Derechos de autor reservados - Prohibida su reproducción

Inicio
 
Documento PDF Imprimir

RESOLUCIÓN 4735 DE 2015

(mayo 15)

Diario Oficial No. 49.512 de 15 de mayo de 2015

COMISIÓN DE REGULACIÓN DE COMUNICACIONES

Por la cual se establece el régimen de calidad para los servicios de televisión y se dictan otras disposiciones.

Resumen de Notas de Vigencia

LA COMISIÓN DE REGULACIÓN DE COMUNICACIONES,

en ejercicio de sus facultades legales, y especialmente las conferidas por las Leyes 1341 de 2009 y 1507 de 2012, y

CONSIDERANDO:

Que de conformidad con lo establecido en el artículo 334 de la Carta Política, el Estado intervendrá por mandato de la ley, entre otros, en los servicios públicos y privados, con el fin de conseguir el mejoramiento de la calidad de vida de los habitantes, la distribución equitativa de las oportunidades y los beneficios del desarrollo.

Que el artículo 365 de la Constitución Política establece que el Estado mantendrá la regulación, control y vigilancia de los servicios públicos, con el fin de garantizar el mejoramiento continuo en la prestación de dichos servicios y la satisfacción del interés social a fin de materializar los principios y valores consagrados en la Carta Política.

Que el Acto Legislativo número 2 de 2011, derogó el artículo 76 de la Constitución Política de Colombia y modificó el artículo 77 de la misma, que consagraban la existencia de un organismo de derecho público con personería jurídica, autonomía administrativa, patrimonial y técnica, sujeto a un régimen legal propio encargado de ejecutar la intervención estatal en el espectro electromagnético utilizado para los servicios de televisión, de la dirección de la política de acuerdo con la ley y del desarrollo y ejecución de los planes y programas del Estado en este servicio.

Que el mismo Acto Legislativo número 2 de 2011, ordenó al Congreso de la República expedir “las normas mediante las cuales se defina la distribución de competencias entre las entidades del Estado que tendrán a su cargo la formulación de planes, la regulación, la dirección, la gestión y el control de los servicios de televisión”, lo cual concluyó con la expedición de la Ley 1507 de 2012.

Que de conformidad con lo establecido en el artículo 12 de la Ley 1507 de 2012, la Comisión de Regulación de Comunicaciones ejerce, en relación con los servicios de televisión, las funciones que le atribuye la Ley 1341 de 2009 y aquellas que le “asignaban a la Comisión Nacional de Televisión el parágrafo del artículo 18, el literal a) del artículo 20 y el literal c) del artículo 5o de la Ley 182 de 1995, con excepción de los aspectos relacionados con la reglamentación contractual de cubrimientos, encadenamientos y expansión progresiva del área asignada y los aspectos relacionados con la regulación de franjas y contenido de la programación, publicidad y comercialización, que corresponderán a la ANTV”.

Que de manera especial, el literal c) del artículo 5o de la Ley 182 de 1995 otorga competencias a la Comisión para regular las condiciones de operación y explotación del servicio público de televisión, particularmente en materia de configuración técnica, gestión y calidad del servicio, modificaciones en razón de la transmisión de eventos especiales, utilización de las redes y servicios satelitales, y obligaciones con los usuarios.

Que la regulación es un instrumento de intervención del Estado y debe orientarse a la satisfacción de los derechos e intereses de usuarios y consumidores y que de conformidad con los artículos 22 numeral 1, y 53 de la Ley 1341 de 2009 es función de la CRC maximizar el bienestar social de los usuarios, lo cual se logra, entre otras razones, por el disfrute de servicios de televisión de calidad.

Que la honorable Corte Constitucional se ha manifestado en el mismo sentido, en la Sentencia C-186 de 2011, expresando que “(…) esta Corporación ha entendido que la potestad normativa atribuida a las comisiones de regulación es una manifestación de la intervención estatal en la economía -una de cuyas formas es precisamente la regulación- cuya finalidad es corregir las fallas del mercado, delimitar la libertad de empresa, preservar la competencia económica, mejorar la prestación de los servicios públicos y proteger los derechos de los usuarios, y que (…) La intervención del órgano regulador en ciertos casos supone una restricción de la autonomía privada y de las libertades económicas de los particulares que intervienen en la prestación de los servicios públicos, sin embargo, tal limitación se justifica porque va dirigida a conseguir fines constitucionalmente legítimos y se realiza dentro del marco fijado por la ley” (NFT).

Que los prestadores del servicio público de televisión se encuentran sometidos a la regulación que expida esta Comisión en virtud de lo dispuesto en el artículo 1o de la Ley 182 de 1995 y las competencias que trata el artículo 12 de la Ley 1507 de 2012, en concordancia con el artículo 22 de la Ley 1341 de 2009.

Que en lo particular, la entonces Comisión Nacional de Televisión (CNTV) reguló aspectos relativos a las condiciones de calidad aplicables a los servicios de televisión mediante los Acuerdos 22 de 1997, 9 y 10 de 2006, 3 de 2009, 5 y 6 de 2010, 2 de 2011 y 2 de 2012, en razón de lo cual es claro que los operadores del servicio de televisión han estado sometidos previamente a la regulación del Estado en materia de la calidad del servicio.

Que conforme con lo expuesto, en virtud de la Ley 1507 de 2012 es competencia de la CRC la definición de las condiciones de calidad del servicio de televisión en el marco de sus competencias relativas a regulación y definición de condiciones técnicas de operación y explotación del servicio.

Que el presente Acto Administrativo contiene los resultados y conclusiones del desarrollo del proyecto regulatorio denominado “Calidad en la prestación de los servicios de televisión”, en el marco del cual esta Comisión llevó a cabo una revisión teórica y efectuó una comparación de experiencias internacionales relacionadas con la normatividad técnica de la televisión según las distintas tecnologías de transmisión, teniendo como insumo, entre otros documentos, los resultados de la asesoría contratada con el Centro de Investigación y Desarrollo en Tecnologías de la Información y las Comunicaciones (Cintel), cuyo objeto se centró en conocer, en el marco de las competencias de la Comisión, condiciones de calidad aplicables a la prestación de dichos servicios, a fin de garantizar las mismas a todos los usuarios.

Que la CRC desarrolló un espacio preliminar de consulta pública entre el 18 de marzo y el 25 de abril de 2014, poniendo en consideración de los agentes interesados un documento con análisis técnico-jurídicos adelantados por Cintel relacionados con la calidad en la prestación de servicios de televisión, teniendo como objeto la obtención de consideraciones adicionales que fueron revisadas y analizadas por esta Entidad en el proceso de estructuración de la presente resolución.

Que con fundamento en los artículos 9o y 10 del Decreto 2696 de 2004 y en el artículo 8o numeral 11 de la Ley 1437 de 2011, el proyecto que dio lugar a la expedición del presente acto administrativo fue publicado entre el 9 de septiembre y el 10 de octubre de 2014 con el fin de recibir opiniones, observaciones, sugerencias o propuestas alternativas de las personas interesadas en el mismo, habiéndose obtenido un total de 14 respuestas allegadas oportunamente. Igualmente, los aportes y análisis remitidos por parte de 9 Operadores, los cuales fueron publicados en la página web de esta Comisión el 3 de marzo de 2015.

Que con el objeto de ampliar los espacios de socialización, una vez finalizado el plazo de comentarios antes citado la CRC convocó y adelantó foros de discusión en Bogotá, Medellín, Cali, Barranquilla y Bucaramanga los días 14, 15 y 16 de octubre de 2014, y en atención a las solicitudes de varios actores del sector en dichos espacios, se desarrollaron mesas técnicas con operadores de televisión por suscripción por satélite, televisión sin ánimo de lucro prestado por las comunidades organizadas, suscripción por cable y televisión abierta radiodifundida entre el 28 y el 31 de octubre de 2014. Adicionalmente, se dispuso de un espacio de socialización el 13 de noviembre de 2014 en el marco del VII Congreso Nacional de la Televisión convocado por Televisar Internacional.

Que una vez finalizado el plazo definido por la CRC para recibir comentarios correspondientes, se elaboró el informe contentivo de las categorías de argumentos presentados y las razones por las cuales se aceptan o rechazan las propuestas formuladas y se llevaron a cabo los ajustes pertinentes sobre el presente acto administrativo.

Que en cumplimiento de lo estipulado en el artículo 7o de la Ley 1340 de 2009, la CRC diligenció el cuestionario expedido por la Superintendencia de Industria y Comercio (SIC), mediante el artículo 5o de la Resolución 44649 del 25 de agosto de 2010, para verificar si las disposiciones contempladas en el presente acto administrativo tienen efectos en la competencia, y remitió el proyecto de Resolución el día 12 de febrero de 2015.

Qué con fundamento en el artículo 7o de la Ley 1340 de 2009 y el artículo 8o del Decreto 2897 de 2010, la Superintendencia de Industria y Comercio emitió concepto de abogacía donde concluyó que el proyecto regulatorio sometido a su estudio no comportaba ninguna preocupación en materia de la libre competencia, por el contrario, precisó que la iniciativa de esta Comisión propende por una mejora generalizada en las condiciones de calidad del servicio de televisión que los operadores prestan al consumidor. Por otra parte realizó una serie de recomendaciones en materia de reporte e información, definición de conceptos, entre otros temas que fueron objeto de revisión por parte de esta Comisión.

Que el contenido del presente Acto Administrativo, una vez adelantados los trámites previos anteriores y efectuados los análisis antes descritos, fue aprobado por el Comité de Comisionados según consta en el Acta número 969 del 26 de marzo de 2015 y, posteriormente, presentado y aprobado por los miembros de la Sesión de Comisión según consta en el Acta número 315 del 21 de abril de 2015.

En virtud de lo expuesto,

RESUELVE:

CAPÍTULO I.

GENERALIDADES.

ARTÍCULO 1o. OBJETO Y ÁMBITO DE APLICACIÓN. <Artículo compilado en el artículo 5.2.1.1 de la Resolución CRC 5050 de 2016. Debe tenerse en cuenta lo dispuesto por el artículo 2.2.13.3.5 del Decreto 1078 de 2015>

La presente resolución establece el régimen de calidad aplicable a todas las redes y las modalidades de servicios de televisión consagrados en la Ley 182 de 1995, independientemente de su clasificación, siendo de obligatorio cumplimiento para todos los operadores titulares del servicio con independencia de su régimen de habilitación.

PARÁGRAFO. Las redes de televisión abierta radiodifundida analógica y de Televisión Digital Terrestre (TDT), con el estándar DVB-T[1] se excluyen del cumplimiento de las obligaciones descritas en la presente resolución.

Notas de Vigencia
Ir al inicio

ARTÍCULO 2o. TÉRMINOS Y DEFINICIONES. <Artículo compilado en el artículo 5.2.1.2 de la Resolución CRC 5050 de 2016. Debe tenerse en cuenta lo dispuesto por el artículo 2.2.13.3.5 del Decreto 1078 de 2015>

Los siguientes términos, conceptos y siglas serán entendidos en este sentido, para efectos de interpretación de la presente Resolución:

a) BER (Bit Error Rate): Tasa de bits erróneos.

b) LDPC (Low Density Parity Check Decoder): Mecanismo de corrección de errores por comprobación de paridad de baja densidad.

c) Canal de TV: Secuencia de programas bajo el control de un operador de televisión.

d) CSO (Composite Second Order): Distorsiones de segundo orden en redes de televisión por cable con tecnología analógica.

e) CTB (Composite Triple Beat): Distorsiones de tercer orden en redes de televisión por cable con tecnología analógica.

f) Disponibilidad: Porcentaje de tiempo efectivo que una red de televisión se encuentra prestando el servicio correctamente.

g) Drop: Acometida, cable que conecta el TAP al abonado.

h) DTH (Direct To Home): Televisión satelital directa al hogar.

i) Eb/No (Energy per bit to Noise power spectral density ratio): relación entre energía por bit y densidad espectral de potencia de ruido.

j) Redes HFC (Hybrid Fiber Coaxial): Redes híbridas de fibra óptica y cable coaxial.

k) Intensidad de campo mínimo equivalente: Nivel de señal medio mínimo necesario para permitir la provisión del servicio garantizando una determinada probabilidad de recepción.

l) Jitter: Variación del Retardo de Paquetes IP en redes con tecnología IPTV.

m) IPTV (Internet Protocol Television): Servicios multimedia, tales como televisión/video/audio/texto/gráficos/data desarrollados sobre redes basadas en IP. Gestionadas para soportar los niveles requeridos de calidad de servicio (QoS), calidad de experiencia (QoE), seguridad, interactividad y confiabilidad[2].

n) MER (Modulation Error Ratio): Tasa de error de modulación.

o) Programa de TV: Conjunto de contenidos audiovisuales dotado de identidad propia, que constituye un elemento unitario dentro del esquema de programación de un canal de televisión.

p) PER (Packet Error Rate): Tasa de paquetes erróneos.

q) Sector Nodal: Segmento de red parte en un nodo de fibra y termina en las acometidas de usuario.

r) STB (Set-Top-Box): Dispositivo encargado de la recepción y opcionalmente decodificación de señal de televisión analógica o digital, para luego ser mostrada en un televisor.

s) TAP: Derivador, punto de control y monitoreo.

t) XMO: Productos de intermodulación.

Notas de Vigencia

CAPÍTULO II.

OBLIGACIONES DE CALIDAD DE LOS OPERADORES DEL SERVICIO DE TELEVISIÓN.

Ir al inicio

ARTÍCULO 3o. OBLIGACIONES GENERALES. <Artículo compilado en el artículo 5.2.2.1 de la Resolución CRC 5050 de 2016. Debe tenerse en cuenta lo dispuesto por el artículo 2.2.13.3.5 del Decreto 1078 de 2015>

Todos los operadores titulares del servicio de televisión, sin importar la modalidad bajo la cual presten su servicio, deberán dar cumplimiento a las siguientes obligaciones:

1. Establecer los procedimientos y tareas necesarias para evaluar la calidad de servicio ofrecida a los usuarios, generando y presentando los reportes que se indican en los artículos 4o al 10 y el formato A del artículo 13 de la presente resolución.

2. Disponer los medios e implementar los sistemas de gestión y monitoreo del servicio que consideren adecuados para asegurar los indicadores de calidad de servicio y sustentar los niveles alcanzados en los reportes de calidad establecidos en la presente resolución o aquella que la modifique o adicione.

3. Mantener los registros de monitoreo y comportamiento de la red y del servicio, así como la información fuente independientemente de los tratamientos estadísticos que requiera la información para la presentación de los resultados, como mínimo, por tres (3) periodos de reporte, para la posible verificación de los mismos por parte de las autoridades de vigilancia y control competentes y como insumo para análisis regulatorios que la CRC pueda adelantar.

4. Presentar un informe semestral que deberá incluir un resumen de todas las incidencias producidas en el servicio, sin perjuicio de otra información que pueda ser requerida por las autoridades de vigilancia y control.

PARÁGRAFO. Se entiende por incidencia aquel suceso que conlleve a la interrupción, de forma temporal, de todas las señales que provea el operador.

Notas de Vigencia
Ir al inicio

ARTÍCULO 4o. CONDICIONES PARA CONTENIDOS DE ALTA DEFINICIÓN (HD). <Artículo compilado en el artículo 5.2.2.2 de la Resolución CRC 5050 de 2016. Debe tenerse en cuenta lo dispuesto por el artículo 2.2.13.3.5 del Decreto 1078 de 2015>

Los operadores de televisión deberán garantizar la tasa de transmisión apropiada para que los canales anunciados como HD sean visualizados en el receptor del televidente como mínimo con las siguientes condiciones:

a) La resolución vertical de la componente de video debe ser igual o superior a 720 líneas activas

b) La relación de aspecto deberá ser 16:9.

Los operadores no podrán reducir la calidad de las señales que los proveedores del contenido les entreguen para su transmisión o retransmisión.

Notas de Vigencia

ARTÍCULO 5o. INDICADORES DE CALIDAD DEL SERVICIO DE TELEVISIÓN ABIERTA RADIODIFUNDIDA DIGITAL TERRESTRE. <Artículo compilado en el artículo 5.2.2.3 de la Resolución CRC 5050 de 2016. Debe tenerse en cuenta lo dispuesto por el artículo 2.2.13.3.5 del Decreto 1078 de 2015>

Todos los operadores titulares del servicio de televisión abierta radiodifundida digital terrestre, tanto privados como públicos, de cubrimiento nacional, regional o local, deberán medir, calcular y reportar al sistema de información Colombia TIC[3] lo siguiente:

1. Reporte de Disponibilidad del Servicio QoS1, de acuerdo con la metodología definida en el artículo 10 y el formato B del artículo 13 de la presente resolución.

Notas de Vigencia
Ir al inicio

ARTÍCULO 6o. INDICADORES DE CALIDAD DEL SERVICIO DE TELEVISIÓN POR CABLE HFC ANALÓGICO. <Artículo compilado en el artículo 5.2.2.4 de la Resolución CRC 5050 de 2016. Debe tenerse en cuenta lo dispuesto por el artículo 2.2.13.3.5 del Decreto 1078 de 2015>

Todos los operadores titulares del servicio de televisión que soporten su servicio en redes cableadas del tipo coaxial o HFC y que presten el servicio al usuario con tecnología analógica deberán medir, calcular y reportar al sistema que la CRC defina para tal fin lo siguiente:

Reporte de Disponibilidad del Servicio QoS1, de acuerdo con la metodología definida en el artículo 10 y el formato B del artículo 13 de la presente resolución.

1. Reporte de Calidad de la Transmisión QoS2, de acuerdo con la metodología definida en el artículo 11 y el formato C del artículo 13 de la presente resolución.

PARÁGRAFO 1o. Para las redes desplegadas en su totalidad con cable coaxial y que no cuenten con tramos en fibra óptica, les serán aplicables las mismas condiciones que se definen para las redes HFC.

PARÁGRAFO 2o. Los operadores titulares del servicio de televisión que soporten su servicio en redes cableadas del tipo coaxial o HFC que presten el servicio al usuario con tecnología analógica y que cuenten con menos de 12.500 suscriptores o asociados al inicio de los períodos de reporte a los que hace referencia el artículo 12 de la presente resolución, no estarán obligados a presentar los reportes periódicos definidos en esta resolución, lo anterior sin perjuicio de que la autoridad de vigilancia y control en ejercicio de sus facultades pueda realizar o solicitar las mediciones para verificar el cumplimiento de los criterios de calidad definidos en esta resolución.

Notas de Vigencia
Ir al inicio

ARTÍCULO 7o. INDICADORES DE CALIDAD DEL SERVICIO DE TELEVISIÓN POR CABLE HFC DIGITAL. <Artículo compilado en el artículo 5.2.2.5 de la Resolución CRC 5050 de 2016. Debe tenerse en cuenta lo dispuesto por el artículo 2.2.13.3.5 del Decreto 1078 de 2015>

Todos los operadores titulares del servicio de televisión que soporten su servicio en redes cableadas del tipo HFC y con tecnología digital deberán medir, calcular y reportar al sistema que la CRC defina para tal fin lo siguiente:

1. Reporte de Disponibilidad del Servicio QoS1, de acuerdo con la metodología definida en el artículo 10 y el formato B del artículo 13 de la presente resolución.

2. Reporte de Calidad de la Transmisión QoS2, de acuerdo con la metodología definida en el artículo 11 y el formato C del artículo 13 de la presente resolución.

PARÁGRAFO. Los operadores titulares del servicio de televisión que soporten su servicio en redes cableadas del tipo HFC y con tecnología digital que cuenten con menos de 12.500 suscriptores o asociados al inicio de los períodos de reporte a los que hace referencia el artículo 12 de la presente resolución, no estarán obligados a presentar los reportes periódicos definidos en esta resolución, lo anterior sin perjuicio de que la autoridad de vigilancia y control en ejercicio de sus facultades pueda realizar o solicitar las mediciones para verificar el cumplimiento de los criterios de calidad definidos en esta resolución.

Notas de Vigencia
Ir al inicio

ARTÍCULO 8o. INDICADORES DE CALIDAD DEL SERVICIO DE TELEVISIÓN SATELITAL. <Artículo compilado en el artículo 5.2.2.6 de la Resolución CRC 5050 de 2016. Debe tenerse en cuenta lo dispuesto por el artículo 2.2.13.3.5 del Decreto 1078 de 2015>

Todos los operadores titulares del servicio de televisión satelital deberán medir, calcular y reportar al sistema que la CRC defina para tal fin lo siguiente:

1. Reporte de Disponibilidad del Servicio QoS1, de acuerdo con la metodología definida en el artículo 10 y el formato B del artículo 13 de la presente resolución.

2. Reporte de Calidad de la Transmisión QoS2, de acuerdo con la metodología definida en el artículo 11 y el formato C del artículo 13 de la presente resolución.

PARÁGRAFO. Los operadores titulares del servicio de televisión satelital y que cuenten con menos de 12.500 suscriptores o asociados al inicio de los períodos de reporte a los que hace referencia el artículo 12 de la presente resolución, no estarán obligados a presentar los reportes periódicos definidos en esta resolución, lo anterior sin perjuicio de que la autoridad de vigilancia y control en ejercicio de sus facultades pueda realizar o solicitar las mediciones para verificar el cumplimiento de los criterios de calidad definidos en esta resolución.

Notas de Vigencia
Ir al inicio

ARTÍCULO 9o. INDICADORES DE CALIDAD DEL SERVICIO DE TELEVISIÓN CON TECNOLOGÍA IPTV. <Artículo compilado en el artículo 5.2.2.7 de la Resolución CRC 5050 de 2016. Debe tenerse en cuenta lo dispuesto por el artículo 2.2.13.3.5 del Decreto 1078 de 2015>

Todos los operadores titulares del servicio de televisión por suscripción y comunitaria cerrada sin ánimo de lucro que soporten el servicio utilizando tecnología IPTV deberán medir, calcular y reportar al sistema que la CRC defina para tal fin lo siguiente:

Reporte de Disponibilidad del Servicio QoS1, de acuerdo con la metodología definida en el artículo 10 y el formato B del artículo 13 de la presente resolución.

2. Reporte de Calidad de la Transmisión QoS2, de acuerdo con la metodología definida en el artículo 11 y el formato C del artículo 13 de la presente resolución.

PARÁGRAFO 1o. Los operadores que prestan el servicio a través de tecnología IPTV, solo reportarán los indicadores definidos en este artículo, independientemente de las características físicas de la red que utilice.

PARÁGRAFO 2o. Los operadores titulares del servicio de televisión que soporten el servicio utilizando tecnología IPTV y que cuenten con menos de 12.500 suscriptores o asociados al inicio de los períodos de reporte a los que hace referencia el artículo 12 de la presente resolución, no estarán obligados a presentar los reportes periódicos definidos en esta resolución, lo anterior sin perjuicio de que la autoridad de vigilancia y control en ejercicio de sus facultades pueda realizar o solicitar las mediciones para verificar el cumplimiento de los criterios de calidad definidos en esta resolución.

Notas de Vigencia

CAPÍTULO III.

METODOLOGÍAS PARA MEDICIÓN.

Ir al inicio

ARTÍCULO 10. METODOLOGÍA PARA LA MEDICIÓN DE LA DISPONIBILIDAD DEL SERVICIO (QOS1). <Artículo compilado en el artículo 5.2.3.1 de la Resolución CRC 5050 de 2016. Debe tenerse en cuenta lo dispuesto por el artículo 2.2.13.3.5 del Decreto 1078 de 2015>

Generalidades

La disponibilidad del servicio se define como el porcentaje de tiempo que una red de televisión se encuentra disponible respecto al tiempo total de emisión previsto, y permite conocer el tiempo efectivo en que una red se encuentra prestando el servicio correctamente.

Metodología

Se definen dos metodologías diferentes para calcular el indicador de disponibilidad del servicio para: (i) operadores de televisión radiodifundida y (ii) operadores de televisión por cable HFC, IPTV y Satelital. En ambos casos se utiliza el mismo principio de proporcionar el tiempo efectivo que una red de televisión se encuentra prestando el servicio correctamente, y ponderando cada falla del servicio por el porcentaje de usuarios afectados.

Disponibilidad para TV radiodifundida

La disponibilidad del servicio para un operador de televisión radiodifundida se calcula en función de la disponibilidad de los transmisores de la red, de acuerdo con la siguiente fórmula:

Donde:

-- ntrx: número total de transmisores de la red.
 
-- T Disponible, i: tiempo en servicio del transmisor en el semestre reportado.
 
-- T Reporte: tiempo previsto de emisión del transmisor referido al semestre reportado.
 
-- Ui: habitantes cubiertos por el transmisor , según lo reportado a la CNTV o a la ANTV en el proceso de autorización de la estación.
 
-- UTotal: sumatoria de habitantes cubiertos a título individual por cada uno de los transmisores de la red.

Una estación de transmisión de televisión radiodifundida se considera disponible cuando se encuentra proporcionando el servicio de acuerdo con las condiciones de transmisión para las que ha sido planificada y autorizada en cumplimiento de la normativa vigente. A efectos de cómputo, el servicio de televisión radiodifundida se considerará no disponible cuando concurran uno o varios de los siguientes hechos:

-- La potencia emitida se encuentre 3 dB o más por debajo de la potencia aprobada en el estudio técnico del centro transmisor.

-- Alguno de los canales de televisión ofertados por el operador no se transmite.

No se considerará indisponibilidad del servicio cualquiera de las situaciones anteriores, en aquellos casos en los que la pérdida de servicio sea originada por circunstancias de fuerza mayor o caso fortuito.

El reporte deberá incluir el cálculo de disponibilidad incluyendo las fallas causadas por interferencias o por fuerza mayor y el cálculo sin incluir estas fallas, de modo que sean comparables los resultados en ambas circunstancias.

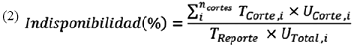
Indisponibilidad para TV por cable, IPTV y Satelital

La indisponibilidad del servicio para un operador de televisión por cable HFC, IPTV y Satelital se calcula en función del número de cortes del servicio, su duración y el número de usuarios afectados de acuerdo a la siguiente fórmula:

Donde:

ncortes: número de cortes del servicio en el semestre reportado.
 
Tcorte,i: duración del corte del servicio .
 
Ucorte,i: número de usuarios afectados por el corte del servicio .
 
TReporte: tiempo de observación referido al semestre reportado.
 
UTotal,i: número total de usuarios del servicio en el momento del corte .

Se considerará indisponibilidad del servicio todo corte en la prestación del servicio a los usuarios por motivos que sean atribuibles al operador. No se considerará indisponibilidad del servicio cualquier corte que sea debido a circunstancias de fuerza mayor o caso fortuito, aunque estos deben de ser reportados igualmente.

Valores objetivo

La Tabla 1 muestra los valores objetivos mínimos para el indicador del servicio de televisión.

Tabla 1: Valores objetivos mínimos para el indicador disponibilidad o indisponibilidad del servicio

Modalidad
Prestación Servicio
Valor Objetivo
Televisión
radiodifundida
Disponibilidad Mínima: Media del 99% sobre todas las estaciones y 99,8% para estaciones con una cobertura superior a 100.000 habitantes.
Televisión
por cable (HFC e IPTV)
Indisponibilidad Máxima: 1%
Televisión
por satélite
Indisponibilidad Máxima: 1%
Notas de Vigencia
Ir al inicio

ARTÍCULO 11. METODOLOGÍA PARA LA MEDICIÓN DE LA CALIDAD DE LA TRANSMISIÓN (QOS2). <Artículo compilado en el artículo 5.2.3.2 de la Resolución CRC 5050 de 2016. Debe tenerse en cuenta lo dispuesto por el artículo 2.2.13.3.5 del Decreto 1078 de 2015>

<Artículo corregido por el artículo 1 de la Resolución 4831 de 2015. El nuevo texto es el siguiente:>

Generalidades

Las mediciones de calidad del servicio QoS2 tienen por objetivo determinar la calidad de la transmisión de las señales del servicio de televisión. Se definen tres metodologías diferentes para calcular la calidad de la transmisión para: (i) operadores de televisión por cable HFC con tecnología analógica, (ii) operadores de televisión por cable HFC y satélite, (iii) operadores IPTV.

Metodología

En todos los casos se debe utilizar un receptor profesional, entendiendo éste como aquel que permita medir los parámetros de calidad de la transmisión característicos para cada tipo de red en los puntos de recepción del usuario especificados en el artículo 14 de la presente resolución.

Medición para televisión cableada analógica

Los operadores de televisión cableada con tecnología analógica deben medir los parámetros especificados en la Tabla 2, la cual también muestra los umbrales de calidad de cada parámetro:

Tabla 2: Parámetros de calidad de la transmisión de televisión analógica a la entrada del receptor en los sistemas de cable HFC

NoNombreDescripción
1Frecuencia central de la portadora de audioLa frecuencia central de la portadora de audio debe estar 4.5 MHz ± 5 kHz por encima de la portadora de vídeo.
2Nivel mínimo de la portadora de vídeo(a) El nivel de la señal de vídeo, medido con un equipo de impedancia ajustada a la impedancia interna del sistema de cable, visto desde el terminal del suscriptor, no deberá ser inferior de 1 milivoltio (0 dBmV), siendo la impedancia interna de 75 ohms.

(b) El nivel mínimo de la portadora de vídeo al final de un cable drop de 30 metros de longitud conectado al tap del suscriptor, no deberá ser inferior de 1.41 milivoltios (+ 3 dBmV), siendo la impedancia interna de 75 ohms.
NoNombreDescripción
3Variación de los niveles de la señal de vídeo en canales adyacentesLa variación de los niveles de la señal de vídeo entre canales adyacentes se mantendrá dentro de 3 dB, medidos al final de un cable drop de 30 metros de longitud conectado al tap del suscriptor.
4Nivel de la señal de vídeo El nivel de la señal de vídeo en el receptor del suscriptor debe estar entre 0 y 5 dBmV, sin llegar a saturar el receptor de televisión.
5Nivel de la portadora de audioEl voltaje RMS de la señal de audio debe estar entre 10 y 17 dB por debajo del nivel de la señal de vídeo.
6AmplitudLa respuesta en frecuencia del canal medido en un rango de 0.75 MHz a 5 MHz debe mantenerse en ± 2 dB y se refiere al promedio del nivel de señal más alto con el nivel de señal más bajo encontrados en este rango de frecuencias.
7Relación portadora a ruido CNRLa relación del nivel de la señal de vídeo con respecto al ruido no debe ser menor a 43 dB.
8Relación de la señal de vídeo a distorsiones coherentes (CSO, XMO)(a) La relación del nivel de la señal de vídeo a la amplitud RMS de cualquier distorsión coherente, tales como productos de intermodulación (XMO), distorsiones de segundo orden (CSO), distorsiones de tercer orden (CTB), no será menor a 51 dB.

(b) La relación del nivel de la señal de vídeo a la amplitud RMS de cualquier distorsión coherente y coincidente en frecuencia con la portadora de vídeo no será menor a 47 dB.

Se utilizarán las recomendaciones de la norma FCC71parte 76.605 en relación con los canales objeto de medición en función del ancho de banda del sistema.

Medición para televisión digital cable HFC y satelital

Los operadores de televisión digital cable HFC y satelital deben medir los parámetros mostrados en la Tabla 3. La medida de BER se debe realizar después del primer decodificador FEC en el receptor (esto es, decodificador convolucional en sistemas de transmisión de televisión digital de primera generación, y el decodificador LDPC en sistemas de transmisión de televisión digital de segunda generación).

Tabla 3: Parámetros de calidad de la transmisión de televisión digital en los sistemas de cable HFC y satélite.

NoParámetroDescripción
1VER (Bit Error Rate)La tasa de error de bit debe ser igual o mejor (menor) que:

-- 10-7 tras el decodificador LDPC para sistemas de transmisión de televisión digital de segunda generación.

-- 2*10-4 tras el decodificador convolucional para sistemas de transmisión de televisión digital de primera generación.
2MER (Modulation Error Rate)Tasa de error de modulación. Este parámetro se medirá y reportará a modo informativo.
3SNR (Signal-to-Noise Ratio)Relación señal a ruido. Este parámetro se medirá y reportará a modo informativo. Según el tipo de red analizada se podrá medir la relación portadora a ruido CNR o la relación de energía de bit a ruido Eb/No.

Medición para IPTV

Los operadores de IPTV deben medir los parámetros mostrados en la Tabla 4.

Tabla 4: Parámetros de calidad de la transmisión de televisión digital en los sistemas IPTV

NoParámetroDescripción
1PER (Packet Error Rate)La tasa de error de paquetes IP debe ser igual o mejor (menor) que 10-6 a la salida del decodificador.
2Average Packet DelayEl retardo medio de paquetes IP debe ser igual o mejor (menor) que 75 ms.
3JitterLa variación en el retardo medio de paquetes IP debe ser igual o mejor (menor) que 50 ms.
Notas de Vigencia

<Texto original de la Resolución 4735 de 2015:>

Generalidades

Las mediciones de calidad del servicio QoS2 tienen por objetivo determinar la calidad de la transmisión de las señales del servicio de televisión. Se definen tres metodologías diferentes para calcular la calidad de la transmisión para: (i) operadores de televisión por cable HFC con tecnología analógica, (ii) operadores de televisión por cable HFC y satélite, (iii) operadores IPTV.

Metodología

En todos los casos se debe utilizar un receptor profesional, entendiendo éste como aquel que permita medir los parámetros de calidad de la transmisión característicos para cada tipo de red en los puntos de recepción del usuario especificados en el Anexo V de la presente resolución.

Medición para televisión cableada analógica

Los operadores de televisión cableada con tecnología analógica deben medir los parámetros especificados en la Tabla 2, la cual también muestra los umbrales de calidad de cada parámetro:

Tabla 2: Parámetros de calidad de la transmisión de televisión analógica a la entrada del receptor en los sistemas de cable HFC

No.NombreDescripción
1Frecuencia central de la portadora de audioLa frecuencia central de la portadora de audio debe estar 4.5 MHz ± 5 kHz por encima de la portadora de video.
2Nivel mínimo de la portadora de video(a) El nivel de la señal de vídeo, medido con un equipo de impedancia ajustada a la impedancia interna del sistema de cable, visto desde el terminal del suscriptor, no deberá ser inferior de 1 milivoltio (0 dBmV), siendo la impedancia interna de 75 ohms.

(b) El nivel mínimo de la portadora de vídeo al final de un cable drop de 30 metros de longitud conectado al tap del suscriptor, no deberá ser inferior de 1.41 milivoltios (+ 3 dBmV), siendo la impedancia interna de 75 ohms.
3Variación de los niveles de la señal de video en canales adyacentesLa variación de los niveles de la señal de vídeo entre canales adyacentes se mantendrá dentro de 3 dB, medidos al final de un cable drop de 30 metros de longitud conectado al tap del suscriptor.
4Nivel de la señal

de video
El nivel de la señal de vídeo en el receptor del suscriptor debe estar entre 0 y 5 dBmV, sin llegar a saturar el receptor de televisión.
5Nivel de la portadora de audioEl voltaje RMS de la señal de audio debe estar entre 10 y 17 dB por debajo del nivel de la señal de video.
6AmplitudLa respuesta en frecuencia del canal medido en un rango de 0.75 MHz a 5 MHz debe mantenerse en ± 2 dB y se refiere al promedio del nivel de señal más alto con el nivel de señal más bajo encontrados en este rango de frecuencias.
7Relación portadora a ruido CNRLa relación del nivel de la señal de vídeo con respecto al ruido no debe ser menor a 43 dB.
8Relación de la señal de vídeo a distorsiones coherentes (CSO, XMO)(a) La relación del nivel de la señal de vídeo a la amplitud RMS de cualquier distorsión coherente, tales como productos de intermodulación (XMO), distorsiones de segundo orden (CSO), distorsiones de tercer orden (CTB), no será menor a 51 dB.(b) La relación del nivel de la señal de vídeo a la amplitud RMS de cualquier distorsión coherente y coincidente en frecuencia con la portadora de vídeo no será menor a 47 dB.

Se utilizarán las recomendaciones de la norma FCC[4] parte 76.605 en relación con los canales objeto de medición en función del ancho de banda del sistema.

Medición para televisión digital cable HFC y satelital

Los operadores de televisión digital cable HFC y satelital deben medir los parámetros mostrados en la Tabla 3. La medida de BER se debe realizar después del primer decodificador FEC en el receptor (esto es, decodificador convolucional en sistemas de transmisión de televisión digital de primera generación, y el decodificador LDPC en sistemas de transmisión de televisión digital de segunda generación).

Tabla 3: Parámetros de calidad de la transmisión de televisión digital en los sistemas de cable HFC y satélite

No.ParámetroDescripción
1BER

(Bit Error Rate)
La tasa de error de bit debe ser igual o mejor (menor) que:

--10-7 tras el decodificador LDPC para sistemas de transmisión de televisión digital de segunda generación.

-- 2*10-4 tras el decodificador convolucional para sistemas de transmisión de televisión digital de primera generación.
2MER

(Modulation Error Rate)
Tasa de error de modulación. Este parámetro se medirá y reportará a modo informativo.
3SNR

(Signal-to-Noise Ratio)
Relación señal a ruido. Este parámetro se medirá y reportará a modo informativo. Según el tipo de red analizada se podrá medir la relación portadora a ruido CNR o la relación de energía de bit a ruido Eb/No.

Medición para IPTV

Los operadores de IPTV deben medir los parámetros mostrados en la Tabla 4.

Tabla 4: Parámetros de calidad de la transmisión de televisión digital en los sistemas IPTV

No.ParámetroDescripción
1PER (Packet Error Rate)La tasa de error de paquetes IP debe ser igual o mejor (menor) que 10-6 a la salida del decodificador.
2Average Packet DelayEl retardo medio de paquetes IP debe ser igual o mejor (menor) que 75 ms.
3JitterLa variación en el retardo medio de paquetes IP debe ser igual o mejor (menor) que 50 ms.

CAPÍTULO IV.

DISPOSICIONES FINALES Y VIGENCIA.

ARTÍCULO 12. PRESENTACIÓN DE INFORMES. <Artículo compilado en el artículo 5.2.4.1 de la Resolución CRC 5050 de 2016. Debe tenerse en cuenta lo dispuesto por el artículo 2.2.13.3.5 del Decreto 1078 de 2015>

El operador titular del servicio deberá presentar ante el sistema de información Colombia TIC, los reportes de calidad que correspondan con su modalidad de prestación del servicio de televisión de acuerdo con lo definido en el capítulo II de la presente resolución.

Los reportes de calidad correspondientes al periodo comprendido entre el 1o de enero y el 30 de junio de cada año se deberán presentar a más tardar el 31 de julio siguiente, y los correspondientes al periodo comprendido entre el 1o de julio y el 31 de diciembre de cada año se deberán presentar a más tardar el 31 de enero del año siguiente.

Notas de Vigencia
Ir al inicio

ARTÍCULO 13. REPORTES DE INFORMACIÓN.

Adicionar el formato 45 a la Resolución CRC 3496 de 2011 el cual quedará de la siguiente manera:

Formato 45. Información de indicadores de calidad para los servicios de televisión

FORMATO DE REPORTE INFORMACIÓN GENÉRICA POR OPERADOR

Periodicidad: Semestral.

Plazo: 31 de enero o 31 de julio según corresponda.

Este formato aplica para todos los operadores del servicio de televisión abierta radiodifundida digital terrestre y por cable HFC, satélite e IPTV.

Nombre del OperadorModalidad Prestación Servicio TVSemestre ReportadoFecha de ReporteNúmero de Canales de TV Ofertados (Analógico/Digital)
  

Nombre del operador: Nombre del operador sobre el que se describe la información.

Modalidad Prestación Servicio TV: Indicar si se trata de televisión terrestre radiodifundida, por cable HFC, satelital o IPTV.

Semestre reportado: Semestre sobre el cual se tomaron las mediciones correspondientes a los datos reportados.

Fecha de Reporte: Fecha en la que se presenta el reporte.

No.Nombre Canal TV
1
2
n

Nombre Canal TV: Nombre de cada uno de los canales incluidos en su parrilla durante el periodo de reporte.

Canal de TV DigitalInformación del VideoInformación del Audio
No.NombreCódec VideoDefiniciónBit Rate (Mbps)Fotogramas por segundoBits

por pixel
Códec AudioBit Rate (Mbps)
  Min.MedioMáx.  
1     
2     
     
n     

El operador deberá reportar todos los canales incluidos en su parrilla durante el periodo de reporte.

Canal de TV: Secuencia de programas bajo el control de un operador de televisión. El operador deberá reportar todos los canales incluidos en su parrilla durante el periodo de reporte.

Códec de Video: Hace referencia al códec utilizado para la compresión del video.

Definición: Indicar si es Standard Definition (SD) o High Definition (HD).

Bit rate: Tasa de bits mínima, promedio y máxima.

Fotogramas por segundo: Cuadros por segundo. Medida de la frecuencia con que se transmite o presenta una imagen de televisión en la pantalla.

Bits por pixel: Profundidad de imagen. Cantidad de bits de información utilizados para representar el color de un píxel en una imagen digital.

Códec de Audio: Hace referencia al códec utilizado para la compresión del sonido.

B. FORMATO DE REPORTE QoS1 “Disponibilidad del Servicio”

Periodicidad: Semestral.

Plazo: 31 de enero o 31 de julio según corresponda.

Este formato aplica para todos los operadores del servicio de televisión abierta radiodifundida digital terrestre y por cable HFC, satélite e IPTV.

Resultados de disponibilidad total del servicio

Disponibilidad semestral del servicio:

Los concesionarios y/o licenciatarios del servicio de televisión deberán diligenciarlo teniendo en cuenta las siguientes indicaciones:

a) Los operadores deben proporcionar datos de la disponibilidad media del servicio en el semestre reportado y desglosada por mes.

b) Los operadores de televisión radiodifundida deberán proporcionar información de la disponibilidad de todos los transmisores de su red reportando la Tabla “Resultados de disponibilidad del servicio por estación para operadores del servicio de televisión radiodifundida.”, comenzando por los de mayor cubrimiento poblacional. Se deberá indicar si el transmisor tiene una cobertura mayor a 100.000 habitantes.

c) Los operadores deben reportar todas las incidencias que causaron un corte en la prestación del servicio a los usuarios, ya sean atribuibles o no al operador, diligenciando una Tabla” Incidencias en la disponibilidad del servicio.” por incidencia.

Resultados de disponibilidad del servicio por estación para operadores del servicio de televisión radiodifundida

Estación

No.
Nombre

Estación
Municipio

/Departamento
Coordenadas (WGS84)Cobertura

> 100.000 habitantes
Disponibilidad semestre reportado (%)
 Latitud
GG MM SS
Longitud
GG MM SS
No
1   
2   
3   
   
n   

Nombre Estación: Nombre de la estación sobre la que se reporta la disponibilidad.

Municipio/Departamento: Municipio y departamento en el que se ubica la estación.

Coordenadas: Latitud y longitud en Grados, Minutos y Segundos de la ubicación de la estación.

Cobertura >100.000 habitantes: Indicar si la estación tiene una cobertura mayor a 100.000 habitantes.

Disponibilidad semestre reportado: Indicar el porcentaje de disponibilidad de acuerdo con la metodología descrita y para el periodo reportado.

Incidencias en la disponibilidad del servicio.

Número de incidenciaFecha y hora de inicio de incidenciaFecha y hora de fin de incidenciaTipo de incidenciaUbicación de la incidenciaMecanismos de solución de la incidencia Número de usuarios afectadosObservaciones
    

C. FORMATO DE REPORTE QOS2 “CALIDAD DE LA TRANSMISIÓN”

Periodicidad: Semestral.

Plazo: 31 de enero o 31 de julio según corresponda.

Este formato aplica para todos los operadores del servicio de televisión por cable HFC, satelital e IPTV.

1. Reporte de la calidad de la transmisión para operadores de televisión por cable HFC con tecnología analógica.

Los operadores de televisión por cable HFC con tecnología analógica deben realizar medidas de calidad de la transmisión para los puntos de medición en usuario establecidos en el artículo 14 de la presente resolución, para los canales de televisión ofertados de acuerdo con la norma FCC 76.605, registrando la información referida en la siguiente tabla:

Sector Nodal:Canal No:Canal de TV: Tipo de SNR(CNR o Eb/N0) 
No. MedidaFechaLugarFrecuencia central de la portadora de audio (MHz)Nivel mínimo de la portadora de video (dBmV)Variación de los niveles de la señal de vídeo en canales adyacentes (dB)Nivel de la señal

de video (dBmV)
Nivel de la portadora de audio (Vrms)Amplitud (dB)Relación señal a ruido SNRRelación de la señal de vídeo a distorsiones coherentes (CSO, XMO)
1     
2     
     
n      

Sector Nodal: Es el identificador del sector nodal donde se efectúa la medición.

Canal de TV: Nombre del canal de televisión sobre el cual se practica la medición.

Canal No: Número de canal de tv sobre el que se realiza la medición.

Tipo de SNR (CNR o Eb/No): Indicar, de acuerdo con el tipo de red analizada, si la medición es de relación portadora a ruido o de la relación de energía de bit a ruido.

Fecha: Fecha de la medición (DD/MM/AAAA).

Lugar: Lugar de la medición (Departamento, Municipio, Dirección).

Nivel mínimo de la portadora de video: nivel mínimo de la señal de video, medido con un equipo de impedancia ajustada a la impedancia interna del sistema de cable, a la entrada del terminal del suscriptor o al final de un cable drop que simule la entrada del receptor. (dBmV).

Variación de los niveles de la señal de video en canales adyacentes: La diferencia entre los niveles de señal entre canales adyacentes. (dB).

Nivel de la señal de video: Nivel de la señal en el receptor del suscriptor (dBmV).

Nivel de la portadora de audio: Nivel de la señal de audio en el receptor del suscriptor (en voltaje RMS).

Amplitud: Promedio del nivel de señal más alto con el nivel de señal más bajo como respuesta en frecuencia al canal medido en un rango de 0.75MHz a 5MHz. (dB)

Relación Señal a Ruido SNR: Nivel de señal a ruido medida como relación portadora a ruido (CNR) o Energía de bit a ruido (Eb/N0).

Relación de la señal de video a distorsiones coherentes (CSO, XMO): Relación del nivel de la señal de video a la amplitud RMS de cualquier distorsión coherente como productos de intermodulación o distorsiones de segundo orden.

2. Reporte de la calidad de la transmisión para operadores de televisión digital cable HFC y satélite

Los operadores de televisión digital cable HFC y satélite deben realizar medidas de calidad de la transmisión para los puntos de medición en usuario establecidos en el artículo 14 de la presente resolución, para los canales de televisión ofertados, registrando la información referida en la siguiente tabla:

Canal de TV:Canal No:Tecnología:
No. MedidaFechaLugarVERSNRMER
1  
2  
  
n  

La tasa de error de bit BER reportada debe ser la resultante tras el primer mecanismo de corrección de errores en recepción. Los operadores deben especificar la medida de relación señal a ruido utilizada (por ejemplo, CNR para TDT y cable, y Eb/N0 para satélite).

Canal de TV: Nombre del canal de televisión sobre el cual se practica la medición.

Canal No: Número de canal de tv sobre el que se realiza la medición.

Tecnología: Estándar de transmisión utilizado. (ATSC, DVB-C/C2, DVB-S/S2).

Fecha: Fecha de la medición (DD/MM/AAAA).

Lugar: Lugar de la medición Lugar de la medición (Departamento, Municipio, Dirección).

BER: Tasa de error de bits.

SNR: Nivel de señal a ruido medida como relación portadora a ruido (CNR) o Energía de bit a ruido (Eb/N0).

MER: Tasa de error de modulación (dB).

3. Reporte de la calidad de la transmisión para operadores de IPTV.

Los operadores de IPTV deben realizar medidas de calidad de la transmisión para los puntos de medición en usuario establecidos en el ARTÍCULO 14 de la presente resolución, registrando la información referida en la siguiente tabla:

No. MedidaFechaLugarPERRetardo
Medio (ms)
Jitter (ms)
1  
2  
  
n  

Fecha: Fecha de la medición (DD/MM/AAAA).

Lugar: Lugar de la medición Lugar de la medición (Departamento, Municipio, Dirección).

PER: Tasa de error de paquetes.

Retardo medio: Retardo medio de los paquetes IP. (ms).

Jitter: Variación del retardo medio de los paquetes IP. (ms).

Ir al inicio

ARTÍCULO 14. PUNTOS DE MEDICIÓN. <Artículo compilado en el artículo 5.2.4.2 de la Resolución CRC 5050 de 2016. Debe tenerse en cuenta lo dispuesto por el artículo 2.2.13.3.5 del Decreto 1078 de 2015> <Artículo modificado por el artículo 1 de la Resolución 4875 de 2016. El nuevo texto es el siguiente:> Televisión por cable HFC e IPTV

Para los sistemas de televisión por cable HFC e IPTV, el número de puntos de medición estará determinado por el número de suscriptores según se ilustra en la Tabla 5. Los puntos de medición deben estar distribuidos en todo el ámbito de cubrimiento del operador.

Tabla 5: Número de puntos de medición para los operadores de televisión por cable HFC e IPTV.

Número de suscriptores o asociadosNúmero de puntos de medición
12.500 – 25.0007
25.001 - 375008

En el caso en que el operador cuente con más de 37.500 suscriptores, deberá agregar un punto de medición adicional por cada 12.500 usuarios o fracción adicionales a 37.500.Para lo anterior, deben tenerse en cuenta las siguientes consideraciones:

Para sistema de Cable e IPTV

a) Los puntos de medición deberán ser escogidos de forma tal que representen todas las áreas geográficas servidas por el sistema de cable o IPTV.

b) Cada punto de medición debe pertenecer a sectores nodales diferentes.

c) Las mediciones deberán efectuarse en el punto de distribución final de la mayor cascada de cada sector nodal. En el caso de IPTV se deberán contemplar los DSLAM de la mayor cascada.

Para sistemas de Cable.

a) Se deben adjuntar los planos de cada sector nodal en el caso de redes de cable.

b) Para sistemas analógicos las mediciones de Nivel mínimo de la portadora de video, Variación de los niveles de la señal de video en canales adyacentes, Nivel de la señal de video y Nivel de la portadora de audio deben realizarse en la totalidad de los canales de televisión.

c) Para sistemas analógicos las mediciones de los parámetros restantes deben realizarse en al menos cuatro (4) canales de televisión y uno más por cada 100 MHz de ancho de banda del sistema de cable. (Ej. 7 canales para sistemas entre 300-400 MHz).

d) Para sistemas digitales las mediciones de los parámetros especificados en la Tabla 3 del artículo 11 deben realizarse para los canales de televisión ofertados, de acuerdo con el formato 2 del artículo 13.

Televisión satelital

Para los sistemas de televisión satelital, deben tenerse en cuenta las siguientes consideraciones:

a) Se determinarán seis (6) puntos de medición en cada uno de los municipios en los que se cuente, como mínimo, con 12.500 suscriptores.

b) Adicionalmente, se deberán realizar mediciones en municipios con menos de 12.500 suscriptores. La cantidad de municipios a verificar en este criterio será la misma que los que se calculen del literal anterior. En cada municipio se determinarán seis (6) puntos de medición. Los municipios sobre los cuales se reportan mediciones deberán ser distribuidos de modo que en todos los departamentos con servicio se verifique al menos el municipio con más suscriptores y se deberá modificar la totalidad de los municipios de menos de 12.500 suscriptores para cada periodo de reporte”.

c) Las mediciones de los parámetros especificados en la Tabla 3 del artículo 11 deben realizarse para los canales de televisión ofertados, de acuerdo con el formato 2 del artículo 13.

Notas de Vigencia
Legislación Anterior

ARTÍCULO 15. VIGILANCIA Y CONTROL. <Artículo compilado en el artículo 5.2.4.3 de la Resolución CRC 5050 de 2016. Debe tenerse en cuenta lo dispuesto por el artículo 2.2.13.3.5 del Decreto 1078 de 2015>

De conformidad con lo establecido en las Leyes 182 de 1995 y 1507 de 2012, la verificación del cumplimiento de las disposiciones establecidas en la presente Resolución será realizada por la Autoridad Nacional de Televisión.

La medición de los indicadores de calidad y los reportes de información de que trata la presente resolución, deben ser certificadas por el representante legal del operador del servicio de televisión. El sistema de medición de los indicadores de calidad y los reportes de información de que trata la presente resolución deberán ser avalados a través de mecanismos de verificación técnica internos y/o externos que cuenten con autonomía e independencia de la gestión de red, de las fuentes de información, del proceso de medición y de los resultados, y deberán estar acompañados de la certificación que remita el representante legal de la compañía.

Notas de Vigencia

ARTÍCULO 16. PLAZO DE IMPLEMENTACIÓN. <Artículo compilado en el artículo 5.2.4.4 de la Resolución CRC 5050 de 2016. Debe tenerse en cuenta lo dispuesto por el artículo 2.2.13.3.5 del Decreto 1078 de 2015>

Los titulares del servicio de televisión deberán implementar las medidas necesarias para cumplir a cabalidad con los indicadores y reportes de calidad establecidos en la presente resolución a mas tardar el 31 de diciembre de 2015, de manera tal que el primer reporte de información, correspondiente al primer semestre de 2016, se presente a más tardar el 31 de julio de 2016.

Las comunidades organizadas que prestan el servicio de televisión cerrada sin ánimo de lucro deberán implementar las medidas necesarias para cumplir a cabalidad con los indicadores de calidad establecidos en la presente resolución a mas tardar el 30 de junio de 2016.

Notas de Vigencia
Ir al inicio

ARTÍCULO 17. VIGENGIA Y DEROGATORIAS.

La presente resolución rige a partir de la fecha de su publicacion en el Diario Oficial y deroga los numerales 5, 6 y 7 del Anexo Técnico del Acuerdo 10 de 2006, con excepción de lo dispuesto en el inciso 5o del citado numeral 6, en lo referente a la obligación de información periódica del plano de cobertura de las redes, área de cobertura, casas pasadas por sector y usuarios por cada sector, consolidado de casas pasadas y usuarios de todo el sistema. Así mismo deroga todas aquellas normas que le sean contrarias.

Publíquese y cúmplase.

Dada en Bogotá, D. C., a 15 de mayo de 2015.

El Presidente,

DIEGO MOLANO VEGA.

El Director Ejecutivo,

JUAN MANUEL WILCHES DURÁN.

* * *

1. DVB-T definido en el estándar europeo ETSI EN 300 744 v1.6.1 (2009-01).

2. UIT: IPTV Focus Group Proceedings, Vocabulary of terms, DOC-0147.

3. http://www.siust.gov.co/siust/.

4. Disponible en http://transition.fcc.gov/mb/engineering/605.html.

Ir al inicio

logoaj
Disposiciones analizadas por Avance Jurídico Casa Editorial Ltda.©
"Normograma - Colpensiones - Administradora Colombiana de Pensiones"
ISSN [2256-1633]
Última actualización: 31 de diciembre de 2017