Derechos de autor reservados - Prohibida su reproducción
RESOLUCIÓN 932 DE 2015
(abril 10)
Diario Oficial No. 49.482 de 14 de abril de 2015
MINISTERIO DE HACIENDA Y CRÉDITO PÚBLICO
Por la cual se establecen las metodologías para la valoración de los pasivos contingentes provenientes de las operaciones de crédito público en las que la Nación actúe como garante, de que trata el Decreto número 3800 del 25 de octubre de 2005, y el cálculo de los aportes que deberá efectuar la entidad estatal que requiera dicha garantía de la Nación.
EL DIRECTOR GENERAL DE CRÉDITO PÚBLICO Y TESORO NACIONAL (E),
en uso de sus facultades legales, en especial las que le confieren la Ley 448 de 1998, el Decreto número 3800 de 2005 y el Decreto número 4712 de 2008, y
CONSIDERANDO:
Que mediante el Decreto número 3800 de 2005, se reglamentó parcialmente la Ley 448 de 1998, por medio de la cual se adoptan medidas en relación con el manejo de las obligaciones contingentes de las entidades estatales;
Que mediante el Decreto número 3800 de 2005, se reglamentó el artículo 3o de la Ley 819 de 2003, en el sentido de que los pasivos contingentes nuevos que resulten de la celebración de operaciones de crédito público cuyo perfeccionamiento se lleve a cabo con posterioridad a la entrada en vigencia de la Ley 448 de 1998, serán aprobados por la Dirección General de Crédito Público y Tesoro Nacional del Ministerio de Hacienda y Crédito Público;
Que el artículo 5o del mencionado decreto señaló que las entidades estatales cuyas obligaciones de pago sean garantizadas por la Nación en desarrollo de operaciones de crédito público que se perfeccionen a partir de la entrada en vigencia del Decreto número 3800 de 2005, deberán realizar aportes al Fondo de Contingencias de las Entidades Estatales; para tal efecto el monto de los aportes a dicho Fondo, será determinado por la Dirección General de Crédito Público y Tesoro Nacional del Ministerio de Hacienda y Crédito Público, de acuerdo con la metodología de valoración que establezca dicha Dirección;
Que en los artículos 5o y 11 del Decreto número 3800 de 2005 se señaló que la valoración de los pasivos contingentes provenientes de las operaciones de crédito público y la definición de los aportes que las entidades garantizadas por la Nación deban realizar al Fondo de Contingencias de las Entidades Estatales, se realizará de acuerdo con la metodología que para los efectos expida la Dirección General de Crédito Público y Tesoro Nacional del Ministerio de Hacienda y Crédito Público;
Que el artículo 11 del Decreto número 3800 de 2005 estableció que para efectos de la valoración de los pasivos contingentes, la Dirección General de Crédito Público y Tesoro Nacional tendrá en cuenta, entre otros criterios, la calidad crediticia de la entidad estatal garantizada, el récord crediticio de la entidad estatal garantizada en otras operaciones con la Nación o garantizadas por esta, los riesgos implícitos de la operación garantizada y la liquidez de las contragarantías otorgadas;
Que teniendo en cuenta lo anterior, la Dirección General de Crédito Público y Tesoro Nacional mediante las Resoluciones números 2818 del 11 de noviembre de 2005, 3299 del 30 de noviembre de 2005, 3045 del 31 de agosto de 2006 y 4291 de 26 de diciembre de 2007, expidió la metodología de valoración de los aportes que las entidades estatales deben efectuar al Fondo de Contingencias de las Entidades Estatales, respecto a las obligaciones de pago originadas en desarrollo de operaciones de crédito público garantizadas por la Nación;
Que se hace necesario para la Dirección General de Crédito Público y Tesoro Nacional, actualizar la metodología para la valoración de los pasivos contingentes provenientes de operaciones de crédito público y acorde con esta, la determinación del monto del aporte al Fondo de Contingencias de las Entidades Estatales, que realizan las entidades estatales cuyas obligaciones de pago son garantizadas por la Nación en el desarrollo de operaciones de crédito público perfeccionadas a partir de la entrada en vigencia del Decreto número 3800 de 2005;
Que tal como lo establece el Decreto número 3800 de 2005, los aportes de las entidades estatales garantizadas se administrarán en el Fondo de Contingencias de las Entidades Estatales en una subcuenta especial denominada “Garantías de la Nación” y tendrán como propósito cubrir la exposición Fiscal de la Nación, mediante el cubrimiento de los pasivos contingentes provenientes de las operaciones de crédito público garantizadas por la Nación;
Que en virtud de las contingencias a las que se expone la Nación por el hecho de otorgar su garantía a las operaciones de crédito público que celebren las entidades estatales, los aportes que estas efectúan, en concordancia con la metodología prevista en esta resolución, se entienden como pagos al Fondo de Contingencias de las Entidades Estatales, para que esta pueda atender las obligaciones contingentes resultado de las operaciones garantizadas como un todo;
Que el Decreto número 3800 de 2005 establece en su artículo 6o, que los aportes efectuados por las entidades garantizadas se mantendrán en el Fondo de Contingencias de las Entidades Estatales, con el fin de atender en general las contingencias provenientes de obligaciones garantizadas por la Nación,
RESUELVE:
ARTÍCULO 1o. DEFINICIONES PRINCIPALES. Para efectos de la presente resolución se entenderán las siguientes definiciones:
Pasivo Contingente proveniente de operaciones de crédito público: Es el total de obligaciones pecuniarias sometidas a condición, que surgen a cargo de la Nación, cuando esta actúa como garante de las obligaciones de pago a cargo de las entidades estatales.
Pérdidas Esperadas: Proyección del nivel promedio de pérdidas provenientes de los créditos garantizados.
Pérdidas No Esperadas: Proyección de las perdidas por encima del nivel esperado.
Fondo de Contingencias de las Entidades Estatales: Se refiere a la subcuenta especial “Garantías de la Nación”, del Fondo creado mediante el artículo 2o de la Ley 448 de 1998.
Aporte: Los montos periódicos de pago a que están obligadas las entidades que reciben la garantía de la Nación para asegurar el pago de las operaciones de crédito público que celebren con posterioridad a la entrada en vigencia del Decreto número 3800 de 2005, los cuales se encuentran reglamentados en el mismo.
Incumplimiento: Se entenderá por incumplimiento, cualquier situación que signifique el no cumplimiento oportuno de las obligaciones de pago pactadas, entre la entidad prestataria y el prestamista o entre la entidad prestataria y la Nación, relacionadas con las operaciones de crédito público que cuenten con garantía de la Nación o de aquellos créditos otorgados por esta, o en los que esta se subrogue.
ARTÍCULO 2o. PARTE INTEGRANTE DE ESTA RESOLUCIÓN. Apruébese como parte integrante de las metodologías de que trata la presente resolución, e incorpórese como anexo de ella el documento “Metodologías para el cálculo de la Exposición en el momento del Incumplimiento (EI), la Probabilidad de Incumplimiento a un año (PI) y la Pérdida Dado el Incumplimiento (PDI)”, elaborado por la Dirección General de Crédito Público y Tesoro Nacional”.
ARTÍCULO 3o. VALORACIÓN DEL PASIVO CONTINGENTE. El Pasivo Contingente (PC) para un período de un (1) año, del portafolio de operaciones de crédito público que en su desarrollo requieran garantía de la Nación, corresponderá a las Pérdidas Esperadas (PE), más las Pérdidas No Esperadas (PNE) a un nivel de confianza de 99.9% de dicho portafolio, en el mismo periodo.
PC = PE + PNE
Las PE corresponderán a la Exposición en el momento del Incumplimiento (EI) multiplicada por la Probabilidad de Incumplimiento a un (1) año (PI), multiplicada a su vez por la Pérdida Dado el Incumplimiento (PDI), del portafolio en cuestión.
PE = [EI x PI x PDI]
Donde:
1. La “Exposición en el momento del Incumplimiento” (EI), corresponde al máximo saldo de capital del portafolio de créditos que se proyecte para el período de un (1) año, expresado en pesos colombianos y teniendo en cuenta las fluctuaciones de las tasas de cambio correspondientes a la moneda de los créditos.
2. La “Probabilidad de Incumplimiento” a un (1) año (PI), corresponde a la probabilidad, expresada en valor porcentual, de que se constituya un incumplimiento en un periodo de tiempo de un (1) año, por parte de alguna de las entidades estatales beneficiarias de la garantía de la Nación, de acuerdo con la definición de incumplimiento del artículo 1o de la presente resolución. Para hallar la PI de todo el portafolio en cuestión, se calcula el promedio ponderado de las PI por la EI de cada calificación crediticia. En la última sección del anexo mencionado en el artículo 2o, se muestra un ejemplo para la realización del cálculo en referencia.
3. La “Pérdida Dado el Incumplimiento” (PDI), es el valor que estima en porcentaje la pérdida en la que incurriría la Nación en caso de un incumplimiento por parte de las entidades estatales beneficiarias de la garantía de la Nación. Este factor dependerá de la contragarantía que entregue la entidad deudora a favor de la Nación. Para hallar la PDI de todo el portafolio en cuestión, se calcula el promedio ponderado de las PDI por la El de cada operación de crédito del portafolio. En la última sección del anexo mencionado en el artículo 2o, se muestra un ejemplo para la realización del cálculo en referencia.
En el anexo mencionado en el artículo 2o de la presente resolución, se encuentra la metodología para calcular los factores EI, PI y PDI correspondientes a cada operación de crédito público garantizada.
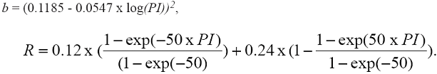
Por otra parte, las Pérdidas No Esperadas (PNE) del portafolio de operaciones de crédito público, al nivel de confianza de 99.9%, se calculará de acuerdo con la siguiente fórmula:
![]()

Donde,
1. Los factores EI, PI y PDI son los mismos que se estiman para el cálculo de las PE de todo el portafolio en cuestión.
2. M es la Vida Media (expresada en años) de todo el portafolio al que se estima el Pasivo Contingente. Para calcularla hay que sacar un promedio ponderado de las vidas medias de los créditos por los saldos de capital de cada uno, expresados en la misma moneda.
3. N representa la distribución normal estándar.
4. G es la función inversa de la distribución normal estándar.
5. b es un parámetro de ajuste de los vencimientos de los créditos del portafolio, que busca darle un peso al aumento de la Vida Media del portafolio.
6. El factor de correlación de activos R, describe la dependencia de la exposición del crédito al estado general de la economía.
ARTÍCULO 4o. APORTE AL FONDO DE CONTINGENCIAS DE LAS ENTIDADES ESTATALES. El monto del aporte anual que deberá efectuar la entidad estatal, año a año al Fondo de Contingencias de las Entidades Estatales (FCEE), que requieran la garantía de la Nación en desarrollo de operaciones de crédito público corresponderá al valor de las Pérdidas Esperadas (PE) en un período de tiempo de un (1) año asociado a dicha operación.
El aporte corresponderá entonces a la Exposición en el momento del Incumplimiento (EI) multiplicada por la Probabilidad de Incumplimiento (PI) en un periodo de tiempo de un (1) año, multiplicada por la Pérdida Dado el Incumplimiento (PDI).
aporte = PE = [EI x PI x PDI]
Donde, los factores EI, PI y PDI se calcularán de acuerdo con las metodologías que se describen en el artículo 2o de la presente resolución.
PARÁGRAFO. La metodología prevista en el presente artículo deberá ser aplicada para el cálculo de los aportes que deben realizar las entidades estatales que hubieren celebrado operaciones de crédito público garantizadas por la Nación, desde la vigencia 2014.
ARTÍCULO 5o. CONDICIONES DE LOS APORTES. La entidad estatal correspondiente deberá efectuar los pagos de los aportes al Fondo de Contingencias de las Entidades Estatales en forma anticipada, con la periodicidad que se establezca en el contrato de contragarantía respectivo, en la cuenta que determine para tal efecto la Dirección General de Crédito Público y Tesoro Nacional. En todo caso, el pago del primer aporte cuando hubiere lugar a ello, será condición previa al otorgamiento de la garantía de la Nación.
El último aporte será proporcional al número de días transcurridos entre este y la fecha en que vence el crédito. Una vez efectuado dicho pago, no se harán revisiones del Plan de Aportes.
ARTÍCULO 6o. SEGUIMIENTO. Con el fin de proteger adecuadamente a la Nación de pérdidas probables que surjan a partir de las operaciones de crédito público garantizadas por esta, y poder determinar el incremento o disminución del monto de los aportes al Fondo de Contingencias de las Entidades Estatales, la Dirección General de Crédito Público y Tesoro Nacional del Ministerio de Hacienda y Crédito Público efectuará una revisión al menos una vez al año al cálculo del Plan de Aportes.
Para el seguimiento se tendrá en cuenta la situación financiera de la entidad estatal respectiva, la calidad crediticia de la entidad estatal en estudio y el cumplimiento en los pagos relativos a las deudas adquiridas por la entidad en desarrollo de operaciones de crédito público garantizadas por la Nación o de aquellas otorgadas por esta.
PARÁGRAFO 1o. Sin perjuicio de lo anterior, la Dirección General de Crédito Público y Tesoro Nacional por iniciativa propia o por solicitud de la entidad aportante, podrá efectuar revisiones interanuales. Si como resultado de la revisión se presentasen diferencias respecto al valor del aporte anticipadamente efectuado, se dará el siguiente tratamiento:
A. El tiempo transcurrido del año en que se efectúa el seguimiento se tomará como algo causado y no habrá lugar a modificaciones en forma retroactiva.
B. Para el tiempo que falta por transcurrir del año en que se está efectuando la revisión, se aumentará o se disminuirá el valor según el caso. En el evento en que el valor del aporte, resultado de la revisión, sea mayor a aquel previamente calculado y sobre el cual la entidad efectuó el aporte, la entidad deberá aportar la diferencia, esa diferencia se agregará al aporte que deberá efectuar en el año siguiente o en el caso contrario, es decir cuando el monto del aporte disminuya, el valor girado en exceso se restará al monto que deba girar en el período siguiente, sin que estas situaciones generen rendimientos o cargos hacia la Nación o hacia la Entidad Aportante.
La modificación del monto de aporte será comunicada a la entidad estatal correspondiente mediante oficio suscrito por el Director General de Crédito Público y Tesoro Nacional y dicha modificación entrará a regir a partir de la fecha en que sea comunicado el oficio.
PARÁGRAFO 2o. Si la entidad garantizada por la Nación, en el momento en que la Dirección General de Crédito Público y Tesoro Nacional realice el estudio de seguimiento anual no cuenta con calificación de riesgo vigente se ubicará a esta en la calificación más baja (CCC) de la escala utilizada por las Agencias Calificadoras de Riesgo para la correspondiente evaluación.
PARÁGRAFO 3o. INCREMENTO MÁXIMO EN LOS APORTES. El incremento máximo de los aportes de un año a otro, que resulte del seguimiento, no podrá ser superior al 40%, con excepción de las entidades que reciban una degradación de su calificación crediticia o deterioren la contragarantía otorgada.
ARTÍCULO 7o. VIGENCIA. La presente resolución rige a partir de la fecha de su publicación en el Diario Oficial, requisito que se entiende cumplido con la orden impartida por el Director General de Crédito Público y Tesoro Nacional, según lo dispuesto por el artículo 18 de la Ley 185 de 1995.
Publíquese, comuníquese y cúmplase.
Dado en Bogotá, D. C., a 10 de abril de 2015.
El Director General de Crédito Público y Tesoro Nacional (E),
PABLO CÁRDENAS REY.
METODOLOGÍAS PARA EL CÁLCULO DE LA EXPOSICIÓN EN EL MOMENTO DEL INCUMPLIMIENTO (EI), LA PROBABILIDAD DE INCUMPLIMIENTO A UN AÑO (PI) Y LA PÉRDIDA DADO EL INCUMPLIMIENTO (PDI).
Exposición en el momento de incumplimiento (EI)
El saldo de capital (St) del crédito aumenta cuando se realizan desembolsos y disminuye cuando se realizan amortizaciones. Para estimar la EI, se debe proyectar el saldo a lo largo del año en evaluación y realizar dos pasos:
1. Tomar el máximo saldo de capital (St) a partir del día de cálculo del aporte (t=0), hasta el plazo t=1 (1 año):
parámetro de tiempo expresado en años.
2. Para calcular la Exposición en el momento de incumplimiento, la cual debe estar expresada en pesos, se debe multiplicar el Smax por la TRM del día del cálculo, estresada por la volatilidad a un (1) año (
), de acuerdo a la siguiente ecuación:
![]()
Donde:
![]()
Siendo
d la desviación estándar de la serie de retornos diarios de la TRM de los últimos 5 años.
Probabilidad de Incumplimiento (PI) Para cada calificación crediticia corresponderá una Probabilidad de Incumplimiento a un (1) año, la cual se obtendrá mediante el siguiente procedimiento:
1. Se debe asignar una Probabilidad de Incumplimiento a un (1) año a la República de Colombia (DRC):
A partir de la cotización del spread de cierre del Credit Default Swap (CDS) de un (1) año de República de Colombia y la valoración teórica del spread del CDS, se estima la Probabilidad de Solvencia (que es 1- Probabilidad de Incumplimiento) de la República de Colombia a un (1) año, minimizando la siguiente función F(
) respecto al parámetro
, la cual representa el valor absoluto de la diferencia entre el spread teórico y el spread de mercado del CDS:

Donde,
pt (
) =
son las Probabilidades de Solvencia para el día del cálculo (t=0), un cuarto de año (t=1/4), medio año (t=1/2), tres cuartos de año (t=3/4) y un año (t=1).
, son los factores de descuento para un cuarto de año (t=1/4), medio año (t=1/2), tres cuartos de año (t=3/4) y un año (t=1). Las tasas it corresponden a las tasas de interés de la curva de swaps de tasa de interés de Estados Unidos, para un cuarto de año (t=1/4), medio año (t=1/2), tres cuartos de año (t=3/4) y un año (t=1).
SpreadMercadoCDS, es el valor de cierre del Spread de Mercado del CDS a un (1) año de República de Colombia.
La Probabilidad de Incumplimiento a un (1) año es igual a 1-P1(
*), donde
* es el factor minimizador que hace que la función F(
) tienda a 0.
Finalmente, para asignar el parámetro de Probabilidad de Incumplimiento a un (1) año para la República de Colombia (DRC), se tomará el promedio de las Probabilidades de Incumplimiento de los últimos 120 días hábiles, que se obtienen a partir de la serie de las cotizaciones de cierre de los spreads del CDS de un (1) año utilizando la metodología descrita en los párrafos anteriores.
PARÁGRAFO. La Probabilidad de Incumplimiento a un (1) año de la República de Colombia (DRC) será como máximo igual a 2.8%, es decir, que se debe cumplir siempre la condición DRC
2.8%.
Esto con el fin de prevenir posibles inestabilidades en los presupuestos de las entidades que realicen operaciones de crédito público con garantía de la Nación, debidas a modificaciones bruscas del monto del Aporte de un año a otro, que a su vez sean causadas por factores externos al desempeño financiero de la entidad.
2. A partir del resultado del inciso anterior se asigna una Probabilidad de Incumplimiento a un (1) año para cada calificación de crédito:
Se asignará una Probabilidad de Incumplimiento por cada posible calificación de riesgo local de largo plazo, que otorgan las sociedades calificadoras de riesgo. A la mejor calificación (AAA) se le asignará la Probabilidad de Incumplimiento a un (1) año (PI1) que se obtuvo en el inciso anterior, es decir PI1 = DRC. A las demás calificaciones generales, se les asignará la Probabilidad de Incumplimiento a un (1) año de acuerdo a la siguiente tabla:

Y para las calificaciones intermedias se completará la asignación de acuerdo a la siguiente tabla:
| Calificación | PI |
| AA+ | (PI1+PI2)/2 |
| AA- | PI3+(2/3) (PI2-PI3) |
| A+ | PI3+(1/3) (PI2-PI3) |
| A- | PI4+(2/3) (PI3-PI4) |
| BBB+ | PI4+(1/3) (PI3-PI4) |
| BBB- | PI5+(2/3) (PI4-PI5) |
| BB+ | PI5+(1/3) (PI4-PI5) |
| BB- | PI6+(2/3) (PI5-PI6) |
| B+ | PI6+(1/3) (PI5-PI6) |
| B- | (PI6+PI7)/2 |
Pérdida dado el Incumplimiento (PDI)
Un contrato de contragarantía consiste en una o más garantías que el deudor compromete a favor de la Nación. Cada garantía presente en dicho contrato encaja en alguno de los segmentos descritos en la siguiente tabla, mediante la cual se le asigna un valor de PDI que permite calcular un valor porcentual de PDI total para el contrato de contragarantía.
| i | Tipo de Garantía | PDI |
| 1 | Colateral Financiero Admisible | 8% |
| 2 | Bienes Raíces Comerciales y Residenciales | 27% |
| 3 | Derechos de Cobro | 30% |
| 4 | Otros Colaterales | 33% |
| 5 | Sin Garantía | 75% |
Factor de reducción: Si la garantía en cuestión se constituye como garantía mobiliaria, el valor de PDI asociado a esta según la tabla anterior, se reducirá un 50%.
A continuación se muestran los ítems que componen cada uno de los segmentos de la tabla anterior:
– Colateral Financiero Admisible:
-- Seguros de crédito.
-- Garantía Soberana de la Nación.
-- Garantías emitidas por Fondos de Garantías.
-- Prenda sobre títulos valores emitidos por instituciones financieras.
– Bienes Raíces Comerciales y Residenciales (CRE/RRE):
-- Fiducias hipotecarias.
-- Garantías inmobiliarias.
– Derechos de cobro (DC):
-- Fiducias mercantiles irrevocables de garantía.
-- Pignoración de rentas de entidades territoriales y descentralizadas de todos los órdenes.
-- Garantía mobiliaria sobre créditos (se extiende sobre los derechos económicos y patrimoniales y sobre las garantías que a su vez amparen estos créditos y los derechos accesorios de los mismos).
-- Garantías mobiliarias de control sobre los depósitos bancarios del garante.
-- Manejo de depósitos bancarios del deudor y/o garante.
– Otros colaterales:
-- Prendas sobre inventarios procesados.
-- Prendas sobre insumos - bienes básicos.
-- Prendas sobre equipos y vehículos.
-- Bonos de prenda.
– Sin Garantía:
-- Las obligaciones para las que no se constituya ninguna contragarantía.
Para calcular la PDI de la contragarantía, se sigue el siguiente procedimiento:
i. Se revisan las garantías que se comprometen en el contrato de contragarantía, los porcentajes de cubrimiento relativos al saldo expuesto del siguiente año del crédito y las PDI asociadas.
| Cobertura (%) | PDI (%) | |
| Garantía1 | C1 | PDI1 |
| Garantía2 | C2 | PDI2 |
| Garantía3 | C3 | PDI3 |
| Garantían | Cn | PDIn |
ii. Se calcula la sobrecobertura de la contragarantía como:

Nota: La sumatoria de los porcentajes de cobertura de las garantías serán tenidas en cuenta en un máximo del 130% del saldo expuesto del crédito. Si dicha sumatoria excede el valor de 130%, serán tenidas en cuenta las primeras garantías que sumen 130%, ordenadas por menor valor de PDI asociado.
iii. Se aplica la siguiente fórmula para obtener la PDI de la contragarantía:
![]()
A continuación se presenta un ejemplo de la aplicación de la fórmula anterior, con la finalidad de ilustrar su uso.
Ejemplo: El deudor constituye una garantía del tipo i=4 (Derechos de Cobro) en un porcentaje de cobertura del 50%, otra del tipo de garantía i=1 (Colateral financiero Admisible) en un porcentaje de cobertura del 40% y una última garantía de tipo i=6 (otros colaterales) en un porcentaje de cobertura del 35%, la PDI correspondiente sería:
max(8%; (30% x 50% + 8% x 40% + 33% x 35%)- (25% x 75%)) = 11%
Ejemplo para el cálculo de la PI, referente al numeral 2 del artículo 3o de la resolución
Para hallar la PI de todo el portafolio en cuestión, se calcula el promedio ponderado de las PI por la EI de cada calificación crediticia, como se ilustra mediante la siguiente tabla:
EI's y PI's del portafolio de operaciones de crédito público garantizadas, desagregadas por calificación crediticia.
| Calificación | EI (miles de millones COP) | PI | |
| AAA | 2.856 | 1.6% | |
| AA+ | 59.7 | 2.3% | |
| AA- | 108.5 | 3.7% | |
| A | 91.7 | 5.3% | |
| A- | 19.1 | 6.7% | |
| BBB- | 63 | 12.0% | |
| CCC | 268.3 | 55.5% | |
| TOTAL | 3466.3 | 6.2% | |
La PI del portafolio en el ejemplo anterior sería entonces 6.2%.
Ejemplo para el cálculo de la PDI, referente al numeral 3 del artículo 3o de la Resolución
Para hallar la PDI de todo el portafolio en cuestión, se calcula el promedio ponderado de las PDI por la EI de cada operación de crédito del portafolio, como se ilustra mediante la siguiente tabla:
EI's y PDI's del portafolio de operaciones de crédito público garantizadas.
| Operación | EI (miles de millones COP) | PDI | |
| OCP1 | 120 | 12% | |
| OCP2 | 39 | 75% | |
| OCP3 | 202 | 45% | |
| TOTAL | 361 | 37.3% | |
La PDI del portafolio en el ejemplo anterior sería entonces 37.3%.