DECRETO 2949 DE 2010
(agosto 6)
Diario Oficial No. 47.793 de 6 de agosto de 2010
MINISTERIO DE HACIENDA Y CRÉDITO PÚBLICO
Por el cual se modifica el Decreto 2555 de 2010 y se establece la metodología para el cálculo de la rentabilidad mínima que deberán garantizar las Sociedades Administradoras de Fondos de Pensiones y de Cesantías a los afiliados a los distintos tipos de fondos de pensiones obligatorias del esquema de “multifondos” y los periodos aplicables para su cálculo y verificación.
EL PRESIDENTE DE LA REPÚBLICA DE COLOMBIA,
en uso de sus atribuciones constitucionales, y en particular, las previstas en los numerales 11 y 25 del artículo 189 de la Constitución Política, en concordancia con el artículo 101 de la Ley 100 de 1993, modificado por el artículo 52 de la Ley 1328 de 2009.
CONSIDERANDO:
Que mediante la Ley 1328 de 2009 se introdujo un esquema de varios fondos de pensiones o “Multifondos” gestionados por las sociedades administradoras del Régimen de Ahorro Individual con Solidaridad.
Que constituye una obligación del Gobierno Nacional determinar la forma como se calculará la rentabilidad mínima de cada uno de los tipos de fondos de pensiones obligatorias dentro del esquema de 'Multifondos”.
Que es importante contar con mecanismos que permitan la participación de expertos que conduzcan a la formulación de recomendaciones a las autoridades competentes, de manera que se procure el objetivo planteado en la ley con el esquema de “Multifondos”.
DECRETA:
ARTÍCULO 1o. RENTABILIDAD MÍNIMA OBLIGATORIA DE LOS FONDOS DE PENSIONES OBLIGATORIAS. Se sustituye el Título 5 del Libro 6 de la Parte 2 del Decreto 2555 de 2010, el cual quedará así:
“Título 5 Rentabilidad Mínima Obligatoria de los Fondos de Pensiones Obligatorias.
Artículo 2.6.5.1.1. Determinación de la Rentabilidad Mínima. La Superintendencia Financiera de Colombia calculará, verificará y divulgará, conforme a las reglas que se determinan en el Título 5 del Libro 6 de la Parte 2 del presente decreto, la rentabilidad mínima obligatoria para cada uno de los tipos de fondos de pensiones obligatorias.
Artículo 2.6.5.1.2. Metodología para el cálculo de la Rentabilidad Mínima obligatoria de los fondos de pensiones obligatorias. La rentabilidad mínima obligatoria de cada uno de los tipos de fondos de pensiones obligatorias será determinada con base en la suma de los siguientes factores ponderados:
1. Componente de Referencia. El cual podrá estar conformado por la rentabilidad de un portafolio de referencia, por la suma ponderada de las rentabilidades calculadas con base en un conjunto de índices del mercado o por una combinación de ambos elementos.
Para cada tipo de fondo de pensiones obligatorias se establecerá un Componente de Referencia que tenga en consideración criterios de largo plazo. Para la construcción del Componente de Referencia la Superintendencia Financiera de Colombia podrá utilizar un portafolio de referencia para cada tipo de fondo de pensiones obligatorias o el mismo para todos los tipos de fondos, con ponderación distinta dentro del componente de referencia debido a las diferencias estructurales de cada uno de ellos.
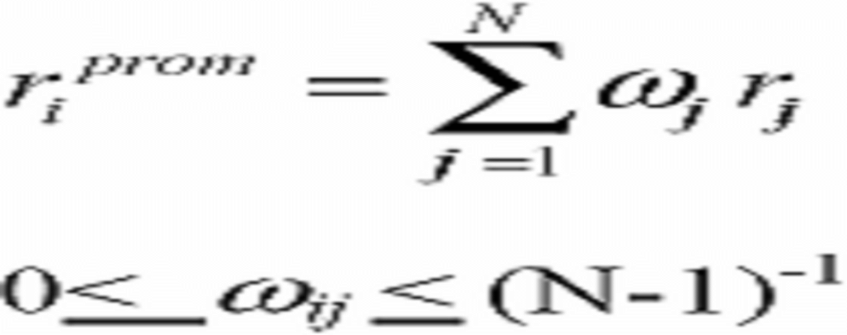
2. Promedio ponderado de las rentabilidades acumuladas efectivas anuales para cada tipo de fondo de pensiones obligatorias, atendiendo el período de cálculo correspondiente a cada uno de ellos, calculado para el tipo de fondo i como:

| ri prom: | rentabilidad promedio ponderada obtenida durante el periodo de cálculo por el tipo de fondo i |
| i: | tipo de fondo (conservador, moderado o de mayor riesgo) |
| ij: | tipo de fondo i administrado por la AFP j |
| N: | número de fondos de pensiones obligatorias que hacen parte del cálculo |
| rij: | rentabilidad obtenida durante el periodo de cálculo por el tipo de fondo i administrado por la AFP j. |
| wij: | ponderación asignada a rij en la rentabilidad promedio del fondo i. Esta ponderación se construirá a partir de la participación del saldo promedio diario del tipo de fondo i administrado por la AFP j dentro de la suma de los saldos promedios diarios de los tipos de fondo i administrados por todas las AFP. No obstante, cuando las participaciones de los fondos de pensiones obligatorias superen el porcentaje máximo de ponderación (N – 1)-1, los excesos serán distribuidos proporcionalmente entre los demás fondos de pensiones obligatorias del mismo tipo hasta agotarlos. Si como resultado de la aplicación de este procedimiento la participación de los fondos de pensiones obligatorias resultara superior a (N –1)-1, se repetirá el procedimiento. |
PARÁGRAFO 1. Los factores señalados en los numerales 1 y 2 se ponderarán en los siguientes porcentajes de participación:
| Tipo de Fondo de Pensiones Obligatorias | Componente de Referencia | Promedio ponderado de rentabilidad de cada tipo de fondo de pensiones obligatorias |
| Fondo Conservador | 30% | 70% |
| Fondo Moderado | 20% | 80% |
| Fondo de Mayor Riesgo | 10% | 90% |
PARÁGRAFO 2o. La rentabilidad mínima obligatoria para cada uno de los tipos de fondos de pensiones obligatorias será la que resulte inferior entre las opciones A y B que se señalan en el cuadro siguiente:
| Tipo de Fondo de Pensiones Obligatorias | Opción A | Opción B |
| Fondo Conservador | La suma de los factores ponderados, disminuidos en un 30% | La suma de los factores ponderados, menos 200 puntos básicos |
| Fondo Moderado | La suma de los factores ponderados, disminuidos en un 35% | La suma de los factores ponderados, menos 300 puntos básicos |
| Fondo de Mayor Riesgo | La suma de los factores ponderados, disminuidos en un 40% | La suma de los factores ponderados, menos 400 puntos básicos |
PARÁGRAFO 3o. Corresponde a la Superintendencia Financiera de Colombia, a través de instrucciones de carácter general definir los criterios metodológicos para la composición del Componente de Referencia, previsto en el numeral 1 de este artículo.
Así mismo, en caso de que la composición del componente de referencia involucre un portafolio de referencia la Superintendencia Financiera de Colombia: i) Actualizará y valorará a precios de mercado el portafolio de referencia, y ii) Divulgará amplia y oportunamente la composición del portafolio de referencia, así como los cambios que se introduzcan como resultado de su ajuste a las condiciones del mercado.
Artículo 2.6.5.1.3. Cálculo de la rentabilidad acumulada de cada tipo de fondo de pensiones obligatorias. La rentabilidad acumulada arrojada por cada tipo de fondo de pensiones obligatorias será equivalente a la tasa interna de retorno en términos anuales del flujo de caja diario correspondiente al período de cálculo.
Para estos efectos, el flujo de caja diario es aquel que considera como ingresos el valor de cada tipo de fondo al inicio de operaciones del primer día del período de cálculo y el valor neto de los aportes diarios del período, y como egresos el valor del tipo de fondo al cierre del último día del período de cálculo.
PARÁGRAFO 1o. Se entenderá como valor neto, el valor resultante después de deducir de los aportes y traslados recibidos, los retiros, anulaciones y traslados efectuados.
PARÁGRAFO 2o. En ningún caso podrán divulgarse al público los rendimientos o rentabilidades acumuladas de cada tipo de fondos de pensiones obligatorias con períodos de cálculo inferiores a los referidos en el artículo 2.6.5.1.4 del presente decreto, sin perjuicio de lo previsto en la ley.
Artículo 2.6.5.1.4. Período de cálculo de la rentabilidad mínima. Los períodos de cálculo de la rentabilidad mínima obligatoria acumulada serán:
| Tipo de Fondo de Pensiones Obligatorias | Periodo de cálculo |
| Fondo Conservador | 36 meses |
| Fondo Moderado | 48 meses |
| Fondo de Mayor Riesgo | 60 meses |
Artículo 2.6.5.1.5. Verificación. El cumplimiento de la rentabilidad mínima obligatoria será verificado mensualmente por la Superintendencia Financiera de Colombia.
Para el efecto, comparará la rentabilidad acumulada en términos efectivos anuales obtenida por cada tipo de fondo de pensiones obligatorias durante el período de cálculo correspondiente, con la rentabilidad mínima obligatoria calculada para el mismo período de acuerdo con lo dispuesto en el Título 5 del Libro 6 de la Parte 2 del presente decreto.
PARÁGRAFO. La Superintendencia Financiera de Colombia divulgará a más tardar el quinto día hábil siguiente a la fecha de verificación, la rentabilidad mínima obligatoria para cada uno de los tipos de fondos de pensiones obligatorias.
Artículo 2.6.5.1.6. Obligación de garantizar la rentabilidad mínima. Cuando la rentabilidad acumulada en términos efectivos anuales obtenida por alguno de los tipos de fondos de pensiones obligatorias durante el período de cálculo correspondiente sea inferior a la rentabilidad mínima obligatoria exigida, las Sociedades Administradoras de Fondos de Pensiones y Cesantías deberán responder con sus propios recursos por los defectos.
En este caso se afectará en primer término la reserva de estabilización de rendimientos constituida para el tipo de fondo que presente defecto de rentabilidad, mediante el aporte de la diferencia entre el valor del fondo al momento de la verificación y el valor que este debería tener para alcanzar la rentabilidad mínima obligatoria.
Artículo 2.6.5.1.7. Reserva de estabilización para cada tipo de fondo. Las Sociedades Administradoras de Fondos de Pensiones y Cesantías deberán mantener una reserva de estabilización de rendimientos para cada tipo de fondo de acuerdo con lo previsto en el Título 4 del Libro 6 de la Parte 2 del Decreto 2555 de 2010, aplicando sus reglas individualmente para cada uno de los tipos de fondos de pensiones obligatorias. Los recursos de una reserva sólo podrán ser utilizados para cubrir los defectos de rentabilidad mínima del tipo de fondo para el cual fue constituida.
Artículo 2.6.5.1.8. Mecanismos de participación. El Gobierno Nacional establecerá mecanismos que permitan la participación de expertos en materias financieras, de mercado de capitales y/o estructuración y administración de portafolios de inversión, para la revisión y discusión de los siguientes temas: i) Metodología para la determinación de rentabilidad mínima, evaluando la posibilidad de incrementar el porcentaje de participación del Componente de Referencia. ii) Metodología para establecer el Componente de Referencia, evaluando la viabilidad y conveniencia de incorporar índices que puedan ser replicados por los fondos de pensiones obligatorias, y iii) Estructura del régimen de inversiones de cada uno de los tipos de fondos de pensiones obligatorias, que conduzcan a la formulación de recomendaciones a las autoridades competentes sobre dichos aspectos.
Artículo 2.6.5.1.9. Rentabilidad mínima para el Fondo de Retiro Programado. Hasta tanto se expida una metodología de rentabilidad mínima aplicable al Fondo de Retiro Programado, este se regirá en lo general por lo previsto en el Título 5 del Libro 6 de la Parte 2 del presente decreto, en particular por lo dispuesto para el Fondo Conservador.
Artículo 2.6.5.1.10. Transición. Para la implementación de lo previsto en el Título 5 del Libro 6 de la Parte 2 del presente decreto se establecen las siguientes reglas de transición:
1. Fondo conservador: A partir del 31 de agosto de 2012 la Superintendencia Financiera de Colombia realizará la primera revisión de rentabilidad mínima. Para el efecto, se tomará como período de cálculo los últimos doce (12) meses. En las revisiones posteriores se adicionarán al período de cálculo los meses transcurridos hasta completar el período de veintitrés (23) meses. Si durante el citado período algún fondo presenta un defecto de rentabilidad mínima, la Sociedad Administradora del mismo deberá constituir una provisión por el valor equivalente al mencionado defecto. La primera verificación de rentabilidad mínima obligatoria se realizará a partir del 31 de agosto de 2013. Para el efecto, se tomará como período de cálculo los últimos veinticuatro (24) meses. En las verificaciones posteriores se adicionarán al período de cálculo los meses transcurridos hasta completar el período de cálculo previsto en el artículo 2.6.5.1.4 del presente decreto.
2. Fondo moderado: A partir del 31 de agosto de 2013 la Superintendencia Financiera de Colombia realizará la primera revisión de rentabilidad mínima. Para el efecto, se tomará como período de cálculo los últimos veinticuatro (24) meses. En las revisiones posteriores se adicionarán al período de cálculo los meses transcurridos hasta completar el período de treinta y cinco (35) meses. Si durante el citado período algún fondo presenta un defecto de rentabilidad mínima, la Sociedad Administradora del mismo deberá constituir una provisión por el valor equivalente al mencionado defecto. La primera verificación de rentabilidad mínima obligatoria se realizará a partir del 31 de agosto de 2014. Para el efecto, se tomará como período de cálculo los últimos treinta y seis (36) meses. En las verificaciones posteriores se adicionarán al período de cálculo los meses transcurridos hasta completar el período de cálculo previsto en el artículo 2.6.5.1.4 del presente decreto.
3. Fondo de mayor riesgo: A partir del 31 de agosto de 2013 la Superintendencia Financiera de Colombia realizará la primera revisión de rentabilidad mínima. Para el efecto, se tomará como período de cálculo los últimos veinticuatro (24) meses. En las revisiones posteriores se adicionarán al período de cálculo los meses transcurridos hasta completar el período de treinta y cinco (35) meses. Si durante el citado período algún fondo presenta un defecto de rentabilidad mínima, la Sociedad Administradora del mismo deberá constituir una provisión por el valor equivalente al mencionado defecto. La primera verificación de rentabilidad mínima obligatoria se realizará a partir del 31 de agosto de 2014. Para el efecto, se tomará como período de cálculo los últimos treinta y seis (36) meses. En las verificaciones posteriores se adicionarán al período de cálculo los meses transcurridos hasta completar el período de cálculo previsto en el artículo 2.6.5.1.4 del presente decreto. Para este fondo en particular y entre el 31 de agosto de 2013 y el 31 de julio de 2015, los porcentajes y puntos básicos previstos en el parágrafo 2o del artículo 2.6.5.1.2 del presente decreto, serán los siguientes:
| Fondo de Mayor Riesgo entre | Opción A | Opción B |
| 31 de agosto de 2013 a 31 de julio de 2014 | La suma de los factores ponderados, disminuidos en un 50% | La suma de los factores ponderados, menos 500 puntos básicos |
| 31 de agosto de 2014 a 31 de julio de 2015 | La suma de los factores ponderados, disminuidos en un 43% | La suma de los factores ponderados, menos 430 puntos básicos |
4. Lo previsto en el parágrafo segundo del artículo 2.6.5.1.3 no aplicará hasta que se cumpla el periodo de cálculo de cada uno de los tipos de fondo de pensiones obligatorias, entre tanto, las rentabilidades a divulgar por tipo de fondo serán las publicadas por la Superintendencia Financiera de Colombia.
ARTÍCULO 2. VIGENCIA. El presente decreto rige a partir del día 15 de septiembre de 2010.
Publíquese y cúmplase.
Dado en Bogotá, D. C., a 6 de agosto de 2010.
ÁLVARO URIBE VÉLEZ
El Ministro de Hacienda y Crédito Público,
ÓSCAR IVÁN ZULUAGA ESCOBAR.