Derechos de autor reservados - Prohibida su reproducción
RESOLUCIÓN CRA 938 DE 2020
(diciembre 23)
Diario Oficial No. 51.542 de 29 de diciembre de 2020
COMISIÓN DE REGULACIÓN DE AGUA POTABLE Y SANEAMIENTO BÁSICO
Por la cual se modifican los artículos 109 y 110, se adiciona el artículo 109A a la Resolución CRA 688 de 2014 y se deroga la Resolución CRA 920 de 2020
LA COMISIÓN DE REGULACIÓN DE AGUA POTABLE Y SANEAMIENTO BÁSICO
En ejercicio de sus facultades legales, en especial de las conferidas por las Leyes 142 de 1994 y 1437 de 2011, los Decretos 1524 de 1994, 2882 y 2883 de 2007, modificado por el Decreto 2412 de 2015, el Decreto 1077 de 2015, y
CONSIDERANDO:
Que el artículo 334 ibídem consagra que la dirección general de la economía estará a cargo del Estado, el cual intervendrá por mandato de la ley entre otras actividades, en los servicios públicos y privados, para racionalizar la economía con el fin de conseguir el mejoramiento de la calidad de vida de los habitantes, la distribución equitativa de las oportunidades y los beneficios del desarrollo y la preservación de un ambiente sano;
Que el artículo 365 ídem prevé que los servicios públicos son inherentes a la finalidad social del Estado y que es deber del mismo asegurar su prestación eficiente a todos los habitantes del territorio nacional;
Que con fundamento en el mismo artículo constitucional, los servicios públicos domiciliarios estarán sometidos al régimen jurídico que fije la ley y el Estado mantendrá la regulación, el control y la vigilancia de dichos servicios;
Que el artículo 370 del Ordenamiento Constitucional, prevé que corresponde al Presidente de la República señalar, con sujeción a la Ley, las políticas generales de administración y control de eficiencia de los servicios públicos domiciliarios;
Que el artículo 68 de la Ley 142 de 1994, establece que el señalamiento de esas políticas se podrá delegar en las Comisiones de Regulación;
Que en virtud de lo anterior, el Presidente de la República mediante Decreto 1524 de 1994, delegó las funciones Presidenciales de señalar políticas generales de administración y control de eficiencia en los servicios públicos domiciliarios, en las Comisiones de Regulación;
Que el artículo 73 de la Ley 142 de 1994 establece las funciones y facultades generales de las Comisiones de Regulación, y la misma norma dispone que estas Unidades Administrativas Especiales: “(...) tienen la función de regular los monopolios en la prestación de los servicios públicos, cuando la competencia no sea, de hecho, posible; y, en los demás casos, la de promover la competencia entre quienes presten servicios públicos, para que las operaciones de los monopolistas o de los competidores sean económicamente eficientes, no impliquen abuso de la posición dominante, y produzcan servicios de calidad. (...)”;
Que de conformidad con lo dispuesto en el numeral 73.11 del artículo 73 de la Ley 142 de 1994, esta Comisión de Regulación tiene a su cargo la función de establecer fórmulas para la fijación de las tarifas de los servicios públicos de acueducto, alcantarillado y aseo, para lo cual atiende a los criterios del régimen tarifario señalados en el artículo 87 Ibídem, tales como, la eficiencia económica y la suficiencia financiera, entre otros
Que de conformidad con lo previsto en el artículo 79 de la Ley 142 de 1994, las personas prestadoras de servicios públicos domiciliarios y aquellas que, en general, realicen actividades que las haga sujetos de aplicación de dicha normativa, estarán sometidos al control y vigilancia de la Superintendencia de Servicios Públicos Domiciliarios;
Que para el cumplimiento de las funciones de vigilancia y control asignadas a la Superintendencia de Servicios Públicos Domiciliarios, así como para el ejercicio de las funciones de otras autoridades, entre ellas las que corresponden a la CRA, el artículo 14 de la Ley 689 de 2001 creó el Sistema Único de Información – SUI al cual las personas prestadoras deben reportar su información técnica, administrativa y financiera;
Que el régimen tarifario aplicable a los servicios públicos domiciliarios, de conformidad con el numeral 86.4 del artículo 86 Ibídem, está compuesto por reglas relativas a procedimientos, metodologías, fórmulas, estructuras, estratos, facturación, opciones, valores y, en general, todos los aspectos que determinan el cobro de las tarifas;
Que la Resolución CRA 688 de 2014, expedida por la Comisión de Regulación de Agua Potable y Saneamiento Básico, estableció la metodología tarifaria para las personas prestadoras de los servicios públicos domiciliarios de acueducto y alcantarillado con más de 5.000 suscriptores en el área urbana;
Que de acuerdo con el artículo 114 de la resolución Ibídem, modificado por el artículo 42 de la Resolución CRA 735 de 2015, las tarifas resultantes de la citada resolución comenzaron a aplicarse a partir del primero (1º) de julio de 2016, fecha en que inició el cobro a los suscriptores de los servicios públicos domiciliarios de acueducto y alcantarillado;
Que el artículo 109 de la Resolución CRA 688 de 2014, modificado por el artículo 38 de la Resolución CRA 735 de 2015, consagra que las personas prestadoras deberán realizar una provisión de recursos no ejecutados al cierre de cada año tarifario; así mismo, el parágrafo de este artículo señala que a partir del cuarto año de vigencia de la fórmula tarifaria, las personas prestadoras deberán constituir un encargo fiduciario y trasladar al mismo, el saldo de la provisión constituida con el fin de continuar ejecutando las inversiones del POIR pendientes o en mora. Los costos relacionados con la apertura y administración del encargo fiduciario deberán ser asumidos por la persona prestadora;
Que dicho artículo tiene como propósito: “(…) evitar que los recursos no ejecutados sean utilizados por los prestadores para gastos no relacionados con la expansión o reposición de los activos necesarios para la prestación del servicio, lo cual puede poner en juego la capacidad futura de los sistemas para prestar un adecuado servicio en el mediano y largo plazo (…)”, así mismo, pretende: “(…) evitar la desviación de los recursos obtenidos a través del componente de inversión hacia otros fines, y además incentivar a los prestadores a realizar la inversión realmente necesaria (…)(1);
Que para efectos de las proyecciones y de la aplicación de la metodología tarifaria establecida en la Resolución CRA 688 de 2014, el Año Tarifario corresponde al período comprendido entre el primero (1) de julio y el treinta (30) de junio del año siguiente, tal como lo define el artículo 3 de dicha resolución;
Que el regulador definió en la Resolución CRA 688 de 2014 el Plan de Obras e Inversiones Regulado – POIR como el conjunto de proyectos que la persona prestadora considera necesario llevar a cabo para cumplir con las metas frente a los estándares del servicio exigidos durante el período de análisis;
Que el Plan de Obras e Inversiones Regulado –POIR, al ostentar la condición de indicativo puede ser modificado de conformidad con lo establecido por la Comisión de Regulación de Agua Potable y Saneamiento Básico – CRA en las Resoluciones CRA 688 de 2014 y CRA 864 de 2018 y por las demás razones que establezca el regulador;
Que los artículos 50 al 52 de la Resolución CRA 688 de 2014 establecen la clasificación por servicio y grupos de los proyectos que se incluyan en el POIR, los lineamientos para su formulación y los criterios para definirlos;
Que los proyectos incluidos en el Plan de Obras e Inversiones Regulado -POIR deberán contar con un objetivo claro, preciso y cuantificable en términos de la disminución de las diferencias frente a los estándares y el cumplimiento de las metas definidas en el referido plan para cada uno de los servicios públicos domiciliarios de acueducto y alcantarillado, lo cual es objeto de verificación por parte de la Superintendencia de Servicios Públicos Domiciliarios;
Que la Comisión de Regulación de Agua Potable y Saneamiento Básico – CRA llevó a cabo en el 2019 un análisis preliminar respecto del alcance del artículo 109 de la Resolución CRA 688 de 2014, modificado por el artículo 38 de la Resolución CRA 735 de 2015, cuyos resultados se encuentran incluidos en el documento técnico de trabajo que acompaña esta resolución. De igual manera, se realizaron mesas de trabajo con la participación de personas prestadoras, entidades del Gobierno Nacional y ANDESCO;
Que se hace necesario modificar la denominación del referido artículo, así como la expresión matemática y los criterios para el cálculo previsto en el artículo citado, con el objetivo de que el valor a provisionar por parte de las personas prestadoras corresponda al valor facturado por diferencias entre las inversiones planeadas y ejecutadas del POIR; adicionalmente, se requiere establecer las alternativas para el uso de dichos recursos disponibles en el encargo fiduciario;
Que debido a que el POIR planeado puede presentar modificaciones a lo largo del periodo de análisis para el cálculo de la provisión de recursos por diferencias entre las inversiones planeadas y ejecutadas del POIR, el prestador deberá emplear el POIR actualizado al cierre de cada año tarifario;
Que dado que las modificaciones del artículo 109 de la resolución en mención inciden en el cálculo de la base de capital regulada cero para el siguiente marco tarifario establecida en el artículo 110 de la Resolución CRA 688 de 2014, se hace necesario modificar la fórmula establecida en este último artículo para realizar el cálculo;
Que adicionalmente, se hace necesario modificar el artículo 110 de la Resolución CRA 688 de 2014, a efectos de establecer las condiciones para que las personas prestadoras de los servicios públicos de acueducto y alcantarillado puedan recuperar los costos de aquellas inversiones ejecutadas, afectas a la prestación de los servicios en mención diferentes a las incluidas en el POIR y que para el inicio del próximo marco tarifario se encuentren en operación;
Que de conformidad con lo establecido en el artículo 2.3.6.3.3.9 del Decreto 1077 de 2015, se presentó a participación ciudadana la Resolución CRA 913 de 2020, publicada en el Diario Oficial 51.274 de 1 de abril de 2020,"Por la cual se hace público el proyecto de resolución “Por la cual se modifican los artículos 109 y 110 y se adiciona el artículo 109A a la Resolución CRA 688 de 2014”, se da cumplimiento a lo previsto en el artículo 2.3.6.3.3.9 del Decreto 1077 de 2015 y se inicia el proceso de discusión directa con los usuarios y agentes del sector", la cual dio inicio al proceso de discusión directa con los usuarios, prestadores, gremios y demás agentes del sector e interesados, por el término de veinte (20) días hábiles, el cual fue prorrogado mediante la Resolución CRA 917 de 2020 en diez (10) días hábiles adicionales;
Que en ejercicio de la función regulatoria que corresponde a la Comisión de Regulación de Agua Potable y Saneamiento Básico - CRA, y como consecuencia del proceso de participación ciudadana de la Resolución CRA 913 de 2020, se recibieron 240 observaciones, reparos o sugerencias, de las cuales se aceptaron el 19,6%, se aclararon el 70% y se rechazaron el 10,4%;
Que el Comité de Expertos elaboró el documento final, con base en el parágrafo del artículo 2.3.6.3.3.10. del Decreto 1077 de 2015, en el cual se encuentran contenidas las razones por las cuales se aceptan o rechazan las observaciones, reparos y sugerencias formuladas en el marco del proceso de participación ciudadana, documento que sirvió de base para la toma de la decisión definitiva contenida en el presente acto administrativo;
Que mediante la Resolución CRA 920 de 2020, esta Comisión de Regulación amplió el plazo previsto en el parágrafo del artículo 109 de la Resolución CRA 688 de 2014, para trasladar los recursos de la provisión al encargo fiduciario hasta el 31 de diciembre de 2020;
Que del análisis realizado por esta Comisión, respecto de las observaciones recibidas durante el proceso de participación ciudadana de la Resolución CRA 913 de 2020, se determinó la necesidad de ampliar el término para el traslado de los recursos de la provisión al encargo fiduciario en el presente acto administrativo el cual es diferente al establecido en la Resolución CRA 920 de 2020, por lo que se derogará esta última;
Que de acuerdo con lo establecido en el artículo 7 de la Ley 1340 de 2009, por la cual se dictan normas en materia de protección a la competencia, modificado por el artículo 146 de la Ley 1955 de 2019, la Superintendencia de Industria y Comercio puede rendir concepto previo sobre los proyectos de regulación que puedan incidir sobre la libre competencia en los mercados, para lo cual las autoridades de regulación informarán a la Superintendencia de Industria y Comercio de los actos administrativos que se pretendan expedir;
Que teniendo en cuenta lo dispuesto en el artículo 5 del Decreto 2897 de 2010, por el cual se reglamenta el artículo 7 de la Ley 1340 de 2009, modificado por el artículo 146 de la Ley 1955 de 2019, y habiendo diligenciado el cuestionario que para el efecto adoptó la Superintendencia de Industria y Comercio mediante Resolución No. 44649 del 25 de agosto de 2010, se determinó que el contenido del presente acto administrativo no tiene incidencia sobre la libre competencia en los mercados, razón por la cual no fue puesto en conocimiento para efectos de la emisión del concepto de abogacía de la competencia por parte de la Superintendencia de Industria y Comercio;
Que en mérito de lo expuesto,
RESUELVE:
ARTÍCULO PRIMERO. - MODIFICAR el artículo 109 de la Resolución CRA 688 de 2014, el cual quedará así:
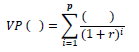
“ARTÍCULO 109. Provisión de recursos por diferencias entre las inversiones planeadas y ejecutadas del POIR. Una vez finalizado el quinto año tarifario, y en los años subsiguientes, la provisión de recursos por diferencias entre las inversiones planeadas y ejecutadas del Plan de Obras e Inversiones Regulado - POIR, se determinará con base en la siguiente fórmula:

Provisión de recursos por diferencias entre las inversiones planeadas y ejecutadas del POIR al cierre del año tarifario p, para cada uno de los servicios públicos domiciliarios de acueducto y/o alcantarillado y para cada una de las Áreas de Prestación del Servicio -APS (pesos de diciembre de 2014).
Este valor deberá ser calculado en aplicación de la función de valor presente del año 1 al año p, descontando cada variable a analizar con la tasa de descuento (r) definida en el ARTÍCULO 20 de la presente resolución, así:

Diferencia entre el costo medio de las inversiones planeadas conforme al POIR actualizado y el costo medio de las inversiones ejecutadas del POIR actualizado, del activo j en el año i, para cada uno de los servicios públicos domiciliarios de acueducto y/o alcantarillado.
![]()
Costo de inversión del activo j en el año i, planeado conforme al POIR actualizado para cada uno de los servicios públicos domiciliarios de acueducto y/o alcantarillado (pesos de diciembre de 2014).
Costo de inversión del activo j ejecutado en el año i, para cada uno de los servicios públicos domiciliarios de acueducto y/o alcantarillado. Este costo se calcula con el valor de ejecución de los activos que entraron en operación (pesos de diciembre de 2014).
Consumo corregido por pérdidas del año i (m3), según lo definido en el estudio de costos, para cada servicio público domiciliario.
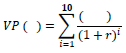
Implica la aplicación de la función de valor presente del año tarifario uno (1) al diez (10), descontando cada variable a analizar con la tasa de descuento (r) definida en el ARTÍCULO 20 de la presente resolución, así:

Metros cúbicos facturados en los años tarifarios del uno (1) hasta el año tarifario p, para cada uno de los servicios públicos domiciliarios de acueducto y/o alcantarillado.
Año tarifario que corresponde a un valor entre uno (1) y diez (10).
p: Año tarifario para el que se calcula el saldo de la provisión disponible en el encargo fiduciario, desde el año tarifario (i=5) y subsiguientes.
En los casos en que un prestador entre en operación con posterioridad al primero (1) de julio de 2016, la variable p se determinará teniendo en cuenta cada año tarifario posterior a la entrada en operación, esto es, los años tarifarios de la proyección de su estudio de costos.
j: Cada uno de los activos programados en el POIR actualizado, que hacen parte de la BCR hasta n activos.
r: Tasa de descuento según lo establecido en el ARTÍCULO 20 de la presente resolución.
PARÁGRAFO 1. El POIR actualizado corresponde al POIR resultante de todas las modificaciones realizadas por el prestador a partir del año en que haya dado aplicación al artículo 52 de la Resolución CRA 688 de 2014, así como a lo señalado en los artículos 9, 14 y 15 de la Resolución CRA 864 de 2018, o cuando la CRA lo disponga en aplicación de la Resolución CRA 864 de 2018, previa solicitud de modificación de fórmula tarifaria de carácter particular y demás disposiciones regulatorias que expida esta Comisión de Regulación para tal fin.
PARÁGRAFO 2. Para efectos de determinar el
, en los casos en que el valor de ejecución del activo j sea superior al valor planeado, se podrá considerar dicho valor de ejecución del activo j únicamente a partir del año tarifario p en que el prestador cumpla con las metas establecidas de conformidad con el ARTÍCULO 9 de la presente resolución. En todo caso, el mayor valor ejecutado en los proyectos del POIR debe cumplir con lo establecido en los artículos 50, 51 y 52 de la presente resolución. En el caso que el prestador no cumpla con las metas establecidas al año p, el valor de ejecución del activo j será igual al valor planeado.
La persona prestadora deberá tener a disposición de la Superintendencia de Servicios Públicos Domiciliarios los soportes respectivos.
En el evento que un activo j no haya entrado en operación al cierre del año tarifario i en el que fue planeado conforme al POIR actualizado, el
es igual a cero (0), hasta tanto el activo entre en operación.
PARÁGRAFO 3. Los recursos de la provisión por diferencias entre las inversiones planeadas y ejecutadas del POIR deberán ser administrados en una cuenta individual de un encargo fiduciario. En caso que el prestador cuente con un encargo fiduciario previamente constituido, podrá hacer uso de éste mediante una cuenta individual. Los costos relacionados con el encargo fiduciario deberán ser asumidos por la persona prestadora.
PARÁGRAFO 4. A partir del quinto año tarifario (p=5), y a más tardar al 31 de diciembre siguiente al cierre de cada año tarifario ??????el saldo del encargo fiduciario debe corresponder al valor resultante de la aplicación de la siguiente fórmula:
![]()
Donde:
Saldo en el encargo fiduciario de la provisión de los recursos por diferencias entre las inversiones planeadas y ejecutadas del POIR, para cada uno de los servicios públicos domiciliarios de acueducto y/o alcantarillado (pesos de junio del año tarifario p). En los casos en que el resultado del cálculo del
sea menor a cero (0), el saldo disponible en el encargo fiduciario deberá ser cero (0).
Provisión de recursos por diferencias entre las inversiones planeadas y ejecutadas del POIR al cierre del año tarifario p, para cada uno de los servicios públicos domiciliarios de acueducto y/o alcantarillado (pesos de diciembre de 2014).
Tasa de descuento según lo establecido en el ARTÍCULO 20 de la presente resolución.
Factor de indexación de los pesos de diciembre de 2014 a pesos de junio del año tarifario p, el cual se obtiene de dividir el IPC de junio del año tarifario p y el IPC de diciembre de 2014, teniendo presente que para ambos índices se emplee la misma base del IPC, establecida por el DANE
i: Año tarifario que corresponde a un valor entre uno (1) y diez (10).
p: Año tarifario para el que se calcula el valor de la provisión disponible en el encargo fiduciario, desde el año tarifario (i=5) y subsiguientes.
j: Cada uno de los activos programados en el POIR actualizado, que hacen parte de la BCR hasta n activos.
ARTÍCULO SEGUNDO. ADICIONAR el artículo 109A a la Resolución CRA 688 de 2014, así:
“ARTÍCULO 109A. Destinación de los recursos de la provisión por diferencias entre las inversiones planeadas y ejecutadas del POIR disponibles en el encargo fiduciario. Cuando posteriormente al cálculo del saldo del encargo fiduciario de los recursos de la provisión por diferencias entre las inversiones planeadas y ejecutadas del POIR, atendiendo a lo dispuesto en el parágrafo 5 del artículo 109 de la presente resolución, la persona prestadora ejecute una inversión pendiente del POIR actualizado, podrá actualizar dicho saldo para descontar el valor correspondiente a la provisión de esa inversión al año p anterior.
Adicionalmente, en los casos en que la persona prestadora hubiere ejecutado todas las inversiones pendientes del POIR actualizado y cuente con un saldo a favor en el encargo fiduciario, podrá destinar estos recursos para cubrir las inversiones realizadas diferentes a las incluidas en dicho POIR. Esto, siempre que dichas inversiones hayan entrado en operación entre el año tarifario i=1 y el año p; sean inversiones afectas a la prestación de los servicios públicos domiciliarios de acueducto y/o alcantarillado; cumplan con los principios de pertinencia, ajuste técnico y costos eficientes descritos en el ARTÍCULO 50 de la presente resolución y permitan mantener o mejorar los indicadores de las metas establecidas en el estudio de costos.
Los aportes bajo condición de que trata el numeral 87.9 del artículo 87 de la Ley 142 de 1994, modificado por el artículo 143 de la Ley 1151 de 2007 y por el artículo 99 de la Ley 1450 de 2011, no podrán tenerse en cuenta como inversiones diferentes a las incluidas en el POIR actualizado.
Las nuevas inversiones no harán parte del POIR, no generan cambios en el Costo Medio de Inversión- CMI y serán tenidas en cuenta en la base de capital regulada cero para el siguiente marco tarifario-
,definida en el ARTÍCULO 110 de la presente resolución. La persona prestadora deberá reportarlas al Sistema Único de Información – SUI.
PARÁGRAFO. En los casos en que la persona prestadora no destine el saldo del encargo fiduciario de acuerdo con lo señalado en el presente artículo, o lo utilice parcialmente, deberá mantener el saldo remanente en dicho encargo hasta el año t, definido en el artículo 110 de la presente resolución.
ARTÍCULO TERCERO. MODIFICAR el artículo 110 de Resolución CRA 688 de 2014, el cual quedará así:
“ARTÍCULO 110. Base de capital regulada cero para el siguiente marco tarifario. La base de capital regulada cero para el siguiente marco tarifario se determinará de acuerdo con la siguiente fórmula:

Donde:
Base de capital regulada cero para el siguiente marco tarifario en el año t para cada uno de los servicios públicos domiciliarios de acueducto y alcantarillado (pesos de diciembre del año 2014).
Base de capital regulada del año base calculada según lo definido en el ARTÍCULO 46 de la presente resolución para cada uno de los servicios públicos domiciliarios de acueducto y alcantarillado (pesos de diciembre del año 2014).
Valor ejecutado de cada uno de los activos j del POIR actualizado que se encuentren en operación al año t para cada uno de los servicios públicos domiciliarios de acueducto y alcantarillado (pesos de diciembre del año 2014).
Valor de las inversiones de cada uno de los activos j ejecutadas durante la aplicación de la presente resolución, que se encuentren en operación al cierre del año t, diferentes a las inversiones del POIR, para cada uno de los servicios públicos domiciliarios de acueducto y alcantarillado (pesos de diciembre del año 2014).
Costo Medio de Inversión del periodo de aplicación de la presente resolución, para cada uno de los servicios públicos domiciliarios de acueducto y/o alcantarillado (pesos de diciembre de 2014).
Metros cúbicos facturados en los años tarifarios del uno (1) hasta el año tarifario t, para cada uno de los servicios públicos domiciliarios de acueducto y/o alcantarillado.
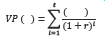
Implica la aplicación de la función de valor presente, descontando cada variable a analizar con la tasa de descuento (r) definida en el ARTÍCULO 20 de la presente resolución, así:
![]()
j: Cada uno de los activos planeados en el POIR actualizado hasta n activos.
r: Tasa de descuento según lo establecido en el ARTÍCULO 20 de la presente resolución.
t: Último año tarifario de aplicación del presente marco tarifario que corresponderá al número de meses de aplicación dividido entre doce (12).
PARÁGRAFO 1. Para el cálculo de la
, la persona prestadora deberá tener en cuenta las modificaciones que haya realizado al
, durante el periodo de aplicación de la presente resolución, acorde con las disposiciones regulatorias.
PARÁGRAFO 2. En aquellos casos en que el valor ejecutado en los proyectos del POIR es mayor al planeado, para el cálculo del valor
, el valor total ejecutado de las inversiones del POIR en operación al año t, únicamente será tenido en cuenta en la
cuando el prestador haya cumplido al año t con las metas establecidas de conformidad con el ARTÍCULO 9 de la presente resolución.
En todo caso, el mayor valor ejecutado en los proyectos del POIR debe cumplir con lo establecido en los artículos 50, 51 y 52 de la presente resolución.
La persona prestadora deberá tener a disposición de la Superintendencia de Servicios Públicos Domiciliarios los soportes respectivos.
En el caso que el prestador no cumpla con las metas establecidas al año t, en la
solo se reconocerá los activos del POIR en operación al año t hasta el valor planeado de los mismos.
PARÁGRAFO 3. Para el cálculo del valor
el valor total ejecutado de estas inversiones que hayan entrado en operación al año t, únicamente será tenido en cuenta en la
, siempre que el prestador haya cumplido al año t, con las metas establecidas de conformidad con el ARTÍCULO 9 de la presente resolución.
El valor de
deberá corresponder al valor registrado en los estados financieros, depreciado hasta el día anterior a la finalización del año t.
En todo caso, el valor ejecutado de los proyectos diferente al POIR debe cumplir con lo establecido en los artículos 50, 51 y 52 de la presente resolución.
La persona prestadora deberá tener a disposición de la Superintendencia de Servicios Públicos Domiciliarios los soportes respectivos.
En el caso que el prestador no cumpla con las metas establecidas al año t, en la
no se reconocerán inversiones diferentes a las ejecutadas del POIR.
ARTÍCULO CUARTO. VIGENCIAS Y DEROGATORIAS. La presente resolución rige a partir de la fecha de su publicación en el Diario Oficial y deroga la Resolución CRA 920 de 2020.
PUBLÍQUESE Y CÚMPLASE
Dada en Bogotá, D.C., a los 23 días del mes de diciembre de 2020.
GLORIA PATRICIA TOVAR ALZATE
Presidente(E)
DIEGO FELIPE POLANIA CHACON
Director Ejecutivo
Las notas de vigencia, concordancias, notas del editor, forma de presentación y disposición de la compilación están protegidas por las normas sobre derecho de autor. En relación con estos valores jurídicos agregados, se encuentra prohibido por la normativa vigente su aprovechamiento en publicaciones similares y con fines comerciales, incluidas -pero no únicamente- la copia, adaptación, transformación, reproducción, utilización y divulgación masiva, así como todo otro uso prohibido expresamente por la normativa sobre derechos de autor, que sea contrario a la normativa sobre promoción de la competencia o que requiera autorización expresa y escrita de los autores y/o de los titulares de los derechos de autor. En caso de duda o solicitud de autorización puede comunicarse al teléfono 617-0729 en Bogotá, extensión 101. El ingreso a la página supone la aceptación sobre las normas de uso de la información aquí contenida.