Derechos de autor reservados - Prohibida su reproducción
CIRCULAR EXTERNA 51 DE 2007
(24 octubre)
<Fuente: Boletín Ministerio de Hacienda, Capítulo Superintendencia Financiera de Colombia, No. 76 de 24 de octubre de 2007>
SUPERINTENDENCIA FINANCIERA
Señores
REVISORES FISCALES, REPRESENTANTES LEGALES Y DEMÁS ADMINISTRADORES DE LAS ENTIDADES SUJETAS A INSPECCIÓN Y VIGILANCIA DE LA SUPERINTENDENCIA FINANCIERA
Referencia: Por la cual se expide el nuevo Capítulo XXI de la Circular Básica Contable y Financiera contentivo de las reglas relativas a la administración de riesgos de mercado.
Apreciados señores:
La Superintendencia Financiera de Colombia en uso de sus facultades legales, en especial de las previstas en el literal a) del numeral 3º del artículo 326 del Estatuto Orgánico del Sistema Financiero, en el literal a) del artículo 6º de la Ley 964 de 2005 y en el numeral 9º del artículo 11 del Decreto 4327 de 2005, considera necesario expedir las siguientes instrucciones:
Primera. Cambiar las reglas contenidas en el Capítulo XX “Parámetros mínimos de administración de riesgos que deberán cumplir las entidades vigiladas para la realización de sus operaciones de tesorería” de la Circular Básica Contable y Financiera e integrarlas en el nuevo texto del Capítulo XXI de esta misma codificación.
Segunda. Expedir un nuevo Capítulo XXI de la Circular Básica Contable y Financiera contentivo de las reglas relativas a la administración de riesgo de mercado aplicable a las entidades sometidas a inspección y vigilancia de la Superintendencia Financiera de Colombia. Dentro de estas reglas se destacan:
a) Incluir en el cálculo de la exposición al riesgo de mercado las operaciones de contado celebradas por las entidades a las que aplica el nuevo Capítulo XXI de la Circular Básica Contable y Financiera;
b) Modificar la metodología del cálculo de riesgo de mercado para las entidades mencionadas en los literales d) y e) del numeral 5.2.1 del nuevo Capítulo XXI; así como, para los fondos y para las carteras colectivas que las entidades referenciadas administren.
Tercera. Con el propósito de mejorar la calidad y detalle de la información que se reporta a la Superintendencia Financiera de Colombia respecto de la administración de los riesgos de mercado, se expiden, modifican y derogan algunos formatos e instructivos, como se expone a continuación:
A. Los formatos e instructivos que se incorporan son:
1. Pro forma F0000 135 (Formato – 435) “Evaluación del Riesgo de Tasa de Interés DTF e IPC”;
2. Pro forma F0000 136 (Formato – 436) “evaluación del riesgo de Tasa de Cambio”;
3. Pro forma F0000 137 (Formato – 437) “Evaluación del riesgo de precio de acciones”;
4. Pro forma F0000 - 138 (Formato – 438) “Valor en riesgo por factores”;
5. Pro forma F0000-139 (Formato – 439) “Evaluación del riesgo de participaciones en carteras colectivas”;
6. Pro forma F0000 - 140 (Formato – 440) “Evaluación del riesgo de tasa de interés moneda legal, extranjera y UVR”;
B. El instructivo que se modifica es:
Pro forma F 0000 129 (Formato – 386) “Valor en Riesgo por Módulos”;
C. Los formatos e instructivos que se derogan son:
1. Pro forma F.0000-77. (Formato 271);
2. Pro forma F.0000-76. (Formato 270);
3. Pro forma F.0000-75. (Formato 269);
4. Pro forma F.0000-84. (Formato 280);
5. Pro forma F.6000-26 (Formato 329);
6. Pro forma F.6000- 27. (Formato 330);
7. Pro forma F.6000-28. (Formato 331);
8. Pro forma F.6000-29. (Formato 332);
Cuarta. Se deberá realizar un plan de pruebas para la adecuación de los formatos mencionados en el literal A) de la instrucción tercera de acuerdo con los lineamientos que se publicarán en la página de Internet de la Superintendencia Financiera de Colombia para tal efecto. El plan de pruebas comenzará a regir seis (6) meses después de la publicación de la presente circular externa.
Quinta. La presente circular externa no modifica el régimen de inversiones de las entidades vigiladas, ni otorga autorización alguna para la realización de nuevas operaciones a las mismas.
Vigencia. La presente Circular Externa rige ocho (8) meses después de su publicación, con excepción de lo dispuesto en la instrucción cuarta y el cambio en la periodicidad de reporte de información previsto en el instructivo de la pro-forma F 0000 129 (Formato- 386) “Valor en Riesgo por Módulos”, los cuales regirán a partir de su publicación.
Derogatorias. La presente Circular Externa deroga todas las normas que le sean contrarias; en especial, la Circular Externa 088 de 2000 de la entonces Superintendencia Bancaria de Colombia y la Circular Externa 009 de 2007 de la Superintendencia Financiera de Colombia.
Se adjuntan las páginas correspondientes al texto del nuevo Capítulo XXI, sus respectivos anexos, formatos e instructivos.
PUBLÍQUESE Y CÚMPLASE,
CÉSAR PRADO VILLEGAS
Superintendente Financiero de Colombia
050000
CAPITULO XXI
REGLAS RELATIVAS AL SISTEMA DE ADMINISTRACIÓN DE
RIESGO DE MERCADO
Consideraciones generales
En desarrollo de sus operaciones, las entidades sometidas a la inspección y vigilancia (entidades vigiladas) de la Superintendencia Financiera de Colombia (SFC) se exponen al riesgo de mercado, el cual en caso de materializarse puede llegar a afectar la estabilidad y la viabilidad financiera de las mismas y del sistema financiero en su integridad.
Con el fin de evitar las anteriores situaciones, la SFC considera necesario que las entidades vigiladas desarrollen e implementen un Sistema de Administración de Riesgo de Mercado (SARM), que les permita identificar, medir, controlar y monitorear eficazmente este riesgo. Dicho sistema deberá permitir a las entidades vigiladas la adopción de decisiones oportunas para la adecuada mitigación del riesgo y, cuando ello sea aplicable, determinar el monto de capital adecuado que guarde correspondencia con los niveles de riesgo de cada entidad.
En este orden, el presente capítulo contiene los parámetros mínimos que las entidades vigiladas deben observar en el diseño, adopción e implementación del SARM, mediante el cual se busca una efectiva gestión del riesgo de mercado tanto para las posiciones propias como para las posiciones administradas y por cuenta de terceros.
1 Definiciones
Las siguientes definiciones se tendrán en cuenta para los fines del presente capítulo y de sus anexos:
1.1 Tesorería:
En el contexto del SARM, se entenderá por tesorería las áreas que se encargan de la relación con los clientes y aspectos comerciales, de la negociación o “trading”, identificación, medición y control del riesgo de mercado, del cumplimiento y del registro de las operaciones de tesorería.
1.2 Operaciones de tesorería:
Son las siguientes: operaciones del mercado cambiario; operaciones con valores de renta fija, de renta variable y aquellos indexados a una tasa o índice de referencia, ya sea en pesos o en cualquier otra denominación, excepto las emisiones propias; operaciones del mercado monetario tales como posiciones en corto, transferencias temporales de valores, operaciones de reporto o repo (repo) y simultáneas; operaciones con derivados y productos estructurados; y en general cualquier otra que sea realizada a nombre de la entidad o a beneficio de ella o por cuenta de terceros.
1.3 Back office:
Es el área encargada de realizar los aspectos operativos de la tesorería. Por ejemplo, el cierre y registro en los sistemas de negociación de valores, el cierre y registro contable y autorización final de las operaciones; es decir, es el área encargada de la complementación y del cumplimiento de las operaciones.
1.4 Front office:
Es el área encargada de la negociación, de las relaciones con los clientes y/o de los aspectos comerciales de la tesorería.
1.5 Middle office:
Es el área encargada de la medición y análisis de riesgos; de la revisión y evaluación periódica de las metodologías de valoración de instrumentos financieros y de la verificación del cumplimiento de las políticas y límites establecidos por la normatividad aplicable y por los administradores de la entidad vigilada.
1.6 Libro bancario:
El libro bancario está integrado por el conjunto de posiciones provenientes de: (i) La operación de captación de las entidades a través de cuentas corrientes y de ahorro, de los depósitos a término, de la emisión de bonos, etc.; (ii) La cartera de créditos; (iii) La constitución de avales y garantías, (iv) Las inversiones hasta el vencimiento, y, en general, (v) Cualquier operación que no haga parte del Libro de tesorería, de acuerdo con la definición contenida en el siguiente numeral.
1.7 Libro de tesorería:
El libro de tesorería está integrado por el conjunto de posiciones, producto de las operaciones de tesorería, que la entidad mantiene con el objetivo de beneficiarse en el corto plazo de fluctuaciones del precio, así como por aquellas inversiones sensibles a fluctuaciones en las variables de mercado. En este orden, el libro de tesorería cobija, entre otras, la totalidad de las inversiones negociables y de las inversiones disponibles para la venta.
Para el caso de las sociedades fiduciarias, sociedades administradoras de fondos de pensiones y de cesantía, sociedades administradoras de inversión, sociedades comisionistas de bolsa de valores, entidades aseguradoras y sociedades de capitalización, todas las inversiones pertenecientes a las carteras colectivas o fondos que administran se consideran parte del libro de tesorería.
2 Definición de riesgo de mercado
Para los efectos del presente capítulo se entiende por riesgo de mercado la posibilidad de que las entidades incurran en pérdidas asociadas a la disminución del valor de sus portafolios, las caídas del valor de las carteras colectivas o fondos que administran, por efecto de cambios en el precio de los instrumentos financieros en los cuales se mantienen posiciones dentro o fuera del balance.
3 Ámbito de aplicación
El presente capítulo aplica a todas las entidades vigiladas que en el desarrollo de sus operaciones autorizadas se encuentren expuestas al riesgo de mercado tanto en cuenta propia, portafolios administrados como por cuenta de terceros. Por consiguiente, las entidades vigiladas deberán diseñar y adoptar un Sistema de Administración de Riesgo de Mercado (SARM).
Sin embargo, las entidades vigiladas que no se relacionen explícitamente en el numeral 5.2 del presente capítulo no deberán aplicar lo concerniente a dicho numeral.
4 Alcance del sistema de administración de riesgo de mercado (SARM)
El SARM es el sistema de administración de riesgo que deben implementar las entidades vigiladas con el propósito de identificar, medir, controlar y monitorear el riesgo de mercado al que están expuestas en desarrollo de sus operaciones autorizadas, incluidas las de tesorería, atendiendo su estructura y tamaño. El SARM se instrumenta a través de las etapas y elementos establecidos en el presente capítulo.
El SARM que implementen los establecimientos de crédito, las instituciones oficiales especiales, los organismos cooperativos de grado superior y el correspondiente a las operaciones de cuenta propia y recursos propios de las sociedades comisionistas de bolsas de valores, debe permitirles gestionar adecuadamente su riesgo de mercado y calcular el monto de capital que deben mantener para cubrirlo.
El SARM que implementen las sociedades fiduciarias, las sociedades administradoras de fondos de pensiones y de cesantía, las sociedades administradoras de inversión, las entidades aseguradoras y las sociedades de capitalización, debe permitirles gestionar en forma independiente el riesgo de mercado tanto para el libro de tesorería de la entidad como para los fondos o carteras colectivas que administran. Esta última instrucción también aplicará para los fondos o carteras colectivas administrados por las sociedades comisionistas de bolsa de valores.
Es deber de las entidades vigiladas revisar periódicamente las etapas y elementos del SARM a fin de realizar los ajustes que consideren necesarios para su efectivo, eficiente y oportuno funcionamiento, de forma tal que atiendan en todo momento las condiciones particulares de la entidad y las del mercado en general.
5 Etapas de la administración del riesgo de mercado
En la administración del riesgo de mercado las entidades deben desarrollar las siguientes etapas:
5.1 Identificación
El SARM debe permitir a las entidades vigiladas identificar el riesgo de mercado al que están expuestas, en función del tipo de posiciones asumidas por éstas, de conformidad con las operaciones autorizadas. Cuando sean aplicables, se deben considerar los siguientes riesgos de mercado:
a. tasa de interés en moneda legal
b. tasa de interés en moneda extranjera
c. tasa de interés en operaciones pactadas en UVR
d. tipo de cambio
e. precio de acciones
f. inversiones realizadas en carteras colectivas
Esta etapa debe realizarse previamente a la participación en nuevos mercados y a la negociación de nuevos productos, determinando su perfil de riesgo y cuantificando el impacto que éstos tienen sobre el nivel de exposición al riesgo de la entidad, al patrimonio y las utilidades de la misma.
5.2 Medición
El SARM debe permitir a las entidades vigiladas medir y cuantificar las pérdidas esperadas derivadas de la exposición al riesgo de mercado.
5.2.1 Metodología para la medición del riesgo de mercado
Las entidades vigiladas deben aplicar metodologías para la medición del riesgo de mercado, de acuerdo con las siguientes reglas:
a) Establecimientos de crédito, las instituciones oficiales especiales, organismos cooperativos de grado superior
Estas entidades deben medir el riesgo de mercado que se derive de sus posiciones en el libro de tesorería y de sus operaciones de contado.
b) Sociedades comisionistas de bolsa de valores
En el caso de las sociedades comisionistas de bolsa de valores se debe medir el riesgo de mercado que se derive de sus operaciones por cuenta propia, de sus operaciones con recursos propios y de sus operaciones de contado.
c) Instrucciones comunes
La medición del nivel de exposición de riesgo de mercado para las entidades citadas en los literales a) y b) se debe realizar mediante la aplicación de las reglas del modelo estándar señaladas en el Anexo 1 del presente capítulo.
Las posiciones incluidas en el libro bancario asociadas a tipo de cambio, deberán tratarse de acuerdo con los criterios señalados para este tipo de posiciones en el Anexo 1.
No obstante, las entidades citadas podrán diseñar y aplicar modelos internos para la medición del riesgo de mercado, siempre que los mismos cumplan con los requisitos mínimos establecidos en el numeral 5.2.2. del presente capítulo y no hayan sido objetados por la SFC. En todo caso, hasta tanto no cuenten con modelos internos no objetados por la SFC, tales entidades deben utilizar el modelo estándar para la medición de sus exposiciones a los riesgos de mercado.
Sin perjuicio de lo anterior, todas las entidades a que se refiere este numeral deben estar en capacidad de reportar el valor que resultaría de calcular la exposición a riesgos de mercado utilizando la metodología estandarizada.
d) Carteras colectivas o fondos administrados por las sociedades comisionistas de bolsa de valores
Las carteras colectivas o fondos administrados por las sociedades comisionistas de bolsa de valores deberán medir el riesgo de mercado que se derive de sus posiciones en el libro de tesorería y de sus operaciones de contado, utilizando el modelo estándar establecido en el Anexo 2.
e) Sociedades fiduciarias, sociedades administradoras de fondos de pensiones y de cesantía, sociedades administradoras de inversión, entidades aseguradoras y sociedades de capitalización
Estas entidades deben medir el riesgo de mercado que se derive de sus posiciones en el libro de tesorería y de sus operaciones de contado. Adicionalmente, deben medir el riesgo de mercado para aquellas carteras colectivas y fondos que administren, sin perjuicio de los casos especiales que se mencionan en este literal.
La medición del nivel de exposición de riesgo de mercado para las entidades, carteras colectivas y fondos anteriormente mencionadas deberá realizarse mediante la aplicación del modelo estándar, de acuerdo con las reglas señaladas en el Anexo 2 del presente capitulo.
Tratándose de fideicomisos administrados por sociedades fiduciarias, se deben aplicar las reglas de medición de riesgos establecidas en el Anexo 2, salvo que el fideicomitente de manera expresa indique su voluntad de aplicar un modelo de medición distinto o exima de dicha obligación a la entidad.
De otra parte, en el caso de la administración de portafolios de terceros, cuando el cliente lo requiera, la sociedad administradora deberá aplicar el modelo de medición establecido en el Anexo 2 del presente capítulo.
En todo caso, los siguientes fondos y/o fideicomisos deben aplicar de manera obligatoria las reglas de medición de riesgo de mercado contenidas en el presente numeral:
a) Fiducia pública (negocios en los que se administren directa o indirectamente recursos públicos)
b) Fondo Nacional de Pensiones de Entidades Territoriales (FONPET – Ley 549 de 1999)
c) Fondo de Pensiones Públicas del Nivel Nacional (FOPEP)
d) Fondos Territoriales de Pensiones (Decreto ley 1296 de 1994)
e) Fondo Prestacional del Sector Salud, en lo relacionado con pensiones
f) Patrimonios autónomos para la administración de pasivos pensionales y reactivación económica creados por la Ley 550 de 1999 y regidos por ésta o demás normas que la sustituyan, modifiquen o subroguen.
g) Los recursos a que hace referencia el Decreto 810 de 1998
h) Los recursos destinados a la garantía y pago de bonos pensionales y cuotas partes de bonos pensionales (Decreto 1299 de 1994)
i) Fondo de Solidaridad y Garantía (FOSYGA)
j) Fondo de Solidaridad Pensional
k) Fondo de Riesgos Profesionales
l) Fondos de reservas pensionales administrados por las entidades administradoras del Régimen Solidario de Prima Media con Prestación Definida
m) Fondos de reservas de la administradora de riesgos profesionales del Instituto de Seguros Sociales
n) Los recursos a que hace referencia el artículo 54 de la Ley 100 de 1993
o) Los recursos destinados a la garantía y pago de obligaciones pensionales legales a cargo del Fondo Nacional de Prestaciones Sociales del Magisterio, de las Fuerzas Armadas, la Policía Nacional y ECOPETROL
p) Los demás que manejen recursos del Sistema de Seguridad Social, incluidos aquellos fondos administrados por entidades aseguradoras.
q) Los demás que señale la SFC
5.2.2 Reglas relativas a la presentación de modelos internos
Para poder someter sus modelos internos a consideración del supervisor, las entidades vigiladas deberán obtener de la SFC la no objeción sobre la observancia de las reglas establecidas en el presente documento.
Una vez obtenida la no objeción a que hace referencia el párrafo anterior, la entidad podrá someter a revisión de la SFC su modelo interno. La solicitud de revisión que se remita a la SFC debe estar acompañada de los siguientes documentos:
a) Una descripción detallada y específica de los modelos de valoración empleados para cada instrumento, con las fórmulas matemáticas empleadas en cada caso y el ejemplo numérico correspondiente. Así mismo, deben describirse los cambios o adaptaciones que la entidad haya realizado a las metodologías comúnmente empleadas.
b) Una descripción del modelo empleado para la medición de riesgos, de su base teórica, de los parámetros empleados y de la forma en que el modelo agrega los diferentes riesgos.
c) Las series de datos de los valores en riesgo estimados y de los realmente observados para cada factor de riesgo.
d) Los resultados de las pruebas de desempeño (back testing) realizadas durante los últimos seis (6) meses.
e) Información detallada de las personas encargadas de la medición y control de riesgos y de su posición dentro de la organización, incluyendo su formación académica y su experiencia profesional.
f) Una descripción detallada de la estructura de límites y de su cumplimiento durante el último año.
g) Una descripción de los cambios importantes que a nivel estratégico o estructural se hayan presentado en los dos (2) años anteriores y de aquellos que se planea introducir durante el año siguiente a la solicitud.
En caso de no ser posible reportar la información mencionada en el literal d) o cuando la SFC lo considere necesario, se efectuará un seguimiento a las pruebas de desempeño por un periodo de seis (6) meses, durante el cual el modelo no podrá ser utilizado para el cálculo de los requerimientos de capital correspondientes a la exposición al riesgo de mercado.
La SFC podrá requerir a los establecimientos de crédito, las instituciones oficiales especiales, los organismos cooperativos de grado superior y las sociedades comisionistas de bolsa de valores que estén aplicando válidamente un modelo interno, para que utilicen el modelo estándar para la medición del riesgo de mercado, en los siguientes casos:
a. Cuando el modelo interno para la medición de riesgo de mercado no cumpla con las condiciones estipuladas en el numeral 5.2.2. de la presente circular;
b. Cuando el desempeño del modelo no permita una adecuada medición del riesgo de mercado al que se expone la respectiva entidad.
5.2.2.1 Estándares cuantitativos
Todo modelo interno que se adopte debe cumplir con los siguientes estándares de tipo cuantitativo:
a) El modelo debe capturar los principales factores de riesgo a que se encuentre expuesta la entidad y considerar cuando menos los factores de riesgo contemplados en el modelo estándar.
b) El valor en riesgo debe ser calculado diariamente.
c) Para calcular el valor en riesgo debe utilizarse un intervalo de confianza de noventa y nueve por ciento (99%) de un extremo de la distribución.
d) El modelo debe emplear un cambio en los precios para un período de diez (10) días hábiles de negociación (trading), es decir, el período de tenencia a emplear por los modelos será de mínimo diez (10) días. Se pueden utilizar valores en riesgo calculados para un periodo de tenencia menor a diez (10) días, debiendo en todo caso escalarlos por la raíz cuadrada del múltiplo correspondiente.
e) Para la estimación de los parámetros estadísticos empleados por los modelos se debe considerar un período de observación efectivo de por lo menos un (1) año. Cuando la periodicidad de las series no sea diaria, se deben considerar por lo menos doscientos cincuenta (250) observaciones.
f) Para la estimación del valor en riesgo se pueden adoptar tanto enfoques paramétricos como no paramétricos (simulaciones históricas, simulaciones de Monte Carlo, etc.).
g) Las bases de datos requeridas para la estimación deben estar permanentemente actualizadas.
h) Los modelos utilizados deben capturar adecuadamente el riesgo de mercado de posiciones en opciones teniendo en cuenta lo siguiente:
i. Deben capturar las características no lineales del precio de las posiciones.
ii. Deben capturar la sensibilidad de estas posiciones a la volatilidad del valor del instrumento subyacente.
iii. Los choques contemplados deben tener un horizonte mínimo de (diez) 10 días.
i) El modelo debe estar en capacidad de efectuar mediciones que contemplen escenarios extremos (stress testing) en los diferentes factores de riesgo. Así mismo, cuando se presenten cambios estructurales en el mercado que no estén reflejados adecuadamente en las series históricas empleadas, el modelo debe contemplar estos movimientos en los factores de riesgo.
j) En el caso del riesgo de precio de acciones de baja, mínima o ninguna bursatilidad o no inscritas en una bolsa de valores, el modelo debe emplear escenarios de stress debidamente documentados y basados en análisis propios de la entidad.
k) El modelo puede contemplar correlaciones entre los diferentes factores de riesgo y entre las principales categorías de riesgos (v.g. tasa de interés y tasa de cambio) siempre y cuando la metodología de estimación sea técnicamente consistente y las pruebas de desempeño (back-testing) corroboren los resultados obtenidos.
5.2.2.2 Pruebas de desempeño de los modelos internos
Las pruebas de desempeño (back testing) de los modelos internos, que se establecen a continuación, tienen como propósito determinar la consistencia, precisión y confiabilidad de los valores en riesgo estimados, mediante la comparación de éstos con las ganancias o pérdidas efectivamente realizadas.
Con base en los resultados que arrojen las pruebas de desempeño sobre la precisión y consistencia de los modelos internos de medición de riesgo, la SFC podrá aumentar el factor multiplicativo usado para calcular el requerimiento de capital con un factor de ajuste que corrija las debilidades encontradas, de modo que los resultados reflejen razonablemente el valor en riesgo de las entidades.
Las metodologías empleadas para la realización de las pruebas de desempeño, así como los resultados de las mismas deben estar completamente documentadas y a disposición de la SFC.
5.2.2.2.1 Pruebas sucias
Comparan los valores en riesgo estimados para el día T+1 usando el portafolio final del día T contra las pérdidas y ganancias efectivamente obtenidas al finalizar el día T+1. Se denominan pruebas sucias porque comparan dos valores derivados de portafolios diferentes.
5.2.2.2.2 Pruebas limpias
Comparan los valores en riesgo estimados para el día T+1 usando el portafolio final del día T contra las pérdidas y ganancias que se hubieran presentado en el día T+1 de haber mantenido el mismo portafolio final del día T. Estas pruebas eliminan el efecto de las actividades de negociación ocurridas durante el día.
5.2.2.3 Periodicidad
Las pruebas mencionadas en los parágrafos anteriores deben tener una temporalidad diaria. Las entidades vigiladas, según corresponda, deben estar en capacidad de realizar las pruebas sucias diariamente y las pruebas limpias mensualmente.
5.2.2.4 Combinación de los modelos internos y la metodología estándar
Las entidades podrán utilizar una combinación entre sus modelos internos y la metodología estándar para medir su exposición a riesgo de mercado. Para lo anterior, deberán tener en cuenta las siguientes consideraciones:
a) Podrán escoger entre utilizar el enfoque metodológico interno o estándar para cada uno de los módulos contemplados en el Anexo 1.
b) Surtir el procedimiento descrito en el caso de la implementación de un modelo interno.
c) Cubrir todos los módulos por una u otra aproximación.
d) No podrán realizarse correlaciones entre los módulos calculados bajo la aproximación estándar y aquellos calculados mediante la aproximación de los modelos internos.
5.2.2.5 Cálculo de la exposición total al riesgo de mercado con los modelos internos
a) Si el modelo interno utilizado cubre, como mínimo, la totalidad de los módulos contemplados en el modelo estándar, el valor en riesgo calculado diariamente por la entidad corresponderá al monto obtenido de la estimación del modelo interno.
b) Si se utiliza una combinación de los modelos internos y la metodología estándar, el valor en riesgo calculado diariamente por la entidad vigilada corresponderá a la suma del monto obtenido de la estimación del modelo interno y los cargos correspondientes a los módulos cubiertos con la metodología estándar.
Para efectos del cálculo de la relación de solvencia de acuerdo a lo estipulado en el artículo 2º del Decreto 1720 de 2001 o lo dispuesto en el artículo 2.2.1.2 de la Resolución 400 de 1995 de la Sala General de la entonces Superintendencia de Valores o demás normas que los sustituyan, modifiquen o subroguen, según corresponda, la entidad utilizará el mayor valor entre:
I. El valor en riesgo calculado para el día anterior.
II. El promedio de los valores en riesgo calculados para los sesenta días hábiles anteriores. Para efectos del cálculo de este promedio, el valor en riesgo correspondiente a los módulos estimados a través de modelos internos deberá ser ajustado por el factor multiplicativo correspondiente.
El factor multiplicativo es igual a tres (3). En todo caso la SFC podrá aumentar dicho factor hasta un máximo de cuatro (4) de acuerdo con la evaluación que realice de la calidad de la gestión de riesgos financieros y de los resultados obtenidos de las pruebas de desempeño del modelo interno aplicado por la entidad.
El aumento en el factor multiplicativo es función del resultado de las pruebas de desempeño del modelo durante los últimos doscientos cincuenta (250) días hábiles (un año de observaciones):
Tabla 1 Ajuste en el factor multiplicativo para modelos internos

El número de excepciones corresponde al número de días en los que la pérdida observada fue mayor a la pérdida estimada por el respectivo modelo.
Sin perjuicio de lo anterior, la SFC podrá exigir ajustes en el factor multiplicativo diferentes a los estipulados en la Tabla 1 dependiendo de la evaluación general del SARM de la Entidad.
El capital de las entidades autorizadas no objetadas a utilizar modelos internos debe ser suficiente para satisfacer la relación de solvencia de forma diaria.
5.3 Control
El SARM debe permitir a las entidades tomar las medidas conducentes a controlar el riesgo de mercado al que se ven expuestas en el desarrollo de sus operaciones, incluidas las de tesorería.
Esta etapa debe cumplir con los siguientes requisitos mínimos:
a) Ser proporcional con el volumen y complejidad de las operaciones desarrolladas por la entidad, de forma tal que se guarde correspondencia entre el modelo y las operaciones desarrolladas.
b) Permitir el control de los niveles de exposición al riesgo de mercado y los límites generales establecidos por la entidad vigilada; así como los límites especiales determinados para la actividad de tesorería a nivel de trader, mesa de negociación y producto. Lo anterior de acuerdo con la estructura, características y operaciones autorizadas para cada tipo de entidad.
c) Permitir el control de los límites y niveles de exposición al riesgo de mercado consolidado por factor o módulo de riesgo.
d) Permitir la cuantificación del riesgo de mercado, y su incorporación dentro de la estructura de control y gestión de riesgos de toda la entidad.
e) Considerar la estrategia de la entidad, las prácticas generales de transacción y las condiciones del mercado.
5.4 Monitoreo
El SARM debe permitir a las entidades vigiladas llevar a cabo un seguimiento permanente de la evolución de su exposición al riesgo de mercado.
El monitoreo debe cumplir con los siguientes requisitos mínimos:
a) Guardar correspondencia con el volumen y complejidad de las operaciones desarrolladas por la entidad.
b) Permitir el seguimiento de los niveles de exposición al riesgo de mercado y los límites generales establecidos por la entidad; así como los especiales determinados para la actividad de tesorería a nivel de trader, mesa de negociación y producto, según la estructura, características y operaciones autorizadas para cada tipo de entidad.
c) Permitir el seguimiento de los límites y niveles de exposición al riesgo de mercado consolidado por factor o módulo de riesgo.
d) Permitir la elaboración de reportes gerenciales y de monitoreo de riesgos que evalúen los resultados de las estrategias e incluyan el resumen de las posiciones por producto
6 Elementos del SARM
El SARM que implementen las entidades debe tener como mínimo los siguientes elementos:
6.1 Políticas
Las entidades deben adoptar, en relación con el SARM, las políticas o lineamentos generales que permitan su eficiente funcionamiento. Cada una de las etapas y elementos del sistema debe contar con unas políticas claras y efectivamente aplicables.
Estas políticas deben ser revisadas periódicamente para que se ajusten en todo momento a las condiciones particulares de la entidad y del mercado.
Las políticas que se adopten tanto a nivel de las entidades como de sus portafolios administrados deben cumplir con los siguientes requisitos mínimos:
a) Establecer claramente la directriz institucional en materia de exposición al riesgo de mercado, reflejando su nivel de tolerancia.
b) Establecer criterios para la definición de límites frente a pérdidas y a niveles máximos de exposición al riesgo de mercado.
c) Señalar los límites de las posiciones en riesgo de acuerdo con el tipo de riesgo, negocio, contraparte o producto.
d) Establecer el mercado o los mercados en los cuales puede actuar la entidad.
e) Establecer los negocios estratégicos en los que podrá actuar la tesorería.
f) Consagrar los procedimientos a seguir en caso de sobrepasar los límites o enfrentar cambios fuertes e inesperados en el mercado.
g) Prever la posición institucional sobre la forma como, en función de los niveles de exposición, se planea cubrir o mitigar el riesgo de mercado.
h) Consagrar las pautas generales que se observarán para estimar, cuando así lo exijan las normas legales, los niveles de patrimonio necesarios que permitan absorber pérdidas derivadas de una exposición al riesgo de mercado, de modo que se proteja adecuadamente el patrimonio.
i) Establecer lineamientos de conducta y ética que orienten la actuación de los funcionarios de la entidad para el efectivo y oportuno funcionamiento del SARM. Estas políticas deben constar por escrito e incorporarse en el código de ética, que debe incluir disposiciones sobre la confidencialidad de la información, manejo de información privilegiada y conflictos de interés.
En el caso de las sociedades comisionistas de bolsa de valores, garantizar además que se comunique a la SFC y a las bolsas de valores dentro del término establecido en las normas vigentes todas aquellas vinculaciones económicas, relaciones contractuales u otras circunstancias que puedan suscitar conflictos de interés.
j) Establecer los lineamientos del sistema de control interno y monitoreo de riesgo de mercado.
k) En el caso de las sociedades comisionistas de bolsa de valores, prever mecanismos para que se revele al mercado la información eventual sobre la cual la sociedad no tenga el deber de reserva y esté obligada a transmitir, de conformidad con el artículo. 1.1.3.1 de la Resolución 1200 de 1995 de la entonces Superintendencia de Valores o normas que la sustituyan o modifiquen.
l) Desarrollar una estricta independencia entre las áreas que desarrollan operaciones por cuenta de terceros, las que administran portafolios de terceros, las que administran fondos o carteras colectivas y en general, garantizar la independencia entre actividades autorizadas cuando ello haya sido previsto en la normatividad aplicable.
m) Definir los criterios y los tipos de reportes gerenciales y contables internos y externos.
n) Definir los parámetros generales de la plataforma tecnológica y el equipo técnico de la entidad vigilada para el desarrollo de las operaciones de tesorería.
6.1.1 Políticas en materia de límites
Las políticas que se establezcan en materia de límites a las exposiciones en actividades de tesorería deberán cumplir con los siguientes requisitos:
a. Establecer los parámetros para la definición de los límites especiales a nivel de trader, mesa de negociación y producto, según la estructura, características y operaciones autorizadas para cada tipo de entidad.
b. Establecerse en forma individual dejando prevista su agregación o cálculo global al menos una vez al día.
c. Ser consistentes con el nivel de riesgo de la entidad.
d. Incluir los niveles de exposición al riesgo de mercado con el fin de que sean revisados periódicamente, para incorporar cambios en las condiciones del mercado o nuevas decisiones derivadas del análisis de riesgo.
e. Establecer los lineamientos para que todas las operaciones sean registradas oportunamente de modo que se pueda realizar un control efectivo de los cumplimientos de los límites.
f. Establecer los mecanismos para que los límites sean conocidos en forma oportuna por los funcionarios encargados de las negociaciones y, en particular, por los traders.
g. Establecer los mecanismos para que el control del cumplimiento de los límites sea llevado a cabo por áreas funcionales diferentes a las encargadas de las negociaciones.
6.1.2 Políticas en materia de personal
La entidad vigilada debe garantizar que el personal vinculado en las labores de trading, control y gerencia de riesgos, back office, contabilidad y auditoría de las operaciones de tesorería tenga un conocimiento profundo de los productos transados y de los procedimientos administrativos y operativos asociados al SARM. Para ello la entidad vigilada deberá realizar planes de capacitación dirigidos a las áreas involucradas en la gestión de riesgo de mercado.
En particular, el personal del área de monitoreo y control de riesgos debe poseer un conocimiento profundo de la operatividad de los mercados y de las técnicas de valoración y de medición de riesgos, así como un buen manejo tecnológico.
Las políticas de remuneración del personal encargado de las negociaciones deben ser acordes con la estructura del portafolio administrado.
De otra parte, las políticas de remuneración del personal encargado del control y gestión de riesgos y del back office deben garantizar la buena cualificación del recurso humano.
6.2 Procedimientos
Las entidades vigiladas deben establecer los procedimientos aplicables para la adecuada implementación y funcionamiento del SARM.
Los procedimientos que se adopten tanto a nivel de las entidades como de sus portafolios administrados deben cumplir, como mínimo, con los siguientes requisitos:
a) Instrumentar las diferentes etapas y elementos del SARM.
b) Garantizar el efectivo, eficiente y oportuno funcionamiento del SARM, de modo que se puedan adoptar oportunamente los correctivos necesarios.
c) Garantizar que en las actividades de tesorería exista una separación clara, organizacional y funcional, entre las actividades de trading, monitoreo y control; de procesamiento y contabilidad. Lo anterior para que éstas sean independientes entre sí y dependan de áreas funcionales diferentes. Para ello es necesario que las operaciones de tesorería se desarrollen dentro de una estructura organizacional conformada por las siguientes áreas y/o funciones: back office, middle office y front office.
d) Contemplar las acciones a seguir en caso de incumplimiento en los límites fijados y los casos en los cuales se deban solicitar autorizaciones especiales.
e) Instrumentar los procedimientos necesarios para la implementación de nuevos mercados y productos de tesorería.
f) Implementar mecanismos que permitan realizar el registro de las órdenes y operaciones efectuadas vía telefónica o mediante cualquier otro sistema de comunicación; estas operaciones deben ser soportadas previo cumplimiento de los requisitos legales existentes. En todo caso, dentro del área de negociación, las entidades vigiladas no deben permitir el uso de teléfonos celulares, inalámbricos, móviles o de cualquier otro equipo o sistema de comunicación que no permita constatar el registro de la operación y las condiciones del negocio.
g) Implementar el registro adecuado e individual de las órdenes y operaciones realizadas por la entidad con la constancia de las condiciones y términos del negocio, incluyendo aspectos como la hora de la negociación, la contraparte, siempre que el sistema de negociación de valores así lo permita, el monto, la tasa pactada y el plazo, entre otros. La entidad debe conservar los registros correspondientes por los plazos establecidos de manera general en la Ley.
Los procedimientos se deben adoptar mediante manuales, en los cuales deben quedar claramente definidas las funciones y responsabilidades específicas para cada uno de los funcionarios de los diferentes órganos de dirección, administración y control involucrados en la administración del riesgo de mercado.
6.3 Documentación
Las etapas y los elementos del SARM deben constar en documentos y registros, garantizando la integridad, oportunidad, confiabilidad y disponibilidad de la información allí contenida.
La documentación como mínimo deberá:
1. Contar con un respaldo físico y/o en medio magnético.
2. Contar con requisitos de seguridad de forma tal que se permita su consulta sólo por los funcionarios autorizados.
3. Contar con los criterios y procesos de manejo, guarda y conservación de la misma.
La documentación deberá comprender por lo menos:
a) El manual de procedimientos del SARM.
b) El código de ética de la entidad vigilada.
c) Los documentos y registros que evidencien el funcionamiento oportuno, efectivo y eficiente del SARM.
d) Los informes de la junta directiva, del representante legal, de la unidad de riesgo, del área de administración de riesgo o del comité de riesgos, según sea el caso, y de los órganos de control.
e) Las actas del comité de riesgos, del comité de auditoria, y los reportes a la junta directiva y al representante legal.
Todas las operaciones que generen posiciones de trading deben ser registradas por el departamento de contabilidad de manera oportuna.
f) Los manuales de operación del front office, middle office y back office.
g) Las metodologías de valoración de instrumentos financieros y medición de riesgos.
h) Los reportes elaborados por el área de control de riesgos sobre el cumplimiento de los límites y del nivel de exposición del riesgo de mercado y de los riesgos asociados.
i) El procedimiento a seguir en caso de incumplimiento en los límites fijados.
En el caso de las sociedades comisionistas de bolsa de valores y de acuerdo con lo señalado en la Resolución 1200 de 1995 de la entonces Superintendencia de Valores, la documentación deberá además comprender lo siguiente:
I. El libro de registro de órdenes sobre títulos o valores de contenido crediticio y emitidos en procesos de titularización.
II. El libro de operaciones.
III. El libro de registro de órdenes sobre acciones y bonos convertibles en acciones.
IV. Cartas de compromiso de compra y venta cuando se realicen operaciones carrusel. Cuando los participantes en estas operaciones deban suscribir cartas de compromiso como garantía de la operación, las mismas deberán estar a disposición de los comisionistas a más tardar dentro de las veinticuatro (24) horas siguientes al registro de la operación en bolsa y contener como mínimo los siguientes puntos:
· Clase de título y emisor;
· Fecha de emisión y vencimiento del título o valor, así como su valor nominal;
· Manifestación expresa del compromiso irrevocable de compra y/o venta, señalando las fechas en que se harán efectivos tales compromisos y el valor de la operación;
· Precio de compra y/o venta;
· Cuando se trate del último comprador del título o valor, esta circunstancia deberá especificarse claramente en la correspondiente carta; y
· Señalamiento de la calidad de representante legal en la cual se actúa, ó del origen del poder para obligar a la respectiva institución en la operación.
6.4 Estructura organizacional
En el diseño y adopción del SARM se deben establecer como mínimo las siguientes funciones a cargo de los órganos de dirección, administración y demás áreas de la entidad.
6.4.1 Junta directiva, consejo de administración u órgano que haga sus veces
El SARM debe contemplar como mínimo las siguientes funciones a cargo de la junta directiva u órgano que haga sus veces:
a) Definir y aprobar las políticas de la entidad en materia de administración de riesgo de mercado.
b) Aprobar los reglamentos, manuales de procedimientos y funciones de las áreas pertenecientes a la entidad vigilada, así como sus respectivas actualizaciones.
c) Aprobar el código de ética, el sistema de control interno, la estructura organizacional y tecnológica del SARM.
d) Aprobar las actuaciones en caso de sobrepasar o exceder los límites de exposición frente al riesgo de mercado o cualquier excepción de las reglas, así como los planes de contingencia a adoptar respecto de cada escenario extremo.
e) Realizar el nombramiento del comité de riesgos, definir sus funciones y aprobar su reglamento, de acuerdo con las normas legales que les apliquen.
f) Pronunciarse sobre los informes periódicos que elabora el área de administración de riesgo respecto del nivel de riesgo de mercado de la entidad.
g) Hacer seguimiento sobre los reportes periódicos que le presente el representante legal sobre las medidas correctivas aplicadas para que se cumplan los límites de riesgo de mercado.
h) Aprobar de forma previa la reclasificación de una posición en el libro de tesorería o en el libro bancario, como resultado de una estrategia de cobertura identificada y comunicarla por escrito a la SFC dentro de los diez (10) días hábiles subsiguientes a su autorización. La reclasificación sólo regirá a partir de los treinta (30) días hábiles subsiguientes a su adopción. Lo anterior no supone ni permite la reclasificación de inversiones para efectos de valoración y contabilización, cuyas reglas se encuentran consignadas en el Capítulo I de la Circular Básica Contable y Financiera.
i) Aprobar la metodología que debe elaborar el área de riesgo para identificar, medir, controlar y monitorear el riesgo de mercado.
j) Efectuar un monitoreo periódico al cumplimiento de los lineamientos del SARM y comportamiento del riesgo de mercado.
6.4.2 Representante legal
El SARM debe contemplar como mínimo las siguientes funciones a cargo del Representante Legal:
a) Establecer y garantizar el efectivo cumplimiento de las políticas definidas por la junta directiva.
b) Adelantar un seguimiento permanente del cumplimiento de las funciones del área o unidad de gestión de riesgo de mercado y de sus funcionarios y mantener informada a la junta directiva.
c) Definir procedimientos a seguir en caso de sobrepasar o exceder los límites de exposición frente al riesgo de mercado, así como los planes de contingencia a adoptar respecto de cada escenario extremo.
d) Hacer seguimiento y pronunciarse respecto de los informes diarios que presente el área o unidad de gestión de riesgo sobre las posiciones en riesgo y los resultados de las negociaciones.
e) Realizar monitoreo y revisión de las funciones del auditor interno y del contralor normativo.
f) Hacer seguimiento y pronunciarse respecto de los informes que presente el revisor fiscal.
g) Vigilar cuidadosamente las relaciones de los empleados de la tesorería con los clientes o intermediarios, controlando de manera eficiente los conflictos de interés que puedan presentarse.
6.4.3 Unidad o área de administración de riesgo
Sin perjuicio del cumplimiento de otras disposiciones, las entidades vigiladas deben contar con un área independiente, funcional y organizacionalmente, de las áreas encargadas de las negociaciones. La función de esta área consiste en administrar el riesgo de mercado a través de la identificación, medición, control y monitoreo de dicho riesgo.
El área de administración de riesgo tendrá, como mínimo, las siguientes funciones:
a. Diseñar la metodología para identificar, medir, controlar y monitorear el riesgo de mercado a que se expone la entidad.
b. Evaluar los límites por líneas de negocios, operaciones y funcionarios, y presentar al comité de riesgo o, en su defecto, a la junta directiva, las observaciones o recomendaciones que considere pertinentes.
c. Informar al comité de riesgos o en su defecto a la junta directiva sobre los siguientes aspectos:
i. La exposición al riesgo de manera global de la entidad, así como la específica de cada línea de negocio. Los informes sobre la exposición de riesgo deben incluir un análisis de sensibilidad y pruebas bajo condiciones extremas.
ii. Las desviaciones presentadas con respecto a los límites de exposición de riesgo establecidos.
d. Informar diariamente al representante legal y a los responsables de las líneas de negocios, sobre el comportamiento del riesgo de mercado de la entidad.
e. Monitorear el nivel de capital mínimo de la entidad, cuando así lo exijan las normas legales.
f. Monitorear la relación de las líneas de negocios y operaciones con respecto del nivel de patrimonio técnico de la entidad vigilada, cuando así lo exijan las normas legales.
g. Informar en forma mensual a la Junta Directiva sobre los niveles de riesgo y condiciones de las negociaciones realizadas y, en particular, reportar incumplimientos sobre los límites, operaciones poco convencionales o por fuera de las condiciones de mercado y las operaciones con empresas o personas vinculadas a la entidad.
Adicionalmente, las sociedades comisionistas deberán conformar comités de riesgos cuando así lo disponga el reglamento de las Bolsas de Valores.
6.5 Órganos de control
Las entidades deben establecer instancias responsables de efectuar una revisión y evaluación del SARM, las cuales deben informar, oportunamente, los resultados a los órganos competentes.
Los órganos de control serán por lo menos los siguientes: Revisoría Fiscal, Contralor Normativo y Auditoria Interna o quien ejerza el control interno.
Las entidades vigiladas deberán conformar comités de auditoría de acuerdo con lo dispuesto en el Título I, Capítulo 9 de la Circular Externa 07 de 1996 Circular Básica Jurídica (CBJ). Las entidades vigiladas en su momento por la entonces Superintendencia de Valores deberán conformar un comité de auditoria, en los mismos términos de lo dispuesto en la norma señalada.
En el contexto del SARM, los organismos de control deben realizar auditorias que garanticen el cumplimiento de la totalidad de las disposiciones de esta norma. Adicionalmente, estas evaluaciones deben cubrir las operaciones con empresas o personas vinculadas a la entidad.
6.5.1 Revisoría fiscal
Sin perjuicio de las funciones asignadas en otras disposiciones, el revisor fiscal debe verificar el estricto cumplimiento de lo dispuesto en el presente capítulo e incluir un pronunciamiento expreso sobre el SARM dentro del dictamen de los estados financieros. Así mismo, en desarrollo de lo dispuesto en el artículo 207, ordinal 3o., del Código de Comercio, el revisor fiscal debe informar de manera oportuna y permanente a la SFC las irregularidades materiales que advierta en la aplicación del presente instructivo.
En el contexto del SARM, el revisor fiscal deberá presentar un informe detallado del resultado de esta auditoría.
6.6 Infraestructura tecnológica
Las entidades vigiladas deben contar con la tecnología y los sistemas necesarios para garantizar el funcionamiento eficiente, eficaz y oportuno del SARM. Para ello deben contar con un soporte tecnológico acorde con su tamaño, naturaleza, complejidad y volumen de operaciones.
Así mismo, deben contar con procesos que permitan realizar un control adecuado del cumplimiento de las políticas y límites establecidos.
Los parámetros utilizados en las aplicaciones informáticas del SARM deben estar dentro de los rangos de mercado y ser revisados periódicamente.
Las entidades vigiladas que operen con descentralización de funciones de tesorería deben contar con un sistema adecuado de consolidación de las exposiciones a los diferentes riesgos, el cual deberá ser validado por lo menos una vez al año y probado en diferentes escenarios de tasas o precios, de forma tal que se ajuste a la realidad del mercado.
6.7 Divulgación de información
Las entidades vigiladas deben diseñar un sistema efectivo, eficiente y oportuno de reportes, tanto internos como externos, el cual garantice el funcionamiento de sus procedimientos y el cumplimiento de los requerimientos normativos.
6.7.1 Interna
Como resultado del monitoreo deben elaborarse reportes semestrales que permitan establecer el perfil de riesgo de la entidad.
Los administradores de la entidad vigilada, en su informe de gestión, al cierre de cada ejercicio contable, tanto de su posición propia como de las carteras colectivas, portafolios y/o fondos administrados, deben incluir una indicación sobre la gestión adelantada en materia de administración de riesgo de mercado.
6.7.1.1 Reportes de la unidad de riesgo de mercado
La unidad o área de administración de riesgo de mercado debe elaborar reportes sobre el cumplimiento de las políticas, límites y nivel de exposición al riesgo de mercado. Estos reportes deben ser presentados de manera comprensible y deben mostrar las exposiciones por tipo de riesgo, por área de negocio y por portafolio. Así mismo, deben mostrar los límites establecidos, su grado de cumplimiento y la cuantificación de los efectos de las posiciones sobre las utilidades, el patrimonio y el perfil de riesgo de la entidad.
6.7.2 Externa
En concordancia con el artículo 97 del Estatuto Orgánico del Sistema Financiero (EOSF) y demás disposiciones legales vigentes sobre la materia, las entidades deben suministrar al público la información necesaria con el fin de que el mercado pueda evaluar las estrategias de gestión del riesgo de mercado adoptadas por la entidad.
Las características de la información divulgada estarán relacionadas con el volumen, la complejidad y el perfil de riesgo de las operaciones de la entidad. Dicha información debe contener los objetivos de negocio, estrategias y filosofía en la toma de riesgos.
Las sociedades comisionistas de bolsa de valores, de conformidad con el 6.6.1.2. del Reglamento de la Bolsa de Valores de Colombia o demás normas que lo sustituyan o modifiquen, deberán mantener a disposición del público, a través de medios que garanticen su acceso, toda la información que resulte necesaria para que los inversionistas tengan un adecuado y cabal entendimiento respecto de la estructura general que la sociedad tenga diseñada e implementada para la identificación, valoración, medición y control integral de riesgos. Tal información deberá incluir, en todos los casos, lo siguiente:
1. Descripción de los distintos riesgos identificados por la sociedad comisionista según las actividades que ésta realice, por tipo y fuente de riesgo. Cuando la sociedad comisionista desarrolle operaciones por cuenta propia, deberá revelar en forma explícita los riesgos identificados en la ejecución de dicha actividad.
2. Descripción de los mecanismos de cobertura, tales como pólizas de seguro y fondo de garantías, indicando en cada caso, explícitamente, los riesgos que cubren, su alcance y limitaciones. Adicionalmente, en relación con el Fondo de Garantías, informar los eventos no cubiertos, y los procedimientos de acceso y reclamación que lo rigen.
3. La calificación de la sociedad comisionista, en caso de existir, con una síntesis de las razones expuestas por las sociedades calificadoras para su otorgamiento.
6.7.3 Reportes de las sociedades comisionistas de bolsa de valores
Además del reporte de información señalado, las sociedades comisionistas de bolsa de valores, de conformidad con el Reglamento de Bolsa, deben elaborar informes que se basen en datos íntegros, precisos y oportunos relacionados con la administración de sus riesgos y que contengan como mínimo:
a. La exposición al riesgo por líneas de negocios y operaciones.
b. Los resultados de los diferentes análisis de sensibilidad y pruebas bajo condiciones extremas.
c. Los casos en que los límites de exposición al riesgo fueron excedidos, ya sea que se contara o no con autorización previa.
d. Los resúmenes de los resultados de las evaluaciones con respecto al cumplimiento de las políticas, procedimientos y controles de administración de riesgos, así como sobre las evaluaciones de los modelos y técnicas de medición de riesgos.
Cualquier cambio significativo en el contenido y estructura de los informes, así como en las metodologías empleadas en la medición de riesgos, deberá especificarse dentro de los mismos informes.
Los informes a que se refieren los ordinales i) y ii) del literal c) del numeral 6.4.3 sobre funciones de la unidad o área de administración de riesgo, deben presentarse, por lo menos, una vez al mes, o con una frecuencia menor en atención al dinamismo de los riesgos.
6.7.4 Reportes sobre la medición de riesgo de mercado
Los resultados de la medición de riesgo de mercado deben reportarse a la SFC con la periodicidad establecida en los formatos previstos para este propósito.
Para aquellas entidades o patrimonios autónomos a los cuales le sea aplicable el modelo estándar descrito en el Anexo 2 y adicionalmente deban reportar el valor en riesgo de su portafolio a través de su ficha técnica o similar, este último debe ser el obtenido a través del cálculo de dicho modelo estándar.
6.7.5 Reportes sobre conformación de portafolios
De conformidad con las instrucciones vigentes, las entidades deben reportar a la SFC información sobre la conformación de sus portafolios de inversión, novedades de inversiones y operaciones de tesorería.
6.7.6 Revelación contable
Las entidades vigiladas deben presentar en las notas a los estados financieros un resumen de sus operaciones de tesorería. En este sentido, las notas deberán contener información cualitativa y cuantitativa sobre la naturaleza de las operaciones e ilustrar cómo estas actividades contribuyen a su perfil de ingresos y de riesgo de mercado.
6.7.6.1 Información cualitativa
La información cualitativa es indispensable para elaborar y proveer una mejor compresión de los estados financieros de las entidades, por tanto es necesario que las instituciones informen sobre sus objetivos de negocio, estrategias y filosofía en la toma de riesgos. Así mismo, la entidad debe usar la información cualitativa para ilustrar cómo las operaciones de tesorería se acoplan a los objetivos de negocios de la organización.
La entidad vigilada debe revelar si su participación en el mercado puede ser considerada, en general, como la de un creador de mercado, o si la misma corresponde al desarrollo de la cuenta propia o si su actividad se concentra en atender las necesidades de clientes externos.
La información revelada debe considerar los cambios potenciales en los niveles de riesgo, cambios materiales en las estrategias de trading, límites de exposición y sistemas de manejo de riesgo.
6.7.6.2 Información cuantitativa
Las instituciones deben revelar al público una imagen clara de sus actividades de tesorería mediante la presentación de información cuantitativa. Esta presentación debe incluir, cuando menos, la siguiente información:
Las sociedades comisionistas de bolsa de valores en cumplimiento de lo dispuesto en la Resolución 400 de 1995 de la Sala General de la entonces Superintendencia de Valores deberán además revelar al público a través de notas a los estados financieros, la siguiente información:
a. El número y monto de las situaciones de concentración que mantengan, incluyendo el monto total de aquellos y el porcentaje que representan de su patrimonio técnico, y
b. El monto al que ascienden sus tres (3) mayores situaciones de concentración.
1. CONSIDERACIONES GENERALES
En el presente Anexo se establece el Modelo Estándar para la medición de riesgos de mercado adoptado por la SFC, el cual deben emplear los establecimientos de crédito, las instituciones oficiales especiales, los organismos cooperativos de grado superior y el que se derive de las operaciones por cuenta propia y con recursos propios realizadas por las sociedades comisionistas de bolsa de valores
Sin embargo, las entidades que cuenten con modelos internos no objetados por la SFC deberán utilizarlos de acuerdo con lo establecido en el numeral 5.2.2. del presente capítulo.
2. REGLAS RELATIVAS A LA APLICACIÓN DE MODELOS PARA LA MEDICION DE RIESGOS DE MERCADO
2.1 Reglas relativas a la medición de riesgos de mercado a través del modelo estándar para establecimientos de crédito, las instituciones oficiales especiales, los organismos cooperativos de grado superior y a las sociedades comisionistas de bolsa de valores.
La metodología estandarizada se compone de cuatro (4) módulos los cuales se calculan separadamente y son los siguientes:
· Riesgo de tasa de interés.
· Riesgo de tasa de cambio.
· Riesgo de precio de acciones.
· Riesgo de inversiones en carteras colectivas.
Para obtener la exposición total a riesgos de mercado los resultados de estos módulos se deben agregar aritméticamente.
Para los módulos de tasa de interés y de acciones, se toman en cuenta únicamente las posiciones del libro de tesorería. En el caso del módulo de tasa de cambio se incluyen también las posiciones del libro bancario.
2.1.1 Tratamiento de las posiciones en derivados y otras operaciones
La posiciones en instrumentos derivados y en operaciones de repo o reporto, en operaciones simultáneas y en operaciones de transferencia temporal de valores serán tenidas en cuenta para el cálculo de los requerimientos de capital en cada uno de los módulos de acuerdo a las condiciones señaladas a continuación.
2.1.1.1 Posiciones en derivados
Para su inclusión en los cálculos del cargo de capital del presente numeral, los instrumentos derivados deberán ser convertidos en posiciones de los instrumentos subyacentes correspondientes. Los montos reportados corresponderán al valor de mercado de las posiciones nocionales reportadas. A continuación se presentan instrucciones referentes al tratamiento de algunos instrumentos específicos.
a. Futuros y Forwards sobre tasa de interés
Estos instrumentos deberán ser tratados como dos (2) posiciones nocionales en bonos cero cupón.
Cuando la entidad vigilada vende un futuro sobre una tasa de interés o compra un forward sobre tasa de interés, es decir, que se compromete a pagar una tasa de interés durante un periodo de tiempo en el futuro, esta posición se descompone en:
1. Una posición nocional corta en un bono cero cupón con madurez residual igual al tiempo que resta hasta el inicio del contrato más el periodo efectivo de pago de la tasa de interés.
2. Una posición nocional larga en un bono cero cupón con madurez residual igual al tiempo que resta hasta el inicio del contrato.
Para el caso contrario (la entidad compra un futuro o vende un FRA), la primera posición nocional descrita es larga y la segunda corta.
b. Futuros, Forwards y Operaciones a Plazo sobre títulos de deuda
Estos instrumentos deberán ser tratados como dos (2) posiciones nocionales, una en el título subyacente y otra en un bono cero cupón. Cuando la entidad tenga una posición larga en las operaciones de que trata el presente literal (es decir que se compromete a comprar un título a un precio previamente establecido en un punto de tiempo en el futuro), esta posición se descompone en:
1. Una posición nocional larga en el título subyacente.
2. Una posición nocional corta en un bono cero cupón con madurez residual igual al tiempo que resta para el cumplimiento del contrato (el valor nominal de está posición corresponde al precio pactado).
Para el caso contrario (posición corta en el futuro, el forward o la operación a plazo), la primera posición nocional descrita es corta y la segunda larga.
Cuando el título subyacente de la operación esté denominado en una moneda distinta a la legal, la primera posición nocional descrita deberá ser clasificada en la escalera de duraciones modificadas respectiva y adicionalmente deberá ser tenida en cuenta para calcular la exposición al riesgo de tasa de cambio.
c. Futuros, Forwards y Operaciones a Plazo sobre divisas
Estos instrumentos deberán ser tratados como dos (2) posiciones nocionales en bonos cero cupón en las monedas aplicables.
1. Una posición nocional larga en un bono cero cupón, denominado en la moneda comprada y con una madurez residual igual al tiempo que resta para el cumplimiento del contrato.
2. Una posición nocional corta en un bono cero cupón, denominado en la moneda vendida y con una madurez residual igual al tiempo que resta para el cumplimiento del contrato.
Estas posiciones deberán ser tenidas en cuenta para calcular la exposición al riesgo de tasa de cambio.
d. Swaps de tasas de interés
Estos instrumentos deberán ser tratados como dos posiciones nocionales en bonos subyacentes en las tasas de interés respectivas. En este sentido la posición se descompone en:
1. Una posición nocional larga en un título pactado a la tasa de interés que recibe la entidad.
2. Una posición nocional corta en un título pactado a la tasa de interés que la entidad paga.
Cuando la tasa de interés del instrumento subyacente sea fija, la madurez residual correspondiente será igual a la duración del contrato.
Para los casos en que la tasa de interés sea variable, la duración del flujo se calculará de acuerdo a lo estipulado en el numeral 2.1.2.1 del presente capítulo para dichas posiciones.
En el caso de swaps que involucren posiciones en distintas monedas (cross currency swaps) cada una de las posiciones deberá ser clasificada en la respectiva escalera para el cálculo del riesgo de tasa de interés y adicionalmente deberá ser tenida en cuenta para calcular la exposición al riesgo de tasa de cambio.
e. Futuros, Forwards y Operaciones a Plazo sobre acciones (o índices de acciones)
Estas operaciones deben descomponerse en dos (2) posiciones nocionales, una correspondiente a la acción (o índice de acciones) subyacente y otra correspondiente a un bono cero cupón con madurez residual igual al tiempo remanente para el cumplimiento del contrato.
Cuando la entidad tenga una posición larga en las operaciones de que trata el presente literal (es decir que se compromete a comprar una acción o índice de acciones a un precio previamente establecido en un punto de tiempo en el futuro), esta posición se descompone en:
1. Una posición nocional larga en el título subyacente.
2. Una posición nocional corta en un bono cero cupón con madurez residual igual al tiempo que resta para el cumplimiento del contrato (el valor nominal de esta posición corresponde al precio pactado).
Para el caso contrario (posición corta en el futuro, el forward o la operación a plazo), la primera posición nocional descrita es corta y la segunda larga.
Sólo la posición en el bono cero cupón computará en el cálculo de riesgo de tasa de interés. La posición en acciones será incluida en el módulo de Riesgo de precio de acciones.
f. Operaciones Carrusel
En términos financieros, un carrusel consiste en una secuencia de operaciones de compra y venta de un título a futuro. Por lo anterior, para efectos de la exposición a riesgos de mercado de que trata el presente capítulo, estas operaciones deberán ser tratadas como una serie de operaciones de compra y venta a futuro del título subyacente. Cada una de estas operaciones deberá ser tratada de acuerdo a lo estipulado en el literal b del presente numeral.
g. Opciones
El tratamiento de estas operaciones será descrito en la sección 2.1.6.
Para valorar aquellas posiciones nocionales asimiladas a bonos cero cupón, se deberán seguir las siguientes indicaciones:
(i) Cuando la posición se encuentre en moneda legal, se deberá utilizar la curva cero cupón para títulos TES tasa fija en pesos (CEC en pesos);
(ii) Cuando la posición se encuentre denominada en UVR se deberá utilizar la curva cero cupón para títulos TES en UVR (CEC en UVR); y
(iii) Para el caso de posiciones denominadas en moneda extranjera, la tasa de descuento aplicable es la tasa “London Interbank Offer Rate” (LIBOR).
2.1.1.2 Operaciones de reporto o repo, operaciones simultáneas y operaciones de transferencia temporal de valores
Las operaciones a que hace referencia el presente subnumeral generan un intercambio de valores y de dinero entre las partes, con el compromiso de reversarlo al final de la operación.
En las operaciones de reporto o repo (repo) y simultáneas, el “Enajenante” le entrega valores al ”Adquirente”, y al hacerlo le transfiere la propiedad de éstos. A cambio, el ”Adquirente” le entrega dinero al ”Enajenante”. De manera análoga, en las operaciones de transferencia temporal de valores el ”Originador” le entrega valores al “Receptor” y, al hacerlo, le transfiere la propiedad de éstos. A cambio, el ”Receptor” le entrega dinero o valores al “Originador”, en cuyo caso también se transfiere la propiedad.
Dado que en las tres (3) operaciones mencionadas la vocación del valor es regresar a manos del “Enajenante”, del “Originador” o del “Receptor”, según sea el caso, la realidad financiera de la operación exige que el riesgo siga en el balance de las entidades que entregaron los valores al principio de las mismas.
Teniendo en cuenta lo anterior, para efectos del cálculo de la exposición a los riesgos de mercado las posiciones en las operaciones de que trata el presente numeral deben ser tenidas en cuenta de acuerdo a las siguientes instrucciones:
a. Los valores entregados en desarrollo de las tres (3) operaciones mencionadas deben ser tenidos en cuenta para efectos de los cálculos de los riesgos de mercado del agente que los entregó al principio de la operación. Se exceptúan los valores obtenidos previamente a través de cualquiera de las operaciones mencionadas.
b. En los casos en los que una entidad actuando como adquirente en una operación repo o en una operación simultánea venda de manera definitiva a través de operaciones de contado los valores objeto de la operación, la posición corta resultante deberá ser tenida en cuenta para efectos de los cálculos de la exposición a riesgos de mercado de que trata el presente capítulo.
c. Igual tratamiento recibirán las posiciones cortas resultantes en los casos en los cuales cualquiera de las partes involucradas en una transferencia temporal de valores venda de manera definitiva a través de operaciones de contado los valores que recibió en desarrollo de la mencionada operación.
2.1.1.3 Operaciones de compra y venta de Fondos interbancarios
Las operaciones con fondos interbancarios están expuestas a riesgo de crédito pero no a riesgo de mercado. Por lo anterior, estas operaciones no serán tenidas en cuenta para el cálculo de los requerimientos de capital por riesgo de mercado de que trata este capítulo.
A continuación se describen las metodologías para el cálculo de la exposición a los riesgos de mercado en cada uno de los módulos que componen el modelo estándar.
2.1.2 Riesgo de tasa de interés
Este numeral describe la metodología estandarizada para medir el riesgo de tomar o mantener posiciones, en el libro de tesorería, en instrumentos sensibles a cambios adversos en tasas de interés.
Para efectos de lo estipulado en el presente numeral deben tenerse en cuenta:
1. Las inversiones en títulos de renta fija, bien sean pactados a tasa fija o a tasa variable.
2. Las exposiciones asociadas a instrumentos derivados cuyos subyacentes sean títulos de renta fija o tasas de interés según lo determinado en el numeral 2.1.1.
3. Adicionalmente, cuando corresponda según lo previsto en el numeral 2.1.6., las posiciones delta ponderadas de opciones cuyo subyacente sea una tasa de interés o un título de deuda.
Para efectos de los cálculos a que hace referencia el presente numeral, las entidades deben reportar las exposiciones netas en cada instrumento. En ese sentido, se pueden excluir posiciones calzadas en los siguientes casos:
1. Cuando las posiciones largas y cortas calzadas correspondan a una emisión idéntica, incluyendo las posiciones en subyacentes derivadas de la participación en forwards, futuros y operaciones a plazo.
No se pueden excluir posiciones calzadas entre distintas emisiones de un mismo emisor, dado que las diferencias en cupones, opciones implícitas o liquidez, entre otros elementos, pueden ocasionar divergencia entre los precios de dichas emisiones en el corto plazo.
2. Para las posiciones nocionales asociadas a instrumentos derivados, con excepción de las posiciones nocionales en títulos subyacentes, se podrán excluir las posiciones largas y cortas calzadas cuando:
i. Las posiciones estén en la misma moneda;
ii. Para swaps y FRAs, la tasa de referencia debe ser idéntica y la diferencia entre los cupones pactados debe ser menor a quince (15) puntos básicos;
iii. Si la madurez residual (o próxima fecha de reprecio) de las posiciones nocionales es menor o igual a treinta días y el descalce entre ellas es menor o igual a un (1) día; o,
iv. si la madurez residual (o próxima fecha de reprecio) de las posiciones nocionales es mayor que treinta (30) días y menor o igual a trescientos sesenta y cinco (365) días, y el descalce entre ellas es menor o igual a siete (7) días; o,
v. si la madurez residual (o próxima fecha de reprecio) de las posiciones nocionales es mayor a trescientos sesenta y cinco (365) días y el descalce entre ellas es menor o igual a treinta (30) días; y
vi. si las posiciones a calzar están en dos (2) categorías distintas de acuerdo a su madurez residual, el calce podrá realizarse sólo si se cumple con las condiciones de la posición con menor madurez residual. Por ejemplo, si se tiene una posición larga con una madurez residual de trescientos sesenta y tres (363) días, esta podrá calzarse con una posición corta, con una madurez residual de hasta trescientos sesenta y nueve (369) días, para garantizar que el descalce entre ellas sea menor a siete (7) días.
2.1.2.1 Medición del riesgo de tasa de interés
La exposición a riesgo de tasa de interés refleja el riesgo asociado a movimientos adversos en las tasas de interés del mercado. Dicha exposición debe ser medida por las entidades de manera separada para las posiciones en moneda legal, en moneda extranjera y en Unidades de Valor Real (UVR).
2.1.2.1.1 Cálculo de la duración modificada
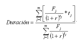
Las entidades deberán calcular la duración modificada de cada una de las posiciones, incluyendo las nocionales asociadas a los instrumentos derivados, como una aproximación a la sensibilidad de su valor frente a cambios en la tasa de interés. Para dicho cálculo se debe utilizar la siguiente fórmula:

Dónde:
r Último rendimiento disponible en la fecha de cálculo (tasa efectiva anual). Es decir la última tasa de descuento disponible para el título, de acuerdo con las instrucciones señaladas en el Capítulo I de la CE 100 de 1995 (Circular Básica Contable y Financiera) o en el Título Séptimo de la Parte Primera de la Resolución 1200 de 1995 de la Superintendencia de Valores, según sea el caso.
Para el cálculo de la duración de los diferentes instrumentos se deben seguir las instrucciones presentadas a continuación:
a. Duración de instrumentos pactados a tasa fija.
La duración de un título pactado a tasa fija corresponde al plazo promedio de los flujos asociados a dicho título. Partiendo de los flujos contractuales y de la tasa de rendimiento del título, la duración del instrumento corresponde a:

Donde:
Fj j-ésimo flujo de fondos del instrumento, j =1,..., m.
tj tiempo restante hasta el j-ésimo flujo medido en número de años (número de días/365).
r Último rendimiento disponible en la fecha de cálculo (tasa efectiva anual). Es decir la última tasa de descuento disponible para el título, Capítulo I de la CE 100 de 1995 (Circular Básica Contable y Financiera) o en el Título Séptimo de la Parte Primera de la Resolución 1200 de 1995 de la Superintendencia de Valores, según sea el caso.
m Número de flujos futuros de efectivo asociados al instrumento.
La duración deberá ser menor que la madurez contractual del instrumento, salvo en aquellos casos en que el instrumento tiene un único flujo de efectivo que ocurre en la fecha de vencimiento.
b. Duración de instrumentos pactados a tasa variable con y sin margen.
Teniendo en cuenta que en la valoración de los instrumentos pactados a tasa variable se tiene en cuenta un margen relacionado con las características del emisor y que, por ende, los flujos de efectivo posteriores a la siguiente fecha de reprecio pueden cambiar de valor ante movimientos en el margen, la duración de estos instrumentos debe ser calculada utilizando la siguiente expresión:

Donde:
Fj j-ésimo flujo de fondos del instrumento, j =1,..., m.
tj tiempo restante hasta el j-ésimo flujo medido en número de años (número de días/365).
FD Último factor de descuento disponible en la fecha de cálculo, de acuerdo con las instrucciones señaladas en el Capítulo I de la CE 100 de 1995 (Circular Básica Contable y Financiera) o en el Título Séptimo de la Parte Primera de la Resolución 1200 de 1995 de la Superintendencia de Valores, según sea el caso.
m Número de flujos futuros de efectivo asociados al instrumento.
En la determinación del factor de descuento y de los flujos futuros de efectivo asociados a estos instrumentos se debe tener en cuenta lo estipulado en el capítulo I de la Circular Externa 100 de 1995 (Circular Básica Financiera y Contable) o en el título séptimo de la parte primera de la Resolución 1200 de la Superintendencia de Valores, según sea el caso.
Sin embargo, la duración de los títulos “tasa variable” pactados a tasas de referencia internacionales corresponderá al periodo de tiempo existente hasta el siguiente reprecio, es decir, hasta el siguiente momento en que se revise la tasa para calcular el pago del cupón. Dicha duración deberá ser calculada en número de años.
c. Duración de instrumentos pactados en UVR.
Para calcular la duración de los instrumentos financieros pactados en Unidades de Valor Real (UVR), los flujos futuros de efectivo deben proyectarse teniendo en cuenta la tasa pactada en UVR. La duración en este caso se calcula siguiendo el procedimiento establecido en el inciso a) del presente numeral.
Cabe aclarar que el cálculo de la duración no se ve afectado por la unidad en que estén denominados los flujos de efectivo al momento de realizarlo.
d. Duración de instrumentos pactados en moneda extranjera.
Para calcular la duración de los instrumentos financieros pactados en moneda extranjera, los flujos futuros de efectivo deben proyectarse teniendo en cuenta la tasa pactada en la moneda original. La duración en este caso se calcula siguiendo el procedimiento establecido en los literales a) y b) del presente numeral.
Cabe aclarar que el cálculo de la duración no se ve afectado por la unidad en que estén denominados los flujos de efectivo al momento de realizarlo.
e. Duración de instrumentos con opción de prepagos.
En el caso de los títulos que incorporen opción de prepagos, su duración se debe calcular de acuerdo con la expresión mencionada en el literal a), utilizándose como referencia los escenarios de prepago que se emplean para su valoración a precios de mercado, de acuerdo con lo establecido en el capítulo I de la CE 100 de 1995 o en el título séptimo de la parte primera de la Resolución 1200 de la Superintendencia de Valores, según sea el caso.
2.1.2.1.1.1 Cálculo de los componentes de la exposición a riesgo de tasas de interés.
Para calcular la exposición al riesgo de tasa de interés deben seguirse los siguientes pasos:
a. Cálculo de las sensibilidades
1. La sensibilidad neta de las posiciones en cada instrumento frente a cambios en la tasa de interés, debe calcularse multiplicando la posición neta en dicho instrumento por su duración modificada y por el cambio asumido en la tasa de interés para la banda y moneda correspondientes según lo registrado en la Tabla 1.
Para los títulos “tasa variable” pactados a tasas de referencia nacionales, los cambios en tasa de interés aplicables para la realización del cálculo de esta sensibilidad neta corresponderán al menor choque de tasas registrado en la Tabla 1 para la moneda correspondiente.
Para las escaleras de moneda extranjera y Unidad de Valor Real (UVR), las posiciones netas deben ser expresadas en términos de moneda legal, de forma tal que las sensibilidades obtenidas estén denominadas en una única moneda.
2. Dichas sensibilidades netas se clasifican en las escaleras de bandas correspondientes a la moneda de denominación del instrumento. Para cada una de estas escaleras se calculará separadamente la exposición a riesgo de tasa de interés, razón por la cual los procedimientos referidos en los numerales siguientes deberán ser realizados de manera independiente sin efectuar ajustes entre sensibilidades de posiciones denominadas en unidades diferentes.
3. Se calcula la sensibilidad neta de cada banda como la diferencia entre la suma de las sensibilidades de las posiciones largas y la suma de las sensibilidades de las posiciones cortas clasificadas en la banda en cuestión.
4. Se calcula la sensibilidad neta de cada una de las tres (3) zonas definidas en la Tabla 1, como la diferencia entre la suma de las sensibilidades netas positivas y el valor absoluto de la suma de las sensibilidades netas negativas correspondientes a las bandas pertenecientes a dicha zona según lo calculado en el numeral 3 del presente literal.
5. Si las sensibilidades netas de las zonas 1 y 2, calculadas de acuerdo a lo estipulado en el numeral 4 tienen signos contrarios se pueden compensar.
6. Si las sensibilidades netas de las zonas 1 y 2 son del mismo signo, y la sensibilidad neta de la zona 3 es de signo contrario, las sensibilidades netas de las zonas 2 y 3 se pueden compensar
b. Ajustes entre bandas y zonas
Dado que las posiciones al interior de cada banda, entre bandas y entre zonas no son homogéneas, se debe realizar el siguiente ajuste de las sensibilidades calculadas en el literal anterior, con base en los parámetros establecidos en la Tabla 1.
1. El monto compensado al interior de cada banda (equivalente a la menor entre la suma de las sensibilidades de las posiciones largas y la suma de las sensibilidades de las posiciones cortas) es multiplicado por el factor de ajuste vertical indicado en la tabla 1 (â), para obtener el cargo por ajuste de sensibilidades al interior de una banda.
2. El monto compensado entre bandas de la misma zona es multiplicado por el factor de ajuste horizontal correspondiente a cada zona ( ë1, ë2 y ë3 ), para obtener el cargo por ajuste de sensibilidades al interior de una zona.
3. El cargo por ajuste de sensibilidades entre las zonas 1 y 2 se calcula como el producto entre el monto compensado (equivalente al menor valor absoluto de las sensibilidades netas) y el factor de ajuste horizontal ë12.
4. El cargo por ajuste de sensibilidades entre las zonas 2 y 3 se calcula como el producto entre el monto compensado y el factor de ajuste horizontal ë23.
5. El cargo por ajuste descrito en el numeral anterior también debe ser utilizado cuando, habiendo realizado el procedimiento descrito en el numeral 3, la sensibilidad neta no compensada corresponda a la zona 2 (esto ocurre cuando el valor absoluto de la sensibilidad neta de esta zona es superior al valor absoluto de la sensibilidad neta de la zona 1) y tenga signo contrario a la sensibilidad neta de la zona 3.
6. En los casos en que habiendo realizado el ajuste descrito en el numeral 3, la sensibilidad neta no compensada corresponda a la zona 1 (esto ocurre cuando el valor absoluto de la sensibilidad neta de esta zona es superior al valor absoluto de la sensibilidad neta de la zona 2) y tenga signo contrario a la sensibilidad neta de la zona 3, estas se podrán compensar. El cargo por el ajuste de dichas sensibilidades se calcula como el producto entre el monto compensado y el factor de ajuste horizontal ë13.
7. El cargo por ajuste descrito en el numeral anterior también debe aplicarse en los casos en que, habiendo realizado el procedimiento descrito en el numeral 4, la sensibilidad neta no compensada corresponda a la zona 3 (esto ocurre cuando el valor absoluto de la sensibilidad neta de esta zona es superior al valor absoluto de la sensibilidad neta de la zona 2) y tenga signo contrario a la sensibilidad neta de la zona 1.
8. Luego de realizar, según corresponda, los ajustes descritos en los literales anteriores se obtiene la sensibilidad neta del portafolio que agrupa las sensibilidades que no se pudieron compensar.
c. Cálculo del riesgo de tasa de interés para cada escalera de bandas
Teniendo en cuenta los procedimientos descritos, el riesgo de tasa de interés para cada una de las escaleras de bandas corresponde a la sumatoria de:
1. El cargo por ajuste vertical de cada una de las bandas descrito en el literal b.1.
2. El cargo por ajuste al interior de las zonas descrito en el literal b.2.
3. El cargo por ajuste entre las zonas 1 y 2 descrito en el literal b.3.
4. El cargo por ajuste entre las zonas 2 y 3 descrito en los literales b.4 y b.5.
5. El cargo por ajuste entre las zonas 1 y 3 descrito en los literales b.6 y b.7.
6. La posición neta ponderada del portafolio descrita en el literal b.8.
Tabla 1
Bandas, Choques de tasas de interés y factores de ajuste vertical y horizontal.
Riesgo general de tasa de interés

Los factores en la Tabla 1 serán revisados por la SFC y podrán ser modificados cuando los niveles establecidos no reflejen apropiadamente la sensibilidad de las posiciones expuestas al riesgo de tasa de interés.
2.1.2.2 Determinación exposición total
Para el cálculo de la exposición al riesgo de tasa de interés deben sumarse los valores correspondientes al riesgo para cada escalera de bandas, calculados según lo descrito en el subnumeral 2.1.2.1. Adicionalmente deben añadirse cuando correspondan los siguientes cargos asociados a las posiciones en opciones:
a. Para las entidades elegibles para el tratamiento simplificado de opciones descrito en el numeral 2.1.6.1., la exposición resultante de las posiciones en opciones cuyos subyacentes sean tasas de interés o títulos de deuda, o
b. Para las entidades que deban aplicar la metodología intermedia descrita en el numeral 2.1.6.2., los cargos correspondientes a los riesgos Gamma y Vega de dichas opciones.
2.1.3 Riesgo de tasa de cambio
Esta sección muestra la metodología para calcular el requerimiento mínimo de capital necesario para cubrir los riesgos asociados a tomar o mantener posiciones denominadas en monedas extranjeras, tanto en el libro de tesorería como en el bancario.
Para calcular la posición neta en cada moneda deben sumarse las siguientes posiciones:
a. La posición neta de las operaciones spot de la entidad, calculada como la diferencia entre los activos y los pasivos, incluyendo en ambos casos los intereses causados, denominados en la moneda en cuestión.
b. La posición neta de las operaciones forward de la entidad, calculada como la diferencia entre las posiciones largas en forwards, futuros y operaciones a plazo sobre la moneda en cuestión, y las posiciones cortas en dichos instrumentos.
c. La posición neta de las operaciones en derivados de la entidad cuyo subyacente no sea una divisa pero si un título o una tasa de interés denominados en dicha moneda. Para calcular esta posición deberá computarse la diferencia entre las posiciones nocionales largas y las posiciones nocionales cortas determinadas de acuerdo a lo previsto en el numeral 2.1.1.
d. Adicionalmente, cuando corresponda según lo previsto en el numeral 2.1.6., las posiciones delta ponderadas de opciones en monedas.
Una vez obtenida la posición neta de cada moneda, su equivalente en moneda legal se calculará de la siguiente manera:
(i) Para determinar la exposición neta en dólares de los Estados Unidos de Norteamérica, se multiplicará la posición neta en dólares por la Tasa de Cambio Representativa del Mercado (TCRM) calculada en la fecha de la evaluación.
(ii) Para monedas distintas al dólar de los Estados Unidos de Norteamérica, se debe convertir previamente las exposiciones a dólares de los Estados Unidos de Norteamérica con base en las tasas de conversión de divisas publicadas para el día del cálculo en la página Web del Banco Central Europeo (BCE), con seis (6) decimales aproximando el último por el sistema de redondeo (inciso segundo, literal b del numeral 6.1.3 del Capítulo I de la Circular Básica Contable y Financiera).
Para el cálculo de la exposición al riesgo de tasa de cambio, las entidades vigiladas deben calcular la sensibilidad neta en cada moneda como el producto de la posición neta y el factor de sensibilidad correspondiente definido en la Tabla 2. Esta sensibilidad tendrá un valor positivo cuando la posición neta en una moneda sea larga y negativo cuando la posición neta sea corta.
La exposición al riesgo de tasa de cambio se calcula entonces como la suma de los siguientes componentes:
a.) El mayor valor entre la suma de las sensibilidades netas positivas y el valor absoluto de la suma de las sensibilidades netas negativas.
b.) Para las entidades elegibles para la aproximación simplificada de tratamiento de opciones descrita en 2.1.6.1., la exposición resultante de las posiciones en opciones sobre monedas, o
c.) Para las entidades que deban aplicar la metodología intermedia descrita en el numeral 2.1.6.2., los cargos correspondientes a los riesgos Gamma y Vega de dichas opciones.
2.1.4 Riesgo de precio de acciones
Esta sección muestra la metodología para calcular los riesgos asociados a tomar o mantener posiciones en acciones en el libro de tesorería.
Para efectos de lo estipulado en el presente numeral deben tenerse en cuenta:
a. Las inversiones en títulos participativos incluidas en el libro de tesorería.
b. Para el caso de los establecimientos de crédito, en concordancia con lo establecido en el literal b) del artículo 7° del Decreto 1720 de 2001 o demás normas que lo sustituyan, modifiquen o subroguen, las inversiones en títulos participativos de baja o mínima bursatilidad computan por su valor neto de provisiones ajustado por el cincuenta por ciento (50 %) de sus valorizaciones y/o el 100% de sus desvalorizaciones, según corresponda.
c. En el mismo sentido, las inversiones disponibles para la venta en títulos participativos de alta o media bursatilidad, computan por su valor a precios de mercado, ajustado por el cincuenta por ciento (50 %) de las ganancias o pérdidas no realizadas asociadas a tales inversiones.
d. Las inversiones no contempladas en los literales b) y c) computan por su valor de acuerdo a las normas de valoración aplicables según lo dispuesto por las SFC.
e. Las posiciones en derivados cuyo subyacente sean acciones, tales como futuros y forwards sobre acciones individuales o índices de acciones. También deberán contemplarse las operaciones a plazo realizadas en las Bolsas de Valores.
f. Adicionalmente deben ser tenidas en cuenta las posiciones delta ponderadas de las opciones sobre acciones, siempre que la metodología aplicada por las entidades sea la descrita en el numeral 2.1.6.2.
Sin perjuicio de lo anterior, las siguientes inversiones deben excluirse del cálculo de la exposición al riesgo de cambio de precio en acciones:
a. Para el caso de establecimientos de crédito, las inversiones de que tratan los literales d) y e) del artículo 6° del Decreto 1720 de 2001 o demás normas que lo sustituyan, modifiquen o subroguen. Lo anterior porque estas inversiones ya fueron deducidas del patrimonio básico de la entidad.
b. Las inversiones en títulos participativos efectuadas en entidades sometidas a la inspección y vigilancia de la SFC, cuando se trate de entidades con respecto a las cuales haya lugar a consolidación.
c. En el mismo sentido, para el caso de las comisionistas de bolsa, las inversiones de que trata el numeral 1 del Artículo 2.2.1.5. de la Resolución 400 de 1995 expedida por la Sala General de la Superintendencia de Valores o demás normas que lo sustituyan, modifiquen o subroguen no deben tenerse en cuenta para el cálculo del cargo de capital a que hace referencia el presente numeral toda vez que ya han sido deducidas del capital primario de la entidad.
d. Las inversiones constituidas dentro de procesos de reestructuración realizados de acuerdo con la Ley 550 de 1999 o demás normas que lo sustituyan, modifiquen o subroguen. Así mismo, no deben considerarse las acciones recibidas como dación en pago mientras permanezcan clasificadas como tales.
2.1.4.1 Cálculo del riesgo de precio de acciones
El cálculo de riesgo de precio de acciones busca capturar el riesgo asociado a movimientos adversos en el mercado accionario y corresponde a la suma de las posiciones netas ponderadas en cada acción. Con el fin de tener en cuenta las distintas sensibilidades de los precios de acciones particulares a movimientos en el índice del mercado, la posición neta ponderada de cada acción corresponde al producto de dos (2) componentes:
a. La posición neta en cada acción.
b. El factor de sensibilidad al riesgo general de acciones definido en la Tabla 2, que refleja la volatilidad del Índice General de la Bolsa de Valores de Colombia (IGBC).
Para calcular la exposición al riesgo de precio de acciones de un mercado accionario en particular, se deben sumar los valores absolutos de las posiciones netas ponderadas en acciones del respectivo mercado.
Para los casos en que la entidad tenga posiciones en más de un mercado accionario, el componente de riesgo general debe ser calculado separadamente para cada mercado. Para mercados de acciones distintos a la Bolsa de Valores de Colombia S.A., el factor de riesgo aplicable debe ser calculado por la entidad como el percentil uno (1) de las variaciones observadas, para un horizonte de tenencia de diez (10) días hábiles, en el índice representativo de dicho mercado. Para esta estimación la entidad debe utilizar un periodo correspondiente a los últimos cinco (5) años de historia, y deberá ser actualizado de forma que la última observación utilizada en el cálculo se encuentre en los tres (3) meses anteriores a la fecha del cálculo de la exposición a los riesgos de mercado a que hace referencia el presente numeral.
Para efectos del presente numeral debe entenderse por mercado accionario aquél sistema de negociación de valores en el cual se negocien acciones, bien sea este nacional o extranjero.
2.1.4.2 Determinación exposición total
Para el cálculo de la exposición al riesgo de precio de acciones deben sumarse los valores correspondientes al riesgo para cada mercado de acciones en que participe la entidad de acuerdo a lo estipulado en el subnumeral 2.1.4.1. Adicionalmente deben añadirse, cuando correspondan, los siguientes cargos correspondientes a las posiciones en opciones:
a. Para las entidades elegibles para la aproximación simplificada de tratamiento de opciones descrita en 2.1.6.1., la exposición resultante de las posiciones en opciones sobre acciones, o
b. Para las entidades que deban aplicar la metodología intermedia descrita en el numeral 2.1.6.2., los cargos correspondientes a los riesgos Gamma y Vega de dichas opciones.
Tabla 2
Factores de Sensibilidad para el Cálculo de Riesgos de Tasa de Cambio y de Precio de Acciones
| Moneda | Factor de Sensibilidad |
| Dólar de Estados Unidos de Norteamérica | 4,4% |
| Euro | 6% |
| Otras monedas y oro | 8% |
| Riesgo general precio de acciones | 14,7% |
Los factores consignados en la Tabla 2 serán revisados por la SFC y podrán ser modificados si ésta considera que los niveles establecidos no reflejan apropiadamente la sensibilidad de las posiciones expuestas a los riesgos allí contemplados.
2.1.5 Riesgo en inversiones realizadas en carteras colectivas.
Para las inversiones en carteras colectivas, es decir, para fondos comunes de inversión, fondos de valores y fondos de inversión la exposición a riesgos de mercado de las entidades es calculada como el producto entre el factor de riesgo aplicable a dicho fondo y la posición invertida en él. El factor de riesgo aplicable corresponde a:
a. Cuando la sociedad administradora de la cartera colectiva reporte a la entidad adherente o suscriptora la composición del portafolio de inversión de la misma, la exposición a riesgos de mercado deberá ser calculada por la entidad adherente de acuerdo a las disposiciones impartidas en el numeral 2.1 del presente capítulo.
El factor de riesgo de la cartera colectiva corresponderá a la razón entre esta exposición y el valor del portafolio en la correspondiente fecha de cálculo. Sin perjuicio de lo anterior, este factor de riesgo puede ser utilizado para el cálculo de la exposición a riesgos de mercado de la entidad adherente o suscriptora por un periodo de hasta treinta días, contados a partir de la última fecha de cálculo;
b. Cuando la sociedad administradora de la cartera colectiva reporte a la entidad adherente o suscriptora la exposición a riesgos de mercado de la cartera colectiva, calculada de acuerdo a las disposiciones impartidas en el numeral 2.1 del presente capítulo, el factor de riesgo de dicha cartera colectiva corresponderá a la razón entre esta exposición y el valor del portafolio a la respectiva fecha de cálculo. Sin perjuicio de lo anterior, este factor de riesgo puede ser utilizado para el cálculo de la exposición a riesgos de mercado de la entidad adherente o suscriptora por un periodo de hasta treinta (30) días, contados a partir de la última fecha de cálculo; y
c. En los demás casos, el factor de riesgo aplicable es igual a un catorce punto siete por ciento (14.7%), equivalente al cargo asociado a las posiciones más riesgosas contempladas en el modelo estándar (acciones).
2.1.6 Tratamiento de las posiciones en opciones
Las entidades vigiladas deben seguir una de las dos (2) aproximaciones que se describen a continuación para incorporar sus posiciones en opciones en el cálculo de los requerimientos de capital por riesgos de mercado.
Para los casos en que la entidad tenga registradas solamente posiciones largas en opciones, puede utilizar la aproximación simplificada descrita en el numeral 2.1.6.1. Aquellas entidades que posean posiciones cortas en opciones deben utilizar la aproximación intermedia descrita en el numeral 2.1.6.2.
2.1.6.1 Aproximación simplificada
En la aproximación simplificada, la exposición a los riesgos de mercado corresponde a la suma de las exposiciones individuales calculadas como el menor valor entre:
a. El producto entre el valor razonable (“fair value”) del instrumento subyacente y el factor de sensibilidad relevante (Tablas 1 y 2 )
b. El valor de mercado de la opción, de acuerdo con la metodología especificada en el Capítulo XVIII.
El resultado del cálculo anterior debe ser sumado al módulo correspondiente (2.1.2 a 2.1.5).
2.1.6.2 Aproximación intermedia
En la aproximación intermedia el cargo de capital asociado a las posiciones en opciones es calculado a partir de los factores de sensibilidad (“Griegas”) delta, gamma y vega de acuerdo a lo estipulado en los siguientes incisos:
a. Posición delta ponderada.
Bajo está aproximación la posición delta ponderada de las opciones está sujeta a los requerimientos de capital descritos en los numerales 2.1.2. a 2.1.5. dependiendo de los cargos aplicables al subyacente de la opción.
b. Riesgo Gamma
Para cada opción, un impacto gamma deberá ser calculado como:

Donde:
VS Variación del Valor del Subyacente
Gamma Cambio del factor delta ante un cambio de una unidad en el valor del subyacente.
La variación en el valor del subyacente corresponde al factor de sensibilidad de la banda correspondiente en la Tabla 1 cuando el subyacente sea un título de deuda o una tasa de interés. Para las opciones en acciones, la variación en el valor del subyacente es el factor de ponderación correspondiente según lo estipulado en 2.1.4. Para las posiciones en moneda extranjera o divisas, el cambio en el valor del subyacente es el estipulado en la Tabla 2 según corresponda.
Posteriormente, las posiciones en opciones se agruparán según el instrumento subyacente, como se explica a continuación:
1.) Por banda en las escaleras de duración modificada en el caso de opciones con subyacentes expuestos a riesgo de tasa de interés.
2.) Por mercado nacional en el caso de opciones con subyacentes expuestos a riesgo de cambios en el precio de acciones.
3.) Por moneda en el caso de opciones con subyacentes expuestos a riesgo de tasa de cambio.
Para cada grupo se calcula un impacto gamma neto, como la suma de los impactos gamma de todas las posiciones en la agrupación. Para el cálculo de los requerimientos de capital solamente se tienen en cuenta, en valor absoluto, los impactos gamma netos negativos.
c. Riesgo Vega
El riesgo vega refleja la sensibilidad del valor de las posiciones en opciones con respecto a cambios en la volatilidad del valor del instrumento subyacente. El cargo de capital correspondiente a este tipo de riesgo es calculado como la suma de los impactos vega de cada opción.
Estos impactos se calculan aplicando a la volatilidad del valor subyacente asociado un cambio de 25% positivo o negativo según sea la posición (corta o larga), sobre el factor vega correspondiente.
El factor vega correspondiente mide el cambio del valor de la opción ante un cambio unitario en la volatilidad del valor del instrumento subyacente.
Para el cálculo de los factores de sensibilidad delta, gamma y vega, así como de las volatilidades de los subyacentes que se utilicen en el cálculo del riesgo vega, las instituciones financieras deben aplicar metodologías concordantes con los modelos para la valoración de dichos instrumentos, de acuerdo a lo estipulado en el Capítulo XVIII de la presente circular.
2.1.7 Cálculo exposición total a los riesgos de mercado con el modelo estándar.
Con el fin de calcular la exposición total a los riesgos de mercado, las entidades a que hace referencia el presente numeral deben sumar las exposiciones obtenidas para cada uno de los módulos de la metodología estandarizada, de acuerdo a lo descrito en los subnumerales 2.1.2. a 2.1.5.
El monto obtenido siguiendo este procedimiento, corresponde a los riesgos de mercado aplicables al cálculo de la relación de solvencia de los establecimientos de crédito de acuerdo a lo estipulado en el Artículo 2º del decreto 1720 de 2001 o demás normas que lo sustituyan, modifiquen o subroguen. De forma análoga, el valor obtenido computa en la relación de solvencia de las sociedades comisionistas de bolsa de valores de acuerdo a lo estipulado en el artículo 2.2.1.2 de la Resolución 400 de 1995 de la Sala General de la Superintendencia de Valores o demás normas que lo sustituyan, modifiquen o subroguen.
2.2 Reglas relativas a la medición de riesgos de mercado a través de modelos internos para establecimientos de crédito, las instituciones oficiales especiales, los organismos cooperativos de grado superior y las sociedades comisionistas de bolsa de valores.
Los establecimientos de crédito, las instituciones oficiales especiales, los organismos cooperativos de grado superior y las sociedades comisionistas de bolsa de valores quienes de acuerdo con lo señalado en el presente capítulo puedan adoptar modelos internos para la medición de los riesgos de mercado, deben tener en cuenta en su diseño los parámetros mínimos establecidos en el presente numeral y someterlos a revisión previa de la SFC, de acuerdo con lo establecido en el numeral 5.2.2.2. del presente capítulo.
En todo caso, hasta tanto no cuenten con modelos internos no objetados por la SFC, tales entidades deben utilizar el modelo estándar para la medición de sus exposiciones a los riesgos de mercado.
Sin perjuicio de lo anterior, todas las entidades a que se refiere este numeral deben estar en capacidad de reportar el valor que resultaría de calcular la exposición a riesgos de mercado utilizando la metodología estandarizada.
Reglas relativas a la medición de riesgos de mercado aplicables a las sociedades fiduciarias, sociedades administradoras de fondos de pensiones y cesantía, entidades aseguradoras, sociedades de capitalización y fondos administrados por sociedades comisionistas de bolsa.
1. CONSIDERACIONES GENERALES
Las sociedades fiduciarias, sociedades administradoras de fondos de pensiones y de cesantía, entidades aseguradoras y sociedades de capitalización, así como los fondos y fideicomisos que éstas administren, deben medir el riesgo de mercado respecto de los fondos y/o que les aplique conforme a la lista establecida en el numeral 5.2.1. del Capítulo XXI de la Circular 100 de 1995, únicamente respecto del valor en riesgo correspondiente al activo de su libro de tesorería, utilizando para ello, el modelo estándar establecido en el presente Anexo.
Las sociedades comisionistas de bolsa de valores, deberán utilizar el modelo presentado en el presente Anexo para medir de forma independiente la exposición a riesgos de mercado para las posiciones de cada uno de los portafolios administrados.
Para tal efecto, se debe seguir un modelo de factores de riesgo, correlacionado, calculando la exposición por cada factor de acuerdo a los subnumerales siguientes:
1.1. Tratamiento de las posiciones en derivados y otras operaciones
El presente numeral aplicará para aquellas entidades, carteras colectivas o portafolios, que por su régimen de inversiones puedan realizar este tipo de operaciones. Las posiciones en instrumentos derivados y en operaciones de repo o reporto, en operaciones simultáneas y en operaciones de transferencia temporal de valores serán tenidas en cuenta para el cálculo de la exposición al riesgo de mercado de acuerdo a las condiciones señaladas a continuación.
1.1.1. Posiciones en derivados
Para su inclusión en el cálculo de la exposición a riesgos de mercado del presente numeral, los instrumentos derivados deberán ser convertidos en posiciones de los instrumentos subyacentes correspondientes. Los montos reportados corresponderán al valor de mercado de las posiciones nocionales reportadas. A continuación se presentan instrucciones referentes al tratamiento de algunos instrumentos específicos.
a. Futuros y Forwards sobre tasa de interés
Estos instrumentos deberán ser tratados como dos (2) posiciones nocionales en bonos cero cupón.
Cuando la entidad vigilada vende un futuro sobre una tasa de interés o compra un forward sobre tasa de interés, es decir, que se compromete a pagar una tasa de interés durante un periodo de tiempo en el futuro, esta posición se descompone en:
1. Una posición nocional corta en un bono cero cupón con madurez residual igual al tiempo que resta hasta el inicio del contrato más el periodo efectivo de pago de la tasa de interés.
2. Una posición nocional larga en un bono cero cupón con madurez residual igual al tiempo que resta hasta el inicio del contrato.
Para el caso contrario (la entidad compra un futuro o vende un FRA), la primera posición nocional descrita es larga y la segunda corta.
b. Futuros, Forwards y Operaciones a Plazo sobre títulos de deuda.
Estos instrumentos deberán ser tratados como dos (2) posiciones nocionales, una en el título subyacente y otra en un bono cero cupón. Cuando la entidad tenga una posición larga en las operaciones de que trata el presente literal (es decir que se compromete a comprar un título a un precio previamente establecido en un punto de tiempo en el futuro), esta posición se descompone en:
1. Una posición nocional larga en el título subyacente.
2. Una posición nocional corta en un bono cero cupón con madurez residual igual al tiempo que resta para el cumplimiento del contrato (el valor nominal de está posición corresponde al precio pactado).
Para el caso contrario (posición corta en el futuro, el forward o la operación a plazo), la primera posición nocional descrita es corta y la segunda larga.
Cuando el título subyacente de la operación esté denominado en una moneda distinta a la legal, la primera posición nocional descrita deberá ser tenida en cuenta para calcular la exposición al riesgo de tasa de cambio.
c. Futuros, Forwards y Operaciones a Plazo sobre divisas.
Estos instrumentos deberán ser tratados como dos (2) posiciones nocionales en bonos cero cupón en las monedas aplicables.
1. Una posición nocional larga en un bono cero cupón, denominado en la moneda comprada y con una madurez residual igual al tiempo que resta para el cumplimiento del contrato.
2. Una posición nocional corta en un bono cero cupón, denominado en la moneda vendida y con una madurez residual igual al tiempo que resta para el cumplimiento del contrato.
Estas posiciones deberán ser tenidas en cuenta para calcular la exposición al riesgo de tasa de cambio.
d. Swaps de tasas de interés.
Estos instrumentos deberán ser tratados como dos posiciones nocionales en bonos subyacentes en las tasas de interés respectivas. En este sentido la posición se descompone en:
1. Una posición nocional larga en un título pactado a la tasa de interés que recibe la entidad.
2. Una posición nocional corta en un título pactado a la tasa de interés que la entidad paga.
Cuando la tasa de interés del instrumento subyacente sea fija, la madurez residual correspondiente será igual a la duración del contrato. Para los casos en que la tasa de interés sea variable, la duración del flujo se calculará de acuerdo a lo estipulado en el numeral 2.1.2.1 del Anexo 1 del presente capítulo.
En el caso de swaps que involucren posiciones en distintas monedas (cross currency swaps) cada una de las posiciones deberá ser tenida en cuenta para calcular la exposición al riesgo de tasa de cambio.
e. Futuros, Forwards y Operaciones a Plazo sobre acciones (o índices de acciones).
Estas operaciones deben descomponerse en dos (2) posiciones nocionales, una correspondiente a la acción (o índice de acciones) subyacente y otra correspondiente a un bono cero cupón con madurez residual igual al tiempo remanente para el cumplimiento del contrato.
Cuando la entidad tenga una posición larga en las operaciones señaladas en el presente literal (es decir que se compromete a comprar una acción o índice de acciones a un precio previamente establecido en un punto de tiempo en el futuro), esta posición se descompone en:
1. Una posición nocional larga en el título subyacente.
2. Una posición nocional corta en un bono cero cupón con madurez residual igual al tiempo que resta para el cumplimiento del contrato (el valor nominal de esta posición corresponde al precio pactado).
Para el caso contrario (posición corta en el futuro, el forward o la operación a plazo), la primera posición nocional descrita es corta y la segunda larga.
Sólo la posición en el bono cero cupón computará en el cálculo de riesgo de tasa de interés. La posición en acciones estará sujeta al factor de riesgo de precio de acciones.
f. Operaciones Carrusel
En términos financieros, un carrusel consiste en una secuencia de operaciones de compra y venta de un título a futuro. Por lo anterior, para efectos de la exposición a riesgos de mercado de que trata el presente capítulo, estas operaciones deberán ser tratadas como una serie de operaciones de compra y venta a futuro del título subyacente. Cada una de estas operaciones deberá ser tratada de acuerdo a lo estipulado en el literal b del presente numeral.
g. Opciones.
El tratamiento de estas operaciones será descrito en la sección 1.7.
Para valorar aquellas posiciones nocionales asimiladas a bonos cero cupón, se deberán seguir las siguientes indicaciones:
(i) Cuando la posición se encuentre en moneda legal, se deberá utilizar la curva cero cupón para títulos TES tasa fija en pesos (CEC en pesos);
(ii) Cuando la posición se encuentre denominada en UVR se deberá utilizar la curva cero cupón para títulos TES en UVR (CEC en UVR); y
(iii) Para el caso de posiciones denominadas en moneda extranjera, la tasa de descuento aplicable es la tasa “London Interbank Offer Rate” (LIBOR).
h. Notas estructuradas
El riesgo de mercado de las notas estructuradas que puedan descomponerse en instrumentos de renta fija o variable e instrumentos derivados deberá calcularse para cada uno de sus componentes.
Cuando se trate de notas estructuradas que, de acuerdo con su valoración, no puedan descomponerse, el riesgo de mercado deberá calcularse teniendo en cuenta:(i) el módulo de tasa de interés, de acuerdo con las reglas contenidas en el numeral 1.2 de este anexo, cuando se trate de instrumentos de renta fija. (ii) el factor de riesgo de precio de acciones o índice accionario, de acuerdo con las reglas contenidas en el numeral 1.4 del presente anexo, para el caso de instrumentos de renta variable.
Cuando se trate de notas estructuradas que, de acuerdo con su valoración, no puedan descomponerse y se asemejen en su comportamiento y estructura a una opción, el riesgo de mercado deberá calcularse de acuerdo con las reglas contenidas en el numeral 1.7 del presente instructivo.
1.1.2. Operaciones de reporto o repo, operaciones simultáneas y operaciones de transferencia temporal de valores
Las operaciones a que hace referencia el presente subnumeral generan un intercambio de valores y de dinero entre las partes, con el compromiso de reversarlo al final de la operación.
En las operaciones de reporto o repo (repo) y simultáneas, el “Enajenante” le entrega valores al ”Adquirente”, y al hacerlo le transfiere la propiedad de éstos. A cambio, el ”Adquirente” le entrega dinero al ”Enajenante”. De manera análoga, en las operaciones de transferencia temporal de valores el ”Originador” le entrega valores al “Receptor” y, al hacerlo, le transfiere la propiedad de éstos. A cambio, el ”Receptor” le entrega dinero o valores al “Originador”, en cuyo caso también se transfiere la propiedad.
Dado que en las tres (3) operaciones mencionadas la vocación del valor es regresar a manos del “Enajenante”, del “Originador” o del “Receptor”, según sea el caso, la realidad financiera de la operación exige que el riesgo siga en el balance de las entidades que entregaron los valores al principio de las mismas.
Teniendo en cuenta lo anterior, para efectos del cálculo de la exposición a los riesgos de mercado las posiciones en las operaciones de que trata el presente numeral deben ser tenidas en cuenta de acuerdo a las siguientes instrucciones:
a. Los valores entregados en desarrollo de las tres (3) operaciones mencionadas deben ser tenidos en cuenta para efectos del cálculo de los riesgos de mercado del agente que los entregó al principio de la operación. Se exceptúan los valores obtenidos previamente a través de cualquiera de las operaciones mencionadas.
b. En los casos en los que una entidad actuando como adquirente en una operación repo o en una operación simultánea venda de manera definitiva a través de operaciones de contado los valores objeto de la operación, la posición corta resultante deberá ser tenida en cuenta para efectos de los cálculos de la exposición a riesgos de mercado de que trata el presente capítulo.
c. Igual tratamiento recibirán las posiciones cortas resultantes en los casos en los cuales cualquiera de las partes involucradas en una transferencia temporal de valores venda de manera definitiva a través de operaciones de contado los valores que recibió en desarrollo de la mencionada operación.
1.2. Evaluación del riesgo de tasa de interés
La medición del riesgo de interés por mantener posiciones en títulos o valores de renta fija se calculará de acuerdo a lo expuesto en el presente numeral.
1.2.1. Factores de Riesgo de tasa de interés
a. Las posiciones en títulos o valores de tasa fija en pesos, así como los títulos o valores emitidos en el exterior con calificación por debajo del nivel de inversión, estarán sujetas a los factores de riesgo, Componente principal 1, Componente principal 2 y Componente principal 3, asociados a la Curva Cero Cupón Pesos (factores de riesgo 1, 2 y 3 respectivamente, según tabla 5).
b. Las posiciones en títulos o valores indexadas al UVR, estarán sujetas a los factores de riesgo, Componente principal 1, Componente principal 2 y Componente principal 3, asociados a la Curva Cero Cupón UVR (factores de riesgo 4, 5 y 6 respectivamente, según tabla 5).
c. Las posiciones en títulos o valores emitidos en el exterior, con calificación grado de inversión, estarán sujetas a los factores de riesgo, Componente principal 1, Componente principal 2 y Componente principal 3, asociados a la Curva Cero Cupón Tesoros (factores de riesgo 7, 8 y 9 respectivamente, según tabla 5).
d. Las posiciones en títulos o valores indexados al DTF y con un plazo al vencimiento menor o igual a un año, estarán sujetas al factor de riesgo de corto plazo asociado a las tasas DTF (factor de riesgo número 10, según tabla 5).
e. Las posiciones en títulos o valores indexados al DTF y con un plazo al vencimiento mayor a un año, estarán sujetas al factor de riesgo de largo plazo asociado a las tasas DTF (factor de riesgo número 11, según tabla 5).
f. Las posiciones en títulos o valores indexados al IPC estarán sujetas al factor de riesgo IPC (factor de riesgo número 12, según tabla 5).
1.2.2. Cálculo de la exposición neta, mapeo de posiciones y cálculo de la sensibilidad al riesgo
Para efectos del cálculo de la sensibilidad al riesgo de tasa de interés, se menciona a continuación el proceso según el cual como primer paso se deben mapear las posiciones tanto largas como cortas del portafolio, luego calcular el valor de la exposición neta, para finalmente realizar el cálculo de la sensibilidad al riesgo.
1.2.2.1. Mapeo de posiciones
1.2.2.1.1. Mapeo de posiciones tasa fija en pesos, UVR y emisiones del exterior.
Los flujos de este tipo de títulos o valores se mapearán con base en los días al vencimiento de los flujos del título, como lo muestra la Tabla 4.
Tabla 4
| RANGOS días vencimiento | Asignación | ||
| Desde | Hasta | nodo | Días al vencimiento |
| 0 | 180 | 1 | 180 |
| 181 | 545 | 2 | 365 |
| 546 | 910 | 3 | 730 |
| 911 | 1275 | 4 | 1095 |
| 1276 | 1640 | 5 | 1460 |
| 1641 | 2190 | 6 | 1825 |
| 2191 | 2920 | 7 | 2555 |
| 2921 | 3650 | 8 | 3285 |
| 3651 | - | 9 | 5475 |
<Incisos modificado por la Circular 15 de 2008. El nuevo texto es el siguiente:> Por ejemplo, para un flujo que se encuentra entre 0 y 180 días al vencimiento, el nodo asignado será el nodo uno (1) (180 días al vencimiento), mientras que para un flujo con 890 días al vencimiento, el nodo asociado al mismo, será el tres (3) (730 días al vencimiento). Esta asignación de nodos será la que permita calcular la exposición total de cada título.
Posterior a la asignación de nodo para cada flujo del título o valor, se debe calcular el valor presente del mismo, utilizado como tasa de descuento, la tasa cero cupón del flujo y el margen correspondiente. Para estos efectos debe utilizarse la metodología para cálculo de la tasa cero cupón descrita en los documentos técnicos de la Bolsa de Valores de Colombia. En el caso de la curva de tesoros de los Estados Unidos, cuando los días al vencimiento del flujo no estén contemplados dentro de los nodos publicados por bloomberg (Curva Cero Cupón on the run) la entidad debe encontrar una aproximación a dicha tasa a través de interpolaciones de las tasas publicadas.
Calculado el valor presente del flujo del título o valor, éste debe multiplicarse por la duración modificada del flujo calculada como el tiempo anual al vencimiento descontado por la correspondiente tasa cero cupón del vencimiento del flujo. Por último, se deben sumar los flujos correspondientes a cada nodo asignado, con el fin de hallar la exposición total de cada nodo.

Donde:
Exposición del titulo o valor k en el nodo i, i = 1,...,9
VPFn Valor presente del flujo n
DMn Duración modificada del flujo n
1.2.2.1.2. Mapeo de posiciones indexadas al DTF e IPC.
<Numeral modificado por la Circular 15 de 2008. El nuevo texto es el siguiente:>
Las pociones indexadas al DTF e IPC se mapearán de forma completa, ponderadas por la duración modificada de cada título o valor.
![]()
Exposición al factor i, i = DTF, IPC
VPn Valor Presente del titulo o valor n
DMn Duración modificada del título o valor
1.2.2.2. Cálculo de la exposición neta
1.2.2.2.1 Cálculo de la exposición neta a riesgo de tasa de interés.
a. La posición neta de las operaciones spot de la entidad, calculada como la diferencia entre las posiciones largas y cortas de los flujos de los títulos o valores de renta fija.
b. La posición neta de las operaciones forward de la entidad, calculada como la diferencia entre las posiciones largas en forwards, futuros y operaciones a plazo que tengan como subyacente tasas de interés, y las posiciones cortas en dichos instrumentos.
c. La posición neta de las operaciones en derivados de la entidad, cuyo subyacente sean tasas de interés.
d. Adicionalmente, cuando corresponda según lo previsto en el numeral 1.7., las posiciones delta ponderadas de opciones en tasas de interés.
1.2.2.3. Cálculo de la sensibilidad al riesgo.
1.2.2.3.1. Cálculo de la sensibilidad al riesgo de posiciones tasa fija, UVR y emisiones del exterior.
Con el fin de calcular la sensibilidad al riesgo por cada factor de riesgo relacionado con cada una de las posiciones netas se debe hacer la suma aritmética de las exposiciones netas de cada nodo ponderadas por la matriz de choques que suministrará la Superintendencia Financiera de Colombia según lo dispuesto en el numeral 1.8 del presente instructivo.
Donde:
VeR icr: Valor en riesgo para el componente i de la curva de referencia específica, con i = 1, 2, 3.
Choquein: Choque del componente i para el nodo n, con n= 1,…,9
Exposiciónn : sumatoria total (exposición neta) de los flujos ubicados en el nodo n
1.2.2.3.2. Cálculo de la sensibilidad al riesgo de posiciones indexadas al DTF e IPC.
(11)
VeRi Valor en riesgo individual por exposición a tasa de interés del factor i, con i = DTF, IPC.
EFi Exposición al factor i, i = DTF, IPC.
ói Volatilidad asociada al factor de riesgo i.
1.3. Evaluación del riesgo de tasa de cambio
El presente apartado muestra la metodología para medir la exposición al riesgo de mercado asociado a tomar o mantener posiciones denominadas en monedas extranjeras. Para calcular esta exposición, se deben tener en cuenta lo contenido en el presente numeral.
1.3.1. Factores de riesgo de Tasa de Cambio
Las posiciones en moneda extranjera estarán sujetas a uno de los factores de riesgo mencionados a continuación. Para estos efectos el valor de la posición que se tiene en la moneda original, deberá convertirse a dólares de los Estados Unidos de América o a Euros según sea el caso, con el fin de encontrar la exposición neta al respectivo factor de riesgo, tal como es expone en el numeral 1.3.2 del presente capítulo.
Para efectos de convertir los saldos originales a dólares de los Estados Unidos de América o a Euros deberán ser tenidas en cuenta las tasas de conversión de divisas publicadas para el día del cálculo en la página Web del Banco Central Europeo (BCE), con seis (6) decimales aproximando el último por el sistema de redondeo (inciso segundo, literal b del numeral 6.1.3 del Capítulo I de la Circular Básica Contable y Financiera.
a. Posiciones en moneda extranjera atadas al factor de riesgo de Tasa de cambio Representativa del Mercado.
Las posiciones en moneda extranjera de países pertenecientes a los continentes que se listan a continuación deberán estarán atadas al factor de riesgo de tasa de cambio de dólares (dólares de los Estados Unidos de América) - Tasa Representativa de Mercado -.
1. América.
2. Oceanía.
3. Asia.
b. Posiciones en moneda extranjera atadas al factor de tasa de de cambio euro / pesos.
Las posiciones en moneda extranjera de países pertenecientes a los continentes que se listan a continuación deberán estarán atadas al factor de riesgo de tasa de cambio de euro / pesos.
1. Europa.
2. África.
1.3.2 Cálculo de la exposición neta y sensibilidad al riesgo
Con el fin de evaluar la exposición neta para cada factor de riesgo, se deben expresar las posiciones totales en términos de Dólares o Euros según sea el caso. Dado lo anterior la exposición neta se calculará de la siguiente manera:
a. La posición neta de las operaciones spot de la entidad, calculada como la diferencia entre las posiciones largas y cortas, incluyendo en ambos casos los intereses causados, denominados en la moneda en cuestión.
b. La posición neta de las operaciones forward de la entidad, calculada como la diferencia entre las posiciones largas en forwards, futuros y operaciones a plazo sobre la moneda en cuestión, y las posiciones cortas en dichos instrumentos.
c. La posición neta de las operaciones en derivados de la entidad cuyo subyacente no sea una divisa pero si un título o una tasa de interés denominados en dicha moneda. Para calcular esta posición deberá computarse la diferencia entre las posiciones nocionales largas y las posiciones nocionales cortas determinadas de acuerdo a lo previsto en el numeral 1.1.
d. Adicionalmente, cuando corresponda según lo previsto en el numeral 1.7., las posiciones delta ponderadas de opciones en monedas.
Una vez obtenida la posición neta de cada moneda, su equivalente en moneda legal se calculará de acuerdo a la TRM vigente para el día de cálculo. Para el caso de las posiciones en euros, deberán expresarse en dólares y adicionalmente utilizar la TRM vigente para el día de cálculo.
Entonces el valor en riesgo para estos factores de riesgo se calculara de la siguiente forma:

Donde:
VeRi: Valor en riesgo por variación en el factor de riesgo i, i = (dólar, euro).
ENi: valor absoluto de la exposición neta de posiciones atadas al factor de riesgo i.
ói: Volatilidad asociada al factor de riesgo i.
1.4. Evaluación del riesgo del precio de acciones o índices accionarios
La exposición al riesgo de mercado como consecuencia de la variación en el nivel de precios de las acciones, deberá calcularse de acuerdo a lo establecido en el presente numeral.
1.4.1 Factores de riesgo asociados a precios de acciones o índices accionarios
a. La exposición neta que una entidad tenga en acciones emitidas en Colombia, índices de acciones nacionales estarán asociadas al factor de riesgo de renta variable IGBC.
b. La exposición neta que una entidad tenga en índices de acciones internacionales y acciones emitidas en países del exterior estarán asociadas al factor de riesgo de renta variable World Index.
1.4.2 Cálculo de la exposición neta y sensibilidad al riesgo
La exposición neta en acciones o índices de acciones, deberán calcularse de la siguiente forma:
a. La posición neta de las operaciones spot de la entidad, calculada como la diferencia entre las posiciones largas y cortas en acciones o índices de acciones.
b. La posición neta de las operaciones forward de la entidad, calculada como la diferencia entre las posiciones largas en forwards, futuros y operaciones a plazo sobre el subyacente (acción o índice de acciones), y las posiciones cortas en dichos instrumentos.
c. La posición neta de las operaciones en derivados de la entidad, cuyo subyacente sean acciones o índices de acciones.
d. Adicionalmente, cuando corresponda según lo previsto en el numeral 1.7., las posiciones delta ponderadas de opciones en acciones
Entonces el valor en riesgo para estos factores de riesgo se calculara de la siguiente forma:

Donde:
VeRi: Valor en riesgo por variación en el factor de riesgo i, i = (literales a y b, del numeral 1.3.1).
ENi: valor absoluto de la exposición neta de posiciones atadas al factor de riesgo i.
ói: Volatilidad asociada al factor de riesgo i.
1.5. Evaluación del riesgo de mercado por inversiones en Carteras Colectivas
Aquellas entidades que por su régimen de inversiones puedan tener participaciones en carteras colectivas, deberán medir la exposición al riesgo de mercado por estas participaciones de acuerdo a lo señalado en el presente numeral.
1.5.1. Factores de riesgo asociados a las inversiones en carteras colectivas
a. Las entidades que tengan inversiones en carteras colectivas, cuyo reglamento estipule que al menos el 60% de su portafolio puede constituirse por acciones o índices accionarios, estarán sujetos al factor de riesgo de precios de acciones señalado en el literal a del numeral 1.4.1.
b. Las entidades que tengan inversiones en carteras colectivas diferentes a las señaladas en el presente numeral, estarán atadas al factor de riesgo de carteras colectivas.
1.5.2. Cálculo de la exposición neta y sensibilidad al riesgo
La exposición neta en participaciones en carteras colectivas, deberán calcularse de la siguiente forma:
a. La posición neta de las operaciones spot de la entidad, calculada como la diferencia entre las posiciones largas y cortas de participaciones en carteras colectivas.
b. La posición neta de las operaciones forward de la entidad, calculada como la diferencia entre las posiciones largas en forwards, futuros y operaciones a plazo sobre el subyacente (participación en carteras colectivas), y las posiciones cortas en dichos instrumentos.
c. La posición neta de las operaciones en derivados de la entidad, cuyo subyacente sean participaciones en carteras colectivas.
d. Adicionalmente, cuando corresponda según lo previsto en el numeral 1.7., las posiciones delta ponderadas de opciones sobre participaciones en carteras colectivas.
Entonces el valor en riesgo para estos factores de riesgo se calculara de la siguiente forma:
![]()
Donde:
VeRi: Valor en riesgo por variación en el factor de riesgo i, i = (literales a y b, del numeral 1.4.1).
ENi: valor absoluto de la exposición neta de posiciones atadas al factor de riesgo i.
ói: Volatilidad asociada al factor de riesgo i.
1.6 Agregación de los valores en riesgo
El modelo establecido por la SFC para la medición del riesgo de mercado es un modelo de factores. En este tipo de modelos, en el caso en que el comportamiento de cada factor de riesgo no dependa del comportamiento de los demás factores de riesgo (cero correlación), los valores en riesgo elevados al cuadrado para cada factor se pueden sumar aritméticamente, y por lo tanto, el valor en riesgo corresponderá a la raíz cuadrada de esta suma. En caso contrario, y específicamente en este modelo, es necesario agregar los valores en riesgo de cada factor a través de la metodología que se describe en el presente numeral. Para este efecto la Tabla 5 resume los diferentes factores de riesgo.
El método de agregación consiste en sumar los Valores en Riesgo originados por cada uno de los factores de riesgo teniendo en cuenta la correlación que existe entre estos. Para ello, a continuación se explica el procedimiento a seguir para la agregación del VeR de cada factor de riesgo, la obtención de las correlaciones entre los factores de riesgo y la suma de los valores en riesgo teniendo en cuenta dichas correlaciones.
En general, el método de agregación se puede resumir en dos (2) pasos:
i. Suma aritmética de los VeR que se originen por un mismo factor de riesgo.
ii. Agregación de los VeR de diferentes factores de riesgo haciendo uso de la matriz de correlaciones.
Tabla 5
| Riesgo | Factor | |
| Tasa de Interés | Curva Cero Cupón Pesos | 1. Componente Principal 1 |
| 2. Componente Principal 2 | ||
| 3. Componente Principal 3 | ||
| Curva Cero Cupón UVR | 4. Componente Principal 1 | |
| 5. Componente Principal 2 | ||
| 6. Componente Principal 3 | ||
| Curva Cero cupón Tesoros | 7. Componente Principal 1 | |
| 8. Componente Principal 2 | ||
| 9. Componente Principal 3 | ||
| DTF | 10. Corto Plazo | |
| 11.Largo Plazo | ||
| 12. IPC | ||
| Tasa de Cambio | 13. TRM | |
| 14. Euro / Pesos | ||
| Precio de Acciones | 15. IGBC | |
| 16. World INDEX | ||
| Participación en Carteras colectivas | 17. Carteras colectivas | |
* Los componentes principales 1, 2 y 3 describen los choques de tasa paralelo, de pendiente y convexidad respectivamente y se comportan como factores de riesgo independientes.
1.6.1. Suma aritmética de los VeR de cada factor de riesgo (suma de los Valores en Riesgo de un mismo factor de riesgo).
a. Factores de riesgo con cálculo de exposición por banda de tiempo
En el caso del riesgo de tasa de interés en moneda legal y extranjera (Componentes Principales de las Curvas Cero Cupón, pesos, UVR y tesoros), existe un VeR por banda de tiempo para cada uno de los factores de riesgo (en este caso se aplicara solo para los factores 1 a 9 según la Tabla 5). Este valor en riesgo debe ser agregado aritméticamente de la siguiente forma.

Donde:
n: Factor de riesgo n, n = 1…..9.
i: Banda de tiempo para cálculo de exposición al riesgo de mercado para tasa de interés
: Valor en Riesgo de la banda de tiempo i para el factor de riesgo n.
: Valor en riesgo total del factor de riesgo n.
b. Factores de riesgo con cálculo de exposición total (sin bandas de tiempo)
En el caso de los factores de riesgo 10 a 17, listados en la Tabla 5, no se hace necesaria una agregación aritmética de la exposición dado que estos no utilizan bandas de tiempo para el cálculo de la exposición. En este caso se tomará el valor de la exposición total calculada, según lo descrito en el presente instructivo.
1.6.2. Método de agregación (suma de los Valores en Riesgo de los diferentes factores de riesgo)
Para generar la exposición total al riesgo de mercado, es necesario calculara el VeR del portafolio diversificado de la siguiente manera:

Donde:
VeR: Valor en riesgo diversificado del portafolio.
VeR individual: Vector de valores en riesgo por cada factor.
: Matriz de Correlación de los factores
1.6.3 Cargos adicionales por posiciones en opciones.
Los cargos gamma y vega calculados según lo dispuesto en el numeral 1.7, deben adicionarse al valor en riesgo diversificado de forma aritmética como choques adicionales.
1.7. Tratamiento de las posiciones en opciones
Para el cálculo del valor en riesgo por posiciones en opciones, se deben utilizar los factores de sensibilidad (“Griegas”) delta, gamma y vega de acuerdo a lo estipulado en los siguientes incisos:
a. Posición delta ponderada.
La posición delta ponderada de las opciones está sujeta a los factores de riesgo descritos en los numerales 1.2. a 1.4. dependiendo del subyacente de la opción.
b. Riesgo Gamma
Para cada opción, un impacto gamma deberá ser calculado como:

Donde:
VS Variación del Valor del Subyacente
Gamma Cambio del factor delta ante un cambio de una unidad en el valor del subyacente.
La variación en el valor del subyacente corresponderá a las volatilidades asociadas al factor de riesgo correspondiente a cada subyacente. Posteriormente, las posiciones en opciones se agruparán según el factor de riesgo asociado al instrumento subyacente.
Para cada grupo se calcula un impacto gamma neto, como la suma de los impactos gamma de todas las posiciones en la agrupación.
Cuando el subyacente de la opción, sea el mismo factor de riesgo asociado, este cargo no deberá ser tenido en cuenta.
c. Riesgo Vega
El riesgo vega refleja la sensibilidad del valor de las posiciones en opciones con respecto a cambios en la volatilidad del valor del instrumento subyacente. El valor en riesgo es calculado como la suma de los impactos vega de cada opción.
Estos impactos se calculan aplicando a la volatilidad del valor subyacente asociado un cambio de 25% positivo o negativo según sea la posición (corta o larga), sobre el factor vega correspondiente.
El factor vega correspondiente mide el cambio del valor de la opción ante un cambio unitario en la volatilidad del valor del instrumento subyacente.
Para el cálculo de los factores de sensibilidad delta, gamma y vega, así como de las volatilidades de los subyacentes que se utilicen en el cálculo del riesgo vega, las instituciones financieras deben aplicar metodologías concordantes con los modelos para la valoración de dichos instrumentos, de acuerdo a lo estipulado en el Capítulo XVIII de la presente circular.
1.8 Matrices de choques por componente principal, volatilidades y correlaciones de los factores de riesgo
Las matrices de choques por componente principal, las volatilidades y la matriz de correlaciones se actualizarán mensualmente, a más tardar el día 25 de cada mes, o el siguiente día hábil si este último no lo es, a través de la página web de la Superintendencia Financiera de Colombia.
2. REGLAS RELATIVAS A LOS REPORTES DE INFORMACION
Los resultados de la medición de riesgos de mercado deben reportarse a la Superintendencia Financiera de Colombia con la periodicidad establecida en los formatos previstos para este propósito.