Derechos de autor reservados - Prohibida su reproducción
ARTÍCULO 2.2.9.4.1.1. NATURALEZA. El Fondo Nacional Ambiental, Fonam, es un sistema especial de manejo de cuentas del Ministerio de Ambiente y Desarrollo Sostenible, con personería jurídica, patrimonio independiente, sin estructura.
(Decreto 4317 de 2004, artículo 1o)
ARTÍCULO 2.2.9.4.1.2. DIRECCIÓN Y ADMINISTRACIÓN DEL FONAM. La dirección y administración del Fonam está a cargo del Ministro de Ambiente, Vivienda y Desarrollo Territorial y del Consejo de Gabinete.
Las actuaciones y decisiones del Ministro de Ambiente y Desarrollo Sostenible y el Consejo de Gabinete, deberán estar enmarcadas en:
1. El Plan Nacional de Desarrollo.
2. La Política Ambiental.
3. El Plan de Acción del Ministerio de Ambiente y Desarrollo Sostenible.
PARÁGRAFO. El Ministro de Ambiente y Desarrollo Sostenible es el representante legal y ordenador del gasto del Fonam.
(Decreto 4317 de 2004, artículo 2o)
ARTÍCULO 2.2.9.4.1.3. FUNCIONES DEL CONSEJO DE GABINETE. Son funciones del Consejo de Gabinete:
1. Definir las políticas administrativas, financieras y operativas del Fonam.
2. Adoptar el reglamento operativo del Fonam, que contendrá como mínimo los criterios y procedimientos para el manejo y ejecución de los recursos asignados a las diferentes líneas de financiación del Fondo.
3. Aprobar los proyectos a financiar con recursos provenientes de la Línea de Financiación por Demanda de Proyectos de Inversión Ambiental.
4. Aprobar el Plan Operativo de Inversión Anual para las subcuentas de la línea de recaudo y ejecución de recursos con destinación específica.
5. Determinar los procedimientos y mecanismos para el seguimiento y control de las subcuentas del Fonam.
(Decreto 4317 de 2004, artículo 3o)
ARTÍCULO 2.2.9.4.1.4. LÍNEAS Y FUENTES DE FINANCIACIÓN DEL FONAM. Para cumplir con sus objetivos, la cuenta del Fonam dispone de dos líneas de financiación:
1. Financiación por demanda de proyectos de inversión ambiental.
2. Recaudo y ejecución de recursos con destinación específica.
La fuente de financiación de la línea de Proyectos de Inversión Ambiental proviene de los recursos ordinarios de inversión, de recursos recaudados para tal fin y de los recursos de crédito externo del Presupuesto General de la Nación, asignados al Fonam.
Los recursos con destinación específica provienen de los recaudos que se generan por la administración y manejo de las áreas del Sistema de Parques Nacionales Naturales, los servicios de evaluación y seguimiento de licencias y demás instrumentos de control y manejo ambiental, las multas y los recursos para ejecución de proyectos en la Amazonía colombiana.
PARÁGRAFO. Los recursos del Fonam, se manejarán mediante un sistema de subcuentas del Ministerio de Ambiente y Desarrollo Sostenible, con contabilidad separada.
(Decreto 4317 de 2004, artículo 4o)
ARTÍCULO 2.2.9.4.1.5. SUBCUENTAS DE LA LÍNEA DE FINANCIACIÓN POR DEMANDA DE PROYECTOS DE INVERSIÓN AMBIENTAL. Las subcuentas de esta línea están destinadas a la financiación o cofinanciación de proyectos con recursos ordinarios de inversión o de empréstitos externos. Su finalidad es apoyar la formulación e implementación de la política ambiental del país.
Estas subcuentas son:
1. Subcuenta de inversiones ambientales. Es una subcuenta destinada a la financiación o cofinanciación de proyectos con recursos provenientes de crédito externo, como apoyo a la formulación e implementación de las políticas ambientales del país, conforme a las condiciones de negociación pactadas.
2. Subcuenta de apoyo a la gestión ambiental del Ministerio de Ambiente y Desarrollo Sostenible. Esta subcuenta contará con los recursos provenientes de las multas que imponga el Ministerio de Ambiente y Desarrollo Sostenible y se destinará al financiamiento de proyectos, planes, programas y actividades en materia de recursos naturales renovables y del medio ambiente.
3. Subcuenta de Inversiones Ambientales para Protección del Recurso Hídrico. Esta subcuenta estará integrada por los recursos provenientes de los desincentivos económicos establecidos por la Comisión de Regulación de Agua Potable y Saneamiento Básico (CRA), en desarrollo del artículo 7o de la Ley 373 de 1997, en los casos en que se presente disminución en los niveles de precipitación ocasionados por fenómenos de variabilidad climática, con base en la información que para el efecto divulgue el Ideam. Dichos recursos se destinarán a la protección, reforestación y conservación de las cuencas hidrográficas abastecedoras de acueductos municipales y a campañas que incentiven el uso eficiente y ahorro de agua.
(Decreto 4317 de 2004, artículo 5 modificado por Decreto 587 de 2010, artículo 1o)
1. Subcuenta del Sistema de Parques Nacionales Naturales. Esta subcuenta está integrada por los recursos provenientes de la administración y manejo de las áreas del Sistema de Parques Nacionales Naturales y de ecoturismo, así como del producto de las concesiones en dichas áreas.
Con cargo a esta subcuenta, se financiarán los gastos e inversiones requeridas para la administración y manejo de las áreas del Sistema de Parques Nacionales Naturales.
2. Subcuenta para sufragar los costos de evaluación y seguimiento de las licencias, permisos, concesiones, autorizaciones y demás instrumentos de control y manejo ambiental. Esta subcuenta está integrada por los recursos provenientes del pago de los servicios de evaluación y seguimiento de las licencias, permisos, concesiones, autorizaciones y demás instrumentos de control y manejo ambiental de competencia del Ministerio de Ambiente y Desarrollo Sostenible y se utilizarán para financiar los costos en que deba incurrir este Ministerio para la prestación de dichos servicios.
3. Subcuenta para administrar la expedición de permisos de importación y exportación CITES o no CITES y de la fabricación y distribución de sistemas de marcaje. Esta subcuenta contará con los recursos recaudados por concepto de los permisos de importación y exportación de especies de fauna y flora silvestres no Cites, los establecidos en la Convención Internacional sobre Comercio de Especies Amenazadas de Fauna y Flora Silvestres Cites y los de fabricación y distribución de sistemas de marcaje de especies de la biodiversidad.
4. Subcuenta del Fondo Ambiental de la Amazonía. Los recursos que ingresen a esta subcuenta se destinarán a la ejecución de proyectos, obras o actividades ambientales en la Amazonía colombiana.
(Decreto 4317 de 2004, artículo 6o)
ARTÍCULO 2.2.9.4.1.7. ASIGNACIÓN DE LOS RECURSOS DEL FONAM. La asignación de los recursos del Fonam se hará con base en el Reglamento Operativo para las diferentes líneas de financiación.
Para la Línea de Financiación por Demanda de Proyectos de Inversión Ambiental, el Reglamento Operativo deberá especificar que el proyecto será el único instrumento mediante el cual se podrá acceder a estos recursos.
Los proyectos que se sometan a evaluación y viabilización del Ministerio de Ambiente y Desarrollo Sostenible y a la aprobación de su Consejo de Gabinete, deberán cumplir con los siguientes requisitos:
1. Estar enmarcados en las prioridades establecidas en el Plan de Gestión Regional y el Plan de Acción de las Corporaciones Autónomas Regionales.
2. Estar enmarcados en los Planes de Manejo o en los Planes Operativos de las Áreas del Sistema de Parques Nacionales Naturales.
Para Línea de Recaudo y Ejecución de Recursos con Destinación Específica, el Reglamento Operativo deberá especificar que el Plan Operativo Anual de Inversión será el único instrumento mediante el cual se podrán asignar estos recursos.
El Plan Operativo Anual de Inversión se deberá elaborar con base en los siguientes criterios:
1. Focalizar las inversiones en función de la finalidad de cada una de las subcuentas.
2. Contener como mínimo: objetivos, metas a alcanzar en cada vigencia, actividades a desarrollar, recursos a invertir, resultados esperados y cronograma de actividades.
La Oficina Asesora de Planeación o la dependencia que haga sus veces del Ministerio de Ambiente y Desarrollo Sostenible tendrá a su cargo la elaboración y presentación del respectivo Plan para aprobación del Consejo de Gabinete.
(Decreto 4317 de 2004, artículo 7o)
FONDO COMPENSACIÓN AMBIENTAL.
ARTÍCULO 2.2.9.5.1.1 DEFINICIONES. Para efectos del presente capítulo se tendrán en cuenta las siguientes definiciones:
Ingresos del Fondo de Compensación Ambiental. Serán ingresos del Fondo de Compensación Ambiental los montos transferidos por las Corporaciones Autónomas Regionales correspondientes al 20% de los recursos percibidos por concepto de transferencias del sector eléctrico y el 10% de las restantes rentas propias con excepción del porcentaje ambiental de los gravámenes a la propiedad inmueble y de aquellos que tengan como origen relaciones contractuales interadministrativas.
Corporaciones no aportantes al Fondo de Compensación Ambiental. Las Corporaciones de Desarrollo Sostenible no serán aportantes al Fondo de Compensación Ambiental.
Gastos de funcionamiento. Son aquellos que tienen por objeto atender las necesidades de las entidades para cumplir a cabalidad con las funciones asignadas por la ley. Hacen parte de este los gastos de personal (servicios personales asociados a la nómina, servicios personales indirectos, contribuciones inherentes a la nómina del sector público y del sector privado); los gastos generales (adquisición de bienes, de servicios, impuestos y multas); y las transferencias corrientes.
Gastos de inversión ambiental. Son aquellas erogaciones susceptibles de causar beneficios ambientales, orientadas a obtener un resultado cuantificable y medible o que tengan cuerpo de bienes de utilización perdurable, llamados también de capital. Su asignación permite mantener o acrecentar la capacidad de oferta natural y mejorar la gestión ambiental. Estos gastos deben estar discriminados en la respectiva formulación de los proyectos inscritos y viabilizados en el Banco de Proyectos de Inversión Nacional.
Todos los proyectos a financiar con recursos del Fondo de Compensación Ambiental deberán contemplar simultáneamente los gastos de inversión y operativos que las exigencias técnicas y administrativas demanden como necesarias para su ejecución y operación.
Servicio de la deuda. Corresponde a los gastos por concepto del servicio de la deuda pública tanto interna como externa. Tienen por objeto el atender el cumplimiento de las obligaciones contractuales correspondientes al pago del capital, los intereses, las comisiones y los imprevistos originados en operaciones de crédito público que incluyen los gastos necesarios para la consecución de los créditos internos y externos, realizadas conforme a la ley.
Reglamento Operativo. Documento diseñado y aprobado por el Comité del Fondo de Compensación Ambiental, mediante el cual se determina el procedimiento para el recaudo, el giro de los recursos, el trámite de las solicitudes presentadas por las Corporaciones, desarrolla los criterios generales de distribución contenidos en el presente capítulo y establece parámetros para el seguimiento y evaluación de la efectividad del gasto, y las demás que se consideren complementarias para el logro de los objetivos del Fondo.
(Decreto 954 de 1999, artículo 1o)
ARTÍCULO 2.2.9.5.1.2. CONFORMACIÓN. El Comité del Fondo de Compensación Ambiental estará conformado por dos (2) representantes del Ministerio de Ambiente y Desarrollo Sostenible incluidos el Ministro o su delegado, un (1) representante de la Unidad de Política Ambiental del Departamento Nacional de Planeación, un (1) representante de las Corporaciones Autónomas Regionales y un (1) representante de las Corporaciones de Desarrollo Sostenible.
(Decreto 954 de 1999, artículo 2o)
ARTÍCULO 2.2.9.5.1.3. ELECCIÓN DE REPRESENTANTES DE CORPORACIONES. Los representantes de las Corporaciones Autónomas Regionales y Corporaciones de Desarrollo Sostenible al Comité del Fondo de Compensación Ambiental, serán elegidos mediante los mecanismos que estas determinen y para períodos de un año.
La elección de dichos representantes deberá comunicarse por escrito al Ministerio de Ambiente y Desarrollo Sostenible, respaldada mediante el acta de la reunión en la cual se efectuó la elección.
(Decreto 954 de 1999, artículo 3o)
ARTÍCULO 2.2.9.5.1.4. COMITÉ DEL FONDO DE COMPENSACIÓN. El Comité del Fondo de Compensación Ambiental será presidido por el Ministro de Ambiente y Desarrollo Sostenible o Viceministro de Ambiente y tendrá las siguientes funciones:
1. Diseñar y aprobar el reglamento operativo del Fondo de Compensación Ambiental, al cual se sujetará el mismo Comité.
2. Elaborar y presentar ante el Gobierno nacional la propuesta de distribución anual de los recursos del Fondo que se destinarán a la financiación de los presupuestos de funcionamiento, inversión y servicio de la deuda, de acuerdo con los criterios establecidos en el presente capítulo.
3. Definir la distribución de los recursos recaudados por el Fondo de Compensación Ambiental entre las Corporaciones beneficiadas, de acuerdo con los criterios establecidos en el presente capítulo. Esta asignación de recursos se efectuará mediante Resolución de Distribución del Ministerio de Ambiente y Desarrollo Sostenible.
4. Evaluar la ejecución de los recursos distribuidos por el Fondo de Compensación Ambiental a las Corporaciones, de acuerdo con los parámetros de seguimiento establecidos en el reglamento operativo.
5. Velar porque las Corporaciones efectúen los aportes al Fondo de Compensación Ambiental de acuerdo a los porcentajes establecidos en la Ley 344 de 1996 y en las fechas establecidas en el presente capítulo.
6. Las demás funciones, que no estando expresamente señaladas en este artículo se consideran complementarias o indispensables para el desarrollo de su objeto.
(Decreto 954 de 1999, artículo 4o)
ARTÍCULO 2.2.9.5.1.5. SECRETARÍA TÉCNICA DEL COMITÉ. El Comité del Fondo de Compensación Ambiental contará con una Secretaría Técnica, la cual será ejercida por la Oficina de Planeación del Ministerio de Ambiente y Desarrollo Sostenible y tendrá a su cargo las siguientes funciones:
1. Realizar análisis y estudios técnicos que sirvan de soporte al Comité del Fondo de Compensación Ambiental, en la elaboración de la propuesta de distribución anual de los recursos que se destinarán a la financiación del presupuesto de funcionamiento, inversión y servicio de la deuda.
2. Recomendar al Comité del Fondo de Compensación Ambiental la distribución de los recursos recaudados entre las Corporaciones beneficiadas, de acuerdo con los criterios establecidos en el presente capítulo.
3. Recibir y evaluar las solicitudes de asignación de recursos presentadas por las Corporaciones, teniendo en cuenta los criterios generales establecidos en el presente capítulo y aquellos determinados en el reglamento operativo.
4. Revisar e informar periódicamente al Comité sobre la situación de recaudo del Fondo y el cumplimiento de las obligaciones por parte de las Corporaciones.
5. Realizar el seguimiento a la ejecución de los recursos asignados por el Fondo, de acuerdo con lo establecido en el reglamento operativo.
6. Prestar apoyo administrativo y ejercer como Secretario del Comité.
(Decreto 954 de 1999, artículo 5o)
ARTÍCULO 2.2.9.5.1.6. CONVOCATORIA DEL COMITÉ. El Comité del Fondo de Compensación Ambiental será convocado por el Ministro de Ambiente y Desarrollo Sostenible con 15 días calendario de anticipación a la fecha de reunión y sesionará como mínimo cuatro veces al año y cuando se convoque a reuniones extraordinarias.
(Decreto 954 de 1999, artículo 6o)
ARTÍCULO 2.2.9.5.1.7. SESIONES. Las sesiones constarán en actas que deberán ser suscritas por quien presidió el Comité y por el Secretario.
El comité sólo podrá deliberar con la asistencia de la mayoría de sus integrantes. Las decisiones del Comité del Fondo de Compensación Ambiental se adoptarán por mayoría de los integrantes del Comité.
(Decreto 954 de 1999, artículo 7o)
ARTÍCULO 2.2.9.5.1.8. CRITERIOS GENERALES DE DISTRIBUCIÓN DE LOS RECURSOS. Para los efectos del artículo 2.2.9.5.1.4. del presente decreto, la propuesta de distribución de los recursos del Fondo de Compensación Ambiental entre funcionamiento, inversión y servicio de la deuda, se hará sobre la base de un análisis de las necesidades globales para cada uno de estos conceptos, priorizando los gastos de inversión.
La distribución de los recursos entre Corporaciones beneficiarias del Fondo se hará con base en los recaudos efectuados. Los criterios generales a tener en cuenta para la distribución serán: presupuesto total para cada Corporación en cada vigencia fiscal discriminado por fuentes, capacidad de generación de recursos propios, las condiciones socioeconómicas y prioridades temáticas nacionales y regionales definidas por el Comité.
Los criterios específicos así como los montos máximos de asignación para cada corporación durante una misma vigencia fiscal, serán definidos en el Reglamento Operativo.
(Decreto 954 de 1999, artículo 8o)
ARTÍCULO 2.2.9.5.1.9. MECANISMOS DE RECAUDO. Las Corporaciones deberán enviar mensualmente a la Secretaría Técnica del Comité del Fondo de Compensación Ambiental un informe que contenga los montos recaudados y los recursos destinados al Fondo definidos en el artículo 24 de la Ley 344 de 1996. Esta información deberá ser avalada por el Tesorero y el Director General de cada Corporación.
Estos recursos deberán ser girados a la cuenta especial designada para este fin, en el mes siguiente al recaudo.
El incumplimiento de las anteriores obligaciones acarreará las sanciones legales pertinentes.
(Decreto 954 de 1999, artículo 9o)
ARTÍCULO 2.2.9.5.1.10. DISPOSICIONES GENERALES. Además de lo dispuesto anteriormente, el funcionamiento y administración del Fondo de Compensación Ambiental tendrá en cuenta las siguientes consideraciones:
1. El Gobierno nacional distribuirá anualmente en el decreto de liquidación del Presupuesto General de la Nación, los recursos del Fondo de Compensación Ambiental destinados para inversión, funcionamiento y servicio de la deuda, con base en la propuesta presentada por el Comité del Fondo.
2. La ejecución de los recursos asignados por el Fondo de Compensación Ambiental a las Corporaciones Autónomas Regionales y de Desarrollo Sostenible estará sujeta al estatuto orgánico del presupuesto.
3. Las Corporaciones Autónomas Regionales deberán considerar en sus presupuestos anuales las partidas destinadas al Fondo de Compensación Ambiental, e informarán al Ministerio de Ambiente y Desarrollo Sostenible de la cuantía en la fecha límite prevista de presentación de los anteproyectos de presupuesto para la vigencia siguiente.
4. La asignación de recursos por parte del Fondo de Compensación Ambiental a las Corporaciones Autónomas Regionales y de Desarrollo Sostenible en una determinada vigencia, no obliga al Fondo a asignar recursos al mismo proyecto en el caso de inversión o gasto en el caso de funcionamiento, en las siguientes vigencias.
5. Los recursos asignados por el Fondo de Compensación Ambiental a las Corporaciones Autónomas Regionales y de Desarrollo Sostenible destinados a financiar gastos de funcionamiento, no podrán ser destinados a sufragar incrementos en la planta de personal.
(Decreto 954 de 1999, artículo 10)
TASAS POR UTILIZACIÓN DEL AGUA.
ARTÍCULO 2.2.9.6.1.1. OBJETO. El presente capítulo tiene por objeto reglamentar el artículo 43 de la Ley 99 de 1993 en lo relativo a las tasas por utilización de aguas superficiales, las cuales incluyen las aguas estuarinas, y las aguas subterráneas, incluyendo dentro de estas los acuíferos litorales. No son objeto de cobro del presente capítulo las aguas marítimas.
(Decreto 155 de 2004, artículo 1o)
ARTÍCULO 2.2.9.6.1.2. DEFINICIONES. Para los efectos del presente capítulo se adoptan las siguientes definiciones:
Cuenca hidrográfica: Área de aguas superficiales o subterráneas, que vierten a una red hidrográfica natural con uno o varios cauces naturales, de caudal continuo o intermitente, que confluyen en un curso mayor que, a su vez, puede desembocar en un río principal, en un depósito natural de aguas, en un pantano o directamente en el mar.
Unidad hidrológica de análisis: Área natural de concentración y recolección de aguas superficiales y/o subterráneas que tiene connotación principalmente hidrológica en la cuantificación, distribución y utilización de los recursos hídricos disponibles. Para aguas superficiales su delimitación se realiza siguiendo la divisoria topográfica de aguas, y para aguas subterráneas siguiendo criterios hidrogeológicos.
Índice de escasez para aguas superficiales: Relación entre la demanda de agua del conjunto de actividades sociales y económicas con la oferta hídrica disponible.
Ies=Demanda hídrica superficialOferta hídrica superficial disponible
Aguas estuarinas: Son cuerpos de agua, donde la desembocadura de un río se abre al mar. Se caracterizan por la dilución de agua marina con los aportes de agua dulce provenientes del continente.
Acuífero: Unidad de roca o sedimento, capaz de almacenar y transmitir agua en cantidades significativas.
Reserva de un acuífero: Es la cantidad de agua subterránea almacenada en el acuífero.
Caudal disponible de un acuífero: Corresponden al caudal que se podría extraer continuamente de un acuífero, sin que se reduzcan sus reservas.
Caudal explotable de un acuífero: Corresponden al caudal que se puede extraer de los recursos disponibles de un acuífero, sin alterar el régimen de explotación establecido por la autoridad ambiental competente.
Índice de escasez para aguas subterráneas. Es la relación entre la sumatoria de los caudales captados en el acuífero y los caudales explotables del mismo, de conformidad con la siguiente expresión:

Dónde:
IEG: corresponde al índice de escasez para aguas subterráneas.
IEG=ÓQcni=1Qe : es la sumatoria de los caudales captados en el acuífero.
Qe: es el caudal del recurso hídrico que es explotable del acuífero.
Acuíferos litorales: Son acuíferos que por su ubicación están expuestos a la intrusión marina.
(Decreto 155 de 2004, artículo 2o)
ARTÍCULO 2.2.9.6.1.3. SUJETO ACTIVO. Las Corporaciones Autónomas Regionales, las Corporaciones para el Desarrollo Sostenible, las Autoridades Ambientales de los Grandes Centros Urbanos, las que se refiere el artículo 13 de la Ley 768 del 2002 y el artículo 124 de la ley 1617 de 2013 y la Unidad Administrativa Especial del Sistema de Parques Nacionales Naturales del Ministerio de Ambiente y Desarrollo Sostenible, son competentes para recaudar la tasa por utilización de agua reglamentada en este capítulo.
(Decreto 155 de 2004, artículo 3o)
ARTÍCULO 2.2.9.6.1.4. SUJETO PASIVO. Están obligadas al pago de la tasa por utilización del agua todas las personas naturales o jurídicas, públicas o privadas, que utilicen el recurso hídrico en virtud de una concesión de aguas.
PARÁGRAFO. La tasa por utilización de aguas se cobrará a todos los usuarios del recurso hídrico, excluyendo a los que utilizan el agua por ministerio de ley pero incluyendo aquellos que no cuentan con la concesión de aguas, sin perjuicio de la imposición de las medidas preventivas y sancionatorias a que haya lugar y sin que implique bajo ninguna circunstancia su legalización.
(Decreto 155 de 2004, artículo 4o modificado por la Ley 1450 de 2011, artículo 216)
ARTÍCULO 2.2.9.6.1.5. HECHO GENERADOR. Dará lugar al cobro de esta tasa, la utilización del agua por personas naturales o jurídicas, públicas o privadas.
(Decreto 155 de 2004, artículo 5o)
ARTÍCULO 2.2.9.6.1.6. BASE GRAVABLE. La tasa por utilización del agua se cobrará por el volumen de agua efectivamente captada, dentro de los límites y condiciones establecidos en la concesión de aguas.
PARÁGRAFO. El sujeto pasivo de la tasa por utilización de aguas que tenga implementado un sistema de medición podrá presentar a la autoridad ambiental competente, en los términos y periodicidad que esta determine conveniente, reportes sobre los volúmenes de agua captada. En caso de que el sujeto pasivo no cuente con un sistema de medición de agua captada, la autoridad ambiental competente procederá a realizar la liquidación y el cobro de la tasa con base en lo establecido en la concesión de aguas.
Para el caso de los usuarios que no cuenten con concesión de uso de las aguas, se cobrará la tasa por el volumen de agua presumiblemente captado a partir de la mejor información disponible por parte de la autoridad ambiental competente, como la contenida en los instrumentos de planificación y administración del recurso hídrico correspondiente, en el censo de usuarios del recurso hídrico, o a partir de módulos de consumo adoptados o utilizados por la autoridad ambiental competente para los diferentes tipos de usos.
(Decreto 155 de 2004, artículo 6o modificado por la Ley 1450 de 2011, artículo 216)
ARTÍCULO 2.2.9.6.1.7. FIJACIÓN DE LA TARIFA. La tarifa de la Tasa por Utilización de Agua (TUA) expresada en pesos/m3, será establecida por cada autoridad ambiental competente para cada cuenca hidrográfica, acuífero o unidad hidrológica de análisis y está compuesta por el producto de dos componentes: la tarifa mínima (TM) y el factor regional (FR):
TUA=TM*FR
Dónde:
TUA: Es la tarifa de la tasa por utilización del agua, expresada en pesos por metro cúbico ($/m3).
TM: Es la tarifa mínima nacional, expresada en pesos por metro cúbico ($/m3).
FR: Corresponde al factor regional, adimensional.
(Decreto 155 de 2004, artículo 7o)
ARTÍCULO 2.2.9.6.1.8. TARIFA MÍNIMA (TM). El Ministerio de Ambiente y Desarrollo Sostenible, mediante resolución, fijará anualmente el monto tarifario mínimo de las tasas por utilización de aguas.
(Decreto 155 de 2004, artículo 8o)
ARTÍCULO 2.2.9.6.1.9. FACTOR REGIONAL. <Artículo modificado por el artículo 1 del Decreto 1155 de 2017. El nuevo texto es el siguiente:> El Factor Regional integrará los factores de disponibilidad del recurso hídrico, necesidades de inversión en recuperación de la cuenca hidrográfica y condiciones socioeconómicas de la población; mediante las variables cuantitativas de Índice de Escasez, costos de inversión y el Índice de Necesidades Básicas Insatisfechas, respectivamente. Cada uno de estos factores tendrá asociado un coeficiente, los cuales, a su vez, se ponderarán a través de un coeficiente adimensional que diferencie los fines de uso del recurso hídrico.
ARTÍCULO 2.2.9.6.1.10. CÁLCULO DEL FACTOR REGIONAL (FR). <Artículo modificado por el artículo 2 del Decreto 1155 de 2017. El nuevo texto es el siguiente:> El Factor Regional será calculado anualmente por la autoridad ambiental competente para cada cuenca hidrográfica, acuífero o unidad hidrológica de análisis, y corresponderá a un factor adimensional de acuerdo con la siguiente expresión:
FR = [1 + (CK + CE) * CS] * CU
El valor máximo del Factor Regional para aguas superficiales será de siete (7) y para aguas subterráneas de doce (12).
Los componentes del Factor Regional son:
CK: Coeficiente de Inversión: Fracción de los costos totales del plan de ordenación y manejo de la cuenca no cubiertos por la tarifa mínima, de acuerdo con la siguiente fórmula:
![]()
Donde:
CK: Coeficiente de Inversión de la cuenca hidrográfica.
CPMC: Costos totales anuales del plan de ordenación y manejo de la cuenca del año inmediatamente anterior.
CTM: Facturación anual estimada de la Tasa por Utilización de Aguas, aplicando la Tarifa Mínima a los usuarios de la cuenca.
En ausencia del plan de ordenación y manejo de la cuenca, el valor del coeficiente de inversión será igual a 0.
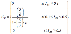
CE: Coeficiente de Escasez. Este coeficiente varía de acuerdo con la escasez del recurso hídrico considerando si la captación se realiza sobre agua superficial o subterránea según las siguientes fórmulas:
Coeficiente de Escasez para aguas superficiales

Donde:
CE: Coeficiente de Escasez para aguas superficiales.
IES: Corresponde al Índice de Escasez para Aguas Superficiales estimado para la cuenca, tramo o unidad hidrológica de análisis.
Coeficiente de Escasez para aguas subterráneas.

Donde:
CE: Coeficiente de Escasez para aguas subterráneas.
IEG: Corresponde al Índice de Escasez para aguas subterráneas estimado para el acuífero o unidad hidrológica de análisis.
CS: Coeficiente de Condiciones Socioeconómicas. Este coeficiente varía según las condiciones socioeconómicas de los usuarios del agua, de acuerdo a la siguiente fórmula:
![]()
Donde:
CS: Coeficiente de Condiciones Socioeconómicas.
NBI: Índice de Necesidades Básicas Insatisfechas, determinado por el Departamento Nacional de Planeación.
El Coeficiente de Condiciones Socioeconómicas (CS) tiene un rango de variación entre cero y uno (0 < CS = 1).
Para abastecimiento doméstico, el índice de Necesidades Básicas Insatisfechas (NBI) corresponde con el determinado por el Departamento Nacional de Planeación para el municipio en donde se ubique el usuario que utiliza el agua.
Para los demás usos, el Índice de Necesidades Básicas Insatisfechas (NBI) depende de los fines de uso del agua, y corresponde con el NBI promedio de los departamentos cuya participación porcentual por grandes ramas de actividad económica dentro del Producto Interno Bruto departamental, a precios corrientes, cumpla la siguiente condición:

Donde:
| PIBi,j: | Producto Interno Bruto de la rama de actividad económica i del departamento j, a precios corrientes, determinado por el Departamento Administrativo Nacional de Estadística. |
| PIBj: | Producto Interno Bruto del departamento j, a precios corrientes, determinado por el Departamento Administrativo Nacional de Estadística. |
| Participación porcentual por grandes ramas de actividad económica dentro del Producto Interno Bruto departamental, a precios corrientes. | |
| Participación porcentual por grandes ramas de actividad económica dentro del Producto Interno Bruto nacional, a precios corrientes. | |
La rama de actividad económica para el cálculo se asigna con base en la Clasificación Industrial Internacional Uniforme de todas las Actividades Económicas Revisión Cuatro (CIIU 4) o equivalente, dependiendo de los fines de uso del agua, de la siguiente manera:
| Fin de uso del agua | Grandes ramas de actividad económica CIIU 4 |
| Riego y silvicultura | Agricultura, ganadería, caza, silvicultura y pesca |
| Abastecimiento de abrevaderos cuando se requiera derivación | Agricultura, ganadería, caza, silvicultura y pesca |
| Uso industrial | Industrias manufactureras |
| Generación térmica o nuclear de electricidad | Suministro de electricidad, gas, vapor y aire acondicionado |
| Explotación minera y tratamiento de minerales | Explotación de minas y canteras |
| Explotación petrolera | Explotación de minas y canteras |
| Inyección para generación geotérmica | Suministro de electricidad, gas, vapor y aire acondicionado |
| Generación hidroeléctrica | Suministro de electricidad, gas, vapor y aire acondicionado |
| Generación cinética directa | Suministro de electricidad, gas, vapor y aire acondicionado |
| Flotación de maderas | Agricultura, ganadería, caza, silvicultura y pesca |
| Transporte de minerales y sustancias tóxicas | Transporte y almacenamiento |
| Acuicultura y pesca | Agricultura, ganadería, caza, silvicultura y pesca |
| Recreación y deportes | Actividades artísticas, de entretenimiento y recreación |
| Usos medicinales | Industrias manufactureras |
Con base en las categorías anteriores, el Ministerio de Ambiente y Desarrollo Sostenible podrá realizar los ajustes necesarios, en caso de que se requieran modificaciones a los fines de uso del agua o a la clasificación de las actividades económicas.
CU: Coeficiente de Uso. Este coeficiente varía según los fines de uso del recurso hídrico, de la siguiente manera:
CU= 0.0775 para uso doméstico, agrícola, pecuario, acuícola y generación de energía.
CU= 0.2 para los demás usos.
Para los usos diferentes al doméstico, agrícola, pecuario, acuícola y generación de energía, el Coeficiente de Uso (CU) se incrementará anualmente en 0.08 unidades, a partir del primero de enero de 2018, hasta alcanzar un valor de 1.
ARTÍCULO 2.2.9.6.1.11. FACTOR DE COSTO DE OPORTUNIDAD (FOP). El factor de costo de oportunidad toma en cuenta si el usuario del agua se encuentra haciendo un uso consuntivo o no consuntivo, generando costos de oportunidad para los demás usuarios aguas abajo. El valor del factor de costo de oportunidad se calculará de conformidad con la siguiente fórmula:

Dónde:
FOP: Factor de Costo de Oportunidad
VC: Volumen de agua concesionada o captada durante el periodo de cobro.
VV: Volumen de agua vertido a la misma cuenca o unidad hidrológica de análisis durante el período de cobro.
PARÁGRAFO 1o. El factor de costo de oportunidad no podrá tomar un valor inferior a 0.1 ni mayor a 1.
![]()
PARÁGRAFO 2o. En el caso que el sujeto pasivo no presente el reporte con información sobre el volumen de agua captada y vertida, el factor de costo de oportunidad tomará el valor de 1.
(Decreto 155 de 2004, artículo 11)
ARTÍCULO 2.2.9.6.1.12. CÁLCULO DEL MONTO A PAGAR. <Artículo modificado por el artículo 3 del Decreto 1155 de 2017. El nuevo texto es el siguiente:> El valor a pagar por cada usuario estará compuesto por el producto de la tarifa de la Tasa por Utilización de Aguas (TUA), expresada en pesos por metro cúbico ($/m3), y el volumen captado (V), expresado en metros cúbicos (m3), corregido por el Factor de Costo de Oportunidad, de acuerdo con la siguiente fórmula:
VP = TUA * V * FOP
Donde:
VP: Es el valor a pagar por el usuario sujeto pasivo de la tasa, en el período de cobro que determine la autoridad ambiental, expresado en pesos ($).
TUA: Es la tarifa de la Tasa por Utilización de Aguas, expresada en pesos por metro cúbico ($/m3).
V: Es el volumen de agua base para el cobro. Corresponde al volumen de agua captada por el usuario sujeto pasivo de la tasa que presenta reporte de mediciones para el período de cobro determinado por la autoridad ambiental, expresado en metros cúbicos (m3).
FOP: Factor de Costo de Oportunidad, adimensional.
PARÁGRAFO. En los casos en que el sujeto pasivo no presente los reportes sobre los volúmenes de agua captada, el cobro se realizará por el caudal concesionado y la autoridad ambiental para efectos de aplicar la fórmula contenida en el presente artículo en lo referente al volumen de agua, deberá aplicar la siguiente expresión:
![]()
Donde:
V: Volumen de agua base para el cobro. Corresponde al volumen concesionado en el período de cobro y expresado en metros cúbicos.
Q: Caudal concesionado expresado en litros por segundo (l/seg).
T: Número de días del período de cobro.
86.4: Factor de conversión de l/seg a m3/día
ARTÍCULO 2.2.9.6.1.13. CUENCAS COMPARTIDAS. Cuando dos o más autoridades ambientales competentes tengan jurisdicción sobre una misma cuenca hidrográfica, las Comisiones Conjuntas de que trata la sección 8, capítulo 1 del título 3, parte 2, libro 2 del presente Decreto o la norma que lo sustituya o modifique, coordinarán la implementación de la tasa por utilización de aguas en la cuenca compartida, sin perjuicio de las competencias da cada autoridad ambiental competente.
(Decreto 155 de 2004, artículo 13)
ARTÍCULO 2.2.9.6.1.14. FORMA DE COBRO. Las Autoridades Ambientales Competentes cobrarán las tasas por utilización de agua mensualmente mediante factura expedida con la periodicidad que estas determinen, la cual no podrá ser mayor a un (1) año.
PARÁGRAFO. Las facturas se expedirán en un plazo no mayor a 4 meses después de finalizar el período objeto de cobro. La autoridad ambiental competente no podrá cobrar períodos no facturados.
(Decreto 155 de 2004, artículo 14)
Las notas de vigencia, concordancias, notas del editor, forma de presentación y disposición de la compilación están protegidas por las normas sobre derecho de autor. En relación con estos valores jurídicos agregados, se encuentra prohibido por la normativa vigente su aprovechamiento en publicaciones similares y con fines comerciales, incluidas -pero no únicamente- la copia, adaptación, transformación, reproducción, utilización y divulgación masiva, así como todo otro uso prohibido expresamente por la normativa sobre derechos de autor, que sea contrario a la normativa sobre promoción de la competencia o que requiera autorización expresa y escrita de los autores y/o de los titulares de los derechos de autor. En caso de duda o solicitud de autorización puede comunicarse al teléfono 617-0729 en Bogotá, extensión 101. El ingreso a la página supone la aceptación sobre las normas de uso de la información aquí contenida.