informe acerca de las concentraciones de riesgo. Estas surgen de los instrumentos financieros que tienen características similares y están afectados de forma similar por cambios en condiciones económicas o de otra Índole. La identificación de concentraciones de riesgo requiere la realización de juicios que tengan en cuenta las circunstancias de la entidad. La revelación de concentraciones de riesgo incluirá:
(a) una descripción de la manera en que la dirección determina esas concentraciones;
(b) una descripción de las características compartidas que Identifican cada concentración (por ejemplo la contraparte, el área geográfica, la moneda o el mercado); y
(c) el importe de la exposición al riesgo asociada con todos los instrumentos financieros que comparten esa característica.
Prácticas de gestión del riesgo crediticio (párrafos 35F y 35G)
B8A El párrafo 35F (b) requiere que se revele información sobre la forma en que ha definido una entidad le incumplimiento para los distintos instrumentos financieros y las razones para elegir esas definiciones. De acuerdo con el párrafo 5.5.9 de la NIIF 9, la determinación de si las pérdidas crediticias esperadas durante el tiempo de vida del activo deben reconocerse se basa en el incremento en el riesgo de que ocurra un incumplimiento desde el reconocimiento inicial. La información sobre las definiciones de una entidad de incumplimiento que ayudarán a los usuarios de los estados financieros a comprender la forma en que una entidad ha aplicado los requerimientos de pérdidas crediticias esperadas de la NI IF 9 puede incluir:
(a) los factores cualitativos y cuantitativos considerados al definir el Incumplimiento;
(b) si se han aplicado definiciones diferentes a distintos tipos de Instrumentos financieros; y
(c) los supuestos sobre la tasa de curación (es decir, el número de activos financieros que han vuelto a un estatus de rendimiento) después de que ocurriera un incumplimiento sobre el activo financiero.
B8B Para ayudar a los usuarios de los estados financieros a evaluar las políticas de modificación y restructuración de una entidad, el párrafo 35F(f)(ii) requiere que se revele información sobre la forma en que la entidad controla hasta qué punto las correcciones de valor por pérdidas sobre los activos financieros anteriormente revelados de acuerdo con el párrafo 35F(f)(i) se han medido posteriormente por un importe que iguala las pérdidas crediticias esperadas durante el tiempo de vida del activo de acuerdo con el párrafo 5.5.3 de la NIIF 9. La información cuantitativa que ayudará a los usuarios a comprender el incremento posterior del riesgo crediticio de los activos financieros modificados puede incluir información sobre los activos financieros modificados que cumplen los criterios del párrafo 35F (f) (i) para los que la corrección de valor por pérdidas ha vuelto a ser medida por un importe que iguala las pérdidas crediticias esperadas durante el tiempo de vida del activo (es decir, una tasa de deterioro).
B8C El párrafo 35G(a) requiere revelar información sobre la base de los datos de entrada y supuestos y las técnicas de estimación utilizadas para aplicar los requerimientos de deterioro de valor de la NIIF 9. Los supuestos y datos de entrada de una entidad utilizados para medir las pérdidas crediticias esperadas o determinar el alcance de los incrementos en el riesgo crediticio desde el reconocimiento inicial puede Incluir información obtenida de Información histórica interna o informes de calificación y supuestos sobre la vida esperada de los instrumentos financieros y el calendario de la venta de garantías colaterales.
Cambios en la corrección de valor por pérdidas (véase el párrafo 35H)
B8D De acuerdo con el párrafo 35H, se requiere que una entidad explique las razones para los cambios en la corrección de valor por pérdidas durante el periodo. Además de la conciliación del saldo inicial con el final de la corrección de valor por pérdidas, puede ser necesario proporcionar una explicación narrativa de los cambios. Esta explicación narrativa puede incluir un análisis de las razones para los cambios en la corrección de valor por pérdidas durante el periodo, incluyendo;
(a) la composición de la cartera;
(b) el volumen de instrumentos financieros comprados u originados; y
(c) la gravedad de las pérdidas crediticias esperadas.
B8E Para compromisos de préstamo y contratos de garantía financiera la corrección de valor por pérdidas se reconoce como una provisión. Una entidad deberla revelar información sobre los cambios en la corrección de valor por pérdidas para los activos financieros por separado de los compromisos de préstamo y contratos de garantía financiera. Sin embargo, si un instrumento financiero incluye un componente de préstamo (es decir un activo financiero) y un componente de compromiso no dispuesto (es decir un compromiso de préstamo) y la entidad no puede identificar por separado las pérdidas crediticias esperadas sobre el componente de compromiso de préstamo de las del componente de activo financiero, las pérdidas crediticias esperadas sobre el compromiso de préstamo deben reconocerse junto con la corrección de valor por pérdidas para el activo financiero. En la medida en que las pérdidas crediticias esperadas combinadas excedan el importe en libros bruto del activo financiero, las pérdidas crediticias esperadas deben reconocerse como una provisión.
Garantía colateral (párrafo 35K)
B8F El párrafo 35K requiere revelar información que permita a los usuarios de los estados financieros comprender el efecto de las garantías colaterales y otras mejoras crediticias sobre el importe de las pérdidas crediticias esperadas. No se requiere que una entidad revele información sobre el valor razonable de la garantía colateral y otras mejoras crediticias ni que cuantifique el valor exacto de la garantía colateral que se incluyó en el cálculo de las pérdidas crediticias esperadas (es decir, la pérdida dada por incumplimiento).
B8G Una descripción narrativa de la garantía colateral y su efecto sobre los importes de las pérdidas crediticias esperadas puede incluir información sobre:
(a) los principales tipos de garantías colaterales mantenidas como seguro y otras mejoras crediticias (ejemplos de estas últimas son los avales, los derivados de crédito, y los acuerdos de liquidación por el neto que no cumplan las condiciones para su compensación de acuerdo con la NIC 32);
(b) el volumen de garantías colaterales mantenidas y otras mejoras crediticias y su significado en términos de la corrección de valor por pérdidas;
(c) las políticas y procesos para valorar y gestionar las garantías colaterales y otras mejoras crediticias;
(d) los principales tipos de contrapartes para garantías colaterales y otras mejoras crediticias y su solvencia crediticia; y
(e) información acerca de concentraciones de riesgo dentro de las garantías colaterales y otras mejoras crediticias.
Exposición al riesgo crediticio (párrafos 35M y 35N)
B8H El párrafo 35M requiere revelar información sobre la exposición de riesgo crediticio de una entidad y las concentraciones significativas de riesgo crediticio en la fecha de presentación. Existe una concentración de riesgo crediticio cuando un número de contrapartes se localizan en una región geográfica o están implicadas en actividades similares y tienen características económicas parecidas que causarían que su capacidad para cumplir con sus obligaciones contractuales fuera afectada de forma semejante por cambios en las condiciones económicas o de otro tipo. Una entidad debería proporcionar información que permita a los usuarios de los estados financieros comprender si existen grupos o carteras de instrumentos financieros con características concretas que podrían afectar a una gran parte de ese grupo de instrumentos financieros tal como una concentración a riesgos concretos. Esto podría incluir, por ejemplo, agrupaciones de préstamos con respecto al valor, sector geográfico, industrial o concentraciones por tipo de emisor.
B8I El número de grados de calificación de riesgo crediticio utilizado para revelar la información de acuerdo con el párrafo 35M deberá ser congruente con el número sobre el que la entidad informa al personal clave de la gerencia a efectos de la gestión del riesgo crediticio. Si la información sobre morosidad es la única información disponible específica del prestatario y una entidad utiliza dicha información para evaluar si se ha incrementado el riesgo crediticio de forma significativa desde el reconocimiento inicial, de acuerdo con el párrafo 5.5.11 de la NIIF 9, una entidad proporcionará un análisis por estatus de morosidad de esos activos financieros.
B8J Cuando una entidad ha medido las pérdidas crediticias esperadas sobre una base colectiva, puede no ser capaz de distribuir el importe en libros bruto de los activos financieros individuales o la exposición al riesgo crediticio sobre compromisos de préstamo y contratos de garantía financiera entre los grados de calificación de riesgo crediticio para los que se reconocen las pérdidas crediticias esperadas durante el tiempo de vida del activo. En ese caso, una entidad debería aplicar el requerimiento del párrafo 35M a los Instrumentos financieros que puedan atribuirse directamente a un grado de calificación de riesgo crediticio y revelar por separado el importe en libros bruto de los instrumentos financieros para los que las pérdidas crediticias esperadas durante el tiempo de vida del activo se han medido de forma colectiva.
Máximo nivel de exposición al riesgo de crédito [apartado (a) del párrafo 36]
B9 Los párrafos 35K(a) y 36(a) requieren la revelación del importe que mejor represente el máximo nivel de exposición al riesgo crediticio. En el caso de un activo financiero, generalmente es su importe bruto en libros, neto de;
(a) cualquier importe compensado de acuerdo con la NIC 32; y
(b) cualquier corrección de valor por pérdidas se reconocerá de acuerdo con la NIIF 9.
B10 Las actividades que dan lugar al riesgo de crédito y al máximo nivel de exposición asociado al mismo incluyen, sin limitarse a ellas;
(a) La concesión de préstamos a los clientes, así como la realización de depósitos en otras entidades. En estos casos, el máximo nivel de exposición al riesgo de crédito será el importe en libros de los activos financieros relacionados.
(b) La realización de contratos de derivados, por ejemplo contratos sobre moneda extranjera, permutas de tasas de interés o derivados de crédito. Cuando el activo resultante se mida al valor razonable, el máximo nivel de exposición al riesgo de crédito al final del periodo sobre el que se informa será igual a su importe en libros.
(c) La concesión de garantías financieras. En este caso, el máximo nivel de exposición al riesgo de crédito es el importe máximo que la entidad tendría que pagar si se ejecutara la garantía, que puede ser significativamente superior al importe reconocido como pasivo.
(d) La emisión de un compromiso de préstamo que sea irrevocable a lo largo de la vida de la línea de crédito, o que sólo sea revocable en respuesta a un cambio adverso significativo. Sí el emisor no pudiese liquidar el compromiso de préstamo en términos netos con efectivo u otro instrumento financiero, el máximo nivel de exposición al riesgo de crédito será el Importe total del compromiso. Esto es así porque existe incertidumbre sobre si en el futuro se dispondrá de algún importe sobre la parte no dispuesta. El importe del riesgo puede ser significativamente mayor que el importe reconocido como pasivo.
Información a revelar de tipo cuantitativo sobre el riesgo de liquidez [párrafos 34(a) y 39(a) y (b)j
B10A De acuerdo con el párrafo 34(a) una entidad revelará datos cuantitativos resumidos, acerca de su exposición al riesgo de liquidez, sobre la base de la información proporcionada internamente al personal clave de la gerencia. La entidad explicará cómo se determinan esos datos. Si las salidas de efectivo (u otro activo financiero) incluidas en esos datos pueden:
(a) tener lugar de forma significativa con anterioridad a lo indicado en los datos, o
(b) ser por importes significativamente diferentes de los indicados en los datos (por ejemplo para un derivado que está incluido en los datos sobre una base de liquidación neta pero para el cual la contraparte tiene la opción de requerir la liquidación bruta),
la entidad señalará ese hecho, y proporcionará información cuantitativa que permita a los usuarios de sus estados financieros evaluar el alcance de este riesgo, a menos que esa información se incluya en los análisis de vencimientos contractuales requeridos por el párrafo 39(a) o (b).
B11 Al elaborar el análisis de los vencimientos contractuales requeridos por el párrafo 39(a) y (b), una entidad empleará su juicio para determinar un número apropiado de bandas de tiempo. Por ejemplo, una entidad podría determinar que resultan apropiadas las siguientes bandas de tiempo:
(a) hasta un mes;
(b) más de un mes y no más de tres meses;
(c) más de tres meses y no más de un año; y
(d) más de un año y no más de cinco años.
B11A Para cumplir con el párrafo 39(a) y (b), una entidad no separará el derivado implícito de un instrumento financiero híbrido (combinado). Para tal instrumento, la entidad aplicará el párrafo 39(a).
B11B El párrafo 39(b) requiere que una entidad revele información conteniendo un análisis de vencimientos, de tipo cuantitativo, para pasivos financieros derivados, donde se muestren los vencimientos contractuales remanentes, en caso de que tales vencimientos contractuales sean esenciales para comprender el calendarlo de los flujos de efectivo. Por ejemplo, este podría ser el caso de:
(a) una permuta de tasas de interés con un vencimiento remanente de cinco años, en una cobertura de flujo de efectivo de un activo o pasivo financiero con tasa de interés variable.
(b) todos los compromisos de préstamo.
B11C El párrafo 39(a) y (b) requiere que una entidad revele información conteniendo un análisis de vencimientos de los pasivos financieros, donde se muestren los vencimientos contractuales remanentes para algunos pasivos financieros. Dentro de esta información a revelar:
(a) Cuando una contraparte pueda elegir cuándo un importe ha de ser pagado, el pasivo se asignará al primer periodo en el que se pueda requerir a la entidad que pague. Por ejemplo, los pasivos financieros cuyo reembolso pueda ser requerido a la entidad de forma inmediata (por ejemplo los depósitos a la vista) se incluirán en la banda de tiempo más cercana.
(b) Cuando una entidad esté comprometida a tener cantidades disponibles en parcialidades, cada parcialidad se asignará al primer periodo en que pueda ser requerido el pago. Por ejemplo, un compromiso de préstamo no dispuesto se incluirá en la banda de tiempo que contenga la primera fecha en la que se pueda disponer del mismo.
(c) Para los contratos de garantía financiera emitidos, el importe máximo de la garantía se asignará al primer periodo en el que la garantía pueda ser requerida.
B11D Los importes contractuales a revelar en los análisis de vencimientos, tal como se requieren en el párrafo 39(a) y (b), son los flujos de efectivo contractuales no descontados, por ejemplo:
(a) pasivos por arrendamiento brutos (sin deducir los cargos financieros); '
(b) precios especificados en los acuerdos de compra en el futuro de activos financieros en efectivo;
(c) importes netos de las permutas de intereses por las que se intercambian flujos de efectivo netos;
(d) importes contractuales a intercambiar en un instrumento financiero derivado (por ejemplo una permuta financiera de divisas) por los que se intercambian flujos de efectivo brutos; y
(e) los compromisos de préstamo, en términos brutos.
Estos flujos de efectivo no descontados difieren de los importes incluidos en el estado de situación financiera, porque las cantidades de ese estado se basan en flujos de efectivo descontados. Cuando el importe a pagar no sea fijo, el importe revelado se determinará por referencia a las condiciones existentes al final del periodo sobre el que se informa. Por ejemplo, cuando el importe a pagar varíe con los cambios de un índice, el importe revelado puede estar basado en el nivel del índice al final del periodo sobre el que se informa.
B11E El párrafo 39(c) requiere que una entidad describa cómo gestiona el riesgo de liquidez inherente en las partidas incluidas dentro de la información a revelar, en términos cuantitativos, requerida en el párrafo 39(a) y (b). Una entidad incluirá en la información a revelar un análisis de los vencimientos de los activos financieros que mantiene para gestionar el riesgo de liquidez (por ejemplo activos financieros que son fácilmente realizables o se espera que generen entradas de efectivo para atender las salidas de efectivo por pasivos financieros), si esa información es necesaria para permitir a los usuarios de sus estados financieros evaluar la naturaleza y alcance del riesgo de liquidez.
B11F Otros factores que una entidad puede considerar al revelar la información requerida en el párrafo 39(c) incluyen, pero no se limitan a, si la entidad:
(a) tiene concedida la disposición de créditos (por ejemplo, créditos respaldados por papel comercial) u otras líneas de crédito (por ejemplo, línea de crédito de disposición inmediata) a las que puede acceder para satisfacer necesidades de liquidez;
(b) mantiene depósitos en bancos centrales para satisfacer necesidades de liquidez;
(c) tiene muy diversas fuentes de financiación;
(d) posee concentraciones significativas de riesgo de liquidez en sus activos o en sus fuentes de financiación;
(e) tiene procedimientos de control interno y planes de contingencias para gestionar el riesgo de liquidez;
(f) tiene instrumentos con cláusulas que provocan el reembolso acelerado (por ejemplo en el caso de una rebaja en la calificación crediticia de la entidad);
(g) tiene instrumentos que pueden requerir la prestación de garantías colaterales adicionales (por ejemplo aportación de garantías adicionales en caso de evolución desfavorable de precios en derivados);
(h) tiene instrumentos que permiten a la entidad elegir si liquida sus pasivos financieros mediante la entrega de efectivo (u otro activo financiero) o mediante la entrega de sus propias acciones; o
(i) tiene instrumentos que están sujetos a acuerdos básicos de compensación.
B12aB16 [Eliminados]
Riesgo de mercado - análisis de sensibilidad (párrafos 40 y 41)
B17 El apartado (a) del párrafo 40 requiere un análisis de sensibilidad para cada tipo de riesgo de mercado al que la entidad esté expuesta. De acuerdo con el párrafo B3, una entidad decidirá la manera en que agregará la información para presentar una imagen global, sin combinar información con diferentes características acerca de las exposiciones a riesgos que surjan de entornos económicos significativamente diferentes. Por ejemplo:
(a) Una entidad que negocie con instrumentos financieros podría revelar esta información por separado para los instrumentos financieros mantenidos para negociar y para los no mantenidos para negociar.
(b) Una entidad no deberla agregar su exposición a los riesgos de mercado en áreas de hiperinflación con su exposición a esos mismos riesgos de mercado en áreas de inflación muy baja.
Si una entidad estuviese expuesta a un único tipo de riesgo de mercado en un único entorno económico, podría no mostrar información desagregada.
B18 El apartado (a) del párrafo 40 requiere que el análisis de sensibilidad muestre el efecto sobre el resultado del periodo y el patrimonio, de los cambios razonablemente posibles en la variable relevante de riesgo (por ejemplo, las tasas de interés prevalecientes en el mercado, las tasas de cambio, los precios de las acciones o los de materias primas cotizadas). Con este propósito:
(a) No se requiere que las entidades determinen qué resultado del período podrá haberse obtenido si las variables relevantes hubieran sido diferentes. En su lugar, las entidades revelarán el efecto sobre el resultado del periodo y el patrimonio, al final del periodo sobre el que se informa, suponiendo que hubiese ocurrido un cambio razonablemente posible en la variable relevante de riesgo en esa fecha, que se hubiera aplicado a las exposiciones al riesgo existentes en ese momento. Por ejemplo, si una entidad tiene un pasivo a tasa de interés variable, al final del año la entidad revelaría el efecto en el resultado del período (es decir, en el gasto por intereses) para el período corriente si las tasas de interés hubiesen variado en importes razonablemente posibles.
(b) No se requiere que las entidades revelen el efecto en el resultado del período y en el patrimonio para cada cambio dentro de un rango de variaciones posibles de la variable relevante de riesgo. Sería suficiente la revelación de los efectos de los cambios en los límites de un rango razonablemente posible.
B19 Al determinar qué constituye un cambio razonablemente posible en la variable relevante de riesgo, una entidad deberá considerar:
(a) Los entornos económicos en los que opera. Un cambio razonablemente posible no debe incluir escenarios remotos o de “caso más desfavorable", ni “pruebas de tensión". Además, si la tasa de cambio de la variable subyacente de riesgo es estable, la entidad no necesita alterar el patrón de cambio razonablemente posible escogido para la variable de riesgo. Por ejemplo, supóngase que las tasas de Interés sean del 5 por ciento, y que la entidad ha determinado que es razonablemente posible una fluctuación en ellas de ±50 puntos básicos. En tal caso, revelaría el efecto en el resultado del período y en el patrimonio, de que las tasas de interés cambiasen al 4,5 por ciento o al 5,5 por ciento. En el periodo siguiente, las tasas de interés se han incrementado al 5,5 por ciento. La entidad continúa creyendo que las tasas de Interés pueden fluctuar ±50 puntos básicos (es decir, que la tasa de variación de las tasas de interés es estable). La entidad revelaría el efecto en el resultado del período y en el patrimonio si las tasas de cambio cambiasen al 5 por ciento o al 6 por ciento. No se exigiría que la entidad revisase su evaluación de que las tasas de interés pueden fluctuar razonablemente en ±50 puntos básicos, salvo que existiera evidencia de que dichos tasas se hubieran vuelto significativamente más volátiles.
(b) El marco temporal sobre el que está haciendo la evaluación. El análisis de sensibilidad mostrará los efectos de los cambios que se han considerado razonablemente posibles, sobre el período que medie hasta que la entidad vuelva a presentar estas informaciones, que es usualmente el próximo período anual sobre el que ella informe.
B20 El párrafo 41 permite que una entidad utilice un análisis de sensibilidad que refleje interdependencias entre las variables de riesgo, como por ejemplo la metodología del valor en riesgo, si utilizase este análisis para gestionar su exposición a los riesgos financieros. Esto se aplicará, aunque esa metodología midiese sólo el potencial de pérdidas, pero no el de ganancias. La entidad que haga esto puede cumplir con el apartado (a) del párrafo 41 revelando el tipo de modelo de valor en riesgo utilizado (por ejemplo, informando si el modelo se basa en simulaciones de Montecarlo), una explicación acerca de cómo opera el modelo y sus principales hipótesis (por ejemplo, el período de tenencia y el nivel de confianza). Las entidades podrían también revelar el intervalo histórico que cubren las observaciones y las ponderaciones aplicadas a las observaciones dentro de dicho intervalo, una explicación de cómo se han tratado las opciones en los cálculos y qué volatilidades y correlaciones se han utilizado (o, como alternativa, qué distribuciones de probabilidad se han supuesto en las simulaciones de Montecarlo).
B21 Una entidad proporcionará un análisis de sensibilidad para la totalidad de su negocio, pero puede suministrar diferentes tipos de análisis de sensibilidad para diferentes clases de instrumentos financieros.
Riesgo de tasa de interés
B22 El riesgo de tasa de interés surge de los Instrumentos financieros con interés reconocidos en el estado de situación financiera (por ejemplo, instrumentos de deuda adquiridos o emitidos), y de algunos instrumentos financieros no reconocidos en el estado de situación financiera (por ejemplo, algunos compromisos de préstamo).
Riesgo de tasa de cambio
B23 El nesgo de tasa de cambio (o riesgo de cambio de la moneda extranjera) surge de instrumentos financieros denominados en una moneda extranjera, es decir, de una moneda diferente de la moneda funcional en que se miden, A efectos de esta NIIF, el riesgo de tasa de cambio no surge de instrumentos financieros que son partidas no monetarias ni de instrumentos financieros denominados en la moneda funcional.
B24 Se presentará un análisis de sensibilidad para cada moneda en la que una entidad tenga una exposición significativa.
Otros riesgos de precio
B25 Los otros riesgos de precio de los instrumentos financieros surgen, por ejemplo, de variaciones en los precios de las materias primas cotizadas o de los precios de los instrumentos de patrimonio. Para cumplir con lo dispuesto en el párrafo 40, una entidad puede revelar el efecto de un decremento en un determinado índice de precios de mercado de acciones, un precio de materias primas cotizadas u otra variable de riesgo. Por ejemplo, si una entidad concediese garantías sobre valores residuales que sean instrumentos financieros, dicha entidad revelará los incrementos o decrementos en el valor de los activos a los que se aplique la garantía.
B26 Dos ejemplos de instrumentos financieros que dan lugar a riesgo de precio de los instrumentos de patrimonio son, (a) la tenencia de instrumentos de patrimonio de otra entidad y (b) la inversión en un fondo que, a su vez, posea inversiones en instrumentos de patrimonio. Otros ejemplos son los contratos a término y las opciones para comprar o vender cantidades específicas de un instrumento de patrimonio, así como las permutas que están indexadas sobre precios de instrumentos de patrimonio. Los valores razonables de tales instrumentos financieros están afectados por cambios en el precio de mercado de los Instrumentos de patrimonio subyacentes.
B27 De acuerdo con el párrafo 40(a), la sensibilidad del resultado del período (que surge, por ejemplo, de instrumentos medidos al valor razonable con cambios en resultados) se revelará por separado de la sensibilidad de otro resultado integral (que procede, por ejemplo, de inversiones en instrumentos de patrimonio cuyos cambios en el valor razonable se presentan en otro resultado Integral).
B28 Los Instrumentos financieros que una entidad clasifique como instrumentos de patrimonio no vuelven a medirse. Ni el resultado del período ni el patrimonio se verán afectados por el riesgo de precio de tales instrumentos. En consecuencia, no se requiere un análisis de sensibilidad.
Baja en cuentas (párrafos 42C a 42H)
Implicación continuada (párrafo 42C)
B29 La evaluación de la Implicación continuada en un activo financiero transferido a efectos de los requerimientos de información a revelar de los párrafos 42E a 42H se realizará a nivel de la entidad que informa. Por ejemplo, si una subsidiaria transfiere a un tercero no relacionado un activo financiero en el cual la controladora de la subsidiaria tiene implicación continuada, la subsidiaria no incluirá la implicación de la controladora en la evaluación de si tiene o no implicación continuada en el activo transferido (es decir, cuando la subsidiaria es la entidad que informa) en sus estados financieros separados o individuales. Sin embargo, una controladora incluirla su Implicación continuada (o la de otro miembro del grupo) en un activo financiero transferido por su subsidiaria al determinar si tiene implicación continuada en el activo transferido en sus estados financieros consolidados (es decir cuando la entidad que informa es el grupo).
B30 Una entidad no tiene una implicación continuada en un activo financiero transferido si, como parte de la transferencia, no retiene parte alguna de los derechos contractuales u obligaciones inherentes en el activo financiero transferido ni adquiere nuevos derechos u obligaciones contractuales relacionadas con el activo financiero transferido. Una entidad no tiene una implicación continuada en un activo financiero transferido si, como parte de la transferencia, no retiene parte alguna de los derechos contractuales u obligaciones inherentes en el activo financiero transferido ni adquiere nuevos derechos u obligaciones contractuales relacionadas con el activo financiero transferido. El término "pago” en este contexto no incluye flujos de efectivo del activo financiero transferido que una entidad recauda y que se requiere remitir al receptor.
B30A Cuando una entidad transfiere un activo financiero, ésta puede conservar el derecho de prestar servicios de administración de ese activo financiero a cambio de una comisión que se incluye, por ejemplo, en un contrato de servicios de administración. La entidad evaluará el contrato de servicios de administración de acuerdo con las gulas de los párrafos 42C y B30 para decidir si tiene una involucración continuada como resultado de dicho contrato de servicios de administración a efectos de los requerimientos de revelar información. Por ejemplo, un administrador tendrá involucración continuada en un activo financiero transferido a efectos de los requerimientos de información a revelar si la comisión de los servicios de administración depende del importe o calendarlo de los flujos de efectivo recaudados del activo financiero transferido. Similarmente, un administrador tiene una involucración continuada a efectos de los requerimientos de revelar información si no se pagase una comisión fija en su totalidad debido a la falta de rendimiento del activo financiero transferido. En estos ejemplos, el administrador tiene una participación en el rendimiento futuro del activo financiero transferido. Esta evaluación es independiente de si la comisión a recibir se espera que compense a la entidad de forma adecuada por realizar los servicios de administración.
B31 La implicación continuada en un activo financiero transferido puede proceder de disposiciones contractuales en el acuerdo de transferencia o en un acuerdo separado con la entidad receptora de la transferencia o un tercero involucrado en relación con la transferencia.
Activos financieros transferidos que no se dan de baja en cuentas en su totalidad (párrafo 42D)
B32 El párrafo 42D requiere información a revelar cuando parte o la totalidad de los activos financieros transferidos no cumplen los requisitos para la baja en cuentas. Se requiere esa información a revelar en cada fecha de presentación en la cual la entidad continúe reconociendo los activos financieros transferidos, independientemente de cuándo tuvo lugar la transferencia.
Tipos de implicación continuada (párrafos 42E a 42H)
B33 Los párrafos 42E a 42H requieren que la información a revelar cualitativa y cuantitativa para cada tipo de implicación continuada en activos financieros dados de baja en cuentas. Una entidad agregará su implicación continuada en tipos que sean representativos de la exposición de la entidad al riesgo. Por ejemplo, una entidad puede agregar su Implicación continuada por tipo de instrumento financiero (por ejemplo garantías u opciones de compra) o por tipo de transferencia (por ejemplo descuentos de cuentas por cobrar, titulizaciones y préstamos de valores).
Desglose de vencimientos para flujos de salida de efectivo no descontados para recomprar activos transferidos [párrafo 42E(e)]
B34 El párrafo 42E(e) requiere que una entidad revele un desglose de vencimientos de los flujos de salida de efectivo no descontados para recomprar activos financieros dados de baja en cuentas u otros importes a pagar a la entidad receptora de la transferencia con respecto a los activos financieros dados de baja en cuentas, mostrando los vencimientos contractuales restantes de la Implicación continuada de la entidad. Este desglose distingue flujos de efectivo que se requieren pagar (por ejemplo contratos a término), flujos de efectivo que se puede requerir pagar a la entidad (por ejemplo opciones de venta emitidas) y los flujos de efectivo que la entidad puede elegir pagar (por ejemplo opciones de compra adquiridas).
B35 Una entidad empleará su juicio para determinar un número apropiado de bandas temporales para preparar el desglose de vencimientos requerido por el párrafo 42E(e). Por ejemplo, una entidad puede determinar que resultan apropiadas las siguientes bandas de tiempo de vencimientos:
(a) hasta un mes;
(b) más de un mes y no más de tres meses;
(c) más de tres meses y no más de seis meses;
(d) más de seis meses y no más de un año;
(e) más de un año y no más de tres años;
(f) más de tres años y no más de cinco años; y
(g) más de cinco años.
B36 Si existe un rango de posibles vencimientos, los flujos de efectivo se incluirán sobre la base de la fecha primera en que se puede requerir a la entidad pagar o se le permite hacerlo.
Información cualitativa [párrafo 42E (f)]
B37 La información cualitativa requerida por el párrafo 42E (f) incluye una descripción de los activos financieros dados de baja en cuentas y la naturaleza y propósito de la implicación continuada retenida después de transferir esos activos. También incluirá una descripción de los riesgos a los que se expone una entidad, incluyendo:
(a) Una descripción de la forma en que la entidad gestiona el riesgo inherente a su implicación continuada en los activos financieros dados de baja en cuentas.
(b) Si se requiere o no que la entidad cargue con pérdidas antes que otras partes, y la clasificación e importes de pérdidas asumidas por las partes cuya participación está clasificada más baja que la participación de la entidad en el activo (es decir, su implicación continuada en el activo).
(c) Una descripción de cualquier desencadenante asociado con obligaciones de proporcionar apoyo financiero o recomprar un activo financiero transferido.
Ganancias o pérdidas en la baja de cuentas [párrafo 42G(a)j
B38 El párrafo 42G(a) requiere que una entidad revele la ganancia o pérdida en la baja en cuentas relacionada con los activos financieros en los que la entidad tiene implicación continuada. La entidad revelará si una ganancia o pérdida en la baja en cuentas surgió porque los valores razonables de los componentes del activo reconocido con anterioridad (es decir la participación en el activo dado de baja en cuentas y la participación retenida por la entidad) eran diferentes del valor razonable del activo reconocido anteriormente como un todo. En esa situación, la entidad también revelará si las mediciones del valor razonable incluían datos de entrada significativos que no estaban basadas en información de mercado observable, como se describe en el párrafo 27A.
Información adicional (párrafo 42H)
B39 La información a revelar requerida en los párrafos 42D a 42G puede no ser suficiente para cumplir con los objetivos de información a revelar del párrafo 42B, Si este fuera el caso, la entidad revelará la información que sea necesaria para cumplir con los objetivos de información a revelar. La entidad decidirá, a la luz de sus circunstancias, cuánta información adicional se necesita proporcionar para satisfacer las necesidades de información de los usuarios y cuánto énfasis concede a los diferentes aspectos de la Información adicional. Es necesario lograr un equilibrio entre la sobrecarga de los estados financieros con excesivos detalles que pudieran no ayudar a sus usuarios, y el disimulo de información como resultado de su acumulación excesiva.
Compensación de activos financieros y pasivos financieros (párrafos 13Aa13F)
Alcance (párrafo 13A)
B40 La información a revelar de los párrafos 13B a 13E se requiere para todos los instrumentos financieros reconocidos que se compensan de acuerdo con el párrafo 42 de la NIC 32. Además, los instrumentos financieros que quedan dentro del alcance de los requerimientos de información a revelar de los párrafos 13B a 13E si están sujetos a un acuerdo maestro de compensación exigible o acuerdo similar que cubre instrumentos financieros y transacciones similares, independientemente de si los instrumentos financieros se compensan de acuerdo con el párrafo 42 de la NIC 32.
B41 Los acuerdos similares a los que se refieren los párrafos 13A y B40 incluyen acuerdos de compensación de derivados, acuerdos maestros de recompra globales, acuerdos maestros de préstamo de títulos valores globales, y cualquier derecho relacionado con garantías colaterales financieras. Los instrumentos financieros y transacciones similares a los que hace referencia el párrafo B40 incluyen derivados, acuerdos de venta y recompra, acuerdos de venta inversa y recompra, acuerdos de préstamos recibidos de títulos valores, y de préstamos entregados de títulos valores. Ejemplos de instrumentos financieros que no quedan dentro del alcance del párrafo 13A son los préstamos y depósitos de clientes en la misma institución (a menos que se compensen en el estado de situación financiera), e instrumentos financieros que están sujetos solo a un acuerdo de garantía colateral.
Información a revelar sobre información cuantitativa para activos financieros reconocidos y pasivos financieros reconocidos dentro del alcance del párrafo 13A (párrafo 13C)
B42 Los instrumentos financieros revelados de acuerdo con el párrafo 13C pueden estar sujetos a requerimientos de medición diferentes (por ejemplo, una cuenta por pagar relacionada con un acuerdo de recompra puede medirse al costo amortizado, mientras que un derivado se medirá a valor razonable). Una entidad incluirá instrumentos por sus importes reconocidos y describirá las diferencias de medición resultantes en la información a revelar relacionada.
Información a revelar sobre los importes brutos de los activos financieros reconocidos y pasivos financieros reconocidos dentro del alcance del párrafo 13A [párrafo 13C (a)]
B43 Los importes requeridos por el párrafo 13C (a) relacionados con los instrumentos financieros reconocidos que se compensan de acuerdo con el párrafo 42 de la NIC 32. Los importes requeridos por el párrafo 13C (a) también se relacionan con los instrumentos financieros reconocidos que están sujetos a un acuerdo maestro de compensación exigible o acuerdo similar independientemente de si cumplen los criterios de compensación. Sin embargo, la información a revelar requerida por el párrafo 13C (a) no se relaciona con los importes reconocidos como consecuencia de acuerdos de garantía colateral que no cumplen los criterios de compensación del párrafo 42 de la NIC 32. En su lugar, se requiere que estos importes se revelen de acuerdo con el párrafo 13C (d).
Información a revelar sobre los importes que se compensan de acuerdo con los criterios del párrafo 42 de la NIC 32 [párrafo 13C (b)]
B44 El párrafo 13C (b) requiere que las entidades revelen los importes compensados de acuerdo con el párrafo 42 de la NIC 32 cuando se determinen los importes netos presentados en el estado de situación financiera. Los importes de los activos financieros reconocidos y pasivos financieros reconocidos que están sujetos a compensación según el mismo acuerdo se revelarán en la información a revelar sobre activos financieros y pasivos financieros. Sin embargo, los importes revelados (en, por ejemplo, una tabla) se limitarán a los importes que están sujetos a compensación. Por ejemplo, una entidad puede tener un activo derivado reconocido y un pasivo derivado reconocido que cumplen los criterios de compensación del párrafo 42 de la NIC 32. Si el importe bruto del activo derivado es mayor que el importe bruto del pasivo derivado, la tabla de información a revelar del activo financiero incluirá el importe completo del activo derivado [de acuerdo con el párrafo 13C (a)] y el importe completo del pasivo derivado [de acuerdo con el párrafo 13C (b)]. Sin embargo, mientras que la tabla de información a revelar del pasivo financiero incluirá el importe completo del pasivo derivado [de acuerdo con el párrafo 13C (a), únicamente incluirá el importe del activo derivado [de acuerdo con el párrafo 13C (b)] que es igual al importe del pasivo derivado.
Información a revelar sobre los importes netos presentados en el estado de situación financiera [párrafo 13C (c)]
B45 Si una entidad tiene instrumentos que quedan dentro del alcance de esta información a revelar (como se especifica en el párrafo 13A) pero no cumplen los criterios de compensación del párrafo 42 de la NIC 32, los importes que el párrafo 13C (c) requiere que se revelen serían iguales a los importes que requiere revelar el párrafo 13C (a).
B46 Los importes que el párrafo 13C (c) requiere revelar deben conciliarse con los importes de las partidas individuales presentadas en el estado de situación financiera. Por ejemplo, si una entidad determina que la acumulación o desglose de los importes de partidas individuales de los estados financieros proporciona información más relevante, debe conciliar los importes acumulados o desglosados revelados según el párrafo 13C (c) con los importes de partidas individuales presentados en el estado de situación financiera.
Información a revelar sobre los importes sujetos a un acuerdo maestro de compensación exigible o acuerdo similar que no está incluido de otra forma en el párrafo 13C (b) [párrafo 13C (d)]
B47 El párrafo 13C (d) requiere que las entidades revelen los importes sujetos a un acuerdo maestro de compensación exigible o acuerdo similar que no estén incluidos de otra forma en el párrafo 13C (b). El párrafo 13C (d) (i) hace referencia a los importes relacionados con los instrumentos financieros reconocidos que no cumplen alguno o todos los criterios de compensación del párrafo 42 de la NIC 32 (por ejemplo, derechos actuales de compensación que no cumplen el criterio del párrafo 42(b) de la NIC 32, o derechos condicionales de compensación que son exigibles y ejercitables solo en el caso de incumplimiento, o solo en el caso de insolvencia o quiebra de cualquiera de las contrapartes).
B48 El párrafo 13C (d) (ii) hace referencia a los importes relacionados con garantías colaterales financieras, incluyendo las garantías de efectivo colaterales, tanto recibidas como pignoradas. Una entidad revelará el valor razonable de los instrumentos financieros que han sido pignorados o recibidos como garantía colateral. Los importes revelados de acuerdo con el párrafo 13C (d) (ii) deberían referirse a las garantías colaterales reales recibidas o pignoradas y no a cualquier cuenta por cobrar o cuenta por pagar reconocida resultante de recuperar o devolver esta garantía.
Límites a los importes revelados en el párrafo 13C (d) (párrafo 13D)
B49 Cuando se revelen los importes de acuerdo con el párrafo 13C (d), una entidad debe tener en cuenta los efectos del exceso de garantía colateral por instrumento financiero. Si es así, la entidad debe en primer lugar deducir los importes revelados de acuerdo con el párrafo 13C (d)(i) del importe revelado de acuerdo con el párrafo 13C (c). La entidad limitará entonces los importes revelados de acuerdo con el párrafo 13C (d)(ii) al importe restante del párrafo 13C (c) para el instrumento financiero relacionado. Sin embargo, si los derechos a garantía colateral pueden ser exigibles para todos los instrumentos financieros, estos derechos pueden Incluirse en la información a revelar proporcionada de acuerdo con el párrafo 13D.
Descripción de los derechos de compensación sujetos a acuerdos maestros de compensación exigibles y acuerdos similares (párrafo 13E)
B50 Una entidad describirá los tipos de derechos de compensación y acuerdos similares revelados de acuerdo con el párrafo 13C (d), incluyendo la naturaleza de esos derechos. Por ejemplo, una entidad describirá sus derechos condicionales. Para instrumentos sujetos a derechos de compensación que no dependen de un suceso futuro pero que no cumplen los criterios restantes del párrafo 42 de la NIC 32, la entidad describirá las razones por las que no se cumplen los criterios. Para cualquier garantía colateral financiera recibida o pignorada, la entidad describirá los términos del acuerdo de garantía colateral (por ejemplo, cuando la garantía está restringida).
Información a revelar por tipo de instrumento financiero o por contraparte
B51 La información a revelar cuantitativa requerida por el párrafo 13(a) a (e) puede agruparse por tipo de instrumento financiero o transacción (por ejemplo, derivados, acuerdos de recompra y recompra inversa o acuerdos de recibir prestados y prestar títulos valores).
B52 De forma alternativa, una entidad puede agrupar la información a revelar cuantitativa requerida por el párrafo 13C (a) a (c) por tipo de instrumento financiero, y la información a revelar cuantitativa requerida por el párrafo 13C (c) a (e) por contraparte. Si una entidad proporciona la información requerida por contraparte, no se requiere que la entidad identifique las contrapartes por nombre. Sin embargo, la designación de contrapartes (Contraparte A, Contraparte B, Contraparte C, etc.) permanecerá congruente de año a año para los años presentados para mantener la comparabilidad. La información a revelar cualitativa se considerará de forma que se pueda facilitar información adicional sobre los tipos de contrapartes. Cuando la información a revelar sobre los importes del párrafo 13C (c) a (e) se proporcione por contraparte, los importes que sean significativos individualmente en términos de los importes de las contrapartes totales se revelarán por separado y los importes individuales insignificantes de las contrapartes restantes se agruparán en una partida.
Otros
B53 La información a revelar específica requerida por los párrafos 13C a 13E son requerimientos mínimos. Para cumplir el objetivo del párrafo 13B una entidad puede necesitar ampliarlos con información a revelar (cualitativa) adicional, dependiendo de las condiciones de los acuerdos maestros de compensación exigidles y acuerdos relacionados, incluyendo la naturaleza de los derechos de compensación, y sus efectos o efectos potenciales sobre la situación financiera de la entidad.
ARRENDAMIENTOS.
Objetivo
1 Esta Norma establece los principios para el reconocimiento, medición, presentación e información a revelar de los arrendamientos. El objetivo es asegurar que los arrendatarios y arrendadores proporcionen información relevante de forma que represente fielmente esas transacciones. Esta información proporciona una base a los usuarios de los estados financieros para evaluar el efecto que los arrendamientos tienen sobre la situación financiera, el rendimiento financiero y los flujos de efectivo de una entidad.
2 Cuando aplique esta Norma, una entidad considerará los términos y condiciones de los contratos y todos los hechos y circunstancias relevantes. Una entidad aplicará esta Norma de forma congruente a los contratos con características similares y circunstancias parecidas.
Alcance
3 Una entidad aplicará esta Norma a todos los arrendamientos, incluyendo los arrendamientos de activos de derechos de uso en un subarrendamiento, excepto en:
(a) acuerdos de arrendamiento para la exploración o uso de minerales, petróleo, gas natural y recursos no renovables similares;
(b) activos biológicos dentro del alcance de la NIC 41 Agricultura mantenidos por un arrendatario;
(c) acuerdos de concesión de servicios dentro del alcance de la CINIIF 12 Acuerdos de Concesión de Servicios-,
(d) licencias de propiedad intelectual concedidas por un arrendador dentro del alcance de la NIIF 15 Ingresos de Actividades Ordinarias procedentes de Contratos con Clientes; y
(e) derechos mantenidos por un arrendatario bajo acuerdos de licencia que estén dentro del alcance de la NIC 38 Activos Intangibles para elementos como películas de cine, videos, juegos, manuscritos, patentes y derechos de autor.
4 Un arrendatario puede, pero no se le exige, aplicar esta Norma a arrendamientos de activos Intangibles distintos de los descritos en el párrafo 3(e).
Exenciones al reconocimiento (párrafos B3 a B8)
5 Un arrendatario puede optar por no aplicar los requerimientos de los párrafos 22 a 49 a:
(a) arrendamientos a corto plazo; y
(b) arrendamientos en los que el activo subyacente es de bajo valor (como se describe en los párrafos B3 a B8).
6 Si un arrendatario opta por no aplicar los requerimientos de los párrafos 22 a 49 a los arrendamientos a corto plazo o a arrendamientos en los que el activo subyacente es de bajo valor, el arrendatario reconocerá los pagos por arrendamiento asociados con los arrendamientos como un gasto de forma lineal a lo largo del plazo del arrendamiento o según otra base sistemática. El arrendatario aplicará otra base sistemática si aquella es más representativa del patrón de beneficios del arrendatario.
7 Si un arrendatario contabiliza los arrendamientos a corto plazo aplicando el párrafo 6, considerará el arrendamiento como un arrendamiento nuevo a efectos de esta Norma si:
(a) hay una modificación del arrendamiento; o
(b) se ha producido un cambio en el plazo del arrendamiento (por ejemplo, el arrendatario ejerce una opción no incluida anteriormente en su determinación del plazo del arrendamiento).
8 La elección para los arrendamientos a corto plazo se realizará por clase de activo subyacente con el que se relaciona el derecho de uso. La elección de los arrendamientos en los que el activo subyacente es de bajo valor puede hacerse arrendamiento por arrendamiento.
Identificación de un arrendamiento (párrafos B9 a B33)
9 Al inicio de un contrato, una entidad evaluará si el contrato es, o contiene, un arrendamiento. Un contrato es, o contiene, un arrendamiento si transmite el derecho a controlar el uso de un activo identificado por un periodo de tiempo a cambio de una contraprestación. Los párrafos B9 a B31 establecen gulas sobre la evaluación de si un contrato es, o contiene, un arrendamiento.
10 Un periodo de tiempo puede describirse en términos de la cantidad de uso de un activo identificado (por ejemplo, el número de unidades de producción que un elemento de equipo se usará para fabricar).
11 Una entidad evaluará nuevamente si un contrato es, o contiene, un arrendamiento solo si cambian los
términos y condiciones del contrato. .
Separación de componentes de un contrato
12 Para un contrato que es, o contiene, un arrendamiento, una entidad contabilizará cada componente del arrendamiento dentro del contrato como un arrendamiento de forma separada de los componentes del contrato que no constituyen un arrendamiento, a menos que aplique la solución práctica del párrafo 15. Los párrafos B32 y B33 establecen guías sobre la separación de los componentes de un contrato.
Arrendatario
13 Para un contrato que contiene un componente de arrendamiento y uno o más componentes adicionales de arrendamiento u otros que no son de arrendamiento, un arrendatario distribuirá la contraprestación del contrato a cada componente del arrendamiento sobre la base de precio relativo independiente del componente del arrendamiento y del precio agregado independiente de los componentes que no son arrendamiento.
14 El precio relativo independiente de los componentes de arrendamiento y de los que no son de arrendamiento se determinará sobre la base del precio que el arrendador, o un proveedor similar, cargaría de forma separada a una entidad por ese componente, o por uno similar. SI no existe un precio observable independiente fácilmente disponible, el arrendatario estimará el precio independiente, maximizando el uso de información observable.
15 Como una solución práctica, un arrendatario puede elegir, por clase de activo subyacente, no separar los componentes que no son arrendamiento de los componentes de arrendamiento, y, en su lugar, contabilizará cada componente de arrendamiento y cualquier componente asociado que no sea de arrendamiento como si se tratase de un componente de arrendamiento único. Un arrendatario no aplicará esta solución práctica a derivados implícitos que cumplan los criterios del párrafo 4.3.3 de la NIIF 9 Instrumentos Financieros.
16 A menos que utilice la solución práctica del párrafo 15, un arrendatario contabilizará los componentes que no son de arrendamiento aplicando otras Normas aplicables.
Arrendador
17 Para un contrato que contiene un componente de arrendamiento y uno o más componentes adicionales de arrendamiento o que no son de arrendamiento, un arrendador distribuirá la contraprestación del contrato aplicando los párrafos 73 a 90 de la NIIF 15.
Plazo del arrendamiento (párrafos B34 a B41)
18 Una entidad determinará el plazo del arrendamiento como el periodo no cancelable de un arrendamiento, junto con:
(a) los periodos cubiertos por una opción de ampliar el arrendamiento si el arrendatario va a ejercer con razonable certeza esa opción; y
(b) los periodos cubiertos por una opción para terminar el arrendamiento si el arrendatario no va a ejercer con razonable certeza esa opción.
19 Al evaluar si un arrendatario va a ejercer con razonable certeza una opción de ampliar un arrendamiento, o no va a ejercer una opción de terminar un arrendamiento, una entidad considerará todos los hechos y circunstancias relevantes que creen un incentivo económico para que el arrendatario ejerza la opción de ampliar el arrendamiento o bien no ejerza la opción de terminar el arrendamiento, tal y como se describe en los párrafos B37 a B40.
20 Un arrendatario evaluará nuevamente si es razonable que ejerza una opción de ampliación, o no ejerza una opción de terminación, en el momento en que ocurra un suceso o cambio significativo en circunstancias que:
(a) esté dentro del control del arrendatario; y
(b) afectan a la razonable certeza de que el arrendatario va a ejercer una opción no incluida en su determinación previa del plazo del arrendamiento, o no va a ejercer una opción incluida en su determinación previa del plazo del arrendamiento (como se describe en el párrafo B41).
21 Una entidad modificará el plazo del arrendamiento si hay un cambio en el periodo no canceladle de un arrendamiento. Por ejemplo, el periodo no canceladle de un arrendamiento cambiará si:
(a) el arrendatario ejerce una opción no incluida anteriormente en la determinación por la entidad del plazo del arrendamiento;
(b) el arrendatario no ejerce una opción incluida anteriormente en la determinación por la entidad del plazo del arrendamiento;
(c) ocurre un suceso que obliga contractualmente al arrendatario a ejercer una opción no incluida en la determinación previa que la entidad haya hecho del plazo del arrendamiento; o
(d) ocurre un suceso que prohíbe contractualmente al arrendatario ejercer una opción incluida en la determinación previa por la entidad del plazo del arrendamiento.
Arrendatario
Reconocimiento
22 En la fecha de comienzo, un arrendatario reconocerá un activo por derecho de uso y un pasivo por arrendamiento.
Medición
Medición inicial
Medición inicial del activo por derecho de uso
23 En la fecha de comienzo, un arrendatario medirá un activo por derecho de uso al costo.
24 El costo del activo por derecho de uso comprenderá:
(a) el importe de la medición inicial del pasivo por arrendamiento, como sE describe en el párrafo 26;
(b) los pagos por arrendamiento realizados antes o a partir de la fecha de comienzo, menos los incentivos de arrendamiento recibidos;
(c) los costos directos iniciales incurridos por el arrendatario; y
(d) una estimación de los costos a incurrir por el arrendatario al desmantelar y eliminar el activo subyacente, restaurando el lugar en el que está ubicado o restaurar el activo subyacente a la condición requerida por los términos y condiciones del arrendamiento, a menos que se incurra en esos costos para producir inventarios. El arrendatario incurre en obligaciones a consecuencia de esos costos ya sea en la fecha de comienzo o como una consecuencia de haber usado el activo subyacente durante un periodo concreto.
25 Un arrendatario reconocerá los costos descritos en el párrafo 24(d) como parte del costo del activo por derecho de uso cuando incurre en una obligación a consecuencia de esos costos. Un arrendatario aplicará la NIC 2 Inventarios a los costos que en los que se incurre durante un periodo concreto como consecuencia de haber usado el activo por derecho de uso para producir inventarios durante ese periodo. Las obligaciones por estos costos contabilizados aplicando esta Norma o la NIC 2 se reconocerán y medirán aplicando la NIC 37 Provisiones, Pasivos Contingentes y Activos Contingentes, Medición inicial del pasivo por arrendamiento
26 En la fecha de comienzo, un arrendatario medirá el pasivo por arrendamiento al valor presente de los pagos por arrendamiento que no se hayan pagado en esa fecha. Los pagos por arrendamiento se descontarán usando la tasa de interés implícita en el arrendamiento, si esa tasa pudiera determinarse fácilmente. Si esa tasa no puede determinarse fácilmente, el arrendatario utilizará la tasa incremental por préstamos del arrendatario,
27 En la fecha de comienzo, los pagos por arrendamiento incluidos en la medición del pasivo por arrendamiento comprenden los pagos siguientes por el derecho a usar el activo subyacente durante el plazo del arrendamiento que no se paguen en la fecha de comienzo;
(a) pagos fijos (incluyendo los pagos en fijos en esencia como se describe en el párrafo B42), menos cualquier incentivo de arrendamiento por cobrar;
(b) pagos por arrendamiento variables, que dependen de un Índice o una tasa, inicialmente medidos usando el índice o tasa en la fecha de comienzo (como se describe en el párrafo 28);
(c) importes que espera pagar el arrendatario como garantías de valor residual',
(d) el precio de ejercicio de una opción de compra si el arrendatario está razonablemente seguro de ejercer esa opción (evaluada considerando los factores descritos en los párrafos B37 a B40); y
(e) pagos por penalizaciones derivadas de la terminación del arrendamiento, si el plazo del arrendamiento refleja que el arrendatario ejercerá una opción para terminar el arrendamiento.
28 Los pagos por arrendamiento variables que dependen de un Índice o una tasa descritos en el párrafo 27(b) incluyen, por ejemplo, pagos vinculados al Índice de precios al consumidor, precios vinculados a una tasa de interés de referencia (tal como la LIBOR) o pagos que varían para reflejar cambios en los precios de alquiler del mercado.
Medición posterior
Medición posterior del activo por derecho de uso
29 Después de la fecha de comienzo, un arrendatario medirá su activo por derecho de uso aplicando el modelo del costo, a menos que aplique los modelos de medición descritos en los párrafos 34 y 35.
Modelo del costo
30 Para aplicar un modelo del costo, un arrendatario medirá un activo por derecho de uso al costo;
(a) menos la depreciación acumulada y las pérdidas acumuladas por deterioro del valor; y
(b) ajustado por cualquier nueva medición del pasivo por arrendamiento especificado en el párrafo 36(c).
31 Un arrendatario aplicará los requerimientos de la depreciación de la NIC 16 Propiedades, Planta y Equipo al depreciar el activo por derecho de uso, sujeto a los requerimientos del párrafo 32.
32 Si el arrendamiento transfiere la propiedad del activo subyacente al arrendatario al fin del plazo del arrendamiento o si el costo del activo por derecho de uso refleja que el arrendatario ejercerá una opción de compra, el arrendatario depreciará el activo por derecho de uso desde la fecha de comienzo del mismo hasta el final de la vida útil del activo subyacente. En otro caso, el arrendatario depreciará el activo por derecho de uso desde la fecha de comienzo hasta el final de la vida útil del activo cuyo derecho de uso tiene o hasta el final del plazo del arrendamiento, lo que tenga lugar primero.
33 Un arrendatario aplicará la NIC 36 Deterioro del Valor de los Activos para determinar si el activo por derecho de uso presenta deterioro de valor y contabilizar las pérdidas por deterioro de valor identificadas.
Otros modelos de medición
34 Si un arrendatario aplica el modelo del valor razonable de la NIC 40 Propiedades de Inversión a sus propiedades de inversión, el arrendatario también aplicará ese modelo del valor razonable a los activos por derecho de uso que cumplan la definición de propiedad de inversión de la NIC 40.
35 Si el derecho de uso de los activos se relaciona con una clase de propiedades, planta y equipo a la que el arrendatario aplica el modelo de revaluación de la NIC 16, este podría optar por utilizar ese modelo de revaluación para todos los activos por derecho de uso de activos relacionados con esa clase de propiedades, planta y equipo.
Medición posterior del pasivo por arrendamiento
36 Después de la fecha de comienzo, un arrendatario medirá un pasivo por arrendamiento;
(a) incrementando el importe en libros para reflejar el interés sobre el pasivo por arrendamiento;
(b) reduciendo el importe en libros para reflejar los pagos por arrendamiento realizados; y
(c) midiendo nuevamente el importe en libros para reflejar las nuevas mediciones o modificaciones del arrendamiento especificadas en los párrafos 39 a 46, y también para reflejar los pagos por arrendamiento fijos en esencia que hayan sido revisados (véase el párrafo B42).
37 El interés de un pasivo por arrendamiento en cada periodo durante el plazo del arrendamiento será el importe que produce una tasa periódica constante de interés sobre el saldo restante del pasivo por arrendamiento. La tasa periódica de interés es la tasa de descuento descrita en el párrafo 26 o, si es aplicable, la tasa de descuento modificad descrita en el párrafo 41, el párrafo 43 o el párrafo 45(c).
38 Después de la fecha de comienzo, un arrendatario reconocerá en el resultado del periodo, a menos que los costos se incluyan, en función de otras Normas aplicables, en el importe en libros de otro activo:
(a) el interés sobre el pasivo por arrendamiento; y
(b) los pagos por arrendamiento variables no incluidos en la medición del pasivo por arrendamiento en el periodo en el que ocurre el suceso o condición que da lugar a esos pagos.
Nueva evaluación del pasivo por arrendamiento
39 Después de la fecha de comienzo, un arrendatario aplicará los párrafos 40 a 43 para medir nuevamente el pasivo por arrendamiento para reflejar cambios en los pagos por arrendamiento. Un arrendatario reconocerá el importe de la nueva medición del pasivo por arrendamiento como un ajuste al activo por derecho de uso. Sin embargo, si el importe en libros del activo por derecho de uso se reduce a cero y se produce una reducción adicional en la medición del pasivo por arrendamiento, un arrendatario reconocerá los importes restantes de la nueva medición en el resultado del periodo.
40 Un arrendatario medirá nuevamente el pasivo por arrendamiento descontando los pagos por arrendamiento modificados usando una tasa de descuento modificada, si:
(a) se produce un cambio en el plazo del arrendamiento, tal como se describe en los párrafos 20 y 21. Un arrendatario determinará los pagos por arrendamiento modificados sobre la base del plazo del arrendamiento modificado; o
(b) se produce un cambio en la evaluación de una opción para comprar el activo subyacente, que se haya evaluado considerando los sucesos y circunstancias descritos en los párrafos 20 y 21 en el contexto de una opción de compra. Un arrendatario determinará los pagos por arrendamiento modificados para reflejar el cambio en los importes por pagar bajo la opción de compra. '
41 Al aplicar el párrafo 40, un arrendatario determinará la tasa de descuento revisada como la tasa de interés implícita en el arrendamiento para lo que resta del plazo del arrendamiento, si esa tasa puede determinarse con facilidad, o la tasa incremental por préstamos del arrendatario en la fecha de la nueva evaluación, si la tasa de interés implícita en el arrendamiento no pudiera determinarse con facilidad.
42 Un arrendatario medirá nuevamente el pasivo por arrendamiento descontando los pagos por arrendamiento modificados, si:
(a) Se produce un cambio en los importes por pagar esperados relacionados con una garantía de valor residual. Un arrendatario determinará los pagos por arrendamiento modificados para reflejar el cambio en los importes que se espera pagar bajo la garantía de valor residual.
(b) Se produce un cambio en los pagos por arrendamiento futuros procedente de un cambio en un índice o una tasa usados para determinar esos pagos, incluyendo, por ejemplo, un cambio para reflejar los cambios en los precios de alquiler del mercado que siguen a una revisión de los alquileres del mercado. El arrendatario medirá nuevamente el pasivo por arrendamiento para reflejar los pagos por arrendamiento modificados solo cuando haya un cambio en los flujos de efectivo (es decir, cuando el ajuste a los pagos por arrendamiento tenga efecto). Un arrendatario determinará los pagos por arrendamiento revisados, por lo que resta del plazo del arrendamiento, sobre la base de los pagos contractuales revisados.
43 Al aplicar el párrafo 42, un arrendatario usará una tasa de descuento sin cambios, a menos que el cambio en los pagos por arrendamiento proceda de un cambio en las tasas de interés variables. En ese caso, el arrendatario usará una tasa de descuento modificada que refleje los cambios en la tasa de interés.
Modificaciones del arrendamiento
44 Un arrendatario contabilizará una modificación del arrendamiento como un arrendamiento separado si:
(a) la modificación Incrementa el alcance del arrendamiento añadiendo el derecho a usar uno o más activos subyacentes; y
(b) la contraprestación por el arrendamiento se incrementa por un importe acorde con el precio independiente del incremento en el alcance y por cualquier ajuste adecuado a ese precio independiente para reflejar las circunstancias del contrato concreto.
45 En el caso de una modificación del arrendamiento que no se contabilice como un arrendamiento separado, en la fecha efectiva de la modificación del arrendamiento un arrendatario:
(a) distribuirá la contraprestación del contrato modificado aplicando los párrafos 13 a 16;
(b) determinará el plazo del arrendamiento modificado aplicando los párrafos 18 y 19; y
(c) medirá nuevamente el pasivo por arrendamiento descontando los pagos por arrendamiento revisados aplicando una tasa de descuento revisada. La tasa de descuento revisada se determinará como la tasa de Interés implícita en el arrendamiento para lo que resta del plazo del arrendamiento, si esa tasa puede ser determinada con facilidad, o la tasa incremental por préstamos del arrendatario en la fecha de vigencia de la modificación, si la tasa de interés implícita en el arrendamiento no pudiera determinarse con facilidad.
46 En una modificación del arrendamiento que no se contabilice como un arrendamiento separado, el arrendatario contabilizará la nueva medición del pasivo por arrendamiento:
(a) Disminuyendo el importe en libros del activo por derecho de uso para reflejar la terminación parcial o total del arrendamiento, en las modificaciones de arrendamiento que disminuyen el alcance de éste. El arrendatario reconocerá en el resultado del periodo las ganancias o pérdidas relacionadas con la terminación parcial o total del arrendamiento.
(b) Haciendo el correspondiente ajuste al activo por derecho de uso para todas las demás modificaciones del arrendamiento.
46A Como solución práctica, un arrendatario puede optar por no evaluar si la reducción del alquiler que cumple las condiciones del párrafo 46B es una modificación del arrendamiento. Un arrendatario que realiza esta elección contabilizará los cambios en los pagos por arrendamiento procedentes de las reducciones del alquiler de la misma forma que contabilizaría el cambio aplicando esta Norma si dicho cambio no fuera una modificación del arrendamiento.
46B La solución práctica del párrafo 46A se aplica solo a las reducciones del alquiler que ocurran como consecuencia directa de la pandemia covid-19 y solo si se cumplen las siguientes condiciones:
(a) el cambio en los pagos por arrendamiento da lugar a la revisión de la contraprestación por el arrendamiento que es sustancialmente la misma, o menor, que la contraprestación por el arrendamiento inmediatamente anterior al cambio;
(b) cualquier reducción en los pagos por arrendamiento afecta únicamente los pagos originalmente vencidos hasta el 30 de junio de 2022 (por ejemplo, una reducción del alquiler cumpliría esta condición si diera lugar a una reducción de los pagos por arrendamiento hasta el 30 de junio de 2022 y a un incremento en los pagos por arrendamiento que se prolongue más allá del 30 de junio de 2022); y
(c) no existe un cambio sustancial en los otros términos y condiciones del arrendamiento.
Presentación
47 Un arrendatario presentará en el estado de situación financiera o en las notas:
(a) Los activos por derecho de uso por separado de otros activos. Si un arrendatario no presenta los activos por derecho de uso por separado en el estado de situación financiera, el arrendatario:
(i) incluirá los activos por derecho de uso dentro de la misma partida de los estados financieros que le hubiera correspondido a los activos subyacentes de haber sido de su propiedad; y
(ii) revelará qué partidas del estado de situación financiera incluyen esos activos de derechos de uso.
(b) Los pasivos por arrendamiento por separado de otros pasivos. Si el arrendatario no presenta pasivos por arrendamiento de forma separada en el estado de situación financiera, el arrendatario revelará qué partidas del estado de situación financiera incluyen esos pasivos.
48 El requerimiento del párrafo 47(a) no se aplica a los activos por derecho de uso que cumplen la definición de propiedades de inversión, que se presentarán en el estado de situación financiera como propiedades de inversión.
49 En el estado del resultado del periodo y otro resultado integral, un arrendatario presentará el gasto por intereses por el pasivo por arrendamiento de forma separada del cargo por depreciación del activo por derecho de uso. El gasto por intereses sobre el pasivo por arrendamiento es un componente de los costos financieros, que el párrafo 82(b) de la NIC 1 Presentación de Estados Financieros requiere que se presente por separado en el estado del resultado del periodo y otro resultado integral.
50 En el estado de flujos de efectivo, un arrendatario clasificará:
(a) los pagos en efectivo por la parte del principal del pasivo por arrendamiento dentro de las actividades de financiación;
(b) los pagos en efectivo por la parte de Intereses del pasivo por arrendamiento aplicando los requerimientos de la NIC 7 Estado de Flujos de Efectivo por los Intereses pagados; y
(c) los pagos por arrendamiento a corto plazo, pagos por arrendamiento de activos de bajo valor y los pagos por arrendamiento variables no incluidos en la medición del pasivo por arrendamiento dentro de las actividades de operación.
Información a revelar
51 El objetivo de la información a revelar para los arrendatarios es revelar información en las notas que, junto con la información proporcionada en el estado de situación financiera, estado del resultado del periodo y estado de flujos de efectivo, dé una base a los usuarios de los estados financieros para evaluar el efecto que tienen los arrendamientos sobre la situación financiera, rendimiento financiero y flujos de efectivo del arrendatario, Los párrafos 52 a 60 especifican los requerimientos sobre cómo cumplir este objetivo.
52 Un arrendatario revelará información sobre sus arrendamientos en los que actúa como arrendatario en una nota única o sección separada de sus estados financieros. Sin embargo, un arrendatario no necesita duplicar información que ya esté presentada en cualquier otro lugar de los estados financieros, siempre que dicha información se incorpore mediante referencias cruzadas en la nota única o sección separada sobre arrendamientos.
53 Un arrendatario revelará los siguientes importes para el periodo sobre que se informa:
(a) cargo por depreciación de los activos por derecho de uso por clase de activo subyacente;
(b) gasto por intereses por los pasivos por arrendamiento;
(c) el gasto relacionado con arrendamientos a corto plazo contabilizados aplicando el párrafo 6. Este gasto no necesita incluir el gasto relacionado con arrendamientos de duración igual o inferior a un mes;
(d) el gasto relacionado con arrendamientos de activos de bajo valor contabilizados aplicando el párrafo 6. Este gasto no Incluirá el relativo a arrendamientos a corto plazo de activos de bajo valor Incluidos en el párrafo 53(c);
(e) el gasto relativo a pagos por arrendamiento variables no incluidos en la medición de los pasivos por arrendamiento;
(f) Ingresos por subarrendamientos de los derechos de uso de activos;
(g) salidas de efectivo totales por arrendamientos;
(h) incorporaciones de activos por derecho de uso;
(i) ganancias o pérdidas que surgen de transacciones de venta con arrendamiento posterior; y
(j) el importe en libros de los activos por derecho de uso al final del periodo sobre el que se informa por clase del activo subyacente.
54 Un arrendatario proporcionará la información a revelar especificada en el párrafo 53 en formato de tabla, a menos que sea más apropiado otro formato. Los Importes revelados incluirán costos que un arrendatario haya Incluido en el importe en libros de otro activo durante el periodo sobre el que se Informa.
55 Un arrendatario revelará el importe de sus compromisos por arrendamientos para los arrendamientos a corto plazo contabilizados aplicando el párrafo 6, si la cartera de arrendamientos a corto plazo a los que se ha comprometido al final del periodo sobre el que se informa no es igual que la cartera de arrendamientos a corto plazo con la que se relaciona el gasto por arrendamientos a corto plazo revelado aplicando el párrafo 53(c).
56 Si los activos por derecho de uso cumplen la definición de propiedades de inversión, un arrendatario aplicará los requerimientos de información a revelar de la NIC 40. En ese caso, no se requiere que un arrendatario proporcione la información a revelar del párrafo 53(a), (f), (h) o (j) sobre los activos por derecho de uso.
57 Si un arrendatario mide los activos por derecho de uso a importes revaluados aplicando la NIC 16, el arrendatario revelará la información requerida por el párrafo 77 de la NIC 16 para esos activos por derecho de uso.
58 Un arrendatario revelará un análisis de vencimientos de los pasivos por arrendamiento aplicando los párrafos 39 y B11 de la NIIF 7 Instrumentos Financieros: información a Revelar de forma separada de los análisis de vencimientos de otros pasivos financieros.
59 Además, de la información a revelar requerida por los párrafos 53 a 58, un arrendatario revelará Información cualitativa y cuantitativa adicional sobre sus actividades de arrendamiento necesaria para cumplir el objetivo de información a revelar del párrafo 51 (como se describe en el párrafo B48). Esta información adicional puede incluir, pero no limitarse a, información que ayude a los usuarios de los estados financieros a evaluar:
(a) la naturaleza de las actividades por arrendamiento del arrendatario;
(b) salidas de efectivo futuras a las que el arrendatario está potencialmente expuesto y no están reflejadas en la medición de los pasivos por arrendamiento. Esto incluye la exposición que surge de:
(i) pagos por arrendamiento variables (como se describe en el párrafo B49);
(ii) opciones de ampliación y opciones de terminación (como se describe en el párrafo B50);
(iii) garantías de valor residual (como se describe en el párrafo B51); y
(iv) arrendamientos todavía no comenzados a los que se compromete el arrendatario.
(c) restricciones o pactos impuestos por los arrendamientos; y
(d) transacciones de venta con arrendamiento posterior (como se describe en el párrafo B52).
60 Un arrendatario que contabilice los arrendamientos a corto plazo o los arrendamientos de activos de bajo valor aplicando el párrafo 6 revelará ese hecho.
60A Si un arrendatario aplica la solución práctica del párrafo 46A revelará:
(a) que ha aplicado la solución práctica a todas las reducciones del alquiler que cumplen las condiciones del párrafo 46B o, si no la ha aplicado a todas las reducciones del alquiler, revelará información sobre la naturaleza de los contratos a los que ha aplicado la solución práctica (véase el párrafo 2); y
(b) el importe reconocido en el resultado del periodo sobre el que se informa para reflejar los cambios en los pagos por arrendamiento que surgen de las reducciones de alquiler a las que el arrendatario ha aplicado la solución práctica del párrafo 46A.
Arrendador
Clasificación de los arrendamientos (B53 a B58)
61 Un arrendador clasificará cada uno de sus arrendamientos como un arrendamiento operativo o un arrendamiento financiero.
62 Un arrendamiento se clasificará como financiero cuando transfiera sustancialmente todos los riesgos y ventajas inherentes a la propiedad de un activo subyacente. Un arrendamiento se clasificará como operativo si no transfiere sustancialmente todos los riesgos y ventajas inherentes a la propiedad de un activo subyacente.
63 Si un arrendamiento es un arrendamiento financiero u operativo depende de la esencia de la transacción y no de la forma del contrato. Ejemplos de situaciones que, individualmente o en combinación, normalmente llevarían a clasificar un arrendamiento como financiero son:
(a) el arrendamiento transfiere la propiedad del activo subyacente al arrendatario al finalizar el plazo del arrendamiento;
(b) el arrendatario tiene la opción de comprar el activo subyacente a un precio que se espera sea suficientemente inferior al valor razonable en el momento en que la opción sea ejercitable, de modo que, en la fecha de inicio del acuerdo, se prevea con razonable certeza que tal opción será ejercida;
(c) el plazo del arrendamiento cubre la mayor parte de la vida económica del activo subyacente incluso si la propiedad no se transfiere al final de la operación;
(d) en la fecha de inicio del acuerdo, el valor presente de los pagos por el arrendamiento es al menos equivalente en la práctica a la totalidad del valor razonable del activo subyacente objeto de la operación; y
(e) el activo subyacente es de una naturaleza tan especializada que solo el arrendatario puede usarlo sin realizarle modificaciones importantes.
64 Otros indicadores de situaciones que podrían llevar, por sí solas o de forma conjunta con otras, a la clasificación de un arrendamiento como de carácter financiero, son las siguientes:
(a) si el arrendatario puede cancelar el contrato de arrendamiento, y las pérdidas sufridas por el arrendador a causa de tal cancelación fueran asumidas por el arrendatario;
(b) las pérdidas o ganancias derivadas de las fluctuaciones en el valor razonable del importe residual recaen sobre el arrendatario (por ejemplo en la forma de un descuento por importe similar al valor de venta del activo al final del arrendamiento); y
(c) el arrendatario tiene la posibilidad de prorrogar el arrendamiento durante un segundo periodo, con unos pagos por arrendamiento que son sustancialmente inferiores a los habituales del mercado. .
65 Los ejemplos e indicadores contenidos en los párrafos 63 a 64 no son siempre concluyentes. Si resulta claro, por otras características, que el arrendamiento no transfiere sustancialmente todos los riesgos y ventajas inherentes a la propiedad de un activo subyacente, se clasificará como operativo. Por ejemplo, este podría ser el caso en el que se transfiera la propiedad del activo subyacente, al término del arrendamiento, por un pago variable que sea igual a su valor razonable en ese momento, o si existen pagos por arrendamiento variables, como consecuencia de los cuales el arrendador no transfiere sustancialmente todos esos riesgos y ventajas.
66 La clasificación del arrendamiento se realiza en la fecha de inicio del acuerdo y se evalúa nuevamente solo si se produce una modificación del arrendamiento. Los cambios en las estimaciones (por ejemplo las que suponen modificaciones en la vida económica o en el valor residual del activo subyacente) o los cambios en circunstancias (por ejemplo el incumplimiento por parte del arrendatario), no darán lugar a una nueva clasificación del arrendamiento a efectos contables.
Arrendamientos financieros
Reconocimiento y medición
67 En la fecha de comienzo, un arrendador reconocerá en su estado de situación financiera los activos que mantenga en arrendamientos financieros y los presentará como una partida por cobrar, por un importe igual al de la inversión neta en el arrendamiento.
Medición inicial
68 El arrendador usará la tasa de interés implícita en el arrendamiento para medir la inversión neta en el arrendamiento. En el caso de un subarrendamiento, si la tasa de interés implícita en el subarrendamiento no puede determinarse con facilidad, un arrendador intermedio puede usar la tasa de descuento utilizada en el arrendamiento principal (ajustada por los costos directos iniciales asociados con el subarrendamiento) para medir la Inversión neta en el subarrendamiento.
69 Los costos directos iniciales distintos de los incurridos por los arrendadores que sean a la vez fabricantes o distribuidores de los bienes arrendados se incluirán en la medición inicial de la inversión neta en el arrendamiento y reducirán el importe de los ingresos reconocidos a lo largo de la duración del arrendamiento. La tasa de interés implícita del arrendamiento se define de forma que los costos directos iniciales se incluyen automáticamente en la inversión neta del arrendamiento; esto es, no hay necesidad de añadirlos de forma independiente.
Medición inicial de los pagos por arrendamiento incluidos en la inversión neta en el arrendamiento.
70 En la fecha de comienzo, los pagos por arrendamiento incluidos en la medición de la Inversión neta en el arrendamiento comprenden los pagos siguientes por el derecho a usar el activo subyacente durante el plazo del arrendamiento que no se reciban en la fecha de comienzo:
(a) pagos fijos (incluyendo los pagos fijos en esencia como se describe en el párrafo B42), menos los incentivos del arrendamiento por pagar;
(b) pagos por arrendamiento variables, que dependen de un Índice o una tasa, inicialmente medida usando el índice o tasa en la fecha de comienzo;
(c) cualquier garantía de valor residual proporcionada al arrendador por el arrendatario, una parte relacionada con el arrendatario o un tercero no relacionado con el arrendador que es financieramente capaz de satisfacer las obligaciones bajo la garantía;
(d) el precio de ejercicio de una opción de compra si el arrendatario está razonablemente seguro de ejercer esa opción (evaluada considerando los factores descritos en el párrafo B37); y
(e) pagos por penalizaciones derivadas de la terminación del arrendamiento, si el plazo del arrendamiento refleja que el arrendatario ejercerá una opción para terminar el arrendamiento.
Arrendadores que son a la vez fabricantes o distribuidores de los bienes arrendados
71 En la fecha de comienzo, un arrendador que es a la vez fabricante o distribuidor de los bienes arrendados reconocerá lo siguiente para cada uno de sus arrendamientos financieros:
(a) ingresos de actividades ordinarias por el valor razonable del activo subyacente, o sí es menor, por el valor presente de los pagos por arrendamiento acumulados (devengados) al arrendador, descontados usando una tasa de interés de mercado;
(b) el costo de venta por el costo o el importe en libros, si fuera distinto, del activo subyacente, menos el valor presente del valor residual no garantizado; y
(c) el resultado de la venta (que es la diferencia entre los ingresos de actividades ordinarias y el costo de la venta) de acuerdo con su política de ventas directas a los que se aplica la NIIF 15. Un arrendador, que es a la vez fabricante o distribuidor de los bienes arrendados, reconocerá el resultado de la venta sobre un arrendamiento financiero en la fecha de comienzo, independientemente de si el arrendador transfiere el activo subyacente como describe la NIIF 15,
72 Los fabricantes o distribuidores ofrecen a menudo a sus clientes la posibilidad de comprar o alquilar un activo. Un arrendamiento financiero de un activo por un arrendador, que es a la vez fabricante o distribuidor de los bienes arrendados, da lugar a resultados equivalentes a los procedentes de la venta directa de un activo subyacente, por precios de venta normales, en los que se tenga en cuenta cualquier descuento comercial o por volumen aplicable.
73 Los fabricantes o distribuidores que son también arrendadores aplican a veces tasas de interés artificialmente bajas a fin de atraer a los clientes. El uso de dichas tasas podría dar lugar a que un arrendador reconozca, en la fecha de comienzo, una porción excesiva del resultado total de la transacción. Si se han aplicado tasas de interés artificialmente bajas, un arrendador, que sea a la vez fabricante o distribuidor de los bienes arrendados, reducirá la ganancia por venta a la que se hubiera obtenido de haber aplicado tasas de interés de mercado.
74 Un arrendador, que sea a la vez fabricante o distribuidor de los bienes arrendados, reconocerá como un gasto los costos incurridos en relación con la obtención de un arrendamiento financiero en la fecha del comienzo, puesto que principalmente se relacionan con la obtención de la ganancia por venta del fabricante o distribuidor. Los costos incurridos por los arrendadores, que son a la vez fabricantes o distribuidores de los bienes arrendados en relación con la obtención de un arrendamiento financiero se excluyen de la definición de los costos directos iniciales y, por ello, de la inversión neta en el arrendamiento.
Medición posterior
75 Un arrendador reconocerá los ingresos financieros a lo largo del plazo del arrendamiento, sobre la base de una pauta que refleje una tasa de rendimiento constante sobre la inversión financiera neta que el arrendador ha realizado en el arrendamiento.
76 Un arrendador aspira a distribuir el ingreso financiero sobre una base sistemática y racional, a lo largo del plazo del arrendamiento. Un arrendador aplicará los pagos por arrendamiento relacionados con el periodo contra la inversión bruta en el arrendamiento, para reducir tanto el principal como los ingresos financieros no acumulados (devengados).
77 Un arrendador aplicará los requerimientos de baja en cuentas y de deterioro de valor de la NIIF 9 a la Inversión neta en el arrendamiento. Un arrendador revisará regularmente los valores residuales no garantizados estimados utilizados para calcular la inversión neta en el arrendamiento. Si se hubiera producido una reducción permanente en la estimación del valor residual no garantizado, el arrendador revisará el ingreso asignado a lo largo del plazo del arrendamiento, y reconocerá de forma inmediata cualquier reducción respecto a los importes acumulados (devengados).
78 Un arrendador que clasifique un activo bajo arrendamiento financiero como mantenido para la venta (o incluido en un grupo de activos para su disposición clasificado como mantenido para la venta) que aplique la NIIF 5 Activos No corrientes Mantenidos para la Venta y Operaciones Discontinuadas, contabilizará el activo de acuerdo con esa Norma.
Modificaciones del arrendamiento
79 Un arrendador contabilizará una modificación de un arrendamiento financiero como un arrendamiento separado si:
(a) la modificación incrementa el alcance del arrendamiento añadiendo el derecho a usar uno o más activos subyacentes;
(b) la contraprestación por el arrendamiento se incrementa por un importe acorde con el precio independiente del incremento en el alcance y por cualquier ajuste adecuado a ese precio independiente para reflejar las circunstancias del contrato concreto.
80 Para una modificación de un arrendamiento financiero que no se contabilice como un arrendamiento separado, un arrendador contabilizará la modificación de la forma siguiente:
(a) si el arrendamiento hubiera sido clasificado como un arrendamiento operativo y si la modificación hubiera estado vigente en la fecha de inicio del acuerdo, el arrendador:
(i) contabilizará la modificación del arrendamiento como un arrendamiento nuevo desde la fecha de vigencia de la modificación; y
(ii) medirá el importe en libros del activo subyacente como la inversión neta en el arrendamiento inmediatamente antes de la fecha de vigencia de la modificación del arrendamiento.
(b) En otro caso, el arrendador aplicará los requerimientos de la NIIF 9.
Arrendamientos operativos
Reconocimiento y medición
81 Un arrendador reconocerá los pagos por arrendamiento procedentes de los arrendamientos operativos como ingresos de forma lineal o de acuerdo con otra base sistemática. El arrendador aplicará otra base sistemática si ésta es más representativa del patrón con la que se disminuye el beneficio del uso del activo subyacente.
82 Un arrendador reconocerá como un gasto los costos, Incluyendo la depreciación, incurridos para obtener los Ingresos del arrendamiento.
83 Un arrendador añadirá los costos directos iniciales incurridos para obtener un arrendamiento operativo al importe en libros del activo subyacente y reconocerá dichos costos como gasto a lo largo de la duración de arrendamiento, sobre la misma base que los ingresos del arrendamiento.
84 La política de depreciación para activos subyacentes depreciables sujetos a arrendamientos operativos será congruente con la política de depreciación normal que el arrendador siga para activos similares. Un arrendador calculará la depreciación de acuerdo con la NIC 16 y la NIC 38.
85 Un arrendador aplicará la NIC 36 para determinar si un activo subyacente sujeto a un arrendamiento operativo ha sufrido deterioro de valor y contabilizará cualquier pérdida por deterioro de valor identificada.
86 El arrendador, que sea a la vez fabricante o distribuidor de los bienes arrendados, no reconocerá ningún resultado por la venta cuando celebre un contrato de arrendamiento operativo, puesto que la operación no es equivalente a una venta.
Modificaciones del arrendamiento
87 Un arrendador contabilizará una modificación en un arrendamiento operativo como un nuevo arrendamiento desde la fecha de vigencia de la modificación, considerando los pagos por arrendamiento anticipados o acumulados (devengados) relacionados con el arrendamiento original como parte de los pagos del nuevo arrendamiento.
Presentación
88 Un arrendador presentará los activos subyacentes sujetos a arrendamientos operativos en su estado de situación financiera de acuerdo con la naturaleza de los activos subyacentes.
Información a revelar
89 El objetivo de la Información a revelar para los arrendatarios es revelar información en las notas que, junto con la información proporcionada en el estado de situación financiera, estado del resultado del periodo y estado de flujos de efectivo, dé una base a los usuarios de los estados financieros para evaluar el efecto que tienen los arrendamientos sobre la situación financiera, rendimiento financiero y flujos de efectivo del arrendatario. Los párrafos 90 a 97 especifican los requerimientos sobre cómo cumplir este objetivo.
90 Un arrendador revelará los siguientes importes para el periodo sobre que se informa:
(a) Para arrendamientos financieros:
(i) resultados de las ventas;
(ii) ingresos financieros sobre la inversión neta en el arrendamiento; y
(iii) el ingreso relativo a pagos por arrendamiento variables no incluidos en la medición de la Inversión neta en el arrendamiento.
(b) Para arrendamientos operativos, el Ingreso del arrendamiento, revelando por separado el ingreso relacionado con pagos por arrendamiento variables que no dependen de un índice o una tasa.
91 Un arrendador proporcionará la Información a revelar especificada en el párrafo 90 en formato de tabla, a menos que sea más apropiado otro formato.
92 Un arrendador revelará información cuantitativa y cualitativa adicional sobre sus actividades de arrendamiento, necesaria para cumplir el objetivo de información a revelar del párrafo 89. Esta información adicional incluye, pero no se limita a, información que ayude a los usuarios de los estados financieros a evaluar;
(a) la naturaleza de las actividades por arrendamientos del arrendador; y
(b) la forma en que el arrendador gestiona el riesgo asociado con cualquier derecho que conserve sobre los activos subyacentes. En concreto, un arrendador revelará su estrategia de gestión de riesgos para los derechos que conserve sobre los activos subyacentes, incluyendo cualquier medio por el cual reduce ese riesgo. Estos medios pueden incluir, por ejemplo, acuerdos de recompra, garantías de valor residual, o pagos por arrendamiento variables a usar al superar límites especificados.
Arrendamientos financieros
93 Un arrendador proporcionará una explicación cuantitativa y cualitativa de los cambios significativos en el Importe en libros de la inversión neta en los arrendamientos financieros.
94 Un arrendador revelará un análisis de vencimientos de los pagos por arrendamiento por cobrar, mostrando los pagos por arrendamiento sin descontar a recibir anualmente durante un mínimo de cada uno de los cinco primeros años y un total de los importes para los años restantes. Un arrendador conciliará los pagos por arrendamiento no descontados con la Inversión neta en el arrendamiento. La conciliación identificará el Ingreso financiero no acumulado (o no devengado) relacionado con los pagos por arrendamiento por recibir y cualquier valor residual no garantizado descontado.
Arrendamientos operativos
95 Para partidas de propiedades, planta y equipo sujetas a un arrendamiento operativo, un arrendador aplicará los requerimientos de información a revelar de la NIC 16. Al aplicar los requerimientos de información a revelar de la NIC 16, un arrendador desagregará cada clase de propiedades, planta y equipo en activos sujetos a arrendamientos operativos y activos no sujetos a arrendamientos operativos. Por consiguiente, un arrendador proporcionará la información a revelar requerida por la NIC 16 para activos sujetos a un arrendamiento operativo (por clase de activo subyacente) de forma separada de los activos mantenidos y usados por el arrendador de los que es éste propietario.
96 Un arrendador aplicará los requerimientos de información a revelar de las NIC 36, NIC 38, NIC 40 y NIC 41 para activos sujetos a arrendamientos operativos.
97 Un arrendador revelará un análisis de vencimientos de los pagos por arrendamiento, mostrando los pagos por arrendamiento sin descontar a recibir anualmente durante un mínimo de cada uno de los cinco primeros años y un total de los importes para los años restantes.
Transacciones de venta con arrendamiento posterior
98 Si una entidad (el arrendatario-vendedor) transfiere un activo a otra entidad (el arrendador-comprador) y la primera toma en arrendamiento ese activo de la segunda, el arrendatario-vendedor y el arrendador- comprador contabilizarán el contrato de transferencia y el arrendamiento aplicando los párrafos 99 a 103.
Evaluación de si la transferencia del activo es una venta
99 Una entidad aplicará los requerimientos para la determinación de cuándo se satisface una obligación de desempeño según la NIIF 15 para establecer si la transferencia de un activo se contabiliza como una venta de ese activo.
La transferencia del activo es una venta
100 Si la transferencia de un activo por el arrendatario-vendedor satisface los requerimientos de la NIIF 15 para ser contabilizada como una venta del activo:
(a) El arrendatario-vendedor medirá el activo por derecho de uso que surge de la venta con arrendamiento posterior en la proporción del importe en libros anterior del activo que se relaciona con los derechos de uso conservados por el arrendatario-vendedor. Por consiguiente, el arrendatario-vendedor reconocerá solo el importe de cualquier ganancia o pérdida relacionada con los derechos transferidos al arrendador-comprador.
(b) El arrendador-comprador contabilizará la compra del activo aplicando las Normas que correspondan, y el arrendamiento aplicando los requerimientos de contabilización del arrendador de esta Norma,
101 Si el valor razonable de la contraprestación por la venta de un activo no iguala el valor razonable del activo, o si los pagos por el arrendamiento no son a tasas de mercado, una entidad hará los ajustes siguientes para medir los recursos procedentes de la venta a valor razonable:
(a) cualesquiera términos por debajo del mercado se contabilizarán como un anticipo de pagos por arrendamiento; y
(b) cualesquiera términos por encima del mercado se contabilizarán como financiación adicional proporcionada por el arrendador-comprador al arrendatario-vendedor,
102 La entidad medirá cualquier ajuste potencial requerido por el párrafo 101 sobre la base del más fácilmente determinable, entre los siguientes:
(a) la diferencia entre el valor razonable de la contraprestación por la venta y el valor razonable del activo; y
(b) la diferencia entre el valor presente de los pagos contractuales por el arrendamiento y el valor presente de los pagos por el arrendamiento a tasas de mercado,
La transferencia del activo no es una venta
103 Si la transferencia de un activo por el arrendatario-vendedor no satisface los requerimientos de la NIIF 15 para ser contabilizada como una venta del activo:
(a) el arrendatario-vendedor continuará reconociendo el activo transferido y reconocerá un pasivo financiero igual a los recursos de la transferencia. El pasivo financiero se contabilizará aplicando la NIIF 9.
(b) El arrendador-comprador no reconocerá el activo transferido y reconocerá un activo financiero igual a los recursos de la transferencia. El activo financiero se contabilizará aplicando la NIIF 9.
Excepción temporal que surge de la reforma de la tasa de interés de referencia
104 Un arrendatario aplicará los párrafos 105 y 106 a todas las modificaciones de arrendamiento que cambian la base para la determinación de los pagos por arrendamientos futuros como resultado de la reforma de la tasa de interés de referencia (véanse los párrafos 5,4.6 y 5.4.8 de la NIIF 9). Estos párrafos se aplican solo a dichas modificaciones del arrendamiento. Para este propósito, el término "reforma de la tasa de interés de referencia" tiene relación con la reforma en los mercados de una tasa de interés de referencia, como se describe en el párrafo 6.8.2 de la NIIF 9.
105 Como solución práctica, un arrendatario aplicará el párrafo 42 para contabilizar una modificación de un arrendamiento requerida por la reforma de la tasa de interés de referencia. Esta solución práctica se aplica solo a estas modificaciones. A ese propósito, se requiere una modificación del arrendamiento, por la reforma de la tasa de interés de referencia si, y solo si, se cumplen estas dos condiciones:
(a) la modificación es necesaria como consecuencia directa de la reforma de la tasa de interés de
referencia; y
(b) la nueva base para la determinación de los pagos por arrendamiento es económicamente equivalente a la base anterior (es decir, la base inmediatamente precedente a la modificación).
106 Sin embargo, si hay otras modificaciones del arrendamiento, además de las requeridas por la reforma de la tasa de Interés de referencia, un arrendatario utilizará los requerimientos aplicables de esta Norma para contabilizar todas las modificaciones del arrendamiento realizadas al mismo tiempo, incluyendo las requeridas por la reforma de la tasa de interés de referencia.
Apéndice A Definiciones de términos
Este apéndice es parte integrante de la Norma.
| Fecha de comienzo del arrendamiento (fecha de comienzo) | La fecha en la que un arrendador pone un activo subyacente a disposición de un arrendatario. |
| Vida económica | El periodo a lo largo del cual se espera que un activo se use económicamente por uno o más usuarios o la cantidad de producción o unidades similares que se espera obtener de un activo por uno o más usuarios. |
| Fecha de vigencia de la modificación | La fecha en la que las partes acuerdan una modificación del arrendamiento. |
| Valor razonable | A efectos de que la aplicación por parte del arrendador de los requerimientos de contabilización de esta Norma, el importe por el cual puede ser intercambiado un activo o cancelado un pasivo, entre un comprador y un vendedor interesados y debidamente informados, en condiciones de independencia mutua. |
| Arrendamiento financiero | Un arrendamiento que transfiere sustancial mente todos los riesgos y ventajas inherentes a la propiedad del activo subyacente. |
| Pagos fijos | Los pagos realizados por un arrendatario a un arrendador por el derecho a usar un activo subyacente a lo largo del plazo del arrendamiento, excluyendo los pagos por arrendamiento variables. |
| Inversión bruta en el arrendamiento | La suma de: (a) los pagos por arrendamiento a recibir por el arrendador por el arrendamiento financiero; y (b) cualquier valor residual no garantizado que corresponda al arrendador. |
| Fecha de inicio del acuerdo de arrendamiento (fecha de inicio del acuerdo) | La fecha más temprana entre la del acuerdo de un arrendamiento y la del compromiso de ejecutar, por las partes, los principales términos y condiciones del acuerdo. |
| Costos directos iniciales | Los costos increméntales de obtener un arrendamiento en los que no se habría incurrido si el arrendamiento no se hubiera obtenido, excepto los costos incurridos por un arrendador, que es a la vez fabricante o distribuidor de los bienes arrendados, en relación con un arrendamiento financiero. |
| Tasa de interés implícita en el arrendamiento | Tasa de interés que iguala el valor presente de (a) los pagos por el arrendamiento y (b) el valor residual no garantizado, con la suma de (i) el valor razonable del activo subyacente y (ii) cualquier costo directo inicial del arrendador. |
| Arrendamiento | Un contrato, o parte de un contrato, que transmite el derecho a usar un activo (el activo subyacente) por un periodo de tiempo a cambio de una contraprestación. |
| Incentivos del arrendamiento | Pagos realizados por un arrendador al arrendatario asociado con un arrendamiento, o el reembolso o la asunción por un arrendador de los costos de un arrendatario. |
| Modificación del arrendamiento | Un cambio en el alcance de un arrendamiento, o la contraprestación de un arrendamiento, que no fue parte de los términos y condiciones originales (por ejemplo, añadir o terminar el derecho a usar uno o más activos subyacentes, o ampliar o acortar la duración contractual del arrendamiento). |
| Pagos por arrendamiento | Los pagos realizados por un arrendatario a un arrendador relacionados con el derecho a usar un activo subyacente a lo largo del plazo del arrendamiento, que comprenden lo siguiente; (a) pagos fijos (incluyendo los pagos fijos en esencia), menos los incentivos del arrendamiento por pagar; (b) pagos por arrendamiento variables que dependen de un índice o una tasa; (c) el precio de ejercicio de una opción de compra si el arrendatario está razonablemente seguro de ejercer esa opción; y (d) pagos por penalizaciones derivadas de la terminación del arrendamiento, si el plazo del arrendamiento refleja que el arrendatario ejercerá una opción para terminar el arrendamiento, Para el arrendatario, los pagos por arrendamiento también incluyen los importes a pagar por el arrendatario según las garantías de valor residual. Los pagos por arrendamiento no incluyen pagos asignados a los componentes de un contrato que no son arrendamientos, a menos que el arrendatario elija combinar componentes que no son arrendamientos con un componente de arrendamiento y contabilizarlos como un componente de arrendamiento único. Para el arrendador, los pagos por arrendamiento también incluyen cualquier garantía de valor residual proporcionada al arrendador por el arrendatario, una parte relacionada con el arrendatario o un tercero no relacionado con el arrendador que es financieramente capaz de satisfacer las obligaciones bajo garantía; Los pagos por arrendamiento no incluyen los pagos asignados a componentes que no son arrendamientos. |
| Plazo del arrendamiento | El periodo no canceladle por el cual un arrendatario tiene un derecho a usar un activo subyacente, junto con; (a) los períodos cubiertos por una opción de ampliar el arrendamiento si el arrendatario va a ejercer con razonable certeza esa opción; y (b) los periodos cubiertos por una opción para terminar el arrendamiento si el arrendatario no va a ejercer con razonable certeza esa opción. |
| Arrendatario | Una entidad que obtiene el derecho a usar un activo subyacente por un periodo de tiempo a cambio de una contraprestación, |
| Tasa incremental de los préstamos del arrendatario | La tasa de interés que un arrendatario tendría que pagar por pedir prestado por un plazo similar, y con una seguridad semejante, los fondos necesarios para obtener un activo de valor similar al activo por derecho de uso en un entorno económico parecido. |
| Arrendador | Una entidad que proporciona el derecho a usar un activo subyacente por un periodo de tiempo a cambio de una contraprestación. |
| Inversión neta en el arrendamiento | La inversión bruta en el arrendamiento descontada a la tasa de interés implícita en éste. |
| Arrendamiento operativo | Un arrendamiento que no transfiere sustancialmente todos los riesgos y ventajas inherentes a la propiedad del activo subyacente. |
| Pagos opcionales del arrendamiento | Pagos a realizar por un arrendatario a un arrendador por el derecho a usar un activo subyacente durante los periodos cubiertos por una opción de ampliar o terminar un arrendamiento que no están incluidos en el plazo del arrendamiento. |
| Periodo de uso | El periodo total de tiempo que se usa un activo para cumplir un contrato con un cliente (incluyendo los periodos de tiempo no consecutivos). |
| Garantía de valor residual | Una garantía realizada a un arrendador por una parte no relacionada con éste de que el valor (o una parte del valor) de un activo subyacente al final periodo de un arrendamiento será, al menos, de un Importe especificado. |
| Activo por derecho de uso | Un activo que representa un derecho a que un arrendatario use un activo subyacente durante el plazo del arrendamiento. |
| Arrendamiento a corto plazo | Un arrendamiento que, en la fecha de comienzo, tiene un plazo de arrendamiento de 12 meses o menos. Un arrendamiento que contiene una opción de compra no es un arrendamiento a corto plazo. |
| Subarrendamiento | Una transacción por la cual un activo subyacente es arrendado nuevamente por un arrendatario (“arrendador intermedio'') a un tercero, y el arrendamiento (“arrendamiento principal") entre el arrendador que es el propietario y el arrendatario permanece vigente. |
| Activo subyacente | Un activo que es el sujeto de un arrendamiento, por el cual el derecho a usar ese activo ha sido proporcionado por un arrendador a un arrendatario. |
| Ingresos financieros no acumulados (no devengados) | La diferencia entre: (a) la inversión bruta en el arrendamiento; y (b) la inversión neta en el arrendamiento. |
| Valor residual garantizado | Parte del valor residual del activo subyacente, cuya realización por parte del arrendador no está asegurada o que solo está garantizada por un tercero relacionado con el arrendador. |
| Pagos variables del arrendamiento | La parte de los pagos realizados por un arrendatario a un arrendador, por el derecho a usar un activo subyacente durante el plazo del arrendamiento, que varía debido a cambios en hechos y circunstancias ocurridos después de la fecha de comienzo, y son distintos del paso del tiempo. |
Términos definidos en otras Normas y usados en ésta con el mismo significado
| Contrato | Un contrato es un acuerdo entre dos o más partes que crea derechos y obligaciones exigidles. |
| Vida útil | El periodo durante el cual se espera utilizar el activo por parte de la entidad; el número de unidades de producción o similares que se espera obtener del activo por parte de una entidad. |
Apéndice B Guía de aplicación
Este apéndice forma parte integrante de la Norma. Describe la aplicación de los párrafos 1 a 103 y tiene el mismo valor normativo que las otras partes de la Norma.
Aplicación de la cartera
B1 Esta Norma especifica la contabilización de un arrendamiento individual. Sin embargo, como una solución práctica, una entidad puede aplicar esta Norma a una cartera de arrendamientos con características similares, si espera de forma razonable que los efectos sobre los estados financieros de aplicar esta Norma a la cartera no diferirían de forma significativa de su aplicación a los arrendamientos individuales de la cartera. Al contabilizar una cartera, una entidad utilizará estimaciones y suposiciones que reflejen el tamaño y composición de la cartera.
Combinación de contratos
B2 Al aplicar esta Norma, una entidad combinará dos o más contratos realizados al mismo tiempo, o próximos entre sí, con la misma contraparte (o con partes relacionadas con esa contraparte) y contabilizará los contratos como uno único, si se cumplen uno o más de los siguientes criterios:
(a) los contratos se negocian como un paquete con un objetivo comercial global que no puede comprenderse sin considerarlos contratos conjuntamente;
(b) el importe de la contraprestación a pagar en un contrato depende del precio o desempeño del otro contrato; o
(c) los derechos a usar los activos subyacentes transmitidos en los contratos (o algunos derechos a usar los activos subyacentes transmitidos en cada uno de los contratos) forman un componente del arrendamiento único como se describe en el párrafo B32.
Exención de reconocimiento: arrendamientos para los que el activo subyacente es de bajo valor (párrafos 5 a 8)
B3 Excepto por lo que se especifica en el párrafo B7, esta Norma permite que un arrendatario aplique el párrafo 6 para contabilizar arrendamientos en los que el activo subyacente es de bajo valor.
B4 La evaluación de si un activo subyacente es de bajo valor se realiza en términos absolutos. Los arrendamientos de activos de bajo valor cumplen los requisitos del tratamiento contable del párrafo 6 Independientemente de si esos arrendamientos son significativos para el arrendatario. La evaluación no se ve afectada por el tamaño, naturaleza o circunstancias del arrendatario. Por consiguiente, se espera que los diferentes arrendatarios alcancen las mismas conclusiones sobre si un activo subyacente concreto es de bajo valor.
B5 Un activo subyacente puede ser de bajo valor solo si:
(a) el arrendatario puede beneficiarse del uso del activo subyacente en sí mismo o junto con otros recursos que están fácilmente disponibles para el arrendatario; y
(b) el activo subyacente no es altamente dependiente o está altamente interrelacionado con otros activos.
B6 Un arrendamiento de un activo subyacente no cumple los requisitos de un arrendamiento de un activo de bajo valor si la naturaleza del activo es tal que, cuando es nuevo, el activo no es habitualmente de bajo valor. Por ejemplo, los arrendamientos de vehículos no cumplirían los requisitos de activos de bajo valor porque un vehículo nuevo no sería habitualmente de bajo valor.
B7 Si un arrendatario subarrienda un activo, o espera subarrendar un activo, el arrendamiento principal no cumple los requisitos de un arrendamiento de un activo de bajo valor.
B8 Algunos ejemplos, de activos subyacentes de bajo valor pueden ser las tabletas y computadoras personales, así como los elementos pequeños de mobiliario de oficina y teléfonos.
Identificación de un arrendamiento (párrafos 9 a 11)
B9 Para evaluar sí un contrato transmite el derecho de controlar el uso de un activo identificado (véanse los párrafos B13 a B20) por un periodo de tiempo, una entidad evaluará si, a lo largo de todo el periodo de uso, el cliente tiene:
(a) el derecho a obtener sustancialmente todos los beneficios económicos del uso del activo identificado (como se describe en los párrafos B21 a B23); y
(b) el derecho a decidir el uso del activo identificado (como se describe en los párrafos B24 a B30).
B10 Si el cliente tiene el derecho de controlar el uso de un activo identificado durante solo una parte del plazo del contrato, dicho contrato contiene un arrendamiento por esa parte del plazo.
B11 Un contrato para recibir bienes o servicios puede realizarse mediante un acuerdo conjunto, o en nombre de un acuerdo conjunto, como se define en la NIIF 11 Acuerdos Conjuntos. En este caso, el acuerdo conjunto se considera que es el cliente en el contrato. Por consiguiente, al evaluar si un contrato contiene un arrendamiento, una entidad evaluará si el acuerdo conjunto tiene el derecho de controlar el uso de un activo identificado a lo largo de todo el periodo de uso.
B12 Una entidad evaluará si un contrato contiene un arrendamiento para cada componente potencial del arrendamiento separado. Dirigirse al párrafo B32 para guías sobre los componentes separados del arrendamiento.
Activos identificados
B13 Un activo se identifica habitualmente por estar explícitamente especificado en un contrato. Sin embargo, un activo puede también identificarse por estar implícitamente especificado en el momento en que el activo está disponible para su uso por el cliente.
Derechos sustantivos de sustitución
B14 Incluso si se especifica un activo, un cliente no tiene el derecho a usar un activo identificado si el proveedor tiene el derecho sustantivo de sustituir el activo a lo largo de todo el periodo de uso. El derecho de un proveedor de sustituir un activo es sustantivo solo si existen las siguientes condiciones:
(a) el proveedor tiene la capacidad práctica de sustituir activos alternativos a lo largo de todo el periodo de uso (por ejemplo, el cliente no puede impedir que el proveedor sustituya el activo y hay activos alternativos fácilmente disponibles para el proveedor o podrían encontrarse por el proveedor dentro de un periodo de tiempo razonable); y
(b) el proveedor se beneficiaría económicamente del ejercicio de su derecho a sustituir el activo (es decir, se espera que los beneficios económicos asociados con la sustitución superen los costos asociados con la sustitución del activo).
B15 Sí el proveedor tiene un derecho o una obligación de sustituir el activo solo a partir de una fecha concreta o de que ocurra un suceso especificado, el derecho de sustitución del proveedor no es sustantivo porque el proveedor no tiene la capacidad práctica de sustituir activos alternativos a lo largo de todo el periodo de uso.
B16 La evaluación por una entidad de si el derecho de sustitución de un proveedor es sustantivo se basa en hechos y circunstancias al inicio del contrato y excluirá la consideración de sucesos futuros que, al inicio del contrato, no se considera probable que ocurran. Algunos ejemplos de sucesos futuros que, al inicio del contrato, no se consideraría probable que ocurran y, por ello, deben excluirse de la evaluación incluyen:
(a) un acuerdo por un cliente futuro de pagar un precio por uso del activo superior al de mercado;
(b) la introducción de nueva tecnología que no está sustancialmente desarrollada al inicio del contrato;
(c) una diferencia sustancial entre el uso del activo por el cliente, o el rendimiento del activo, y el uso o rendimiento considerado probable al inicio del contrato; y
(d) una diferencia sustancial entre el precio de mercado del activo durante el periodo de uso, y el precio de mercado considerado probable al inicio del contrato.
B17 Sí el activo se encuentra en los locales del cliente o en cualquier otro sitio, los costos asociados con la sustitución son generalmente mayores que cuando se encuentra en los locales del proveedor y, por ello, son más probables que superen los beneficios asociados con la sustitución del activo.
B18 Los derechos u obligaciones del proveedor para sustituir el activo por reparaciones y mantenimiento, si el activo no está operando adecuadamente o si una actualización técnica pasa a estar disponible no impide al cliente tener el derecho a usar un activo identificado.
B19 Si el cliente no puede determinar fácilmente si el proveedor tiene un derecho de sustitución sustantivo, el cliente supondrá que cualquier derecho de sustitución no es sustantivo.
Partes de los activos
B20 Una parte de la capacidad de un activo es un activo identificable si es físicamente distinto (por ejemplo, un piso de un edificio). Una capacidad u otra parte de un activo que no es físicamente distinta (por ejemplo, una parte de la capacidad de un cable de fibra óptica) no es un activo identificable, a menos que represente sustancialmente toda la capacidad del activo y, de ese modo proporcione al cliente el derecho a obtener sustancialmente todos los beneficios económicos del uso del activo.
Derecho a obtener beneficios económicos del uso
B21 Para controlar el uso de un activo identificable, se requiere que un cliente tenga el derecho a obtener sustancialmente todos los beneficios económicos del uso del activo a lo largo de todo el período de uso (por ejemplo, teniendo el uso exclusivo del activo a largo de todo ese periodo). Un cliente puede obtener los beneficios económicos del uso de un activo directamente o indirectamente de muchas formas, tales como usando, manteniendo o subarrendando el activo. Los beneficios económicos del uso de un activo incluyen sus productos principales y subproductos (incluyendo los flujos de efectivo potenciales procedentes de estos elementos), y otros beneficios económicos procedentes del uso del activo que podrían realizarse por una transacción comercial con un tercero.
B22 Al evaluar el derecho a obtener sustancialmente todos los beneficios económicos del uso de un activo, una entidad considerará los beneficios económicos que proceden del uso del activo, dentro del alcance delimitado por el derecho de un cliente a usar el activo (véase el párrafo B30). Por ejemplo:
(a) Si un contrato limita el uso de un vehículo a motor a solo un territorio concreto durante el periodo de uso, una entidad considerará solo los beneficios económicos del uso del vehículo de motor dentro del territorio, y no más fuera del mismo.
(b) Si un contrato especifica que un cliente puede conducir un vehículo a motor solo hasta un número concreto de kilómetros durante el periodo de uso, una entidad considerará solo los beneficios económicos del uso del vehículo de motor para el kilometraje permitido y no más allá.
B23 Si un contrato requiere que un cliente pague al proveedor o a un tercero una parte de los flujos de efectivo procedentes del uso de un activo como contraprestación, esos flujos de efectivo pagados como contraprestación se considerarán parte de los beneficios económicos que el cliente obtiene del uso del activo. Por ejemplo, si se requiere que el cliente pague al proveedor un porcentaje de las ventas por el uso de un espacio comercial como contraprestación por ese uso, ese requerimiento no impide que el cliente tenga el derecho a obtener sustancialmente todos los beneficios económicos del uso del espacio comercial. Esto es así porque los flujos de efectivo que surgen de esas ventas se consideran que son beneficios económicos que obtiene el cliente del uso del espacio comercial, una parte de la cual paga al proveedor como contraprestación por el derecho a usar ese espacio.
Derecho a decidir el uso
B24 Un cliente tiene el derecho a decidir sobre el uso de un activo identificado a lo largo de todo el periodo de uso solo si:
(a) el cliente tiene el derecho a decidir cómo y para qué propósito se usa el activo a lo largo de todo el periodo de uso (como se describe en los párrafos B25 a B30); o
(b) las decisiones relevantes sobre cómo y para qué propósito se usa están predeterminadas y:
(i) el cliente tiene el derecho a operar el activo (o dirigir a otros para operar el activo de la forma que determine) a lo largo de todo el periodo de uso, sin que el proveedor tenga el derecho a cambiar esas instrucciones operativas; o
(ii) el cliente diseñó el activo (o aspectos específicos del mismo) de forma que predetermina cómo y para qué propósito se usará el activo a lo largo de todo el periodo de uso.
Cómo y para qué propósito se usa el activo
B25 Un cliente tiene el derecho a decidir cómo y para qué propósito se usa el activo si, dentro del alcance de su derecho definido en el contrato, puede cambiar el cómo y para qué propósito se usa el activo a lo largo de todo el periodo de uso. Para hacer esta evaluación, una entidad considera los derechos a tomar decisiones que son más relevantes para cambiar el cómo y para qué propósito se usa el activo a lo largo de todo el periodo de uso. Los derechos de toma de decisiones son relevantes cuando afectan los beneficios económicos que proceden del uso. Es probable que los derechos de toma de decisiones que son más relevantes sean diferentes para distintos contratos, dependiendo de la naturaleza del activo y los términos y condiciones del contrato.
B26 Algunos ejemplos de derechos de toma de decisiones que, dependiendo de las circunstancias, conceden el derecho a cambiar el cómo y para qué propósito se usa el activo, dentro del alcance definido de los derechos de uso del cliente, incluyen;
(a) derechos a cambiar el tipo de producto que se fabrica mediante el activo (por ejemplo, para decidir si usar un contenedor de transporte para trasladar bienes o para almacenar, o para decidir sobre el conjunto de productos vendidos desde el espacio comercial);
(b) derechos a cambiar cuándo se fabrica el producto (por ejemplo, decidir cuándo se usará un elemento de maquinaria o una planta de electricidad);
(c) derechos a cambiar donde tiene lugar la producción (por ejemplo, decidir sobre el destino de un camión o un barco, o decidir cuándo se usa un elemento de equipo); y
(d) derechos a cambiar si se fabrica el producto, y la cantidad de ese producto (por ejemplo, decidir si producir energía desde la planta de electricidad y cuánta energía producir desde esa planta).
B27 Ejemplos de derechos de toma de decisiones que no conceden el derecho a cambiar cómo y para qué propósito se usa el activo incluyen derechos que se limitan a operar o mantener el activo. Estos derechos pueden corresponder al cliente o el proveedor. Aunque derechos tales como los de operar o mantener un activo son, a menudo, esenciales para el uso eficiente de un activo, no son derechos a dirigir cómo y para qué propósito se usa el activo y, a menudo, dependen de decisiones sobre cómo y para qué propósito se usa el activo. Sin embargo, los derechos a operar un activo pueden conceder al cliente el derecho a decidir el uso del activo si las decisiones relevantes sobre cómo y para qué propósito se usa el activo están predeterminados [véase el párrafo B24(b)(i)].
Decisiones determinadas antes y durante el periodo de uso
B28 Las decisiones relevantes sobre cómo y para qué propósito se usa el activo pueden predeterminarse de diversas formas. Por ejemplo, las decisiones relevantes pueden predeterminarse mediante el diseño del activo o mediante restricciones contractuales sobre el uso del activo.
B29 Al evaluar si un cliente tiene el derecho a decidir el uso de un activo, una entidad considerará solo los derechos a tomar decisiones sobre el uso del activo durante el periodo de uso, a menos que el cliente diseñe el activo (o aspectos específicos de éste) como se describe en el párrafo B24(b)(ií). Por consiguiente, a menos que se den las condiciones del párrafo B24(b)(ii), una entidad no considerará decisiones que estén predeterminadas antes del periodo de uso. Por ejemplo, si un cliente puede solo especificar la producción a obtener de un activo antes del periodo de uso, el cliente no tiene el derecho a decidir el uso de ese activo. La capacidad de especificar la producción en un contrato antes del periodo de uso, sin ningún otro derecho a tomar decisiones relacionadas con el uso del activo, otorga al cliente los mismos derechos que a cualquier cliente que compre bienes o servicios.
Derechos protectores
B30 Un contrato puede incluir términos y condiciones diseñados para proteger el interés del proveedor en el activo u otros activos, para proteger su personal, o para asegurar el cumplimiento del proveedor de las leyes o regulaciones. Estos son ejemplos de derechos protectores. Por ejemplo, un contrato puede (i) especificar la cantidad máxima de uso de un activo o el límite de dónde y cuándo puede usar el cliente el activo, (ii) requerir que un cliente siga prácticas operativas concretas, o (iii) requerir que un cliente informe al proveedor de cambios relativos a cómo se usará un activo. Los derechos protectores habitualmente definen el alcance de los derechos de uso del cliente, pero no impiden al cliente, por sí solos, ejercer el derecho a decidir el uso de un activo.
B31 El siguiente flujograma pueda ayudar a las entidades a hacer la evaluación de si un contrato es, o contiene, un arrendamiento.

Componentes separados de un contrato (párrafos 12 a 17)
B32 El derecho a usar un activo subyacente es un componente del arrendamiento separado si:
(a) el arrendatario puede beneficiarse del uso del activo subyacente por sí mismo o junto con otros recursos que están fácilmente disponibles para el arrendatario. Recursos fácilmente. disponibles son bienes o servicios que se venden o arriendan por separado (por el arrendador u otros proveedores) o recursos que el arrendatario ya ha obtenido (del arrendador o de otras transacciones o sucesos); y
(b) el activo subyacente no es altamente dependiente ni está altamente interrelacionado con otros activos subyacentes en el contrato, Por ejemplo, el hecho de que un arrendatario pueda decidir no arrendar el activo subyacente sin afectar significativamente sus derechos a usar otros activos subyacentes en el contrato, puede indicar que el activo subyacente no es altamente dependiente o no está altamente interrelacionado con los otros activos subyacentes.
B33 Un contrato puede incluir un importe por pagar por el arrendatario para actividades y costos que no transfieren un bien o servicio al arrendatario. Por ejemplo, un arrendador puede incluir en el importe total por pagar un cargo por tareas administrativas, u otros costos incurridos asociados con el arrendamiento, que no transfieren un bien o servicio al arrendatario. Estos importes por pagar no dan lugar a un componente separado del contrato, pero se consideran parte de la contraprestación total que se distribuye a los componentes identificados por separado del contrato.
Plazo del arrendamiento (párrafos 18 a 21)
B34 Para determinar el plazo del arrendamiento y evaluar la duración del periodo no canceladle del arrendamiento, una entidad aplicará la definición de un contrato y determinará el periodo por el que dicho contrato es exigible. Un arrendamiento deja de ser exigible cuando el arrendatario y el arrendador tienen, cada uno por separado, el derecho de terminar el arrendamiento sin permiso de la otra parte con una penalización insignificante,
B35 Si solo el arrendatario tiene el derecho a terminar un arrendamiento, ese derecho se considera que es una opción a terminar el arrendamiento disponible para el arrendatario, que una entidad ha de considerar al determinar el plazo del arrendamiento. Si solo el arrendador tiene el derecho a terminar un arrendamiento, el periodo no cancelable del arrendamiento incluye el periodo cubierto por la opción de terminar el arrendamiento.
B36 El plazo del arrendamiento empieza en la fecha de comienzo e incluye los periodos libres de renta proporcionados al arrendatario por el arrendador.
B37 En la fecha de comienzo, una entidad evalúa si es razonablemente cierto que el arrendatario ejerza una opción para ampliar el arrendamiento o comprar el activo subyacente, o no ejerza una opción de terminar el arrendamiento. La entidad considera todos los hechos y circunstancias relevantes que crean un incentivo económico para que los arrendatarios ejerzan, o no, la opción, incluyendo los cambios esperados en hechos y circunstancias desde la fecha de comienzo hasta la fecha de ejercicio de la opción. Ejemplos de factores a considerar incluyen, pero no se limitan a:
(a) los términos y condiciones contractuales para los periodos opcionales comparados con las tasas de mercado, tales como:
(I) el importe de pagos por el arrendamiento en cualquier periodo opcional;
(ii) el importe de cualquier pago variable por el arrendamiento u otros pagos contingentes, tales como pagos que procedan de penalizaciones por terminación y garantías de valor residual; y
(iii) los términos y condiciones de las opciones que son ejercitables después de los periodos opcionales iniciales (por ejemplo, una opción de compra que es ejercitable al final de un periodo de ampliación a una tasa que está actualmente por debajo de las tasas de mercado).
(b) mejoras del arrendamiento significativas llevadas a cabo (o que se espera llevar a cabo) a lo largo del plazo del contrato, que se espera que tengan un beneficio económico significativo para el arrendatario cuando la opción de ampliar o terminar el arrendamiento, o comprar el activo subyacente, pase a ser ejercitable;
(c) costos relacionados con la terminación del arrendamiento, tal como los costos de negociación, costos de reubicación, costos de Identificar otro activo subyacente adecuado para las necesidades del arrendatario, costos de integrar un nuevo activo en las operaciones del arrendatario, o penalizaciones de terminación y costos similares, incluyendo los costos asociados con la devolución del activo subyacente en una condición especificada contractualmente o a una ubicación especificada contractualmente;
(d) la importancia de ese activo subyacente para las operaciones del arrendatario, considerando, por ejemplo, si el activo subyacente es un activo especializado, la ubicación del activo subyacente y la disponibilidad de alternativas adecuadas; y
(e) condicionalmente asociado con el ejercicio de la opción (es decir, cuando la opción puede ejercerse solo si se cumplen una o más condiciones), y la probabilidad de que existirán esas condiciones,
B38 Una opción de ampliar o terminar un arrendamiento puede combinarse con una o más características contractuales (por ejemplo, una garantía de valor residual), tales que el arrendatario garantice al arrendador una rentabilidad mínima o cobros fijos que son sustancialmente los mismos independientemente de si ejerce o no la opción. En estos casos, y a pesar de las guías sobre pagos fijos en esencia del párrafo B42, una entidad supondrá que el arrendatario tiene una razonable certeza de que ejercerá la opción de ampliar el arrendamiento, o no ejercerá la opción de terminar con él,
B39 Cuánto más corto sea el periodo no cancelable de un arrendamiento, mayor será la probabilidad de que un arrendatario ejerza una opción de ampliar el arrendamiento o no ejercer una opción de terminar el arrendamiento. Esto es así porque los costos asociados con la obtención un activo de sustitución es probable que sean proporcionalmente más altos cuánto más corto sea el periodo no cancelable,
B40 La práctica pasada de un arrendatario con respecto al periodo sobre el que ha usado habitualmente tipos concretos de activos (si arrendados o comprados), junto con sus razones económicas para hacerlo así, pueden proporcionar información que sea útil para evaluar si el arrendatario tiene certeza razonable de ejercer o no, una opción. Por ejemplo, si un arrendatario ha usado habitualmente tipos concretos de activos por un determinado periodo de tiempo o si el arrendatario tiene la práctica de ejercer frecuentemente las opciones sobre los arrendamientos de tipos concretos de activos subyacentes, el arrendatario considerará las razones económicas de esa práctica pasada al evaluar si hay certeza razonable de ejercer una opción sobre arrendamientos de esos activos.
B41 El párrafo 20 especifica que, después de la fecha de comienzo, un arrendatario evaluará nuevamente el plazo del arrendamiento en el momento en que ocurra un suceso o cambio significativo en las circunstancias que están bajo el control del arrendatario y afectan a la certeza razonable que posee de ejercer una opción no incluida previamente en su determinación del plazo del arrendamiento, o bien de no ejercer una opción anteriormente incluida en su determinación del plazo del arrendamiento. Algunos ejemplos de sucesos o cambios significativos en circunstancias incluyen;
(a) mejoras del arrendamiento significativas no anticipadas en la fecha de comienzo que se espera que tengan un beneficio económico significativo para el arrendatario cuando la opción de ampliar o terminar el arrendamiento, o comprar el activo subyacente, pasa a ser ejercitable;
(b) una modificación significativa, o bien la personalización del activo subyacente, que no se hubiera podido anticipar en la fecha de comienzo;
(c) el inicio de un subarrendamiento del activo subyacente para un periodo superior al final de plazo de arrendamiento determinado con anterioridad; y
(d) una decisión de negocio del arrendatario que es directamente relevante para ejercer, o no, una opción (por ejemplo, una decisión de ampliar el arrendamiento de un activo complementario, disponer de un activo alternativo o disponer de una unidad de negocio en la que se emplea el activo por derecho de uso).
Pagos por arrendamiento que son fijos en esencia [párrafos 27(a), 36(c) y 70(a)]
B42 Los pagos por arrendamiento incluyen cualquier pago fijo por arrendamiento en esencia. Los pagos fijos por arrendamiento, en esencia, son pagos que pueden, formalmente, contener variabilidad, pero son, en esencia, inevitables. Los pagos fijos en esencia por arrendamiento se dan, por ejemplo, cuando;
(a) los pagos se estructuran como pagos por arrendamiento variables, pero no existe una variabilidad real en ellos. Esos pagos contienen cláusulas variables que no tienen esencia económica real:
(i) pagos que deben hacerse solo si se prueba que un activo solo puede operar durante el arrendamiento, o solo si ocurre un suceso que no tiene posibilidad auténtica de no ocurrir; o
(ii) pagos que están estructurados inicialmente como pagos por arrendamiento variables vinculados al uso del activo subyacente, pero para los que la variabilidad se resolverá en algún momento después de la fecha de comienzo, de forma que los pagos pasen a ser fijos para el resto del plazo del arrendamiento. Dichos pagos pasan a ser pagos fijos en esencia cuando se resuelve la variabilidad.
(b) existe más de un conjunto de pagos que un arrendatario podría realizar, pero solo uno de esos conjuntos de pagos es realista. En este caso, una entidad considerará al conjunto realista de pagos como pagos por arrendamiento.
(c) existe más de un conjunto realista de pagos que podría hacer un arrendatario, pero debe realizar al menos uno de esos conjuntos de pagos. En este caso, una entidad considerará que los pagos por arrendamiento son el conjunto de pagos que suma el menor importe (sobre una base descontada).
Implicación del arrendatario con el activo subyacente antes de la fecha de comienzo
Los costos del arrendamiento relacionados con la construcción o diseño del activo subyacente
B43 Una entidad puede negociar un arrendamiento antes de que esté disponible el activo subyacente para su uso por el arrendatario. Para algunos arrendamientos, el activo subyacente puede tener necesidad ser construido o rediseñado para su uso por el arrendatario. Dependiendo de los términos y condiciones del contrato, puede requerirse a un arrendatario para que realice pagos relacionados con la construcción o diseño del activo.
B44 SI un arrendatario incurre en costos relacionados con la construcción o diseño de un activo subyacente, contabilizará esos costos utilizando otras Normas aplicables, tal como la NIC 16. Los costos relacionados con la construcción o diseño de un activo subyacente no incluyen los pagos realizados por el arrendatario por el derecho a usar el activo subyacente. Los pagos por el derecho a usar un activo subyacente son pagos por un arrendamiento, independientemente del calendario de esos pagos.
Derecho legal al activo subyacente
B45 Un arrendatario puede obtener el derecho legal a un activo subyacente antes de que se transfiera el derecho legal al arrendador y el activo se arriende al arrendatario. La obtención del derecho legal no determina por si mismo cómo contabilizar la transacción.
B46 Si el arrendatario controla (u obtiene el control) del activo subyacente antes de que se transfiera al arrendador, la transacción es una venta con arrendamiento posterior que se contabiliza aplicando los párrafos 98 a 103.
B47 Sin embargo, si el arrendatario no obtiene el control del activo subyacente antes de que se transfiera al arrendador, la transacción no es una venta con arrendamiento posterior. Por ejemplo, este podría ser el caso si un fabricante, un arrendador y un arrendatario negocian una transacción de compra de un activo al fabricante por el arrendador que a su vez arrienda al arrendatario. En este caso, si el arrendatario obtiene el derecho legal al activo subyacente pero no obtiene el control del activo antes de que se transfiera al arrendador, la transacción no se contabiliza como una venta con arrendamiento posterior, sino como un arrendamiento.
Información a revelar por el arrendatario (párrafo 59)
B48 Para determinar si es necesaria información adicional sobre las actividades de arrendamiento para cumplir el objetivo de información a revelar del párrafo 51, un arrendatario considerará:
(a) si esa información es relevante para los usuarios de los estados financieros. Un arrendatario proporcionará la información adicional especificada en el párrafo 59 solo si se espera que sea relevante para los usuarios de los estados financieros. En este contexto, es probable que éste sea el caso si ayuda a los usuarios a comprender:
(i) la flexibilidad proporcionada por los arrendamientos. Los arrendamientos pueden proporcionar flexibilidad si, por ejemplo, un arrendatario puede reducir su exposición ejerciendo las opciones de terminación o renovación de dichos arrendamientos en términos y condiciones favorables.
(ii) restricciones impuestas por los arrendamientos. Los arrendamientos pueden imponer restricciones, por ejemplo, requiriendo que los arrendatarios mantengan ratios financieros concretos.
(iii) sensibilidad de la información presentada a variables clave. La información presentada puede ser sensible a, por ejemplo, los pagos variables futuros por arrendamiento.
(iv) exposición a otros riesgos que surgen de los arrendamientos.
(v) desviaciones de la práctica del sector industrial. Estas desviaciones pueden incluir, por ejemplo, términos y condiciones de arrendamiento inusuales o extraordinarias que afectan la cartera de arrendamientos de un arrendatario.
(b) Si esa información se desprende de información presentada en los estados financieros principales o revelada en las notas. Un arrendatario no necesita duplicar Información que ya se presenta en cualquier otro sitio de los estados financieros.
B49 Información adicional relacionada con pagos por arrendamiento variables que, dependiendo de las circunstancias, podría ser necesaria para satisfacer el objetivo de información a revelar del párrafo 51, podría incluir información que ayude a los usuarios de los estados financieros a evaluar, por ejemplo:
(a) las razones del arrendatario para usar pagos por arrendamiento variables y la preponderancia de esos pagos;
(b) la magnitud relativa de los pagos por arrendamiento variables con respecto a los pagos fijos;
(c) variables clave de las que dependen los pagos por arrendamiento variables, y cómo se espera que varíen dichos pagos en respuesta a cambios en dichas variables; y
(d) otros efectos financieros y operativos de los pagos por arrendamiento variables.
B50 Entre la información adicional relacionada con las opciones de ampliación o terminación que, dependiendo de las circunstancias, podría ser necesaria para satisfacer el objetivo de información a revelar del párrafo 51, se incluiría información que ayude a los usuarios de los estados financieros a evaluar, por ejemplo:
(a) las razones del arrendatario para usar las opciones de ampliación o terminación y la preponderancia de esos pagos;
(b) la magnitud relativa de los pagos por arrendamiento opcionales con respecto a los pagos por arrendamiento;
(c) la preponderancia del ejercicio de las opciones que no se incluyeron en la medición de los pasivos por arrendamiento; y
(d) otros efectos financieros y operativos de esas opciones.
B51 Información adicional relacionada con las garantías de valor residual que, dependiendo de las circunstancias, podría ser necesaria para satisfacer el objetivo de información a revelar del párrafo 51, podría incluir información que ayude a los usuarios de los estados financieros a evaluar, por ejemplo:
(a) las razones del arrendatario para proporcionar garantía de valor residual y la preponderancia de esas garantías;
(b) la magnitud de la exposición de un arrendatario al riesgo del valor residual;
(c) la naturaleza de los activos subyacentes para los que se proporcionan esas garantías; y
(d) otros efectos financieros y operativos de esas garantías.
B52 Información adicional relacionada con las transacciones de venta con arrendamiento posterior que, dependiendo de las circunstancias, podría ser necesaria para satisfacer el objetivo de información a revelar del párrafo 51, podría incluir información que ayude a los usuarios de los estados financieros a evaluar, por ejemplo:
(a) las razones del arrendatario para realizar transacciones de venta con arrendamiento posterior y la preponderancia de esas transacciones;
(b) términos y condiciones clave de las ventas con arrendamiento posterior a nivel Individual;
(c) pagos no incluidos en la medición de los pasivos por arrendamiento; y
(d) el efecto de los flujos de efectivo de las transacciones de venta con arrendamiento posterior en el periodo sobre el que se Informa.
Clasificación del arrendamiento por el arrendador (párrafos 61 a 66)
B53 La clasificación de los arrendamientos por el arrendador en esta Norma se basa en la medida en que el arrendamiento transfiere los riesgos y recompensas inherentes a la propiedad de un activo subyacente. Entre tales riesgos se incluyen la posibilidad de pérdidas por capacidad ociosa u obsolescencia tecnológica, así como las variaciones en el desempeño debidas a cambios en las condiciones económicas. Las ventajas pueden estar representadas por la expectativa de una operación rentable a lo largo de la vida económica del activo, así como por una ganancia por revalorización o por una realización del valor residual.
B54 Un contrato de arrendamiento podría incluir términos y condiciones para ajustar los pagos por arrendamiento por cambios concretos que ocurran entre la fecha de inicio del acuerdo y la de comienzo (tal como un cambio en el costo del arrendador del activo subyacente o un cambio en el costo del arrendador de la financiación del arrendamiento). En ese caso, a efectos de clasificar el arrendamiento, el efecto de cualquier cambio se considerará que ha tenido lugar en la fecha de inicio del acuerdo.
B55 Cuando un arrendamiento incluya componentes de terrenos y de edificios conjuntamente, la entidad evaluará la clasificación de cada componente por separado como un arrendamiento financiero u operativo, de acuerdo con los párrafos 62 a 66, B53 y B54. Al determinar si el componente de terreno es un arrendamiento financiero u operativo, una consideración importante es que los terrenos normalmente tienen una vida económica indefinida.
B56 Cuando sea necesario para clasificar y contabilizar un arrendamiento de terrenos y edificios, un arrendador distribuirá los pagos por el arrendamiento (Incluyendo todo pago por adelantado) entre los componentes de terrenos y edificios en proporción a los valores razonables relativos que representan los derechos de arrendamiento en los citados componentes de terrenos y edificios en la fecha de inicio del acuerdo. Si los pagos por el arrendamiento no pueden repartirse fiablemente entre estos dos componentes, todo el arrendamiento se clasificará como arrendamiento financiero, a menos que esté claro que ambos componentes son arrendamientos operativos, en cuyo caso todo el arrendamiento se clasificará como operativo.
B57 Para un arrendamiento de terreno y edificios en los que el importe del terreno no es significativo para el arrendamiento, un arrendador puede tratar el terreno y los edificios como una sola unidad a efectos de la clasificación del arrendamiento y clasificarlo como un arrendamiento financiero o un arrendamiento operativo aplicando los párrafos 62 a 66 y B53 y B54. En este caso, un arrendador considerará la vida económica de los edificios como la que corresponde al activo subyacente en su totalidad.
Clasificación de subarrendamientos
B58 Para clasificar un subarrendamiento, un arrendador intermedio clasificará el subarrendamiento como un arrendamiento financiero o un arrendamiento operativo de la forma siguiente:
(a) Si el arrendamiento principal es un arrendamiento a corto plazo que la entidad, como arrendatario, ha contabilizado aplicando el párrafo 6, el subarrendamiento se clasificará como un arrendamiento operativo.
(b) En otro caso, el subarrendamiento se clasificará por referencia al activo por derecho de uso que surge del arrendamiento principal, en lugar de por referencia al activo subyacente (por ejemplo, el elemento de propiedades, planta y equipo que es sujeto del arrendamiento).
Apéndice C Fecha de vigencia y transición
Este apéndice forma parte integrante de la NIIF y tiene el mismo carácter normativo que las otras partes de la Norma.
Fecha de vigencia
C1 Una entidad aplicará esta Norma para los periodos anuales que comiencen a partir del 1 de enero de 2019. Se permite su aplicación anticipada para entidades que utilicen la NIIF 15 Ingresos de Actividades Ordinarias Procedentes de Contratos con Clientes antes de la fecha de aplicación Inicial de esta Norma. Si una entidad aplica esta Norma en un periodo que comience con anterioridad, revelará ese hecho.
C1A Reducciones del Alquiler Relacionadas con el Covid-19, emitida en mayo de 2020, añadió los párrafos 46A, 46B, 60A, C20A y C20B. Un arrendatario aplicará esa modificación para los periodos anuales que comiencen a partir del 1 de junio de 2020. Se permite la aplicación anticipada, incluyendo en los estados financieros no autorizados para su publicación a 28 de mayo de 2020.
C1B Reforma de la Tasa de Interés de Referencia–Fase 2, que modificó las NIIF 9, NIC 39, NIIF 7, NIIF 4 y NIIF 16, emitida en agosto de 2020 añadió los párrafos 104 a 106, C20C y C210D (*). Una entidad aplicará estas modificaciones a periodos anuales sobre los que se informa que comiencen a partir del 1 de enero de 2021. Se permite su aplicación anticipada. Si una entidad aplica esas modificaciones para un periodo anterior, revelará este hecho.
(*) Mediante Decreto 938 de 2021, en Colombia se ha incorporado dicha modificación, y es aplicable de manera obligatoria a partir del 1 de enero de 2023, se ha permitido su aplicación anticipada.
C1C Reducciones del Alquiler Relacionadas con la covid-19 más allá del 30 de junio de 2021, emitida en marzo de 2021, modificó el párrafo 46B y añadió los párrafos C20BA a C20BC. Un arrendatario aplicará esa modificación para los periodos anuales que comiencen a partir del 1 de abril de 2021. Se permite la aplicación anticipada, incluyendo en los estados financieros no autorizados para su publicación al 31 de marzo de 2021.
Transición
C2 A efectos de los requerimientos de los párrafos C1 a C19, la fecha de aplicación inicial es el comienzo del periodo anual sobre el que se informa en que la entidad aplique esta Norma por primera vez.
Definición de un arrendamiento
C3 Como una solución práctica, no se requiere que una entidad evalúe nuevamente si un contrato es, o contiene, un arrendamiento en la fecha de aplicación inicial. En su lugar, se permite que la entidad:
(a) aplique esta Norma a contratos que estaban anteriormente identificados como arrendamientos aplicando la NIC 17 Arrendamientos y la CINIIF 4 Determinación de si un Acuerdo contiene un Arrendamiento. La entidad aplicará los requerimientos de transición de los párrafos C5 a C18 a esos arrendamientos.
(b) No aplicará esta Norma a contratos que no fueron anteriormente identificados como que contenían un arrendamiento aplicando las NIC 17 y CINIIF 4.
C4 Si una entidad elige la solución práctica del párrafo C3, revelará ese hecho y aplicará la solución práctica a todos sus contratos, Como resultado, la entidad aplicará los requerimientos de los párrafos 9 a 11 solo a contratos realizados (o modificados) a partir de la fecha de aplicación inicial.
Arrendatarios
C5 Un arrendatario aplicará esta Norma a sus arrendamientos:
(a) de forma retroactiva a cada periodo sobre el que se informa anterior presentado, aplicando la NIC 8 Políticas Contables, Cambios en las Estimaciones Contables y Errores] o
(b) retroactivamente con el efecto acumulado de la aplicación inicial de la Norma reconocido en la fecha de aplicación inicial, de acuerdo con los párrafos C7 a C13.
C6 Un arrendatario aplicará la alternativa descrita en el párrafo C5 de forma congruente a todos los arrendamientos en los que sea arrendatario.
C7 Si un arrendatario opta por aplicar esta Norma de acuerdo con el párrafo C5(b), no reexpresará la información comparativa. En su lugar el arrendatario reconocerá el efecto acumulado de la aplicación inicial de esta Norma como un ajuste al saldo de apertura de las ganancias acumuladas (u otro componente de patrimonio según proceda) en la fecha de aplicación inicial.
Arrendamientos anteriormente clasificados como arrendamientos operativos
C8 Si un arrendatario opta por aplicar esta Norma de acuerdo con el párrafo C5(b):
(a) Reconocerá un pasivo por arrendamiento en la fecha de aplicación inicial para los arrendamientos anteriormente clasificados como un arrendamiento operativo utilizando la NIC 17. El arrendatario medirá ese pasivo por arrendamiento al valor presente de los pagos por arrendamiento restantes, descontados usando la tasa incremental por préstamos del arrendatario en la fecha de aplicación inicial.
(b) Reconocerá un activo por derecho de uso en la fecha de aplicación inicial para los arrendamientos anteriormente clasificados como un arrendamiento operativo utilizando la NIC 17. El arrendatario optará, arrendamiento por arrendamiento, por medir el activo por derecho de uso:
(i) su importe en libros como si la Norma se hubiera aplicado desde la fecha de comienzo, pero descontado usando la tasa incremental por préstamos del arrendatario en la fecha de aplicación inicial; o
(ii) un importe Igual al pasivo por arrendamiento, ajustado por el importe de cualquier pago por arrendamientos anticipado o acumulado (devengado) relacionado con ese arrendamiento reconocido en el estado de situación financiera inmediatamente antes de la fecha de aplicación inicial.
(c) La aplicación de la NIC 36 Deterioro de Valor de los Activos a los activos por derecho de uso en la fecha de aplicación inicial, a menos que el arrendatario utilice la solución práctica del párrafo C10(b).
C9 A pesar de los requerimientos del párrafo C8, para arrendamientos anteriormente clasificados como arrendamientos operativos aplicando la NIC 17, un arrendatario:
(a) No se requiere hacer ningún ajuste en la transición por arrendamientos para los que el activo subyacente es de bajo valor (como se describe en los párrafos B3 a B8) que se contabilizan según el párrafo 6. El arrendatario contabilizará esos arrendamientos aplicando esta Norma desde la fecha de aplicación inicial.
(b) No se requiere hacer ningún ajuste en la transición a los arrendamientos anteriormente contabilizados como propiedades de Inversión usando el modelo del valor razonable de la NIC 40 Propiedades de Inversión. El arrendatario contabilizará el activo por derecho de uso y el pasivo por arrendamiento que surgen de la aplicación de la NIC 40 y está Norma desde la fecha de aplicación Inicial,
(c) Éste medirá el activo por derecho de uso al valor razonable en la fecha de aplicación inicial para arrendamientos anteriormente contabilizados como arrendamientos operativos aplicando la NIC 17 y que se contabilizarán como propiedades de inversión usando el modelo del valor razonable de la NIC 40 desde la fecha de aplicación inicial. El arrendatario contabilizará el activo por derecho de uso y el pasivo por arrendamiento que surgen de la aplicación de la NIC 40 y está Norma desde la fecha de aplicación inicial.
C10 El arrendatario puede usar una o más de las siguientes soluciones prácticas al aplicar esta Norma de forma retroactiva de acuerdo con el párrafo C5(b) para arrendamientos anteriormente clasificados como arrendamientos operativos utilizando la NIC 17. Se permite que un arrendatario aplique estas soluciones prácticas arrendamiento por arrendamiento:
(a) Un arrendatario puede aplicar una tasa de descuento única a una cartera de arrendamientos con características razonablemente similares (tales como arrendamientos con plazo de arrendamiento similar para una clase semejante de activo subyacente en un entorno económico parecido).
(b) Como alternativa a realizar una revisión del deterioro del valor, un arrendatario puede confiar en su evaluación de si los arrendamientos son onerosos aplicando la NIC 37 Provisiones, Pasivos Contingentes y Activos Contingentes inmediatamente antes de la fecha de aplicación inicial. Si un arrendatario elige esta solución práctica, ajustará el activo por derecho de uso en la fecha de la aplicación inicial por el importe de cualquier provisión por arrendamientos onerosos que haya sido reconocida en el estado de situación financiera inmediatamente antes de la fecha de aplicación inicial.
(c) Un arrendatario puede elegir no aplicar los requerimientos del párrafo C8 a los arrendamientos cuyo plazo finalice dentro de los 12 meses de la fecha de aplicación inicial. En este caso, un arrendatario:
(i) contabilizará esos arrendamientos de la misma forma que los arrendamientos a corto plazo como se describe en el párrafo 6; y
(ii) incluirá el costo asociado con esos arrendamientos dentro de la información a revelar del gasto por arrendamientos a corto plazo en el periodo anual sobre el que se informa que incluye la fecha de aplicación inicial.
(d) Un arrendatario puede excluir los costos directos iniciales de la medición del activo por derecho de uso en la fecha de aplicación inicial.
(e) Un arrendatario puede usar el razonamiento en retrospectiva, tales como al determinar el plazo del arrendamiento, si el contrato contiene opciones para ampliar o terminar el arrendamiento.
Arrendamientos anteriormente clasificados como arrendamientos financieros
C11 Si un arrendatario opta por aplicar esta norma de acuerdo con el párrafo C5(b), a arrendamientos que fueron clasificados como arrendamientos financieros utilizando la NIC 17, el importe en libros del activo por derecho de uso y el pasivo por arrendamiento en la fecha de la aplicación inicial será el importe en libros del activo de arrendamiento y el pasivo por arrendamiento inmediatamente antes de la fecha de medida aplicando la NIC 17. Para esos arrendamientos, el arrendatario contabilizará el activo por derecho de uso y el pasivo por arrendamiento aplicando esta Norma desde la fecha de aplicación inicial.
Información a revelar
C12 Si un arrendatario opta por aplicar esta Norma de acuerdo con el párrafo C5(b), el arrendatario revelará información sobre la aplicación inicial requerida por el párrafo 28 de la NIC 8, excepto por lo que se refiere a la información especificada en el párrafo 28(f) de NIC 8. En lugar de la información especificada en el párrafo 28(f) de la NIC 8 el arrendatario revelará:
(a) el promedio ponderado de la tasa incremental por préstamos del arrendatario aplicada a los pasivos por arrendamiento reconocidos en el estado de situación financiera en la fecha de aplicación inicial; y
(b) una explicación de las diferencias entre:
(i) los compromisos de arrendamientos operativos revelados aplicando la NIC 17 al final del periodo anual sobre el que se Informa inmediatamente anterior a la fecha de aplicación inicial, descontados usando la tasa incremental por préstamos en la fecha de aplicación inicial como se describe en el párrafo C8(a); y
(ii) los pasivos por préstamos reconocidos en el estado de situación financiera en la fecha de aplicación inicial.
C13 Si un arrendatario utiliza una o más de las soluciones prácticas especificadas en el párrafo C10, revelará ese hecho.
Arrendadores
C14 Excepto por lo descrito en el párrafo C15, no se requiere que un arrendador realice ningún ajuste en la transición para arrendamientos en los que es arrendador y contabilizará esos arrendamientos aplicando esta Norma desde la fecha de aplicación inicial.
C15 Un arrendador intermedio:
(a) evaluará nuevamente los subarrendamientos que fueron clasificados como arrendamientos operativos aplicando la NIC 17 y que se mantienen en la fecha de aplicación inicial, para determinar si cada subarrendamiento debe clasificarse como un arrendamiento operativo o un arrendamiento financiero utilizando esta Norma. El arrendador intermedio realizará esta evaluación en la fecha de aplicación inicial sobre la base de los términos y condiciones contractuales que se mantienen del arrendamiento principal y el subarrendamiento en esa fecha.
(b) Para subarrendamientos que se clasificaron como arrendamientos operativos aplicando la NIC 17 pero como arrendamientos financieros utilizando esta Norma, contabilizará el subarrendamiento como un arrendamiento financiero nuevo realizado en la fecha de aplicación inicial.
Transacciones de venta con arrendamiento posterior antes de la fecha de aplicación inicial
C16 Una entidad no evaluará nuevamente las transacciones de venta con arrendamiento posterior realizadas antes de la fecha de aplicación inicial para determinar si la transferencia del activo subyacente satisface los requerimientos de la NIIF 15 para contabilizarse como una venta.
C17 Si una transacción de venta con arrendamiento posterior se contabilizó como una venta y un arrendamiento financiero aplicando la NIC 17, el arrendatario-vendedor:
(a) contabilizará el arrendamiento posterior de la misma forma que contabilice cualquier otro arrendamiento financiero que exista en la fecha de aplicación inicial; y
(b) continuará amortizando cualquier ganancia sobre la venta a lo largo del plazo del arrendamiento.
C18 Si una transacción de venta con arrendamiento posterior se contabilizó como una venta y un arrendamiento operativo aplicando la NIC 17, el arrendatario-vendedor:
(a) contabilizará el arrendamiento posterior de la misma forma que contabilice cualquier otro arrendamiento operativo que exista en la fecha de aplicación inicial; y
(b) ajustará el arrendamiento posterior del activo por derecho de uso por cualquier ganancia o pérdida diferida que se relacione con condiciones que no son de mercado reconocidas en el estado de situación financiera inmediatamente antes de la fecha de aplicación inicial.
Importes anteriormente reconocidos con respecto a combinaciones de negocios
C19 Si un arrendatario reconoció anteriormente un activo o un pasivo aplicando la NIIF 3 Combinaciones de Negocios relacionados con condiciones favorables o desfavorables de un arrendamiento operativo adquirido como parte de una combinación de negocios, el arrendatario dará de baja ese activo o pasivo y ajustará, en la fecha de aplicación inicial, el importe en libros del activo por derecho de uso aplicando el importe correspondiente.
Referencias a la NIIF 9
C20 Si una entidad aplica esta Norma, pero no aplica todavía la NIIF 9 Instrumentos Financieros, cualquier referencia en esta Norma a la NIIF 9 deberá interpretarse como una referencia a la NIC 39 Instrumentos Financieros: Reconocimiento y Medición.
Reducciones del alquiler relacionadas con el Covid-19 para los arrendatarios
C20A Un arrendatario aplicará Reducciones del Alquiler Relacionadas con el Covid-19 (véase el párrafo C1A) de forma retroactiva, reconociendo el efecto acumulado de la aplicación inicial de esa modificación como un ajuste en el saldo inicial de las ganancias acumuladas (u otro componente del patrimonio, según proceda) al comienzo del periodo anual sobre el que se informa en el que el arrendatario aplique por primera vez la modificación.
C20B En el periodo sobre el que se informa en el que un arrendatario aplica por primera vez Reducciones del Alquiler Relacionadas con el Covid-19, no se requiere que un arrendatario revele la información exigida por el párrafo 28(f) de la MIC 8.
C20BA Un arrendatario aplicará Reducciones del Alquiler Relacionadas con la covid-19 más allá del 30 de junio de 2021 (véase el párrafo C1C) de forma retroactiva, reconociendo el efecto acumulado de la aplicación inicial de esa modificación como un ajuste en el saldo de apertura de las ganancias acumuladas (u otro componente del patrimonio, según corresponda) al inicio del periodo anual sobre el que se informa en el que el arrendatario aplique por primera vez la modificación.
C20BB En el periodo sobre el que se informa para el que un arrendatario aplique por primera vez Reducciones del Alquiler Relacionadas con la covid-19 más allá del 30 de junio de 2021, no se requiere que un arrendatario revele la información exigida por el párrafo 28(f) de la NIC 8.
C20BC Al utilizar el párrafo 2 de esta Norma, un arrendatario aplicará la solución práctica del párrafo 46A, de forma congruente, a los contratos que cumplan los requisitos con características similares y en circunstancias parecidas, independientemente de si el contrato pasara a ser elegible para la solución práctica como resultado de que el arrendatario use Reducciones del Alquiler Relacionadas con la covid- 19 (véase el párrafo C1A) o Reducciones del Alquiler Relacionadas con la covid-19 más allá del 30 de junio de 2021 (véase el párrafo C1C).
Reforma de la Tasa de Interés de Referencia Fase 2
C20C Una entidad aplicará estas modificaciones de forma retroactiva, de acuerdo con la NIC 8, excepto por lo que se especifica en el párrafo C20D.
C20D No se requiere que una entidad reexprese periodos anteriores para reflejar la aplicación de estas modificaciones. La entidad puede reexpresar periodos anteriores si, y solo si, le es posible hacerlo sin el uso del razonamiento en retrospectiva. Si una entidad no reexpresa los periodos anteriores, reconocerá cualquier diferencia entre el importe en libros anterior y el importe en libros al comienzo del periodo anual sobre el que se informa, que será el que Incluye la fecha de aplicación inicial de estas modificaciones en las ganancias acumuladas iniciales (u otro componente del patrimonio, según proceda) del periodo anual sobre el que se informa que incluye la fecha de la aplicación de estas modificaciones.
Derogación de otras Normas
C21 Esta Norma sustituye las siguientes Normas e Interpretaciones:
(a) NIC 17 Arrendamientos
(b) CINIIF 4 Determinación de si un Acuerdo contiene un Arrendamiento
(c) SIC-15 Arrendamientos Operativos–Incentivos; y
(d) SIC-27 Evaluación de la Esencia de las Transacciones que Adoptan la Forma Legal de un Arrendamiento.
“Las Normas Internacionales de Información Financiera (NIIF) junto con su documentación complementaria se emiten por el Consejo de Normas Internacionales de Contabilidad (IASB),30 Cannon Street, London EC4M 6XH, United Kingdom. Tel: +44 (0)20 7246 6410 Fax: +44 (0)20 7246 6411 Correo electrónico: iasb@ifrs.orgWeb: www.ifrs.org Copyright © 2011 IFRS Foundation El IASB, la Fundación IFRS, los autores y los editores no aceptan responsabilidad alguna por las pérdidas que se puedan causar a las personas que actúen o se abstengan de actuar basándose en el material incluido en esta publicación, ya se haya causado esta pérdida por negligencia o por otra causa. Las NIIF (que incluyen las Normas Internacionales de Contabilidad e Interpretaciones) son propiedad de la Fundación IFRS. El texto aprobado de las NIIF es el emitido por el IASB en idioma inglés. Se pueden obtener copias en el Departamento de Publicaciones de la Fundación IFRS. Para consultar las cuestiones relativas a los derechos de propiedad y copia, dirigirse a: IFRS Foundation Publications Department; 30 Cannon Street, London EC4M 6XH, United Kingdom.Tel: +44 (0)20 7332 2730 Fax: +44 (0)20 7332 2749 Correo electrónico: publications@ifrs.orgWeb: www.ifrs.org Reservados todos los derechos. Ninguna parte de estas publicaciones puede ser traducida, reimpresa, ni reproducida o utilizada en ninguna forma, ya sea total o parcialmente, ni siquiera utilizando medios electrónicos, mecánicos o de otro tipo, existentes o por inventar, incluyendo fotocopiado y grabación u otros sistemas de almacenamiento o recuperación de información, sin el permiso previo, por escrito, de la Fundación IFRS. La traducción al español de las Normas Internacionales de Información Financiera, Interpretaciones y del resto del material procedente del IASB, que se ha incluido en esta publicación, ha sido aprobada por un Comité de Revisión nombrado por la Fundación IFRS. La traducción al español se publica en Colombia, con el permiso de la Fundación IFRS por el Consejo Técnico de la Contaduría Pública, el Ministerio de Comercio, Industria y Turismo y entes gubernamentales, en colaboración con el Instituto Nacional de Contadores Públicos de Colombia. Los derechos de autor de la traducción al español son de la Fundación IFRS.”
“La Fundación IFRS ha renunciado al derecho de hacer valer sus derechos de autor sobre los estándares internacionales de información financiera en el territorio de Colombia en español solamente. La fundación IFRS se reserva todos los derechos fuera del territorio antes mencionado.”