Derechos de autor reservados - Prohibida su reproducción
DECRETO 2170 DE 2017
(diciembre 22)
Diario Oficial No. 50.506 de 13 de febrero de 2018
MINISTERIO DE COMERCIO, INDUSTRIA Y TURISMO
FE DE ERRATAS
En el Diario Oficial 50.455, del viernes 22 de diciembre, se publicó el Decreto 2170 del 22 de diciembre de 2017, por medio del cual se modifican parcialmente los marcos técnicos de las Normas de Información Financiera y de Aseguramiento de la Información previstos en los artículos 1.1.1.2 y 1.2.1.1 del Libro 1, del Decreto número 2420 de 2015, modificado por los Decretos números 2496 de 2015, 2131 y 2132 de 2016, respectivamente, y se dictan otras disposiciones.
Debido a un error involuntario en esta publicación se omitió el ANEXO 4.1 MARCO TÉCNICO NORMATIVO DE LAS NORMAS DE ASEGURAMIENTO DE LA INFORMACIÓN, por lo tanto se procede a publicar dicho decreto junto con el Anexo 4.1.
La Ley 1437 de 2011 en su artículo 45 reza: “En cualquier tiempo, de oficio o a petición de parte, se podrán corregir los errores simplemente formales contenidos en los actos administrativos, ya sean aritméticos, de digitación, de transcripción o de omisión de palabras. En ningún caso la corrección dará lugar a cambios en el sentido material de la decisión, ni revivirá los términos legales para demandar el acto. Realizada la corrección, esta deberá ser notificada o comunicada a todos los interesados, según corresponda”.
Por medio del cual se modifican parcialmente los marcos técnicos de las Normas de Información Financiera y de Aseguramiento de la Información previstos en los artículos 1.1.1.2. y 1.2.1.1. del Libro 1, del Decreto número 2420 de 2015, modificado por los Decretos números 2496 de 2015, 2131 y 2132 de 2016, respectivamente, y se dictan otras disposiciones.
EL PRESIDENTE DE LA REPÚBLICA DE COLOMBIA,
en ejercicio de sus facultades constitucionales y legales, en especial las que le confieren el numeral 11 del artículo 189 de la Constitución Política, y en desarrollo de los artículos 1o y 6o de la Ley 1314 de 2009, y
CONSIDERANDO:
Que el artículo 1o de la Ley 1314 de 2009 señala que por mandato de la misma, el Estado, bajo la dirección del Presidente de la República y por intermedio de las entidades a que hace referencia dicha Ley, intervendrá la economía, limitando la libertad económica para expedir normas contables, de información financiera y de aseguramiento de la información.
Que el artículo 3o de la Ley 1314 de 2009 señala que para los propósitos de dicha Ley, se entiende por normas de contabilidad y de información financiera el sistema compuesto por postulados, principios, limitaciones, conceptos, normas técnicas generales, normas técnicas específicas, normas técnicas especiales, normas técnicas sobre revelaciones, normas técnicas sobre registros y libros, interpretaciones y guías, que permiten identificar, medir, clasificar, reconocer, interpretar, analizar, evaluar e informar, las operaciones económicas de un ente, de forma clara y completa, relevante, digna de crédito y comparable.
Que el artículo 5o de la Ley 1314 de 2009, señala que las normas de aseguramiento de la información son un sistema compuesto por principios, conceptos, técnicas, interpretaciones y guías, que regulan las calidades personales, el comportamiento, la ejecución del trabajo y los informes de un trabajo de aseguramiento de información. Asimismo, que tales normas se componen de normas éticas, normas de control de calidad de los trabajos, normas de auditoría de información financiera histórica, normas de revisión de información financiera histórica y normas de aseguramiento de la información distinta de la anterior.
Que con base en lo dispuesto en el artículo 6o de la Ley 1314 de 2009, bajo la Dirección del Presidente de la República y con respeto de las facultades regulatorias en materia de contabilidad pública a cargo de la Contaduría General de la Nación, los Ministerios de Hacienda y Crédito Público y de Comercio, Industria y Turismo, obrando conjuntamente, deben expedir los principios, las normas, las interpretaciones y las guías de contabilidad e información financiera y aseguramiento de la información, con fundamento en las propuestas que deben ser presentadas por el Consejo Técnico de la Contaduría Pública, como organismo de normalización técnica de normas contables, de información financiera y de aseguramiento de la información.
Que el Gobierno nacional expidió el Decreto número 2420 de 2015, Único Reglamentario de las Normas de Contabilidad, de Información Financiera y de Aseguramiento de la Información, en el cual se compilaron y racionalizaron las normas expedidas en desarrollo de la Ley 1314 de 2009, que rigen en dichas materias, modificado por los Decretos números 2496 de 2015, 2101, 2131 y 2132 de 2016.
Que mediante Comunicaciones CTCP- 2017-000011 del 14 de junio de 2017 y CTCP- 10-00757-2017 del 15 de junio de 2017, el Consejo Técnico de la Contaduría Pública (CTCP), remitió a los Ministerios de Comercio, Industria y Turismo y de Hacienda y Crédito Público, respectivamente, el documento de fecha 13 de junio de 2017, referido a la propuesta de aplicación de la NIIF 16, emitida por el Consejo de Normas Internacionales de Contabilidad (IASB, por su sigla en inglés), en el primer semestre de 2016, y las enmiendas a la NIC 40, las NIIF 2 y 4 y las Mejoras Anuales Ciclo 2014-2016, emitidas por el IASB en el segundo semestre de 2016, concluyendo que tras la puesta en discusión pública, la recepción y análisis de los comentarios recibidos a dicha propuesta normativa, no se identificaron aspectos de fondo que pudieran implicar la inconveniencia de su aplicación en Colombia y recomendando la expedición de un decreto reglamentario que las ponga en vigencia y destacando que su aplicación obligatoria sea a partir del 1 enero de 2019. Asimismo, dicho organismo de normalización técnica, en el referido documento base de conclusiones de la propuesta normativa de fecha 13 de junio de 2017, recomendó igualmente que las fechas de vigencia incluidas en el texto original de las normas no se tengan en cuenta en la regulación colombiana.
Que mediante Comunicaciones CTCP-2017-000002 del 23 de febrero de 2017 y CTCP-10- 00173-2017 del 23 de febrero de 2017, el Consejo Técnico de la Contaduría Pública CTCP, remitió a los Ministerios de Comercio, Industria y Turismo y de Hacienda y Crédito Público, respectivamente, el documento de fecha 14 de febrero de 2017 referido a los “Informes sobre estados financieros auditados - normas nuevas y revisadas y modificaciones de concordancia”, emitido por el Consejo de Normas Internacionales de Auditoría y Aseguramiento o IAASB por sus siglas en inglés (International Auditing and Assurance Board), concluyendo que tras la puesta en discusión pública, la recepción y análisis de los comentarios recibidos a dicho documento, no se identificaron aspectos de fondo que pudieran implicar la inconveniencia de su aplicación en Colombia y recomendando la expedición de un decreto reglamentario que lo ponga en vigencia y destacando que su aplicación obligatoria sea a partir del 1 enero de 2019.
Que por tal razón, con el anexo técnico normativo 1.3, contentivo de la NIIF 16, emitida por el IASB en el primer semestre de 2016 y las enmiendas a la NIC 40, las NIIF 2 y 4 y las Mejoras Anuales Ciclo 2014-2016, emitidas por IASB en el segundo semestre de 2016, que hace parte integral del presente Decreto, se modificará parcialmente, en lo pertinente, el marco técnico normativo de las normas de información financiera previsto en los Anexos 1.1. y 1.2. incorporados en los Decretos números 2496 de 2015 y 2131 de 2016, respectivamente, modificatorios del Decreto número 2420 de 2015.
Que asimismo, con el anexo técnico 4.2, que hace parte integral del presente Decreto, se modificará parcialmente, en lo pertinente, el marco técnico normativo de las Normas de Aseguramiento de la información, previsto en los Anexos 4 y 4.1 incorporados en los Decretos números 2420 de 2015 y 2132 de 2016, respectivamente.
Que mediante comunicación del 22 de septiembre de 2017, el Consejo Técnico de la Contaduría Pública (CTCP), recomendó aclarar que la nueva norma NIA 701, que se encuentra incluida dentro del Anexo 4.2., que forma parte integral del presente Decreto, se aplicará a los destinatarios señalados en el artículo 1.2.1.2. del Decreto número 2420 de 2015, modificado por el artículo 3o del Decreto número 2132 de 2016.
Que mediante comunicación del 28 de septiembre de 2017, el Consejo Técnico de la Contaduría Pública (CTCP) informó al Ministerio de Comercio, Industria y Turismo, que identificaron algunos errores en la traducción suministrada por el Consejo de Normas Internacionales de Contabilidad (IASB, por su sigla en inglés), de las enmiendas a las Normas Internacionales de Información Financiera para Pymes, NIIF para Pymes, específicamente en el inciso final del párrafo 29.13 de la versión 2015, que hace parte integral del anexo técnico 2.1, del Decreto número 2496 de 2015 e incorporado en la Sección de Anexos del Decreto número 2420 de 2015, el cual ya fue corregido en la última versión en español de la norma revisada por el IASB, versión 2017; por lo cual, sugiere el CTCP que se publique el citado párrafo completo con la corrección efectuada.
Que mediante comunicación del 13 de noviembre de 2017, el Consejo Técnico de la Contaduría Pública CTCP, con fundamento en lo dispuesto en el artículo 14 de la Ley 1314 de 2009, recomendó que se incluya dentro del proyecto de decreto la opción de aplicación anticipada de las enmiendas y normas nuevas de Información Financiera NIIF y de Aseguramiento de la Información NAI, que se incorporan al presente Decreto mediante los Anexos 1.3. y 4.2., respectivamente.
Que por error en la configuración de la impresión de los cuadros explicativos que componen el diagrama de flujo del párrafo A47 de la NIA 600, que se encuentra en la página 548 del Anexo Técnico 4.1, que hace parte integral del Decreto número 2132 de 2016 e incorporado en la Sección de Anexos del Decreto número 2420 de 2015, se hace necesario incorporar una nueva página 548 al Anexo Técnico referido, que contenga el diagrama indicado de manera completa para su debido conocimiento y aplicación.
Que la Superintendencia de Industria y Comercio rindió concepto previo señalado en la Ley 1340 de 2009, reglamentado por el Decreto número 2897 de 2010 sobre abogacía de la competencia, respecto de las normas de información financiera y de aseguramiento de la información, considerando que “...notamos que el proyecto de decreto que ahora se remite se encuentra plenamente relacionado con el que se sometió previamente al juicio de competencia ante la SIC y que las nuevas disposiciones se refieren a la vigencia y las enmiendas a las normas de información financiera, sin que se incluyan disposiciones sustanciales que ameriten modificar el juicio de competencia que en su momento expuso esta Entidad. Por todo lo anterior, nos permitimos ratificar la opinión consignada en el concepto de abogacía de radicado número 14-282409 y extender las conclusiones allí contenidas para el proyecto de decreto bajo análisis, en el sentido de considerar que no tiene incidencia sobre la libre competencia, toda vez que: (i) no limita el número o variedad de las empresas en uno o varios mercados relevantes relacionados; (ii) no limita la capacidad de las empresas para competir en uno o varios mercados relevantes relacionados; y, (iii) no implica reducir los incentivos de las empresas para competir en uno o varios mercados relevantes relacionados”.
Que las normas nuevas y enmiendas a las Normas Internacionales de Información Financiera y de Aseguramiento de la Información, emitidas por el IASB y por el IAASB, respectivamente, y propuestas a las Autoridades de Regulación por el Consejo Técnico de la Contaduría Pública, junto con la recomendación de ponerlas en vigencia y contenidas en los marcos técnicos anexos al presente Decreto, fueron publicadas para su discusión pública, por parte del Consejo Técnico de la Contaduría Pública, según ese organismo lo señaló en los referidos documentos de fechas 14 de febrero y 13 de junio de 2017.
Que igualmente, conforme a lo establecido en el numeral 8 del artículo 8o de la Ley 1437 de 2011, en concordancia con el Decreto número 1081 de 2015, modificado por el Decreto número 270 de 2017, el Ministerio de Comercio, Industria y Turismo publicó en dos (2) proyectos normativos las propuestas normativas recomendadas por el CTCP, contentivas de las enmiendas y normas nuevas (NIIF) Normas Internacionales de Información Financiera - y (NAI) Normas de Aseguramiento de la Información, junto con sus documentos soporte contenidos en el presente Decreto, con el objeto de recibir opiniones, sugerencias o propuestas alternativas, siendo consideradas las propuestas sustentadas de quienes se presentaron en la consulta pública respectiva.
Que en mérito de lo expuesto,
DECRETA:
ARTÍCULO 1o. MODIFICACIÓN PARCIAL DEL MARCO TÉCNICO NORMATIVO DE LAS NORMAS DE INFORMACIÓN FINANCIERA. Modifíquese parcialmente, en lo pertinente, el marco técnico normativo de las normas de información financiera, previsto en el artículo 1.1.1.2, del Libro 1, Parte 1, Título 1, del Decreto número 2420 de 2015, modificado por los Decretos 2496 de 2015 y 2131 de 2016 en los Anexos 1.1 y 1.2 de dichos decretos, respectivamente, con el marco técnico normativo, anexo al presente Decreto y que se incorpora al Decreto número 2420 de 2015, como Anexo 1.3.
ARTÍCULO 2o. INCORPORACIÓN DEL MARCO TÉCNICO NORMATIVO DE LAS NORMAS DE INFORMACIÓN FINANCIERA. Incorpórese en la Sección de Anexos del Decreto número 2420 de 2015, un Anexo 1.3., que forma parte integral del presente Decreto contentivo de la NIIF 16, emitida por el IASB en el primer semestre de 2016, y las enmiendas a la NIC 40, las NIIF 2 y 4 y las Mejoras Anuales Ciclo 2014-2016.
ARTÍCULO 3o. MODIFICACIÓN PARCIAL DEL MARCO TÉCNICO NORMATIVO DE LAS NORMAS DE ASEGURAMIENTO DE LA INFORMACIÓN. Modifíquese parcialmente, en lo pertinente, el marco técnico normativo de las normas de aseguramiento de la información previsto en el Anexo 4 del artículo 1.2.1.1 del Decreto número 2420 de 2015, modificado por el Anexo 4.1. del artículo 2o del Decreto número 2132 de 2016, con el marco técnico normativo que se incorpora al Decreto número 2420 de 2015 como Anexo 4.2.
ARTÍCULO 4o. INCORPORACIÓN DEL MARCO TÉCNICO NORMATIVO DE LAS NORMAS DE ASEGURAMIENTO DE LA INFORMACIÓN. Incorpórese en la Sección de Anexos del Decreto número 2420 de 2015, un Anexo 4.2., que forma parte integral del presente Decreto contentivo del marco técnico normativo de las normas de aseguramiento de la información.
ARTÍCULO 5o. ÁMBITO DE APLICACIÓN DE LA NORMA NIA 701. La norma NIA 701, que se encuentra incluida dentro del Anexo 4.2., que forma parte integral del presente Decreto, se aplicará a los destinatarios en los términos y requerimientos señalados en el artículo 1.2.1.2. del Decreto número 2420 de 2015, modificado por el artículo 3o del Decreto número 2132 de 2016.
ARTÍCULO 6o. INCORPORACIÓN DEL PÁRRAFO 29.13 DE LAS NORMAS DE INFORMACIÓN FINANCIERA PARA PYMES, AL ANEXO TÉCNICO 2.1, PARA LOS PREPARADORES DE INFORMACIÓN FINANCIERA DEL GRUPO 2. Incorpórese el párrafo corregido 29.13, de las normas de información financiera para Pymes, al Anexo Técnico 2.1., que hace parte integral del Decreto número 2496 de 2015, modificatorio del Decreto número 2420 de 2015, el cual reemplaza el mismo párrafo contenido en dicho Anexo Técnico.
ARTÍCULO 7o. INCORPORACIÓN DEL DIAGRAMA DE FLUJO DEL PÁRRAFO A47 CORREGIDO, AL ANEXO TÉCNICO 4.1., DE LAS NORMAS DE ASEGURAMIENTO DE LA INFORMACIÓN. Incorpórese el diagrama de flujo corregido, del párrafo A47 del Anexo Técnico 4.1., de las normas de aseguramiento de información, página 548, que hace parte integral del Decreto número 2132 de 2016, modificatorio del Decreto número 2420 de 2015, el cual reemplaza el diagrama de flujo contenido en dicho Anexo Técnico.
ARTÍCULO 8o. VIGENCIA. El presente Decreto rige a partir de la fecha de su publicación en el Diario Oficial, observando lo siguiente:
1. El Anexo normativo que hace parte integral del presente Decreto y que se incorpora como Anexo 1.3. al Decreto número 2420 de 2015, se aplicará a partir del 1 de enero del segundo año gravable siguiente al de la publicación del presente Decreto, fecha a partir de la cual se modifican parcialmente, en lo pertinente, los Anexos Técnicos 1.1. y 1.2., incorporados por los Decretos números 2496 de 2015 y 2131 de 2016, respectivamente, y se permite su aplicación voluntaria anticipada. Si una entidad opta por aplicar anticipadamente uno cualquiera de los estándares o la integridad del marco técnico normativo contenido en el Anexo 1.3. del presente Decreto, deberá revelar este hecho y aplicar todos los requerimientos al mismo tiempo del o de los estándares que haya optado por su aplicación anticipada.
2. El anexo normativo que hace parte integral del presente Decreto y que se incorpora como Anexo 4.2. al Decreto número 2420 de 2015, se aplicará a partir del 1 de enero del segundo año gravable siguiente al de la publicación del presente Decreto, fecha en la cual se modifican parcialmente los Anexos Técnicos 4 y 4.1 incorporados por los Decretos 2420 de 2015 y 2132 de 2016, respectivamente y se permite su aplicación anticipada. Si una entidad opta por aplicar anticipadamente uno cualquiera de los estándares o la integridad del marco técnico normativo contenido en el Anexo 4.2. del presente Decreto, deberá revelar este hecho y aplicar todos los requerimientos al mismo tiempo del o de los estándares que haya optado por su aplicación anticipada.
3. Las fechas de vigencia incorporadas en los estándares de los anexos técnicos que hacen parte integral del presente Decreto no se tendrán en cuenta como fechas de vigencia de los mismos en Colombia y, por lo tanto, estos estándares solo tendrán aplicación a partir de las fechas de vigencia señaladas en los numerales 1 y 2 del presente artículo.
Publíquese y cúmplase.
Dado en Bogotá, D. C., a 22 de diciembre de 2017.
JUAN MANUEL SANTOS CALDERÓN
El Ministro de Hacienda y Crédito Público,
MAURICIO CÁRDENAS SANTAMARÍA.
La Ministra de Comercio, Industria y Turismo,
MARÍA LORENA GUTIÉRREZ BOTERO.
MARCO TÉCNICO NORMATIVO PARA LOS PREPARADORES DE INFORMACIÓN FINANCIERA QUE CONFORMAN EL GRUPO 1.
<Anexo subrogado por el Anexo 1 -ANEXO TÉCNICO COMPILATORIO NÚMERO 1, DE LAS NORMAS DE INFORMACIÓN FINANCIERA NIIF, GRUPO 1- incluido en el Decreto 2483 de 2018. El texto original es el siguiente:>
Norma Internacional de Información Financiera 16
Arrendamientos
Objetivo
1 Esta Norma establece los principios para el reconocimiento, medición, presentación e información a revelar de los arrendamientos. El objetivo es asegurar que los arrendatarios y arrendadores proporcionen información relevante de forma que represente fielmente esas transacciones. Esta información proporciona una base a los usuarios de los estados financieros para evaluar el efecto que los arrendamientos tienen sobre la situación financiera, el rendimiento financiero y los flujos de efectivo de una entidad.
2 Cuando aplique esta Norma, una entidad considerará los términos y condiciones de los contratos y todos los hechos y circunstancias relevantes. Una entidad aplicará esta Norma de forma congruente a los contratos con características similares y circunstancias parecidas.
Alcance
3 Una entidad aplicará esta Norma a todos los arrendamientos, incluyendo los arrendamientos de activos de derechos de uso en un subarrendamiento, excepto en:
(a) acuerdos de arrendamiento para la exploración o uso de minerales, petróleo, gas natural y recursos no renovables similares;
(b) activos biológicos dentro del alcance de la NIC 41 Agricultura mantenidos por un arrendatario;
(c) acuerdos de concesión de servicios dentro del alcance de la CINIIF 12 Acuerdos de Concesión de Servicios;
(d) licencias de propiedad intelectual concedidas por un arrendador dentro del alcance de la NIIF 15 Ingresos de Actividades Ordinarias procedentes de Contratos con Clientes; y
(e) derechos mantenidos por un arrendatario bajo acuerdos de licencia que estén dentro del alcance de la NIC 38 Activos Intangibles para elementos como películas de cine, videos, juegos, manuscritos, patentes y derechos de autor.
4 Un arrendatario, puede, pero no se le exige, aplicar esta Norma a arrendamientos de activos intangibles distintos de los descritos en el párrafo 3(e).
Exenciones al reconocimiento (párrafos B3 a B8)
5 Un arrendatario puede optar por no aplicar los requerimientos de los párrafos 22 a 49 a:
(a) arrendamientos a corto plazo; y
(b) arrendamientos en los que el activo subyacente es de bajo valor (como se describe en los párrafos B3 a B8).
6 Si un arrendatario opta por no aplicar los requerimientos de los párrafos 22 a 49 a los arrendamientos a corto plazo o a arrendamientos en los que el activo subyacente es de bajo valor, el arrendatario reconocerá los pagos por arrendamiento asociados con los arrendamientos como un gasto de forma lineal a lo largo del plazo del arrendamiento, o según otra base sistemática. El arrendatario aplicará otra base sistemática si aquella es más representativa del patrón de beneficios del arrendatario.
7 Si un arrendatario contabiliza los arrendamientos a corto plazo aplicando el párrafo 6, considerará el arrendamiento como un arrendamiento nuevo a efectos de esta Norma si:
(a) hay una modificación del arrendamiento; o
(b) se ha producido un cambio en el plazo del arrendamiento (por ejemplo, el arrendatario ejerce una opción no incluida anteriormente en su determinación del plazo del arrendamiento).
8 La elección para los arrendamientos a corto plazo se realizará por clase de activo subyacente con el que se relaciona el derecho de uso. Una clase de activo subyacente es una agrupación de activos de naturaleza y uso similar en las operaciones de una entidad. La elección de los arrendamientos en los que el activo subyacente es de bajo valor puede hacerse arrendamiento por arrendamiento.
Identificación de un arrendamiento (párrafos B9 a B33)
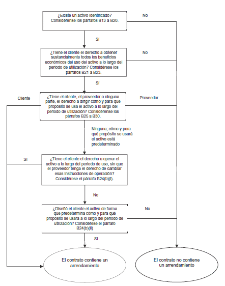
9 Al inicio de un contrato, una entidad evaluará si el contrato es, o contiene, un arrendamiento. Un contrato es, o contiene, un arrendamiento si transmite el derecho a controlar el uso de un activo identificado por un periodo de tiempo a cambio de una contraprestación. Los párrafos B9 a B31 establecen guías sobre la evaluación de si un contrato es, o contiene, un arrendamiento.
10 Un periodo de tiempo puede describirse en términos de la cantidad de uso de un activo identificado (por ejemplo, el número de unidades de producción que un elemento de equipo se usará para fabricar).
11 Una entidad evaluará nuevamente si un contrato es, o contiene, un arrendamiento solo si cambian los términos y condiciones del contrato.
Separación de componentes de un contrato
12 Para un contrato que es, o contiene, un arrendamiento, una entidad contabilizará cada componente del arrendamiento dentro del contrato como un arrendamiento de forma separada de los componentes del contrato que no constituyen un arrendamiento, a menos que aplique la solución práctica del párrafo 15. Los párrafos B32 y B33 establecen guías sobre la separación de los componentes de un contrato.
Arrendatario
13 Para un contrato que contiene un componente de arrendamiento y uno o más componentes adicionales de arrendamiento u otros que no son de arrendamiento, un arrendatario distribuirá la contraprestación del contrato a cada componente del arrendamiento sobre la base de precio relativo independiente del componente del arrendamiento y del precio agregado independiente de los componentes que no son arrendamiento.
14 El precio relativo independiente de los componentes de arrendamiento y que no son de arrendamiento se determinarán sobre la base del precio que el arrendador, o un proveedor similar, cargaría de forma separada a una entidad por ese componente, o por uno similar. Si no existe un precio observable independiente fácilmente disponible, el arrendatario estimará el precio independiente, maximizando el uso de información observable.
15 Como una solución práctica, un arrendatario puede elegir, por clase de activo subyacente, no separar los componentes que no son arrendamiento de los componentes de arrendamiento, y, en su lugar, contabilizará cada componente de arrendamiento y cualquier componente asociado que no sea de arrendamiento como si se tratase de un componente de arrendamiento único. Un arrendatario no aplicará esta solución práctica a derivados implícitos que cumplan los criterios del párrafo 4.3.3 de la NIIF 9 Instrumentos Financieros.
16 A menos que utilice la solución práctica del párrafo 15, un arrendatario contabilizará los componentes que no son de arrendamiento aplicando otras Normas aplicables.
Arrendador
17 Para un contrato que contiene un componente de arrendamiento y uno o más componentes adicionales de arrendamiento o que no son de arrendamiento, un arrendador distribuirá la contraprestación del contrato aplicando los párrafos 73 a 90 de la NIIF 15.
Plazo del arrendamiento (párrafos B34 a B41)
18 Una entidad determinará el plazo del arrendamiento como el periodo no cancelable de un arrendamiento, junto con:
(a) los periodos cubiertos por una opción de ampliar el arrendamiento si el arrendatario va a ejercer con razonable certeza esa opción; y
(b) los periodos cubiertos por una opción para terminar el arrendamiento si el arrendatario no va a ejercer con razonable certeza esa opción.
19 Al evaluar si un arrendatario va a ejercer con razonable certeza una opción de ampliar un arrendamiento, o no va a ejercer una opción de terminar un arrendamiento, una entidad considerará todos los hechos y circunstancias relevantes que creen un incentivo económico para que el arrendatario ejerza la opción de ampliar el arrendamiento o bien no ejerza la opción de terminar el arrendamiento, tal y como se describe en los párrafos B37 a B40.
20 Un arrendatario evaluará nuevamente si es razonable que ejerza una opción de ampliación, o no ejerza una opción de terminación, en el momento en que ocurra un suceso o cambio significativo en circunstancias que:
(a) esté dentro del control del arrendatario; y
(b) afectan a la razonable certeza de que el arrendatario va a ejercer una opción no incluida en su determinación previa del plazo del arrendamiento, o no va a ejercer una opción incluida en su determinación previa del plazo del arrendamiento (como se describe en el párrafo B41).
21 Una entidad modificará el plazo del arrendamiento si hay un cambio en el periodo no cancelable de un arrendamiento. Por ejemplo, el periodo no cancelable de un arrendamiento cambiará si:
(a) el arrendatario ejerce una opción no incluida anteriormente en la determinación por la entidad del plazo del arrendamiento;
(b) el arrendatario no ejerce una opción incluida anteriormente en la determinación por la entidad del plazo del arrendamiento;
(c) ocurre un suceso que obliga contractualmente al arrendatario a ejercer una opción no incluida en la determinación previa que la entidad haya hecho del plazo del arrendamiento; o
(d) ocurre un suceso que prohíbe contractualmente al arrendatario ejercer una opción incluida en la determinación previa por la entidad del plazo del arrendamiento.
Arrendatario
Reconocimiento
22 En la fecha de comienzo, un arrendatario reconocerá un activo por derecho de uso y un pasivo por arrendamiento.
Medición
Medición inicial
Medición inicial del activo por derecho de uso
23 En la fecha de comienzo, un arrendatario medirá un activo por derecho de uso al costo.
24 El costo del activo por derecho de uso comprenderá:
(a) el importe de la medición inicial del pasivo por arrendamiento, como se describe en el párrafo 26;
(b) los pagos por arrendamiento realizados antes o a partir de la fecha de comienzo, menos los incentivos de arrendamiento recibidos;
(c) los costos directos iniciales incurridos por el arrendatario; y
(d) una estimación de los costos a incurrir por el arrendatario al desmantelar y eliminar el activo subyacente, restaurar el lugar en el que se localiza o restaurar el activo subyacente a la condición requerida por los términos y condiciones del arrendamiento, a menos que se incurra en esos costos al producir los inventarios. El arrendatario podría incurrir en obligaciones a consecuencia de esos costos ya sea en la fecha de comienzo o como una consecuencia de haber usado el activo subyacente durante un periodo concreto.
25 Un arrendatario reconocerá los costos descritos en el párrafo 24(d) como parte del costo del activo por derecho de uso cuando incurre en una obligación a consecuencia esos costos. Un arrendatario aplicará la NIC 2 Inventarios a los costos que en los que se incurre durante un periodo concreto como consecuencia de haber usado el activo por derecho de uso para producir inventarios durante ese periodo. Las obligaciones por estos costos contabilizados aplicando esta Norma o la NIC 2 se reconocerán y medirán aplicando la NIC 37 Provisiones, Pasivos Contingentes y Activos Contingentes.
Medición inicial del pasivo por arrendamiento
26 En la fecha de comienzo, un arrendatario medirá el pasivo por arrendamiento al valor presente de los pagos por arrendamiento que no se hayan pagado en esa fecha. Los pagos por arrendamiento se descontarán usando la tasa de interés implícita en el arrendamiento, si esa tasa pudiera determinarse fácilmente. Si esa tasa no puede determinarse fácilmente, el arrendatario utilizará la tasa incremental por préstamos del arrendatario.
27 En la fecha de comienzo, los pagos por arrendamiento incluidos en la medición del pasivo por arrendamiento comprenden los pagos siguientes por el derecho a usar el activo subyacente durante el plazo del arrendamiento que no se paguen en la fecha de comienzo:
(a) pagos fijos (incluyendo los pagos en esencia fijos como se describe en el párrafo B42), menos cualquier incentivo de arrendamiento por cobrar;
(b) pagos por arrendamiento variables, que dependen de un índice o una tasa, inicialmente medidos usando el índice o tasa en la fecha de comienzo (como se describe en el párrafo 28);
(c) importes que espera pagar el arrendatario como garantías de valor residual;
(d) el precio de ejercicio de una opción de compra si el arrendatario está razonablemente seguro de ejercer esa opción (evaluada considerando los factores descritos en los párrafos B37 a B40); y
(e) pagos de penalizaciones por terminar el arrendamiento, si el plazo del arrendamiento refleja que el arrendatario ejercerá una opción para terminar el arrendamiento.
28 Los pagos por arrendamiento variables que dependen de un índice o una tasa descritos en el párrafo 27(b) incluyen, por ejemplo, pagos vinculados al índice de precios al consumidor, precios vinculados a una tasa de interés de referencia (tal como la LIBOR) o pagos que varían para reflejar cambios en los precios de alquiler del mercado.
Medición posterior
Medición posterior del activo por derecho de uso
29 Después de la fecha de comienzo, un arrendatario medirá su activo por derecho de uso aplicando el modelo del costo, a menos que aplique los modelos de medición descritos en los párrafos 34 y 35.
Modelo del costo
30 Para aplicar un modelo del costo, un arrendatario medirá un activo por derecho de uso al costo:
(a) menos la depreciación acumulada y las pérdidas acumuladas por deterioro del valor; y
(b) ajustado por cualquier nueva medición del pasivo por arrendamiento especificado en el párrafo 36(c).
31 Un arrendatario aplicará los requerimientos de la depreciación de la NIC 16 Propiedades, Planta y Equipo al depreciar el activo por derecho de uso, sujeto a los requerimientos del párrafo 32.
32 Si el arrendamiento transfiere la propiedad del activo subyacente al arrendatario al fin del plazo del arrendamiento o si el costo del activo por derecho de uso refleja que el arrendatario ejercerá una opción de compra, el arrendatario depreciará el activo por derecho de uso desde la fecha de comienzo del mismo hasta el final de la vida útil del activo subyacente. En otro caso, el arrendatario depreciará el activo por derecho de uso desde la fecha de comienzo hasta el final de la vida útil del activo cuyo derecho de uso tiene o hasta el final del plazo del arrendamiento, lo que tenga lugar primero.
33 Un arrendatario aplicará la NIC 36 Deterioro del Valor de los Activos para determinar si el activo por derecho de uso presenta deterioro de valor y contabilizar las pérdidas por deterioro de valor identificadas.
Otros modelos de medición
34 Si un arrendatario utiliza el modelo del valor razonable de la NIC 40 Propiedades de Inversión a sus propiedades de inversión, el arrendatario también aplicará ese modelo del valor razonable al derecho de uso de los activos que cumplan la definición de propiedad de inversión de la NIC 40.
35 Si el derecho de uso de los activos se relaciona con una clase de propiedades, planta y equipo a la que el arrendatario aplica el modelo de revaluación de la NIC 16, éste podría optar por utilizar ese modelo de revaluación para todos los activos por derecho de uso de activos relacionados con esa clase de propiedades, planta y equipo.
Medición posterior del pasivo por arrendamiento
36 Después de la fecha de comienzo, un arrendatario medirá un pasivo por arrendamiento:
(a) incrementando el importe en libros para reflejar el interés sobre el pasivo por arrendamiento;
(b) reduciendo el importe en libros para reflejar los pagos por arrendamiento realizados; y
(c) midiendo nuevamente el importe en libros para reflejar las nuevas mediciones o modificaciones del arrendamiento especificadas en los párrafos 39 a 46, y también para reflejar los pagos por arrendamiento fijos en esencia que hayan sido revisados (véase el párrafo B42).
37 El interés de un pasivo por arrendamiento en cada periodo durante el plazo del arrendamiento será el importe que produce una tasa periódica constante de interés sobre el saldo restante del pasivo por arrendamiento. La tasa periódica de interés es la tasa de descuento descrita en el párrafo 26 o, si es aplicable, la tasa de descuento modificad descrita en el párrafo 41, el párrafo 43 o el párrafo 45(c).
38 Después de la fecha de comienzo, un arrendatario reconocerá en el resultado del periodo, a menos que los costos se incluyan, en función de otras Normas aplicables, en el importe en libros de otro activo:
(a) el interés sobre el pasivo por arrendamiento; y
(b) los pagos por arrendamiento variables no incluidos en la medición del pasivo por arrendamiento en el periodo en el que ocurre el suceso o condición que da lugar a esos pagos.
Nueva evaluación del pasivo por arrendamiento
39 Después de la fecha de comienzo, un arrendatario aplicará los párrafos 40 a 43 para medir nuevamente el pasivo por arrendamiento para reflejar cambios en los pagos por arrendamiento. Un arrendatario reconocerá el importe de la nueva medición del pasivo por arrendamiento como un ajuste al activo por derecho de uso. Sin embargo, si el importe en libros del activo por derecho de uso se reduce a cero y se produce una reducción adicional en la medición del pasivo por arrendamiento, un arrendatario reconocerá los importes restantes de la nueva medición en el resultado del periodo.
40 Un arrendatario medirá nuevamente el pasivo por arrendamiento descontando los pagos por arrendamiento modificados usando una tasa de descuento modificada, si:
(a) se produce un cambio en el plazo del arrendamiento, tal como se describe en los párrafos 20 y 21. Un arrendatario determinará los pagos por arrendamiento modificados sobre la base del plazo del arrendamiento modificado; o
(b) se produce un cambio en la evaluación de una opción para comprar el activo subyacente, que se haya evaluado considerando los sucesos y circunstancias descritos en los párrafos 20 y 21 en el contexto de una opción de compra. Un arrendatario determinará los pagos por arrendamiento modificados para reflejar el cambio en los importes por pagar bajo la opción de compra.
41 Al aplicar el párrafo 40, un arrendatario determinará la tasa de descuento revisada como la tasa de interés implícita en el arrendamiento para lo que resta del plazo del arrendamiento, si esa tasa puede determinarse con facilidad, o la tasa incremental por préstamos del arrendatario en la fecha de la nueva evaluación, si la tasa de interés implícita en el arrendamiento no pudiera determinarse con facilidad.
42 Un arrendatario medirá nuevamente el pasivo por arrendamiento descontando los pagos por arrendamiento modificados, si:
(a) Se produce un cambio en los importes por pagar esperados relacionados con una garantía de valor residual. Un arrendatario determinará los pagos por arrendamiento modificados para reflejar el cambio en los importes que se espera pagar bajo la garantía de valor residual.
(b) Se produce un cambio en los pagos por arrendamiento futuros procedente de un cambio en un índice o una tasa usados para determinar esos pagos, incluyendo, por ejemplo, un cambio para reflejar los cambios en los precios de alquiler del mercado que siguen a una revisión de los alquileres del mercado. El arrendatario medirá nuevamente el pasivo por arrendamiento para reflejar los pagos por arrendamiento modificados solo cuando haya un cambio en los flujos de efectivo (es decir, cuando el ajuste a los pagos por arrendamiento tenga efecto). Un arrendatario determinará los pagos por arrendamiento revisados, por lo que resta del plazo del arrendamiento, sobre la base de los pagos contractuales revisados.
43 Al aplicar el párrafo 42, un arrendatario usará una tasa de descuento sin cambios, a menos que el cambio en los pagos por arrendamiento proceda de un cambio en las tasas de interés variables. En ese caso, el arrendatario usará una tasa de descuento modificada que refleje los cambios en la tasa de interés.
Modificaciones del arrendamiento
44 Un arrendatario contabilizará una modificación del arrendamiento como un arrendamiento separado si:
(a) la modificación incrementa el alcance del arrendamiento añadiendo el derecho a usar uno o más activos subyacentes; y
(b) la contraprestación por el arrendamiento se incrementa por un importe acorde con el precio independiente del incremento en el alcance y por cualquier ajuste adecuado a ese precio independiente para reflejar las circunstancias del contrato concreto.
45 En el caso de una modificación del arrendamiento que no se contabilice como un arrendamiento separado, en la fecha efectiva de la modificación del arrendamiento un arrendatario:
(a) distribuirá la contraprestación del contrato modificado aplicando los párrafos 13 a 16;
(b) determinará el plazo del arrendamiento modificado aplicando los párrafos 18 y 19; y
(c) medirá nuevamente el pasivo por arrendamiento descontando los pagos por arrendamiento revisados aplicando una tasa de descuento revisada. La tasa de descuento revisada se determinará como la tasa de interés implícita en el arrendamiento para lo que resta del plazo del arrendamiento, si esa tasa puede ser determinada con facilidad, o la tasa incremental por préstamos del arrendatario en la fecha de vigencia de la modificación, si la tasa de interés implícita en el arrendamiento no pudiera determinarse con facilidad.
46 En una modificación del arrendamiento que no se contabilice como un arrendamiento separado, el arrendatario contabilizará la nueva medición del pasivo por arrendamiento:
(a) Disminuyendo el importe en libros del activo por derecho de uso para reflejar la terminación parcial o total del arrendamiento, en las modificaciones de arrendamiento que disminuyen el alcance de éste. El arrendatario reconocerá en el resultado del periodo las ganancias o pérdidas relacionadas con la terminación parcial o total del arrendamiento.
(b) Haciendo el correspondiente ajuste al activo por derecho de uso para todas las demás modificaciones del arrendamiento.
Presentación
47 Un arrendatario presentará en el estado de situación financiera o en las notas:
(a) Los activos por derecho de uso por separado de otros activos. Si un arrendatario no presenta los activos por derecho de uso por separado en el estado de situación financiera, el arrendatario:
(i) incluirá los activos por derecho de uso dentro de la misma partida de los estados financieros que le hubiera correspondido a los activos subyacentes de haber sido de su propiedad; y
(ii) revelará qué partidas del estado de situación financiera incluyen esos activos de derechos de uso.
(b) Los pasivos por arrendamiento por separado de los demás pasivos. Si el arrendatario no presenta pasivos por arrendamiento de forma separada en el estado de situación financiera, el arrendatario revelará qué partidas del estado de situación financiera incluyen esos pasivos.
48 El requerimiento del párrafo 47(a) no se aplica a los activos por derecho de uso que cumplen la definición de propiedades de inversión, que se presentarán en el estado de situación financiera como propiedades de inversión.
49 En el estado del resultado del periodo y otro resultado integral, un arrendatario presentará el gasto por intereses por el pasivo por arrendamiento de forma separada del cargo por depreciación del activo por derecho de uso. El gasto por intereses sobre el pasivo por arrendamiento es un componente de los costos financieros, que el párrafo 82(b) de la NIC 1 Presentación de Estados Financieros requiere que se presente por separado en el estado del resultado del periodo y otro resultado integral.
50 En el estado de flujos de efectivo, un arrendatario clasificará:
(a) los pagos en efectivo por la parte principal del pasivo por arrendamiento dentro de las actividades de financiación;
(b) los pagos en efectivo por la parte de intereses del pasivo por arrendamiento aplicando los requerimientos de la NIC 7 Estado de Flujos de Efectivo por los intereses pagados; y
(c) los pagos por arrendamiento a corto plazo, pagos por arrendamiento de activos de bajo valor y los pagos por arrendamiento variables no incluidos en la medición del pasivo por arrendamiento dentro de las actividades de operación.
Información a revelar
51 El objetivo de la información a revelar para los arrendatarios es revelar información en las notas que, junto con la información proporcionada en el estado de situación financiera, estado del resultado del periodo y estado de flujos de efectivo, dé una base a los usuarios de los estados financieros para evaluar el efecto que tienen los arrendamientos sobre la situación financiera, rendimiento financiero y flujos de efectivo del arrendatario. Los párrafos 52 a 60 especifican los requerimientos sobre cómo cumplir este objetivo.
52 Un arrendatario revelará información sobre sus arrendamientos en los que actúa como arrendatario en una nota única o sección separada de sus estados financieros. Sin embargo, un arrendatario no necesita duplicar información que ya esté presentada en cualquier otro lugar de los estados financieros, siempre que dicha información se incorpore mediante referencias cruzadas en la nota única o sección separada sobre arrendamientos.
53 Un arrendatario revelará los siguientes importes para el periodo sobre que se informa:
(a) cargo por depreciación de los activos por derecho de uso por clase de activo subyacente;
(b) gasto por intereses por los pasivos por arrendamiento;
(c) el gasto relacionado con arrendamientos a corto plazo contabilizados aplicando el párrafo 6. Este gasto no necesita incluir el gasto relacionado con arrendamientos de duración igual o inferior a un mes;
(d) el gasto relacionado con arrendamientos de activos de bajo valor contabilizados aplicando el párrafo 6. Este gasto no incluirá el relativo a arrendamientos a corto plazo de activos de bajo valor incluidos en el párrafo 53(c);
(e) el gasto relativo a pagos por arrendamiento variables no incluidos en la medición de los pasivos por arrendamiento;
(f) ingresos por subarrendamientos de los derechos de uso de activos;
(g) salidas de efectivo totales por arrendamientos;
(h) incorporaciones de activos por derecho de uso;
(i) ganancias o pérdidas que surgen de transacciones de venta con arrendamiento posterior; y
(j) el importe en libros de los activos por derecho de uso al final del periodo sobre el que se informa por clase del activo subyacente.
54 Un arrendatario proporcionará la información a revelar especificada en el párrafo 53 en formato de tabla, a menos que sea más apropiado otro formato. Los importes revelados incluirán costos que un arrendatario haya incluido en el importe en libros de otro activo durante el periodo sobre el que se informa.
55 Un arrendatario revelará el importe de sus compromisos por arrendamientos para los arrendamientos a corto plazo contabilizados aplicando el párrafo 6, si la cartera de arrendamientos a corto plazo a los que se ha comprometido al final del periodo sobre el que se informa no es igual que la cartera de arrendamientos a corto plazo con la que se relaciona el gasto por arrendamientos a corto plazo revelado aplicando el párrafo 53(c).
56 Si los activos por derecho de uso cumplen la definición de propiedades de inversión, un arrendatario aplicará los requerimientos de información a revelar de la NIC 40. En ese caso, no se requiere que un arrendatario proporcione la información a revelar del párrafo 53(a), (f), (h) o (j) sobre los activos por derecho de uso.
57 Si un arrendatario mide los activos por derecho de uso a importes revaluados aplicando la NIC 16, revelará la información requerida por el párrafo 77 de la NIC 16 para esos activos por derecho de uso.
58 Un arrendatario revelará un análisis de vencimientos de los pasivos por arrendamiento aplicando los párrafos 39 y B11 de la NIIF 7 Instrumentos Financieros: Información a Revelar de forma separada de los análisis de vencimientos de otros pasivos financieros.
59 Además, de la información a revelar requerida por los párrafos 53 a 58, un arrendatario revelará información cualitativa y cuantitativa adicional sobre sus actividades de arrendamiento necesaria para cumplir el objetivo de información a revelar del párrafo 51 (como se describe en el párrafo B48). Esta información adicional puede incluir, pero no limitarse a, información que ayude a los usuarios de los estados financieros a evaluar:
(a) la naturaleza de las actividades por arrendamiento del arrendatario;
(b) salidas de efectivo futuras a las que el arrendatario está potencialmente expuesto y no están reflejadas en la medición de los pasivos por arrendamiento. Esto incluye la exposición que surge de:
(i) pagos por arrendamiento variables (como se describe en el párrafo B49);
(ii ) opciones de ampliación y opciones de terminación (como se describe en el párrafo B50);
(iii) garantías de valor residual (como se describe en el párrafo B51); y
(iv) arrendamientos todavía no comenzados a los que se compromete el arrendatario.
(c) restricciones o pactos impuestos por los arrendamientos; y
(d) transacciones de venta con arrendamiento posterior (como se describe en el párrafo B52).
60 Un arrendatario que contabilice los arrendamientos a corto plazo o los arrendamientos de activos de bajo valor aplicando el párrafo 6 revelará ese hecho.
Arrendador
Clasificación de los arrendamientos (B53 a B58)
61 Un arrendador clasificará cada uno de sus arrendamientos como un arrendamiento operativo o un arrendamiento financiero.
62 Un arrendamiento se clasificará como financiero cuando transfiera sustancialmente todos los riesgos y ventajas inherentes a la propiedad de un activo subyacente. Un arrendamiento se clasificará como operativo si no transfiere sustancialmente todos los riesgos y ventajas inherentes a la propiedad de un activo subyacente.
63 Si un arrendamiento es un arrendamiento financiero u operativo depende de la esencia de la transacción y no de la forma del contrato. Ejemplos de situaciones que, individualmente o en combinación, normalmente llevarían a clasificar un arrendamiento como financiero son:
(a) el arrendamiento transfiere la propiedad del activo subyacente al arrendatario al finalizar el plazo del arrendamiento;
(b) el arrendatario tiene la opción de comprar el activo subyacente a un precio que se espera sea suficientemente inferior al valor razonable en el momento en que la opción sea ejercitable, de modo que, en la fecha de inicio del acuerdo, se prevea con razonable certeza que tal opción será ejercida;
(c) el plazo del arrendamiento cubre la mayor parte de la vida económica del activo subyacente incluso si la propiedad no se transfiere al final de la operación;
(d) en la fecha de inicio del acuerdo, el valor presente de los pagos por el arrendamiento es al menos equivalente en la práctica a la totalidad del valor razonable del activo subyacente objeto de la operación; y
(e) el activo subyacente es de una naturaleza tan especializada que solo el arrendatario puede usarlo sin realizarle modificaciones importantes.
64 Otros indicadores de situaciones que podrían llevar, por sí solas o de forma conjunta con otras, a la clasificación de un arrendamiento como de carácter financiero, son las siguientes:
(a) si el arrendatario puede cancelar el contrato de arrendamiento, y las pérdidas sufridas por el arrendador a causa de tal cancelación fueran asumidas por el arrendatario;
(b) las pérdidas o ganancias derivadas de las fluctuaciones en el valor razonable del importe residual recaen sobre el arrendatario (por ejemplo en la forma de un descuento por importe similar al valor de venta del activo al final del arrendamiento); y
(c) el arrendatario tiene la posibilidad de prorrogar el arrendamiento durante un segundo periodo, con unos pagos por arrendamiento que son sustancialmente inferiores a los habituales del mercado.
65 Los ejemplos e indicadores contenidos en los párrafos 63 y 64 no son siempre concluyentes. Si resulta claro, por otras características, que el arrendamiento no transfiere sustancialmente todos los riesgos y ventajas inherentes a la propiedad de un activo subyacente, se clasificará como operativo. Por ejemplo, este podría ser el caso en el que se transfiera la propiedad del activo subyacente, al término del arrendamiento, por un pago variable que sea igual a su valor razonable en ese momento, o si existen pagos por arrendamiento variables, como consecuencia de los cuales el arrendador no transfiere sustancialmente todos esos riesgos y ventajas.
66 La clasificación del arrendamiento se realiza en la fecha de inicio del acuerdo y se evalúa nuevamente solo si se produce una modificación del arrendamiento. Los cambios en las estimaciones (por ejemplo las que suponen modificaciones en la vida económica o en el valor residual del activo subyacente) o los cambios en circunstancias (por ejemplo el incumplimiento por parte del arrendatario), no darán lugar a una nueva clasificación del arrendamiento a efectos contables.
Arrendamientos financieros
Reconocimiento y medición
67 En la fecha de comienzo, un arrendador reconocerá en su estado de situación financiera los activos que mantenga en arrendamientos financieros y los presentará como una partida por cobrar, por un importe igual al de la inversión netan el arrendamiento.
Medición inicial
68 El arrendador usará la tasa de interés implícita en el arrendamiento para medir la inversión neta en el arrendamiento. En el caso de un subarrendamiento, si la tasa de interés implícita en el subarrendamiento no puede determinarse con facilidad, un arrendador intermedio puede usar la tasa de descuento utilizada en el arrendamiento principal (ajustada por los costos directos iniciales asociados con el subarrendamiento) para medir la inversión neta en el subarrendamiento.
69 Los costos directos iniciales distintos de los incurridos por los arrendadores que sean a la vez fabricantes o distribuidores de los bienes arrendados se incluirán en la medición inicial de la inversión neta en el arrendamiento y reducirán el importe de los ingresos reconocidos a lo largo de la duración del arrendamiento. La tasa de interés implícita del arrendamiento se define de forma que los costos directos iniciales se incluyen automáticamente en la inversión neta del arrendamiento; no hay necesidad de añadirlos de forma independiente.
Medición inicial de los pagos por arrendamiento incluidos en la inversión neta en el arrendamiento.
70 En la fecha de comienzo, los pagos por arrendamiento incluidos en la medición de la inversión neta en el arrendamiento comprenden los pagos siguientes por el derecho a usar el activo subyacente durante el plazo del arrendamiento que no se reciban en la fecha de comienzo:
(a) pagos fijos (incluyendo los pagos fijos en esencia como se describe en el párrafo B42), menos los incentivos del arrendamiento por pagar;
(b) pagos por arrendamiento variables, que dependen de un índice o una tasa, inicialmente medida usando el índice o tasa en la fecha de comienzo;
(c) cualquier garantía de valor residual proporcionada al arrendador por el arrendatario, una parte relacionada con el arrendatario o un tercero no relacionado con el arrendador que es financieramente capaz de satisfacer las obligaciones bajo la garantía;
(d) el precio de ejercicio de una opción de compra si el arrendatario está razonablemente seguro de ejercer esa opción (evaluada considerando los factores descritos en el párrafo B37); y
(e) los pagos de penalizaciones para terminar el arrendamiento, si el plazo del arrendamiento refleja que el arrendatario ejercerá una opción para hacerlo.
Arrendadores que son a la vez fabricantes o distribuidores de los bienes arrendados
71 En la fecha de comienzo, un arrendador que es a la vez fabricante o distribuidor de los bienes arrendados reconocerá lo siguiente para cada uno de sus arrendamientos financieros:
(a) ingresos de actividades ordinarias por el valor razonable del activo subyacente, o si es menor, por el valor presente de los pagos por arrendamiento acumulados (devengados) al arrendador, descontados usando una tasa de interés de mercado;
(b) el costo de venta por el costo o el importe en libros, si fuera distinto, del activo subyacente, menos el valor presente del valor residual no garantizado; y
(c) el resultado de la venta (que es la diferencia entre los ingresos de actividades ordinarias y el costo de la venta) de acuerdo con su política de ventas directas a los que se aplica la NIIF 15. Un arrendador, que es a la vez fabricante o distribuidor de los bienes arrendados, reconocerá el resultado de la venta sobre un arrendamiento financiero en la fecha de comienzo, independientemente de si el arrendador transfiere el activo subyacente como describe la NIIF 15.
72 Los fabricantes o distribuidores ofrecen a menudo a sus clientes la posibilidad de comprar o alquilar un activo. Un arrendamiento financiero de un activo por un arrendador, que es a la vez fabricante o distribuidor de los bienes arrendados, da lugar a resultados equivalentes a los procedentes de la venta directa de un activo subyacente, por precios de venta normales, en los que se tenga en cuenta cualquier descuento comercial o por volumen aplicable.
73 Los fabricantes o distribuidores que son también arrendadores aplican a veces tasas de interés artificialmente bajas a fin de atraer a los clientes. El uso de dichas tasas podría dar lugar a que un arrendador reconozca, en la fecha de comienzo, una porción excesiva del resultado total de la transacción. Si se han aplicado tasas de interés artificialmente bajas, un arrendador, que sea a la vez fabricante o distribuidor de los bienes arrendados, reducirá la ganancia por venta a la que se hubiera obtenido de haber aplicado tasas de interés de mercado.
74 Un arrendador, que sea a la vez fabricante o distribuidor de los bienes arrendados, reconocerá como un gasto los costos incurridos en relación con la obtención de un arrendamiento financiero en la fecha del comienzo, puesto que principalmente se relacionan con la obtención de la ganancia por venta del fabricante o distribuidor. Los costos incurridos por los arrendadores, que son a la vez fabricantes o distribuidores de los bienes arrendados en relación con la obtención de un arrendamiento financiero se excluyen de la definición de los costos directos iniciales y, por ello, de la inversión neta en el arrendamiento.
Medición posterior
75 Un arrendador reconocerá los ingresos financieros a lo largo del plazo del arrendamiento, sobre la base de una pauta que refleje una tasa de rendimiento constante sobre la inversión financiera neta que el arrendador ha realizado en el arrendamiento.
76 Un arrendador aspira a distribuir el ingreso financiero sobre una base sistemática y racional, a lo largo del plazo del arrendamiento. Un arrendador aplicará los pagos por arrendamiento relacionados con el periodo contra la inversión bruta en el arrendamiento, para reducir tanto el principal como los ingresos financieros no acumulados (devengados).
77 Un arrendador aplicará los requerimientos de baja en cuentas y de deterioro de valor de la NIIF 9 a la inversión neta en el arrendamiento. Un arrendador revisará regularmente los valores residuales no garantizados estimados utilizados para calcular la inversión neta en el arrendamiento. Si se hubiera producido una reducción permanente en la estimación del valor residual no garantizado, el arrendador revisará el ingreso asignado a lo largo del plazo del arrendamiento, y reconocerá de forma inmediata cualquier reducción respecto a los importes acumulados (devengados).
78 Un arrendador que clasifique un activo bajo arrendamiento financiero como mantenido para la venta (o incluido en un grupo de activos para su disposición clasificado como mantenido para la venta) que aplique la NIIF 5 Activos No corrientes Mantenidos para la Venta y Operaciones Discontinuadas, contabilizará el activo de acuerdo con esa Norma.
Modificaciones del arrendamiento
79 Un arrendador contabilizará una modificación de un arrendamiento financiero como un arrendamiento separado si:
(a) la modificación incrementa el alcance del arrendamiento añadiendo el derecho a usar uno o más activos subyacentes; y
(b) a contraprestación por el arrendamiento se incrementa por un importe acorde con el precio independiente del incremento en el alcance y por cualquier ajuste adecuado a ese precio independiente para reflejar las circunstancias del contrato concreto.
80 Para una modificación de un arrendamiento financiero que no se contabilice como un arrendamiento separado, un arrendador contabilizará la modificación de la forma siguiente:
(a) si el arrendamiento hubiera sido clasificado como un arrendamiento operativo y si la modificación hubiera estado vigente en la fecha de inicio del acuerdo, el arrendador:
(i) contabilizará la modificación del arrendamiento como un arrendamiento nuevo desde la fecha de vigencia de la modificación; y
(ii) medirá el importe en libros del activo subyacente como la inversión neta en el arrendamiento inmediatamente antes de la fecha de vigencia de la modificación del arrendamiento.
(b) En otro caso, el arrendador aplicará los requerimientos de la NIIF 9.
Arrendamientos operativos
Reconocimiento y medición
81 Un arrendador reconocerá los pagos por arrendamiento procedentes de los arrendamientos operativos como ingresos de forma lineal o de acuerdo con otra base sistemática. El arrendador aplicará otra base sistemática si ésta es más representativa de la estructura con la que se disminuye el beneficio del uso del activo subyacente.
82 Un arrendador reconocerá como un gasto los costos, incluyendo la depreciación, incurridos para obtener los ingresos del arrendamiento.
83 Un arrendador añadirá los costos directos iniciales incurridos para obtener un arrendamiento operativo al importe en libros del activo subyacente y reconocerá dichos costos como gasto a lo largo de la duración de arrendamiento, sobre la misma base que los ingresos del arrendamiento.
84 La política de depreciación para activos subyacentes depreciables sujetos a arrendamientos operativos será congruente con la política de depreciación normal que el arrendador siga para activos similares. Un arrendador calculará la depreciación de acuerdo con la NIC 16 y la NIC 38.
85 Un arrendador aplicará la NIC 36 para determinar si un activo subyacente sujeto a un arrendamiento operativo ha sufrido deterioro de valor y contabilizará cualquier pérdida por deterioro de valor identificada.
86 Un arrendador, que sea a la vez fabricante o distribuidor de los bienes arrendados, no reconocerá ningún resultado por la venta cuando celebre un contrato de arrendamiento operativo, puesto que la operación no es en ningún modo equivalente a una venta.
Modificaciones del arrendamiento
87 Un arrendador contabilizará una modificación en un arrendamiento operativo como un nuevo arrendamiento desde la fecha de vigencia de la modificación, considerando los pagos por arrendamiento anticipados o acumulados (devengados) relacionados con el arrendamiento original como parte de los pagos del nuevo arrendamiento.
Presentación
88 Un arrendador presentará los activos subyacentes sujetos a arrendamientos operativos en su estado de situación financiera de acuerdo con la naturaleza de los activos subyacentes.
Información a revelar
89 El objetivo de la información a revelar es, para los arrendadores, revelar información en las notas que, junto con la información proporcionada en el estado de situación financiera, estado del resultado del periodo y estado de flujos de efectivo, proporcione una base a los usuarios de los estados financieros que les permita evaluar el efecto que tienen los arrendamientos sobre la situación financiera, rendimiento financiero y flujos de efectivo del arrendador. Los párrafos 90 a 97 especifican los requerimientos sobre cómo cumplir este objetivo.
90 Un arrendador revelará los siguientes importes para el periodo sobre que se informa:
(a) Para arrendamientos financieros:
(i) resultados de las ventas;
(ii) ingresos financieros sobre la inversión neta en el arrendamiento; y
(iii) el ingreso relativo a pagos por arrendamiento variables no incluidos en la medición de la inversión neta en el arrendamiento.
(b) Para arrendamientos operativos, el ingreso del arrendamiento, revelando por separado el ingreso relacionado con pagos por arrendamiento variables que no dependen de un índice o una tasa.
91 Un arrendador proporcionará la información a revelar especificada en el párrafo 90 en formato de tabla, a menos que sea más apropiado otro formato.
92 Un arrendador revelará información cuantitativa y cualitativa adicional sobre sus actividades de arrendamiento, necesaria para cumplir el objetivo de información a revelar del párrafo 89. Esta información adicional incluye, pero no se limita a, información que ayude a los usuarios de los estados financieros a evaluar:
(a) la naturaleza de las actividades por arrendamientos del arrendador; y
(b) la forma en que el arrendador gestiona el riesgo asociado con cualquier derecho que conserve sobre los activos subyacentes. En concreto, un arrendador revelará su estrategia de gestión de riesgos para los derechos que conserve sobre los activos subyacentes, incluyendo cualquier medio por el cual reduce ese riesgo. Estos medios pueden incluir, por ejemplo, acuerdos de recompra, garantías de valor residual, o pagos por arrendamiento variables a usar al superar límites especificados.
Arrendamientos financieros
93 Un arrendador proporcionará una explicación cuantitativa y cualitativa de los cambios significativos en el importe en libros de la inversión neta en los arrendamientos financieros.
94 Un arrendador revelará un análisis de vencimientos de los pagos por arrendamiento por cobrar, mostrando los pagos por arrendamiento sin descontar a recibir anualmente durante un mínimo de cada uno de los cinco primeros años y un total de los importes para los años restantes. Un arrendador conciliará los pagos por arrendamiento descontados con la inversión neta en el arrendamiento. La conciliación identificará el ingreso financiero obtenido relacionado con los pagos por arrendamiento por recibir y cualquier valor residual no garantizado descontado.
Arrendamientos operativos
95 Para partidas de propiedades, planta y equipo sujetas a un arrendamiento operativo, un arrendador aplicará los requerimientos de información a revelar de la NIC 16. Al aplicar los requerimientos de información a revelar de la NIC 16, un arrendador desagregará cada clase de propiedades, planta y equipo en activos sujetos a arrendamientos operativos y activos no sujetos a arrendamientos operativos. Por consiguiente, un arrendador proporcionará la información a revelar requerida por la NIC 16 para activos sujetos a un arrendamiento operativo (por clase de activo subyacente) de forma separada de los activos mantenidos y usados por el arrendador de los que es éste propietario.
96 Un arrendador aplicará los requerimientos de información a revelar de las NIC 36, NIC 38, NIC 40 y NIC 41 para activos sujetos a arrendamientos operativos.
97 Un arrendador revelará un análisis de vencimientos de los pagos por arrendamiento, mostrando los pagos por arrendamiento sin descontar a recibir anualmente durante un mínimo de cada uno de los cinco primeros años y un total de los importes para los años restantes.
Transacciones de venta con arrendamiento posterior
98 Si una entidad (el arrendatario-vendedor) transfiere un activo a otra entidad (el arrendador-comprador) y la primera arrienda ese activo a la segunda, el arrendatario-vendedor y el arrendador-comprador contabilizarán el contrato de transferencia y el arrendamiento aplicando los párrafos 99 a 103.
Evaluación de si la transferencia del activo es una venta
99 Una entidad aplicará los requerimientos para la determinación de cuándo se satisface una obligación de desempeño según la NIIF 15 para establecer si la transferencia de un activo se contabiliza como una venta de ese activo.
La transferencia del activo es una venta
100 Si la transferencia de un activo por el arrendatario-vendedor satisface los requerimientos de la NIIF 15 para ser contabilizada como una venta del activo:
(a) El arrendatario-vendedor medirá el activo por derecho de uso que surge de la venta con arrendamiento posterior en la proporción del importe en libros anterior del activo que se relaciona con los derechos de uso conservados por el arrendatario-vendedor. Por consiguiente, el arrendatario-vendedor reconocerá solo el importe de cualquier ganancia o pérdida relacionada con los derechos transferidos al arrendador-comprador.
(b) El arrendador-comprador contabilizará la compra del activo aplicando las Normas que correspondan, y el arrendamiento aplicando los requerimientos de contabilización del arrendador de esta Norma.
101 Si el valor razonable de la contraprestación por la venta de un activo no iguala el valor razonable del activo, o si los pagos por el arrendamiento no son a tasas de mercado, una entidad hará los ajustes siguientes para medir los recursos procedentes de la venta a valor razonable:
(a) cualesquiera términos por debajo del mercado se contabilizarán como un anticipo de pagos por arrendamiento; y
(b) cualesquiera términos por encima del mercado se contabilizarán como financiación adicional proporcionada por el arrendador-comprador al arrendatario-vendedor.
102 La entidad medirá cualquier ajuste potencial requerido por el párrafo 101 sobre la base del más fácilmente determinable, entre los siguientes:
(a) la diferencia entre el valor razonable de la contraprestación por la venta y el valor razonable del activo; y
(b) la diferencia entre el valor presente de los pagos contractuales por el arrendamiento y el valor presente de los pagos por el arrendamiento a tasas de mercado.
La transferencia del activo no es una venta
103 Si la transferencia de un activo por el arrendatario-vendedor no satisface los requerimientos de la NIIF 15 para ser contabilizada como una venta del activo:
(a) el arrendatario-vendedor continuará reconociendo el activo transferido y reconocerá un pasivo financiero igual a los recursos de la transferencia. El pasivo financiero se contabilizará aplicando la NIIF 9.
(b) El arrendador-comprador no reconocerá el activo transferido y reconocerá un activo financiero igual a los recursos de la transferencia. El activo financiero se contabilizará aplicando la NIIF 9.
Apéndice A
Definiciones de términos
Este apéndice es parte integrante de la Norma.
| activo por derecho de uso | Un activo que representa un derecho a que un arrendatario use un activo subyacente durante el plazo del arrendamiento. |
| activo subyacente | Un activo que es el sujeto de un arrendamiento, por el cual el derecho a usar ese activo ha sido proporcionado por un arrendador a un arrendatario. |
| arrendador | Una entidad que proporciona el derecho a usar un activo subyacente por un periodo de tiempo a cambio de una contraprestación. |
| arrendamiento | Un contrato, o parte de un contrato, que transmite el derecho a usar un activo (el activo subyacente) por un periodo de tiempo a cambio de una contraprestación. |
| arrendamiento a corto plazo | Un arrendamiento que, en la fecha de comienzo, tiene un plazo de arrendamiento de 12 meses o menos. Un arrendamiento que contiene una opción de compra no es un arrendamiento a corto plazo. |
| arrendamiento financiero | Un arrendamiento que transfiere sustancialmente todos los riesgos y ventajas inherentes a la propiedad del activo subyacente. |
| arrendamiento operativo | Un arrendamiento que no transfiere sustancialmente todos los riesgos y ventajas inherentes a la propiedad del activo subyacente. |
| arrendatario | Una entidad que obtiene el derecho a usar un activo subyacente por un periodo de tiempo a cambio de una contraprestación. |
| costos directos iniciales | Los costos incrementales de obtener un arrendamiento en los que no se habría incurrido si el arrendamiento no se hubiera obtenido, excepto los costos incurridos por un arrendador, que es a la vez fabricante o distribuidor de los bienes arrendados, en relación con un arrendamiento financiero. |
| fecha de comienzo del arrendamiento (fecha de comienzo) | La fecha en la que un arrendador pone un activo subyacente a disposición de un arrendatario. |
| Fecha de inicio del acuerdo de arrendamiento (fecha de inicio del acuerdo) | La fecha más temprana entre la del acuerdo de un arrendamiento y la del compromiso de ejecutar, por las partes, los principales términos y condiciones del acuerdo. |
| fecha de vigencia de la modificación | La fecha en la que las partes acuerdan una modificación del arrendamiento. |
| garantía de valor residual | Una garantía realizada a un arrendador por una parte no relacionada con éste de que el valor (o una parte del valor) de un activo subyacente al final periodo de un arrendamiento será, al menos, de un importe especificado. |
| incentivos del arrendamiento | Pagos realizados por un arrendador arrendatario asociado con un arrendamiento, o el reembolso o la asunción por un arrendador de los costos de un arrendatario. |
| ingresos financieros no acumulados (no devengados) | La diferencia entre: (a) la inversión bruta en el arrendamiento, y (b) la inversión neta en el arrendamiento. |
| inversión bruta en el arrendamiento | La suma de: (a) los pagos por arrendamiento a recibir por el arrendador por el arrendamiento financiero; y (b) cualquier valor residual no garantizado que corresponda al arrendador. |
| inversión neta en el arrendamiento | La inversión bruta en el arrendamiento descontada a la tasa de interés implícita en éste. |
| modificación del arrendamiento | Un cambio en el alcance de un arrendamiento, o la contraprestación de un arrendamiento, que no fue parte de los términos y condiciones originales (por ejemplo, añadir o terminar el derecho a usar uno o más activos subyacentes, o ampliar o acortar la duración contractual del arrendamiento). |
| pagos fijos | Los pagos realizados por un arrendatario a un arrendador por el derecho a usar un activo subyacente a lo largo del plazo del arrendamiento, excluyendo los pagos por arrendamiento variables. |
| pagos opcionales del arrendamiento | Pagos a realizar por un arrendatario a un arrendador por el derecho a usar un activo subyacente durante los periodos cubiertos por una opción de ampliar o terminar un arrendamiento que están incluidos en el plazo del arrendamiento. |
| pagos por arrendamiento | Los pagos realizados por un arrendatario a un arrendador relacionados con el derecho a usar un activo subyacente a lo largo del plazo del arrendamiento, que comprenden lo siguiente: (a)pagos fijos (incluyendo pagos fijos en esencia), menos los incentivos del arrendamiento; (b) pagos por arrendamiento variables que dependen de un índice o una tasa; (c) el precio de ejercicio de una opción de compra si el arrendatario está razonablemente seguro de ejercer esa opción; y (d) pagos por penalizaciones derivadas de la terminación del arrendamiento, si el plazo del arrendamiento refleja que el arrendatario ejercerá una opción para terminar el arrendamiento. Para el arrendatario, los pagos por arrendamiento también incluyen los importes apagar por el arrendatario según las garantías de valor residual. Los pagos por arrendamiento no incluyen pagos asignados a los componentes de un contrato que no son arrendamientos, a menos que el arrendatario elija combinar componentes que no son arrendamientos con un componente de arrendamiento y contabilizarlos como un componente de arrendamiento único. Para el arrendador, los pagos por arrendamiento también incluyen cualquier garantía de valor residual proporcionada al arrendador por el arrendatario, una parte relacionada con el arrendatario o un tercero no relacionado con el arrendador que es financieramente capaz de satisfacer las obligaciones bajo garantía; Los pagos por arrendamiento no incluyen los pagos asignados a componentes que no son arrendamientos. |
| pagos variables del arrendamiento | La parte de los pagos realizados por un arrendatario a un arrendador, por el derecho a usar un activo subyacente durante el plazo de del arrendamiento, que varía debido a cambios hechos y circunstancias ocurridos después de la fecha de comienzo, y son distintos del paso del tiempo |
| periodo de uso | El periodo total del tiempo que se usa un activo para cumplir un contrato con un cliente (incluyendo los periodos de tiempo no consecutivos) |
| plazo de arrendamiento | El periodo no cancelable por el cual un arrendatario tiene derecho a usar un activo subyacente, junto con: (a) los periodos cubiertos por una opción de ampliar el arrendamiento si el arrendatario va a ejercer con razonable certeza esa opción y (b) los periodos cubiertos por una opción para terminar el arrendamiento si el arrendatario no va a ejercer con razonable certeza esa opción. |
| subarrendamiento | Una transacción por la cual un activo subyacente es arrendado nuevamente por un arrendatario (“arrendador intermedio”) a un tercero, y el arrendamiento (“el arrendamiento por el propietario”) entre el arrendador que es el propietario y el arrendatario permanece vigente. |
| tasa de interés implícita en el arrendamiento | Tasa de interés que iguala el valor presente de (a) los pagos por el arrendamiento y (b) el valor residual no garantizado, con la suma de (i) el valor razonable del activo subyacente y (ii) cualquier costo directo inicial del arrendador. |
| tasa incremental de los préstamos del arrendatario | La tasa de interés que un arrendatario tendría que pagar por pedir prestado por un plazo similar, y con una seguridad semejante, los fondos necesarios para obtener un activo de valor similar al activo por derecho de uso en un entorno económico parecido. |
| valor razonable | A efectos de que la aplicación por parte del arrendador de los requerimientos de contabilización de esta Norma, el importe por el cual puede ser intercambiado un activo o cancelado un pasivo, entre un comprador y un vendedor interesados y debidamente informados, en condiciones de independencia mutua. |
| valor residual no garantizado | Parte del valor residual del activo subyacente, cuya realización por parte del arrendador no está asegurada o que solo está garantizada por un tercero relacionado con el arrendador. |
| vida económica | El periodo a lo largo del cual se espera que un activo se use económicamente por uno o más usuarios o la cantidad de producción o unidades similares que se espera obtener de un activo por uno o más usuarios. |
Términos definidos en otras Normas y usados en ésta con el mismo significado
| contrato | Un contrato es un acuerdo entre dos o más partes, que crea derechos y obligaciones exigibles. |
| vida útil | El periodo durante el cual se espera utilizar el activo por parte de la entidad; el número de unidad es de producción o similares que se espera obtener del activo por parte de una entidad. |
Apéndice B
Guía de aplicación
Este apéndice es parte integrante de la Norma. Describe la aplicación de los párrafos 1 a 103 y tiene el mismo valor normativo que las otras partes de la Norma.
Aplicación de la cartera
B1 Esta Norma especifica la contabilización de un arrendamiento individual. Sin embargo, como una solución práctica, una entidad puede aplicar esta Norma a una cartera de arrendamientos con características similares, si espera de forma razonable que los efectos sobre los estados financieros de aplicar esta Norma a la cartera no diferirían de forma significativa de su aplicación a los arrendamientos individuales de la cartera. Al contabilizar una cartera, una entidad utilizará estimaciones y suposiciones que reflejen el tamaño y composición de la cartera.
Combinación de contratos
B2 Al aplicar esta Norma, una entidad combinará dos o más contratos realizados al mismo tiempo, o próximos entre sí, con la misma contraparte (o con partes relacionadas con esa contraparte) y contabilizará los contratos como uno único, si se cumplen uno o más de los siguientes criterios:
(a) los contratos se negocian como un paquete con un objetivo comercial global que no puede comprenderse sin considerar los contratos conjuntamente;
(b) el importe de la contraprestación a pagar en un contrato depende del precio o desempeño del otro contrato; o
(c) los derechos a usar los activos subyacentes transmitidos en los contratos (o algunos derechos a usar los activos subyacentes transmitidos en cada uno de los contratos) forman un componente del arrendamiento único como se describe en el párrafo B32.
Exención de reconocimiento: arrendamientos para los que el activo subyacente es de bajo valor (párrafos 5 a 8)
B3 Excepto por lo que se especifica en el párrafo B7, esta Norma permite que un arrendatario aplique el párrafo 6 para contabilizar arrendamientos en los que el activo subyacente es de bajo valor. Un arrendatario evaluará el valor de un activo subyacente sobre la base del valor del activo cuando es nuevo, independientemente de la duración del activo que está siendo arrendado.
B4 La evaluación de si un activo subyacente es de bajo valor se realiza en términos absolutos. Los arrendamientos de activos de bajo valor cumplen los requisitos del tratamiento contable del párrafo 6 independientemente de si esos arrendamientos son significativos para el arrendatario. La evaluación no se ve afectada por el tamaño, naturaleza o circunstancias del arrendatario. Por consiguiente, se espera que los diferentes arrendatarios alcancen las mismas conclusiones sobre si un activo subyacente concreto es de bajo valor.
B5 Un activo subyacente puede ser de bajo valor solo si:
(a) el arrendatario puede beneficiarse del uso del activo subyacente en sí mismo o junto con otros recursos que están fácilmente disponibles para el arrendatario; y
(b) el activo subyacente no es altamente dependiente o está altamente interrelacionado con otros activos.
B6 Un arrendamiento de un activo subyacente no cumple los requisitos de un arrendamiento de un activo de bajo valor si la naturaleza del activo es tal que, cuando es nuevo, el activo no es habitualmente de bajo valor. Por ejemplo, los arrendamientos de vehículos no cumplirían los requisitos de activos de bajo valor porque un vehículo nuevo no sería habitualmente de bajo valor.
B7 Si un arrendatario subarrienda un activo, o espera subarrendar un activo, el arrendamiento realizado por el propietario pleno no cumple los requisitos de un arrendamiento de un activo de bajo valor.
B8 Algunos ejemplos, de activos subyacentes de bajo valor pueden ser las tabletas y computadoras personales, así como los elementos pequeños de mobiliario de oficina y teléfonos.
Identificación de un arrendamiento (párrafos 9 a 11)
B9 Para evaluar si un contrato transmite el derecho de controlar el uso de un activo identificado (véanse los párrafos B13 a B20) por un periodo de tiempo, una entidad evaluará si, a lo largo de todo el periodo de uso, el cliente tiene:
(a) el derecho a obtener sustancialmente todos los beneficios económicos del uso del activo identificado (como se describe en los párrafos B21 a B23); y
(b) el derecho a decidir el uso del activo identificado (como se describe en los párrafos B24 a B30).
B10 Si el cliente tiene el derecho de controlar el uso de un activo identificado durante solo una parte del plazo del contrato, dicho contrato contiene un arrendamiento por esa parte del plazo.
B11 Un contrato para recibir bienes o servicios puede realizarse mediante un acuerdo conjunto, o en nombre de un acuerdo conjunto, como se define en la NIIF 11 Acuerdos Conjuntos. En este caso, el acuerdo conjunto se considera que es el cliente en el contrato. Por consiguiente, al evaluar si un contrato contiene un arrendamiento, una entidad evaluará si el acuerdo conjunto tiene el derecho de controlar el uso de un activo identificado a lo largo de todo el periodo de uso.
B12 Una entidad evaluará si un contrato contiene un arrendamiento para cada componente potencial del arrendamiento separado. Dirigirse al párrafo B32 para guías sobre los componentes separados del arrendamiento.
Activo identificado
B13 Un activo se identifica habitualmente por estar explícitamente especificado en un contrato. Sin embargo, un activo puede también identificarse por estar implícitamente especificado en el momento en que el activo está disponible para su uso por el cliente.
Derechos sustantivos de sustitución
B14 Incluso si se especifica un activo, un cliente no tiene el derecho a usar un activo identificado si el proveedor tiene el derecho sustantivo de sustituir el activo a lo largo de todo el periodo de uso. El derecho de un proveedor de sustituir un activo es sustantivo solo si existen las siguientes condiciones:
(a) el proveedor tiene la capacidad práctica de sustituir activos alternativos a lo largo de todo el periodo de uso (por ejemplo, el cliente no puede impedir que el proveedor sustituya el activo y hay activos alternativos fácilmente disponibles para el proveedor o podrían encontrarse por el proveedor dentro de un periodo de tiempo razonable); y
(b) el proveedor se beneficiaría económicamente del ejercicio de su derecho a sustituir el activo (es decir, se espera que los beneficios económicos asociados con la sustitución superen los costos asociados con la sustitución del activo).
B15 Si el proveedor tiene un derecho o una obligación de sustituir el activo solo a partir de una fecha concreta o de que ocurra un suceso especificado, el derecho de sustitución del proveedor no es sustantivo porque el proveedor no tiene la capacidad práctica de sustituir activos alternativos a lo largo de todo el periodo de uso.
B16 La evaluación por una entidad de si el derecho de sustitución de un proveedor es sustantivo se basa en hechos y circunstancias al inicio del contrato y excluirá la consideración de sucesos futuros que, al inicio del contrato, no se considera probable que ocurran. Algunos ejemplos de sucesos futuros que, al inicio del contrato, no se consideraría probable que ocurran y, por ello, deben excluirse de la evaluación incluyen:
(a) un acuerdo por un cliente futuro de pagar un precio por uso del activo superior al de mercado;
(b) la introducción de nueva tecnología que no está sustancialmente desarrollada al inicio del contrato;
(c) una diferencia sustancial entre el uso del activo por el cliente, o el rendimiento del activo, y el uso o rendimiento considerado probable al inicio del contrato; y
(d) una diferencia sustancial entre el precio de mercado del activo durante el periodo de uso, y el precio de mercado considerado probable al inicio del contrato.
B17 Si el activo se encuentra en los locales del cliente o en cualquier otro sitio, los costos asociados con la sustitución son generalmente mayores que cuando se encuentra en los locales del proveedor y, por ello, son más probables que superen los beneficios asociados con la sustitución del activo.
B18 Los derechos u obligaciones del proveedor para sustituir el activo por reparaciones y mantenimiento, si el activo no está operando adecuadamente o si una actualización técnica pasa a estar disponible no impide al cliente tener el derecho a usar un activo identificado.
B19 Si el cliente no puede determinar fácilmente si el proveedor tiene un derecho de sustitución sustantivo, el cliente supondrá que cualquier derecho de sustitución no es sustantivo.
Partes de los activos
B20 Una parte de la capacidad de un activo es un activo identificable si es físicamente distinto (por ejemplo, un piso de un edificio). Una capacidad u otra parte de un activo que no es físicamente distinta (por ejemplo, una parte de la capacidad de un cable de fibra óptica) no es un activo identificable, a menos que represente sustancialmente toda la capacidad del activo y, de ese modo proporcione al cliente el derecho a obtener sustancialmente todos los beneficios económicos del uso del activo.
Derecho a obtener beneficios económicos del uso
B21 Para controlar el uso de un activo identificable, se requiere que un cliente tenga el derecho a obtener sustancialmente todos los beneficios económicos del uso del activo a lo largo de todo el periodo de uso (por ejemplo, teniendo el uso exclusivo del activo a largo de todo ese periodo). Un cliente puede obtener los beneficios económicos del uso de un activo directamente o indirectamente de muchas formas, tales como usando, manteniendo o subarrendando el activo. Los beneficios económicos del uso de un activo incluyen sus productos principales y subproductos (incluyendo los flujos de efectivo potenciales procedentes de estos elementos), y otros beneficios económicos procedentes del uso del activo que podrían realizarse por una transacción comercial con un tercero.
B22 Al evaluar el derecho a obtener sustancialmente todos los beneficios económico del uso de un activo, una entidad considerará los beneficios económicos que proceden del uso del activo, dentro del alcance delimitado por el derecho de un cliente a usar el activo (véase el párrafo B30). Por ejemplo:
(a) Si un contrato limita el uso de un vehículo a motor a solo un territorio concreto durante el periodo de uso, una entidad considerará solo los beneficios económicos del uso del vehículo de motor dentro del territorio, y no más fuera del mismo.
(b) Si un contrato especifica que un cliente puede conducir un vehículo a motor solo hasta un número concreto de kilómetros durante el periodo de uso, una entidad considerará solo los beneficios económicos del uso del vehículo de motor para el kilometraje permitido y no más allá.
B23 Si un contrato requiere que un cliente pague al proveedor o a un tercero una parte de los flujos de efectivo procedentes del uso de un activo como contraprestación, esos flujos de efectivo pagados como contraprestación se considerarán parte de los beneficios económicos que el cliente obtiene del uso del activo. Por ejemplo, si se requiere que el cliente pague al proveedor un porcentaje de las ventas por el uso de un espacio comercial como contraprestación por ese uso, ese requerimiento no impide que el cliente tenga el derecho a obtener sustancialmente todos los beneficios económicos del uso del espacio comercial. Esto es así porque los flujos de efectivo que surgen de esas ventas se consideran que son beneficios económicos que obtiene el cliente del uso del espacio comercial, una parte del cual paga al proveedor como contraprestación por el derecho a usar ese espacio.
Derecho a decidir el uso
B24 Un cliente tiene el derecho a decidir sobre el uso de un activo identificado a lo largo de todo el periodo de uso solo si:
(a) el cliente tiene el derecho a decidir cómo y para qué propósito se usa el activo a lo largo de todo el periodo de uso (como se describe en los párrafos B25 a B30); o
(b) las decisiones relevantes sobre cómo y para qué propósito se usa están predeterminadas y:
(i) el cliente tiene el derecho a operar el activo (o decidir a otros para operar el activo de la forma que determine) a lo largo de todo el periodo de uso, sin que el proveedor tenga el derecho a cambiar esas instrucciones operativas; o
(ii) el cliente designó el activo (o aspectos específicos del mismo) de forma que determina cómo y para qué propósito se usará el activo a lo largo de todo el periodo de uso.
Cómo y para qué propósito se usa el activo
B25 Un cliente tiene el derecho a decidir cómo y para qué propósito se usa el activo si, dentro del alcance de su derecho definido en el contrato, puede cambiar el cómo y para qué propósito se usa el activo a lo largo de todo el periodo de uso. Para hacer esta evaluación, una entidad considera los derechos a tomar decisiones que son más relevantes para cambiar el cómo y para qué propósito se usa el activo a lo largo de todo el periodo de uso. Los derechos de toma de decisiones son relevantes cuando afectan los beneficios económicos que proceden del uso. Es probable que los derechos de toma de decisiones que son más relevantes sean diferentes para distintos contratos, dependiendo de la naturaleza del activo y los términos y condiciones del contrato.
B26 Algunos ejemplos de derechos de toma de decisiones que, dependiendo de las circunstancias, conceden el derecho a cambiar el cómo y para qué propósito se usa el activo, dentro del alcance definido de los derechos de uso del cliente, incluyen:
(a) derechos a cambiar el tipo de producto que se fabrica mediante el activo (por ejemplo, para decidir si usar un contenedor de transporte para trasladar bienes o para almacenar, o para decidir sobre el conjunto de productos vendidos desde el espacio comercial);
(b) derechos a cambiar cuándo se fabrica el producto (por ejemplo, decidir cuándo se usará un elemento de maquinaria o una planta de electricidad);
(c) derechos a cambiar donde tiene lugar la producción (por ejemplo, decidir sobre el destino de un camión o un barco, o decidir cuándo se usa un elemento de equipo); y
(d) derechos a cambiar si se fabrica el producto, y la cantidad de ese producto (por ejemplo, decidir si producir energía desde la planta de electricidad y cuánta energía producir desde esa planta).
B27 Ejemplos de derechos de toma de decisiones que no conceden el derecho a cambiar cómo y para qué propósito se usa el activo incluyen derechos que se limitan a operar o mantener el activo. Estos derechos pueden corresponder al cliente o el proveedor. Aunque derechos tales como los de operar o mantener un activo son, a menudo, esenciales para el uso eficiente de un activo, no son derechos a dirigir cómo y para qué propósito se usa el activo y, a menudo, dependen de decisiones sobre cómo y para qué propósito se usa el activo. Sin embargo, los derechos a operar un activo pueden conceder al cliente el derecho a decidir el uso del activo si las decisiones relevantes sobre cómo y para qué propósito se usa el activo están predeterminados [véase el párrafo B24 (b)(i)].
Decisiones determinadas antes y durante el periodo de uso
B28 Las decisiones relevantes sobre cómo y para qué propósito se usa el activo pueden predeterminarse de diversas formas. Por ejemplo, las decisiones relevantes pueden predeterminarse mediante el diseño del activo o mediante restricciones contractuales sobre el uso del activo.
B29 Al evaluar si un cliente tiene el derecho a decidir el uso de un activo, una entidad considerará solo los derechos a tomar decisiones sobre el uso del activo durante el periodo de uso, a menos que el cliente diseñe el activo (o aspectos específicos de éste) como se describe en el párrafo B24 (b)(ii). Por consiguiente, a menos que se den las condiciones del párrafo B24 (b)(ii), una entidad no considerará decisiones que estén predeterminadas antes del periodo de uso. Por ejemplo, si un cliente puede solo especificar la producción a obtener de un activo antes del periodo de uso, el cliente no tiene el derecho a decidir el uso de ese activo. La capacidad de especificar la producción en un contrato antes del periodo de uso, sin ningún otro derecho a tomar decisiones relacionadas con el uso del activo, otorga al cliente los mismos derechos que a cualquier cliente que compre bienes o servicios.
Derechos protectores
B30 Un contrato puede incluir términos y condiciones diseñados para proteger el interés del proveedor en el activo u otros activos, para proteger su personal, o para asegurar el cumplimiento del proveedor de las leyes o regulaciones. Estos son ejemplos de derechos protectores. Por ejemplo, un contrato puede (i) especificar la cantidad máxima de uso de un activo o el límite de dónde y cuándo puede usar el cliente el activo, (ii) requerir que un cliente siga prácticas operativas concretas, o (iii) requerir que un cliente informe al proveedor de cambios relativos a cómo se usará un activo. Los derechos protectores habitualmente definen el alcance de los derechos de uso del cliente, pero no impiden al cliente, por sí solos, ejercer el derecho a decidir el uso de un activo.
B31 El siguiente flujograma pueda ayudar a las entidades a hacer la evaluación de si un contrato es, o contiene, un arrendamiento.

Componentes separados de un contrato (párrafos 12 a 17)
B32 El derecho a usar un activo subyacente es un componente del arrendamiento separado si:
(a) el arrendatario puede beneficiarse del uso del activo subyacente por sí mismo o junto con otros recursos que están fácilmente disponibles para el arrendatario. Recursos fácilmente disponibles son bienes o servicios que se venden o arriendan por separado (por el arrendador u otros proveedores) o recursos que el arrendatario ha obtenido fácilmente (del arrendador o de otras transacciones o sucesos); y
(b) el activo subyacente no es altamente dependiente ni está altamente interrelacionado con otros activos subyacentes en el contrato. Por ejemplo, el hecho de que un arrendatario pueda decidir no arrendar el activo subyacente sin afectar significativamente sus derechos a usar otros activos subyacentes en el contrato, puede indicar que el activo subyacente no es altamente dependiente o no está altamente interrelacionado con los otros activos subyacentes.
B33 Un contrato puede incluir un importe por pagar por el arrendatario para actividades y costos que no transfieren un bien o servicio al arrendatario. Por ejemplo, un arrendador puede incluir en el importe total por pagar un cargo por tareas administrativas, u otros costos incurridos asociados con el arrendamiento, que no transfieren un bien o servicio al arrendatario. Estos importes por pagar no dan lugar a un componente separado del contrato, pero se consideran parte de la contraprestación total que se distribuye a los componentes identificados por separado del contrato.
Plazo del arrendamiento (párrafos 18 a 21)
B34 Para determinar el plazo del arrendamiento y evaluar la duración del periodo no cancelable de éste, una entidad aplicará la definición de un contrato y determinará el periodo por el que dicho contrato es exigible. Un arrendamiento deja de ser exigible cuando el arrendatario y el arrendador tienen, cada uno por separado, el derecho de terminar el arrendamiento sin permiso de la otra parte con una penalización insignificante.
B35 Si solo el arrendatario tiene el derecho a terminar un arrendamiento, ese derecho se considera que es una opción a terminar el arrendamiento disponible para el arrendatario, que una entidad ha de considerar al determinar el plazo del arrendamiento. Si solo el arrendador tiene el derecho a terminar un arrendamiento, el periodo no cancelable del arrendamiento incluye el periodo cubierto por la opción de terminar el arrendamiento.
B36 El plazo del arrendamiento empieza en la fecha de comienzo e incluye los periodos libres de renta proporcionados al arrendatario por el arrendador.
B37 En la fecha de comienzo, una entidad evalúa si es razonablemente cierto que el arrendatario ejerza una opción para ampliar el arrendamiento o comprar el activo subyacente, o no ejerza una opción de terminar el arrendamiento. La entidad considera todos los hechos y circunstancias relevantes que crean un incentivo económico para que los arrendatarios ejerzan, o no, la opción, incluyendo los cambios esperados en hechos y circunstancias desde la fecha de comienzo hasta la fecha de ejercicio de la opción. Ejemplos de factores a considerar incluyen, pero no se limitan a:
(a) los términos y condiciones contractuales para los periodos opcionales comparados con las tasas de mercado, tales como:
(i) el importe de pagos por el arrendamiento en cualquier periodo opcional;
(ii) el importe de cualquier pago variable por el arrendamiento u otros pagos contingentes, tales como pagos que procedan de penalizaciones por terminación y garantías de valor residual; y
(iii) los términos y condiciones de las opciones que son ejercitables después de los periodos opcionales iniciales (por ejemplo, una opción de compra que es ejercitable al final de un periodo de ampliación a una tasa que está actualmente por debajo de las tasas de mercado).
(b) mejoras del arrendamiento significativas llevadas a cabo (o que se espera llevar a cabo) a lo largo del plazo del contrato, que se espera que tengan un beneficio económico significativo para el arrendatario cuando la opción de ampliar o terminar el arrendamiento, o comprar el activo subyacente, pase a ser ejercitable;
(c) costos relacionados con la terminación del arrendamiento, tal como los costos de negociación, costos de reubicación, costos de identificar otro activo subyacente adecuado para las necesidades del arrendatario, costos de integrar un nuevo activo en las operaciones del arrendatario, o penalizaciones de terminación y costos similares, incluyendo los costos asociados con la devolución del activo subyacente en una condición especificada contractualmente o a una ubicación especificada contractualmente;
(d) la importancia de ese activo subyacente para las operaciones del arrendatario, considerando, por ejemplo, si el activo subyacente es un activo especializado, la ubicación del activo subyacente y la disponibilidad de alternativas adecuadas; y
(e) condicionalmente asociado con el ejercicio de la opción (es decir, cuando la opción puede ejercerse solo si se cumplen una o más condiciones), y la probabilidad de que existirán esas condiciones.
B38 Una opción de ampliar o terminar un arrendamiento puede combinarse con una o más características contractuales (por ejemplo, una garantía de valor residual), tales que el arrendatario garantice al arrendador una rentabilidad mínima o cobros fijos que son sustancialmente los mismos independientemente de si ejerce o no la opción. En estos casos, y a pesar de las guías sobre pagos fijos en esencia del párrafo B42, una entidad supondrá que el arrendatario tiene una razonable certeza de que ejercerá la opción de ampliar el arrendamiento, o no ejercerá la opción de terminar con él.
B39 Cuánto más corto sea el periodo no cancelable de un arrendamiento, mayor será la probabilidad de que un arrendatario ejerza una opción de ampliar el arrendamiento o no ejercer una opción de terminar el arrendamiento. Esto es así porque los costos asociados con la obtención un activo de sustitución es probable que sean proporcionalmente altos cuánto más corto sea el periodo no cancelable.
B40 La práctica pasada de un arrendatario con respecto al periodo sobre el que ha usado habitualmente tipos concretos de activos (si arrendados o comprados), junto con sus razones económicas para hacerlo así, pueden proporcionar información que sea útil para evaluar si el arrendatario tiene certeza razonable de ejercer o no, una opción. Por ejemplo, si un arrendatario ha usado habitualmente tipos concretos de activos por un determinado periodo de tiempo o si el arrendatario tiene la práctica de ejercer frecuentemente las opciones sobre los arrendamientos de tipos concretos de activos subyacentes, el arrendatario considerará las razones económicas de esa práctica pasada al evaluar si hay certeza razonable de ejercer una opción sobre arrendamientos de esos activos.
B41 El párrafo 20 especifica que, después de la fecha de comienzo, un arrendatario evaluará nuevamente el plazo del arrendamiento en el momento en que ocurra un suceso o cambio significativo en las circunstancias que están bajo el control del arrendatario y afectan a la certeza razonable que posee de ejercer una opción no incluida previamente en su determinación del plazo del arrendamiento, o bien de no ejercer una opción anteriormente incluida en su determinación del plazo del arrendamiento. Algunos ejemplos de sucesos o cambios significativos en circunstancias incluyen:
(a) mejoras del arrendamiento significativas no anticipadas en la fecha de comienzo que se espera que tengan un beneficio económico significativo para el arrendatario cuando la opción de ampliar o terminar el arrendamiento, o comprar el activo subyacente, pasa a ser ejercitable;
(b) una modificación significativa, o bien la personalización del activo subyacente, que no se hubiera podido anticipar en la fecha de comienzo;
(c) el inicio de un subarrendamiento del activo subyacente para un periodo superior al final de plazo de arrendamiento determinado con anterioridad; y
(d) una decisión de negocio del arrendatario que es directamente relevante para ejercer, o no, una opción (por ejemplo, una decisión de ampliar el arrendamiento de un activo complementario, disponer de un activo alternativo o disponer de una unidad de negocio en la que se emplea el activo por derecho de uso).
Pagos por arrendamiento que son fijos en esencia [párrafos 27(a), 36(c) y 70(a)]
B42 Los pagos por arrendamiento incluyen cualquier pago fijo por arrendamiento en esencia. Los pagos fijos por arrendamiento en esencia son pagos que pueden, en su forma, suponer variabilidad pero que, en esencia, son inevitables. Los pagos fijos en esencia por arrendamiento se dan, por ejemplo, cuando:
(a) los pagos se estructuran como pagos por arrendamiento variables, pero no existe una variabilidad real en ellos. Esos pagos contienen cláusulas variables que no tienen esencia económica real. Algunos ejemplos de dichos tipos de pagos incluyen:
(i) pagos que deben hacerse solo si se prueba que un activo solo puede operar durante el arrendamiento, o solo si ocurre un suceso que no tiene posibilidad auténtica de no ocurrir; o
(ii) pagos que están estructurados inicialmente como pagos por arrendamiento variables vinculados al uso del activo subyacente, pero para los que la variabilidad se resolverá en algún momento después de la fecha de comienzo, de forma que los pagos pasen a ser fijos para el resto del plazo del arrendamiento. Dichos pagos pasan a ser pagos fijos en esencia cuando se resuelve la variabilidad.
(b) existe más de un conjunto de pagos que un arrendatario podría realizar, pero solo uno de esos conjuntos de pagos es realista. En este caso, una entidad considerará al conjunto realista de pagos como pagos por arrendamiento.
(c) existe más de un conjunto realista de pagos que podría hacer un arrendatario, pero debe realizar al menos uno de esos conjuntos de pagos. En este caso, una entidad considerará que los pagos por arrendamiento son el conjunto de pagos que suma el menor importe (sobre una base descontada).
Implicación del arrendatario con el activo subyacente antes de la fecha de comienzo
Los costos del arrendamiento relacionados con la construcción o diseño del activo subyacente
B43 Una entidad puede negociar un arrendamiento antes de que esté disponible el activo subyacente para su uso por el arrendatario. Para algunos arrendamientos, el activo subyacente puede tener necesidad ser construido o rediseñado para su uso por el arrendatario. Dependiendo de los términos y condiciones del contrato, puede requerirse a un arrendatario para que realice pagos relacionados con la construcción o diseño del activo.
B44 Si un arrendatario incurre en costos relacionados con la construcción o diseño de un activo subyacente, contabilizará esos costos utilizando otras Normas aplicables, tal como la NIC 16. Los costos relacionados con la construcción o diseño de un activo subyacente no incluyen los pagos realizados por el arrendatario por el derecho a usar el activo subyacente. Los pagos por el derecho a usar un activo subyacente son pagos por un arrendamiento, independientemente del calendario de esos pagos.
Derecho legal al activo subyacente
B45 Un arrendatario puede obtener el derecho legal a un activo subyacente antes de que se transfiera el derecho legal al arrendador y el activo se arriende al arrendatario. La obtención del derecho legal no determina por sí mismo cómo contabilizar la transacción.
B46 Si el arrendatario controla (u obtiene el control) del activo subyacente antes de que se transfiera al arrendador, la transacción es una venta con arrendamiento posterior que se contabiliza aplicando los párrafos 98 a 103.
B47 Sin embargo, si el arrendatario no obtiene el control del activo subyacente antes de que se transfiera al arrendador, la transacción no es una venta con arrendamiento posterior. Por ejemplo, este podría ser el caso si un fabricante, un arrendador y un arrendatario negocian una transacción de compra de un activo al fabricante por el arrendador que a su vez arrienda al arrendatario. El arrendatario puede obtener el derecho legal al activo subyacente antes de transferir dicho derecho legal al arrendador. En este caso, si el arrendatario obtiene el derecho legal al activo subyacente pero no obtiene el control del activo antes de que se transfiera al arrendador, la transacción no se contabiliza como una venta con arrendamiento posterior, sino como un arrendamiento.
Información a revelar por el arrendatario (párrafo 59)
B48 Para determinar si es necesaria información adicional sobre las actividades de arrendamiento para cumplir el objetivo de información a revelar del párrafo 51, un arrendatario considerará:
(a) si esa información es relevante para los usuarios de los estados financieros. Un arrendatario proporcionará la información adicional especificada en el párrafo 59 solo si se espera que sea relevante para los usuarios de los estados financieros. En este contexto, es probable que éste sea el caso si ayuda a los usuarios a comprender:
(i) la flexibilidad incorporada a los arrendamientos. Los arrendamientos pueden proporcionar flexibilidad si, por ejemplo, un arrendatario puede reducir su exposición ejerciendo las opciones de terminación o renovación de dichos arrendamientos en términos y condiciones favorables.
(ii) restricciones impuestas por los arrendamientos. Los arrendamientos pueden imponer restricciones, por ejemplo, requiriendo que los arrendatarios mantengan ratios financieros concretos.
(iii) sensibilidad de la información presentada a variables clave. La información presentada puede ser sensible a, por ejemplo, los pagos variables futuros por arrendamiento.
(iv) exposición a otros riesgos que surgen de los arrendamientos.
(v) desviaciones de la práctica del sector industrial. Estas desviaciones pueden incluir, por ejemplo, términos y condiciones de arrendamiento inusuales o extraordinarias que afectan la cartera de arrendamientos de un arrendatario.
(b) Si esa información se desprende de información presentada en los estados financieros principales o revelados en las notas. Un arrendatario no necesita duplicar información que ya se presenta en cualquier otro sitio de los estados financieros.
B49 Información adicional relacionada con pagos por arrendamiento variables que, dependiendo de las circunstancias, podría ser necesaria para satisfacer el objetivo de información a revelar del párrafo 51, podría incluir información que ayude a los usuarios de los estados financieros a evaluar, por ejemplo:
(a) las razones del arrendatario para usar pagos por arrendamiento variables y la preponderancia de esos pagos;
(b) la magnitud relativa de los pagos por arrendamiento variables con respecto a los pagos fijos;
(c) variables clave de las que dependen los pagos por arrendamiento variables, y cómo se espera que varíen dichos pagos en respuesta a cambios en dichas variables; y
(d) otros efectos financieros y operativos de los pagos por arrendamiento variables.
B50 Entre la información adicional relacionada con las opciones de ampliación o terminación que, dependiendo de las circunstancias, podría ser necesaria para satisfacer el objetivo de información a revelar del párrafo 51, se incluiría información que ayude a los usuarios de los estados financieros a evaluar, por ejemplo:
(a) las razones del arrendatario para usar las opciones de ampliación o terminación y la preponderancia de esos pagos;
(b) la magnitud relativa de los pagos por arrendamiento opcionales con respecto a los pagos por arrendamiento;
(c) la preponderancia del ejercicio de las opciones que no se incluyeron en la medición de los pasivos por arrendamiento; y
(d) otros efectos financieros y operativos de esas opciones.
B51 Información adicional relacionada con las garantías de valor residual que, dependiendo de las circunstancias, podría ser necesaria para satisfacer el objetivo de información a revelar del párrafo 51, podría incluir información que ayude a los usuarios de los estados financieros a evaluar, por ejemplo:
(a) las razones del arrendatario para proporcionar garantía de valor residual y la preponderancia de esas garantías;
(b) la magnitud de la exposición de un arrendatario al riesgo del valor residual;
(c) la naturaleza de los activos subyacentes para los que se proporcionan esas garantías; y
(d) otros efectos financieros y operativos de esas garantías.
B52 Información adicional relacionada con las transacciones de venta con arrendamiento posterior que, dependiendo de las circunstancias, podría ser necesaria para satisfacer el objetivo de información a revelar del párrafo 51, podría incluir información que ayude a los usuarios de los estados financieros a evaluar, por ejemplo:
(a) las razones del arrendatario para realizar transacciones de venta con arrendamiento posterior y la preponderancia de esas transacciones;
(b) términos y condiciones clave de las ventas con arrendamiento posterior a nivel individual;
(c) pagos no incluidos en la medición de los pasivos por arrendamiento; y
(d) el efecto de los flujos de efectivo de las transacciones de venta con arrendamiento posterior en el periodo sobre el que se informa.
Clasificación del arrendamiento por el arrendador (párrafos 61 a 66)
B53 La clasificación de los arrendamientos por el arrendador en esta Norma se basa en la medida en que el arrendamiento transfiere los riesgos y recompensas inherentes a la propiedad de un activo subyacente Entre tales riesgos se incluyen la posibilidad de pérdidas por capacidad ociosa u obsolescencia tecnológica, así como las variaciones en el desempeño debidas a cambios en las condiciones económicas. Las ventajas pueden estar representadas por la expectativa de una operación rentable a lo largo de la vida económica del activo, así como por una ganancia por revalorización o por una realización del valor residual.
B54 Un contrato de arrendamiento podría incluir términos y condiciones para ajustar los pagos por arrendamiento por cambios concretos que ocurran entre la fecha de inicio del acuerdo y la de comienzo (tal como un cambio en el costo del arrendador del activo subyacente o un cambio en el costo del arrendador de la financiación del arrendamiento). En ese caso, a efectos de clasificar el arrendamiento, el efecto de cualquier cambio se considerará que ha tenido lugar en la fecha de inicio del acuerdo.
B55 Cuando un arrendamiento incluya componentes de terrenos y de edificios conjuntamente, la entidad evaluará la clasificación de cada componente por separado como un arrendamiento financiero u operativo, de acuerdo con los párrafos 62 a66, B53 y B54. Al determinar si el componente de terreno es un arrendamiento financiero u operativo, una consideración importante es que los terrenos normalmente tienen una vida económica indefinida.
B56 Cuando sea necesario para clasificar y contabilizar un arrendamiento de terrenos y edificios, un arrendador distribuirá los pagos por el arrendamiento (incluyendo todo pago por adelantado) entre los componentes de terrenos y edificios en proporción a los valores razonables relativos que representan los derechos de arrendamiento en los citados componentes de terrenos y edificios en la fecha de inicio del acuerdo. Si los pagos por el arrendamiento no pueden repartirse fiablemente entre estos dos componentes, todo el arrendamiento se clasificará como arrendamiento financiero, a menos que esté claro que ambos componentes son arrendamientos operativos, en cuyo caso todo el arrendamiento se clasificará como operativo.
B57 Para un arrendamiento de terreno y edificios en los que el importe del terreno no es significativo para el arrendamiento, un arrendador puede tratar el terreno y los edificios como una sola unidad a efectos de la clasificación del arrendamiento y clasificarlo como un arrendamiento financiero o un arrendamiento operativo aplicando los párrafos 62 a 66, B53 y B54. En este caso, un arrendador considerará la vida económica de los edificios como la que corresponde al activo subyacente en su totalidad.
Clasificación de subarrendamientos
B58 Para clasificar un subarrendamiento, un arrendador intermedio clasificará el subarrendamiento como un arrendamiento financiero o un arrendamiento operativo de la forma siguiente:
(a) Si el arrendamiento principal es un arrendamiento a corto plazo que la entidad, como arrendatario, ha contabilizado aplicando el párrafo 6, el subarrendamiento se clasificará como un arrendamiento operativo.
(b) En otro caso, el subarrendamiento se clasificará por referencia al activo por derecho de uso que surge del arrendamiento principal, en lugar de por referencia al activo subyacente (por ejemplo, el elemento de propiedades, planta y equipo que es sujeto del arrendamiento).
Apéndice C
Fecha de vigencia y transición
Este apéndice forma parte integrante de la Norma y tiene el mismo carácter normativo que las otras partes de la Norma.
Fecha de vigencia
C1 Una entidad aplicará esta Norma para los periodos anuales que comiencen a partir del 1 de enero de 2019. Se permite su aplicación anticipada para entidades que utilicen la NIIF 15 Ingresos de Actividades Ordinarias procedentes de Contratos con Clientes antes de la fecha de aplicación inicial de esta Norma. Si una entidad aplica esta Norma de manera anticipada, revelará ese hecho.
Transición
C2 A efectos de los requerimientos de los párrafos C1 a C19, la fecha de aplicación inicial es el comienzo del periodo anual sobre el que se informa en que la entidad aplique esta Norma por primera vez.
Definición de un arrendamiento
C3 Como una solución práctica, no se requiere que una entidad evalúe nuevamente si un contrato es, o contiene, un arrendamiento en la fecha de aplicación inicial. En su lugar, se permite que la entidad:
(a) aplique esta Norma a contratos que estaban anteriormente identificados como arrendamientos aplicando la NIC 17 Arrendamientos y la CINIIF 4 Determinación de si un Acuerdo contiene un Arrendamiento. La entidad aplicará los requerimientos de transición de los párrafos C5 a C18 a esos arrendamientos.
(b) No aplicará esta Norma a contratos que no fueron anteriormente identificados como que contenían un arrendamiento aplicando las NIC 17 y CINIIF 4.
C4 Si una entidad elige la solución práctica del párrafo C3, revelará ese hecho y aplicará la solución práctica a todos sus contratos. Como resultado, la entidad aplicará los requerimientos de los párrafos 9 a 11 solo a contratos realizados (o modificados) a partir de la fecha de aplicación inicial.
Arrendatarios
C5 Un arrendatario aplicará esta Norma a sus arrendamientos:
(a) de forma retroactiva a cada periodo sobre el que se informa anterior presentado, aplicando la NIC 8 Políticas Contables, Cambios en las Estimaciones Contables y Errores; o
(b) retroactivamente con el efecto acumulado de la aplicación inicial de la Norma reconocido en la fecha de aplicación inicial, de acuerdo con los párrafo C7 a C13.
C6 Un arrendatario aplicará la alternativa descrita en el párrafo C5 de forma congruente a todos los arrendamientos en los que sea arrendatario.
C7 Si un arrendatario opta por aplicar esta Norma de acuerdo con el párrafo C5 (b), no re expresará la información comparativa. En su lugar el arrendatario reconocerá el efecto acumulado de la aplicación inicial de esta Norma como un ajuste al saldo de apertura de las ganancias acumuladas (u otro componente de patrimonio según proceda) en la fecha de aplicación inicial.
Arrendamientos anteriormente clasificados como arrendamientos operativos
C8 Si un arrendatario opta por aplicar esta Norma de acuerdo con el párrafo C5 (b):
(a) Reconocerá un pasivo por arrendamiento en la fecha de aplicación inicial para los arrendamientos anteriormente clasificados como un arrendamiento operativo utilizando la NIC 17. El arrendatario medirá ese pasivo por arrendamiento al valor presente de los pagos por arrendamiento restante, descontado usando la tasa incremental por préstamos del arrendatario en la fecha de aplicación inicial.
(b) Reconocerá un activo derecho de uso en la fecha de aplicación inicial para los arrendamientos anteriormente clasificados como un arrendamiento operativo utilizando la NIC 17. El arrendatario optará, arrendamiento por arrendamiento, por medir el activo por derecho de uso:
(i) su importe en libros como si la Norma se hubiera aplicado desde la fecha de comienzo, pero descontado usando la tasa incremental por préstamos del arrendatario en la fecha de aplicación inicial; o
(ii) un importe igual al pasivo por arrendamiento, ajustado por el importe de cualquier pago por arrendamientos anticipado o acumulado (devengado) relacionado con ese arrendamiento reconocido en el estado de situación financiera inmediatamente antes de la fecha de aplicación inicial.
(c) La aplicación de la NIC 36 Deterioro de Valor de los Activos a los activos por derecho de uso en la fecha de aplicación inicial, a menos que el arrendatario utilice la solución práctica del párrafo C10 (b).
C9 A pesar de los requerimientos del párrafo C8, para arrendamientos anteriormente clasificados como arrendamientos operativos aplicando la NIC 17:
(a) No se requiere hacer ningún ajuste en la transición por arrendamientos para los que el activo subyacente es de bajo valor (como se describe en los párrafos B3 a B8) que se contabilizan según el párrafo 6. El arrendatario contabilizará esos arrendamientos aplicando esta Norma desde la fecha de aplicación inicial.
(b) No se requiere hacer ningún ajuste en la transición a los arrendamientos anteriormente contabilizados como propiedades de inversión usando el modelo del valor razonable de la NIC 40 Propiedades de Inversión. El arrendatario contabilizará el activo por derecho de uso y el pasivo por arrendamiento que surgen de la aplicación de la NIC 40 y esta Norma desde la fecha de aplicación inicial.
(c) Éste medirá el activo por derecho de uso al valor razonable en la fecha de aplicación inicial para arrendamientos anteriormente contabilizados como arrendamientos operativos aplicando la NIC 17 y que se contabilizarán como propiedades de inversión usando el modelo del valor razonable de la NIC 40 desde la fecha de aplicación inicial. El arrendatario contabilizará el activo por derecho de uso y el pasivo por arrendamiento que surgen de la aplicación de la NIC 40 y está Norma desde la fecha de aplicación inicial.
C10 El arrendatario puede usar una o más de las siguientes soluciones prácticas al aplicar esta Norma de forma retroactiva de acuerdo con el párrafo C5(b) para arrendamientos anteriormente clasificados como arrendamientos operativos utilizando la NIC 17. Se permite que un arrendatario aplique estas soluciones prácticas arrendamiento por arrendamiento:
(a) Un arrendatario puede aplicar una tasa de descuento única a una cartera de arrendamientos con características razonablemente similares (tales como arrendamientos con plazo de arrendamiento similar para una clase semejante de activo subyacente en un entorno económico parecido).
(b) Como alternativa a realizar una revisión del deterioro del valor, un arrendatario puede confiar en su evaluación de si los arrendamientos son onerosos aplicando la NIC 37 Provisiones, Pasivos Contingentes y Activos Contingentes inmediatamente antes de la fecha de aplicación inicial. Si un arrendatario elige esta solución práctica, ajustará el activo por derecho de uso en la fecha de la aplicación inicial por el importe de cualquier provisión por arrendamientos onerosos que haya sido reconocida en el estado de situación financiera inmediatamente antes de la fecha de aplicación inicial.
(c) Un arrendatario puede elegir no aplicar los requerimientos del párrafo C8 a los arrendamientos cuyo plazo finalice dentro de los 12 meses de la fecha de aplicación inicial. En este caso, un arrendatario:
(i) contabilizará esos arrendamientos de la misma forma que los arrendamientos a corto plazo como se describe en el párrafo 6; e
(ii) incluirá el costo asociado con esos arrendamientos dentro de la información a revelar del gasto por arrendamientos a corto plazo en el periodo anual sobre el que se informa que incluye la fecha de aplicación inicial.
(d) Un arrendatario puede excluir los costos directos iniciales de la medición del activo por derecho de uso en la fecha de aplicación inicial.
(e) Un arrendatario puede usar el razonamiento en retrospectiva, tales como al determinar el plazo del arrendamiento, si el contrato contiene opciones para ampliar o terminar el arrendamiento.
Arrendamientos anteriormente clasificados como arrendamientos financieros
C11 Si un arrendatario opta por aplicar esta norma de acuerdo con el párrafo C5 (b), a arrendamientos que fueron clasificados como arrendamientos financieros utilizando la NIC 17, el importe en libros del activo por derecho de uso y el pasivo por arrendamiento en la fecha de la aplicación inicial será el importe en libros del activo de arrendamiento y el pasivo por arrendamiento inmediatamente antes de la fecha de medida aplicando la NIC 17. Para esos arrendamientos, el arrendatario contabilizará el activo por derecho de uso y el pasivo por arrendamiento aplicando esta Norma desde la fecha de aplicación inicial.
Información a revelar
C12 Si un arrendatario opta por aplicar esta Norma de acuerdo con el párrafo C5(b), el arrendatario revelará información sobre la aplicación inicial requerida por el párrafo 28 de la NIC 8, excepto por lo que se refiere a la información especificada en el párrafo 28(f) de NIC 8. En lugar de la información especificada en el párrafo 28(f) de la NIC 8 el arrendatario revelará:
(a) el promedio ponderado de la tasa incremental por préstamos del arrendatario aplicada a los pasivos por arrendamiento reconocidos en el estado de situación financiera en la fecha de aplicación inicial; y
(b) una explicación de las diferencias entre:
(i) los compromisos de arrendamientos operativos revelados aplicando la NIC 17 al final del periodo anual sobre el que se informa inmediatamente anterior a la fecha de aplicación inicial, descontados usando la tasa incremental por préstamos en la fecha de aplicación inicial como se describe en el párrafo C8(a); y
(ii) los pasivos por préstamos reconocidos en el estado de situación financiera en la fecha de aplicación inicial.
C13 Si un arrendatario utiliza una o más de las soluciones prácticas especificadas en el párrafo C10, revelará ese hecho.
Arrendadores
C14 Excepto por lo descrito en el párrafo C15, no se requiere que un arrendador realice ningún ajuste en la transición para arrendamientos en los que es arrendador y contabilizará esos arrendamientos aplicando esta Norma desde la fecha de aplicación inicial.
C15 Un arrendador intermedio:
(a) Evaluará nuevamente los subarrendamientos que fueron clasificados como arrendamientos operativos aplicando la NIC 17 y que se mantienen en la fecha de aplicación inicial, para determinar si cada subarrendamiento debe clasificarse como un arrendamiento operativo o un arrendamiento financiero utilizando esta Norma. El arrendador intermedio realizará esta evaluación en la fecha de aplicación inicial sobre la base de los términos y condiciones contractuales que se mantienen del arrendamiento principal y el subarrendamiento en esa fecha.
(b) Para subarrendamientos que se clasificaron como arrendamientos operativos aplicando la NIC 17 pero como arrendamientos financieros utilizando esta Norma, contabilizará el subarrendamiento como un arrendamiento financiero nuevo realizado en la fecha de aplicación inicial.
Venta con arrendamiento posterior antes de la fecha de aplicación inicial
C16 Una entidad no evaluará nuevamente las transacciones de venta con arrendamiento posterior realizadas antes de la fecha de aplicación inicial para determinar si la transferencia del activo subyacente satisface los requerimientos de la NIIF 15 para contabilizarse como una venta.
C17 Si una transacción de venta con arrendamiento posterior se contabilizó como una venta y un arrendamiento financiero aplicando la NIC 17, el arrendatario-vendedor:
(a) contabilizará el arrendamiento posterior de la misma forma que contabilice cualquier otro arrendamiento financiero que exista en la fecha de aplicación inicial; y
(b) continuará amortizando cualquier ganancia sobre la venta a lo largo del plazo del arrendamiento.
C18 Si una transacción de venta con arrendamiento posterior se contabilizó como una venta y un arrendamiento operativo aplicando la NIC 17, el arrendatario-vendedor:
(a) contabilizará el arrendamiento posterior de la misma forma que contabilice cualquier otro arrendamiento operativo que exista en la fecha de aplicación inicial; y
(b) ajustará el arrendamiento posterior del activo por derecho de uso por cualquier ganancia o pérdida diferida que se relacione con condiciones que no son de mercado reconocidas en el estado de situación financiera inmediatamente antes de la fecha de aplicación inicial.
Importes anteriormente reconocidos con respecto a combinaciones de negocios
C19 Si un arrendatario reconoció anteriormente un activo o un pasivo aplicando la NIIF 3 Combinaciones de Negocios relacionados con condiciones favorables o desfavorables de un arrendamiento operativo adquirido como parte de una combinación de negocios, el arrendatario dará de baja ese activo o pasivo y ajustará, en la fecha de aplicación inicial, el importe en libros del activo por derecho de uso aplicando el importe correspondiente.
Referencias a la NIIF 9
C20 Si una entidad aplica esta Norma pero no aplica todavía la NIIF 9 Instrumentos Financieros, cualquier referencia en esta Norma a la NIIF 9 deberá interpretarse como una referencia a la NIC 39 Instrumentos Financieros: Reconocimiento y Medición.
Derogación de otras Normas
C21 Esta Norma sustituye las siguientes Normas e Interpretaciones:
(a) NIC 17 Arrendamientos;
(b) CINIIF 4 Determinación de si un Acuerdo contiene un Arrendamiento;
(c) SIC-15 Arrendamientos Operativos–Incentivos; y
(d) SIC-27 Evaluación de la Esencia de las Transacciones que Adoptan la Forma Legal de un Arrendamiento.
Apéndice D
Modificaciones a otras Normas
Este apéndice establece las modificaciones a otras Normas que son consecuencia de la emisión por el IASB de esta Norma. Una entidad aplicará esas modificaciones a periodos anuales que comiencen a partir del 1 de enero de 2019. Si una entidad aplica esta Norma para un periodo anterior, estas modificaciones tendrán también vigencia para el mismo periodo.
No se permite que una entidad aplique la NIIF 16 antes de utilizar la NIIF 15 Ingresos de Actividades Ordinarias procedentes de Contratos con Clientes (véase el párrafo C1).
Por consiguiente, para las Normas que estuvieran vigentes el 1 de enero de 2016, las modificaciones de este apéndice se presentan sobre la base del texto de esas Normas que estuviera vigente el 1 de enero de 2016, tal como resultó modificado por la NIIF 15. El texto de esas Normas en este apéndice no incluye ninguna otra modificación que no estuviera vigente a 1 de enero de 2016.
Para las Normas que no estuvieran vigentes el 1 de enero de 2016, las modificaciones de este apéndice se presentan sobre la base del texto de la publicación inicial de esa Norma, tal como resultó modificado por la NIIF 15. El texto de esas Normas en este apéndice no incluye ninguna otra modificación que no estuviera vigente a 1 de enero de 2016.
En los párrafos modificados el texto nuevo está subrayado y el texto eliminado se ha tachado.
NIIF 1 Adopción por Primera vez de las Normas Internacionales de Información Financiera
Se modifica el párrafo 30 y se añade el párrafo 39AB
Uso del valor razonable como costo atribuido
| 30 | Si, en su estado de situación financiera de apertura conforme a las NIIF, una entidad usa el valor razonable como costo atribuido para una partida de propiedades, planta y equipo, una propiedad de inversión, |
(a) ..
Fecha de vigencia
| 39AB | La NIIF 16 Arrendamientos emitida en enero de 2016 modificó los párrafos 30, C4, D1, D7, D8B y D9, y eliminó el párrafo D9A y añadió los párrafos D9B a D9E. Una entidad aplicará esas modificaciones cuando aplique la NIIF 16. |
Se modifica el párrafo C4.
Exenciones para las combinaciones de negocios
C4 Si una entidad que adopta por primera vez las NIIF no aplica la NIIF 3 de forma retroactiva a una combinación de negocios anterior, este hecho tendrá las siguientes consecuencias para esa combinación:
(a) ...
(f) Si un activo adquirido, o un pasivo asumido, en una combinación de negocios anterior no se reconoció según los PCGA anteriores, no tendrá un costo atribuido nulo en el estado de situación financiera de apertura conforme a las NIIF. En su lugar, la adquirente lo reconocerá y medirá, en su estado de situación financiera consolidado, utilizando la base que hubiera sido requerida de acuerdo con las NIIF en el estado de situación financiera de la adquirida. Por ejemplo: si la adquirente no había, según sus PCGA anteriores, capitalizado los arrendamientos funcionario adquiridos en una combinación de negocios anterior, en la que la adquirida era una arrendataria, los capitalizará, en sus estados financieros consolidados, tal como la NIC 17 NIIF 16 Arrendamientos hubiera requerido hacerlo a la adquirida en su estado de situación financiera conforme a las NIIF. De forma similar, si la adquirente no tenía reconocido, según PCGA anteriores, un pasivo contingente que existe todavía en la fecha de transición a las NIIF, la adquirente reconocerá ese pasivo contingente en esa fecha a menos que la NIC 37 Provisiones, Pasivos Contingentes y Activos Contingentes prohibiera su reconocimiento en los estados financieros de la adquirida. Por el contrario, si un activo o pasivo quedó incluido, según los PCGA anteriores, en la plusvalía, pero se hubiera reconocido por separado de haber aplicado la NIIF 3, ese activo o pasivo permanecerá en la plusvalía, a menos que las NIIF requiriesen reconocerlo en los estados financieros de la adquirida.
(g) ...
En el Apéndice D se modifican los párrafos D1, D7, D8B y D9. Se elimina el párrafo D9A. Se añaden los párrafos D9B a D9E.
Extensiones procedentes de otras NIIF
D1 Una entidad puede optar por utilizar una o más de las exenciones siguientes:
(a) ...
(d) arrendamiento (los párrafos D9 y DA D9B a D9E);
....
Costo atribuido
D7 Las opciones de los párrafos D5 y D6 podrán ser aplicadas también a:
(a) propiedades de inversión, si una entidad escoge la aplicación del modelo del costo de la NIC 40 Propiedades de Inversión; y
(aa) activos por derecho de uso (NIIF 16 Arrendamientos); y
(b) ...
....
D8B Algunas entidades mantienen elementos de propiedades, planta y equipo, activos por derecho de uso o activos intangibles que se utilizan o eran anteriormente utilizados, en operaciones sujetas a regulación de tarifas. El importe en libros de estos elementos puede incluir importes que fueron determinados según PCGA anteriores pero que no cumplen las condiciones de capitalización de acuerdo con las NIIF. Si es este el caso, una entidad que adopta por primera vez las NIIF puede optar por utilizar el importe en libros según PCGA anteriores para un elemento en la fecha de transición a las NIIF como el costo atribuido. Si una entidad aplica esta exención a un elemento, no necesitará aplicarla a todos. En la fecha de transición a las NIIF, una entidad comprobará el deterioro de valor, de acuerdo con la NIC 36, de cada elemento para el que se utilice esta exención. A efectos de este párrafo, las operaciones están sujetas a regulación de tarifas si se rigen por un marco para la fijación de los precios que pueden cargarse a los clientes por bienes o servicios, y ese marco está sujeto a la supervisión o aprobación por un regulador de tarifas (tal como se define en la NIIF 14 Cuentas de Diferimientos de Actividades Reguladas).
Arrendamientos
D9 Una entidad que adopta por primera vez las NIIF puede aplicar la disposición transitoria de la CINIIF 4 Determinación de si un Acuerdo Contiene un Arrendamiento. En consecuencia, una entidad que adopta por primera vez las NIIF puede determinar si un acuerdo vigente en la fecha de transición a las NIIF contiene un arrendamiento, a partir de la consideración de los hechos y circunstancias existentes en dicha fecha. Una entidad que adopta por primera vez las NIIF puede evaluar si un contrato vigente en la fecha de transición a las NIIF contiene un arrendamiento, aplicando los párrafos 9 a 11 de la NIIF 16 a esos contratos sobre la base de los hechos y circunstancias existentes en dicha fecha.
D9A [Eliminado) Si una entidad que adopta por primera vez las NIIF realizó la misma determinación de si un acuerdo contenía un arrendamiento de acuerdo con PCGA anteriores de la forma requerida por la CINIIF 4 pero en una fecha distinta de la requerida por la CINIIF 4, la entidad que adopta por primera vez las NIIF no necesitará evaluar nuevamente esa determinación al adoptar las NIIF. Para una entidad que tuvo que realizar la misma determinación de si un acuerdo contenía un arrendamiento de acuerdo con PCGA anteriores, esa determinación tendría que haber dado el mismo resultado que el procedente de aplicar la NIC 17 Arrendamientos y la CINIIF 4.
D9B Cuando una entidad que es un arrendatario adopta por primera vez las NIIF y reconoce los pasivos por arrendamiento y los activos por derecho de uso, puede aplicar el enfoque siguiente a todos sus arrendamientos ( sujeto a las soluciones prácticas descritas en el párrafo D9D):
(a) Medir un pasivo por arrendamiento en la fecha de transición a las NIIF. El arrendatario que siga este enfoque medirá ese pasivo por arrendamiento al valor presente de los pagos por arrendamiento restantes (véase el párrafo D9E), descontados usando la tasa incremental por préstamos del arrendatario (véase el párrafo D9E) en la fecha de transición a las NIIF.
(b) Medir un activo por derecho de uso en la fecha de transición a las NIIF. El arrendatario elegirá- arrendamiento por arrendamiento, para medir el activo por derecho de uso:
(i) por su importe en libros como si la NIIF 16 se hubiera aplicado desde la fecha de comienzo del arrendamiento (véase el párrafo D9E), pero descontando mediante la utilización de la tasa incremental por préstamos del arrendatario en la fecha de transición a las NIIF; o
(ii) por un importe igual al pasivo por arrendamiento, ajustado por el importe de cualquier pago por arrendamientos anticipado o acumulado (devengado) relacionado con ese arrendamiento reconocido en el estado de situación financiera inmediatamente antes de la fecha de transición a las NIIF.
(c) Aplicar la NIC 36 a un activo por derecho de uso en la fecha de transición a las NIIF.
D9C A pesar de los requerimientos del párrafo D9B, una entidad que adopta por primera vez las NIIF que es un arrendatario medirá el activo por derecho de uso al valor razonable en la fecha de transición a las NIIF para arrendamientos que cumplen la definición de propiedad de inversión de la NIC 40 y se miden usando el modelo del valor razonable de la NIC 40 desde la fecha de transición a las NIIF.
D9D Una entidad que adopta por primera vez las NIIF y es un arrendatario puede optar por una o más de las siguientes alternativas en la fecha de transición a las NIIF, que aplicará arrendamiento por arrendamiento:
(a) Aplicar una tasa de descuento única a una cartera de arrendamientos con características razonablemente similares (por ejemplo, un plazo de arrendamiento similar para una clase semejante de activo subyacente en un entorno económico parecido).
(b) Elegir no aplicar los requerimientos del párrafo D9B a los arrendamientos cuyo plazo (véase el párrafo D9E) finalice dentro de los 12 meses de la fecha de transición a las NIIF. En su tugar- la entidad contabilizará, (incluyendo la revelación de información sobre) estos arrendamientos como si fueran arrendamientos a corto plazo contabilizados de acuerdo con el párrafo 6 de la NIIF 16.
(c) Elegir no aplicar los requerimientos del párrafo D9B a los arrendamientos cuyo activo subyacente es de bajo valor (como se describe en los párrafos B3 a B8 de la NIIF 16). En su lugar, la entidad contabilizará (incluyendo la revelación de información sobre) estos arrendamientos de acuerdo con el párrafo 6 de la NIIF 16.
(d) Excluir los costos directos iniciales (véase el párrafo D9E) de la medición del activo por derecho de uso en la fecha de transición a las NIIF.
(e) Usar el razonamiento en retrospectiva, tal como al determinar el plazo del arrendamiento si el contrato contiene opciones para ampliar o terminar el arrendamiento.
D9E Pagos por arrendamiento, arrendatario, tasa incremental por préstamos del arrendatario, fecha de comienzo del arrendamiento, costos directos iniciales y plazo de arrendamiento son términos definidos en la NIIF 16 y se usan en esta Norma con el mismo significado.
NIIF 3 Combinaciones de Negocios
Se modifican los párrafos 14 y 17 y se añaden los párrafos 28A y 28B con sus respectivos encabezamientos y el párrafo 64M.
Condiciones de reconocimiento
....
14 Los párrafos B28 a B40 B31 a B40 proporcionan guías sobre el reconocimiento de arrendamientos operativos y activos intangibles. Los párrafos 22 a 28B especifican los tipos de activos identificables y de pasivos que incluyen partidas para las que esta NIIF proporciona excepciones limitadas del principio y condiciones de reconocimiento.
Clasificación y designación de activos identificables adquiridos y pasivos asumidos en una combinación de negocios
......
17 Esta NIIF estipula dos excepciones al principio incluido en el párrafo 15:
(a) la clasificación de un contrato de arrendamiento en el oue la adquirida es el arrendador como un arrendamiento operativo o un arrendamiento financiero de acuerdo con la NIC 17 NIIF 16 Arrendamientos; y
(b) ...
Arrendamientos en los que la adquirida es la arrendataria
28A La adquirente reconocerá el activo por derecho de uso y los pasivos por arrendamiento para los arrendamientos identificados de acuerdo con la NIIF 16 en el que la adquirente es el arrendatario. No se requiere que la adquirente reconozca los activos por derecho de uso y los pasivos por arrendamiento para:
(a) arrendamientos para los que el plazo del arrendamiento (como se define en la NIIF 16) termine dentro de 12 meses a partir de la fecha de adquisición; o
(b) arrendamientos para los que el activo subyacente es de bajo valor (como se describe en los párrafos B3 a B8 de la NIIF 16).
28B La adquirente medirá el pasivo por arrendamiento al valor presente de los pagos por arrendamiento restantes (como se define en la NIIF 16) como si el arrendamiento adquirido fuera un nuevo arrendamiento en la fecha de adquisición. La adquirente medirá el activo por derecho de uso al mismo importe que el pasivo por arrendamiento, ajustado para reflejar los términos favorables o desfavorables del arrendamiento en comparación con los términos del mercado.
Fecha de vigencia
64M La NIIF 16 emitida en enero de 2016 modificó los párrafos 14, 17, B32 y B42, eliminó los párrafos B28 a B30 y sus encabezamientos relacionados y añadió los párrafos 28A y 28B y sus encabezamientos relacionados. Una entidad aplicará esas modificaciones cuando aplique la NIIF 16.
En el Apéndice B, se elimina los párrafos B28 y B30 y sus encabezamientos correspondientes, y se modifican los párrafos B32 y B42.
Arrendamientos operativos
B28 [Eliminado! La adquirente no reconocerá activos o pasivos relacionados con un arrendamiento operativo en el que la adquirida sea la arrendataria, excepto por lo requerido en los párrafos B29 y B30.
B29 [Eliminado! La adquirente determinará si las condiciones de cada arrendamiento operativo en el que la adquirida es la arrendataria son favorables o desfavorables. La adquirente reconocerá un activo intangible si las condiciones de un arrendamiento operativo son favorables con relación a las de mercado y un pasivo si son desfavorables. El párrafo B42 proporciona guías sobre la medición del valor razonable en la focha do la adquisición de activos sujetos a arrendamientos operativos en el quo la adquirida es el arrendador.
B30 [Eliminado! Un activo intangible identificable puede asociarse con un arrendamiento operativo. Que puede ponerse do manifiesto mediante el deseo do partícipes en el morcado por pagar un precio por el arrendamiento aún en condiciones de mercado. Por ejemplo, un arrendamiento de puertas de embarque en un aeropuerto o un espacio para la venta al por menor en un área comercial importante puede proporcionar acceso a un morcado o a otros beneficios económicos futuros quo cumplen las condiciones de un activo intangible identificable, como por ejemplo una relación con los clientes. En esa situación la adquirente reconocerá el activo (o los activos) intangible(s) asociado(s) de acuerdo con el párrafo B31.
Activos intangibles
....
B32 Un activo intangible que cumple el criterio de legalidad contractual es identificable incluso si el activo no es transferible o separable de la adquirida o de otros derechos y obligaciones. Por ejemplo:
(a) [Eliminado Una adquirida arrienda una instalación de producción bajo un arrendamiento operativo que tiene condiciones que son favorables con respecto a las de mercado. Las condiciones–del–arrendamiento–prohíben–explícitamente transferirlo–(mediante–venta o subarrendamiento). El importe por el que las condiciones del arrendamiento son favorables comparadas con las de las transacciones de mercado para partidas iguales o similares es un activo intangible que cumple el criterio de legalidad contractual para el reconocimiento separado de la plusvalía, aun cuando la adquirente no pueda vender o transferir de otra forma el contrato de arrendamiento.
(b) ...
Activos sujetos a arrendamientos operativos en los que la adquirida es el arrendador
B42 Al medir el valor razonable en la fecha de la adquisición de un activo tal como un edificio o una patente que está sujeta a un arrendamiento operativo en el que la adquirida es el arrendador, la adquirente tendrá en cuenta las condiciones del arrendamiento. En otras palabras, l La adquirente no reconocerá por separado un activo o un pasivo si las condiciones de un arrendamiento operativo son favorables o desfavorables al compararlas con las condiciones del mercado tal como requiere el párrafo B29 para los arrendamientos en los que la adquirida es la arrendataria.
NIIF 4 Contratos de Seguro
Se modificó el párrafo 4 modificado por la NIIF 15 y se añade el párrafo 41I
Alcance
....
4 Una entidad no aplicará esta NIIF a:
(a) ...
(c) Los derechos contractuales y las obligaciones contractuales de tipo contingente, que dependan del uso futuro, o del derecho al uso, de una partida no financiera (por ejemplo de algunas cuotas por licencia, regalías, cuotas contingentes en arrendamientos pagos por arrendamiento variables y otras partidas similares), así como el valor residual garantizado para el arrendatario que se incluye en un contrato de arrendamiento financiero (véanse la NIC 17 la NIIF 16 Arrendamientos, la NIIF 15 Ingresos de Actividades Ordinarias procedentes de Contratos con Clientes y la NIC 38 Activos Intangibles).
(d) ...
Fecha de vigencia y transición
.....
41 La NIIF 16, emitida en enero de 2016, modificó el párrafo 4. Una entidad aplicará esa modificación cuando aplique la NIIF 16.
NIIF 7 Instrumentos Financieros: Información a Revelar
Se modifica el párrafo 29 y se añade el párrafo 44CC.
Valor razonable
...
29 No se requiere información a revelar sobre el valor razonable:
(a) ...
(b) para una inversión en instrumentos de patrimonio que no tengan precios cotizados en un mercado activo para un instrumento idéntico (es decir, datos de entrada de Nivel 1), o derivados vinculados con estos instrumentos de patrimonio, que se mide al costo de acuerdo con la NIC 39 porque su valor razonable no puede medirse de otra forma con fiabilidad;
(c) para un contrato que contenga un componente de participación discrecional (como se describe en la NIIF 4), si el valor razonable de dicho componente no puede ser determinado de forma fiable; o
(d) para pasivos por arrendamiento.
Fecha de vigencia y transición
44CC La NIIF 16, emitida en enero de 2016, modificó los párrafos 29 y B11D. Una entidad aplicará esas modificaciones cuando aplique la NIIF 16.
En el Apéndice B, se modifica el párrafo B11D.
Información a revelar de tipo cuantitativo sobre el riesgo de liquidez [párrafos 34(a) y 39(a) y (b)]
B11D Los importes contractuales a revelar en los análisis de vencimientos, tal como se requieren en el párrafo 39(a) y (b), son los flujos de efectivo contractuales sin descontar, por ejemplo:
(a) obligaciones brutas a pagar pasivos por arrendamiento brutos financieros (sin deducir las cargas financieros);
(b) ...
NIIF 9 Instrumentos Financieros
Se modifican los párrafos 2.1 y 5.5.15 y se añade el párrafo 7.1.5.
Capítulo 2 Alcance
2.1 Esta Norma se aplicará por todas las entidades a todos los tipos de instrumentos financieros, excepto a
(a) ....
(b) Derechos y obligaciones surgidos de arrendamientos a los que sea aplicable la NIC 17 NIIF 16 Arrendamientos. Sin embargo:
(i) Las cuentas por cobrar de arrendamientos financieros (es decir, inversiones netas en arrendamientos financieros) y cuentas por cobrar por arrendamientos operativos reconocidas por el arrendador están sujetas a los requerimientos de baja en cuentas y deterioro de valor de esta Norma;
(ii) las cuentas por pagar de los pasivos por arrendamiento financieros reconocidos por el arrendatario están sujetos a los requerimientos del párrafo 3.3.1 de baja en cuentas de esta Norma; y
(iii) los derivados implícitos en los arrendamientos están sujetos a los requerimientos sobre derivados implícitos de esta Norma.
(c) ...
Enfoque simplificado para cuentas por cobrar comerciales, activos de los contratos y cuentas por cobrar por arrendamientos
5.5.15 A pesar de lo establecido en los párrafos 5.5.3 y 5.5.5, una entidad medirá siempre la corrección de valor por pérdidas a un importe igual a las pérdidas crediticias esperadas durante el tiempo de vida del activo para:
(a) ...
(b) Las cuentas por cobrar por arrendamientos que proceden de transacciones que están dentro del alcance de la NIC 17NIIF 16, Si la entidad elige como su política contable medir la corrección de valor por pérdida a un importe igual a las pérdidas crediticias esperadas durante el tiempo de vida del activo. Dicha política contable se aplicará a todas las cuentas por cobrar por arrendamientos pero puede aplicarse por separado a las cuentas por cobrar por arrendamientos operativos y financieros.
.....
7.1 Fecha de vigencia
....
7.1.5 La NIIF16, emitida en enero de 2016, modificó los párrafos 2.1,5.5,1.5, B5.5.35 y B5.5.46, Una entidad aplicará esas modificaciones cuando aplique la NIIF16.
En el Apéndice B se modifican los párrafos B4.3.8, B5.5.46.
Derivados implicitos (Seccion 4.3)
......
B4.3.8 En los ejemplos que siguen, Ias características económicas y los riesgos de un derivado implícito están estrechamente relacionados con los de un contrato anfitrión. En estos ejemplos, una entidad no contabilizará el derivado implícito por separado del contrato anfitrión.
(a) ...
(f) Un derivado implícito en un contrato de arrendamiento anfitrión estará estrechamente relacionado con éste si es (i) un índice relacionado con la inflación, como por ejemplo un índice de pagos por arrendamiento que esté incluido en el índice de precios al consumidor (siempre que el arrendamiento no esté apalancado y el índice se refiera a la inflación del entorno económico propio de la entidad), (ii) un conjunto de cuotas contingentes pagos por arrendamiento variables basadas en las ventas realizadas, y (iii) un conjunto de cuotas de arrendamiento contingentes pagos por arrendamiento variables basados en tasas de interés variables.
(g) ...
Pérdidas crediticias esperadas
....
B5.5.34 Al medir una corrección valorativa por pérdidas para una cuenta por cobrar por arrendamiento, los flujos de efectivo utilizados para determinar las pérdidas crediticias esperadas deben ser congruentes con los flujos de efectivo utilizados para medir la cuenta por cobrar por arrendamientos de acuerdo con la NIC 17 NIIF 16 Arrendamientos.
.....
Valor temporal del Dinero
......
B 5.5.46 Las perdidas crediticias esperadas sobre cuentas por cobrar por arrendamiento deberán descontarse utilizando la misma tasa de descuento utilizada en la medición de la cuenta por cobrar por arrendamiento de acuerdo con la NIC 17 NIIF 16.
NIIF 13 Medición del Valor Razonable
Se modifica el párrafo 6.
Alcance
.....
6 Los requerimientos sobre medición e información a revelar de esta NIIF no se aplicarán a los elementos siguientes:
(a) ...
(b) transacciones de arrendamiento dentro del alcance de la NIC 17 contabilizadas de acuerdo con la NIIF 16 Arrendamientos; y
(c) ...
En el Apéndice C, se añade el párrafo C6.
Fecha de vigencia y transición
.....
C6 La NIIF 16 Arrendamientos emitida en enero de 2016, modificó el párrafo 6. Una entidad aplicará esa modificación cuando aplique la NIIF 16.
NIIF 15 Ingresos de Actividades Ordinarias Procedentes de Contratos con Clientes
Se modifican los párrafos 5 y 97.
Alcance
5. Una entidad aplicará esta norma a todos los contratos con clientes, excepto en los siguientes casos:
(a) contratos de arrendamiento dentro del alcance de la NIC 17 NIIF 16 Arrendamientos;
(b) .....
Costos de cumplimiento de un contrato
.....
97 Los costos están directamente relacionados con un contrato (o un contrato anticipado especifico) incluyen cualquiera de los siguientes conceptos
(a) .....
(c) distribuciones de costos que se relacionan directamente con el contrato o con actividades del contrato (por ejemplo, costos de gestión y supervisión del contrato, seguros y depreciación de herramientas, equipo y activos por derecho de uso utilizados en el cumplimiento del contrato).
(d) ....
En el Apéndice B se modifican los párrafos B66 y B70
Un contrato a término o una opción de compra
B66 Si una entidad tiene una obligación o un derecho a recomprar el activo (mediante un contrato a término o una opción de compra), un cliente no obtiene el control del activo, porque el cliente está limitado en su capacidad de redirigir el uso del activo y de obtener sustancialmente todos sus beneficios restantes, aun cuando el cliente pueda tener posesión física del activo. Por consiguiente, la entidad contabilizará el contrato de una de las siguientes formas:
(a) un arrendamiento de acuerdo con la NIC 17 NIIF 16 Arrendamientos, si la entidad puede o debe recomprar el activo por un importe que es menor que su precio de venta original, a menos que el contrato sea parte de una transacción de venta con arrendamiento posterior. Si el contrato es parte de una transacción de venta con arrendamiento posterior, la entidad continuará reconociendo el activo y también reconocerá un pasivo financiero por cualquier contraprestación recibida del cliente. La entidad contabilizará el pasivo financiero de acuerdo con la NIIF 9; o
(b) ...
Una opción de venta
B70 Si una entidad tiene una obligación de recomprar el activo a petición del cliente (una opción de venta) a un precio que sea menor que el precio de venta original del activo, ésta considerará al comienzo del contrato si el cliente tiene un incentivo económico significativo para ejercer ese derecho. El ejercicio del cliente de ese derecho dará lugar a que éste pague efectivamente la contraprestación a la entidad por el derecho a utilizar un activo especificado por un periodo de tiempo. Por ello, si el cliente tiene un incentivo económico significativo para ejercer ese derecho, la entidad contabilizará el acuerdo como un arrendamiento de acuerdo con la NIC 17 NIIF 16, a menos que el contrato sea parte de una transacción de venta con arrendamiento posterior. Si el contrato es parte de una transacción de venta con arrendamiento posterior, la entidad continuará reconociendo el activo y también reconocerá un pasivo financiero por cualquier contraprestación recibida del cliente. La entidad contabilizará el pasivo financiero de acuerdo con la NIIF 9;
....
En el Apéndice C, se añade el párrafo C1A
Fecha de vigencia
....
C1A La NIIF emitida en enero de 2016, modifico los párrafos 5, 97, B66 y B70. Una entidad aplicara estas modificaciones cuando aplique la NIIF 16.
NIC 1 Presentación de Estados Financieros
Se modifica el párrafo 123 y se añade el párrafo 139Q.
Información a revelar sobre políticas contables
....
123 En el proceso de aplicación de las políticas contables de la entidad, la gerencia realizará diversos juicios, diferentes de los relativos a las estimaciones, que pueden afectar significativamente a los importes reconocidos en los estados financieros. Por ejemplo, la gerencia realizará juicios para determinar:
(a) ...
(b) cuándo se han transferido sustancialmente a otras entidades todos los riesgos y las ventajas inherentes a la propiedad de los activos financieros y, para el arrendador, de los activos arrendados sujetos a arrendamiento que se transfieren a otras entidades; y
(c) ...
Transición y fecha de vigencia
......
139Q La NIIF 16 Arrendamientos, emitida en enero de 2016, modificó el párrafo 123. Una entidad aplicará esa modificación cuando aplique la NIIF 16.
NIC 2 Inventarios
Se modifica el párrafo 12 y se añade el párrafo 40G.
Costos de transformación
12 Los costos de transformación de los inventarios comprenderán aquellos costos directamente relacionados con las unidades producidas, tales como la mano de obra directa. También comprenderán una distribución sistemática de los costos indirectos de producción, variables o fijos, en los que se haya incurrido para transformar las materias primas en productos terminados. Son costos indirectos fijos de producción, tales como la depreciación y mantenimiento de los edificios, equipos de la fábrica y activos de derechos de uso utilizados en el proceso de producción, así como el costo de gestión y administración de la planta. Son costos indirectos variables de producción los que varios directamente, o casi directamente con el volumen de producción obtenida, tales como los materiales y la mano de obra directa.
.....
Fecha de vigencia
.....
40G La NIIF 16 Arrendamientos emitida en enero de 2016, modifico el párrafo 12. Una entidad aplicará esa modificación cuando aplique la NIIF 16.
NIC 7 Estado de Flujos de Efectivo
Se modifican los párrafos 17 y 44 y se añade el párrafo 59.
Actividades de financiación
17 Es importante la presentación separada de los flujos de efectivo procedentes de actividades de financiación, puesto que resulta útil al realizar la predicción de necesidades de efectivo para cubrir compromisos con los suministradores de capital a la entidad. Ejemplos de flujos de efectivo por actividades de financiación son los siguientes:
(a) ...
(e) pagos realizados por el arrendatario para reducir la deuda pendiente procedente de un arrendamiento financiero.
Transacciones no monetarias
.....
44 Muchas actividades de inversión o financiación no tienen un impacto directo en los flujos de efectivo del periodo, a pesar de que afectan a la estructura de los activos y del capital utilizado por la entidad. La exclusión de esas transacciones no monetarias del estado de flujos de efectivo resulta coherente con el objetivo de un estado de flujos de efectivo, puesto que tales partidas no producen flujos de efectivo en el periodo corriente. Ejemplos de transacciones no monetarias de este tipo son:
(a) la adquisición de activos, ya sea asumiendo directamente los pasivos por su financiación, o entrando en operaciones de arrendamiento financiero;
(b) ...
Fecha de vigencia
....
59. La NIIF 16, emitida en enero de 2016, modifico los párrafos 17 y 44. Una entidad aplicará esas modificaciones cuando aplique la NIIF 16.
NIC 12 Impuestos a la Ganancias
Se modifica el párrafo 20 para una entidad que no haya adoptado la NIIF 9 Instrumentos Financieros.
Activos contabilizados por su valor razonable
20. Las NIIF permiten o requieren que ciertos activos se contabilicen a su valor razonable, o bien que sean revaluados (véanse, por ejemplo, la NIC 16 Propiedades, Planta y Equipo, la NIC 38 Activos Intangibles, la NIC 39 Instrumentos Financieros: Reconocimiento y Medición, la NIC 40 Propiedades de Inversión y la NIIF 16 Arrendamientos). En algunas jurisdicciones, la evaluación o cualquier otra reexpresión del valor de activo a valor razonable afecta a la ganancia (perdida) fiscal del periodo corriente. Como resultado de los anterior, se ajusta la base fiscal del activo, y no surge ninguna diferencia temporaria. En otras jurisdicciones, sin embargo, la revaluación o reexpresión de un activo no afecta a la ganancia fiscal del periodo en que una u otra se llevan a efecto, y por tanto no se ajusta la base fiscal. No obstante, la recuperación futura del importe en libros producirá un flujo fiscal de beneficios económicos para la entidad, y los importes que serán deducibles para efectos fiscales serán diferentes de las cuantías de esos beneficios económicos. La diferencia entre el importe en libros de un activo revaluado y su base fiscal, es una diferencia temporaria, y da lugar a un activo o pasivo por impuestos diferidos. Esto se cumple incluso cuando:
(a) ....
Se modifica el párrafo 20 para una entidad que haya adoptado la NIIF 9 Instrumentos Financieros
Activos contabilizados por su valor razonable
20 Las NIIF permiten o requieren que ciertos activos se contabilicen a su valor razonable, o bien que sean revaluados (véanse, por ejemplo, la NIC 16 Propiedades, Planta y Equipo, la NIC 38 Activos Intangibles, la NIC 39 Instrumentos Financieros: Reconocimiento y Medición, y la NIC 40 Propiedades de Inversión y la NIIF 16 Arrendamientos). En algunas jurisdicciones, la revaluación o cualquier otra reexpresión del valor del activo a valor razonable afecta a la ganancia (pérdida) fiscal del periodo corriente. Como resultado de lo anterior, se ajusta la base fiscal del activo, y no surge ninguna diferencia temporaria. En otras jurisdicciones, sin embargo, la revaluación o reexpresión de un activo no afecta a la ganancia fiscal del periodo en que una u otra se llevan a efecto, y por tanto no se ajusta la base fiscal. No obstante, la recuperación futura del importe en libros producirá un flujo fiscal de beneficios económicos para la entidad, y los importes que serán deducibles para efectos fiscales serán diferentes de las cuantías de esos beneficios económicos. La diferencia entre el importe en libros de un activo revaluado y su base fiscal, es una diferencia temporaria, y da lugar a un activo o pasivo por impuestos diferidos. Esto se cumple incluso cuando:
(a) ...
Se añade el párrafo 98G
Fecha de vigencia
98G La NIIF 16, emitida en enero de 2016, modificó el párrafo 20. Una entidad aplicará esa modificación cuando aplique la NIIF 16.
NIC 16 Propiedades, Planta y Equipo
Se eliminan los párrafos 4 y 27, se modifican los párrafos 5, 10, 44 y 68, se modifican el párrafo 69 como lo hizo la NIIF 15 y se añade el párrafo 81L
Alcance
.....
4 [Eliminado Otras Normas pueden obligar a reconocer un determinado elemento de propiedades, planta y equipo de acuerdo con un tratamiento diferente al exigido en esta Norma. Por ejemplo, la NIC 17 Arrendamientos exijo quo la entidad evalúe si tiene quo reconocer un elemento de propiedades, planta y equipo sobre la base de la transmisión de los riesgos y ventajas. Sin embargo, en tales casos, el resto de aspectos sobre el tratamiento contable de los citados activos, incluyendo su depreciación, se guiarán por los requerimientos de la presente Norma.
5 Una entidad que utilice el modelo del costo para las propiedades de inversión de acuerdo con la NIC 40 Propiedades de Inversión, utilizará el modelo del costo al aplicar esta Norma para propiedades de inversión poseídas.
Reconocimiento.
....
10 La entidad evaluará, de acuerdo con este principio de reconocimiento, todos los costos de propiedades, planta y equipo en el momento en que se incurre en ellos. Estos costos comprenden tanto aquéllos en que se ha incurrido inicialmente para adquirir o construir una partida de propiedades, planta y equipo, como los costos incurridos posteriormente para añadir, sustituir parte de o mantener el elemento correspondiente. El costo de un elemento de propiedades, planta y equipo puede incluir los costos incurridos relacionados con activos que se usan para construir, añadir, sustituir parte o mantener un elemento de propiedades, planta y equipo, tal como la depreciación de activos por derecho de uso.
Medición del costo.
....
27 [Eliminado] El costo de un elemento de propiedades, planta y equipo que haya sido adquirido por el arrendatario en una operación de arrendamiento financiero, se determinará utilizando los principios establecidos en la NIC 17.
...
Depreciación.
...
44 Una entidad distribuirá el importe inicialmente reconocido con respecto a una partida de propiedades, planta y equipo entre sus partes significativas y depreciará de forma separada cada una de estas partes. Por ejemplo, podría ser adecuado depreciar por separado la estructura y los motores de un avión, tanto si se tiene en propiedad como si se tiene en arrendamiento financiero. De forma análoga, si una entidad adquiere propiedades, planta y equipo con arreglo a un arrendamiento operativo en el que es el arrendador, puede ser adecuado depreciar por separado los importes reflejados en el costo de esa partida que sean atribuibles a las condiciones favorables o desfavorables del arrendamiento con respecto a las condiciones de mercado.
....
Baja en cuentas
68 La pérdida o ganancia surgida al dar de baja un elemento de propiedades, planta y equipo se incluirá en el resultado del periodo cuando la partida sea dada de baja en cuentas (a menos que la NIC 17 NIIF 16 Arrendamientos establezca otra cosa, en caso de una venta con arrendamiento financiero posterior). Las ganancias no se clasificarán como ingresos de actividades ordinarias.
69 La disposición de un elemento de propiedades, planta y equipo puede llevarse a cabo de diversas maneras (por ejemplo mediante la venta, realizando sobre la misma un contrato de arrendamiento financiero o por donación). La fecha de disposición de una partida de propiedades, planta y equipo es la fecha en que el receptor obtiene el control de esa partida de acuerdo con los requerimientos para determinar cuándo se satisface en la NIIF 15 una obligación de rendimiento. La NIC 17 NIIF 16 se aplicará a las disposiciones por una venta con arrendamiento posterior.
Fecha de vigencia
....
81L La NIIF 16, emitida en enero de 2016, eliminó los párrafos 4 y 27, y modificó los párrafos 5, 10, 44, 68 y 69. Una entidad aplicará esas modificaciones cuando aplique la NIIF 16.
NIC 21 Efectos de las Variaciones en las Tasas de Cambio de la Moneda Extranjera
Se modifica el párrafo 16 y se añade el párrafo 60K
Partidas monetarias
16 La característica esencial de una partida monetaria es el derecho a recibir (o la obligación de entregar) una cantidad fija o determinable de unidades monetarias. Entre los ejemplos se incluyen: pensiones y otros beneficios a empleados que se pagan en efectivo; suministros que se liquidan en efectivo pasivos por arrendamiento; y dividendos en efectivo que se hayan reconocido como pasivos. Asimismo, serán partidas monetarias los contratos para recibir (o entregar) un número variable de instrumentos de patrimonio propios de la entidad o una cantidad variable de activos, en los cuales el valor razonable a recibir (o entregar) por ese contrato sea igual a una suma fija o determinable de unidades monetarias. Por el contrario, la característica esencial de una partida no monetaria es la ausencia de un derecho a recibir (o una obligación de entregar) una cantidad fija o determinable de unidades monetarias. Entre los ejemplos se incluyen: importes pagados por anticipado de bienes y servicios (por ejemplo, cuotas anticipadas en un alquiler); plusvalía; activos intangibles; inventarios; propiedades, planta y equipo; activos por derecho de uso; así como los suministros que se liquidan mediante la entrega de un activo no monetario.
Fecha de vigencia y transición
....
60K La NIIF 16 Arrendamientos emitida en enero de 2016, modificó el párrafo 16. Una entidad aplicará esa modificación cuando aplique la NIIF 16.
NIC 23 Costos por Préstamos
Se modifica el párrafo 6 y se añade el párrafo 29C.
Definiciones
.......
6 Los costos por préstamos pueden incluir:
(a) ...
(d) cargas financieras intereses con respecto a pasivos por arrendamientos financieros reconocidos de acuerdo con la NIC 17 NIIF 16 Arrendamientos; y
(e) ...
Fecha de vigencia
.....
29C La NIIF 16, emitida en enero de 2016, modificó el párrafo 6. Una entidad aplicará esa modificación cuando aplique la NIIF 16.
NIC 32 Instrumentos Financieros: Presentación
Se añade el párrafo 97S.
Fecha de vigencia y transición
....
97S La NIIF 16 Arrendamientos, emitida en enero de 2016, modificó los párrafos GA9 y GA10. Una entidad aplicará esas modificaciones cuando aplique la NIIF 16.
NIC 37 Provisiones, Pasivos Contingentes y Activos Contingentes
Se modifica el párrafo 5 y se añade el párrafo 102.
Alcance
....
5 Cuando otra Norma se ocupe de un tipo específico de provisión, pasivo contingente o activo contingente, una entidad aplicará esa Norma en lugar de la presente. Por ejemplo, ciertos tipos de provisiones se abordan en las Normas sobre:
(a) ...
(c) arrendamientos (véase NIC 17 NIIF 16 Arrendamientos). Sin embargo, como NIC 17 no contiene ninguna especificación sobre cómo tratar los arrendamientos operativos que resulten onerosos para la entidad, por lo que habrá que aplicar la presente Norma para tratarlos esta Norma aplica a cualquier arrendamiento que pasa a ser oneroso antes del a fecha de comienzo del arrendamiento como se define en la NIIF 16. Esta Norma también se aplica a los arrendamientos a corto plazo y en los que el activo subyacente es de bajo valor contabilizados de acuerdo con el párrafo 6 de la NIIF 16 y que han pasado a ser onerosos;
(d) ...
Fecha de vigencia
.....
102 La NIIF 16 emitida en enero de 2016, modifico en párrafo 5. Una entidad aplicara esa modificación cuando aplique a NIIF 16
NIC 38 Activos Intangibles
Se modifican los párrafos 3, 6 y 113, se modifican en párrafo 114 como lo hizo la NIIF 15 y se añade el párrafo 130L.
Alcance
....
3 En el caso de que otra Norma se ocupe de la contabilización de una clase específica de activo intangible, la entidad aplicará esa Norma en lugar de la presente. Por ejemplo, esta Norma no es aplicable a:
(a) ...
(c) arrendamientos que están dentro del alcance de la NIC 17 de activos intangibles contabilizados de acuerdo con la NIIF 16 A arrendamientos.
(d) ...
6 En ol caso do un arrondamionto financiero, ol activo subyacente puodo sor tangible o intangible. Dospués del reconocimiento inicial, el arrendatario contabilizará un activo intangible, mantenido bajo la forma de un arrendamiento financiero, conformo a lo establecido en esta Norma. Los derechos mantenidos por un arrendatario de concesión o licencia, para productos tales como películas, grabaciones en vídeo, obras de teatro, manuscritos, patentes y derechos de autor, están excluidos del alcance do la NIC 17, poro están dentro del alcance de la presente Norma y excluidos del alcance de la NIIF 16.
....
Retiros y disposiciones de activos intangibles
113 La pérdida o ganancia surgida al dar de baja un activo intangible se determinará como la diferencia entre el importe neto obtenido por su disposición, y el importe en libros del activo. Se reconocerá en el resultado del periodo cuando la partida sea dada de baja en cuentas (a menos que la NIC 17 NIIF 16 establezca otra cosa, en caso de una venta con arrendamiento posterior). Las ganancias no se clasificarán como ingresos de actividades ordinarias.
114 La disposición de un activo intangible puede llevarse a cabo de diversas maneras (por ejemplo mediante una venta, realizando sobre ella un contrato de arrendamiento financiero, o por donación). La fecha de disposición de un activo intangibles es la fecha en que el receptor obtiene el control de ese activo de acuerdo con los requerimientos para determinar cuándo se satisface una obligación de desempeño de la NIIF 15 Ingresos de Actividades Ordinarias Procedentes de Contratos con Clientes. La NIC 17 NIIF 16 se aplicará a las disposiciones por una venta con arrendamiento posterior.
Disposiciones transitorias y fecha de vigencia
.....
130L La NIIF 16, emitida en enero de 2016, modificó los párrafos 3, 6, 113 y 114. Una entidad aplicará esas modificaciones cuando aplique la NIIF 16.
NIC 39 Instrumentos Financieros: Reconocimiento y Medición
Se modifica el párrafo 2 y se añade el párrafo 103V para una entidad que no haya adoptado la NIIF 9 Instrumentos Financieros, La NIC 39 no se modifica para una entidad que haya adoptado la NIIF 9.
Alcance
2 Esta Norma se aplicará por todas las entidades a todos los tipos de instrumentos financieros, excepto a:
(a) ...
(b) Derechos y obligaciones surgidos de arrendamientos a los que sea aplicable la NIC 17 NIIF 16 Arrendamientos. Sin embargo:
(i) las cuentas por cobrar de arrendamientos financieros (es decir, inversiones netas en arrendamientos financieros) y cuentas por cobrar de arrendamientos operativos reconocidas por un arrendador están sujetas a las disposiciones de baja en cuentas y de deterioro de valor de esta Norma (véanse los párrafos 15 a 37, 58, 59, 63 a 65 y los párrafos GA36 a GA52 y GA84 a GA93 del Apéndice A);
(ii) las cuentas por pagar de los pasivos por arrendamiento financieros reconocidos por un arrendatario están sujetos a las disposiciones de baja en cuentas del párrafo 39 de esta Norma (véanse los párrafos 39 a 42 y los párrafos GA57 a GA63 del Apéndice A); y
(iii) ...
Fecha de vigencia y transición
....
103V La NIIF 16, emitida en enero de 2016, modificó los párrafos 2 y GA33. Una entidad aplicará esas modificaciones cuando aplique la NIIF 16.
NIC 40 Propiedades de Inversión
Dada la amplitud de los cambios en la NIC 40 Propiedades de Inversión, el texto completo de esta Norma con los cambios propuestos se reproduce al final del Apéndice D.
NIC 41 Agricultura
Se modifica el párrafo 2 y se añade el párrafo 64
Alcance
.....
2 Esta Norma no es aplicable a:
(a) ...
(e) Activos de derechos de uso que surgen de un arrendamiento de terrenos relacionados con actividades de agricultura (véase la NIIF 16 Arrendamientos).
Fecha de vigencia y transición
.....
64 La NIIF 16, emitida en enero de 2016, modificó el párrafo 2. Una entidad aplicará esa modificación cuando aplique la NIIF 16.
CINIIF 1 Cambios en Pasivos Existentes por Retiro de Servicio, Restauración y Similares
Se modifica el párrafo de referencias.
Referencias.
- NIIF 16 Arrendamientos.
- NIC 1 Presentación de Estados Financieros (revisada en 2007).
- ....
Se modifica el párrafo 2 y se añade el párrafo 9B.
Alcance
2 Esta Interpretación se aplica a los cambios en la medición de cualquier pasivo existente por retiro del servicio, restauración o similares que se haya reconocido:
(a) reconocido como parte del costo de un elemento de propiedades, planta y equipo de acuerdo con la NIC 16 o como parte del costo de un activo por derecho de uso de acuerdo con la NIIF 16; y
(b)...
Fecha de vigencia.
...
9B La NIIF 16, emitida en enero de 2016, modificó el párrafo 2. Una entidad aplicará esa modificación cuando aplique la NIIF 16.
CINIIF 12 Acuerdos de Concesión de Servicios
Se modifican el párrafo de referencias.
Referencias.
- ......
- NIIF 15 Ingresos de Actividades Ordinarias Procedentes de Contratos con Clientes.
- NIIF 16 Arrendamientos.
- ...
- NIC 17 Arrendamientos.
- ....
- CINIIF 4 Determinación de si un Acuerdo contiene un Arrendamiento
- ...
Se añade el párrafo 28F.
Fecha de vigencia.
....
28F La NIIF 16 emitida en enero de 2016, modificó el párrafo GA8 y el Apéndice B. Una entidad aplicará esas modificaciones cuando aplique la NIIF 16.
En el Apéndice A, se modifica el párrafo GA8.
Apéndice A
Alcance (párrafo 5).
....
AG8 El operador puede tener un derecho a utilizar la infraestructura separable descrita en el párrafo GA7(a) o las instalaciones utilizadas para proporcionar los servicios complementarios no regulados descritos en el párrafo GA7(b). En otros casos, puede existir, en sustancia, un arrendamiento de la concedente al operador; en cuyo caso deberá contabilizarse de acuerdo con la NIC 17 NIIF 16.
SIC-29 Acuerdos de Concesión de Servicios: Información a Revelar
Se modifican el párrafo de referencias.
Referencias.
- NIIF 16 Arrendamientos.
- ...
- NIC 17 Arrendamientos (revisada en 2003)
- ....
Se modifica el párrafo 5
Problema
....
5 Ciertos detalles y revelaciones asociados con algunos acuerdos de concesión de servicios han sido ya abordados por Normas Internacionales de Información Financiera existentes (por ejemplo, la NIC 16 se aplica a las adquisiciones de partidas de propiedades, planta y equipo, la NIC 17 NIIF 16 se aplica a los arrendamientos de activos y la NIC 38 se aplica a las adquisiciones de activos intangibles). Sin embargo, un acuerdo de concesión de servicios puede implicar la existencia de contratos pendientes de ejecución, que no han sido abordados por las Normas Internacionales de Información Financiera, a menos que los contratos sean onerosos, en cuyo caso es de aplicación la NIC 37. Por lo tanto, esta Interpretación aborda información a revelar adicional sobre los acuerdos de concesión de servicios.
Se modifica la fecha de vigencia
Fecha de vigencia
.....
Una entidad aplicara la modificación en los párrafos 6(e) y 6A para los periodos anuales que comiencen a partir del 1 de enero ratio de 2008. Si una entidad aplica la CINIIF 12 a un periodo anterior, esta modificación debe aplicarse para dicho periodo anterior.
La NIIF 16, emitida en enero de 2016, modificó el párrafo 5. Una entidad aplicará esa modificación cuando aplique la NIIF 16.
SIC-32 Activos Intangibles–Costos de Sitios Web
Se modifican el párrafo de referencias.
Referencias..
- ....
- NIIF 15 Ingresos de Actividades Ordinarias Procedentes de Contratos con Clientes
- NIIF 16 Arrendamientos.
- ...
- NIC 17 Arrendamientos (revisada en 2003)
- ....
Se modifica el párrafo 6 como lo modifico la NIIF 15
Problema
6 La NIC 38 no es de aplicación a los activos intangibles mantenidos por una entidad para su venta en el curso habitual del negocio (véase la NIC 2, y la NIIF 15), ni a los arrendamientos que caen dentro del alcance de la NIC 17de activos intangibles contabilizados de acuerdo con la NIIF 16. Por consiguiente, esta Interpretación no se aplica a los desembolsos para desarrollar u operar un sitio web (o los programas de cómputo de un sitio web) destinado a ser vendido a otra entidad o que se contabilice de acuerdo con la NIIF 16. Cuando un sitio web es arrendado a través de un arrendamiento operativo, el arrendador aplicará esta Interpretación. Cuando un sitio web es arrendado a través de un arrendamiento financiero, el arrendatario aplicará esta Interpretación después del reconocimiento inicial del activo arrendado.
Se modifica la fecha de vigencia.
Fecha de vigencia
....
La NIIF 15 Ingresos de Actividades Ordinarias Procedentes de Contratos con Clientes, emitida en mayo de 2014, modificó la sección de "Referencias" y el párrafo 6. Una entidad aplicará esa modificación cuando aplique la NIIF 15.
La NIIF 16, emitida en enero de 2016, modificó el párrafo 6. Una entidad aplicará esa modificación cuando aplique la NIIF 16.
NIC 40 Propiedades de Inversión
Dada la magnitud de cambios en la NIC 40 Propiedades de Inversión, se ha reproducido el texto de esta Norma, tal como se modificó por la NIIF 15, con los cambios propuestos. El texto nuevo ha sido subrayado y el texto eliminado ha sido tachado.
Norma Internacional de Contabilidad 40
Propiedades de Inversión
Objetivo
1 El objetivo de esta Norma es prescribir el tratamiento contable de las propiedades de inversión y las exigencias de revelación de información correspondientes.
Alcance
2 Esta Norma será aplicable en el reconocimiento, medición y revelación de información de las propiedades de inversión.
3 [Eliminado] Entre otras cosas, esta Norma será aplicable para la medición, en los estados financieros de un arrendatario, de los derechos sobre una propiedad de inversión mantenida en arrendamiento y que se contabilice como un arrendamiento financiero y también se aplicará para la medición en los estados financieros de un arrendador, de las propiedades de inversión arrendadas en régimen de arrendamiento operativo. Esta Norma no trata los problemas cubiertos en la NIC 17 Arrendamientos, entre los que se incluyen los siguientes:
(a) la clasificación de los arrendamientos como arrendamientos financieros u operativos;
(b) el reconocimiento de las rentas por arrendamiento de propiedades de inversión (ver también la NIIF 15 Ingresos de Actividades Ordinarias procedentes de Contratos con Clientes);
(c) la medición, en los estados financieros del arrendatario, de los derechos sobre propiedades mantenidas en arrendamiento operativo;
(d) la medición,–en los–estados financieros del–arrendador,–de su inversión neta en un arrendamiento financiero;
(e) la contabilización de las transacciones de venta con arrendamiento posterior; y
(f) la información a revelar sobre arrendamientos financieros y operativos.
4 Esta Norma no es aplicable a:
(a) los activos biológicos relacionados con la actividad agrícola (véase la NIC 41 Agricultura y la NIC 16 Propiedades, Planta y Equipo); y
(b) los derechos mineros y reservas minerales tales como petróleo, gas natural y recursos no renovables similares.
Definiciones
5 Los siguientes términos se usan en esta Norma con los significados que a continuación se especifican:
Costo es el importe de efectivo o equivalentes al efectivo pagados, o el valor razonable de la contraprestación entregada para adquirir un activo en el momento de su adquisición o construcción, o, cuando sea aplicable, el importe atribuido a ese activo cuando sea inicialmente reconocido de acuerdo con los requerimientos específicos de otras NIIF, como por ejemplo la NIIF 2 Pagos Basados en Acciones.
Importe en libros es el importe por el que un activo se reconoce en el estado de situación financiera.
Propiedad de inversión (terreno o un edificio –o parte de un edificio– o ambos) mantenido (por el dueño o por el arrendatario como un activo por derecho de uso que haya acordado un arrendamiento financiero) para obtener rentas o apreciación del capital o con ambos fines y no para:
(a) su uso en la producción o suministro de bienes o servicios, o bien para fines administrativos; o
(b) su venta en el curso ordinario de las operaciones.
Propiedades ocupadas por el dueño son las propiedades que se tienen (por parte del dueño o por parte del arrendatario como un activo por derecho de uso que haya acordado un arrendamiento financiero) para su uso en la producción o suministro de bienes o servicios, o bien para fines administrativos.
Valor razonable es el precio que se recibiría por vender un activo o que se pagaría por transferir un pasivo en una transacción ordenada entre participantes de mercado en la fecha de la medición. (Véase la NIIF 13 Medición del Valor Razonable.)
Clasificación de propiedades como propiedades de inversión o como propiedades ocupadas por el propietario
6 Eliminado El derecho sobre una propiedad que el arrendatario mantenga en régimen de arrendamiento operativo, se podrá clasificar y contabilizar como una propiedad de inversión si, y solo si, el elemento cumpliese, en su caso, la definición de propiedades de inversión, y el arrendatario emplease el modelo del valor razonable, establecido en los párrafos 33 a 55, para el activo reconocido. Esta clasificación alternativa estará disponible para cada una de las propiedades por separado. Sin embargo, una vez que esta clasificación alternativa haya sido elegida para un derecho sobre una propiedad mantenida en régimen de arrendamiento operativo, todos los elementos clasificados como propiedades de inversión se contabilizarán utilizando el modelo del valor razonable. Cuando se elija esta clasificación alternativa, cualquier derecho sobre la propiedad así clasificada se incluirá en la información a revelar requerida en los párrafos 74 a 78.
7 Las propiedades de inversión se tienen para obtener rentas, para apreciación del capital o para ambas cosas. Por lo tanto, una propiedad de inversión genera flujos de efectivo que son en gran medida independientes de otros activos poseídos por la entidad. Esto distingue a las propiedades de inversión de las ocupadas por el dueño. La producción de bienes o la prestación de servicios (o el uso de propiedades para fines administrativos) generan flujos de efectivo que no son atribuibles solamente a las propiedades, sino a otros activos utilizados en la producción o en el proceso de prestación de servicios. La NIC 16 se aplica a propiedades ocupadas por el propietario poseídas por éste y la NIIF 16 se aplica a las propiedades ocupadas por el propietario mantenidas por el arrendatario como un activo por derecho de uso.
8 Los siguientes casos son ejemplos de propiedades de inversión:
(a) Un terreno que se tiene para obtener apreciación del capital a largo plazo y no para venderse en el corto plazo, dentro del curso ordinario de las actividades del negocio.
(b) Un terreno que se tiene para un uso futuro no determinado (en el caso de que la entidad no haya determinado si el terreno se utilizará como propiedad ocupada por el dueño o para venderse a corto plazo, dentro del curso ordinario de las actividades del negocio, se considera que ese terreno se mantiene para obtener apreciación del capital).
(c) Un edificio que sea propiedad de la entidad (o un activo por derecho de uso relativo a un edificio mantenido por la entidad bajo un arrendamiento financiero) y esté alquilado a través de uno o más arrendamientos operativos.
(d) Un edificio que esté desocupado y se tiene para ser arrendado a través de uno o más arrendamientos operativos.
(e) Inmuebles que están siendo construidos o mejorados para su uso futuro como propiedades de inversión.
9 Los siguientes son ejemplos de partidas que no son propiedades de inversión y que, por lo tanto, no se incluyen en el alcance de esta Norma:
(a) Inmuebles con el propósito de venderlos en el curso normal de las actividades del negocio o bien que se encuentran en proceso de construcción o desarrollo con vistas a dicha venta (véase la NIC 2 Inventarios), por ejemplo, propiedades adquiridas exclusivamente para su disposición en un futuro cercano o para desarrollarlas y revenderlas.
(b) [eliminado]
(c) Propiedades ocupadas por el dueño (véase la NIC 16 y la NIIF 16), incluyendo, entre otros, las propiedades que se tienen para su uso futuro como propiedades ocupadas por el dueño, propiedades que se tienen para realizar en ellas edificios o desarrollos futuros y utilizarlos posteriormente como ocupados por el dueño, propiedades ocupadas por empleados (paguen o no rentas según su valor de mercado) y propiedades ocupadas por el dueño en espera de desprenderse de ellas.
(d) [eliminado]
(e) Las propiedades arrendadas a otra entidad en régimen de arrendamiento financiero.
10 Ciertas propiedades se componen de una parte que se tiene para ganar rentas o apreciación del capital, y otra parte que se utiliza en la producción o suministro de bienes o servicios o bien para fines administrativos. Si estas partes pueden ser vendidas separadamente (o colocadas por separado en régimen de arrendamiento financiero), la entidad las contabilizará también por separado. Si no fuera así, la propiedad únicamente se calificará como propiedad de inversión cuando se utilice una porción insignificante de ella para la producción o suministro de bienes o servicios o para fines administrativos.
11 En ciertos casos, la entidad suministra servicios complementarios a los ocupantes de una propiedad. Esta entidad tratará dicho elemento como propiedades de inversión si los servicios son un componente insignificante del contrato. Un ejemplo podría ser la vigilancia y los servicios de mantenimiento que proporciona el dueño de un edificio a los arrendatarios que lo ocupan.
12 En otros casos, los servicios proporcionados son un componente más significativo. Por ejemplo, si la entidad tiene y gestiona un hotel, los servicios proporcionados a los huéspedes son un componente significativo del contrato en su conjunto. Por lo tanto, un hotel gestionado por el dueño es una propiedad ocupada por éste y no propiedades de inversión.
13 Puede ser difícil determinar si los servicios complementarios son lo suficientemente significativos para hacer que la propiedad no se califique como propiedades de inversión. Por ejemplo, el dueño de un hotel transfiere algunas veces ciertas responsabilidades a terceras partes en virtud de un contrato de administración. Los términos de dicho contrato pueden variar ampliamente. En un extremo del espectro de posibilidades, la posición del dueño podría ser, en el fondo, la de un inversionista pasivo. En el otro extremo del espectro, el dueño podría simplemente haber subcontratado a terceros ciertas funciones de gestión diaria, pero conservando una exposición significativa a las variaciones en los flujos de efectivo generados por las operaciones del hotel.
14 Se requiere un juicio para determinar si una propiedad cumple los requisitos como propiedades de inversión. La entidad desarrollará criterios para poder ejercer tal juicio de forma congruente, de acuerdo con la definición de propiedades de inversión y con las guías correspondientes que figuran en los párrafos 7 a 13. El párrafo 75(c) requiere que la entidad revele dichos criterios cuando la clasificación resulte difícil.
14A También se necesita el juicio profesional para determinar si la adquisición de las propiedades de inversión es la adquisición de un activo o un grupo de activos o una combinación de negocios dentro del alcance de la NIIF 3 Combinaciones de Negocios. Para determinar si es una combinación de negocios debe hacerse referencia a la NIIF 3. La discusión de los párrafos 7 a 14 de esta Norma está relacionada con si la propiedad es, o no, una propiedad ocupada por el propietario o una propiedad de inversión y no con la determinación de si la adquisición de la propiedad es, o no, una combinación de negocios como se define en la NIIF 3. La determinación de si una transacción específica cumple la definición de una combinación de negocios como se define en la NIIF 3 e incluye una propiedad de inversión como se define en esta Norma requiere la aplicación separada de ambas Normas.
15 En algunos casos, una entidad tiene una propiedad que arrienda a la controladora o a otra subsidiaria del mismo grupo y es ocupada por éstas. Esta propiedad no se calificará como de inversión, en los estados financieros consolidados que incluyen a ambas entidades, dado que se trata de una propiedad ocupada por el dueño, desde la perspectiva del grupo. Sin embargo, desde la perspectiva de la entidad que la tiene, la propiedad es de inversión si cumple con la definición del párrafo 5. Por lo tanto, el arrendador tratará la propiedad como de inversión en sus estados financieros individuales.
Reconocimiento
16 Las- Una propiedades de inversión poseída se reconocerán como activos cuando, y sólo cuando:
(a) sea probable que los beneficios económicos futuros que estén asociados con tales propiedades de inversión fluyan hacia la entidad; y
(b) el costo de las propiedades de inversión pueda ser medido de forma fiable.
17 Según este criterio de reconocimiento, la entidad evaluará todos los costos de sus propiedades de inversión, en el momento en que incurra en ellos. Estos costos comprenderán aquéllos en que se ha incurrido inicialmente para adquirir una propiedad de inversión y los costos incurridos posteriormente para añadir, reemplazar una parte, o darle mantenimiento.
18 De acuerdo con el criterio de reconocimiento contenido en el párrafo 16, la entidad no reconocerá, en el importe en libros de una propiedad de inversión, los costos derivados del mantenimiento diario del elemento. Tales costos se reconocerán en el resultado cuando se incurra en ellos. Los costos del mantenimiento diario son principalmente los costos de mano de obra y los consumibles, que pueden incluir el costo de pequeños componentes. El objetivo de estos desembolsos se describe a menudo como “reparaciones y conservación” de la propiedad.
19 Algunos componentes de las propiedades de inversión podrían haber sido adquiridos en sustitución de otros anteriores. Por ejemplo, las paredes interiores pueden sustituirse por otras distintas de las originales. Según el criterio de reconocimiento, la entidad reconocerá en el importe en libros de una propiedad de inversión el costo de sustituir un componente de ella, siempre que satisfaga los criterios de reconocimiento, desde el mismo momento en que se incurra en dicho costo. El importe en libros de estos componentes sustituidos se dará de baja de acuerdo con los criterios de baja en cuentas contemplados en esta Norma.
19A Una propiedad de inversión mantenida por un arrendatario como un activo por derecho de uso se reconocerá de acuerdo con la NIIF 16.
Medición en el momento del reconocimiento
20 Las propiedades de inversión poseídas se medirán inicialmente al costo. Los costos asociados a la transacción se incluirán en la medición inicial.
21 El costo de adquisición de una propiedad de inversión comprenderá su precio de compra y cualquier desembolso directamente atribuible. Los desembolsos directamente atribuibles incluyen, por ejemplo, honorarios profesionales por servicios legales, impuestos por traspaso de las propiedades y otros costos asociados a la transacción.
22 [Eliminado]
23 El costo de una propiedad de inversión no se incrementará por:
(a) los costos de puesta en marcha (a menos que sean necesarios para poner la propiedad en la condición necesaria para que pueda operar de la manera prevista por la administración),
(b) las pérdidas de operación incurridas antes de que la propiedad de inversión logre el nivel planeado de ocupación, o
(c) las cantidades anormales de desperdicios, mano de obra u otros recursos incurridos en la construcción o en el desarrollo de la propiedad.
24 Si el pago por una propiedad de inversión se aplazase, su costo será el equivalente al precio de contado. La diferencia entre esta cuantía y el total de pagos se reconocerá como un gasto por intereses durante el periodo de aplazamiento.
25 [Eliminado] El costo inicial–del derecho sobre una propiedad mantenida en régimen de arrendamiento financiero y clasificada como propiedad do inversión, será el establecido para los arrendamientos financieros en el párrafo 20 do la NIC 17; esto es, el activo so reconocerá por el menor importe entre el valor razonable de la propiedad y el valor presente de los pagos mínimos por arrendamiento. De acuerdo con ese mismo párrafo, se reconocerá como pasivo, un importe equivalente.
26 [Eliminad olCualau iorimporto adicional auo oo haya pagado por arrondamionto oo tratará, para loo propóoitoo do modición, como parto do loo pagoo mínimo o por arrondamionto, y por tanto quedará incluido en el costo del activo, pero se excluirá del pasivo correspondiente. Si una participación en una propiedad mantenida bajo arrendamiento se clasifica como propiedades–de inversión, la partida contabilizada por su valor razonable será esa participación y no la propiedad subyacente....En los párrafos 33 a 35, 40, 41, 48, 50 y 52 y en la NIIF 13 se establecen guías para medir el valor razonable del derecho cobro una propiedad do acuerdo con el modelo del valor razonable. Estos directrices serán también lao relevantes para medir el valor razonable, en caso do que dicho valor como costo a efectos del reconocimiento inicial.
27 Algunas propiedades de inversión pueden haber sido adquiridas a cambio de uno o varios activos no monetarios, o de una combinación de activos monetarios y no monetarios. La siguiente discusión se refiere a la permuta de un activo no monetario por otro, pero también es aplicable a todas las permutas descritas en la frase anterior. El costo de dicha propiedad de inversión se medirá por su valor razonable, a menos que (a) la transacción de intercambio no tenga carácter comercial, o (b) no pueda medirse con fiabilidad el valor razonable del activo recibido ni el del activo entregado. El activo adquirido se medirá de esta forma incluso cuando la entidad no pueda dar de baja inmediatamente el activo entregado. Si el activo adquirido no se mide por su valor razonable, su costo se medirá por el importe en libros del activo entregado.
28 Una entidad determinará si una transacción de intercambio tiene carácter comercial mediante la consideración de la medida en que se espera que cambien sus flujos de efectivo futuros como resultado de la transacción. Una transacción de intercambio tiene naturaleza comercial si:
(a) la configuración (riesgo, calendario e importe) de los flujos de efectivo del activo recibido difiere de la configuración de los flujos de efectivo del activo transferido; o
(b) el valor específico para la entidad de la parte de sus actividades afectada por la transacción, se ve modificado como consecuencia del intercambio; y además
(c) la diferencia identificada en (a) o en (b) es significativa al compararla con el valor razonable de los activos intercambiados.
Al determinar si una permuta tiene carácter comercial, el valor específico para la entidad de la parte de sus actividades afectada por la transacción deberá tener en cuenta los flujos de efectivo después de impuestos. El resultado de estos análisis puede quedar claro sin que una entidad tenga que realizar cálculos detallados.
29 El valor razonable de un activo, puede medirse con fiabilidad si (a) la variabilidad en el rango de las mediciones del valor razonable del activo no es significativa, o (b) las probabilidades de las diferentes estimaciones, dentro de ese rango, pueden ser evaluadas razonablemente y utilizadas en la medición del valor razonable. Si la entidad es capaz de medir de forma fiable los valores razonables del activo recibido o del activo entregado, entonces, se utilizará el valor razonable del activo entregado para medir el costo del activo recibido, a menos que se tenga una evidencia más clara del valor razonable del activo recibido.
29A Una propiedad de inversión, mantenida por un arrendatario como un activo por derecho de uso se medirá inicialmente a su costo de acuerdo con la NIIF 16.
Medición posterior al reconocimiento
Política contable
30 A excepción de lo señalado en los el párrafos 32A y 34, una entidad elegirá como política contable el modelo del valor razonable, contenido en los párrafos 33 a 55, o el modelo del costo, contenido en el párrafo 56, y aplicará esa política a todas sus propiedades de inversión.
31 La NIC 8 Políticas Contables, Cambios en las Estimaciones Contables y Errores señala que se realizará un cambio voluntario en las políticas contables únicamente si dicho cambio diese lugar a que los estados financieros proporcionen información más relevante y fiable sobre los efectos de las transacciones, otros eventos o condiciones sobre la situación financiera de la entidad, el rendimiento financiero o los flujos de efectivo. Es altamente improbable que un cambio del modelo del valor razonable al modelo del costo proporcione una presentación más relevante.
32 Esta Norma requiere a todas las entidades medir el valor razonable de sus propiedades de inversión para propósitos de medición (modelo del valor razonable) o revelación (modelo del costo). Se recomienda a las entidades, pero no se les obliga, a medir el valor razonable de sus propiedades de inversión a partir de una valuación practicada por un experto independiente que tenga una capacidad profesional reconocida y una experiencia reciente en la localidad y en el tipo de propiedad de inversión que está siendo medido.
32A La entidad puede:
(a) escoger el modelo de valor razonable o el modelo del costo para todas las propiedades de inversión que respaldan obligaciones que pagan un retorno vinculado directamente con el valor razonable o con los retornos provenientes de activos especificados, incluyendo esa propiedad para inversión; y
(b) escoger el modelo de valor razonable o el modelo del costo para todas las otras propiedades de inversión, independiente de la elección realizada en (a).
32B Algunos aseguradores y otras entidades operan un fondo de propiedad interna que emite unidades nominales, algunas de las cuales se asignan a los inversores en contratos vinculados, mientras que otras son mantenidas por la entidad. El párrafo 32A no permite que una entidad mida una propiedad tenida por el fondo parcialmente al costo y parcialmente a valor razonable.
32C Si una entidad escoge modelos diferentes para las dos categorías descritas en el párrafo 32A, las ventas de propiedades para inversión que se hagan entre conjuntos de activos medidos usando diferentes modelos se deben reconocer a su valor razonable, y el cambio acumulativo en el valor razonable se debe reconocer en resultados. De acuerdo con ello, si la propiedad de inversión es vendida desde un conjunto en el cual se usa el modelo de valor razonable a otro conjunto en que se emplea el modelo del costo, el valor razonable de la propiedad en la fecha de la venta será su costo atribuido.
Modelo del valor razonable
33 Con posterioridad al reconocimiento inicial, la entidad que haya escogido el modelo del valor razonable medirá todas sus propiedades de inversión al valor razonable, excepto en los casos descritos en el párrafo 53.
34 [Eliminado] Cuando ol derecho sobro una propiedad, mantenida por ol arrendatario on régimen do arrondamionto operativo, so clasifique como propiedad do inversión do acuerdo con el párrafo 6, no os aplicable la elección señalada en el párrafo 30; do forma que se aplicará forzosamente el modelo del valor razonable.
35 Las pérdidas o ganancias derivadas de un cambio en el valor razonable de las propiedades de inversión se incluirán en el resultado del periodo en que surjan.
36-39 [Eliminado]
40 Cuando se mide el valor razonable de una propiedad de inversión de acuerdo con la NIIF 13, una entidad se asegurará de que el valor razonable refleja, entre otras cosas, los ingresos por alquileres de los arrendamientos actuales y otros supuestos que los participantes del mercado utilizarían al fijar el precio de la propiedad de inversión en condiciones de mercado actuales.
40A Cuando un arrendatario usa el modelo del valor razonable para medir una propiedad de inversión que se mantiene como un activo por derecho de uso, medirá el activo por derecho de uso, y no la propiedad de inversión subyacente, a valor razonable.
41 El párrafo 25La NIIF 16 especifica las bases para el reconocimiento inicial del costo de la participación en una propiedad arrendada de una propiedad de inversión mantenida por un arrendatario como un activo por derecho de uso. El párrafo 33 requiere que el derecho sobre una propiedad arrendada la propiedad de inversión mantenida por un arrendatario como activo por derecho de uso se re exprese, si fuera necesario, por su valor razonable, si la entidad elige el modelo del valor razonable. En un arrendamiento negociado Cuando los pagos por arrendamiento son a tasas de interés mercado, el valor razonable de una participación en una propiedad arrendada una propiedad de inversión mantenida por un arrendatario como un activo por derecho de uso en el momento de la adquisición, neta de todos los pagos por arrendamiento esperados (incluyendo los relacionados con los pasivos por arrendamiento reconocidos), debe ser cero. Este valor razonable no cambia independientemente de si, a efectos contables, se reconoce el activo arrendado y el pasivo correspondiente, ya sea por su valor razonable o por el valor presente de los pagos mínimos del arrendamiento, de acuerdo con lo establecido en el párrafo 20 de la NIC 17. Por tanto, volver a medir un activo arrendado de derecho de uso sustituyendo su costo, determinado de acuerdo con la NIIF 16el párrafo 25, por su valor razonable, determinado de acuerdo con el párrafo 33, (teniendo en cuenta los requerimientos del párrafo 50) no debería dar lugar a ninguna pérdida o ganancia inicial, a menos que el valor razonable fuera determinado en diferentes momentos del tiempo. Esto podría suceder cuando se ha elegido aplicar el modelo del valor razonable después del reconocimiento inicial.
42-47 [Eliminado]
48 En casos excepcionales, cuando una entidad adquiere por primera vez una propiedad de inversión (o cuando una propiedad existente se convierte por primera vez en propiedades de inversión, después de un cambio en su uso) puede existir evidencia clara de que la variación del rango de las mediciones del valor razonable será muy alta y las probabilidades de los distintos resultados posibles serán muy difíciles de evaluar, de tal forma que la utilidad de una sola medición del valor razonable queda invalidada. Esta situación podría indicar que el valor razonable de la propiedad no podrá ser medido con fiabilidad de una manera continua (véase el párrafo 53).
49 [Eliminado]
50 Al determinar el importe en libros de una propiedad de inversión según el modelo del valor razonable, una entidad no duplicará la contabilización de activos o pasivos que se reconozcan como activos y pasivos separados. Por ejemplo:
(a) Equipos, tales como ascensores o aire acondicionado, que son frecuentemente parte integrante de un edificio, y se reconocerán, por lo general, dentro de la propiedad de inversión, en lugar de estar reconocidos de forma separada como propiedades, planta y equipo.
(b) Si una oficina se alquila amueblada, el valor razonable de la oficina incluirá por lo general el valor razonable del mobiliario, debido a que el ingreso por arrendamiento se deriva de la oficina con los muebles. Cuando el mobiliario se incluya en el valor razonable de la propiedad de inversión, la entidad no reconocerá dicho mobiliario como un activo separado.
(c) El valor razonable de una propiedad de inversión excluirá ingresos por rentas anticipadas o a cobrar de arrendamientos operativos, ya que la entidad reconoce éstos como pasivos o activos separados.
(d) El valor razonable de las propiedades de inversión mantenidas por un arrendatario como un activo por derecho de uso en arrendamiento reflejará los flujos de efectivo esperados (incluyendo las rentas contingentes los pagos variables por arrendamiento que se espera den lugar a las correspondientes cuentas por pagar). Por consiguiente, si la valoración obtenida para un inmueble es neta de todos los pagos que se espera realizar, será necesario volver a sumar los pasivos por arrendamiento reconocidos para obtener el importe en libros de las propiedades de inversión utilizando el modelo del valor razonable.
51 [Eliminado]
52 En algunos casos, la entidad espera que el valor presente de sus pagos relativos a una propiedad de inversión (distintos de los pagos relativos a los pasivos financieros reconocidos) exceda al valor presente de los flujos de efectivo por recibir. La entidad aplicará la NIC 37 Provisiones, Pasivos Contingentes y Activos Contingentes, para determinar si debe reconocer un pasivo y cómo debe proceder, en tal caso, a su medición.
Imposibilidad de medir el valor razonable de forma fiable
53 Existe una presunción refutable de que una entidad podrá medir, de forma fiable y continua, el valor razonable de una propiedad de inversión. Sin embargo, en casos excepcionales, cuando la entidad adquiera por primera vez una propiedad de inversión (o cuando un inmueble existente se convierta por primera vez en propiedades de inversión después de un cambio en su uso) existe evidencia clara de que la entidad no va a poder medir de forma fiable y continua el valor razonable de la propiedad de inversión. Esto surge cuando, y solo cuando, el mercado para propiedades similares está inactivo (es decir, existen pocas transacciones recientes, las cotizaciones de precios no son actuales o los precios de transacciones observadas indican que el vendedor estuvo forzado a vender), y no se puede disponer de otras formas de medir el valor razonable (por ejemplo, a partir de las proyecciones de flujos de efectivo descontados). Si una entidad estableciese que el valor razonable de una propiedad de inversión en construcción no se puede medir con fiabilidad, pero espera que lo sea cuando finalice su construcción, medirá dicha propiedad de inversión en construcción por su costo hasta que pueda determinar su valor razonable de forma fiable o haya completado su construcción (lo que suceda en primer lugar). Si una entidad determinase que el valor razonable de una propiedad de inversión (distinta de una propiedad de inversión en construcción) no se puede medir con fiabilidad de una forma continuada, la entidad medirá dicha propiedad de inversión aplicando el modelo del costo de la NIC 16 para propiedades de inversión poseídas o de acuerdo con la NIIF 16 para propiedades de inversión mantenidas por un arrendatario como un activo por derecho de uso. Se supondrá que el valor residual de la propiedad de inversión es cero. La entidad continuará aplicando la NIC 16 o NIIF 16 hasta la disposición de las propiedades de inversión.
53A Una vez que una entidad sea capaz de medir con fiabilidad el valor razonable de una propiedad de inversión en construcción que anteriormente haya sido medida al costo, medirá dicho inmueble por su valor razonable. Una vez finalizada la construcción de ese inmueble, supondrá que el valor razonable puede medirse con fiabilidad. Si no fuera el caso, de acuerdo con el párrafo 53, el inmueble se contabilizará utilizando el modelo del costo de acuerdo con la NIC 16 para activos poseídos o la NIIF 16 para propiedades de inversión mantenidas por un arrendatario como un activo por derecho de uso.
53B La presunción de que el valor razonable de las propiedades de inversión en construcción puede medirse con fiabilidad puede ser refutable solo en su reconocimiento inicial. Una entidad que haya medido una partida de propiedades de inversión en construcción por su valor razonable no puede concluir que el valor razonable de dicha propiedad de inversión una vez terminada no puede medirse con fiabilidad.
54 En casos excepcionales, cuando una entidad se vea forzada, por la razón dada en el párrafo 53, a medir una propiedad de inversión utilizando el modelo del costo de acuerdo con la NIC 16 o la NIIF 16, medirá el resto de sus propiedades de inversión por su valor razonable, incluyendo las que estén en construcción. En estos casos, aunque una entidad puede utilizar el modelo del costo para una propiedad de inversión, en particular continuará contabilizando cada uno de los restantes inmuebles usando el modelo del valor razonable.
55 Si la entidad ha medido previamente una propiedad de inversión por su valor razonable, continuará midiéndola a valor razonable hasta que se disponga de ella (o hasta que la propiedad sea ocupada por el propietario, o la entidad comience la transformación para venderla en el curso ordinario de su actividad) aún si las transacciones comparables en el mercado se hicieran menos frecuentes, o bien los precios de mercado estuvieran disponibles menos fácilmente.
Modelo del costo
56 Después del reconocimiento inicial, la entidad que elija el modelo del costo medirá sus propiedades de inversión aplicando los requisitos establecidos en la NIC 16 para ese modelo, en lugar de los provistos para los que satisfagan los criterios para sor clasificados como mantenidos para la venta (o sean incluidos en un grupo do activos para su disposición que sea clasificado como mantenido para la venta) de acuerdo con la NIIF 5 Activos no Corrientes Mantenidos para la Venta y Operaciones Discontinuadas. Las propiedades de inversión que satisfagan el criterio de ser clasificadas como mantenidas para la venta (o sean incluidas en un grupo de activos para su disposición que sea clasificado como mantenido para la venta) se medirán de acuerdo con la NIIF 5.
Después del reconocimiento inicial, la entidad que elija el modelo del costo medirá sus propiedades de inversión:
(a) de acuerdo con la NIIF 5 Activos no Corrientes Mantenidos para la Venta y Operaciones Discontinuadas si cumplen los criterios para ser clasificadas como mantenidas para la venta (o sean incluidas en un grupo de activos para su disposición que sea clasificado como mantenido para la venta);
(b) de acuerdo con la NIIF 16 si se mantiene por un arrendatario como un activo por derecho de uso y no se mantiene para la venta de acuerdo con la NIIF 5; y
(c) de acuerdo con los requerimientos de la NIC 16 para el modelo del costo en todos los demás casos.
Transferencias
57 Se realizarán transferencias a, o desde, propiedades de inversión cuando, y solo cuando, exista un cambio en su uso, que se haya evidenciado por:
(a) el inicio de la ocupación por parte del propietario, en el caso de una transferencia de una propiedad de inversión a una instalación ocupada por el dueño;
(b) el inicio de un desarrollo con intención de venta, en el caso de una transferencia de una propiedad de inversión a inventarios;
(c) el fin de la ocupación por parte del dueño, en el caso de la transferencia de una instalación ocupada por el propietario a una propiedad de inversión; o
(d) el inicio de una operación de arrendamiento operativo a un tercero, en el caso de una transferencia de inventarios a propiedad de inversión;
(e) [eliminado]
58 El apartado (b) del anterior párrafo 57 requiere que la entidad transfiera una propiedad de inversión a inventarios cuando, y sólo cuando, exista un cambio de uso, evidenciado por el inicio de un desarrollo con intención de venta. Cuando la entidad decida disponer de una propiedad de inversión sin hacer un desarrollo específico, continuará calificando a la propiedad como de inversión hasta que sea dada de baja en cuentas (eliminada del estado de situación financiera) y no lo tratará como si fuera un elemento de los inventarios. De forma similar, si la entidad reinicia el desarrollo de una propiedad de inversión, para continuar manteniéndolo en el futuro como propiedad de inversión, ésta permanecerá como tal y no se reclasificará como instalación ocupada por el dueño durante su nueva etapa de desarrollo.
59 Los párrafos 60 a 65 tratan problemas de reconocimiento y medición que son aplicables cuando la entidad aplica el modelo del valor razonable para las propiedades de inversión. Cuando la entidad utiliza el modelo del costo, las transferencias entre propiedades de inversión, instalaciones ocupadas por el dueño e inventarios, no varían el importe en libros ni el costo de dichas propiedades, a efectos de medición o información a revelar.
60 Para la transferencia do propiedades do invorsión, contabilizadas según su valor razonable, a propiedades ocupadas por el dueño o a inventarios, el costo de la propiedad a efectos de contabilizaciones posteriores, ya se utilice la NIC 16, NIIF 16 o la NIC 2, será el valor razonable en la fecha del cambio de uso.
61 Si una propiedad ocupada por el dueño se convierte en una propiedad de inversión, que se contabilizará por su valor razonable, la entidad aplicará la NIC 16 para propiedades de inversión poseídas y la NIIF 16 para propiedades mantenidas por un arrendatario como un activo por derecho de uso hasta la fecha del cambio de uso. La entidad tratará cualquier diferencia, en esa fecha, entre el importe en libros de la propiedad determinado aplicando la NIC 16 o la NIIF 16 y el valor razonable, de la misma forma en la que registraría una revaluación aplicando lo dispuesto en la NIC 16.
62 Hasta la fecha en la que las propiedades ocupadas por el dueño se conviertan en propiedades de inversión, contabilizadas por su valor razonable, la entidad continuará depreciando la propiedad (o el activo por derecho de uso) y reconocerá cualquier pérdida por deterioro de valor que haya ocurrido. La entidad tratará cualquier diferencia, en esa fecha, entre el importe en libros de la propiedad determinado aplicando la NIC 16 o la NIIF 16 y el valor razonable, de la misma forma en la que registraría una revaluación aplicando lo dispuesto en la NIC 16. En otras palabras:
(a) Cualquier disminución que tenga lugar en el importe en libros de la propiedad, se reconocerá en el resultado. Sin embargo, en la medida en que el importe esté incluido en el superávit de revaluación de esa propiedad, la disminución se reconocerá en otro resultado integral y se reducirá el superávit de revaluación en el patrimonio.
(b) Cualquier aumento que tenga lugar en el importe en libros será tratado como sigue:
(i) En la medida en que tal aumento sea la reversión de una pérdida por deterioro del valor, previamente reconocida para esa propiedad, el aumento se reconocerá en el resultado del periodo. El importe reconocido en el resultado del periodo no excederá al importe necesario para restaurar el importe en libros que se hubiera determinado (neto de depreciación) si no se hubiera reconocido la pérdida por deterioro del valor de los activos.
(ii) Cualquier remanente del aumento se reconocerá en otro resultado integral e incrementa el superávit de revaluación dentro del patrimonio. En el caso de disposiciones posteriores de las propiedades de inversión, los superávit de revaluación incluidos en el patrimonio pueden ser transferidos a las ganancias acumuladas. Esta transferencia del superávit de revaluación a las ganancias acumuladas no se hará a través de los resultados.
63 En caso de la transferencia de un elemento desde inventarios a propiedades de inversión, para contabilizarlo por su valor razonable, cualquier diferencia entre el valor razonable de la propiedad a esa fecha y su importe en libros anterior se reconocerá en el resultado del periodo.
64 El tratamiento de transferencias de inventarios a propiedades de inversión, que vaya a ser contabilizadas por su valor razonable, habrá de ser coherente con el tratamiento de las ventas de inventarios.
65 Cuando una entidad termine la construcción o desarrollo de una propiedad de inversión construida por la propia entidad, que vaya a ser contabilizada por su valor razonable, cualquier diferencia entre el valor razonable de la propiedad a esa fecha y su importe en libros anterior, se reconocerá en el resultado del periodo.
Disposiciones
66 Las propiedades de inversión se darán de baja en cuentas (eliminadas del estado de situación financiera) en el momento de su disposición o cuando las propiedades de inversión queden permanentemente retiradas de uso y no se esperen beneficios económicos futuros procedentes de su disposición.
67 La disposición de una propiedad de inversión puede producirse bien por su venta o por su incorporación a un arrendamiento financiero. La fecha de disposición de propiedades de inversión que se venden es la fecha en que el receptor obtiene el control de ese activo de acuerdo con los requerimientos para determinar cuándo se satisface una obligación de desempeño en la NIIF 15. La NIC 17 NIIF 16 será de aplicación en el caso de una disposición que revista la forma de arrendamiento financiero o venta con arrendamiento posterior.
68 Si, de acuerdo con el criterio de reconocimiento del párrafo 16, la entidad reconoce en el importe en libros de un activo el costo de sustitución de parte de una propiedad de inversión, dará de baja el importe en libros del elemento sustituido. Para las propiedades de inversión contabilizadas según el modelo del costo, el elemento sustituido podría no ser un elemento que se hubiera amortizado de forma independiente. Si no fuera practicable para la entidad determinar el importe en libros del elemento sustituido, podrá utilizar el costo de la sustitución como indicativo de cuál era el costo del elemento sustituido en el momento en el que fue adquirido o construido. Según el modelo del valor razonable, el valor razonable de la propiedad de inversión podrá ya reflejar la pérdida de valor del elemento que va a ser sustituido. En otros casos puede ser difícil distinguir qué importe del valor razonable debería reducirse por causa del elemento que va a ser sustituido. Una alternativa para proceder a esta reducción del valor razonable del elemento sustituido, cuando no resulte practicable hacerlo directamente, es incluir el costo de la sustitución en el importe en libros del activo, y luego volver a evaluar el valor razonable, de forma similar a lo requerido para ampliaciones que no implican sustitución.
69 La pérdida o ganancia resultante del retiro o la disposición de una propiedad de inversión, se determinará como la diferencia entre los ingresos netos de la transacción y el importe en libros del activo, y se reconocerá en el resultado del periodo en que tenga lugar el retiro o la disposición (a menos que la NIC 17 NIIF 16 exija otra cosa, en el caso de una venta con arrendamiento posterior).
70 El importe de la contraprestación a incluir en la ganancia o pérdida que surge de la baja en cuentas de una partida de propiedades, planta y equipo se determina de acuerdo con los requerimientos para determinar el precio de la transacción de los párrafos 47 a 72 de la NIIF 15. Los cambios posteriores al importe estimado de la contraprestación incluida en la ganancia o pérdida se contabilizarán de acuerdo con los requerimientos para cambios en el precio de la transacción de la NIIF 15.
71 La entidad aplicará la NIC 37, u otras Normas que considere apropiadas, a cualquier pasivo que permanezca después de disponer de una propiedad de inversión.
72 Las compensaciones de terceros por causa de propiedades de inversión que hayan deteriorado su valor, se hayan perdido o abandonado, se reconocerán en el resultado del periodo cuando dichas compensaciones sean exigibles.
73 El deterioro del valor o las pérdidas en propiedades de inversión, las reclamaciones asociadas o pagos por compensación de terceros y cualquier compra o construcción posterior de activos sustituidos son hechos económicos independientes y por eso se contabilizarán independientemente, de la forma siguiente:
(a) las pérdidas por deterioro del valor de las propiedades de inversión se reconocerán de acuerdo con la NIC 36;
(b) los retiros o disposiciones de las propiedades de inversión se reconocerán de acuerdo con los párrafos 66 a 71 de esta Norma;
(c) la compensación de terceros por la propiedad de inversión cuyo valor haya sufrido un deterioro, haya experimentado una pérdida o haya sido objeto de disposición se reconocerá en el resultado del periodo en el que dicha compensación sea exigible; y
(d) el costo de los activos rehabilitados, comprados o construidos como sustitutos se determinará de acuerdo con los párrafos 20 a 29 de esta Norma.
Información a revelar
Modelos del valor razonable y del costo
74 La siguiente información a revelar se aplicará de forma adicional a la contenida en la NIC 17 NIIF 16. De acuerdo con la NIC 17 NIIF 16, el dueño de las propiedades de inversión incluirá las revelaciones correspondientes al arrendador respecto a los arrendamientos en los que haya participado. La entidad Un arrendatario que mantenga una propiedad de inversión como un activo por derecho de uso en régimen de arrendamiento financiero u operativo, incluirá las revelaciones del arrendatario como requiere la NIIF 16 para los arrendamientos financieros y las revelaciones del arrendador como requiere la NIIF 16 para los arrendamientos operativos en los que haya participado.
75 Una entidad revelará:
(a) Si aplica el modelo del valor razonable o el modelo del costo.
(b) [eliminado] Cuando aplique el modelo del valor razonable, en qué circunstancias se clasifican y contabilizan como propiedades do inversión los derechos sobro propiedades mantenidas en régimen de arrendamiento operativo.
(c) Cuando la clasificación resulte difícil (véase el párrafo 14), los criterios desarrollados por la entidad para distinguir las propiedades de inversión de las propiedades ocupadas por el dueño y de las propiedades que se tienen para vender en el curso normal de las actividades del negocio.
(d) [eliminado]
(e) La medida en que el valor razonable de las propiedades de inversión (tal como han sido medidas o reveladas en los estados financieros) está basada en una tasación hecha por un perito independiente que tenga una capacidad profesional reconocida y una experiencia reciente en la localidad y categoría de las propiedades de inversión objeto de la valoración. Si no hubiera tenido lugar dicha forma de valoración, se revelará este hecho.
(f) Las cifras incluidas en el resultado del periodo por:
(i) ingresos derivados de rentas provenientes de las propiedades de inversión;
(ii) gastos directos de operación (incluyendo reparaciones y mantenimiento) relacionados con las propiedades de inversión que generaron ingresos por rentas durante el periodo;
(iii) gastos directos de operación (incluyendo reparaciones y mantenimiento) relacionados con las propiedades de inversión que no generaron ingresos en concepto de rentas durante el periodo. y
(iv) el cambio acumulado en el valor razonable que se haya reconocido en el resultado por la venta de una propiedad de inversión, perteneciente al conjunto de activos en los que se aplica el modelo del costo, al otro conjunto de activos en los que se aplica el modelo del valor razonable (véase el párrafo 32C).
(g) La existencia e importe de las restricciones a la realización de las propiedades de inversión, al cobro de los ingresos derivados de las mismas o de los recursos obtenidos por su disposición.
(h) Las obligaciones contractuales para adquisición, construcción o desarrollo de propiedades de inversión, o por concepto de reparaciones, mantenimiento o mejoras de las mismas.
Modelo del valor razonable
76 Además de las revelaciones exigidas por el párrafo 75, la entidad que aplique el modelo del valor razonable descrito en los párrafos 33 a 55, también revelará una conciliación del importe en libros de las propiedades de inversión al inicio y al final del periodo, que incluya lo siguiente:
(a) adiciones, presentando por separado las derivadas de adquisiciones y las que se refieren a desembolsos posteriores capitalizados en el importe en libros de estos activos;
(b) adiciones derivadas de adquisiciones a través de combinaciones de negocios;
(c) los activos clasificados como mantenidos para la venta o incluidos en un grupo de activos para su disposición que haya sido clasificado como mantenido para la venta, de acuerdo con la NIIF 5, y otras disposiciones;
(d) pérdidas o ganancias netas de los ajustes al valor razonable;
(e) las diferencias de cambio netas derivadas de la conversión de los estados financieros a una moneda de presentación diferente, así como las derivadas de la conversión de un negocio en el extranjero a la moneda de presentación de la entidad que informa;
(f) traspasos de propiedades de inversión hacia o desde inventarios, o bien hacia o desde propiedades ocupadas por el dueño; y
(g) otros cambios.
77 Cuando la evaluación obtenida para una propiedad de inversión se haya ajustado de forma significativa, a efectos de ser utilizada en los estados financieros, por ejemplo para evitar una doble contabilización de activos o pasivos que se hayan reconocido como activos y pasivos independientes, según se describe en el párrafo 50, la entidad incluirá entre sus revelaciones una conciliación entre la evaluación obtenida y la medición ya ajustada que se haya incluido en los estados financieros, mostrando independientemente el importe agregado de cualesquiera obligaciones pasivos por arrendamiento reconocidos que se hayan deducido, así como cualesquiera otros ajustes significativos.
78 En los casos excepcionales a que hace referencia el párrafo 53, en los que la entidad mida la propiedad de inversión utilizando el modelo del costo de la NIC 16 o de acuerdo con la NIIF 16, la conciliación requerida por el párrafo 76 revelará los importes asociados a esas propiedades de inversión independientemente de los importes asociados a otras propiedades de inversión. Además, la entidad incluirá la siguiente información:
(a) una descripción de las propiedades de inversión;
(b) una explicación de la razón por la cual no puede medirse con fiabilidad el valor razonable;
(c) si es posible, el rango de estimaciones entre las cuales es altamente probable que se encuentre el valor razonable; y
(d) cuando haya dispuesto de propiedades de inversión no registradas por su valor razonable:
(i) el hecho de que la entidad haya enajenado propiedades de inversión no registradas por su valor razonable;
(ii) el importe en libros de esas propiedades de inversión en el momento de su venta; y
(iii) el importe de la pérdida o ganancia reconocida.
Modelo del costo
79 Además de la información a revelar requerida por el párrafo 75, la entidad que aplique el modelo del costo, siguiendo el párrafo 56 también revelará:
(a) los métodos de depreciación utilizados;
(b) las vidas útiles o las tasas de depreciación utilizadas;
(c) el importe en libros bruto y la depreciación acumulada (junto con el importe acumulado de las pérdidas por deterioro de valor), tanto al principio como al final de cada periodo;
(d) una conciliación del importe en libros de las propiedades de inversión al inicio y al final del periodo, que incluya lo siguiente:
(i) adiciones, revelando por separado las derivadas de adquisiciones y las que se refieran a desembolsos posteriores capitalizados en el importe en libros de esos activos;
(ii) adiciones derivadas de adquisiciones a través de combinaciones de negocios;
(iii) los activos clasificados como mantenidos para la venta o incluidos en un grupo de activos para su disposición que haya sido clasificado como mantenido para la venta, de acuerdo con la NIIF 5, y otras disposiciones;
(iv) la depreciación;
(v) el importe de la pérdida reconocida por deterioro de activos, así como el importe de las pérdidas por deterioro de activos que hayan revertido durante el periodo según la NIC 36;
(vi) las diferencias de cambio netas derivadas de la conversión de los estados financieros a una moneda de presentación diferente, así como las derivadas de la conversión de un negocio en el extranjero a la moneda de presentación de la entidad que informa;
(vii) traspasos de propiedades de inversión hacia o desde inventarios, o bien hacia o desde propiedades ocupadas por el dueño; y
(viii) otros cambios.
(e) el valor razonable de las propiedades de inversión. Si bien, en los casos excepcionales descritos en el párrafo 53, cuando la entidad no pueda medir el valor razonable de las propiedades de inversión de manera fiable, la entidad revelará las siguientes informaciones:
(i) una descripción de las propiedades de inversión;
(ii) una explicación de la razón por la cual no puede medirse con fiabilidad el valor razonable; y
(iii) si fuera posible, el rango de estimaciones dentro del cual es posible que se encuentre el valor razonable.
Disposiciones transitorias
Modelo del valor razonable
80 La entidad que, habiendo aplicado previamente la NIC 40 (2000), decida por primera vez clasificar y contabilizar como propiedades de inversión algunos o todos los derechos sobre propiedades mantenidas en régimen de arrendamiento operativo, reconocerá el efecto de esa elección como un ajuste en el saldo inicial de las ganancias acumuladas del periodo en el que se haya hecho la elección por primera vez. Además:
(a) si la entidad ya ha revelado públicamente (en sus estados financieros o por otra vía) el valor razonable de sus participaciones en propiedades en periodos anteriores (medidos sobre una base que satisfaga la definición de valor razonable de la NIIF 13), se recomienda, pero no se obliga a la entidad a:
(i) ajustar el saldo inicial de las ganancias acumuladas para el periodo más antiguo que se presente, en el que se hubiera revelado públicamente el valor razonable por primera vez; y
(ii) reexpresarse la información comparativa para esos periodos; y
(b) si la entidad no ha revelado públicamente con anterioridad la información descrita en (a), no re expresará la información comparativa, y revelará este hecho.
81 Esta Norma requiere un tratamiento distinto del contenido en la NIC 8. La NIC 8 requiere que se reexprese la información comparativa a menos que dicha reexpresión sea impracticable.
82 Cuando la entidad adopte esta Norma por primera vez, el ajuste al saldo inicial de las ganancias acumuladas incluirá la reclasificación de cualquier importe registrado como superávit de revaluación de propiedades de inversión.
Modelo del costo
83 La NIC 8 se aplica a cualquier cambio en las políticas contables que resulte de la adopción por primera vez de esta Norma, y haya optado por utilizar el modelo del costo. El efecto del cambio de políticas contables incluye la reclasificación de cualquier importe registrado como superávit de revaluación de propiedades de inversión.
84 Los requerimientos de los párrafos 27 a 29, en relación con la medición inicial de una propiedad de inversión adquirida en una transacción de intercambio de activos, se aplicarán prospectivamente sólo a transacciones futuras.
Combinaciones de Negocios
84 A El documento Mejoras Anuales, Ciclo 2011-2013 emitido en diciembre de 2013 añadió el párrafo 14A y un encabezamiento antes del párrafo 6. Una entidad aplicará esa modificación de forma prospectiva a las adquisiciones de propiedades de inversión desde el comienzo del primer periodo para el cual adopta esa modificación. Por consiguiente, no se ajustará la contabilización de las adquisiciones de propiedades de inversión en periodos anteriores. Sin embargo, una entidad puede optar por aplicar la modificación a adquisiciones individuales de propiedades de inversión que ocurrieron antes del comienzo del primer periodo anual que tuvo lugar a partir de la fecha de vigencia si, y solo si, la información necesaria para utilizar la modificación a las transacciones anteriores se encuentra disponible para la entidad.
NIIF 16
84B Una entidad que aplique la NIIF 16 y sus modificaciones relacionadas con esta Norma por primera vez aplicará los requerimientos de transición del Apéndice C de la NIIF 16 a sus propiedades de inversión mantenidas como un activo por derecho de uso.
Fecha de vigencia
85 Una entidad aplicará esta Norma para los periodos anuales que comiencen a partir del 1 de enero de 2005. Se aconseja su aplicación anticipada. Si una entidad aplicase esta Norma en un periodo que comience antes del 1 de enero de 2005, revelará este hecho.
85A La NIC 1 Presentación de Estados Financieros (revisada en 2007) modificó la terminología en todas las NIIF. Además modificó el párrafo 62. Una entidad aplicará esas modificaciones a periodos anuales que comiencen a partir del 1 de enero de 2009. Si una entidad utiliza la NIC 1 (revisada en 2007) en un periodo anterior, aplicará las modificaciones a dicho periodo.
85B Se modificaron los párrafos 8, 9, 48, 53, 54 y 57, se eliminó el párrafo 22 y se añadieron los párrafos 53A y 53B mediante el documento Mejoras a las NIIF emitido en mayo de 2008. Una entidad aplicará esas modificaciones de forma prospectiva a los periodos anuales que comiencen a partir del 1 de enero de 2009. Se permite que una entidad aplique las modificaciones de las propiedades de inversión en construcción desde una fecha anterior al 1 de enero de 2009 siempre que los valores razonables de dichas propiedades de inversión en construcción fueran medidos en esas fechas. Se permite su aplicación anticipada. Si una entidad aplicase las modificaciones en un periodo anterior, revelará este hecho y al mismo tiempo aplicará las modificaciones de los párrafos 5 y 81E de la NIC 16 Propiedades, Planta y Equipo.
85C La NIIF 13, emitida en mayo de 2011, modificó la definición de valor razonable del párrafo 5, modificó los párrafos 26, 29, 32, 40, 48, 53, 53B, 78 a 80 y 85B y eliminó los párrafos 36 a 39, 42 a 47, 49, 51 y 75(d). Una entidad aplicará esas modificaciones cuando aplique la NIIF 13.
85D El documento Mejoras Anuales, Ciclo 2011-2013 emitido en diciembre de 2013 añadió encabezamientos antes del párrafo 6 y después del párrafo 84 y añadió los párrafos 14A y 84A. Una entidad aplicará esas modificaciones a periodos anuales que comiencen a partir del 1 de julio de 2014. Se permite su aplicación anticipada. Si una entidad aplica esas modificaciones en un periodo anterior, revelará este hecho.
85E La NIIF 15 Ingresos de Actividades Ordinarias Procedentes de Contratos con Clientes emitida en mayo de 2014, modificó los párrafos 3(b), 9, 67 y 70. Una entidad aplicará esas modificaciones cuando aplique la NIIF 15.
85F La NIIF 16 emitida en enero de 2016 modificó el alcance de la NIC 40 definiendo propiedades de inversión para incluir las propiedades de inversión poseídas y las propiedades mantenidas por un arrendatario como un activo por derecho de uso. La NIIF 16 modificó los párrafos 5, 7, 8, 9, 16, 20, 30, 41, 50, 53, 53A, 54, 56, 60, 61, 62, 67, 69, 74, 75, 77 y 78, añadió los párrafos 19A, 29A, 40A y 84B y sus encabezamientos relacionados y eliminó los párrafos 3, 6, 25, 26 y 34. Una entidad aplicará esas modificaciones cuando aplique la NIIF 16.
Derogación de la NIC 40 (2000)
86 Esta Norma deroga la NIC 40 Propiedades de Inversión (emitida en 2000).
Clasificación y Medición de Transacciones con Pagos basados en Acciones
(Modificaciones a la NIIF 2)
Modificación a la
NIIF 2 Pagos basados en Acciones
Se modifican los párrafos 19, 30, 31, 33, 52 y 63 y se añaden los párrafos 33A a 33H, 59A, 59B and 63D. Se añaden encabezamientos antes de los párrafos 33A y 33E. El texto nuevo está subrayado y el texto eliminado está tachado. Los párrafos 32 y 34 no han sido modificados pero se incluyen para facilitar una referencia.
Tratamiento de las condiciones para la irrevocabilidad de la concesión
19 La concesión de instrumentos de patrimonio podría estar condicionada al cumplimiento de determinadas condiciones para la irrevocabilidad de la concesión. Por ejemplo, la concesión de acciones o de opciones sobre acciones a un empleado habitualmente está condicionada a que el empleado siga prestando sus servicios, en la entidad, a lo largo de un determinado periodo de tiempo. También podrían existir condiciones de rendimiento esperado, tales como que la entidad alcanzara un crecimiento específico en sus beneficios o un determinado incremento en el precio de sus acciones. Las condiciones necesarias para la irrevocabilidad de la concesión, distintas de las condiciones de mercado, no serán tenidas en cuenta al estimar el valor razonable de las acciones o de las opciones sobre acciones en la fecha de medición. En cambio, las condiciones necesarias para la irrevocabilidad de la concesión, distintas a las de mercado, se tendrán en cuenta, ajustando el número de instrumentos de patrimonio incluidos en la medición del importe de la transacción, de forma que, en última instancia, el importe reconocido por los bienes o servicios recibidos como contraprestación de los instrumentos de patrimonio concedidos, se basará en el número de instrumentos de patrimonio que eventualmente se conviertan en irrevocables. Por ello, no se reconocerá ningún importe acumulado por los bienes o servicios recibidos si los instrumentos de patrimonio concedidos no se convierten ena ser irrevocables a consecuencia del incumplimiento de alguna condición necesaria para la irrevocabilidad de la concesión distinta de una condición de mercado, por ejemplo, la contraparte no completa un periodo de prestación de servicios especificado, o no cumple alguna condición de rendimiento, teniendo en cuenta los requerimientos del párrafo 21.
.....
Transacciones con pagos basados en acciones que se liquidan en efectivo
30 Para las transacciones con pagos basados en acciones que se liquidan en efectivo, la entidad medirá los bienes o servicios adquiridos y el pasivo en el que haya incurrido, al valor razonable del pasivo, sujeto a los requerimientos de los párrafos 31 a 33D. Hasta que el pasivo se liquide, la entidad volverá a medir el valor razonable del pasivo al final de cada periodo sobre el que se informa, así como en la fecha de liquidación, reconociendo cualquier cambio del valor razonable en el resultado del periodo.
31 Por ejemplo, la entidad podría conceder a los empleados derechos sobre la revaluación de las acciones como parte de su remuneración, por lo cual los empleados adquirirán el derecho a un pago futuro de efectivo (más que el derecho a un instrumento de patrimonio), que se basará en el incremento del precio de la acción de la entidad a partir de un determinado nivel, a lo largo de un periodo de tiempo determinado. O De forma alternativa, la entidad podría conceder a sus empleados el derecho a recibir un pago de efectivo futuro, mediante la concesión de un derecho sobre acciones (incluyendo acciones a emitir al ejercitar las opciones sobre acciones) que sean canjeables por efectivo, ya sea de manera obligatoria (por ejemplo, al cese del empleo) o a elección del empleado. Estos acuerdos son ejemplos de transacciones con pagos basados en acciones que se liquidan en efectivo. Los derechos sobre la revaluación de las acciones se usan para ilustrar algunos de los requerimientos de los párrafos 32 a 33D; sin embargo, los requerimientos de esos párrafos se aplican a todas las transacciones con pagos basados en acciones liquidadas en efectivo.
32 La entidad reconocerá los servicios recibidos, y el pasivo a pagar por tales servicios, a medida que los empleados presten el servicio. Por ejemplo, algunos derechos sobre la revaluación de acciones son irreversibles inmediatamente y, por ello, los empleados no están obligados a completar un determinado periodo de servicio para tener derecho al pago en efectivo. A falta de evidencia en contrario, la entidad supondrá que ha recibido los servicios prestados por los empleados a cambio de los derechos sobre la revaluación de las acciones. Así, la entidad reconocerá inmediatamente los servicios recibidos y un pasivo a pagar por ellos. Si los derechos sobre la revaluación de acciones no pasasen a ser irrevocables hasta que los empleados hayan completado un determinado periodo de servicio, la entidad reconocerá los servicios recibidos, y un pasivo a pagar por ellos, a medida que los empleados presten sus servicios durante ese periodo.
33 El pasivo se medirá, tanto inicialmente como al final de cada periodo sobre el que se informa, hasta su liquidación, al valor razonable de los derechos sobre la revaluación de las acciones, mediante la aplicación de un modelo de valoración de opciones, teniendo en cuenta los plazos y condiciones de concesión de los citados derechos, y en la medida en que los empleados hayan prestado sus servicios hasta la fecha. -con sujeción a los requerimientos de los párrafos 33A a 33D. Una entidad podría modificar los plazos y condiciones en los que se concedió un pago basado en acciones que se liquida en efectivo. Las guías para la modificación de una transacción con pagos basados en acciones que cambia su clasificación de liquidado en efectivo a liquidado con instrumentos de patrimonio se proporcionan en los párrafos B44A a B44C del Apéndice B.
Tratamiento de las condiciones para la irrevocabilidad de concesión y condiciones distintas a las de irrevocabilidad de la concesión
33A Una transacción con pagos basados en acciones que se liquidan en efectivo podría estar condicionada al cumplimiento de determinadas condiciones para la irrevocabilidad de la concesión. También podrían existir condiciones de rendimiento esperado, tales como que la entidad alcanzara un crecimiento específico en sus beneficios o un determinado incremento en el precio de sus acciones. Las condiciones para la irrevocabilidad de la concesión, distintas de las condiciones de mercado, no se tendrán en cuenta al estimar el valor razonable del pago basado en acciones que se liquida en efectivo en la fecha de medición. En su lugar, las condiciones para la irrevocabilidad de la concesión, distintas de las de mercado, se tendrán en cuenta ajustando el número de incentivos incluidos en la medición del pasivo que surge de la transacción.
33B Para aplicar los requerimientos del párrafo 33A, la entidad reconocerá un importe por los bienes o servicios recibidos durante el periodo hasta la irrevocabilidad de la concesión. Ese importe se basará en la mejor estimación disponible del número de incentivos que se espera sean irrevocables. La entidad revisará esa estimación, si fuera necesario, si las informaciones posteriores indicasen que el número de incentivos que se espera que sean irrevocables difiere de las estimaciones previas. En la fecha de irrevocabilidad de la concesión, la entidad revisará la estimación para que sea igual al número de incentivos que finalmente sean irrevocables.
33C Las condiciones de mercado, tales como un objetivo de precio de la acción sobre el que se condiciona la irrevocabilidad de la concesión (o su posibilidad de ejercicio), así como las condiciones distintas a las de irrevocabilidad de la concesión, se tendrán en cuenta al estimar el valor razonable del pago basado en acciones que se liquida en efectivo concedido, así como al medir nuevamente el valor razonable al final de cada periodo sobre el que se informa y en la fecha de la liquidación.
33D Como resultado de la aplicación de los párrafos 30 a 33C, el importe acumulado finalmente reconocido por causa de los bienes o servicios recibidos como contraprestación por el pago basado en acciones que se liquida en efectivo es igual al efectivo a pagar.
Transacciones con pagos basados en acciones con una característica de liquidación por el neto por causa de obligaciones fiscales de retener
33E Las leyes o regulaciones fiscales podrían obligar a que una entidad retenga un importe por causa de la obligación fiscal de un empleado asociada con un pago basado en acciones y transferir ese importe-normalmente en efectivo, a una autoridad fiscal en nombre del empleado. Para satisfacer esta obligación, los términos del acuerdo con pagos basados en acciones podrían permitir o requerir retener el número de instrumentos de patrimonio que iguale al valor monetario de la obligación fiscal del empleado, dentro del número total de instrumentos de patrimonio que, en otro caso, se habrían emitido para el empleado alejercer (o convertirse en irrevocable) el pago basado en acciones (es decir el acuerdo con pagos basados en acciones tiene una "característica de liquidación por el neto").
33F Como una excepción a los requerimientos del párrafo 34, la transacción descrita en el párrafo 33E se clasificará en su totalidad como una transacción con pagos basados en acciones que se liquidan con instrumentos de patrimonio. en el caso en que hubieran sido clasificados de esa forma en ausencia de la característica de liquidación por el neto.
33G La entidad aplicará el párrafo 29 de esta Norma para contabilizar la retención de acciones para financiar el pago a la autoridad fiscal con respecto a la obligación fiscal del empleado asociada con el pago basado en acciones. Por ello, el pago realizado se contabilizará como una deducción del patrimonio para las acciones retenidas, excepto por la medida en que el pago supere el valor razonable en la fecha de liquidación por el neto del instrumento de patrimonio retenido.
33H La excepción del párrafo 33F no se aplica a:
(a) un acuerdo con pagos basados en acciones con una característica de liquidación por el neto en la cual no existe obligación asociada para la entidad, según las leyes o regulaciones fiscales, de retener un importe por la obligación fiscal del empleado; o
(b) cualquier instrumento de patrimonio que la entidad retenga por encima de la obligación fiscal del empleado asociada con el pago basado en acciones (es decir, si la entidad retiene un importe de acciones que supere el valor monetario de la obligación fiscal del empleado). Este exceso de acciones retenidas se contabilizará como un pago basado en acciones que se liquida en efectivo cuando este importe se paga en efectivo (u otros activos) al empleado.
34 En las transacciones con pagos basados en acciones en que los términos del acuerdo proporcionen a la entidad, o a la contraparte, la opción de que la entidad liquide la transacción en efectivo (u otros activos) o mediante la emisión de instrumentos de patrimonio, la entidad contabilizará esa transacción, o sus componentes, como una transacción con pagos basados en acciones que se va a liquidar en efectivo si, y en la medida en que, la entidad hubiese incurrido en un pasivo para liquidar en efectivo u otros activos, o como una transacción con pagos basados en acciones que se va a liquidar con instrumentos de patrimonio siempre, y en la medida en que, no haya incurrido en ese pasivo.
Información a revelar
.....
52 Si la información a revelar requerida por esta Norma la NIIF no cumpliera los principios contenidos en los párrafos 44, 46 y 50, la entidad revelará tanta información adicional como sea necesaria para cumplir con ellos. Por ejemplo, si una entidad ha clasificado las transacciones con pagos basados en acciones como liquidadas con instrumentos de patrimonio de acuerdo el párrafo 33F, la entidad revelará una estimación del importe que espera transferir a la autoridad fiscal para liquidar la obligación fiscal del empleado, cuando sea necesario informar a los usuarios sobre los efectos de los flujos de efectivo futuros asociados con el acuerdo con pagos basados en acciones.
Disposiciones transitorias
.....
59A Una entidad aplicará las modificaciones de los párrafos 30, 31, 33 a 33H y B44A a B44C como se establece a continuación. Los periodos anteriores no se re expresarán.
(a) Las modificaciones de los párrafos B44A a B44C se aplican solo a las modificaciones que tengan lugar a partir de la fecha en que una entidad aplique por primera vez las modificaciones.
(b) Las modificaciones de los párrafos 30, 31 y 33 a 33D se aplican a las transacciones con pagos basados en acciones que no son irrevocables en la fecha en que una entidad aplique por primera vez las modificaciones, y a las transacciones con pagos basados en acciones con una fecha de concesión a partir de la fecha en que una entidad aplique por primera vez dichas modificaciones. Para transacciones con pagos basados en acciones que no son irrevocables y han sido concedidos antes de la fecha en que una entidad aplique por primera vez las modificaciones, una entidad medirá nuevamente el pasivo en esa fecha y reconocerá el efecto de la nueva medición en las ganancias acumuladas iniciales (u otro componente de patrimonio, según proceda) del periodo sobre el que se informa en el que se apliquen por primera vez las modificaciones.
(c) Las modificaciones de los párrafos 33E a 33H y las modificaciones al párrafo 52 se aplican a las transacciones con pagos basados en acciones que no son irrevocables (o que son irrevocables, pero no han sido ejercidos) en la fecha en que una entidad aplique por primera vez las modificaciones y a las transacciones con pagos basados en acciones cuya fecha de concesión se haya producido después de la fecha en que esa entidad aplique por primera vez las modificaciones. Para transacciones (o componentes de estas) con pagos basados en acciones que no son irrevocables (o que son irrevocables pero no han sido ejercidos) que se clasificaron anteriormente como pagos basados en acciones que se liquidan en efectivo, pero que ahora se clasifican como liquidados con instrumentos de patrimonio de acuerdo con las modificaciones, una entidad reclasificará el valor en libros del pasivo por pagos basados en acciones a patrimonio en la fecha en que aplique por primera vez las modificaciones.
59B A pesar de los requerimientos del párrafo 59A, una entidad podría aplicar las modificaciones del párrafo 63D de forma retroactiva, con sujeción a las disposiciones transitorias de los párrafos 53 a 59 de esta Norma, de acuerdo con la NIC 8 Políticas Contables, Cambios en las Estimaciones Contables y Errores si y solo si es posible hacerlo sin llevar a cabo razonamientos en retrospectiva. Si una entidad opta por la aplicación retroactiva, debe hacerlo así para todas las modificaciones realizadas mediante Clasificación y Medición de Transacciones con Pagos basados en Acciones (Modificaciones a la NIIF 2).
Fecha de vigencia
......
63 Una entidad aplicará las siguientes modificaciones realizadas mediante Transacciones con pagos basados en acciones que se liquidan en Efectivo del Grupo emitida en junio de 2009 retroactivamente, sujetas a las disposiciones transitorias incluidas en los párrafos 53 a 59, de acuerdo con la NIC 8 Políticas Contables, Cambios en las Estimaciones Contables y Errores para los periodos anuales que comiencen a partir del 1 de enero de 2010:
(a) ...
63D Clasificación y Medición de Transacciones con Pagos basados en Acciones (Modificaciones a la NIIF 2), emitida en junio de 2016, modificó los párrafos 19, 30, 31, 33, 52 y 63 y añadió los párrafos 33A a 33H, 59A, 59B, 63D y B44A a B44C y sus encabezamientos relacionados. Una entidad aplicará esas modificaciones a periodos anuales que comiencen a partir del 1 de enero de 2018. Se permite su aplicación anticipada. Si una entidad aplicase las modificaciones en un periodo que comience con anterioridad, revelará este hecho.
En el Apéndice B, se añaden los párrafos B44A a B44C y sus encabezamientos correspondientes. El nuevo texto está subrayado.
Contabilización de una modificación de una transacción con pagos basados en acciones que cambia su clasificación de liquidada en efectivo a liquidada con instrumentos de patrimonio
B44A Si los términos y condiciones de una transacción con pagos basados en acciones que se liquidan en efectivo se modifican con el resultado de que pase a ser una transacción con pagos basados en acciones que se liquidan con instrumentos de patrimonio, la transacción se contabilizará así desde la fecha de la modificación. Específicamente:
(a) La transacción con pagos basados en acciones que se liquida con instrumentos de patrimonio se mide por referencia al valor razonable de los instrumentos de patrimonio concedidos en la fecha de la modificación. La transacción con pagos basados en acciones liquidada con instrumentos de patrimonio se reconoce en patrimonio, en la fecha de la modificación, en la medida de los bienes o servicios que se han recibido.
(b) El pasivo por la transacción de pagos basados en acciones liquidada en efectivo en la fecha de la modificación se dará de baja en cuentas en esa misma fecha.
(c) Cualquier diferencia entre el importe en libros del pasivo dado de baja en libros y el importe de patrimonio reconocido en la fecha de la modificación se reconocerá de forma inmediata en el resultado del periodo.
B44B Si, como resultado de la modificación se amplía o reduce el periodo de irrevocabilidad de la concesión, la aplicación de los requerimientos del párrafo B44A reflejará el periodo de irrevocabilidad modificado de la concesión. Los requerimientos del párrafo B44A se aplican incluso si la modificación tiene lugar después del periodo de irrevocabilidad de la concesión.
B44C Una transacción con pagos basados en acciones que se liquida en efectivo podría cancelarse o liquidarse (siempre que sea distinta de una transacción que se cancela por caducidad cuando las condiciones para la irrevocabilidad de la concesión no se satisfacen). Si los instrumentos de patrimonio se conceden y, en la fecha de la concesión, la entidad los identifica como una sustitución del pago basado en acciones que se liquida en efectivo, la entidad aplicará los párrafos B44A v B44B.
Aplicación de la NIIF 9 Instrumentos Financieros con las NIIF 4 Contratos de Seguro
(Modificaciones a la NIIF4)
Modificaciones a la NIIF 4 Contratos de Seguro
Se modifica el párrafo 3. El texto nuevo ha sido subrayado y el texto eliminado ha sido tachado.
Alcance
......
3 Esta NIIF no aborda otros aspectos de la contabilidad de las aseguradoras, tales como la contabilización de los activos financieros mantenidos por las aseguradoras y pasivos financieros emitidos por éstas (véase la NIC 32 Instrumentos Financieros': Presentación, NIIF 7 y NIIF 9 Instrumentos Financieros), excepto:
(a) el párrafo 20A permite que las aseguradoras que cumplan criterios especificados apliquen una exención temporal de la NIIF 9;
(b) el párrafo 35B permite que las aseguradoras apliquen el enfoque de la superposición a activos financieros designados; y
(c) en las disposiciones transitorias del el párrafo 45 permite que las aseguradoras reclasifiquen en circunstancias especificadas algunos o todos sus activos financieros, de forma que se midan a valor razonable con cambios en resultados.
.....
Se modifica el párrafo 5. El nuevo texto está subrayado
...
5 Para facilitar las referencias, esta NIIF denomina aseguradora a toda entidad que emita un contrato de seguro, con independencia de que dicha entidad se considere aseguradora a efectos legales o de supervisión. Se interpretará que todas las referencias hechas a una aseguradora, en los párrafos 3(a) y 3(b), 20A a 20Q, 35B a 35N, 39B a 39M y 46 a 49, también se refieren a cualquier emisora de un instrumento financiero que contenga un componente de participación discrecional.
Se añaden nuevos encabezamientos después de los párrafos 20, 20K y 20 N. Se añaden los párrafos nuevos 20A a 20Q.
Reconocimiento y medición
.....
Exención temporal de la NIIF 9
20A La NIIF 9 aborda la contabilización de los instrumentos financieros y estará vigente para los periodos anuales que comiencen a partir del 1 de enero de 2018. Sin embargo, para una aseguradora que cumpla los criterios del párrafo 20B, esta NIIF proporciona una exención temporal que permite, pero no requiere, que dicha aseguradora aplique la NIC 39 Instrumentos Financieros: Reconocimiento y Medición en lugar de la NIIF 9 para los periodos anuales que comiencen antes del 1 de enero de 2021. Una aseguradora que aplique la exención temporal de la NIIF 9:
(a) utilizará los requerimientos de la NIIF 9 que sean necesarios para proporcionar la información a revelar requerida en los párrafos 39B a 39J de esta NIIF; y
(b) aplicará todas las demás NIIF aplicables a sus instrumentos financieros, excepto por lo descrito en los párrafos 20A a 20Q, 39B a 39J, 46 y 47 de esta NIIF.
20B Una aseguradora puede aplicar la exención temporal de la NIIF 9 si, y solo si:
(a) no ha sido aplicada anteriormente cualquier versión de la NIIF 9(1), que no sean los requerimientos para la presentación de las ganancias y pérdidas sobre pasivos financieros designados como a valor razonable con cambios en resultados de los párrafos 5.7.1(c), 5.7.7 a 5.7.9, 7.2.14 y B5.7.5 a B5.7.20 de la NIIF 9; y
(b) sus actividades estén predominantemente conectadas con seguros, como se describe en el párrafo 20D, en su fecha de presentación anual que preceda de forma inmediata al 1 de abril de 2016, o en la fecha de presentación anual posterior como se especifica en el párrafo 20G.
20C Se permite que una aseguradora que aplique la exención temporal de la NIIF 9 opte por utilizar, solo los requerimientos para la presentación de las ganancias y pérdidas sobre pasivos financieros designados como a valor razonable con cambios en resultados de los párrafos 5.7.1(c), 5.7.7 a 5.7.9, 7.2.14 y B5.7.5 a B5.7.20 de la NIIF 9. Si una aseguradora opta por aplicar esos requerimientos, utilizará las disposiciones de transición relevantes de la NIIF 9, revelará el hecho de que haya aplicado dichos requerimientos y proporcionará, sobre una base de gestión continuada, la información a revelar relacionada establecida en los párrafos 10 y 11 de la NIIF 7 [modificada por la NIIF 9 (2010)].
20D Las actividades de una aseguradora están predominantemente conectadas con los seguros si, y solo si:
(a) el importe en libros de sus pasivos que surgen de contratos dentro del alcance de esta NIIF, que incluye los componentes de depósito o derivados implícitos disociados de los contratos de seguro que apliquen los párrafos 7 a 12 de esta NIIF, es significativo en comparación con el importe total de todos sus pasivos; y
(b) el porcentaje del importe total de sus pasivos conectados con seguros (véase el párrafo 20E) con respecto al importe total de todos sus pasivos es:
(i) mayor que el 90 por ciento; o
(ii) menor o igual al 90 por ciento, pero mayor que el 80 por ciento, y la aseguradora no está implicada en una actividad significativa no conectada con seguros (véase el párrafo 20F).
20E A efectos de la aplicación del párrafo 20D (b), los pasivos conectados con seguros comprenden:
(a) pasivos que surgen de contratos dentro del alcance de esta NIIF, como se describe en el párrafo 20D(a);
(b) pasivos de contratos de inversión no derivados medidos a valor razonable con cambios en resultados aplicando la NIC 39 [incluyendo los designados como a valor razonable con cambios en resultados a los que la aseguradora ha aplicado los requerimientos de la NIIF 9 para la presentación de las ganancias y pérdidas (véanse los párrafos 20B(a) y 20C)]; y
(c) pasivos que surgen porque la aseguradora emite los contratos en (a) y (b), o cumple las obligaciones que surgen de los contratos en (a) y (b). Entre los ejemplos de estos pasivos se incluyen los derivados usados para mitigar riesgos que surgen de esos contratos y de los activos que avalan esos contratos, los pasivos fiscales relevantes, tales como los pasivos por impuestos diferidos por diferencias temporarias fiscales sobre pasivos que surgen de esos contratos, y los instrumentos de deuda emitidos que se incluyen en el capital de regulación de la aseguradora.
20F Al evaluar si está implicada en una actividad significativa no conectada con seguros a efectos de la aplicación del párrafo 20D (b)(ii), una aseguradora considerará:
(a) solo las actividades de las que podría obtener ingresos e incurrir en gastos; y
(b) factores cuantitativos o cualitativos (o ambos), incluyendo información públicamente disponible, tal como la clasificación del sector industrial que los usuarios de los estados financieros aplican a la aseguradora.
20G El párrafo 20B(b) requiere que una entidad evalúe si cumple los requisitos para la exención temporal de la NIIF 9, en su fecha de presentación anual que preceda de forma inmediata al 1 de abril de 2016. Después de esa fecha:
(a) Una entidad que anteriormente cumplía los requisitos para la exención temporal de la NIIF 9 evaluará nuevamente si sus actividades están predominantemente conectadas con seguros en la fecha de presentación anual posterior, si y solo si, hubo un cambio en las actividades de la entidad, tal como se describe en los párrafos 20H y 20I, durante el periodo anual que termina en esa fecha.
(a) Se permite que una entidad que anteriormente no cumplía los requisitos para la exención temporal de la NIIF 9 evalúe nuevamente si sus actividades están predominantemente conectadas con seguros en la fecha de presentación anual posterior, antes del 31 de diciembre de 2018 si, y solo si, hubo un cambio en las actividades de la entidad, tal como se describe en los párrafos 20H y 20I, durante el periodo anual que termina en esa fecha.
20H A efectos de la aplicación del párrafo 20G, un cambio en las actividades de una entidad es un cambio que:
(a) se determina por la alta dirección de la entidad como consecuencia de cambios internos o externos;
(b) es significativo para las operaciones de la entidad; y
(c) es demostrable a partes externas.
Por consiguiente, este cambio tiene lugar solo cuando la entidad comienza o cesa de realizar una actividad que es significativa para sus operaciones o cambia de forma significativa la magnitud de una de sus actividades, por ejemplo, cuando la entidad ha adquirido, dispuesto o terminado una línea de negocio.
20I Se espera que un cambio en las actividades de una entidad, como se describe en el párrafo 20H, sea muy poco frecuente. Los siguientes no son cambios en las actividades de una entidad a efectos de la aplicación del párrafo 20G:
(a) un cambio en la estructura de financiación de la entidad que en sí misma no afecta las actividades a partir de las cuales la entidad obtiene ingresos e incurre en gastos.
(b) el plan de la entidad de vender una línea de negocio, incluso si los activos y pasivos se clasifican como mantenidos para la venta aplicando la NIIF 5 Activos no Corrientes Mantenidos para la Venta y Operaciones Discontinuadas. Un plan de venta de una línea de negocio podría cambiar las actividades de la entidad y dar lugar a una nueva evaluación en el futuro, pero aún no ha afectado a los pasivos reconocidos en su estado de situación financiera.
20J Si una entidad deja de cumplir los requisitos para la exención temporal de la NIIF 9 como consecuencia de una nueva evaluación [véase el párrafo 20G(a)], entonces se permite que la entidad continúe aplicando la exención temporal de la NIIF 9 solo hasta el final del periodo anual que comenzó inmediatamente después de la nueva evaluación. No obstante, la entidad debe aplicar la NIIF 9 en los periodos anuales que comiencen a partir del 1 de enero de 2021. Por ejemplo, si una entidad determina que deja de cumplir los requisitos para la exención temporal de la NIIF 9 aplicando el párrafo 20G(a) a 31 de diciembre de 2018 (el final de su periodo anual), entonces se permite que la entidad continúe aplicando la exención temporal de la NIIF 9 solo hasta el 31 de diciembre de 2019.
20K Una aseguradora que anteriormente optó por aplicar la exención temporal de la NIIF 9 puede, al comienzo de cualquier periodo anual posterior optar, de forma irrevocable, por la aplicación de la NIIF 9.
Entidad que adopta por primera vez las NIIF
20L Una entidad que adopta por primera vez las NIIF, como se define en la NIIF 1 Adopción por Primera vez de las Normas Internacionales de Información Financiera, podría aplicar la exención temporal de la NIIF 9 descrita en el párrafo 20A, si y solo si, cumple los criterios descritos en el párrafo 20B. Al aplicar el párrafo 20B(b), la entidad que adopta por primera vez las NIIF utilizará los importes en libros determinados aplicando las NIIF en la fecha especificada en ese párrafo.
20M La NIIF 1 contiene requerimientos y exenciones aplicables a una entidad que adopta por primera vez las NIIF. Esos requerimientos y exenciones (por ejemplo, párrafos D16 y D17 de la NIIF 1) no sustituyen los requerimientos de los párrafos 20A a 20Q y 39B a 39J de esta NIIF. Por ejemplo, los requerimientos y exenciones de la NIIF 1 no sustituyen el requerimiento de que una entidad que adopta por primera vez las NIIF debe cumplir los criterios especificados en el párrafo 20L para aplicar la exención temporal de la NIIF 9.
20N Una entidad que adopta por primera vez las NIIF que revela la información requerida por los párrafos 39B a 39J utilizará los requerimientos y exenciones de la NIIF 1 que son relevantes para realizar las evaluaciones requeridas para esa información a revelar.
Exención temporal de los requerimientos específicos de la NIC 28
20O Los párrafos 35 y 36 de la NIC 28 Inversiones en Asociadas y Negocios Conjuntos requieren que una entidad aplique políticas contables uniformes al usar el método de la participación. No obstante, para periodos anuales que comiencen antes del 1 de enero de 2021, se permite, pero no se requiere, que una entidad mantenga las políticas contables relevantes aplicadas por la asociada o negocio conjunto de la forma siguiente:
(a) la entidad aplica la NIIF 9, pero la asociada o negocio conjunto aplica la exención temporal de la NIIF 9; o
(b) la entidad aplica la exención temporal de la NIIF 9, pero la asociada o negocio conjunto aplica la NIIF 9.
20P Cuando una entidad utiliza el método de la participación para contabilizar su inversión en una asociada o negocio conjunto:
(a) Si la NIIF 9 se aplicaba anteriormente en los estados financieros utilizados para aplicar el método de la participación a esa asociada o negocio conjunto (después de reflejar los ajustes realizados por la entidad), entonces la NIIF 9 continuará aplicándose.
(b) Si la exención temporal de la NIIF 9 se aplicaba anteriormente en los estados financieros utilizados para aplicar el método de la participación a esa asociada o negocio conjunto (después de reflejar los ajustes realizados por la entidad), entonces la NIIF 9 puede aplicarse con posterioridad.
20Q Una entidad puede aplicar los párrafos 20O y 20 P(b) por separado para cada asociada o negocio conjunto.
Se añaden los nuevos párrafos 35A a 35N, 39B a 39M y 46 a 49. Se añaden nuevos encabezamientos tras los párrafos 35A, 35K, 35M, 39A, 39J, 45 y 47.
Componentes de participación discrecional en instrumentos financieros
......
35A Las exenciones temporarias de los párrafos 20A, 20L y 20O y el enfoque de la superposición del párrafo 35B están también disponibles para una emisora de un instrumento financiero que contiene un componente de participación discrecional. Por consiguiente, se interpretará que todas las referencias de los párrafos 3(a) y 3(b), 20A a 20Q, 35B a 35N, 39B a 39M y 46 a 49 a una emisora, se refieren también a la emisora de un instrumento financiero que contiene un componente de participación discrecional.
Presentación
Enfoque de la superposición
35B Se permite, pero no se requiere, que una aseguradora aplique el enfoque de la superposición a activos financieros designados. Una aseguradora que aplique el enfoque de la superposición:
(a) reclasificará entre el resultado del periodo y otro resultado integral un importe que haga que el resultado del periodo al final del periodo sobre el que se informa para los activos financieros designados sea el mismo que si la aseguradora hubiera aplicado la NIC 39 a los activos financieros designados. Por consiguiente, el importe reclasificado es igual a la diferencia entre:
(i) el importe presentado en el resultado del periodo para los activos financieros designados aplicando la NIIF 9; y
(ii) el importe que se habría presentado en el resultado del periodo para los activos financieros designados si la aseguradora hubiera aplicado la NIC 39.
(b) utilizará todas las demás NIIF aplicables a sus instrumentos financieros, excepto por lo descrito en los párrafos 35B a 35N, 39K a 39M, 48 y49 de esta NIIF.
35C Una aseguradora puede optar por aplicar el enfoque de la superposición descrito en el párrafo 35B solo cuando utilice por primera vez la NIIF 9, incluyendo el caso de que use por primera vez la NIIF 9 después de utilizar anteriormente:
(a) la exención temporal de la NIIF 9 descrita en el párrafo 20A; o
(b) solo los requerimientos para la presentación de las ganancias y pérdidas sobre pasivos financieros designados como a valor razonable con cambios en resultados de los párrafos 5.7.1(c), 5.7.7 a 5.7.9, 7.2.14 y B5.7.5 a B5.7.20 de la NIIF 9.
35D Una aseguradora presentará el importe reclasificado entre el resultado del periodo y otro resultado integral aplicando el enfoque de la superposición:
(a) en el resultado del periodo como una partida de los estados financieros separada; y
(b) en otro resultado integral como un componente separado de otro resultado integral.
35E Un activo financiero es elegible para su designación para el enfoque de la superposición si y solo si cumple los siguientes criterios:
(a) se mide a valor razonable con cambios en resultados aplicando la NIIF 9, pero no se hubiera medido así en su totalidad aplicando la NIC 39; y
(b) no se mantiene con respecto a una actividad que no está conectada con contratos dentro del alcance de esta NIIF. Ejemplos de activos financieros que no serían elegibles para el enfoque de la superposición son los mantenidos con respecto a las actividades bancarias o activos financieros mantenidos en fondos relativos a contratos de inversión que quedan fuera del alcance de esta NIIF.
35F Una aseguradora podría designar un activo financiero elegible para el enfoque de la superposición cuando opta por aplicar el enfoque de la superposición (véase el párrafo 35C). Posteriormente, podría designar un activo financiero elegible para el enfoque de la superposición cuando, y solo cuando:
(a) ese activo se reconoce inicialmente; o
(b) ese activo comienza a cumplir el criterio del párrafo 35E(b) que no cumplía anteriormente.
35G Se permite que una aseguradora designe activos financieros elegibles para el enfoque de la superposición aplicando el párrafo 35F instrumento por instrumento.
35H Cuando sea relevante, a efectos de aplicar el enfoque de la superposición a un activo financiero recientemente designado aplicando el párrafo 35F(b):
(a) su valor razonable en la fecha de designación será su nuevo importe en libros a costo amortizado; y
(b) la tasa de interés efectiva se determinará sobre la base de su valor razonable en la fecha de la designación.
35I Una entidad continuará aplicando el enfoque de la superposición a un activo financiero designado hasta que se dé de baja en cuentas. Sin embargo, una entidad:
(a) revocará la designación de un activo financiero cuando éste deja de cumplir el criterio del párrafo 35E(b). Por ejemplo, un activo financiero dejará de cumplir ese criterio cuando una entidad transfiere ese activo, de forma que se mantiene con respecto a sus actividades bancarias o cuando una entidad deja de ser una aseguradora.
(b) Podría, al comienzo de cualquier periodo anual, dejar de aplicar el enfoque de la superposición a todos los activos financieros designados. Una entidad que opta por dejar de aplicar el enfoque de la superposición utilizará la NIC 8 para contabilizar el cambio en la política contable.
35J Cuando una entidad revoque la designación de un activo financiero aplicando el párrafo 35I(a), reclasificará desde otro resultado integral acumulado al resultado del periodo como un ajuste por reclasificación (véase la NIC 1) cualquier saldo relacionado con ese activo financiero.
35K Si una entidad deja de usar el enfoque de la superposición, ya sea porque aplique la opción del párrafo 35I(b) o porque deje de ser una aseguradora, no aplicará posteriormente el enfoque de la superposición. Una aseguradora que haya optado por aplicar el enfoque de la superposición (véase el párrafo 35C), pero no tiene activos financiero elegibles (véase el párrafo 35E) puede aplicar posteriormente el enfoque de la superposición cuando tiene activos financieros elegibles.
Interacción con otros requerimientos
35L El párrafo 30 de esta NIIF permite una práctica que es, en ocasiones, descrita como "contabilidad tácita". Si una aseguradora aplica el enfoque de la superposición podría aplicarse la contabilidad tácita.
35M La reclasificación de un importe entre el resultado del periodo y otro resultado integral aplicando el párrafo 35B podría tener efectos consiguientes para incluir otros importes en otro resultado integral, tal como los impuestos a las ganancias. Una aseguradora aplicará las NIIF relevantes, tales como la NIC 12 Impuesto a las ganancias, para determinar cualquier efecto consiguiente.
Entidad que adopta por primera vez las NIIF
35N Si una entidad que aplica por primera vez las NIIF opta por aplicar el enfoque de la superposición, reexpresará la información comparativa para reflejar el enfoque de la superposición, si y solo si, reexpresa la información comparativa para cumplir con la NIIF 9 (véanse los párrafos E1 y E2 de la NIIF 1). ??
Información a revelar
Información a revelar sobre la exención temporal de aplicar la NIIF 9
39B Una aseguradora que opta por aplicar la exención temporal de la NIIF 9 revelará información que permita a los usuarios de los estados financieros:
(a) comprender cómo la aseguradora cumplió los requisitos para la exención temporal; y
(b) comparar aseguradoras que aplican la exención temporal con entidades que aplican la NIIF 9.
39C Para cumplir con el párrafo 39B(a), una aseguradora revelará el hecho de que está aplicando la exención temporal de la NIIF 9, expresando además cómo concluyó, en la fecha especificada en el párrafo 20B(b), que cumple sus requisitos, incluyendo:
(a) Si el importe en libros de sus pasivos que surge de contratos dentro del alcance de esta NIIF [es decir, los pasivos descritos en el párrafo 20E(a)] era menor o igual al 90 por ciento del importe en libros total de todos sus pasivos, la naturaleza e importe en libros de los pasivos conectados con seguros que no son pasivos que surgen de contratos dentro del alcance de esta NIIF [es decir, los pasivos descritos en los párrafos 20E(b) y 20E(c)];
(b) si el porcentaje del importe en libros total de sus pasivos conectados con seguros con respecto al importe en libros total de todos sus pasivos era menor o igual al 90 por ciento, pero mayor al 80 por ciento, cómo determinó la aseguradora que no estaba implicada en una actividad significativa no conectada con seguros, incluyendo qué información consideró; y
(c) si la aseguradora cumplió los requisitos para la exención temporal de la NIIF 9 sobre la base de una nueva evaluación aplicando el párrafo 20G(b):
(i) la razón de la nueva evaluación;
(ii) la fecha en la que ocurrió el cambio correspondiente en sus actividades; y
(iii) una explicación detallada del cambio en sus actividades y una descripción cualitativa del efecto de ese cambio sobre los estados financieros de la aseguradora.
39D Si, aplicando el párrafo 20G(a), una entidad concluye que sus actividades dejan de estar predominantemente conectadas con seguros, revelará la siguiente información en cada periodo sobre el que se informa antes de comenzar a aplicar la NIIF 9:
(a) el hecho de que deja de cumplir los requisitos para utilizar la exención temporal de NIIF 9;
(b) la fecha en la que ocurrió el cambio correspondiente en sus actividades; y
(c) una explicación detallada del cambio en sus actividades y una descripción cualitativa del efecto de ese cambio sobre los estados financieros de la entidad.
39E Para cumplir con el párrafo 39B(b), una aseguradora revelará el valor razonable al final del periodo sobre el que se informa y el importe del cambio en el valor razonable durante ese periodo para los dos grupos siguientes de activos financieros por separado:
(a) activos financieros con condiciones contractuales que dan lugar en fechas especificadas a flujos de efectivo que son únicamente pagos del principal e intereses sobre el importe principal pendiente (es decir activos financieros que cumplen la condición de los párrafos 4.1.2(b) y 4.1.2A(b) de la NIIF 9), excluyendo cualquier activo financiero que cumple la definición de mantenido para negociar de la NIIF 9, o que se gestiona y cuyo rendimiento se evalúa sobre una base de valor razonable (véase el párrafo B4.1.6 de la NIIF 9).
(b) todos los activos financieros distintos a los especificados en el párrafo 39E(a); esto es, cualquier activo financiero:
(i) con condiciones contractuales que no dan lugar, en fechas especificadas, a flujos de efectivo que son únicamente pagos del principal e intereses sobre el importe del principal pendiente;
(ii) que cumple la definición de mantenidos para negociar de la NIIF 9; o
(iii) que se gestiona y cuyo rendimiento se evalúa sobre la base del valor razonable.
39F Al revelar la información del párrafo 39E, la aseguradora:
(a) podría estimar que el importe en libros del activo financiero medido aplicando la NIC 39 es una aproximación válida de su valor razonable si no se requiere que la aseguradora revele dicho valor razonable aplicando el párrafo 29(a) de la NIIF 7 (por ejemplo, cuentas comerciales por cobrar a corto plazo); y
(b) considerará el nivel de detalle necesario para permitir que los usuarios de los estados financieros comprendan las características de los activos financieros.
39G Para cumplir con el párrafo 39B(b), una aseguradora revelará información sobre la exposición al riesgo crediticio, incluyendo las concentraciones de riesgo crediticio, inherentes en los estados financieros descritos en el párrafo 39E(a). Como mínimo, una aseguradora revelará la siguiente información sobre esos activos financieros al final del periodo sobre el que se informa:
(a) por grado de calificación de riesgo crediticio como se define en la NIIF 7, los importes en libros que aplican la NIC 39 (en el caso de activos financieros medidos a costo amortizado, antes de ajustarlos por cualquier corrección por deterioro de valor).
(b) Para los activos financieros descritos en el párrafo 39E(a) que no tienen riesgo crediticio bajo al final del periodo sobre el que se informa, el valor razonable y el importe en libros aplicando la NIC 39 (en el caso de activos financieros medidos al costo amortizado, antes de ajustarlos por cualquier corrección de deterioro de valor). A efectos de esta información a revelar, el párrafo B5.5.22 de la NIIF 9 proporciona los requerimientos relevantes para evaluar si el riesgo crediticio sobre un instrumento financiero se considera bajo.
39H Para cumplir con el párrafo 39B(b), una aseguradora revelará información sobre dónde puede obtener un usuario de los estados financieros cualquier información de la NIIF 9 públicamente disponible que se relaciona con una entidad dentro del grupo que no se proporciona en los estados financieros consolidados del grupo para el periodo sobre el que se informa correspondiente. Por ejemplo, esta información de la NIIF 9 podría obtenerse de los estados financieros separados o individuales públicamente disponibles de una entidad dentro del grupo que ha aplicado la NIIF 9.
39I Si una entidad optó por aplicar la exención del párrafo 20O de los requerimientos concretos de la NIC 28 revelará ese hecho.
39J Si una entidad aplicó la exención temporal de la NIIF 9 al contabilizar su inversión en una asociada o negocio conjunto utilizando el método de la participación [por ejemplo, véase el párrafo 20O(a)], la entidad revelará, además de la información requerida por la NIIF 12 Información a Revelar sobre Participaciones en Otras Entidades, los siguientes aspectos:
(a) La información descrita en los párrafos 39B a 39H para cada asociada o negocio conjunto que sea significativo para la entidad. Los importes revelados serán los incluidos en los estados financieros conforme a las NIIF de la asociada o negocio conjunto después de reflejar los ajustes realizados por la entidad al usar el método de la participación (véase el párrafo B14(a) de la NIIF 12), en lugar de la participación de la entidad en esos importes.
(b) La información cuantitativa agregada descrita en los párrafos 39B a 39H para todas las asociadas y negocios conjuntos que no sean individualmente significativos. Los importes agregados:
(i) revelados serán la participación de la entidad en esos importes; y
(ii) para asociadas, se revelarán por separado de los importes agregados revelados para los negocios conjuntos.
Información a revelar sobre el enfoque de la superposición
39K Una aseguradora que aplica el enfoque de la superposición revelará información que permita a los usuarios de los estados financieros comprender:
(a) cómo se calcula el importe total reclasificado entre el resultado del periodo y otro resultado integral en el periodo sobre el que se informa; y
(b) el efecto de esa reclasificación en los estados financieros.
39L Para cumplir con el párrafo 39K, una aseguradora revelará:
(a) el hecho de que se esté aplicando el enfoque de la superposición;
(b) el importe en libros al final del periodo sobre el que se informa de los activos financieros a los que la aseguradora aplica el enfoque de la superposición por clase de activo financiero;
(c) la base para designar activos financieros a efectos del enfoque de la superposición, incluyendo una explicación de cualquier activo financiero designado que se mantenga fuera de la entidad legal que emite contratos dentro del alcance de esta NIIF;
(d) Una explicación del importe total reclasificado entre el resultado del periodo y otro resultado integral en el periodo sobre el que se informa, de forma que permita a los usuarios de los estados financieros comprender de dónde procede:
(i) el importe presentado en el resultado del periodo para los activos financieros designados aplicando la NIIF 9; y
(ii) el importe que se habría presentado en el resultado del periodo para los activos financieros designados si la aseguradora hubiera aplicado la NIC 39.
(e) el efecto de la reclasificación descrita en los párrafos 35B y 35M sobre cada partida del resultado del periodo afectada; y
(f) si durante el periodo sobre el que se informa la aseguradora ha cambiado la designación de los activos financieros:
(i) el importe reclasificado entre el resultado del periodo y otro resultado integral, dentro del periodo sobre el que se informa, en relación con los nuevos activos financieros designados para aplicar el enfoque de la superposición [véase el párrafo 35F(b)];
(ii) el importe que habría sido reclasificado entre el resultado del periodo y otro resultado integral en el periodo sobre el que se informa, si no se hubiera revocado la designación de los activos financieros [véase el párrafo 35I(a)]; y
(iii) el importe reclasificado en el periodo sobre el que se informa al resultado del periodo desde otro resultado integral acumulado para activos financieros cuya designación haya sido revocada (véase el párrafo 35J).
39M Si una entidad aplicó el enfoque de la superposición al contabilizar su inversión en una asociada o negocio conjunto utilizando el método de la participación, la entidad revelará, además de la información requerida por la NIIF 12:
(a) La información descrita en los párrafos 39K a 39L para cada asociada o negocio conjunto que sea significativo para la entidad. Los importes revelados serán los incluidos en los estados financieros conforme a las NIIF de la asociada o negocio conjunto después de reflejar los ajustes realizados por la entidad al usar el método de la participación (véase el párrafo B14(a) de la NIIF 12), en lugar de la participación de la entidad en esos importes.
(b) La información cuantitativa descrita en los párrafos 39K a 39L(d) y 39L(f), así como el efecto de la reclasificación descrita en el párrafo 35B en el resultado del periodo y otro resultado integral, en términos agregados, para todos los negocios conjuntos o asociadas que tomados individualmente no sean significativos. Los importes agregados:
(i) revelados serán la participación de la entidad en esos importes; y
(ii) para asociadas, se revelarán por separado de los importes agregados revelados para los negocios conjuntos.
Fecha de vigencia y transición.
Aplicación de la NIIF 4 con la NIIF 9
Exención temporal de la NIIF 9
46 Aplicación de la NIIF 9 Instrumentos Financieros con la NIIF 4 Contratos de Seguro (Modificaciones a la NIIF 4), emitida en septiembre de 2016, modificó los párrafos 3 y 5 y añadió los párrafos 20A a 20Q, 35A y 39B a 39J y los encabezamientos después de los párrafos 20, 20K, 20N y 39A. Una entidad aplicará esas modificaciones, que permiten a las aseguradoras que cumplan criterios específicos la utilización de una exención temporal de la NIIF 9 para periodos anuales que comiencen a partir del 1 de enero de 2018.
47 Una entidad que revela la información requerida por los párrafos 39B a 39J utilizará las disposiciones de transición a la NIIF 9 que son relevantes para realizar las evaluaciones requeridas para esa información a revelar. La fecha de la aplicación inicial para ese propósito se considerará que es el comienzo del primer periodo anual que comience a partir del 1 de enero de 2018.
Enfoque de la superposición
48 Aplicación de la NIIF 9 Instrumentos Financieros con la NIIF 4 Contratos de Seguro (Modificaciones a la NIIF 4), emitida en septiembre de 2016, modificó los párrafos 3 y 5 y añadió los párrafos 35A a 35N y 39K a 39M y los encabezamientos después de los párrafos 35A, 35K, 35M y 39J. Una entidad aplicará las modificaciones, que permiten a las aseguradoras la utilización del enfoque de la superposición a los activos financieros designados, cuando aplique por primera vez la NIIF 9 (véase el párrafo 35C).
49 Una entidad que opte por aplicar el enfoque de la superposición:
(a) Aplicará el enfoque de forma retroactiva a los activos financieros designados en la transición a la NIIF 9. Por consiguiente, por ejemplo, la entidad reconocerá como un ajuste al saldo de apertura del otro resultado integral acumulado un importe igual a la diferencia entre el valor razonable de los activos financieros designados determinados utilizando la NIIF 9 y sus importes en libros determinados usando la NIC 39.
(b) Reexpresará la información comparativa para reflejar el enfoque de la superposición si y solo si la entidad reexpresa la información comparativa aplicando la NIIF 9.
NOTAS AL FINAL:
1. El consejo emitió versiones sucesivas de la NIIF 9 en 2009, 2010, 2013 y 2014
Transferencia de Propiedades de Inversión
(Modificaciones a la NIC 40)
Modificaciones a la NIC 40 Propiedades de Inversión
Se modifican los párrafos 57 y 58. El texto eliminado está tachado y el texto nuevo está subrayado.
Transferencias
57 Transferencias Una entidad transferirá una propiedad a, o desde, propiedades de inversión se realizarán cuando, y solo cuando, exista un cambio en su uso, que se haya evidenciado por:. Un cambio de uso ocurre cuando la propiedad cumple, o deja de cumplir, la definición de propiedades de inversión y existe evidencia del cambio de uso. Aisladamente, un cambio en las intenciones de la gerencia de uso de una propiedad no proporciona evidencia de un cambio de uso. Ejemplos de evidencia de un cambio de uso incluyen:
(a) el comienzo de la ocupación del propietario, o del desarrollo con intención de ocupación por el propietario, en el caso de una transferencia de una propiedad de inversión a propiedades ocupadas por el propietario;
(b) el comienzo de un desarrollo con intención de venta, en el caso de una transferencia de una propiedad de inversión a inventarios;
(c) el fin de la ocupación por parte del propietario, en el caso de la transferencia de una instalación ocupada por el propietario a una propiedad de inversión; o y
(d) el inicio de una operación de arrendamiento operativo a un tercero, en el caso de una transferencia de inventarios a propiedad de inversión.
(e) [eliminado]
58 El apartado (b) del anterior párrafo 57 requiere que la entidad transfiera una propiedad de inversión a inventarios cuando, y sólo cuando, exista un cambio de uso, evidenciado por el inicio de un desarrollo con intención de venta. Cuando la entidad decide disponer de una propiedad de inversión sin hacer un desarrollo específico, continuará clasificando la propiedad como de inversión hasta que sea dada de baja en cuentas (eliminada del estado de situación financiera) y no la tratará reclasificará como inventario. De forma similar, si la entidad reinicia el desarrollo de una propiedad de inversión, para continuar manteniéndola en el futuro como propiedad de inversión, ésta permanecerá como tal y no se reclasificará como propiedad ocupada por el propietario durante la nueva etapa de desarrollo.
Se añaden los párrafos 84C a 84E y sus encabezamientos correspondientes y el párrafo 85G.
Disposiciones transitorias.
....
Transferencias de Propiedades de Inversión
84C Transferencias de Propiedades de Inversión (Modificaciones a la NIC 40), emitida en diciembre de 2016, modificó los párrafos 57 y 58. Una entidad aplicará esas modificaciones a cambios de uso que tengan lugar a partir del comienzo del periodo anual sobre el que se informa en el que la entidad aplique por primera vez las modificaciones (la fecha de la aplicación inicial). En la fecha de la aplicación inicial, una entidad evaluará nuevamente la clasificación de las propiedades mantenidas en esa fecha y, si procede, reclasificará las propiedades aplicando los párrafos 7 a 14 para reflejar las condiciones que existan en esa fecha.
84D A pesar de los requerimientos del párrafo 84C, se permite que una entidad aplique las modificaciones a los párrafos 57 y 58 de forma retroactiva, de acuerdo con la NIC 8 si, y solo si, eso es posible sin el uso del razonamiento en retrospectiva.
84E Si, de acuerdo con el párrafo 84C, una entidad reclasifica las propiedades en la fecha de aplicación inicial, la entidad: (
a) Contabilizará la reclasificación aplicando los requerimientos de los párrafos 59 a 64. Al aplicar los párrafos 59 a 64, una entidad:
(i) interpretará cualquier referencia a la fecha del cambio de uso como la fecha de la aplicación inicial; y
(ii) reconocerá cualquier importe que, de acuerdo con los párrafos 59 a 64, se hubiera reconocido en el resultado del periodo como un ajuste al saldo de apertura de las ganancias acumuladas en la fecha de la aplicación inicial.
(b) Revelará los importes reclasificados a, o desde, propiedades de inversión de acuerdo con el párrafo 84C. La entidad revelará los importes reclasificados como parte de la conciliación del importe en libros de las propiedades de inversión al comienzo y al final del periodo como requieren los párrafos 76 y 79.
Fecha de vigencia.
....
85G Transferencias de Propiedades de Inversión (Modificaciones a la NIC 40), emitida en diciembre de 2016, modificó los párrafos 57 y 58 y añadió los párrafos 84C a 84E. Una entidad aplicará esas modificaciones a periodos anuales que comiencen a partir del 1 de enero de 2018. Se permite su aplicación anticipada. Si una entidad aplica esas modificaciones en un periodo que comience con anterioridad, revelará este hecho.
Mejoras Anuales a la Normas NIIF
Ciclo 201-2016
Modificaciones a la NIIF 1 Adopción por Primera vez de las Normas Internacionales de Información Financiera
Se modifican los párrafos 39L y 39T, se eliminan los párrafos 39D, 39F y 39AA y se añade el párrafo 39AD. El texto nuevo está subrayado y el texto eliminado está tachado.
Fecha de vigencia
....
39D eliminado Exención Limitada de la Información a Revelar Comparativa de la NIIF 7 para Entidades que Adoptan por Primera vez las NIIF (Modificación a la NIIF 1) omitido en enero do 2010, añadió el párrafo E3. Una entidad aplicará esa modificación para los periodos anuales que comiencen a partir del 1 de julio do 2010. Se permite una aplicación anticipada. Si una entidad aplicase la modificación en un periodo quo comience con anterioridad, revolará cato hecho.
39F (Eliminado) Información a Revelar Transferencias de Activos Financieros (Modificaciones a la NIIF 7), emitido en octubre de 2010, añadió el párrafo E4. Una entidad aplicará esa modificación para los periodos anuales que comiencen a partir del 1 de julio de 2011. Se permite una aplicación anticipada. Si una entidad aplicase la modificación en un periodo que comience con anterioridad, revelará este hecho.
39L La NIC 19 Beneficios a los Empleados (modificada en junio de 2011) modificó el párrafo D1,_y eliminó los párrafos D10 y D11 y añadió el párrafo E5. Una entidad aplicará esas modificaciones cuando utilice la NIC 19 (modificada en junio de 2011).
39T Entidades de Inversión (Modificaciones a lao NIIF 10, NIIF 12 y NIC 27), emitida en octubre de 2012, modificó los párrafos D16, D17 y el Apéndice C y añadió un encabezamiento y los párrafos E6 y E7. Una entidad aplicará esas modificaciones a periodo anual que empiecen a partir del 1 de enero de 2014. Se permite la aplicación anticipada de Entidades de Inversión. Si una entidad aplica esas modificaciones con anterioridad, utilizará también todas las modificaciones incluidas en Entidades de Inversión al mismo tiempo.
39AA Eliminado Mejoras Anuales a las NIIF, Ciclo 2012 2014, emitida en septiembre de 2014, añadió el párrafo E4A. Una entidad aplicará esa modificación para los periodos anuales que comiencen a partir del 1 de enero de 2016. Se permite una aplicación anticipada. Si una entidad aplicada la modificación en un periodo que comience con anterioridad, revelará ese hecho.
39AD Mejoras Anuales a las Normas NIIF, Ciclo 2014-2016, emitida en diciembre de 2016, modificó los párrafos 39L y 39T, y eliminó los párrafos 39D, 39F, 39AA y E3 a E7. Una entidad aplicará esas modificaciones a periodos anuales que comiencen a partir del 1 de enero de 2018.
En el Apéndice E, se eliminan los párrafos E3 a E7 y su encabezamiento correspondiente.
Apéndice E
Exenciones a corto plazo de las NIIF
Este Apéndice forma parte integrante de la NIIF...
.....
Información a revelar sobre instrumentos financieros
E3 Eliminado Una entidad quo adopta por primera voz lao NIIF podrá aplicar las disposiciones do transición del párrafo 44G do la NIIF 7.2
2 El párrafo E3 lo añadió como consecuencia do Exención Limitada de la Información a Revelar Comparativa de–la NIIF 7 para Entidades que Adoptan por Primera vez las NIIF (Modificación a la NIIF 1) omitido en enero do 2010. Para evitar el uso potencial de la retrospectiva y asegurar quo las entidades quo adoptan por primera voz lao NIIF no se encuentran en desventaja en comparación con las que las aplican actualmente, el Consejo decidió quo se los debe permitir utilizar las mismas disposiciones transitorias quo a lao entidades que preparan los estados financieros de acuerdo con lao NIIF incluidas en Mejora de la Información a Revelar sobre Instrumentos Financieros (Modificaciones a la NIIF 7).
E4 Eliminado Una entidad quo adopta por primera voz lao NIIF podrá aplicar las disposiciones determinación del párrafo 44M do la NIIF 7.3
3 El párrafo E4 o añadió como consecuencia do Información a Revelar Transferencias de Activos Financieros (Modificaciones a la NIIF 7) omitido en octubre do 2010. Para evitar el uso potencial de la retrospectiva y asegurar que las entidades quo adoptan por primera voz lao NIIF no se encuentran en desventaja en comparación con las que las aplican actualmente, el Consejo decidió quo se los debe permitir utilizar las mismas disposiciones transitorias quo a las entidades que preparan los estados financieros de acuerdo con las NIIF incluidas–en Información a Revelar Transferencias de Activos Financieros (Modificaciones a la NIIF 7).
E4A Eliminado Una entidad quo adopta por primera voz lao NIIF podrá aplicar las disposiciones de terminación del párrafo 44AA do la NIIF 7.
Beneficios a los empleados
E5 Eliminado Una entidad quo adopta por primera voz lao NIIF podrá aplicar las disposiciones transitorias del párrafo 173(b) do la NIC 19.
Entidades de Inversión
E6 Eliminado Una controladora que adopta por primera voz lao NIIF evaluará si es una entidad de inervación, tal como se defino en la NIIF 10, cobro los basados hechos y circunstancias que existen en la fecha do transición a lao NIIF.
E7 Eliminado Una entidad de inervación quo adopta por primera voz lao NIIF, tal como se define en la NIIF 10, puede aplicar lao disposición de transición de los párrafos C3C y C3D do la NIIF 10 y do los párrafos 18C a 18G do la NIC 27 si que primeros estados financieros conforme a las NIIF son para un periodo anual quo termina a 31 de diciembre do 2014. Las referencias en párrafos al periodo anual quo procede de forma inmediata a la fecha de aplicación inicial deberán interpretarlo como el primer periodo anual presentado. Por consiguiente, las referencias en párrafos deberán interpretarlo como la fecha de transición a lao NIIF.
Modificaciones a la NIIF 12 Información a Revelar sobre Participaciones en Otras Entidades
Se añade el párrafo 5A.
Alcance.
.....
5A Excepto por lo descrito en el párrafo B17, los requerimientos de esta NIIF se aplican a las participaciones de una entidad enumeradas en el párrafo 5 que están clasificadas (o incluidas en un grupo para su disposición que está clasificado) como mantenidas para la venta u operaciones discontinuadas de acuerdo con la NIIF 5 Activos No Corrientes Mantenidos para la Venta y Operaciones Discontinuadas.
...
En el Apéndice B, se modifica el párrafo B17. El texto nuevo está subrayado y el texto eliminado está tachado.
Información financiera resumida sobre subsidiarias, negocios conjuntos y asociadas (párrafos 12 y 21).
....
B17 Cuando la participación de una entidad en una subsidiaria, un negocio conjunto o una asociada (o un parte de su participación en un negocio conjunto o asociada) se clasifique (o se incluya en un grupo para su disposición que esté clasificado) como mantenida para la venta de acuerdo con la NIIF 5 Activos no Corrientes Mantenidos para la Venta y Operaciones Discontinuadas, no se requiere que la entidad revele información financiera resumida para esa subsidiaria, negocio conjunto o asociada de acuerdo con los párrafos B10 a B16.
En el Apéndice C, se añade el párrafo C1D.
Fecha de vigencia y transición.
...
C1D Mejoras Anuales a las Normas NIIF, Ciclo 2014-2016, emitida en diciembre de 2016, añadió el párrafo 5A y modificó el párrafo B17. Una entidad aplicará esas modificaciones de forma retroactiva de acuerdo con la NIC 8 Políticas Contables, Cambios en las Estimaciones Contables y Errores para los periodos anuales que comiencen a partir del 1 de enero de 2017.
Modificaciones a la NIC 28 Inversiones en Asociadas y Negocios Conjuntos
Se modifican los párrafos 18 y 36A y se añade el párrafo 45E. El texto nuevo está subrayado y el texto eliminado está tachado.
Exención de la aplicación del método de la participación.
...
18 Cuando una inversión en una asociada o negocio conjunto se lleva a cabo por, o se lleva a cabo indirectamente a través de una entidad que es una organización de capital de riesgo o un fondo de inversión colectiva, fideicomiso de inversión u otra entidad análoga, incluyendo los fondos de seguro ligados a inversiones, la entidad puede optar por medir las esa inversiones en esas asociadas y negocios conjuntos a valor razonable con cambios en resultados de acuerdo con la NIIF 9. Una entidad realizará esta elección de forma separada para cada asociada o negocio conjunto, en el reconocimiento inicial de la asociada o negocio conjunto.
...
Procedimientos del método de la participación.
...
36A A pesar del requerimiento del párrafo 36, si una entidad que no es una entidad de inversión tiene una participación en una asociada o negocio conjunto que es una entidad de inversión, la entidad puede, al aplicar el método de la participación, optar por conservar la medición del valor razonable aplicada por esa asociada o negocio conjunto que es una entidad de inversión a las participaciones de la asociada o negocio conjunto que es una entidad de inversión en subsidiarias. Esta elección se realiza de forma separada para cada asociada o negocio conjunto que sea una entidad de inversión, en la fecha posterior de entre las siguientes: (a) cuando la asociada o negocio conjunto que es una entidad de inversión se reconoce inicialmente; (b) cuando la asociada o negocio conjunto pasa a ser una entidad de inversión; y (c) cuando la asociada o negocio conjunto que es una entidad de inversión pasa a ser una controladora.
.....
Fecha de vigencia y transición.
....
45E Mejoras Anuales a las Normas NIIF, Ciclo 2014-2016, emitida en diciembre de 2016 modificó los párrafos 18 y 36A. Una entidad aplicará esas modificaciones de forma retroactiva de acuerdo con la NIC 8 a los periodos anuales que comiencen a partir del 1 de enero de 2018. Se permite su aplicación anticipada. Si una entidad aplica esas modificaciones en un periodo que comience con anterioridad, revelará este hecho.
Las Normas Internacionales de Información Financiera (NIIF) junto con su documentación complementaria se emiten por el Consejo de Normas Internacionales de Contabilidad (IASB),30 Cannon Street, London EC4M 6XH, United Kingdom. Tel: +44 (0)20 7246 6410 Fax: +44 (0)20 7246 6411Correo electrónico: iasb@ifrs.org Web: www.ifrs.orgCopyright © 2011 IFRS Foundation El IASB, la Fundación IFRS, los autores y los editores no aceptan responsabilidad alguna por las pérdidas que se puedan causar a las personas que actúen o se abstengan de actuar basándose en el material incluido en esta publicación, ya se haya causado esta pérdida por negligencia o por otra causa. Las NIIF (que incluyen las Normas Internacionales de Contabilidad e Interpretaciones) son propiedad de la Fundación IFRS. El texto aprobado de las NIIF es el emitido por el IASB en idioma inglés. Se pueden obtener copias en el Departamento de Publicaciones de la Fundación IFRS. Para consultar las cuestiones relativas a los derechos de propiedad y copia, dirigirse a: IFRS Foundation Publications Department; 30 Cannon Street, London EC4M 6XH, United Kingdom.Tel: +44 (0)20 7332 2730 Fax: +44 (0)20 7332 2749 Correo electrónico: publications@ifrs.org Web: www.ifrs.org Reservados todos los derechos. Ninguna parte de estas publicaciones puede ser traducida, reimpresa, ni reproducida o utilizada en ninguna forma, ya sea total o parcialmente, ni siquiera utilizando medios electrónicos, mecánicos o de otro tipo, existentes o por inventar, incluyendo fotocopiado y grabación u otros sistemas de almacenamiento o recuperación de información, sin el permiso previo, por escrito, de la Fundación IFRS. La traducción al español de las Normas Internacionales de Información Financiera, Interpretaciones y del resto del material procedente del IASB, que se ha incluido en esta publicación, ha sido aprobada por un Comité de Revisión nombrado por la Fundación IFRS.
ANEXO 2.1.
MARCO TÉCNICO NORMATIVO PARA LOS PREPARADORES DE INFORMACIÓN FINANCIERA QUE CONFORMAN EL GRUPO 2
Incorporación del párrafo corregido 29.13, de las normas de información financiera para PYMES, al Anexo Técnico 2.1., que hace parte integral del Decreto 2496 de 2015.
Incorporación del párrafo corregido 29.13, de las normas de información financiera para PYMES, al Anexo Técnico 2.1., que hace parte integral del Decreto 2496 de 2015.
29.13 Ejemplos de situaciones en las que surgen diferencias temporarias incluyen:
(a) los activos identificables adquiridos y pasivos asumidos en una combinación de negocios se reconocen a sus valores razonables de acuerdo con la Sección 19 Combinaciones de Negocios y Plusvalía, pero no se realiza un ajuste equivalente a efectos fiscales (por ejemplo, la base fiscal de un activo puede mantenerse al costo del propietario anterior). El activo o pasivo por impuestos diferidos resultante afecta al importe de la plusvalía que reconoce la entidad.
(b) activos que se miden nuevamente, sin hacer un ajuste similar a efectos fiscales. Por ejemplo, esta Norma permite o requiere que ciertos activos se midan nuevamente a valor razonable o se revalúen (por ejemplo, la Sección 16 Propiedades de Inversión y la Sección 17 Propiedades, Planta y Equipo).
(c) la plusvalía surge en una combinación de negocios, por ejemplo, la base fiscal de la plusvalía será cero si las autoridades fiscales no permiten la amortización o los deterioros de valor de la plusvalía como un gasto deducible cuando se determina la ganancia fiscal y no permite que se trate el costo de la plusvalía como un gasto deducible en el momento de la disposición de la subsidiaria.
(d) la base fiscal de un activo o un pasivo difiere, en el momento de su reconocimiento inicial, de su importe en libros inicial.
(e) el importe en libros de las inversiones en subsidiarias, sucursales y asociadas, o el de la participación en negocios conjuntos, difiere de la base fiscal de la inversión o participación.
No todas estas diferencias temporarias darán lugar a activos y pasivos por impuestos diferidos (véanse los párrafos 29.14 a 29.16).
ANEXO 4.1
MARCO TECNICO NORMATIVO DE LAS NORMAS DE ASEGURAMIENTO DE LA INFORMACION
Incorporación de una nueva página 548 que contiene el diagrama de flujo del párrafo A47 de la NIA 600 en reemplazo de la incorporada en el anexo 4.1. Del Decreto 2132 de 2016.
Incorporación de una nueva página 548 que contiene el diagrama de flujo del párrafo A47 de la NIA 600 en reemplazo de la incorporada en el anexo 4.1. Del Decreto 2132 de 2016.

ANEXO 4.2
MARCO TECNICO NORMATIVO DE LAS NORMAS DE ASEGURAMIENTO DE LA INFORMACION
CONTENIDO
NIA 700 (Revisada), Formación de la opinión y emisión del informe de auditoría sobre los estados financieros
NIA701, Comunicación de las cuestiones clave de la auditoría en el informe emitido por un auditor independiente
NIA705 (Revisada), Opinión modificada en el informe de auditoría emitido por auditor independiente
NIA706 (Revisada), Párrafos de énfasis y párrafos sobre otras cuestiones en el informe de auditoría emitido por un auditor independiente
NIA570 (Revisada), Empresa en funcionamiento
NIA260 (Revisada), Comunicación con los responsables del gobierno de la entidad
Modificaciones de concordancia con otras NIA
NORMA INTERNACIONAL DE AUDITORÍA 700 (REVISADA) FORMACION DE LA OPINIÓN Y EMISION DEL INFORME DE AUDITORÍA SOBRE LOS ESTADOS FINANCIEROS
(Aplicable a las auditorías de estados financieros correspondientes a periodos terminados a partir del 15 de diciembre de 2016)
CONTENIDO
Introducción
Alcance de esta NIA
Fecha de entrada en vigor
Objetivos
Definiciones
Requerimientos
Formación de la opinión sobre los estados financieros
Tipo de opinión
Informe de auditoría
Información adicional presentada junto con los estados financieros
Guía de aplicación y otras anotaciones explicativas
Aspectos cualitativos de las prácticas contables de la entidad
Revelación del efecto de las transacciones y los hechos que resulten materiales sobre la información contenida en los estados financieros
Descripción del marco de información financiera aplicable
Tipo de opinión
Informe de auditoría
Información adicional presentada junto con los estados financieros
Anexo: Ejemplos de informes de auditoría emitidos por un auditor independiente sobre estados financieros
La Norma Internacional de Auditoría (NIA) 700 (Revisada), Formación de la opinión y emisión del informe de auditoría sobre los estados financieros, debe interpretarse conjuntamente con la NIA 200, Objetivos globales del auditor independiente y realización de la auditoría de conformidad con las Normas Internacionales de Auditoría.
Introducción
Alcance de esta NIA
1. Esta Norma Internacional de Auditoría (NIA) trata de la responsabilidad que tiene el auditor de formarse una opinión sobre los estados financieros. También trata de la estructura y el contenido del informe de auditoría emitido como resultado de una auditoría de estados financieros.
2. La NIA 701(1) trata de la responsabilidad que tiene el auditor de comunicar las cuestiones clave de la auditoría en el informe de auditoría. La NIA 705 (Revisada)(2)y la NIA 706 (Revisada)(3) tratan del modo en que la estructura y el contenido del informe de auditoría se ven afectados cuando el auditor expresa una opinión modificada o incluye un párrafo de énfasis o un párrafo sobre otras cuestiones en el informe de auditoría. Otras NIA contienen asimismo requerimientos de información que son aplicables cuando se emite un informe de auditoría.
3. La presente NIA se aplica a la auditoría de un conjunto completo de estados financieros con fines generales y se ha redactado en ese contexto. La NIA 800(4) trata de los aspectos particulares a tener en cuenta cuando los estados financieros se preparan de conformidad con un marco de información financiera con fines específicos. La NIA 805(5) trata de las consideraciones especiales aplicables en una auditoría de un solo estado financiero o de un elemento, cuenta o partida específicos de un estado financiero. Esta NIA también es aplicable a las auditorías en las que son aplicables la NIA 800 o la NIA 805.
4. Los requerimientos de esta NIA tienen como finalidad alcanzar un equilibrio adecuado entre la necesidad de congruencia y comparabilidad entre informes de auditoría emitidos globalmente y la necesidad de incrementar el valor de la información proporcionada por los auditores haciendo que la información que proporciona el informe de auditoría sea más relevante para los usuarios. Esta NIA fomenta la congruencia del informe de auditoría pero reconoce la necesidad de flexibilidad para amoldarse a las circunstancias concretas de las distintas jurisdicciones. Cuando la auditoría se realiza de conformidad con las NIA, la congruencia del informe de auditoría promueve la credibilidad en el mercado global al hacer más fácilmente identificables aquellas auditorías que han sido realizadas de conformidad con unas normas reconocidas a nivel mundial. También ayuda a fomentar la comprensión por parte del usuario y a identificar, cuando concurren, circunstancias inusuales.
Fecha de entrada en vigor
5. Esta NIA es aplicable a las auditorías de estados financieros correspondientes a periodos terminados a partir del 15 de diciembre de 2016.
Objetivos
6. Los objetivos del auditor son:
(a) la formación de una opinión sobre los estados financieros basada en una evaluación de las conclusiones extraídas de la evidencia de auditoría obtenida; y
(b) la expresión de dicha opinión con claridad mediante un informe escrito.
Definiciones
7. A efectos de las NIA, los siguientes términos tienen los significados que figuran a continuación:
(a) Estados financieros con fines generales: los estados financieros preparados de conformidad con un marco de información con fines generales.
(b) Marco de información con fines generales: un marco de información financiera diseñado para satisfacer las necesidades comunes de información financiera de un amplio espectro de usuarios. El marco de información financiera puede ser un marco de imagen fiel o un marco de cumplimiento.
El término “marco de imagen fiel” se utiliza para referirse a un marco de información financiera que requiere el cumplimiento de sus requerimientos y además:
(i) reconoce de forma explícita o implícita que, para lograr la presentación fiel de los estados financieros, puede ser necesario que la dirección revele información adicional a la requerida específicamente por el marco; o
(ii) reconoce explícitamente que puede ser necesario que la dirección no cumpla alguno de los requerimientos del marco para lograr la presentación fiel de los estados financieros. Se espera que esto sólo sea necesario en circunstancias extremadamente poco frecuentes.
El término “marco de cumplimiento” se utiliza para referirse a un marco de información financiera que requiere el cumplimiento de sus requerimientos, sin contemplar las posibilidades descritas en los apartados (i) o (ii) anteriores(6).
(c) Opinión no modificada (favorable): opinión expresada por el auditor cuando concluye que los estados financieros han sido preparados, en todos los aspectos materiales, de conformidad con el marco de información financiera aplicable(7).
8. “Estados financieros” en esta NIA se refiere a “un conjunto completo de estados financieros con fines generales, con notas explicativas”. Las notas explicativas normalmente incluyen un resumen de las políticas contables significativas y otra información explicativa. Los requerimientos del marco de información financiera aplicable determinan la estructura y el contenido de los estados financieros, así como lo que constituye un conjunto completo de estados financieros.
9. En esta NIA, las “Normas Internacionales de Información Financiera” hacen referencia a las Normas Internacionales de Información Financiera (NIIF), emitidas por el Consejo de Normas Internacionales de Contabilidad, y las “Normas Internacionales de Contabilidad para el Sector Público” se refieren a las Normas Internacionales de Contabilidad para el Sector Público (NICSP) emitidas por el Consejo de Normas Internacionales de Contabilidad para el Sector Público.
Requerimientos
Formación de la opinión sobre los estados financieros
10. El auditor se formará una opinión sobre si los estados financieros han sido preparados, en todos los aspectos materiales, de conformidad con el marco de información financiera aplicable(8)(9).
11. Con el fin de formarse dicha opinión, el auditor concluirá si ha obtenido una seguridad razonable sobre si los estados financieros en su conjunto están libres de incorrección material, debida a fraude o error. Dicha conclusión tendrá en cuenta:
(a) la conclusión del auditor, de conformidad con la NIA 330, sobre si se ha obtenido evidencia de auditoría suficiente y adecuada(10);
(b) la conclusión del auditor, de conformidad con la NIA 450, sobre si las incorrecciones no corregidas son materiales, individualmente o de forma agregada(11), y
(c) las evaluaciones requeridas por los apartados 12-15.
12. El auditor evaluará si los estados financieros han sido preparados, en todos los aspectos materiales, de conformidad con los requerimientos del marco de información financiera aplicable. Dicha evaluación tendrá también en consideración los aspectos cualitativos de las prácticas contables de la entidad, incluidos los indicadores de posible sesgo en los juicios de la dirección. (Ref: Apartados A1-A3)
13. En especial, teniendo en cuenta los requerimientos del marco de información financiera aplicable, el auditor evaluará si:
(a) los estados financieros revelan adecuadamente las políticas contables significativas seleccionadas y aplicadas;
(b) las políticas contables seleccionadas y aplicadas son congruentes con el marco de información financiera aplicable, así como adecuadas;
(c) las estimaciones contables realizadas por la dirección son razonables;
(d) la información presentada en los estados financieros es relevante, fiable, comparable y comprensible;
(e) los estados financieros revelan información adecuada que permita a los usuarios a quienes se destinan entender el efecto de las transacciones y los hechos que resultan materiales sobre la información contenida en los estados financieros y (Ref: Apartado A4)
(f) la terminología empleada en los estados financieros, incluido el título de cada estado financiero, es adecuada.
14. Cuando los estados financieros se preparen de conformidad con un marco de imagen fiel, la evaluación requerida por los apartados 12-13 incluirá también la evaluación de si los estados financieros logran la presentación fiel. Al evaluar si los estados financieros expresan la imagen fiel, el auditor considerará:
(a) la presentación, estructura y contenido globales de los estados financieros; y
(b) si los estados financieros, incluidas las notas explicativas, presentan las transacciones y los hechos subyacentes de modo que logren la presentación fiel.
15. El auditor evaluará si los estados financieros describen o hacen referencia adecuadamente al marco de información financiera aplicable. (Ref: Apartados A5-A10)
Tipo de opinión
16. El auditor expresará una opinión no modificada (favorable) cuando concluya que los estados financieros han sido preparados, en todos los aspectos materiales, de conformidad con el marco de información financiera aplicable.
17. El auditor expresará una opinión modificada en el informe de auditoría, de conformidad con la NIA 705 (Revisada), cuando:
(a) concluya que, sobre la base de la evidencia de auditoría obtenida, los estados financieros en su conjunto no están libres de incorrección material; o
(b) no pueda obtener evidencia de auditoría suficiente y adecuada para concluir que los estados financieros en su conjunto están libres de incorrección material.
18. Si los estados financieros preparados de conformidad con los requerimientos de un marco de imagen fiel no logran la presentación fiel, el auditor lo discutirá con la dirección y, dependiendo de los requerimientos del marco de información financiera aplicable y del modo en que se resuelva la cuestión, determinará si es necesario expresar una opinión modificada en el informe de auditoría, de conformidad con la NIA 705 (Revisada). (Ref: Apartado A11)
19. Cuando los estados financieros se preparen de conformidad con un marco de cumplimiento, no se requiere que el auditor evalúe si los estados financieros logran la presentación fiel. Sin embargo, si en circunstancias extremadamente poco frecuentes, el auditor concluye que dichos estados financieros inducen a error, lo discutirá con la dirección y, dependiendo del modo en que se resuelva dicha cuestión, determinará si ha de ponerlo de manifiesto en el informe de auditoría y el modo en que lo ha de hacer. (Ref: Apartado A12)
Informe de auditoría
20. El informe de auditoría será escrito. (Ref: Apartados A13-A14)
Informe de auditoría para auditorías realizadas de conformidad con las Normas Internacionales de Auditoría
Título
21. El informe de auditoría llevará un título que indique con claridad que se trata del informe de un auditor independiente. (Ref: Apartado A15)
Destinatario
22. El informe de auditoría irá dirigido a quien corresponda, en función de las circunstancias del encargo. (Ref: Apartado A16)
Opinión del auditor
23. La primera sección del informe de auditoría contendrá la opinión del auditor y tendrá el título "Opinión".
24. La sección "Opinión" del informe de auditoría también:
(a) identificará a la entidad cuyos estados financieros han sido auditados;
(b) manifestará que los estados financieros han sido auditados;
(c) identificará el título de cada estado que comprenden los estados financieros;
(d) remitirá a las notas explicativas, así como al resumen de las políticas contables significativas; y
(e) especificará la fecha o el periodo que cubre cada uno de los estados financieros que comprenden los estados financieros. (Ref: Apartados A17-A18)
25. Para expresar una opinión no modificada (favorable) sobre unos estados financieros preparados de conformidad con un marco de imagen fiel, y siempre que las disposiciones legales o reglamentarias no establezcan otra cosa, se utilizará una de las frases indicadas a continuación, que se consideran equivalentes:
(a) En nuestra opinión, los estados financieros adjuntos presentan fielmente, en todos los aspectos materiales, [...] de conformidad con [el marco de información financiera aplicable];o
(b) En nuestra opinión, los estados financieros adjuntos expresan la imagen fiel de [... ] de conformidad con [el marco de información financiera aplicable]. (Ref: Apartados A19- A26)
26. Para expresar una opinión no modificada (favorable) sobre unos estados financieros preparados de conformidad con un marco de cumplimiento, la opinión del auditor indicará que los estados financieros adjuntos han sido preparados, en todos los aspectos materiales, de conformidad con [el marco de información financiera aplicable]. (Ref: Apartados A21-A26)
27. En el caso de que el marco de información financiera aplicable al que se hace referencia en la opinión del auditor no sean las NIIF, emitidas por el Consejo de Normas Internacionales de Contabilidad, o las NICSP, emitidas por el Consejo de Normas Internacionales de Contabilidad para el Sector Público, en la opinión del auditor se identificará la jurisdicción de origen del marco de información financiera.
Fundamento de la opinión
28. El informe de auditoría incluirá una sección, inmediatamente a continuación de la sección "Opinión", con el título "Fundamento de la opinión" que: (Ref: Apartado A27)
(a) manifieste que la auditoría se llevó a cabo de conformidad con las Normas Internacionales de Auditoría; (Ref. Apartado A28)
(b) haga referencia a la sección del informe de auditoría en la que se describan las responsabilidades del auditor de conformidad con las NIA;
(c) incluya una declaración de que el auditor es independiente de la entidad de conformidad con los requerimientos de ética aplicables relativos a la auditoría y de que ha cumplido las restantes responsabilidades de ética de conformidad con dichos requerimientos. La declaración identificará la jurisdicción de origen de los requerimientos de ética aplicables o se referirá al Código de Ética para Profesionales de la Contabilidad del Consejo de Normas Internacionales de Ética para Contadores (Código de Ética del IESBA) y (Ref: Apartados A29-A34)
(d) manifieste si el auditor considera que la evidencia de auditoría que ha obtenido proporciona una base suficiente y adecuada para la opinión del auditor.
Empresa en funcionamiento
29. Cuando sea aplicable, el auditor informará de conformidad con la NIA 570 (Revisada)(12)
Cuestiones clave de la auditoría
30. En el caso de auditorías de un conjunto completo de estados financieros con fines generales de entidades cotizadas, el auditor comunicará las cuestiones clave de la auditoría de conformidad con la NIA 701.
31. Cuando las disposiciones legales o reglamentarias requieran por algún otro motivo que el auditor comunique las cuestiones clave de la auditoría o este decida hacerlo, aplicará la NIA 701. (Ref: Apartados A35-A38)
Responsabilidades en relación con los estados financieros
32. El informe de auditoría incluirá una sección titulada “Responsabilidades de la dirección en relación con los estados financieros”. El informe de auditoría utilizará el término adecuado en el contexto del marco legal de la jurisdicción concreta y no es necesario que se refiera específicamente a "la dirección". En algunas jurisdicciones, la referencia adecuada puede ser a los responsables del gobierno de la entidad. (Ref: Apartado A39)
33. Esta sección del informe de auditoría describirá la responsabilidad de la dirección en relación con: (Ref: Apartados A40-A43)
(a) la preparación de los estados financieros de conformidad con el marco de información financiera aplicable, y del control interno que la dirección considere necesario para permitir la preparación de estados financieros libres de incorrección material, debida a fraude o error; y
(b) la valoración de la capacidad de la entidad para continuar como empresa en funcionamiento(13) y de si es adecuado utilizar el principio contable de empresa en funcionamiento, así como la revelación, en su caso, de las cuestiones relacionadas con la Empresa en funcionamiento. La explicación de la responsabilidad de la dirección en relación con esta valoración incluirá una descripción de las circunstancias en las que es adecuado el uso del principio contable de empresa en funcionamiento. (Ref: Apartado A43)
34. Esta sección del informe de auditoría identificará asimismo a los responsables de la supervisión del proceso de información financiera cuando los responsables de dicha supervisión sean distintos de los que cumplen las responsabilidades descritas en el apartado 33. En este caso, el título de la sección se referirá también a "los responsables del gobierno de la entidad" o al término adecuado en el contexto del marco legal de la jurisdicción concreta (Ref: Apartado A44)
35. Cuando los estados financieros se preparen de conformidad con un marco de imagen fiel, la descripción en el informe de auditoría de las responsabilidades en relación con los estados financieros se referirá a “la preparación y presentación fiel de los estados financieros” o a “la preparación de estados financieros que expresen la imagen fiel”, según proceda.
Responsabilidades del auditor en relación con la auditoría de los estados financieros
36. El informe de auditoría incluirá una sección titulada “Responsabilidades del auditor en relación con la auditoría de los estados financieros”.
37. Esta sección del informe de auditoría: (Ref: Apartado A45)
(a) manifestará que los objetivos del auditor son:
(i) obtener una seguridad razonable sobre si los estados financieros en su conjunto están libres de incorrección material, debida a fraude o error, y
(ii) emitir un informe de auditoría que contenga la opinión del auditor. (Ref: Apartado A46)
(b) manifestará que una seguridad razonable es un alto grado de seguridad pero no garantiza que una auditoría realizada de conformidad con las NIA siempre detecte una incorrección material cuando existe; y
(c) manifestará que las incorrecciones pueden deberse a fraude o error y alternativamente:
(i) describirá que se consideran materiales si, individualmente o de forma agregada, puede preverse razonablemente que influyan en las decisiones económicas que los usuarios toman basándose en esos estados financieros;(14)
(ii) proporcionará una definición o descripción de la importancia relativa de conformidad con el marco de información financiera aplicable. (Ref: Apartado A47)
38. La sección "Responsabilidades del auditor en relación con la auditoría de los estados financieros", además: (Ref: Apartado A45)
(a) manifestará que, como parte de una auditoría de conformidad con las NIA, el auditor aplica su juicio profesional y mantiene una actitud de escepticismo profesional durante toda la auditoría; y
(b) describirá la auditoría indicando que las responsabilidades del auditor son:
(i) Identificar y valorar los riesgos de incorrección material en los estados financieros, debida a fraude o error; diseñar y aplicar procedimientos de auditoría para responder a esos riesgos y obtener evidencia de auditoría suficiente y adecuada para proporcionar una base para la opinión del auditor. El riesgo de no detectar una incorrección material debida a fraude es más elevado que en el caso de una incorrección material debida a error, ya que el fraude puede implicar colusión, falsificación, omisiones deliberadas, manifestaciones intencionadamente erróneas o la elusión del control interno.
(ii) Obtener conocimiento del control interno relevante para la auditoría con el fin de diseñar procedimientos de auditoría que sean adecuados en función de las circunstancias y no con la finalidad de expresar una opinión sobre la eficacia del control interno de la entidad. En circunstancias en las que el auditor tenga también la responsabilidad de expresar una opinión sobre la eficacia del control interno, conjuntamente con la auditoría de los estados financieros, el auditor omitirá la frase en la que se menciona que la toma en consideración del control interno por el auditor no tiene como finalidad expresar una opinión sobre la eficacia del control interno de la entidad.
(iii) Evaluar la adecuación de las políticas contables aplicadas y la razonabilidad de las estimaciones contables y la correspondiente información revelada por la dirección.
(iv) Concluir sobre lo adecuado de la utilización, por la dirección, del principio contable de empresa en funcionamiento y determinar, sobre la base de la evidencia de auditoría obtenida, si existe o no una incertidumbre material relacionada con hechos o con condiciones que puedan generar dudas significativas sobre la capacidad de la entidad para continuar como empresa en funcionamiento. Si el auditor concluye que existe una incertidumbre material, se requiere que llame la atención en el informe de auditoría sobre la correspondiente información revelada en los estados financieros o, si dichas revelaciones no son adecuadas, emita una opinión modificada. Las conclusiones del auditor se basan en la evidencia de auditoría obtenida hasta la fecha del informe de auditoría. Sin embargo, hechos o condiciones futuros pueden ser causa de que la entidad deje de ser una empresa en funcionamiento.
(v) Cuando los estados financieros se preparen de conformidad con un marco de imagen fiel, evaluar la presentación global, la estructura y el contenido de los estados financieros y de sus notas explicativas, y si los estados financieros representan las transacciones y hechos subyacentes de un modo que logren la presentación fiel.
(c) Cuando sea aplicable la NIA 600(15), describir además las responsabilidades del auditor en un encargo de auditoría de un grupo, indicando que:
(i) las responsabilidades del auditor son obtener evidencia suficiente y adecuada en relación con la información financiera de las entidades o actividades empresariales dentro del grupo para expresar una opinión sobre los estados financieros del grupo;
(ii) el auditor es responsable de la dirección, supervisión y realización de la auditoría del grupo; y
(iii) el auditor es el único responsable de la opinión del auditor.
39. La sección "Responsabilidades del auditor en relación con la auditoría de los estados financieros" del informe de auditoría, también: (Ref: Apartado A45)
(a) manifestará que el auditor se comunica con los responsables del gobierno de la entidad en relación con, entre otras cuestiones, el alcance y el momento de realización de la auditoría planificados y los hallazgos significativos de la auditoría, así como cualquier deficiencia significativa del control interno identificada por el auditor en el transcurso de la auditoría;
(b) en el caso de auditorías de estados financieros de entidades cotizadas, manifestará que el auditor proporciona a los responsables del gobierno de la entidad una declaración de que el auditor ha cumplido los requerimientos de ética aplicables en relación con la independencia y se comunicará con ellos acerca de todas las relaciones y demás cuestiones de las que se puede esperar razonablemente que puedan afectar a la independencia del auditor y, en su caso, de las correspondientes salvaguardas; y
(c) en el caso de auditorías de estados financieros de entidades cotizadas y de otras entidades en las que se comunican las cuestiones clave de la auditoría de conformidad con la NIA 701, indicará que, entre las cuestiones que han sido objeto de comunicación con los responsables del gobierno de la entidad, el auditor determina las que han sido de la mayor significatividad en la auditoría de los estados financieros del periodo actual y son, por lo tanto, las cuestiones clave de la auditoría. El auditor describe esas cuestiones en el informe de auditoría salvo que las disposiciones legales o reglamentarias prohíban revelar públicamente la cuestión o, en circunstancias extremadamente poco frecuentes, el auditor determine que una cuestión no se debería comunicar en el informe de auditoría porque cabe razonablemente esperar que las consecuencias adversas de hacerlo superarían los beneficios de interés público de la comunicación. (Ref: Apartado A48)
Ubicación de la descripción de las responsabilidades del auditor en relación con la auditoría de los estados financieros
40. La descripción de las responsabilidades del auditor en relación con la auditoría de los estados financieros requerida por los apartados 38-39 será incluida: (Ref: Apartado A49)
(a) en el cuerpo del informe de auditoría;
(b) en un anexo del informe de auditoría, en cuyo caso el informe de auditoría hará referencia al anexo, o (Ref: Apartados A49-A50)
(c) mediante una referencia específica en el informe de auditoría a la ubicación de dicha descripción en la página web de una autoridad competente, cuando las disposiciones legales o reglamentarias o las normas de auditoría nacionales lo permitan expresamente. (Ref: Apartados A49, A51-A52)
41. Cuando el auditor se remita a una descripción de las responsabilidades del auditor en la página web de una autoridad competente, determinará que esa descripción cumple, y no es incongruente, con los requerimientos de los apartados 38-39 de esta NIA. (Ref: Apartado A51)
Otras responsabilidades de información
42. Si en el informe de auditoría sobre los estados financieros el auditor cumple con otras responsabilidades de información, además de las responsabilidades del auditor establecidas por las NIA, esas otras responsabilidades de información se tratarán en una sección separada del informe de auditoría titulada "Informe sobre otros requerimientos legales y reglamentarlos” o cualquier otro que sea acorde con el contenido de la sección, salvo si esas otras responsabilidades de información tratan de los mismos temas que los que se presentan en las responsabilidades de información requeridas por las NIA, en cuyo caso las otras responsabilidades de información se pueden presentar en la misma sección que los correspondientes elementos del informe requeridos por las NIA. (Ref: Apartados A53-A55)
43. Si se mencionan otras responsabilidades de información en la misma sección que los correspondientes elementos del informe requeridos por las NIA, el informe de auditoría diferenciará claramente las otras responsabilidades de información de la información requerida por las NIA. (Ref: Apartado A55)
44. Si el informe de auditoría contiene una sección separada que trata de las otras responsabilidades de información, los requerimientos de los apartados 20-39 de esta NIA se incluirán en una sección titulada "Informe sobre la auditoría de los estados financieros". El “Informe sobre otros requerimientos legales y reglamentarlos” figurará a continuación del “Informe sobre la auditoría de los estados financieros”. (Ref: Apartado A55)
Nombre del socio del encargo
45. El nombre del socio del encargo se incluirá en el informe de auditoría de las auditorías de conjuntos completos de estados financieros con fines generales de entidades cotizadas salvo que, en circunstancias poco frecuente, se pueda esperar razonablemente que dicha revelación pueda originar una amenaza significativa para la seguridad personal. En las circunstancias poco frecuentes en las que el auditor tenga la intención de no incluir el nombre del socio del encargo en el informe de auditoría, lo discutirá con los responsables del gobierno de la entidad con el fin de informarles de la valoración del auditor de la probabilidad y gravedad de una amenaza significativa para la seguridad personal. (Ref: Apartados A56-A58)
Firma del auditor
46. El informe de auditoría estará firmado. (Ref: Apartados A59-A60)
Dirección del auditor
47. El informe de auditoría indicará el lugar de la jurisdicción en que el auditor ejerce.
Fecha del informe de auditoría
48. La fecha del informe de auditoría no será anterior a la fecha en la que el auditor haya obtenido evidencia de auditoría suficiente y adecuada en la que basar su opinión sobre los estados financieros, incluida la evidencia de que: (Ref: Apartados A61-A64)
(a) todos los estados que componen los estados financieros, incluidas las notas explicativas, han sido preparados; y
(b) las personas con autoridad reconocida han manifestado que asumen la responsabilidad de dichos estados financieros.
Informe de auditoría prescrito por las disposiciones legales o reglamentarias
49. Si las disposiciones legales o reglamentarias de una jurisdicción concreta imponen al auditor un determinado formato o redacción para el informe de auditoría, este informe se referirá a las Normas Internacionales de Auditoría sólo si incluye, como mínimo, todos los siguientes elementos: (Ref: Apartados A65-A66)
(a) Un título.
(b) Un destinatario, según lo requieran las circunstancias del encargo.
(c) Una sección de opinión que contenga la expresión de una opinión sobre los estados financieros y una referencia al marco de información financiera aplicable utilizado para preparar los estados financieros (incluida la identificación de la jurisdicción de origen del marco de información financiera cuando no se trate de las Normas Internacionales de Información Financiera o de las Normas Internacionales de Contabilidad del Sector Público, véase el apartado 26).
(d) La identificación de los estados financieros de la entidad que han sido auditados.
(e) Una declaración de que el auditor es independiente de la entidad de conformidad con los requerimientos de ética aplicables relativos a la auditoría y de que ha cumplido las restantes responsabilidades de ética de conformidad con dichos requerimientos. La declaración identificará la jurisdicción de origen de los requerimientos de ética aplicables o remitirá al Código de Ética del IESBA.
(f) Cuando corresponda, una sección que trate los requerimientos de información del apartado 22 de la NIA 570 (Revisada) y no sea incongruente con estos.
(g) Cuando corresponda, una sección de "Fundamento de la opinión con salvedades " o "Fundamento de la opinión desfavorable (adversa)" que trate los requerimientos de información del apartado 23 de la NIA 570 (Revisada) y no sea incongruente con estos.
(h) Cuando corresponda, una sección que incluya la información requerida por la NIA 701, o información adicional acerca de la auditoría impuesta por disposiciones legales o reglamentarias, que trate los requerimientos de información de esa NIA y no sea incongruente con estos(16) (Ref: Apartados A66-A67)
(i) Una descripción de las responsabilidades de la dirección en relación con la preparación de los estados financieros y la identificación de los responsables de la supervisión del proceso de información financiera que trate los requerimientos de información de los apartados 32-35 y no sea incongruente con estos.
(j) Una referencia a las Normas Internacionales de Auditoría y a las disposiciones legales o reglamentarias y una descripción de las responsabilidades del auditor en una auditoría de estados financieros que trate los requerimientos de información de los apartados 36- 39 y no sea incongruente con estos. (Ref: Apartados A49-A50)
(k) En el caso de auditorías de conjuntos completos de estados financieros con fines generales de entidades cotizadas, el nombre del socio del encargo salvo que, en circunstancias poco frecuentes, se pueda esperar razonablemente que dicha revelación pueda originar una amenaza significativa para la seguridad personal.
(l) La firma del auditor.
(m) La dirección del auditor.
(n) La fecha del informe de auditoría.
Informe de auditoría para auditorías realizadas de conformidad tanto con las normas de auditoría de una jurisdicción concreta como con las Normas Internacionales de Auditoría
50. Un auditor puede estar obligado a llevar a cabo una auditoría de conformidad con las normas de auditoría de una jurisdicción concreta (las "normas de auditoría nacionales") y, además, haber cumplido con las NIA al realizar la auditoría. Si este es el caso, el informe de auditoría puede referirse a las Normas Internacionales de Auditoría así como a las normas nacionales de auditoría, pero el auditor únicamente lo hará si: (Ref: Apartados A71-A72)
(a) no hay conflicto entre los requerimientos de las normas nacionales de auditoría y los de las NIA que pudiese llevar al auditor (i) a formarse una opinión distinta, o (ii) a no incluir un párrafo de énfasis o un párrafo sobre otras cuestiones que, en el caso de que se trate, sea necesario según las NIA; y
(b) el informe de auditoría incluye, como mínimo, todos los elementos enumerados en el apartado 49(a)-(n) anterior cuando el auditor utilice el formato o la redacción establecidos por las normas de auditoría nacionales. No obstante, la referencia a "las disposiciones legales o reglamentarias" contenida en el apartado 49(j) debe entenderse como referencia a las normas nacionales de auditoría. El informe de auditoría identificará, por lo tanto, dichas normas nacionales de auditoría.
51. Cuando el informe de auditoría se refiera tanto a las normas nacionales de auditoría como a las Normas Internacionales de Auditoría, se identificará la jurisdicción de origen de las normas nacionales de auditoría.
Información adicional presentada junto con los estados financieros (Ref: Apartados A73-A79)
52. Si junto con los estados financieros auditados se presenta información adicional no requerida por el marco de información financiera aplicable, el auditor evaluará si, según su juicio profesional, la información adicional es, no obstante, parte integrante de los estados financieros debido a su naturaleza o a su modo de presentación. Cuando sea parte integrante de los estados financieros, la información adicional estará cubierta por la opinión del auditor.
53. Si la información adicional no requerida por el marco de información financiera aplicable no se considera parte integrante de los estados financieros auditados, el auditor evaluará si dicha información adicional se presenta de un modo que la diferencia clara y suficientemente de los estados financieros auditados. Si no es el caso, el auditor solicitará a la dirección que modifique el modo en que la información adicional no auditada se presenta. Si la dirección rehúsa hacerlo, el auditor identificará la información adicional no auditada y explicará en el informe de auditoría que dicha información adicional no ha sido auditada.
Guía de aplicación y otras anotaciones explicativas
Aspectos cualitativos de las prácticas contables de la entidad (Ref: Apartado 12)
A1. La dirección realiza una serie de juicios sobre los importes y la información revelados en los estados financieros.
A2. La NIA 260 (Revisada) examina los aspectos cualitativos de las prácticas contables(17) Al considerar los aspectos cualitativos de las prácticas contables de la entidad, puede ocurrir que el auditor advierta un posible sesgo en los juicios de la dirección. El auditor puede concluir que el efecto acumulativo de una falta de neutralidad, junto con el efecto de las incorrecciones no corregidas, suponen que los estados financieros en su conjunto contengan incorrecciones materiales. Entre los indicadores de una falta de neutralidad que puede afectar a la evaluación, por parte del auditor, de si los estados financieros en su conjunto contienen incorrecciones materiales, se incluyen los siguientes:
- La corrección selectiva de incorrecciones señaladas a la dirección durante la realización de la auditoría (por ejemplo, la de aquellas que tienen como efecto incrementar el beneficio pero no la de las que lo reducen).
- Posible sesgo de la dirección al realizar las estimaciones contables.
A3. La NIA 540 trata del posible sesgo de la dirección al realizar las estimaciones contables(18). Los indicadores de la existencia de un posible sesgo de la dirección no constituyen incorrecciones a efectos de concluir sobre la razonabilidad de cada una de las estimaciones contables. Sin embargo, pueden afectar a la evaluación que realice el auditor de si los estados financieros en su conjunto están libres de incorrección material.
Revelación del efecto de las transacciones y los hechos que resulten materiales sobre la información contenida en los estados financieros (Ref: Apartado 13(e))
A4. Los estados financieros preparados de conformidad con un marco de información con fines generales suelen presentar la situación financiera de la entidad, sus resultados y los flujos de efectivo. En dichas circunstancias, el auditor evalúa si los estados financieros revelan la información adecuada para permitir que los usuarios a quienes se destinan comprendan el efecto de las transacciones y los hechos que resulten materiales sobre la situación financiera de la entidad, sus resultados y los flujos de efectivo.
Descripción del marco de información financiera aplicable (Ref: Apartado 15)
A5. Como se explica en la NIA 200, la preparación de los estados financieros por la dirección y, cuando proceda, por los responsables del gobierno de la entidad, requiere que los estados financieros incluyan una descripción adecuada del marco de información financiera aplicable(19). Dicha descripción informa a los usuarios de los estados financieros del marco en el que éstos se basan.
A6. Una descripción que indique que los estados financieros han sido preparados de conformidad con un determinado marco de información financiera sólo es adecuada si los estados financieros cumplen todos los requerimientos de dicho marco vigentes durante el periodo cubierto por los estados financieros.
A7. Una descripción del marco de información financiera aplicable que utilice un lenguaje conformes a las Normas Internacionales de Información Financiera”) no es una descripción adecuada de dicho marco, ya que puede inducir a error a los usuarios de los estados financieros.
Referencia a más de un marco de información financiera
A8. En algunos casos, los estados financieros pueden indicar que han sido preparados de conformidad con dos marcos de información financiera (por ejemplo, el marco nacional y las NIIF). Esto se puede deber a que la dirección esté obligada a preparar los estados financieros de conformidad con ambos marcos o haya optado por hacerlo así, en cuyo caso ambos son marcos de información financiera aplicables. Dicha descripción sólo es adecuada si los estados financieros cumplen con cada uno de los marcos individualmente considerados. Para poder considerar que han sido preparados de conformidad con los dos marcos, los estados financieros deben cumplir con ambos marcos simultáneamente y sin necesidad de realizar conciliaciones de estados financieros. En la práctica, el cumplimiento simultáneo es poco probable, a no ser que la correspondiente jurisdicción haya adoptado el otro marco (por ejemplo, las NIIF) como su marco nacional o haya eliminado todas las barreras para poder cumplir con este.
A9. Unos estados financieros que se hayan preparado de conformidad con un marco de información financiera y que contengan una nota o un estado complementario para conciliar los resultados con aquellos que se presentarían según otro marco, no han sido preparados de conformidad con ese otro marco. El motivo es que los estados financieros no incluyen toda la información de la manera en que lo requiere ese otro marco.
A10. No obstante, es posible que los estados financieros se hayan preparado de conformidad con un marco de información financiera aplicable y, adicionalmente, se describa en las notas explicativas de los estados financieros el grado en el que éstos cumplen con otro marco (por ejemplo, estados financieros preparados de conformidad con el marco nacional que también describen el grado en el que cumplen las NIIF). Esta descripción puede constituir información financiera adicional como se indica en el apartado 53 y está cubierta por la opinión del auditor si no se puede diferenciar claramente de los estados financieros.
Tipo de opinión (Ref: Apartados 18-19)
A11. Puede haber casos en que los estados financieros, aunque hayan sido preparados de conformidad con los requerimientos de un marco de imagen fiel, no logren la presentación fiel. En estos casos, la dirección puede tener la posibilidad de revelar en los estados financieros información adicional a la específicamente requerida por el marco o, en circunstancias extremadamente poco frecuentes, de no cumplir alguno de los requerimientos del marco para que los estados financieros logren la presentación fiel.
A12. Será extremadamente poco frecuente que el auditor considere que unos estados financieros preparados de conformidad con un marco de cumplimiento inducen a error si, de conformidad con la NIA 210, el auditor ha determinado que dicho marco es aceptable(20).
Informe de auditoría (Ref: Apartado 20)
A13. Un informe por escrito abarca tanto los informes impresos como los emitidos por medios electrónicos.
A14. El anexo de esta NIA contiene ejemplos de informes de auditoría de estados financieros a los que se han incorporado los elementos señalados en los apartados 20-48. Excepto en el caso de las secciones "Opinión" y "Fundamento de la opinión", esta NIA no establece requerimientos para la ordenación de los elementos del informe de auditoría. No obstante, esta NIA requiere la utilización de títulos específicos, cuyo objetivo es facilitar la identificación de los informes de auditoría que se refieren a auditorías realizadas de conformidad con las NIA, especialmente en situaciones en las que los elementos del informe de auditoría se presentan en un orden distinto al que se muestra en los ejemplos de informes de auditoría del Anexo de esta NIA.
Informe de auditoría para auditorías realizadas de conformidad con las Normas Internacionales de Auditoría
Título (Ref: Apartado 21)
A15. Un título que indique que el informe es el informe de un auditor independiente, por ejemplo, "Informe de auditoría emitido por un auditor independiente" distingue el informe de un auditor independiente de los informes emitidos por otros.
Destinatario (Ref: Apartado 22)
A16. Las disposiciones legales, reglamentarias o los términos del encargo pueden especificar a quién debe dirigirse el informe de auditoría en la jurisdicción correspondiente. El informe de auditoría normalmente se dirige a las personas para las que se prepara el informe, a menudo a los accionistas o a los responsables del gobierno de la entidad cuyos estados financieros se auditan.
Opinión del auditor (Ref: Apartados 24-26)
Referencia a los estados financieros que han sido auditados
A17. El informe de auditoría pone de manifiesto, por ejemplo, que el auditor ha auditado los estados financieros de la entidad, que comprenden [mencionar el título de cada uno de los estados financieros que conforman el conjunto completo de estados financieros requeridos por el marco de información financiera aplicable, especificando la fecha o periodo cubierto por cada estado financiero] y las notas explicativas de los estados financieros que incluyen un resumen de las políticas contables significativas.
A18. Cuando el auditor tenga conocimiento de que los estados financieros auditados van a incluirse en un documento que contenga otra información, como un informe anual, podrá considerar la posibilidad, si la estructura de presentación lo permite, de identificar los números de las páginas en las que se presentan los estados financieros auditados. Esto ayuda a los usuarios a identificar los estados financieros a los que se refiere el informe de auditoría.
“Presentan fielmente, en todos los aspectos materiales” o “Expresan la imagen fiel”
A19. Las frases "presentan fielmente, en todos los aspectos materiales" y "expresan la imagen fiel" se consideran equivalentes. Las disposiciones legales o reglamentarias que regulan la auditoría de estados financieros en una jurisdicción concreta, o la práctica generalmente aceptada en dicha jurisdicción, son las que determinan que se utilice la expresión “presentan fielmente, en todos los aspectos materiales" o la expresión “expresan la imagen fiel”, en esa jurisdicción. Cuando las disposiciones legales o reglamentarias requieran la utilización de una redacción diferente, esto no afecta al requerimiento, contenido en el apartado 14 de esta NIA, de que el auditor evalúe si los estados financieros preparados de conformidad con un marco de imagen fiel se presentan fielmente.
A20. Cuando el auditor emite una opinión no modificada (favorable), no es adecuado utilizar frases tales como "a la vista de la explicación anterior” o “sin perjuicio de” en relación con la opinión, ya que sugieren una opinión condicionada o un debilitamiento o modificación de la opinión.
Descripción de los estados financieros y de las cuestiones que presentan
A21. La opinión del auditor abarca al conjunto completo de estados financieros, tal y como lo define el marco de información financiera aplicable. Por ejemplo, en el caso de muchos marcos de información con fines generales, los estados financieros pueden comprender: un estado de situación financiera, un estado del resultado global, un estado de cambios en el patrimonio neto y un estado de flujos de efectivo, así como las correspondientes notas explicativas que contienen, por lo general, un resumen de las políticas contables significativas y otra información explicativa. En algunas jurisdicciones se puede considerar información adicional como parte integrante de los estados financieros.
A22. En el caso de unos estados financieros preparados de conformidad con un marco de imagen fiel, la opinión del auditor pone de manifiesto que los estados financieros presentan fielmente, en todos los aspectos materiales, las cuestiones que los estados financieros están destinados a presentar o expresan su imagen fiel. Por ejemplo, en el caso de estados financieros preparados de conformidad con las NIIF, esas cuestiones son la situación financiera de la entidad al cierre del periodo y los resultados y flujos de efectivo de la entidad correspondientes al periodo cerrado a dicha fecha. Por consiguiente, en el apartado 25 y en otros apartados de esta NIA se debe reemplazar [...] por las palabras que figuran en cursiva en la anterior frase cuando el marco de información financiera aplicable sean las NIIF o, en el caso de otros marcos de información financiera aplicables, se debe reemplazar por una redacción que describa las cuestiones que los estados financieros tienen como finalidad presentar.
Descripción del marco de información financiera aplicable y del modo en el que puede afectar a la opinión del auditor
A23. La identificación, en la opinión del auditor, del marco de información financiera aplicable tiene como finalidad informar a los usuarios del informe de auditoría del contexto en el que se expresa la opinión del auditor; no tiene como finalidad limitar la evaluación requerida en el apartado 14. El marco de información financiera aplicable se identifica con términos tales como:
"... de conformidad con las Normas Internacionales de Información Financiera” o
"... de conformidad con los principios contables generalmente aceptados en la jurisdicción X..."
A24. Cuando el marco de información financiera comprende normas de información financiera, así como requerimientos legales o reglamentarios, el marco se identifica con términos tales como "... de conformidad con las Normas Internacionales de Información Financiera y los requerimientos de la Ley de sociedades de la jurisdicción X”. La NIA 210 trata de las circunstancias en las que existen conflictos entre las normas de información financiera y los requerimientos legales o reglamentarios(21).
A25. Tal y como se indica en el apartado A8, los estados financieros se pueden preparar de conformidad con dos marcos de información financiera, siendo, por lo tanto, cada uno de ellos marco de información financiera aplicable. En consecuencia, al formarse una opinión sobre los estados financieros, el auditor considera cada marco por separado, y la opinión del auditor de conformidad con los apartados 25-27 se refiere a ambos marcos como sigue:
(a) Si los estados financieros cumplen con cada uno de los marcos individualmente considerados, se expresan dos opiniones: es decir, una opinión indicando que los estados financieros han sido preparados de conformidad con uno de los marcos de información financiera aplicables (por ejemplo, el marco nacional) y otra opinión según la cual los estados financieros han sido preparados de conformidad con el otro marco de información financiera aplicable (por ejemplo, las NIIF). Estas opiniones se pueden expresar por separado o en una misma frase (por ejemplo, los estados financieros se presentan fielmente, en todos los aspectos materiales, [...], de conformidad con los principios contables generalmente aceptados en la jurisdicción X y con las NIIF).
(b) Si los estados financieros cumplen con uno de los marcos de información financiera pero no cumplen con el otro marco, se puede expresar una opinión no modificada (favorable) con respecto a la preparación de los estados financieros de conformidad con uno de los marcos (por ejemplo, el marco nacional) y, por el contrario, una opinión modificada, de conformidad con la NIA 705 (Revisada), con respecto al otro marco (por ejemplo, las NIIF).
A26. Tal y como se indica en el apartado A10, los estados financieros pueden manifestar que cumplen con el marco de información financiera aplicable y, además, revelar el grado de cumplimiento con otro marco de información financiera. La opinión del auditor abarca dicha información adicional si no se puede diferenciar claramente de los estados financieros (véanse los apartados 52-53 y el contenido de los apartados A73-A79 de la guía de aplicación). En consecuencia,
(a) si la información revelada sobre el cumplimiento con el otro marco induce a error, se expresa una opinión modificada, de conformidad con la NIA 705 (Revisada).
(b) Si la información revelada no induce a error, pero el auditor juzga que es de tal importancia que resulta fundamental para que los usuarios comprendan los estados financieros, se añade un párrafo de énfasis, de conformidad con la NIA 706 (Revisada), para llamar la atención sobre la información revelada.
Fundamento de la opinión (Ref: Apartado 28)
A27. La sección "Fundamento de la opinión" proporciona un contexto importante para la opinión del auditor. En consecuencia, esta NIA requiere que la sección "Fundamento de la opinión" se sitúe inmediatamente después de la sección "Opinión" en el informe de auditoría.
A28. La referencia a las normas utilizadas informa a los usuarios del informe de auditoría de que la auditoría ha sido realizada de conformidad con unas normas establecidas.
Requerimientos de ética aplicables
A29. La identificación de la jurisdicción de origen de los requerimientos de ética aplicables incrementa la transparencia sobre dichos requerimientos en relación con el encargo de auditoría concreto. La NIA 200 explica que los requerimientos de ética aplicables habitualmente comprenden las partes A y B del Código de Ética del IESBA relativos a la auditoría de estados financieros junto con aquellos requerimientos nacionales que sean más restrictivos(22). Cuando los requerimientos de ética incluyan los del Código de Ética del IESBA, la declaración también se puede referir al Código de Ética del IESBA. Si el Código de Ética del IESBA constituye todos los requerimientos de ética aplicables a la auditoría, no es necesario que la afirmación identifique una jurisdicción de origen.
A30. En algunas jurisdicciones, los requerimientos de ética aplicables pueden provenir de diferentes fuentes, como el (los) código(s) de ética y reglas y requerimientos adicionales contenidos en disposiciones legales y reglamentarias. Cuando los requerimientos de independencia y otros requerimientos de ética aplicables provienen de un número limitado de fuentes, el auditor puede elegir nombrar la(s) fuente(s) correspondiente(s) (por ejemplo, el nombre del código, de la regla o del reglamento aplicable en la jurisdicción), o se puede referir a un término de conocimiento general y que resume de modo adecuado esas fuentes (por ejemplo, los requerimientos de independencia para las auditorías de entidades privadas de la jurisdicción X).
A31. Es posible que las disposiciones legales o reglamentarias, las normas de auditoría nacionales o los términos del encargo obliguen al auditor a proporcionar en el informe de auditoría información más concreta acerca de las fuentes de los requerimientos de ética aplicables, incluidos los que se refieren a la independencia, que fueron de aplicación a la auditoría de los estados financieros.
A32. Al determinar la cantidad adecuada de información que se debe incluir en el informe de auditoría cuando hay múltiples fuentes de requerimientos de ética aplicables en relación con la auditoría de los estados financieros, una consideración importante es establecer un equilibrio entre la transparencia y el riesgo de ocultar otra información útil en el informe de auditoría.
Consideraciones específicas para auditorías de grupos
A33. En el caso de auditorías de grupos en los que hay múltiples fuentes de requerimientos de ética aplicables, incluidos los que se refieren a la independencia, la mención de la jurisdicción en el informe de auditoría normalmente corresponde a los requerimientos de ética que son aplicables al equipo del encargo del grupo. Esto es así porque, en la auditoría de un grupo, los auditores de los componentes también están sujetos a los requerimientos de ética aplicables a la auditoría del grupo(23).
A34. Las NIA no establecen requerimientos de independencia o de ética concretos para los auditores, incluidos los auditores de los componentes y, en consecuencia, no hacen extensivos, ni invalidan de algún otro modo, los requerimientos del Código de Ética del IESBA u otros requerimientos de ética a los que esté sujeto el equipo del encargo del grupo, ni requieren las NIA que el auditor del componente este, en todos los casos, sujeto a los mismos requerimientos de independencia concretos que los que se aplican al equipo del encargo del grupo. Como resultado, los requerimientos de ética aplicables, incluidos los que se refieren a la independencia, en el caso de la auditoría de un grupo pueden ser complejos. La NIA 600(24) proporciona orientaciones a los auditores que realizan trabajo sobre la información financiera de un componente para una auditoría de un grupo, incluidas las situaciones en las que el auditor del componente no cumple los requerimientos de independencia aplicables a la auditoría del grupo.
Cuestiones clave de la auditoría (Ref: Apartado 30)
A35. Es posible que las disposiciones legales o reglamentarias requieran que se comuniquen las cuestiones clave de la auditoría en el caso de auditorías de entidades que no sean entidades cotizadas, por ejemplo, entidades que se definen como entidades de interés público en dichas disposiciones legales o reglamentarias.
A36. El auditor también puede decidir comunicar las cuestiones clave de la auditoría en el caso de otras entidades, incluidas las que pueden tener un interés público significativo, por ejemplo, porque tienen un gran número y un amplio espectro de interesados y teniendo en cuenta la naturaleza y dimensión de sus negocios. Ejemplos de dichas entidades pueden incluir instituciones financieras (tales como bancos, entidades aseguradoras y fondos de pensiones), y otras entidades como organizaciones benéficas.
A37. La NIA 210 requiere que el auditor acuerde los términos del encargo con la dirección y con los responsables del gobierno de la entidad, según corresponda, y explica que la función de la dirección y de los responsables del gobierno de la entidad al acordar los términos del encargo de auditoría de la entidad depende de los acuerdos de gobierno de la entidad y de las disposiciones legales o reglamentarias aplicables(25). La NIA 210 también requiere que la carta de encargo u otra forma adecuada de acuerdo escrito hagan referencia a la estructura y contenido esperados de cualquier informe que vaya a emitir el auditor(26). Cuando no se requiera de algún otro modo que el auditor comunique las cuestiones clave de la auditoría, la NIA 210(27) explica que puede ser útil para el auditor referirse, en los términos del encargo de la auditoría, a la posibilidad de comunicar las cuestiones clave de la auditoría en el informe de auditoría y, en determinadas jurisdicciones, puede ser necesario que el auditor mencione dicha posibilidad con el fin de mantener la capacidad de hacerlo.
Consideraciones específicas para entidades del sector público
A38. Las entidades cotizadas no son frecuentes en el sector público. Sin embargo, pueden existir entidades del sector público que sean significativas por su dimensión, complejidad o por aspectos de interés público. En esos casos, es posible que el auditor de una entidad del sector público esté obligado por disposiciones legales o reglamentarias a comunicar las cuestiones clave de la auditoría en el informe de auditoría, o decida hacerlo por algún otro motivo.
Responsabilidades en relación con los estados financieros (Ref: Apartados 32-33)
A39. La NIA 200 explica la premisa, relativa a las responsabilidades de la dirección y, cuando proceda, de los responsables del gobierno de la entidad, a partir de la cual se lleva a cabo una auditoría de conformidad con las NIA(28).La dirección y, cuando proceda, los responsables del gobierno de la entidad, reconocen su responsabilidad de preparación de los estados financieros de conformidad con el marco de información financiera aplicable, incluida, cuando proceda, su presentación fiel. La dirección también reconoce ser responsable del control interno que considere necesario para permitir la preparación de estados financieros libres de incorrección material, debida a fraude o error. La descripción de las responsabilidades de la dirección en el informe de auditoría incluye una referencia a ambas responsabilidades, ya que ayuda a explicar a los usuarios la premisa a partir de la cual se lleva a cabo una auditoría. La NIA 260 (Revisada) utiliza el término responsables del gobierno de la entidad para describir a la persona o personas, organización u organizaciones con responsabilidad en la supervisión de la entidad, y proporciona un análisis sobre la diversidad de estructuras de gobierno según la jurisdicción y el tipo de entidad de que se trate.
A40. Puede haber situaciones en las que resulte adecuado que el auditor complemente la descripción de las responsabilidades de la dirección y de los responsables del gobierno de la entidad de los apartados 33-34 para reflejar las responsabilidades adicionales que sean relevantes para la preparación de los estados financieros, atendiendo a la jurisdicción de que se trate o a la naturaleza de la entidad.
A41. La NIA 210 requiere que el auditor acuerde las responsabilidades de la dirección en una carta de encargo u otra forma adecuada de acuerdo escrito(29). La NIA 210 proporciona cierta flexibilidad en el modo de hacerlo, al explicar que si las disposiciones legales o reglamentarias prescriben las responsabilidades de la dirección y, cuando proceda, de los responsables del gobierno de la entidad, en relación con la información financiera, el auditor puede determinar que dichas disposiciones prevén responsabilidades que, a juicio del auditor, son equivalentes a las establecidas en la NIA 210. Para aquellas responsabilidades que sean equivalentes, el auditor puede utilizar la redacción de las disposiciones legales o reglamentarias para describirlas en la carta de encargo u otra forma adecuada de acuerdo escrito. En estos casos, se puede también emplear dicha redacción en el informe de auditoría para describir las responsabilidades como requiere el apartado 33(a) de esta NIA. En otras circunstancias, así como cuando el auditor decida no utilizar la redacción de las disposiciones legales o reglamentarias que se haya reproducido en la carta de encargo, se utilizará la redacción del apartado 33(a) de esta NIA. Además de incluir una descripción de las responsabilidades de la dirección en el informe de auditoría según lo requiere el apartado 33, el auditor puede remitir a una descripción más detallada de esas responsabilidades haciendo referencia al lugar donde se puede obtener dicha información (por ejemplo, al informe anual de la entidad o a una página web de una autoridad competente).
A42. En algunas jurisdicciones, las disposiciones legales o reglamentarias que prescriben las responsabilidades de la dirección pueden referirse específicamente a la responsabilidad en relación con lo adecuado de los libros y registros contables, o del sistema contable. Puesto que los libros, registros y sistemas son parte integrante del control interno (tal y como se define en la NIA 315 (Revisada)(30)), las descripciones contempladas en la NIA 210 y en el apartado 33 no los mencionan específicamente.
A43. En el Anexo de esta NIA se proporcionan ejemplos del modo en el que se aplicaría el requerimiento del apartado 33(b) cuando el marco de información financiera aplicable son las NIIF. Si se utiliza un marco de información financiera distinto de las NIIF, es posible que resulte necesario adaptar los ejemplos de declaraciones del Anexo de esta NIA para reflejar la aplicación de otro marco de información financiera en ese caso concreto.
Supervisión del proceso de información financiera (Ref: Apartado 34)
A44. Cuando alguna de las personas que participan en la supervisión del proceso de información financiera, pero no todas ellas, también participan en la preparación de los estados financieros, puede resultar necesario adaptar la descripción requerida en el apartado 34 de esta NIA para reflejar adecuadamente las circunstancias concretas de la entidad. Cuando las personas responsables de la supervisión del proceso de información financiera son las mismas que los responsables de la preparación de los estados financieros, no se requiere ninguna mención de las responsabilidades de supervisión.
Responsabilidades del auditor en relación con la auditoría de los estados financieros (Ref: Apartados 36-39)
A45. La descripción de las responsabilidades del auditor requerida por los apartados 36-39 de esta NIA se puede adaptar para reflejar la naturaleza concreta de la entidad, por ejemplo, cuando el informe de auditoría trata de estados financieros consolidados. El ejemplo 2 del Anexo de esta NIA muestra un modo de hacerlo.
Objetivos del Auditor (Ref: Apartado 37(a))
A46. En el informe de auditoría se explica que los objetivos del auditor son obtener una seguridad razonable de que los estados financieros en su conjunto están libres de incorrección material, debida a fraude o error, y emitir un informe de auditoría que contenga la opinión del auditor. Estos se diferencian de las responsabilidades de la dirección en la preparación de los estados financieros.
Descripción de la importancia relativa (Ref: Apartado 37(c))
A47. En el Anexo de esta NIA se proporcionan ejemplos del modo en el que se aplicaría el requerimiento del apartado 37(c) de proporcionar una descripción de la importancia relativa cuando el marco de información financiera aplicable son las NIIF. Si se utiliza un marco de información financiera distinto de las NIIF, es posible que resulte necesario adaptar los ejemplos de declaraciones incluidos en el Anexo de esta NIA para reflejar la aplicación de otro marco de información financiera en ese caso concreto.
Responsabilidades del auditor en relación con la NIA 701 (Ref: Apartado 39(c))
A48. El auditor también puede considerar útil proporcionar información adicional en la descripción de las responsabilidades del auditor más allá de lo que se requiere en el apartado 39(c). Por ejemplo, el auditor puede referirse al requerimiento del apartado 9 de la NIA 701 de determinar las cuestiones que han requerido atención significativa del auditor al ejecutar la auditoría, teniendo en cuenta las áreas de mayor riesgo valorado de incorrección material, o los riesgos significativos identificados de conformidad con la NIA 315 (Revisada); los juicios significativos del auditor en relación con las áreas de los estados financieros que han requerido juicios significativos de la dirección, incluyendo las estimaciones contables para las que se ha identificado un grado elevado de incertidumbre en la estimación y los efectos en la auditoría de hechos o transacciones significativos que han tenido lugar durante el periodo.
Ubicación de la descripción de las responsabilidades del auditor en relación con la auditoría de los estados financieros (Ref: Apartados 40, 49(j))
A49. Una forma de aligerar el contenido del informe de auditoría puede ser incluir la información requerida por los apartados 38-39 de esta NIA en un anexo del informe de auditoría o, cuando lo permiten expresamente las disposiciones legales o reglamentarias o las normas de auditoría nacionales, hacer referencia a la página web de una autoridad competente que contenga esa información. No obstante, debido a que la descripción de las responsabilidades del auditor contiene información necesaria para conformar las expectativas de los usuarios en relación con una auditoría ejecutada de acuerdo con las NIA, se requiere que se incluya una referencia en el informe de auditoría del lugar donde se puede encontrar esa información.
Ubicación en un anexo (Ref: Apartados 40(b), 49(j))
A50. El apartado 40 permite al auditor incluir las manifestaciones requeridas por los apartados 38- 39 que describen las responsabilidades del auditor en relación con la auditoría de los estados financieros en un anexo del informe de auditoría, siempre que se indique de manera adecuada en el cuerpo del informe de auditoría la ubicación del anexo. A continuación se muestra un ejemplo del modo en que se puede realizar esta referencia a un anexo en el informe de auditoría:
Responsabilidades del auditor en relación con la auditoría de los estados financieros
Nuestros objetivos son obtener una seguridad razonable de que los estados financieros en su conjunto están libres de incorrección material, debida a fraude o error, y emitir un informe de auditoría que contiene nuestra opinión. Una seguridad razonable es un alto grado de seguridad pero no garantiza que una auditoría realizada de conformidad con las NIA siempre detecte una incorrección material cuando existe. Las incorrecciones pueden deberse a fraude o error y se consideran materiales si, individualmente o de forma agregada, puede preverse razonablemente que influyan en las decisiones económicas que los usuarios toman basándose en los estados financieros.
En el Anexo X de este informe de auditoría se incluye una descripción más detallada de nuestras responsabilidades en relación con la auditoría de los estados financieros. Esta descripción que se encuentra en [indíquese el número de página u otra referencia concreta de la ubicación de la descripción] es parte integrante de nuestro informe de auditoría.
Referencia a la página web de una autoridad competente (Ref: Apartados 40(c), 41)
A51. En el apartado 40 se explica que el auditor puede remitir a una descripción de las responsabilidades del auditor ubicada en la página web de una autoridad competente, sólo si lo permiten expresamente las disposiciones legales o reglamentarias o las normas de auditoría nacionales. La información en la página web que se incorpora al informe de auditoría mediante una referencia concreta a la ubicación de la página web donde se puede encontrar esa información puede describir con más detalle el trabajo del auditor o la auditoría de conformidad con las NIA, pero no puede ser incongruente con la descripción requerida en los apartados 38-39 de esta NIA. Es decir, la redacción de la descripción de las responsabilidades del auditor en la página web puede ser más detallada o puede tratar de otras cuestiones relativas a una auditoría de estados financieros, siempre que esa redacción refleje, y no contradiga, las cuestiones tratadas en los apartados 38-39.
A52. Una autoridad competente podría ser un organismo nacional emisor de normas de auditoría, un regulador o un organismo de supervisión de la auditoría. Tales organismos están en buena posición para asegurar la exactitud, integridad y continuidad de la disponibilidad de información estandarizada. No sería adecuado que el auditor fuese el encargado del mantenimiento de esa página web. A continuación se muestra un ejemplo del modo en que se puede realizar esta referencia a una página web en el informe de auditoría:
Responsabilidades del auditor en relación con la auditoría de los estados financieros
Nuestros objetivos son obtener una seguridad razonable de que los estados financieros en su conjunto están libres de incorrección material, debida a fraude o error, y emitir un informe de auditoría que contiene nuestra opinión. Una seguridad razonable es un alto grado de seguridad pero no garantiza que una auditoría realizada de conformidad con las NIA siempre detecte una incorrección material cuando existe. Las incorrecciones pueden deberse a fraude o error y se consideran materiales si, individualmente o de forma agregada, puede preverse razonablemente que influyan en las decisiones económicas que los usuarios toman basándose en los estados financieros.
Una descripción más detallada de nuestras responsabilidades en relación con la auditoría de los estados financieros se encuentra en la página web de [nombre del organismo] en: [dirección de la página web]. Esta descripción es parte integrante de nuestro informe de auditoría.
Otras responsabilidades de información (Ref: Apartados 42-44)
A53. En algunas jurisdicciones, el auditor puede tener responsabilidades adicionales de información sobre otras cuestiones, que sean complementarias a las responsabilidades impuestas por las NIA. Por ejemplo, se puede requerir al auditor que informe sobre ciertas cuestiones si llegan a su conocimiento en el transcurso de la auditoría de los estados financieros. Por otro lado, se puede requerir al auditor que aplique procedimientos adicionales específicos e informe sobre ellos, o que exprese una opinión sobre cuestiones específicas, tales como lo adecuado de los libros y registros contables, el control interno sobre la información financiera u otra información. Las normas de auditoría de la jurisdicción correspondiente, a menudo, proporcionan orientaciones sobre las responsabilidades del auditor en relación con los requerimientos adicionales específicos de información de dicha jurisdicción.
A54. En algunos casos, las disposiciones legales o reglamentarias aplicables pueden requerir o permitir al auditor que informe sobre dichas otras responsabilidades como parte de su informe de auditoría sobre los estados financieros. En otros casos, se puede requerir o permitir al auditor que informe sobre ellas en un informe separado.
A55. Los apartados 42-44 de esta NIA permiten una presentación combinada de otras responsabilidades de información y de las responsabilidades del auditor según las NIA únicamente cuando tratan de los mismos temas y cuando la redacción del informe de auditoría diferencia claramente las otras responsabilidades de aquellas que se derivan de las NIA. Esa clara diferenciación puede requerir que el informe de auditoría se refiera a la fuente de las otras responsabilidades de información y declare que esas responsabilidades son adicionales a las que se requieren según las NIA. En caso contrario, se requiere que las otras responsabilidades de información se traten en una sección separada del informe de auditoría con el título "Informe sobre otros requerimientos legales y reglamentarios", u otro según corresponda al contenido de la sección. En estos casos, el apartado 44 requiere que el auditor incluya las responsabilidades de información de acuerdo con las NIA bajo el título "Informe sobre la auditoría de los estados financieros".
Nombre del socio del encargo (Ref: Apartado 45)
A56. La NICC 1(31) requiere que la firma de auditoría establezca políticas y procedimientos para proporcionar una seguridad razonable de que los encargos se realizan de conformidad con las normas profesionales y con los requerimientos legales y reglamentarios aplicables. Independientemente de estos requerimientos de la NICC 1, indicar el nombre del socio del encargo en el informe de auditoría tiene como finalidad proporcionar más transparencia a los usuarios del informe de auditoría de un conjunto completo de estados financieros con fines generales.
A57. Las disposiciones legales, reglamentarias o las normas de auditoría nacionales pueden requerir que el informe de auditoría incluya el nombre del socio del encargo en el caso de auditorías distintas de las auditorías de conjuntos completos de estados financieros de entidades cotizadas. Las disposiciones legales, reglamentarias o las normas de auditoría nacionales pueden requerir que en el informe de auditoría se incluya información adicional además del nombre del socio del encargo con el fin de identificarlo de manera más precisa, o el propio socio puede decidir hacerlo. Por ejemplo, se puede indicar el número de licencia profesional aplicable en la jurisdicción en la cual ejerce el auditor.
A58. En circunstancias poco frecuentes, el auditor puede identificar información o experimentar situaciones que indiquen la probabilidad de una amenaza para la seguridad personal que, si se hiciera pública la identidad del socio del encargo, podría resultar en daños físicos para él, para otros miembros del equipo del encargo o para personas estrechamente vinculadas. Esas amenazas no incluyen, por ejemplo, amenazas de responsabilidad legal o de sanciones legales, reglamentarias o profesionales. La discusión con los responsables del gobierno de la entidad sobre circunstancias que pueden tener como resultado daños físicos puede proporcionar información adicional sobre la probabilidad o la gravedad de la amenaza significativa para la seguridad personal. Las disposiciones legales o reglamentarias o las normas de auditoría nacionales pueden establecer requerimientos adicionales aplicables para la determinación de si se puede omitir revelar el nombre del socio del encargo.
Firma del Auditor (Ref: Apartado 46)
A59. El auditor puede firmar en nombre de la firma de auditoría, en nombre propio o en nombre de ambos, según proceda en la jurisdicción de que se trate. Además de la firma del auditor, en determinadas jurisdicciones puede exigirse al auditor que haga constar en el informe de auditoría su titulación profesional en el ámbito de la contabilidad o el hecho de que el auditor o la firma de auditoría, según corresponda, ha sido reconocido por la autoridad competente para la concesión de autorizaciones en dicha jurisdicción.
A60. En algunos casos, las disposiciones legales o reglamentarias pueden permitir el uso de firmas electrónicas en el informe de auditoría.
Fecha del informe de auditoría (Ref: Apartado 48)
A61. La fecha del informe de auditoría indica al usuario de este que el auditor ha considerado el efecto de los hechos y de las transacciones de los que ha tenido conocimiento y que han ocurrido hasta dicha fecha. La responsabilidad del auditor en relación con los hechos y las transacciones posteriores a la fecha del informe de auditoría se trata en la NIA 560(32).
A62. Teniendo en cuenta que la opinión del auditor se refiere a los estados financieros y que los estados financieros son responsabilidad de la dirección, el auditor no puede concluir que se ha obtenido evidencia de auditoría suficiente y adecuada hasta que no se haya obtenido evidencia de que todos los estados que componen los estados financieros, incluidas las notas explicativas, han sido preparados y la dirección ha reconocido su responsabilidad sobre ellos.
A63. En algunas jurisdicciones, las disposiciones legales o reglamentarias identifican a las personas u órganos (por ejemplo, los administradores) que tienen la responsabilidad de concluir que todos los estados que componen los estados financieros, incluidas las notas explicativas, han sido preparados, y especifican el proceso de aprobación necesario. En estos casos, la evidencia de dicha aprobación se obtiene antes de fechar el informe sobre los estados financieros. Sin embargo, en otras jurisdicciones las disposiciones legales o reglamentarias no prescriben el proceso de aprobación. En dichos casos, se consideran los procedimientos que sigue la entidad para la preparación y finalización de sus estados financieros, teniendo en cuenta sus estructuras de dirección y gobierno, con el fin de identificar a las personas o colectivos con autoridad para concluir que se han preparado todos los estados que componen los estados financieros, incluidas las notas explicativas. En algunos casos, las disposiciones legales o reglamentarias identifican el punto del proceso de presentación de los estados financieros en el cual se supone que la auditoría debe estar terminada.
A64. En algunas jurisdicciones se necesita la aprobación final de los estados financieros por los accionistas antes de que los estados financieros se hagan públicos. En dichas jurisdicciones, no es necesaria la aprobación final por los accionistas para que el auditor concluya que se ha obtenido evidencia de auditoría suficiente y adecuada. La fecha de aprobación de los estados financieros a efectos de las NIA es la primera fecha en la que las personas con autoridad reconocida determinan que todos los estados que componen los estados financieros, incluidas las notas explicativas, han sido preparados y que las personas con autoridad reconocida han manifestado que asumen su responsabilidad sobre ellos.
Informe de auditoría prescrito por las disposiciones legales o reglamentarias (Ref: Apartado 49)
A65. La NIA 200 explica que el auditor puede estar obligado a cumplir requerimientos legales o reglamentarios adicionales a las NIA(33). Cuando las diferencias entre los requerimientos legales o reglamentarios y las NIA se refieren sólo al formato y a la redacción del informe de auditoría, los requerimientos del apartado 49(a)-(n) constituyen los elementos mínimos que se deben incluir en el informe de auditoría para permitir una referencia a las Normas Internacionales de Auditoría. En esas circunstancias, no es necesario cumplir los NICC 1, Control de calidad en las firmas de auditoría que realizan auditorías y revisiones de estados financieros, así como otros encargos que proporcionan un grado de seguridad y servicios relacionados apartado 32. requerimientos de los apartados 21-48 no incluidos en el apartado 49(a)-(n), por ejemplo, el orden requerido para las secciones "Opinión" y "Fundamento de la opinión".
A66. Cuando los requerimientos específicos de una jurisdicción concreta no planteen conflictos con las NIA, el formato y la redacción requeridos por los apartados 21-48 de esta NIA ayudan a los usuarios del informe de auditoría a reconocer más fácilmente el informe de auditoría como el informe de una auditoría realizada de conformidad con las NIA.
Información requerida por la NIA 701 (Ref: Apartado 49(h))
A67. Las disposiciones legales o reglamentarias pueden requerir que el auditor proporcione información adicional sobre la auditoría realizada, lo que puede incluir información congruente con los objetivos de la NIA 701, o puede prescribir la naturaleza y extensión de la comunicación relativa a esas cuestiones.
A68. Las NIA no invalidan las disposiciones legales o reglamentarias que regulan la auditoría de estados financieros. Cuando es aplicable la NIA 701, sólo se puede hacer referencia a las NIA en el informe de auditoría si, al aplicar las disposiciones legales o reglamentarias, la sección requerida por el apartado 49(h) de esta NIA no es incongruente con los requerimientos de información de la NIA 701. En esas circunstancias, es posible que el auditor tenga que ajustar determinados aspectos de la comunicación de las cuestiones clave de la auditoría en el informe de auditoría requeridos por la NIA 701, por ejemplo:
- modificando el título "Cuestiones clave de la auditoría" si las disposiciones legales o reglamentarias prescriben un título concreto;
- explicando el motivo por el que se proporciona información requerida por las disposiciones legales o reglamentarias en el informe de auditoría, por ejemplo, mencionando la disposición legal o reglamentaria aplicable y describiendo el modo en que esa información se relaciona con las cuestiones clave de la auditoría;
- reforzando la información requerida para lograr una descripción global de cada cuestión clave de la auditoría que sea congruente con el requerimiento del apartado 13 de la NIA 701, cuando las disposiciones legales o reglamentarias prescriben la naturaleza y extensión de la descripción.
A69. La NIA 210 trata de las situaciones en las que las disposiciones legales o reglamentarias de la jurisdicción correspondiente prescriben un formato o una redacción del informe de auditoría significativamente diferente a los requerimientos de las NIA, lo que incluye, en concreto, la opinión del auditor. En estas circunstancias, la NIA 210 requiere que el auditor evalúe:
(a) si los usuarios podrían interpretar erróneamente el grado de seguridad obtenido de la auditoría de los estados financieros y, de ser éste el caso,
(b) si una explicación adicional en el informe de auditoría podría mitigar dicha posible interpretación errónea.
Si el auditor concluye que una explicación adicional en el informe de auditoría no puede mitigar una posible interpretación errónea, la NIA 210 requiere que el auditor no acepte el encargo de auditoría, salvo que esté obligado a ello por las disposiciones legales o reglamentarias. Con arreglo a la NIA 210, una auditoría realizada de conformidad con dichas disposiciones no cumple con las NIA. En consecuencia, el auditor no incluye ninguna mención en el informe de auditoría de que la auditoría se ha realizado de conformidad con las Normas Internacionales de Auditoría(34).
Consideraciones específicas para entidades del sector público
A70. Es posible que los auditores de entidades del sector público puedan, en aplicación de disposiciones legales o reglamentarias, informar públicamente sobre ciertas cuestiones, bien en el informe de auditoría o bien en un informe adicional, que puede incluir información congruente con los objetivos de la NIA 701. En esas circunstancias, es posible que el auditor tenga que ajustar ciertos aspectos de la comunicación de las cuestiones clave de la auditoría requerida en la NIA 701 o incluir una referencia en el informe de auditoría a una descripción de la cuestión en un informe adicional.
Informe de auditoría para auditorías realizadas de conformidad tanto con las normas de auditoría de una jurisdicción concreta como con las Normas Internacionales de Auditoría (Ref: Apartado 50)
A71. En el informe de auditoría el auditor puede poner de manifiesto que la auditoría se ha realizado de conformidad tanto con las Normas Internacionales de Auditoría como con las normas de auditoría nacionales cuando, además de cumplir con las normas de auditoría nacionales aplicables, el auditor cumple con cada una de las NIA aplicables a la auditoría(35).
A72. No es adecuado hacer referencia simultáneamente a las Normas Internacionales de Auditoría y a las normas de auditoría nacionales si existe un conflicto entre los requerimientos de las NIA y los de las normas de auditoría nacionales que pueda llevar al auditor a formarse una opinión diferente o a no incluir un párrafo de énfasis o un párrafo sobre otras cuestiones que, en esas circunstancias específicas, requerirían las NIA. En dicho caso, el informe de auditoría se referirá sólo a las normas de auditoría (bien a las Normas Internacionales de Auditoría o bien a las normas de auditoría nacionales) de conformidad con las que se ha preparado el informe de auditoría.
Información adicional presentada junto con los estados financieros (Ref: Apartados 52-53)
A73. En algunas circunstancias, las disposiciones legales o reglamentarias u otras normas pueden exigir a la entidad, o esta puede elegir hacerlo voluntariamente, la presentación, junto con los estados financieros, de información adicional no requerida por el marco de información financiera aplicable. Por ejemplo, se puede presentar la información adicional para mejorar la comprensión por el usuario del marco de información financiera aplicable o para proporcionar una explicación adicional en relación con partidas específicas de los estados financieros. Dicha información normalmente se presenta en forma de cuadros complementarios o como notas adicionales.
A74. El apartado 52 de esta NIA explica que la opinión del auditor cubre la información adicional que sea parte integrante de los estados financieros, por su naturaleza o el modo en que se presente. Esta evaluación es una cuestión de juicio profesional. Por ejemplo:
- Cuando las notas explicativas de los estados financieros incluyen una explicación o conciliación del grado en que los estados financieros cumplen con otro marco de información financiera, el auditor puede considerar que se trata de información adicional que no se puede diferenciar claramente de los estados financieros. La opinión del auditor también abarcaría las notas o los cuadros complementarios con referencias a los estados financieros.
- Cuando se revela una cuenta de resultados adicional que muestra elementos concretos de gastos como un cuadro separado incluido como anexo a los estados financieros, el auditor puede considerar que se trata de información adicional que se diferencia claramente de los estados financieros.
A75. No es necesario que, en el informe de auditoría, se mencione específicamente la información adicional que abarca la opinión del auditor en el caso de que sea suficiente la referencia a las notas en la descripción de los estados que componen los estados financieros en dicho informe.
A76. Las disposiciones legales o reglamentarias pueden no requerir que la información adicional se audite, y la dirección puede decidir solicitar al auditor que no incluya la información adicional en el alcance de la auditoría de los estados financieros.
A77. Al evaluar si la información adicional no auditada se presenta de tal forma que pueda interpretarse que queda englobada por la opinión del auditor, el auditor evaluará, por ejemplo, el lugar donde se presenta dicha información en relación con los estados financieros y cualquier información adicional auditada, así como si está claramente identificada como “no auditada”.
A78. La dirección podría cambiar la presentación de la información adicional no auditada cuando pueda interpretarse que queda englobada por la opinión del auditor. Por ejemplo:
- Eliminando de los estados financieros cualquier referencia cruzada a los cuadros complementarios no auditados o a las notas no auditadas, de tal forma que la delimitación entre la información auditada y no auditada sea suficientemente clara.
- Colocando la información adicional no auditada fuera de los estados financieros o, si eso no es posible dadas las circunstancias, por lo menos, colocando todas las notas no auditadas a continuación de las notas explicativas de los estados financieros obligatorias e identificándolas claramente como no auditadas. Las notas no auditadas que se entremezclen con las notas auditadas pueden considerarse erróneamente como auditadas.
A79. El hecho de que la información adicional no haya sido auditada no exime al auditor de las responsabilidades descritas en la NIA 720 (Revisada)(36).
NOTAS AL FINAL
1. NIA 701, Comunicación de las cuestiones clave de la auditoría en el informe de auditoría emitido por un auditor independiente.
2. NIA 705 (Revisada), Opinión modificada en el informe de auditoría emitido por un auditor independiente.
3. NIA 706 (Revisada), Párrafos de énfasis y párrafos sobre otras cuestiones en el informe de auditoría emitido por un auditor independiente.
4. NIA 800, Consideraciones especiales – Auditorías de estados financieros preparados de conformidad con un marco de información con fines específicos.
5. NIA 805, Consideraciones especiales- auditorías de un solo estado financiero o de un elemento, cuenta o partida específicos de un estado financiero.
6. NIA 200 Objetivos globales del auditor independiente y realización de la auditoría de conformidad con las normas internacionales de auditoría apartado 13(a).
7. Los apartados 25-26 tratan de las frases utilizadas para expresar esta opinión en el caso de un marco de imagen fiel y de un marco de cumplimiento, respectivamente.
8. NIA 200, apartado 11.
9. Los apartados 25-26 tratan de las frases utilizadas para expresar esta opinión en el caso de un marco de imagen fiel y de un marco de cumplimiento, respectivamente.
10. NIA 330, Respuestas del auditor a los riesgos valorados, apartado 26.
11. NIA 450, Evaluación de las incorrecciones identificadas durante la realización de la auditoría, apartado 11.
12. NIA 570 (Revisada), Empresa en funcionamiento, apartados 21 -23
13. NIA 570 (Revisada), apartado 2
14. NIA 320, Importancia relativa o materialidad en la planificación y ejecución de la auditoria apartado 2
15. NIA 600, Consideraciones especiales - Auditorías de estados fináncienos de grupos (incluido el trabajo de los auditores de los componentes)
16. NIA 701, aportados 11-16
17. NIA 260 (Revisada), Comunicación con los responsables del gobierno de la entidad,. Anexo 2.
18. NIA 540, Auditoría de estimaciones contables, incluidas las de valor razonable, y la información relacionada a revelar, apartado 21.
19. NIA 200, apartados A2-A3.
20. NIA 210, Acuerdo de los términos del encargo de auditoría, apartado 6(a).
21. NIA 210, apartado 18.
22. NIA 200, apartado A14
23. NIA 600, apartado A37.
24. NIA 600, apartados 19-20.
25. NIA 210, apartados 9 y A21..
26. NIA 210, apartado 10...
27. NIA 210, apartado A23a..
28. NIA 200, apartado 13(j)...
29. NIA 210, apartado 6(b)(i)-(ii).
30. NIA 315 (Revisada), Identificación y valoración de los riesgos de incorrección material mediante el conocimiento de la entidad y de su entorno, apartado 4(c).
31. NICC 1, Control de calidad en las firmas de auditoría que realizan auditorías y revisiones de estados financieros, así como otros encargos que proporcionan un grado de seguridad y servicios relacionados apartado 32.
32. NIA 560, Hechos posteriores al cierre, apartados 10-17.
33. NIA 200, apartado A55.
34. NIA 210, apartado 21
35. NIA 200, apartado A56.
36. NIA 720 (Revisada), Responsabilidades del autor con respecto a otra información
Anexo
(Ref: Apartado A14)
Ejemplos de informes de auditoría emitidos por un auditor independiente sobre estados financieros
- Ejemplo 1: Informe de auditoría sobre estados financieros de una entidad cotizada preparados de conformidad con un marco de imagen fiel
- Ejemplo 2: Informe de auditoría sobre estados financieros consolidados de una entidad cotizada preparados de conformidad con un marco de imagen fiel.
- Ejemplo 3: Informe de auditoría sobre estados financieros de una entidad que no es una entidad cotizada preparados de conformidad con un marco de imagen fiel (en el que se hace referencia a material ubicado en la página web de una autoridad competente)
- Ejemplo 4: Informe de auditoría sobre estados financieros de una entidad que no es una entidad cotizada preparados de conformidad con un marco de cumplimiento con fines generales
Ejemplo 1 - Informe de auditoría sobre estados financieros de una entidad cotizada preparados de conformidad con un marco de imagen fiel
Este ejemplo de informe de auditoría está basado en que concurren las siguientes circunstancias:
- Auditoría de un conjunto completo de estados financieros de una entidad cotizada preparados de conformidad con un marco de imagen fiel. La auditoría no es una auditoría de un grupo (es decir, no es aplicable la NIA 600).
- Los estados financieros han sido preparados por la dirección de la entidad de conformidad con las NIIF (un marco de información con fines generales).
- Los términos del encargo de auditoría reflejan la descripción de la responsabilidad de la dirección que recoge la NIA 210, en relación con los estados financieros.
- El auditor ha concluido que es adecuada una opinión no modificada (es decir, favorable o "limpia") sobre la base de la evidencia de auditoría obtenida.
- Los requerimientos de ética aplicables a la auditoría comprenden el Código de Ética para Profesionales de la Contabilidad, del IESBA, así como los requerimientos de ética relativos a la auditoría en la jurisdicción, y el auditor incluye una referencia a los dos.
- Basándose en la evidencia de auditoría obtenida, el auditor ha concluido que no existe una incertidumbre material relacionada con hechos o con condiciones que puedan generar dudas significativas sobre la capacidad de la entidad para continuar como empresa en funcionamiento de conformidad con la NIA 570 (Revisada).
- Se han comunicado las cuestiones clave de la auditoría de conformidad con la NIA 701.
- Los responsables de la supervisión de los estados financieros son distintos de los responsables de la preparación de los estados financieros.
- Además de la auditoría de los estados financieros, el auditor tiene otras responsabilidades de información impuestas por la legislación local.
INFORME DE AUDITORÍA EMITIDO POR UN AUDITOR INDEPENDIENTE
A los accionistas de la Sociedad ABC [o al destinatario que corresponda]
Informe sobre la auditoría de los estados financieros (1)
Opinión
Hemos auditado los estados financieros de la sociedad ABC (la Sociedad), que comprenden el estado de situación financiera a 31 de diciembre de 20X1, el estado del resultado global, el estado de cambios en el patrimonio neto y el estado de flujos de efectivo correspondientes al ejercicio terminado en dicha fecha, así como las notas explicativas de los estados financieros que incluyen un resumen de las políticas contables significativas.
En nuestra opinión, los estados financieros adjuntos presentan fielmente, en todos los aspectos materiales, (o expresan la imagen fiel de) la situación financiera de la Sociedad a 31 de diciembre de 20X1, así como (de) sus resultados y flujos de efectivo correspondientes al ejercicio terminado en dicha fecha, de conformidad con las Normas Internacionales de Información Financiera (NIIF).
Fundamento de la opinión
Hemos llevado a cabo nuestra auditoría de conformidad con las Normas Internacionales de Auditoría (NIA). Nuestras responsabilidades de acuerdo con dichas normas se describen más adelante en la sección Responsabilidades del auditor en relación con la auditoría de los estados financieros de nuestro informe. Somos independientes de la Sociedad de conformidad con el Código de Ética para Profesionales de la Contabilidad del Consejo de Normas Internacionales de Ética para Contadores (Código de Ética del IESBA) junto con los requerimientos de ética que son aplicables a nuestra auditoría de los estados financieros en [jurisdicción] y hemos cumplido las demás responsabilidades de ética de conformidad con esos requerimientos y con el Código de Ética del IESBA. Consideramos que la evidencia de auditoría que hemos obtenido proporciona una base suficiente y adecuada para nuestra opinión.
Cuestiones clave de la auditoría
Las cuestiones clave de la auditoría son aquellas cuestiones que, según nuestro juicio profesional, han sido de la mayor significatividad en nuestra auditoría de los estados financieros del periodo actual. Estas cuestiones han sido tratadas en el contexto de nuestra auditoría de los estados financieros en su conjunto y en la formación de nuestra opinión sobre estos, y no expresamos una opinión por separado sobre esas cuestiones.
[Descripción de cada cuestión clave de la auditoría de conformidad con la NIA 701
Responsabilidades de la dirección y de los responsables del gobierno de la entidad en relación con los estados financieros(2)
La dirección es responsable de la preparación y presentación fiel de los estados financieros adjuntos de conformidad con las NIIF(3), y del control interno que la dirección considere necesario para permitir la preparación de estados financieros libres de incorrección material, debida a fraude o error.
En la preparación de los estados financieros, la dirección es responsable de la valoración de la capacidad de la Sociedad de continuar como empresa en funcionamiento, revelando, según corresponda, las cuestiones relacionadas con la Empresa en funcionamiento y utilizando el principio contable de empresa en funcionamiento excepto si la dirección tiene intención de liquidar la sociedad o de cesar sus operaciones, o bien no exista otra alternativa realista.
Los responsables del gobierno de la entidad son responsables de la supervisión del proceso de información financiera de la Sociedad.
Responsabilidades del auditor en relación con la auditoría de los estados financieros
Nuestros objetivos son obtener una seguridad razonable de que los estados financieros en su conjunto están libres de incorrección material, debida a fraude o error, y emitir un informe de auditoría que contiene nuestra opinión. Seguridad razonable es un alto grado de seguridad pero no garantiza que una auditoría realizada de conformidad con las NIA siempre detecte una incorrección material cuando existe. Las incorrecciones pueden deberse a fraude o error y se consideran materiales si, individualmente o de forma agregada, puede preverse razonablemente que influyan en las decisiones económicas que los usuarios toman basándose en los estados financieros.
El apartado 40(b) de esta NIA explica que el texto sombreado que figura a continuación se puede ubicar en un Anexo del informe de auditoría. El apartado 40(c) explica que cuando lo permiten expresamente las disposiciones legales o reglamentarias o las normas de auditoría nacionales, se puede hacer referencia a la página web de una autoridad competente que contenga la descripción de las responsabilidades del auditor, en vez de incluir este texto en el informe de auditoría, siempre que la descripción en la página web trate de la descripción de las responsabilidades del auditor que figuran a continuación y no sea incongruente con esta.
Como parte de una auditoría de conformidad con las NIA, aplicamos nuestro juicio profesional y mantenemos una actitud de escepticismo profesional durante toda la auditoría. También:
- Identificamos y valoramos los riesgos de incorrección material en los estados financieros, debida a fraude o error, diseñamos y aplicamos procedimientos de auditoría para responder a dichos riesgos y obtenemos evidencia de auditoría suficiente y adecuada para proporcionar una base para nuestra opinión. El riesgo de no detectar una incorrección material debida a fraude es más elevado que en el caso de una incorrección material debida a error, ya que el fraude puede implicar colusión, falsificación, omisiones deliberadas, manifestaciones intencionadamente erróneas o la elusión del control interno.
- Obtenemos conocimiento del control interno relevante para la auditoría con el fin de diseñar procedimientos de auditoría que sean adecuados en función de las circunstancias y no con la finalidad de expresar una opinión sobre la eficacia del control interno de la entidad(4)
- Evaluamos la adecuación de las políticas contables aplicadas y la razonabilidad de las estimaciones contab les y la correspondiente información revelada por la dirección.
- Concluimos sobre lo adecuado de la utilización, por la dirección, del principio contable de empresa en funcionamiento y, basándonos en la evidencia de auditoría obtenida, concluimos sobre si existe o no una incertidumbre material relacionada con hechos o con condiciones que pueden generar dudas significativas sobre la capacidad de la Sociedad para continuar como empresa en funcionamiento. Si concluimos que existe una incertidumbre material, se requiere que llamemos la atención en nuestro informe de auditoría sobre la correspondiente información revelada en los estados financieros o, si dichas revelaciones no son adecuadas, que expresemos una opinión modificada. Nuestras conclusiones se basan en la evidencia de auditoría obtenida hasta la fecha de nuestro informe de auditoría. Sin embargo, hechos o condiciones futuros pueden ser causa de que la Sociedad deje de ser una empresa en funcionamiento.
- Evaluamos la presentación global, la estructura y el contenido de los estados financieros, incluida la información revelada, y si los estados financieros representan las transacciones y hechos subyacentes de un modo que logran la presentación fiel.
Comunicamos con los responsables del gobierno de la entidad en relación con, entre otras cuestiones, el alcance y el momento de realización de la auditoría planificada y los hallazgos significativos de la auditoría, así como cualquier deficiencia significativa del control interno que identificamos en el transcurso de la auditoría.
También proporcionamos a los responsables del gobierno de la entidad una declaración de que hemos cumplido los requerimientos de ética aplicables en relación con la independencia y comunicado con ellos acerca de todas las relaciones y demás cuestiones de las que se puede esperar razonablemente que puedan afectar a nuestra independencia y, en su caso, las correspondientes salvaguardas.
Entre las cuestiones que han sido objeto de comunicación con los responsables del gobierno de la entidad, determinamos las que han sido de la mayor significatividad en la auditoría de los estados financieros del periodo actual y que son, en consecuencia, las cuestiones clave de la auditoría. Describimos esas cuestiones en nuestro informe de auditoría salvo que las disposiciones legales o reglamentarias prohíban revelar públicamente la cuestión o, en circunstancias extremadamente poco frecuentes, determinemos que una cuestión no se debería comunicar en nuestro informe porque cabe razonablemente esperar que las consecuencias adversas de hacerlo superarían los beneficios de interés público de la misma.
Informe sobre otros requerimientos legales y reglamentarios
[La estructura y contenido de esta sección del informe de auditoría variarán dependiendo de la naturaleza de las otras responsabilidades de información del auditor establecidas por disposiciones legales o reglamentarias o por normas de auditoría nacionales. Las cuestiones tratadas por otras disposiciones legales o reglamentarias o normas de auditoría nacionales (denominadas "otras responsabilidades de información") se tratarán en esta sección salvo si las otras responsabilidades de información tratan de los mismos temas que los que se presentan bajo las responsabilidades de información requeridas por las NIA como parte de la sección Informe sobre la auditoría de los estados financieros. La información relativa a otras responsabilidades de información que tratan los mismos temas que los que se presentan bajo las responsabilidades de información requeridas por las NIA se puede combinar (es decir, incluir en la sección Informe sobre la auditoría de los estados financieros con los subtítulos adecuados) siempre que la redacción del informe de auditoría diferencie claramente las otras responsabilidades de información de la información requerida por las NIA cuando existe esa diferencia.]
El socio del encargo de la auditoría que origina este informe de auditoría emitido por un auditor independiente es [nombre].
[Firma en nombre de la firma de auditoría, en nombre propio o en nombre de ambos, según proceda en la jurisdicción de que se trate]
[Dirección del auditor]
[Fecha]
Ejemplo 2.. Informe de auditoría sobre estados financieros consolidados de una entidad cotizada preparados de conformidad con un marco de imagen fiel
Este ejemplo de informe de auditoría está basado en que concurren las siguientes circunstancias:
- Auditoría de un conjunto completo de estados financieros consolidados de una entidad cotizada preparados de conformidad con un marco de imagen fiel. Se trata de la auditoría de grupo de una entidad con dependientes (es decir, es aplicable la NIA 600).
- Los estados financieros consolidados han sido preparados por la dirección de la entidad de conformidad con las NIIF (un marco de información con fines generales).
- Los términos del encargo de auditoría reflejan la descripción de la responsabilidad de la dirección que recoge la NIA 210, en relación con los estados financieros consolidados.
- El auditor ha concluido que es adecuada una opinión no modificada (es decir, favorable o "limpia") sobre la base de la evidencia de auditoría obtenida.
- El Código de Ética para Profesionales de la Contabilidad del Consejo de Normas Internacionales de Ética para Contadores (Código de Ética del IESBA) contiene todos los requerimientos de ética aplicables a la auditoría.
- Basándose en la evidencia de auditoría obtenida, el auditor ha concluido que no existe una incertidumbre material relacionada con hechos o con condiciones que puedan generar dudas significativas sobre la capacidad de la entidad para continuar como empresa en funcionamiento de conformidad con la NIA 570 (Revisada).
- Se han comunicado las cuestiones clave de la auditoría de conformidad con la NIA 701.
- Los responsables de la supervisión de los estados financieros consolidados son distintos de los responsables de la preparación de los estados financieros consolidados.
- Además de la auditoría de los estados financieros consolidados, el auditor tiene otras responsabilidades de información impuestas por la legislación local.
INFORME DE AUDITORÍA EMITIDO POR UN AUDITOR INDEPENDIENTE
A los accionistas de la Sociedad ABC [o al destinatario que corresponda]
Informe sobre la auditoría de los estados financieros consolidados(5)
Opinión
Hemos auditado los estados financieros consolidados de la sociedad ABC y sus dependientes (el Grupo), que comprenden el estado de situación financiera consolidado a 31 de diciembre de 20X1, el estado del resultado global consolidado, el estado de cambios en el patrimonio neto consolidado y el estado de flujos de efectivo consolidado correspondientes al ejercicio terminado en dicha fecha, así como las notas explicativas de los estados financieros que incluyen un resumen de las políticas contables significativas.
En nuestra opinión, los estados financieros consolidados adjuntos presentan fielmente, en todos los aspectos materiales, (o expresan la imagen fiel de) la situación financiera consolidada del Grupo a 31 de diciembre de 20X1, así como (de) sus resultados consolidados y flujos de efectivo consolidados correspondientes al ejercicio terminado en dicha fecha, de conformidad con las Normas Internacionales de Información Financiera (NIIF).
Fundamento de la opinión.
Hemos llevado a cabo nuestra auditoría de conformidad con las Normas Internacionales de Auditoría (NIA). Nuestras responsabilidades de acuerdo con dichas normas se describen más adelante en la sección Responsabilidades del auditor en relación con la auditoría de los estados financieros de
Cuestiones clave de la auditoría
Las cuestiones clave de la auditoría son aquellas cuestiones que, según nuestro juicio profesional, han sido de la mayor significatividad en nuestra auditoría de los estados financieros consolidados del periodo actual. Estas cuestiones han sido tratadas en el contexto de nuestra auditoría de los estados financieros consolidados en su conjunto y en la formación de nuestra opinión sobre estos, y no expresamos una opinión por separado sobre esas cuestiones.
[Descripción de cada cuestión clave de la auditoría de conformidad con la NIA 701]
Responsabilidades de la dirección y de los responsables del gobierno de la entidad en relación con los estados financieros consolidados(6)
La dirección es responsable de la preparación y presentación fiel de los estados financieros consolidados adjuntos de conformidad con las NIIF(7)y del control interno que la dirección considere necesario para permitir la preparación de estados financieros consolidados libres de incorrección material, debida a fraude o error.
En la preparación de los estados financieros consolidados, la dirección es responsable de la valoración de la capacidad del Grupo de continuar como empresa en funcionamiento, revelando, según corresponda, las cuestiones relacionadas con la Empresa en funcionamiento y utilizando el principio contable de empresa en funcionamiento excepto si la dirección tiene intención de liquidar el Grupo o de cesar sus operaciones, o bien no exista otra alternativa realista.
Los responsables del gobierno de la entidad son responsables de la supervisión del proceso de información financiera del Grupo.
Responsabilidades del auditor en relación con la auditoría de los estados financieros consolidados
Nuestros objetivos son obtener una seguridad razonable de que los estados financieros consolidados en su conjunto están libres de incorrección material, debida a fraude o error, y emitir un informe de auditoría que contiene nuestra opinión. Seguridad razonable es un alto grado de seguridad pero no garantiza que una auditoría realizada de conformidad con las NIA siempre detecte una incorrección material cuando existe. Las incorrecciones pueden deberse a fraude o error y se consideran materiales si, individualmente o de forma agregada, puede preverse razonablemente que influyan en las decisiones económicas que los usuarios toman basándose en los estados financieros consolidados.
El apartado 40(b) de esta NIA explica que el texto sombreado que figura a continuación se puede ubicar en un Anexo del informe de auditoría. El apartado 40(c) explica que cuando lo permiten expresamente las disposiciones legales o reglamentarias o las normas de auditoría nacionales, se puede hacer referencia a la página web de una autoridad competente que contenga la descripción de las responsabilidades del auditor, en vez de incluir este texto en el informe de auditoría, siempre que la descripción en la página web trate de la descripción de las responsabilidades del auditor que figuran a continuación y no sea incongruente con esta.
Como parte de una auditoría de conformidad con las NIA, aplicamos nuestro juicio profesional y mantenemos una actitud de escepticismo profesional durante toda la auditoría. También:
- Identificamos y valoramos los riesgos de incorrección material en los estados financieros consolidados, debida a fraude o error, diseñamos y aplicamos procedimientos de auditoría para responder a dichos riesgos y obtenemos evidencia de auditoría suficiente y adecuada para proporcionar una base para nuestra opinión. El riesgo de no detectar una incorrección material debida a fraude es más elevado que en el caso de una incorrección material debida a error, ya que el fraude puede implicar colusión, falsificación, omisiones deliberadas, manifestaciones intencionadamente erróneas o la elusión del control interno.
- Obtenemos conocimiento del control interno relevante para la auditoría con el fin de diseñar procedimientos de auditoría que sean adecuados en función de las circunstancias y no con la finalidad de expresar una opinión sobre la eficacia del control interno del Grupo(8)
- Evaluamos la adecuación de las políticas contables aplicadas y la razonabilidad de las estimaciones contables y la correspondiente información revelada por la dirección.
- Concluimos sobre lo adecuado de la utilización, por la dirección, del principio contable de empresa en funcionamiento y, basándonos en la evidencia de auditoría obtenida, concluimos sobre si existe o no una incertidumbre material relacionada con hechos o con condiciones que pueden generar dudas significativas sobre la capacidad del Grupo para continuar como empresa en funcionamiento. Si concluimos que existe una incertidumbre material, se requiere que llamemos la atención en nuestro informe de auditoría sobre la correspondiente información revelada en los estados financieros consolidados o, si dichas revelaciones no son adecuadas, que expresemos una opinión modificada. Nuestras conclusiones se basan en la evidencia de auditoría obtenida hasta la fecha de nuestro informe de auditoría. Sin embargo, hechos o condiciones futuros pueden ser causa de que el Grupo deje de ser una empresa en funcionamiento.
- Evaluamos la presentación global, la estructura y el contenido de los estados financieros consolidados, incluida la información revelada, y si los estados financieros consolidados representan las transacciones y hechos subyacentes de un modo que logran la presentación fiel.
- Obtenemos evidencia suficiente y adecuada en relación con la información financiera de las entidades o actividades empresariales dentro del grupo para expresar una opinión sobre los estados financieros consolidados. Somos responsables de la dirección, supervisión y realización de la auditoría del grupo. Somos los únicos responsables de nuestra opinión de auditoría.
Comunicamos con los responsables del gobierno de la entidad en relación con, entre otras cuestiones, el alcance y el momento de realización de la auditoría planificada y los hallazgos significativos de la auditoría, así como cualquier deficiencia significativa del control interno que identificamos en el transcurso de la auditoría.
También proporcionamos a los responsables del gobierno de la entidad una declaración de que hemos cumplido los requerimientos de ética aplicables en relación con la independencia y comunicado con ellos acerca de todas las relaciones y demás cuestiones de las que se puede esperar razonablemente que puedan afectar a nuestra independencia y, en su caso, las correspondientes salvaguardas.
Entre las cuestiones que han sido objeto de comunicación con los responsables del gobierno de la entidad, determinamos las que han sido de la mayor significatividad en la auditoría de los estados financieros consolidados del periodo actual y que son, en consecuencia, las cuestiones clave de la auditoría. Describimos esas cuestiones en nuestro informe de auditoría salvo que las disposiciones legales o reglamentarias prohíban revelar públicamente la cuestión o, en circunstancias extremadamente poco frecuentes, determinemos que una cuestión no se debería comunicar en nuestro informe porque cabe razonablemente esperar que las consecuencias adversas de hacerlo superarían los beneficios de interés público de la misma.
Informe sobre otros requerimientos legales y reglamentarios
[La estructura y contenido de esta sección del informe de auditoría variarán dependiendo de la naturaleza de las otras responsabilidades de información del auditor establecidas por disposiciones legales o reglamentarias o por normas de auditoría nacionales. Las cuestiones tratadas por otras disposiciones legales o reglamentarias o normas de auditoría nacionales (denominadas "otras responsabilidades de información") se tratarán en esta sección salvo si las otras responsabilidades de información tratan de los mismos temas que los que se presentan bajo las responsabilidades de información requeridas por las NIA como parte de la sección Informe sobre la auditoría de los estados financieros consolidados. La información relativa a otras responsabilidades de información que tratan los mismos temas que los que se presentan bajo las responsabilidades de información requeridas por las NIA se puede combinar (es decir, incluir en la sección Informe sobre la auditoría de los estados financieros consolidados con los subtítulos adecuados) siempre que la redacción del informe de auditoría diferencie claramente las otras responsabilidades de información de la información requerida por las NIA cuando existe esa diferencia.]
El socio del encargo de la auditoría que origina este informe de auditoría emitido por un auditor independiente es [nombre].
[Firma en nombre de la firma de auditoría, en nombre propio o en nombre de ambos, según proceda en la jurisdicción de que se trate]
[Dirección del auditor]
[Fecha]
Ejemplo 3 - Informe de auditoría sobre estados financieros de una entidad que no es una entidad cotizada preparados de conformidad con un marco de imagen fiel
Este ejemplo de informe de auditoría está basado en que concurren las siguientes circunstancias:
- Auditoría de un conjunto completo de estados financieros de una entidad que no es una entidad cotizada preparados de conformidad con un marco de imagen fiel. La auditoría no es una auditoría de un grupo (es decir, no es aplicable la NIA 600).
- Los estados financieros han sido preparados por la dirección de la entidad de conformidad con las NIIF (un marco de información con fines generales).
- Los términos del encargo de auditoría reflejan la descripción de la responsabilidad de la dirección que recoge la NIA 210, en relación con los estados financieros.
- El auditor ha concluido que es adecuada una opinión no modificada (es decir, favorable o "limpia") sobre la base de la evidencia de auditoría obtenida.
- Los requerimientos de ética que son de aplicación a la auditoría son los de la jurisdicción.
- Basándose en la evidencia de auditoría obtenida, el auditor ha concluido que no existe una incertidumbre material relacionada con hechos o con condiciones que puedan generar dudas significativas sobre la capacidad de la entidad para continuar como empresa en funcionamiento de conformidad con la NIA 570 (Revisada).
- El auditor no está obligado a comunicar las cuestiones clave de la auditoría de conformidad con la NIA 701 y ha decidido no hacerlo por algún otro motivo.
- Los responsables de la supervisión de los estados financieros son distintos de los responsables de la preparación de los estados financieros.
- Las disposiciones legales locales no imponen al auditor otras responsabilidades de información.
- El auditor elige referirse a la descripción de la responsabilidad del auditor incluida en la página web de una autoridad competente.
INFORME DE AUDITORÍA EMITIDO POR UN AUDITOR INDEPENDIENTE
A los accionistas de la Sociedad ABC [o al destinatario que corresponda]
Opinión
Hemos auditado los estados financieros de la sociedad ABC (la Sociedad), que comprenden el estado de situación financiera a 31 de diciembre de 20X1, el estado del resultado global, el estado de cambios en el patrimonio neto y el estado de flujos de efectivo correspondientes al ejercicio terminado en dicha fecha, así como las notas explicativas de los estados financieros que incluyen un resumen de las políticas contables significativas.
En nuestra opinión, los estados financieros adjuntos presentan fielmente, en todos los aspectos materiales, (o expresan la imagen fiel de) la situación financiera de la Sociedad a 31 de diciembre de 20X1, así como (de) sus resultados y flujos de efectivo correspondientes al ejercicio terminado en dicha fecha, de conformidad con las Normas Internacionales de Información Financiera (NIIF).
Fundamento de la opinión
Hemos llevado a cabo nuestra auditoría de conformidad con las Normas Internacionales de Auditoría (NIA). Nuestras responsabilidades de acuerdo con dichas normas se describen más adelante en la sección Responsabilidades del auditor en relación con la auditoría de los estados financieros de nuestro informe. Somos independientes de la Sociedad de conformidad con los requerimientos de ética aplicables a nuestra auditoría de los estados financieros en [jurisdicción] y hemos cumplido las demás responsabilidades de ética de conformidad con esos requerimientos. Consideramos que la evidencia de auditoría que hemos obtenido proporciona una base suficiente y adecuada para nuestra opinión.
Responsabilidades de la dirección y de los responsables del gobierno de la entidad en relación con los estados financieros(9)
La dirección es responsable de la preparación y presentación fiel de los estados financieros adjuntos de conformidad con las NIIF(10), y del control interno que la dirección considere necesario para permitir la preparación de estados financieros libres de incorrección material, debida a fraude o error.
En la preparación de los estados financieros, la dirección es responsable de la valoración de la capacidad de la Sociedad de continuar como empresa en funcionamiento, revelando, según corresponda, las cuestiones relacionadas con la Empresa en funcionamiento y utilizando el principio contable de empresa en funcionamiento excepto si la dirección tiene intención de liquidar la sociedad o de cesar sus operaciones, o bien no exista otra alternativa realista.
Los responsables del gobierno de la entidad son responsables de la supervisión del proceso de información financiera de la Sociedad.
Responsabilidades del auditor en relación con la auditoría de los estados financieros
Nuestros objetivos son obtener una seguridad razonable de que los estados financieros en su conjunto están libres de incorrección material, debida a fraude o error, y emitir un informe de auditoría que contiene nuestra opinión. Seguridad razonable es un alto grado de seguridad pero no garantiza que una auditoría realizada de conformidad con las NIA siempre detecte una incorrección material cuando existe. Las incorrecciones pueden deberse a fraude o error y se consideran materiales si, individualmente o de forma agregada, puede preverse razonablemente que influyan en las decisiones económicas que los usuarios toman basándose en los estados financieros.
Una descripción más detallada de las responsabilidades del auditor en relación con la auditoría de los estados financieros se encuentra en la página web de [nombre del organismo] en: [enlace con la página web]. Esta descripción es parte integrante de nuestro informe de auditoría.
[Firma en nombre de la firma de auditoría, en nombre propio o en nombre de ambos, según proceda en la jurisdicción de que se trate]
[Dirección del auditor]
[Fecha]
Ejemplo 4 - Informe de auditoría sobre estados financieros de una entidad que no es una entidad cotizada preparados de conformidad con un marco de cumplimiento con fines generales
Este ejemplo de informe de auditoría está basado en que concurren las siguientes circunstancias:
- Auditoría de un conjunto completo de estados financieros de una entidad que no es una entidad cotizada requeridos por las disposiciones legales o reglamentarias. La auditoría no es una auditoría de un grupo (es decir, no es aplicable la NIA 600).
- Los estados financieros han sido preparados por la dirección de la entidad de conformidad con el marco de información financiera (Ley XYZ) de la jurisdicción X (es decir, un marco de información financiera, que comprende las disposiciones legales o reglamentarias, diseñado para satisfacer las necesidades comunes de información financiera de un amplio espectro de usuarios, pero que no constituye un marco de imagen fiel).
- Los términos del encargo de auditoría reflejan la descripción de la responsabilidad de la dirección que recoge la NIA 210, en relación con los estados financieros.
- El auditor ha concluido que es adecuada una opinión no modificada (es decir, favorable o "limpia") sobre la base de la evidencia de auditoría obtenida.
- Los requerimientos de ética que son de aplicación a la auditoría son los de la jurisdicción.
- Basándose en la evidencia de auditoría obtenida, el auditor ha concluido que no existe una incertidumbre material relacionada con hechos o con condiciones que puedan generar dudas significativas sobre la capacidad de la entidad para continuar como empresa en funcionamiento de conformidad con la NIA 570 (Revisada).
- El auditor no está obligado a comunicar las cuestiones clave de la auditoría de conformidad con la NIA 701 y ha decidido no hacerlo por algún otro motivo.
- Los responsables de la supervisión de los estados financieros son distintos de los responsables de la preparación de los estados financieros.
- Las disposiciones legales locales no imponen al auditor otras responsabilidades de información.
INFORME DE AUDITORÍA EMITIDO POR UN AUDITOR INDEPENDIENTE
[Destinatario correspondiente]
Opinión
Hemos auditado los estados financieros de la sociedad ABC (la Sociedad), que comprenden el balance de situación a 31 de diciembre de 20X1, el estado de resultados, el estado de cambios en el patrimonio neto y el estado de flujos de efectivo correspondientes al ejercicio terminado en dicha fecha, así como las notas explicativas de los estados financieros que incluyen un resumen de las políticas contables significativas.
En nuestra opinión, los estados financieros adjuntos de la Sociedad han sido preparados, en todos los aspectos materiales, de conformidad con la Ley XYZ de la jurisdicción X.
Fundamento de la opinión
Hemos llevado a cabo nuestra auditoría de conformidad con las Normas Internacionales de Auditoría (NIA). Nuestras responsabilidades de acuerdo con dichas normas se describen más adelante en la sección Responsabilidades del auditor en relación con la auditoría de los estados financieros de nuestro informe. Somos independientes de la Sociedad de conformidad con los requerimientos de ética aplicables a nuestra auditoría de los estados financieros en [jurisdicción] y hemos cumplido las demás responsabilidades de conformidad con esos requerimientos. Consideramos que la evidencia de auditoría que hemos obtenido proporciona una base suficiente y adecuada para nuestra opinión.
Responsabilidades de la dirección y de los responsables del gobierno de la entidad en relación con los estados financieros(11)
La dirección es responsable de la preparación y presentación de los estados financieros adjuntos de conformidad con la Ley XYZ de la jurisdicción X(12) y del control interno que la dirección considere necesario para permitir la preparación de estados financieros libres de incorrección material, debida a fraude o error.
En la preparación de los estados financieros, la dirección es responsable de la valoración de la capacidad de la Sociedad de continuar como empresa en funcionamiento, revelando, según corresponda, las cuestiones relacionadas con la Empresa en funcionamiento y utilizando el principio contable de empresa en funcionamiento excepto si la dirección tiene intención de liquidar la sociedad o de cesar sus operaciones, o bien no exista otra alternativa realista.
Los responsables del gobierno de la entidad son responsables de la supervisión del proceso de información financiera de la Sociedad.
Responsabilidades del auditor en relación con la auditoría de los estados financieros
Nuestros objetivos son obtener una seguridad razonable de que los estados financieros en su conjunto están libres de incorrección material, debida a fraude o error, y emitir un informe de auditoría que contiene nuestra opinión. Seguridad razonable es un alto grado de seguridad pero no garantiza que una auditoría realizada de conformidad con las NIA siempre detecte una incorrección material cuando existe. Las incorrecciones pueden deberse a fraude o error y se consideran materiales si, individualmente o de forma agregada, puede preverse razonablemente que influyan en las decisiones económicas que los usuarios toman basándose en los estados financieros.
El apartado 40(b) de esta NIA explica que el texto sombreado que figura a continuación se puede ubicar en un Anexo del informe de auditoría. El apartado 40(c) explica que cuando lo permiten expresamente las disposiciones legales o reglamentarias o las normas de auditoría nacionales, se puede hacer referencia a la página web de una autoridad competente que contenga la descripción de las responsabilidades del auditor, en vez de incluir este texto en el informe de auditoría, siempre que la descripción en la página web trate de la descripción de las responsabilidades del auditor que figuran a continuación y no sea incongruente con esta.
Como parte de una auditoría de conformidad con las NIA, aplicamos nuestro juicio profesional y mantenemos una actitud de escepticismo profesional durante toda la auditoría. También:
- Identificamos y valoramos los riesgos de incorrección material en los estados financieros, debida a fraude o error, diseñamos y aplicamos procedimientos de auditoría para responder a dichos riesgos y obtenemos evidencia de auditoría suficiente y adecuada para proporcionar una base para nuestra opinión. El riesgo de no detectar una incorrección material debida a fraude es más elevado que en el caso de una incorrección material debida a error, ya que el fraude puede implicar colusión, falsificación, omisiones deliberadas, manifestaciones intencionadamente erróneas o la elusión del control interno.
- Obtenemos conocimiento del control interno relevante para la auditoría con el fin de diseñar procedimientos de auditoría que sean adecuados en función de las circunstancias y no con la finalidad de expresar una opinión sobre la eficacia del control interno de la entidad(13)
- Evaluamos la adecuación de las políticas contables aplicadas y la razonabilidad de las estimaciones contables y la correspondiente información revelada por la dirección.
- Concluimos sobre lo adecuado de la utilización, por la dirección, del principio contable de empresa en funcionamiento y, basándonos en la evidencia de auditoría obtenida, concluimos sobre si existe o no una incertidumbre material relacionada con hechos o con condiciones que pueden generar dudas significativas sobre la capacidad de la Sociedad para continuar como empresa en funcionamiento. Si concluimos que existe una incertidumbre material, se requiere que llamemos la atención en nuestro informe de auditoría sobre la correspondiente información revelada en los estados financieros o, si dichas revelaciones no son adecuadas, que expresemos una opinión modificada. Nuestras conclusiones se basan en la evidencia de auditoría obtenida hasta la fecha de nuestro informe de auditoría. Sin embargo, hechos o condiciones futuros pueden ser causa de que la Sociedad deje de ser una empresa en funcionamiento.
Comunicamos con los responsables del gobierno de la entidad en relación con, entre otras cuestiones, el alcance y el momento de realización de la auditoría planificada y los hallazgos significativos de la auditoría, así como cualquier deficiencia significativa del control interno que identificamos en el transcurso de la auditoría.
Firma en nombre de la firma de auditoría, en nombre propio o en nombre de ambos, según proceda en la jurisdicción de que se trate]
[Dirección del auditor]
[Fecha]
NOTA LA FINAL
1. El subtítulo "Informe sobre la auditoria de los estados financieros" no es necesario en aquellas circunstancias en las que no sea procedente el segundo subtitulo, "Informe sobre otros requerimientos legales y reglamentarios"
2. En estos ejemplos de informes de auditoría, es posible que los términos dirección y responsables del gobierno de la entidad tengan que ser sustituidos por otro término que sea adecuado en el contexto del marco legal de la jurisdicción de que se trate.
3. Cuando la responsabilidad de la dirección sea la preparación de estados financieros que expresen la imagen fiel, la dirección es responsable de la preparación de estados financieros que expresen la imagen fiel de conformidad con las Normas Internacionales de información y del...
4. Esta frase se modificaría, según corresponda, en circunstancias en las que el auditor tenga, asimismo, la responsabilidad de emitir una opinión sobre la eficacia del control interno junto con la auditoría de los estados financieros.
5. El subtítulo "Informe sobre la auditoria de los estados financieros consolidados" no es necesario en aquellas circunstancias en la que no sea procedente el segundo subtitulo, "Informe sobre otros requerimientos legales y reglamentarios".
6. U otro término adecuado según el marco legal de la jurisdicción de que se trate.
7. Cuando la responsabilidad de la dirección sea la preparación de estados financieros que expresen la imagen fiel, la imagen fiel de conformidad con las Normas Internacionales de información Financiera, y del..."
8. Esta frase se modificaría, según corresponda, en circunstancias en las que el auditor tenga, asimismo, la responsabilidad de emitir una opinión sobre la eficacia del control interno junto con la auditoría de los estados financieros consolidados.
9. U otro término adecuado según el marco legal de la jurisdicción de que se trate.
10. Cuando la responsabilidad de la dirección sea la preparación de estados financieros que expresen la imagen fiel, la redacción podrá ser la siguiente: “La dirección es responsable de la preparación de estados financieros que expresen la imagen fiel de conformidad con las Normas Internacionales de Información Financiera, y del...”
11. U otro término adecuado según el marco legal de la jurisdicción de que se trate.
12. Cuando la responsabilidad de la dirección sea la preparación de estados financieros que expresen la imagen fiel, la imagen fiel de conformidad con las.
13. Esta frase se modificaría, según corresponda, en circunstancias en las que el auditor tenga, asimismo, responsabilidad de emitir una opinión sobre la eficacia del control interno junto con la auditoría de los estados financieros.
NORMA INTERNACIONAL DE AUDITORÍA 701
COMUNICACIÓN DE LAS CUESTIONES CLAVE DE LA AUDITORÍA EN EL INFORME DE AUDITORÍA EMITIDO POR UN AUDITOR INDEPENDIENTE
(Aplicable a las auditorías de estados financieros correspondientes a periodos terminados a partir del 15 de diciembre de 2016)
CONTENIDO
Introducción
Alcance de esta NIA
Fecha de entrada en vigor
Objetivos
Objetivos
Definición
Requerimientos
Determinación de las cuestiones clave de la auditoría
Comunicación de las cuestiones clave de la auditoría
Comunicación con los responsables del gobierno de la entidad
Documentación
Guía de aplicación y otras anotaciones explicativas
Alcance de esta NIA
Determinación de las cuestiones clave de la auditoría
Comunicación de las cuestiones clave de la auditoría
Comunicación con los responsables del gobierno de la entidad
Documentación
La Norma Internacional de Auditoría (NIA) 701, Comunicación de las cuestiones clave de la auditoría en el informe de auditoría emitido por un auditor independiente, debe interpretarse conjuntamente con la NIA 200, Objetivos globales del auditor independiente y realización de la auditoría de conformidad con las Normas Internacionales de Auditoría.
Introducción
Alcance de esta NIA
1. Esta Norma Internacional de Auditoría (NIA) trata de la responsabilidad que tiene el auditor de comunicar las cuestiones clave de la auditoría en el informe de auditoría. Su finalidad es la de tratar tanto el juicio del auditor en relación con lo que se debe comunicar en el informe de auditoría como la estructura y contenido de dicha comunicación.
2. El propósito de la comunicación de las cuestiones clave de la auditoría es mejorar el valor comunicativo del informe de auditoría al proporcionar una mayor transparencia acerca de la auditoría que se ha realizado. La comunicación de las cuestiones clave de la auditoría proporciona información adicional a los usuarios a quienes se destinan los estados financieros con el fin de facilitarles la comprensión de aquellas cuestiones que, según el juicio profesional del auditor, han sido de la mayor significatividad en la auditoría de los estados financieros del periodo actual. La comunicación de las cuestiones clave de la auditoría también puede ayudar a los usuarios a quienes se destinan los estados financieros a conocer la entidad y las áreas de los estados financieros auditados en las que la dirección aplica juicios significativos. (Ref: Apartados A1-A4)
3. La comunicación de las cuestiones clave de la auditoría en el informe de auditoría también puede proporcionar a los usuarios a quienes se destinan los estados financieros una base para involucrarse más con la dirección y con los responsables del gobierno de la entidad acerca de determinadas cuestiones relativas a la entidad, a los estados financieros auditados o a la auditoría que se ha realizado.
4. La comunicación de las cuestiones clave de la auditoría en el informe de auditoría se realiza en el contexto de la opinión que se ha formado el auditor sobre los estados financieros en su conjunto. La comunicación de las cuestiones clave de la auditoría en el informe de auditoría:
(a) no sustituye la información que debe revelar la dirección en los estados financieros de conformidad con el marco de información financiera aplicable, o aquella otra que sea necesaria para lograr la presentación fiel;
(b) no exime al auditor de expresar una opinión modificada cuando lo requieran las circunstancias de un encargo de auditoría específico de conformidad con la NIA 705 (Revisada);(1)
(c) no exime de informar de conformidad con la NIA 570 (Revisada)(2)cuando exista una incertidumbre material en relación con hechos o condiciones que pueden generar dudas significativas sobre la capacidad de la entidad para continuar como empresa en funcionamiento; o
(d) no constituye una opinión separada sobre cuestiones particulares. (Ref: Apartados A5-A8)
5. Esta NIA se aplica a las auditorías de conjuntos completos de estados financieros con fines generales de entidades cotizadas y en circunstancias en las que, de otro modo, el auditor decida comunicar cuestiones clave de la auditoría en el informe de auditoría. Esta NIA se aplica también cuando las disposiciones legales o reglamentarias requieren que el auditor comunique las cuestiones clave de la auditoría en el informe de auditoría(3) Sin embargo, la NIA 705 (Revisada) prohíbe al auditor comunicar las cuestiones clave de la auditoría cuando deniega la opinión ( se abstiene de opinar) sobre los estados financieros, salvo si las disposiciones legales o reglamentarias requieren dicha información(4)
Fecha de entrada en vigor
6. Esta NIA es aplicable a las auditorías de estados financieros correspondientes a periodos terminados a partir del 15 de diciembre de 2016.
Objetivos
7. Los objetivos del auditor son determinar las cuestiones clave de la auditoría y, una vez que se ha formado una opinión sobre los estados financieros, comunicar dichas cuestiones describiéndolas en el informe de auditoría.
Definición
8. A efectos de las NIA, el siguiente término tiene el significado que figura a continuación:
Cuestiones clave de la auditoría: aquellas cuestiones que, según el juicio profesional del auditor, han sido de la mayor significatividad en la auditoría de los estados financieros del periodo actual. Las cuestiones clave de la auditoría se seleccionan entre las cuestiones comunicadas a los responsables del gobierno de la entidad.
Requerimientos
Determinación de las cuestiones clave de la auditoría
9. El auditor determinará, entre las cuestiones comunicadas a los responsables del gobierno de la entidad aquellas que hayan requerido atención significativa del auditor al realizar la auditoría. Para su determinación, el auditor tendrá en cuenta lo siguiente: (Ref: Apartados A9- A18)
(a) Las áreas de mayor riesgo valorado de incorrección material, o los riesgos significativos identificados de conformidad con la NIA 315 (Revisada).(5) (Ref: Apartados A19-A22)
(b) Los juicios significativos del auditor en relación con las áreas de los estados financieros que han requerido juicios significativos de la dirección, incluyendo las estimaciones contables para las que se ha identificado un grado elevado de incertidumbre en la estimación. (Ref: Apartados A23-A24)
(c) El efecto en la auditoría de hechos o transacciones significativos que han tenido lugar durante el periodo. (Ref: Apartados A25-A26)
10. El auditor determinará entre las cuestiones identificadas de conformidad con el apartado 9 las que han sido de la mayor significatividad en la auditoría de los estados financieros del periodo actual y que son, en consecuencia, las cuestiones clave de la auditoría. (Ref: Apartados A9- A11, A27-A30)
Comunicación de las cuestiones clave de la auditoría
11. El auditor describirá cada cuestión clave de la auditoría, utilizando un subtítulo adecuado en una sección separada del informe de auditoría titulada "Cuestiones clave de la auditoría", salvo si resultan de aplicación las circunstancias descritas en los apartados 14 o 15. La redacción de la introducción de esta sección del informe de auditoría declarará que:
(a) las cuestiones clave de la auditoría son aquellas cuestiones que, según el juicio profesional del auditor, han sido de la mayor significatividad en la auditoría de los estados financieros [del periodo actual] y;
(b) dichas cuestiones han sido tratadas en el contexto de la auditoría de los estados financieros en su conjunto, y en la formación de la opinión de auditoría sobre éstos, sin expresar una opinión por separado sobre esas cuestiones. (Ref: Apartados A31-A33)
Las cuestiones clave de la auditoría no suplen la expresión de una opinión modificada
12. El auditor no comunicará una cuestión en la sección "Cuestiones clave de la auditoría” de su informe cuando, como resultado de dicha cuestión, se requeriría que expresara una opinión modificada de conformidad con la NIA 705 (Revisada). (Ref: Apartado A5)
Descripción individualizada de las cuestiones clave de la auditoría
13. La descripción de cada cuestión clave de la auditoría en la sección “Cuestiones clave de la auditoría” del Informe de auditoría incluirá, si es aplicable, una referencia a la correspondiente información o informaciones a revelar en los estados financieros y tratará: (Ref: Apartados A34-A41)
(a) el motivo por el cual la cuestión se consideró de la mayor significatividad en la auditoría y se determinó, en consecuencia, que se trataba de una cuestión clave de la auditoría y (Ref: Apartados A42-A45)
(b) el modo en que se ha tratado la cuestión en la auditoría. (Ref: Apartados A46-A51)
Circunstancias en las que una cuestión considerada cuestión clave de la auditoría no se comunica en el informe de auditoría
14. El auditor describirá cada cuestión clave de la auditoría en el informe de auditoría excepto cuando: (Ref: Apartados A53-A56)
(a) las disposiciones legales o reglamentarias prohíban revelar públicamente la cuestión o (Ref: Apartado A52)
(b) en circunstancias extremadamente poco frecuentes, el auditor determine que la cuestión no se debería comunicar en el informe de auditoría porque cabe razonablemente esperar que las consecuencias adversas de hacerlo sobrepasarían los beneficios en el interés público que dicha comunicación tendría. Esto no se aplicará si la entidad ha revelado públicamente información sobre la cuestión.
Relación entre las descripciones de las cuestiones clave de la auditoría y otros elementos que se deben incluir en el informe de auditoría
15. Una cuestión que da lugar a una opinión modificada de conformidad con la NIA 705 (Revisada), o una incertidumbre material relacionada con hechos o condiciones que pueden generar dudas significativas sobre la capacidad de la entidad para continuar como empresa en funcionamiento de conformidad con la NIA 570 (Revisada), son, por su propia naturaleza, cuestiones clave de la auditoría. Sin embargo, en tales circunstancias, estas cuestiones no se describirán en la sección “Cuestiones clave de la auditoría” del Informe de auditoría y no son aplicables los requerimientos descritos en los apartados 13-14. En cambio, el auditor:
(a) informará sobre esta cuestión o cuestiones de conformidad con las NIA aplicables; y
(b) incluirá en la sección “Cuestiones clave de la auditoría" una referencia a la sección o secciones “Fundamento de la opinión con salvedades” o en su caso, "Fundamento de la opinión desfavorable (adversa)" o a la sección “Incertidumbre material relacionada con la Empresa en funcionamiento”. (Ref: Apartados A6-A7)
Estructura y contenido de la sección “Cuestiones clave de la auditoría” en otras circunstancias
16. Si el auditor determina, según los hechos y las circunstancias de la entidad y de la auditoría, que no hay cuestiones clave de la auditoría que se deban comunicar o que las únicas cuestiones clave de la auditoría comunicadas son las que se tratan en el apartado 15, el auditor incluirá una afirmación en este sentido en una sección separada del informe de auditoría titulada "Cuestiones clave de la auditoría". (Ref: Apartados A57??A59)
Comunicación con los responsables del gobierno de la entidad
17. El auditor se comunicará con los responsables del gobierno de la entidad acerca de:
(a) aquellas cuestiones que el auditor ha determinado que son cuestiones clave de la auditoría; o
(b) en su caso, en función de los hechos y circunstancias de la entidad y de la auditoría, el hecho que el auditor ha determinado que no hay cuestiones clave de la auditoría que se deban comunicar en el informe de auditoría. (Ref: Apartados A60..A63)
Documentación
18. El auditor incluirá en la documentación de auditoría(6): (Ref: Apartado A64)
(a) las cuestiones que han requerido una atención significativa del auditor, tal como se establece en el apartado 9, y el fundamento del auditor para determinar si cada una de dichas cuestiones es o no una cuestión clave de la auditoría de conformidad con el apartado 10;
(b) en su caso, el fundamento del auditor para determinar que no existen cuestiones clave de la auditoría que se deben comunicar en el informe de auditoría o que las únicas cuestiones clave de la auditoría que se deben comunicar son las cuestiones tratadas en el apartado 15 y
(c) en su caso, el fundamento del auditor para determinar que una cuestión que es una cuestión clave de la auditoría no se comunique en el informe de auditoría.
Guía de aplicación y otras anotaciones explicativas
Alcance de esta NIA (Ref: Apartado 2)
A1. La significatividad se puede describir como la importancia relativa de una cuestión, considerada en el contexto. El auditor juzga la significatividad de una cuestión en el contexto en el que se está considerando. La significatividad se puede considerar en el contexto de factores cuantitativos y cualitativos, tales como la magnitud relativa, la naturaleza y efecto sobre la materia objeto de análisis, así como el interés expresado por los usuarios a quienes se destinan los estados financieros o las personas que los reciben. Esto requiere un análisis objetivo de los hechos y circunstancias, así como de la naturaleza y extensión de la comunicación con los responsables del gobierno de la entidad.
A2. Los usuarios de estados financieros han expresado su interés por las cuestiones que hayan sido objeto de mayor discusión con los responsables del gobierno de la entidad como parte de la comunicación recíproca requerida por la NIA 260 (Revisada)(7) y han solicitado una mayor transparencia en relación con esas comunicaciones. Por ejemplo, los usuarios han expresado un interés especial por conocer los juicios significativos realizados por el auditor al formarse una opinión sobre los estados financieros en su conjunto debido a que con frecuencia están relacionados con las áreas en las que la dirección aplica juicios significativos en la preparación de los estados financieros.
A3. Requerir a los auditores que comuniquen las cuestiones clave de la auditoría en el informe de auditoría puede, asimismo, mejorar las comunicaciones entre el auditor y los responsables del gobierno de la entidad sobre dichas cuestiones, y puede incrementar la atención de la dirección y de los responsables del gobierno de la entidad sobre la información revelada en los estados financieros a la que se hace referencia en el informe de auditoría.
A4. La NIA 320(8) explica que es razonable que el auditor asuma que los usuarios de los estados financieros:
(a) tienen un conocimiento razonable de la actividad económica y empresarial, así como de la contabilidad y están dispuestos a analizar la información de los estados financieros con una diligencia razonable;
(b) comprenden que los estados financieros se preparan, presentan y auditan teniendo en cuenta los niveles de importancia relativa;
(c) son conscientes de las incertidumbres inherentes a la determinación de cantidades basadas en la utilización de estimaciones y juicios y en la consideración de hechos futuros y
(d) toman decisiones económicas razonables basándose en la información contenida en los estados financieros.
Dado que el informe de auditoría acompaña a los estados financieros auditados, se considera que los usuarios del informe de auditoría son los mismos que los usuarios a quienes se destinan los estados financieros.
Relación entre las cuestiones clave de la auditoría, la opinión del auditor y otros elementos del informe de auditoría (Ref: Apartados 4, 12, 15)
A5. La NIA 700 (Revisada)(9) establece requerimientos y proporciona orientaciones sobre la formación de una opinión sobre los estados financieros. La comunicación de las cuestiones clave de la auditoría no sustituye la información que debe revelar la dirección en los estados financieros de conformidad con el marco de información financiera aplicable, o aquella que por otro motivo sea necesaria para lograr la presentación fiel. La NIA 705 (Revisada) trata las circunstancias en las que el auditor concluye que existe una incorrección material en relación con la adecuación o idoneidad de la información revelada en los estados financieros.(10)
A6. Cuando el auditor expresa una opinión con salvedades o una opinión desfavorable (adversa) de conformidad con la NIA 705 (Revisada), la presentación de la descripción de una cuestión que origina una opción modificada en la sección "Fundamento de la opinión con salvedades" o, en su caso "Fundamento de la opinión desfavorable (adversa)" facilita la comprensión de los usuarios a quienes se destinan los estados financieros y ayuda a identificar dichas circunstancias cuando se producen. Separar la comunicación de dicha cuestión de la de otras cuestiones clave de la auditoria descritas en la sección "Cuestiones clave de la auditoria" le confiere la relevancia adecuada en el informe de auditoría (véase el apartado 15). En el Anexo de la NIA 705 (Revisada) se incluyen ejemplos ilustrativos de cómo se ve afectada la redacción de la introducción de la sección "Cuestiones clave de la auditoria" cuando el auditor expresa una opinión con salvedades o una opinión desfavorable (adversa) y se comunican otras cuestiones clave de la auditoría en el informe de auditoría. El apartado A58 de esta NIA ilustra el modo en que se presenta la sección "Cuestiónese clave de la auditoria" cuando el auditor ha determinado que no existen otras cuestiones clave de la auditoría que se deban comunicar en el informe de auditoría aparte de las cuestiones tratadas en la sección "Fundamento de la opinión con salvedades" o, en su caso, "Fundamento de la opinión desfavorable (adversa)" o en la sección "Incertidumbre material relacionada con la c Empresa en funcionamiento" del informe de auditoría.
A7. Cuando el auditor expresa una opinión con salvedades o una opinión desfavorable (adversa), la comunicación de otras cuestiones clave de la auditoría sigue siendo relevante para mejorar la comprensión de la auditoría por los usuarios a quienes se destinan los estados financieros y, por lo tanto, son aplicables los requerimientos relativos a la determinación de las cuestiones clave de la auditoría. No obstante, como una opinión desfavorable (adversa) se expresa cuando el auditor concluye que las incorrecciones, individualmente o de forma agregada, son materiales y generalizadas en los estados financieros:(11)
- En función de la significatividad de la cuestión o cuestiones que originan la opinión desfavorable (adversa), el auditor puede determinar que ninguna otra cuestión es una cuestión clave de la auditoría. En dichas circunstancias resulta de aplicación el requerimiento del apartado 15 (véase el apartado A58).
- Si una o varias cuestiones distintas de la cuestión o cuestiones que originan una opinión desfavorable (adversa) se consideran cuestiones clave de la auditoría, resulta especialmente importante que las descripciones de esas otras cuestiones clave de la auditoría no den a entender que los estados financieros en su conjunto son más creíbles en relación con dichas cuestiones que lo que corresponde en función de las circunstancias, teniendo en cuenta la opinión desfavorable (adversa) (véase apartado A47).
A8. La NIA 706 (Revisada)(12) establece mecanismos para que los auditores de estados financieros de cualquier tipo de entidad incluyan una comunicación adicional en el informe de auditoría mediante la utilización de párrafos de énfasis y párrafos sobre otras cuestiones cuando el auditor lo considere necesario. En estos casos, dichos párrafos se presentan separados de la sección “Cuestiones clave de la auditoría del informe de auditoría”. Cuando se ha determinado que una cuestión es una cuestión clave de la auditoría, la utilización de esos párrafos no exime de describir individualmente la cuestión clave de la auditoría de conformidad con el apartado 13.(13) La NIA 706 (Revisada) proporciona orientaciones adicionales sobre la relación entre cuestiones clave de la auditoría y los párrafos de énfasis de conformidad con dicha NIA.(14)
Determinación de las cuestiones clave de la auditoría (Ref: Apartados 9-10)
A9. El proceso de toma de decisiones del auditor para determinar las cuestiones clave de la auditoría tiene como finalidad seleccionar de entre las comunicadas a los responsables del gobierno de la entidad un número más reducido de cuestiones resultado de aplicar su juicio para determinar aquellas que han sido de la mayor significatividad en la auditoría de los estados financieros del periodo actual.
A10. La determinación por el auditor de las cuestiones clave de la auditoría se limita a las cuestiones de la mayor significatividad en la auditoría de los estados financieros del periodo actual, incluso cuando se presentan estados financieros comparativos (es decir, incluso cuando la opinión del auditor se refiere a cada uno de los periodos para los que se presentan estados financieros).(15)
A11. A pesar de que la determinación por el auditor de las cuestiones clave de la auditoría se refiere a la auditoría de los estados financieros del periodo actual y de que esta NIA no requiere que el auditor actualice las cuestiones clave de la auditoría incluidas en el informe de auditoría del periodo anterior, puede, sin embargo, ser útil para el auditor considerar si una cuestión que ha sido cuestión clave de la auditoría en la auditoría de los estados financieros del periodo anterior sigue siendo una cuestión clave de la auditoría en la auditoría de los estados financieros del periodo actual.
Cuestiones que han requerido atención significativa del auditor (Ref: Apartado 9)
A12. El concepto de atención significativa del auditor reconoce que una auditoría se basa en el riesgo y se centra en identificar y valorar los riesgos de incorrección material en los estados financieros, en diseñar y aplicar procedimientos de auditoría para responder a dichos riesgos y obtener evidencia suficiente y adecuada para proporcionar una base para la opinión del auditor. Para un determinado saldo contable, tipo de transacción o información a revelar, cuanto mayor sea el riesgo de incorrección material en las afirmaciones, más juicio deberá aplicarse en la planificación y aplicación de procedimientos de auditoría y en la evaluación de sus resultados. En el diseño de procedimientos de auditoría posteriores, se requiere que el auditor obtenga evidencia de auditoría más convincente cuanto mayor sea la valoración del riesgo que haya realizado(16). Al obtener evidencia de auditoría más convincente, debido a una valoración más alta del riesgo, el auditor puede incrementar la cantidad de evidencia u obtener evidencia que sea más relevante o fiable. Por ejemplo, poniendo más énfasis en la obtención de evidencia de terceros o mediante la obtención de evidencia corroborativa procedente de varias fuentes independientes.(17)
A13. En consecuencia, las cuestiones que dificultan la obtención por el auditor de evidencia suficiente y adecuada o la formación de una opinión sobre los estados financieros pueden ser especialmente relevantes en la determinación por parte del auditor de las cuestiones clave de la auditoría.
A14. Las áreas que requieren atención significativa del auditor a menudo son áreas complejas y de juicio significativo de la dirección con relación a los estados financieros y, en consecuencia, a menudo implican juicios difíciles o complejos por parte del auditor. A su vez, a menudo esto afecta a la estrategia global de auditoría, a la asignación de recursos y a la extensión del esfuerzo de auditoría en relación con esas cuestiones. Estos efectos pueden incluir, por ejemplo, el grado de participación de personal de categoría superior en el encargo de auditoría o la participación de un experto del auditor o de personas especializadas en un área específica de contabilidad o de auditoría, ya sean contratadas o empleadas por la firma de auditoría para tratar esas áreas.
A15. Varias NIA requieren comunicaciones específicas con los responsables del gobierno de la entidad y con otros que puedan estar relacionados con áreas que requieren atención significativa del auditor. Por ejemplo:
- La NIA 260 (Revisada) requiere que el auditor se comunique con los responsables del gobierno de la entidad, en su caso, acerca de las dificultades significativas que ha encontrado durante la realización de la auditoría.(18) Las NIA reconocen dificultades potenciales en relación con, por ejemplo:
-- Transacciones con partes vinculadas,(19) en especial con las limitaciones a la capacidad del auditor para obtener evidencia de auditoría de que todos los demás aspectos de una transacción con una parte vinculada (además del precio) son equivalentes a los de una transacción realizada en condiciones de independencia mutua.
-- Limitaciones en la auditoría del grupo, por ejemplo, cuando el acceso a la información por el equipo del encargo del grupo haya sido restringido.(20)
- La NIA 220 establece requerimientos para que el socio del encargo realice las consultas necesarias sobre cuestiones complejas o controvertidas.(21) Por ejemplo, el auditor puede haber consultado una cuestión técnica significativa a otros dentro o fuera de la firma de auditoría, lo cual podría indicar que se trata de una cuestión clave de la auditoría. También requiere que el socio del encargo discuta, entre otras cosas, las cuestiones significativas que hayan surgido durante el encargo de auditoría con el revisor de control de calidad del encargo.(22)
Consideraciones para la determinación de las cuestiones que han requerido atención significativa del auditor (Ref: Apartado 9)
A16. En la fase de planificación, el auditor se puede hacer una idea preliminar de las cuestiones que probablemente sean áreas a las que tenga que prestar una atención significativa en la auditoría y que, en consecuencia, puedan ser cuestiones clave de la auditoría. El auditor puede comunicarse con los responsables del gobierno de la entidad acerca de ello, de conformidad con la NIA 260 (Revisada), al discutir el alcance y el momento de realización de la auditoría planificada. No obstante, la determinación por el auditor de las cuestiones clave de la auditoría se basa en los resultados de la auditoría o en la evidencia obtenida durante toda la auditoría.
A17. El apartado 9 incluye consideraciones específicas que debe tener en cuenta el auditor para determinar las cuestiones que han requerido atención significativa. Esas consideraciones se centran en la naturaleza de las cuestiones que han sido objeto de comunicación con los responsables del gobierno de la entidad que a menudo están relacionadas con cuestiones reveladas en los estados financieros y cuya finalidad es reflejar áreas de la auditoría de los estados financieros que pueden ser de especial interés para los usuarios a quienes se destinan los estados financieros. El hecho de que esas consideraciones sean requeridas, no significa que las cuestiones relacionadas con ellas siempre sean cuestiones clave de la auditoría; por el contrario, las cuestiones relacionadas con esas consideraciones específicas sólo son cuestiones clave de la auditoría si se establece que son de la mayor significatividad en la auditoría de conformidad con el apartado 10. Puesto que las consideraciones pueden estar relacionadas entre sí (es decir, las cuestiones relacionadas con las circunstancias descritas en los apartados 9(b)-(c) también se pueden identificar como riesgos significativos), la aplicabilidad de más de una de las consideraciones a una cuestión específica comunicada a los responsables del gobierno de la entidad puede incrementar la probabilidad de que el auditor identifique esa cuestión como cuestión clave de la auditoría.
A18. Además de las cuestiones relacionadas con las consideraciones específicas requeridas en el apartado 9, pueden existir otras cuestiones que han sido objeto de comunicación con los responsables del gobierno de la entidad que han requerido atención significativa del auditor y que, en consecuencia, se pueden considerar cuestiones clave de la auditoría de conformidad con el apartado 10. Dichas cuestiones pueden incluir, por ejemplo, cuestiones relevantes para la auditoría que se ha realizado que puede no ser necesario revelar en los estados financieros. Por ejemplo, la implementación de un nuevo sistema de TI (o cambios significativos al sistema de TI existente) durante el periodo puede ser un área que requiera atención significativa del auditor, en especial si ese cambio ha tenido un efecto significativo en la estrategia global de auditoría o estaba relacionado con un riesgo significativo (por ejemplo, cambios en un sistema que afectan al reconocimiento de los ingresos).
Áreas de mayor riesgo valorado de incorrección material, o riesgos significativos identificados de conformidad con la NIA 315 (Revisada) (Ref: Apartado 9(a))
A19. La NIA 260 (Revisada) requiere que el auditor se comunique con los responsables del gobierno de la entidad acerca de los riesgos significativos identificados por el auditor.(23) El apartado A13 de la NIA 260 (Revisada) explica que el auditor también puede comunicarse con los responsables del gobierno de la entidad acerca del modo en que prevé tratar las áreas de mayor riesgo valorado de incorrección material.
A20. La NIA 315 (Revisada) define el riesgo significativo como un riesgo identificado y valorado de incorrección material que, a juicio del auditor, requiere una consideración especial en la auditoría. Las áreas en las que la dirección aplica juicios significativos y las transacciones significativas inusuales se pueden, a menudo, identificar como riesgos significativos. En consecuencia, los riesgos significativos son, a menudo, áreas que requieren atención significativa del auditor.
A21. Sin embargo, puede no ser el caso de todos los riesgos significativos. Por ejemplo, la NIA 240 presupone que existen riesgos de fraude en el reconocimiento de ingresos y requiere que el auditor trate esos riesgos valorados de incorrección material debidos a fraude como riesgos significativos.(24) Además, la NIA 240 indica que, dado el carácter imprevisible del modo en que se podría producir la elusión de los controles por parte de la dirección, es un riesgo de incorrección material debido a fraude, y por consiguiente, un riesgo significativo.(25) Según su naturaleza, esos riesgos pueden no requerir atención significativa del auditor y, en consecuencia, no se considerarían por el auditor al determinar las cuestiones clave de la auditoría de conformidad con el apartado 10.
A22. La NIA 315 (Revisada) indica que la valoración por parte del auditor de los riesgos de incorrección material en las afirmaciones puede variar en el transcurso de la auditoría, a medida que se obtiene evidencia de auditoría adicional.(26) La revisión de la valoración del riesgo por parte del auditor y una reevaluación de los procedimientos de auditoría planificados con respecto a un área específica de los estados financieros (es decir, un cambio significativo en el enfoque de auditoría, por ejemplo, si la valoración del riesgo del auditor se basó en la expectativa de que determinados controles funcionaban eficazmente y el auditor obtuvo evidencia de auditoría de que no funcionaron eficazmente durante toda la auditoría, especialmente en un área con un mayor riesgo valorado de incorrección material) puede tener como resultado que se determine que un área requiere atención significativa del auditor.
Juicios significativos del auditor en relación con las áreas de los estados financieros que han requerido juicios significativos de la dirección, así como las estimaciones contables para las que se ha identificado un grado elevado de incertidumbre en la estimación (Ref: Apartado 9(b))
A23. La NIA 260 (Revisada) requiere que el auditor se comunique con los responsables del gobierno de la entidad acerca de su opinión relativa a los aspectos cualitativos significativos de las prácticas contables de la entidad, incluidas las políticas contables, las estimaciones contables y la información revelada en los estados financieros.(27) En muchos casos, lo anterior está relacionado con estimaciones contables críticas y la correspondiente información revelada, que probablemente sean áreas que requieran atención significativa del auditor y que también pueden haber sido identificadas como riesgos significativos.
A24. Sin embargo, los usuarios de los estados financieros han destacado su interés por las estimaciones contables para las que se ha identificado un grado elevado de incertidumbre en la estimación de conformidad con la NIA 540(28)que pueden no haber sido consideradas riesgos significativos. Entre otros aspectos, esas estimaciones dependen en gran medida del juicio de la dirección y son a menudo las áreas más complejas de los estados financieros, y pueden requerir la participación tanto de un experto de la dirección como de un experto del auditor. Los usuarios también han destacado que las políticas contables que tienen un efecto significativo sobre los estados financieros (y los cambios significativos en dichas políticas) son relevantes para la comprensión de los estados financieros, especialmente en circunstancias en las que las prácticas de la entidad no son congruentes con las de otras entidades del mismo sector.
El efecto en la auditoría de hechos o transacciones significativos que han tenido lugar durante el periodo (Ref: Apartado 9(c))
A25. Los hechos o transacciones que han tenido un efecto significativo en los estados financieros o en la auditoría probablemente sean áreas que requieran atención significativa del auditor y probablemente hayan sido identificadas como riesgos significativos. Por ejemplo, es posible que el auditor haya discutido de modo exhaustivo con la dirección y con los responsables del gobierno de la entidad en distintas fases durante toda la auditoría el efecto en los estados financieros de transacciones significativas con partes vinculadas o de transacciones significativas ajenas al curso normal de los negocios de la entidad o que parecen inusuales.(29) Es posible que la dirección haya realizado juicios difíciles o complejos en relación con el reconocimiento, valoración, presentación o revelación de dichas transacciones, que pueden haber tenido un efecto significativo sobre la estrategia global del auditor.
A26. Los acontecimientos significativos económicos, contables, de la regulación, sectoriales o de otra naturaleza que han afectado a las hipótesis o juicios de la dirección también pueden afectar al enfoque global de la auditoría y tener como resultado una cuestión que requiere atención significativa del auditor.
Cuestiones de la mayor significatividad (Ref: Apartado 10)
A27. Las cuestiones que han requerido atención significativa del auditor también pueden haber originado una interacción significativa con los responsables del gobierno de la entidad. La naturaleza y extensión de la comunicación en relación con dichas cuestiones con los responsables del gobierno de la entidad a menudo proporcionan una indicación de cuáles son las cuestiones de la mayor significatividad en la auditoría. Por ejemplo, es posible que el auditor haya tenido una interacción más exhaustiva, frecuente o sólida con los responsables del gobierno de la entidad sobre cuestiones más difíciles y complejas, como la aplicación de políticas contables significativas que han sido objeto de juicios significativos del auditor o de la dirección.
A28. El concepto de cuestiones de la mayor significatividad es aplicable en el contexto de la entidad y de la auditoría que se ha realizado. En este sentido, la determinación y comunicación por el auditor de las cuestiones clave de la auditoría tiene como finalidad identificar cuestiones específicas de la auditoría e implica juzgar su importancia con respecto a otras cuestiones de la auditoría.
A29. Otras consideraciones que pueden ser relevantes en la determinación de la significatividad relativa de una cuestión comunicada a los responsables del gobierno de la entidad y de si se trata de una cuestión clave de la auditoría son:
- La importancia que tiene la cuestión para la comprensión de los estados financieros en su conjunto por los usuarios a quienes se destinan, en especial, su materialidad o importancia relativa con respecto a los estados financieros.
- La naturaleza de la política contable relativa a la cuestión o la complejidad o subjetividad implícitas en la selección por la dirección de una política adecuada en comparación con otras entidades del sector.
- La naturaleza e importancia relativa, cuantitativa o cualitativa, de las incorrecciones corregidas y de las incorrecciones acumuladas no corregidas debidas a fraude o error relacionadas con la cuestión, en su caso.
- La naturaleza y extensión del esfuerzo de auditoría necesario para tratar la cuestión, incluidos:
-- El grado de habilidades o conocimientos especializados necesarios, en su caso, para aplicar los procedimientos de auditoría para tratar la cuestión o valorar los resultados de esos procedimientos.
-- La naturaleza de las consultas a personas ajenas al equipo del encargo en relación con la cuestión.
- La naturaleza y la gravedad de las dificultades para la aplicación de los procedimientos de auditoría, la evaluación de los resultados de esos procedimientos y la obtención de evidencia pertinente y fiable en la que basar la opinión del auditor, especialmente a medida que los juicios del auditor van siendo más subjetivos.
- La gravedad de cualquier deficiencia de control identificada relacionada con la cuestión.
- Si la cuestión implicó varias consideraciones de auditoría distintas pero relacionadas entre ellas. Por ejemplo, los contratos a largo plazo pueden requerir atención significativa del auditor con respecto al reconocimiento de ingresos, litigios u otras contingencias y pueden afectar a otras estimaciones contables.
A30. La determinación de cuáles y cuántas de las cuestiones que han requerido atención significativa del auditor son de la mayor significatividad en la auditoría de los estados financieros del periodo actual es una cuestión de juicio profesional. El número de cuestiones clave de la auditoría que se deben incluir en el informe de auditoría se puede ver afectado por la dimensión y complejidad de la entidad, la naturaleza de sus negocios y de su entorno, y los hechos y circunstancias del encargo de auditoría. Por lo general, cuanto mayor sea el número de cuestiones que se consideraron en un momento inicial cuestiones clave de la auditoría, más necesario será que el auditor vuelva a considerar si cada una de esas cuestiones cumple la definición de cuestión clave de la auditoría. Una larga lista de cuestiones clave de la auditoría puede ser contraria a la idea de que esas cuestiones son de la mayor significatividad en la auditoría.
Comunicación de las cuestiones clave de la auditoría
Sección separada de “Cuestiones clave de la auditoría" en el informe de auditoría (Ref: Apartado 11)
A31. Situar la sección separada “Cuestiones clave de la auditoría” muy cerca de la opinión del auditor puede proporcionar relevancia a esa información y reconocer el valor que atribuyen los usuarios a quienes se destinan los estados financieros a la información específica del encargo.
A32. El orden de presentación de las cuestiones individuales en la sección “Cuestiones clave de la auditoría” es una cuestión de juicio profesional. Por ejemplo, esa información se puede organizar por orden de importancia relativa, sobre la base del juicio del auditor, o puede corresponder al modo en que se revelan las cuestiones en los estados financieros. El requerimiento del apartado 11 de incluir subtítulos tiene como finalidad diferenciar mejor las cuestiones.
A33. Cuando se presenta información financiera comparativa, la introducción de la sección “Cuestiones clave de la auditoría” se debe redactar para llamar la atención sobre el hecho de que las cuestiones clave de la auditoría descritas sólo se refieren a la auditoría de los estados financieros del periodo actual, y puede incluir una referencia al periodo específico cubierto por esos estados financieros (por ejemplo, "correspondientes al ejercicio terminado el 31 de diciembre de 20X1").
Descripción individualizada de las cuestiones clave de la auditoría (Ref: Apartado 13)
A34. La adecuación de la descripción de una cuestión clave de la auditoría es una cuestión de juicio profesional. La descripción de una cuestión clave de la auditoría tiene como finalidad proporcionar una explicación breve y equilibrada que permita a los usuarios a quienes se destinan los estados financieros comprender el motivo por el cual una cuestión ha sido considerada como de la mayor significatividad en la auditoría y el modo en que se ha tratado.
Limitar la utilización de términos de auditoría muy técnicos también facilita a los usuarios a quienes se destinan los estados financieros que no tengan un conocimiento razonable de auditoría la comprensión de los motivos por los que el auditor se centró en determinadas cuestiones durante la auditoría. La naturaleza y extensión de la información proporcionada por el auditor tiene como objetivo ser equilibrada en el contexto de las responsabilidades de cada una de las partes (es decir, de modo que el auditor transmita información útil de una manera concisa y comprensible, pero sin convertirse inapropiadamente en proveedor de información inédita acerca de la entidad).
A35. Información inédita es cualquier información acerca de la entidad que ella misma no ha hecho pública de algún otro modo (por ejemplo, que no se ha incluido en los estados financieros ni en otra información disponible en la fecha del informe de auditoría, o que la dirección o los responsables del gobierno de la entidad hayan tratado en comunicaciones verbales o escritas, tales como un anuncio preliminar de información financiera o una presentación a los inversores). Esa información es responsabilidad de la dirección y de los responsables del gobierno de la entidad.
A36. Lo adecuado es que el auditor intente evitar una descripción de una cuestión clave de la auditoría proporcionando de forma inadecuada, información inédita, acerca de la entidad. La descripción de una cuestión clave de la auditoría no constituye por lo general información inédita acerca de la entidad puesto que describe la cuestión en el contexto de la auditoría. Sin embargo, es posible que el auditor considere necesario incluir información adicional para explicar el motivo por el que la cuestión se consideró una cuestión de la mayor significatividad en la auditoría y, en consecuencia, se determinó que se trataba de una cuestión clave de la auditoría, y el modo en que se ha tratado la cuestión en la auditoría, siempre que las disposiciones legales o reglamentarias no prohíban revelar esa información. Cuando el auditor determina que esa información es necesaria, puede proponer a la dirección o a los responsables del gobierno de la entidad que revelen información adicional, en vez de que el auditor proporcione información inédita en el informe de auditoría.
A37. La dirección o los responsables del gobierno de la entidad pueden decidir revelar nueva información o mejorar la información revelada existente en los estados financieros o en otra parte del informe anual en relación con una cuestión clave de la auditoría teniendo en cuenta que la cuestión será comunicada en el informe de auditoría. Esas revelaciones de información nueva o mejorada se pueden incluir para proporcionar, por ejemplo, una información más sólida sobre la sensibilidad de las hipótesis clave utilizadas en las estimaciones contables o sobre el fundamento de la entidad para aplicar una determinada práctica o política contable cuando existen alternativas aceptables en el marco de información financiera aplicable.
A38. A pesar de que la opinión del auditor sobre los estados financieros no cubre la otra información que trata la NIA 720(30), al describir una cuestión clave de la auditoría el auditor puede tener en cuenta esta información, así como otras comunicaciones de la entidad públicamente disponible o de otras fuentes fiables.
A39. La documentación de auditoría preparada durante la auditoría también puede ser útil para el auditor al describir una cuestión clave de la auditoría. Por ejemplo, las comunicaciones escritas, o la documentación preparada por el auditor de sus comunicaciones verbales con los responsables del gobierno de la entidad y otra documentación de auditoría constituyen una base útil para la comunicación del auditor en el informe de auditoría. Esto se debe a que, según la NIA 230, la finalidad de la documentación de auditoría es tratar las cuestiones significativas que surjan durante la auditoría, las conclusiones que se alcancen al respecto y los juicios profesionales significativos aplicados para alcanzar esas conclusiones, y sirve para registrar la naturaleza, el momento de realización y la extensión de los procedimientos de auditoría aplicados, los resultados de esos procedimientos y la evidencia de auditoría obtenida. Esa documentación puede facilitar al auditor la preparación de una descripción de las cuestiones clave de la auditoría que explique la significatividad de la cuestión y también la aplicación del requerimiento del apartado 18.
Referencia a la parte de los estados financieros en el que se revela la cuestión (Ref: Apartado 13)
A40. Los apartados 13(a)-(b) requieren que la descripción de cada cuestión clave de la auditoría trate el motivo por el que el auditor consideró que la cuestión era una cuestión de la mayor significatividad en la auditoría y el modo en que se ha tratado. En consecuencia, la descripción de las cuestiones clave de la auditoría no es una mera repetición de la información revelada en los estados financieros. Sin embargo, una referencia a cualquier información revelada relacionada facilita a los usuarios a quienes se destinan los estados financieros una mejor comprensión del modo en que la dirección ha tratado la cuestión en la preparación de los estados financieros.
A41. Además de referirse a la información revelada relacionada, el auditor puede llamar la atención sobre aspectos clave de esta. La extensión de la información revelada por la dirección acerca de aspectos o factores específicos relativos al modo en que una determinada cuestión afecta a los estados financieros del periodo actual puede ayudar al auditor a poner de manifiesto determinados aspectos del modo en que ha tratado la cuestión en la auditoría para que los usuarios a quienes se destinan los estados financieros puedan entender el motivo por el que la cuestión es una cuestión clave de la auditoría. Por ejemplo:
- Cuando una entidad incluye información sólida sobre las estimaciones contables, el auditor puede llamar la atención sobre la revelación de hipótesis clave y del rango de desenlaces posibles y sobre otra información revelada, tanto cuantitativa como cualitativa, relativa a las principales fuentes de incertidumbre en la estimación o a las estimaciones contables críticas, como parte de la descripción del motivo por el que la cuestión ha sido de la mayor significatividad en la auditoría y del modo en que se trató en esta.
- Cuando el auditor concluye, de conformidad con la NIA 570 (Revisada,) que no existe una incertidumbre material relacionada con hechos o condiciones que pueden generar dudas significativas sobre la capacidad de la entidad para continuar como empresa en funcionamiento, puede, sin embargo, determinar que una o varias cuestiones relacionadas con esta conclusión que resulta de su trabajo en aplicación de la NIA 570 (Revisada) son cuestiones clave de la auditoría. En estas circunstancias, la descripción de esas cuestiones clave de la auditoría en el informe de auditoría podría incluir aspectos de los hechos o condiciones identificados que se revelan en los estados financieros, tales como pérdidas de explotación sustanciales, disponibilidad de facilidades de crédito y posibilidades de refinanciación de la deuda, o incumplimiento de los términos de los contratos de préstamo, y los correspondientes factores mitigantes.(31)
Motivo por el que el auditor consideró la cuestión como cuestión de la mayor significatividad en la auditoría (Ref: Apartado 13(a))
A42. La descripción de una cuestión clave de la auditoría en el informe de auditoría tiene como finalidad proporcionar información sobre el motivo por el que se consideró que se trataba de una cuestión clave de la auditoría. En consecuencia, los requerimientos incluidos en los apartados 9-10 y la guía de aplicación incluida en los apartados A12-A19 relativos a la determinación de las cuestiones clave de la auditoría también pueden ser útiles para el auditor cuando considere el modo en que se deben comunicar esas cuestiones en el informe de auditoría. Por ejemplo, es probable que sea de interés para los usuarios a quienes se destinan los estados financieros la explicación de los factores que han llevado al auditor a la conclusión de que una determinada cuestión requería que le prestara atención significativa y era de la mayor significatividad en la auditoría.
A43. El auditor debe tener en cuenta la relevancia de la información para los usuarios a quienes se destinan los estados financieros al determinar lo que se debe incluir en la descripción de una cuestión clave de la auditoría. Entre otros se puede considerar si la descripción facilita una mejor comprensión de la auditoría y de los juicios del auditor.
A44. Relacionar una cuestión directamente con las circunstancias específicas de la entidad puede también ayudar a minimizar la posibilidad de que dichas descripciones se vuelvan excesivamente estandarizadas y menos útiles con el paso del tiempo. Por ejemplo, algunas cuestiones se pueden considerar cuestiones clave de la auditoría para un cierto número de entidades de un determinado sector debido a las circunstancias del sector o a la complejidad implícita de la información financiera. Al describir el motivo por el que el auditor consideró la cuestión como de la mayor significatividad en la auditoría, puede resultar útil que destaque aspectos específicos de la entidad (por ejemplo, circunstancias que afectaron a los juicios implícitos en los estados financieros del periodo actual) con el fin de que la descripción sea más importante para los usuarios a quienes se destinan los estados financieros. Lo anterior también puede ser importante al describir una cuestión clave de la auditoría que se repite a lo largo del tiempo.
A45. La descripción también puede mencionar las principales consideraciones que llevaron al auditor, en las circunstancias de la auditoría, a determinar que la cuestión es de la mayor significatividad, por ejemplo:
- Condiciones económicas que afectaron a la capacidad del auditor para obtener evidencia de auditoría, como por ejemplo la falta de liquidez en el mercado de determinados instrumentos financieros.
- Políticas contables nuevas o emergentes, como por ejemplo cuestiones específicas de la entidad o del sector que fueron objeto de consulta, dentro de la propia firma, por el equipo del encargo.
- Cambios en la estrategia de la entidad o en su modelo de negocio que tuvieron un efecto material en los estados financieros.
Modo en que se ha tratado la cuestión en la auditoría (Ref: Apartado 13(b))
A46. El grado de detalle que debe proporcionar el informe de auditoría al describir el modo en que se ha tratado en la auditoría una cuestión clave de la auditoría es una cuestión de juicio profesional. De conformidad con el apartado 13(b), el auditor puede describir:
- aspectos de la respuesta o del enfoque del auditor que han sido más relevantes para la cuestión o específicos para el riesgo valorado de incorrección material;
- un breve resumen de los procedimientos aplicados;
- una indicación del resultado de los procedimientos de auditoría u
- observaciones clave con respecto a la cuestión, o una combinación de esos elementos.
Las disposiciones legales o reglamentarias o las normas de auditoría nacionales pueden prescribir una estructura o un contenido específicos para la descripción de una cuestión clave de la auditoría o pueden especificar que se incluyan uno o varios de esos elementos.
A47. Con el fin de que los usuarios a quienes se destinan los estados financieros comprendan la significatividad de una cuestión clave de la auditoría en el contexto de la auditoría de los estados financieros en su conjunto, así como la relación entre las cuestiones clave de la auditoría y otros elementos del informe de auditoría, incluida la opinión de auditoría, puede ser necesario prestar atención al lenguaje utilizado en la descripción de la cuestiones clave de la auditoría de modo que:
- No dé a entender que la cuestión no ha sido resuelta adecuadamente por el auditor al formarse una opinión sobre los estados financieros.
- Se relacione la cuestión directamente con las circunstancias específicas de la entidad, evitando una redacción genérica o estandarizada.
- Se tenga en cuenta, en su caso, el modo en que se trata la cuestión en la correspondiente información revelada en los estados financieros.
- No contenga o implique opiniones específicas sobre elementos separados de los estados financieros.
A48. La descripción de algunos aspectos de la respuesta o del enfoque del auditor con respecto a una cuestión, especialmente si el enfoque de la auditoría se diseñó a medida para ajustarse a los hechos y circunstancias de la entidad, puede facilitar a los usuarios a quienes se destinan los estados financieros la comprensión de circunstancias inusuales y los juicios significativos del auditor y para responder al riesgo de incorrección material. Adicionalmente, el enfoque de auditoría en un determinado periodo puede resultar afectado por circunstancias específicas de la entidad, por la situación económica o por desarrollos sectoriales. También puede ser útil para el auditor referirse a la naturaleza y extensión de las comunicaciones con los responsables del gobierno de la entidad acerca de la cuestión.
A49. Por ejemplo, al describir su enfoque en relación con una estimación contable para la que se ha identificado un grado elevado incertidumbre en la estimación, tal como la valoración de instrumentos financieros complejos, es posible que el auditor quiera destacar que ha utilizado o contratado a un experto del auditor. Dicha mención de la utilización de un experto del auditor no reduce la responsabilidad del auditor en relación con su opinión sobre los estados financieros y, en consecuencia, no es incongruente con los apartados 14-15 de la NIA 620.(32)
A50. Pueden existir dificultades para describir los procedimientos del auditor, especialmente en áreas complejas y de juicio de la auditoría. En especial, puede ser difícil resumir los procedimientos aplicados de un modo breve que comunique adecuadamente la naturaleza y extensión de la respuesta del auditor al riesgo valorado de incorrección material y los juicios significativos del auditor que ello implicó. No obstante, el auditor puede considerar necesario describir determinados procedimientos aplicados para comunicar el modo en que se ha tratado la cuestión en la auditoría. Normalmente la descripción es a nivel general en lugar de incluir una descripción detallada de los procedimientos.
A51. Como se menciona en el apartado A46, el auditor también puede proporcionar una indicación del resultado de su respuesta en la descripción de las cuestiones clave de la auditoría en el informe de auditoría. Sin embargo, en este caso, puede ser necesario prestar atención para evitar dar la impresión de que la descripción constituye una opinión separada sobre una determinada cuestión clave de la auditoría o pueda poner en tela de juicio la opinión del auditor sobre los estados financieros en su conjunto.
Circunstancias en las que una cuestión considerada cuestión clave de la auditoría no se comunica en el informe de auditoría (Ref: Apartado 14)
A52. Es posible que las disposiciones legales o reglamentarias prohíban que la dirección o el auditor revelen información sobre una cuestión específica considerada cuestión clave de la auditoría. Por ejemplo, las disposiciones legales o reglamentarias pueden prohibir de forma expresa cualquier comunicación pública que pueda perjudicar a la investigación de un acto ilegal o presuntamente ilegal llevada a cabo por la autoridad competente (por ejemplo, cuestiones relacionadas o presuntamente relacionadas con el blanqueo de capitales).
A53. Como se menciona en el apartado 14(b), será extremadamente poco frecuente que una cuestión considerada cuestión clave de la auditoría no se comunique en el informe de auditoría. Esto se debe a la presunción de que proporcionar a los usuarios a quienes se destinan los estados financieros una mayor transparencia en relación con la auditoría beneficia al interés público. En consecuencia, la decisión de no comunicar una cuestión clave de la auditoría sólo es adecuada en los casos en los que se considera que las consecuencias adversas para la entidad o para el público de esa comunicación son tan significativas que se puede esperar razonablemente que superarían los beneficios de interés público de comunicar la cuestión.
A54. La decisión de no comunicar una cuestión clave de la auditoría tiene en cuenta los hechos y circunstancias relacionados con la cuestión. La comunicación con la dirección y con los responsables del gobierno de la entidad facilita al auditor comprender el punto de vista de la dirección sobre la significatividad de las consecuencias adversas que se pueden producir como resultado de comunicar una cuestión. En especial, la comunicación con la dirección y con los responsables del gobierno de la entidad facilita la formación del juicio del auditor sobre si debe comunicar la cuestión al:
- Ayudar al auditor a saber por qué la entidad no ha revelado públicamente la cuestión (por ejemplo, si las disposiciones legales o reglamentarias o determinados marcos de información financiera autorizan retrasar la revelación de la cuestión o no revelarla) y el punto de vista de la dirección sobre las consecuencias adversas de revelarla, en su caso. La dirección puede llamar su atención sobre determinados aspectos de las disposiciones legales o reglamentarias u otras fuentes autorizadas que pueden ser relevantes al considerar las consecuencias adversas (por ejemplo, esos aspectos pueden incluir daños a las negociaciones comerciales de la entidad o a su posición competitiva). No obstante, el punto de vista de la dirección sobre las consecuencias adversas no es suficiente, por sí solo, para eximir al auditor de determinar si se puede esperar razonablemente que las consecuencias adversas superarían los beneficios de interés público de la comunicación de conformidad con el apartado 14(b).
- Destacar si se han producido comunicaciones con las pertinentes autoridades reguladoras, de vigilancia o supervisoras en relación con la cuestión, en especial si esas discusiones parecen apoyar la afirmación de la dirección de los motivos por los que revelar públicamente la cuestión no es adecuado.
- Permitir al auditor, en su caso, proponer a la dirección y a los responsables del gobierno de la entidad que revelen públicamente información relevante sobre la cuestión. Esto es posible, en especial, si las reservas de la dirección y de los responsables del gobierno de la entidad en relación con la comunicación se limitan a aspectos específicos de la cuestión, de modo que es posible que cierta información sobre la cuestión sea menos sensible y se pueda comunicar.
El auditor también puede considerar necesario obtener manifestaciones escritas de la dirección sobre los motivos por los que no es adecuado revelar públicamente la cuestión, así como el punto de vista de la dirección sobre la significatividad de las consecuencias adversas que puede originar esa comunicación.
A55. También puede resultar necesario que el auditor considere las implicaciones de comunicar una cuestión que se considera cuestión clave de la auditoría teniendo en cuenta los requerimientos de ética aplicables. Adicionalmente, es posible que las disposiciones legales o reglamentarias obliguen al auditor a comunicarse con las pertinentes autoridades reguladoras, ejecutoras o supervisoras en relación con la cuestión, con independencia de si la cuestión se comunica en el informe de auditoría. Esa comunicación también puede ser de utilidad para fundamentar la consideración del auditor acerca de las consecuencias adversas que puede originar esa comunicación.
A56. Los aspectos que tiene en cuenta el auditor en relación con la decisión de no comunicar una cuestión son complejos e implican juicios significativos del auditor. En consecuencia, el auditor puede considerar adecuado obtener asesoramiento jurídico.
Estructura y contenido de la sección “Cuestiones clave de la auditoría” en otras circunstancias (Ref: Apartado 16)
A57. El requerimiento del apartado 16 se aplica en tres circunstancias:
(i) El auditor determina, de conformidad con el apartado 10, que no hay cuestiones clave de la auditoría (véase apartado A59).
(ii) El auditor determina, de conformidad con el apartado 14, que una cuestión clave de la auditoría no se comunicará en el informe de auditoría y no se ha considerado que ninguna otra cuestión sea cuestión clave de la auditoría.
(iii) Las únicas cuestiones consideradas cuestiones clave de la auditoría son la que se han comunicado de conformidad con el apartado 15.
A58. A continuación se recoge un ejemplo de redacción en el informe de auditoría si el auditor ha determinado que no existen cuestiones clave de la auditoría que se deban comunicar:
Cuestiones clave de la auditoría
[Excepto por la cuestión descrita en la sección Fundamento de la opinión con salvedades o de la opinión desfavorable (adversa) o en la sección Incertidumbre material relacionada con la Empresa en funcionamiento]. Hemos determinado que no existen [otras] cuestiones clave de la auditoría que se deban comunicar en nuestro informe.
A59. La determinación de cuestiones clave de la auditoría implica emitir un juicio sobre la importancia relativa de las cuestiones que han requerido atención significativa del auditor. En consecuencia, puede resultar poco frecuente que el auditor de un conjunto completo de estados financieros con fines generales de una entidad cotizada no considere que por lo menos una de las cuestiones comunicadas a los responsables del gobierno de la entidad sea una cuestión clave de la auditoría que se deba comunicar en el informe de auditoría. Sin embargo, en algunas circunstancias concretas (por ejemplo, en el caso de una entidad cotizada con un número muy reducido de operaciones), es posible que el auditor determine que no existen cuestiones clave de la auditoría de conformidad con el apartado 10 porque no existen cuestiones que hayan requerido atención significativa del auditor.
Comunicación con los responsables del gobierno de la entidad (Ref: Apartado 17)
A60. La NIA 260 (Revisada) requiere que el auditor se comunique con los responsables del gobierno de la entidad oportunamente.(33) El momento adecuado para efectuar las comunicaciones sobre cuestiones clave de la auditoría depende de las circunstancias del encargo. Sin embargo, el auditor puede comunicar unos puntos de vista preliminares sobre cuestiones clave de la auditoría al discutir el alcance y el momento de realización planificados de la auditoría y puede discutir de nuevo esas cuestiones al informar sobre los hallazgos de auditoría. Esto puede contribuir a reducir las dificultades prácticas que conlleva intentar mantener una sólida comunicación recíproca sobre cuestiones clave de la auditoría en el momento en el que se están finalizando los estados financieros para su emisión.
A61. La comunicación con los responsables del gobierno de la entidad permite a estos conocer la naturaleza de las cuestiones específicas que el auditor tiene intención de destacar en el informe de auditoría, y, en su caso, les proporciona la oportunidad de obtener del auditor aclaraciones adicionales. Puede ser útil para el auditor proporcionar a los responsables del gobierno de la entidad un borrador del informe de auditoría para facilitar esta discusión. La comunicación con los responsables del gobierno de la entidad reconoce la importancia de su papel en la supervisión del proceso de información financiera, y les proporciona una base para comprender los fundamentos de las decisiones del auditor en relación con cuestiones clave de la auditoría y el modo en que esas cuestiones se describirán en el informe de auditoría. También permite que los responsables del gobierno de la entidad consideren si puede resultar útil nueva información a revelar o mejorar información a teniendo en cuenta que esas cuestiones se comunicarán en el informe de auditoría.
A62. La comunicación con los responsables del gobierno de la entidad requerida por el apartado 17(a) también trata las circunstancias extremadamente poco frecuentes en las que no se comunica en el informe de auditoría una cuestión que ha sido considerada cuestión clave de la auditoría (véase los apartados 14 y A54).
A63. El requerimiento del apartado 17(b) de comunicarse con los responsables del gobierno de la entidad cuando el auditor ha determinado que no existen cuestiones clave de la auditoría que se deban comunicar en el informe de auditoría puede proporcionarle la oportunidad de mantener discusiones adicionales con otros que estén familiarizados con la auditoría y con las cuestiones significativas que hayan podido surgir (incluido el revisor de control de calidad del encargo cuando este se haya nombrado). Estas discusiones pueden llevar al auditor a reevaluar su decisión de que no existen cuestiones clave de la auditoría.
Documentación (Ref: Apartado 18)
A64. El apartado 8 de la NIA 230 requiere que el auditor prepare documentación de auditoría que sea suficiente para permitir a un auditor experimentado, que no haya tenido contacto previo con la auditoría, la comprensión de, entre otros, los juicios profesionales significativos. En el contexto de las cuestiones clave de la auditoría, esos juicios profesionales incluyen la determinación, entre las cuestiones que han sido objeto de comunicación con los responsables del gobierno de la entidad, de las cuestiones que han requerido atención significativa del auditor, así como si cada una de esas cuestiones es una cuestión clave de la auditoría. Es probable que los juicios del auditor a este respecto se fundamenten en la documentación de sus comunicaciones con los responsables del gobierno de la entidad y en la documentación relativa a cada cuestión por separado (véase el apartado A39), así como en otra documentación de las cuestiones significativas que surgieron durante la realización de la auditoría (por ejemplo, un memorando final). Sin embargo, esta NIA no requiere que el auditor documente el motivo por el que otras cuestiones que fueron objeto de comunicación con los responsables del gobierno de la entidad no han sido cuestiones que han requerido atención significativa del auditor.
NOTAS AL FINAL:
1. NIA 705 (Revisada), Opinión modificada en el informe de auditoría emitido por un auditor independiente.
2. NIA 570 (Revisada), Empresa en funcionamiento, apartados 22-23.
3. NIA 700 (Revisada), Formación de la opinión y emisión del informe de auditoría sobre los estados financieros, apartados 30-31.
4. NIA 705 (Revisada), apartado 29.
5. NIA 315 (Revisada), Identificación y valoración de los riesgos de incorrección material mediante el conocimiento de la entidad y de su entorno.
6. NIA 230, Documentación de auditoria, apartados 8-11 y A6
7. NIA 260 (Revisada), Comunicación con los responsables del gobierno de la entidad
8. NIA 320, Importancia relativa o materialidad en la planificación 'y de la auditoría, apartado 4
9. NIA 700 (Revisada), apartados 10-15 y A1-A10.
10. Véase el apartado A7 de la NIA 705 (Revisada).
11. NIA 705 (Revisada), apartado 8.
12. NIA 706 (Revisada), Párrafos de énfasis y párrafos sobre otras cuestiones en el informe de auditoría emitido por un auditor independiente.
13. Véanse los apartados 8(b) y 10(b) de la NIA 706 (Revisada).
14. NIA 706 (Revisada), apartados A1-A3
15. Véase la NIA 710, Información comparativa – Cifras correspondientes de periodos anteriores y estados financieros comparativos.
16. NIA 330, Respuestas del auditor a los riesgos valorados, apartado 7(b).
17. NIA 330, apartado A19.
18. NIA 260 (Revisada), apartados 16(b) y A21
19. NIA 550, Partes vinculadas, apartado A42.
20. NIA 600, Consideraciones especiales - Auditorías de estados financieros de grupos (incluido el trabajo de los auditores de los componentes), apartado 49(d)
21. NIA 220 Control de calidad de la auditoría de estados financieros, apartado 18.
22. NIA 220, apartado 19.
23. NIA 260 (Revisada), apartado 15.
24. La NIA 240, Responsabilidades del auditor en la auditoría de estados financieros con respecto al fraude, apartados 26- 27.
25. NIA 240, apartado 31.
26. NIA 315 (Revisada), apartado 31.
27. NIA 260 (Revisada), apartado 16(a)
28. Véanse los apartados 10-11 de la NIA 540, Auditoría de estimaciones contables, incluidas las de valor razonable, y la información relacionada a revelar.
29. Véanse los apartados 16(a), 16(c) y A22 y el Anexo 2 de la NIA 260 (Revisada).
30. NIA 720, Responsabilidad del auditor con respecto a otra información incluida en los documentos que contienen los estados financieros auditados.
31. Vease apartado A3 de la NIA 570 (Revisada)
32. NIA 620, Utilización del trabajo de un experto del auditor
33. NIA 260 (Revisada), apartado 21
NORMA INTERNACIONAL DE AUDITORÍA 705 (REVISADA)
OPINION MODIFICADA EN EL INFORME DE AUDITORÍA EMITIDO POR UN AUDITOR INDEPENDIENTE
(APLICABLE A LAS AUDITORÍAS DE ESTADOS FINANCIEROS CORRESPONDIENTES A PERIODOS TERMINADOS A PARTIR DEL 15 DE DICIEMBRE DE 2016)
CONTENIDO
Introducción
Alcance de esta NIA
Tipos de opinión modificada
Fecha de entrada en vigor
Objetivo
Definiciones
Requerimientos
Situaciones en las que se requiere una opinión modificada
Determinación
Estructura y contenido del informe de auditoría cuando se expresa una opinión modificada.
Comunicación con los responsables del gobierno de la entidad
Guía de aplicación y otras anotaciones explica
Tipos de opinión modificada
Situaciones en las que se requiere una opinión modificada
Determinación del tipo de opinión modificada
Estructura y contenido del informe de auditoría cuando se expresa una opinión modificada.
Comunicación con los responsables del gobierno de la entidad
Anexo: Ejemplos de informes de auditoría que contienen una opinión modificada
La Norma Internacional de Auditoría (NIA) 705 (Revisada), Opinión modificada en el informe de auditoría emitido por un auditor independiente, debe interpretarse conjuntamente con la NIA 200, Objetivos globales del auditor independiente de la auditoría de conformidad con las Normas Internacionales de Auditoría.
Introducción
Alcance de esta NIA
1. Esta Norma Internacional de Auditoría (NIA) trata de la responsabilidad que tiene el auditor de emitir un informe adecuado en función de las circunstancias cuando, al formarse una opinión de conformidad con la NIA 700 (Revisada)(1), concluya que es necesaria una opinión modificada sobre los estados financieros. Esta NIA también trata del modo en que la estructura y el contenido del informe de auditoría se ven afectados cuando el auditor expresa una opinión modificada. En todos los casos, los requerimientos de información de la NIA 700 (Revisada) son aplicables y no se repiten en esta NIA, salvo que sean tratados de modo explícito o sean modificados por los requerimientos de esta NIA.
Tipos de opinión modificada
2. Esta NIA establece tres tipos de opinión modificada, denominadas: opinión con salvedades, opinión desfavorable (adversa) y denegación (abstención) de opinión. La decisión sobre el tipo de opinión modificada que resulta adecuado depende de:
(a) la naturaleza de la cuestión que origina la opinión modificada, es decir, si los estados financieros contienen incorrecciones materiales o, en el caso de la imposibilidad de obtener evidencia de auditoría suficiente y adecuada, si pueden contener incorrecciones materiales; y
(b) el juicio del auditor sobre la generalización de los efectos o posibles efectos de la cuestión en los estados financieros. (Ref: Apartado A1)
Fecha de entrada en vigor
3. Esta NIA es aplicable a las auditorías de estados financieros correspondientes a periodos terminados a partir del 15 de diciembre de 2016.
Objetivo
4. El objetivo del auditor es expresar, con claridad, una opinión modificada adecuada sobre los estados financieros cuando:
(a) el auditor concluya que, sobre la base de la evidencia de auditoría obtenida, los estados financieros en su conjunto no están libres de incorrección material; o
(b) el auditor no pueda obtener evidencia de auditoría suficiente y adecuada para concluir que los estados financieros en su conjunto están libres de incorrección material.
Definiciones
5. A efectos de las NIA, los siguientes términos tienen los significados que figuran a continuación:
(a) Generalizado: término utilizado, al referirse a las incorrecciones, para describir los efectos de éstas en los estados financieros o los posibles efectos de las incorrecciones que, en su caso, no se hayan detectado debido a la imposibilidad de obtener evidencia de auditoría suficiente y adecuada. Son efectos generalizados sobre los estados financieros aquellos que, a juicio del auditor:
(i) no se limitan a elementos, cuentas o partidas específicos de los estados financieros;
(ii) en caso de limitarse a elementos, cuentas o partidas específicos, éstos representan o podrían representar una parte sustancial de los estados financieros; o
(iii) en relación con las revelaciones de información, son fundamentales para que los usuarios comprendan los estados financieros.
(b) Opinión modificada: opinión con salvedades, opinión desfavorable (adversa) o denegación (abstención) de opinión sobre los estados financieros.
Requerimientos
Situaciones en las que se requiere una opinión modificada
6. El auditor expresará una opinión modificada en el informe de auditoría cuando:
(a) concluya, sobre la base de la evidencia de auditoría obtenida, que los estados financieros en su conjunto no están libres de incorrección material; o (Ref: Apartados A2-A7)
(b) no pueda obtener evidencia de auditoría suficiente y adecuada para concluir que los estados financieros en su conjunto están libres de incorrección material. (Ref: Apartados A8-A12)
Determinación del tipo de opinión modificada
Opinión con salvedades
7. El auditor expresará una opinión con salvedades cuando:
(a) habiendo obtenido evidencia de auditoría suficiente y adecuada, concluya que las incorrecciones, individualmente o de forma agregada, son materiales, pero no generalizadas, para los estados financieros; o
(b) el auditor no pueda obtener evidencia de auditoría suficiente y adecuada en la que basar su opinión, pero concluya que los posibles efectos sobre los estados financieros de las incorrecciones no detectadas, si las hubiera, podrían ser materiales, aunque no generalizados.
Opinión desfavorable (adversa)
8. El auditor expresará una opinión desfavorable (adversa) cuando, habiendo obtenido evidencia de auditoría suficiente y adecuada, concluya que las incorrecciones, individualmente o de forma agregada, son materiales y generalizadas en los estados financieros.
Denegación (abstención) de opinión
9. El auditor denegará la opinión (se abstendrá de opinar) cuando no pueda obtener evidencia de auditoría suficiente y adecuada en la que basar su opinión y concluya que los posibles efectos sobre los estados financieros de las incorrecciones no detectadas, si las hubiera, podrían ser materiales y generalizados.
10. El auditor denegará la opinión (se abstendrá de opinar) cuando, en circunstancias extremadamente poco frecuentes que supongan la existencia de múltiples incertidumbres, el auditor concluya que, a pesar de haber obtenido evidencia de auditoría suficiente y adecuada en relación con cada una de las incertidumbres, no es posible formarse una opinión sobre los estados financieros debido a la posible interacción de las incertidumbres y su posible efecto acumulativo en los estados financieros.
Consecuencia de la imposibilidad de obtener evidencia de auditoría suficiente y adecuada debido a una limitación impuesta por la dirección después de que el auditor haya aceptado el encargo
11. Si, después de aceptar el encargo, el auditor observa que la dirección ha impuesto una limitación al alcance de la auditoría que el auditor considera que probablemente suponga la necesidad de expresar una opinión con salvedades o denegar la opinión (abstenerse de opinar) sobre los estados financieros, el auditor solicitará a la dirección que elimine la limitación.
12. Si la dirección rehúsa eliminar la limitación mencionada en el apartado 11 de esta NIA, el auditor comunicará la cuestión a los responsables del gobierno de la entidad, salvo que todos los responsables del gobierno participen en la dirección de la entidad(2), y determinará si es posible aplicar procedimientos alternativos para obtener evidencia de auditoría suficiente y adecuada.
13. Si el auditor no puede obtener evidencia de auditoría suficiente y adecuada, determinará las implicaciones de este hecho como sigue:
(a) si el auditor concluye que los posibles efectos de incorrecciones no detectadas en los estados financieros, si las hubiera, podrían ser materiales, pero no generalizados, el auditor expresará una opinión con salvedades; o
(b) si el auditor concluye que los posibles efectos de incorrecciones no detectadas en los estados financieros, si las hubiera, podrían ser materiales y generalizados, de tal forma que una opinión con salvedades no sería adecuada para comunicar la gravedad de la situación, el auditor:
(i) renunciará a la auditoría, cuando las disposiciones legales o reglamentarias aplicables lo permitan y ello sea factible; o (Ref: Apartado A13)
(ii) si no es factible o posible la renuncia a la auditoría antes de emitir el informe de auditoría, denegará la opinión (se abstendrá de opinar) sobre los estados financieros. (Ref: Apartado A14)
14.Si el auditor renuncia como está previsto en el apartado 13(b)(i), antes de la renuncia comunicará a los responsables del gobierno de la entidad cualquier cuestión relativa a incorrecciones identificadas durante la realización de la auditoría que habría dado lugar a una opinión modificada. (Ref: Apartado A15)
Otras consideraciones en relación con una opinión desfavorable (adversa) o con la denegación (abstención) de opinión
15. Cuando el auditor considere necesario expresar una opinión desfavorable (adversa) o denegar la opinión (abstenerse de opinar) sobre los estados financieros en su conjunto, el informe de auditoría no incluirá simultáneamente una opinión no modificada (favorable) sobre un solo estado financiero o sobre uno o más elementos, cuentas o partidas específicas de un solo estado financiero en relación con el mismo marco de información financiera aplicable. La inclusión en el mismo informe de dicha opinión no modificada (favorable)(3) en estas circunstancias sería contradictoria con la opinión desfavorable (adversa) o con la denegación (abstención) de opinión sobre los estados financieros en su conjunto. (Ref: Apartado A16)
Estructura y contenido del informe de auditoría cuando se expresa una opinión modificada
Opinión del auditor
16. Cuando el auditor exprese una opinión modificada, la sección de opinión tendrá el título “Opinión con salvedades”, “Opinión desfavorable (adversa)” o "Denegación (abstención)de opinión”, según corresponda. (Ref: Apartados A17-A19)
Opinión con salvedades
17. Cuando el auditor exprese una opinión con salvedades debido a una incorrección material en los estados financieros, el auditor manifestará que, en su opinión, excepto por los efectos de la cuestión o cuestiones descritas en la sección "Fundamento de la opinión con salvedades":
(a) cuando informe de conformidad con un marco de imagen fiel, los estados financieros adjuntos presentan fielmente, en todos los aspectos materiales (o expresan la imagen fiel de) [...], de conformidad con [el marco de información financiera aplicable]; o
(b) cuando informe de conformidad con un marco de cumplimiento, los estados financieros adjuntos han sido preparados, en todos los aspectos materiales, de conformidad con [el marco de información financiera aplicable].
Si la opinión modificada se debe a la imposibilidad de obtener evidencia de auditoría suficiente y adecuada, el auditor utilizará para la opinión modificada la siguiente frase: “excepto por los posibles efectos de la cuestión o cuestiones...”. (Ref: Apartado A20)
Opinión desfavorable (adversa)
18. Cuando el auditor exprese una opinión desfavorable (adversa), manifestará que, en su opinión, debido a la significatividad de la cuestión o cuestiones descritas en la sección "Fundamento de la opinión desfavorable (adversa)":
(a) cuando informe de conformidad con un marco de imagen fiel, los estados financieros adjuntos no presentan fielmente, en todos los aspectos materiales (o no expresan la imagen fiel de) [...], de conformidad con [el marco de información financiera aplicable]; o
(b) cuando informe de conformidad con un marco de cumplimiento, los estados financieros adjuntos no han sido preparados, en todos los aspectos materiales, de conformidad con [el marco de información financiera aplicable].
Denegación (abstención) de opinión
19. Cuando el auditor deniegue la opinión (se abstenga de opinar) porque no haya podido obtener evidencia de auditoría suficiente y adecuada manifestará que:
(a) el auditor no expresa una opinión sobre los estados financieros adjuntos;
(b) debido a la significatividad de la cuestión o cuestiones descritas en la sección "Fundamento de la denegación (abstención) de opinión", el auditor no ha podido obtener evidencia de auditoría que proporcione una base suficiente y adecuada para expresar la opinión de auditoría sobre los estados financieros; y
(c) corregirá la declaración requerida por el apartado 24(b) de la NIA 700 (Revisada), que indica que los estados financieros han sido auditados, para manifestar que el auditor fue contratado para auditar los estados financieros.
Fundamento de la opinión
20. Cuando el auditor exprese una opinión modificada sobre los estados financieros, además de los elementos específicos requeridos por la NIA 700 (Revisada): (Ref: Apartado A21)
(a) sustituirá el título "Fundamento de la opinión" requerido por el apartado 28 de la NIA 700 (Revisada) por "Fundamento de la opinión con salvedades", "Fundamento de la opinión desfavorable (adversa)" o "Fundamento de la denegación (abstención) de opinión", según corresponda; y
(b) dentro de dicha sección, incluirá una descripción de la cuestión que motiva la opinión modificada.
21. Si existe incorrección material en los estados financieros que afecta a cantidades concretas de los estados financieros (incluidas revelaciones de información cuantitativa en las notas explicativas de los estados financieros), el auditor incluirá en la sección "Fundamento de la opinión" una descripción y cuantificación de los efectos financieros de la incorrección, salvo que no sea factible. Si la cuantificación de los efectos financieros no es factible, el auditor lo indicará en dicha sección. (Ref: Apartado A22)
22. Si existe incorrección material en los estados financieros en relación con la información descriptiva revelada, el auditor incluirá en la sección "Fundamento de la opinión" una explicación de las razones por las que tal información es incorrecta.
23. Si existe incorrección material en los estados financieros en relación con la falta de revelación de información requerida, el auditor:
(a) discutirá la falta de revelación de información con los responsables del gobierno de la entidad;
(b) describirá en la sección "Fundamento de la opinión" la naturaleza de la información omitida; y
(c) salvo que disposiciones legales o reglamentarias lo prohíban, incluirá la información a revelar omitida, siempre que sea factible y que el auditor haya obtenido evidencia de auditoría suficiente y adecuada sobre la información a revelar omitida. (Ref: Apartado A23)
24. Si la opinión modificada tiene su origen en la imposibilidad de obtener evidencia de auditoría suficiente y adecuada, el auditor incluirá en la sección "Fundamento de la opinión" los motivos de dicha imposibilidad.
25. Cuando el auditor exprese una opinión con salvedades o una opinión desfavorable (adversa), rectificará la declaración que requiere el apartado 28(d) de la NIA 700 (Revisada) sobre si la evidencia de auditoría que se ha obtenido proporciona una base suficiente y adecuada para su opinión para incluir los términos "con salvedades" o "desfavorable (adversa)", según corresponda.
26. Cuando el auditor deniegue la opinión (se abstenga de opinar) sobre los estados financieros, el informe de auditoría no incluirá los elementos requeridos por los apartados 28(b) y 28(d) de la NIA 700 (Revisada). Esos elementos son:
(a) una referencia a la sección del informe de auditoría en la que se describen las responsabilidades del auditor; y
(b) una declaración de que la evidencia de auditoría obtenida proporciona una base suficiente y adecuada para la opinión del auditor.
27. Aun cuando el auditor haya expresado una opinión desfavorable (adversa) o haya denegado la opinión (se haya abstenido de opinar) sobre los estados financieros, describirá en la sección "Fundamento de la opinión" los motivos de cualquier otra cuestión de la que tenga conocimiento que hubiera requerido una opinión modificada, así como los efectos correspondientes. (Ref: Apartado A24)
Descripción de las responsabilidades del auditor en relación con la auditoría de los estados financieros cuando el auditor deniega la opinión (se abstiene de opinar) sobre los estados financieros
28. Cuando el auditor deniegue la opinión (se abstenga de opinar) sobre los estados financieros porque no haya podido obtener evidencia de auditoría suficiente y adecuada, modificará la descripción de las responsabilidades del auditor requerida por los apartados 38-40 de la NIA 700 (Revisada) para incluir sólo lo siguiente: (Ref: Apartado A25)
(a) una declaración de que la responsabilidad del auditor es la realización de la auditoría de conformidad con las Normas Internacionales de Auditoría y la emisión de un informe de auditoría;
(b) una declaración de que, sin embargo, debido a la cuestión o cuestiones descritas en la sección "Fundamento de la denegación de opinión", el auditor no ha podido obtener evidencia de auditoría que proporcione una base suficiente y adecuada para expresar la opinión de auditoría sobre los estados financieros; y
(c) la declaración del auditor acerca de la independencia y de las demás responsabilidades de ética requerida por el apartado 28(c) de la NIA 700 (Revisada).
Consideraciones cuando el auditor deniega la opinión (se abstiene de opinar) sobre ios estados financieros
29. Salvo que las disposiciones legales o reglamentarias lo requieran, cuando el auditor deniega la opinión (se abstiene de opinar) sobre los estados financieros, el informe de auditoría no incluirá una sección "Cuestiones clave de la auditoría" de conformidad con la NIA 701.(4)(Ref: Apartado A26)
Comunicación con los responsables del gobierno de la entidad
30. Cuando el auditor prevea tener que expresar una opinión modificada en el informe de auditoría, se comunicará con los responsables del gobierno de la entidad acerca de las circunstancias que le llevan a prever dicha opinión modificada y la redacción de la modificación. (Ref: Apartado A27)
Guía de aplicación y otras anotaciones explicativas
Tipos de opinión modificada (Ref: Apartado 2)
A1. El siguiente cuadro ilustra el modo en que el juicio del auditor sobre la naturaleza de la cuestión que origina la opinión modificada, y la generalización de sus efectos o posibles efectos sobre los estados financieros, afecta al tipo de opinión a expresar.
| Naturaleza de la cuestión que origina la opinión modificada | Juicio del auditor sobre la generalización de los efectos o posibles efectos sobre los estados financieros | ||
| Material pero no generalizado | Material y generalizado | ||
| Los estados financieros contienen incorrecciones materiales | Opinión con salvedades | Opinión desfavorable (adversa) | |
| Imposibilidad de obtener evidencia de auditoría suficiente y adecuada. | Opinión con salvedades | Denegación (abstención) de opinión | |
Situaciones en las que se requiere una opinión modificada
Naturaleza de las incorrecciones materiales (Ref: Apartado 6(a))
A2. La NIA 700 (Revisada) exige al auditor que, para formarse una opinión sobre los estados financieros, concluya si se ha obtenido una seguridad razonable sobre si los estados financieros en su conjunto están libres de incorrección material(5). Esta conclusión tiene en cuenta la evaluación del auditor de las incorrecciones no corregidas, en su caso, en los estados financieros, de conformidad con la NIA 450(6).
A3. La NIA 450 define una incorrección como una diferencia entre la cantidad, clasificación, presentación o información revelada de una partida incluida en los estados financieros y la cantidad, clasificación, presentación o información a revelar requeridas para dicha partida de conformidad con el marco de información financiera aplicable. En consecuencia, una incorrección material en los estados financieros puede surgir en relación con:
(a) lo adecuado de las políticas contables seleccionadas;
(b) la aplicación de las políticas contables seleccionadas; o
(c) la adecuación o idoneidad de la información revelada en los estados financieros.
Adecuación de las políticas contables seleccionadas
A4. En relación con lo adecuado de las políticas contables seleccionadas por la dirección, pueden surgir incorrecciones materiales en los estados financieros cuando:
(a) las políticas contables seleccionadas no sean congruentes con el marco de información financiera aplicable; o
(b) los estados financieros, incluidas las notas explicativas, no representen las transacciones y hechos subyacentes de un modo que logren la presentación fiel.
A5. Los marcos de información financiera a menudo contienen requerimientos dirigidos a que se tengan en cuenta los cambios en las políticas contables y se revele información sobre ellos. En el caso de que la entidad haya cambiado su selección de políticas contables significativas, puede darse una incorrección material en los estados financieros cuando la entidad no haya cumplido dichos requerimientos.
Aplicación de las políticas contables seleccionadas
A6. En relación con la aplicación de las políticas contables seleccionadas, pueden surgir incorrecciones materiales en los estados financieros:
(a) cuando la dirección no haya aplicado las políticas contables seleccionadas de manera congruente con el marco de información financiera, así como cuando la dirección no haya aplicado las políticas contables de forma congruente en distintos periodos o para transacciones y hechos similares (congruencia en la aplicación); o
(b) debido al método de aplicación de las políticas contables seleccionadas (tal como un error no intencionado en la aplicación),
Idoneidad o adecuación de la información revelada en los estados financieros.
A7. En relación con la idoneidad o adecuación de la información revelada en los estados financieros, pueden surgir incorrecciones materiales en éstos cuando:
(a) los estados financieros no incluyan toda la información exigida por el marco de información financiera aplicable;
(b) la información revelada en los estados financieros no se presente de conformidad con el marco de información financiera aplicable; o
(c) los estados financieros no revelen la información necesaria para lograr la presentación fiel.
Naturaleza de la imposibilidad de obtener evidencia de auditoría suficiente y adecuada (Ref: Apartado 6(b))
A8. La imposibilidad del auditor de obtener evidencia de auditoría suficiente y adecuada (lo que se conoce también como limitación al alcance de la auditoría) puede tener su origen en:
(a) circunstancias ajenas al control de la entidad;
(b) circunstancias relacionadas con la naturaleza o el momento de realización del trabajo del auditor; o
(c) limitaciones impuestas por la dirección.
A9. La imposibilidad de aplicar un determinado procedimiento no constituye una limitación al alcance de la auditoría si el auditor puede obtener evidencia de auditoría suficiente y adecuada mediante la aplicación de procedimientos alternativos. Si esto no es posible, los requerimientos de los párrafos 7(b) y 9-10 son aplicables, según corresponda. Las limitaciones impuestas por la dirección pueden tener otras implicaciones para la auditoría, como, por ejemplo, la valoración del auditor de los riesgos de fraude y la determinación de si debe o no continuar con el encargo.
A10. Ejemplos de circunstancias ajenas al control de la entidad son los casos en los que:
- los registros contables de la entidad han sido destruidos.
- los registros contables de un componente significativo han sido incautados por tiempo indefinido por las autoridades públicas.
A11. Ejemplos de circunstancias relacionadas con la naturaleza o el momento de realización del trabajo del auditor son los casos en los que:
- La entidad debe utilizar el método de la participación para contabilizar la participación en una entidad asociada y el auditor no puede obtener evidencia de auditoría suficiente y adecuada sobre la información financiera de dicha entidad para evaluar si ha sido correctamente aplicado el método de la participación.
- Debido a la fecha en la que el auditor ha sido nombrado, éste no ha podido presenciar el recuento físico de las existencias.
- El auditor determina que no es suficiente aplicar únicamente procedimientos sustantivos, y los controles de la entidad no son efectivos.
A12. Ejemplos de la imposibilidad de obtener evidencia de auditoría suficiente y adecuada debido a una limitación al alcance de la auditoría impuesta por la dirección son las situaciones en las que:
- La dirección impide al auditor que presencie el recuento físico de las existencias.
- La dirección impide al auditor que solicite confirmaciones de terceros de determinados saldos contables.
Determinación del tipo de opinión modificada
Consecuencia de la imposibilidad de obtener evidencia de auditoría suficiente adecuada debido a una limitación impuesta por la dirección después de que el auditor haya aceptado el encargo (Ref: Apartados 13(b)(i)-14)
A13. La viabilidad de renunciar al encargo de auditoría puede depender de su estado de realización en el momento en el que la dirección impone la limitación al alcance. Si el auditor ha realizado sustancialmente la auditoría, antes de renunciar puede decidir completarla hasta donde sea posible, denegar la opinión (abstenerse de opinar) y explicar la limitación al alcance dentro de la sección "Fundamento de la denegación de opinión".
A14. En determinadas circunstancias, la renuncia a la realización de la auditoría puede no ser posible si las disposiciones legales o reglamentarias requieren que el auditor continúe con el encargo. Esto puede ocurrir cuando el auditor ha sido nombrado para auditar los estados financieros de entidades del sector público. También puede ser el caso en jurisdicciones en las que se nombra al auditor para auditar los estados financieros referidos a un determinado periodo, o se le nombra por un plazo determinado y tiene prohibido renunciar antes de terminar la auditoría de dichos estados financieros o antes de la finalización de dicho plazo, respectivamente. El auditor también puede considerar necesario incluir un párrafo sobre otras cuestiones en el informe de auditoría(7)
A15. Cuando el auditor concluya que es necesario renunciar al encargo debido a una limitación al alcance, puede existir el requerimiento legal, reglamentario o profesional de que comunique las cuestiones relacionadas con la renuncia al encargo a las autoridades reguladoras o a los propietarios de la entidad.
Otras consideraciones en relación con una opinión desfavorable (adversa) o con la denegación (abstención) de opinión (Ref: Apartado 15)
A16. A continuación se exponen unos ejemplos de circunstancias que no serían contradictorias con una opinión desfavorable (adversa) o con la denegación (abstención) de opinión del auditor:
- Expresar una opinión no modificada (favorable) sobre unos estados financieros preparados de conformidad con un determinado marco de información financiera y, en el mismo informe, expresar una opinión desfavorable (adversa) sobre los mismos estados financieros de conformidad con un marco de información financiera distinto(8).
- La denegación (abstención) de opinión sobre los resultados de las operaciones y los flujos de efectivo, cuando proceda, y una opinión no modificada (favorable) relativa a la situación financiera (véase la NIA 510(9)). En este caso, el auditor no ha denegado la opinión (se ha abstenido de opinar) sobre los estados financieros en su conjunto.
Estructura y contenido del informe de auditoría cuando se expresa una opinión modificada
Ejemplos de informes de auditoría (Ref: Apartado 16)
A17. Los ejemplos 1 y 2 del anexo contienen informes de auditoría con opiniones con salvedades y desfavorable (adversa), respectivamente, debido a que los estados financieros contienen incorrecciones materiales.
A18. El ejemplo 3 del anexo contiene un informe de auditoría con una opinión con salvedades porque el auditor no ha podido obtener evidencia de auditoría suficiente y adecuada. El ejemplo 4 contiene una denegación (abstención) de opinión debido a que el auditor no ha podido obtener evidencia de auditoría suficiente y adecuada en relación con un único elemento de los estados financieros. El ejemplo 5 contiene una denegación (abstención) de opinión porque el auditor no ha podido obtener evidencia de auditoría suficiente y adecuada en relación con múltiples elementos de los estados financieros. En cada uno de los dos últimos casos, los posibles efectos sobre los estados financieros de dicha imposibilidad son tanto materiales como generalizados. Los Anexos de otras NIA que contienen requerimientos de información, incluida la NIA 570 (Revisada)(10), también incluyen ejemplos de informes de auditoría con opiniones modificadas.
Opinión del auditor (Ref: Apartado 16)
A19. Modificar este título hace que resulte evidente para el usuario que la opinión del auditor es una opinión modificada, e indica el tipo de modificación.
Opinión con salvedades (Ref: Apartado 17)
A20. Cuando el auditor exprese una opinión con salvedades, no es adecuado utilizar frases tales como “a la vista de la explicación anterior” o “sin perjuicio de” en la sección de opinión ya que no son suficientemente claras o categóricas.
Fundamento de la opinión (Ref: Apartados 20, 21,23, 27)
A21. La congruencia del informe de auditoría ayuda a facilitar al usuario la comprensión y a identificar, cuando ocurran, circunstancias inusuales. En consecuencia, aunque la uniformidad en la redacción de una opinión modificada y en la descripción de las razones de la opinión modificada pueda no ser alcanzable, la congruencia tanto en la estructura como en el contenido del informe de auditoría es deseable.
A22. Un ejemplo de los efectos financieros de incorrecciones materiales que el auditor puede describir en la sección "Fundamento de la opinión" en el informe de auditoría es la cuantificación de los efectos de una sobrevaloración de las existencias en el impuesto sobre beneficios, el resultado antes de impuestos, el resultado neto y el patrimonio neto.
A23. La revelación de la información omitida en la sección "Fundamento de la opinión" no es factible si:
(a) la información a revelar no ha sido preparada por la dirección o no está disponible para el auditor por otro medio; o
(b) a juicio del auditor, la información a revelar sería demasiado extensa en relación con el informe de auditoría.
A24. Una opinión desfavorable (adversa) o la denegación (abstención) de opinión relacionadas con una cuestión concreta descrita en la sección "Fundamento de la opinión" no justifican la omisión de la descripción de otras cuestiones identificadas que habrían requerido por su parte la expresión por el auditor de una opinión modificada. En esos casos, la revelación de dichas otras cuestiones de los que tenga conocimiento el auditor puede ser relevante para los usuarios de los estados financieros.
Descripción de las responsabilidades del auditor en relación con la auditoría de los estados financieros cuando el auditor deniega la opinión (se abstiene de opinar) sobre los estados financieros (Ref: Apartado 28)
A25. Cuando el auditor deniegue la opinión (se abstenga de opinar) sobre los estados financieros, es mejor situar las siguientes declaraciones en la sección de responsabilidades del auditor en relación con la auditoría de los estados financieros, como se muestra en los ejemplos 4-5 del Anexo de esta NIA:
- la declaración requerida por el apartado 28(a) de la NIA 700 (Revisada), modificada para manifestar que la responsabilidad del auditor es la realización de la auditoría de los estados financieros de la entidad de conformidad con las NIA; y
- la declaración requerida por el apartado 28(c) de la NIA 700 (Revisada) sobre la independencia y otras responsabilidades de ética.
Consideraciones cuando e! auditor deniega la opinión (se abstiene de opinar) sobre los estados financieros (Ref: Apartado 29)
A26. Describir los motivos por los que el auditor no pudo obtener evidencia suficiente y adecuada en la sección "Fundamento de la denegación de opinión" del informe de auditoría proporciona información útil a los usuarios para comprender por qué el auditor ha denegado su opinión (se ha abstenido de opinar) sobre los estados financieros y puede servir como protección adicional para evitar una confianza infundada sobre los mismos. Sin embargo, la comunicación de cualquier cuestión clave de la auditoría distinta de la cuestión o cuestiones que originan la denegación de la opinión (la abstención de opinar) puede dar a entender que los estados financieros en su conjunto son más creíbles en relación con dichas cuestiones que lo que corresponde en función de las circunstancias, y no sería congruente con la denegación de la opinión (abstención de opinar) sobre los estados financieros en su conjunto. En consecuencia, el apartado 29 de esta NIA prohíbe que se incluya una sección "Cuestiones clave de la auditoría" en el informe de auditoría cuando el auditor deniega la opinión (se abstiene de opinar sobre los estados financieros, salvo si las disposiciones legales o reglamentarias requieren que el auditor comunique cuestiones clave de la auditoría.
Comunicación con los responsables del gobierno de la entidad (Ref: Apartado 30)
A27. La comunicación con los responsables del gobierno de la entidad acerca de las circunstancias que llevan al auditor a prever la emisión de una opinión modificada, y la redacción de la opinión modificada permite:
(a) al auditor, notificar a los responsables del gobierno de la entidad la modificación o modificaciones previstas y los motivos (o circunstancias) de las modificaciones;
(b) al auditor, buscar el acuerdo de los responsables del gobierno de la entidad sobre los hechos que originan las modificaciones previstas, o confirmar las cuestiones objeto de desacuerdo con la dirección; y
(c) a los responsables del gobierno de la entidad, tener la oportunidad, cuando proceda, de proporcionar al auditor información y explicaciones adicionales en relación con la cuestión o cuestiones que originan las modificaciones previstas.
NOTAS AL FINAL:
NORMATIVA 705
1. NIA 700 (Revisada), Formación de la opinión y emisión del informe de auditoría sobre los estados financieros
2. NIA 260 (Revisada), Comunicación con los responsables del gobierno de la entidad, apartado 13.
3. NIA 805, Consideraciones especiales – Auditorías de un solo estado financiero o de un elemento, cuenta o partida específicos de un estado financiero, trata de las circunstancias en las se contrata al auditor para expresar una opinión aparte sobre uno o más elementos, cuentas o partidas de un estado financiero.
4. NIA 701, Comunicación de las cuestiones clave de la auditoria en el informe de auditoría emitido por un auditor independiente apartadosll-13.
5. NIA 700 (Revisada), apartado 11.
6. NIA 450, Evaluación de las incorrecciones identificadas durante la realización de la auditoría, apartado 11.
7. NIA 706 (Revisada), Párrafos de énfasis y párrafos sobre otras cuestiones en el informe de auditoría emitido por un audito independiente, apartado A10
8. Véase el apartado A31 de la NIA 700 (Revisada), que contiene una descripción de esta circunstancia.
9. NIA 510, Encargos iniciales de auditoría – Saldos de apertura, apartado 10
10. NIA 570 (Revisada), Empresa en funcionamiento.
Anexo
(Ref: Apartados A17-A18, A25)
Ejemplos de informes de auditoría que contienen una opinión modificada.
- Ejemplo 1: Informe de auditoría con una opinión con salvedades debido a una incorrección material en los estados financieros.
- Ejemplo 2: Informe de auditoría con una opinión desfavorable (adversa) debido a una incorrección material en los estados financieros consolidados.
- Ejemplo 3: Informe de auditoría con una opinión con salvedades debido a que el auditor no ha podido obtener evidencia de auditoría suficiente y adecuada en relación con una asociada extranjera.
- Ejemplo 4: Informe de auditoría con denegación (abstención) de opinión debido a que el auditor no ha podido obtener evidencia de auditoría suficiente y adecuada en relación con un único elemento de los estados financieros consolidados.
- Ejemplo 5: Informe de auditoría con denegación (abstención) de opinión debido a que el auditor no ha podido obtener evidencia de auditoría suficiente y adecuada en relación con múltiples elementos de los estados financieros.
Ejemplo 1 - Opinión con salvedades debido a una incorrección material en los estados financieros.
Este ejemplo de informe de auditoría está basado en que concurren las siguientes circunstancias:
- Auditoría de un conjunto completo de estados financieros de una entidad cotizada preparados de conformidad con un marco de imagen fiel. La auditoría no es una auditoría de un grupo (es decir, no es aplicable la NIA 600(1)).
- Los estados financieros han sido preparados por la dirección de la entidad de conformidad con las NIIF (un marco de información con fines generales).
- Los términos del encargo de auditoría reflejan la descripción de la responsabilidad de la dirección que recoge la NIA 210(2), en relación con los estados financieros.
- Las existencias que se muestran en los estados financieros son incorrectas. Se considera que la incorrección es material para los estados financieros, pero no generalizada (es decir, es adecuada una opinión con salvedades).
- Los requerimientos de ética que son de aplicación a la auditoría son los de la jurisdicción.
- Basándose en la evidencia de auditoría obtenida, el auditor ha concluido que no existe una incertidumbre material relacionada con hechos o con condiciones que puedan generar dudas significativas sobre la capacidad de la entidad para continuar como empresa en funcionamiento de conformidad con la NIA 570 (Revisada).
- Se han comunicado las cuestiones clave de la auditoría de conformidad con la NIA 701.
- Los responsables de la supervisión de los estados financieros son distintos de los responsables de la preparación de los estados financieros.
- Además de la auditoría de los estados financieros, el auditor tiene otras responsabilidades de información impuestas por la legislación local.
INFORME DE AUDITORÍA EMITIDO POR UN AUDITOR INDEPENDIENTE
A los accionistas de la Sociedad ABC [o al destinatario que corresponda]
Informe sobre la auditoría de los estados financieros(3)
Opinión con salvedades
Hemos auditado los estados financieros de la sociedad ABC (la Sociedad), que comprenden el estado de situación financiera a 31 de diciembre de 20X1, el estado del resultado global, el estado de cambios en el patrimonio neto y el estado de flujos de efectivo correspondientes al ejercicio terminado en dicha fecha, así como las notas explicativas de los estados financieros que incluyen un resumen de las políticas contables significativas.
En nuestra opinión, excepto por los efectos de la cuestión descrita en la sección Fundamento de la opinión con salvedades de nuestro informe, los estados financieros adjuntos presentan fielmente, en todos los aspectos materiales, (o expresan la imagen fiel de) la situación financiera de la Sociedad a 31 de diciembre de 20X1, así como (de) sus resultados y flujos de efectivo correspondientes al ejercicio terminado en dicha fecha, de conformidad con las Normas Internacionales de Información Financiera (NIIF)
Fundamento de la opinión con salvedades
Las existencias de la Sociedad se reflejan en el estado de situación financiera por xxx. La dirección no ha registrado las existencias al menor de los importes correspondientes a su coste o valor neto de realización, sino que las refleja únicamente al coste, lo que supone un incumplimiento de las NIIF. De acuerdo con los registros de la Sociedad, si la dirección hubiera valorado las existencias al menor de los importes correspondientes a su coste o valor neto de realización, hubiese sido necesario reducir el importe de las existencias en xxx para reflejarlas por su valor neto de realización. En consecuencia, el coste de ventas está infravalorado en xxx, y el impuesto sobre beneficios, el resultado neto y el patrimonio neto están sobrevalorados en xxx, xxx y xxx, respectivamente.
Hemos llevado a cabo nuestra auditoría de conformidad con las Normas Internacionales de Auditoría (NIA). Nuestras responsabilidades de acuerdo con dichas normas se describen más adelante en la sección Responsabilidades del auditor en relación con la auditoría de los estados financieros de nuestro informe. Somos independientes de la Sociedad de conformidad con los requerimientos de ética aplicables a nuestra auditoría de los estados financieros en [jurisdicción] y hemos cumplido las demás responsabilidades de ética de conformidad con esos requerimientos. Consideramos que la evidencia de auditoría que hemos obtenido proporciona una base suficiente y adecuada para nuestra opinión con salvedades.
Cuestiones clave de la auditoría
Las cuestiones clave de la auditoría son aquellas cuestiones que, según nuestro juicio profesional, han sido de la mayor significatividad en nuestra auditoría de los estados financieros del periodo actual. Estas cuestiones han sido tratadas en el contexto de nuestra auditoría de los estados financieros en su conjunto y en la formación de nuestra opinión sobre estos, y no expresamos una opinión por separado sobre esas cuestiones. Además de la cuestión descrita en la sección Fundamento de la opinión con salvedades, hemos determinado que las cuestiones que se describen a continuación son las cuestiones clave de la auditoría que se deben comunicar en nuestro informe.
[Descripción de cada cuestión clave de la auditoría de conformidad con la NIA 701]
Responsabilidades de la dirección y de los responsables del gobierno de la entidad en relación con los estados financieros(4)
[Informe de conformidad con la NIA 700 (Revisada) - véase Ejemplo 1 de la NIA 700 (Revisada).]
Responsabilidades del auditor en relación con la auditoría de los estados financieros
[Informe de conformidad con la NIA 700 (Revisada) - véase Ejemplo 1 de la NIA 700 (Revisada).]
Informe sobre otros requerimientos legales y reglamentarios
[Informe de conformidad con la NIA 700 (Revisada) - véase Ejemplo 1 de la NIA 700 (Revisada).]
El socio del encargo de la auditoría que origina este Informe de auditoría emitido por un auditor Independiente es [nombre].
[Firma en nombre de afirma de auditoria, en nombre propio o en nombre de ambos, según proceda en la jurisdicción de que se trote]
[Dirección del auditor]
[Fecha]
Ejemplo 2 - Opinión desfavorable (adversa) debido a una incorrección material en los estados financieros consolidados.
Este ejemplo de informe de auditoría está basado en que concurren las siguientes circunstancias:
- Auditoría de un conjunto completo de estados financieros consolidados de una entidad cotizada preparados de conformidad con un marco de imagen fiel. Se trata de la auditoría de grupo de una entidad con dependientes (es decir, es aplicable la NIA 600).
- Los estados financieros consolidados han sido preparados por la dirección de la entidad de conformidad con las NIIF (un marco de información con fines generales).
- Los términos del encargo de auditoría reflejan la descripción de la responsabilidad de la dirección que recoge la NIA 210, en relación con los estados financieros consolidados.
- Los estados financieros consolidados contienen incorrecciones materiales debido a la falta de consolidación de una sociedad dependiente. Se considera que la incorrección material es generalizada en los estados financieros consolidados. Los efectos de la incorrección en los estados financieros consolidados no han sido determinados debido a que no era factible (es decir, es adecuada una opinión desfavorable (adversa)).
- Los requerimientos de ética que son de aplicación a la auditoría son los de la jurisdicción.
- Basándose en la evidencia de auditoría obtenida, el auditor ha concluido que no existe una incertidumbre material relacionada con hechos o con condiciones que puedan generar dudas significativas sobre la capacidad de la entidad para continuar como empresa en funcionamiento de conformidad con la NIA 570 (Revisada).
- Es aplicable la NIA 701; no obstante el auditor ha determinado que no hay más cuestiones clave de la auditoría aparte de la cuestión que se describe en la sección "Fundamento de la opinión desfavorable (adversa)".
- Los responsables de la supervisión de los estados financieros consolidados son distintos de los responsables de la preparación de los estados financieros consolidados.
- Además de la auditoría de los estados financieros consolidados, el auditor tiene otras responsabilidades de información impuestas por la legislación local.
INFORME DE AUDITORÍA EMITIDO POR UN AUDITOR INDEPENDIENTE
A los accionistas de la Sociedad ABC [o al destinatario que corresponda]
Informe sobre la auditoría de los estados financieros consolidados(5)
Opinión desfavorable (adversa)
Hemos auditado los estados financieros consolidados de la sociedad ABC y sus dependientes (el Grupo), que comprenden el estado de situación financiera consolidado a 31 de diciembre de 20X1, el estado del resultado global consolidado, el estado de cambios en el patrimonio neto consolidado y el estado de flujos de efectivo consolidado correspondientes al ejercicio terminado en dicha fecha, así como las notas explicativas de los estados financieros que incluyen un resumen de las políticas contables significativas.
En nuestra opinión, debido a la significatividad de la cuestión descrita en la sección Fundamento de la opinión desfavorable (adversa) de nuestro informe, los estados financieros consolidados adjuntos no presentan fielmente, en todos los aspectos materiales, (o no expresan la imagen fiel de) la situación financiera consolidada del Grupo a 31 de diciembre de 20X1, ni (de) sus resultados consolidados y flujos de efectivo consolidados correspondientes al ejercicio terminado en dicha fecha, de conformidad con las Normas Internacionales de Información Financiera (NIIF).
Fundamento de la opinión desfavorable (adversa)
Tal y como se explica en la nota X, el Grupo no ha consolidado la sociedad dependiente XYZ adquirida durante 20X1, debido a que aún no ha sido posible determinar el valor razonable en la fecha de adquisición de algunos de los activos y pasivos de la sociedad dependiente que resultan materiales. En consecuencia, esta inversión está contabilizada por el método del coste. De conformidad con las NIIF, la sociedad debería haber consolidado esta dependiente y registrado la adquisición en base a importes provisionales. Si se hubiese consolidado la sociedad XYZ, muchos elementos de los estados financieros consolidados adjuntos se habrían visto afectados de forma material. No se han determinado los efectos sobre los estados financieros consolidados de la falta de consolidación.
Hemos llevado a cabo nuestra auditoría de conformidad con las Normas Internacionales de Auditoría (NIA). Nuestras responsabilidades de acuerdo con dichas normas se describen más adelante en la sección Responsabilidades del auditor en relación con la auditoría de los estados financieros consolidados de nuestro informe. Somos independientes del Grupo de conformidad con los requerimientos de ética aplicables a nuestra auditoría de los estados financieros consolidados en [jurisdicción] y hemos cumplido las demás responsabilidades de ética de conformidad con esos requerimientos. Consideramos que la evidencia de auditoría que hemos obtenido proporciona una base suficiente y adecuada para nuestra opinión desfavorable (adversa).
Cuestiones clave de la auditoría
Excepto por la cuestión descrita en la sección Fundamento de la opinión desfavorable (adversa) no existen otras cuestiones clave de la auditoría que se deban comunicar en nuestro informe.
Responsabilidades de la dirección y de los responsables del gobierno de la entidad en relación con los estados financieros consolidados (6)
[Informe de conformidad con la NIA 700 (Revisada) - véase Ejemplo 2 de la NIA 700 (Revisada).]
Responsabilidades del auditor en relación con la auditoría de los estados financieros consolidados
[Informe de conformidad con la NIA 700 (Revisada) - véase Ejemplo 2 de la NIA 700 (Revisada).]
Informe sobre otros requerimientos legales y reglamentarios
[Informe de conformidad con la NIA 700 (Revisada) - véase Ejemplo 2 de la NIA 700 (Revisada).]
El socio del encargo de la auditoría que origina este informe de auditoría emitido por un auditor independiente es [nombre].
[Firma en nombre de la firma de auditoría, en nombre propio o en nombre de ambos, según proceda en la jurisdicción de que se trate]
[Dirección de auditor]
[Fecha]
Ejemplo 3. Opinión con salvedades debido a que el auditor no ha podido obtener evidencia de auditoría suficiente y adecuada en relación con una asociada extranjera.
Este ejemplo de informe de auditoría está basado en que concurren las siguientes circunstancias:
- Auditoría de un conjunto completo de estados financieros consolidados de una entidad cotizada preparados de conformidad con un marco de imagen fiel. Se trata de la auditoría de grupo de una entidad con dependientes (es decir, es aplicable la NIA 600).
- Los estados financieros consolidados han sido preparados por la dirección de la entidad de conformidad con las NIIF (un marco de información con fines generales).
- Los términos del encargo de auditoría reflejan la descripción de la responsabilidad de la dirección que recoge la NIA 210, en relación con los estados financieros consolidados.
- El auditor no ha podido obtener evidencia de auditoría suficiente y adecuada en relación con una inversión en una entidad asociada extranjera. Se considera que los efectos de la imposibilidad de obtener evidencia de auditoría suficiente y adecuada son materiales pero no generalizados en los estados financieros consolidados (es decir, es adecuada una opinión con salvedades).
- Los requerimientos de ética que son de aplicación a la auditoría son los de la jurisdicción.
- Basándose en la evidencia de auditoría obtenida, el auditor ha concluido que no existe una incertidumbre material relacionada con hechos o con condiciones que puedan generar dudas significativas sobre la capacidad de la entidad para continuar como empresa en funcionamiento de conformidad con la NIA 570 (Revisada).
- Se han comunicado las cuestiones clave de la auditoría de conformidad con la NIA 701.
- Los responsables de la supervisión de los estados financieros consolidados son distintos de los responsables de la preparación de los estados financieros consolidados.
- Además de la auditoría de los estados financieros consolidados, el auditor tiene otras responsabilidades de información impuestas por la legislación local.
INFORME DE AUDITORÍA EMITIDO POR UN AUDITOR INDEPENDIENTE
A los accionistas de la Sociedad ABC [o al destinatario que corresponda]
Informe sobre la auditoría de los estados financieros consolidados(7)
Opinión con salvedades
Hemos auditado los estados financieros consolidados de la sociedad ABC y sus dependientes (el Grupo), que comprenden el estado de situación financiera consolidado a 31 de diciembre de 20X1, el estado del resultado global consolidado, el estado de cambios en el patrimonio neto consolidado y el estado de flujos de efectivo consolidado correspondientes al ejercicio terminado en dicha fecha, así como las notas explicativas de los estados financieros que incluyen un resumen de las políticas contables significativas.
En nuestra opinión, excepto por los posibles efectos de la cuestión descrita en la sección Fundamento de la opinión con salvedades de nuestro informe, los estados financieros consolidados adjuntos presentan fielmente, en todos los aspectos materiales, (o expresan la imagen fiel de) la situación financiera consolidada del Grupo a 31 de diciembre de 20X1, así como (de) sus resultados consolidados y flujos de efectivo consolidados correspondientes al ejercicio terminado en dicha fecha, de conformidad con las Normas Internacionales de Información Financiera (NIIF).
Fundamento de la opinión con salvedades
La inversión del Grupo en la sociedad XYZ, una entidad asociada extranjera adquirida durante el ejercicio y contabilizada por el método de la participación, está registrada por xxx en el estado de situación financiera consolidado a 31 de diciembre de 20X1, y la participación de la Sociedad ABC en el resultado neto de XYZ de xxx se incluye en los resultados de ABC correspondientes al ejercicio terminado en dicha fecha. No hemos podido obtener evidencia de auditoría suficiente y adecuada sobre el importe registrado de la inversión de ABC en XYZ a 31 de diciembre de 20X1, ni sobre la participación de ABC en el resultado neto de XYZ correspondiente al ejercicio, debido a que se nos denegó el acceso a la información financiera, a la dirección y a los auditores de XYZ. Por consiguiente, no hemos podido determinar si estos importes deben ser ajustados.
Hemos llevado a cabo nuestra auditoría de conformidad con las Normas Internacionales de Auditoría (NIA). Nuestras responsabilidades de acuerdo con dichas normas se describen más adelante en la sección Responsabilidades del auditor en relación con la auditoría de los estados financieros consolidados de nuestro informe. Somos independientes del Grupo de conformidad con los requerimientos de ética aplicables a nuestra auditoría de los estados financieros consolidados en [jurisdicción] y hemos cumplido las demás responsabilidades de ética de conformidad con esos requerimientos. Consideramos que la evidencia de auditoría que hemos obtenido proporciona una base suficiente y adecuada para nuestra opinión con salvedades.
Cuestiones clave de la auditoría
Las cuestiones clave de la auditoría son aquellas cuestiones que, según nuestro juicio profesional, han sido de la mayor significatividad en nuestra auditoría de los estados financieros consolidados del periodo actual. Estas cuestiones han sido tratadas en el contexto de nuestra auditoría de los estados financieros consolidados en su conjunto y en la formación de nuestra opinión sobre estos, y no expresamos una opinión por separado sobre esas cuestiones. Además de la cuestión descrita en la sección Fundamento de la opinión con salvedades, hemos determinado que las cuestiones que se describen a continuación son las cuestiones clave de la auditoría que se deben comunicar en nuestro informe.
[Descripción de cada cuestión clave de la auditoría de conformidad con la NÍA 701]
Responsabilidades de la dirección y de los responsables del gobierno de la entidad en relación con los estados financieros consolidados(8)
[Informe de conformidad con la NIA 700 (Revisada) - véase Ejemplo 2 de la NIA 700 (Revisada).]
Responsabilidades del auditor en relación con la auditoría de los estados financieros consolidados
[Informe de conformidad con la NIA 700 (Revisada) - véase Ejemplo 2 de la NIA 700 (Revisada).]
Informe sobre otros requerimientos legales y reglamentarios
[Informe de conformidad con la NIA 700 (Revisada) - véase Ejemplo 2 de la NIA 700 (Revisada).]
El socio del encargo de la auditoría que origina este informe de auditoría emitido por un auditor independiente es [nombre].
[Firma en nombre de la firma de auditoría, en nombre propio o en nombre de ambos, según proceda en la jurisdicción de que se trote]
[Dirección del auditor]
[Fecha]
Ejemplo 4 - Denegación (abstención) de opinión debido a que el auditor no ha podido obtener evidencia de auditoría suficiente y adecuada en relación con un único elemento de los estados financieros consolidados.
Este ejemplo de informe de auditoría está basado en que concurren las siguientes circunstancias:
- Auditoría de un conjunto completo de estados financieros consolidados de una entidad que no es una entidad cotizada preparados de conformidad con un marco de imagen fiel. Se trata de la auditoría de grupo de una entidad con dependientes (es decir, es aplicable la NIA 600).
- Los estados financieros consolidados han sido preparados por la dirección de la entidad de conformidad con las NIIF (un marco de información con fines generales).
- Los términos del encargo de auditoría reflejan la descripción de la responsabilidad de la dirección que recoge la NIA 210, en relación con los estados financieros consolidados.
- El auditor no ha podido obtener evidencia de auditoría suficiente y adecuada en relación con un único elemento de los estados financieros consolidados. En concreto, el auditor no ha podido obtener evidencia de auditoría en relación con la información financiera de la inversión en un negocio conjunto que representa más del 90% de los activos netos de la entidad. Se considera que los posibles efectos de la imposibilidad de obtener evidencia de auditoría suficiente y adecuada son materiales y generalizados en los estados financieros consolidados (es decir, es adecuada una denegación (abstención) de opinión).
- Los requerimientos de ética que son de aplicación a la auditoría son los de la jurisdicción.
- Los responsables de la supervisión de los estados financieros consolidados son distintos de los responsables de la preparación de los estados financieros consolidados.
- Se requiere una sección de descripción de las responsabilidades del auditor más limitada.
- Además de la auditoría de los estados financieros consolidados, el auditor tiene otras responsabilidades de información impuestas por la legislación local.
INFORME DE AUDITORÍA EMITIDO POR UN AUDITOR INDEPENDIENTE
A los accionistas de la Sociedad ABC [o al destinatario que corresponda]
Informe sobre la auditoría de los estados financieros consolidados(9)
Denegación (abstención) de opinión
Hemos sido nombrados para auditar los estados financieros consolidados de la sociedad ABC y sus dependientes (el Grupo), que comprenden el estado de situación financiera consolidado a 31 de diciembre de 20X1, el estado del resultado global consolidado, el estado de cambios en el patrimonio neto consolidado y el estado de flujos de efectivo consolidado correspondientes al ejercicio terminado en dicha fecha, así como las notas explicativas de los estados financieros que incluyen un resumen de las políticas contables significativas.
No expresamos una opinión sobre los estados financieros consolidados del Grupo adjuntos. Debido a la significatividad de la cuestión descrita en la sección Fundamento de la denegación (abstención) de opinión de nuestro informe, no hemos podido obtener evidencia de auditoría que proporcione una base suficiente y adecuada para expresar una opinión de auditoría sobre estos estados financieros consolidados.
Fundamento de la denegación (abstención) de opinión
La inversión del Grupo en el negocio conjunto XYZ está registrada por xxx en el estado de situación financiera consolidado del Grupo, lo que representa más del 90% de los activos netos del Grupo a 31 de diciembre de 20X1. No se nos ha permitido el acceso ni a la dirección ni a los auditores de la sociedad XYZ, incluida la documentación de auditoría de los auditores de la sociedad XYZ. Como resultado, no hemos podido determinar si son necesarios ajustes en relación con la parte proporcional de los activos de la sociedad XYZ que el Grupo controla conjuntamente, la parte proporcional de los pasivos de la sociedad XYZ de los cuales es responsable conjuntamente, la parte proporcional de los ingresos y gastos del ejercicio de la sociedad XYZ, y los elementos que conforman el estado de cambios en el patrimonio neto y el estado de flujos de efectivo consolidados.
Responsabilidades de la dirección y de los responsables del gobierno de la entidad en relación con los estados financieros consolidado(10)
[Informe de conformidad con la NIA 700 (Revisada) - véase Ejemplo 2 de la NIA 700 (Revisada).]
Responsabilidades del auditor en relación con la auditoría de los estados financieros consolidados
Nuestra responsabilidad es la realización de la auditoría de los estados financieros consolidados del Grupo de conformidad con las Normas Internacionales de Auditoría y la emisión de un informe de auditoría. Sin embargo, debido a la significatividad de la cuestión descrita en la sección Fundamento de la denegación (abstención) de opinión de nuestro informe, no hemos podido obtener evidencia de auditoría que proporcione una base suficiente y adecuada para expresar una opinión de auditoría sobre estos estados financieros consolidados.
Somos independientes del Grupo de conformidad con los requerimientos de ética aplicables a nuestra auditoría de los estados financieros en [jurisdicción] y hemos cumplido las demás responsabilidades de ética de conformidad con esos requerimientos.
Informe sobre otros requerimientos legales y reglamentarios
[Informe de conformidad con la NIA 700 (Revisada) - véase Ejemplo 2 de la NIA 700 (Revisada).]
[Firma en nombre de la firma de auditoría, en nombre propio o en nombre de ambos, según proceda en la jurisdicción de que se trate]
[Dirección del auditor]
[Fecha]
Ejemplo 5 - Denegación (abstención) de opinión debido a que el auditor no ha podido obtener evidencia de auditoría suficiente y adecuada en relación con múltiples elementos de los estados financieros.
Este ejemplo de informe de auditoría está basado en que concurren las siguientes circunstancias:
- Auditoría de un conjunto completo de estados financieros de una entidad que no es una entidad cotizada preparados de conformidad con un marco de imagen fiel. La auditoría no es una auditoría de un grupo (es decir, no es aplicable la NIA 600).
- Los estados financieros han sido preparados por la dirección de la entidad de conformidad con las NIIF (un marco de información con fines generales).
- Los términos del encargo de auditoría reflejan la descripción de la responsabilidad de la dirección que recoge la NIA 210, en relación con los estados financieros.
- El auditor no ha podido obtener evidencia de auditoría suficiente y adecuada en relación con múltiples elementos de los estados financieros, es decir, el auditor tampoco ha podido obtener evidencia de auditoría en relación con las existencias y las cuentas a cobrar. Se considera que los posibles efectos de la imposibilidad de obtener evidencia de auditoría suficiente y adecuada son materiales y generalizados en los estados financieros.
- Los requerimientos de ética que son de aplicación a la auditoría son los de la jurisdicción.
- Los responsables de la supervisión de los estados financieros son distintos de los responsables de la preparación de los estados financieros.
- Se requiere una sección de descripción de las responsabilidades del auditor más limitada.
- Además de la auditoría de los estados financieros, el auditor tiene otras responsabilidades de información impuestas por la legislación local.
INFORME DE AUDITORÍA EMITIDO POR UN AUDITOR INDEPENDIENTE
A los accionistas de la Sociedad ABC [o al destinatario que corresponda]
Informe sobre la auditoría de los estados financieros(11)
Denegación (abstención) de opinión
Hemos sido nombrados para auditar los estados financieros de la sociedad ABC (la Sociedad), que comprenden el estado de situación financiera a 31 de diciembre de 20X1, el estado del resultado global, el estado de cambios en el patrimonio neto y el estado de flujos de efectivo correspondientes al ejercicio terminado en dicha fecha, así como las notas explicativas de los estados financieros que incluyen un resumen de las políticas contables significativas.
No expresamos una opinión sobre los estados financieros de la Sociedad adjuntos. Debido a la significatividad de las cuestiones descritas en la sección Fundamento de la denegación (abstención) de opinión de nuestro informe, no hemos podido obtener evidencia de auditoría que proporcione una base suficiente y adecuada para expresar una opinión de auditoría sobre estos estados financieros.
Fundamento de la denegación (abstención) de opinión
Fuimos nombrados auditores de la sociedad con posterioridad al 31 de diciembre de 20X1 y, por lo tanto, no presenciamos el recuento físico de las existencias al inicio y al cierre del ejercicio. No hemos podido satisfacernos, mediante procedimientos alternativos, de las cantidades de existencias a 31 de diciembre de 20X0 y 20X1, las cuales están registradas en los estados de situación financiera por xxx y xxx, respectivamente. Asimismo, la introducción en septiembre de 20X1 de un nuevo sistema informatizado de cuentas a cobrar ocasionó numerosos errores en dichas cuentas. En la fecha de nuestro informe, la dirección aún estaba en el proceso de rectificar las deficiencias del sistema y de corregir los errores. No pudimos confirmar o verificar por medios alternativos las cuentas a cobrar incluidas en el estado de situación financiera por un importe total de xxx a 31 de diciembre de 20X1. Como resultado de estas cuestiones, no hemos podido determinar los ajustes que podrían haber sido necesarios en relación con las existencias y las cuentas a cobrar registradas, o no registradas, ni en relación con los elementos integrantes del estado del resultado global, del estado de cambios en el patrimonio neto y del estado de flujos de efectivo.
Responsabilidades de la dirección y de los responsables del gobierno de la entidad en relación con los estados financieros(12)
[Informe de conformidad con la NIA 700 (Revisada) - véase Ejemplo 1 de la NIA 700 (Revisada).]
Responsabilidades del auditor en relación con la auditoría de los estados financieros
Nuestra responsabilidad es la realización de la auditoría de los estados financieros de la Sociedad de conformidad con las Normas Internacionales de Auditoría y la emisión de un informe de auditoría. Sin embargo, debido a la significatividad de las cuestiones descritas en la sección Fundamento de la denegación (abstención) de opinión de nuestro informe, no hemos podido obtener evidencia de auditoría que proporcione una base suficiente y adecuada para expresar una opinión de auditoría sobre estos estados financieros consolidados.
Somos independientes de la Sociedad de conformidad con los requerimientos de ética aplicables a nuestra auditoría de los estados financieros en [jurisdicción] y hemos cumplido las demás responsabilidades de ética de conformidad con esos requerimientos.
Informe sobre otros requerimientos legales y reglamentarios
[Informe de conformidad con la NIA 700 (Revisada) - véase Ejemplo 1 de la NIA 700 (Revisada).]
[Firma en nombre de la firma de auditoría, en nombre propio o en nombre de ambos, según proceda en la jurisdicción de que se trate]
[Dirección del auditor]
[Fecha]
NOTAS AL FINAL
1. NIA 600, Consideraciones especiales - Auditorías de estados financieros de grupos (incluido el trabajo de los auditores de los componentes)
2. NIA 210, Acuerdo de los términos del encargo de auditoría.
3. El subtítulo "Informe sobre la auditoria de los estados financieros" no es necesario en aquellas circunstancias en las que no se procedente el segundo subtítulo, "Informe sobre otros requerimientos legales y reglamentarios".
4. En los ejemplos de informes de auditoría, es posible que los términos dirección y responsables del gobierno de la entidad tengan que ser sustituidos por otro termino que sea adecuado en el contexto del marco legal de la jurisdicción de que se trate.
5. El subtítulo "Informe sobre la auditoria de los estados financieros consolidados" no es necesario en aquellas circunstancias en las que no sea procedente el segundo subtitulo. "Informe sobre otros requerimientos legales reglamentarios".
6. U otro término adecuado según el marco legal de la jurisdicción de que se trate.
7. El subtítulo "Informe sobre la auditoria de los estados financieros consolidados" no es necesario en aquellas circunstancias en las que no sea procedente el segundo subtitulo "Informe sobre otros requerimientos legales y reglamentarios".
8. U otro termino adecuado según el marco legal de la jurisdicción de que se trate
9. El subtítulo "Informe sobre la auditoria de los estados financieros" no es necesario en aquellas circunstancias en las que no se procedente el segundo subtitulo, "Informe sobre otros requerimientos legales y reglamentarios".
10. U otro termino adecuado según el marco legal de la jurisdicción de que se trate
11. El subtítulo "Informe sobre la auditoria de los estados financieros" no es necesario en aquellas circunstancias en las que no se procedente el segundo subtitulo, "Informe sobre otros requerimientos legales y reglamentarios".
12. U otro termino adecuado según el marco legal de la jurisdicción de que se trate
NORMA INTERNACIONAL DE AUDITORIA 706 (REVISADA)
PÁRRAFOS DE ENFASIS Y PÁRRAFOS SOBRE OTRAS CUESTIONES EN EL INFORME DE AUDITORIA EMITIDO POR UN AUDITOR INDEPENDIENTE
(Aplicable a las auditorias de estados financieros correspondientes a periodos terminados a partir del 15 de diciembre de 2016)
CONTENIDO
Introducción
Alcance de esta NIA
Fecha de entrada en vigor
Objetivo
Definiciones
Requerimientos
Párrafos de énfasis en el informe de auditoria
Párrafos sobre otras cuestiones en el informe de auditoría
Comunicación con los responsables del gobierno de la entidad
Guía de aplicación y otras anotaciones explicativas
Relación entre los párrafos de énfasis y las cuestiones clave de la auditoría en el informe de auditoría
Circunstancias en las que puede ser necesario un párrafo de énfasis
Inclusión de un párrafo de énfasis en el informe de auditoría
Párrafos sobre otras cuestiones en el informe de auditoría
Ubicación de los párrafos de énfasis y de los párrafos sobre otras cuestiones en el informe de auditoría
Comunicación con los responsables del gobierno de la entidad
Anexo 1: Lista de las NIA que contienen requerimientos sobre párrafos de énfasis
Anexo 2: Lista de las NIA que contienen requerimientos en relación con párrafos sobre otras cuestiones
Anexo 3: Ejemplo de un informe de auditoría que contiene una sección de cuestiones clave de la auditoría, un párrafo de énfasis y un párrafo sobre otras cuestiones
Anexo 4: Ejemplo de un informe de auditoría con una opinión con salvedades debido al incumplimiento del marco de información financiera aplicable y que contiene un párrafo de énfasis.
La Norma Internacional de Auditoria (NIA) 706 (Revisada), Párrafos de énfasis y párrafos sobre otras cuestiones en el informe de auditoría emitido por un auditor independiente, debe interpretarse conjuntamente con la NIA 200, Objetivos globales del auditor independiente y realización de la auditoria de conformidad con las Normas Internacionales de Auditoria.
Introducción
Alcance de esta NIA
1. Esta Norma Internacional de Auditoría (NIA) trata de las comunicaciones adicionales en el informe de auditoría cuando el auditor lo considere necesario para:
(a) llamar la atención de los usuarios sobre una cuestión o cuestiones presentadas o reveladas en los estados financieros, de tal importancia que sean fundamentales para que los usuarios comprendan los estados financieros; o
(b) llamar la atención de los usuarios sobre cualquier cuestión o cuestiones distintas de las presentadas o reveladas en los estados financieros que sean relevantes para que los usuarios comprendan la auditoría, las responsabilidades del auditor o el informe de auditoría.
2. La NIA 701(1) establece requerimientos y proporciona orientaciones cuando el auditor considera que existen cuestiones clave de la auditoría y las comunica en el informe de auditoría. Cuando el auditor incluye una sección de cuestiones clave de la auditoría en el informe de auditoría, esta NIA trata la relación entre las cuestiones clave de la auditoría y cualquier comunicación adicional en el informe de auditoría de conformidad con esta NIA. (Ref: Apartados A1-A3)
3. La NIA 570 (Revisada)(2) establece requerimientos y proporciona orientaciones sobre la comunicación en el informe de auditoría en relación con la Empresa en funcionamiento.
4. Los anexos 1 y 2 identifican las NIA en las que específicamente se requiere que el auditor incluya párrafos de énfasis o párrafos sobre otras cuestiones en el informe de auditoría. En esas circunstancias, se aplicarán los requerimientos de esta NIA con respecto a la estructura de dichos párrafos. (Ref: Apartado A4)
Fecha de entrada en vigor
5. Esta NIA es aplicable a las auditorías de estados financieros correspondientes a periodos terminados a partir del 15 de diciembre de 2016.
Objetivo
6. El objetivo del auditor, una vez formada una opinión sobre los estados financieros, es llamar la atención de los usuarios, cuando a su juicio sea necesario, por medio de una clara comunicación adicional en el informe de auditoría, sobre:
(a) una cuestión que, aunque esté adecuadamente presentada o revelada en los estados financieros, sea de tal importancia que resulte fundamental para que los usuarios comprendan los estados financieros; o
(b) cuando proceda, cualquier otra cuestión que sea relevante para que los usuarios comprendan la auditoría, las responsabilidades del auditor o el informe de auditoría.
Definiciones
7. A efectos de las NIA, los siguientes términos tienen los significados que figuran a continuación:
(c) Párrafo de énfasis: un párrafo incluido en el informe de auditoría que se refiere a una cuestión presentada o revelada de forma adecuada en los estados financieros y que, a juicio del auditor, es de tal importancia que resulta fundamental para que los usuarios comprendan los estados financieros.
(d) Párrafo sobre otras cuestiones: un párrafo incluido en el informe de auditoría que se refiere a una cuestión distinta de las presentadas o reveladas en los estados financieros y que, a juicio del auditor, es relevante para que los usuarios comprendan la auditoría, las responsabilidades del auditor o el informe de auditoría.
Requerimientos
Párrafos de énfasis en el informe de auditoría
8. Si el auditor considera necesario llamar la atención de los usuarios sobre una cuestión presentada o revelada en los estados financieros que, a su juicio, es de tal importancia que resulta fundamental para que los usuarios comprendan los estados financieros, incluirá un párrafo de énfasis en el informe de auditoría siempre que: (Ref: Apartados A5-A6)
(a) como resultado de la cuestión no se requeriría que el auditor expresase una opinión modificada de conformidad con la NIA 705 (Revisada)(3); y
(b) cuando esaplicable la NIA 701, no se haya determinado que la cuestión es una cuestión clave de la auditoría que se deba comunicar en el informe de auditoría. (Ref: Apartados A1-A3)
9. Cuando el auditor incluya un párrafo de énfasis en el informe de auditoría:
(a) incluirá el párrafo en una sección separada del informe de auditoría con un título adecuado que incluya el término "énfasis";
(b) incluirá en el párrafo una clara referencia a la cuestión que se resalta y a la ubicación en los estados financieros de la correspondiente información en la que se describe detalladamente dicha cuestión. El párrafo se referirá solo a la información que se presenta o se revela en los estados financieros; y
(c) indicará que el auditor no expresa una opinión modificada en relación con la cuestión que se resalta. (Ref: Apartados A7-A8, A16-A17)
Párrafos sobre otras cuestiones en el informe de auditoría
10. Si el auditor considera necesario comunicar una cuestión distinta de las presentadas o reveladas en los estados financieros que, a su juicio, sea relevante para que los usuarios comprendan la auditoría, las responsabilidades del auditor o el informe de auditoría, el auditor incluirá un párrafo sobre otras cuestiones en el informe de auditoría siempre que:
(a) no esté prohibido por una disposición legal o reglamentaria; y
(b) cuando es aplicable la NIA 701, no se haya determinado que la cuestión es una cuestión clave de la auditoría que se deba comunicar en el informe de auditoría. (Ref: Apartados A9-A14)
11. Cuando el auditor incluya un párrafo sobre otras cuestiones en el informe de auditoría, lo hará en una sección separada con el título "Otras cuestiones" u otro título adecuado. (Ref: Apartados A15-A17)
Comunicación con los responsables del gobierno de la entidad
12. Si el auditor prevé incluir un párrafo de énfasis o un párrafo sobre otras cuestiones en el informe de auditoría, esta previsión y la redacción de dicho párrafo será objeto de comunicación con los responsables del gobierno de la entidad. (Ref: Apartado A18)
Guía de aplicación y otras anotaciones explicativas
Relación entre los párrafos de énfasis y las cuestiones clave de la auditoría en el informe de auditoría (Ref: Apartado 2, 8(b))
A1. Las cuestiones clave de la auditoría se definen en la NIA 701 como aquellas cuestiones que, según el juicio profesional del auditor, han sido de la mayor significatividad en la auditoría de los estados financieros del periodo actual. Las cuestiones clave de la auditoría se seleccionan entre las cuestiones que han sido objeto de comunicación con los responsables del gobierno de la entidad, las cuales comprenden hallazgos significativos de la auditoría de los estados financieros del periodo actual.(4) La comunicación de las cuestiones clave de la auditoría proporciona información adicional a los usuarios a quienes se destinan los estados financieros para facilitarles la comprensión de aquellas cuestiones que, según el juicio profesional del auditor, han sido de la mayor significatividad en la auditoría de los estados financieros auditados y puede ayudar a los usuarios a quienes se destinan los estados financieros a conocer la entidad y las áreas de los estados financieros auditados en las que la dirección aplica juicios significativos. Cuando es aplicable la NIA 701, la utilización de párrafos de énfasis no sustituye la descripción individualizada de las cuestiones clave de la auditoría.
A2. Las cuestiones que se consideran cuestiones clave de la auditoría de conformidad con la NIA 701 también pueden ser, a juicio del auditor, fundamentales para que los usuarios comprendan los estados financieros. En esos casos, al comunicar la cuestión como cuestión clave de la auditoría de conformidad con la NIA 701, es posible que el auditor quiera destacar o llamar más la atención sobre su importancia dentro del contexto. El auditor puede hacerlo resaltando dicha cuestión frente a otras en la sección "Cuestiones clave de la auditoría" (por ejemplo, situándola en primer lugar) o mediante la inclusión de información adicional en la descripción de la cuestión clave de la auditoría para señalar la importancia de la cuestión para que los usuarios comprendan los estados financieros.
A3. Puede existir una cuestión que no se considera una cuestión clave de la auditoría de conformidad con la NIA 701 (es decir, porque no ha requerido atención significativa del auditor), pero que, a juicio del auditor, es fundamental para que los usuarios comprendan los estados financieros (por ejemplo, un hecho posterior al cierre). Si el auditor considera necesario llamar la atención de los usuarios sobre una cuestión de ese tipo, la cuestión se incluye en un párrafo de énfasis en el informe de auditoría de conformidad con esta NIA.
Circunstancias en las que puede ser necesario un párrafo de énfasis (Ref: Apartados 4, 8)
A4. En el Anexo 1 se identifican las NIA que contienen requerimientos específicos que obligan al auditor a incluir párrafos de énfasis en el informe de auditoría en determinadas circunstancias. Ejemplos de estas circunstancias son:
- Cuando un marco de información financiera impuesto por las disposiciones legales o reglamentarias fuera inaceptable salvo por el hecho de que es impuesto por las disposiciones legales o reglamentarias.
- Para advertir a los usuarios de que los estados financieros han sido preparados de conformidad con un marco de información con fines específicos.
- Cuando, con posterioridad a la fecha del informe de auditoría, llegan a conocimiento del auditor ciertos hechos y el auditor emite un informe de auditoría nuevo o rectificado (es decir, hechos posteriores al cierre).(5)
A5. Ejemplos de circunstancias en las que el auditor puede considerar necesario incluir un párrafo de énfasis son:
- La incertidumbre relacionada con resultados futuros de litigios o acciones administrativas excepcionales.
- Un hecho posterior al cierre que sea significativo y que ocurra entre la fecha de los estados financieros y la fecha del informe de auditoría.(6)
- La aplicación anticipada (cuando se permita), antes de su fecha de entrada en vigor, de una nueva norma contable que tenga un efecto material sobre los estados financieros.
- Una catástrofe grave que haya tenido, o continúe teniendo, un efecto significativo sobre la situación financiera de la entidad.
A6. No obstante, el uso generalizado de los párrafos de énfasis puede disminuir la eficacia de la comunicación del auditor acerca de este tipo de cuestiones.
Introducción de un párrafo de énfasis en el informe de auditoría (Ref: Apartado 9)
A7. La introducción de un párrafo de énfasis en el informe de auditoría no afecta a la opinión del auditor. Un párrafo de énfasis no es sustitutivo de:
(e) una opinión modificada de conformidad con la NIA 705 (Revisada) cuando lo requieran las circunstancias de un determinado encargo de auditoría;
(f) información que debe revelar la dirección en los estados financieros de conformidad con el marco de información financiera aplicable, o que es necesaria por algún otro motivo para lograr la presentación fiel; o
(g) informar de conformidad con la NIA 570 (Revisada)(7) cuando exista una incertidumbre material en relación con hechos o condiciones que pueden generar dudas significativas sobre la capacidad de la entidad de continuar como empresa en funcionamiento.
A8. Los apartados A16-A17 proporcionan más orientaciones acerca de la ubicación de párrafos de énfasis en determinadas circunstancias.
Párrafos sobre otras cuestiones en el informe de auditoría (Ref: Apartados 10-11)
Situaciones en la cuales puede ser necesario un párrafo sobre otras cuestiones
Relevante para que los usuarios comprendan la auditoría
A9. La NIA 260 (Revisada) requiere que el auditor se comunique con los responsables del gobierno de la entidad acerca del alcance y del momento de realización de la auditoría planificados, lo que incluye comunicar acerca de los riesgos significativos identificados por el auditor.(8) Aunque las cuestiones relativas a los riesgos significativos se pueden considerar cuestiones clave de la auditoría, es poco probable que otras cuestiones relacionadas con la planificación y con la delimitación del alcance (por ejemplo, el alcance de la auditoría planificado, o la aplicación de la importancia relativa en el contexto de la auditoría) sean cuestiones clave de la auditoría teniendo en cuenta el modo en que se definen las cuestiones clave de la auditoría en la NIA 701. Sin embargo, las disposiciones legales o reglamentarias pueden requerir que el auditor comunique acerca de cuestiones relacionadas con la planificación y con la delimitación del alcance en el informe de auditoría, o el auditor puede considerar necesario comunicar acerca de tales cuestiones en un párrafo sobre otras cuestiones.
A10. En la circunstancia poco frecuente de que el auditor no pueda renunciar a un encargo, a pesar de que el posible efecto de la imposibilidad de obtener evidencia de auditoría suficiente y adecuada, debido a una limitación al alcance de la auditoría impuesta por la dirección, sea generalizado,(9) el auditor puede considerar necesario incluir un párrafo sobre otras cuestiones en el informe de auditoría para explicar las razones por las que no le es posible renunciar al encargo.
Relevante para que los usuarios comprendan las responsabilidades del auditor o el informe de auditoría
A11. Disposiciones legales o reglamentarias o las prácticas generalmente aceptadas de una determinada jurisdicción pueden requerir o permitir al auditor dar más detalle sobre cuestiones que proporcionan una explicación adicional sobre las responsabilidades del auditor en la auditoría de los estados financieros, o sobre el informe de auditoría. Cuando la sección "Otras cuestiones" incluya más de una cuestión que, a juicio del auditor, es relevante para que los usuarios comprendan la auditoría, las responsabilidades del auditor o el informe de auditoría, puede resultar conveniente utilizar subtítulos distintos para cada cuestión.
A12. Un párrafo sobre otras cuestiones no trata de las circunstancias en las que el auditor tiene otras responsabilidades de información adicionales a la responsabilidad del auditor establecida por las NIA (véase la sección de la NIA 700 (Revisada) "Otras responsabilidades de información)(10), o en las que se ha solicitado al auditor que aplique procedimientos adicionales específicos e informe sobre ellos, o que exprese una opinión sobre cuestiones específicas.
Emisión de un informe sobre más de un conjunto de estados financieros
A13. Una entidad puede preparar un conjunto de estados financieros de conformidad con un marco de información con fines generales (por ejemplo, el marco nacional) y otro conjunto de estados financieros de conformidad con otro marco de información con fines generales (por ejemplo, las Normas Internacionales de Información Financiera), así como encargar al auditor que informe sobre ambos conjuntos de estados financieros. Si el auditor ha determinado que los marcos son aceptables en las respectivas circunstancias, puede incluir un párrafo sobre otras cuestiones en el informe de auditoría, indicando que la misma entidad ha preparado otro conjunto de estados financieros de conformidad con otro marco de información con fines generales y que el auditor ha emitido un informe sobre dichos estados financieros.
Restricción a la distribución o utilización del informe de auditoría
A14. Estados financieros preparados para un fin específico pueden prepararse de conformidad con un marco de información con fines generales porque los usuarios a quienes se destinan han determinado que dichos estados financieros con fines generales satisfacen sus necesidades de información financiera. Puesto que el informe de auditoría va destinado a usuarios específicos, el auditor puede considerar necesario en estas circunstancias incluir un párrafo sobre otras cuestiones, señalando que el informe de auditoría va dirigido únicamente a los usuarios a los que se destina y no debe distribuirse a terceros o ser utilizado por éstos.
Introducción de párrafos sobre otras cuestiones en el informe de auditoría
A15. El contenido de un párrafo sobre otras cuestiones refleja con claridad que no se requiere que esas otras cuestiones se presenten y revelen en los estados financieros. Un párrafo sobre otras cuestiones no incluye información que disposiciones legales o reglamentarias u otras normas profesionales prohíben que el auditor proporcione, por ejemplo, normas de ética aplicables a la confidencialidad de la información. Un párrafo sobre otras cuestiones tampoco incluye la información que se exige a la dirección que proporcione.
Ubicación de los párrafos de énfasis y de los párrafos sobre otras cuestiones en el informe de auditoría (Ref: Apartados 9, 11)
A16. La ubicación de un párrafo de énfasis o de un párrafo sobre otras cuestiones en el informe de auditoría depende de la naturaleza de la información que se va a comunicar, y del juicio del auditor sobre la significatividad relativa de dicha información para los usuarios a quienes se destina en comparación con otros elementos sobre los que se debe informar de conformidad con la NIA 700 (Revisada). Por ejemplo: Párrafos de énfasis
- Cuando el párrafo de énfasis está relacionado con el marco de información financiera aplicable, incluidas las circunstancias en las que el auditor determina que el marco de información financiera impuesto por las disposiciones legales o reglamentarias sería inaceptable en cualquier otra circunstancia,(11) el auditor puede considerar necesario situar el párrafo inmediatamente después de la sección "Fundamento de la opinión" para proporcionar el contexto adecuado para la opinión del auditor.
- Cuando se presente una sección "Cuestiones clave de la auditoría" en el informe de auditoría, un párrafo de énfasis se puede presentar bien justo antes o después de la sección "Cuestiones clave de la auditoría" basándose en el juicio del auditor con respecto a la significatividad relativa de la información que se incluya en el párrafo de énfasis. El auditor también puede añadir contexto al título "Párrafo de énfasis", como por ejemplo, "Párrafo de énfasis - Hecho posterior al cierre", para diferenciar el párrafo de énfasis de las cuestiones individuales que se describen en la sección "Cuestiones clave de la auditoría".
Párrafos sobre otras cuestiones
- Cuando se presente una sección "Cuestiones clave de la auditoría" en el informe de auditoría y también se considere necesario un párrafo sobre otras cuestiones, el auditor también puede añadir contexto al título "Otra cuestión", como por ejemplo, "Otra cuestión - Alcance de la auditoría", para diferenciar el párrafo sobre otras cuestiones de las cuestiones individuales que se describen en la sección "Cuestiones clave de la auditoría".
- Cuando se incluya un párrafo sobre otras cuestiones para llamar la atención de los usuarios sobre una cuestión relacionada con otras responsabilidades de información tratadas en el informe de auditoría, el párrafo puede incluirse en la sección "Informe sobre otros requerimientos legales y reglamentarios".
- Cuando afecte a todas las responsabilidades del auditor o a la comprensión, por parte de los usuarios, del informe de auditoría, el párrafo sobre otras cuestiones puede incluirse como una sección separada, a continuación del informe sobre la auditoría de los estados financieros y del informe sobre otros requerimientos legales y reglamentarios. A17.
A17 En el Anexo 3 se muestra un ejemplo de la relación entre la sección "Cuestiones clave de la auditoría", un párrafo de énfasis y un párrafo sobre otras cuestiones cuando los tres están presentes en el informe de auditoría. El ejemplo de informe del Anexo 4 incluye un párrafo de énfasis en un informe de auditoría para una entidad que no es una entidad cotizada que contiene una opinión con salvedades y cuando no se han comunicado cuestiones clave de la auditoría.
Comunicación con los responsables del gobierno de la entidad (Ref: Apartado 12)
A18. La comunicación requerida por el apartado 12 permite a los responsables del gobierno de la entidad conocer la naturaleza de las cuestiones específicas que el auditor tiene intención de destacar en el informe de auditoría, y, en su caso, les proporciona la oportunidad de obtener del auditor aclaraciones adicionales. Cuando la inclusión en el informe de auditoría de un párrafo sobre otras cuestiones referido a una cuestión en particular sea recurrente en cada uno de los sucesivos encargos, el auditor podrá considerar que es innecesario repetir la comunicación en cada encargo, salvo si está obligado a ello por las disposiciones legales o reglamentarias
NOTAS AL FINAL:
1. NIA 701, Comunicación de las cuestiones clave de la auditoría en el informe de auditoría emitido por un auditor independiente.
2. NIA 570 (Revisada), Empresa en funcionamiento.
3. NIA 705 (Revisada), Opinión modificada en el informe de auditoría emitido por un auditor independiente
4. NIA 260 (Revisada), Comunicación con los responsables del gobierno de la entidad, apartado 16.
5. NIA 560, Hechos posteriores al cierre, apartados 12(b) y 16
6. NIA 560, apartado 6
7. NIA 570 (Revisada), apartados 22-23.
8. NIA 260 (Revisada), apartado 15.
9. Véase el apartado 13(b)(ii) de la NIA 705 (Revisada) para mayor información sobre esta circunstancia.
10. NIA 700 (Revisada), Formación de la opinión y emisión del informe de auditoría sobre los estados financieros, apartados 42-44.
11. Por ejemplo, como lo requiere la NIA 210, Acuerdo de los términos del encargo de auditoría, apartado 19, y la NIA 800, Consideraciones especiales - Auditorías de estados financieros preparados de conformidad con un marco de información con fines específicos, apartado 14.
Anexo 1
(Ref: Apartados 4, A4)
Lista de las NIA que contienen requerimientos sobre párrafos de énfasis
Este anexo identifica los apartados de otras NIA que requieren que el auditor incluya, en ciertas circunstancias, un párrafo de énfasis en el informe de auditoría. Esta lista no exime de tener en cuenta los requerimientos y la correspondiente guía de aplicación y otras anotaciones explicativas de las NIA.
- NIA 210, Acuerdo de los términos del encargo de auditoría, apartado 19(b)
- NIA 560, Hechos posteriores al cierre, apartados 12(b) y 16
- NIA 800, Consideraciones especiales - Auditorías de estados financieros preparados de conformidad con un marco de información con fines específicos, apartado 14
Anexo 2
(Ref: Apartado 4)
Lista de las NIA que contienen requerimientos en relación con párrafos sobre otras cuestiones
Este anexo identifica los apartados de otras NIA que requieren que el auditor incluya, en ciertas circunstancias, un párrafo sobre otras cuestiones en el informe de auditoría Esta lista no exime de tener en cuenta los requerimientos y la correspondiente guía de aplicación y otras anotaciones explicativas de las NIA.
- NIA 560, Hechos posteriores al cierre, apartados 12(b) y 16
- NIA 710, Información comparativa- Cifras correspondientes de periodos anteriores y estados financieros comparativos, apartados 13y14, 16-17y19
- NIA 720, Responsabilidad del auditor con respecto a otra información incluida en los documentos que contienen los estados financieros auditados, apartado 10(a)
Anexo 3
(Ref: Apartado A17)
Ejemplo de un informe de auditoría que contiene una sección de cuestiones clave de la auditoría, un párrafo de énfasis y un párrafo sobre otras cuestiones
Este ejemplo de informe de auditoría está basado en que concurren las siguientes
Circunstancias:
- Auditoría de un conjunto completo de estados financieros de una entidad cotizada preparados de conformidad con un marco de imagen fiel. La auditoría no es una auditoría de un grupo (es decir, no es aplicable la NIA 600(1)).
- Los estados financieros han sido preparados por la dirección de la entidad de conformidad con las Normas Internacionales de Información Financiera (NIIF) (un marco de información financiera con fines generales).
- Los términos del encargo de auditoría reflejan la descripción de la responsabilidad de la dirección que recoge la NIA 210, en relación con los estados financieros.
- El auditor ha concluido que es adecuada una opinión no modificada (es decir, favorable o "limpia") sobre la base de la evidencia de auditoría obtenida.
- Los requerimientos de ética que son de aplicación a la auditoría son los de la jurisdicción.
- Basándose en la evidencia de auditoría obtenida, el auditor ha concluido que no existe una incertidumbre material relacionada con hechos o con condiciones que puedan generar dudas significativas sobre la capacidad de la entidad para continuar como empresa en funcionamiento de conformidad con la NIA 570 (Revisada).
- Entre la fecha de los estados financieros y la fecha del informe de auditoría se ha producido un incendio en las instalaciones de producción de la entidad que ha sido revelado como un hecho posterior al cierre. Ajuicio del auditor, la cuestión es tan importante que resulta fundamental para que los usuarios comprendan los estados financieros. La cuestión no ha requerido atención significativa del auditor en la auditoría de los estados financieros del periodo actual.
- Se han comunicado las cuestiones clave de la auditoría de conformidad con la NIA 701.
- Se presentan cifras comparativas y los estados financieros correspondientes al periodo anterior fueron auditados por un auditor predecesor. Las disposiciones legales o reglamentarias no prohíben al auditor hacer referencia al informe de auditoría del auditor predecesor en lo relativo a las cifras correspondientes de periodos anteriores y el auditor ha decidido hacerlo.
- Los responsables de la supervisión de los estados financieros son distintos de los responsables de la preparación de los estados financieros.
- Además de la auditoría de los estados financieros, el auditor tiene otras responsabilidades de información impuestas por la legislación local.
INFORME DE AUDITORÍA EMITIDO POR UN AUDITOR INDEPENDIENTE
A los accionistas de la Sociedad ABC [o al destinatario que corresponda]
Informe sobre la auditoría de los estados financieros(2)
Opinión
Hemos auditado los estados financieros de la sociedad ABC (la Sociedad), que comprenden el estado de situación financiera a 31 de diciembre de 20X1, el estado del resultado global, el estado de cambios en el patrimonio neto y el estado de flujos de efectivo correspondientes al ejercicio terminado en dicha fecha, así como las notas explicativas de los estados financieros que incluyen un resumen de las políticas contables significativas.
En nuestra opinión, los estados financieros adjuntos presentan fielmente, en todos los aspectos materiales, (o expresan la imagen fiel de) la situación financiera de la Sociedad a 31 de diciembre de 20X1, así como (de) sus resultados y flujos de efectivo correspondientes al ejercicio terminado en dicha fecha, de conformidad con las Normas Internacionales de Información Financiera (NIIF).
Fundamento de la opinión
Hemos llevado a cabo nuestra auditoría de conformidad con las Normas Internacionales de Auditoría (NIA). Nuestras responsabilidades de acuerdo con dichas normas se describen más adelante en la sección Responsabilidades del auditor en relación con la auditoría de los estados financieros de nuestro informe. Somos independientes de la Sociedad de conformidad con los requerimientos de ética aplicables a nuestra auditoría de los estados financieros en {jurisdicción] y hemos cumplido las demás responsabilidades de ética de conformidad con esos requerimientos. Consideramos que la evidencia de auditoría que hemos obtenido proporciona una base suficiente y adecuada para nuestra opinión.
Párrafo de énfasis(3)
Llamamos la atención sobre la Nota X de los estados financieros, que describe los efectos de un incendio en las instalaciones de producción de la Sociedad. Nuestra opinión no ha sido modificada en relación con esta cuestión.
Cuestiones clave de la auditoría
Las cuestiones clave de la auditoría son aquellas cuestiones que, según nuestro juicio profesional, han sido de la mayor significatividad en nuestra auditoría de los estados financieros del periodo actual. Estas cuestiones han sido tratadas en el contexto de nuestra auditoría de los estados financieros en su conjunto y en la formación de nuestra opinión sobre estos, y no expresamos una opinión por separado sobre esas cuestiones.
[Descripción de cada cuestión clave de la auditoría de conformidad con la NÍA 701]
Otra cuestión
Los estados financieros de la sociedad ABC correspondientes al ejercicio terminado a 31 de diciembre de 20X0 fueron auditados por otro auditor que expresó una opinión no modificada (favorable) sobre dichos estados financieros el 31 de marzo de 20X1.
Responsabilidades de la dirección y de los responsables del gobierno de la entidad en relación con los estados financieros(4)
[Informe de conformidad con la NIA 700 (Revisada) - véase Ejemplo 1 de la NIA 700 (Revisada).]
Responsabilidades del auditor en relación con la auditoría de los estados financieros
[Informe de conformidad con la NIA 700 (Revisada) - véase Ejemplo 1 de la NIA 700 (Revisada).]
Informe sobre otros requerimientos legales y reglamentarios
[Informe de conformidad con la NIA 700 (Revisada) - véase Ejemplo 1 de la NIA 700 (Revisada).]
El socio del encargo de la auditoría que origina este informe de auditoría emitido por un auditor independiente es [nombre].
[Firma en nombre de la firma de auditoría, en nombre propio o en nombre de ambos, según proceda en la jurisdicción de que se trate]
[Dirección del auditor]
[Fecha]
NOTAS AL FINAL:
1. NIA 600, Consideraciones especiales - Auditorias de estados financieros de grupos (incluido el trabajo de los auditores de los componentes)
2. El subtítulo "Informe sobre la auditoria de los estados financieros" no es necesario en aquellas circunstancias en las que no sea procedente el segundo subtitulo, "Informe sobre otros requerimientos legales y reglamentarios"
3. Como se indica en el apartado A16, un párrafo de énfasis se puede presentar bien justo antes o después de la sección "Cuestiones clave de la auditoría" basándose en el juicio del auditor con respecto a la significatividad relativa de la información que se incluye en el párrafo de énfasis.
4. En estos ejemplos de informes de auditoría, es posible que los términos dirección y responsables del gobierno de la entidad tengan que ser sustituidos por otro término que sea adecuado en el contexto del marco legal de la jurisdicción de que se trate.
Anexo 4
(Ref: Apartado A8)
Ejemplo de un informe de auditoría con una opinión con salvedades debido al incumplimiento del marco de información financiera aplicable y que contiene un párrafo de énfasis
Este ejemplo de informe de auditoría está basado en que concurren las siguientes
Circunstancias:
- Auditoría de un conjunto completo de estados financieros de una entidad que no es una entidad cotizada preparados de conformidad con un marco de imagen fiel. La auditoría no es una auditoría de un grupo (es decir, no es aplicable la NIA 600).
- Los estados financieros han sido preparados por la dirección de la entidad de conformidad con las NIIF (un marco de información con fines generales).
- Los términos del encargo de auditoría reflejan la descripción de la responsabilidad de la dirección que recoge la NIA 210, en relación con los estados financieros.
- El incumplimiento del marco de información financiera aplicable ha dado lugar a una opinión con salvedades.
- Los requerimientos de ética que son de aplicación a la auditoría son los de la jurisdicción.
- Basándose en la evidencia de auditoría obtenida, el auditor ha concluido que no existe una incertidumbre material relacionada con hechos o con condiciones que puedan generar dudas significativas sobre la capacidad de la entidad para continuar como empresa en funcionamiento de conformidad con la NIA 570 (Revisada).
- Entre la fecha de los estados financieros y la fecha del informe de auditoría se ha producido un incendio en las instalaciones de producción de la entidad que ha sido revelado como un hecho posterior al cierre. A juicio del auditor, la cuestión es tan importante que resulta fundamental para que los usuarios comprendan los estados financieros. La cuestión no ha requerido atención significativa del auditor en la auditoría de los estados financieros del periodo actual.
- El auditor no está obligado a comunicar las cuestiones clave de la auditoría de conformidad con la NIA 701 y ha decidido no hacerlo por algún otro motivo.
- Los responsables de la supervisión de los estados financieros son distintos de los responsables de la preparación de los estados financieros.
- Además de la auditoria de los estados financieros, el auditor tiene otras responsabilidades de información impuestas por la legislación local.
INFORME DE AUDITORIA EMITIDO POR UN AUDITOR INDEPENDIENTE
A los accionistas de la Sociedad ABC [o al destinatario que corresponda]
Informe sobre la auditoría de los estados financieros(1)
Opinión con salvedades
Hemos auditado los estados financieros de la sociedad ABC (la Sociedad), que comprenden el estado de situación financiera a 31 de diciembre de 20X1, el estado del resultado global, el estado de cambios en el patrimonio neto y el estado de flujos de efectivo correspondientes al ejercicio terminado en dicha fecha, así como las notas explicativas de los estados financieros que incluyen un resumen de las políticas contables significativas.
En nuestra opinión, excepto por los efectos de la cuestión descrita en la sección Fundamento de la opinión con salvedades de nuestro informe, los estados financieros adjuntos presentan fielmente, en todos los aspectos materiales, (o expresan la imagen fiel de) la situación financiera de la Sociedad a 31 de diciembre de 20X1, así como (de) sus resultados y flujos de efectivo correspondientes al ejercicio terminado en dicha fecha, de conformidad con las Normas Internacionales de Información Financiera (NIIF).
Fundamento de la opinión con salvedades
Los valores negociables a corto plazo de la Sociedad están valorados en el estado de situación financiera en xxx. La dirección no ha actualizado estos valores a valor de mercado sino que, en su lugar, los ha registrado al coste, lo que constituye un incumplimiento de las NIIF. Los registros de la Sociedad indican que, si la dirección hubiera actualizado los valores negociables a valor de mercado, la Sociedad habría reconocido unas pérdidas no realizadas de xxx en el estado del resultado global del ejercicio. El valor registrado de los valores negociables en el estado de situación financiera se habría reducido por el mismo importe a 31 de diciembre de 20X1, y el impuesto sobre beneficios, el resultado neto y el patrimonio neto se habrían reducido en xxx, xxx, y xxx, respectivamente.
Hemos llevado a cabo nuestra auditoría de conformidad con las Normas Internacionales de Auditoría (NIA). Nuestras responsabilidades de acuerdo con dichas normas se describen más adelante en la sección Responsabilidades del auditor en relación con la auditoría de los estados financieros de nuestro informe. Somos independientes de la Sociedad de conformidad con los requerimientos de ética aplicables a nuestra auditoría de los estados financieros en {jurisdicción] y hemos cumplido las demás responsabilidades de ética de conformidad con esos requerimientos. Consideramos que la evidencia de auditoría que hemos obtenido proporciona una base suficiente y adecuada para nuestra opinión con salvedades.
Párrafo de énfasis - Efectos de un incendio
Llamamos la atención sobre la Nota X de los estados financieros, que describe los efectos de un incendio en las instalaciones de producción de la Sociedad. Nuestra opinión no ha sido modificada en relación con esta cuestión.
Responsabilidades de la dirección y de los responsables del gobierno de la entidad en relación con los estados financieros(2)
[Informe de conformidad con la NIA 700 (Revisada) - véase Ejemplo 1 de la NIA 700 (Revisada).]
Responsabilidades del auditor en relación con la auditoría de los estados
Financieros
[Informe de conformidad con la NIA 700 (Revisada) – véase Ejemplo 1 de la NIA 700 (Revisada).].
[Informe de conformidad con la NIA 700 (Revisada) – véase Ejemplo 1 de la NIA 700 (Revisada).]
[Firma en nombre de la firma de auditoría, en nombre propio o en nombre de ambos, según proceda en la jurisdicción de que se trate]
[Dirección del auditor]
[Fecha]
NOTAS AL FINAL:
1. U otro termino adecuado según el marco legal de la jurisdicción de que se trate
2. El subtítulo "Informe sobre la auditoria de los estados financieros" no es necesario en aquellas circunstancias en las que no sea procedente el segundo subtitulo, "Informe sobre otros requerimientos legales y reglamentarios"
NORMA INTERNACIONAL DE AUDITORIA 570 (REVISADA)
EMPRESA EN FUNCIONAMIENTO
(APLICABLE A LAS AUDITORÍAS DE ESTADOS FINANCIEROS CORRESPONDIENTES A PERIODOS TERMINADOS A PARTIR DEL 15 DE
DICIEMBRE DE 2016)
CONTENIDO
Introducción
Alcance de esta NIA
Principio contable de empresa en funcionamiento
Responsabilidad de la valoración de la capacidad de la entidad para continuar como empresa en funcionamiento
Fecha de entrada en vigor
Objetivos
Requerimientos
Procedimientos de valoración del riesgo y actividades relacionadas
Evaluación de la valoración realizada por la dirección
Periodo posterior al de valoración por la dirección
Procedimientos de auditoría adicionales cuando se identifican hechos o condiciones
Conclusiones del auditor
Implicaciones para el informe de auditoría
Comunicación con los responsables del gobierno de la entidad
Retraso significativo en la aprobación de los estados financieros
Guía de aplicación y otras anotaciones explicativas Alcance de esta NIA
Principio contable de empresa en funcionamiento
Procedimientos de valoración del riesgo y actividades relacionadas
Evaluación de la valoración realizada por la dirección
Periodo posterior al de valoración por la dirección
Procedimientos de auditoría adicionales cuando se identifican hechos o condiciones
Conclusiones del auditor
Implicaciones para el informe de auditoría
Anexo: Ejemplos de informes de auditoría en relación con la Empresa en funcionamiento
La Norma Internacional de Auditoria (NIA) 570 (Revisada), Empresa en funcionamiento, debe interpretarse conjuntamente con la NIA 200, Objetivos globales del auditor independiente y realización de la auditoria de conformidad con la Normas Internacionales de Auditoria
Introducción
Alcance de esta NIA
1. Esta Norma internacional de Auditoría (NIA) trata de las responsabilidades que tiene el auditor, en la auditoría de estados financieros, en relación con la Empresa en funcionamiento y las implicaciones para el informe de auditoría. (Ref: Apartado A1)
Principio contable de empresa en funcionamiento
2. Cuando se aplica el principio contable de empresa en funcionamiento, los estados financieros se preparan bajo la hipótesis de que la entidad es una empresa en funcionamiento y de que continuará sus operaciones en el futuro previsible. Los estados financieros con fines generales se preparan utilizando el principio contable de empresa en funcionamiento, salvo que la dirección tenga la intención de liquidar la entidad o cesar en sus operaciones, o bien no exista otra alternativa realista. Los estados financieros con fines específicos pueden prepararse, o no, de conformidad con un marco de información financiera en el que el principio contable de empresa en funcionamiento sea aplicable (por ejemplo, en determinadas jurisdicciones el principio contable de empresa en funcionamiento no es aplicable en el caso de algunos estados financieros elaborados con criterios fiscales). Cuando la utilización del principio contable de empresa en funcionamiento resulta adecuada, los activos y pasivos se registran partiendo de la base de que la entidad será capaz de realizar sus activos y de liquidar sus pasivos en el curso normal de los negocios. (Ref: Apartado A2)
Responsabilidad de la valoración de la capacidad de la entidad para continuar como empresa en funcionamiento
3. Algunos marcos de información financiera contienen un requerimiento explícito de que la dirección realice una valoración específica de la capacidad de la entidad para continuar como empresa en funcionamiento, así como normas relativas a las cuestiones que deben considerarse y a la información que debe revelarse en relación con la Empresa en funcionamiento. Por ejemplo, la Norma internacional de Contabilidad (NIC) 1 requiere que la dirección realice una evaluación de la capacidad que tiene la entidad para continuar como empresa en funcionamiento(1). Los requerimientos detallados relativos a la responsabilidad de la dirección de valorar la capacidad de la entidad para continuar como empresa en funcionamiento y la correspondiente información que se debe revelar en los estados financieros también pueden establecerse en las disposiciones legales o reglamentarias.
4. En otros marcos de información financiera pueden no existir requerimientos explícitos de que la dirección realice una valoración específica de la capacidad de la entidad para continuar como empresa en funcionamiento. Sin embargo, cuando el principio contable de empresa en funcionamiento es un principio fundamental para la preparación de los estados financieros, como se señala en el apartado 2, la preparación de los estados financieros requiere que la dirección valore la capacidad de la entidad para continuar como empresa en funcionamiento, aun en el caso de que el marco de información financiera no contenga un requerimiento específico en este sentido.
5. La valoración por parte de la dirección de la capacidad de la entidad para continuar como empresa en funcionamiento implica la formulación de un juicio, en un determinado momento, sobre los resultados futuros, inciertos por naturaleza, de hechos o de condiciones. Para la formulación de dicho juicio son relevantes los siguientes factores:
- El grado de incertidumbre asociado al resultado de un hecho o de una condición aumenta significativamente cuanto más alejado en el futuro se sitúe el hecho, la condición o el resultado. Por este motivo, la mayoría de los marcos de información financiera que requieren una valoración explícita por parte de la dirección especifican el periodo respecto del cual la dirección debe tener en cuenta toda la información disponible.
- La dimensión y complejidad de la entidad, la naturaleza y las condiciones de su negocio, así como el grado en que los factores externos inciden en ella, afectan al juicio relativo a los resultados de los hechos o de las condiciones.
- Cualquier juicio sobre el futuro se basa en la información disponible en el momento en que el juicio se formula. Los hechos posteriores al cierre pueden dar lugar a resultados incongruentes con los juicios que eran razonables en el momento en que se formularon.
Responsabilidades del auditor
6. Son responsabilidades del auditor obtener evidencia de auditoría suficiente y adecuada y concluir sobre lo adecuado de la utilización, por parte de la dirección, del principio contable de empresa en funcionamiento para la preparación de los estados financieros, así como concluir, sobre la base de la evidencia de auditoría obtenida, si existe alguna incertidumbre material con respecto a la capacidad de la entidad para continuar como empresa en funcionamiento. Estas responsabilidades existen aún en el caso de que el marco de información financiera utilizado para la preparación de los estados financieros no contenga un requerimiento explícito de que la dirección realice una valoración específica de la capacidad de la entidad para continuar como empresa en funcionamiento.
7. Sin embargo, como se señala en la NIA 200(2), los posibles efectos de las limitaciones inherentes sobre la capacidad del auditor para detectar incorrecciones materiales son mayores con respecto a hechos o condiciones futuros que puedan dar lugar a que una entidad deje de ser una empresa en funcionamiento. El auditor no puede predecir dichos hechos o condiciones futuros. Por consiguiente, el hecho de que el informe de auditoría no haga referencia a una incertidumbre material con respecto a capacidad de la entidad para continuar como empresa en funcionamiento no puede considerarse garantía de la capacidad de la entidad para continuar como empresa en funcionamiento.
Fecha de entrada en vigor
8. Esta NIA es aplicable a las auditorías de estados financieros correspondientes a periodos terminados a partir del 15 de diciembre de 2016.
Objetivos
9 Los objetivos del auditor son:
(a) obtener evidencia de auditoría suficiente y adecuada y concluir sobre lo adecuado de la utilización por parte de la dirección del principio contable de empresa en funcionamiento para la preparación de los estados financieros;
(b) concluir, sobre la base de la evidencia de auditoría obtenida, si existe o no una incertidumbre material relacionada con hechos o con condiciones que pueden generar dudas significativas sobre la capacidad de la entidad para continuar como empresa en funcionamiento, y
(c) informar de conformidad con esta NIA.
Requerimientos
Procedimientos de valoración del riesgo y actividades relacionadas
10. Al aplicar los procedimientos de valoración del riesgo de conformidad con la NIA 315 (Revisada(3), el auditor tendrá en cuenta si existen hechos o condiciones que puedan generar dudas significativas sobre la capacidad de la entidad para continuar como empresa en funcionamiento. Al hacerlo, el auditor determinará si la dirección ha realizado una valoración preliminar de la capacidad de la entidad para continuar como empresa en funcionamiento y: (Ref: Apartados A3-A6)
(a) si se ha realizado dicha valoración, el auditor la discutirá con la dirección y determinará si esta ha identificado hechos o condiciones que, individual o conjuntamente, puedan generar dudas significativas sobre la capacidad de la entidad para continuar como empresa en funcionamiento, en cuyo caso, averiguará los planes de la dirección para hacer frente a dichos hechos y condiciones; o
(b) si todavía no se ha realizado dicha valoración, el auditor discutirá con la dirección el fundamento de la utilización prevista del principio contable de empresa en funcionamiento e indagará ante la dirección sobre la existencia de hechos o condiciones que, individual o conjuntamente, puedan generar dudas significativas sobre la capacidad de la entidad para continuar como empresa en funcionamiento.
11.El auditor mantendrá, durante la auditoría, una especial atención ante posible evidencia de auditoría relativa a hechos o condiciones que puedan generar dudas significativas sobre la capacidad de la entidad para continuar como empresa en funcionamiento. (Ref: Apartado A7)
Evaluación de la valoración realizada por la dirección
12. El auditor evaluará la valoración realizada por la dirección de la capacidad de la entidad para continuar como empresa en funcionamiento. (Ref: Apartados A8-A10, A12-A13)
13. Para evaluar la valoración realizada por la dirección de la capacidad de la entidad para continuar como empresa en funcionamiento, el auditor cubrirá el mismo periodo que el utilizado por la dirección para realizar su valoración, de conformidad con el marco de información financiera aplicable o con las disposiciones legales o reglamentarias, si estas especifican un periodo más amplio. Si la valoración realizada por la dirección de la capacidad de la entidad para continuar como empresa en funcionamiento cubre un periodo inferior a doce meses desde la fecha de los estados financieros, tal como se define en la NIA 560(4), el auditor solicitará a la dirección que amplíe su periodo de valoración al menos a 12 meses desde dicha fecha. (Ref: Apartados A11-A13)
14. Para evaluar la valoración realizada por la dirección, el auditor tendrá en cuenta si dicha valoración incluye toda la información relevante de la que el auditor tenga conocimiento como resultado de la auditoría.
Periodo posterior al de valoración por la dirección
15. El auditor indagará ante la dirección sobre su conocimiento de hechos o condiciones posteriores al periodo utilizado por la dirección en su valoración que puedan generar dudas significativas sobre la capacidad de la entidad para continuar como empresa en funcionamiento. (Ref: Apartados A14-A15)
Procedimientos de auditoría adicionales cuando se identifican hechos o condiciones
16. Si se han identificado hechos o condiciones que pueden generar dudas significativas sobre la capacidad de la entidad para continuar como empresa en funcionamiento, el auditor obtendrá evidencia de auditoría suficiente y adecuada para determinar si existe o no una incertidumbre material relacionada con hechos o condiciones que pueden generar dudas significativas sobre la capacidad de la entidad para continuar como empresa en funcionamiento (en adelante "incertidumbre material") mediante la aplicación de procedimientos de auditoría adicionales y teniendo en cuenta los factores mitigantes. Dichos procedimientos incluirán: (Ref: Apartado A16)
(a) Cuando la dirección no haya realizado una valoración de la capacidad de la entidad para continuar como empresa en funcionamiento, la solicitud a la dirección de la realización de dicha valoración.
(b) La evaluación de los planes de la dirección en cuanto a actuaciones futuras relacionadas con su valoración relativa a la Empresa en funcionamiento, a si es probable que el resultado de dichos planes mejore la situación y a si los planes de la dirección son factibles teniendo en cuenta las circunstancias. (Ref: Apartado A17)
(c) Cuando la entidad haya preparado un pronóstico de flujos de efectivo y el análisis de dicho pronóstico sea un factor significativo a la hora de tener en cuenta el resultado futuro de hechos o de condiciones en la evaluación de los planes de la dirección con respecto a actuaciones futuras: (Ref: Apartados A18-A19)
(i) la evaluación de la fiabilidad de los datos subyacentes generados para preparar el pronóstico; y
(ii) la determinación de si las hipótesis en las que se basa el pronóstico están adecuadamente fundamentadas.
(d) La consideración de la disponibilidad de cualquier hecho o información adicional desde la fecha en la que la dirección hizo su valoración.
(e) La solicitud de manifestaciones escritas a la dirección y, cuando proceda, a los
responsables del gobierno de la entidad, en relación con sus planes de actuaciones futuras y con la viabilidad de dichos planes. (Ref: Apartado A20)
Conclusiones del auditor
17. El auditor evaluará si se ha obtenido evidencia de auditoría suficiente y adecuada y concluirá sobre lo adecuado de la utilización, por parte de la dirección, del principio contable de empresa en funcionamiento para la preparación de los estados financieros.
18. Basándose en la evidencia de auditoría obtenida, el auditor concluirá si, a su juicio, existe una incertidumbre material relacionada con hechos o condiciones que, individual o conjuntamente, pueden generar dudas significativas sobre la capacidad de la entidad para continuar como empresa en funcionamiento. Existe una incertidumbre material cuando la magnitud de su impacto potencial y la probabilidad de que ocurra son tales que, a juicio de auditor, es necesaria una adecuada revelación de información sobre la naturaleza y las implicaciones de la incertidumbre para: (Ref: Apartados A21-A22)
(a) la presentación fiel de los estados financieros, en el caso de un marco de información financiera de imagen fiel o
(b) que los estados financieros no induzcan a error, en el caso de un marco de cumplimiento
Información revelada adecuadamente cuando se han identificado hechos o condiciones y existe una incertidumbre material
19. Si el auditor concluye que la utilización, por parte de la dirección, del principio contable de empresa en funcionamiento es adecuado, teniendo en cuenta las circunstancias, pese a la existencia de una incertidumbre material, determinará si los estados financieros: (Ref: Apartados A22-A23)
(a) revelan adecuadamente los principales hechos o condiciones que pueden generar dudas significativas sobre la capacidad de la entidad para continuar como empresa en funcionamiento y los planes de la dirección para afrontar dichos hechos o dichas condiciones; y
(b) revelan claramente que existe una incertidumbre material relacionada con hechos o condiciones que pueden generar dudas significativas sobre la capacidad de la entidad para continuar como empresa en funcionamiento y que, por tanto, aquella puede no ser capaz de realizar los activos y liquidar los pasivos en el curso normal de los negocios.
Información revelada adecuadamente cuando se han identificado hechos o condiciones pero no existe una incertidumbre material
20. Si se han identificado hechos o condiciones que pueden generar dudas significativas sobre la capacidad de la entidad para continuar como empresa en funcionamiento pero, sobre la base de la evidencia de auditoría obtenida el auditor concluye que no existe una incertidumbre material, este evaluará si, teniendo en cuenta los requerimientos del marco de información financiera aplicable, los estados financieros revelan la información adecuada sobre dichos hechos o condiciones. (Ref: Apartados A24-A25)
Implicaciones para el informe de auditoría
Utilización inadecuada del principio contable de empresa en funcionamiento
21. Si los estados financieros se han preparado utilizando el principio contable de empresa en funcionamiento, pero, a juicio del auditor, la utilización por parte de la dirección de dicho principio contable no es adecuada para la preparación de los estados financieros, el auditor expresará una opinión desfavorable (adversa). (Ref: Apartados A26-A27)
Utilización adecuada del principio contable de empresa en funcionamiento, pese a la existencia de una incertidumbre material
Se revela adecuadamente la existencia de una incertidumbre material en los estados financieros
22. Si se revela adecuadamente la incertidumbre material en los estados financieros, el auditor expresará una opinión no modificada y el informe de auditoría incluirá una sección separada con el subtítulo "Incertidumbre material relacionada con la Empresa en funcionamiento" para: (Ref: Apartados A28-A31, A34)
(a) llamar la atención sobre la nota explicativa de los estados financieros que revela lo señalado en el apartado 19 y
(b) manifestar que dichos hechos o condiciones indican que existe una incertidumbre material que puede generar dudas significativas sobre la capacidad de la entidad para continuar como empresa en funcionamiento y que el auditor no expresa una opinión modificada en relación con la cuestión.
No se revela adecuadamente la existencia de una incertidumbre material en los estados financieros
23. Si la información revelada acerca de la incertidumbre material en los estados financieros no es adecuada, el auditor: (Ref: Apartados A32-A34)
(a) expresará una opinión con salvedades o una opinión desfavorable (adversa), de conformidad con la NIA 705 (Revisada)(5) y,
(b) en la sección "Fundamento de la opinión con salvedades" o "Fundamento de la opinión desfavorable (adversa)" del informe de auditoría, indicará que existe una incertidumbre material que puede generar dudas significativas sobre la capacidad de la entidad para continuar como empresa en funcionamiento y que los estados financieros no revelan adecuadamente esta cuestión.
Falta de disposición de la dirección para realizar o ampliar su valoración
24. Si la dirección no está dispuesta a realizar o ampliar su valoración cuando el auditor se lo solicite, este tendrá en cuenta las implicaciones de este hecho para el informe de auditoría.
(Ref: Apartado A35)
Comunicación con los responsables del gobierno de la entidad
25. Salvo que todos los responsables del gobierno de la entidad participen en la dirección de la entidad(6), el auditor se comunicara con ellos acerca de los hechos o las condiciones identificados que pueden generar dudas significativas sobre la capacidad de la entidad para continuar como empresa en funcionamiento. Dicha comunicación con los responsables del gobierno de la entidad se referirá, entre otras cosas, a lo siguiente:
(a) si los hechos o las condiciones constituyen una incertidumbre material;
(b) si es adecuada la utilización, por la dirección, del principio contable de empresa en funcionamiento para la preparación de los estados financieros;
(c) si es adecuada la correspondiente información revelada en los estados financieros y,
(d) en su caso, las implicaciones para el informe de auditoría.
Retraso significativo en la aprobación de los estados financieros
26. Si se produce un retraso significativo en la aprobación de los estados financieros por la dirección o por los responsables del gobierno de la entidad a partir de la fecha de los estados financieros, el auditor indagará sobre los motivos de dicho retraso. Si el auditor considera que el retraso podría estar relacionado con hechos o condiciones relativos a la valoración de la Empresa en funcionamiento, aplicará los procedimientos de auditoría adicionales necesarios, descritos en el apartado 16, y considerará el efecto sobre su conclusión en relación con la existencia de una incertidumbre material, según lo previsto en el apartado 18.
Guía de aplicación y otras anotaciones explicativas
Alcance de esta NIA (Ref: Apartado 1)
A1. La NIA 701(7) trata de la responsabilidad que tiene el auditor de comunicar las cuestiones clave de la auditoría en el informe de auditoría. Dicha NIA reconoce que, cuando es de aplicación, las cuestiones relacionadas con la Empresa en funcionamiento se pueden considera cuestiones clave de la auditoría, y explica que una incertidumbre material relacionada con hechos o condiciones que pueden generar dudas significativas sobre la capacidad de la entidad para continuar como empresa en funcionamiento es, por su propia naturaleza, una cuestión clave de la auditoría.(8)
Principio contable de empresa en funcionamiento (Ref: Apartado 2)
Consideraciones específicas para entidades del sector público
A2. La utilización por la dirección del principio contable de empresa en funcionamiento también es relevante en el caso de las entidades del sector público. Por ejemplo, la Norma Internacional de Contabilidad para el Sector Público (NICSP)1 trata la cuestión de la capacidad de las entidades del sector público para continuar como empresas en funcionamiento(9). En el caso de las entidades del sector público que operan con ánimo de lucro, los riesgos que afectan a la capacidad de continuar como empresa en funcionamiento pueden surgir, aunque no solamente, cuando el apoyo de la Administración puede reducirse o retirarse, o en el caso de privatización. Los hechos o las condiciones que pueden generar dudas significativas sobre la capacidad de una entidad del sector público de continuar como empresa en funcionamiento pueden incluir situaciones en las que la entidad del sector público carezca de financiación para su continuidad, o cuando se adopten decisiones políticas que afecten a los servicios que presta la entidad del sector público.
Procedimientos de valoración del riesgo y actividades relacionadas
Hechos o condiciones que pueden generar dudas significativas sobre la capacidad de la entidad para continuar como empresa en funcionamiento (Ref: Apartado 10)
A3. A continuación se proporcionan ejemplos de hechos o de condiciones que, individual o conjuntamente, pueden generar dudas significativas sobre la capacidad de la entidad para continuar como empresa en funcionamiento. Esta relación no es exhaustiva. Por otra parte, la existencia de uno o más de los elementos de esta relación no siempre significa que exista una incertidumbre que resulta material.
Financieros
- Posición patrimonial neta negativa o capital circulante negativo.
- Préstamos a plazo fijo próximos a su vencimiento sin perspectivas realistas de reembolso o renovación; o dependencia excesiva de préstamos a corto plazo para financiar activos a largo plazo.
- Indicios de retirada de apoyo financiero por los acreedores.
- Flujos de efectivo de explotación negativos en estados financieros históricos o prospectivos.
- Ratios financieros clave desfavorables.
- Pérdidas de explotación sustanciales o deterioro significativo del valor de los activos utilizados para generar flujos de efectivo.
- Atrasos en los pagos de dividendos o suspensión de estos.
- Incapacidad de pagar al vencimiento a los acreedores.
- Incapacidad de cumplir con los términos de los contratos de préstamo.
- Cambio en la forma de pago de las transacciones con proveedores, pasando del pago a crédito al pago al contado.
- Incapacidad de obtener financiación para el desarrollo imprescindible de nuevos productos u otras inversiones esenciales.
Operativos
- Intención de la dirección de liquidar la entidad o de cesar en sus actividades.
- Salida de miembros clave de la dirección, sin sustitución.
- Pérdida de un mercado importante, de uno o varios clientes clave, de una franquicia, de una licencia o de uno o varios proveedores principales.
- Dificultades laborales.
- Escasez de suministros importantes.
- Aparición de un competidor de gran éxito.
Otros
- Incumplimiento de requerimientos de capital o de otros requerimientos legales, como los requerimientos de solvencia o de liquidez en el caso de las instituciones financieras.
- Procedimientos legales o administrativos pendientes contra la entidad que, si prosperasen, podrían dar lugar a reclamaciones que es improbable que la entidad pueda satisfacer.
- Cambios en las disposiciones legales o reglamentarias o en políticas públicas que previsiblemente afectarán negativamente a la entidad.
- Catástrofes sin asegurar o aseguradas insuficientemente cuando se producen.
La significatividad de dichos hechos o condiciones, a menudo, puede verse mitigada por otros factores. Por ejemplo, el efecto de la incapacidad de una entidad para reembolsar su deuda puede verse contrarrestado por los planes de la dirección para mantener flujos de efectivo adecuados por medios alternativos, como, por ejemplo, mediante la enajenación de activos, la renegociación de la devolución de los préstamos o la obtención de capital adicional. De forma similar, la pérdida de un proveedor principal puede mitigarse por la disponibilidad de una fuente alternativa de suministro adecuada.
A4. Los procedimientos de valoración del riesgo requeridos por el apartado 10 ayudan al auditor a determinar si es probable que la utilización por parte de la dirección del principio contable de empresa en funcionamiento sea una cuestión importante, así como su impacto en la planificación de la auditoría. Dichos procedimientos también permiten mantener discusiones más oportunas con la dirección, incluida la discusión sobre los planes de la dirección y sobre la resolución de cualquier problema identificado relativo a la Empresa en funcionamiento.
Consideraciones específicas para entidades de pequeña dimensión (Ref: Apartado 10)
A5. La dimensión de una entidad puede afectar a su capacidad para soportar condiciones adversas. Las entidades de pequeña dimensión pueden ser capaces de reaccionar rápidamente para aprovechar las oportunidades, pero pueden carecer de reservas para sostener sus operaciones.
A6. Entre las condiciones de especial relevancia para las entidades de pequeña dimensión se incluyen el riesgo de que los bancos y otros prestamistas puedan dejar de dar apoyo financiero a la entidad, así como la posible pérdida de un proveedor principal, de un cliente importante, de un empleado clave o del derecho a operar bajo licencia, en régimen de franquicia o al amparo de otro acuerdo legal.
Mantenimiento durante la auditoría de una especial atención ante posible evidencia de auditoría sobre hechos o condiciones (Ref: Apartado 11)
A7. La NIA 315 (Revisada) requiere que el auditor revise su valoración del riesgo y que modifique, en consecuencia, los procedimientos de auditoría posteriores planificados cuando, en el transcurso de la auditoría, se obtenga evidencia de auditoría adicional que afecte a su valoración del riesgo(10). Si se identifican hechos o condiciones que puedan generar dudas significativas sobre la capacidad de la entidad para seguir como empresa en funcionamiento después de que el auditor haya realizado su valoración del riesgo, adicionalmente a la aplicación de los procedimientos descritos en el apartado 16 puede ser necesario revisar la valoración realizada por el auditor de los riesgos de incorrección material. La existencia de dichos hechos o condiciones también puede afectar a la naturaleza, momento de realización y extensión de los procedimientos de auditoría posteriores en respuesta a los riesgos valorados. La NIA 330(11) establece requerimientos y proporciona orientaciones sobre esta cuestión.
Evaluación de la valoración realizada por la dirección
Valoración realizada por la dirección, análisis que la fundamenta y evaluación del auditor (Ref: Apartado 12)
A8. La valoración realizada por la dirección de la capacidad de la entidad para continuar como empresa en funcionamiento es una parte fundamental en el examen que el auditor realiza de la utilización por la dirección del principio contable de empresa en funcionamiento.
A9. No es responsabilidad del auditor suplir la falta de análisis por parte de la dirección. En algunas circunstancias, sin embargo, la falta de un análisis detallado de la dirección para fundamentar su valoración puede no ser un impedimento para que el auditor concluya si la utilización por la dirección del principio contable de empresa en funcionamiento es adecuada en ese caso. Por ejemplo, cuando existe un historial de operaciones rentables y un fácil acceso a recursos financieros, la dirección puede realizar su valoración sin necesidad de realizar un análisis detallado. En este caso, la evaluación por parte del auditor de lo adecuado de la valoración realizada por la dirección puede realizarse sin aplicar procedimientos de evaluación detallados, siempre que los demás procedimientos de auditoría aplicados por el auditor sean suficientes para permitirle concluir si la utilización por la dirección del principio contable de empresa en funcionamiento para la preparación de los estados financieros es adecuada en esas circunstancias.
A10. En otros casos, la evaluación de la valoración realizada por la dirección de la capacidad de la entidad para continuar como empresa en funcionamiento, requerida por el apartado 12, puede incluir una evaluación del proceso seguido por la dirección para realizar su valoración, de las hipótesis sobre las que se ha basado la valoración, así como de los planes de actuación futura de la dirección y de su viabilidad en esas circunstancias.
Periodo de la valoración realizada por la dirección (Ref: Apartado 13)
A11. La mayoría de los marcos de información financiera que requieren una valoración explícita por parte de la dirección, especifican el periodo para el que la dirección debe tener en cuenta toda la información disponible (12).
Consideraciones específicas para entidades de pequeña dimensión (Ref: Apartados 12-13)
A12. En muchos casos, es posible que la dirección de entidades de pequeña dimensión no haya preparado una valoración detallada de la capacidad de la entidad para continuar como empresa en funcionamiento, sino que, en su lugar, pueda basarse en su conocimiento profundo del negocio y en las perspectivas de futuro previstas. Sin embargo, de acuerdo con los requerimientos de esta NIA, es necesario que el auditor evalúe la valoración realizada por la dirección de la capacidad de la entidad para continuar como empresa en funcionamiento. En el caso de entidades de pequeña dimensión, puede ser adecuado discutir con la dirección la financiación a medio y largo plazo de la entidad, siempre y cuando la opinión de la dirección pueda ser corroborada mediante evidencia documental suficiente y no sea incongruente con el conocimiento que el auditor tiene de la entidad. Por lo tanto, el requerimiento del apartado 13 de que el auditor solicite a la dirección que amplíe su valoración puede satisfacerse, por ejemplo, mediante la discusión, la realización de indagaciones y la inspección de documentación de soporte, como, por ejemplo, pedidos recibidos para suministros futuros, evaluados en cuanto a su viabilidad o corroborados de otro modo.
A13. A menudo, la continuidad del apoyo de los propietarios-gerentes es importante para la capacidad de las entidades de pequeña dimensión de continuar como empresas en funcionamiento. Cuando una entidad pequeña se financia, principalmente, por un préstamo del propietario-gerente, puede ser importante que dichos fondos no se retiren. Por ejemplo, la continuidad de una entidad de pequeña dimensión con dificultades financieras puede depender de que el propietario-gerente subordine su préstamo a la entidad a favor de los bancos u otros acreedores, o de que el propietario-gerente avale un préstamo a la entidad proporcionando como garantía sus activos personales. En estas circunstancias, el auditor puede obtener evidencia documental adecuada de la subordinación del préstamo del propietario-gerente o del aval. Cuando una entidad depende de apoyo adicional del propietario-gerente, el auditor puede evaluar la capacidad de aquel de cumplir con las obligaciones derivadas del acuerdo de apoyo. Adicionalmente, el auditor puede solicitar confirmación escrita de los términos y las condiciones establecidas para dicho apoyo, así como de la intención o el compromiso del propietario-gerente.
Periodo posterior al de valoración por la dirección (Ref: Apartado 15)
A14. Tal como el apartado 11 requiere, el auditor mantiene una especial atención ante posibles hechos conocidos, programados o no, o condiciones que surjan con posterioridad al periodo de valoración utilizado por la dirección y que pueden poner en duda lo adecuado de la utilización, por parte de la dirección, del principio contable de empresa en funcionamiento para la preparación de los estados financieros. Teniendo en cuenta que el grado de incertidumbre asociada al resultado de un hecho o de una condición aumenta cuanto mayor es la distancia del hecho o la condición en el futuro, al considerar hechos o condiciones de un futuro lejano, los indicios de problemas relacionados con la Empresa en funcionamiento tienen que ser significativos para que el auditor deba considerar llevar a cabo actuaciones adicionales. Si se identifican dichos hechos o condiciones, puede resultar necesario que el auditor solicite a la dirección que evalúe la significatividad potencial del hecho o de la condición sobre su valoración de la capacidad de la entidad para continuar como empresa en funcionamiento. En dichas circunstancias resultan de aplicación los procedimientos del apartado 16.
A15. Aparte de indagar ante la dirección, el auditor no tiene la responsabilidad de aplicar otros procedimientos de auditoría para identificar hechos o condiciones que puedan generar dudas significativas sobre la capacidad de la entidad para continuar como empresa en funcionamiento con posterioridad al periodo objeto de la valoración de la dirección, el cual, como se indica en el apartado 13, deberá ser de al menos doce meses a contar desde la fecha de los estados financieros.
Procedimientos de auditoría adicionales cuando se identifican hechos o condiciones (Ref: Apartado 16)
A16. Entre los procedimientos de auditoría que son relevantes para el requerimiento del apartado 16 se encuentran los siguientes:
- El análisis y la discusión con la dirección de los pronósticos de flujos de efectivo y de beneficios y otros pronósticos relevantes.
- El análisis y la discusión de los últimos estados financieros intermedios disponibles de la entidad.
- La lectura de los términos de los empréstitos y de los contratos de préstamo, así como la determinación de si alguno de ellos se ha incumplido.
- La lectura de las actas de las reuniones de los accionistas, de los responsables del gobierno de la entidad y de los comités relevantes en busca de referencias a dificultades financieras.
- La indagación ante los asesores jurídicos de la entidad sobre la existencia de litigios y de reclamaciones, así como sobre la razonabilidad de las valoraciones realizadas por la dirección de sus resultados y la estimación de sus repercusiones financieras.
- La confirmación de la existencia, legalidad y exigibilidad de los acuerdos con partes vinculadas y con terceros para proporcionar o mantener apoyo financiero, así como la valoración de la capacidad financiera de dichas partes para proporcionar fondos adicionales.
- La evaluación de los planes de la entidad para atender los pedidos de clientes en suspenso.
- La aplicación de procedimientos de auditoría en relación con hechos posteriores al cierre para identificar los que reducen la capacidad de la entidad para continuar como empresa en funcionamiento o, de otro modo, afectan a dicha capacidad.
- La confirmación de la existencia, de los términos y de lo adecuado de las facilidades de crédito.
- La obtención y revisión de informes de actuaciones de las autoridades reguladoras.
- La determinación de lo adecuado del fundamento de cualquier enajenación de activos planificada.
Evaluación de los planes de actuaciones futuras de la dirección (Ref: Apartado 16(b))
A17. La evaluación de los planes de acciones futuras de la dirección puede incluir la indagación ante la dirección sobre sus planes de actuaciones futuras; por ejemplo, sus planes de liquidar activos, de tomar dinero prestado o de renegociar la deuda, de reducir o de posponer gastos, o de aumentar capital.
Periodo de la valoración realizada por la dirección (Ref: Apartado 16(c))
A18. Adicionalmente a los procedimientos que el apartado 16(c) requiere, el auditor puede comparar:
- la información financiera prospectiva relativa a periodos anteriores recientes con los resultados históricos; y
- la información financiera prospectiva relativa al periodo actual con los resultados obtenidos hasta la fecha.
A19. Cuando las hipótesis de la dirección comporten un apoyo continuado de terceros, ya sea a través de la subordinación de préstamos, de compromisos de mantener o de proporcionar financiación adicional, o de garantías, y dicho apoyo sea importante para la capacidad de la entidad para continuar como empresa en funcionamiento, el auditor puede considerar la necesidad de solicitar confirmación escrita (incluidos los términos y las condiciones) de dichos terceros y obtener evidencia de su capacidad para proporcionar dicho apoyo.
Manifestaciones escritas (Ref: Apartado 16(e))
A20. El auditor puede considerar adecuado obtener manifestaciones escritas específicas más allá de las que se requieren en el apartado 16 para fundamentar la evidencia de auditoría obtenida en relación con los planes de la dirección en cuanto a actuaciones futuras relacionadas con su valoración relativa a la Empresa en funcionamiento y con la viabilidad de dichos planes.
Conclusiones del auditor
Incertidumbre material relacionada con hechos o condiciones que pueden generar dudas significativas sobre la capacidad de la entidad para continuar como empresa en funcionamiento (Ref: Apartados 18-19)
A21. La expresión “incertidumbre material” se emplea en la NIC 1 al tratar las incertidumbres relacionadas con hechos o condiciones que pueden generar dudas significativas sobre la capacidad de la entidad para continuar como empresa en funcionamiento y que deberían revelarse en los estados financieros. En algunos otros marcos de información financiera, la expresión “incertidumbre significativa” se emplea en circunstancias similares.
Información revelada adecuadamente cuando se han identificado hechos o condiciones y existe una incertidumbre material
A22. El apartado18 explica que existe una incertidumbre material cuando la magnitud del impacto potencial de los hechos o condiciones y la probabilidad de que ocurra son tales que es necesaria una adecuada revelación para lograr la presentación fiel (en el caso de marcos de imagen fiel) o para que los estados financieros no induzcan a error (en el caso de marcos de cumplimiento). El apartado 18 requiere que el auditor concluya si existe una incertidumbre material independientemente de si el marco de información financiera aplicable define la incertidumbre material y del modo en el que se define.
A23. El apartado 19 requiere que el auditor determine si la información revelada en los estados financieros trata las cuestiones expuestas en dicho apartado. El auditor ha de realizar esta determinación además de determinar si la información revelada sobre una incertidumbre material requerida por el marco de información financiera aplicable es adecuada. La información a revelar requerida por algunos marcos de información financiera que es adicional a las cuestiones expuestas en el apartado 19 puede incluir revelaciones sobre:
- la evaluación realizada por la dirección de la significatividad de los hechos o condiciones relacionados con la capacidad de la entidad para cumplir con sus obligaciones o
- los juicios significativos formulados por la dirección en su valoración de la capacidad de la entidad para continuar como empresa en funcionamiento.
Algunos marcos de información financiera pueden proporcionar orientaciones adicionales con respecto a la toma en consideración por la dirección de la magnitud del impacto potencial de los principales hechos o condiciones y de la probabilidad y momento de su ocurrencia.
Información revelada adecuadamente cuando se han identificado hechos o condiciones pero no existe una incertidumbre material (Ref: Apartado 20)
A24. Incluso cuando no existe una incertidumbre material, el apartado 20 requiere que el auditor evalúe, teniendo en cuenta los requerimientos del marco de información financiera aplicable, si los estados financieros revelan de manera adecuada los hechos o condiciones que pueden generar dudas significativas sobre la capacidad de la entidad para continuar como empresa en funcionamiento. Algunos marcos de información financiera pueden tratar la información a revelar acerca de:
- los principales hechos o condiciones;
- la evaluación realizada por la dirección de la significatividad de dichos hechos o condiciones relacionados con la capacidad de la entidad para cumplir con sus obligaciones;
- los planes de la dirección para mitigar el efecto de dichos hechos o condiciones o
- los juicios significativos formulados por la dirección en su valoración de la capacidad de la entidad para continuar como empresa en funcionamiento.
A25. Cuando los estados financieros se preparen de conformidad con un marco de imagen fiel, la evaluación por el auditor de si los estados financieros logran la presentación fiel incluye tener en cuenta la presentación global, la estructura y el contenido de los estados financieros y si los estados financieros, así como sus notas explicativas, representan las transacciones y hechos subyacentes de un modo que logren la presentación fiel.(13) Según los hechos y circunstancias, el auditor puede determinar que es necesario revelar información adicional para lograr la presentación fiel. Este puede ser el caso, por ejemplo, cuando se han identificado hechos o condiciones que pueden generar dudas significativas sobre la capacidad de la entidad para continuar como empresa en funcionamiento pero, sobre la base de la evidencia de auditoría obtenida, el auditor concluye que no existe una incertidumbre material y el marco de información financiera aplicable no requiere explícitamente que se revele información en relación con esas circunstancias.
Implicaciones para el informe de auditoría
Uso inadecuado del principio contable de empresa en funcionamiento (Ref: Apartado 21)
A26. Si los estados financieros se han preparado utilizando el principio contable de empresa en funcionamiento, pero, a juicio del auditor, la utilización por parte de la dirección de dicho principio contable no es adecuada, será aplicable el requerimiento del apartado 21 que establece que el auditor exprese una opinión desfavorable (adversa), con independencia de que los estados financieros revelen o no la utilización inadecuada por parte de la dirección del principio contable de empresa en funcionamiento.
A27. Cuando la utilización por parte de la dirección del principio contable de empresa en funcionamiento no es adecuada teniendo en cuenta las circunstancias, se podrá requerir a la dirección, o esta podrá elegir, preparar los estados financieros utilizando otro principio (por ejemplo, el principio de liquidación). El auditor puede realizar una auditoría de dichos estados financieros siempre que determine que el principio alternativo es aceptable en esas circunstancias. El auditor puede expresar una opinión no modificada sobre dichos estados financieros, siempre que la información revelada acerca del principio contable que se ha utilizado para preparar los estados financieros sea adecuada, si bien puede considerar apropiado o necesario incluir un párrafo de énfasis en el informe de auditoría de conformidad con la NIA 706 (Revisada)(14) para llamar la atención del usuario sobre el principio alternativo y sobre los motivos de su utilización.
Utilización adecuada del principio contable de empresa en funcionamiento, pese a la existencia de una incertidumbre material (Ref: Apartados 22-23)
A28. El hecho de que se haya identificado una incertidumbre material es una cuestión importante para que los usuarios comprendan los estados financieros. La utilización de una sección separada con un título que se refiera al hecho de que existe una incertidumbre material relativa a la Empresa en funcionamiento alerta a los usuarios sobre esta circunstancia.
A29. En el Anexo de esta NIA se pueden ver ejemplos de las declaraciones que se deben incluir en el informe de auditoría sobre los estados financieros cuando el marco de información financiera aplicable son las Normas Internacionales de Información Financiera (NIIF). Si se utiliza un marco de información financiera distinto de las NIIF, es posible que resulte necesario adaptar los ejemplos de declaraciones incluidos en el Anexo de esta NIA para reflejar la aplicación de otro marco de información financiera en ese caso concreto.
A30. En el apartado 22 se establece la información mínima que se debe presentar en el informe de auditoría en cada una de las circunstancias que se describen. El auditor puede proporcionar información adicional para complementar las declaraciones requeridas, por ejemplo para explicar:
- que la existencia de una incertidumbre material es fundamental para que los usuarios comprendan los estados financieros(15) o
- el modo en que se ha tratado la cuestión en la auditoría. (Ref: Apartado A1)
Se revela adecuadamente en los estados financieros la existencia de una incertidumbre material (Ref: Apartado 22)
A31. El ejemplo 1 del Anexo de esta NIA es una ilustración de un informe de auditoría cuando el auditor ha obtenido evidencia suficiente y adecuada con respecto a lo adecuado de la utilización por la dirección del principio contable de empresa en funcionamiento, pese a la existencia de una incertidumbre material y se revela adecuadamente en los estados financieros. El Anexo de la NIA 700 (Revisada) también incluye ejemplos de redacción de la descripción que se debe incluir en relación con la Empresa en funcionamiento en el informe de auditoría de todas las entidades, de las responsabilidades respectivas de los responsables de los estados financieros y del auditor en relación con la Empresa en funcionamiento
No se revela adecuadamente en los estados financieros la existencia de una incertidumbre material (Ref: Apartado 23)
A32. Los ejemplos 2 y 3 del Anexo de esta NIA muestran informes de auditoría con una opinión con salvedades y con una opinión desfavorable (adversa), respectivamente, cuando el auditor ha obtenido evidencia suficiente y adecuada con respecto a lo adecuado de la utilización, por la dirección, del principio contable de empresa en funcionamiento, pero no se revela adecuadamente en los estados financieros la existencia de una incertidumbre material.
A33. En una situación en la que existan varias incertidumbres que sean significativas para los estados financieros en su conjunto, el auditor puede considerar adecuado, en casos extremadamente poco frecuentes, denegar la opinión (abstenerse de opinar) en lugar de incluir las declaraciones requeridas por el apartado 22. La NIA 705 (Revisada) proporciona orientaciones sobre esta cuestión(16).
Comunicación con reguladores (Ref: Apartados 22..23)
A34. Cuando el auditor de una entidad regulada considera que puede ser necesario incluir una referencia a cuestiones de Empresa en funcionamiento en el informe de auditoría, puede ocurrir que el auditor esté obligado a comunicarse con las pertinentes autoridades reguladoras, de vigilancia o supervisoras.
Falta de disposición de la dirección para realizar o ampliar su valoración (Ref: Apartado 24)
A35. En determinadas circunstancias, el auditor puede considerar necesario solicitar a la dirección que realice o amplíe su valoración. Si la dirección no está dispuesta a hacerlo, puede ser adecuada una opinión con salvedades o la denegación (abstención) de opinión en el informe de auditoría, debido a que puede no ser posible que el auditor obtenga evidencia de auditoría suficiente y adecuada sobre la utilización, por la dirección, del principio contable de empresa en funcionamiento para la preparación de los estados financieros, tal como la referente a la existencia de planes elaborados por la dirección o a la existencia de otros factores mitigantes.
NOTAS AL FINAL:
1. NIC 1, Presentación de estados financieros, apartados 25-26
2. NIA 200, Objetivos globales del auditor independiente y realización de la auditoria de conformidad con las Normas Internacionales de Auditoría, apartados A51-A52
3. NIA 315 (Revisada), Identificación y valoración de los riesgos de incorrección material mediante el conocimiento de la entidad y de su entorno, apartado 5.
4. NIA 560, Hechos posteriores al cierre, apartado 5(a).
5. NIA 705 (Revisada), Opinión modificada en el informe de auditoría emitido por un auditor independiente.
6. NIA 260 (Revisada), Comunicación con los responsables del gobierno de la entidad, apartado 13.
7. NIA 701, Comunicación de las cuestiones clave de la auditoría en el informe de auditoría emitido por un auditor independiente.
8. Véanse los apartados 15 y A41 de la NIA 701.
9. NICSP 1, Presentación de estados financieros, apartados 38-41.
10. NIA 315 (Revisado), apartado valorados
11. NIA 330, Respuestas del auditor a los riesgos valorados
12. Por ejemplo, la NIC 1 lo define como un periodo que deberia ser al menos de, pero sin tener que limitarse a, doce meses desde el cierre del ejercicio.
13. NIA 700, Formación de la opinión y emisión del informe de auditoría sobre los estados financieros, apartado 14.
14. NIA 706 (Revisada), Párrafos de énfasis y párrafos sobre otras cuestiones en el informe de auditoría emitido por un auditor independiente.
15. NIA 706 (Revisada), apartado A2.
16. NIA 705 (Revisada), apartado 10.
Anexo
(Ref: Apartados A29, A31-A32)
Ejemplos de informes de auditoría en relación con la Empresa en funcionamiento.
- Ejemplo 1: Informe de auditoría con una opinión no modificada (favorable) cuando el auditor ha concluido que existe una incertidumbre material y que se revela adecuadamente en los estados financieros.
- Ejemplo 2: Informe de auditoría con una opinión con salvedades cuando el auditor ha concluido que existe una incertidumbre material y que los estados financieros contienen una incorreción material porque no se revela adecuadamente.
- Ejemplo 3: Informe de auditoría con una opinión desfavorable (adversa) cuando el auditor ha concluido que existe una incertidumbre material y que los estados financieros omiten la información a revelar requerida en relación con una incertidumbre material
Ejemplo 1 - Informe de auditoría con una opinión no modificada (favorable) cuando existe una incertidumbre material y se revela adecuadamente en los estados financieros.
Este ejemplo de informe de auditoría está basado en que concurren las siguientes
circunstancias:
- Auditoría de un conjunto completo de estados financieros de una entidad cotizada preparados de conformidad con un marco de imagen fiel. La auditoría no es una auditoría de un grupo (es decir, no es aplicable la NIA 600(1)).
- Los estados financieros han sido preparados por la dirección de la entidad de conformidad con las NIIF (un marco de información con fines generales).
- Los términos del encargo de auditoría reflejan la descripción de la responsabilidad de la dirección que recoge la NIA 210, en relación con los estados financieros.(2)
- El auditor ha concluido que es adecuada una opinión no modificada (es decir, favorable o "limpia") sobre la base de la evidencia de auditoría obtenida.
- Los requerimientos de ética que son de aplicación a la auditoría son los de la jurisdicción.
- Basándose en la evidencia de auditoría obtenida, el auditor ha concluido que existe una incertidumbre material relacionada con hechos o con condiciones que puedan generar dudas significativas sobre la capacidad de la entidad para continuar como empresa en funcionamiento. La información revelada en los estados financieros sobre la incertidumbre material es adecuada.
- Se han comunicado las cuestiones clave de la auditoría de conformidad con la NIA 701.
- Los responsables de la supervisión de los estados financieros son distintos de los responsables de la preparación de los estados financieros.
- Además de la auditoría de los estados financieros, el auditor tiene otras responsabilidades de información impuestas por la legislación local.
INFORME DE AUDITORIA EMITIDO POR UN AUDITOR INDEPENDIENTE
A los accionistas de la Sociedad ABC [o al destinatario que corresponda]
Informe sobre la auditoría de los estados financieros(3)
Opinión
Hemos auditado los estados financieros de la sociedad ABC (la Sociedad), que comprenden el estado de situación financiera a 31 de diciembre de 20X1, el estado del resultado global, el estado de cambios en el patrimonio neto y el estado de flujos de efectivo correspondientes al ejercicio terminado en dicha fecha, así como las notas explicativas de los estados financieros que incluyen un resumen de las políticas contables significativas.
En nuestra opinión, los estados financieros adjuntos presentan fielmente, en todos los aspectos materiales, (o expresan la imagen fiel de) la situación financiera de la Sociedad a 31 de diciembre de 20X1, así como (dé) sus resultados y flujos de efectivo correspondientes al ejercicio terminado en dicha fecha, de conformidad con las Normas Internacionales de Información Financiera (NIIF).
Fundamento de la opinión
Hemos llevado a cabo nuestra auditoría de conformidad con las Normas Internacionales de Auditoría (NIA). Nuestras responsabilidades de acuerdo con dichas normas se describen más adelante en la sección Responsabilidades del auditor en relación con la auditoría de los estados financieros de nuestro informe. Somos independientes de la Sociedad de conformidad con los requerimientos de ética aplicables a nuestra auditoría de los estados financieros en [jurisdicción] y hemos cumplido las demás responsabilidades de ética de conformidad con esos requerimientos. Consideramos que la evidencia de auditoría que hemos obtenido proporciona una base suficiente y adecuada para nuestra opinión.
Incertidumbre material relacionada con la Empresa en funcionamiento
Llamamos la atención sobre la Nota 6 de los estados financieros que indica que la Sociedad ha incurrido en pérdidas netas de 777 durante el ejercicio terminado el 31 diciembre de 20X1 y que, a esa fecha, el pasivo corriente de la Sociedad excedía a sus activos totales en YYY. Como se menciona en la Nota 6, estos hechos o condiciones, junto con otras cuestiones expuestas en la Nota 6, indican la existencia de una incertidumbre material que puede generar dudas significativas sobre la capacidad de la Sociedad para continuar como empresa en funcionamiento. Nuestra opinión no ha sido modificada en relación con esta cuestión.
Cuestiones clave de la auditoría
Las cuestiones clave de la auditoría son aquellas cuestiones que, según nuestro juicio profesional, han sido de la mayor significatividad en nuestra auditoría de los estados financieros del periodo actual. Estas cuestiones han sido tratadas en el contexto de nuestra auditoría de los estados financieros en su conjunto y en la formación de nuestra opinión sobre estos, y no expresamos una opinión por separado sobre esas cuestiones. Además de la cuestión descrita en la sección Incertidumbre material relacionada con la Empresa en funcionamiento, hemos determinado que las cuestiones que se describen a continuación son las cuestiones clave de la auditoría que se deben comunicar en nuestro informe.
[Descripción de cada cuestión clave de la auditoría de conformidad con la NIA 701]
Responsabilidades de la dirección y de los responsables del gobierno de la entidad en relación con los estados financieros (4)
[Informe de conformidad con la NIA 700 (Revisada) - véase Ejemplo 1 de la NIA 700 (Revisada]
Responsabilidades del auditor en relación con la auditoría de los estados financieros
[Informe de conformidad con la NIA 700 (Revisada) - véase Ejemplo 1 de la NIA 700 (Revisada).(5)]
Informe sobre otros requerimientos legales y reglamentarios
[Informe de conformidad con la NIA 700 (Revisada) - véase Ejemplo 1 de la NIA 700 (Revisada).]
El socio del encargo de la auditoría que origina este informe de auditoría emitido por un auditor independiente es [nombre].
[Firma en nombre de la firma de auditoría, en nombre propio o en nombre de ambos, según proceda en la jurisdicción de que se trate]
[Dirección del auditor]
[Fecha]
Ejemplo 2 - Opinión con salvedades cuando existe una incertidumbre material y los estados financieros contienen una incorrección material porque no se revela
Adecuadamente.
Este ejemplo de informe de auditoría está basado en que concurren las siguientes
Circunstancias:
- Auditoría de un conjunto completo de estados financieros de una entidad cotizada preparados de conformidad con un marco de imagen fiel. La auditoría no es una auditoría de un grupo (es decir, no es aplicable la NIA 600).
- Los estados financieros han sido preparados por la dirección de la entidad de conformidad con las NIIF (un marco de información con fines generales).
- Los términos del encargo de auditoría reflejan la descripción de la responsabilidad de la dirección que recoge la NIA 210, en relación con los estados financieros.
- Los requerimientos de ética que son de aplicación a la auditoría son los de la jurisdicción.
- Basándose en la evidencia de auditoría obtenida, el auditor ha concluido que existe una incertidumbre material relacionada con hechos o con condiciones que puedan generar dudas significativas sobre la capacidad de la entidad para continuar como empresa en funcionamiento. En la Nota y de los estados financieros se explica la magnitud de los acuerdos de financiación, el vencimiento y el importe total de la financiación; sin embargo, los estados financieros no incluyen un análisis del impacto o de la disponibilidad de refinanciación ni califican esta situación como una incertidumbre material.
- Los estados financieros contienen incorrecciones materiales debido a la revelación inadecuada de la incertidumbre material. Se expresa una opinión con salvedades porque el auditor ha concluido que los efectos sobre los estados financieros de esta revelación inadecuada son materiales pero no generalizados en los estados financieros.
- Se han comunicado las cuestiones clave de la auditoría de conformidad con la NIA 701.
- Los responsables de la supervisión de los estados financieros son distintos de los responsables de la preparación de los estados financieros.
- Además de la auditoría de los estados financieros, el auditor tiene otras responsabilidades de información impuestas por la legislación local.
INFORME DE AUDITORIA EMITIDO POR UN AUDITOR INDEPENDIENTE
A los accionistas de la Sociedad ABC [o al destinatario que corresponda]
Informe sobre la auditoría de los estados financieros (6)
Opinión con salvedades
Hemos auditado los estados financieros de la sociedad ABC (la Sociedad), que comprenden el estado de situación financiera a 31 de diciembre de 20X1, el estado del resultado global, el estado de cambios en el patrimonio neto y el estado de flujos de efectivo correspondientes al ejercicio terminado en dicha fecha, así como las notas explicativas de los estados financieros que incluyen un resumen de las políticas contables significativas.
En nuestra opinión, excepto por la revelación incompleta de la información mencionada en la sección Fundamento de la opinión con salvedades de nuestro informe, los estados financieros adjuntos presentan fielmente, en todos los aspectos materiales, (o expresan la imagen fiel,) la situación financiera de la Sociedad a 31 de diciembre de 20X1, así como (de) sus resultados y flujos de efectivo correspondientes al ejercicio terminado en dicha fecha, de conformidad con las Normas Internacionales de Información Financiera (NIIF).
Fundamento de la opinión con salvedades
Como se explica en la Nota y, los acuerdos financieros de la Sociedad expiran y los importes pendientes han de pagarse el 19 de marzo de 20X2. La Sociedad no ha podido renegociar ni obtener financiación sustitutiva. Esta situación indica que existe una incertidumbre material que puede generar dudas significativas sobre la capacidad de la Sociedad para continuar como empresa en funcionamiento. Los estados financieros no revelan adecuadamente esta cuestión.
Hemos llevado a cabo nuestra auditoría de conformidad con las Normas Internacionales de Auditoría (NIA). Nuestras responsabilidades de acuerdo con dichas normas se describen más adelante en la sección Responsabilidades del auditor en relación con la auditoría de los estados financieros de nuestro informe. Somos independientes de la Sociedad de conformidad con los requerimientos de ética aplicables a nuestra auditoría de los estados financieros en [jurisdicción] y hemos cumplido las demás responsabilidades de ética de conformidad con esos requerimientos. Consideramos que la evidencia de auditoría que hemos obtenido proporciona una base suficiente y adecuada para nuestra opinión con salvedades.
Cuestiones clave de la auditoría
Las cuestiones clave de la auditoría son aquellas cuestiones que, según nuestro juicio profesional, han sido de la mayor significatividad en nuestra auditoría de los estados financieros del periodo actual. Estas cuestiones han sido tratadas en el contexto de nuestra auditoría de los estados financieros en su conjunto y en la formación de nuestra opinión sobre estos, y no expresamos una opinión por separado sobre esas cuestiones. Además de la cuestión descrita en la sección Fundamento de la opinión con salvedades, hemos determinado que las cuestiones que se describen a continuación son las cuestiones clave de la auditoría que se deben comunicar en nuestro informe.
[Descripción de cada cuestión clave de la auditoría de conformidad con la NIA 701]
Responsabilidades de la dirección y de los responsables del gobierno de la entidad en relación con los estados financieros (7)
[Informe de conformidad con la NIA 700 (Revisada) - véase Ejemplo 1 de la NIA 700 (Revisada).(8)]
Responsabilidades del auditor en relación con la auditoría de los estados financieros
[Informe de conformidad con la NIA 700 (Revisada) - véase Ejemplo 1 de la NIA 700 (Revisada).8]
Informe sobre otros requerimientos legales y reglamentarios
[Informe de conformidad con la NIA 700 (Revisada) - véase Ejemplo 1 de la NIA 700 (Revisada).]
El socio del encargo de la auditoría que origina este informe de auditoría emitido por un auditor independiente es [nombre].
[Firma en nombre de la firma de auditoría, en nombre propio o en nombre de ambos, según proceda en la jurisdicción de que se trate]
[Dirección del auditor]
[Fecha]
Ejemplo 3. - Informe de auditoría con una opinión desfavorable (adversa) cuando existe una incertidumbre material y no se revela adecuadamente en los estados financieros.
El ejemplo de informe de auditoría está basado en que concurren las siguientes circunstancias:
- Auditoría de un conjunto completo de estados financieros de una entidad que no es una entidad cotizada preparados de conformidad con un marco de imagen fiel. La auditoría no es una auditoría de un grupo (es decir, no es aplicable la NIA 600).
- Los estados financieros han sido preparados por la dirección de la entidad de conformidad con las NIIF (un marco de información con fines generales).
- Los términos del encargo de auditoría reflejan la descripción de la responsabilidad de la dirección que recoge la NIA 210, en relación con los estados financieros.
- Los requerimientos de ética que son de aplicación a la auditoría son los de la jurisdicción.
- Basándose en la evidencia de auditoría obtenida, el auditor ha concluido que existe una incertidumbre material relacionada con hechos o con condiciones que puedan generar dudas significativas sobre la capacidad de la entidad para continuar como empresa en funcionamiento, y la Sociedad está planteándose la posibilidad de solicitar el concurso de acreedores. Los estados financieros no revelan la información requerida en relación con la incertidumbre material. Se expresa una opinión desfavorable (adversa) debido a que los efectos sobre los estados financieros de dicha omisión son materiales y generalizados.
- El auditor no está obligado a comunicar las cuestiones clave de la auditoría de conformidad con la NIA 701 y ha decidido no hacerlo por algún otro motivo.
- Los responsables de la supervisión de los estados financieros son distintos de los responsables de la preparación de los estados financieros.
- Además de la auditoría de los estados financieros, el auditor tiene otras responsabilidades de información impuestas por la legislación local.
INFORME DE AUDITORÍA EMITIDO POR UN AUDITOR INDEPENDIENTE
A los accionistas de la Sociedad ABC [o al destinatario que corresponda]
Informe sobre la auditoría de los estados financieros(9)
Opinión desfavorable (adversa)
Hemos auditado los estados financieros de la sociedad ABC (la Sociedad), que comprenden el estado de situación financiera a 31 de diciembre de 20X1, el estado del resultado global, el estado de cambios en el patrimonio neto y el estado de flujos de efectivo correspondientes al ejercicio terminado en dicha fecha, así como las notas explicativas de los estados financieros que incluyen un resumen de las políticas contables significativas.
En nuestra opinión, debido a la omisión de la información mencionada en la sección Fundamento de la opinión desfavorable (adversa) de nuestro informe, los estados financieros adjuntos no presentan fielmente, en todos los aspectos materiales, (o no expresan la imagen fiel de ) la situación financiera de la Sociedad a 31 de diciembre de 20X1, ni (de) sus resultados y flujos de efectivo correspondientes al ejercicio terminado en dicha fecha, de conformidad con las Normas Internacionales de Información Financiera (NIIF).
Fundamento de la opinión desfavorable (adversa)
Los acuerdos de financiación de la Sociedad expiraron y los importes pendientes deberían haberse pagado el 31 de diciembre de 20X1. La Sociedad no ha podido renegociar ni obtener financiación sustitutiva y está planteándose la posibilidad de solicitar el concurso de acreedores. Esta situación indica que existe una incertidumbre material que puede generar dudas significativas sobre la capacidad de la Sociedad para continuar como empresa en funcionamiento. Los estados financieros no revelan adecuadamente este hecho.
Hemos llevado a cabo nuestra auditoría de conformidad con las Normas Internacionales de Auditoría (NIA). Nuestras responsabilidades de acuerdo con dichas normas se describen más adelante en la sección Responsabilidades del auditor en relación con la auditoría de los estados financieros de nuestro informe. Somos independientes de la Sociedad de conformidad con los requerimientos de ética aplicables a nuestra auditoría de los estados financieros en [jurisdicción] y hemos cumplido las responsabilidades de ética de conformidad con esos requerimientos. Consideramos que la evidencia de auditoría que hemos obtenido proporciona una base suficiente y adecuada para nuestra opinión desfavorable (adversa).
Responsabilidades de la dirección y de los responsables del gobierno de la entidad en relación con los estados financieros(10)
[Informe de conformidad con la NIA 700 (Revisada) - véase Ejemplo 1 de la NIA 700 (Revisada).](11) ]
Responsabilidades del auditor en relación con la auditoría de los estados financieros
[Informe de conformidad con la NIA 700 (Revisada) - véase Ejemplo 1 de la NIA 700 (Revisada).11]
Informe sobre otros requerimientos legales y reglamentarios
[Informe de conformidad con la NIA 700 (Revisada) - véase Ejemplo 1 de la NIA 700 (Revisada).]
[Firma en nombre de la firma de auditoría, en nombre propio o en nombre de ambos, según proceda en la jurisdicción de que se trate]
[Dirección del auditor]
[Fecha]
NOTAS AL FINAL:
1. NIA 600, Consideraciones especiales – Auditorías de estados financieros de grupos (incluido el trabajo de los auditores de los componentes)
2. NIA 210, Acuerdo de los términos del encargo de auditoría.
3. El subtítulo "Informe sobre la auditoria de los estados financieros" no es necesario en aquellas circunstancias en las que no sea procedente el segundo subtitulo, "Informe sobre otros requerimientos legales y reglamentarios"
4. En estos ejemplos de informes de auditoría, es posible que los términos dirección y responsables del gobierno de la entidad tengan que ser sustituidos por otro término que sea adecuado en el contexto del marco legal de la jurisdicción de que se trate.
5. Los apartados 33 y 38 de la NIA 700 (Revisada) requieren que se incluya texto en el informe de auditoría acerca de todas las entidades en relación con la Empresa en funcionamiento para describir las responsabilidades respectivas de los responsables de los estados financieros y del auditor en relación con esta cuestión.
6. El subtítulo "Informe sobre la auditoria de los estados financieros" no es necesario en aquellas circunstancias en las que no sea procedente el segundo subtitulo, "Informe sobre otros requerimientos legales y reglamentarios"
7. U otro término adecuado según el marco legal de la jurisdicción de que se trate.
8. Los apartados 33 y 38 de la NIA 700 (Revisada) requieren que se incluya texto en el informe de auditoría acerca de todas las entidades en relación con la Empresa en funcionamiento para describir las responsabilidades respectivas de los responsables de los estados financieros y del auditor en relación con esta cuestión.
9. El subtítulo “Informe sobre la auditoría de los estados financieros" no es necesario en aquellas circunstancias en las que no sea procedente el segundo subtítulo, “Informe sobre otros requerimientos legales y reglamentarios".
10. U otro término adecuado según el marco legal de la jurisdicción de que se trate.
11. Los apartados 33 y 38 de la NIA 700 (Revisada) requieren que se incluya texto en el informe de auditoría acerca de todas las entidades en relación con la Empresa en funcionamiento para describir las responsabilidades respectivas de los responsables de los estados financieros y del auditor en relación con esta cuestión.
NORMA INTERNACIONAL DE AUDITORÍA 260 (REVISADA)
COMUNICACIÓN CON LOS RESPONSABLES DEL GOBIERNO DE
LA ENTIDAD
(Aplicable a las auditorías de estados financieros correspondientes a periodos terminados a partir del 15 de diciembre de 2016)
CONTENIDO
Introducción
Alcance de esta NIA
La función de la comunicación
Fecha de entrada en vigor
Objetivos
Definiciones
Requerimientos
Responsables del gobierno de la entidad
Cuestiones que deben comunicarse
El proceso de comunicación
Documentación
Guía de aplicación y otras anotaciones explicativas
Responsables del gobierno de la entidad
Cuestiones que deben comunicarse
El proceso de comunicación
Documentación
Anexo 1: Requerimientos específicos en la NICC 1 y en otras NIA que se refieren a la comunicación con los responsables del gobierno de la entidad
Anexo 2: Aspectos cualitativos de las prácticas contables
La Norma Internacional de Auditoría (NIA) 260 (Revisada), Comunicación con los responsables del gobierno de la entidad, debe interpretarse conjuntamente con la NIA 200, Objetivos globales del auditor independiente y realización de la auditoría de conformidad con las Normas Internacionales de Auditoría.
Introducción
Alcance de esta NIA
1. Esta Norma Internacional de Auditoría (NIA) trata de la responsabilidad que tiene el auditor de comunicarse con los responsables del gobierno de la entidad en una auditoría de estados financieros. Aunque la presente NIA se aplica con independencia de la dimensión o estructura de gobierno de la entidad, su aplicación presenta particularidades cuando todos los responsables del gobierno de la entidad participan en su dirección, y en el caso de entidades cotizadas. Esta NIA no establece requerimientos relativos a la comunicación del auditor con la dirección de una entidad o con sus propietarios a menos que sean a la vez responsables del gobierno de la entidad.
2. El ámbito de aplicación de esta NIA es la auditoría de estados financieros, pero también puede aplicarse, adaptada en la medida en que las circunstancias lo requieran, a las auditorías de otra información financiera histórica, cuando los responsables del gobierno de la entidad sean los responsables de supervisar la preparación de dicha información financiera histórica.
3. Dada la importancia de la existencia de una comunicación recíproca eficaz durante la realización de una auditoría de estados financieros, esta NIA proporciona un marco general para la comunicación del auditor con los responsables del gobierno de la entidad e identifica algunos asuntos específicos que deberán ser objeto de comunicación. En otras NIA (véase el anexo 1) se enumeran otras cuestiones adicionales que deberán ser objeto de comunicación y que complementan los requerimientos de la presente NIA. Asimismo, la NIA 265(1) establece requerimientos específicos relativos a la comunicación a los responsables del gobierno de la entidad de aquellas deficiencias significativas en el control interno que el auditor haya identificado durante la realización de la auditoría. Adicionalmente, la comunicación de otras cuestiones no previstas en esta o en otras NIA puede venir exigida por las disposiciones legales o reglamentarias, por acuerdos celebrados con la entidad o por otros requerimientos que resulten de aplicación al encargo, como, por ejemplo, normas emitidas por una organización profesional nacional de contabilidad. Esta NIA no impide al auditor comunicar cualquier otro asunto a los responsables del gobierno de la entidad. (Ref: Apartados A33-A36)
La función de la comunicación
4. Esta NIA se centra principalmente en las comunicaciones del auditor a los responsables del gobierno de la entidad. Sin embargo, una comunicación recíproca eficaz es importante para facilitar:
(a) al auditor y a los responsables del gobierno de la entidad la comprensión de los asuntos relacionados con la auditoría en su contexto, y el desarrollo de una relación de trabajo constructiva. Esta relación debe desarrollarse manteniendo la independencia y objetividad del auditor;
(b) al auditor, la obtención de los responsables del gobierno de la entidad de la información necesaria para la realización de la auditoría. Por ejemplo, los responsables del gobierno de la entidad pueden facilitar al auditor el conocimiento de la entidad y su entorno, y la identificación de las fuentes adecuadas de evidencia de auditoría, así como proporcionarle información sobre transacciones o hechos específicos; y
(c) a los responsables del gobierno de la entidad el cumplimiento de su responsabilidad de supervisar el proceso de información financiera, reduciendo así los riesgos de incorrección material en los estados financieros.
5. Aunque la comunicación de las cuestiones requeridas en la presente NIA es responsabilidad del auditor, la dirección también es responsable de comunicar a los responsables del gobierno.. de la entidad los asuntos que puedan ser relevantes para dicho gobierno. La comunicación a realizar por el auditor no exime a la dirección de cumplir con esta responsabilidad. De igual modo, la comunicación por la dirección con los responsables del gobierno de la entidad acerca de asuntos que el auditor debe comunicar no exime a éste de cumplir con su responsabilidad de comunicarlos también. Sin embargo, la comunicación de estos asuntos por la dirección puede afectar a la forma o al momento de realización de la comunicación del auditor con los responsables del gobierno de la entidad.
6. La comunicación clara de los asuntos específicos sobre los que debe informarse según las NIA es parte integrante de toda auditoría. Sin embargo, las NIA no obligan al auditor a aplicar procedimientos específicamente diseñados para identificar cualquier otro asunto a comunicar con los responsables del gobierno de la entidad
7. Las disposiciones legales o reglamentarias pueden limitar al auditor la comunicación de determinadas cuestiones con los responsables del gobierno de la entidad. Por ejemplo, dichas disposiciones pueden prohibir de forma expresa una comunicación u otra actuación que pueda perjudicar a la investigación de un acto ilegal o presuntamente ilegal llevada a cabo por la autoridad competente. En algunas circunstancias, los conflictos potenciales entre el deber de confidencialidad del auditor y las obligaciones de comunicación pueden ser complejos. En tales casos, el auditor puede contemplar la posibilidad de obtener asesoramiento jurídico.
Fecha de entrada en vigor
8. Esta NIA es aplicable a las auditorías de estados financieros correspondientes a periodos terminados a partir del 15 de diciembre de 2016.
Objetivos
9. Los objetivos del auditor son:
(a) la comunicación clara con los responsables del gobierno de la entidad acerca de las responsabilidades del auditor en relación con la auditoría de estados financieros, así como una descripción general del alcance y del momento de realización de la auditoría planificados;
(b) la obtención de los responsables del gobierno de la entidad de la información necesaria para la auditoría:
(c) la comunicación oportuna con los responsables del gobierno de la entidad acerca de los hechos observados que sean significativos y relevantes en relación con su responsabilidad de supervisión del proceso de información financiera; y
(d) el fomento de una comunicación eficaz recíproca entre el auditor y los responsables del gobierno de la entidad.
Definiciones
10. A efectos de las NIA, los siguientes términos tienen los significados que figuran a continuación:
(a) Responsables del gobierno de la entidad: persona o personas u organizaciones (por ejemplo, una sociedad que actúa como administrador fiduciario) con responsabilidad en la supervisión de la dirección estratégica de la entidad y con obligaciones relacionadas con la rendición de cuentas de la entidad. Ello incluye la supervisión del proceso de información financiera. En algunas entidades de determinadas jurisdicciones, los responsables del gobierno de la entidad pueden incluir miembros de la dirección, por ejemplo los miembros ejecutivos del consejo de administración de una empresa del sector público o privado o un propietario-gerente. Para una mayor explicación sobre las diversas estructuras de gobierno, véanse los apartados A1-A8
(b) Dirección: persona o personas con responsabilidad ejecutiva para dirigir las operaciones de la entidad. En algunas entidades de determinadas jurisdicciones, la dirección incluye a algunos o a todos los responsables del gobierno de la entidad, por ejemplo, los miembros ejecutivos del consejo de administración o un propietario- gerente.
Requerimientos
Responsables del gobierno de la entidad
11. El auditor determinará la persona o personas que, dentro de la estructura de gobierno de la entidad, sean las adecuadas a efectos de realizar sus comunicaciones. (Ref: Apartados A1- A4)
Comunicación con un subgrupo de los responsables del gobierno de la entidad
12. Cuando el auditor se comunique con un subgrupo de los responsables del gobierno de la entidad, como, por ejemplo, con un comité de auditoría, o con una persona, determinará si es necesario comunicarse también con el órgano de gobierno en pleno. (Ref: Apartados A5-A7)
Situación en la que todos los responsables del gobierno de la entidad participan en su dirección
13. En algunos casos, todos los responsables del gobierno de la entidad participan en su dirección, como, por ejemplo, en el caso de una empresa pequeña en la que el único propietario dirige la entidad y nadie más desempeña funciones de gobierno. En estos casos, si las cuestiones previstas en la presente NIA se comunican con el responsable o responsables de la dirección y esas mismas personas ejercen como responsables del gobierno de la entidad, no es necesario comunicarse acerca de dichas cuestiones de nuevo con tales personas en su función de responsables del gobierno. Esas cuestiones se enumeran en el apartado 16(c). No obstante, el auditor se satisfará de que la comunicación con el directivo o directivos sea suficiente para considerar que todos aquellos a los que el auditor debería informar como responsables del gobierno de la entidad han sido informados. (Ref: Apartado A8)
Cuestiones que deben comunicarse
Responsabilidades del auditor en relación con la auditoría de estados financieros
14. El auditor se comunicará con los responsables del gobierno de la entidad acerca de sus responsabilidades en relación con la auditoría de los estados financieros, haciéndoles saber que:
(a) el auditor tiene la responsabilidad de formarse y expresar una opinión sobre los estados financieros preparados por la dirección bajo la supervisión de los responsables del gobierno de la entidad; y
(b) la auditoría de los estados financieros no exime a la dirección ni a los responsables del gobierno de la entidad del cumplimiento de sus responsabilidades. (Ref: Apartados A9-A10)
Alcance y momento de realización de la auditoría planificada
15. El auditor comunicará a los responsables del gobierno de la entidad una descripción general del alcance y del momento de realización de la auditoría planificada, lo cual incluye la comunicación de los riesgos significativos identificados por el auditor. (Ref: Apartados A11-A16)
Hallazgos significativos de la auditoría
16. El auditor se comunicará con los responsables del gobierno de la entidad acerca de las siguientes cuestiones: (Ref: Apartados A17-A18)
(a) la opinión del auditor relativa a los aspectos cualitativos significativos de las prácticas contables de la entidad, incluidas las políticas contables, las estimaciones contables y la información revelada en los estados financieros. Cuando proceda, el auditor explicará a los responsables del gobierno de la entidad los motivos por los que considera que una práctica contable significativa, aceptable en el marco de información financiera aplicable, no es la más adecuada teniendo en cuenta las circunstancias específicas de la entidad; (Ref: Apartados A19-A20)
(b) en su caso, las dificultades significativas encontradas durante la realización de la auditoría; (Ref: Apartado A21)
(c) excepto en el caso en el que todos los responsables del gobierno de la entidad participen en la dirección:
(i) las cuestiones significativas puestas de manifiesto durante la realización de la auditoría que fueron discutidas con la dirección o comunicadas por escrito a esta; y (Ref: Apartado A22)
(ii) las manifestaciones escritas que el auditor solicite;
(d) en su caso, las circunstancias que afectan a la estructura y contenido del informe de auditoría; y (Ref: Apartados A23-A25)
(e) cualquier otra cuestión que haya surgido durante la realización de la auditoría que, según el juicio profesional del auditor, sea relevante para la supervisión del proceso de información financiera. (Ref: Apartados A26-A28)
La independencia del auditor
17. En el caso de entidades cotizadas, será objeto de comunicación del auditor con los responsables del gobierno de la entidad:
(a) una declaración de que el equipo del encargo y, en su caso, otras personas pertenecientes a la firma de auditoría, la propia firma de auditoría y, cuando proceda, otras firmas de la red, han cumplido los requerimientos éticos aplicables en relación con la independencia; y
(i) todas las relaciones y otros asuntos existentes entre la firma de auditoría, las firmas de la red y la entidad que, según el juicio profesional del auditor, puedan afectar a la independencia de este. Ello incluirá los honorarios totales cargados a la entidad y a los componentes que ella controla, durante el periodo cubierto por los estados financieros, por los servicios de auditoría y otros servicios distintos de la auditoría prestados por la firma de auditoría y por otras firmas de la red. Estos honorarios se detallarán por concepto para facilitar a los responsables del gobierno de la entidad la evaluación del efecto de los servicios en la independencia del auditor; y
(ii) las salvaguardas aplicadas para eliminar las amenazas a la independencia identificadas o para reducirlas a un nivel aceptable. (Ref: Apartados A29-A32)
El proceso de comunicación
Establecimiento del proceso de comunicación
18. El auditor se comunicará con los responsables del gobierno de la entidad acerca de la forma, el momento y el contenido general previsto para las comunicaciones. (Ref: Apartados A37- A45)
Formas de comunicación
19. El auditor se comunicará por escrito con los responsables del gobierno de la entidad acerca de los hallazgos significativos de la auditoría cuando, según su juicio profesional, la comunicación verbal no sea adecuada. No es necesario que las comunicaciones escritas incluyan todos los hechos puestos de manifiesto en el transcurso de la auditoría. (Ref: Apartados A46-A48)
20. El auditor se comunicará por escrito con los responsables del gobierno de la entidad acerca de los asuntos relativos a la independencia del auditor cuando así se requiera por el apartado 17.
Momento de realización de las comunicaciones
21. El auditor se comunicará con los responsables del gobierno de la entidad oportunamente. (Ref: Apartados A49-A50)
Adecuación del proceso de comunicación
22. El auditor evaluará si la comunicación recíproca entre él y los responsables del gobierno de la entidad ha sido adecuada para el propósito de la auditoría. Si no lo ha sido, el auditor evaluará el efecto que, en su caso, este hecho haya tenido en la valoración de los riesgos de incorrección material y en su capacidad de obtención de evidencia de auditoría suficiente y adecuada, y adoptará las medidas adecuadas. (Ref: Apartados A51-A53)
Documentación
23. En el caso de que los asuntos que deban ser comunicados en aplicación de esta NIA lo sean verbalmente, el auditor los incluirá en la documentación de auditoría, indicando el momento en el que fueron comunicados y la persona o personas a las que se dirigió dicha comunicación. En el caso de las comunicaciones escritas, el auditor conservará una copia de la comunicación como parte de la documentación de auditoría.(2) (Ref: Apartados A54)
Guía de aplicación y otras anotaciones explicativas
Responsables del gobierno de la entidad (Ref: Apartado 11)
A1. Las estructuras de gobierno varían según la jurisdicción y el tipo de entidad de que se trate, reflejando las diversas influencias existentes, tales como diferentes entornos culturales y normativos, y las características de dimensión y propiedad. Por ejemplo:
- En algunas jurisdicciones existe un consejo de supervisión (total o mayoritariamente no ejecutivo) separado legalmente del consejo ejecutivo (de dirección) (una estructura de "doble consejo"). En otras jurisdicciones, un sólo consejo (una estructura de “consejo único”) tiene la responsabilidad tanto de las funciones de supervisión como de las funciones ejecutivas.
- En algunas entidades, los responsables del gobierno de la entidad ocupan puestos que son parte integrante de la estructura legal de una entidad, como, por ejemplo, puestos de administradores. En otras, por ejemplo en algunas entidades públicas, la labor de gobierno se ejerce por un órgano que no forma parte de la entidad.
- En algunos casos, la totalidad o parte de los responsables del gobierno de la entidad participan en la dirección de la entidad. En otros, los responsables del gobierno de la entidad y la dirección son personas diferentes.
- En algunos casos, los responsables del gobierno de la entidad tienen la responsabilidad de aprobar(3) los estados financieros de la entidad (en otros casos, es la dirección la que tiene esta responsabilidad).
A2. En la mayoría de las entidades, el gobierno es responsabilidad colectiva de un órgano de gobierno, tal como un consejo de administración, un consejo de supervisión, socios, propietarios, un consejo de dirección, un consejo de gobierno, un administrador fiduciario o figuras equivalentes. Sin embargo, en algunas entidades de pequeña dimensión, una sola persona puede ser responsable del gobierno, por ejemplo, el propietario-gerente, al no haber otros propietarios, o un único administrador fiduciario. En el caso de que el gobierno sea responsabilidad colectiva, puede encargarse a un subgrupo, tal como un comité de auditoría, o incluso a una persona, la realización de determinadas tareas para facilitar al órgano de gobierno el cumplimiento de sus responsabilidades. En otros casos, un subgrupo o persona puede tener responsabilidades específicas, fijadas legalmente, diferentes de las del órgano de gobierno.
A3. Tal diversidad implica que no sea posible que en la presente NIA se especifiquen para todas las auditorías la persona o personas con las que el auditor deberá comunicarse acerca de cuestiones específicas. Asimismo, en ocasiones, la persona o personas adecuadas pueden no ser claramente identificables en el marco legal aplicable o debido a otras circunstancias que afecten al encargo, por ejemplo, en entidades en las que la estructura de gobierno no esté formalmente definida, como en el caso de empresas familiares, entidades sin fines de lucro y algunas entidades públicas. En tales casos, puede ser necesario que el auditor estudie y acuerde con la parte contratante la persona o personas adecuadas con las que comunicarse. Para decidir con quién comunicarse, el conocimiento del auditor de la estructura y de los procesos de gobierno de una entidad, obtenido de conformidad con la NIA 315, (Revisada)(4) es relevante. La persona o personas adecuadas con quienes comunicarse pueden variar según la cuestión que deba ser comunicada.
A4. La NIA 600 incluye cuestiones específicas que deben ser objeto de comunicación por los auditores de un grupo con los responsables del gobierno de la entidad(5) Cuando la entidad es un componente de un grupo, la persona o personas adecuadas con quienes se comunica el auditor del componente dependen de las circunstancias del encargo y del asunto a comunicar. En algunos casos, varios componentes pueden desarrollar la misma actividad con un mismo sistema de control interno y utilizando las mismas prácticas contables. Cuando los responsables del gobierno de dichos componentes son los mismos (por ejemplo, el mismo consejo de administración), se pueden evitar duplicidades tratando estos componentes simultáneamente a efectos de comunicación.
Comunicación con un subgrupo de responsables del gobierno de la entidad (Ref: Apartado 12)
A5. Al considerar la posibilidad de comunicarse con un subgrupo de responsables del gobierno de la entidad, el auditor puede tener en cuenta aspectos tales como:
- Las respectivas responsabilidades del subgrupo y del órgano de gobierno.
- La naturaleza de las cuestiones a comunicar.
- Los requerimientos legales o reglamentarios aplicables.
- Si el subgrupo tiene autoridad para actuar en relación con la información comunicada y si puede proporcionar información y explicaciones adicionales que pueda necesitar el auditor.
A6. Para decidir si también es necesario comunicarse con el órgano de gobierno acerca de la información, detalladamente o de forma resumida, el auditor puede tomar en consideración su valoración de hasta qué punto es eficaz y adecuado la comunicación de la información relevante por parte del subgrupo con el órgano de gobierno. Al acordar los términos del encargo, el auditor puede establecer explícitamente que, salvo que disposiciones legales o reglamentarias lo prohíban, el auditor se reserva el derecho de comunicarse directamente con el órgano de gobierno.
A7. Existen comités de auditoría (o subgrupos similares con diferente denominación) en muchas jurisdicciones. Aunque sus competencias y funciones específicas pueden diferir, la comunicación con el comité de auditoría, en el caso de que exista, se ha convertido en un elemento clave en la comunicación del auditor con los responsables del gobierno de la entidad. Los principios de buen gobierno conllevan que:
- El auditor sea invitado a asistir con regularidad a las reuniones del comité de auditoría.
- El presidente del comité de auditoría y, cuando sea relevante, los demás miembros del comité de auditoría, se relacionen periódicamente con el auditor.
- Por lo menos una vez al año, el comité de auditoría se reúna con el auditor sin la presencia de la dirección de la entidad.
Situación en la que todos los responsables del gobierno de la entidad participan en su dirección (Ref: Apartado 13)
A8. En algunos casos, todos los responsables del gobierno de la entidad participan en su dirección y la aplicación de los requerimientos de comunicación se modifica para tener en cuenta esta circunstancia. En estos casos, al comunicarse con uno o más directivos puede ocurrir que el auditor no informe adecuadamente a todos aquellos con los que se debería comunicar como responsables del gobierno. Por ejemplo, en una sociedad en la que todos los administradores participan en la dirección de la entidad, algunos de ellos (por ejemplo, el responsable de marketing) pueden no estar informados de cuestiones significativas discutidas con otro consejero (por ejemplo, el responsable de la preparación de estados financieros).
Cuestiones que deben comunicarse
Las responsabilidades del auditor en relación con la auditoría de los estados financieros (Ref: Apartado 14)
A9. Las responsabilidades del auditor en relación con la auditoría de los estados financieros a menudo se incluyen en la carta de encargo u otra forma adecuada de acuerdo escrito en el que se registran los términos del encargo.(6) Las disposiciones legales, reglamentarias o la estructura de gobierno de la entidad pueden requerir que los responsables del gobierno de la entidad acuerden los términos del encargo con el auditor. Cuando no sea el caso, proporcionar a los responsables del gobierno de la entidad una copia de dicha carta de encargo u otra forma adecuada de acuerdo escrito puede ser una forma apropiada de comunicarse con ellos acerca de cuestiones tales como:
- La responsabilidad del auditor de realizar la auditoría de conformidad con las NIA, siendo su objetivo el de expresar una opinión sobre los estados financieros. Las cuestiones que deberán ser comunicadas según las NIA son, por lo tanto, las cuestiones significativas que se pongan de manifiesto durante la realización de la auditoría de los estados financieros y que sean relevantes para los responsables del gobierno de la entidad al supervisar el proceso de información financiera.
- El hecho de que las NIA no obligan al auditor a diseñar procedimientos con el propósito de identificar cualquier otra cuestión adicional a comunicarse con los responsables del gobierno de la entidad.
- Cuando es aplicable la NIA 701(7), la responsabilidad que tiene el auditor de comunicar las cuestiones clave de la auditoría en el informe de auditoría.
- Cuando proceda, la responsabilidad que tiene el auditor de comunicar otras cuestiones específicas en aplicación de disposiciones legales o reglamentarias, por acuerdo con la entidad o debido a requerimientos adicionales aplicables al encargo, exigidos, por ejemplo, por las normas emitidas por una organización profesional nacional de contabilidad.
A10. Las disposiciones legales o reglamentarias, un acuerdo con la entidad o los requerimientos adicionales aplicables al encargo pueden dar lugar a una comunicación más amplia con los responsables del gobierno de la entidad. Por ejemplo, (a) un acuerdo con la entidad puede establecer que deban ser comunicadas determinadas cuestiones cuando surjan de servicios distintos a la auditoría de estados financieros, prestados por una firma de auditoría o por una firma de la red; o (b) el mandato de un auditor del sector público puede establecer que deban ser comunicadas algunas cuestiones que lleguen a conocimiento del auditor como resultado de otros trabajos, tales como las auditorías de cumplimiento.
Alcance y momento de realización de la auditoría planificada (Ref: Apartado 15)
A11. La comunicación del alcance y el momento de realización de la auditoría planificada pueden:
(a) Facilitar a los responsables del gobierno de la entidad una mejor comprensión de las consecuencias del trabajo del auditor, la discusión con el auditor de los temas relacionados con el riesgo y con el concepto de importancia relativa y la identificación de las áreas en las que pueden solicitar al auditor que desarrolle procedimientos adicionales; y
(b) Facilitar al auditor una mejor comprensión de la entidad y su entorno.
A12. La comunicación de los riesgos significativos identificados por el auditor ayuda a los responsables del gobierno de la entidad a comprender esas cuestiones y el motivo por el que requieren una consideración de auditoría especial. La comunicación acerca de los riesgos significativos puede facilitar a los responsables del gobierno de la entidad el cumplimiento de su responsabilidad de supervisar el proceso de información financiera.
A13. Las cuestiones comunicadas pueden incluir:
- La manera en la que el auditor planifica tratar los riesgos significativos de incorrección material debida a fraude o error.
- La manera en la que el auditor planifica tratar las áreas de mayor riesgo valorado de incorrección material.
- El enfoque del auditor en relación con los controles internos relevantes para la auditoría.
- La aplicación del concepto de importancia relativa en el contexto de una auditoría(8)
- La naturaleza y grado de las habilidades o conocimientos especializados necesarios para aplicar los procedimientos de auditoría planificados o evaluar los resultados de auditoría, así como la utilización de un experto del auditor(9)
- Cuando es aplicable la NIA 701, las ideas preliminares del auditor sobre cuestiones que pueden ser áreas a las que tenga que prestar una atención significativa en la auditoría y que, en consecuencia, pueden ser cuestiones clave de la auditoría.
A14. Otros aspectos relativos a la planificación que puede ser adecuado discutir con los responsables del gobierno de la entidad incluyen:
- En el caso de que la entidad cuente con una función de auditoría interna, el modo en que el auditor externo y los auditores internos pueden trabajar juntos de manera constructiva y complementaria, así como la utilización prevista del trabajo de la función de auditoría interna y la naturaleza y extensión de cualquier utilización prevista de la ayuda directa de los auditores internos(10)
- Las opiniones de los responsables del gobierno de la entidad sobre:
- La persona o personas apropiadas dentro de la estructura de gobierno de la entidad con las que comunicarse.
- El reparto de responsabilidades entre los responsables del gobierno de la entidad y la dirección.
- Los objetivos y estrategias de la entidad, y los riesgos de negocio relacionados que pueden originar incorrecciones materiales.
- Cuestiones que los responsables del gobierno de la entidad consideren que requieren una atención especial durante la realización de la auditoría y cualquier área en la que soliciten que se lleven a cabo procedimientos adicionales.
- Las comunicaciones significativas con las autoridades reguladoras.
- Otras cuestiones que los responsables del gobierno de la entidad consideren que
pueden tener un efecto sobre la auditoría de los estados financieros.
- La actitud, la concienciación y las acciones de los responsables del gobierno de la entidad en relación con: (a) el control interno de la entidad y su importancia para ella, incluido el modo en el que los responsables del gobierno de la entidad supervisan la eficacia del control interno, y (b) la detección o la posibilidad de fraude.
- Las actuaciones de los responsables del gobierno de la entidad en respuesta a la evolución de las normas contables, las prácticas de buen gobierno, las normas del mercado de valores y cuestiones relacionadas.
- Las respuestas de los responsables del gobierno de la entidad a anteriores comunicaciones con el auditor.
A15. Aunque la comunicación con los responsables del gobierno de la entidad pueda facilitar al auditor la planificación del alcance y el momento de realización de la auditoría, no modifica la responsabilidad exclusiva del auditor respecto a la determinación de la estrategia global de auditoría y del plan de auditoría, incluidos la naturaleza, el momento de realización y la extensión de los procedimientos necesarios para obtener evidencia de auditoría suficiente y adecuada.
A16. Al comunicarse con los responsables del gobierno de la entidad acerca del alcance y el momento de realización de la auditoría planificados, es necesario prestar atención para no comprometer la eficacia de la auditoría, especialmente cuando algunos o todos los responsables del gobierno de la entidad participan en su dirección. Por ejemplo, comunicar la naturaleza y el momento de realización de procedimientos de auditoría detallados puede reducir su eficacia al hacerlos demasiado previsibles.
Hallazgos significativos de la auditoría (Ref: Apartado 16)
A17. La comunicación de los hallazgos de la auditoría puede incluir la solicitud de información adicional a los responsables del gobierno de la entidad para completar la evidencia de auditoría obtenida. Por ejemplo, el auditor puede confirmar que los responsables del gobierno de la entidad tienen el mismo parecer sobre hechos o circunstancias referidos a transacciones o acontecimientos específicos.
A18. Cuando es aplicable la NIA 701, las comunicaciones con los responsables del gobierno de la entidad requeridas por el apartado 16, así como la comunicación acerca de los riesgos significativos identificados por el auditor requerida por el apartado 15, son especialmente relevantes en la determinación de las cuestiones que han requerido atención significativa del auditor y que, en consecuencia, pueden ser cuestiones clave de la auditoría.(11)
Aspectos cualitativos significativos de las prácticas contables (Ref: Apartado 16(a))
A19. Los marcos de información financiera normalmente permiten a la entidad realizar estimaciones contables y formular juicios sobre las políticas contables y sobre la información a revelar en los estados financieros, por ejemplo, en relación con la utilización de hipótesis clave en la realización de estimaciones contables sobre las que existe una incertidumbre significativa en la medición. Además, las disposiciones legales o reglamentarias o los marcos de información financiera pueden requerir que se revele un resumen de las políticas contables significativas o que se haga referencia a las "estimaciones contables críticas" o a las "políticas y prácticas contables críticas" para identificar y proporcionar información adicional a los usuarios acerca de los juicios más difíciles, subjetivos o complejos formulados por la dirección en la preparación de los estados financieros.
A20. Como resultado, el punto de vista del auditor sobre los aspectos subjetivos de los estados financieros puede ser especialmente relevante para los responsables del gobierno de la entidad en el cumplimiento de sus responsabilidades de supervisión del proceso de información financiera. Por ejemplo, en relación con las cuestiones descritas en el apartado A19, los responsables del gobierno de la entidad pueden tener interés en la valoración que hace el auditor de la adecuación de la información revelada sobre la incertidumbre en la estimación relacionada con las estimaciones contables que dan lugar a riesgos significativos. Una comunicación abierta y constructiva sobre aspectos cualitativos significativos de las prácticas contables de la entidad también puede incluir comentarios sobre si determinadas prácticas contables significativas son aceptables. En el anexo 2 se enumeran algunas cuestiones que pueden incluirse en dicha comunicación.
Dificultades significativas surgidas durante la realización de la auditoría (Ref: Apartado 16(b))
A21. Las dificultades significativas surgidas durante la realización de la auditoría pueden referirse a situaciones como las siguientes:
- Retrasos significativos de la dirección, la falta de disponibilidad de personal de la entidad o la falta de disposición de la dirección para proporcionar información que necesita el auditor para aplicar sus procedimientos.
- Un plazo excesivamente corto para completar la auditoría.
- La necesidad de tener que realizar un esfuerzo mayor de lo esperado para obtener evidencia de auditoría suficiente y adecuada.
- La falta de disponibilidad de la información que se esperaba obtener.
- Restricciones impuestas al auditor por parte de la dirección.
- La falta de disposición de la dirección para realizar o ampliar su valoración de la capacidad de la entidad para continuar como empresa en funcionamiento, cuando se le solicite.
En algunas circunstancias, este tipo de dificultades puede suponer una limitación al alcance, que implique una opinión modificada.(12)
Cuestiones significativas discutidas con la dirección o que le fueron comunicadas por escrito (Ref: Apartado 16(c)(i))
A22. Las cuestiones significativas discutidas con la dirección o comunicadas por escrito a esta pueden incluir:
- Hechos o transacciones significativos que han tenido lugar durante el ejercicio.
- Las condiciones de negocio que afecten a la entidad y los planes y estrategias de negocio que puedan tener un efecto sobre el riesgo de incorrección material.
- Las consultas realizadas por la dirección a otros auditores sobre cuestiones de contabilidad o de auditoría que sean de interés para el auditor.
- Las discusiones o comunicaciones escritas para el nombramiento del auditor o la renovación del nombramiento, relacionadas con las prácticas contables, la aplicación de normas de auditoría o los honorarios por la auditoría o por otros servicios.
- Las cuestiones significativas sobre las que se produjeron desacuerdos con la dirección, excepto las diferencias de opinión iniciales debidas a hechos o información preliminar incompletos que se resuelven más adelante por el auditor mediante la obtención de hechos o información relevantes adicionales.
Circunstancias que afectan a la estructura y contenido del informe de auditoría (Ref: Apartado16(d))
A23. La NIA 210(13) requiere que el auditor acuerde los términos del encargo de auditoría con la dirección o con los responsables del gobierno de la entidad, según corresponda. Se requiere que los términos del encargo de auditoría se registren en una carta de encargo de auditoría u otra forma adecuada de acuerdo escrito y que incluyan, entre otros, una referencia a la estructura y contenido esperados del informe de auditoría(14) Como se expone en el apartado A9, si no se acuerdan los términos del encargo con los responsables del gobierno de la entidad, el auditor les puede proporcionar una copia de la carta de encargo para comunicar cuestiones relevantes para la auditoría. La comunicación que requiere el apartado 16(d) tiene como finalidad informar a los responsables del gobierno de la entidad de las circunstancias en las que la estructura y contenido del informe de auditoría pueden diferir de lo esperado o puede incluir información adicional acerca de la auditoría que se ha realizado.
A24. Entre las circunstancias en las que el auditor está obligado a incluir información adicional en el informe de auditoría de conformidad con las NIA, o puede considerarlo necesario por algún otro motivo, y en las que se requiere comunicación con los responsables del gobierno de la entidad, están:
- Cuando el auditor tenga previsto expresar una opinión modificada en el informe de auditoría, de conformidad con la NIA 705 (Revisada)(15)
- Cuando el informe de auditoría mencione una incertidumbre material relacionada con la Empresa en funcionamiento de conformidad con la NIA 570 (Revisada)(16)
- Cuando se comuniquen cuestiones clave de la auditoría de conformidad con la NIA 701(17)
- Cuando el auditor considere necesario incluir un párrafo de énfasis o un párrafo sobre otras cuestiones de conformidad con la NIA 706 (Revisada)(18) o está obligado a ello por otras NIA.
En dichas circunstancias, el auditor puede considerar útil proporcionar a los responsables del gobierno de la entidad un borrador del informe de auditoría para facilitar la discusión sobre el modo en que se tratarán esas cuestiones en el informe de auditoría.
A25. En las circunstancias poco frecuentes en las que el auditor tenga la intención de no incluir el nombre del socio del encargo en el informe de auditoría de conformidad con la NIA 700 (Revisada), se requiere que lo discuta con los responsables del gobierno de la entidad con el fin de informarles de la valoración del auditor de la probabilidad y gravedad de una amenaza significativa para la seguridad personal.(19) El auditor también puede comunicar con los responsables del gobierno de la entidad en las circunstancias en las que elige no incluir la descripción de las responsabilidades del auditor en el cuerpo del informe de auditoría tal como la NIA 700 (Revisada) permite(20)
Otras cuestiones significativas relevantes para el proceso de información financiera (Ref: Apartado 16(e))
A26. En la NIA 300(21) se establece que, como consecuencia de hechos inesperados, de cambios en las condiciones o de la evidencia de auditoría obtenida de los resultados de los procedimientos de auditoría, el auditor puede tener que modificar la estrategia global de auditoría y el plan de auditoría y, por ende, la planificación resultante de la naturaleza, el momento de realización y la extensión de los procedimientos de auditoría posteriores, sobre la base de la consideración revisada de los riesgos valorados. El auditor puede comunicarse con los responsables del gobierno de la entidad sobre dichas cuestiones, por ejemplo, como una actualización de las discusiones iniciales acerca del alcance y momento de realización de la auditoría planificada.
A27. Otras cuestiones significativas puestas de manifiesto en la realización de la auditoría, directamente relacionadas con la supervisión del proceso de información financiera por parte de los responsables del gobierno de la entidad, pueden incluir cuestiones tales como incorrecciones materiales en la descripción de un hecho o incongruencias que resulten materiales en la información que acompaña a los estados financieros auditados que hayan sido corregidas.
A28. Aunque no haya sido tratado en los requerimientos de los apartados 16(a)-(d) y en la correspondiente guía de aplicación, el auditor puede considerar comunicar sobre otras cuestiones discutidas o consideradas por el revisor de control de calidad del encargo cuando este se haya nombrado, de conformidad con la NIA 220.(22)
La independencia del auditor (Ref: Apartado 17)
A29. El auditor está obligado a cumplir los requerimientos éticos aplicables, incluidos los relativos a la independencia, en relación con los encargos de auditoría de estados financieros.(23)
A30. Las relaciones y otros asuntos, así como las salvaguardas que deben comunicarse, varían según las circunstancias del encargo y, generalmente, comprenden lo siguiente:
(a) las amenazas a la independencia, que pueden clasificarse como amenazas de interés propio, de autor revisión, de abogacía, de familiaridad y de intimidación; y
(b) las salvaguardas establecidas por la profesión o por disposiciones legales o reglamentarias, las salvaguardas existentes dentro de la propia entidad, así como las salvaguardas establecidas en los propios sistemas y procedimientos de la firma de auditoría.
A31. Los requerimientos de ética aplicables o las disposiciones legales o reglamentarias también pueden establecer comunicaciones específicas con los responsables del gobierno de la entidad en circunstancias en las que se hayan detectado incumplimientos de los requerimientos de independencia. Por ejemplo, el Código de Ética para Profesionales de la Contabilidad (Código de ética del IESBA) del Consejo de Normas Internacionales de Ética para Contadores, requiere que el auditor se comunique por escrito con los responsables del gobierno de la entidad acerca de cualquier incumplimiento y las medidas que ha tomado la firma de auditoría o que se propone tomar.(24)
A32. Los requerimientos de comunicación relativos a la independencia del auditor que se aplican en el caso de entidades cotizadas pueden ser igualmente adecuados en el caso de otras entidades, incluidas aquellas que puedan ser de interés público significativo, por ejemplo, porque tengan un elevado número y un amplio espectro de interesados y teniendo en cuenta la naturaleza y dimensión de sus negocios. Ejemplos de dichas entidades pueden incluir instituciones financieras (tales como bancos, entidades aseguradoras y fondos de pensiones), y otras entidades como organizaciones benéficas. Por el contrario, pueden darse casos en los que las comunicaciones relativas a la independencia pueden no ser aplicables, por ejemplo, cuando todos los responsables del gobierno de la entidad, en calidad de miembros de la dirección, hayan sido informados de los hechos relevantes. Esto es especialmente probable cuando se trate de una empresa dirigida por sus propietarios y cuando la firma de auditoría y las firmas de la red tengan, más allá de la auditoría de los estados financieros, escasas relaciones con la entidad.
Cuestiones adicionales (Ref: Apartado 3)
A33. La supervisión de la dirección por los responsables del gobierno de la entidad incluye asegurarse de que la entidad diseña, implementa y mantiene un control interno adecuado sobre la fiabilidad de la información financiera, la eficacia y eficiencia de las operaciones y el cumplimiento de las disposiciones legales y reglamentarias.
A34. El auditor puede llegar a conocer otras cuestiones que no estén necesariamente relacionadas con la supervisión del proceso de información financiera y que, sin embargo, puedan ser significativas teniendo en cuenta las responsabilidades de los responsables del gobierno de la entidad respecto a la supervisión de la dirección estratégica de la entidad o a las obligaciones de la entidad relacionadas con la rendición de cuentas. Dichas cuestiones pueden incluir, por ejemplo, temas significativos relacionados con las estructuras o los procesos de gobierno, y con las decisiones o actuaciones significativas de la alta dirección que carezcan de la debida autorización.
A35. Para determinar si dichas cuestiones deben ser objeto de comunicación con los responsables del gobierno de la entidad, el auditor puede discutir con el nivel de dirección adecuado los asuntos de este tipo que hayan llegado a su conocimiento, a no ser que no resulte apropiado teniendo en cuenta las circunstancias concurrentes.
A36. Si se comunicara alguna cuestión adicional, podría ser adecuado que el auditor informara a los responsables del gobierno de la entidad de que:
(a) la identificación y la comunicación de las citadas cuestiones es accesoria al objetivo de la auditoría, el cual consiste en la formación de una opinión sobre los estados financieros;
(b) no se han aplicado procedimientos en relación con dichas cuestiones diferentes de los que fueron necesarios para la formación de una opinión sobre los estados financieros; y
(c) no se han aplicado procedimientos para determinar si existen otras cuestiones similares.
El proceso de comunicación
El proceso de comunicación (Ref: Apartado 18)
A37. La comunicación de las responsabilidades del auditor, del alcance y del momento de realización de la auditoría planificada, así como del contenido general previsto de las comunicaciones ayuda a establecer una comunicación recíproca eficaz.
A38. También pueden contribuir a una comunicación recíproca eficaz las discusiones acerca de lo siguiente:
- El objetivo de las comunicaciones. Cuando el objetivo quede claro, el auditor y los responsables del gobierno de la entidad estarán mejor situados para tener un entendimiento mutuo de los asuntos relevantes y de las acciones que se deriven del proceso de comunicación.
- La forma en la que se realizarán las comunicaciones.
- La persona o personas del equipo del encargo y de entre los responsables del gobierno de la entidad que estarán en comunicación en relación con las distintas cuestiones.
- Las expectativas del auditor de que la comunicación sea recíproca y de que los responsables del gobierno de la entidad se comuniquen con el auditor acerca de aquellas cuestiones que consideren relevantes para la auditoría, por ejemplo, decisiones estratégicas que puedan afectar significativamente a la naturaleza, el momento de realización y la extensión de los procedimientos de auditoría, la sospecha o detección de fraude, y sus reticencias acerca de la integridad o la competencia de la alta dirección.
- El proceso para la adopción de medidas en relación con las cuestiones comunicadas por el auditor, y para informar posteriormente al respecto.
- El proceso para la adopción de medidas en relación con las cuestiones comunicadas por los responsables del gobierno de la entidad, y para informar posteriormente al respecto.
A39. El proceso de comunicación variará según las circunstancias, entre ellas la dimensión y la estructura de gobierno de la entidad, el modo en el que los responsables del gobierno de la entidad actúan y la opinión del auditor sobre la significatividad de las cuestiones a comunicar. La existencia de dificultad para establecer una comunicación recíproca puede indicar que la comunicación entre el auditor y los responsables del gobierno de la entidad no es adecuada para los fines de la auditoría (véase el apartado A52).
Consideraciones específicas para entidades de pequeña dimensión
A40. En el caso de la auditoría de entidades de pequeña dimensión, el auditor puede comunicarse con los responsables del gobierno de la entidad de manera menos formal que en el caso de las sociedades cotizadas o de las entidades de gran dimensión.
Comunicación con la dirección
A41. En el curso normal de la auditoría, muchos asuntos se pueden discutir con la dirección, incluidos aquellos que en aplicación de esta NIA deban comunicarse con los responsables del gobierno de la entidad. Dichas discusiones se encuadran en el reconocimiento de la responsabilidad ejecutiva de la dirección en relación con el desarrollo de las operaciones de la entidad y, en especial, la responsabilidad de la dirección en relación con la preparación de los estados financieros.
A42. Antes de comunicarse acerca de los asuntos correspondientes con los responsables del gobierno de la entidad, el auditor puede comentarlos con la dirección, a menos que no sea adecuado. Por ejemplo, puede no ser adecuado discutir con la dirección temas relacionados con su competencia o integridad. Además de reconocer la responsabilidad ejecutiva de la dirección, las discusiones previas pueden aclarar los hechos y los problemas, así como dar a la dirección la oportunidad de proporcionar información y explicaciones adicionales. De la misma manera, cuando la entidad cuenta con una función de auditoría interna, el auditor puede comentar las cuestiones con el auditor interno antes de comunicarse con los responsables del gobierno de la entidad acerca de estas.
Comunicación con terceros
A43. Es posible que los responsables del gobierno de la entidad proporcionen a terceros, por ejemplo, bancos o autoridades reguladoras, copias de una comunicación escrita del auditor, bien porque lo requieran las disposiciones legales o reglamentarias o bien voluntariamente. En algunos casos, la revelación de información a terceros puede ser ilegal, o inadecuada por algún otro motivo. Cuando una comunicación escrita preparada para los responsables del gobierno de la entidad se entregue a terceros, puede ser importante informarles de que la comunicación no ha sido preparada con dicha finalidad, indicando, por ejemplo, en las comunicaciones escritas con los responsables del gobierno de la entidad, lo siguiente:
(a) que la comunicación ha sido preparada para el uso exclusivo de los responsables del gobierno de la entidad y, cuando proceda, de la dirección del grupo y del auditor del grupo por lo que no deberá ser utilizada por terceros;
(b) que el auditor no asume ninguna responsabilidad frente a terceros; y
(c) cualquier restricción a la divulgación o distribución a terceros.
A44. En algunas jurisdicciones, el auditor puede estar obligado por las disposiciones legales o reglamentarias a, por ejemplo:
- notificar a un organismo regulador o de supervisión determinadas cuestiones que han sido objeto de comunicación con los responsables del gobierno de la entidad. Por ejemplo, en algunos países, el auditor debe informar de las incorrecciones a la autoridad competente en el caso de que la dirección y los responsables del gobierno de la entidad no adopten medidas correctoras;
- enviar copias de determinados informes preparados para los responsables del gobierno de la entidad a los pertinentes organismos reguladores o financiadores, o a otros organismos, tales como una autoridad central en el caso de algunas entidades del sector público; o
- hacer públicos los informes preparados para los responsables del gobierno de la entidad
A45. Excepto en los casos en los que las disposiciones legales o reglamentarias exijan la entrega a un tercero de una copia de una comunicación escrita dirigida a los responsables del gobierno de la entidad, puede ser necesario que el auditor obtenga el consentimiento previo de dichos responsables antes de su entrega.
Formas de comunicación (Ref: Apartado 19)
A46. Una comunicación eficaz puede incluir presentaciones e informes escritos formales, así como comunicaciones menos formales, tales como discusiones. El auditor puede comunicar las cuestiones distintas a las determinadas en los apartados 19-20 verbalmente o por escrito. Las comunicaciones escritas pueden incluir la carta de encargo proporcionada a los responsables del gobierno de la entidad.
A47. Además de la significatividad de un asunto determinado, la forma de comunicación (es decir, si se debe comunicar verbalmente o por escrito, el grado de detalle o de resumen de la comunicación o si se debe comunicar de manera formal o informal) puede depender de factores tales como:
- Si se incluirá una discusión de la cuestión en el informe de auditoría. Por ejemplo, cuando se comunican cuestiones clave de la auditoría en el informe de auditoría, el auditor puede considerar necesario comunicar por escrito sobre las cuestiones que se consideran cuestiones clave de la auditoría.
- Si la cuestión ha sido satisfactoriamente resuelta.
- Si la dirección ya había comunicado previamente el asunto.
- La dimensión, la estructura operativa, el entorno de control y la estructura legal de la entidad.
- En el caso de una auditoría de estados financieros con fines específicos, si el auditor también audita los estados financieros con fines generales de la entidad.
- Requerimientos legales. En algunas jurisdicciones, es obligatorio que la comunicación escrita con los responsables del gobierno de la entidad adopte la forma prescrita por la normativa local.
- Las expectativas de los responsables del gobierno de la entidad, incluidos los acuerdos alcanzados sobre reuniones o comunicaciones periódicas con el auditor.
- El grado de contacto y diálogo habituales que mantiene el auditor con los responsables del gobierno de la entidad.
- Si se han producido cambios significativos de los miembros de un órgano de gobierno.
A48. Cuando se discuta una cuestión significativa con un determinado miembro del gobierno de la entidad, por ejemplo, el presidente de un comité de auditoría, puede ser adecuado que el auditor resuma la cuestión en comunicaciones posteriores para que todos los responsables del gobierno de la entidad dispongan de una información completa.
Momento de realización de las comunicaciones (Ref: Apartado 21)
A49. Una comunicación oportuna durante toda la auditoría contribuye al logro de una sólida comunicación recíproca entre los responsables del gobierno de la entidad y el auditor. Sin embargo, el momento adecuado para efectuar las comunicaciones depende de las circunstancias del encargo. Son factores relevantes, entre otros, la significatividad y naturaleza de la cuestión y las medidas que se espera que los responsables del gobierno de la entidad adopten. Por ejemplo:
- Las comunicaciones relativas a la planificación a menudo pueden hacerse al inicio del trabajo y, en el caso de un encargo inicial, pueden formar parte del acuerdo de los términos del encargo.
- Puede resultar adecuado comunicar una dificultad significativa que surja durante la realización de la auditoría en cuanto sea posible, si los responsables del gobierno de la entidad pueden facilitar al auditor la superación de dicha dificultad o si es probable que implique una opinión modificada. De la misma forma, el auditor puede comunicar verbalmente a los responsables del gobierno de la entidad, tan pronto como sea posible, las deficiencias significativas en el control interno identificadas por el auditor, antes de comunicarlas por escrito en el momento oportuno como establece la NIA 265.(25)
- Cuando es aplicable la NIA 701, el auditor puede comunicar sus puntos de vista preliminares sobre cuestiones clave de la auditoría al discutir el alcance y el momento de realización de la auditoría planificados (véase el apartado A13) y también puede tener comunicaciones más frecuentes para discutir de nuevo esas cuestiones al informar sobre los hallazgos significativos de auditoría.
- Las comunicaciones relativas a la independencia pueden ser adecuadas siempre que se emitan juicios significativos sobre amenazas a la independencia y sobre las salvaguardas correspondientes, como, por ejemplo, cuando se acepta un encargo para proporcionar servicios distintos a la auditoría, y en una discusión de cierre.
- Las comunicaciones acerca de hallazgos de la auditoría, incluido el punto de vista del auditor sobre los aspectos cualitativos de las prácticas contables de la entidad, también pueden formar parte de la discusión de cierre.
- Cuando se auditan estados financieros con fines generales y estados financieros con fines específicos, puede ser adecuado coordinar el momento de realizar las comunicaciones.
A50. Otros factores que pueden ser relevantes para determinar el momento de realización de las comunicaciones son los siguientes:
- La dimensión, la estructura operativa, el entorno de control y la estructura legal de la entidad auditada.
- Cualquier obligación legal de comunicar determinadas cuestiones en unos plazos concretos.
- Las expectativas de los responsables del gobierno de la entidad, incluidos los acuerdos alcanzados sobre reuniones o comunicaciones periódicas con el auditor.
- El momento en el que el auditor identifica ciertas cuestiones, por ejemplo, puede que el auditor no identifique un determinado hecho (por ejemplo, el incumplimiento de una norma) a tiempo para que se tome una medida preventiva, pero la comunicación de dicha cuestión puede permitir la adopción de medidas correctoras.
Adecuación del proceso de comunicación (Ref: Apartado 22)
A51. No es necesario que el auditor diseñe procedimientos específicos para sustentar la evaluación de la comunicación recíproca entre el auditor y los responsables del gobierno de la entidad. Dicha evaluación puede basarse en observaciones derivadas de procedimientos de auditoría aplicados para otros fines. Estas observaciones pueden incluir lo siguiente:
- Lo adecuado y oportuno de las medidas adoptadas por los responsables del gobierno de la entidad como respuesta a las cuestiones puestas de manifiesto por el auditor. Cuando no hayan sido resueltas de manera eficaz las cuestiones significativas puestas de manifiesto en anteriores comunicaciones, puede ser adecuado que el auditor indague las razones por las que no se han adoptado las medidas adecuadas y considere volver a plantear las citadas cuestiones. De esta forma, se evita el riesgo de dar la impresión de que el auditor está satisfecho de que la cuestión ha sido resuelta satisfactoriamente o de que dicha cuestión ya no es significativa.
- La aparente franqueza de los responsables del gobierno de la entidad en su comunicación con el auditor.
- La buena disposición y capacidad de los responsables del gobierno de la entidad para reunirse con el auditor sin la presencia de la dirección.
- La aparente capacidad de los responsables del gobierno de la entidad para entender plenamente las cuestiones puestas de manifiesto por el auditor, por ejemplo, el grado en el que los responsables del gobierno de la entidad investigan los problemas y cuestionan las recomendaciones que les son formuladas.
- Dificultades para alcanzar un entendimiento mutuo con los responsables del gobierno de la entidad sobre la forma, el momento y el contenido general previsto de las comunicaciones.
- Cuando todos o algunos de los responsables del gobierno de la entidad participen en su dirección, el aparente conocimiento que tengan de la manera en que las cuestiones debatidas con el auditor puedan afectar a sus responsabilidades más generales de gobierno, así como a sus responsabilidades como miembros de la dirección.
- Si la comunicación recíproca entre el auditor y los responsables del gobierno de la entidad se adecua a los requerimientos legales y reglamentarios aplicables.
A52. Como se indica en el apartado A4, una comunicación recíproca eficaz es útil tanto para el auditor como para los responsables del gobierno de la entidad. Por otra parte, la NIA 315 (Revisada) señala como elemento del entorno de control de la entidad la participación de los responsables de su gobierno, incluida su interacción con la auditoría interna, en su caso, y con los auditores externos.(26) Una comunicación recíproca inadecuada puede indicar un entorno de control insatisfactorio e influir en la valoración a realizar por el auditor del riesgo de incorrecciones materiales. También existe el riesgo de que el auditor no haya obtenido evidencia de auditoría suficiente y adecuada para la formación de una opinión sobre los estados financieros.
A53. Si la comunicación recíproca entre el auditor y los responsables del gobierno de la entidad no es adecuada y la situación no se puede solucionar, el auditor puede adoptar medidas tales como:
- La modificación de la opinión del auditor debido a una limitación del alcance.
- La obtención de asesoramiento jurídico en relación con las consecuencias de las diferentes posibilidades de actuación.
- La comunicación con terceros (por ejemplo, una autoridad reguladora) o con una autoridad de mayor nivel jerárquico en una estructura de gobierno externa a la entidad, tales como los propietarios de un negocio (por ejemplo, la junta general de accionistas) o, en el sector público, con el Ministro responsable o con el Parlamento.
- La renuncia al encargo si las disposiciones legales o reglamentarias aplicables así lo permiten.
Documentación (Ref: Apartado 23)
A54. La documentación de una comunicación verbal puede incluir una copia de las actas preparadas por la entidad e incorporada a la documentación de auditoría, cuando dichas actas reflejen adecuadamente la comunicación efectuada.
NOTAS AL FINAL:
1. NIA 265, Comunicación de las deficiencias en el control interno a los responsables del gobierno y a la dirección de la entidad
2. NIA 230, Documentación de auditoria, apartados 8-11 y A6
3. Como se indica en el apartado A63 de la NIA 700 (Revisada), Formación de la opinión y emisión del informe de auditoría sobre los estados financieros, en este contexto ser responsable de aprobar significa tener autoridad para concluir que todos los estados que componen los estados financieros, incluidas las notas explicativas, han sido preparados.
4. NIA 315 (Revisada), Identificación y valoración de los riesgos de incorrección material mediante el conocimiento de la entidad y de su entorno.
5. NIA 600, Consideraciones especiales – Auditorías de estados financieros de grupos (incluido el trabajo de los auditores de los componentes), apartado 49
6. Véase el apartado 10 de la NIA 210, Acuerdo de los términos del encargo de auditoría.
7. NIA 701, Comunicación de las cuestiones clave de la auditoría en el informe de auditoría emitido por un auditor independiente.
8. NIA 320, Importancia relativa o materialidad en la planificación y ejecución de la auditoría
9. Véase la NIA 620, Utilización del trabajo de un experto del auditor.
10. NIA 610 (Revisada), Utilización del trabajo de los auditores internos, apartado 18 y NIA 610 (Revisada 2013), Utilización del trabajo de los auditores internos, apartado 31.
11. NIA 701, apartados 9-10
12. NIA 705 (Revisada), Opinión modificada en el informe de auditoría emitido por un auditor independiente.
13. NIA 210, apartado 9.
14. NIA 210, apartado 10.
15. NIA 705 (Revisada), apartado 30.
16. NIA 570 (Revisada), Empresa en funcionamiento, apartado 25(d).
17. NIA 701, apartado 17
18. NIA 706 (Revisada), Párrafos de énfasis y párrafos sobre otras cuestiones en el informe de auditoría emitido por un auditor independiente, apartado 12.
19. NIA 700 (Revisada), apartados 45 y A58.
20. NIA 700 (Revisada), apartado 40.
21. NIA 300, Planificación de la auditoría de estados financieros, apartado A13.
22. Véanse los apartados 19-22 y A23-A32 de la NIA 220, Control de calidad de la auditoría de estados financieros.
23. NIA 200 Objetivos globales del auditor independiente y realización de la auditoría de conformidad con las Normas Internacionales de Auditoría, apartado 14.
24. Véase el apartado 290.39-49 del Código del IESBA que trata de los incumplimientos de los requerimientos de independencia.
25. NIA 265, apartados 9 y A14
26. NIA 315 (Revisada), apartado A77
Anexo 1 (Ref: Apartado 3)
Requerimientos específicos en la NICC 1 y en otras NIA que se refieren a la comunicación con los responsables del gobierno de la entidad
En este anexo se identifican los apartados de la NICC 1(1) y de otras NIA que establecen requerimientos de comunicar asuntos específicos con los responsables del gobierno de la entidad. Esta lista no exime de tener en cuenta los requerimientos y la correspondiente guía de aplicación y otras anotaciones explicativas de las NIA.
- NICC 1, Control de calidad en las firmas de auditoría que realizan auditorías y revisiones de estados financieros, así como otros encargos que proporcionan un grado de seguridad y servicios relacionados, apartado 30(a)
- NIA 240, Responsabilidades del auditor en la auditoría de estados financieros con respecto al fraude, apartados 21,38(c) (i) y 40-42
- NIA 250, Consideración de las disposiciones legales y reglamentarias en la auditoría de estados financieros, apartados 14, 19 y 22-24
- NIA 265, Comunicación de las deficiencias en el control interno a los responsables del gobierno y a la dirección de la entidad, apartado 9
- NIA 450, Evaluación de las incorrecciones identificadas durante la realización de la auditoría, apartados 12-13
- NIA 505, Confirmaciones externas, apartado 9
- NIA 510, Encargos iniciales de auditoría - Saldos de apertura, apartado 7
- NIA 550, Partes vinculadas, apartado 27.
- NIA 560, Hechos posteriores al cierre, apartados 7(b)-(c), 10(a), 13(b), 14(a) y 17
- NIA 570 (Revisada), Empresa en funcionamiento, apartado 25
- NIA 600, Consideraciones especiales - Auditorías de estados financieros de grupos (incluido el trabajo de los auditores de los componentes), apartado 49
- NIA 610 (Revisada), Utilización del trabajo de los auditores internos, apartado 18 y NIA 610 (Revisada 2013), Utilización del trabajo de los auditores internos, apartados 20 y 31.
- NIA 700 (Revisada), Formación de la opinión y emisión del informe de auditoría sobre los estados financieros, apartado 45.
- NIA 701, Comunicación de las cuestiones clave de la auditoría en el informe de auditoría emitido por un auditor independiente apartado 17.
- NIA 705 (Revisada), Opinión modificada en el informe de auditoría emitido por un auditor independiente, apartados 12, 14, 23 y 30
- NIA 706 (Revisada), Párrafos de énfasis y párrafos sobre otras cuestiones en el informe de auditoría emitido por un auditor independiente, apartado 12.
- NIA 710, Información comparativa – Cifras correspondientes de periodos anteriores y estados financieros comparativos, apartado 18.
- NIA 720, Responsabilidad de auditor con respecto a otra información incluida en los documentos que contienen los estados financieros auditados" apartados 10, 13 y 16
NOTAS AL FINAL:
1. NICC 1. Control de calidad en las firmas de auditoría que realizan auditorias y revisiones de estados financieros, así como otros encargos que proporcionan un grado de seguridad y servicios relacionados
Anexo 2
(Ref: Apartados 16(a), A19-A20)
Aspectos cualitativos de las prácticas contables
La comunicación exigida en el apartado 16(a) y comentada en los apartados A19-A20 puede incluir asuntos tales como:
Políticas contables
- Lo adecuado de las políticas contables a las circunstancias específicas de la entidad, teniendo en cuenta la necesidad de ponderar el coste de proporcionar la información con el posible beneficio para los usuarios de los estados financieros de la entidad. Cuando existen políticas contables alternativas aceptables, la comunicación puede referirse a la identificación de las partidas de los estados financieros que se ven afectadas por la elección de políticas contables significativas, así como a información sobre políticas contables utilizadas por entidades similares.
- La elección, por primera vez, de políticas contables significativas y los cambios en ellas, incluyendo la aplicación de nuevos pronunciamientos contables. La comunicación se puede referir: al efecto del momento y método de adopción de un cambio de política contable sobre los beneficios actuales y futuros de la entidad, y al momento de realización de un cambio en las políticas contables en relación con la publicación prevista de nuevos pronunciamientos contables.
- El efecto de políticas contables significativas relativas a áreas controvertidas o emergentes (o específicas de un sector, especialmente cuando no existen orientaciones oficiales o consenso).
- El efecto del momento de realización de las transacciones en relación con el periodo en el que se registran.
Estimaciones contables
- En relación con las partidas para las cuales las estimaciones juegan un papel significativo, las cuestiones descritas en la NIA 540,(1) tales como, por ejemplo:
-- El modo en que la dirección identifica aquellas transacciones, hechos y condiciones que pueden dar lugar a la necesidad de que las estimaciones contables se reconozcan o revelen en los estados financieros.
-- Cambios en circunstancias que pueden originar nuevas estimaciones contables o la necesidad de revisar las estimaciones existentes.
-- Si la decisión de la dirección de reconocer, o de no reconocer, las estimaciones contables en los estados financieros es conforme con el marco de información financiera aplicable.
- Si se ha producido o se debería haber producido, con respecto al periodo anterior, un cambio en los métodos utilizados para la realización de las estimaciones contables y, de ser así, los motivos y el resultado de las estimaciones contables en ejercicios anteriores.
-- El proceso seguido por la dirección para la realización de estimaciones contables (por ejemplo, cuando la dirección ha utilizado un modelo), así como si la base de medición seleccionada para la estimación contable es conforme con el marco de información financiera aplicable.
-- Si son razonables las hipótesis significativas utilizadas por la dirección en el desarrollo de la estimación contable.
-- En lo relativo a la razonabilidad de las hipótesis significativas empleadas por la dirección o para verificar la aplicación adecuada del marco de información financiera aplicable, el propósito de la dirección de llevar a cabo actuaciones específicas y su capacidad para hacerlo.
-- Los riesgos de incorrección material. o Indicadores de un posible sesgo de la dirección.
-- El modo en que la dirección ha considerado las hipótesis o los desenlaces alternativos y los motivos por los que los ha rechazado, o cualquier otra manera en que la dirección haya tratado la incertidumbre en la estimación al realizar la estimación contable.
-- Lo adecuado de la información revelada en los estados financieros sobre la incertidumbre en las estimaciones.
Información revelada en los estados financieros
- Las cuestiones relacionadas con la formulación de información especialmente sensible revelada en los estados financieros y los juicios emitidos al respecto (por ejemplo, información revelada relacionada con el reconocimiento de ingresos, remuneraciones, empresa en funcionamiento, hechos posteriores y contingencias).
- La neutralidad, congruencia y claridad de la información revelada en los estados financieros.
Cuestiones relacionadas
- El posible efecto en los estados financieros de riesgos, exposiciones e incertidumbres significativos, tales como litigios en curso, que son revelados en los estados financieros.
- El grado en que se han visto afectados los estados financieros por transacciones significativas ajenas al curso normal de los negocios de la entidad, o que, por otras razones, parecen inusuales. La comunicación puede poner de relieve:
-- Las cantidades no recurrentes reconocidas durante el periodo.
-- Hasta qué punto se revelan dichas transacciones por separado en los estados financieros.
-- Si parece que dichas transacciones han sido diseñadas para lograr un determinado tratamiento contable o fiscal o un determinado objetivo legal o regulatorio.
-- Si la estructura de dichas transacciones parece exageradamente compleja o si se ha requerido asesoramiento extenso sobre cómo se ha estructurado la transacción.
-- Casos en los que la dirección se centra más en la necesidad de un determinado tratamiento contable que en las condiciones económicas subyacentes de la transacción.
- Los factores que inciden en los valores en libros de activos y pasivos, incluidas las bases que utiliza la entidad para determinar las vidas útiles asignadas a los activos tangibles e intangibles.
- La comunicación puede explicar cómo se seleccionaron los factores que tienen un efecto en los valores en libros y cómo habrían afectado otras posibles alternativas a los estados financieros... La corrección selectiva de incorrecciones, por ejemplo, corregir incorrecciones que tienen como efecto incrementar el beneficio registrado pero no aquéllas que reducen ese beneficio.
NOTAS AL FINAL:
1. NIA 540, Auditoria de estimaciones contables, incluidas las de valor razonable, y la información relacionada a revelar
MODIFICACIONES DE CONCORDANCIA CON OTRAS NIA
Nota: Las siguientes son modificaciones de otras NIA por razones de concordancia como resultado de las NIA nuevas y revisadas relativas a informes de auditoría. Estas modificaciones entrarán en vigor en la misma fecha que las NIA relativas a informes de auditoría nuevas y revisadas. Los números de las notas a pie de página de estas modificaciones no concuerdan con los de las NIA que se modifican y el lector debe remitirse a dichas NIA.
NIA 210, Acuerdo de los términos del encargo de auditoría.
Requerimientos
Acuerdo de los términos del encargo de auditoría
10. Sin perjuicio de lo establecido en el apartado 11, los términos del encargo de auditoría acordados se harán constar en una carta de encargo u otra forma adecuada de acuerdo escrito, e incluirán: (Ref: Apartados A22-A25)
(a) el objetivo y el alcance de la auditoría de los estados financieros;
(b) las responsabilidades del auditor;
(c) las responsabilidades de la dirección;
(d) la identificación del marco de información financiera aplicable para la preparación de los estados financieros; y
(e) una referencia a la estructura y contenido que se espera de cualquier informe emitido por el auditor y (Ref: Apartado A23a)
(f) una declaración de que pueden existir circunstancias en las que el contenido y la estructura del informe difieran de lo esperado.
Guía de aplicación y otras anotaciones explicativas
Carta de encargo u otra forma de acuerdo escrito (Ref: Apartados 10-11)
Estructura y contenido de la carta de encargo
A23. La estructura y el contenido de la carta de encargo pueden variar de una entidad a otra. La información a incluir en la carta de encargo sobre las responsabilidades del auditor puede basarse en la NIA 200. Los apartados 6(b) y 12 de la presente NIA describen las responsabilidades de la dirección. Además de incluir las cuestiones que el apartado 10 requiere, una carta de encargo puede hacer referencia, por ejemplo, a:
- La definición del alcance de la auditoría, incluida una referencia a las disposiciones legales o reglamentarias y las NIA aplicables, así como a las normas de ética y otros pronunciamientos de organizaciones profesionales a los que el auditor se adhiera.
- La forma de cualquier otra comunicación de resultados del encargo de auditoría.
- El requerimiento de que el auditor comunique las cuestiones clave de la auditoría en el informe de auditoría, de conformidad con la NIA 701(1).
- El hecho de que, por las limitaciones inherentes a la auditoría y por las limitaciones inherentes al control interno, haya un riesgo inevitable de que puedan no detectarse algunas incorrecciones materiales, incluso aunque la auditoría se planifique y se ejecute adecuadamente de conformidad con las NIA.
- Los planes relativos a la planificación y ejecución de la auditoría, incluida la composición del equipo del encargo.
- La expectativa de que la dirección proporcione manifestaciones escritas (véase también el apartado A13).
- El acuerdo de la dirección de poner a disposición del auditor un borrador de los estados financieros y cualquier otra información complementaria con tiempo suficiente para que el auditor pueda terminar la auditoría según el calendario propuesto.
- El acuerdo de la dirección de informar al auditor sobre los hechos que puedan afectar a los estados financieros y que lleguen a conocimiento de la dirección durante el periodo que media entre la fecha del informe de auditoría y la fecha de publicación de los estados financieros.
- La base sobre la que se calculan los honorarios y cualquier posible acuerdo de facturación.
- La solicitud de que la dirección acuse recibo de la carta de encargo y apruebe los términos del encargo que se recogen en ella.
A23a. Cuando no se requiera que el auditor comunique las cuestiones clave de la auditoría, puede ser útil para el auditor referirse en los términos del encargo de la auditoría a la posibilidad de comunicar las cuestiones clave de la auditoría en el informe de auditoría y, en determinadas jurisdicciones, puede ser necesario que el auditor mencione dicha posibilidad con el fin de mantener la capacidad de hacerlo.
A24. Cuando proceda, también pueden incluirse las siguientes cuestiones en la carta de encargo:
- Acuerdos relativos a la participación de otros auditores y expertos en algunos aspectos de la auditoría.
- Acuerdos referidos a la participación de auditores internos y de otros empleados de la entidad.
- Acuerdos que deban alcanzarse con el auditor predecesor, si lo hubiera, en el caso de un encargo inicial de auditoría.
- Cualquier limitación de la responsabilidad del auditor, cuando exista esta posibilidad.
- Una referencia a cualquier otro acuerdo entre el auditor y la entidad.
- Cualquier obligación de proporcionar papeles de trabajo de auditoría a otras partes.
En el anexo 1 se recoge un ejemplo de carta de encargo de auditoría.
Anexo 1
Ejemplo de carta de encargo de auditoría
El siguiente es un ejemplo de carta de encargo de auditoría para una auditoría de estados financieros con fines generales preparados de conformidad con las Normas Internacionales de Información Financiera. Esta carta no es de uso obligatorio, sino que solo pretende ser una orientación que pueda utilizarse junto con las consideraciones recogidas en esta NIA. Será necesario modificarla en función de los requerimientos y de las circunstancias particulares. Está diseñada con referencia a una auditoría de estados financieros de un único periodo y sería preciso adaptarla en caso de pretender o prever aplicarla a auditorías recurrentes (véase el apartado 13 de esta NIA). Puede resultar adecuado solicitar asesoramiento jurídico sobre la idoneidad de cualquier carta propuesta.
Dirigida al representante adecuado de la dirección o de los responsables del gobierno de la sociedad ABC(2):
[Objetivo y alcance de la auditoría]
Han solicitado ustedes(3) que auditemos los estados financieros de la sociedad ABC, que comprenden el balance de situación estado de situación financiera a 31 de diciembre de 20X1, estado de resultados el estado del resultado global, el estado de cambios en el patrimonio neto y el estado de flujos de efectivo correspondientes al ejercicio terminado en dicha fecha, y así como las notas explicativas de los estados financieros que incluyen un resumen de las políticas contables significativas y otra información explicativa. Nos complace confirmarles mediante esta carta que aceptamos el encargo de auditoría y comprendemos su contenido.
Realizaremos nuestra auditoría con el Los objetivos de nuestra auditoría son obtener una seguridad razonable de que los estados financieros en su conjunto están libres de incorrección material, debida a fraude o error, y emitir un informe de auditoría que contiene nuestra de expresar una opinión sobre los estados financieros. Seguridad razonable es un alto grado de seguridad pero no garantiza que una auditoría realizada de conformidad con las Normas Internacionales de Auditoría (NIA) siempre detecte una incorrección material cuando existe. Las incorrecciones pueden deberse a fraude o error y se consideran materiales si, individualmente o de forma agregada, puede preverse razonablemente que influyan en las decisiones económicas que los usuarios toman basándose en los estados financieros.
[Responsabilidades del auditor]
Llevaremos a cabo nuestra auditoría de conformidad con las Normas Internacionales de Auditoría (NIA). Dichas normas exigen que cumplamos los requerimientos de ética. así como Como parte de una auditoría de conformidad con las NIA, aplicamos nuestro juicio profesional y mantenemos una actitud de escepticismo profesional durante toda la auditoría. que planifiquemos y ejecutemos la auditoría con el fin de obtener una seguridad razonable sobre si los estados financieros están libres de incorrección material. Una auditoría conlleva Así mismo:
- la aplicación de procedimientos para obtener evidencia de auditoría sobre los importes y la información revelada en los estados financieros. Los procedimientos seleccionados dependen del juicio del auditor, incluida la valoración del identificamos v valoramos los riesgos de incorrección material en los estados financieros, debida a fraude o error, diseñamos v aplicamos procedimientos de auditoría para responder a dichos riesgos y obtenemos evidencia de auditoría suficiente v adecuada para proporcionar una base para nuestra opinión. El riesgo de no detectar una incorrección material debida a fraude es más elevado que en el caso de una incorrección material debida a error, va que el fraude puede implicar colusión, falsificación, omisiones deliberadas, manifestaciones intencionadamente erróneas o la elusión del control interno.
- Al efectuar nuestras valoraciones del riesgo, tenemos en cuenta Obtenemos conocimiento del control interno relevante para la preparación de los estados financieros por parte de la entidad auditoría con el fin de diseñar procedimientos de auditoría que sean adecuados en función de las circunstancias y no con la finalidad de expresar una opinión sobre la eficacia del control interno de la entidad(4). No obstante, les comunicaremos por escrito cualquier deficiencia significativa en el control interno relevante para la auditoría de los estados financieros que identifiquemos durante la realización de la auditoría.
- Una auditoría también incluye la evaluación Evaluamos la adecuación de las políticas contables aplicadas y la razonabilidad de las estimaciones contables y la correspondiente información revelada por la dirección. Así como
- Concluimos sobre lo adecuado de la utilización, por la dirección, del principio contable de empresa en funcionamiento y, basándonos en la evidencia de auditoría obtenida, concluimos sobre si existe o no una incertidumbre material relacionada con hechos o con condiciones que pueden generar dudas significativas sobre la capacidad de la Sociedad para continuar como empresa en funcionamiento. Si concluimos que existe una incertidumbre material, se requiere que llamemos la atención en nuestro informe de auditoría sobre la correspondiente información revelada en los estados financieros o, si dichas revelaciones no son adecuadas, que expresemos una opinión modificada. Nuestras conclusiones se basan en la evidencia de auditoría obtenida hasta la fecha de nuestro informe de auditoría. Sin embargo, hechos o condiciones futuros pueden ser causa de que la Sociedad deje de ser una empresa en funcionamiento.
- La evaluación Evaluamos la presentación global, la estructura v el contenido de los estados financieros incluida la información revelada, v si los estados financieros representan las transacciones v hechos subyacentes de un modo que loaran la presentación fiel.
Debido a las limitaciones inherentes a la auditoría, junto con las limitaciones inherentes al control interno, existe un riesgo inevitable de que puedan no detectarse algunas incorrecciones materiales, aun cuando la auditoría se planifique y ejecute adecuadamente de conformidad con las NIA.
[Responsabilidades de la dirección e identificación del marco de información financiera aplicable (a los efectos de este ejemplo, se supone que el auditor no ha determinado que las disposiciones legales o reglamentarias prescriban dichas responsabilidades en términos adecuados; se emplean, por tanto, las descripciones del apartado 6(b) de esta NIA).]
Realizaremos la auditoría partiendo de la premisa de que [la dirección y, cuando proceda, los responsables del gobierno de la entidad)(5) reconocen y comprenden que son responsables de:
(a) la preparación y presentación fiel de los estados financieros de conformidad con las Normas Internacionales de Información Financiera (6);
(b) el control interno que [la dirección] considere necesario para permitir la preparación de estados financieros libres de incorrección material, debida a fraude o error;
(c) proporcionarnos:
(i) acceso a toda la información de la que tenga conocimiento [la dirección] y que sea relevante para la preparación de los estados financieros, tal como registros, documentación y otro material;
(ii) información adicional que podamos solicitar a [la dirección] para los fines de la auditoría y
(iii) acceso ilimitado a las personas de la entidad de las cuales consideremos necesario obtener evidencia de auditoría.
Como parte de nuestro proceso de auditoría, solicitaremos a [la dirección y, cuando proceda, a los responsables del gobierno de la entidad] confirmación escrita de las manifestaciones realizadas a nuestra atención en relación con la auditoría.
Esperamos contar con la plena colaboración de sus empleados durante nuestra auditoría.
(Otra información relevante)
Insertar otra información, como acuerdos sobre honorarios, facturación y otras condiciones específicas, según el caso.
[Informes]
(Insertar referencia adecuada respecto a la estructura y contenido esperados del informe de auditoría.)
Les rogamos que firmen y devuelvan la copia adjunta de esta carta para indicar que conocen y aceptan los acuerdos relativos a nuestra auditoría de los estados financieros, incluidas nuestras respectivas responsabilidades.
XYZ y Cía.
Recibido y conforme, en nombre de la sociedad ABC por (
Firmado)
......................
Nombre y cargo
Fecha
NOTAS AL FINAL:
1. NIA 701, Comunicación de las cuestiones clave de la auditoría en el informe de auditoría emitido por un auditor independiente.
2. Los destinatarios y las referencias de la carta serán los adecuados en función de las circunstancias del encargo, incluida la jurisdicción correspondiente. Es importante hacer referencia a las personas adecuadas - véase apartado A21.
3. A lo largo de esta carta la referencia a "ustedes", "nosotros", "la dirección”, "los responsables del gobierno de la entidad" y "el auditor" se emplearán o modificarán en función de las circunstancias.
4. Esta frase se modificaría, según corresponda, en circunstancias en las que el auditor tenga, asimismo, responsabilidad de emitir una opinión sobre la eficacia del control interno junto con la auditoría de los estados financieros.
5. Emplear la terminología adecuada en función de las circunstancias.
6. O si procede "para la preparación de estados financieros que expresan la imagen fiel de acuerdo con las Normas Internacionales de Información Financiera"
NIA 220, Control de calidad de la auditoría de estados financieros
Requerimientos
Realización del encargo
Revisión de control de calidad del encargo
......
20. El revisor de control de calidad del encargo realizara una evaluación objetiva de los juicios significativos realizados por el equipo del encargo y de las conclusiones alcanzadas a efectos de la emisión del informe de auditoría. Esta evaluación conllevara:
(a) la discusión de las cuestiones significativas con el socio del encargo;
(b) la revisión de los estados financieros y del informe de auditoría propuesto;
(c) la revisión de la documentación de auditoria seleccionada, relacionada con los juicios significativos realizados por el equipo del encargo y con las conclusiones alcanzadas; y
(d) la evaluación de las conclusiones alcanzadas a efectos de la emisión del informe de auditoría y la consideración de si el informe de auditoría propuesto es adecuado. (Ref: Apartados A26 - A27a, A29-A31)
21. En el caso de auditorías de estados financieros de entidades cotizadas, al realizar la revisión de control de calidad del encargo, el revisor de control de calidad del encargo también considera lo siguiente:
(a) la evaluación por el equipo del encargo de la independencia de la firma de auditoría en relación con el encargo de auditoría;
(b) si se han realizado las consultas adecuadas sobre cuestiones en las que existen diferencias de opinión u otras cuestiones complejas o controvertidas y las conclusiones alcanzadas en dichas consultas; y (
c) si la documentación de auditoría seleccionada para su revisión refleja el trabajo realizado en relación con los juicios significativos y si sustenta las conclusiones alcanzadas. (Ref: Apartados A28..A31)
…
Guía de aplicación y otras anotaciones explicativas
Realización del encargo
Revisión de control de calidad del encargo..
....
Naturaleza, momento de realización y extensión de la revisión de control de calidad del encargo (Ref: Apartado 20)
A26. Prestar una especial atención a los cambios en las circunstancias permite al socio del encargo determinar las situaciones en las que es necesaria una revisión de control de calidad del encargo, aunque al inicio del encargo no fuera requerida dicha revisión.
A27. La extensión de la revisión de control de calidad del encargo puede depender, entre otros aspectos, de la complejidad del encargo de auditoría, de si la entidad es o no una entidad cotizada y del riesgo de que el informe de auditoría no sea adecuado en función de las circunstancias. La realización de una revisión de control de calidad del encargo no reduce las responsabilidades del socio del encargo en relación con el encargo de auditoría y su realización.
A27a. Cuando es aplicable la NIA 701(1), las conclusiones alcanzadas por el equipo del encargo a efectos de la formulación del informe de auditoría incluyen determinar:
- las cuestiones clave de la auditoría que se deben incluir en el informe de auditoría.
- las cuestiones clave de la auditoría que, en su caso, no se comunicarán en el informe de auditoría de conformidad con el apartado 14 de la NIA 701 y,
- en su caso, en función de los hechos v circunstancias de la entidad v de la auditoría, el hecho que no hay cuestiones clave de la auditoría que se deban comunicar en el informe de auditoría.
Además, la revisión del informe de auditoría propuesto de conformidad con el apartado 20(b) incluye la consideración de la redacción propuesta que se va a incluir en la sección Cuestiones clave de la auditoría.
Revisión de control de calidad del encargo de una entidad cotizada (Ref: Apartado 21)
A28. Como otras cuestiones relevantes para la evaluación de los juicios significativos realizados por el equipo del encargo que pueden ser consideradas en la revisión de control de calidad del encargo de una entidad cotizada cabe citar:
-- Los riesgos significativos detectados durante el encargo de acuerdo con la NIA 315 (Revisada)(2), y las respuestas a dichos riesgos de acuerdo con la NIA 330(3) , incluida la valoración por el equipo del encargo del riesgo de fraude y la respuesta a este de acuerdo con la NIA 240(4).
- Los juicios realizados, en especial con respecto a la importancia relativa y a los riesgos significativos.
- La significatividad y el tratamiento de las incorrecciones corregidas y no corregidas detectadas durante la realización de la auditoría.
- Las cuestiones que deben comunicarse a la dirección y a los responsables del gobierno de la entidad, así como, en su caso, a terceros, tales como los organismos reguladores.
Estas mismas cuestiones, según las circunstancias, también pueden ser aplicables en las revisiones de control de calidad de encargos de auditoría de los estados financieros de otras entidades.
Consideraciones específicas para entidades de pequeña dimensión (Ref: Apartados 20-21)
A29. Además de las auditorías de los estados financieros de entidades cotizadas, la revisión de control de calidad del encargo es aplicable a otros encargos de auditoría que cumplan los criterios establecidos por la firma de auditoría que determinen que el encargo está sujeto a una revisión de control de calidad. En algunos casos, puede ocurrir que ninguno de los encargos de auditoría de la firma reúna los criterios por los que estaría sujeto a dicha revisión.
Consideraciones específicas para entidades del sector público (Ref: Apartados 20-21)
A30. En el sector público, un auditor designado por ley (por ejemplo, un interventor general u otra persona debidamente cualificada nombrada en representación del interventor general), puede desempeñar una función equivalente a la del socio del encargo con responsabilidad general relativa a las auditorías del sector público. En dichas circunstancias, cuando proceda, la selección del revisor de control de calidad del encargo se hará atendiendo a la necesidad de independencia con respecto a la entidad auditada y a la capacidad del revisor de control de calidad del encargo para proporcionar una evaluación objetiva.
A31. Las entidades cotizadas a las que se refieren los apartados 21 y A28 no se encuentran habitualmente en el sector público. Sin embargo, pueden existir otras entidades del sector público que sean significativas por su dimensión, por su complejidad o por aspectos de interés público y que, en consecuencia, cuenten con un amplio espectro de interesados. Como ejemplos, cabe citar las sociedades estatales y las empresas de servicios públicos. Las transformaciones continuas dentro del sector público también pueden dar lugar a nuevos tipos de entidades significativas. No existen criterios objetivos fijos que puedan servir de base para la determinación de la significatividad. No obstante, los auditores del sector público evalúan qué entidades pueden tener la significatividad suficiente para que sea necesario realizar una revisión de control de calidad del encargo.
NOTAS AL FINAL:
1. NIA 701, Comunicación de las cuestiones clave de la auditoría en el informe de auditoría emitido por un auditor independiente.
2. NIA 315 (Revisada), Identificación y valoración de los riesgos de incorrección material mediante el conocimiento de la entidad y de su entorno
3. NIA 330, Respuestas del auditor a los riesgos valorados
4. NIA 240, Responsabilidades del auditor en la auditoría de estados financieros con respecto al fraude
NIA 230, Documentación de auditoría
Nota: Cuando las NIA fueron aclaradas, todas tuvieron la misma fecha de entrada en vigor. Debido a que algunas de las NIA (normas de auditoría nuevas o revisadas) tienen ahora distinta fecha de entrada en vigor, la frase "en vigor para auditorías de estados financieros correspondientes a periodos iniciados a partir del 15 de diciembre de 2009" se eliminará en el anexo de la NIA 230.
Guía de aplicación y otras anotaciones explicativas
Documentación de los procedimientos de auditoría aplicados y de la evidencia de auditoría obtenida
Estructura, contenido y extensión de la documentación de auditoría
Documentación de cuestiones significativas y de juicios profesionales significativos relacionados con estas (Ref: Apartado 8(c))
A10. Los siguientes son ejemplos de circunstancias en las que, de acuerdo con el apartado 8, resulta adecuado preparar documentación de auditoría relativa a la aplicación del juicio profesional, cuando las cuestiones y los correspondientes juicios sean significativos:
- Las bases para las conclusiones del auditor cuando un requerimiento establezca que el auditor “considerará” determinada información o factores y dicha consideración sea significativa en el contexto del encargo concreto.
- Las bases para las conclusiones del auditor sobre la razonabilidad de aspectos con respecto a los cuales se realizan juicios subjetivos (por ejemplo, la razonabilidad de estimaciones contables significativas).
- Las bases para las conclusiones del auditor sobre la autenticidad de un documento cuando se ha llevado a cabo una investigación adicional (tal como la correcta utilización de un experto o de procedimientos de confirmación) como consecuencia de condiciones identificadas durante la realización de la auditoría que llevaron al auditor a considerar que el documento podía no ser auténtico.
- Cuando es aplicable la NIA 701(1), la determinación por parte del auditor de las cuestiones clave de la auditoría o la determinación de que no hay cuestiones clave de la auditoría que se deban comunicar.
NIA 510, Encargos iniciales de auditoría - Saldos de apertura
NOTAS AL FINAL:
1. NIA 701, Comunicación de las cuestiones clave de la auditoría en el informe de auditoría emitido por un auditor independiente.
Anexo
(Ref: Apartado A8)
Ejemplos de informes de auditoría que contienen opiniones modificadas
Nota: En todos estos ejemplos de informes de auditoría, la sección Opinión se ha situado en primer lugar de conformidad con la NIA 700 (Revisada) v la sección Fundamento de la opinión se ha situado inmediatamente detrás de la sección Opinión. Así mismo, la primera v la última frase que se incluían en la antigua sección Responsabilidades del auditor ahora forman parte de la nueva sección Fundamento de la opinión.
Ejemplo 1:
Este ejemplo de informe de auditoría está basado en que concurren las siguientes tas-circunstancias-que se refiere el apartado A8(a) son, entre otras:
- Auditoría de un conjunto completo de estados financieros de una entidad que no es una entidad cotizada preparados de conformidad con un marco de imagen fiel. La auditoría no es una auditoría de un grupo (es decir, no es aplicable la NIA 600(1)).
Los estados financieros han sido preparados por la dirección de la entidad de conformidad con las Normas Internacionales de Información Financiera (NIIF) (un marco de información financiera con fines generales).
- Los términos del encargo de auditoría reflejan la descripción de la responsabilidad de la dirección que recoge la NIA 210(2), en relación con los estados financieros.
- El auditor no presenció el recuento físico de existencias al inicio del periodo actual y no pudo obtener evidencia de auditoría suficiente y adecuada en relación con los saldos de apertura de las existencias.
- Los posibles efectos de la imposibilidad de obtener evidencia de auditoría suficiente y adecuada sobre los saldos de apertura de las existencias se consideran materiales pero no generalizados en los resultados y los flujos de efectivo de la entidad.(3)
- La situación financiera al cierre del ejercicio se presenta fielmente.
- En la jurisdicción de que se trate, disposiciones legales o reglamentarias prohíben al auditor expresar una opinión con salvedades en relación con los resultados y los flujos de efectivo y una opinión no modificada (favorable) en relación con la situación financiera.
- Los requerimientos de ética que son de aplicación a la auditoría son los de la jurisdicción.
- Basándose en la evidencia de auditoría obtenida, el auditor ha concluido que no existe una incertidumbre material relacionada con hechos o con condiciones que puedan generar dudas significativas sobre la capacidad de la entidad para continuar como empresa en funcionamiento de conformidad con la NIA 570 (Revisada)(4).
- El auditor no está obligado a comunicar las cuestiones clave de la auditoría de conformidad con la NIA 701(5) y ha decidido no hacerlo por algún otro motivo.
- Se presentan cifras comparativas v los estados financieros correspondientes al periodo anterior fueron auditados por un auditor predecesor. Las disposiciones legales o reglamentarias no prohíben al auditor hacer referencia al informe de auditoría del auditor predecesor en lo relativo a las cifras correspondientes de periodos anteriores v el auditor ha decidido hacerlo.
- Los responsables de la supervisión de los estados financieros son distintos de los responsables de la preparación de los estados financieros.
- Además de la auditoría de los estados financieros, el auditor tiene otras responsabilidades de información impuestas por la legislación local.
INFORME DE AUDITORÍA EMITIDO POR UN AUDITOR INDEPENDIENTE
A los accionistas de la Sociedad ABC fo al destinatario correspondiente que corresponda]
Informe sobre la auditoría de los estados financieros(6)
Opinión con salvedades
Hemos auditado los estados financieros adjuntos de la sociedad ABC (la Sociedad), que comprenden el estado de situación financiera a 31 de diciembre de 20X1, el estado del resultado global, el estado de cambios en el patrimonio neto y el estado de flujos de efectivo correspondientes al ejercicio terminado en dicha fecha, así como las notas explicativas de los estados financieros que incluyen un resumen de las políticas contables significativas y otra información explicativa.
En nuestra opinión, excepto por los posibles efectos de la cuestión descrita en el párrafo-de-la sección Fundamento de la opinión con salvedades de nuestro informe, los estados financieros adjuntos presentan fielmente, en todos los aspectos materiales, (o expresan la imagen fiel de) la situación financiera de la Sociedad ABCa 31 de diciembre de 20X1, así como (de) sus resultados y flujos de efectivo correspondientes al ejercicio terminado en dicha fecha, de conformidad con las Normas Internacionales de Información Financiera (NIIF).
Fundamento de la opinión con salvedades
Fuimos nombrados auditores de la sociedad el 30 de junio de 20X1 y, por lo tanto, no presenciamos el recuento físico de las existencias al inicio del ejercicio. No hemos podido satisfacernos por medios alternativos de las cantidades de existencias a 31 de diciembre de 20X0. Puesto que las existencias iniciales influyen en la determinación del resultado y de los flujos de efectivo, no hemos podido determinar si hubiese sido necesario realizar ajustes en el beneficio del ejercicio consignado en el estado del resultado global y en los flujos de efectivo netos procedentes de las actividades de explotación consignados en el estado de flujos de efectivo.
Hemos llevado a cabo nuestra auditoría de conformidad con las Normas Internacionales de Auditoría (NIA). Nuestras responsabilidades de acuerdo con dichas normas se describen más adelante en la sección Responsabilidades de[ auditor en relación con ía auditoría de los estados financieros de nuestro informe. Somos independientes de la Sociedad de conformidad con los requerimientos de ética aplicables a nuestra auditoría de los estados financieros en f/Ur/sdiCc/Ónl v hemos cumplido las demás responsabilidades de ética de conformidad con esos requerimientos. Consideramos que la evidencia de auditoría que hemos obtenido proporciona una base suficiente y adecuada para nuestra opinión con salvedades.
Otra cuestión
Los estados financieros de la «Sociedad ABC correspondientes al ejercicio terminado a 31 de diciembre de 20X0 fueron auditados por otro auditor que expresó una opinión no modificada (favorable) sobre dichos estados financieros el 31 de marzo de 20X1.
Responsabilidades de la dirección(7) y de los responsables del gobierno de la entidad en relación con los estados financieros(8)
[Informe de conformidad con la NIA 700 (Revisada)(9) - véase Ejemplo 1 de la NIA 700 (Revisada).]
La dirección es responsable de la preparación y presentación fiel de los estados financieros adjuntos de conformidad con las Normas Internacionales de Información Financiera(10), y del control interno que la dirección considere necesario para permitir la preparación de estados financieros libres de incorrección material, debida a fraude o error.
Responsabilidades del auditor en relación con la auditoría de los estados financieros
[Informe de conformidad con la NIA 700 (Revisada) - véase Ejemplo 1 de la NIA 700 (Revisada).]
Nuestra responsabilidad es expresar una opinión sobre los estados financieros adjuntos basada en nuestra auditoría. Hemos llevado a cabo nuestra auditoría de conformidad con las Normas Internacionales de Auditoría. Dichas normas exigen que cumplamos los requerimientos de ética, así como quo planifiquemos y ejecutamos la auditoría con el fin do obtener una seguridad razonable sobre si los estados financieros están libres de incorrección material.
Una auditoría conlleva la aplicación do procedimientos para obtener evidencia do auditoría sobro los importes y la información revelada en los estados financieros. Los procedimientos seleccionados dependen del juicio del auditor, incluida la valoración do los riesgos do incorrección material en los estados financieros, debida a fraude o error para diseñar y aplicar procedimientos de auditoría para responder a osos riesgos y–obtenemos evidencia do auditoría suficiente y adecuada para fundamentar nuestra opinión. El riesgo de no detectar una incorrección material debida a fraude es más elevado quo en el caso do una incorrección material debida a error, ya quo el fraudo puedo implicar colusión,–falsificación,–omisiones–deliberadas,–manifestaciones–intencionadamente erróneas, o la ilusión del control interno.
Al efectuar dichas valoraciones del riesgo, el auditor tiene en cuenta el control interno relevante para la preparación y presentación fiel(11) por parte de la entidad de los estados financieros, con el fin do diseñar los procedimientos do auditoría quo sean adecuados en función do las circunstancias, y no con la finalidad de expresar una opinión sobre la eficacia del control interno de la entidad(12). Una auditoría también incluyo la evaluación do la adecuación do las políticas contables aplicadas y de la razonabilidad de las estimaciones contables realizadas por la dirección, así como la evaluación do la presentación global do los estados financieros. Consideramos quo la evidencia do auditoría que hemos obtenido proporciona una base suficiente y adecuada para nuestra opinión de auditoría con salvedades.
Informe sobre otros requerimientos legales y reglamentarios.
[Informe de conformidad con la NIA 700 (Revisada) - Vease Ejemplo 1 de la NIA 700 (Revisada).]
[La estructura y contenido de esta sección del informe de auditoría variará dependiendo de la naturaleza de las otras responsabilidades de información del auditor.]
[Firma del auditor Firma en nombre de la firma de auditoría, en nombre propio o en nombre de ambos, según proceda en la jurisdicción de que se trate]
[Dirección del auditor]
[Fecha del informe de auditoría]
Ejemplo 2:
Este ejemplo de informe de auditoría está basado en que concurren las siguientes Las-circunstancias a-que se refiere el apartado A8(b) son, entre otras,,
- Auditoría de un conjunto completo de estados financieros de una entidad que no es una entidad cotizada preparados de conformidad con un marco de imagen fiel. La auditoría no es una auditoría de un grupo (es decir, no es aplicable la NIA 600).
Los estados financieros han sido preparados por la dirección de la entidad de conformidad con las NIIF (un marco de información con fines generales!.
Los términos del encargo de auditoría reflejan la descripción de la responsabilidad de la dirección que recoge la NIA 210, en relación con los estados financieros.
- El auditor no presenció el recuento físico de existencias al inicio del periodo actual y no pudo obtener evidencia de auditoría suficiente y adecuada en relación con los saldos de apertura de las existencias.
- Los posibles efectos de la imposibilidad de obtener evidencia de auditoría suficiente y adecuada sobre los saldos de apertura de las existencias se consideran materiales pero no generalizados en los resultados y los flujos de efectivo de la entidad(13)
- La situación financiera al cierre del ejercicio se presenta fielmente.
- Se considera adecuada a las circunstancias una opinión con salvedades en relación con los resultados y flujos de efectivo y una opinión no modificada (favorable) en relación con la situación financiera.
- Los requerimientos de ética que son de aplicación a la auditoría son los de la jurisdicción.
- Basándose en la evidencia de auditoría obtenida, el auditor ha concluido que no existe una incertidumbre material relacionada con hechos o con condiciones que puedan generar dudas significativas sobre la capacidad de la entidad para continuar como empresa en funcionamiento de conformidad con la NIA 570 (Revisada).
- El auditor no está obligado a comunicar las cuestiones clave de la auditoría de conformidad con la NIA 701 y ha decidido no hacerlo por algún otro motivo.
- Se presentan cifras comparativas v los estados financieros correspondientes al periodo anterior fueron auditados por un auditor predecesor. Las disposiciones legales o reglamentarias no prohíben al auditor hacer referencia al informe de auditoría del auditor predecesor en lo relativo a las cifras correspondientes de periodos anteriores v el auditor ha decidido hacerlo.
- Los responsables de la supervisión de los estados financieros son distintos de los responsables de la preparación de los estados financieros.
- Además de la auditoría de los estados financieros, el auditor tiene otras responsabilidades de información impuestas por la legislación local.
INFORME DE AUDITORIA EMITIDO POR UN AUDITOR INDEPENDIENTE
A los accionistas de la Sociedad ABC fo al destinatario correspondiente que corresponda]
Informe sobre la auditoría de los estados financieros (14)
Opinión
Hemos auditado los estados financieros adjuntos de la sociedad ABC (la Sociedad), que comprenden el estado de situación financiera a 31 de diciembre de 20X1, el estado del resultado global, el estado de cambios en el patrimonio neto y el estado de flujos de efectivo correspondientes al ejercicio terminado en dicha fecha, así como las notas explicativas de los estados financieros que incluyen un resumen de las políticas contables significativas y otra información explicativa.
Opinión con salvedades sobre los resultados y los flujos de efectivo
En nuestra opinión, excepto por los posibles efectos de la cuestión descrita en el párrafo la sección Fundamento de la opinión con salvedades de nuestro informe, el estado del resultado global y el estado de flujos de efectivo adjuntos presentan fielmente, en todos los aspectos materiales, (o expresan la imagen fiel de) los resultados y los flujos de efectivo de la Sociedad ABC correspondientes al ejercicio terminado a 31 de diciembre de 20X1, de conformidad con las Normas Internacionales de Información Financiera (NIIF).
Opinión sobre la situación financiera
En nuestra opinión, el estado de situación financiera adjunto presenta fielmente, en todos los aspectos materiales, (o expresa la imagen fiel de) la situación financiera de la Sociedad a 31 de diciembre de 20X1 de conformidad con las Normas Internacionales de Información Financiera NIIF.
Fundamento de las opiniones, incluido el Fundamento de la opinión con salvedades sobre los resultados y los flujos de efectivo
Fuimos nombrados auditores de la ©Sociedad el 30 de junio de 20X1 y, por lo tanto, no presenciamos el recuento físico de las existencias al inicio del ejercicio. No hemos podido satisfacernos por medios alternativos de las cantidades de existencias a 31 de diciembre de 20X0. Puesto que las existencias iniciales influyen en la determinación del resultado y de los flujos de efectivo, no hemos podido determinar si hubiese sido necesario realizar ajustes en el beneficio del ejercicio consignado en el estado del resultado global y en los flujos de efectivo netos procedentes de las actividades de explotación consignados en el estado de flujos de efectivo.
Hemos llevado a cabo nuestra auditoría de conformidad con las Normas Internacionales de Auditoría (NIA). Nuestras responsabilidades de acuerdo con dichas normas se describen más adelante en la sección Responsabilidades del auditor en relación con la auditoría de los estados financieros de nuestro informe. Somos independientes de la Sociedad de conformidad con los requerimientos de ética aplicables a nuestra auditoría de los estados financieros en y hemos cumplido las demás responsabilidades de ética de conformidad con esos requerimientos. Consideramos que la evidencia de auditoría que hemos obtenido proporciona una base suficiente y adecuada para nuestra opinión de auditoría no modificada (favorable) sobre la situación financiera y para nuestra opinión con salvedades sobre los resultados y los flujos de efectivo.
Otra cuestión
Los estados financieros de la ©Sociedad ABC correspondientes al ejercicio terminado a 31 de diciembre de 20X0 fueron auditados por otro auditor que expresó una opinión no modificada (favorable) sobre dichos estados financieros el 31 de marzo de 20X1.
Responsabilidades de la dirección(15) y de los responsables del gobierno de la entidad en relación con los estados financieros(16)
[Informe de conformidad con la NIA 700 (Revisada) - véase Ejemplo 1 de la NIA 700 (Revisada).]
La dirección es responsable de la preparación y presentación fiel de los estados financieros adjuntos de conformidad con las Normas Internacionales de Información Financiera(17), y del control interno que la dirección considere necesario para permitir la preparación de estados financieros libres de incorrección material, debida a fraude o error.
Responsabilidades del auditor en relación con la auditoría de los estados financieros
[Informe de conformidad con la NIA 700 (Revisada) - véase Ejemplo 1 de la NIA 700 (Revisada).]
Nuestra responsabilidad es expresar una opinión sobre los estados financieros adjuntos basada en nuestra auditoría. Hemos llevado a cabo nuestra auditoría de conformidad con las Normas Internacionales de Auditoría. Dichas normas exigen que cumplamos los requerimientos de ética, así como que planifiquemos y ejecutemos la auditoría con el fin de obtener una seguridad razonable sobre si los estados financieros están libres de incorrección material.
Una auditoría conlleva la aplicación de procedimientos para obtener evidencia de auditoría sobre los importes y la información revelada en los estados financieros. Los procedimientos seleccionados dependen del juicio del auditor, incluida la valoración de los riesgos de incorrección material en los estados financieros, debida a fraudo o error para diseñar y aplicar procedimientos do auditoría para responder a esos riesgos y–obtenemos evidencia de auditoría suficiente y adecuada para fundamentar nuestra opinión. El riesgo do no detectar una incorrección material debida a fraudo os más elevado que en el caso de una incorrección material debida a error, ya que el fraude puede implicar colusión,–falsificación,–omisiones–deliberadas,–manifestaciones–intencionadamente erróneas, o la ilusión del control interno.
Al efectuar dichas valoraciones del riesgo, el auditor tiene en cuenta el control interno relevante para la preparación y presentación fiel(18) por parto do la entidad do los estados financieros, con el fin de diseñar los procedimientos do auditoría que sean adecuados en función do las circunstancias, y no con la finalidad de expresar una opinión sobre la eficacia del control interno de la entidad(19). Una auditoría también incluyo la evaluación do la adecuación do las políticas contables aplicadas y do la razonabilidad do las estimaciones contables realizadas por la dirección, así como la evaluación de la presentación global de los estados financieros. Consideramos que la evidencia de auditoría que hemos obtenido proporciona una baso suficiente y adecuada para nuestra opinión do auditoría no modificada sobre la situación financiera y para nuestra opinión con salvedades sobre los resultados y los flujos de efectivo.
Informe sobre otros requerimientos legales y reglamentarios
[Informe de conformidad con la NIA 700 (Revisada) – véase Ejemplo 1 de la NIA 700 (Revisada).]
[La estructura y contenido de esta sección del informe de auditoría variará dependiendo de la naturaleza de las otras responsabilidades de información del auditor.]
[Firma del auditor Firma en nombre de la firma de auditoría, en nombre propio o en nombre de ambos, según proceda en la jurisdicción de que se trate]
[Dirección del auditor]
[Fecha del informe de auditoría]
NOTAS AL FINAL:
1._ NIA 600, Consideraciones especiales - Auditorías de estados financieros de grupos (incluido el trabajo de los auditores de los componentes)
2. NIA 210. Acuerdo de los términos del encargo de auditoría.
3. Si, a juicio del auditor, los posibles efectos se consideran materiales y generalizados en los resultados y los flujos de efectivo de la entidad, el auditor denegará la opinión (se abstendrá de opinar) sobre dichos resultados y los flujos de efectivo.
4. NIA 570 (Revisada), Empresa en funcionamiento.
5. NIA 701, Comunicación de las cuestiones clave de la auditoría en el informe de auditoría emitido por un auditor independiente.
6. El subtítulo " Informe sobre la auditoría de los estados financieros" no es necesario en aquellas circunstancias en las que no sea procedente el segundo subtitulo, "Informe sobre otros requerimientos legales y reglamentarios"
7. U otro término adecuado según el marco legal de la jurisdicción de que se trate.
8. En estos ejemplos de informes de auditoría, es posible que U-otro los términos dirección y responsables del gobierno de la entidad tengan que ser sustituidos por otro término que sea adecuado en el contexto del marco legal de la jurisdicción de que se trate.
9. NIA 700 (Revisada). Formación de la opinión y emisión del informe de auditoría sobre los estados financieros
10.- Cuando la responsabilidad de la dirección sea la preparación de estados financieros que expresen la imagen fiel, la redacción podrá sor la siguiente: “La dirección os responsable do la preparación do estados financieros quo expresión la imagen fiel de conformidad con las Normas Internacionales de Información Financiera, y del..."
11. En ol caso do la nota 4, la redacción podrá por la siguiente: “Al efectuar dichas valoraciones del nesgo, ol auditor tiene en cuenta el control interno relevante para la preparación por parte de la entidad de los estados financieros que expresen la imagen fiel, con ol fin do diseñar los procedimientos do auditoría quo sean adecuados en función do las circunstancias, y no con la finalidad de expresar una opinión sobre la eficacia del control interno de la entidad.”
12. En circunstancias en las que el auditor tenga asimismo la responsabilidad de expresar una opinión sobre la eficacia del control interno junto con la auditoría de los estados financieros, esta frase se podrá redactar como sigue: "Al efectuar dichas valoraciones del riesgo, el auditor tiene en cuenta el control interno relevante para la preparación y presentación fiel por parte de la entidad de los estados financieros, con el fin de diseñar los procedimientos de auditoría que sean adecuados en función de las circunstancias "En el caso nota 4 la redacción podrá ser la siguiente: "Al efectuar dichas valoraciones del riesgo, el auditor tiene en cuenta el control interno relevante para la preparación por parte de la entidad de los estados financieros que expresen la imagen fiel, con el fin de diseñar los procedimientos de auditoría que sean adecuados en función de las circunstancias.
13. Si, a juicio del auditor, los posibles efectos se consideraran materiales y generalizados en los resultados y los flujos de efectivo de la entidad, el auditor denegará la opinión (se abstendrá de opinar) sobre dichos resultados y flujos de efectivo.
14. El subtítulo "Informe sobre la auditoria de los estados financieros" no es necesario en aquellas circunstancias en las que no sea procedente el segundo subtitulo, "Informe sobre otros requerimientos legales y reglamentarios"
15. U otro término adecuado según el marco legal de la jurisdicción de que se trate.
16. U otros términos adecuados según el marco legal de la jurisdicción de que se trate.
17. Cuando la responsabilidad de la dirección sea la preparación de estados financieros que expresen la imagen fiel, la redacción podrá ser la siguiente: "la redacción es responsable de la preparación de estados financieros que expresen la imagen fiel de conformidad con las normas internacionales de formación financiera y del...."
18. En caso de la nota 4, la redacción podrá ser la siguiente: "Al efectuar dichas valoraciones de riego el auditor tiene en cuenta el control interno relevante para la preparación por parte de la entidad de los estados financieros que expresen la imagen fiel, con el fin de diseñar los procedimientos de auditoría que sean adecuados en función de las circunstancias, y no con la finalidad de expresar una opinión sobre la eficacia del control interno de la entidad"
19. En circunstancias en las que el auditor tenga asimismo la responsabilidad de expresar una opinión sobre la eficacia del control interno junto con la auditoría de los estados financieros, esta frase se podrá redactar como sigue: "Al efectuar dichas valoraciones del riesgo, el auditor tiene en cuenta el control interno relevante para la preparación y presentación fiel por parte de la entidad de los estados financieros, con el fin de diseñar los procedimientos de auditoría que sean adecuados en función de las circunstancias". En el caso de la nota 4, la redacción podrá ser la siguiente: " Al efectuar dichas valoraciones del riesgo, el auditor tiene en cuenta el control interno relevante para la preparación por parte de la entidad de los estados financieros que expresen la imagen fiel, con el fin de diseñar los procedimientos de auditoría que sean adecuados en función de las circunstancias
NIA 540, Auditoría de estimaciones contables, incluidas las de valor razonable, y de la información relacionada a revelar
Guía de aplicación y otras anotaciones explicativas
Procedimientos posteriores sustantivos para responder a los riesgos significativos (Ref: Apartado 15)
Criterios de reconocimiento y medición
Reconocimiento de las estimaciones contables en los estados financieros (Ref: Apartado 17(a))
A114. Con respecto a las estimaciones contables que no han sido reconocidas, en su evaluación el auditor se centra en determinar si se han cumplido los criterios de reconocimiento del marco de información financiera aplicable. Incluso en el caso de que una estimación contable no hubiera sido reconocida, y el auditor concluyera que este tratamiento es adecuado, puede ser necesario revelar información en las notas explicativas de los estados financieros sobre las circunstancias que concurren. Cuando corresponda, el auditor también puede determinar que existo la necesidad do llamar la atención del lector sobro la existencia una estimación contable para la que se ha identificado un erado elevado de ««a-incertidumbre en la estimación añadiendo un párrafo de énfasis en el informe de auditoría, es una cuestión clave de la auditoría que se debe comunicar en el informe de auditoría de conformidad con la NIA 701(1) o puede considerar necesario incluir un párrafo de énfasis en el informe de auditoría (véase la NIA706 (Revisada)(2). La NlA(3) establece los requerimientos y proporciona orientaciones en relación con dicho párrafo. Sí se considera que la cuestión es una cuestión clave de la auditoría, la NIA 706 (Revisada) prohíbe al auditor incluir un párrafo de énfasis en el informe de auditoría(4)
NIA 580, Manifestaciones escritas
Nota: Cuando las NIA fueron aclaradas, todas tuvieron la misma fecha de entrada en vigor. Debido a que algunas de las NIA (normas de auditoría nuevas o revisadas) tienen ahora distinta fecha de entrada en vigor, la frase "en vigor para auditorías de estados financieros correspondientes a periodos iniciados a partir del 15 de diciembre de 2009" se eliminará en el anexo de la NIA 580.
NOTAS AL FINAL:
1. NIA 701, Comunicación de las cuestiones clave de la auditoría en el informe de auditoría emitido por un auditor independiente.
2. NIA 706 (Revisada), Párrafos de énfasis y párrafos sobre otras cuestiones en el informe de auditoría emitido por un auditor independiente.
3. NIA 706 (Revisada), Párrafos de énfasis y párrafos sobre otras cuestiones en el informe emitido por un auditor independiente.
4. NIA 706 (Revisada), apartado 8(b)
NIA 600, Consideraciones especiales - Auditorías de estados financieros de grupos (incluido el trabajo de los auditores de los componentes)
Anexo 1
(Ref: Apartado A19)
Ejemplo de informe de auditoría cuando el equipo del encargo del grupo no ha podido obtener evidencia de auditoría suficiente y adecuada en la que basar la opinión de auditoría del grupo
Nota: En este ejemplo de informe de auditoría, la sección Opinión se ha situado en primer lugar de conformidad con la NIA 700 (Revisada) v la sección Fundamento de la opinión se ha situado inmediatamente detrás de la sección Opinión. Así mismo, la primera v la última frase que se incluían en la antigua sección Responsabilidades del auditor ahora forman parte de la nueva sección Fundamento de la opinión.
Ejemplo de una opinión con salvedades cuando el equipo del encargo del grupo no ha podido obtener evidencia de auditoría suficiente y adecuada en la que basar la opinión de auditoría del grupo
Este ejemplo de informe de auditoría está basado en que concurren las siguientes circunstancias.
- Auditoría de un conjunto completo de estados financieros consolidados de una entidad que no es una entidad cotizada preparados de conformidad con un marco de imagen fiel. Se trata de la auditoría de un grupo (es decir, es aplicable la NIA 600).
- Los estados financieros consolidados han sido preparados por la dirección de la entidad de conformidad con las NIIF (un marco de información con fines generales).
- Los términos del encargo de auditoría reflejan la descripción de la responsabilidad de la dirección que recoge la NIA 210, en relación con los estados financieros consolidados.
- En este ejemplo, eEl equipo del encargo del grupo no ha podido obtener evidencia de auditoría suficiente y adecuada con respecto a un componente significativo contabilizado por el método de la participación (reconocido por 15 millones de dólares USA en el estado de situación financiera, que refleja unos activos totales de 60 millones de dólares USA) porque el equipo del encargo del grupo no tuvo acceso a los registros contables, a la dirección, o al auditor del componente.
- El equipo del encargo del grupo ha leído los estados financieros auditados del componente a 31 de diciembre de 20X1, incluido el informe de auditoría correspondiente, y ha examinado la información financiera relacionada que posee la dirección del grupo con respecto al componente.
- En opinión del socio del encargo del grupo, el efecto sobre los estados financieros del grupo de esta imposibilidad de obtener evidencia de auditoría suficiente y adecuada es material, pero no generalizado.(1)
- El Código de Ética para Profesionales de la Contabilidad del Consejo de Normas Internacionales de Ética para Contadores (Código de ética del IESBA1 contiene todos los requerimientos de ética aplicables a la auditoría.
- Basándose en la evidencia de auditoría obtenida, el auditor ha concluido que no existe una incertidumbre material relacionada con hechos o con condiciones que puedan generar dudas significativas sobre la capacidad de la entidad para continuar como empresa en funcionamiento de conformidad con la NIA 570 (Revisada).
- El auditor no está obligado a comunicar las cuestiones clave de la auditoría de conformidad con la NIA 701 y ha decidido no hacerlo por algún otro motivo.
- Los responsables de la supervisión de los estados financieros consolidados son distintos de los responsables de la preparación de los estados financieros consolidados.
- Además de la auditoría de los estados financieros consolidados, el auditor tiene otras responsabilidades de información impuestas por la legislación local.
Ejemplo do una opinión con salvedades cuando el equipo del encargo del grupo no ha podido obtener evidencia do auditoría suficiente y adecuada en la que basar la opinión do auditoría del grupo
En este ejemplo, el equipo del encargo del grupo no ha podido obtener evidencia de auditoría suficiente y adecuada con respecto a un componente significativo contabilizado por el método do la participación (reconocido por 15 millones do dólares USA en el estado do situación financiera, quo refleja unos activos totales de 60 millones de dólares USA) porque el equipo del encargo del grupo no tuvo acceso a los registros contables, a la dirección, o al auditor del componente.
El equipo del encargo del grupo ha leído los estados financieros auditados del componente a 31 de diciembre do 20X1, incluido el informo do auditoría correspondiente, y ha examinado la información financiera relacionada quo poseo la dirección del grupo con respecto al componente.
En opinión del socio del encargo del grupo, el efecto sobro los estados financieros del grupo do osta imposibilidad do obtener evidencia do auditoría suficiente y adecuada os material, poro no generalizado.
INFORME DE AUDITORÍA EMITIDO POR UN AUDITOR INDEPENDIENTE
A los accionistas de la Sociedad ABC fo al destinatario correspondiente que corresponda
Informe sobre la auditoría de los estados financieros consolidados(2)
Opinión con salvedades
Hemos auditado los estados financieros adjuntos consolidados do la sociedad ABC y sus dependientes(el Grupo), quo comprenden el estado do situación financiera consolidado a 31 de diciembre de 20X1, el estado del resultado global consolidado, el estado do cambios en el patrimonio neto consolidado y el estado do flujos de efectivo consolidado correspondientes al ejercicio terminado en dicha focha, así como las notas explicativas de los estados financieros que incluyen un resumen do las políticas contables significativas y otra información explicativa.
En nuestra opinión, excepto por los posibles efectos do la cuestión descrita en el párrafo de la sección Fundamento de la opinión con salvedades de nuestro informe, los estados financieros consolidados adjuntos presentan fielmente, en todos los aspectos materiales, (o expresan la imagen fiel de) la situación financiera del Grupo do la Sociedad ABC y sus dependientes a 31 de diciembre do 20X1, así como (de) sus resultados y flujos de efectivo correspondientes al ejercicio terminado en dicha focha, do conformidad con las Normas Internacionales do Información Financiera (NIIF).
Fundamento de la opinión con salvedades
La inversión do la sociedad ABC en la sociedad XYZ, una entidad asociada extranjera adquirida durante el ejercicio y contabilizada por el método de la participación, está registrada por 15 millones de dólares USA en el estado de situación financiera consolidado a 31 de diciembre de 20X1, y la participación de ABC en el resultado neto de XYZ de 1 millón de dólares USA se incluye en el estado del resultado global consolidado para el ejercicio terminado en dicha fecha. No hemos podido obtener evidencia de auditoría suficiente y adecuada sobre el importe registrado de la inversión de ABC en XYZ a 31 de diciembre de 20X1, ni sobre la participación de ABC en el resultado neto de XYZ correspondiente al ejercicio, debido a que se nos denegó el acceso a la información financiera, a la dirección y a los auditores do XYZ. Por consiguiente, no hemos podido determinar si estos importes deben ser ajustados.
Hemos llevado a cabo nuestra auditoría de conformidad con las Normas Internacionales de Auditoría (NIA). Nuestras responsabilidades de acuerdo con dichas normas se describen más adelante en la sección Responsabilidades del auditor en relación con la auditoría de los estados financieros consolidados de nuestro informe. Somos independientes del Grupo de conformidad con el Código de Ética para Profesionales de la Contabilidad del Consejo de Normas Internacionales de Ética para Contadores (Código de Ética del IESBA), v hemos cumplido las demás responsabilidades de ética de conformidad con el Código de Ética del IESBA. Consideramos que la evidencia de auditoría que hemos obtenido proporciona una base suficiente y adecuada para nuestra opinión de auditoría con salvedades.
Responsabilidades de la dirección(3) y de los responsables del gobierno de la entidad en relación con los estados financieros consolidados(4)
[Informe de conformidad con la NIA 700 (Revisada)(5) - véase Ejemplo 2 de la NIA 700 (Revisada).]
La dirección es responsable de la preparación y presentación fiel de los estados financieros consolidados adjuntos de conformidad con las Normas Internacionales de Información Financiera(6), y del control interno que la dirección considere necesario para permitir la preparación de estados financieros consolidados libros do incorrección material, debida a fraudo o error.
Responsabilidades del auditor en relación con la auditoría de los estados financieros consolidados
Informe de conformidad con la NIA 700 (Revisada) - véase Ejemplo 2 de la NIA 700 (Revisada). Los dos últimos párrafos que son aplicables en las auditorías de entidades cotizadas no se incluirían.]
Nuestra responsabilidad es expresar una opinión sobre los estados financieros consolidados adjuntos basada en nuestra auditoría. Hemos llevado a cabo nuestra auditoría do conformidad con las Normas Internacionales do Auditoría. Dichas normas exigen quo cumplamos los requerimientos de ética, así como que planifiquemos y ejecutemos la auditoría con el fin de obtener una seguridad razonable sobre si los estados financieros consolidados están libres de incorrección material.
Una auditoría conlleva la aplicación de procedimientos para obtener evidencia de auditoría sobre los importes y la información revelada en los estados financieros consolidados. Los procedimientos seleccionados dependen del juicio del auditor, incluida la valoración de los riesgos de incorrección material en los estados financieros consolidados, debida a fraude o error. Al efectuar dichas valoraciones del riesgo, el auditor tiene en cuenta el control interno relevante para la preparación y presentación fiol(7) por parto do la entidad do los estados financieros consolidados, con el fin de diseñar los procedimientos de auditoría que sean adecuados en función de las circunstancias, y no con la finalidad de expresar una opinión sobre la eficacia del control interno de la entidad(8). Una auditoría también incluye la evaluación de la adecuación de las políticas contables aplicadas y de la razonabilidad do las estimaciones contables realizadas por la dirección, así como la evaluación do la presentación global do los estados financieros consolidados.
Consideramos quo la evidencia do auditoría quo hemos obtenido proporciona una baso suficiente y adecuada para nuestra opinión do auditoría con salvedades.
Informe sobre otros requerimientos legales y reglamentarios
Informe de conformidad con la NIA 700 (Revisada) - véase Ejemplo 2 de la NIA 700 (Revisada).]
[La estructura y contenido do osta sección del informo do auditoría variará dependiendo de la naturaleza do las otras responsabilidades do información del auditor.]
[Firma del auditor Firma en nombre de la firma de auditoría, en nombre propio o en nombre de ambos, según proceda en la jurisdicción de que se trate]
[Dirección del auditor]
[Fecha del informe de auditoría]
NOTAS AL FINAL:
1. Si, a juicio del socio del encargo del grupo, el efecto sobre los estados financieros del grupo de la imposibilidad de obtener evidencia de auditoría suficiente y adecuada fuese material v generalizado, el socio del encargo del grupo denegará la opinión (se abstendrá de opinar) de conformidad con la NIA 705 (Revisada).
2. El subtítulo “Informe sobre la auditoría de los estados financieros" no es necesario en aquellas circunstancias en las que no sea procedente el segundo subtítulo, “Informe sobre otros requerimientos legales y reglamentarios".
3. U otro término adecuado según el marco legal de la jurisdicción de que se trate.
4. En estos ejemplos de informes de auditoría, es posible que U otro los términos dirección y responsables del gobierno de la entidad tengan que ser sustituidos por otro término que sea adecuado en el contexto del marco legal de la jurisdicción de que se trate.
5. NIA 700 (Revisada), Formación de la opinión y emisión del informe de auditoría sobre los estados financieros
6. Cuando la responsabilidad de la dirección sea la preparación de estados financieros consolidados que expresen la imagen fiel, la redacción podrá ser la siguiente: "La redacción es la responsable de la preparación de estados financieros" consolidados que expresen la imagen fiel de conformidad con las Normas Internacionales de Información Financiera, y del
7. En el caso de la nota 2, la redacción podrá ser la siguiente: "Al efectuarse dichas valoraciones de riesgo, el auditor tiene en cuenta el control interno relevante para la preparación por parte de la entidad de los estados financieros consolidados que expresen la imagen fiel con el fin de diseñar los procedimientos de auditoría que sean adecuados en función de las circunstancias, y no con la finalidad de expresar una opinión sobre la eficacia del control interno de la entidad.
8. En circunstancias en las que el auditor tenga asimismo la responsabilidad de expresar una opinión sobre la eficacia del control interno junto con la auditoría de los estados financieros consolidados, esta frase se podrá redactar como sigue: "Al efectuarse dichas valoraciones de riesgo, el auditor tiene en cuenta el control interno relevante para la preparación y presentación fiel por parte de la entidad de los estados financieros consolidados, con el fin de diseñar los procedimientos de auditoria que sean adecuados en función de las circunstancias", En el caso de la nota 2, la redacción podrá se la siguiente: "Al efectuarse dichas valoraciones del riesgo, el auditor tiene en cuenta el control interno relevante para la preparación por parte de la entidad de los estados financieros consolidados que expresen la imagen fiel, con el fin de diseñar los procedimientos de auditoria que sean adecuados en función de las circunstancias".
NIA 710, Información comparativa - Cifras correspondientes de periodos anteriores y estados financieros comparativos.
Requerimientos
Informe de auditoría
Cifras correspondientes de periodos anteriores Estados financieros del periodo anterior no auditados
14. Si los estados financieros del periodo anterior no fueron auditados, el auditor manifestará en un párrafo sobre otras cuestiones del informe de auditoría que las cifras correspondientes de periodos anteriores no han sido auditadas. Sin embargo, dicha declaración no exime al auditor del requerimiento de obtener evidencia de auditoría suficiente y adecuada de que los saldos de apertura no contienen incorrecciones que afecten de forma material a los estados financieros del periodo actual. (Ref: Apartado A7a)
Estados financieros comparativos
16. Cuando se informa sobre los estados financieros del periodo anterior en conexión con la auditoria del periodo actual, el auditor, en el caso que su opinión sobre los estados financieros del periodo anterior difiera de la que previamente se expresó, revelara los motivos fundamentales de la diferencia en la opinión en un párrafo sobre otras cuestiones de acuerdo con la NIA 706 (Revisada)
Estados financieros del periodo anterior no auditados
19. Si lo estados financieros del periodo anterior no fueron auditados, el auditor manifestara en un párrafo sobre otras cuestiones que los estados financieros comparativos no han sido auditados. Sin embargo, dicha declaración no exime al auditor del requerimiento de obtener evidencia de auditoria suficiente y adecuada de que los saldos de apertura no contienen incorrecciones que afecten de forma material a los estados financieros del periodo actual. (Ref: Apartado A12)
Guía de aplicación y otras anotaciones explicativas
Informe de auditoria
Cifras correspondientes de periodos anteriores
Estados financieros del periodo anterior no auditados (Ref: Apartado 14)
A7a) Si el auditor no puede obtener evidencia de auditoría suficiente v adecuada con respecto a los saldos de apertura, está obligado por la NIA 705 (Revisada)(1) a expresar una opinión con salvedades o a denegar la opinión (abstenerse de opinar) sobre los estados financieros, según corresponda, de conformidad con la NIA 705 (Revisada). Si el auditor encontrara dificultades significativas para obtener evidencia de auditoría suficiente v adecuada de que los saldos de apertura no contienen incorrecciones que afectan materialmente a los estados financieros del ejercicio actual, puede determinar que se trata de una cuestión clave de la auditoría de conformidad con la NIA 701(2).
Estados financieros comparativos
Estados financieros del periodo anterior no auditados (Ref: Apartado 19)
A12. Si el auditor no puede obtener evidencia de auditoría suficiente v adecuada con respecto a los saldos de apertura, está obligado por la NIA 705 (Revisada) a expresar una opinión con salvedades o a denegar la opinión (abstenerse de opinar) sobre los estados financieros, según corresponda, de conformidad con la NIA 705 (Revisada). Si el auditor encontrara dificultades significativas para obtener evidencia de auditoría suficiente v adecuada de que los saldos de apertura no contienen incorrecciones que afectan materialmente a los estados financieros del ejercicio actual, puede determinar que se trata de una cuestión clave de la auditoría de conformidad con la NIA 701.
Anexo
Ejemplos de informes de auditoría
Nota: En todos estos ejemplos de informes de auditoría, la sección Opinión se ha situado en primer lugar de conformidad con la NIA 700 (Revisada) v la sección Fundamento de la opinión se ha situado inmediatamente detrás de la sección Opinión. Así mismo, la primera v la última frase que se incluían en la antigua sección Responsabilidades del auditor ahora forman parte de la nueva sección Fundamento de la opinión.
Ejemplo 1 - Cifras correspondientes de periodos anteriores (Ref: Apartado A5)
Informe ilustrativo de las circunstancias descritas en el apartado 11(a):Este ejemplo de informe de auditoría está basado en no concurren las siguientes circunstancias:
- Auditoría de un conjunto completo de estados financieros de una entidad que no es una entidad cotizada preparados de conformidad con un marco de imagen fiel la auditoría no es una auditoría de un (es decir, no es aplicable la NIA 600(3)).
Los estados financieros han sido reparados por la dirección de la entidad de conformidad con las Normas Internacionales de Información Financiera ÍNIIFI un marco de información financiera con fines generales.
Los términos del encargado de auditoría reflejan la descripción de la responsabilidad de la dirección que recae la NIA 210(4), en relación con los estados financieros.
- El informe de auditoría sobre el periodo anterior, emitido previamente, contenía una opinión con salvedades.
- La cuestión que originó la opinión modificada no ha sido resuelta.
- Los efectos, o posibles efectos, de dicha cuestión sobre las cifras del periodo actual son materiales y requieren que se exprese una opinión modificada con respecto a las cifras del periodo actual.
- Los requerimientos de ética que son de aplicación a la auditoría son los de la jurisdicción.
- Basándose en la evidencia de auditoría obtenida, el auditor ha concluido que no existe una incertidumbre material relacionada con hechos o con condiciones que puedan generar dudas significativas sobre la capacidad de la entidad para continuar como empresa en funcionamiento de conformidad con la NIA 570 (Revisada.(5)
- El auditor no está obligado a comunicar las cuestiones clave de la auditoría de conformidad con la NIA 701(6)v ha decidido no hacerlo por algún otro motivo.
- Los responsables de la supervisión de los estados financieros son distintos de los responsables de la preparación de los estados financieros.
- Además de la auditoría de los estados financieros, el auditor tiene otras responsabilidades de información impuestas por la legislación local.
INFORME DE AUDITORÍA EMITIDO POR UN AUDITOR INDEPENDIENTE
A los accionistas de la Sociedad ABC lo al destinatario correspondiente que corresponda
Informe sobre la auditoría de los estados financieros(7)
Opinión con salvedades
Hemos auditado los estados financieros adjuntos de la sociedad ABC (la Sociedad), que comprenden el estado de situación financiera a 31 de diciembre de 20X1, el estado del resultado global, el estado de cambios en el patrimonio neto y el estado de flujos de efectivo correspondientes al ejercicio terminado en dicha fecha, así como las notas explicativas de los estados financieros que incluyen un resumen de las políticas contables significativas y otra información explicativa.
En nuestra opinión, excepto por los efectos de la cuestión descrita en el párrafo de la sección Fundamento de la opinión con salvedades de nuestro informe, los estados financieros adjuntos presentan fielmente, en todos los aspectos materiales, (o expresan la imagen fiel de) la situación financiera de la Sociedad ABC a 31 de diciembre de 20X1, así como (de) sus resultados y flujos de efectivo correspondientes al ejercicio terminado en dicha fecha, de conformidad con las Normas Internacionales de Información Financiera (NIIF).
Fundamento de la opinión con salvedades
Tal como se comenta en la nota explicativa X de los estados financieros, no se ha registrado amortización alguna en los estados financieros, lo que constituye un incumplimiento de las Normas Internacionales de Información Financiera NIIF. Este es el resultado de una decisión tomada por la dirección al comienzo del ejercicio anterior y que motivó nuestra opinión de auditoría con salvedades sobre los estados financieros relativos a dicho ejercicio. Sobre la base de un método de amortización lineal y una tasa anual del 5% para edificios y del 20% para equipos, las pérdidas del ejercicio deben incrementarse en xxx en 20X1 y xxx en 20X0, el inmovilizado material debe reducirse por la amortización acumulada de xxx en 20X1 y xxx en 20X0, y las pérdidas acumuladas deben incrementarse en xxx en 20X1 y xxx en 20X0.
Hemos llevado a cabo nuestra auditoría de conformidad con las Normas Internacionales de Auditoría (NIA). Nuestras responsabilidades de acuerdo con dichas normas se describen más adelante en la sección Responsabilidades de[ auditor en relación con auditoría de los estados financieros de nuestro informe. Somos independientes de la Sociedad de conformidad con los requerimientos de ética aplicables a nuestra auditoría de los estados financieros en {jurisdicción] v hemos cumplido las demás responsabilidades de ética de conformidad con esos requerimientos. Consideramos que la evidencia de auditoría que hemos obtenido proporciona una base suficiente y adecuada para nuestra opinión de auditoría con salvedades.
Responsabilidades de la dirección(8) y de los responsables del gobierno de la entidad en relación con los estados financieros consolidados(9)
[Informe de conformidad con la NIA 700 (Revisada) - véase Ejemplo 1 de la NIA 700 (Revisada).]
La dirección es responsable de la preparación y presentación fiel de los estados financieros adjuntos de conformidad con las Normas Internacionales de Información Financiera(10), y del control interno que la dirección considere necesario para permitir la preparación de estados financieros libres de incorrección material, debida a fraude o error.
Responsabilidades del auditor en relación con la auditoría de los estados financieros
[Informe de conformidad con la NIA 700 (Revisada) – véase Ejemplo 1 de la NIA 700 (Revisada).]
Nuestra responsabilidad es expresar una opinión sobre los estados financieros adjuntos basada en nuestra auditoría. Hemos llevado a cabo nuestra auditoría de conformidad con las Normas Internacionales de Auditoría. Dichas normas exigen que cumplamos los requerimientos de ética, así como que planifiquemos y ejecutemos la auditoría con el fin de obtener una seguridad razonable sobre si los estados financieros están libres de incorrección material.
Una auditoría conlleva la aplicación de procedimientos para obtener evidencia de auditoría sobre los importes y la información revelada en los estados financieros. Los procedimientos seleccionados dependen del juicio del auditor, incluida la valoración de los riesgos de incorrección material en los estados financieros, debida a fraude o error para diseñar y aplicar procedimientos de auditoría para responder a esos riesgos y–obtenemos evidencia de auditoría suficiente y adecuada para fundamentar nuestra opinión. El riesgo de no detectar una incorrección material debida a fraude es más elevado que en el caso de una incorrección material debida a error, ya que el fraude puede implicar–colusión,–falsificación,–omisiones–deliberadas,–manifestaciones–intencionadamente erróneas, o la alusión del control interno.
Al efectuar dichas valoraciones del riesgo, el auditor tiene en cuenta el control interno relevante para la preparación y presentación fiel(11) por parte de la entidad de los estados financieros, con el fin de diseñar los procedimientos de auditoría que sean adecuados en función de las circunstancias, y no con la finalidad de expresar una opinión sobre la eficacia del control interno de la entidad(12). Una auditoría también incluye la evaluación de la adecuación de las políticas contables aplicadas y de la razonabilidad de las estimaciones contables realizadas por la dirección, así como la evaluación de la presentación global de los estados financieros. Consideramos que la evidencia de auditoría que hemos obtenido proporciona una base suficiente y adecuada para nuestra opinión de auditoría con salvedades.
Informe sobre otros requerimientos legales y reglamentarios
\Informe de conformidad con la NIA 700 (Revisada) - véase Ejemplo 1 de la NIA 700 (Revisada).]
[La estructura y contenido de esta sección del informe de auditoría variará dependiendo de la naturaleza de las otras responsabilidades de información del auditor.]
[Firma del auditor Firma en nombre de la firma de auditoría, en nombre propio o en nombre de ambos, según proceda en la jurisdicción de que se trate]
[Dirección del auditor]
[Fecha del informe de auditoría]
Ejemplo 2 - Cifras correspondientes de periodos anteriores (Ref: Apartado A5)
Informe ilustrativo de las circunstancias descritas en el apartado 11(b): Este ejemplo de informe de auditoría está basado en que concurren las siguientes circunstancias:
- Auditoría de un conjunto completo de estados financieros de una entidad que no es una entidad cotizada preparados de conformidad con un marco de imagen fiel. La auditoría no es una auditoría de un grupo (es decir, no es aplicable la NIA 600).
Los estados financieros han sido preparados por la dirección de la entidad de conformidad con las NIIF (un marco de información con fines generales).
Los términos del encargo de auditoría reflejan la descripción de la responsabilidad de la dirección que recoge la NIA 210, en relación con los estados financieros.
- El informe de auditoría sobre el periodo anterior, emitido previamente, contenía una opinión con salvedades.
- La cuestión que originó la opinión modificada no ha sido resuelta.
- Los efectos, o posibles efectos, de dicha cuestión en las cifras del periodo actual son inmateriales pero requieren que se exprese una opinión modificada debido a los efectos, o posibles efectos, de la cuestión no resuelta sobre la comparabilidad entre las cifras del periodo actual y las cifras correspondientes a periodos anteriores.
- Los requerimientos de ética que son de aplicación a la auditoría son los de la jurisdicción.
- Basándose en la evidencia de auditoría obtenida, el auditor ha concluido que no existe una incertidumbre material relacionada con hechos o con condiciones que puedan generar dudas significativas sobre la capacidad de la entidad para continuar como empresa en funcionamiento de conformidad con la NIA 570 (Revisada).
- El auditor no está obligado a comunicar las cuestiones clave de la auditoría de conformidad con la NIA 701 y ha decidido no hacerlo por algún otro motivo.
- Los responsables de la supervisión de los estados financieros son distintos de los responsables de la preparación de los estados financieros.
- Además de la auditoría de los estados financieros, el auditor tiene otras responsabilidades de información impuestas por la legislación local.
INFORME DE AUDITORIA EMITIDO POR UN AUDITOR INDEPENDIENTE
A los accionistas de la Sociedad ABC al destinatario correspondiente que corresponda)
Informe sobre la auditoría de los estados financieros(13)
Opinión con salvedades
Hemos auditado los estados financieros adjuntos de la sociedad ABC (la Sociedad), que comprenden el estado de situación financiera a 31 de diciembre de 20X1, el estado del resultado global, el estado de cambios en el patrimonio neto y el estado de flujos de efectivo correspondientes al ejercicio terminado en dicha fecha, así como las notas explicativas de los estados financieros que incluyen un resumen de las políticas contables significativas y otra información explicativa.
En nuestra opinión, excepto por los posibles efectos sobre las cifras correspondientes a periodos anteriores de la cuestión descrita en el párrafo de la sección Fundamento de la opinión con salvedades de nuestro informe, los estados financieros adjuntos presentan fielmente, en todos los aspectos materiales, (o expresan la imagen fiel de) la situación financiera de la sociedad ABC a 31 de diciembre de 20X1, así como (de) sus resultados y flujos de efectivo correspondientes al ejercicio terminado en dicha fecha, de conformidad con las Normas Internacionales de Información Financiera (NIIF).
Fundamento de la opinión con salvedades
Debido a que fuimos nombrados auditores de la Sociedad ABC durante 20X0, no pudimos presenciar el recuento físico de las existencias al inicio del ejercicio ni hemos podido satisfacernos por medios alternativos de las cantidades de existencias. Puesto que las existencias iniciales influyen en la determinación del resultado de las operaciones, no hemos podido determinar si hubiese sido necesario realizar ajustes en el resultado de las operaciones y en las reservas iniciales por ganancias acumuladas correspondientes a 20X0. Nuestra opinión de auditoría sobre los estados financieros correspondientes al ejercicio terminado el 31 de diciembre de 20X0, consecuentemente, fue una opinión modificada. Nuestra opinión sobre los estados financieros del periodo actual también es una opinión modificada debido al posible efecto de este hecho sobre la comparabilidad entre los datos del periodo actual y las cifras correspondientes de periodos anteriores.
Hemos llevado a cabo nuestra auditoría de conformidad con las Normas Internacionales de Auditoría (NIA). Nuestras responsabilidades de acuerdo con dichas normas se describen más adelante en la sección Responsabilidades del auditor en relación con la auditoría de los estados financieros de nuestro informe. Somos independientes de la Sociedad de conformidad con los requerimientos de ética aplicables a nuestra auditoría de los estados financieros en f jurisdicción] v hemos cumplido las demás responsabilidades de ética de conformidad con esos requerimientos. Consideramos que la evidencia de auditoría que hemos obtenido proporciona una base suficiente y adecuada para nuestra opinión de auditoría con salvedades.
Responsabilidades de la dirección)(14) y de los responsables del gobierno de la entidad en relación con los estados financieros(15)
[Informe de conformidad con la NIA 700 (Revisada) - véase Ejemplo 1 de la NIA 700 (Revisada).]
La dirección os responsable do la preparación y presentación fiel do los estados financieros adjuntos de conformidad con las Normas Internacionales de Información Financiera(16), y del control interno que la dirección considero necesario para permitir la preparación do estados financieros libros do incorrección material, debida a fraudo o error.
Responsabilidades del auditor en relación con la auditoría de los estados financieros
[Informe de conformidad con la NIA 700 (Revisada) - véase Ejemplo 1 de la NIA 700 (Revisada).]
Nuestra responsabilidad es expresar una opinión sobre los estados financieros adjuntos basada en nuestra auditoría. Hemos llevado a cabo nuestra auditoría do conformidad con las Normas Internacionales do Auditoría. Dichas normas exigen que cumplamos los requerimientos do ética, así como que planifiquemos y ejecutemos la auditoría con el fin de obtener una seguridad razonable sobro si los estados financieros están libros do incorrección material.
Una auditoría conlleva la aplicación de procedimientos para obtener evidencia de auditoría sobre los importes y la información revelada en los estados financieros. Los procedimientos seleccionados dependen del juicio del auditor, incluida la valoración do los riesgos do incorrección material en los estados financieros, debida a fraude o error para diseñar y aplicar procedimientos de auditoría para responder a osos riesgos y–obtenemos evidencia do auditoría suficiente y adecuada para fundamentar nuestra opinión. El riesgo do no detectar una incorrección material debida a fraudo os más elevado que en el caso do una incorrección material debida a error, ya que el fraudo puedo implicar–colusión,–falsificación,–omisiones–deliberadas,–manifestaciones–intencionadamente erróneas, o la elusión del control interno.
Al efectuar dichas valoraciones del riesgo, el auditor tiene en cuenta el control interno relevante para la preparación y presentación fiel(17) por parto do la entidad do los estados financieros, con el fin de diseñar los procedimientos de auditoría que sean adecuados en función de las circunstancias, y no con la finalidad do expresar una opinión sobro la eficacia del control interno do la entidad(18). Una auditoría también incluyo la evaluación do la adecuación do las políticas contables aplicadas y do la razonabilidad do las estimaciones contables realizadas por la dirección, así como la evaluación do la presentación global do los estados financieros. Consideramos que la evidencia do auditoría que hemos obtenido proporciona una baso suficiente y adecuada para nuestra opinión do auditoría con salvedades.
Informe sobre otros requerimientos legales y reglamentarios
Informe de conformidad con la NIA 700 (Revisada) - véase Ejemplo 1 de la NIA 700 (Revisada).]
[La estructura y contenido de esta sección del informe de auditoría variará dependiendo de la naturaleza de las otras responsabilidades de información del auditor.]
[Firma del auditor Firma en nombre de la firma de auditoría, en nombre propio o en nombre de ambos, según proceda en la jurisdicción de que se trate]
[Dirección del auditor]
[Fecha del informe de auditoría]
Ejemplo 3.. Cifras correspondientes de periodos anteriores (Ref: Apartado A7)
Informe ilustrativo de las circunstancias descritas en el apartado 13: Este ejemplo de informe de auditoría está basado en que concurren las siguientes circunstancias:
- Auditoría de un conjunto completo de estados financieros de una entidad que no es una entidad cotizada preparados de conformidad con un marco de imagen fiel. La auditoría no es una auditoría de un grupo (es decir, no es aplicable la NIA 600).
- Los estados financieros han sido preparados por la dirección de la entidad de conformidad con las NIIF (un marco de información con fines generales).
- Los términos del encargo de auditoría reflejan la descripción de la responsabilidad de la dirección que recoge la NIA 210, en relación con los estados financieros.
- El auditor ha concluido que es adecuada una opinión no modificada (es decir, favorable o "limpia") sobre la base de la evidencia de auditoría obtenida.
- Los requerimientos de ética que son de aplicación a la auditoría son los de la jurisdicción
- Basándose en la evidencia de auditoria obtenida, el auditor ha concluido que no existe una incertidumbre material relacionada con hechos o con condiciones que puedan generar dudas significativas sobre la capacidad de la entidad para continuar como empresa en funcionamiento de conformidad con la NIA 570 (Revisada)
- El auditor no está obligado a comunicar las cuestiones clave de la auditoría de conformidad con la NIA 701 y ha decidido no hacerlo por algún otro motivo.
- Se presentan cifras comparativas y Los estados financieros correspondientes al periodo anterior fueron auditados por un auditor predecesor.
- Las disposiciones legales o reglamentarias no prohíben al auditor hacer referencia al informe de auditoría del auditor predecesor en lo relativo a las cifras correspondientes de periodos anteriores y el auditor ha decidido hacerlo.
- Los responsables de la supervisión de los estados financieros son distintos de los responsables de la preparación de los estados financieros.
- Además de la auditoría de los estados financieros, el auditor tiene otras responsabilidades de información impuestas por la legislación local.
INFORME DE AUDITORIA EMITIDO POR UN AUDITOR INDEPENDIENTE
A los accionistas de la Sociedad ABC fo al destinatario correspondiente que corresponda]
Informe sobre la auditoría de los estados financieros(19)
Opinión
Hemos auditado los estados financieros adjuntos de la sociedad ABC (la Sociedad), que comprenden el estado de situación financiera a 31 de diciembre de 20X1, el estado del resultado global, el estado de cambios en el patrimonio neto y el estado de flujos de efectivo correspondientes al ejercicio terminado en dicha fecha, así como las notas explicativas de los estados financieros que incluyen un resumen de las políticas contables significativas y otra información explicativa.
En nuestra opinión, los estados financieros adjuntos presentan fielmente, en todos los aspectos materiales, (o expresan la imagen fiel de) la situación financiera de la Sociedad ABC a 31 de diciembre de 20X1, así como (de) sus resultados y flujos de efectivo correspondientes al ejercicio.. Terminado en dicha fecha, de conformidad con las Normas Internacionales de Información Financiera (NIIF)
Fundamento de la opinión
Hemos llevado a cabo nuestra auditoria de conformidad con las normas internacionales de auditoria (NIA). Nuestras responsabilidades de acuerdo con dichas normas se describen más adelante en la sección Responsabilidades del auditor en relación con la auditoría de los estados financieros de nuestro informe. Somos independientes de la sociedad de conformidad con los requerimientos de ética aplicables a nuestra auditoria de los estados financieros (jurisdicción) y hemos cumplido las demás responsabilidades de ética de conformidad con esos requerimientos. Consideramos que la evidencia de la auditoria que hemos obtenido proporciona una base suficiente y adecuada para nuestra opinión de auditoria
Otra cuestión
Los estados financieros de la Sociedad ABC correspondientes al ejercicio terminado a 31 de diciembre de 20X0 fueron auditados por otro auditor que expresó una opinión no modificada (favorable) sobre dichos estados financieros el 31 de marzo de 20X1.
Responsabilidades de la dirección(20) y de los responsables del gobierno de la entidad en relación con los estados financieros (21)
[Informe de conformidad con la NIA 700 (Revisada) - véase Ejemplo 1 de la NIA 700 (Revisada).]
La dirección es responsable de la preparación y presentación fiel de los estados financieros adjuntos de conformidad con las Normas Internacionales de Información Financiera(22), y del control interno que la dirección considere necesario para permitir la preparación de estados financieros libres de incorrección material, debida a fraude o error.
Responsabilidades del auditor en relación con la auditoría de los estados financieros
[Informe de conformidad con la NIA 700 (Revisada) - véase Ejemplo 1 de la NIA 700 (Revisada).]
Nuestra responsabilidad es expresar una opinión sobre los estados financieros adjuntos basada en nuestra auditoría. Hemos llevado a cabo nuestra auditoría de conformidad con las Normas Internacionales de Auditoría. Dichas normas exigen que cumplamos los requerimientos de ética, así como que planifiquemos y ejecutemos la auditoría con el fin de obtener una seguridad razonable sobre si los estados financieros están libres de incorrección material.
Una auditoría conlleva la aplicación de procedimientos para obtener evidencia de auditoría sobre los importes y la información revelada en los estados financieros. Los procedimientos seleccionados dependen del juicio del auditor, incluida la valoración de los riesgos de incorrección material en los estados financieros, debida a fraude o error para diseñar y aplicar procedimientos de auditoría para responder a esos riesgos y–obtenemos evidencia de auditoría suficiente y adecuada para fundamentar nuestra opinión. El riesgo de no detectar una incorrección material debida a fraude es más elevado que en el caso de una incorrección material debida a error, ya que el fraude puede implicar–colusión,–falsificación,–omisiones–deliberadas,–manifestaciones–intencionadamente erróneas, o la elusión del control interno.
Al efectuar dichas valoraciones del riesgo, el auditor tiene en cuenta el control interno relevante para la preparación y presentación fiel(23) por parte de la entidad de los estados financieros, con el fin de diseñar los procedimientos de auditoría que sean adecuados en función de las circunstancias, y no con la finalidad do expresar una opinión sobro la eficacia del control interno do la entidad(24). Una auditoría también incluyo la evaluación do la adecuación do las políticas contables aplicadas y do la razonabilidad do las estimaciones contables realizadas por la dirección, así como la evaluación de la presentación global de los estados financieros. Consideramos que la evidencia de auditoría que hemos obtenido proporciona una base suficiente y adecuada para nuestra opinión de auditoría.
Informe sobre otros requerimientos legales y reglamentarios
[Informe de conformidad con la NIA 700 (Revisada) - véase Ejemplo 1 de la NIA 700 (Revisada).]
[La estructura y contenido de esta sección del informe de auditoría variará dependiendo de la naturaleza de las otras responsabilidades de información del auditor.]
[Firma del auditor Firma en nombre de la firma de auditoría, en nombre propio o en nombre de ambos, según proceda en la jurisdicción de que se trate]
[Dirección del auditor]
Ejemplo 4 - Estados financieros comparativos (Ref: Apartado A9)
Informe ilustrativo de las circunstancias descritas en el apartado 15:Este ejemplo de informe de auditoría está basado en que concurren las siguientes circunstancias:
- Auditoría de un conjunto completo de estados financieros de una entidad que no es una entidad cotizada preparados de conformidad con un marco de imagen fiel. La auditoría no es una auditoría de un grupo (es decir, no es aplicable la NIA 600).
- Los estados financieros han sido preparados por la dirección de la entidad de conformidad con las NIIF (un marco de información con fines generales).
- Los términos del encargo de auditoría reflejan la descripción de la responsabilidad de la dirección que recoge la NIA 210, en relación con los estados financieros.
- Se requiere al auditor que informe sobre los estados financieros del periodo actual y sobre los estados financieros del periodo anterior en relación con la auditoría del ejercicio actual.
- El informe de auditoría sobre el periodo anterior, emitido previamente, contenía una opinión con salvedades.
- La cuestión que originó la opinión modificada no ha sido resuelta.
- Los efectos, o posibles efectos, de dicha cuestión sobre las cifras del periodo actual son materiales tanto para los estados financieros del periodo actual como para los estados financieros del periodo anterior y requieren una opinión modificada.
- Los requerimientos de ética que son de aplicación a la auditoría son los de la jurisdicción.
- Basándose en la evidencia de auditoría obtenida, el auditor ha concluido que no existe una incertidumbre material relacionada con hechos o con condiciones que puedan generar dudas significativas sobre la capacidad de la entidad para continuar como empresa en funcionamiento de conformidad con la NIA 570 (Revisada).
- El auditor no está obligado a comunicar las cuestiones clave de la auditoría de conformidad con la NIA 701 y ha decidido no hacerlo por algún otro motivo.
- Los responsables de la supervisión de los estados financieros son distintos de los responsables de la preparación de los estados financieros.
- Además de la auditoría de los estados financieros, el auditor tiene otras responsabilidades de información impuestas por la legislación local.
INFORME DE AUDITORÍA EMITIDO POR UN AUDITOR INDEPENDIENTE
A los accionistas de la Sociedad ABC [o al destinatario correspondiente que corresponda]
Informe sobre la auditoría de los estados financieros (25)
Opinión con salvedades
Hemos auditado los estados financieros adjuntos de la sociedad ABC (la Sociedad), que comprenden los estados de situación financiera a 31 de diciembre de 20X1 y 20X0, los estados del resultado global, los estados de cambios en el patrimonio neto y los estados de flujos de efectivo correspondientes a los ejercicios terminados en dichas fechas, así como las notas explicativas de los estados financieros que incluyen un resumen de las políticas contables significativas y otra información explicativa.
En nuestra opinión, excepto por los efectos de la cuestión descrita en la sección Fundamento de la opinión con salvedades de nuestro informe, los estados financieros adjuntos presentan fielmente, en todos los aspectos materiales, (o expresan la imagen fiel de) la situación financiera de la Sociedad a 31 de diciembre de 20X1 y 20X0, así como (de) sus resultados y flujos de efectivo correspondientes a los ejercicios terminados en dichas fechas, de conformidad con las Normas Internacionales de Información Financiera (NIIF).
Fundamento de la opinión con salvedades
Tal como se comenta en la nota explicativa X de los estados financieros, no se ha registrado amortización alguna en los estados financieros, lo que constituye un incumplimiento de las Normas Internacionales do Información Financiera NIIF. Sobre la base de un método de amortización lineal y una tasa anual del 5% para edificios y del 20% para equipos, las pérdidas del ejercicio deben incrementarse en xxx en 20X1 y xxx en 20X0, el inmovilizado material debe reducirse por la amortización acumulada de xxx en 20X1 y xxx en 20X0, y las pérdidas acumuladas deben incrementarse en xxx en 20X1 y xxx en 20X0.
Hemos llevado a cabo nuestra auditoría de conformidad con las Normas Internacionales de Auditoría (NIA). Nuestras responsabilidades de acuerdo con dichas normas se describen más adelante en la sección Responsabilidades del auditor en ¡elación con la auditoría de los estados financieras de nuestro informe. Somos independientes de la Sociedad de conformidad con los requerimientos de ética aplicables a nuestra auditoría de los estados financieros en fjurisdicción1 v hemos cumplido las demás responsabilidades de ética de conformidad con esos requerimientos. Consideramos que la evidencia de auditoría que hemos obtenido proporciona una base suficiente y adecuada para nuestra opinión de auditoría con salvedades.
Responsabilidades de la dirección(26) y de los responsables del gobierno de la entidad en relación con los estados financieros(27)
[Informe de conformidad con la NIA 700 (Revisada) - véase Ejemplo 1 de la NIA 700 (Revisada).]
La dirección es responsable de la preparación y presentación fiel de los estados financieros adjuntos de conformidad con las Normas Internacionales de Información Financiera(28), y del control interno que la dirección considere necesario para permitir la preparación de estados financieros libros do incorrección material, debida a fraudo o error.
Responsabilidades del auditor en relación con la auditoría de los estados financieros
[Informe de conformidad con la NIA 700 (Revisada) - véase Ejemplo 1 de la NIA 700 (Revisada).]
Nuestra responsabilidad es expresar una opinión sobre los estados financieros adjuntos basada en nuestra auditoría. Hemos llevado a cabo nuestra auditoría de conformidad con las Normas Internacionales de Auditoría. Dichas normas exigen que cumplamos los requerimientos de ética, así como que planifiquemos y ejecutemos la auditoría con el fin de obtener una seguridad razonable sobro si los estados financieros están libros do incorrección material.
Una auditoría conlleva la aplicación de procedimientos para obtener evidencia de auditoría sobre los importes y la información revolada en los estados financieros. Los procedimientos seleccionados dependen del juicio del auditor, incluida la valoración do los riesgos do incorrección material en los estados financieros, debida a fraude o error para diseñar y aplicar procedimientos de auditoría para responder a esos riesgos y–obtenemos evidencia de auditoría suficiente y adecuada para fundamentar nuestra opinión. El riesgo de no detectar una incorrección material debida a fraude es más elevado que en el caso do una incorrección material debida a error, ya que el fraudo puedo implicar–colusión,–falsificación,–omisionos–doliboradas,–manifostacionos–intencionadamente erróneas, o la ilusión del control interno.
Al efectuar dichas valoraciones del riesgo, el auditor tiene en cuenta el control interno relevante para la preparación y presentación fiel(29) por parte de la entidad de los estados financieros, con el fin de diseñar los procedimientos de auditoría que sean adecuados en función de las circunstancias, y no con la finalidad de expresar una opinión sobre la eficacia del control interno de la entidad(30). Una auditoría también incluye la evaluación de la adecuación de las políticas contables aplicadas y de la razonabilidad de las estimaciones contables realizadas por la dirección, así como la evaluación de la presentación global de los estados financieros. Consideramos que la evidencia de auditoría que hemos obtenido proporciona una base suficiente y adecuada para nuestra opinión de auditoría con salvedades.
Informe sobre otros requerimientos legales y reglamentarios
[Informe de conformidad con la NIA 700 (Revisada) - véase Ejemplo 1 de la NIA 700 (Revisada).]
[La estructura y contenido do esta sección del informo do auditoría variará dependiendo de la naturaleza do las otras responsabilidades do información del auditor.]
[Firma del auditor Firma en nombre de la firma de auditoría, en nombre propio o en nombre de ambos, según proceda en la jurisdicción de que se trate]
[Dirección del auditor]
[Fecha del informe de auditoría]
Copyright December 2016 by the International Federatíon of Accountants (IFAC). Reproducción permitida dentro de Colombia. Todos los derechos existentes, incluyendo el Copyright, son reservados fuera del territorio colombiano.
NOTAS AL FINAL:
1. NIA 705 (Revisada), Opinión modificada en el informe de auditoría emitido por un auditor independiente.
2. NIA 701, Comunicación de las cuestiones clave de la auditoría en el informe de auditoría emitido por un auditor independiente.
3. NIA 600, Consideraciones especiales – Auditorías de estados financieros de grupos (incluido el trabajo de los auditores de los componentes)
4. NIA 210, Acuerdo de los términos del encargo de auditoría.
5. NIA 570 (Revisada), Empresa en funcionamiento.
6. NIA 701, Comunicación de las cuestiones clave de la auditoría en el informe de auditoría emitido por un auditor independiente.
7. El subtítulo “Informe sobre la auditoria de los estados financieros” no es necesario en aquellas circunstancias en las que no sea procedente el segundo subtítulo, “Informe sobre otros requerimientos legales y reglamentarios”.
8. U otro término adecuado según el marco legal de la jurisdicción de que se trate.
9. En estos ejemplos de informes de auditoría, es posible que U-Prelos términos dirección y responsables del gobierno de la entidad tengan que ser sustituidos por otro término que sea adecuado en el contexto del marco legal de la jurisdicción de que se trate.
10.- Cuando la responsabilidad de la dirección sea la preparación de estados financieros que expresen la imagen fiel, la redacción podrá ser la siguiente: “La dirección es responsable de la preparación de estados financieros que expresen la imagen fiel de conformidad con las Normas Internacionales de Información Financiera, y del..."
11. En el caso de la nota 4, la redacción podrá ser la siguiente: "Al efectuar dichas valoraciones del riesgo, el auditor tiene en cuenta el control interno relevante para la preparación por parte de la entidad de los estados financieros que expresen la imagen fiel, con el fin de diseñar los procedimientos de auditoría que sean adecuados en función de las circunstancias, y no son la finalidad de expresar una opinión sobre la eficacia del control interno de la entidad
12. En circunstancias en las que el auditor tenga, asimismo, la responsabilidad de expresar una opinión sobre la eficacia del control interno junto con la auditoría de los estados financieros, esta frase se podrá redactar como sigue: "Al efectuar dichas valoraciones del riesgo, el auditor tiene en cuenta el control interno relevante para la preparación y presentación fiel por parte de la entidad de los estados financieros, con el fin de diseñar los procedimientos de auditoría que sean adecuados en función de las circunstancias". En el caso de la nota 4, la redacción podrá ser la siguiente: "Al efectuarse dichas valoraciones del riesgo, el auditor tiene en cuenta el control interno relevante para la preparación por parte de la entidad de los estados financieros que expresen la imagen fiel, con el fin de diseñar los procedimientos de auditoría que sean adecuadas en función de las circunstancias
13. El subtítulo "Informe sobre la auditoría de los estados financieros" no es necesario en aquellas circunstancias en las que no sea procedente el segundo subtitulo, " Informe sobre otros requerimientos legales y reglamentarios"
14. U otros términos adecuados según el marco legal de la jurisdicción de que se trate.
15. U otros términos adecuados según el marco legal de la jurisdicción de que se trate.
16.- Cuando la responsabilidad do la dirección sea la preparación do estados financieros que expresen la imagen fiel, la redacción podrá por la siguiente: “La dirección responsable do la preparación do estados financieros quo expresión la imagen fiel do conformidad con las Normas Internacionales do Información Financiera, y del...''
17. En el caso de la nota 4, la redacción podrá ser la siguiente: “Al efectuar dichas valoraciones del riesgo, el auditor tiene en cuenta el control interno relevante para la preparación por parte de la entidad de los estados financieros que expresen la imagen fiel, con el fin de diseñar los procedimientos de auditoría que sean adecuados en función de las circunstancias, y no con la finalidad de expresar una opinión sobre la eficacia del control interno de la entidad.”
18. En circunstancias en las que el auditor tenga, asimismo, la responsabilidad de expresar una opinión sobre la eficacia del control interno junto con la auditoría de los estados financieros, esta frase se podrá redactar como sigue: "Al efectuar dichas valoraciones del riesgo, el auditor tiene en cuenta el control interno relevante para la preparación y presentación fiel por parte de la entidad de los estados financieros, con el fin de diseñar los procedimientos de auditoría que sean adecuadas en función de las circunstancias". En el caso de la nota 4, la redacción podrá ser la siguiente: " Al efectuar dichas valoraciones del riesgo, el auditor tiene en cuenta el control interno relevante para la preparación por parte de la entidad de los estados financieros que expresen la imagen fiel, con el fin de diseñar los procedimientos de auditoría que sean adecuadas en función de las circunstancias
19. El subtítulo " Informe sobre la auditoría de los estados financieros" no es necesario en aquellas circunstancias en las que no sea procedente el segundo subtitulo, "Informe sobre otros requerimientos legales y reglamentarios"
20. U otro término adecuado según el marco legal de la jurisdicción de que se trate.
21. U otros términos adecuados según el marco legal de la jurisdicción de que se trate.
22. Cuando la responsabilidad de la dirección sea la preparación de estados financieros que expresen la imagen fiel, la redacción podrá ser la siguiente: " La dirección es responsable de la preparación de estados financieros que expresen la imagen fiel de conformidad con las normas internacionales de información financiera y del....
23. En el caso de la nota 4, la redacción podrá ser la siguiente: " Al efectuarse dichas valoraciones del riesgo, el auditor tiene en cuenta el control interno relevante para la preparación por parte de la entidad de los estados financieros que expresen la imagen fiel, con el fin de diseñar los procedimientos de auditoría que sean adecuados en función de las circunstancias, y no con la finalidad de expresar una opinión sobre la eficacia del control interno de la entidad.
24. En circunstancias en las que el auditor tenga, asimismo, la responsabilidad de expresar una opinión sobre la eficacia del control interno junto con la auditoría de los estados financieros, esta frase se podrá redactar como sigue: Al efectuar dichas valoraciones del riesgo, el auditor tiene en cuenta el control interno relevante para la preparación y presentación fiel por parte de la entidad de los estados financieros, con el fin de diseñar los procedimientos de auditoría que sean adecuadas en función de las circunstancias" En el caso de la nota 4, la redacción podrá ser la siguiente: " Al efectuar dichas valoraciones del riesgo, el auditor tiene en cuenta el control interno relevante para la preparación por parte de la entidad de los estados financieros que expresen la imagen fiel, con el fin de diseñar los procedimientos de auditoría que sean adecuadas en función de las circunstancias
25. El subtítulo “Informe sobre la auditoría de los estados financieros” no es necesario en aquellas circunstancias en las que no sea procedente el segundo subtítulo, “Informe sobre otros requerimientos legales y reglamentarios”.
26. U otro término adecuado según el marco legal de la jurisdicción de que se trate.
27. U otros términos adecuados según el marco legal de la jurisdicción de que se trate.
28.- Cuando la responsabilidad do la dirección sea la preparación do estados financieros que expresen la imagen fiel, la redacción podrá ser la siguiente: “La dirección es responsable de la preparación de estados financieros que expresen la imagen fiel de conformidad con las Normas Internacionales de Información Financiera, y del...”
29. En el caso do la nota 4, la redacción podrá sor la siguiente: “Al efectuar dicha o valoraciones del riesgo, el auditor tiene en cuenta el control interno relevante para la preparación por parte de la entidad de los estados financieros que expresen la imagen fiel, con el fin de diseñar los procedimientos de auditoría que sean adecuados en función de las circunstancias, y no con la finalidad de expresar una opinión sobre la eficacia del control interno de la entidad.”
30. En circunstanciasen las quo el auditor tonga, asimismo, la responsabilidad do expresar una opinión sobro la eficacia del control interno junto con la auditoría do los estados financieros, esta frase se podrá redactar como sigue: “Al efectuar dichos valoraciones estados financieros, con el fin de diseñar los procedimientos do auditoría que sean adecuados en función de las instancias11. En el caso de la nota 1, la redacción podrá serla siguiente: “Al efectuar dichas valoraciones del riesgo, el auditor en cuenta el control interno relevante para la preparación por parto do la entidad do los estados financieros que expresen la en fiel, con el fin de diseñar los procedimientos do auditoría que sean adecuado son función do las circunstancias".
Las notas de vigencia, concordancias, notas del editor, forma de presentación y disposición de la compilación están protegidas por las normas sobre derecho de autor. En relación con estos valores jurídicos agregados, se encuentra prohibido por la normativa vigente su aprovechamiento en publicaciones similares y con fines comerciales, incluidas -pero no únicamente- la copia, adaptación, transformación, reproducción, utilización y divulgación masiva, así como todo otro uso prohibido expresamente por la normativa sobre derechos de autor, que sea contrario a la normativa sobre promoción de la competencia o que requiera autorización expresa y escrita de los autores y/o de los titulares de los derechos de autor. En caso de duda o solicitud de autorización puede comunicarse al teléfono 617-0729 en Bogotá, extensión 101. El ingreso a la página supone la aceptación sobre las normas de uso de la información aquí contenida.