Derechos de autor reservados - Prohibida su reproducción
RESOLUCIÓN 101 DE 2008
(octubre 9)
Diario Oficial No. 47.323 de 17 de abril de 2009
COMISIÓN DE REGULACIÓN DE ENERGÍA Y GAS
Por la cual se establecen las metas individuales de recolección de cilindros universales del Programa REPU para su reemplazo por un parque universal de cilindros marcados propiedad de los distribuidores inversionistas de los cuales trata la Resolución CREG 045 de 2008 y se define el programa ICMA con base en el Plan de Inversiones particular.
LA COMISIÓN DE REGULACIÓN DE ENERGÍA Y GAS,
en ejercicio de sus facultades legales, en especial las conferidas por las Leyes 142 de 1994 y 1151 de 2007, y en desarrollo de los Decretos 1524 y 2253 de 1994, y
CONSIDERANDO:
Que de conformidad con lo dispuesto en la Ley 142 de 1994 corresponde a la Comisión de Regulación de Energía y Gas regular la prestación del servicio de gas combustible;
Que la Ley 1151 de 2007 en su artículo 62 dispuso que “Dentro del término de dieciocho (18) meses siguientes a la expedición de esta ley, la Comisión de Regulación de Energía y Gas, CREG, adoptará los cambios necesarios en la regulación para que la remuneración asociada a la reposición y el mantenimiento de los cilindros de gas licuados de petróleo y de los tanques estacionarios utilizados para el servicio público domiciliario sea incorporado en la tarifa, introduciendo además un esquema de responsabilidad de marca en cilindros de propiedad de los distribuidores que haga posible identificar el prestador del servicio público de Gas Licuado de Petróleo que deberá responder por la calidad y seguridad del combustible distribuido.
El margen de seguridad de que trata el artículo 23 de la Ley 689 de 2001 se eliminará a partir del 31 de diciembre de 2010. A partir de la entrada en vigencia de la regulación prevista en el inciso anterior, el margen de seguridad de que trata el artículo 23 de la Ley 689 de 2001 se destinará a la financiación de las actividades necesarias para la implementación del cambio de esquema, con sujeción a la reglamentación que para el efecto expida la CREG. Y su monto se integrará al margen de distribución del servicio domiciliario del gas licuado de petróleo”.
Que con fundamento en lo dispuesto en el artículo 62 de la Ley 1151 la Comisión de Regulación de Energía y Gas expidió la Resolución 023 de 2008 “Por la cual se establece el Reglamento de Distribución y Comercialización Minorista de Gas Licuado del Petróleo”.
Que con fundamento en lo señalado en el artículo 62 de la Ley 1151 de 2007 la CREG expidió la Resolución 045 de 2008 “Por la cual se establece la regulación aplicable al período de transición de un esquema de parque universal a un esquema de parque marcado de cilindros de propiedad de los distribuidores”.
Que de acuerdo con lo establecido en la Resolución CREG 045 de 2008, la CREG debe fijar las metas individuales de recolección y destrucción del parque universal de cilindros para que sea reemplazado por un parque marcado propiedad de los distribuidores y su cumplimiento será verificado semestralmente por la SSPD, el cual se constituirá en el Programa de Recolección del Parque Universal (REPU) del cual trata la misma resolución.
Que mediante Resolución CREG 067 de 2008 la CREG asignó las metas individuales de recolección y eliminación de los cilindros del parque universal con base en el reporte del parque estimado presentado por cada distribuidor al SUI.
Que una vez fijada dichas metas individuales, mediante Circulares CREG 066, 071 y 077 de 2008, la CREG solicitó a los distribuidores su declaración su intención de participar introduciendo cilindros marcados de su propiedad para reemplazar el parque universal.
Que mediante las mismas circulares la CREG solicitó a quienes se declararan Distribuidores Inversionistas según lo previsto en la Resolución CREG 045 de 2008 que reportaran su Plan de Inversiones para introducir cilindros marcados de su propiedad de acuerdo con las metas individuales asignadas.
Que a partir de la entrada en vigencia de la regulación prevista en el inciso 1o del artículo 62 de la Ley 1151 de 2007 y una vez se inicie la recolección de cilindros universales para ser reemplazados por cilindros marcados, el margen de seguridad de que trata el artículo 23 de la Ley 689 de 2001 se destinará a la financiación de las actividades necesarias para la implementación del cambio de esquema;
Que la Comisión de Regulación de Energía y Gas, en la Sesión número 390 del 9 de octubre de 2008, acorde con los análisis presentados en el Documento CREG 074 de octubre de 2008, acordó establecer las nuevas metas individuales de recolección de cilindros universales del Programa REPU para su reemplazo por un parque universal de cilindros marcados propiedad de los distribuidores inversionistas de los cuales trata la Resolución CREG 045 de 2008 y definir así el programa ICMA con base en el Plan de Inversiones particular reportado por cada distribuidor inversionista,
RESUELVE:
ARTÍCULO 1o. AMBITO DE APLICACIÓN. Las disposiciones contenidas en esta resolución aplican a todos los Distribuidores de GLP que declararon su intención de participar como Distribuidores Inversionistas a la luz de lo definido en la Resolución CREG 045 de 2008. Respecto de las disposiciones presupuestales aplica a los recursos provenientes del Margen de Seguridad de que trata la Ley 689 de 2001, así como a todos los demás recursos asociados que por su naturaleza deban ingresar a la fiducia, de que trata la Resolución CREG-010 de 2002, tales como penalizaciones a grandes comercializadores por mora en la transferencia de los recursos recaudados por concepto del Margen de Seguridad y multas ocasionadas por la ejecución de los contratos celebrados con cargo a los recursos del Margen de Seguridad, rendimientos financieros de los recursos del Margen de Seguridad, y demás conceptos establecidos en esta materia.
ARTÍCULO 2o. DISTRIBUCIÓN ANUAL DE LOS RECURSOS DEL MARGEN DE SEGURIDAD. Al inicio de cada vigencia presupuestal la CREG asignará los recursos del Margen de Seguridad requeridos para los efectos de esta resolución, descontando los recursos necesarios para la adecuada administración del esquema centralizado vigente.
ARTÍCULO 3o. INFORMACIÓN FINANCIERA DE LOS RECURSOS DEL MARGEN DE SEGURIDAD. El fideicomitente, a través de la entidad fiduciaria administradora de los recursos del Margen de Seguridad, deberá reportar la información financiera de utilización y disponibilidad de los recursos del Margen de Seguridad utilizando los aplicativos diseñados para tal fin en el Sistema de Información del Margen de Seguridad tal como se indica en el artículo 41 de la Resolución CREG-045 de 2008.
ARTÍCULO 4o. VIGENCIAS PERIÓDICAS PARA LA DISTRIBUCIÓN DE LOS RECURSOS DEL MARGEN DE SEGURIDAD. Las vigencias de distribución de los recursos del Margen de Seguridad establecido en esta resolución coincidirán con el inicio y finalización de cada uno de los períodos establecidos para la ejecución de las metas de recolección del parque universal de cilindros.
PARÁGRAFO 1o. Por lo menos un mes antes de iniciar cada vigencia presupuestal y con el objeto de realizar el seguimiento periódico de revisión de metas de la cual trata el artículo 27 de la Resolución CREG 045 de 2008, el Comité Fiduciario deberá reportar a la CREG los recursos del Margen de Seguridad que por todo concepto proyecta quedarán disponibles para el inicio de la siguiente vigencia.
PARÁGRAFO 2o. Con excepción de los recursos destinados a financiar el programa de mantenimiento y reposición de tanques estacionarios, y el programa de información, capacitación y divulgación, los recursos del Margen de Seguridad de cada rubro presupuestal no ejecutados al final de cada vigencia quedarán disponibles para el pago de compensaciones, transporte y clasificación de cilindros universales en el período siguiente.
ARTÍCULO 5o. PRESUPUESTO PARA LA ADMINISTRACIÓN DEL ESQUEMA DE MANTENIMIENTO Y REPOSICIÓN DE CILINDROS Y TANQUES ESTACIONARIOS. En cumplimento de la función establecida en el literal i) del artículo 42 de la Resolución CREG 045 de 2008, por lo menos un mes antes del inicio de cada vigencia presupuestal, el Comité Fiduciario informará a la CREG el presupuesto detallado que requerirá para la administración del esquema durante la respectiva vigencia presupuestal con sujeción a los rubros que se indican a continuación.
| CONCEPTO | Máximo % del total de la vigencia transferido a la Fiducia | |
| 1. | INTERVENTORIA CONTRATO DE FIDUCIA | 0,1% |
| 2. | PRESUPUESTO DE GASTOS COMITE FIDUCIARIO (asesorías técnicas y/o jurídicas, secretaría técnica, papelería y publicaciones, gastos de operación, etc.). | 0,5% |
| 3. | COMISION FIDUCIARIA | 0,5% |
| 4. | INTERVENTORIA ESQUEMA DE TRANSICION | 3,9% |
| TOTAL | 5,0% | |
PARÁGRAFO. El porcentaje indicado establece el máximo de recursos, del total de transferencias por concepto de Margen de Seguridad recibidas por la fiduciaria durante una vigencia, de los cuales podrá disponer el Comité Fiduciario para el efecto.
ARTÍCULO 6o. RECURSOS PARA CAPACITACIÓN DE USUARIOS. En la distribución de los recursos del Margen de Seguridad que realice la CREG se mantendrá una asignación equivalente al 5% del total de los recursos transferidos a la fiduciaria en cada período presupuestal a efectos de ser utilizados en Capacitación a Usuarios. Los recursos de capacitación no utilizados durante una vigencia se mantendrán reservados para su ejecución en forma agregada en la próxima vigencia.
PARÁGRAFO. La ejecución de los recursos del rubro correspondiente a Capacitación de Usuarios es responsabilidad del Comité Fiduciario. Por lo menos un mes antes del inicio de cada vigencia presupuestal, el Comité Fiduciario deberá informar a la CREG y a la SSPD sobre el Plan de Capacitación a ejecutar durante la misma dando cumplimiento a lo establecido en la Resolución CREG 045 de 2008.
ARTÍCULO 7o. MÁXIMO VALOR A RECONOCER POR CONCEPTO DE TRANSPORTE DE CILINDROS. De acuerdo con lo establecido en el parágrafo del artículo 29 de la Resolución CREG 045 de 2008, los valores máximos que se reconocerán a los distribuidores inversionistas por concepto de transporte de cilindros portátiles vacíos, entre los municipios en los cuales están localizadas las plantas envasadoras y los municipios en los cuales están ubicadas las fábricas y/o talleres contratadas, será el que resulta de aplicar la matriz origen destino denominada “COSTOS DE TRANSPORTE DE CILINDROS VACIOS” cuyos valores están expresados en pesos de diciembre de 2002, y la cual hace parte integrante de la Resolución CREG 020 de 2003.
PARÁGRAFO 1o. Esta matriz origen-destino de “COSTOS DE TRANSPORTE DE CILINDROS VACIOS” será adecuada por la CREG para reflejar el costo del transporte en una sola vía y permanecerá actualizada y publicada para consulta en la página Internet del Sistema Unico de Información, SUI, de que trata la Ley 689 de 2001, y en la página Internet de la CREG en el Módulo de Margen de Seguridad del Sector de Gas Licuado del Petróleo.
PARÁGRAFO 2o. Estos Costos Máximos de Transporte los actualizará la CREG semestralmente aplicando los tiempos de actualización establecidos para los costos de adecuación y compra a los usuarios de los cilindros universales, tal y como lo establece la Resolución 098 de 2008. Esta actualización se hará con base en la variación acumulada del índice de precios al consumidor, IPC, publicado por el DANE y correspondiente al último mes disponible del semestre inmediatamente anterior al de la actualización.
ARTÍCULO 8o. MÁXIMO VALOR A RECONOCER POR CONCEPTO DE REVISIÓN Y CLASIFICACIÓN DE CILINDROS UNIVERSALES. Los trabajos de revisión y clasificación de los cilindros universales nuevos de 33, 77 o 100 libras que lleguen a las fábricas contratadas por los Distribuidores Inversionistas serán pagados por el Comité Fiduciario con cargo a los recursos del Margen de Seguridad, tal y como lo dispone el artículo 30 de la Resolución CREG 045 de 2008, a un precio máximo de mil pesos ($1.000) por cilindro, en pesos de marzo de 2008.
PARÁGRAFO. La actualización de este valor máximo lo hará el Comité Fiduciario en los mismos términos que se definen para la actualización de los costos máximos de transporte de los cilindros universales a que se refiere el artículo 7o de esta resolución.
1. <Numeral modificado por el artículo 1 de la Resolución 78 de 2009. El nuevo texto es el siguiente:> Las metas individuales de recolección de cilindros universales que se establecen en esta Resolución son las metas que debe cumplir cada empresa distribuidora inversionista de GLP.
2. Los cilindros universales recogidos por los distribuidores inversionistas en cumplimiento de sus metas establecidas deberán ser reemplazados por cilindros marcados de su propiedad, nuevos o adecuados. El distribuidor inversionista tiene la responsabilidad de ceder las metas de recolección de cilindros universales que considere no alcanzará a reemplazar por cilindros marcados.
3. El incumplimiento de estas metas de recolección de cilindros universales y por lo tanto de la introducción de cilindros marcados para su reemplazo dará lugar a la aplicación de los correspondientes procedimientos administrativos por parte de la Superintendencia de Servicios Públicos Domiciliarios.
4. El Comité Fiduciario podrá adoptar lineamientos generales, basados en criterios de eficiencia, para coordinar con las empresas distribuidoras inversionistas de GLP las programaciones que estas últimas deben realizar para el cumplimiento de sus metas de recolección.
5. Las empresas distribuidoras de GLP que cumplan con los requisitos establecidos en la Resolución CREG 023 de 2008 y que en los términos previstos en el artículo 11.8 de la Ley 142 de 1994 informen del inicio de sus operaciones a la Superintendencia de Servicios Públicos Domiciliarios y a la Comisión de Regulación de Energía y Gas, serán incluidas dentro del programa REPU con base en el Plan de Inversiones que presenten a la CREG.
6. Cuando las empresas distribuidoras a las cuales se les ha asignado metas sean sujeto de fusiones y/o adquisiciones debidamente autorizadas por la autoridad competente, las metas individuales de la nueva sociedad corresponderán a las metas agregadas de cada una de las empresas involucradas.
ARTÍCULO 10. PRESUPUESTO PARA LA EJECUCIÓN DEL PROGRAMA RECOLECCIÓN DE CILINDROS UNIVERSALES - REPU. El presupuesto para ejecutar las metas indicadas en los artículos 11, 12, 13 y 14 de esta resolución, así como para pagar por los transportes asociados y las revisiones y clasificaciones requeridas conforme a lo establecido en los artículos 7o y 8o de esta resolución será como mínimo el 90% de los recursos transferidos a la Fiducia en cada vigencia presupuestal, una vez descontados todos los compromisos y requerimientos para la administración del esquema y para ejecución del programa de capacitación de usuarios.
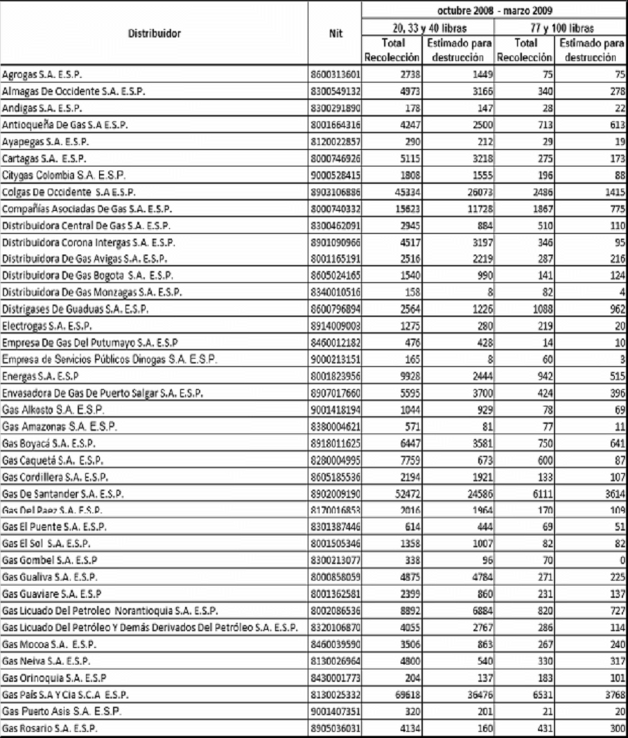
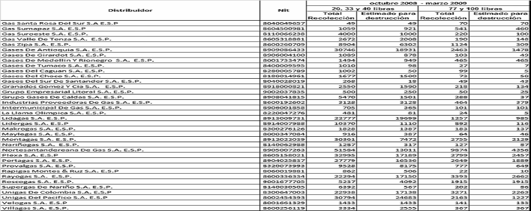
ARTÍCULO 11. METAS INDIVIDUALES DE RECOLECCIÓN DE CILINDROS UNIVERSALES A EJECUTAR DURANTE EL PERÍODO OCTUBRE DE 2008 A MARZO DE 2009. Las metas individuales de recolección de cilindros universales utilizados en la prestación del servicio de GLP, que deben cumplir las empresas distribuidoras inversionistas de GLP durante el período indicado en este artículo, serán las siguientes:


ARTÍCULO 12. METAS INDIVIDUALES DE RECOLECCIÓN DE CILINDROS UNIVERSALES A EJECUTAR DURANTE EL PERÍODO ABRIL A OCTUBRE DE 2009. <Artículo modificado por el artículo 2 de la Resolución 78 de 2009. Consultar el nuevo texto directamente en el artículo 2 de la Resolución 78 de 2009.>
<El texto original es el siguiente:>
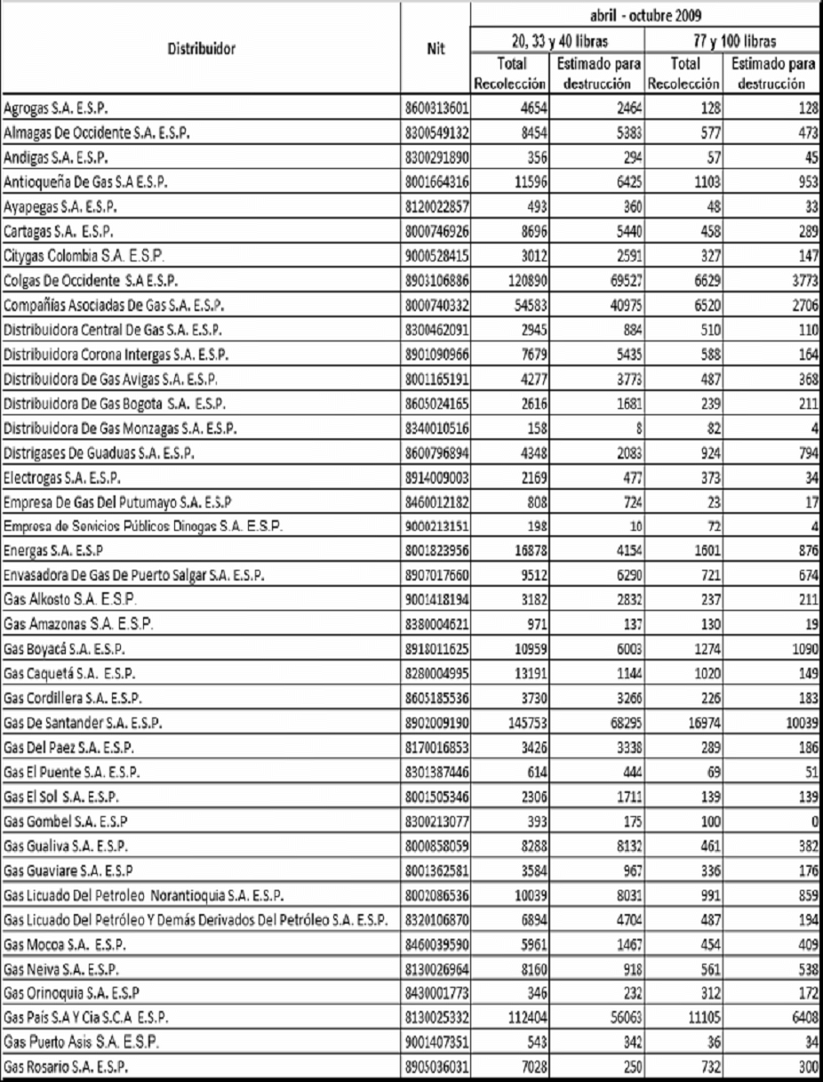
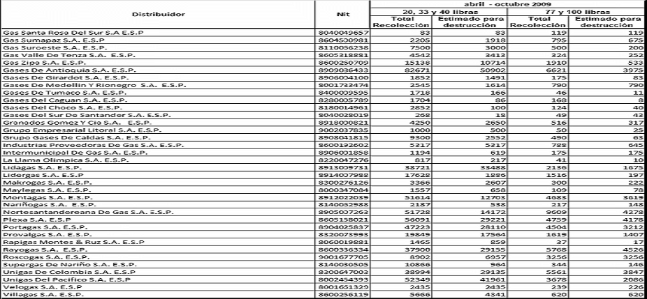
Las metas individuales de recolección de cilindros universales utilizados en la prestación del servicio de GLP, que deben cumplir las empresas distribuidoras inversionistas de GLP durante el período indicado en este Artículo, serán las siguientes:


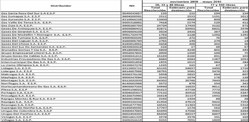
ARTÍCULO 13. METAS INDIVIDUALES DE RECOLECCIÓN DE CILINDROS UNIVERSALES A EJECUTAR DURANTE EL PERÍODO NOVIEMBRE DE 2009 A MAYO DE 2010. <Artículo modificado por el artículo 3 de la Resolución 78 de 2009. Consultar el nuevo texto directamente en el artículo 3 de la Resolución 78 de 2009.>
<El texto original es el siguiente:>
Las metas individuales de recolección de cilindros universales utilizados en la prestación del servicio de GLP, que deben cumplir las empresas distribuidoras de GLP durante el período indicado en este artículo, serán las siguientes:


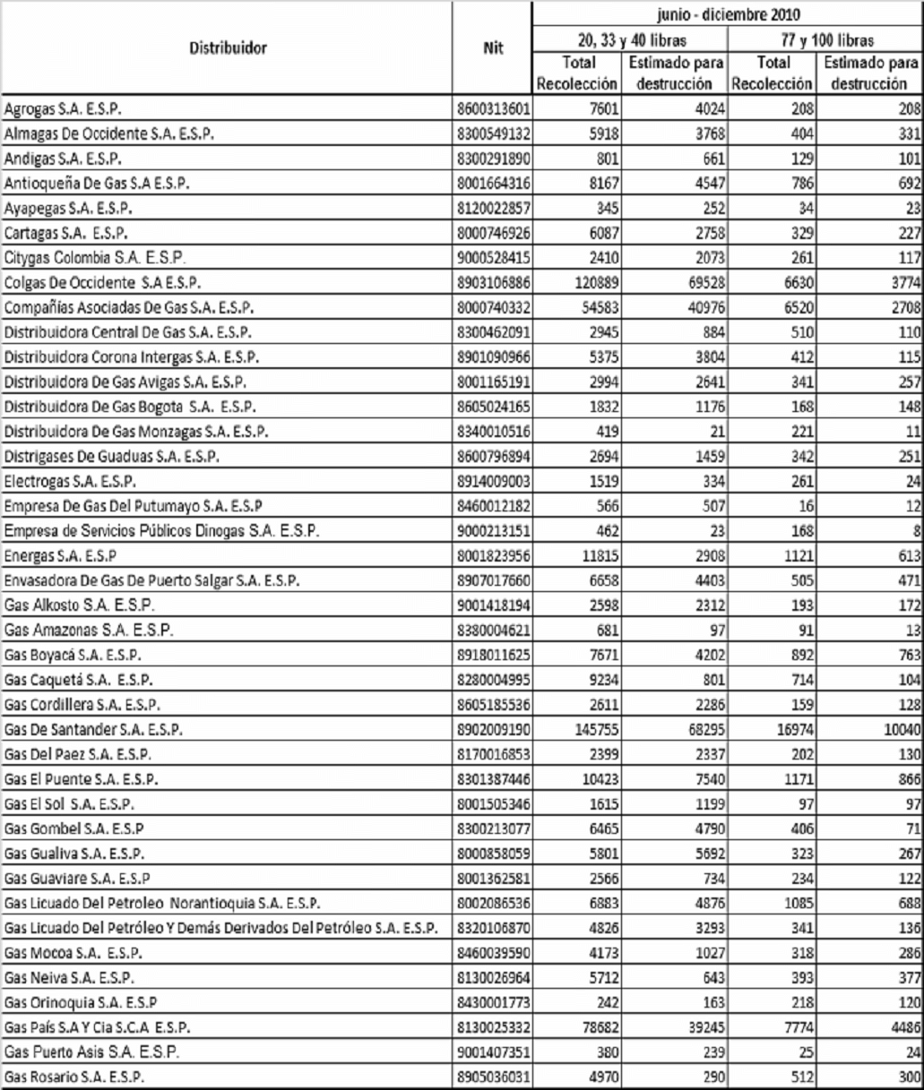
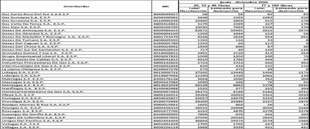
ARTÍCULO 14. METAS INDIVIDUALES DE RECOLECCIÓN DE CILINDROS UNIVERSALES A EJECUTAR DURANTE EL PERÍODO JUNIO A DICIEMBRE DE 2010. <Artículo modificado por el artículo 4 de la Resolución 78 de 2009. Consultar el nuevo texto directamente en el artículo 4 de la Resolución 78 de 2009.>
<El texto original es el siguiente:>
Las metas individuales de recolección de cilindros universales utilizados en la prestación del servicio de GLP, que deben cumplir las empresas distribuidoras inversionistas de GLP durante el período indicado en este artículo, serán las siguientes:


ARTÍCULO 15. La presente resolución deberá notificarse a las empresas que se relacionan en los artículos 11, 12, 13 y 14 anteriores, y publicarse en el DIARIO OFICIAL. Contra las decisiones contenidas en los Artículos mencionados procede el Recurso de Reposición, el cual podrá interponerse ante la Dirección Ejecutiva de la CREG dentro de los cinco (5) días hábiles siguientes a la fecha de su notificación.
Notifíquese, publíquese y cúmplase.
Dada en Bogotá, D. C., a 9 de octubre de 2008.
El Presidente,
MANUEL MAIGUASHCA OLANO,
Viceministro de Minas y Energía, delegado del Ministro de Minas y Energía.
El Director Ejecutivo,
HERNÁN MOLINA VALENCIA.