RESOLUCIÓN 4778 DE 2019
(diciembre 19)
Diario Oficial No. 51.173 de 20 de diciembre 2019
MINISTERIO DE HACIENDA Y CRÉDITO PÚBLICO
Por la cual se establece la metodología para la valoración de los pasivos contingentes provenientes de las operaciones de crédito público en las que la Nación actúa como garante, de que trata el Decreto 1068 de 2015 y para el cálculo de los aportes al Fondo de Contingencias de las Entidades Estatales, que debe efectuar la entidad estatal que requiera dicha garantía de la nación.
EL DIRECTOR GENERAL DE CRÉDITO PÚBLICO Y TESORO NACIONAL,
en uso de sus facultades legales, en especial las que le confieren la Ley 448 de 1998, el Decreto 4712 de 2008 y el Decreto 1068 de 2015 y,
CONSIDERANDO:
Que mediante el Decreto 3800 de 2005, compilado en el Decreto 1068 de 2015, se reglamentó parcialmente la Ley 448 de 1998, por medio de la cual se adoptan medidas en relación con el manejo de las obligaciones contingentes de las entidades estatales;
Que el artículo 2.4.2.10 del Decreto 1068 de 2015 estableció, de conformidad con el artículo 3o de la Ley 819 de 2003, que las valoraciones de los pasivos contingentes que provienen de la celebración de operaciones de crédito público cuyo perfeccionamiento se lleve a cabo con posterioridad a la entrada en vigencia de la Ley 448 de 1998, serán aprobadas por la Dirección General de Crédito Público y Tesoro Nacional del Ministerio de Hacienda y Crédito Público;
Que el artículo 2.4.2.5. del Decreto 1068 de 2015 señala que las entidades estatales cuyas obligaciones de pago sean garantizadas por la nación en desarrollo de operaciones de crédito público que se perfeccionaron a partir del 27 de octubre de 2005, deberán realizar aportes al Fondo de Contingencias de las Entidades Estatales y que el monto de dichos aportes será determinado por la Dirección General de Crédito Público y Tesoro Nacional de acuerdo con la metodología de valoración de las contingencias que establezca dicha Dirección.
Que el artículo 2.4.2.11. del Decreto 1068 de 2015 establece que para efectos de la valoración de los pasivos contingentes de las operaciones de crédito público cuyo perfeccionamiento se lleve a cabo con posterioridad a la vigencia de la Ley 448 de 1998, se tendrán en cuenta, entre otros criterios, la calidad crediticia de la entidad estatal garantizada, el récord crediticio de la entidad estatal garantizada en otras operaciones de garantía, los riesgos implícitos de la operación garantizada y la liquidez de las contragarantías otorgadas;
Que teniendo en cuenta lo anterior, la Dirección General de Crédito Público y Tesoro Nacional mediante las Resoluciones: 2818 del 11 de noviembre de 2005, 3299 del 30 de noviembre de 2005, 3045 del 31 de agosto de 2006, 4291 de 26 de diciembre de 2007 y 0932 del 10 de abril de 2015, expidió la metodología de valoración que se aplica en la determinación de los aportes que las entidades estatales deben efectuar al Fondo de Contingencias de las Entidades Estatales, respecto a las obligaciones de pago originadas en desarrollo de operaciones de crédito público garantizadas por la nación;
Que se hace necesario que la Dirección General de Crédito Público y Tesoro Nacional, actualice la metodología para la valoración de los pasivos contingentes provenientes de operaciones de crédito público con el fin de exponer mayor claridad en las reglas y lineamientos previstos para la estimación del pasivo contingente y a los aportes al Fondo de Contingencias de las Entidades Estatales, derivados de operaciones de crédito público.
Que tal como lo establece el artículo 2.4.2.7. del Decreto 1068 de 2015, los aportes de las entidades estatales garantizadas serán administrados por el Fondo de Contingencias de las Entidades Estatales en una subcuenta especial denominada “Garantías de la Nación” y la totalidad de los recursos de esta subcuenta se destinará a atender los pasivos contingentes provenientes de las operaciones de crédito público garantizadas por la nación y a la realización de operaciones de cobertura.
Que en virtud de las contingencias a las que se expone la nación cuando actúa como garante de las operaciones de crédito público que celebren las entidades estatales, los aportes que tales entidades realicen, se entienden como pagos solidarios al Fondo de Contingencias de las Entidades Estatales por operaciones de crédito público permitiendo que la nación atienda las obligaciones contingentes derivadas de la totalidad de operaciones garantizadas;
Que el artículo 2.4.2.6 del Decreto 1068 de 2015 establece que, con el fin de preservar los objetivos del Fondo de Contingencias de las Entidades Estatales y cubrir adecuadamente los riesgos incurridos por la nación en su condición de garante, los aportes efectuados por las entidades garantizadas se mantendrán en dicho Fondo con el fin de atender las contingencias provenientes de obligaciones garantizadas por la nación,
RESUELVE:
ARTÍCULO 1o. DEFINICIONES PRINCIPALES. Para efectos de la presente Resolución se entenderán las siguientes definiciones:
Pasivo contingente proveniente de operaciones de crédito público garantizadas por la Nación: El total de obligaciones pecuniarias sometidas a condición, que surgen a cargo de la nación cuando esta actúa como garante de las obligaciones de pago a cargo de las entidades estatales.
Fondo de Contingencias de las Entidades Estatales: Se refiere a la cuenta especial sin personería jurídica administrada por el Ministerio de Hacienda y Crédito Público, en los términos del artículo 2o de la Ley 448 de 1998.
Aporte: Son los pagos periódicos que deben realizar las entidades estatales cuyas obligaciones de pago sean garantizadas por la nación en desarrollo de operaciones de crédito público.
ARTÍCULO 2o. DIFUSIÓN DE LA METODOLOGÍA DE VALORACIÓN. La Dirección General de Crédito Público y Tesoro Nacional del Ministerio de Hacienda y Crédito Público, mantendrá publicada en la página web de dicho ministerio, el Documento Técnico “Metodología para la valoración de los pasivos contingentes y de los aportes al Fondo de Contingencias de las Entidades Estatales por operaciones de crédito público garantizadas por la Nación”.
En caso de que la Dirección General de Crédito Público y Tesoro Nacional decida modificar la metodología para la valoración de los pasivos contingentes provenientes de las operaciones de crédito público en las que la nación actúe como garante, de que trata el Decreto 1068 de 2015 y para el cálculo de los aportes al Fondo de Contingencias de las Entidades Estatales, publicará nuevamente el documento técnico referido en el inciso anterior, en la página web del Ministerio de Hacienda y Crédito Público.
ARTÍCULO 3o. CONDICIONES DE LOS APORTES. La entidad estatal deberá efectuar Aportes al Fondo de Contingencias de las Entidades Estatales anticipadamente y con la periodicidad establecida en el contrato de contragarantía respectivo en la cuenta bancaria del Fondo de Contingencias de las Entidades Estatales, que se determine para tal efecto. En todo caso, el pago del primer aporte, cuando hubiere lugar a ello, será condición precedente para el otorgamiento de la garantía de la nación.
El último Aporte será proporcional al número de días transcurridos entre este y la fecha en que vence el crédito.
ARTÍCULO 4o. REVISIÓN. La Dirección General de Crédito Público y Tesoro Nacional del Ministerio de Hacienda y Crédito Público efectuará una revisión anual del cálculo del Plan de Aportes con el fin de determinar el incremento o disminución del monto de los aportes al Fondo de Contingencias de las Entidades Estatales y así proteger de pérdidas a la nación.
Para el seguimiento se tendrá en cuenta la calidad crediticia de la entidad estatal en estudio, el cumplimiento en los pagos de las deudas adquiridas por la entidad en desarrollo de operaciones de crédito público garantizadas por la nación o de aquellas otorgadas por esta, la situación financiera de la entidad estatal respectiva y la liquidez de las contragarantías.
PARÁGRAFO 1o. Sin perjuicio de lo anterior, la Dirección General de Crédito Público y Tesoro Nacional, por iniciativa propia o por solicitud de la entidad aportante, podrá efectuar revisiones interanuales. Si como resultado de la revisión se presentan diferencias respecto al valor del Aporte ejecutado, a esa diferencia se le dará el siguiente tratamiento:
A. El valor del Aporte imputable al tiempo transcurrido en el período de revisión, se tomará como un hecho cumplido y no habrá lugar a modificaciones de forma retroactiva.
B. En el evento en que el monto del Aporte recalculado resulte mayor al estimado sobre el cual la entidad ya realizó el respectivo Aporte, la entidad deberá abonar la diferencia sobre el tiempo no transcurrido del período de revisión, con el Aporte del año siguiente. Si la situación descrita se presenta con posterioridad al último pago de la entidad según el respectivo plan de aportes, la entidad deberá hacer el giro de tal excedente al Fondo de Contingencias de las Entidades Estatales en un plazo máximo de un mes posterior a la fecha de comunicación de la situación.
En el caso de que el monto del Aporte disminuya, el valor girado en exceso por la entidad se tomará como abono al Aporte que deba girar la entidad en el período siguiente.
Estas situaciones no generarán rendimientos o cargos hacia la nación o hacia la Entidad Aportante.
La modificación del monto del Aporte será comunicada a la entidad estatal correspondiente mediante oficio suscrito por el Director General de Crédito Público y Tesoro Nacional y regirá a partir de la fecha de la notificación de dicho oficio.
PARÁGRAFO 2o. Si la entidad garantizada por la nación, en el momento en que la Dirección General de Crédito Público y Tesoro Nacional realice el estudio de seguimiento anual, no cuenta con calificación de riesgo vigente se ubicará a esta en la calificación “C” de la escala utilizada por las Agencias Calificadoras de Riesgo para la correspondiente evaluación.
ARTÍCULO 5o. VIGENCIA Y APLICACIÓN. La presente resolución rige a partir de la fecha de su publicación en el Diario Oficial, requisito que se entiende cumplido con la orden impartida por el Director General de Crédito Público y Tesoro Nacional, según lo dispuesto por el artículo 18 de la Ley 185 de 1995 y aplica para el cálculo de los aportes que deben realizar las entidades estatales que hubiesen celebrado operaciones de crédito público garantizadas por la nación a partir de la vigencia de 2014.
PARÁGRAFO. La presente resolución deroga la Resolución 0932 del 10 de abril de 2015.
Publíquese, comuníquese y cúmplase.
Dada en Bogotá, D. C., a 19 de diciembre de 2019.
El Director General de Crédito Público y Tesoro Nacional,
César Augusto Arias Hernández
METODOLOGÍA PARA LA VALORACIÓN DE LOS PASIVOS CONTINGENTES Y LOS APORTES AL FONDO DE CONTINGENCIAS DE LAS ENTIDADES ESTATALES POR OPERACIONES DE CRÉDITO PÚBLICO GARANTIZADAS POR LA NACIÓN.
Este documento describe el procedimiento para cuantificar el riesgo fiscal que asume la Nación al servir de garante en operaciones de crédito público contratados por entidades estatales. El pasivo contingente asociado a este riesgo fiscal tiene dos componentes: la pérdida esperada y la pérdida no esperada. El primero se calcula como la suma de las exposiciones individuales de cada crédito vigente garantizado, mientras que el segundo se calcula a partir de indicadores a nivel portafolio que dependen directamente de los créditos individuales.
El cálculo de la pérdida esperada individual determina la cuantía que la entidad estatal debe aportar al Fondo de Contingencias. Este monto se reduce cuanto mejor sea la calidad de la contragarantía y la calificación crediticia de la entidad, entendiendo que dichos factores mitigan el riesgo fiscal asociado al incumplimiento del crédito.
La primera sección del documento contiene las definiciones principales requeridas para la exposición. La segunda describe el cálculo de la pérdida esperada de cada crédito y el correspondiente monto del aporte al Fondo de Contingencias. Finalmente, la tercera sección presenta el cálculo del pasivo contingente en función de la pérdida esperada y la pérdida no esperada.
1. Definiciones Principales
Pasivo contingente proveniente de operaciones de crédito público: Es el total de obligaciones pecuniarias sometidas a condición, que surgen a cargo de la Nación cuando esta actúa como garante de las obligaciones de pago a cargo de las entidades estatales.
Fondo de Contingencias de las Entidades Estatales - FCEE: Se refiere a la subcuenta especial “Garantías de la Nación", del Fondo reglamentado por el artículo 2.4.2.7. del Decreto 1068 de 2015.
Aporte: Pagos periódicos y obligatorios que deben programar y girar al Fondo de Contingencias de las Entidades Estatales las entidades estatales cuyas obligaciones de pago sean garantizadas por la Nación en desarrollo de operaciones de crédito público.
Contragarantía: Una o más garantías que la entidad estatal otorga a favor de la Nación para respaldar un posible incumplimiento de la obligación garantizada por esta.
Pérdida Dado el Incumplimiento (PDh: Valor que estima la pérdida en la que incurriría la Nación en caso de un incumplimiento por parte de la entidad estatal beneficiaria de la garantía de la Nación. Este factor depende de la Contragarantía que entregue la entidad deudora a favor de la Nación.
2. Pérdida Esperada (PE)
Este valor se calcula como el producto de tres factores: La exposición vigente al momento., del incumplimiento (El), la pérdida dado el incumplimiento (PDl) y la probabilidad del incumplimiento (Pl), los cuales se describen en las secciones 2.1 a 2.3 de este documento. Si PE denota la pérdida esperada del crédito, entonces su cálculo se obtiene como:
![]()
El valor de la PE corresponde al monto del Aporte periódico que las entidades estatales deberán efectuar FCEE.
En cualquier caso, el monto del Aporte será el mayor valor entre: i) la PE definida según la ecuación anterior o ii) 5 puntos básicos sobre la exposición vigente al momento del incumplimiento (El).
2.1. Exposición en el Momento del Incumplimiento
Corresponde al saldo máximo para los 12 meses posteriores a la fecha de giro del Aporte, teniendo en cuenta los desembolsos de capital, proyectados y ejecutados. Este debe ser expresado en pesos colombianos y se obtiene a partir del siguiente procedimiento:
- Calcular el máximo saldo de capital en moneda original (Si) en los 12 meses siguientes a la fecha del aporte respectivo (t = 0), incorporando todos los desembolsos y amortizaciones proyectados durante este período.

- Convertir a pesos colombianos el saldo máximo obtenido en el paso anterior. Para esto, se multiplica el saldo máximo en moneda original por la TRM de la fecha de referencia para el cálculo, estresada con un factor de volatilidad que refleja el riesgo cambiario del período.
![]()
- Para definir La TRM estresada se añade un factor de volatilidad, asi:
![]()
El factor de volatilidad a se calcula a partir de la volatilidad de las variaciones de la TRM diaria (
), escalada para reflejar la volatilidad de 1 ano y utilizando un nivel de confianza del 95% (suponiendo una distribución normal). Para el cálculo de
se requieren 5 años de datos diarios de la TRM, contados hacia atrás desde la fechá de referencia.
![]()
2.2. Pérdida Dado el Incumplimiento
La PDI corresponde al porcentaje descubierto del crédito una vez se hacen efectivas las Contragarantías por incumplimiento en el servicio de la deuda del crédito garantizado.
La Tabla 1 contiene los tipos de Contragarantía y sus respectivas PDIs, a su vez, la Tabla 2 especifica los activos admisibles dentro de cada categoría, sin perjuicio de que puedan considerarse en la valoración otros conceptos que no se encuentran aquí detallados y que podrían clasificarse en alguna de las categorías definidas según sus características.
En el caso en el que la Contragarantía no sea mobiliaria bajo el régimen de excepción de garantías mobiliarias de la Ley 1676 de 2013, la PDI correspondiente se incrementará en un 50%.
Tabla 1. Categorías de Contragarantía
| Categoría | PDI |
| 1 Recursos Nación y en cuentas del Banco de la República | 3% |
| 2 Colateral Financiero Admisible | 8% |
| 3 Bienes Raíces Comerciales y Residenciales | 30% |
| 4 Derechos de Cobro | 33% |
| 5 Otros Colaterales | 50% |
Tabla 2. Contragarantías Admisibles por Categoría
| Categoría | Tipo de Contragarantías Admisibles | |
| 1 | Recursos Nación y en cuentas del Banco de la República | - Títulos de la Tesorería General de la Nación - Vigencias Futuras de la Nación - Sistema General de Participaciones - Recursos en Cuentas del Banco de la República |
| 2 | Colateral Financiero Admisible | - Seguros de crédito - Garantías emitidas por fondos de garantías - Prenda sobre títulos valores emitidos por instituciones financieras |
| 3 | Bienes Raíces Comerciales y Residenciales | - Fiducias hipotecarias inmobiliarias - Garantías inmobiliarias |
| 4 | Derechos de Cobro | - Fiducias mercantiles irrevocables de garantía - Pignoración de rentas, impuestos, sobretasas, subsidios y contribuciones de entidades territoriales y descentralizadas de todos los órdenes. - Garantía sobre créditos (se extiende sobre los derechos económicos y patrimoniales y sobre tas garantías que a su vez amparen estos créditos y los derechos accesorios de los mismos) - Garantías de control sobre los depósitos bancarios del garante - Manejo de depósitos bancarios del deudor y/o garante - Regalías - Inversiones (en el interior y exterior del país) - Participación accionaria |
| 5 | Otros Colaterales | - Prendas sobre inventarios procesados - Prendas sobre insumos – bienes básicos - Prendas sobre equipos y vehículos - Bonos de Prenda |
La cobertura mínima sobre la operación garantizada requerida por la Nación, dependerá del tipo de Contragarantía que la entidad garantizada deberá otorgar, de acuerdo con la siguiente tabla:
Tabla 3. Cobertura Mínima de las Contragarantías por Categoría
| Categoría | Cobertura |
| 1. Recursos Nación y en Cuentas del Banco de la República | 110% |
| 2. Colateral Financiero Admisible | 130% |
| 3. Bienes Raíces Comerciales y Residenciales | 130% |
| 4. Derechos de Cobro | 130% |
| 5. Otros Colaterales | 130% |
2.3. Probabilidad de Incumplimiento
Se define a partir del incumplimiento registrado para una muestra de empresas y gobiernos clasificada, en los reportes publicados por calificadoras de riesgo con reconocimiento a nivel mundial[1].
Una vez recopilada la información, se calculó un promedio ponderado de las probabilidades, según el número de empresas usadas en cada reporte.
| Calificación | S&P | MOODY'S | Pl |
| AAA | 0.73% | 0.13% | 0.42% |
| AA | 0.81% | 0.74% | 0.77% |
| A | 1.52% | 2.14% | 1.84% |
| BBB | 4.22% | 3.42% | 3.80% |
| BB | 14.52% | 15.26% | 14.91% |
| B | 28.27% | 34.22% | 31.38% |
| C | 52.68% | 48.19% | 50.33% |
| Tamaño de la muestra | 4041 | 4421 | 8462 |
Para todos los efectos de este documento, la probabilidad para las calificaciones intermedias (AA+, AA-, A+, A-, BBB+, BBB-, BB+, BB-, B+ y B-), se asume que es la misma de la respectiva calificación general.
Los valores de las probabilidades serán revisados anualmente, y cuando se evidencien cambios significativos, podrán ser actualizados.
2.4. Cálculo del Aporte Anual
El valor del aporte anual está dado por la PE y un mínimo de 5 puntos básicos de la exposición en el momento del incumplimiento. Matemáticamente, esto equivale a la siguiente expresión:
![]()
Donde El es la exposición en el momento del incumplimiento como lo define la sección 2.1.
Cuando la entidad otorgue en Contragarantía activos de la categoría 1 de la Tabla 1 (i.e. Recursos Nación y Cuentas en el Banco de la República), el monto del Aporte será igual a la PE.
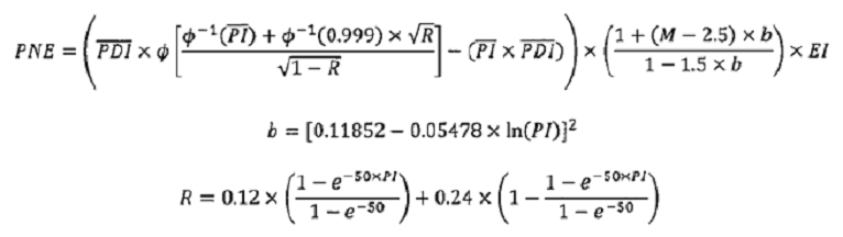
3. Pérdida No Esperada y Valor del Pasivo Contingente
El Pasivo Contingente (PC) para un año del portafolio de operaciones de crédito público garantizadas, corresponderá a la suma de la pérdida esperada agregada
y el percentil 99 de la pérdida no esperada (PNE).
![]()
Las
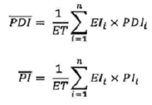
del portafolio corresponden a la suma de las pérdidas esperadas individuales de los créditos que lo componen, calculadas de acuerdo con el numeral 2 del presente documento. Por otra parte, para calcular la PNE del portafolio, es necesario calcular agregados de PDI, Pl y vida media M, a nivel de portafolio.
Para estos efectos, si
denotan la PDI y la Pl del portafolio, respectivamente, entonces su cálculo en función de los créditos individuales es el promedio ponderado por exposición al incumplimiento de los respectivos valores individuales:

Donde ET es la exposición total del portafolio, que equivale a la sumatoria de la exposiciones individuales Elt de todos los créditos vigentes que lo componen. Ahora, con un nivel de confianza del 99%, la PNE se calcula como:

Cabe aclarar que la vida media M debe estar expresada en años y en la misma moneda, por lo que para algunos créditos será necesario convertir el saldo vigente del crédito usando la TRM del día. Por otro lado,
representan la distribución normal estándar y su función inversa, respectivamente, b es un parámetro de ajuste de los vencimientos de los créditos que pondera al aumento de la vida media del portafolio y R es un parámetro de correlación de la exposición del portafolio al estado general de la economía.
1. Standard and Poor's: 2018 Annual Global Corpcrate Default And Rating Transilion Study Tabla 38 y Moody's: Sovereign default and recovery rates, 1983-2018. Objeto expuesto 18