Derechos de autor reservados - Prohibida su reproducción
DECRETO 2555 DE 2010
(julio 15)
Diario Oficial No. 47.771 de 15 de julio de 2010
MINISTERIO DE HACIENDA Y CRÉDITO PÚBLICO
Por el cual se recogen y reexpiden las normas en materia del sector financiero, asegurador y del mercado de valores y se dictan otras disposiciones.
EL PRESIDENTE DE LA REPÚBLICA DE COLOMBIA,
en ejercicio de sus facultades constitucionales y legales, en especial de las conferidas por los numerales 11 y 25 del artículo 189 de la Constitución Política, en concordancia con lo dispuesto en el Estatuto Orgánico del Sistema Financiero, en especial en su artículo 48, y en la Ley 964 de 2005, en especial en su artículo 4o,
DECRETA:
ASPECTOS PRELIMINARES.
ARTÍCULO 1.1.1.1.1 DEFINICIONES.
Para los efectos del presente decreto, las siguientes expresiones tendrán el significado que para cada una de ellas se indica:
Emisores de Valores: las entidades que tengan valores inscritos en el Registro Nacional de Valores y Emisores -RNVE.
Entidades aseguradoras: las compañías y cooperativas de seguros y las de reaseguros.
Establecimientos de crédito: <Definición modificada el artículo 1 del Decreto 1745 de 2020. El nuevo texto es el siguiente:> Los establecimientos bancarios, las corporaciones financieras, las compañías de financiamiento y las cooperativas financieras.
Intermediarios de seguros: los corredores, las agencias y los agentes de seguros.
Intermediarios de reaseguros: los corredores de reaseguros.
Sociedades de capitalización: las instituciones financieras cuyo objeto consista en estimular el ahorro mediante la constitución, en cualquier forma, de capitales determinados, a cambio de desembolsos únicos o periódicos, con posibilidad o sin ella de reembolsos anticipados por medio de sorteos.
Sociedades de servicios financieros: las sociedades fiduciarias, los almacenes generales de depósito, as <sic, las> sociedades administradoras de fondos de pensiones y de cesantía y las sociedades de intermediación cambiaria y de servicios financieros especiales.
ENTIDADES SUJETAS A INSPECCIÓN Y VIGILANCIA Y SUJETAS A CONTROL.
NORMAS APLICABLES A LOS ESTABLECIMIENTOS DE CRÉDITO.
MARGEN DE SOLVENCIA Y OTROS REQUERIMIENTOS DE PATRIMONIO.
<Título modificado por el artículo 1 del Decreto 1771 de 2012. El nuevo texto es el siguiente:>
DISPOSICIONES GENERALES SOBRE LAS RELACIONES DE SOLVENCIA DE LOS ESTABLECIMIENTOS DE CRÉDITO.
ARTÍCULO 2.1.1.1.1 PATRIMONIO ADECUADO. <Artículo modificado por el artículo 2 del Decreto 904 de 2013. El nuevo texto es el siguiente:> Los establecimientos de crédito deberán cumplir las normas sobre niveles de patrimonio adecuado y las relaciones mínimas de solvencia contempladas en este Capítulo, con el fin de proteger la confianza del público en el sistema y asegurar su desarrollo en condiciones de seguridad y competitividad.
PARÁGRAFO. La Superintendencia Financiera de Colombia determinará las Instituciones Oficiales Especiales que deberán dar cumplimiento al presente Capítulo, analizando si la naturaleza de las operaciones de la respectiva institución se ajustan a las de un establecimiento de crédito, de acuerdo con lo previsto en el artículo 2o del Decreto 663 de 1993 y demás normas pertinentes.
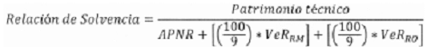
ARTÍCULO 2.1.1.1.2 RELACIÓN DE SOLVENCIA TOTAL. <Artículo modificado por el artículo 1 del Decreto 1421 de 2019. El nuevo texto es el siguiente:> La relación de solvencia total se define como el valor del patrimonio técnico calculado en los términos de este Capítulo, dividido por el valor de los activos ponderados por nivel de riesgo crediticio, de mercado y operacional. Esta relación se expresa en términos porcentuales. La relación de solvencia total mínima de los establecimientos de crédito de los que trata este Capítulo será del nueve por ciento (9%).
ARTÍCULO 2.1.1.1.3 RELACIONES DE SOLVENCIA COMPLEMENTARIAS. <Artículo modificado por el artículo 2 del Decreto 1477 de 2018. El nuevo texto es el siguiente:> Las siguientes relaciones son complementarias a la relación de solvencia total y son también relaciones de solvencia.
<Inciso modificado por el artículo 2 del Decreto 1421 de 2019. El nuevo texto es el siguiente:> La relación de solvencia básica se define como el valor del Patrimonio Básico Ordinario neto de deducciones, calculado en los términos de este Capítulo, dividido por el valor de los activos ponderados por nivel de riesgo crediticio, de mercado y operacional. Esta relación se expresa en términos porcentuales. La relación de solvencia básica mínima de los establecimientos de crédito de los que trata este Capítulo será del cuatro punto cinco por ciento (4.5%).
<Inciso modificado por el artículo 2 del Decreto 1421 de 2019. El nuevo texto es el siguiente:> La relación de solvencia básica adicional se define como la suma del valor del Patrimonio Básico Ordinario neto de deducciones y el Patrimonio Básico Adicional, calculados en los términos de este Capítulo, dividida por el valor de los activos ponderados por nivel de riesgo crediticio, de mercado y operacional. Esta relación se expresa en términos porcentuales. La relación de solvencia básica adicional mínima de los establecimientos de crédito de los que trata este Capítulo será del seis por ciento (6%).
La relación de apalancamiento se define como la suma del valor del Patrimonio Básico Ordinario neto de deducciones y el Patrimonio Básico Adicional, calculados en los términos de este Capítulo, dividida por el valor de apalancamiento definido en el artículo 2.1.1.3.6 del presente decreto. Esta relación se expresa en términos porcentuales. La relación de apalancamiento mínima de los establecimientos de crédito de los que trata este Capítulo será del tres por ciento (3%).
ARTÍCULO 2.1.1.1.4 CUMPLIMIENTO DE LAS RELACIONES DE SOLVENCIA. <Artículo modificado por el artículo 3 del Decreto 1477 de 2018. El nuevo texto es el siguiente:> El cumplimiento de las relaciones de solvencia se realizará en forma individual y consolidada por cada establecimiento de crédito. Para estos efectos, los establecimientos de crédito de los que trata este capítulo se sujetarán a las normas que, conforme a sus facultades legales, expida la Superintendencia Financiera de Colombia. Las entidades deberán cumplir con los niveles mínimos de las relaciones de solvencia en todo momento, independientemente de las fechas de reporte.
ARTICULO 2.1.1.1.5 PATRIMONIO TÉCNICO. <Artículo modificado por el artículo 1 del Decreto 1771 de 2012. El nuevo texto es el siguiente:> El cumplimiento de la relación de solvencia total se efectuará con base en el patrimonio técnico que refleje cada entidad, calculado mediante la suma del patrimonio básico ordinario neto de deducciones, el patrimonio básico adicional y el patrimonio adicional, de acuerdo con las reglas contenidas en los artículos siguientes.
ARTÍCULO 2.1.1.1.6 CLASIFICACIÓN DE INSTRUMENTOS DE CAPITAL REGULATORIO. <Artículo modificado por el artículo 1 del Decreto 2392 de 2015. El nuevo texto es el siguiente:> La Superintendencia Financiera de Colombia definirá la pertenencia de las acciones y los instrumentos de deuda al patrimonio básico ordinario, al patrimonio básico adicional o al patrimonio adicional, según corresponda. Para tal efecto, previo requerimiento del emisor, el supervisor evaluará la información proporcionada en el prospecto de emisión a la luz de los criterios que se presentan en los artículos 2.1.1.1.7, 2.1.1.1.8 y 2.1.1.1.9 de este Decreto. Los instrumentos que no hayan sido clasificados por parte del supervisor no podrán hacer parte del patrimonio técnico.
ARTÍCULO 2.1.1.1.7 CRITERIOS DE PERTENENCIA AL PATRIMONIO BÁSICO ORDINARIO. <Artículo modificado por el artículo 1 del Decreto 1771 de 2012. El nuevo texto es el siguiente:> Para que una acción se pueda acreditar como patrimonio básico ordinario deberá cumplir con los criterios que se enumeran a continuación:
a) Suscrito y efectivamente pagado: El instrumento debe corresponder a capital suscrito y efectivamente pagado;
b) Subordinación calificada. Incorpora un derecho sobre los activos residuales en proporción a su participación en el capital suscrito, una vez atendido el pago de los depósitos y demás pasivos del balance contable en caso de liquidación. Los derechos no pueden estar garantizados, asegurados, ni tener arreglo alguno que incrementen su categoría o grado de subordinación;
c) Perpetuidad. Las acciones que componen el Patrimonio Básico Ordinario, solamente se pagan en caso de una liquidación;
d) Dividendo convencional. El dividendo no debe contener características de pago obligatorio o preferencial bajo ninguna circunstancia, más allá de las previstas en los artículos 155 y 454 del Código de Comercio y en el artículo 63 de la Ley 222 de 1995, con excepción de lo previsto en el numeral 3 del mencionado artículo 63. Sólo se pueden pagar dividendos de elementos distribuibles y no podrá ser un dividendo acumulativo;
e) No financiado por la entidad. La compra del instrumento no puede haber sido financiada por la entidad ni por alguna institución vinculada;
f) Absorción de pérdidas. Los instrumentos deben tener la capacidad de absorber pérdidas. Los criterios antes descritos deben ser claramente identificables.
ARTÍCULO 2.1.1.1.8 CRITERIOS DE PERTENENCIA AL PATRIMONIO BÁSICO ADICIONAL. <Artículo modificado por el artículo 2 del Decreto 2392 de 2015. El nuevo texto es el siguiente:> Para que una acción o un instrumento de deuda se pueda acreditar como patrimonio básico adicional deberá cumplir con los criterios que se enumeran a continuación:
a) Suscrito y efectivamente pagado. El instrumento debe corresponder a capital suscrito y efectivamente pagado. En el caso de deuda los instrumentos deben ser autorizados y colocados.
b) Subordinación adicional. Incorpora un derecho sobre los activos residuales en caso de liquidación, una vez atendido el pago de los depósitos, demás pasivos externos e instrumentos que hagan parte del Patrimonio Adicional. Los derechos no pueden estar garantizados, asegurados, ni tener arreglo alguno que incrementen su categoría o grado de subordinación.
c) <Literal modificado por el artículo 4 del Decreto 1477 de 2018. El nuevo texto es el siguiente:> Perpetuidad. Las acciones que componen el Patrimonio Básico Adicional, solamente se pagan en caso de una liquidación. Se considera que un instrumento de deuda cumple este criterio si su redención está condicionada a la liquidación del emisor. Dichos instrumentos podrán redimirse, pagarse o recomprarse anticipadamente, una vez transcurridos cinco (5) años contados a partir del momento de su emisión, siempre y cuando se cumplan los siguientes requisitos:
1. El emisor deberá obtener, previo al momento de realizar la redención, pago o recompra, autorización de la Superintendencia Financiera de Colombia.
2. Deberán sustituirse por instrumentos de capital que pertenezcan al Patrimonio Básico Ordinario o al Patrimonio Básico Adicional, y dicha sustitución debe efectuarse en condiciones de sostenibilidad para la capacidad de generación de ingresos del emisor.
Este requisito puede exceptuarse si la entidad demuestra que, después de realizar de forma anticipada la redención, el pago o la recompra, seguirá contando con recursos suficientes para dar cumplimiento a las relaciones de solvencia de que trata el presente Capítulo y a los colchones de que trata el Capítulo 4 del presente título.
3. El emisor deberá abstenerse de generar expectativas sobre la redención, el pago o la recompra anticipada.
Los instrumentos de deuda que pertenezcan al Patrimonio Básico Adicional podrán contemplar la redención, el pago o la recompra anticipada antes de cinco (5) años, previa autorización de la Superintendencia Financiera de Colombia, cuando se presente alguno de los siguientes eventos:
i) Cuando se presente una modificación al presente Título que implique que el instrumento no cumpla los criterios de pertenencia al Patrimonio Básico Adicional.
ii) Cuando una modificación a la normativa tributaria implique un cambio en el tratamiento de los flujos del instrumento en las bases fiscales.
d) Pagos del instrumento. El dividendo puede contener características de pago obligatorio o preferencial diferentes al del dividendo convencional. Sólo se pueden pagar dividendos o cupones de elementos distribuibles. Los instrumentos deberán incorporar una cláusula que permita al emisor no realizar el pago del cupón y podrán incluir una cláusula que permita el ajuste periódico de la tasa base a la que se encuentre indexado el cupón de acuerdo con la periodicidad que se establezca en el prospecto, pero dicho ajuste no podrá basarse en función de la solvencia crediticia del emisor. En el caso de que el emisor opte por el no pago de cupones, el prospecto de emisión del instrumento deberá disponer que este evento no constituye un incumplimiento por parte del emisor y no podrá contemplar la acumulación de pagos con otros cupones.
Para efectos de lo contemplado en este literal, se entiende por elementos distribuibles la suma de las utilidades acumuladas de ejercicios anteriores y las reservas constituidas con el fin de pagar dividendos, netas de las pérdidas acumuladas.
e) No financiado por la entidad. La compra del instrumento no puede haber sido financiada por la entidad ni por alguna institución vinculada.
f) Absorción de pérdidas. Los instrumentos deben tener capacidad de absorber pérdidas. Para el reconocimiento de instrumentos de deuda, en su prospecto de emisión se debe contemplar alguno de los siguientes mecanismos de absorción de pérdidas:
1. Conversión en acciones que cumplan los criterios para hacer parte del Patrimonio Básico Ordinario. En el prospecto de emisión se deberá establecer si dicha conversión se dará en acciones ordinarias o preferenciales y se determinará la metodología de conversión del instrumento. En todo momento el emisor deberá mantener un nivel de capital autorizado que permita llevar a cabo la conversión a acciones y deberá verificar que se dé cumplimiento a las disposiciones necesarias para cumplir con dicha conversión.
2. Mecanismo de amortización permanente que asigne las pérdidas al instrumento, el cual podrá ser total o parcial. Una vez se active el mecanismo de amortización, se asignarán pérdidas al instrumento por un valor que permita restablecer la solvencia básica hasta el máximo entre el nivel del límite que activa el mecanismo y el seis por ciento (6%). La amortización del instrumento será total en caso de que no se alcance a restablecer el nivel descrito en este inciso.
El mecanismo de absorción de pérdidas que se adopte, se activará en caso de presentar una relación de solvencia básica individual inferior a un límite establecido por el emisor en el prospecto de emisión del instrumento, el cual no podrá ser inferior al 5.125%. De igual manera, dicho mecanismo se activará cuando la Superintendencia Financiera de Colombia así lo determine. En todo caso, el mecanismo de absorción de pérdidas deberá activarse de manera previa a la adopción de una orden de capitalización o fortalecimiento patrimonial de la entidad respectiva con recursos de capital público.
Los instrumentos de deuda a que hace referencia este artículo sólo podrán reconocerse dentro del Patrimonio Básico Adicional consolidado del consolidante del emisor, o del emisor cuando este sea consolidante, si en el prospecto de emisión se incluye una cláusula que establezca que el mecanismo de absorción de pérdidas se activará cuando el consolidante presente una relación de solvencia básica consolidada inferior a un límite, el cual deberá ser igualo superior al establecido por el emisor a nivel individual.
Los criterios antes descritos deben ser claramente identificables. Si el instrumento ha sido acreditado al patrimonio básico ordinario no podrá ser acreditado al patrimonio básico adicional.
ARTÍCULO 2.1.1.1.9 CRITERIOS DE PERTENENCIA AL PATRIMONIO ADICIONAL. <Artículo modificado por el artículo 3 del Decreto 2392 de 2015. El nuevo texto es el siguiente:> Para que un instrumento de deuda se pueda acreditar como patrimonio adicional deberá cumplir con los criterios que se enumeran a continuación:
a) Autorizado, colocado y pagado. El instrumento debe corresponder a deuda autorizada, colocada y efectivamente pagada.
b) Subordinación general. Incorpora un derecho sobre los activos residuales en caso de liquidación, una vez atendido el pago de los depósitos y demás pasivos externos.
Los derechos no pueden estar garantizados, asegurados, ni tener arreglo alguno que incremente su categoría o grado de subordinación.
c) <Literal modificado por el artículo 5 del Decreto 1477 de 2018. El nuevo texto es el siguiente:> Vocación de permanencia: Los instrumentos que componen el Patrimonio Adicional podrán redimirse, pagarse o recomprarse anticipadamente una vez transcurridos cinco (5) años contados a partir del momento de su emisión, siempre y cuando se cumplan los siguientes requisitos:
1. El emisor deberá obtener, previo al momento de realizar la redención, pago o recompra, autorización de la Superintendencia Financiera de Colombia.
2. Deberán sustituirse por instrumentos de deuda que pertenezcan al Patrimonio Adicional, instrumentos que pertenezcan al Patrimonio Básico Adicional o al Patrimonio Básico Ordinario. Dicha sustitución debe efectuarse en condiciones de sostenibilidad para la capacidad de generación de ingresos del emisor. Este requisito puede exceptuarse si la entidad demuestra que, después de realizar de forma anticipada la redención, el pago o la recompra, seguirá contando con recursos suficientes para dar cumplimiento a las relaciones de solvencia de que trata el presente Capítulo y a los colchones de que trata el Capítulo 4 del presente título.
3. El emisor deberá abstenerse de generar expectativas sobre la redención, el pago o la recompra anticipada.
Los instrumentos de deuda que pertenezcan al Patrimonio Adicional podrán contemplar la redención, el pago o la recompra anticipada antes de cinco (5) años, previa autorización de la Superintendencia Financiera de Colombia, cuando se presente alguno de los siguientes eventos:
i) Cuando se presente una modificación al presente Título que implique que el instrumento no cumpla los criterios de pertenencia al Patrimonio Adicional.
ii) Cuando una modificación a la normativa tributaria implique un cambio en el tratamiento de los flujos del instrumento en las bases fiscales.
d) Pagos del instrumento. El emisor podrá incluir una cláusula que permita el ajuste periódico de la tasa base a la que se encuentre indexado el instrumento de acuerdo con la periodicidad que se establezca en el prospecto, pero dicho ajuste no podrá basarse en función de la solvencia crediticia del emisor.
e) No financiado por la entidad. La compra del instrumento no puede haber sido financiada por la entidad ni por alguna institución vinculada.
f) Absorción de pérdidas. Los instrumentos deben tener capacidad de absorber pérdidas. Para su reconocimiento, en su prospecto de emisión se debe contemplar alguno de los siguientes mecanismos de absorción de pérdidas:
1. Conversión en acciones que cumplan los criterios para hacer parte del Patrimonio Básico Ordinario. En el prospecto de emisión se deberá establecer si dicha conversión se dará en acciones ordinarias o preferenciales y se determinará la metodología de conversión del instrumento. En todo momento el emisor deberá mantener un nivel de capital autorizado que permita llevar a cabo la conversión a acciones y deberá verificar que se dé cumplimiento a las disposiciones necesarias para cumplir con dicha conversión.
2. Mecanismo de amortización permanente que asigne las pérdidas al instrumento, el cual podrá ser total o parcial. Una vez se active el mecanismo de amortización, se asignarán pérdidas al instrumento por un valor que permita restablecer la solvencia básica hasta el máximo entre el nivel del límite que activa el mecanismo y el seis por ciento (6%). La amortización del instrumento será total en caso de que no se alcance a restablecer el nivel descrito en este inciso.
El mecanismo de absorción de pérdidas que se adopte, se activará en caso de presentar una relación de solvencia básica individual inferior a un límite establecido por el emisor en el prospecto de emisión del instrumento, el cual no podrá ser inferior al 4.5%. De igual manera, dicho mecanismo se activará cuando la Superintendencia Financiera de Colombia así lo determine. En todo caso, el mecanismo de absorción de pérdidas deberá activarse de manera previa a la adopción de una orden de capitalización o fortalecimiento patrimonial de la entidad respectiva con recursos de capital público.
Los instrumentos de deuda a que hace referencia este artículo sólo podrán reconocerse dentro del Patrimonio Adicional consolidado del consolidante del emisor, o del emisor cuando este sea consolidante, si en el prospecto de emisión se incluye una cláusula que establezca que el mecanismo de absorción de pérdidas se activará cuando el consolidante presente una relación de solvencia básica consolidada inferior a un límite, el cual deberá ser igual o superior al establecido por el emisor a nivel individual.
Los criterios antes descritos deben ser claramente identificables.
ARTICULO 2.1.1.1.10 PATRIMONIO BÁSICO ORDINARIO. <Artículo modificado por el artículo 6 del Decreto 1477 de 2018. El nuevo texto es el siguiente:> El patrimonio básico ordinario de los establecimientos de crédito de los que trata este Capítulo comprenderá:
a) El capital suscrito y pagado en acciones que la Superintendencia Financiera de Colombia clasifique como parte del patrimonio básico ordinario en cumplimiento de los artículos 2.1.1.1.6 y 2.1.1.1.7 de este decreto;
b) El valor de los dividendos decretados en acciones a las que se refiere el literal a) de este artículo;
c) La prima en colocación de las acciones;
d) La reserva legal constituida por apropiaciones de utilidades líquidas;
e) Los anticipos destinados a incrementar el capital, por un término máximo de cuatro (4) meses contados a partir de la fecha de ingreso de los recursos al balance. Transcurrido dicho término, el anticipo dejará de computar como un instrumento del patrimonio técnico;
f) Las acciones representativas de capital garantía, mientras la entidad esté dando cumplimiento a las metas, compromisos y condiciones del programa de recuperación convenido con el Fondo de Garantías de Instituciones Financieras (Fogafín). En caso de incumplimiento del programa, declarado por la Superintendencia Financiera de Colombia, tales acciones dejarán de ser computables;
g) Los bonos subordinados efectivamente suscritos por Fogafín con el propósito de fortalecer patrimonialmente a las entidades financieras emisoras de tales instrumentos de deuda. Solo serán computables dichos bonos como parte del patrimonio básico ordinario cuando en el respectivo prospecto de emisión se establezca con carácter irrevocable que:
a. En los eventos de liquidación el importe de su valor quedará subordinado al pago del pasivo externo;
b. Los títulos se emitan a plazos no inferiores a cinco (5) años;
h) Cualquier otro instrumento emitido, avalado o garantizado por Fogafín utilizado para el fortalecimiento patrimonial de las entidades.
i) El monto del interés minoritario que clasifique como patrimonio básico ordinario de acuerdo con el artículo 2.1.1.1.14 de este decreto.
j) La reserva de protección de los aportes sociales descrita en el artículo 54 de la Ley 79 de 1988;
k) El monto mínimo de aportes no reducibles previsto en los estatutos, el cual no deberá disminuir durante la existencia de la cooperativa, de acuerdo con el numeral 7 del artículo 5o de la Ley 79 de 1988;
l) El fondo no susceptible de repartición constituido para registrar los excedentes que se obtengan por la prestación de servicios a no afiliados, de acuerdo con el artículo 10 de la Ley 79 de 1988. La calidad de no repartible, impide el traslado total o parcial de los recursos que componen el fondo a otras cuentas del patrimonio;
m) Los aportes sociales amortizados o readquiridos por la entidad cooperativa en exceso del que esté determinado en los estatutos como monto mínimo de aportes sociales no reducibles;
n) El fondo de amortización o readquisición de aportes a que hace referencia el artículo 52 de la Ley 79 de 1988, bajo el entendido que la destinación especial a la que se refiere la disposición, determina que los recursos de este fondo no pueden ser objeto de traslado a otras cuentas del patrimonio, ni utilizados para fines distintos a la adquisición de aportes sociales.
o) El valor total de otros resultados integrales (ORI);
p) Las utilidades del ejercicio en curso;
q) Las utilidades retenidas y las reservas ocasionales;
r) Los excedentes del ejercicio en curso, en el caso de los establecimientos de crédito con naturaleza cooperativa.
PARÁGRAFO. En concordancia con el artículo 85 del Estatuto Orgánico del Sistema Financiero, la reducción de la reserva legal solo podrá realizarse en los siguientes dos (2) casos específicos: (i) cuando tenga por objeto enjugar pérdidas acumuladas que excedan el monto total de las utilidades obtenidas en el correspondiente ejercicio y de las utilidades no distribuidas de ejercicios anteriores; y (ii) cuando el valor liberado se destine a capitalizar la entidad mediante la distribución de dividendos en acciones. Lo dispuesto en el presente parágrafo aplica para la totalidad de la reserva legal, incluido el monto en que ella exceda el 50% del capital suscrito.
ARTÍCULO 2.1.1.1.11. DEDUCCIONES DEL PATRIMONIO BÁSICO ORDINARIO. <Artículo modificado por el artículo 7 del Decreto 1477 de 2018. El nuevo texto es el siguiente:> Se deducirán del Patrimonio Básico Ordinario los siguientes conceptos:
a) Las pérdidas acumuladas de ejercicios anteriores y las del ejercicio en curso;
b) El valor de las inversiones de capital, de las inversiones en bonos obligatoriamente convertibles en acciones, en bonos subordinados opcionalmente convertibles en acciones o, en general, en instrumentos de deuda subordinada, efectuadas en forma directa o indirecta en entidades sometidas al control y vigilancia de la Superintendencia Financiera de Colombia o en entidades financieras del exterior, que supere el diez por ciento (10%) del Patrimonio Básico Ordinario una vez realizadas las demás deducciones contenidas en el presente artículo excepto la descrita en este literal, cuando se trate de entidades respecto a las cuales no haya lugar a consolidación. Se exceptúan de la deducción aquí prevista los siguientes elementos:
i) Las inversiones realizadas por los establecimientos de crédito que forman parte del Sistema Nacional de Crédito Agropecuario en el Fondo para el Financiamiento del Sector Agropecuario (Finagro);
ii) Las inversiones efectuadas en otra institución financiera vigilada por la Superintendencia Financiera de Colombia para adelantar un proceso de adquisición de acuerdo a lo establecido en el artículo 63 del Estatuto Orgánico del Sistema Financiero, durante los plazos establecidos en el inciso 2 del numeral 2 o en el parágrafo 2 del mismo artículo;
iii) Las inversiones realizadas por establecimientos de crédito en entidades vigiladas por la Superintendencia Financiera de Colombia, que sean consolidadas por otra entidad vigilada, cuando dichas participaciones no sean consideradas como interés minoritario por la consolidante;
c) El impuesto de renta diferido neto cuando sea positivo. Para el efecto, no se tendrán en cuenta los provenientes de los otros conceptos deducidos en virtud del presente artículo;
d) El valor del crédito mercantil o plusvalía y de los activos intangibles;
e) Las acciones propias readquiridas en las circunstancias previstas en el literal b) del artículo 10 del Estatuto Orgánico del Sistema Financiero;
f) El valor no amortizado del cálculo actuarial del pasivo pensional;
g) El valor de la revalorización de activos.
PARÁGRAFO. Para efectos de lo previsto en el literal b) del presente artículo los aportes que los establecimientos de crédito con naturaleza cooperativa posean en otras entidades de naturaleza solidaria se consideran inversiones de capital.
ARTÍCULO 2.1.1.1.12 PATRIMONIO BÁSICO ADICIONAL. <Artículo modificado por el artículo 4 del Decreto 2392 de 2015. El nuevo texto es el siguiente:> El patrimonio básico adicional de los establecimientos de crédito de los que trata este Capítulo comprenderá:
a) El capital suscrito y pagado en acciones que la Superintendencia Financiera de Colombia clasifique como parte del patrimonio básico adicional en cumplimiento de los artículos 2.1.1.1.6 y 2.1.1.1.8 de este Decreto.
b) El valor de los dividendos decretados en acciones referidas en el literal (a) de este artículo.
c) El monto del interés minoritario que clasifique como patrimonio básico adicional de acuerdo con el artículo 2.1.1.1.14 de este decreto.
d) Los instrumentos de deuda que la Superintendencia Financiera de Colombia acredite como parte del patrimonio básico adicional en cumplimiento de los artículos 2.1.1.1.6 y 2.1.1.1.8 de este decreto.
ARTÍCULO 2.1.1.1.13 PATRIMONIO ADICIONAL. <Artículo modificado por el artículo 8 del Decreto 1477 de 2018. El nuevo texto es el siguiente:> El Patrimonio Adicional de los establecimientos de crédito de los que trata este Capítulo comprenderá:
a) El monto del interés minoritario que clasifique como Patrimonio Adicional de acuerdo con el artículo 2.1.1.1.14 de este decreto;
b) Los bonos obligatoriamente convertibles en acciones que sean efectivamente colocados y pagados y que cumplan con los requisitos establecidos por el artículo 86 del Estatuto Orgánico del Sistema Financiero;
c) Los instrumentos de deuda que la Superintendencia Financiera de Colombia clasifique como parte del Patrimonio Adicional en cumplimiento de los artículos 2.1.1.1.6 y 2.1.1.1.9 de este decreto. Su reconocimiento en el capital regulatorio será amortizado anualmente por el método de línea recta en los cinco (5) años anteriores a su vencimiento.
Los instrumentos de deuda emitidos antes del treinta y uno (31) de diciembre de 2015, y que cumplan con los criterios establecidos en el artículo 2.1.1.1.9 excepto el literal f), seguirán siendo reconocidos como parte del Patrimonio Adicional. Su reconocimiento en el capital regulatorio será amortizado anualmente por el método de línea recta en los cinco (5) años anteriores a su vencimiento.
Los instrumentos de deuda emitidos entre el treinta y uno (31) de diciembre de 2015 y el treinta y uno (31) de diciembre de 2017, y que cumplan con los criterios establecidos en el artículo 2.1.1.1.9 excepto el literal f), serán sujetos del siguiente cálculo: i) en el primer año posterior al treinta y uno (31) de diciembre de 2017 el valor máximo a reconocer será equivalente al noventa por ciento (90%) de su valor nominal; ii) este porcentaje se reducirá cada año en un diez por ciento (10%) hasta el treinta y uno (31) de diciembre de 2025; iii) a partir del primero (1) de enero de 2026, los instrumentos descritos en este inciso no serán reconocidos como parte del patrimonio adicional. El valor a reconocer como parte del Patrimonio Adicional será el menor entre el cálculo descrito en este inciso y la amortización anual del instrumento por el método de línea recta en los cinco (5) años anteriores a su vencimiento.
d) El valor de las provisiones de carácter general constituidas por los establecimientos de crédito. El presente instrumento se tendrá en cuenta hasta por un valor máximo equivalente al uno punto veinticinco por ciento (1.25%) de los activos ponderados por nivel de riesgo crediticio. No se tendrán en cuenta los excesos sobre las provisiones generales regulatorias.
ARTÍCULO 2.1.1.1.14 INTERÉS MINORITARIO. <Artículo modificado por el artículo 1 del Decreto 1771 de 2012. El nuevo texto es el siguiente:> Se reconocerá el valor de los instrumentos constitutivos del patrimonio técnico de la entidad consolidada, bruto de las deducciones al patrimonio básico ordinario, que no sean de propiedad, directa o indirecta, de la consolidante o de la(s) controlante(s) de esta.
El interés minoritario se reconocerá en la categoría a la que pertenezcan los instrumentos que lo constituyen, por lo que podrá ser parte del patrimonio básico ordinario, patrimonio básico adicional o patrimonio adicional, de acuerdo con los artículos 2.1.1.1.10, 2.1.1.1.12 y 2.1.1.1.13 de este decreto y a las instrucciones que para el efecto establezca la Superintendencia Financiera de Colombia.
Solo se reconocerá el exceso de capital sobre los mínimos regulatorios en aquellas entidades con estándares prudenciales iguales o superiores a los de los establecimientos de crédito en Colombia, que cumplan con los criterios contenidos en los artículos 2.1.1.1.7, 2.1.1.1.8 y 2.1.1.1.9 según sea el caso.
PARÁGRAFO. Se entiende por inversión directa la participación accionaria de la cual es titular la matriz de la entidad financiera consolidante en el capital de las entidades subordinadas a la entidad financiera consolidante. Por su parte, se considera inversión indirecta la participación accionaria que tiene la matriz de la entidad financiera consolidante en las entidades consolidadas a través de sus subordinadas.
PARÁGRAFO 2o. <Parágrafo adicionado por el artículo 6 del Decreto 1648 de 2014. El nuevo texto es el siguiente:> Se podrá reconocer como interés minoritario el valor de los instrumentos constitutivos del patrimonio técnico de la entidad consolidada que sean de propiedad, directa o indirecta, de la(s) controlante(s) de la consolidante, solamente cuando la entidad que realizó la inversión de capital en la consolidada manifieste a la Superintendencia Financiera de Colombia su voluntad de no aplicar la excepción descrita en el numeral iii) del literal b) del artículo 2.1.1.1.11 del presente decreto. La voluntad de la entidad que realizó la inversión de capital en la consolidada de volver a aplicar la excepción, solo podrá llevarse a cabo un año después de recibida la manifestación inicial y requerirá de la autorización expresa de la Superintendencia Financiera de Colombia.
ARTÍCULO 2.1.1.1.15. REQUERIMIENTOS ADICIONALES DE CAPITAL POR PARTE DEL SUPERVISOR. <Artículo adicionado por el artículo 6 del Decreto 2392 de 2015. El nuevo texto es el siguiente:> Las entidades de que trata este Capítulo, deben mantener el capital adecuado para cubrir la exposición a los riesgos actuales y potenciales inherentes a las actividades que desarrollan, el cual debe reflejarse en su patrimonio técnico.
En este sentido, las entidades deben implementar un proceso de evaluación interna de capital de acuerdo con las instrucciones que para tal efecto imparta la Superintendencia Financiera de Colombia. Con base en la revisión de dicho proceso de evaluación interna y/o el proceso de supervisión, la Superintendencia podrá ordenar a las entidades la adopción de medidas para prevenir o corregir las falencias identificadas en el mismo, o requerir niveles de patrimonio técnico adicionales a los mínimos regulatorios establecidos en el presente título.
Las instrucciones que imparta la Superintendencia Financiera de Colombia de conformidad con lo descrito en el inciso anterior deberán incluir las reglas que las entidades deberán atender para implementar el proceso de evaluación interna de capital, así como los criterios que la Superintendencia aplicará en caso de requerir niveles de patrimonio técnico adicionales.
Cuando dicho requerimiento se origine en el marco del proceso de supervisión, el Superintendente Financiero deberá obtener el concepto previo del Consejo Asesor respecto de la medida. En el caso en el que el Consejo Asesor no cuente con el quórum necesario para deliberar, el Superintendente Financiero podrá proceder de conformidad sin el concepto previo.
DISPOSICIONES GENERALES SOBRE LA RELACIÓN DE SOLVENCIA DE LAS COOPERATIVAS FINANCIERAS Y LAS INSTITUCIONES OFICIALES ESPECIALES.
ARTÍCULO 2.1.1.2.1 PATRIMONIO ADECUADO. <Artículo derogado a partir del 1o. de enero de 2014 por el artículo 8 del Decreto 904 de 2013. Consultar en Legislación Anterior el texto vigente hasta esta fecha>
ARTÍCULO 2.1.1.2.2 RELACIÓN DE SOLVENCIA. <Artículo derogado a partir del 1o. de enero de 2014 por el artículo 8 del Decreto 904 de 2013. Consultar en Legislación Anterior el texto vigente hasta esta fecha>
ARTÍCULO 2.1.1.2.3 CUMPLIMIENTO DE LA RELACIÓN DE SOLVENCIA. <Artículo derogado a partir del 1o. de enero de 2014 por el artículo 8 del Decreto 904 de 2013. Consultar en Legislación Anterior el texto vigente hasta esta fecha>
ARTÍCULO 2.1.1.2.4 PATRIMONIO TÉCNICO. <Artículo derogado a partir del 1o. de enero de 2014 por el artículo 8 del Decreto 904 de 2013. Consultar en Legislación Anterior el texto vigente hasta esta fecha>
ARTÍCULO 2.1.1.2.5 PATRIMONIO BÁSICO. <Artículo derogado a partir del 1o. de enero de 2014 por el artículo 8 del Decreto 904 de 2013. Consultar en Legislación Anterior el texto vigente hasta esta fecha>
ARTÍCULO 2.1.1.2.6 DEDUCCIONES DEL PATRIMONIO BÁSICO. <Artículo derogado a partir del 1o. de enero de 2014 por el artículo 8 del Decreto 904 de 2013. Consultar en Legislación Anterior el texto vigente hasta esta fecha>
ARTÍCULO 2.1.1.2.7 PATRIMONIO ADICIONAL. <Artículo derogado a partir del 1o. de enero de 2014 por el artículo 8 del Decreto 904 de 2013. Consultar en Legislación Anterior el texto vigente hasta esta fecha>
DEFINICIONES Y DISPOSICIONES GENERALES ACERCA DE RIESGO DE CRÉDITO, RIESGO DE MERCADO Y RIESGO OPERACIONAL PARA EFECTOS DEL CÁLCULO DEL MARGEN DE SOLVENCIA Y OTROS REQUERIMIENTOS DE PATRIMONIO DE LOS ESTABLECIMIENTOS DE CRÉDITO.
ARTÍCULO 2.1.1.3.1 RIESGOS CREDITICIO, DE MERCADO Y OPERACIONAL. <Artículo modificado por el artículo 9 del Decreto 1477 de 2018. El nuevo texto es el siguiente:> Para los efectos de este Capítulo se entiende por:
a) Riesgo crediticio: La posibilidad de que un establecimiento de crédito incurra en pérdidas y se disminuya el valor de su Patrimonio Técnico como consecuencia de que sus deudores fallen en el cumplimiento oportuno de sus obligaciones o cumplan imperfectamente las obligaciones financieras en los términos acordados.
Para determinar el valor de los activos ponderados por nivel de riesgo crediticio, los establecimientos de crédito tendrán en cuenta los activos, las exposiciones y las contingencias, así como las garantías que los respaldan. Para el efecto, se multiplicará el valor de exposición del respectivo activo, exposición o contingencia, calculados según lo dispuesto en los artículos 2.1.1.3.4 y 2.1.1.3.5 del presente decreto, por un porcentaje de ponderación según corresponda, de acuerdo con el artículo 2.1.1.3.2 del presente decreto.
b) Riesgo de mercado: La posibilidad de que un establecimiento de crédito incurra en pérdidas y se disminuya el valor de su Patrimonio Técnico como consecuencia de cambios en el precio de los instrumentos financieros en los que la entidad mantenga posiciones dentro o fuera del balance. Estos cambios en el precio de los instrumentos pueden presentarse, por ejemplo, como resultado de variaciones en las tasas de interés, tipos de cambio y otros índices.
Para determinar el valor de exposición a los riesgos de mercado, los establecimientos de crédito deberán utilizar las metodologías que para el efecto determine la Superintendencia Financiera de Colombia. Sin embargo, los establecimientos de crédito podrán solicitar a este organismo de control autorización para utilizar un modelo de medición propio, caso en el cual deberán acreditar ante dicha Superintendencia el cumplimiento de los requisitos mínimos que se establezcan para el efecto.
c) Riesgo operacional: <Literal modificado por el artículo 3 del Decreto 1421 de 2019. El nuevo texto es el siguiente:> La posibilidad de que un establecimiento de crédito incurra en pérdidas y se disminuya el valor de su Patrimonio Técnico como consecuencia de la inadecuación o fallos de los procesos, el personal y los sistemas internos, o bien a causa de acontecimientos externos. El riesgo operacional incluye el riesgo legal, pero excluye los riesgos estratégicos y de reputación.
Para determinar el valor de exposición a los riesgos operacionales las entidades deberán aplicar la metodología contenida en el artículo 2.1.1.3.9 del presente decreto.
Una vez determinado el valor de la exposición por riesgo de mercado y el valor de exposición a los riesgos operacionales, estos se multiplicarán por cien novenos (100/9). El resultado se adicionará al valor de los activos ponderados por nivel de riesgo crediticio. De esta manera, se obtiene el valor total de los activos ponderados por nivel de riesgo crediticio, de mercado y operacional que se utiliza para el cálculo de las relaciones de solvencia.
ARTÍCULO 2.1.1.3.2 CLASIFICACIÓN Y PONDERACIÓN DE ACTIVOS, EXPOSICIONES Y CONTINGENCIAS. <Artículo modificado por el artículo 9 del Decreto 1477 de 2018. El nuevo texto es el siguiente:> Para efectos de determinar el valor total de activos ponderados por nivel de riesgo crediticio, el valor de exposición de cada activo, exposición o contingencia se multiplicará por un porcentaje de ponderación de acuerdo con la siguiente clasificación:
1) Activos con porcentaje de ponderación de cero por ciento (0%):
a) Caja y depósitos a la vista en entidades sometidas a la inspección y vigilancia de la Superintendencia Financiera de Colombia y en entidades financieras del exterior.
b) Activos, exposiciones y contingencias sujetos a riesgo de crédito frente a la Nación o el Banco de la República, y los avalados o garantizados por estos.
c) Activos adquiridos para el cumplimiento de inversiones obligatorias o forzosas.
d) Activos, exposiciones y contingencias sujetos a riesgo de crédito frente al Banco Mundial, el Banco de Pagos Internacionales, el Fondo Monetario Internacional, el Banco Interamericano de Desarrollo, el Banco Central Europeo y los vehículos de inversión, organismos y agencias que hagan parte o sean administrados por estos, así como los avalados o garantizados por estos, y los sujetos a riesgo de crédito, avalados o garantizados por los demás vehículos de inversión, organismos y agencias que determine la Superintendencia Financiera de Colombia, que cumplan con criterios de alta calificación, respaldo patrimonial y liquidez.
e) Exposiciones frente a una cámara de riesgo central de contraparte.
f) Activos que se deduzcan para efectuar el cálculo del Patrimonio Básico Ordinario, en desarrollo del artículo 2.1.1.1.11 del presente decreto, o que se deduzcan para efectuar el cálculo del Patrimonio Técnico, en desarrollo del numeral 10 del presente artículo.
g) Otros activos similares a los descritos en el presente numeral que determine la Superintendencia Financiera de Colombia.
2. <Literal modificado por el artículo 1 del Decreto 1286 de 2020. El nuevo texto es el siguiente:> Activos con porcentaje de ponderación del veinte por ciento (20%): Activos, exposiciones y contingencias sujetos a riesgo de crédito frente a Fogafín o Fogacoop, así como los avalados o garantizados por estos Fondos, por el Fondo Nacional de Garantías S.A. o por el Fondo Agropecuario de Garantías.
3) Activos con porcentaje de ponderación del cien por ciento (100%):
a) Activos o exposiciones en incumplimiento, según las instrucciones previstas por la Superintendencia Financiera de Colombia para la aplicación del presente título. Sin perjuicio de lo anterior, en caso de que un activo o exposición tenga una ponderación superior a cien por ciento (100%) según lo dispuesto en el presente artículo, deberá utilizarse dicha ponderación.
b) Créditos para adquisición de tierra o construcción, con fines de desarrollo inmobiliario.
c) Activos fijos.
d) Bienes de arte y cultura.
e) Bienes muebles o inmuebles realizables recibidos en dación en pago o remates judiciales.
f) Remesas en tránsito.
g) Instrumentos participativos.
h) Otros activos que no hayan sido clasificados en otra categoría.
4) Activos, exposiciones y contingencias sujetos al riesgo de crédito frente a gobiernos o bancos centrales de otros países, y los avalados o garantizados por estos. Se utilizarán las ponderaciones de la siguiente tabla:
| Calificación de riesgo | AAA a AA- | A+ a A- | BBB+ a BBB- | BB+ a B- | Menor a B- | Sin calificación |
| Ponderación | 0% | 20% | 50% | 100% | 150% | 100% |
5) Activos, exposiciones y contingencias sujetos a riesgo de crédito frente a organismos multilaterales de crédito, los vehículos de inversión, organismos y agencias que hagan parte o sean administrados por estos, distintos a los mencionados en el literal d) del numeral 1 del presente artículo, o de otras entidades del sector público distintas a la Nación, a los gobiernos o bancos centrales de otros países y a las entidades del sector público vigiladas por la Superintendencia Financiera de Colombia: Se utilizarán las ponderaciones de la siguiente tabla:
| Calificación de riesgo | AAA a AA- | A+ a A- | BBB+ a BBB- | BB+ a B- | Menor a B- | Sin calificación |
| Ponderación | 20% | 30% | 50% | 100% | 150% | 100% |
6. Activos, exposiciones y contingencias sujetos a riesgo de crédito frente a entidades vigiladas por la Superintendencia Financiera de Colombia, fondos mutuos de inversión controlados o entidades financieras del exterior: Se utilizarán las ponderaciones de las siguientes tablas:
| Calificación de riesgo de largo plazo | AAA a AA- | A+ a A- | BBB+ a BBB- | BB+ a B- | Menor a B- | Sin calificación |
| Ponderación | 20% | 30% | 50% | 100% | 150% | 100% |
| Ponderación a tres (3) meses | 20% | 20% | 20% | 50% | 150% | 100% |

Para efectos del presente numeral, las ponderaciones a tres (3) meses de la primera tabla se aplicarán a las operaciones cuyo plazo inicialmente pactado sea menor o igual a tres (3) meses que no cuenten con calificación de corto plazo.
7. Activos, exposiciones y contingencias sujetos a riesgo de crédito frente a grandes empresas: Se utilizarán las ponderaciones de las siguientes tablas:
| Calificación de riesgo de largo plazo | AAA a AA- | A+ a A- | BBB+ a BBB- | BB+ a BB- | Menor a BB- | Sin calificación |
| Ponderación | 20% | 50% | 75% | 100% | 150% | 100% |
| Calificación de riesgo de corto plazo | 1 | 2 | 3 | 4 y 5 | Sin calificación | |
| Ponderación | 20% | 50% | 100% | 150% | 100% | |
Para efectos del presente numeral, entiéndase por grandes empresas las que no cumplan las definiciones de micro, pequeña y mediana empresa según el artículo 2o de la Ley 590 de 2000, o las normas que la reglamenten, modifiquen, sustituyan o adicionen.
8. Activos, exposiciones y contingencias sujetos a riesgo de crédito frente a pequeñas y medianas empresas, microempresas o personas naturales: Se utilizará un porcentaje de ponderación del setenta y cinco por ciento (75%), salvo en los siguientes casos:
a) Exposiciones crediticias en instrumentos financieros derivados;
b) Créditos cuyo valor de exposición supere el cero punto dos por ciento (0.2%) de la suma del valor de exposición de todos los activos a que se refiere el presente numeral. Para este efecto se agregarán todos los créditos a que se refiere el presente numeral, otorgados a una misma persona según lo previsto en el Capítulo 1 del Título 2 del Libro 1 de la Parte 2 del presente decreto;
c) Exposiciones de tarjetas de crédito y otras facilidades de crédito con cupo rotativo, cuyo saldo total sea cancelado íntegramente en la siguiente fecha de pago.
Para los activos a los que se refieren los literales a) y b) del presente numeral, se utilizará un porcentaje de ponderación del cien por ciento (100%) en el caso de microempresas y personas naturales, y del ochenta y cinco por ciento (85%) en el caso de pequeñas y medianas empresas.
Para los activos a los que se refiere el literal c) del presente numeral, se utilizará un porcentaje de ponderación del cuarenta y cinco por ciento (45%). La aplicación de este literal estará condicionada a que la Superintendencia Financiera de Colombia imparta instrucciones de carácter general sobre este tipo de operaciones, incluyendo la aplicación a este tipo de operaciones cuando sean realizadas en otras jurisdicciones. Hasta tanto esto ocurra, se aplicará una ponderación del 75%.
Para los activos, exposiciones o contingencias sujetos a riesgo de crédito frente a pequeñas y medianas empresas, microempresas o personas naturales garantizados con inmuebles, se aplicará lo dispuesto en el numeral 9) del presente artículo.
Para efectos del presente numeral, entiéndase por micro, pequeña y mediana empresa las definidas en el artículo 2o de la Ley 590 de 2000, o las normas que la reglamenten, modifiquen, sustituyan o adicionen.
9. Activos, exposiciones y contingencias garantizados con inmuebles: En el caso de créditos para financiar adquisición de vivienda cuya garantía sea la misma vivienda y de leasing inmobiliario para vivienda, se utilizarán las ponderaciones de la siguiente tabla:
| Relación saldo / garantía | < 50% | =50% y < 60% | = 60% y < 80% | = 80% y < 90% | = 90% y < 100% | = 100% |
| Ponderación | 20% | 25% | 30% | 40% | 50% | 70% |
En el caso de otros activos, exposiciones y contingencias garantizados con inmuebles y leasing inmobiliario distinto de vivienda, se utilizarán las ponderaciones de la siguiente tabla:
| Relación saldo / garantía | < 60% | = 60% y < 80% | = 80% y < 100% | = 100% |
| Ponderación | 70% | 90% | 100% | 110% |
Para este efecto, la relación saldo/garantía se calcula como el saldo pendiente de pago de todos los activos, exposiciones y contingencias garantizados con un mismo inmueble dividido entre la valoración del inmueble, expresada en términos porcentuales. La valoración del inmueble deberá realizarse de acuerdo con las instrucciones emitidas por la Superintendencia Financiera de Colombia.
Lo previsto en el presente numeral solo se aplicará sobre las garantías inmobiliarias, incluyendo terrenos agrícolas o forestales, que se consideren garantías admisibles en los términos del Capítulo 1 del Título 2 del Libro 1 de la Parte 2 del presente decreto.
10. Títulos derivados de procesos de titularización: Se utilizarán las ponderaciones de las siguientes tablas:
| Calificación de riesgo de largo plazo | AAA a AA- | A+ a A- | BBB+ a BBB- | BB+ a BB- | B+ a B- | CCC | Menor a CCC o sin calificación |
| Ponderación | 20% | 30% | 50% | 100% | 200% | 300% | Deducción |
| Calificación de riesgo de corto plazo | 1 | 2 | 3 | 4 | 5 o sin calificación | ||
| Ponderación | 20% | 50% | 100% | 300% | Deducción | ||
Los títulos derivados de procesos de titularización que sean mantenidos de manera incondicional por el originador, no podrán tener en ningún caso un requerimiento de capital superior al capital requerido para el conjunto de créditos que respalda la titularización.
Las deducciones a que se refieren las tablas del presente numeral deben realizarse sobre el Patrimonio Técnico.
11. Derechos fiduciarios que posean los establecimientos de crédito en patrimonios autónomos constituidos en desarrollo de procesos de titularización de los cuales sean originadores: Se clasificarán dentro de la categoría que corresponda al activo subyacente.
Si se ha utilizado un mecanismo de seguridad interno o externo que por sus características particulares mantenga el riesgo para el originador, el activo subyacente comprometido en el mismo ponderará al ciento cincuenta por ciento (150%). Si el mecanismo de seguridad empleado elimina totalmente el riesgo para el originador, la ponderación del activo subyacente será del cero por ciento (0%).
En caso de deterioro en el valor del patrimonio autónomo y en la medida que este se produzca, si el originador mantiene riesgo en virtud de las características del mecanismo de seguridad empleado, deberá reconocer dicho deterioro hasta por el monto de la cobertura otorgada de conformidad con las instrucciones que sobre el particular imparta la Superintendencia Financiera de Colombia.
12. Derechos fiduciarios que posean los establecimientos de crédito sobre patrimonios autónomos cuya finalidad principal sea su enajenación, cuyo activo subyacente corresponda a bienes inmuebles que originalmente fueron recibidos en dación en pago o adjudicados en remates judiciales: Se utilizará un porcentaje de ponderación de ochenta por ciento (80%), siempre y cuando tal operación cuente con la autorización previa de la Superintendencia Financiera de Colombia.
13. Financiación especializada de proyectos conforme la definición prevista en el artículo 2.1.1.3.3 del presente decreto: Cuando la financiación especializada de proyectos cuente con una calificación de riesgo específica, se utilizarán las ponderaciones de la siguiente tabla:
| Calificación de riesgo | AAA a AA- | A+ a A- | BBB+ a BBB- | BB+ a B- | Menor a B- |
| Ponderación | 20% | 50% | 75% | 100% | 100% |
Cuando la financiación especializada de proyectos no cuente con una calificación de riesgo específica, se utilizará una ponderación de 100%. No obstante, se podrá utilizar una ponderación de 80% para financiación especializada de proyectos de alta calidad, conforme la definición prevista en el artículo 2.1.1.3.3 del presente decreto.
PARÁGRAFO 1. <Inciso modificado por el artículo 1 del Decreto 1286 de 2020. El nuevo texto es el siguiente:> Los porcentajes de ponderación establecidos en el presente artículo para los activos, exposiciones y contingencias avalados o garantizados por la nación, el Banco de la República, Fogafín, Fogacoop, el Fondo Nacional de Garantías S.A., el Fondo Agropecuario de Garantías, gobiernos y bancos centrales de otros países y los organismos señalados en el literal d) del numeral 1) del presente artículo, solo se utilizarán cuando los avales y garantías cumplan las siguientes condiciones:
a) Que sean admisibles según lo previsto en el Capítulo 1 del Título 2 del Libro 1 de la Parte 2 del presente decreto;
b) Que el alcance de la cobertura esté claramente definido y expresamente referido a una operación concreta o grupo de operaciones. Esta condición no se requiere en el caso de las contragarantías;
c) Que el contrato no contenga ninguna cláusula que permita al avalista o garante revocarlo unilateralmente, o incrementar su costo de cobertura en función de la calidad crediticia de la contraparte, o modificar el vencimiento acordado;
d) Que el contrato no contenga ninguna cláusula que escape al control del establecimiento de crédito y que exima al avalista o garante de pagar en caso de incumplimiento de la contraparte;
e) Que ante un incumplimiento de la contraparte, el establecimiento de crédito tenga derecho al aval o garantía sin emprender acciones legales contra la contraparte.
Cuando el alcance de la cobertura de los avales y garantías esté referido a una parte de la operación, se aplicarán estos porcentajes de ponderación solamente sobre la parte cubierta.
PARÁGRAFO 2. Cuando se realicen inversiones en un producto estructurado cuyos componentes provengan de distintas contrapartes y el vendedor no sea responsable de su pago, dicho producto estructurado computará por la suma de los siguientes dos (2) factores:
a) La multiplicación del precio justo de intercambio del componente no derivado por el porcentaje de ponderación que aplique al respectivo emisor de conformidad con lo previsto en el presente artículo;
b) La multiplicación del costo de reposición de los componentes derivados por el porcentaje de ponderación que aplique a la respectiva contraparte de conformidad con lo previsto en el presente artículo.
ARTÍCULO 2.1.1.3.3 FINANCIACIÓN ESPECIALIZADA DE PROYECTOS. <Artículo adicionado por el artículo 9 del Decreto 1477 de 2018. El nuevo texto es el siguiente:> Se considera financiación especializada de proyectos aquella que cumpla las siguientes características:
1. Que sea otorgada a un vehículo de propósito especial o a una entidad creada específicamente para financiar u operar activos tangibles, no financieros, distintos de inmuebles.
2. Que el prestatario tenga poca o ninguna otra actividad o fuente de ingresos y, por tanto, no tenga capacidad independiente de pago de las obligaciones. Los recursos para el pago de la financiación provienen principalmente de los ingresos generados por los activos financiados.
3. Que los términos contractuales otorguen a los acreedores los derechos económicos sobre los activos y sobre los ingresos generados.
Se considera financiación especializada de proyectos de alta calidad aquella que, además, cumpla las siguientes características:
a) Que limite la capacidad del prestatario de incrementar su endeudamiento sin consentimiento de sus actuales acreedores;
b) Que contemple la existencia de reservas suficientes o alternativas de financiación para cubrir contingencias o requisitos de liquidez de corto plazo;
c) Que los ingresos generados por los activos financiados no estén sujetos a oscilaciones en la demanda o que existan mecanismos para la mitigación del efecto de dichas oscilaciones sobre los ingresos;
d) Que las condiciones contractuales salvaguarden los derechos de los acreedores ante incumplimientos o ante la cancelación del proyecto;
e) Que la mayoría de los ingresos provengan de gobiernos, bancos centrales, otras entidades del sector público o grandes empresas, con porcentaje de ponderación igual o menor a 80% según el artículo 2.1.1.3.2 del presente decreto;
f) Que los términos contractuales contemplen la toma de posesión de los activos y contratos necesarios para operar el proyecto por parte de los acreedores, con sujeción al régimen legal aplicable.
ARTÍCULO 2.1.1.3.4 VALOR DE EXPOSICIÓN DE LOS ACTIVOS. <Artículo adicionado por el artículo 9 del Decreto 1477 de 2018. El nuevo texto es el siguiente:> Para efectos de este Capítulo, el valor de exposición de los activos se determinará con la siguiente formula:
E = (A * (1 + Fa)) – (G * (1 – Fg – Fe))
Donde:
E: Valor de exposición del activo
A: Valor del activo neto de provisiones
Fa: Factor de ajuste del activo
G: Valoración de la garantía
Fg: Factor de ajuste de la garantía
Fc: Factor de ajuste cambiado
La Superintendencia Financiera de Colombia emitirá las instrucciones sobre idoneidad y valoración de garantías, y establecerá las tablas e instrucciones para la determinación de los factores de ajuste por tipo de activo y por tipo de garantía, y el factor de ajuste cambiario. Para el efecto, se atenderá lo dispuesto en relación con las garantías admisibles y no admisibles en el Capítulo 1 del Título 2 del Libro 1 de la Parte 2 del presente decreto.
En todo caso, el valor de exposición del activo no podrá ser superior a su valor neto de provisiones y tampoco podrá ser inferior al veinte por ciento (20%) de su valor neto de provisiones.
PARÁGRAFO 1. Lo previsto en el presente artículo no aplicará para garantías inmobiliarias ni créditos para adquisición de tierra o construcción, con fines de desarrollo inmobiliario.
PARÁGRAFO 2. En el caso de activos garantizados simultáneamente con inmuebles y con otras garantías admisibles, podrá aplicarse lo previsto en el presente artículo sobre las otras garantías admisibles.
PARÁGRAFO 3. <Parágrafo modificado el artículo 2 del Decreto 1745 de 2020. El nuevo texto es el siguiente:> En el caso de los activos avalados o garantizados por las entidades señaladas en el inciso primero del parágrafo 1 del artículo 2.1.1.3.2 del presente decreto, cuyos avales o garantías cumplan las condiciones previstas en dicho parágrafo, no se aplicará lo dispuesto en el presente artículo y el valor de exposición del activo será igual a su valor neto de provisiones. Cuando el alcance de la cobertura de dichos avales y garantías esté referido a una parte de la operación, se aplicará lo previsto en el presente artículo sobre la parte no cubierta por estos.
PARÁGRAFO 4. El valor del activo neto de provisiones debe contemplar la deducción de las provisiones de carácter individual. Las provisiones de carácter general no serán deducibles de los activos.
PARÁGRAFO 5. En el caso de las operaciones de reporto o repo, simultáneas y de transferencia temporal de valores, no se aplicará lo dispuesto en el presente artículo y su valor de exposición será el monto que resulte de restar la posición deudora de la posición acreedora que ostenta la entidad en cada operación realizada, siempre que dicho monto sea positivo. El cálculo de las posiciones deberá tener en cuenta tanto el precio justo de intercambio de los valores cuya propiedad se transfiera en desarrollo de la operación, como la suma de dinero entregada en la misma, así como los intereses o rendimientos causados asociados a la operación.
PARÁGRAFO 6. Los valores transferidos en desarrollo de las operaciones repo o reporto, simultáneas o de transferencia temporal de valores deberán ser tenidos en cuenta para los efectos previstos en este artículo, mientras permanezcan en el balance del enajenante, originador o receptor, según sea el caso, conforme a las disposiciones contables que rigen dichas operaciones.
PARÁGRAFO 7. En el caso de los instrumentos financieros derivados, no se aplicará lo dispuesto en el presente artículo y su valor de exposición será la exposición crediticia, según las definiciones contenidas en el artículo 2.35.1.1.1 del presente decreto.
ARTÍCULO 2.1.1.3.5 VALOR DE EXPOSICIÓN DE LAS CONTINGENCIAS. <Artículo modificado por el artículo 9 del Decreto 1477 de 2018. El nuevo texto es el siguiente:> Para efectos de la aplicación de lo previsto en el presente capítulo, el valor de exposición de las contingencias se determinará multiplicando el monto nominal neto de provisiones de las contingencias por el factor de conversión crediticio que corresponda a dicha operación, según la siguiente clasificación:
a) Los sustitutos directos de crédito, tales como las cartas de crédito irrevocables, las aceptaciones bancarias, los avales y garantías, y los contratos de apertura de crédito irrevocables, incluyendo las tarjetas de crédito irrevocables, tienen un factor crediticio del cien por ciento (100%);
b) Las contingencias relacionadas con garantías de cumplimiento otorgadas en licitaciones públicas o privadas, procesos administrativos o judiciales, tienen un factor de conversión crediticio del cincuenta por ciento (50%);
c) Los créditos aprobados no desembolsados, las cartas de crédito revocables y los contratos de apertura de crédito revocables, incluyendo las tarjetas de crédito revocables, en los cuales el riesgo de crédito permanece en el establecimiento de crédito, tienen un factor de conversión crediticio del diez por ciento (10%).
ARTÍCULO 2.1.1.3.6 VALOR DE APALANCAMIENTO. <Artículo adicionado por el artículo 9 del Decreto 1477 de 2018. El nuevo texto es el siguiente:> Corresponde a la suma del valor de todos los activos netos de provisiones, las exposiciones netas en todas las operaciones de reporto o repo, simultaneas y transferencia temporal de valores, las exposiciones crediticias en todos los instrumentos financieros derivados y el valor de exposición de todas las contingencias.
PARÁGRAFO. Los activos que se deduzcan para efectuar el cálculo del Patrimonio Básico Ordinario, en desarrollo del artículo 2.1.1.1.11 del presente decreto, o que se deduzcan para efectuar el cálculo del Patrimonio Técnico, en desarrollo del numeral 10 del artículo 2.1.1.3.2 del presente decreto, se computarán por un valor de cero (0) para efectos de determinar el valor de apalancamiento.
ARTÍCULO 2.1.1.3.7 USO DE CALIFICACIONES DE RIESGO. <Artículo adicionado por el artículo 9 del Decreto 1477 de 2018. El nuevo texto es el siguiente:> Las calificaciones de riesgo a las que hace referencia el presente Capítulo deben estar vigentes y ser efectuadas por una sociedad calificadora de riesgos autorizada por la Superintendencia Financiera de Colombia. Tratándose de entidades ubicadas en el exterior y de títulos emitidos y colocados en el exterior por ellas, deberá utilizarse una calificación efectuada por una sociedad calificadora de riesgos internacionalmente reconocida.
La Superintendencia Financiera de Colombia deberá establecer las correspondencias entre las categorías de ponderación contenidas en el artículo 2.1.1.3.2 del presente decreto y las calificaciones de riesgo de las sociedades calificadoras de riesgos, así como la calificación a utilizar en el caso de que exista más de una calificación vigente.
Siempre que exista una calificación de riesgo específica del activo, la exposición o la contingencia efectuada por una sociedad calificadora de riesgos autorizada por la Superintendencia Financiera de Colombia, deberá utilizarse el porcentaje de ponderación correspondiente a dicha calificación.
Tratándose de entidades ubicadas en el exterior y de títulos emitidos y colocados en el exterior por ellas, siempre que exista una calificación de riesgo específica del activo, la exposición o la contingencia efectuada por una sociedad calificadora internacionalmente reconocida, deberá utilizarse el porcentaje de ponderación correspondiente a dicha calificación. Tratándose de entidades ubicadas en Colombia y de títulos emitidos y colocados en el exterior por ellas, deberá utilizarse el porcentaje de ponderación correspondiente a la calificación de riesgo del emisor otorgada por la sociedad calificadora de riesgos autorizada por la Superintendencia Financiera de Colombia.
En caso de que no exista una calificación de riesgo específica al activo, la exposición o la contingencia, podrá utilizarse el porcentaje de ponderación correspondiente a otro activo, exposición o contingencia del mismo emisor o contraparte, o la calificación del emisor o contraparte, siempre y cuando se cumplan las siguientes condiciones:
a) Que el activo, la exposición o la contingencia no calificado no sea subordinado y esté denominado en la moneda legal en curso en el domicilio del emisor;
b) Que la calificación de riesgo específica no corresponda a un activo o contingencia de corto plazo.
En caso contrario, deberán utilizarse los porcentajes de ponderación de los activos, las exposiciones o las contingencias sin calificación a que haya lugar según el artículo 2.1.1.3.2 del presente decreto.
En todo caso, los establecimientos de crédito deben contar con políticas, procesos, sistemas y controles internos efectivos para verificar que las ponderaciones asignadas a los activos, exposiciones y contingencias sean apropiadas. Cuando el análisis interno refleje características de mayor riesgo que las propias de la calificación de riesgo del activo, la exposición o la contraparte, debe usarse la ponderación correspondiente a la calificación de mayor riesgo que mejor se ajuste, según lo previsto en el artículo 2.1.1.3.2 del presente decreto, e informar de tal ajuste a la Superintendencia Financiera de Colombia.
ARTÍCULO 2.1.1.3.8 DETALLE DE LA CLASIFICACIÓN DE ACTIVOS. <Artículo modificado por el artículo 9 del Decreto 1477 de 2018. El nuevo texto es el siguiente:> La Superintendencia Financiera de Colombia impartirá las instrucciones necesarias para la clasificación de la totalidad de los activos, las exposiciones y las contingencias dentro de las categorías determinadas en los artículos 2.1.1.3.2 y 2.1.1.3.5 de este decreto.
ARTÍCULO 2.1.1.3.9. VALOR DE EXPOSICIÓN A LOS RIESGOS OPERACIONALES. <Artículo adicionado por el artículo 4 del Decreto 1421 de 2019. El nuevo texto es el siguiente:> Para efectos de este Capítulo el valor de exposición a los riesgos operacionales se determinará como el resultado de multiplicar el indicador de negocio del numeral 1 por el coeficiente de riesgo operacional del numeral 2 y por el indicador de pérdida interna del numeral 3, del presente artículo.
1. Indicador de negocio. Corresponde a la suma de los siguientes componentes:
1.1. El menor valor entre: i) dos punto veinticinco por ciento (2.25%) del promedio anual del valor bruto de los activos que devengan intereses registrados en los últimos tres (3) años a la fecha de cálculo y ii) el promedio anual del valor absoluto, para los últimos tres (3) años a la fecha de cálculo, de la diferencia entre los ingresos por intereses y operaciones de leasing menos los gastos por intereses y operaciones de leasing.
1.2. El mayor valor entre los ingresos por honorarios y comisiones y los gastos por honorarios y comisiones. Para ello se tomará el promedio anual de los ingresos y de los gastos para los últimos tres (3) años a la fecha de cálculo.
1.3. El mayor valor entre los ingresos por recuperaciones de riesgo operacional y los gastos por riesgo operacional. Para ello se tomará el promedio anual de los ingresos y de los gastos para los últimos tres (3) años a la fecha de cálculo.
1.4. El promedio anual del valor absoluto de la ganancia neta o pérdida neta del portafolio de inversiones a valor razonable para los últimos tres (3) años a la fecha de cálculo.
1.5. El promedio anual del valor absoluto de la ganancia neta o pérdida neta del portafolio de inversiones a costo amortizado para los últimos tres (3) años a la fecha de cálculo.
1.6. El promedio anual del valor absoluto de la ganancia neta o pérdida neta por inversiones en subsidiarias, asociadas, negocios conjuntos, operaciones conjuntas y participaciones no controladoras, para los últimos tres (3) años a la fecha de cálculo.
1.7. El promedio anual de los ingresos por dividendos recibidos en los últimos tres (3) años a la fecha de cálculo.
2. Coeficiente de riesgo operacional. El coeficiente de riesgo operacional corresponde a doce por ciento (12%). Cuando el indicador de negocio supere tres billones de pesos ($3'000.000.000.000), el coeficiente de riesgo operacional corresponde a quince por ciento (15%) para el monto del indicador de negocio en exceso de dicho valor.
3. Indicador de pérdida interna. Para determinar este indicador se sigue el proceso descrito a continuación:
3.1. Multiplicar por quince (15) veces el promedio anual de las pérdidas por riesgos operacionales, netas de sus respectivas recuperaciones, registradas en los últimos diez (10) años a la fecha de cálculo.
3.2. Multiplicar el indicador de negocio del numeral 1 por el coeficiente de riesgo operacional del numeral 2 del presente artículo.
3.3. Dividir el resultado del numeral 3.1 entre el resultado del 3.2 del presente artículo.
3.4. Se busca en la siguiente tabla el indicador de pérdida interna correspondiente al cociente calculado en el numeral 3.3 del presente artículo:
| Cociente (c) | Indicador de pérdida interna |
| 0 < c < 0.2 | 0.7 |
| 0.2 < c < 0.4 | 0.8 |
| 0.4 < c < 0.7 | 0.9 |
| 0.7 <c< 1 | 1 |
| 1 < c < 1.4 | 1.1 |
| 1.4 < c < 1.8 | 1.2 |
| 1.8 < c< 2.3 | 1.3 |
| 2.3 < c< 2.9 | 1.4 |
| 2.9 < c < 3.6 | 1.5 |
| 3.6 < c < 4.4 | 1.6 |
| 4.4 < c | 1.7 |
PARÁGRAFO 1o. Los siguientes ingresos y gastos no se deben incluir en los cálculos de los indicadores establecidos en los numerales 1 y 3 del presente artículo:
a) Primas pagadas o reembolsos recibidos de pólizas de seguros.
b) Gastos administrativos, incluidos gastos de personal, tercerización (outsourcing) de servicios no financieros, gastos informáticos, de suministros públicos, telefónicos, de viajes, de material de oficina, postales. Así mismo, la recuperación de dichos gastos administrativos, incluida la recuperación de pagos por cuenta de clientes.
c) Gastos de activos fijos, excepto los derivados de eventos de pérdida por riesgo operacional.
d) Depreciación de activos tangibles e intangibles, excepto la relacionada con activos en leasing operativo, que deberá incluirse en los gastos por operaciones de leasing.
e) Provisiones o reversión de provisiones, salvo las relacionadas con eventos de pérdidas por riesgo operacional.
f) Deterioro de valor o reversión del deterioro de valor, por ejemplo, de activos financieros, activos no financieros, inversiones en filiales, negocios conjuntos o asociadas.
g) Variación de la plusvalía o crédito mercantil reconocida en resultados del ejercicio.
h) Impuesto a la renta y complementarios.
i) Otros ingresos y gastos similares a los descritos en el presente parágrafo que determine la Superintendencia Financiera de Colombia.
PARÁGRAFO 2o. Cuando una entidad no cuente con registros anuales de pérdidas por riesgo operacional para los últimos diez (10) años, el indicador de pérdida interna del numeral 3. del presente artículo será igual a uno (1).
La Superintendencia Financiera de Colombia podrá exigir a una entidad que utilice un indicador de pérdida interna superior a uno (1) cuando, con base en criterios técnicos y objetivos, determine que su sistema de registro de pérdidas por riesgo operacional no sea de alta calidad. En todo caso, el indicador de pérdida interna no podrá ser superior a uno punto siete (1.7).
Lo anterior sin perjuicio de las sanciones que correspondan conforme a las facultades legales de la Superintendencia Financiera de Colombia.
PARÁGRAFO 3o. El valor en pesos indicado en el numeral 2 del presente artículo se ajustará anualmente en forma automática en el mismo sentido y porcentaje en que varíe el índice de Precios al Consumidor (IPC) que suministre el DANE. El valor resultante se aproximará al múltiplo en miles de millones de pesos inmediatamente superior. El primer ajuste se realizará en enero de 2022 tomando como base la variación del IPC durante el año 2021.
PARÁGRAFO 4o. La Superintendencia Financiera de Colombia impartirá las instrucciones necesarias para la aplicación de lo dispuesto en el presente artículo, incluyendo la clasificación de la totalidad de los ingresos y gastos.
COLCHONES.
ARTÍCULO 2.1.1.4.1 CUMPLIMIENTO DE LOS COLCHONES. <Artículo adicionado por el artículo 10 del Decreto 1477 de 2018. El nuevo texto es el siguiente:> Los establecimientos de crédito deberán cumplir las reglas sobre los colchones contemplados en este Capítulo, con el fin de aumentar tanto la calidad como la cantidad de capital, proporcionando mayor cobertura a los riesgos asumidos. El Patrimonio Básico Ordinario disponible para el cumplimiento de los colchones de que trata este Capítulo debe ser neto de deducciones y del mínimo requerido para el cumplimiento de las relaciones de solvencia de que trata el Capítulo 1 del Título 1 del Libro 1 de la Parte 2 del presente decreto.
El cumplimiento de las reglas sobre colchones se realizará en forma individual y consolidada por cada establecimiento de crédito. Para estos efectos, los establecimientos de crédito se sujetarán a las normas que, conforme a sus facultades legales, expida la Superintendencia Financiera de Colombia. Las entidades deben cumplir con los colchones en todo momento, independientemente de las fechas de reporte.
ARTÍCULO 2.1.1.4.2. COLCHÓN DE CONSERVACIÓN DE CAPITAL. <Artículo modificado por el artículo 5 del Decreto 1421 de 2019. El nuevo texto es el siguiente:> Corresponde al uno punto cinco por ciento (1.5%) del valor de los activos ponderados por nivel de riesgo crediticio, de mercado y operacional que deberá mantenerse en el Patrimonio Básico Ordinario neto de deducciones en todo momento.
ARTÍCULO 2.1.1.4.3. COLCHÓN PARA ENTIDADES CON IMPORTANCIA SISTÉMICA. <Artículo modificado por el artículo 6 del Decreto 1421 de 2019. El nuevo texto es el siguiente:> Corresponde al uno por ciento (1%) del valor de los activos ponderados por nivel de riesgo crediticio, de mercado y operacional que deberán mantener en el Patrimonio Básico Ordinario neto de deducciones las entidades con importancia sistémica.
PARÁGRAFO. La Superintendencia Financiera de Colombia anualmente publicará el listado de entidades con importancia sistémica con base en una metodología que contenga como mínimo las siguientes categorías: tamaño, interconexión, sustituibilidad y complejidad. Así mismo, deberá especificar el plazo por entidad para dar cumplimiento al colchón de que trata el presente artículo.
ARTÍCULO 2.1.1.4.4. COLCHÓN COMBINADO. <Artículo adicionado por el artículo 10 del Decreto 1477 de 2018. El nuevo texto es el siguiente:> Corresponde a la suma de los colchones descritos con anterioridad en este Capítulo, aplicables a la entidad en un momento determinado.
ARTÍCULO 2.1.1.4.5. INCUMPLIMIENTO DEL COLCHÓN COMBINADO. <Artículo adicionado por el artículo 10 del Decreto 1477 de 2018. El nuevo texto es el siguiente:> En el evento que el Patrimonio Básico Ordinario neto de deducciones disponible para el cumplimiento del colchón combinado sea inferior al requerido, la entidad deberá informarlo de manera inmediata a sus accionistas o asociados y poner esta comunicación en conocimiento de la Superintendencia Financiera de Colombia.
De manera concomitante la entidad deberá establecer un plan de ajuste y enviarlo a la Superintendencia Financiera de Colombia en los términos y condiciones que esta determine. Dicho plan de ajuste deberá contener los mecanismos establecidos por la entidad para reponer el nivel requerido del colchón combinado y el plazo en el cual se completará dicho proceso.
En todo caso, cuando se presente el mencionado incumplimiento y hasta tanto no se complete el plan de ajuste, la entidad y sus subordinadas, tendrán las siguientes limitaciones:
1. La limitación a la distribución de utilidades o excedentes, liberación de reservas, reducción del capital social, y en general, cualquier posibilidad de afectación de recursos por voluntad de la Administración que conlleve una reducción en su patrimonio.
2. La suspensión temporal del pago de dividendos, recompra de acciones, bonificaciones a empleados o cualquier otro programa de pagos discrecionales, de incentivos o erogaciones no ordinarias a partes relacionadas.
Dichas limitaciones estarán sujetas al porcentaje de incumplimiento del colchón combinado según la siguiente tabla:
| Incumplimiento del colchón combinado | Coeficientes mínimos de conservación de cada uno de los elementos distribuibles |
| Menor a 25% | 40% |
| Entre 25% y 50% | 60% |
| Entre 50% y 75% | 80% |
| Mayor a 75% | 100% |
CAPÍTULO IV.
VIGILANCIA Y SANCIONES.
ARTÍCULO 2.1.1.5.1 VIGILANCIA. <Artículo modificado por el artículo 11 del Decreto 1477 de 2018. El nuevo texto es el siguiente:> El cumplimiento individual de las relaciones de solvencia y de los colchones se controlará como mínimo una vez al mes y el cumplimiento consolidado como mínimo una vez al trimestre.
Las entidades deberán cumplir con los niveles mínimos de las relaciones de solvencia y de los colchones en todo momento, independientemente de las fechas de reporte. La Superintendencia Financiera de Colombia impartirá las instrucciones necesarias para la correcta aplicación de lo dispuesto en este título y vigilará el cumplimiento de los niveles adecuados de patrimonio por parte de los establecimientos de crédito.
ARTÍCULO 2.1.1.5.2 SANCIONES. <Artículo modificado por el artículo 11 del Decreto 1477 de 2018. El nuevo texto es el siguiente:> En caso de que un establecimiento de crédito incumpla con los niveles mínimos de relación de solvencia, la Superintendencia Financiera de Colombia le aplicará las sanciones administrativas que correspondan conforme a sus facultades legales.
PARÁGRAFO. Cuando un mismo establecimiento de crédito incumpla la relación de solvencia individualmente y en forma consolidada, se aplicará la sanción que resulte mayor.
LÍMITES INDIVIDUALES DE CRÉDITO.
CUPOS INDIVIDUALES DE ENDEUDAMIENTO.
ARTÍCULO 2.1.2.1.1 LÍMITES INDIVIDUALES DE CRÉDITO.
<Fuente original compilada: D. 2360/93 Art. 1o.> Los establecimientos de crédito deberán efectuar sus operaciones de crédito evitando que se produzca una excesiva exposición individual. Para estos efectos, las instituciones deberán cumplir las normas mínimas establecidas en los títulos 2 y 3 del presente Libro en relación con el monto máximo de crédito que podrán otorgar a una misma persona natural o jurídica.
ARTÍCULO 2.1.2.1.2 CUANTÍA MÁXIMA DEL CUPO INDIVIDUAL.
<Artículo modificado por el artículo 1 del Decreto 816 de 2014. El nuevo texto es el siguiente:> Ningún establecimiento de crédito podrá realizar con persona alguna, directa o indirectamente, operaciones activas de crédito que, conjunta o separadamente, superen el diez por ciento (10%) de su patrimonio técnico, si la única garantía de la operación es el patrimonio del deudor.
Sin embargo, podrán efectuarse con una misma persona, directa o indirectamente, operaciones activas de crédito que conjunta o separadamente no excedan del veinticinco por cierto (25%) del patrimonio técnico, siempre y cuando las operaciones respectivas cuenten con garantías o seguridades admisibles suficientes para amparar el riesgo que exceda del cinco por ciento (5%) de dicho patrimonio, de acuerdo con la evaluación específica que realice previamente la institución.
PARÁGRAFO 1o. Los establecimientos de crédito podrán aumentar el porcentaje al que hace referencia el inciso primero del presente artículo hasta un veinticinco por ciento (25%) de su patrimonio técnico, siempre y cuando el exceso corresponda a financiación de proyectos de infraestructura de la cuarta generación de concesiones viales (4G) bajo el esquema de Asociaciones Público Privadas (APP) descritas en la Ley 1508 de 2012, en los que la Agencia Nacional de Infraestructura (ANI) haga parte de la respectiva APP, siempre y cuando estén incluidos en el listado de proyectos del documento Conpes 3760 del 20 de agosto del 2013, o en el listado de proyectos de los demás documentos CONPES que se aprueben en concordancia con los lineamientos establecidos en el Conpes 3760 de 2013.
PARÁGRAFO 2o. En el caso de la Financiera de Desarrollo Nacional (FDN), la cuantía máxima del cupo individual a la que se refiere este artículo se elevará hasta el cuarenta por ciento (40%) de su patrimonio técnico, cuando el exceso corresponda a la financiación de proyectos de infraestructura. Este cupo individual aplicará siempre que la FDN no tenga en sus balances las siguientes acreencias: depósitos simples, certificados de depósito a término (CDT), depósitos de ahorro, cuentas de ahorro especial, bonos hipotecarios, depósitos especiales, servicios bancarios de recaudo y depósitos electrónicos. En todo caso, a partir de la constitución de alguna de estas acreencias, la FDN no podrá realizar nuevas operaciones activas de crédito con aquellas contrapartes con las que mantenga un porcentaje de concentración superior al límite aplicable a los establecimientos de crédito en general.
ARTÍCULO 2.1.2.1.3 GARANTÍAS ADMISIBLES.
<Fuente original compilada: D. 2360/93 Art. 3o.> Para los propósitos del artículo anterior, se considerarán garantías o seguridades admisibles para garantizar obligaciones que en conjunto excedan del diez por ciento (10%) del patrimonio técnico aquellas garantías o seguridades que cumplan las siguientes condiciones:
a) Que la garantía o seguridad constituida tenga un valor, establecido con base en criterios técnicos y objetivos, que sea suficiente para cubrir el monto de la obligación; y
b) Que la garantía o seguridad ofrezca un respaldo jurídicamente eficaz al pago de la obligación garantizada al otorgar al acreedor una preferencia o mejor derecho para obtener el pago de la obligación.
ARTÍCULO 2.1.2.1.4 CLASES DE GARANTÍAS O SEGURIDADES ADMISIBLES.
<Fuente original compilada: D. 2360/93 Art. 4o.> Las siguientes clases de garantías o seguridades siempre que cumplan las características generales indicadas en el artículo anterior, se considerarán como admisibles:
a) Contratos de hipoteca;
b) Contratos de prenda, con o sin tenencia y los bonos de prenda;
c) (Adicionado por el artículo 1 del decreto 686 de 1999) Las garantías otorgadas por el Fondo Nacional de Garantías S. A.
d) Depósitos de dinero de que trata el artículo 1173 del Código de Comercio;
e) Pignoración de rentas de la Nación, sus entidades territoriales de todos los órdenes y sus entidades descentralizadas;
f) Contratos irrevocables de fiducia mercantil de garantía, inclusive aquéllos que versen sobre rentas derivadas de contratos de concesión;
g) Aportes a cooperativas en los términos del artículo 49 de la Ley 79 de 1988;
h) La garantía personal de personas jurídicas que tengan en circulación en el mercado de valores papeles no avalados calificados como de primera clase por empresas calificadoras de valores debidamente inscritas en la Superintendencia Financiera de Colombia. Sin embargo, con esta garantía no se podrá respaldar obligaciones que representen más del quince por ciento (15%) del patrimonio técnico de la institución acreedora.
i) <Literal adicionado por el artículo 1 del Decreto 466 de 2016. El nuevo texto es el siguiente:> Las garantías mobiliarias que se constituyan de acuerdo con lo establecido en la Ley 1676 de 2013.
PARÁGRAFO 1. Los contratos de garantía a que se refiere el presente artículo podrán versar sobre rentas derivadas de contratos de arrendamiento financiero o leasing, o sobre acciones de sociedades inscritas en bolsa. Cuando la garantía consista en acciones de sociedades no inscritas en bolsa o participaciones en sociedades distintas de las anónimas, el valor de la garantía no podrá establecerse sino con base en estados financieros de la empresa que hayan sido auditados previamente por firmas de auditoría independientes, cuya capacidad e idoneidad sea suficiente a juicio de la Superintendencia Financiera de Colombia.
PARÁGRAFO 2. La enumeración de garantías admisibles contemplada en este artículo no es taxativa; por lo tanto, serán garantías admisibles aquellas que, sin estar comprendidas en las clases enumeradas en este artículo, cumplan las características señaladas en el artículo anterior.
ARTÍCULO 2.1.2.1.5 SEGURIDADES NO ADMISIBLES.
<Artículo modificado por el artículo 2 del Decreto 466 de 2016. El nuevo texto es el siguiente:> No serán admisibles como garantías o seguridades para los propósitos de los Títulos 2 y 3 del presente Libro, aquellas que consistan en la entrega de títulos valores, salvo que se trate de la pignoración de títulos valores emitidos, aceptados o garantizados por instituciones financieras o entidades emisoras de valores en el mercado público.
Tampoco serán garantías admisibles para un establecimiento de crédito las acciones, títulos valores, certificados de depósito a término, o cualquier otro documento de su propio crédito o que haya sido emitido por su matriz o por sus subordinadas, con excepción de los certificados de depósito emitidos por almacenes generales de depósito.
ARTÍCULO 2.1.2.1.6 OPERACIONES COMPUTABLES.
<Fuente original compilada: D. 2360/93 Art. 6o. Modificado por el D. 1796/08 Art. 16> Para los efectos de los títulos 2 y 3 de este Libro, se computarán dentro del cupo individual de crédito, además de las operaciones de mutuo o préstamo de dinero, la aceptación de letras, el otorgamiento de avales y demás garantías, la apertura de crédito, los préstamos de cualquier clase, la apertura de cartas de crédito, los descuentos y demás operaciones activas de crédito de los establecimientos de crédito.
Sin embargo, las garantías otorgadas por los establecimientos de crédito, distintas de aquellas que respalden operaciones con instrumentos financieros derivados y las que aseguren el pago de títulos valores, se computarán para el cumplimiento de los cupos individuales de crédito solamente por el cincuenta por ciento (50%) de su valor, siempre y cuando no excedan respecto de un mismo deudor del cinco por ciento (5%) del patrimonio técnico de la institución acreedora.
<Inciso modificado por el artículo 1 del Decreto 2219 de 2017. El nuevo texto es el siguiente:> También computarán dentro del cupo individual de crédito las exposiciones netas en operaciones de reporto o repo, simultáneas y de transferencia temporal de valores y las exposiciones crediticias en operaciones con instrumentos financieros derivados, salvo para aquellas operaciones aceptadas por una cámara de riesgo central de contraparte, en cuyo caso tales exposiciones no computarán.
PARÁGRAFO 1. Para los efectos del presente artículo, se entiende como exposición neta en operaciones de reporto o repo, operaciones simultáneas y operaciones de transferencia temporal de valores, el monto que resulte de restar la posición deudora de la posición acreedora que ostenta la entidad en cada operación, siempre que este monto sea positivo. Para el cálculo de dichas posiciones deberán tenerse en cuenta el precio justo de intercambio de los valores cuya propiedad se transfiera y/o la suma de dinero entregada como parte de la operación, así como los intereses o rendimientos causados asociados a la misma.
PARÁGRAFO 2. Para determinar la exposición crediticia en operaciones con instrumentos financieros derivados serán aplicables las definiciones contenidas en el artículo 2.35.1.1.1 del presente decreto.
ARTÍCULO 2.1.2.1.7 EXCEPCIONES.
<Fuente original compilada: D. 2360/93 Art. 7o.> Las siguientes operaciones no se computarán para establecer el cumplimiento de los cupos individuales de crédito:
1. Los empréstitos externos a la Nación.
2. Las operaciones que celebren las instituciones financieras en desarrollo de los programas de adecuación a que se refiere el artículo 2.1.2.1.14 del presente deeto.
3 Las que tengan origen en ventas a plazo de bienes de propiedad de la institución acreedora, cuyo monto sobrepase los porcentajes establecidos en los títulos 2 y 3 del presente Libro y que tengan la autorización previa de la Superintendencia Financiera de Colombia.
4. Las que realicen el Banco de la República o el Fondo de Garantías de Instituciones Financieras- FOGAFIN, como acreedores o garantes, con instituciones financieras.
5. Los créditos de consumo que se otorguen a través de tarjetas de crédito a personas naturales, siempre y cuando el monto del cupo de crédito no supere los diez millones de pesos ($ 10.000.000.00) del año 1994. 6. Los sobregiros sobre canje y operaciones de negociación de cheque sobre otras plazas, cuyo plazo no llegue a ser superior a cinco (5) días y no excedan del cinco por ciento (5%) del patrimonio técnico de la institución acreedora.
7. (Adicionado por el D. 1379/01 Art. 1o.) El exceso sobre los límites previstos en los títulos 2 y 3 del presente Libro que se origine en la realización de operaciones activas de crédito con las entidades territoriales en desarrollo de acuerdos de reestructuración celebrados en los términos de la Ley 550 de 1999 o de la Ley 617 de 2000, siempre y cuando el mismo se encuentre respaldado con garantía de la Nación. En consecuencia, los créditos otorgados o que se otorguen a las entidades territoriales computarán para establecer los cupos de crédito previstos en este decreto, así cuenten con la garantía de la Nación, salvo aquella parte que constituya el exceso.
ARTÍCULO 2.1.2.1.8 CUPOS INDIVIDUALES DE INSTITUCIONES FINANCIERAS.
<Fuente original compilada: D. 2360/93 Art. 8o. Modificado por el D. 1384/95 Art. 1o.> Los cupos individuales de crédito previstos en los títulos 2 y 3 del presente Libro podrán alcanzar hasta el treinta por ciento (30%) del patrimonio técnico del otorgante del crédito, tratándose de operaciones realizadas con instituciones financieras.
No obstante, las obligaciones a cargo de instituciones financieras por concepto de operaciones de redescuento con Finagro, Findeter y Bancoldex, no estarán sujetos a los límites de que trata este capítulo.
ARTÍCULO 2.1.2.1.9 LÍMITES ESPECIALES.
<Fuente original compilada: D. 2360/93 Art. 9o. Modificado por el D. 1201/00 Art. 1o. Modificado por el D. 1360/05> Las operaciones de crédito cuyo pago se garantice con una carta de crédito standby expedida por una entidad financiera del exterior, podrán alcanzar hasta el cuarenta por ciento (40%) del patrimonio técnico del respectivo establecimiento de crédito. Si la entidad financiera del exterior que otorga la carta de crédito stand-by es matriz o subordinada del establecimiento de crédito, las operaciones de crédito solamente podrán alcanzar hasta el treinta por ciento (30%) de dicho patrimonio.
Para efectos del límite a que se hace mención en el inciso anterior, la respectiva carta de crédito stand-by deberá cumplir con las siguientes características:
a) Ser expedida por una entidad financiera del exterior cuya calificación de largo plazo más reciente, con base en los índices que determine la Superintendencia Financiera de Colombia, sea igual o superior a A o A2. La Superintendencia Financiera de Colombia determinará la forma de acreditar la calificación;
b) Ser expedida única e irrevocablemente a favor del respectivo establecimiento;
c) Ser pagada a su solo requerimiento;
d) Ser avisada por un “Banco Avisador” en Colombia.
Las garantías otorgadas por una filial en el exterior de establecimientos de crédito del país podrán alcanzar hasta el veinticinco por ciento (25%) del patrimonio técnico de la institución matriz colombiana.
El incumplimiento a lo previsto en el presente artículo dará lugar a las sanciones correspondientes a la violación de las disposiciones sobre límites de crédito, las cuales serán impuestas por la Superintendencia Financiera de Colombia, sobre la totalidad del exceso.
ARTÍCULO 2.1.2.1.10 OPERACIONES QUE SE ENTIENDEN REALIZADAS CON UNA MISMA PERSONA JURÍDICA.
<Fuente original compilada: D. 2360/93 Art. 10> Para los efectos de los títulos 2 y 3 del presente Libro se entenderán efectuadas con una misma persona jurídica, además de las operaciones realizadas con ésta, las siguientes:
1. Las celebradas con las personas jurídicas en las cuales tenga más del cincuenta por ciento (50%) del capital o de los derechos de voto, o el derecho de nombrar más de la mitad de los miembros del órgano de administración.
2. Las celebradas con personas jurídicas en las cuales sea accionista o asociado y la mayoría de los miembros de los órganos de administración o control hayan sido designados por el ejercicio de su derecho de voto, salvo que otra persona tenga respecto de ella los derechos o atribuciones a que se refiere el numeral anterior.
3. Las celebradas con personas jurídicas de las cuales sea accionista o asociado, cuando por convenio con los demás accionistas de la sociedad controle más del cincuenta por ciento (50%) de los derechos de voto de la correspondiente entidad.
4. Las celebradas con personas jurídicas en las cuales, aquella o quienes la controlen, tengan una participación en el capital igual o superior al veinte por ciento (20%), siempre y cuando la entidad accionista como aquélla de la cual es socia o asociada se encuentren colocadas bajo una dirección única o sus órganos de administración, de dirección o de control estén compuestos o se encuentren mayoritariamente controlados por las mismas personas.
PARÁGRAFO 1. Para la aplicación de lo dispuesto en este artículo se tendrán en cuenta, además de los derechos de voto o de nombramiento de la persona jurídica, los mismos derechos de una filial o subsidiaria suya y los de cualquier otra persona que obre en su nombre o de sus filiales o subsidiarias.
PARÁGRAFO 2. Para estos mismos efectos no se considerarán los derechos de voto o nombramiento que se deriven de acciones o derechos de voto poseídos por cuenta de terceros o en garantía, siempre que en este último caso los derechos de voto se ejerzan en interés de quien ofrece la garantía.
PARÁGRAFO 3. En todo caso, el establecimiento de crédito deberá acumular las obligaciones de personas jurídicas que representen un riesgo común o singular cuando, por tener accionistas o asociados comunes, administradores comunes, garantías cruzadas o una interdependencia comercial directa que no puede sustituirse a corto plazo, en el evento en que se presentara una grave situación financiera para una de ellas se afectaría sustancialmente la condición financiera de la otra u otras, o cuando el mismo factor que pudiera determinar una difícil situación para una de ellas también afectaría en un grado semejante a las demás.
PARÁGRAFO 4. (Adicionado por el D. 2653/93 Art. 4o.)Las personas jurídicas de derecho público y las entidades descentralizadas del sector público en sus diferentes órdenes no serán sujetos de la aplicación de lo previsto en el presente artículo.
ARTÍCULO 2.1.2.1.11 ACUMULACIÓN EN PERSONAS NATURALES.
<Fuente original compilada: D. 2360/93 Art. 11> Se entenderán otorgadas a una misma persona natural, las siguientes operaciones:
1. Las otorgadas a su cónyuge, compañero o compañera permanente y los parientes dentro del 2o grado de consanguinidad, 2o de afinidad y único civil.
2. Las celebradas con personas jurídicas respecto de las cuales la persona natural, su cónyuge, compañero o compañera permanente o los parientes indicados en el numeral anterior se encuentren en alguno de los supuestos de acumulación contemplados en el artículo 2.1.2.1.10 del presente decreto.
ARTÍCULO 2.1.2.1.12 EXCEPCIÓN A LA ACUMULACIÓN.
<Fuente original compilada: D. 2360/93 Art. 12> No será aplicable lo dispuesto en el artículo 2.1.2.1.10 del presente decreto cuando se trate de inversionistas institucionales o sociedades cuyo objeto principal y exclusivo sea la realización de inversiones en el mercado de capitales, previa autorización en cada caso de la Superintendencia Financiera de Colombia, siempre que se compruebe la existencia de las siguientes circunstancias entre las personas jurídicas cuyos créditos deben acumularse:
a) Cuando la sociedad no ha intervenido, directa o indirectamente, en la gestión de la empresa ni se propone hacerlo durante el período de vigencia de la operación de crédito respectiva.
b) Cuando durante los cinco años anteriores a la solicitud no haya concurrido a designar administradores o, habiéndolo hecho, no son administradores ni funcionarios de la matriz y han ejercido sus funciones al margen de cualquier influencia de la matriz.
No será aplicable lo dispuesto en el numeral 1o del artículo 2.1.2.1.11 cuando la persona natural respecto de la cual vaya a efectuarse la acumulación haya declarado previamente bajo juramento a la Superintendencia Financiera de Colombia que actúa bajo intereses económicos contrapuestos o independientes.
PARÁGRAFO. Las excepciones señaladas en este artículo no serán aplicables en aquellos casos en los cuales la entidad que realiza la operación disponga de información según la cual de todos modos deben considerarse como un riesgo común o singular.
ARTÍCULO 2.1.2.1.13 CUPOS PARA ACCIONISTAS.
<Fuente original compilada: D. 2360/93 Art. 13> El límite máximo consagrado en el inciso 2o del artículo 2.1.2.1.2 de este decreto será del veinte por ciento (20%) respecto de accionistas que tengan una participación, directa o indirecta en su capital, igual o superior a dicho porcentaje.
Respecto de los demás accionistas, las normas de los títulos 2 y 3 del presente Libro se aplicarán de la misma forma que a terceros.
El cómputo de obligaciones a cargo de una misma persona, cuando se trate de accionistas, se realizará en la misma forma indicada en los artículos anteriores con la salvedad de que no habrá lugar a las excepciones previstas en el artículo anterior y que se sumarán también las obligaciones contraídas por parientes dentro del tercer grado de consanguinidad y segundo de afinidad.
ARTÍCULO 2.1.2.1.14 PROGRAMAS DE ADECUACIÓN.
<Fuente original compilada: D. 2360/93 Art. 14> Las normas sobre límites de crédito previstas en este capítulo no se aplicarán a las prórrogas, novaciones y demás operaciones que celebren las instituciones financieras en desarrollo de programas de adecuación a los límites previstos en los títulos 2 y 3 del presente Libro, de procesos de fusión o, en general, de solución a situaciones de concentración crediticia que se produzcan como resultado de su entrada en vigencia; dichos programas deberán ser aprobados y supervisados por la Superintendencia Financiera de Colombia.
Lo anterior sin perjuicio de las sanciones a que hubiere lugar por las infracciones cometidas con anterioridad al 26 de noviembre de 1993.
ARTÍCULO 2.1.2.1.15 LÍMITES RESPECTO DE RESIDENTES EN EL EXTERIOR.
<Fuente original compilada: D. 2360/93 Art. 15> En sus operaciones activas de crédito con las personas que tengan domicilio principal en el exterior, las instituciones financieras deberán contar con un concepto independiente, técnico y fundado sobre la existencia, titularidad e idoneidad de las garantías ofrecidas por el deudor, lo mismo que sobre la efectividad de tales garantías bajo la legislación respectiva, excepto cuando se trate de operaciones garantizadas específicamente por instituciones financieras del exterior, a que se refiere el artículo 2.1.2.1.9 de este decreto.
ARTÍCULO 2.1.2.1.16 CUPOS DE CRÉDITO EN FORMA CONSOLIDADA.
<Fuente original compilada: D. 2360/93 Art. 16> Los establecimientos de crédito que tengan filiales en el exterior deberán consolidar con éstas sus operaciones de crédito individuales. Por lo tanto, las entidades matrices no podrán efectuar operaciones de crédito con una misma persona natural o jurídica que, incluyendo las operaciones realizadas por sus filiales, excedan de los porcentajes y límites máximos establecidos en este capítulo.
En este caso, los límites respectivos se aplicarán respecto del patrimonio técnico de las entidades respectivas calculado con base en balances consolidados de acuerdo con las reglas que dicte al respecto la Superintendencia Financiera de Colombia.
Para efectos de lo dispuesto en el artículo 208 del Estatuto Orgánico del Sistema Financiero, los límites establecidos en forma consolidada constituirán los límites máximos autorizados para el otorgamiento de crédito a los accionistas respecto de entidades que conforme a los títulos 2 y 3 del presente Libro deban consolidar sus riesgos individuales.
ARTÍCULO 2.1.2.1.17 CUPOS DE CRÉDITO DE OTRAS ENTIDADES.
<Fuente original compilada: D. 2360/93 Art. 17> Lo dispuesto en el presente capítulo será aplicable a las demás entidades sometidas al control y vigilancia de la Superintendencia Financiera de Colombia.
En tal caso, el nivel adecuado de patrimonio que reflejen para dar cumplimiento a las normas de solvencia vigentes para cada tipo de entidad se considerará como patrimonio técnico.
ARTÍCULO 2.1.2.1.18 CRÉDITOS CONCEDIDOS A LA NACIÓN.
<Fuente original compilada: D. 1862/99 Art. 1o.> Los créditos concedidos a la Nación, cuyos plazos no sean mayores a ciento ochenta (180) días, no se tendrán en cuenta para establecer los límites de que tratan los títulos 2 y 3 del presente Libro.
LÍMITES DE CONCENTRACIÓN DE RIESGOS.
ARTÍCULO 2.1.3.1.1 CONCENTRACIÓN DE RIESGOS.
<Fuente original compilada: D. 2360/93 Art. 18 Modificado por el Decreto 343 de 2007 Art. 12> Además de los límites de concentración de crédito fijados en el Capítulo I del Titulo 2 del presente Libro, establécense también límites de concentración de riesgos a los establecimientos de crédito. Para este efecto, se computarán como riesgos las operaciones activas de crédito en los términos del Capítulo I del Titulo 2 del presente libro, los activos entregados en arrendamiento financiero o leasing a la misma persona natural o jurídica conforme a las mismas reglas de dicho capítulo, lo mismo que las inversiones en acciones o participaciones en las empresas deudoras o en bonos u otros títulos negociables en el mercado emitidos por las mismas.
Para el cómputo de este límite, los activos entregados en arrendamiento financiero o leasing se computarán por el cincuenta por ciento (50%) del valor del bien. Este porcentaje será del setenta y cinco por ciento (75%) cuando, a juicio de la entidad, el bien dado en arrendamiento financiero no sea susceptible de enajenarse fácilmente en el mercado secundario sin pérdida significativa sobre su valor en libros.
Los valores entregados en desarrollo de las operaciones de reporto o repo, operaciones simultáneas y operaciones de transferencia temporal de valores, también serán tenidos en cuenta para el cómputo de los límites de que trata el presente artículo, con excepción de aquellos obtenidos previamente en el desarrollo de las mencionadas operaciones.
PARÁGRAFO 1. Los valores transferidos en desarrollo de las operaciones repo o reporto, simultáneas o de transferencia temporal de valores deberán ser tenidos en cuenta para los efectos previstos en este artículo, mientras permanezcan en el balance del enajenante, originador o receptor, según sea el caso, conforme a las disposiciones contables que rigen dichas operaciones.
PARÁGRAFO 2. <Parágrafo modificado por el artículo 2 del Decreto 2219 de 2017. El nuevo texto es el siguiente:> Con respecto a los valores recibidos en desarrollo de las operaciones de reporto o repo, operaciones simultáneas y operaciones de transferencia temporal de valores, estos computarán por un monto equivalente al cincuenta por ciento (50%) de su valor, salvo cuando estos se hayan recibido por virtud de operaciones con la Nación, con el Banco de la República o aquellas aceptadas por una cámara de riesgo central de contraparte, en cuyo caso tales valores no computarán.
ARTÍCULO 2.1.3.1.2 LÍMITE DE CONCENTRACIÓN DE RIESGOS.
<Fuente original compilada: D. 2360/93 Art. 18> El límite de concentración de riesgos de que trata el artículo anterior será equivalente al treinta por ciento (30%) del patrimonio técnico del respectivo establecimiento, excepto en el caso de las corporaciones financieras que será del treinta y cinco por ciento (35%) del patrimonio técnico.
(Inciso adicionado por el D. 3011/05 Art. 1o.) Para las operaciones de crédito realizadas en los términos del artículo 2.1.2.1.9 del presente decreto, el límite de concentración de riesgos será equivalente al cuarenta por ciento (40%) del patrimonio técnico del respectivo establecimiento de crédito.
ARTÍCULO 2.1.3.1.3 INFORMACIÓN A LA SUPERINTENDENCIA FINANCIERA DE COLOMBIA. <Fuente original compilada: D. 2360/93 Art. 20> Toda situación de concentración de riesgo superior al diez por ciento (10%) del patrimonio técnico, que se produzca de acuerdo con las normas de los títulos 2 y 3 del presente Libro , cualquiera que sean las garantías existentes, deberá ser reportada trimestralmente a la Superintendencia Financiera de Colombia.
Así mismo, en la misma oportunidad deberán informarse las clases y montos de las garantías vigentes para la operación, lo mismo que las prórrogas, renovaciones o refinanciaciones de las obligaciones que conforman la concentración de riesgo.
ARTÍCULO 2.1.3.1.4 VOLUMEN MÁXIMO DE SITUACIONES DE CONCENTRACIÓN DE RIESGO.
<Fuente original compilada: D. 2360/93 Art. 21> Los establecimientos de crédito no podrán mantener situaciones de concentración de riesgo a que se refiere el artículo anterior que en su conjunto excedan de ocho (8) veces su patrimonio técnico.
<Fuente original compilada: D. 2360/93 Art. 22> El incumplimiento de las normas sobre concentración de riesgos previstas en el presente Título dará lugar a la imposición de las sanciones a que se refieren los artículos 209 y 211 del Estatuto Orgánico del Sistema Financiero.
ARTÍCULO 2.1.3.1.6 DEFINICIÓN DE PATRIMONIO TÉCNICO.
<Fuente original compilada: D. 2360/93 Art. 23> Para efectos de la aplicación de lo previsto en los títulos 2 y 3 del presente Libro, se considerará como patrimonio técnico el definido como tal para el cumplimiento de las normas sobre niveles adecuados de patrimonio.
Además, el patrimonio técnico será el calculado con base en el último balance mensual que se haya transmitido a la Superintendencia Financiera de Colombia.
En el evento de que no se produzca la transmisión oportunamente y la información contable disponible por la entidad indica que el patrimonio técnico inferior al último transmitido a la Superintendencia Financiera de Colombia, deberá tomarse en cuenta para los títulos 2 y 3 del presente Libro dicha, información contable.
PUBLICACIÓN DE INFORMACIÓN RELACIONADA CON LOS SISTEMAS
ABIERTOS DE TARJETAS DÉBITO Y CRÉDITO.
ARTÍCULO 2.1.4.1.1 DEFINICIONES.<Tïtulo derogado por el artículo 4 del Decreto 1692 de 2020>
ARTÍCULO 2.1.4.1.2 INFORMACIÓN A LOS USUARIOS DE LOS SISTEMAS ABIERTOS DE TARJETAS DÉBITO Y CRÉDITO. <Tïtulo derogado por el artículo 4 del Decreto 1692 de 2020>
ARTÍCULO 2.1.4.1.3 PUBLICACIÓN. <Tïtulo derogado por el artículo 4 del Decreto 1692 de 2020>
INDICADORES DE DETERIORO FINANCIERO.
ARTÍCULO 2.1.5.1.1 INDICADORES.
<Fuente original compilada: D. 2817/00 Art. 1o.> Los indicadores que se describen en este Título son los que permiten inferir un deterioro efectivo o potencial en la situación financiera de los establecimientos de crédito sujetos al control y vigilancia de la Superintendencia Financiera de Colombia. Tal deterioro dará lugar a que se adopten los programas de recuperación previstos en el numeral 6 del artículo 113 del Estatuto Orgánico del Sistema Financiero.
Los programas de recuperación adoptados en los términos de este decreto, son de obligatorio cumplimiento para los establecimientos de crédito sujetos al control y vigilancia de la Superintendencia Financiera de Colombia.
ARTÍCULO 2.1.5.1.2 RELACIÓN DE INDICADORES.
<Fuente original compilada: D. 2817/00 Art. 2o.>Los indicadores que permiten inferir la situación de deterioro financiero son:
2.1 Indicador de solvencia:
Comportamiento de la relación de solvencia. Cuando un establecimiento de crédito presente, en tres (3) meses consecutivos, defectos en la relación de solvencia, la cual se define en los términos del Capítulo I del Título 1 del presente Libro, tal institución financiera deberá ejecutar un programa de recuperación, de acuerdo con los términos indicados en este Título. Sin embargo, la Superintendencia Financiera de Colombia podrá ordenar la iniciación del procedimiento previsto en el artículo 2.1.5.1.5 y, en consecuencia será obligatoria la ejecución del programa de recuperación, si el defecto se presenta en dos (2) meses consecutivos.
2.2 Indicador de liquidez:
Incumplimiento del requerimiento legal del encaje. Cuando en dos oportunidades consecutivas, o en tres oportunidades dentro un plazo de tres (3) meses, un establecimiento de crédito presente defectos en los promedios diarios en la posición bisemanal de encaje que está obligado a mantener, según las disposiciones dictadas por la Junta Directiva del Banco de la República, tal establecimiento de crédito deberá ejecutar un programa de recuperación de acuerdo con los términos indicados en este Título.
2.3 Indicador de gestión:
Calificación de Gestión. Para los exclusivos fines de este decreto la calificación de la gestión desarrollada por un establecimiento de crédito se efectuará a partir de la identificación de prácticas de gestión que pongan en peligro su situación de solvencia o liquidez. La Superintendencia Financiera de Colombia, en uso de las facultades de supervisión, prevención y sanción que le otorga el Estatuto Orgánico del Sistema Financiero, especialmente los numerales 4 y 5 del artículo 326, identificará las prácticas ilegales, no autorizadas o inseguras que darán lugar a que la respectiva entidad deba ejecutar un programa de recuperación, de acuerdo con los términos indicados en este Título.
ARTÍCULO 2.1.5.1.3 PROGRAMA DE RECUPERACIÓN.
<Fuente original compilada: D. 2817/00 Art. 3o.>Para los efectos de este Título se define como programa de recuperación la medida adoptada por la Superintendencia Financiera de Colombia encaminada a evitar que el respectivo establecimiento de crédito incurra en causal de toma de posesión o para subsanarla.
Tal medida puede consistir, además de las previstas en el artículo 113 del Estatuto Orgánico del Sistema Financiero, en:
a) Capitalizaciones;
b) Reducciones forzosas de capital a una cifra no inferior al valor del patrimonio neto;
c) Colocación obligatoria de acciones sin sujeción al derecho de preferencia;
d) Venta forzosa, cesión o cualquier otra enajenación de activos, sean productivos o improductivos;
e) Castigo de cartera;
f) Constitución de provisiones;
g) Prohibición de distribuir utilidades;
h) Creación de mecanismos temporales de administración con o sin personería jurídica;
i) Adopción de programas concretos para mejorar la recuperación de activos;
j) Recomposición de pasivos;
k) Redimensionamiento de la actividad crediticia, o de la estructura operativa o administrativa;
l) Remoción de administradores, y
m) En general, cualquier otra medida orientada a producir cambios institucionales para prevenir futuros deterioros financieros y mejorar la eficiencia y eficacia de la gestión del respectivo establecimiento de crédito.
ARTÍCULO 2.1.5.1.4 INICIACIÓN DE PROCEDIMIENTO.
<Fuente original compilada: D. 2817/00 Art. 4o.>En caso de que, bajo fundadas razones, la Superintendencia Financiera de Colombia prevea que en algún establecimiento de crédito se pueda llegar a presentar cualquiera de los eventos descritos en los numerales 2.1 o 2.2 del artículo 2.1.5.1.2 de este decreto, podrá ordenar la iniciación del procedimiento previsto en el artículo 2.1.5.1.5 y, en consecuencia, será obligatoria la ejecución de un programa de recuperación con arreglo a lo establecido en el presente Título.
ARTÍCULO 2.1.5.1.5 PROCEDIMIENTO.
<Fuente original compilada: D. 2817/00 Art. 5o.>Una vez la Superintendencia Financiera de Colombia establezca la existencia de cualquiera de los eventos descritos en el artículo 2.1.5.1.2 o se den los supuestos previstos en el artículo 2.1.5.1.4, se deberá seguir el siguiente procedimiento encaminado a la adopción del programa de recuperación:
1. La Superintendencia Financiera de Colombia informará por escrito la iniciación del procedimiento por encontrarse el respectivo establecimiento de crédito dentro de uno cualquiera de los eventos descritos en el 2.1.5.1.2 o dentro de los supuestos previstos en el artículo 2.1.5.1.4.
2. El establecimiento de crédito, dentro de los diez (10) días siguientes a la fecha de la notificación prevista en el numeral anterior, deberá presentar una propuesta de programa de recuperación. Tal propuesta deberá estar dirigida a subsanar de manera eficaz las causas que dan origen al deterioro financiero inferido a partir de la existencia de los eventos descritos en el artículo 2.1.5.1.2 de este decreto, o de los supuestos previstos en el artículo 2.1.5.1.4 y deberá consistir en una o en varias de las medidas indicadas en el artículo 2.1.5.1.3.
3. La Superintendencia Financiera de Colombia, dentro del término de cinco (5) días, contados a partir de la fecha en que le sea presentada la propuesta de programa de recuperación, la aprobará, la rechazará por considerarla no viable, o le formulará las observaciones o correcciones que estime pertinentes. En caso de aprobación, dentro del mismo plazo, la Superintendencia Financiera de Colombia adoptará formalmente el programa de recuperación que el establecimiento de crédito debe ejecutar.
4. En caso de que la propuesta de programa de recuperación sea rechazada o se le hayan formulado observaciones o correcciones, el establecimiento de crédito, dentro de los cinco días siguientes a la fecha en que le sea informada la situación prevista en el numeral anterior, deberá presentar una nueva propuesta en la cual se hayan atendido de manera completa y suficiente las observaciones formuladas por la Superintendencia Financiera de Colombia.
5. La Superintendencia Financiera de Colombia, dentro de los cinco días siguientes a la presentación de la nueva propuesta de programa de recuperación, lo aprobará o rechazará de manera definitiva.
6. En caso de rechazo la Superintendencia Financiera de Colombia, dentro del plazo indicado en el numeral anterior, adoptará el programa de recuperación que el establecimiento de crédito debe ejecutar, el cual comprenderá una o varias de las medidas previstas en el artículo 2.1.5.1.3 de este decreto.
7 Si la Superintendencia Financiera de Colombia encuentra adecuada la nueva propuesta de programa planteada por el respectivo establecimiento de crédito, adoptará formalmente el programa de recuperación dentro del mismo plazo previsto en el numeral 5 de este artículo.
PARÁGRAFO. Si el establecimiento de crédito detecta que se encuentra dentro de uno cualquiera de los eventos descritos en los numerales 2.1 y 2.2 del artículo 2.1.5.1.2, deberá informar inmediatamente de tal situación a la Superintendencia Financiera de Colombia para que se inicie el procedimiento establecido en este artículo. La omisión de este deber configurará automáticamente el evento descrito en el numeral 2.3 del artículo 2.1.5.1.2 y, en consecuencia, será obligatoria la ejecución de un programa de recuperación con arreglo a lo establecido en el presente Titulo. Esto, sin perjuicio de las demás medidas que pueda tomar la Superintendencia Financiera de Colombia por tal omisión de acuerdo con lo previsto en el artículo 2.1.5.1.8.
<Fuente original compilada: D. 2817/00 Art. 6o.> Los programas de recuperación previstos en este decreto tendrán el plazo para su ejecución que en cada caso en particular determine la Superintendencia Financiera de Colombia, Tal plazo no podrá ser superior a ciento cincuenta días prorrogables a juicio de la Superintendencia Financiera de Colombia por una sola vez.
ARTÍCULO 2.1.5.1.7 INCUMPLIMIENTO DEL PROGRAMA.
<Fuente original compilada: D. 2817/00 Art. 7o.> El incumplimiento del programa de recuperación podrá dar lugar a la aplicación del literal j) del numeral 1 del artículo 114 del Estatuto Orgánico del Sistema Financiero.
ARTÍCULO 2.1.5.1.8 EFECTOS DE LA ADOPCIÓN DEL PROGRAMA.
<Fuente original compilada: D. 2817/00 Art. 8o.> La adopción de los programas de recuperación que deban ejecutar los establecimientos de crédito, así como las funciones que se establecen en este decreto a la Superintendencia Financiera de Colombia, se deben entender sin perjuicio ni menoscabo de las funciones o atribuciones que la ley u otros reglamentos le otorgan a tal Superintendencia para el cumplimiento de sus funciones.
SERVICIOS FINANCIEROS A TRAVÉS DE CORRESPONSALES.
ARTÍCULO 2.1.6.1.1 SERVICIOS PRESTADOS POR MEDIO DE CORRESPONSALES. <Título 6 derogado por el artículo 3 del Decreto 2672 de 2012>
ARTÍCULO 2.1.6.1.2 MODALIDADES DE SERVICIOS. <Título 6 derogado por el artículo 3 del Decreto 2672 de 2012>
ARTÍCULO 2.1.6.1.3 CONTENIDO DE LOS CONTRATOS. <Título 6 derogado por el artículo 3 del Decreto 2672 de 2012>
ARTÍCULO 2.1.6.1.4 INFORMACIÓN A LOS CLIENTES Y USUARIOS. <Título 6 derogado por el artículo 3 del Decreto 2672 de 2012>
ARTÍCULO 2.1.6.1.5 CALIDADES DE LOS CORRESPONSALES. <Título 6 derogado por el artículo 3 del Decreto 2672 de 2012>
ARTÍCULO 2.1.6.1.6 OBLIGACIONES DE LOS ESTABLECIMIENTOS DE CRÉDITO. <Título 6 derogado por el artículo 3 del Decreto 2672 de 2012>
ARTÍCULO 2.1.6.1.7 AUTORIZACIÓN. <Título 6 derogado por el artículo 3 del Decreto 2672 de 2012>
ARTÍCULO 2.1.6.1.8 EJERCICIO ILEGAL DE LA ACTIVIDAD FINANCIERA Y CAPTACIÓN MASIVA Y HABITUAL DE DINEROS. <Título 6 derogado por el artículo 3 del Decreto 2672 de 2012>
INVERSIONES EN SOCIEDADES DE SERVICIOS TÉCNICOS Y ADMINISTRATIVOS PARA LA PRESTACIÓN DE LOS SERVICIOS DE CORRESPONSALES.
ARTÍCULO 2.1.7.1.1 INVERSIÓN EN SOCIEDADES DE SERVICIOS TÉCNICOS Y ADMINISTRATIVOS.
<Artículo modificado el artículo 3 del Decreto 1745 de 2020. El nuevo texto es el siguiente:>
Los establecimientos de crédito podrán invertir en sociedades de servicios técnicos y administrativos, cuyo objeto social consista en la prestación de los servicios de corresponsales a que se refiere el Título 9 del Libro 36 de la Parte 2 del presente decreto, incluido el procesamiento, transmisión, registro y demás gestión de los datos relacionados con dichas actividades, siempre y cuando estas sociedades no comprendan dentro de su objeto social actividades diferentes a las permitidas a las sociedades de servicios técnicos y administrativos.
OPERACIONES DE ADMINISTRACIÓN.
ARTÍCULO 2.1.8.1.1 AUTORIZACIÓN PARA REALIZAR OPERACIONES DE ADMINISTRACIÓN.
<Fuente original compilada: D. 611/01 Art. 1o. Modificado por el D. 161/05 Art. 1o.> Los establecimientos de crédito podrán realizar las siguientes operaciones de administración, siempre y cuando los respectivos bienes y derechos se hayan originado en operaciones que puedan realizar en desarrollo de su objeto social:
1. Los contratos y activos de cualquier clase, inclusive los propios, originados en operaciones autorizadas a los establecimientos de crédito, que a cualquier título hubieren sido enajenados en forma definitiva e irrevocable por estas instituciones.
2. Los bienes recibidos en dación en pago o los bienes dados en leasing que le hayan sido restituidos a la respectiva entidad. En estos eventos no se requiere que el establecimiento de crédito que administrará los activos contemple dentro de su objeto social las operaciones que dieron origen a la dación en pago de los bienes materia de administración ni la realización de operaciones de leasing.
3. La cartera de créditos de vivienda otorgados por las cooperativas de ahorro y crédito, las cooperativas multiactivas con sección de ahorro y crédito, las cajas de compensación familiar y los fondos de empleados, en los términos del presente Título y bajo las siguientes condiciones:
a) La administración de la cartera por parte de una entidad distinta a la originadora en virtud de las operaciones de que trata el presente Título, no afectará las facultades de inspección, vigilancia y control de la superintendencia encargada de la vigilancia de la respectiva caja de compensación, cooperativa de ahorro y crédito, cooperativa multiactiva o fondo de empleados. En consecuencia, la respectiva Superintendencia podrá solicitar la información que estime necesaria, adelantar visitas y demás tareas relacionadas con la labor de supervisión. El establecimiento de crédito deberá permitir y facilitar la acción supervisora de la autoridad encargada de la vigilancia de la entidad originadora;
b) En los casos en que la entidad originadora deba cumplir con normas sobre calificación y clasificación de cartera, en el convenio que instrumente la administración por parte del respectivo establecimiento de crédito, se deberá prever que este se encargará de dar cumplimiento a las normas sobre la materia, incluyendo el reporte oportuno a las centrales de riesgo;
c) Las provisiones a que haya lugar, deberán ser calculadas e informadas por parte del administrador a la entidad titular de la cartera con el fin de que esta las registre en su balance. El establecimiento de crédito deberá enviar una copia de la respectiva comunicación a la superintendencia encargada de la vigilancia de la entidad originadora de los créditos bajo su administración;
d) El sistema de atención al público del establecimiento de crédito interesado en administrar cartera de vivienda, deberá contar con los mecanismos de información y solución necesarios para atender oportuna y suficiente las quejas e inquietudes de los deudores.
PARÁGRAFO. Los establecimientos de crédito que pretendan adelantar cualquiera de las operaciones señaladas en el presente artículo, deberán celebrar un contrato de administración de carácter no fiduciario en el cual se establezcan claramente las condiciones y términos bajo los cuales se prestará el servicio. En todo caso, la entrega de la administración no eximirá de responsabilidad a la entidad originadora por la debida atención a sus deudores, así como por el cumplimiento de las normas que rigen las diferentes actividades relacionadas con la cartera.
<Artículo modificado el artículo 4 del Decreto 1745 de 2020. El nuevo texto es el siguiente:>
Cuando los activos a que se hace mención en el artículo anterior correspondan a bienes recibidos en dación en pago o a bienes dados en leasing que hayan sido restituidos, la administración de los mismos no podrá contratarse por plazos superiores a dos años, a menos que dicha administración esté contemplada dentro de planes de recuperación o de desempeño autorizados por el Fondo de Garantías de Instituciones Financieras- FOGAFIN, por el Fondo de Garantías de Entidades Cooperativas- FOGACOOP o por la Superintendencia Financiera de Colombia. Igualmente, la administración podrá contratarse por un plazo mayor en aquellos casos en los cuales la Superintendencia Financiera de Colombia lo autorice, con carácter particular.
CONTRATOS DE AHORRO PROGRAMADO PARA LA COMPRA DE VIVIENDA CON DERECHO REAL DE HABITACIÓN.
<Fuente original compilada: D. 332/01 Art. 1o.> Los establecimientos de crédito están autorizados para suscribir contratos de ahorro programado cuyo objeto sea que los clientes hagan un ahorro que les permita a la finalización del contrato el pago de la cuota inicial de una vivienda y durante el plazo del mismo ocupar la vivienda, propiedad del establecimiento de crédito, en ejercicio del derecho real de habitación previsto en el contrato.
ARTÍCULO 2.1.9.1.2 CONDICIONES DEL CONTRATO.
<Fuente original compilada: D. 332/01 Art. 2o.> Los contratos de ahorro programado para la compra de vivienda que se celebren de conformidad con lo dispuesto por este Título deberán cumplir las siguientes condiciones:
1. Tener un plazo mínimo de seis (6) meses y no superior a tres (3) años.
2. El monto que deberá ser ahorrado durante el plazo del contrato será por lo menos del treinta por ciento (30%) del valor del inmueble que el ahorrador desea adquirir o del veinte por ciento (20%) de ese valor tratándose de vivienda de interés social.
3. El ahorrador se obligará a realizar depósitos periódicos a partir de la suscripción del contrato, según el plan de ahorro establecido en el mismo.
4. El monto que se obliga a ahorrar el cliente no puede ser superior al treinta por ciento (30%) de su ingreso mensual o de los ingresos mensuales familiares.
5. El establecimiento de crédito deberá realizar un estudio técnico para determinar la capacidad de cumplimiento del contrato por parte del ahorrador.
6. Los valores ahorrados se registrarán en cuentas de ahorro programado para la compra de vivienda, así como los intereses devengados, y podrán ser retirados únicamente a la terminación del contrato.
7. Establecer el derecho real de habitación sobre el inmueble escogido por el ahorrador en los términos previstos en el artículo 2.1.9.1.4 de este decreto.
8 Establecer que a la finalización del contrato, el ahorrador tendrá la opción de compra del inmueble en las condiciones fijadas en el artículo 2.1.9.1.5 del presente decreto.
ARTÍCULO 2.1.9.1.3 DETERMINACIÓN DEL VALOR DEL INMUEBLE. <Fuente original compilada: D. 332/01 Art. 3o.>
<Inciso modificado el artículo 5 del Decreto 1745 de 2020. El nuevo texto es el siguiente:> Cuando el cliente haya escogido el inmueble respecto al cual desea suscribir el contrato de ahorro programado, se deberá realizar un avalúo técnico del mismo atendiendo las reglas vigentes sobre la materia, cuyo costo será asumido por partes iguales entre el establecimiento de crédito y el cliente. En caso de existir un avalúo cuya fecha de realización no sea superior a seis (6) meses, el mismo podrá utilizarse para determinar el valor del inmueble y no será necesario practicar uno nuevo.
El valor así establecido servirá para efectos de calcular el monto del ahorro programado en el contrato y el valor inicial de la contraprestación a pagar por el derecho real de habitación.
El establecimiento de crédito podrá encargar la realización de avalúos anuales del inmueble, cuyo costo será asumido en su totalidad por éste, para efectos de establecer el valor máximo de la contraprestación que puede cobrarse y de ajustar el monto del ahorro programado.
Al momento de ejercerse la opción de compra del inmueble se practicará un nuevo avalúo del mismo, cuyo costo será asumido por partes iguales entre el establecimiento de crédito y el ahorrador.
PARÁGRAFO. En ningún caso los avalúos comerciales de los inmuebles podrán ser realizados por personas naturales o jurídicas relacionadas o vinculadas, directa o indirectamente, con el establecimiento de crédito dueño del inmueble.
Para estos efectos, la calidad de persona natural o jurídica relacionada o vinculada directa o indirectamente se establecerá especialmente con base en los criterios consignados en los artículos 2.1.2.1.10, 2.1.2.1.11 y 2.1.2.1.12 del presente decreto y 26, 27 y 28 de la Ley 222 de 1995.
Así mismo, se entenderá que la relación o vinculación se predicará tanto de los accionistas y de los administradores de los establecimientos de crédito como de 32 las personas naturales o jurídicas a ellos vinculadas o relacionadas, previa aplicación de las reglas de acumulación previstas en los títulos 2 y 3 del presente Libro.
ARTÍCULO 2.1.9.1.4 DERECHO REAL DE HABITACIÓN.
<Fuente original compilada: D. 332/01 Art. 4o.> El derecho real de habitación que se establecerá en el contrato de ahorro programado para la adquisición de vivienda se sujetará a lo dispuesto en los siguientes numerales:
1. Una vez suscrito el contrato, el establecimiento de crédito entregará al ahorrador el inmueble escogido por éste, el cual deberá estar en condiciones de ser habitado y al día en el pago de servicios públicos y administración.
2. El contrato deberá establecer el valor que pagará el ahorrador al establecimiento de crédito como contraprestación mensual por el derecho real de habitación. Transcurridos doce (12) meses de ejecución del contrato en los cuales se haya cobrado un mismo valor de contraprestación el establecimiento de crédito podrá ajustar el valor de la misma en una proporción que no sea superior a la meta de inflación fijada por el Banco de la República para el año inmediatamente siguiente.
En ningún caso el valor de la contraprestación podrá ser superior al cero punto ocho por ciento (0.8%) del valor del inmueble, establecido de acuerdo con lo dispuesto por el artículo 2.1.9.1.3 del presente decreto.
3 Desde la fecha de entrega del inmueble al ahorrador, los gastos por concepto de servicios públicos domiciliarios, las reparaciones locativas y las cuotas de administración correrán por su cuenta.
4. Las reparaciones indispensables no locativas serán de cargo del establecimiento de crédito siempre y cuando el ahorrador no las hubiere hecho necesarias por su culpa.
5. En caso de que el ahorrador quiera hacer mejoras útiles al inmueble deberá contar con la autorización expresa y escrita del establecimiento de crédito con el cual tiene suscrito el contrato, permiso que no podrá ser negado salvo por causas razonables. En caso de terminación del contrato sin que el ahorrador ejerza la opción de compra, éste tendrá derecho a retirar las mejoras autorizadas siempre y cuando con ello no deteriore el inmueble y lo deje en las mismas condiciones en que lo recibió. Si no fuere posible retirar las mejoras sin deterioro del inmueble, las mismas se dejarán en el mismo. El establecimiento de crédito únicamente estará obligado a compensar al ahorrador el valor de las mejoras útiles cuando en la carta que autoriza la realización de las mismas se haya comprometido a efectuar el pago correspondiente.
6. En el contrato podrá pactarse la terminación anticipada en caso de presentarse incumplimiento de alguna de las obligaciones previstas en el mismo.
7. En caso de incumplimiento en el pago de las sumas previstas en los numerales 2 y 3 de este artículo, los establecimientos de crédito podrán compensar las sumas adeudadas con el valor ahorrado en la cuenta de ahorro programado.
Queda expresamente prohibido a los establecimientos de crédito pactar la compensación automática del valor ahorrado con las sumas debidas por conceptos diferentes a los previstos en los numerales citados.
8. En caso de terminación anticipada del contrato por incumplimiento del ahorrador o vencimiento del plazo sin que el ahorrador ejerciere la opción de compra, el ahorrador deberá restituir el inmueble al establecimiento de crédito dentro de los diez (10) días hábiles siguientes en las mismas condiciones en que lo recibió, salvo el deterioro ocasionado por el uso normal y adecuado del mismo.
9. Los costos relacionados con tasas, impuestos y contribuciones que recaigan sobre el inmueble serán de cargo del establecimiento de crédito durante la vigencia del contrato de ahorro programado.
10. El ahorrador no podrá conceder el uso y goce del inmueble objeto del contrato bajo ninguna modalidad contractual.
ARTÍCULO 2.1.9.1.5 OPCIÓN DE COMPRA.
<Fuente original compilada: D. 332/01 Art. 5o.> A la terminación del contrato de ahorro programado de que trata el presente Titulo el ahorrador tendrá derecho a ejercer la opción de compra.
El ahorrador deberá manifestar su intención de hacer uso de la opción de compra con una antelación de por los menos treinta (30) días hábiles a la fecha de terminación del contrato. En caso de no hacerlo se entenderá que no ejerce el derecho de opción y deberá restituir el inmueble a la terminación del contrato de ahorro programado.
El ahorrador deberá suscribir la escritura pública de compraventa del inmueble dentro de los treinta (30) días hábiles siguientes a la fecha en la cual la misma se encuentre lista para su firma en la Notaría correspondiente. En caso de que venza el plazo sin que el ahorrador firme la escritura, se entenderá que éste desiste de realizar la compra y deberá restituir el inmueble al establecimiento de crédito.
Hasta la fecha de la firma del contrato de compraventa el ahorrador continuará ocupando el inmueble en ejercicio del derecho real de habitación, por lo cual deberá pagar la contraprestación pactada.
Cuando el ahorrador ejerza la opción de compra el monto ahorrado se aplicará como parte de pago del precio y el saldo deberá ser cancelado, en los términos pactados con el establecimiento de crédito.
La valorización del inmueble se compartirá por partes iguales entre el establecimiento de crédito y el titular de la opción de compra. En consecuencia, el precio del inmueble que deberá pagar el ahorrador no podrá ser superior al valor comercial del bien establecido por el avalúo realizado al momento de la celebración del contrato, adicionado hasta en el cincuenta por ciento (50%) de la valorización que haya tenido el inmueble, establecida con base en el avalúo que se realice al momento del ejercicio de la opción de compra.
El saldo del precio del inmueble podrá ser pagado por el ahorrador con recursos propios o mediante la utilización de financiación. El establecimiento de crédito propietario del inmueble podrá ofrecer al ahorrador un plan de financiación para el pago del saldo que se ajuste a su capacidad de pago, con sujeción a las normas que regulan el crédito de vivienda. En todo caso, el ahorrador podrá obtener la financiación requerida con cualquier otro establecimiento de crédito o persona que elija, evento en el cual el establecimiento propietario del inmueble deberá expedir una certificación donde conste el monto de su ahorro y el valor de la opción de compra del inmueble, previa solicitud del ahorrador.
PARÁGRAFO. En caso que al momento de ejercer la opción de compra el valor ahorrado no sea suficiente para cancelar el treinta por ciento (30%) del valor de la misma o el veinte por ciento (20%) de ella tratándose de vivienda de interés social, el ahorrador tendrá las siguientes alternativas:
a) Utilizar recursos propios para completar el treinta por ciento (30%) del valor de la opción de compra o el veinte por ciento (20%) de la misma cuando se trate de vivienda de interés social;
b) Obtener financiación para cancelar el saldo del valor del inmueble en un porcentaje superior al setenta por ciento (70%) del valor de la opción de compra o al ochenta por ciento (80%) de la misma tratándose de vivienda de interés social. En el evento previsto en este literal, los establecimientos de crédito quedan autorizados para conceder financiación por un valor igual al saldo del precio del inmueble, siempre y cuando quien pretenda adquirir el inmueble cuente con la capacidad de pago para atender oportuna y debidamente el crédito.
ARTÍCULO 2.1.9.1.6 RESTITUCIÓN DEL DEPÓSITO.
<Fuente original compilada: D. 332/01 Art. 6o.> En el evento que el ahorrador no ejerza la opción de compra o no pueda ejercerla por no contar con los recursos propios o la financiación necesaria para el pago de la misma, éste tendrá derecho a que el establecimiento de crédito le restituya el monto de su ahorro más los intereses causados hasta la fecha en que le sea restituido su ahorro.
De igual forma se procederá en caso de terminación anticipada del contrato de ahorro programado por incumplimiento del ahorrador.
ARTÍCULO 2.1.9.1.7 PREFERENCIA SOBRE INMUEBLES ENTREGADOS EN DACIÓN EN PAGO.
<Fuente original compilada: D. 332/01 Art. 7o.> Cuando dos o más personas manifiesten al establecimiento de crédito su intención de celebrar un contrato de los previstos en el presente Título respecto de un inmueble, aquella que lo hubiese entregado a título de dación en pago tendrá preferencia para la suscripción siempre y cuando su capacidad de pago se lo permita.
<Fuente original compilada: D. 332/01 Art. 8o.> Únicamente podrán celebrarse contratos en los términos del presente Título en relación con inmuebles que sean destinados a la vivienda del ahorrador.
ARTÍCULO 2.1.9.1.9 PERSONAS QUE PUEDEN SUSCRIBIR ESTOS CONTRATOS.
<Fuente original compilada: D. 332/01 Art. 9o.> Los contratos de que trata el presente Título sólo podrán suscribirse entre establecimientos de crédito y personas naturales.
OTORGAMIENTO DE CRÉDITO PARA LA ADQUISICIÓN DE ACCIONES DE ENTIDADES FINANCIERAS EN PROCESO DE PRIVATIZACIÓN.
<Fuente original compilada: D. 1157/95 Art. 1o.> Los establecimientos de crédito que otorguen créditos para la adquisición de acciones de entidades financieras en proceso de privatización, podrán aceptar como garantía las acciones así adquiridas, siempre y cuando el deudor sea una de las personas a que se refiere el artículo 60 de la Constitución Política.
ARTÍCULO 2.1.10.1.2 COBERTURA DE LA GARANTÍA.
<Fuente original compilada: D. 1157/95 Art. 2o.> En los casos previstos en el artículo anterior, el valor de las acciones para efectos de determinar la cobertura de la garantía, será el precio mínimo de venta fijado en el decreto que apruebe el respectivo programa de privatización.
MEJORAS Y FINALIZACIÓN DE PROYECTOS DE CONSTRUCCIÓN SOBRE BIENES INMUEBLES.
ARTÍCULO 2.1.11.1.1 OPERACIÓN COMPLEMENTARIA DE LOS ESTABLECIMIENTOS DE CRÉDITO.
<Fuente original compilada: D. 2539/01 Art. 1o.> Los establecimientos de crédito podrán, como operación complementaria de su objeto social, realizar mejoras o finalizar proyectos de construcción sobre bienes inmuebles que hubieren recibido o se les hubiere adjudicado por el pago de deudas previamente contraídas en el curso de sus negocios, siempre que se cumplan los siguientes requisitos:
a) Que los recursos destinados a la realización de las mejoras o a la finalización de los proyectos de construcción más la totalidad de las inversiones en sociedades filiales y demás inversiones de capital autorizadas, diferentes de aquellas que efectúen los establecimientos de crédito en cumplimiento de disposiciones legales, no podrán exceder en todo caso del cien por ciento (100%) de la suma de capital, reservas patrimoniales y saldo existente en la cuenta de revalorización del patrimonio del respectivo establecimiento de crédito, excluidos los activos fijos sin valorizaciones y descontadas las pérdidas acumuladas;
b) Que las actividades necesarias para realizar las mejoras o finalizar el respectivo proyecto de construcción, así como las directamente relacionadas con estas, se contraten por el establecimiento de crédito mediante el mecanismo de precios fijos, utilizando para ello contratos que aseguren el manejo financiero, administrativo y operacional independiente de la entidad contratante. Tales contratos pueden ser, entre otros, de fiducia mercantil o encargos fiduciarios.
OTORGAMIENTO DE GARANTÍAS O AVALES.
ARTÍCULO 2.1.12.1.1 AUTORIZACIÓN PARA OTORGAR GARANTÍAS O AVALES.
<Fuente original compilada: D. 1516/98 Art. 1o.> Los bancos, las corporaciones financieras y las compañías de financiamiento sólo podrán otorgar garantías o avales destinados a respaldar las obligaciones que expresamente se determinan a continuación:
a) Obligaciones a favor de entidades del sector público, de entidades sometidas al control y vigilancia de la Superintendencia Financiera de Colombia, o de asociaciones gremiales de productores debidamente reconocidas por el Gobierno Nacional;
b) Obligaciones derivadas de la emisión de bonos y de títulos provenientes de procesos de titularización;
c) Obligaciones derivadas del otorgamiento de cartas de crédito stand-by;
d) Obligaciones derivadas de la emisión y colocación de papeles comerciales mediante oferta pública previamente aprobada por la Superintendencia Financiera de Colombia;
e) Cualquier otra clase de obligaciones en moneda legal, salvo aquellas que se deriven de contratos de mutuo o préstamos de dinero y siempre que no aseguren el pago de títulos valores de contenido crediticio.
ARTÍCULO 2.1.12.1.2 APLICACIÓN DE LAS NORMAS SOBRE LÍMITES DE CRÉDITO Y MARGEN DE SOLVENCIA.
<Fuente original compilada: D. 1516/98 Art. 2o.> Lo dispuesto en el artículo anterior se aplicará sin perjuicio de las normas contenidas en las disposiciones sobre límites de crédito, lo mismo que en las relativas a margen de solvencia.
ARTÍCULO 2.1.12.1.3 SEGUROS DE CRÉDITO.
<Fuente original compilada: D. 1516/98 Art. 3o.> Las compañías de seguros debidamente autorizadas por la Superintendencia Financiera de Colombia podrán continuar otorgando todos aquellos amparos que de conformidad con las normas legales y reglamentarias pueden ofrecer las compañías de seguros, en particular otorgar seguros de crédito en sus distintas modalidades.
OPERACIONES CON DERIVADOS.
ARTÍCULO 2.1.13.1.1 OPERACIONES CON DERIVADOS.
<Fuente original compilada: D. 2396/00 Art. 1o.> Los establecimientos de crédito están autorizados para realizar operaciones con derivados.
OTRAS OPERACIONES.
<Fuente original compilada: D. 777/03 Art. 10> De conformidad con el literal n, numeral 1 del Artículo 7, del Estatuto Orgánico del Sistema Financiero modificado por el Artículo 1o de la Ley 795 de 2003, los deudores individuales de vivienda que hayan entregado en dación en pago su vivienda, tendrán la posibilidad de optar por el leasing habitacional y los establecimientos bancarios deberán ofrecer el contrato, siempre y cuando tengan capacidad de pago, en los siguientes términos:
a) Si la vivienda entregada en dación en pago no ha sido enajenada o prometida en venta por el establecimiento de crédito, el titular podrá optar por la celebración de un contrato de leasing habitacional sobre dicha vivienda;
b) Si el establecimiento bancario enajenó o prometió en venta a favor de un tercero diferente del titular, podrá ofrecerle a éste otro inmueble de su propiedad, con el propósito de realizar la operación de leasing habitacional en las mismas condiciones señaladas en la Ley.
PARÁGRAFO. La prioridad prevista en el presente Artículo operará sólo para las daciones en pago formalizadas totalmente hasta la fecha de entrada en vigencia de la Ley 795 de 2003. Lo anterior, sin perjuicio de la facultad de los establecimientos bancarios para celebrar contratos de leasing habitacional sobre bienes que reciban en pago con sus antiguos propietarios.
ARTÍCULO 2.1.14.1.2. INVERSIONES EN PARTICIPACIONES EMITIDAS POR FONDOS BURSÁTILES. <Artículo adicionado por el artículo 1 del Decreto 1351 de 2019. El nuevo texto es el siguiente:> Las inversiones que los establecimientos bancarios realicen en participaciones emitidas por fondos bursátiles cuya canasta esté conformada exclusivamente por títulos de deuda pública emitidos por el Gobierno nacional computarán para efectos del límite establecido en el literal b) del numeral 1 del artículo 9o del Estatuto Orgánico del Sistema Financiero.
DEPÓSITOS DE BAJO MONTO Y ORDINARIO.
DEPÓSITO DE BAJO MONTO.
ARTÍCULO 2.1.15.1.1. ENTIDADES QUE PODRÁN OFRECERLO. <Artículo sustituido por el artículo 1 del Decreto 222 de 2020. El nuevo texto es el siguiente:> De conformidad con lo previsto en el artículo 70 de la Ley 1151 de 2007 y el artículo 2o de la Ley 1735 de 2014, se entienden incorporadas a la lista de operaciones autorizadas para los establecimientos de crédito, las Sociedades Especializadas en Depósitos y Pagos Electrónicos (SEDPE), y las cooperativas facultadas para desarrollar la actividad financiera, los depósitos de bajo monto, en las condiciones que se establecen en el presente Capítulo.
En el caso que depósitos de bajo monto sean dirigidos a las personas pertenecientes al nivel 1 del Sistema de Identificación de Potenciales Beneficiarios de Programas Sociales-Sisbén-, desplazados inscritos en el Registro Único de Población Desplazada o beneficiarios de programas de ayuda y/o subsidios otorgados por el Estado colombiano, estos depósitos se denominarán depósitos de bajo monto inclusivos.
Los recursos captados por medio de los depósitos de bajo monto inclusivos no estarán sometidos a ningún tipo de inversión obligatoria.
ARTÍCULO 2.1.15.1.2. CARACTERÍSTICAS DEL DEPÓSITO DE BAJO MONTO. <Artículo sustituido por el artículo 1 del Decreto 222 de 2020. El nuevo texto es el siguiente:> Los depósitos de bajo monto son depósitos a la vista a nombre de personas naturales, con las siguientes características:
a) El saldo máximo de depósitos no podrá exceder en ningún momento ocho (8) Salarios Mínimos Legales Mensuales Vigentes (SMLMV);
b) El monto acumulado de las operaciones débito que se realicen en un mes calendario no podrá superar los ocho (8) Salarios Mínimos Legales Mensuales Vigentes (SMLMV);
c) El depósito debe estar asociado a uno o más instrumentos o mecanismos que permiten a su titular, mediante documentos físicos o mensajes de datos, extinguir una obligación dinerada y/o transferir fondos y/o hacer retiros;
d) El contrato deberá establecer de manera clara, los canales a los cuales se tendrá acceso, así como aquellos que se encuentren restringidos;
e) El contrato podrá terminarse unilateralmente en caso de que el depósito permanezca sin fondos durante un plazo que para el efecto determinen las partes, el cual no podrá ser nunca inferior a 3 meses;
f) El contrato deberá establecer si se ofrece o no el reconocimiento de una tasa de interés por la captación de recursos mediante los depósitos de bajo monto;
g) El consumidor financiero solamente puede ser titular de un (1) depósito de bajo monto en cada entidad.
PARÁGRAFO. Los recursos provenientes de programas de ayuda y/o subsidios otorgados por el Estado colombiano o los desembolsos de créditos de bajo monto otorgados por entidades vigiladas por la Superintendencia Financiera de Colombia no se tendrán en cuenta para el cálculo de los límites establecidos en los literales a) y b) del presente artículo.
ARTÍCULO 2.1.15.1.3. TRÁMITE SIMPLIFICADO DE APERTURA. <Artículo sustituido por el artículo 1 del Decreto 222 de 2020. El nuevo texto es el siguiente:> La Superintendencia Financiera de Colombia y la Superintendencia de la Economía Solidaria deberán establecer para sus entidades vigiladas, respectivamente, los trámites y requisitos de apertura de los depósitos de bajo monto, los cuales serán simplificados y no requerirán la presencia física del consumidor financiero.
ARTÍCULO 2.1.15.1.4. ADMINISTRACIÓN Y MANEJO DE LOS DEPÓSITOS. <Artículo sustituido por el artículo 1 del Decreto 222 de 2020. El nuevo texto es el siguiente:> La Superintendencia Financiera de Colombia deberá establecer condiciones y trámites especiales para la administración y el manejo de los depósitos de bajo monto, de los que trata el presente Capítulo, tales como reglas para el uso de canales, medios de manejo y administración de riesgos. La Superintendencia de la Economía Solidaria desarrollará esta misma actividad respecto de las cooperativas facultadas para desarrollar la actividad financiera.
DEPÓSITO ORDINARIO.
ARTÍCULO 2.1.15.2.1. ENTIDADES QUE PODRÁN OFRECERLO. <Artículo sustituido por el artículo 1 del Decreto 222 de 2020. El nuevo texto es el siguiente:> Se entienden incorporadas a la lista de operaciones autorizadas para los establecimientos de crédito, las Sociedades Especializadas en Depósitos y Pagos Electrónicos (SEDPE) y las cooperativas facultadas para desarrollar la actividad financiera, los depósitos ordinarios, en las condiciones que se establecen en el presente Capítulo.
ARTÍCULO 2.1.15.2.2. CARACTERÍSTICAS DEL DEPÓSITO ORDINARIO. <Artículo sustituido por el artículo 1 del Decreto 222 de 2020. El nuevo texto es el siguiente:> Los depósitos ordinarios son depósitos a la vista a nombre de personas naturales y personas jurídicas, con las siguientes características:
a) El depósito debe estar asociado a uno o más instrumentos o mecanismos que permiten a su titular, mediante documentos físicos o mensajes de datos, extinguir una obligación dineraria y/o transferir fondos y/o hacer retiros;
b) El contrato deberá establecer de manera clara, los canales a los cuales se tendrá acceso, así como aquellos que se encuentren restringidos;
c) El contrato podrá terminarse unilateralmente en caso de que el depósito permanezca sin fondos durante un plazo que para el efecto determinen las partes, el cual no podrá ser nunca inferior a 3 meses;
f) El contrato deberá establecer si se ofrece o no el reconocimiento de una tasa de interés por la captación de recursos mediante depósitos ordinarios.
ARTÍCULO 2.1.15.2.3. ADMINISTRACIÓN Y MANEJO DE LOS DEPÓSITOS. <Artículo sustituido por el artículo 1 del Decreto 222 de 2020. El nuevo texto es el siguiente:> La Superintendencia Financiera de Colombia deberá establecer condiciones y trámites especiales para la administración y el manejo de los depósitos ordinarios, de los que trata el presente Capítulo, tales como reglas para el uso de canales, medios de manejo y administración de riesgos. La Superintendencia de la Economía Solidaria desarrollará esta misma actividad respecto de las cooperativas facultadas para desarrollar la actividad financiera.
ARTÍCULO 2.1.15.2.4. TRÁMITE DE APERTURA ORDINARIO. <Artículo sustituido por el artículo 1 del Decreto 222 de 2020. El nuevo texto es el siguiente:> Para la apertura de los depósitos ordinarios presenciales y no presenciales deberán adelantarse los procedimientos ordinarios en materia de conocimiento del cliente, seguridad y calidad para el manejo de la información y los requisitos de prevención de lavado de activos y financiación del terrorismo, establecidos por la Superintendencia Financiera de Colombia y la Superintendencia de la Economía Solidaría para sus entidades vigiladas, respectivamente.
CRÉDITO DE CONSUMO DE BAJO MONTO.
ARTÍCULO 2.1.16.1.1. DEFINICIÓN. <Artículo modificado por el artículo 2 del Decreto 222 de 2020. El nuevo texto es el siguiente:> El crédito de consumo de bajo monto es una operación activa de crédito realizada con personas naturales que no hayan accedido con anterioridad a ningún producto crediticio en el sistema financiero diferente a otro crédito de consumo de bajo monto, cuyo monto o cupo máximo es hasta de cuatro (4) Salarios Mínimos Legales Mensuales Vigentes (SMLMV).
La Superintendencia Financiera de Colombia podrá ampliar de manera general, dicho monto o cupo máximo hasta ocho (8) Salarios Mínimos Legales Mensuales Vigentes (SMLMV).
Las características del crédito de consumo de bajo monto son:
a) Podrá ser de carácter rotativo;
b) No podrá ser ofrecido por medio de sistemas de tarjetas de crédito;
c) La respectiva entidad define la frecuencia de pago;
d) La respectiva entidad debe definir el plazo máximo para el desembolso de los recursos.
ARTÍCULO 2.1.16.1.2. OTORGAMIENTO Y SEGUIMIENTO AL CRÉDITO DE CONSUMO DE BAJO MONTO. <Artículo modificado por el artículo 3 del Decreto 222 de 2020. El nuevo texto es el siguiente:> Las entidades financieras que ofrezcan el crédito de consumo de bajo monto deberán contar con un proceso de otorgamiento en el que se definan las fuentes de información, que le permita establecer el perfil crediticio del respectivo deudor y, un proceso de seguimiento específico. Dichos procesos podrán diferir de las metodologías tradicionalmente utilizadas para tal fin.
ARTÍCULO 2.1.16.1.3. CONTROL AL SOBREENDEUDAMIENTO. <Artículo adicionado por el artículo 1 del Decreto 2654 de 2014. El nuevo texto es el siguiente:> Las entidades financieras que ofrezcan el crédito de consumo de bajo monto deberán controlar el saldo de endeudamiento del deudor al momento del otorgamiento del mencionado crédito. Dicho control se realizará de acuerdo con la metodología que adopte la respectiva entidad financiera, teniendo en cuenta para el efecto el monto de las obligaciones vigentes a cargo de una persona con el sector financiero y otros sectores , que se encuentren en los registros con que cuenten los operadores de bancos de datos o las fuentes de información consultados por el respectivo acreedor.
ARTÍCULO 2.1.16.1.4. REPORTES A LAS CENTRALES DE RIESGO. <Artículo modificado por el artículo 4 del Decreto 222 de 2020. El nuevo texto es el siguiente:> Las entidades que ofrezcan el crédito de consumo de bajo monto, deberán efectuar los reportes y la actualización oportuna de la información sobre los deudores en las bases de datos de las centrales de riesgo que se elijan de conformidad con la Ley 1266 de 2008 y, en particular, los artículos 8o y 12 de la misma.
TRASLADO, REINTEGRO E INVERSIÓN DE LOS RECURSOS DE CUENTAS ABANDONADAS.
ARTÍCULO 2.1.17.1.1 OBJETO. <Ver Notas del Editor> <Artículo adicionado por el artículo 1 del Decreto 953 de 2016. El nuevo texto es el siguiente:> El objeto del presente título es reglamentar la operatividad necesaria para el traslado de los recursos de las cuentas abandonadas de que trata el artículo 3o de la Ley 1777 de 2016 por parte de las entidades financieras que estén autorizadas para ofrecer cuentas de ahorro o cuentas corrientes, así como la operatividad necesaria para el reintegro de dichos recursos, y la inversión de los mismos según lo dispuesto en los artículos 5o y 7o de la citada norma.
ARTÍCULO 2.1.17.1.2. FONDO ESPECIAL. <Ver Notas del Editor> <Artículo adicionado por el artículo 1 del Decreto 953 de 2016. El nuevo texto es el siguiente:> Para los fines del presente título, se entenderá por “Fondo Especial” aquel que será constituido, reglamentado y administrado por el Instituto Colombiano de Crédito Educativo y Estudios Técnicos en el Exterior (Icetex) y que, para efectos del traslado, manejo y posterior reintegro de los recursos que reciba, conformará un patrimonio independiente y separado por completo de los demás recursos de propiedad del Icetex o administrados por este, al igual que de los demás derechos y obligaciones del Icetex, estando afecto única y exclusivamente a las finalidades señaladas en la Ley 1777 de 2016.
ARTÍCULO 2.1.17.1.3. PROCEDIMIENTO PARA EL TRASLADO DE RECURSOS A FAVOR DEL FONDO ESPECIAL. <Ver Notas del Editor> <Artículo adicionado por el artículo 1 del Decreto 953 de 2016. El nuevo texto es el siguiente:> Para el traslado a título de mutuo, de los saldos de las cuentas abandonadas, las entidades financieras realizarán un desembolso mediante abono a cuenta de ahorro o corriente a favor del Fondo Especial. Para tal efecto se procederá de la siguiente manera:
1. Las entidades financieras enviarán al Icetex, con corte trimestral, los listados en donde se discriminen las cuentas abandonadas, la tasa de interés remuneratorio reconocida por la entidad financiera a cada cuentahabiente y los saldos objeto de traslado al Fondo Especial, en las condiciones que establezca la Junta Directiva del Icetex para tal efecto. Las entidades financieras deberán remitir los listados diez (10) días calendario antes de la fecha de realización de cada subasta a las que se refiere el artículo 2.1.17.1.7 del presente decreto. El corte de la información será cinco (5) días calendario antes de la fecha de remisión. La información que remitan las entidades financieras al Icetex no podrá contener datos que estén sujetos a reserva.
2. Recibidos los listados mencionados por parte del Icetex, dicha entidad procederá a realizar la respectiva subasta. A más tardar el día hábil siguiente de la realización de la respectiva subasta, las entidades financieras procederán al traslado de los saldos objeto de este título, a favor del Fondo Especial.
3. Los respectivos contratos de mutuo entre las entidades financieras y el Icetex se entenderán perfeccionados con la transferencia de los saldos correspondientes a favor del Fondo Especial y se regirán por las disposiciones pertinentes previstas en el Código de Comercio y del presente título. Habrá un contrato de mutuo por cada traslado de saldos proveniente de una determinada cuenta abandonada, y a cada uno de estos le será aplicada la tasa de interés remuneratorio igual a la que hubiere sido informada por la respectiva entidad financiera respecto del tipo de cuenta abandonada de que se trate, según el listado indicado en el numeral 1o del presente artículo, ajustándose dicha tasa según las variaciones que le sean informadas al Icetex en los listados que posteriormente remitan las entidades financieras de conformidad con lo señalado en el presente artículo.
PARÁGRAFO. La transferencia de los saldos de las cuentas abandonadas en los términos contemplados en este artículo no supondrá la alteración de los saldos reflejados en los balances y extractos de las cuentas abandonadas correspondientes, ni generará restricciones para que sus titulares dispongan de sus recursos como les corresponda de conformidad con lo dispuesto en el artículo 5o de la Ley 1777 de 2016, las demás normas aplicables y con las disposiciones de los contratos que tengan celebrados con las entidades financieras o con terceros y que se encuentren vigentes. En consecuencia, los movimientos de recursos hacia el Fondo Especial no afectarán ningún esquema de garantías ni ninguna otra finalidad especial que tengan asignada, legal o contractualmente, las cuentas abandonadas de que se trate, ni tampoco afectarán la libre disposición de tales recursos por parte de los cuentahabientes o terceros autorizados, cuando así lo requieran .
ARTÍCULO 2.1.17.1.4 PROCEDIMIENTO PARA EL RETIRO A FAVOR DE LOS TITULARES DE LAS CUENTAS ABANDONADAS. <Ver Notas del Editor> <Artículo adicionado por el artículo 1 del Decreto 953 de 2016. El nuevo texto es el siguiente:> Para que los titulares puedan realizar el retiro de los recursos que hacen parte de las respectivas cuentas de ahorro y corrientes de que trata el presente título, las entidades financieras cumplirán, como mínimo, con los siguientes requisitos:
1. El plazo de entrega al cuentahabiente del saldo cuyo retiro sea solicitado a la entidad financiera o que sea objeto de una orden de autoridad competente, en ningún caso podrá ser mayor a un (1) día, contado desde la fecha de la solicitud de retiro, o desde la fecha de la respectiva notificación de la orden por parte de la autoridad competente, a menos que en este último caso resulte aplicable un término distinto.
2. Los titulares de las cuentas abandonadas solo podrán solicitar retiros de los saldos de sus cuentas ante las entidades financieras directamente. En consecuencia, los titulares de las cuentas abandonadas en ningún caso podrán formular solicitudes de retiro u otro tipo de reclamaciones, independientemente de su naturaleza, al Icetex.
ARTÍCULO 2.1.17.1.5 PROCEDIMIENTO PARA EL REINTEGRO DE RECURSOS. <Ver Notas del Editor> <Artículo adicionado por el artículo 1 del Decreto 953 de 2016. El nuevo texto es el siguiente:> El procedimiento de reintegro de los recursos provenientes de las cuentas abandonadas a las entidades financieras para la devolución de los dineros a los cuentahabientes, cumplirá con los siguientes requisitos, los cuales se entenderán incorporados en los respectivos contratos de mutuo entre las entidades financieras y el Fondo Especial:
1. Recibida por la entidad financiera una solicitud de retiro por parte del cuentahabiente de una cuenta abandonada, de un tercero autorizado para el efecto, o una orden de autoridad competente; o cuando una cuenta pierda su calidad de abandonada de conformidad con lo previsto en el parágrafo del artículo 2o de la Ley 1777 de 2016, la entidad financiera procederá a formular al Icetex las solicitudes de reintegro, a través de los medios que para el efecto establezca El Icetex.
2. Recibida por parte del Icetex una solicitud de reintegro formulada por una entidad financiera, el Icetex procederá al reintegro de la totalidad de los dineros asociados a la respectiva cuenta abandonada, esto es, el saldo que fue trasladado por la entidad financiera al Fondo Especial, junto con los respectivos intereses bajo el contrato de mutuo celebrado de conformidad con el presente título, que corresponderán a la tasa de interés remuneratorio reconocida por la entidad financiera al cuentahabiente e informada al Icetex en el listado de que trata el artículo 2.1.17.1.3 del presente decreto.
Estos intereses serán aquellos que se hubieran causado desde la fecha de traslado de los recursos al Fondo Especial y hasta la fecha de solicitud de reintegro realizada por el cuentahabiente o tercero autorizado.
3. El reintegro deberá realizarse a más tardar en la fecha del siguiente traslado de recursos que deba darse desde las entidades financieras hacia el Fondo Especial.
4. Realizado el reintegro de los correspondientes recursos a favor de la entidad financiera, se entenderá terminado el contrato de mutuo asociado a la respectiva cuenta abandonada entre el Icetex y la respectiva entidad financiera.
ARTÍCULO 2.1.17.1.6 REINTEGROS CON CARGO A LA RESERVA DE LIQUIDEZ. <Ver Notas del Editor> <Artículo adicionado por el artículo 1 del Decreto 953 de 2016. El nuevo texto es el siguiente:> Las solicitudes de reintegro formuladas por las entidades financieras se atenderán prioritariamente con cargo a los recursos de la reserva de liquidez de que trata el numeral 1o del artículo 2.1.17.1.7 del presente decreto. Únicamente en el evento en que los recursos de esta reserva no sean suficientes para atender las solicitudes de reintegro, podrá el Icetex afectar los recursos del portafolio de inversión.
ARTÍCULO 2.1.17.1.7 INVERSIÓN DE LOS RECURSOS. <Ver Notas del Editor> <Artículo adicionado por el artículo 1 del Decreto 953 de 2016. El nuevo texto es el siguiente:> Los recursos del Fondo Especial podrán invertirse en depósitos a la vista y a término emitidos por establecimientos de crédito sometidos a la inspección y vigilancia de la Superintendencia Financiera de Colombia.
Para el efecto el Icetex utilizará mecanismos de subasta, previa convocatoria a los establecimientos de crédito que cumplan con los requisitos mínimos de calificación previstos en el artículo 2.1.17.1.8 del presente decreto y atendiendo a las disposiciones previstas en el presente artículo.
Los recursos del Fondo Especial se invertirán de la siguiente manera:
1. No menos de un veinte por ciento (20%) se destinará a la conformación de la reserva de que trata el artículo 6o de la Ley 1777 de 2016, la cual se denominará reserva de liquidez para los efectos del presente título y se invertirá en depósitos a la vista. La subasta de la reserva de liquidez se asignará en lotes del cincuenta por ciento (50%) de los recursos y se adjudicará a los dos (2) establecimientos de crédito que ofrezcan las mejores tasas de rentabilidad.
También harán parte de esta subasta los traslados trimestrales de recursos que no coincidan con la realización de la subasta anual de qué trata el inciso segundo del artículo 2.1.17.1.10.
2. Los recursos restantes, que se denominará portafolio de inversión para los efectos del presente título, se destinarán a la constitución de depósitos a término fijo con plazo de vencimiento de un año. El Icetex organizará las posturas de mayor a menor y adjudicará los recursos así:
a) Un veinticinco por ciento (25%) a los establecimientos de crédito que ofrezcan las dos (2) mejores tasas de rentabilidad.
b) Un veinte por ciento (20%) al establecimiento de crédito que ofrezca la tercera y cuarta mejor tasa de rentabilidad.
c) Un diez por ciento (10%) a los establecimientos de crédito que ofrezcan la quinta mejor tasa de rentabilidad.
3. En el caso que no se cuente con el número de participantes de que tratan los numerales 1 y 2 del presente artículo o no se presenten establecimientos de crédito a la convocatoria de la subasta, los recursos no adjudicados deberán invertirse, de conformidad con las instrucciones que para el efecto defina la Junta Directiva del Icetex, en Títulos de Tesorería de la Nación (TES) cuya fecha de vencimiento, al momento de su adquisición por parte del Fondo, no sea mayor a dos (2) años.
ARTÍCULO 2.1.17.1.8 REQUISITO MÍNIMO DE CALIFICACIÓN. <Artículo modificado el artículo 6 del Decreto 1745 de 2020. El nuevo texto es el siguiente:>
Los establecimientos de crédito que quieran participar en la subasta deberán contar con una calificación de riesgo crediticio de largo plazo igual o superior a AA+, o su equivalente, otorgada por una sociedad calificadora de riesgo vigilada por la Superintendencia Financiera de Colombia.
ARTÍCULO 2.1.17.1.9 OPERATIVIDAD DE LA SUBASTA. <Ver Notas del Editor> <Artículo adicionado por el artículo 1 del Decreto 953 de 2016. El nuevo texto es el siguiente:> El Icetex será la entidad encargada de realizar la subasta garantizando como mínimo los principios de libre concurrencia, publicidad y transparencia. El Icetex definirá los aspectos técnicos y operativos para el adecuado desarrollo de la subasta, para lo cual deberá tener en cuenta, entre otros, los siguientes aspectos:
1. Los mecanismos de convocatoria para los participantes.
2. Información y divulgación de las condiciones de la subasta, incluyendo monto de recursos, plazo y las condiciones operativas para la presentación de las ofertas.
3. Mecanismo de adjudicación de la subasta, siempre dentro de los parámetros mínimos definidos en el presente título.
ARTÍCULO 2.1.17.1.10 PERIODICIDAD DE LA SUBASTA Y RECOMPOSICIÓN DEL FONDO ESPECIAL. <Ver Notas del Editor> <Artículo adicionado por el artículo 1 del Decreto 953 de 2016. El nuevo texto es el siguiente:> Para la reserva de liquidez la subasta se realizará cada tres (3) meses. Para el portafolio de inversión se realizará anualmente de acuerdo con las fechas de vencimiento de los depósitos a término fijo en que están invertidos estos recursos.
Sin perjuicio de lo anterior, la subasta de la reserva de liquidez deberá coincidir una vez al año con la subasta del portafolio de inversión. En esa fecha el Icetex deberá recomponer el Fondo Especial para asegurar que la reserva de liquidez corresponda cuando menos al veinte por ciento (20%) de los recursos que se estén administrando en dicho Fondo.
ARTÍCULO 2.1.17.1.11 UTILIZACIÓN DE RENDIMIENTOS. <Ver Notas del Editor> <Artículo adicionado por el artículo 1 del Decreto 953 de 2016. El nuevo texto es el siguiente:> Los rendimientos generados por la inversión de recursos provenientes de los saldos transferidos al Fondo Especial, netos de los costos que se pacten en cada uno de los convenios de funcionamiento a que se refiere el artículo 2.1.17.1.12 del presente decreto, y que excedan el monto de los intereses que deban abonarse a las entidades financieras para el reconocimiento de los rendimientos a favor de los cuentahabientes, una vez estos soliciten los recursos, de conformidad con el presente título, serán destinados a las finalidades contempladas en el artículo 1o de la Ley 1777 de 2016.
ARTÍCULO 2.1.17.1.12 CONVENIO DE FUNCIONAMIENTO. <Ver Notas del Editor> <Artículo adicionado por el artículo 1 del Decreto 953 de 2016. El nuevo texto es el siguiente:> El Icetex, en representación del Fondo Especial, suscribirá con cada una de las entidades financieras un convenio marco de funcionamiento en el que consten, entre otros aspectos, los costos, los mecanismos de información y su periodicidad y los demás aspectos relacionados con los procesos de traslado, retiro, reintegro de los saldos de las cuentas abandonadas, así como las posibles diferencias que surjan en relación con dichos procesos.
NORMAS APLICABLES A LAS COMPAÑÍAS DE FINANCIAMIENTO.
OPERACIONES AUTORIZADAS.
ARRENDAMIENTO FINANCIERO O LEASING.
ARTÍCULO 2.2.1.1.1 DEFINICIÓN DE ARRENDAMIENTO FINANCIERO O LEASING. <Artículo reubicado como artículo 2.28.2.1.1 por el artículo 62 del Decreto 1745 de 2020>
ARTÍCULO 2.2.1.1.2 REGLAS PARA LA REALIZACIÓN DE OPERACIONES. <Artículo reubicado como artículo 2.28.2.1.2 por el artículo 62 del Decreto 1745 de 2020>
ARTÍCULO 2.2.1.1.3 CORRETAJE EN OPERACIONES DE ARRENDAMIENTO FINANCIERO. <Artículo reubicado como artículo 2.28.2.1.3 por el artículo 62 del Decreto 1745 de 2020>
ARTÍCULO 2.2.1.1.4 CONTRATOS DE ARRENDAMIENTO SIN OPCIÓN DE COMPRA. <Artículo reubicado como artículo 2.28.2.1.4 por el artículo 62 del Decreto 1745 de 2020>
OTRAS OPERACIONES.
ARTÍCULO 2.2.1.2.1 ACTIVIDADES EN OPERACIONES DE LEASING INTERNACIONAL. <Artículo reubicado como artículo 2.28.2.1.5 por el artículo 62 del Decreto 1745 de 2020>
ARTÍCULO 2.2.1.2.2 OPERACIONES DE LEASING INTERNACIONAL. <Artículo reubicado como artículo 2.28.2.1.6 por el artículo 62 del Decreto 1745 de 2020>
ARTÍCULO 2.2.1.2.3 LEASING DE EXPORTACIÓN. <Artículo reubicado como artículo 2.28.2.1.7 por el artículo 62 del Decreto 1745 de 2020>
ARTÍCULO 2.2.1.2.4 SUBARRENDAMIENTO FINANCIERO (SUBLEASING). <Artículo reubicado como artículo 2.28.2.1.8 por el artículo 62 del Decreto 1745 de 2020>
ARTÍCULO 2.2.1.2.5 LEASING EN COPROPIEDAD. <Artículo reubicado como artículo 2.28.2.1.9 por el artículo 62 del Decreto 1745 de 2020>
ARTÍCULO 2.2.1.2.6 ENVÍO Y RECEPCIÓN DE GIROS.
<Fuente original compilada: D. 814/02 Art. 1o.> Autorízase a las Compañías de Financiamiento para realizar el envío o recepción de giros dentro del territorio nacional.
ARTÍCULO 2.2.1.2.7 CAPTACIÓN DE RECURSOS Y APERTURA DE CARTAS DE CRÉDITO.
<Fuente original compilada: D. 2423/93 Art. 3o.> En adición a las operaciones autorizadas en el artículo 24 del Estatuto Orgánico del Sistema Financiero, las compañías de financiamiento pueden efectuar las siguientes operaciones:
a) <Literal modificado el artículo 7 del Decreto 1745 de 2020. El nuevo texto es el siguiente:> Captar recursos a través de depósitos de ahorro a la vista o mediante la expedición de CDATs, siempre y cuando la respectiva institución alcance y mantenga un capital pagado y reserva legal no inferior al sesenta por ciento (60%) del capital mínimo requerido para la constitución de un establecimiento bancario.
b) Abrir cartas de crédito sobre el interior o exterior, en moneda legal o extranjera, siempre y cuando, en este último caso, tengan como propósito financiar operaciones de cambio exterior, con sujeción a las regulaciones cambiarias correspondientes.
CRÉDITOS.
ARTÍCULO 2.2.2.1.1 DESTINACIÓN DE LOS CRÉDITOS.
<Artículo modificado el artículo 8 del Decreto 1745 de 2020. El nuevo texto es el siguiente:>
Los préstamos de que trata el literal k) del artículo 24 del Estatuto Orgánico del Sistema Financiero y que reciban las compañías de financiamiento de otros establecimientos de crédito, deberán estar destinados exclusivamente a la realización de operaciones activas de microcrédito, de acuerdo con lo establecido en el artículo 39 de la Ley 590 de 2000 y las demás normas que lo adicionen o modifiquen.
ARTÍCULO 2.2.2.1.2 CARACTERÍSTICAS.
<Fuente original compilada: D. 710/03 Art. 2o.> Las condiciones generales de los préstamos que reciban las compañías de financiamiento provenientes de otros establecimientos de crédito destinados a celebrar operaciones de microcrédito, serán convenidas entre las partes, sujetándose en todo caso, a las normas relativas a cupos individuales de crédito y a los límites de concentración de riesgos.
PARÁGRAFO. En todo caso, el plazo de estos créditos deberá ser igual o superior a seis (6) meses.
NORMAS APLICABLES A LAS CORPORACIONES FINANCIERAS.
ARTÍCULO 2.3.1.1.1 NUEVAS OPERACIONES DE LAS CORPORACIONES FINANCIERAS.
<Fuente original compilada: D. 2423/93 Art. 2o.> En adición a las operaciones autorizadas en los artículos 12 y 13 del Estatuto Orgánico del Sistema Financiero, las corporaciones financieras pueden efectuar las siguientes operaciones:
a) <Literal modificado el artículo 9 del Decreto 1745 de 2020. El nuevo texto es el siguiente:> Captar recursos a la vista o mediante la expedición de CDATs, de cualquier clase de clientes, siempre y cuando la respectiva entidad alcance y mantenga un capital pagado y reserva legal no inferior al sesenta por ciento (60%) del capital mínimo requerido para la constitución de un establecimiento bancario.
b) Participar en la promoción y financiación de proyectos de inversión en los que intervenga la Nación, las entidades territoriales o sus respectivas descentralizadas siempre que correspondan al mejoramiento de infraestructura urbana, de servicios públicos o de saneamiento ambiental.
ARTÍCULO 2.3.1.1.2 PLAZO DE LAS OPERACIONES.
<Fuente original compilada: D. 2423/93 Art. 6o.> Las operaciones de las corporaciones financieras podrán realizarse sin sujeción al plazo mínimo de un (1) año establecido en el literal d) del artículo 12 del Estatuto Orgánico del Sistema Financiero.
(Adicionado por el D. 2800/94) Las corporaciones financieras también podrán celebrar las operaciones de que trata la letra h) del artículo 12 del Estatuto Orgánico del Sistema Financiero, con títulos cuyo plazo sea igual o menor que un año o que correspondan a financiaciones por parte del vendedor, cuyo plazo en el momento en que se efectúe la operación sea igual o menor que un año.
NORMAS APLICABLES A LAS COOPERATIVAS FINANCIERAS.
CREACIÓN DE UNA COOPERATIVA DE AHORRO Y CRÉDITO O COOPERATIVA FINANCIERA A TRAVÉS DE ESCISIÓN.
ARTÍCULO 2.4.1.1.1 AUTORIZACIÓN.
<Fuente original compilada: D. 867/03 Art. 1o.> La creación de la cooperativa de ahorro y crédito o cooperativa financiera que surja de la escisión prevista en el artículo 104 de la Ley 795 de 2003, requerirá de previa autorización de la Superintendencia de la Economía Solidaria o la Superintendencia Financiera de Colombia, según corresponda, entidades que la impartirán cuando se acredite el cumplimiento de los requisitos previstos para el ejercicio de la actividad financiera.
La autorización que imparta la entidad de vigilancia y control respectiva, podrá estar sujeta al cumplimiento de un plan de ajuste acordado con la cooperativa, cuyo término no podrá ser superior a un (1) año, prorrogable por una sola vez hasta por un término igual, a juicio de la entidad de vigilancia y control. Sólo podrá formalizarse la escisión cuando la entidad de vigilancia y control imparta la correspondiente autorización.
En todo caso, sin perjuicio de los términos previstos en el artículo 44 de la Ley 454 de 1998, las cooperativas multiactivas obligadas a especializarse, deberán completar el proceso de especialización dentro de los plazos que señale la entidad de vigilancia y control, so pena de las sanciones administrativas y demás medidas que adopte la respectiva Superintendencia en uso de sus facultades legales.
PARÁGRAFO. Para efectos del trámite de posesión de directivos la Superintendencia ante la cual se esté tramitando la escisión, podrá por cualquier medio que considere pertinente, cerciorarse de la idoneidad de los administradores y miembros de la Junta de Vigilancia. La experiencia y conocimientos relacionados con el sector financiero y áreas afines, será un factor para calificar la idoneidad de los directivos y miembros de la Junta de Vigilancia de la cooperativa financiera o de ahorro y crédito que se cree.
ARTÍCULO 2.4.1.1.2 PARTICIPACIÓN EN EL CAPITAL.
<Fuente original compilada: D. 867/03 Art. 2o.> En virtud de lo previsto en los numerales 2, 5 y 10 del artículo 5o y el numeral 1 del artículo 6o de la Ley 79 de 1988, la cooperativa que haya dado origen a la cooperativa financiera o de ahorro y crédito resultado de la escisión de que trata el artículo 104 de la Ley 795 de 2003, podrá participar tanto directamente como a través de sus entidades relacionadas, hasta en un noventa y cinco por ciento (95%) en el patrimonio de la nueva cooperativa.
ARTÍCULO 2.4.1.1.3 NUEVAS COOPERATIVAS.
<Artículo modificado el artículo 10 del Decreto 1745 de 2020. El nuevo texto es el siguiente:>
La nueva cooperativa podrá tener la naturaleza de Organismo Cooperativo de Segundo Grado y constituirse con un número mínimo de tres (3) entidades de las permitidas por el artículo 92 de la Ley 79 de 1988, incluyendo la cooperativa multiactiva o integral con sección de ahorro y crédito que le dio origen.
ARTÍCULO 2.4.1.1.4 ASAMBLEAS GENERALES.
<Fuente original compilada: D. 867/03 Art. 4o.> En las asambleas generales de las cooperativas de ahorro y crédito y cooperativas financieras cuya creación sea el resultado de la escisión prevista en el artículo 104 de la Ley 795 de 2003, las decisiones se adoptarán en los términos del artículo 96 de la Ley 79 de 1988.
ARTÍCULO 2.4.1.1.5 PROCEDENCIA DE LA ESCISIÓN.
<Fuente original compilada: D. 867/03 Art. 5o.> Para que resulte procedente la escisión prevista en el artículo 104 de la Ley 795 de 2003, y las cooperativas que surjan de este proceso puedan exceptuarse de las previsiones de los artículos 33 inciso primero, 50 y 92 inciso segundo de la Ley 79 de 1988, deberá darse cumplimiento, además de aquellas reglas que rigen la actividad de las entidades y demás normas aplicables, a las siguientes:
1. La cooperativa multiactiva que solicite la escisión de que trata el artículo 104 de la Ley 795 de 2003, deberá contar con una experiencia en la actividad financiera no menor de cinco (5) años, la cual deberá haber ejercido en forma normal y ajustada a las pautas legales y estatutarias.
2. La cooperativa con actividad financiera resultante no podrá participar en el patrimonio de la cooperativa que le dio origen y en las entidades vinculadas a estaúltima.
3. La nueva cooperativa deberá cumplir con los montos de aportes sociales mínimos previstos en el artículo 42 de la Ley 454 de 1998, sin que puedan aplicarse las excepciones previstas en el inciso tercero de la misma disposición.
4. La relación entre los flujos de caja de los activos y pasivos que se pretenda trasladar a la cooperativa de ahorro y crédito o financiera que se cree, deberá ser suficiente para respaldar las operaciones de la nueva entidad.
5. <Numeral modificado por el artículo 3 del Decreto 4802 de 2010. El nuevo texto es el siguiente:> El Representante Legal de la cooperativa multiactiva original o escindente, podrá ser miembro del Consejo de Administración de la nueva cooperativa de ahorro y crédito o financiera. Los empleados y miembros de la Junta de Vigilancia y del Consejo de Administración de la cooperativa original o escindente, no podrán participar en forma alguna en las actividades de la nueva entidad, tales como administración, gestión y vigilancia.
6. Podrán participar en el patrimonio de la nueva entidad, las personas naturales y jurídicas que se encuentren en los supuestos del artículo 21 de la Ley 79 de 1988.
7. De acuerdo con lo previsto en el numeral 3 del artículo 6o de la Ley 79 de 1988, en ningún caso podrá existir tratamiento diferenciado para los asociados de la cooperativa original y las personas que se asocien con posterioridad a la escisión, tales como tasas de interés preferenciales, garantías o condiciones de otorgamiento de crédito diferentes, entre otros.
8. Las operaciones que celebre la cooperativa de ahorro y crédito o financiera que se conforme con la cooperativa original, no podrá tener por objeto la adquisición de más activos que aquellos relacionados directamente con el objeto de la cooperativa con actividad financiera. En todo caso, las transacciones deberán ser realizadas consultando la protección de la actividad financiera, y de los depositantes y ahorradores.
9. Los contratos y operaciones con asociados, miembros de Consejo de Administración, de la Junta de Vigilancia y los cónyuges, compañeros permanentes, y quienes se encuentren dentro del segundo grado de consanguinidad o afinidad y primero civil de los anteriores, se sujetarán a las normas sobre incompatibilidades, límites o cupos individuales de crédito y demás disposiciones aplicables.
PARÁGRAFO. Las reglas previstas en el presente artículo deberán ser incorporadas en los estatutos de la nueva entidad y no podrán ser modificados en los aspectos antes señalados.
TOMA DE POSESIÓN DE LAS COOPERATIVAS FINANCIERAS, COOPERATIVAS DE AHORRO Y CRÉDITO Y COOPERATIVAS MULTIACTIVAS O INTEGRALES CON SECCIÓN DE AHORRO Y CRÉDITO" .
TOMA DE POSESIÓN.
ARTÍCULO 2.4.2.1.1. MEDIDAS PREVENTIVAS EN LA TOMA DE POSESIÓN. <Artículo adicionado por el artículo 2 del Decreto 960 de 2018. El nuevo texto es el siguiente:> El acto administrativo que ordene la toma de posesión de los bienes, haberes y negocios de una cooperativa que desarrolla la actividad financiera deberá disponer:
1. La inmediata guarda de los bienes y la colocación de sellos y demás seguridades indispensables.
2. La orden a la institución intervenida para que ponga a disposición del Superintendente respectivo y del funcionario designado por este sus libros de contabilidad y demás documentos que requiera.
3. La prevención a los deudores de la intervenida que solo podrán pagar al Agente Especial, advirtiendo la inoponibilidad del pago hecho a persona distinta, así como el aviso a las cooperativas con actividad financiera sometidas al control y vigilancia de la Superintendencia Financiera de Colombia y Superintendencia de la Economía Solidaria sobre la adopción de la medida, para que procedan de conformidad.
4. La prevención a todos los que tengan negocios con la intervenida, que deben entenderse exclusivamente con el Agente Especial, para todos los efectos legales.
5. La advertencia que, en adelante, no se podrán iniciar ni continuar procesos o actuación alguna contra la intervenida sin que se notifique personalmente al Agente Especial, so pena de nulidad.
6. La separación de los Administradores y Directores de la administración de los bienes de la intervenida, así como del Revisor Fiscal, si es del caso, salvo en los casos que la Superintendencia que ejerza la inspección y vigilancia determine lo contrario.
7. La prevención a los registradores para que se abstengan de cancelar los gravámenes constituidos a favor de la intervenida sobre cualquier bien cuya mutación esté sujeta a registro, salvo expresa autorización del Agente Especial. Así mismo, deberán abstenerse de registrar cualquier acto que afecte el dominio de bienes de propiedad de la intervenida a menos que dicho acto haya sido realizado por la persona mencionada.
8. El aviso a los registradores, para que dentro de los treinta (30) días siguientes a la toma de posesión, informen al Agente Especial sobre la existencia de folios de matrícula en los cuales figure la entidad intervenida como titular de bienes o cualquier clase de derechos.
9. El aviso a los jueces de la República y a las autoridades que adelanten procesos de jurisdicción coactiva, sobre la suspensión de los procesos de ejecución en curso y la imposibilidad de admitir nuevos procesos de esta clase contra la entidad objeto de la toma de posesión con ocasión de obligaciones anteriores a dicha medida, y la obligación de dar aplicación a las reglas previstas por los artículos 20 y 70 de la Ley 1116 de 2006. Los oficios respectivos serán enviados por el funcionario comisionado para practicar la medida.
10. La cancelación de todos los embargos decretados con anterioridad a la toma de posesión que afecten bienes de la entidad y la prevención en el sentido de que no procederá la realización de nuevos embargos sobre bienes de la intervenida.
11. La orden de suspensión de pagos de las obligaciones de la cooperativa causadas hasta el momento de la toma de posesión, cuando sea del caso.
12. La orden de registro de la medida y, si es del caso, la cancelación de los nombramientos de los Administradores y del Revisor Fiscal en la Cámara de Comercio del domicilio de la intervenida, en concordancia con los literales a) y b) del artículo 2.4.2.1.2 de este Decreto.
13. La designación del funcionario comisionado para ejecutar la medida, quien podrá solicitar que se decreten y practiquen las medidas necesarias para dar cumplimiento a la toma de posesión, y
14. En el caso de cooperativas inscritas, la comunicación sobre la adopción de la medida al Director del Fondo de Garantías de Entidades Cooperativas (Fogacoop) para que proceda a designar el Agente Especial.
PARÁGRAFO. La toma de posesión de cooperativas sometidas a vigilancia de la Superintendencia de la Economía Solidaria, no requerirá del concepto previo del Consejo Asesor a que se refiere el artículo 114 del Estatuto Orgánico del Sistema Financiero.
ARTÍCULO 2.4.2.1.2. TOMA DE POSESIÓN Y NOMBRAMIENTO DEL AGENTE ESPECIAL. <Artículo adicionado por el artículo 2 del Decreto 960 de 2018. El nuevo texto es el siguiente:> La Superintendencia Financiera de Colombia o la Superintendencia de la Economía Solidaria, según el caso, declarará la toma de posesión de la cooperativa. El Fondo de Garantías de Entidades Cooperativas (Fogacoop) o la Superintendencia de la Economía Solidaria cuando se trate de Cooperativas no inscritas, dentro de los tres (3) días hábiles siguientes a la fecha en que se le comunique la medida, nombrará al Agente Especial y al revisor fiscal.
La decisión de la toma de posesión será de cumplimiento inmediato, a través del funcionario comisionado por la entidad de supervisión correspondiente. La medida se notificará personalmente al representante legal de la Cooperativa, en caso de no poderse notificar personalmente se notificará por un aviso que se fijará por un (1) día en un lugar visible y público de las oficinas de la administración del domicilio social. El recurso de reposición no suspenderá la ejecución de la medida.
Sin perjuicio del cumplimiento inmediato de la medida, dentro de los tres (3) días hábiles siguientes a la fecha en que se haga efectiva la medida, la resolución por la cual se ordenó la toma de posesión se publicará por una (1) sola vez en un diario de amplia circulación nacional y en el Boletín del Ministerio de Hacienda y Crédito Público. La resolución se divulgará así mismo, a través de los mecanismos de información electrónica de que disponga la Superintendencia que ejerza la supervisión trátese de la Financiera de Colombia o de la Economía Solidaria, según sea el caso.
El nombramiento del Agente Especial, el Contralor y el Revisor Fiscal, se notificará personalmente, conforme a las normas del Código de Procedimiento Administrativo y de lo Contencioso Administrativo.
Los efectos de la Toma de Posesión serán los siguientes:
a) La separación de los Administradores y Directores de la administración de los bienes de la intervenida; en la decisión de toma de posesión, la Superintendencia Financiera de Colombia o la Superintendencia de la Economía Solidaria podrán abstenerse de separar determinados Directores o Administradores, salvo que la toma de posesión obedezca a violación a las normas que regulan los cupos individuales de crédito o concentración de riesgo, sin perjuicio de que posteriormente puedan ser separados en cualquier momento por el Agente Especial;
b) La separación del Revisor Fiscal, salvo que la Superintendencia Financiera de Colombia o la Superintendencia de la Economía Solidaria, decida no removerlo teniendo en cuenta las circunstancias que dieron lugar a la toma de posesión, sin perjuicio de que sea removido con posterioridad por el órgano de supervisión y vigilancia respectivo. El nuevo Revisor Fiscal será designado antes de los diez (10) días hábiles siguientes a la toma de posesión, por el Fondo de Garantías de Entidades Cooperativas (Fogacoop) o la Superintendencia de la Economía Solidaria cuando se trate de cooperativas no inscritas en el Fondo. En el caso de liquidación esta entidad podrá encomendar al Revisor Fiscal el cumplimiento de las funciones propias del contralor;
c) La separación de los Administradores y del Revisor Fiscal con ocasión de la toma de posesión da lugar a la terminación del contrato de trabajo por justa causa y por ello no generará indemnización alguna;
d) La improcedencia del registro de la cancelación de gravamen constituido a favor de la intervenida sobre cualquier bien cuya mutación está sujeta a registro, salvo expresa autorización del Agente Especial designado. Así mismo, los registradores no podrán inscribir ningún acto que afecte el dominio de los bienes de propiedad de la intervenida, so pena de ineficacia, salvo que dicho acto haya sido realizado por la persona antes mencionada;
e) La suspensión de los procesos de ejecución en curso y la imposibilidad de admitir nuevos procesos de esta clase contra la entidad objeto de toma de posesión por razón de obligaciones anteriores a dicha medida. A los procesos ejecutivos se aplicarán en lo pertinente las reglas previstas por los artículos 20 y 70 de la Ley 1116 de 2006. La actuación correspondiente será remitida al Agente Especial;
f) La cancelación de todos los embargos decretados con anterioridad a la toma de posesión que recaigan sobre bienes de la cooperativa. La Superintendencia Financiera de Colombia o la Superintendencia de la Economía Solidaria librarán los oficios correspondientes;
g) La suspensión de pagos de las obligaciones de la cooperativa causadas hasta el momento de la toma de posesión, cuando así lo disponga la entidad de vigilancia y control respectiva en el acto de toma de posesión. En el evento en que inicialmente no se hayan suspendido los pagos, la entidad de control y vigilancia cuando lo estime conveniente, podrá decretar dicha suspensión. En tal caso los pagos se realizarán durante el proceso de liquidación, si esta se dispone, o dentro del proceso destinado a restablecer la entidad para que pueda desarrollar su objeto de acuerdo con el programa que adopte el Fondo de Garantías de Entidades Cooperativas (Fogacoop) o la Superintendencia de la Economía Solidaria en el caso de cooperativas no inscritas, o se acuerde con los acreedores. No obstante, la nómina continuará pagándose normalmente, en la medida en que los recursos de la entidad lo permitan;
h) La interrupción de la prescripción y la no operancia de la caducidad respecto de los créditos a cargo de la cooperativa que se hayan constituido o se hayan hecho exigibles antes de la toma de posesión;
i) Los depositantes y acreedores, incluidos los garantizados, deberán ejercer sus derechos y hacer efectivo cualquier tipo de garantía de que dispongan frente a la cooperativa intervenida dentro del proceso de toma de posesión y de conformidad con las normas que lo rigen. Los créditos con garantías reales tendrán la preferencia que les corresponde, es decir, de segundo grado si son garantías muebles y de tercer grado si son inmuebles.
ARTÍCULO 2.4.2.1.3. ELABORACIÓN DE INVENTARIO. <Artículo adicionado por el artículo 2 del Decreto 960 de 2018. El nuevo texto es el siguiente:> El Agente Especial elaborará el inventario de los bienes, haberes y negocios, con corte a la fecha de la toma de posesión. El Agente Especial dispondrá de doce (12) días hábiles a partir de la fecha de su posesión del cargo, para elaborar la parte del inventario correspondiente a Depósitos y Exigibilidades y demás pasivos. Dentro de los ocho (8) días hábiles siguientes al vencimiento del término anterior, elaborará el inventario correspondiente a Activos y Aportes Sociales. Los términos aquí fijados serán prorrogables por decisión de la Superintendencia respectiva.
ARTÍCULO 2.4.2.1.4. PUBLICACIÓN. <Artículo adicionado por el artículo 2 del Decreto 960 de 2018. El nuevo texto es el siguiente:> Dentro de los dos (2) días hábiles siguientes al vencimiento del término establecido en el artículo anterior para la elaboración del inventario de pasivos, el Agente Especial procederá a publicar este último por el término de siete (7) días calendario, en las oficinas de la entidad, en área visible al público.
ARTÍCULO 2.4.2.1.5. RECLAMACIONES. <Artículo adicionado por el artículo 2 del Decreto 960 de 2018. El nuevo texto es el siguiente:> Una vez expirado el término de publicación del inventario y dentro de los cinco (5) días hábiles siguientes, contra el contenido del inventario de pasivos y exigibilidades se podrán presentar reclamaciones, las cuales deberán reunir los requisitos que indique por medio de instructivo general el Fondo de Garantías de Entidades Cooperativas (Fogacoop) o la Superintendencia de la Economía Solidaria cuando se trate de cooperativas no inscritas.
Los interesados tendrán cinco (5) días hábiles contados a partir del vencimiento del término anterior, para objetar las reclamaciones presentadas. Cinco (5) días hábiles después del vencimiento del término para la presentación de objeciones, el Agente Especial deberá publicar en las oficinas de la intervenida, un nuevo inventario de pasivos y exigibilidades que incorpore las reclamaciones que hayan sido aceptadas. Las decisiones de reclamaciones y objeciones rechazadas o aceptadas parcialmente serán trasladadas a cada interesado.
En caso que se ordene la liquidación de la entidad, las reclamaciones no presentadas o presentadas después del vencimiento del término previsto, pasarán a ser parte del pasivo cierto no reclamado, y su pago se sujetará a lo previsto en el numeral 7 del artículo 2.4.2.3.4 del presente Decreto.
ARTÍCULO 2.4.2.1.6. JUNTA ASESORA. <Artículo adicionado por el artículo 2 del Decreto 960 de 2018. El nuevo texto es el siguiente:> Dentro de los seis (6) días hábiles siguientes al inicio de la publicación del inventario de pasivos y exigibilidades, el Agente Especial citará a la Junta Asesora compuesta por cinco (5) miembros la cual se conformará de la siguiente forma:
a) Dos acreedores cuyos créditos vigentes sean los de mayor cuantía.
b) Dos designados por el Fondo de Garantías de Entidades Cooperativas (Fogacoop) o la Superintendencia de la Economía Solidaria cuando se trate de cooperativas no inscritas en el Fondo, elegidos entre los depositantes y ahorradores, de acuerdo con el procedimiento que para el efecto determine la respectiva entidad.
c) Un tercer miembro que represente a los acreedores minoritarios el cual será elegido por el Fondo de Garantías de Entidades Cooperativas (Fogacoop) o la Superintendencia de la Economía Solidaria cuando se trate de Cooperativas no inscritas en el Fondo, elección que se determinará de acuerdo con el procedimiento que para el efecto fije la respectiva entidad.
ARTÍCULO 2.4.2.1.7. FUNCIONES DE LA JUNTA ASESORA. <Artículo adicionado por el artículo 2 del Decreto 960 de 2018. El nuevo texto es el siguiente:> A la Junta Asesora le corresponderá realizar las siguientes funciones:
a) Revisar con anterioridad al traslado de los acreedores, las cuentas comprobadas presentadas por el Agente Especial;
b) Conocer el informe presentado por el Revisor Fiscal o quien haga sus veces;
c) Dar concepto sobre los estados financieros;
d) Dar concepto sobre el presupuesto de gastos que para cada año calendario debe elaborar el agente especial;
e) Asesorar al agente especial, cuando este se lo solicite, en cuestiones relacionadas con su gestión;
f) Requerir al agente especial para que presente cuentas comprobadas de su gestión cuando este se abstenga de hacerlo.
PARÁGRAFO. La Junta Asesora deliberará con la mitad más uno de sus integrantes y decidirá al menos con el voto favorable de igual número de miembros. Cuando la Junta no pueda sesionar por falta de quórum, el agente especial la citará nuevamente y por una sola vez dentro de los diez (10) días siguientes, convocando a los acreedores que según el valor de sus créditos, deban reemplazar a quienes no concurrieron. En este caso la Junta deliberará y decidirá con cualquier número plural de miembros que asista. Cuando se trate de la reunión ordinaria, en el evento en que no sesione la Junta, se dará traslado de las cuentas a los acreedores a partir de la fecha de la segunda y última convocatoria.
ARTÍCULO 2.4.2.1.8. ESTUDIO DE VIABILIDAD. <Artículo adicionado por el artículo 2 del Decreto 960 de 2018. El nuevo texto es el siguiente:> El Agente Especial presentará al Fondo de Garantías de Entidades Cooperativas (Fogacoop) o a la Superintendencia de la Economía Solidaria cuando se trate de cooperativas no inscritas al Fondo, dentro de los cuarenta (40) días calendario siguientes a la toma de posesión, el estudio de viabilidad y alternativas a ejecutar para colocar a la entidad en condiciones de desarrollar adecuadamente su objeto social, o si se pueden realizar otras operaciones que permitan lograr mejores condiciones para que los depositantes, ahorradores e inversionistas puedan obtener el pago total o parcial de sus acreencias, o si la entidad debe ser objeto de liquidación.
El Fondo de Garantías de Entidades Cooperativas (Fogacoop) o la Superintendencia de la Economía Solidaria cuando se trate de cooperativas no inscritas al Fondo, tendrá cinco (5) días hábiles para la evaluación del estudio de viabilidad y dará traslado de las observaciones del mismo al Agente Especial para que las atienda y lo remita nuevamente, dentro de los tres (3) días hábiles siguientes a la fecha en que haya recibido las observaciones. Los anteriores términos podrán ser prorrogados por la Superintendencia de la Economía Solidaria hasta por tres días hábiles respectivamente.
Las entidades encargadas del seguimiento de la toma de posesión, podrán solicitar, para efectos de evaluación del estudio de viabilidad presentado por el agente especial, la información que consideren necesaria, incluso los documentos originales que indiquen o materialicen las obligaciones de la Cooperativa, ya sea contratos o títulos valores.
En el caso de entidades inscritas en el Fondo de Garantías de Entidades Cooperativas (Fogacoop) una vez aprobado el estudio por parte de este último, se dará traslado del mismo a la Superintendencia que corresponda. El estudio deberá indicar la medida que se recomienda adoptar por parte de la entidad de vigilancia y control.
En todo caso, cuando el Fondo de Garantías de Entidades Cooperativas (Fogacoop) considere que la entidad no es viable, podrá solicitar a la Superintendencia respectiva en cualquier momento después de la toma de posesión y sin que medie el estudio de viabilidad de que trata el presente artículo, que se ordene la liquidación de la cooperativa, sin perjuicio de la autonomía de la Superintendencia respectiva para ordenar la liquidación o la administración en cualquier momento a partir de la toma de posesión.
ARTÍCULO 2.4.2.1.9. VENTA DE LOS ACTIVOS. <Artículo adicionado por el artículo 2 del Decreto 960 de 2018. El nuevo texto es el siguiente:> En el caso de enajenación de activos, el Agente Especial procederá a:
1. Solicitar autorización de venta total o parcial de los activos de la entidad al Fondo de Garantías de Entidades Cooperativas (Fogacoop) o a la Superintendencia de la Economía Solidaria cuando se trate de Cooperativas no inscritas en el Fondo.
2. Presentar a la entidad que corresponda de acuerdo con lo indicado en el numeral anterior, para efectos de la valoración de los bienes incluidos en el inventario, tres (3) personas y/o firmas avaluadoras, a fin de que la misma elija cuál de ellas realizará el avalúo sobre los activos.
3. Elaborar con base en el avalúo efectuado de acuerdo con el numeral anterior, un reglamento de venta que permita la libre concurrencia de oferentes a fin de lograr la evaluación de los activos y la determinación de precios de acuerdo con las reglas del mercado.
4. Una vez estudiado el reglamento de venta, el mismo será sometido a la aprobación de la entidad encargada del seguimiento del proceso de toma de posesión.
5. Proferida la autorización de enajenación de los activos, el Agente Especial procederá a la venta de los activos, tomando como base el avalúo realizado y las condiciones de mercado.
ARTÍCULO 2.4.2.1.10. ENAJENACIÓN ESPECIAL. <Artículo adicionado por el artículo 2 del Decreto 960 de 2018. El nuevo texto es el siguiente:> Cuando el Agente Especial así lo considere, previa autorización del Fondo de Garantías de Entidades Cooperativas (Fogacoop) o la Superintendencia de la Economía Solidaria en el caso de cooperativas no inscritas, los activos se podrán enajenar sin sujeción al procedimiento descrito en el artículo anterior, a través de martillos realizados por entidades autorizadas para el efecto o de una invitación pública para presentar propuestas. En tal caso la base del martillo o de la invitación pública para presentar propuestas no será inferior al setenta por ciento (70%) del valor que al efecto se haya determinado, de acuerdo con las condiciones de mercado. Para este efecto la invitación deberá publicarse por lo menos dos (2) veces con un intervalo de ocho (8) días calendario en un medio masivo de comunicación.
ARTÍCULO 2.4.2.1.11. MEDIDAS A ADOPTAR. <Artículo adicionado por el artículo 2 del Decreto 960 de 2018. El nuevo texto es el siguiente:> En todo caso, de acuerdo con el numeral 2 del artículo 116 del Estatuto Orgánico del Sistema Financiero, dentro de un término no mayor de dos (2) meses contados a partir de la toma de posesión y prorrogables por un término igual por dicha entidad, la Superintendencia de la Economía Solidaria o la Superintendencia Financiera de Colombia según corresponda, previo concepto del Fondo de Garantías de Entidades Cooperativas (Fogacoop) en el caso de cooperativas inscritas, determinará si la entidad debe ser objeto de liquidación, si se pueden tomar medidas para que la misma pueda desarrollar su objeto conforme a las reglas que lo rigen o si pueden adoptarse otras medidas que permitan a los depositantes, ahorradores o inversionistas obtener el pago total o un pago parcial de sus créditos. En los dos últimos casos, el Fondo de Garantías de Entidades Cooperativas (Fogacoop) presentará a la Superintendencia que corresponda, el programa que aquél seguirá con el fin de lograr el cumplimiento de la medida y en el cual se señalarán los plazos para el pago de los créditos. Dicho programa podrá ser modificado cuando las circunstancias lo requieran, evento que se comunicará a la Superintendencia respectiva y a la entidad objeto de la toma de posesión.
POSESIÓN PARA ADMINISTRAR.
ARTÍCULO 2.4.2.2.1. POSESIÓN PARA ADMINISTRAR. <Artículo adicionado por el artículo 2 del Decreto 960 de 2018. El nuevo texto es el siguiente:> En el evento en que se decida la administración de la entidad, la respectiva Superintendencia expedirá la resolución ordenando tal medida, en la cual también se ordenará dar aviso a los ahorradores y depositantes mediante publicación en un lugar visible en las oficinas de la cooperativa por un término de siete (7) días hábiles, así como la publicación por una vez en un diario de amplia circulación nacional, de un aviso informando sobre la expedición de la medida.
En el caso en que se decida la administración de la entidad, se seguirán las siguientes reglas:
1. El Agente Especial procederá a presentar dentro de los diez (10) días hábiles siguientes al último día de publicación de la resolución de toma de posesión para administrar, un Plan para aprobación de la respectiva Superintendencia, que incluya el restablecimiento de la solvencia patrimonial de la entidad, las fuentes de liquidez, el cronograma de reapertura y las medidas necesarias para efectuar la racionalización operativa y administrativa de la entidad.
2. En el caso de cooperativas inscritas, el Fondo de Garantías de Entidades Cooperativas, Fogacoop, podrá cancelar a los ahorradores o depositantes una suma hasta por el equivalente al valor del seguro de depósitos o de la garantía correspondiente, o bien destinar hasta una suma equivalente a la cifra que se calcule como pago del seguro de depósito. En ambos casos, la medida debe tener efecto en la viabilidad de la cooperativa y el pago tendrá efectos liberatorios respecto del seguro y la garantía por el monto en que se realice.
3. Cuando se disponga la administración de la entidad, la toma de posesión no podrá exceder del plazo de un (1) año, prorrogable por la Superintendencia respectiva por un (1) año adicional. Si en ese tiempo no se subsanaren las dificultades que dieron origen a la toma de posesión, la Superintendencia que ejerza la inspección y vigilancia sobre la cooperativa dispondrá la disolución y liquidación de la entidad. Lo anterior sin perjuicio de que el Gobierno por resolución ejecutiva autorice una prórroga mayor cuando así se requiera en razón de las características de la institución.
4. Durante el desarrollo de esta medida se puede determinar la liquidación o la aplicación de alguna medida de salvamento que permita a la entidad restaurar su actividad, consultando en todo caso como criterio básico la protección de los intereses de los depositantes y ahorradores. En virtud de tales mecanismos, la Superintendencia respectiva podrá optar por la fusión, incorporación, cesión de activos y pasivos, transformación de la cooperativa en sociedad anónima o la conversión de la misma en otra clase de cooperativa, o cualquier otro mecanismo que considere conveniente.
PARÁGRAFO. Sin perjuicio del momento en que se decida la toma de posesión para administrar, se deberá dar cumplimiento a lo previsto en los artículos 2.4.2.1.1 a 2.4.2.1.6 del presente decreto.
POSESIÓN PARA LIQUIDACIÓN.
ARTÍCULO 2.4.2.3.1. RESOLUCIÓN DE LIQUIDACIÓN. <Artículo adicionado por el artículo 2 del Decreto 960 de 2018. El nuevo texto es el siguiente:> En el evento en que se decida la liquidación de la entidad, la respectiva Superintendencia expedirá la resolución ordenando tal medida, en la cual también se ordenará dar aviso a los ahorradores y depositantes mediante publicación en un lugar visible en las oficinas de la cooperativa por un término de siete (7) días hábiles, así como por una vez mediante un aviso en un diario de amplia circulación nacional.
PARÁGRAFO. Sin perjuicio del momento en que se decida la liquidación, se deberá dar cumplimiento a lo dispuesto en los artículos 2.4.2.1.1 a 2.4.2.1.6 del presente decreto.
ARTÍCULO 2.4.2.3.2. RESOLUCIÓN DE RECONOCIMIENTO DE ACREENCIAS. <Artículo adicionado por el artículo 2 del Decreto 960 de 2018. El nuevo texto es el siguiente:> Una vez vencido el término de siete (7) días hábiles de publicación del aviso de la resolución que ordena la liquidación, el Agente Especial proferirá una Resolución informando a los acreedores los montos que la entidad les adeuda a la fecha de la resolución que ordena la liquidación. El acto administrativo se notificará en la forma prevista en los artículos 67 a 69 del Código de Procedimiento Administrativo y de lo Contencioso Administrativo. Adicionalmente, dentro de los tres (3) primeros días de la expedición de la resolución de reconocimiento de acreencias se publicará un aviso en un diario de amplia circulación nacional informando: la expedición de dicha resolución, el término para presentar recursos y el lugar o lugares en los cuales podrá consultarse el texto completo de la resolución.
La resolución contendrá lo siguiente:
a) Los bienes que integran la masa de la liquidación y los excluidos de ella.
b) El orden de restitución de las acreencias de conformidad con el numeral 2 del artículo 299 y el numeral 6 del artículo 300 del Estatuto Orgánico del Sistema Financiero.
c) Los créditos a cargo de la masa señalando la naturaleza de los mismos, su cuantía y la prelación para el pago, y los privilegios o preferencias que la ley establece, de conformidad con los numerales 5 y 6 del artículo 300 del Estatuto Orgánico del Sistema Financiero.
Contra dicha resolución procederá el recurso de reposición dentro de los cinco (5) días hábiles siguientes a la ejecutoria de la misma.
Las resoluciones que decidan recursos u objeciones se notificarán personalmente al titular de la acreencia sobre la que se decida y a quien hubiera interpuesto el recurso en la forma prevista en los artículos 67 a 69 del Código de Procedimiento Administrativo y de lo Contencioso Administrativo.
PARÁGRAFO. Salvo en los casos en que se decida la liquidación de la entidad en el mismo acto en que se ordene la toma de posesión, si a la fecha en que se ordene la liquidación se ha elaborado el inventario de activos y pasivos de la entidad intervenida, el mismo deberá actualizarse dentro del mismo plazo previsto para expedir la resolución de reconocimiento de acreencias.
ARTÍCULO 2.4.2.3.3. PAGO DEL SEGURO DE DEPÓSITO. <Artículo adicionado por el artículo 2 del Decreto 960 de 2018. El nuevo texto es el siguiente:> En el caso de cooperativas inscritas en el Fondo de Garantías de Entidades Cooperativas, Fogacoop, una vez en firme la decisión sobre la orden de restitución y pago de las acreencias, el Fondo notificará a los ahorradores y depositantes sobre el valor y procedimiento de pago del Seguro de Depósito mediante aviso en lugar visible en las oficinas de la intervenida, de acuerdo con la reglamentación expedida por la Junta Directiva del Fondo.
De conformidad con el parágrafo 2o del artículo 13 del Decreto 2206 de 1998, cuando el Fondo pague el seguro de depósito o una garantía, el mismo se subrogará parcialmente y por ello tendrá derecho a obtener el pago de las sumas que haya cancelado, en las mismas condiciones que los depositantes y ahorradores.
De acuerdo con lo dispuesto en el artículo 13 del Decreto 2206 de 1998, la Junta Directiva del Fondo de Garantías de Entidades Cooperativas, Fogacoop, organizará y definirá el procedimiento de pago del seguro de depósito. En todo caso, solo procederá el pago del seguro de depósito o una suma equivalente, cuando se trate de la toma de posesión de una entidad cooperativa inscrita en el Fondo.
Las obligaciones del Fondo por razón del seguro de depósitos o de una garantía, podrán cumplirse mediante el pago directamente al depositante de la suma de dinero correspondiente o mediante el empleo de otros mecanismos que permitan al mismo recibir por lo menos una suma equivalente al valor amparado de su acreencia. El Fondo podrá cumplir sus obligaciones de pago del seguro de depósitos, mediante la celebración de convenios con cooperativas u otras entidades financieras. En el caso de pago de una suma equivalente al seguro de depósitos durante la etapa de toma de posesión para administrar de acuerdo con lo previsto en el artículo 2.4.2.2.1 del presente decreto, dichos pagos tendrán efectos liberatorios respecto del seguro y la garantía, en el monto por el cual el mismo se realice.
ARTÍCULO 2.4.2.3.4. PROCESO LIQUIDATORIO. <Artículo adicionado por el artículo 2 del Decreto 960 de 2018. El nuevo texto es el siguiente:> El proceso liquidatorio de las entidades a las cuales se aplican las disposiciones del presente título se desarrollará en las siguientes etapas:
1. Orden de restitución y prelación de pagos. Para determinar la prelación de pagos de los créditos a cargo de la masa de la liquidación, el Liquidador seguirá las reglas especiales definidas para tal aspecto en la Ley 79 de 1988 y las generales del Código Civil, así como las demás disposiciones legales aplicables.
Tanto los pagos a cargo de la masa de la liquidación como las restituciones de sumas excluidas de ella, se efectuarán en la medida en que las disponibilidades de la intervenida lo permitan.
Las sumas disponibles que deban distribuirse entre personas que de acuerdo con la ley tengan derecho a ser pagadas con bienes excluidos de la masa, pero que no tengan derechos sobre un bien determinado, se dividirán a prorrata del valor de los respectivos créditos.
2. Enajenación. En todo caso, a partir de la toma de posesión el Agente Especial podrá enajenar los activos de la entidad que considere necesarios, siguiendo para el efecto, el procedimiento previsto en el artículo 2.4.2.1.9 del presente decreto. Durante la posesión para liquidar, el liquidador podrá adelantar el procedimiento de enajenación previsto en el artículo 2.4.2.1.10 del presente decreto, sin requerir autorización por parte del Fondo de Garantías de Entidades Cooperativas, Fogacoop, o de la Superintendencia de la Economía Solidaria en el caso de cooperativas no inscritas en el Fondo.
3. Restitución de sumas y bienes excluidos de la masa de la liquidación. En la medida en que las disponibilidades de la intervenida lo permitan, el Liquidador señalará, cuantas veces sea necesario, períodos para adelantar total o parcialmente la restitución de sumas excluidas de la masa de liquidación.
En todo caso, el Liquidador hará entrega de los bienes diferentes de dinero excluidos de la masa de liquidación una vez en firme la providencia que acepte las reclamaciones. Pasados treinta (30) días hábiles a partir de tal fecha sin que los interesados se presentaren, el Liquidador ordenará su remate a través de un martillo autorizado. Con el producto de la venta, deducidos los gastos de la misma, se constituirá una provisión por el término de un (1) año para que el producto de la venta sea entregado a sus dueños, y en el evento en que no se presentaren a recibirlo, destinar su valor a restituciones o pagos a cargo de la liquidación. Las acreencias que contra la intervenida puedan tener los titulares de dichos bienes, por el producto del remate de los mismos, se incluirán en el pasivo cierto no reclamado a cargo de la intervenida, en los términos del numeral 7 de este artículo.
En caso que dentro del mismo término no se presentaren los titulares de cajillas de seguridad, para su apertura se seguirá el procedimiento establecido en el artículo 1421 del Código de Comercio. El Liquidador, a su juicio, podrá entregar en depósito a una entidad especializada los bienes depositados en las cajillas, en espera de que sus dueños se presenten a reclamarlos, o disponer en cualquier tiempo que se les dé el tratamiento previsto en este numeral.
La decisión sobre restitución de bienes diferentes de dinero excluidos de la masa de la liquidación quedará ejecutoriada en las reclamaciones sobre las cuales no se haya interpuesto recurso, una vez vencido el término correspondiente, o en cuanto a las que se haya interpuesto, cuando el mismo sea resuelto. En tales casos procederá la entrega sin perjuicio del trámite de los recursos contra las restantes reclamaciones.
Las obligaciones a favor del Fondo de Garantías de Entidades Cooperativas, Fogacoop, gozarán del derecho a ser cubiertas con sumas excluidas de la masa de liquidación, en igualdad de condiciones que los demás ahorradores y depositantes.
4. Provisión para restitución de sumas excluidas de la masa de liquidación. A la terminación del último período fijado para la restitución de bienes excluidos de la masa de liquidación que correspondan a acreencias reconocidas, con las sumas cuyos titulares no se hubieren presentado para recibir el pago durante el tiempo previsto, el Liquidador constituirá, por el término de tres (3) meses en espera de que aquellos se presenten, una provisión representada en activos de alta seguridad, rentabilidad y liquidez.
En cualquier tiempo, desde el inicio del primer período para adelantar la restitución de sumas excluidas de la masa de la liquidación hasta el vencimiento del término de la respectiva provisión, el reclamante aceptado que se haya presentado oportunamente a recibir tendrá derecho a la restitución en la misma proporción en que se haya efectuado a los demás reclamantes aceptados, salvo que se trate de aquellas sumas cuya restitución procede una vez hayan sido recaudadas.
Vencido el término de la provisión, los remanentes se destinarán a realizar pagos a cargo de la masa de la liquidación, y las sumas de los créditos cuyos titulares no se hayan presentado a recibirlas se incorporarán al pasivo cierto no reclamado en los términos en que lo señala el numeral 7 de este artículo.
5. Pago de los créditos a cargo de la masa de la liquidación. Constituida la provisión a que se refiere el numeral anterior, en la medida en que las disponibilidades de la intervenida lo permitan, el Liquidador fijará, cuantas veces sea necesario, períodos para realizar el pago parcial o total de los créditos a cargo de la masa de la liquidación, con sujeción a la prelación de pagos establecida.
6. Provisión para el pago de créditos a cargo de la masa de la liquidación. A la terminación del último período establecido para el pago de los créditos a cargo de la masa de la liquidación debidamente reconocidos, el Liquidador constituirá por el término de tres (3) meses una provisión con las sumas de los créditos cuyos titulares no se hubieren presentado a recibirlos, representada en activos de alta seguridad, rentabilidad y liquidez.
En cualquier tiempo, desde el inicio del primer período de pagos a cargo de la masa de la liquidación hasta el vencimiento de la respectiva provisión, el reclamante aceptado que no se haya presentado oportunamente a recibir el pago, tendrá derecho a recibirlo, en la misma proporción que los demás reclamantes aceptados y de acuerdo con la prelación de créditos.
Vencido el término de la provisión, los remanentes se destinarán al pago del pasivo cierto no reclamado o a la constitución de la provisión para atender procesos en curso, según el caso.
7. Pasivo cierto no reclamado. El Liquidador determinará el pasivo cierto no reclamado mediante resolución motivada, para lo cual tendrá en cuenta las acreencias de cuyos titulares no se hubieren presentado a recibir el pago oportunamente pero que aparezcan debidamente justificados en los libros y comprobantes de la intervenida. Dentro de dicho pasivo no se incluirán las obligaciones respecto de las cuales se hayan cumplido los términos de prescripción o caducidad.
El pago del pasivo cierto no reclamado procederá únicamente en los casos en los que existan remanentes y dependerá de las disponibilidades de la entidad intervenida. Para su pago se señalará un período que no excederá de tres (3) meses, vencido el cual se entregarán al Fondo de Garantías de Entidades Cooperativas, Fogacoop, las sumas no reclamadas con destino a la reserva correspondiente.
La resolución que establezca el pasivo cierto no reclamado se notificará en la forma prevista en los artículos 67 a 69 del Código de Procedimiento Administrativo y de lo Contencioso Administrativo y se publicará en un lugar visible al público en las oficinas de la intervenida.
8. Pérdida de poder adquisitivo. Con el fin de compensar la pérdida de poder adquisitivo sufrida por los depositantes, ahorradores y demás acreedores por la falta de oportunidad en el pago, se aplicarán las siguientes reglas.
a) Una vez atendidas las acreencias reconocidas o el pasivo cierto no reclamado, si hay lugar a él, si quedare un remanente de activos se reconocerá y pagará desvalorización monetaria a los titulares de los créditos atendidos por la liquidación, cualquiera sea la naturaleza, prelación o calificación de los mismos, con excepción de los créditos que conforme al presente artículo correspondan a gastos de administración.
b) Para liquidar la compensación por desvalorización monetaria se procederá así:
Se utilizará el índice mensual de precios al consumidor certificado por el Departamento Administrativo Nacional de Estadísticas, DANE, del mes calendario siguiente a aquel en el cual la Superintendencia respectiva haya dispuesto la toma de posesión.
Se actualizará cada crédito reconocido en la liquidación en moneda legal o el saldo del mismo, según el caso, con el índice antes señalado, certificado desde el mes indicado por el inciso anterior hasta la fecha que se fije para el inicio del período de pagos por compensación monetaria.
En todo caso, las sumas se actualizarán desde la fecha en que el respectivo pago haya sido puesto a disposición de los acreedores.
c) Una vez descontadas las provisiones a que haya lugar conforme a la ley, la desvalorización monetaria será reconocida y pagada por la entidad en liquidación con cargo a sus propios activos y hasta concurrencia del remanente de estos, a prorrata del valor de cada crédito. El pago se efectuará con sujeción al orden que corresponda a cada clase de acreencias, según su naturaleza y prelación legal, de acuerdo con lo indicado en el Estatuto Orgánico del Sistema Financiero y en las normas civiles y comerciales.
d) Para el pago de la desvalorización monetaria el Liquidador señalará un período de pagos que no podrá exceder de seis (6) meses contados a partir de la fecha de su iniciación. Las sumas por desvalorización que por cualquier causa no sean reclamadas dentro de ese plazo se destinarán a completar el pago de quienes recibieron compensación parcial, si a ello hubiere lugar.
e) Para efectos del pago, el Liquidador contratará con una o varias entidades financieras.
En la medida en que haya realizado el pago del seguro de depósito, al Fondo de Garantías de Entidades Cooperativas, Fogacoop, le corresponderá la desvalorización monetaria a que haya lugar sobre cada acreencia respecto de la cual reconozca ese amparo, en forma proporcional a los pagos efectivamente realizados por concepto del seguro de depósito, calculada desde la fecha en que el Fondo realice el pago respectivo y hasta la fecha en que la liquidación reconozca el pago de la desvalorización.
9. Certificación de existencia y representación. La existencia y representación de la entidad en liquidación se acreditará con el acto o actos por medio de los cuales se designe el Liquidador, los cuales se inscribirán en las Cámaras de Comercio de los lugares donde tenga domicilio la entidad.
10. Gastos de administración de la liquidación. Los créditos que se causen durante el curso de la liquidación por concepto de salarios, prestaciones sociales y aquellos en los que se incurra para la realización o recuperación de activos y conservación de archivos se pagarán de preferencia como gastos de administración de la liquidación. Igual tratamiento recibirán los honorarios profesionales que se causen con ocasión del proceso, los pagos a los auxiliares de la justicia y todos aquellos que el Fondo de Garantías de Entidades Cooperativas, Fogacoop, o la Superintendencia de la Economía Solidaria, en el caso de cooperativas no inscritas, determine mediante instructivos de carácter general, que por su naturaleza constituyen gastos de funcionamiento.
11. Restitución de depósitos a herederos. En los casos y en las cuantías previstos en el Estatuto Orgánico del Sistema Financiero el Liquidador podrá restituir directamente a los herederos y al cónyuge de los depositantes y ahorradores, las sumas correspondientes sin necesidad de adelantar previamente juicio de sucesión.
12. Compensación. Con el fin de asegurar la igualdad de los acreedores en el proceso liquidatorio no procederá la compensación de obligaciones de la intervenida, para con terceros que a su vez sean deudores de ella.
13. Terminación de la existencia legal. El Liquidador declarará terminada la existencia legal de la entidad intervenida en los siguientes casos:
a) Cuando aparezca comprobado que todo el activo de la intervenida fue debidamente distribuido y se han efectuado las provisiones requeridas, si son del caso, sin que subsistan remanentes a distribuir entre los accionistas, y
b) Una vez protocolizada la rendición de cuentas comprobadas de la liquidación, en el evento previsto en el numeral anterior.
Para efectos de este numeral, el Liquidador podrá constituir encargos fiduciarios con los activos representativos de las provisiones.
La resolución por la cual se declare terminada la existencia legal de una institución en liquidación, dispondrá su inscripción en el registro mercantil y su publicación, por una vez, en un diario de amplia circulación nacional.
Si con posterioridad a la declaración de terminación de la existencia legal de una persona jurídica de carácter cooperativo cuya liquidación haya sido adelantada por disposición de la Superintendencia Financiera de Colombia o de la Superintendencia de la Economía Solidaria, se tiene conocimiento de la existencia de bienes o derechos de propiedad de tal entidad, o de situaciones jurídicas no definidas, el Fondo o la Superintendencia de la Economía Solidaria en el caso de cooperativas no inscritas, podrá ordenar la reapertura del proceso liquidatorio respectivo con el fin de que se adelante la realización de tales activos y el pago de los pasivos insolutos a cargo de la respectiva entidad, hasta concurrencia de tales activos, así como para que la misma defina las situaciones jurídicas a que haya lugar.
En tales casos el Director del Fondo de Garantías de Entidades Cooperativas, Fogacoop, o la Superintendencia de la Economía Solidaria en el caso de cooperativas no inscritas, designará un Liquidador para que lleve a cabo el proceso de liquidación en lo que sea pertinente, conforme a las normas previstas en el Estatuto Orgánico del Sistema Financiero y en el presente título.
El Liquidador dará a conocer esa decisión mediante la publicación de dos avisos sucesivos en periódicos de amplia circulación nacional, con un intervalo no menor a tres (3) días hábiles, e inscripción de la misma en el registro mercantil de los lugares en que haya sido inscrita la terminación de la personería jurídica.
14. Culminación del proceso liquidatario. Cuando el liquidador advierta que al terminar el proceso pueden existir activos no entregados o realizados o situaciones no definidas, procederá así:
a) Si existen depositantes o acreedores que no hayan sido pagados, se les invitará a que se presenten y propongan fórmulas para adjudicar los bienes remanentes entre ellos o para entregar activos a una determinada entidad que los administre por cuenta de aquellos hasta el monto de su crédito. Las propuestas que reciban serán sometidas a la aprobación de los demás acreedores.
El liquidador aceptará las fórmulas de adjudicación que sean aprobadas por el voto favorable del cincuenta y uno por ciento (51%) de las acreencias y como mínimo de la mitad más uno de los acreedores.
Si no se pudiere lograr el acuerdo, el liquidador adjudicará los bienes entre los acreedores teniendo en cuenta las reglas de prelación de créditos a prorrata de los mismos;
b) Cuando los bienes deban ser entregados a los asociados y estos no los aceptaren o no se presenten a recibirlos, en un plazo de dos (2) meses siguientes a la fecha en que se les haya invitado, se entregarán dichos bienes al Fondo de Garantías de Entidades Cooperativas, Fogacoop, o a la Superintendencia de la Economía Solidaria cuando se trate de cooperativas no inscritas al Fondo, para las reservas correspondientes.
c) En el evento de situaciones jurídicas no definidas, el Fondo de Garantías de Entidades Cooperativas, Fogacoop, o la Superintendencia de la Economía Solidaria, cuando se trate de cooperativas no inscritas al Fondo, podrá encomendar la atención de dicha situación a otra entidad o asumirla el mismo, y para tal efecto la liquidación constituirá con cargo a sus propios recursos, si es del caso, una reserva adecuada.
d) En cualquier momento del proceso liquidatorio, y antes de la adjudicación, los titulares de acreencias reconocidas podrán ceder los derechos en el respectivo proceso, con sujeción a las normas sobre la materia. En el caso de entidades públicas, la cesión podrá adelantarse con otras entidades de la misma naturaleza.
15. Asamblea de Asociados. Cuando el liquidador haya cancelado el pasivo externo de la entidad, constituido las provisiones requeridas y cubierto los gastos de la liquidación, en caso de existir activos, convocará a una audiencia de acreedores internos, de acuerdo con lo previsto en el Título 4 de la Parte 11 del Libro 2 del Decreto 1068 de 2015, y las normas que lo modifiquen o adicionen. Si no se logra reunir el quórum necesario para el efecto, o no se acoge al programa de reactivación, deberá convocar a la asamblea de asociados. En dicha asamblea se podrá nombrar uno o varios liquidadores para continuar la liquidación de la cooperativa.
El liquidador designado por el Director del Fondo de Garantías de Entidades Cooperativas, Fogacoop, o por la Superintendencia de la Economía Solidaria en el caso de cooperativas no inscritas, hará entrega de los archivos y documentos de la entidad intervenida al liquidador designado por la Asamblea, y a partir de ese momento, cesarán las obligaciones del Fondo, o de la Superintendencia de la Economía Solidaria en el caso de cooperativas no inscritas, así como las del liquidador saliente.
Si hecha debidamente la convocatoria no se integra el quórum, dentro de los cinco (5) días hábiles siguientes se convocará en la misma forma a una segunda asamblea en la cual se podrá decidir válidamente con cualquier número de asociados, para efectos de la aprobación de la rendición de cuentas del liquidador saliente y nombramiento del nuevo liquidador.
Se constituirá un fondo para el mantenimiento y conservación del archivo con recursos provenientes de la liquidación y se hará entrega al Fondo de Garantías de Entidades Cooperativas, Fogacoop, de las sumas no reclamadas correspondientes al pasivo cierto no reclamado y desvalorización monetaria, salvo que la Superintendencia de la Economía Solidaria, por solicitud de la Asamblea de Asociados, autorice la constitución de una reserva para el pago de dichos pasivos por parte de la cooperativa a los acreedores que lo reclamen. Si la acreencia corresponde a recursos de ahorro, su pago tendrá prioridad sobre cualquier otra obligación.
Una vez efectuada la entrega de los archivos y documentos al liquidador designado por la Asamblea y constituida la reserva para el pago del pasivo externo no reclamado y la desvalorización monetaria si es el caso, el procedimiento se sujetará a las normas que rigen a las entidades cooperativas.
PARÁGRAFO 1o. Si a la reunión para la aprobación de la rendición de cuentas no concurre ningún asociado, esta se tendrá por presentada a la Asamblea.
PARÁGRAFO 2o. La constitución y manejo de la reserva para el pago de las acreencias no reclamadas por concepto de pasivo cierto no reclamado y desvalorización monetaria, se sujetará a las instrucciones que imparta la Superintendencia de la Economía Solidaria, con el fin de preservar los derechos de los acreedores.
ARTÍCULO 2.4.2.3.5. ACCIONES REVOCATORIAS. <Artículo adicionado por el artículo 2 del Decreto 960 de 2018. El nuevo texto es el siguiente:> Cuando los activos de la entidad intervenida sean insuficientes para pagar la totalidad de créditos reconocidos, podrá el Agente Especial ejercer acciones revocatorias de los siguientes actos realizados por la cooperativa o sus Administradores dentro de los dieciocho (18) meses anteriores a la fecha de la providencia que ordene la toma de posesión:
a) Los pagos o las daciones en pago de deudas no exigibles a cargo de la cooperativa intervenida.
b) Los actos jurídicos celebrados con los parientes dentro del cuarto grado de consanguinidad, segundo de afinidad o primero civil de los Directores, Administradores, asesores y Revisor Fiscal, o con algunos de sus consocios en sociedad distinta de la anónima, o con sociedad colectiva, limitada, en comandita o de hecho, en que aquellos fueren socios, o con asociados en entidad cooperativa.
c) Las reformas estatutarias formalizadas, cuando con ellas se haya disminuido el capital de la cooperativa o distribuido sus bienes en forma que sus acreedores resulten perjudicados.
d) Las cauciones que haya constituido la cooperativa con posterioridad a la cesación en los pagos, cuando sea esta la causal de toma de posesión.
e) Los demás actos de disposición o administración realizados en menoscabo de los acreedores, cuando el tercer beneficiario de dicho acto no haya actuado con buena fe exenta de culpa.
f) Los actos a título gratuito.
PARÁGRAFO. La acción a que se refiere este artículo la interpondrá el Agente Especial ante el juez civil del circuito del domicilio de la intervenida dentro de los tres (3) años siguientes a la fecha de expedición de la providencia que decretó la toma de posesión.
ARTÍCULO 2.4.2.3.6. SUSPENSIÓN DEL PROCESO LIQUIDATORIO. <Artículo adicionado por el artículo 2 del Decreto 960 de 2018. El nuevo texto es el siguiente:> Cuando no puedan continuarse las etapas propias del proceso liquidatorio, por existir circunstancias tales como iliquidez transitoria o procesos judiciales pendientes de resolver, se podrá suspender el proceso por decisión del director del Fondo de Garantías de Entidades Cooperativas, Fogacoop, o la Superintendencia de la Economía Solidaria en el caso de cooperativas no inscritas, mediante acto administrativo, previo concepto del Liquidador, quien junto con el contralor cesará en sus funciones temporalmente hasta tanto se reinicie la liquidación.
DISPOSICIONES VARIAS.
ARTÍCULO 2.4.2.4.1. MEDIDAS DURANTE LA TOMA DE POSESIÓN. <Artículo adicionado por el artículo 2 del Decreto 960 de 2018. El nuevo texto es el siguiente:> De acuerdo con el numeral 10 del artículo 291 del Estatuto Orgánico del Sistema Financiero, durante la posesión se podrá adelantar medidas como la venta de la entidad, la cesión de activos y pasivos a otra(s) entidad(es) que desarrolle(n) la actividad financiera, las fusiones o escisiones, así como el pago de créditos por medio de la entrega de derechos fiduciarios en fideicomisos en los cuales se encuentren los activos de la entidad y la creación de mecanismos temporales de administración, entre otros.
ARTÍCULO 2.4.2.4.2. ACUERDOS DE ACREEDORES. <Artículo adicionado por el artículo 2 del Decreto 960 de 2018. El nuevo texto es el siguiente:> Durante la posesión, podrán celebrarse acuerdos entre los acreedores y la entidad intervenida, los cuales podrán ser aprobados por el voto favorable del cincuenta y uno por ciento (51%) de las acreencias y como mínimo de la mitad más uno de los acreedores, incluyendo en este cómputo el valor de los depósitos en que el Fondo se haya subrogado. En los demás aspectos dichos acuerdos se sujetarán en lo pertinente a las normas del régimen de insolvencia empresarial.
En estos casos las decisiones podrán estar encaminadas al restablecimiento de la intervenida u otros procesos que permitan el pago oportuno de la acreencia, propuestas que serán conocidas por el Fondo de Garantías de Entidades Cooperativas, Fogacoop, en el caso de cooperativas inscritas, antes de ser presentadas a la Superintendencia Financiera de Colombia o a la Superintendencia de la Economía Solidaria, según corresponda.
ARTÍCULO 2.4.2.4.3. INSTRUCTIVOS. <Artículo adicionado por el artículo 2 del Decreto 960 de 2018. El nuevo texto es el siguiente:> Sin perjuicio de la competencia y responsabilidad que les corresponden a los Agentes o Liquidadores, el Fondo de Garantías de Entidades Cooperativas, Fogacoop, o la Superintendencia de la Economía Solidaria en el caso de cooperativas no inscritas, podrá expedir instructivos para dichos Agentes en relación con las diferentes etapas del proceso de liquidación, así como directrices contables, financieras, administrativas, de seguros, entre otras.
ARTÍCULO 2.4.2.4.4. ACCIÓN DE RESPONSABILIDAD CONTRA ADMINISTRADORES. <Artículo adicionado por el artículo 2 del Decreto 960 de 2018. El nuevo texto es el siguiente:> Sin perjuicio de lo establecido en este procedimiento, los acreedores, el Agente Especial, Administrador y/o Liquidador de la intervenida podrán ejercer, juntos o separadamente, en cualquier momento, acciones de responsabilidad civil y penal que resultaren pertinentes contra quienes ejercían las funciones de dirección y/o administración de la intervenida.
ARTÍCULO 2.4.2.4.5. NATURALEZA DE LAS FUNCIONES DEL AGENTE ESPECIAL. <Artículo adicionado por el artículo 2 del Decreto 960 de 2018. El nuevo texto es el siguiente:> Los Agentes Especiales ejercerán funciones públicas transitorias sin perjuicio de la aplicabilidad, cuando sea del caso, de las reglas del derecho privado a los actos que ejecuten en nombre de la entidad objeto de la toma de posesión, como lo indica el artículo 291 numeral 8 del Estatuto Orgánico del Sistema Financiero.
El Agente Especial no podrá revocar los actos administrativos expedidos dentro del proceso liquidatorio por la entidad de vigilancia y control o el Fondo de Garantías de Entidades Cooperativas, Fogacoop, o la Superintendencia de la Economía Solidaria en el caso de cooperativas no inscritas, sin perjuicio de las acciones que contra los actos de tales autoridades procedan conforme a las leyes.
En la toma de posesión y posesión para administrar, serán aplicables al Agente Especial y al Revisor Fiscal de la entidad intervenida, las disposiciones previstas en el artículo 295 del Estatuto Orgánico del Sistema Financiero para el liquidador y el contralor.
El Fondo de Garantías de Entidades Cooperativas, Fogacoop, realizará el seguimiento de la actividad del agente especial en el caso de cooperativas inscritas, sin perjuicio de la vigilancia de la Superintendencia de la Economía Solidaria y la Superintendencia Financiera de Colombia sobre la entidad objeto de la administración mientras no se decide su liquidación.
ARTÍCULO 2.4.2.4.6 REMISIÓN NORMATIVA. <Artículo adicionado por el artículo 2 del Decreto 960 de 2018. El nuevo texto es el siguiente:> En lo no previsto en el presente título se aplicarán las normas pertinentes al proceso de toma de posesión y liquidación forzosa administrativa para entidades financieras previstas en el Estatuto Orgánico del Sistema Financiero y en especial lo establecido en el Libro 1 de la Parte 9 del presente decreto, así como lo previsto en las disposiciones que las adicionen o modifiquen.
ARTÍCULO 2.4.2.4.7. NORMAS DE APLICACIÓN EN EL TIEMPO DE LAS REGLAS DE PROCEDIMIENTO. <Artículo adicionado por el artículo 2 del Decreto 960 de 2018. El nuevo texto es el siguiente:> Lo dispuesto en el presente título se aplicará a los procesos en curso, sin perjuicio de que los recursos interpuestos, los términos que hubiesen comenzado a correr y las notificaciones o citaciones que se están surtiendo se rijan por la ley vigente al momento en que se interpuso el recurso, empezó a correr el término o a surtirse la notificación.
NORMAS APLICABLES A LAS SOCIEDADES FIDUCIARIAS.
SOLEMNIDAD DE LOS CONTRATOS DE FIDUCIA MERCANTIL.
ARTÍCULO 2.5.1.1.1 SOLEMNIDAD.
<Fuente original compilada: D. 847/93 Art. 1o.> Los contratos de la fiducia mercantil que celebren las sociedades fiduciarias no requerirán de la solemnidad de la escritura pública cuando los bienes fideicomitidos sean exclusivamente bienes muebles.
<Inciso modificado el artículo 11 del Decreto 1745 de 2020. El nuevo texto es el siguiente:> De conformidad con el artículo 146 del Estatuto Orgánico del Sistema Financiero o las normas que lo modifiquen, sustituyan o adicionen, si la transferencia de la propiedad de los bienes fideicomitidos se halla sujeta a registro, el documento privado en que conste el contrato deberá registrarse en los términos y condiciones señalados en el precepto citado.
DERECHOS Y OBLIGACIONES DE LOS ACTOS Y CONTRATOS CELEBRADOS Y EJECUTADOS POR EL FIDUCIARIO.
ARTÍCULO 2.5.2.1.1 DERECHOS Y DEBERES DEL FIDUCIARIO.
<Fuente original compilada: D. 1049/06 Art. 1o.> Los patrimonios autónomos conformados en desarrollo del contrato de fiducia mercantil, aún cuando no son personas jurídicas, se constituyen en receptores de los derechos y obligaciones legales y convencionalmente derivados de los actos y contratos celebrados y ejecutados por el fiduciario en cumplimiento del contrato de fiducia.
El fiduciario, como vocero y administrador del patrimonio autónomo, celebrará y ejecutará diligentemente todos los actos jurídicos necesarios para lograr la finalidad del fideicomiso, comprometiendo al patrimonio autónomo dentro de los términos señalados en el acto constitutivo de la fiducia. Para este efecto, el fiduciario deberá expresar que actúa en calidad de vocero y administrador del respectivo patrimonio autónomo.
En desarrollo de la obligación legal indelegable establecida en el numeral 4 del artículo 1234 del Código de Comercio, el Fiduciario llevará además la personería del patrimonio autónomo en todas las actuaciones procesales de carácter administrativo o jurisdiccional que deban realizarse para proteger y defender los bienes que lo conforman contra actos de terceros, del beneficiario o del constituyente, o para ejercer los derechos y acciones que le correspondan en desarrollo del contrato de fiducia.
PARÁGRAFO. El negocio fiduciario no podrá servir de instrumento para realizar actos o contratos que no pueda celebrar directamente el fideicomitente de acuerdo con las disposiciones legales.
ARTÍCULO 2.5.2.1.2. UTILIZACIÓN DE LA EXPRESIÓN “FIDUCIARIOS”. <Artículo adicionado por el artículo 1 del Decreto 2090 de 2017. El nuevo texto es el siguiente:> Los términos “derechos”, “participaciones”, “beneficios”, o cualquier otra expresión similar solo podrán acompañarse de la denominación “fiduciarios” cuando hagan referencia al ofrecimiento de productos que impliquen una vinculación contractual directa entre una sociedad fiduciaria vigilada por la Superintendencia Financiera de Colombia y el consumidor financiero al que se le ofrece el respectivo producto
PATRIMONIO ADECUADO PARA LAS SOCIEDADES FIDUCIARIAS.
ARTÍCULO 2.5.3.1.1 PATRIMONIO ADECUADO. <Artículo modificado por el artículo 1 del Decreto 415 de 2018. El nuevo texto es el siguiente:> Las sociedades fiduciarias deberán mantener permanentemente y acreditar ante la Superintendencia Financiera de Colombia niveles adecuados de patrimonio, para lo cual deberán cumplir como mínimo con la relación de solvencia.
La relación de solvencia se define como el valor del patrimonio técnico calculado en los términos de este Título, dividido por la sumatoria de los activos ponderados por nivel de riesgo, cien novenos (100/9) del valor en riesgo de mercado y cien novenos (100/9) del valor de exposición al riesgo operacional. Esta relación se expresa en términos porcentuales. La relación de solvencia mínima de las sociedades fiduciarias será del nueve por ciento (9%).
<Inciso modificado por el artículo 1 del Decreto 1420 de 2019. El nuevo texto es el siguiente:> Para las sociedades fiduciarias autorizadas para realizar la actividad de custodia de valores de que trata el Libro 37 de la Parte 2 del presente decreto, la relación de solvencia se define como el valor del patrimonio técnico calculado en los términos de este Título, dividido entre el mayor de los dos siguientes valores: (i) la sumatoria de los activos ponderados por nivel de riesgo, de cien novenos (100/9) del valor en riesgo de mercado y de cien novenos (100/9) del valor de exposición al riesgo operacional, o (ii) cien novenos (100/9) de veinte mil millones de pesos ($20.000.000.000), cifra esta última que a partir de enero de 2019, se actualizará anualmente en forma automática en el mismo porcentaje en que varíe el índice de Precios al Consumidor que suministre el DANE.
ARTÍCULO 2.5.3.1.2 PATRIMONIO TÉCNICO. <Artículo modificado por el artículo 1 del Decreto 415 de 2018. El nuevo texto es el siguiente:> Para la determinación del patrimonio técnico de las sociedades fiduciarias se utilizará en lo pertinente el procedimiento descrito en el Título 1 del Libro 6 de la presente Parte y las normas que lo modifiquen o adicionen.
Para efectos de la deducción de las reservas de estabilización de los fondos administrados descrita en el artículo 2.6.1.1.3 del presente decreto, sólo se sustraerán aquellas asociadas a la administración de recursos del Fondo Nacional de Pensiones de las Entidades Territoriales (Fonpet).
ARTÍCULO 2.5.3.1.3. RIESGO DE CRÉDITO. <Artículo modificado por el artículo 1 del Decreto 415 de 2018. El nuevo texto es el siguiente:> Para efectos del cálculo de la relación de solvencia, se entiende como riesgo de crédito la posibilidad de pérdidas que disminuyan el patrimonio técnico de una sociedad fiduciaria como consecuencia del incumplimiento de obligaciones financieras en los términos acordados. Entre otras razones, este riesgo puede tener origen en un posible incumplimiento de la contraparte en una operación o en una potencial variación del precio del instrumento de que se trate, por causas relacionadas bien con su emisor o con el emisor de su instrumento principal, si se trata de un instrumento derivado.
ARTÍCULO 2.5.3.1.4. RIESGO DE MERCADO. <Artículo modificado por el artículo 1 del Decreto 415 de 2018. El nuevo texto es el siguiente:> Para efectos del cálculo de la relación de solvencia, se entiende como riesgo de mercado la posibilidad de pérdidas que disminuyan el patrimonio técnico de una sociedad fiduciaria por movimientos adversos en los indicadores del mercado que afecten los instrumentos financieros en los que la entidad mantenga posiciones dentro o fuera del balance. Los indicadores del mercado que se tendrán en cuenta son, entre otros, los tipos de interés, tipos de cambio, precio de los valores o títulos y otros índices.
ARTÍCULO 2.5.3.1.5. RIESGO OPERACIONAL. <Artículo modificado por el artículo 1 del Decreto 415 de 2018. El nuevo texto es el siguiente:> Se entiende por Riesgo Operacional la posibilidad de que una sociedad fiduciaria incurra en pérdidas y disminuya el valor de su patrimonio como consecuencia de la inadecuación o fallos de los procesos, el personal y los sistemas internos, o bien a causa de acontecimientos externos. El riesgo operacional incluye el riesgo legal, pero excluye los riesgos estratégico y de reputación.
ARTÍCULO 2.5.3.1.6. CLASIFICACIÓN Y PONDERACIÓN DE LOS ACTIVOS PARA RIESGO DE CRÉDITO. <Artículo modificado por el artículo 1 del Decreto 415 de 2018. El nuevo texto es el siguiente:> Para efectos de determinar el valor total de activos ponderados por nivel de riesgo crediticio, los activos propios y exposiciones de la sociedad fiduciaria se deben clasificar dentro de una de las siguientes categorías dependiendo de su naturaleza:
Categoría I. Activos de máxima seguridad. En esta categoría se clasificará la caja, depósitos a la vista en entidades sometidas a vigilancia de la Superintendencia Financiera de Colombia, las inversiones en títulos o valores del Banco de la República o de la Nación y los garantizados por esta en la parte cubierta.
Así mismo, computarán dentro de esta categoría los títulos o valores emitidos o totalmente garantizados por entidades multilaterales de crédito.
En esta categoría también se debe incluir la exposición neta en las operaciones de reporto o repo, operaciones simultáneas y operaciones de transferencia temporal de valores siempre que la contraparte sea la Nación, el Banco de la República o una cámara de riesgo central de contraparte.
Adicionalmente, en esta categoría se debe incluir la exposición crediticia en operaciones con instrumentos financieros derivados siempre que la contraparte sea la Nación, el Banco de la República o una cámara de riesgo central de contraparte.
Categoría II. <Inciso modificado por el artículo 2 del Decreto 1286 de 2020. El nuevo texto es el siguiente:> Activos de alta seguridad, tales como los títulos o valores emitidos por entidades públicas del orden nacional, los depósitos a término en establecimientos de crédito, créditos garantizados incondicionalmente con títulos o valores emitidos por la nación o por el Banco de la República o por Gobiernos o Bancos Centrales de países que autorice expresamente la Superintendencia Financiera de Colombia, y los activos, exposiciones y contingencias avalados o garantizados por el Fondo Nacional de Garantías S.A. o por el Fondo Agropecuario de Garantías en la parte cubierta.
En esta categoría también se debe incluir la exposición neta en las operaciones de reporto o repo, operaciones simultáneas y operaciones de transferencia temporal de valores siempre que la contraparte sea una entidad vigilada por la Superintendencia Financiera de Colombia distinta del Banco de la República, o una entidad pública de orden nacional o un fondo mutuo de inversión controlado.
Así mismo, en esta categoría se debe incluir la exposición crediticia en las operaciones con instrumentos financieros derivados siempre que la contraparte sea una entidad vigilada por la Superintendencia Financiera de Colombia distinta del Banco de la República, una entidad pública de orden nacional o un fondo mutuo de inversión controlado.
Categoría III. Otros activos de riesgo: En esta categoría se incluirán los otros activos de riesgo no deducidos en el cómputo del patrimonio técnico y no incluidos en ninguna categoría anterior incluyendo cuentas por cobrar, otras inversiones voluntarias, inversiones en activos fijos, bienes de arte y cultura, bienes muebles o inmuebles realizables recibidos en dación de pago o en remates judiciales, la exposición neta en las operaciones de reporto o repo, operaciones simultáneas y operaciones de transferencia temporal de valores y la exposición crediticia en operaciones con instrumentos financieros derivados, siempre que la contraparte sea una entidad no contemplada en ninguna de las categorías anteriores.
Los activos incluidos en la Categoría I se ponderarán al 0%, en la Categoría II al 20% y en la Categoría III ponderarán de la siguiente manera, de acuerdo con la calificación otorgada por las sociedades calificadoras autorizadas por la Superintendencia Financiera de Colombia, para lo cual se observarán los rangos de calificación indicados en la siguiente matriz o su equivalente:
RIESGO CREDITICIO DE LARGO PLAZO
| RANGO DE CALIFICACION | PONDERACION |
| AAA hasta AA- | 20% |
| A+ hasta A- | 50% |
| BBB+ o Inferior o sin calificación | 100% |
RIESGO CREDITICIO DE CORTO PLAZO
| RANGO DE CALIFICACION | PONDERACIÓN |
| 1+ hasta 1- | 20% |
| 2+ hasta 2- | 50% |
| 3 o Inferior o sin calificación | 100% |
En la Categoría III, la exposición neta en las operaciones de reporto o repo, operaciones simultáneas y operaciones de transferencia temporal de valores y la exposición crediticia en operaciones con instrumentos financieros derivados, ponderarán de la siguiente manera, de acuerdo con la calificación otorgada por las sociedades calificadoras autorizadas por la Superintendencia Financiera de Colombia a la contraparte en dichas operaciones:
| RANGO DE CALIFICACIÓN | PONDERACIÓN |
| AAA hasta AA- | 20% |
| A+ hasta A- | 50% |
| BBB+ o Inferior o sin calificación | 100% |
PARÁGRAFO 1. Bonos y títulos hipotecarios. Los bonos y títulos hipotecarios de que trata el artículo 30 de la Ley 546 de 1999, que cuenten con garantía total del Gobierno nacional, a través del Fondo de Garantías de Instituciones Financieras (Fogafín), computarán al cero por ciento (0%).
PARÁGRAFO 2. Productos estructurados. Computarán por su precio justo de intercambio multiplicado por el factor de ponderación que corresponda, según la categoría de riesgo del emisor del respectivo producto.
Cuando se realicen inversiones en un producto estructurado cuyos componentes provengan de distintas contrapartes, pero se haya adquirido el mismo a otra entidad que obra como vendedor de este y no es responsable de su pago, dicho producto estructurado computará por la suma de los siguientes dos (2) factores:
i) La multiplicación del precio justo de intercambio del componente no derivado por el factor de ponderación que aplique al respectivo emisor de conformidad con lo previsto en el presente artículo;
ii) La multiplicación de la exposición crediticia de los componentes derivados por el factor de ponderación que aplique a la respectiva contraparte, de conformidad con lo previsto en el presente artículo.
PARÁGRAFO 3. Títulos derivados de procesos de titularización. Para efectos de determinar el valor total de estos activos ponderados por su nivel de riesgo crediticio, los mismos se clasificarán, de acuerdo con la calificación otorgada por las sociedades calificadoras autorizadas por la Superintendencia Financiera de Colombia, para lo cual se observarán los rangos de calificación indicados en la siguiente matriz o su equivalente:
RIESGO CREDITICIO DE LARGO PLAZO
| AAA hasta AA+ | 20% |
| A+ hasta A- | 50% |
| BBB + hasta bbb- | 100% |
| BB+ hasta BB- | 150% |
| B+ hasta B- | 200% |
| CCC | 300% |
| DD o inferior o sin clasificacion | Destruccion |
RIESGO CREDITICIO DE CORTO PLAZO
| RANGO DE CALIFICACIÓN | PONDERACIÓN |
| 1+ hasta 1- | 20% |
| 2+ hasta 2- | 50% |
| 3 | 100% |
| 4 | 300% |
| 5 o Inferior o sin calificación | Deducción |
<Inciso adicionado por el artículo 2 del Decreto 1420 de 2019. El nuevo texto es el siguiente:> Las deducciones a que se refieren las tablas del presente parágrafo deben realizarse sobre el Patrimonio Técnico.
PARÁGRAFO 4. Acciones. Las acciones ponderarán al 50%. Sin embargo, aquellas cuyos emisores cuenten con un adecuado gobierno corporativo y mecanismos que garanticen liquidez, en los términos que determine la Superintendencia Financiera de Colombia, ponderarán al veinte por ciento (20%).
PARÁGRAFO 5. Para los efectos del presente artículo, se entiende como exposición neta en operaciones de reporto o repo, operaciones simultáneas y operaciones de transferencia temporal de valores, el monto que resulte de restar la posición deudora de la posición acreedora que ostenta la entidad en cada operación, siempre que este monto sea positivo. Para el cálculo de dichas posiciones deberán tenerse en cuenta el valor de mercado de los títulos o valores cuya propiedad se transfirió y/o la suma de dinero entregada como parte de la operación, así como los intereses o rendimientos asociados a la misma.
PARÁGRAFO 6. Los valores transferidos en desarrollo de las operaciones repo o reporto simultáneas o de transferencia temporal de valores deberán ser tenidos en cuenta para los efectos previstos en este artículo, mientras permanezcan en el balance del enajenante, originador o receptor, según sea el caso, conforme a las disposiciones contables que rigen dichas operaciones.
PARÁGRAFO 7. Para los efectos del presente artículo, para determinar la exposición crediticia en instrumentos financieros derivados, serán aplicables las definiciones contenidas en el artículo 2.35.1.1.1 del presente decreto.
PARÁGRAFO 8. Los activos que en desarrollo del presente Título se deduzcan para efectuar el cálculo del patrimonio técnico, no se computarán para efectos de determinar el valor total de activos ponderados por nivel de riesgo crediticio de las sociedades fiduciarias.
PARÁGRAFO 9. Para efectos de este artículo, los activos computarán netos de su respectiva provisión. Las provisiones de carácter general que ordene la Superintendencia Financiera de Colombia no serán deducibles de los activos.
PARÁGRAFO 10. La Superintendencia Financiera de Colombia impartirá las instrucciones necesarias para facilitar la debida clasificación de la totalidad de los activos dentro de las categorías previstas en el presente artículo.
ARTÍCULO 2.5.3.1.7. VALOR DE LA EXPOSICIÓN POR RIESGO DE MERCADO. <Artículo adicionado por el artículo 1 del Decreto 415 de 2018. El nuevo texto es el siguiente:> Para el cálculo del riesgo de mercado de los activos propios y exposiciones de las sociedades fiduciarias, se utilizará la metodología VeR, conforme a la cual se estima la pérdida que podría registrar una determinada posición de la sociedad fiduciaria en un intervalo de tiempo con un cierto nivel de probabilidad o confianza debido a un cambio adverso en los precios. Para el efecto, la Superintendencia Financiera de Colombia instruirá de manera general a los vigilados respecto de los procedimientos que permitan dar aplicación a dicha metodología.
ARTÍCULO 2.5.3.1.8. VALOR DE LA EXPOSICIÓN POR RIESGO OPERACIONAL. <Artículo adicionado por el artículo 1 del Decreto 415 de 2018. El nuevo texto es el siguiente:> El valor de exposición al riesgo operacional a que hace referencia este artículo será el dieciséis por ciento (16%) del valor resultante de:
1. <Numeral modificado por el artículo 3 del Decreto 1420 de 2019. El nuevo texto es el siguiente:> Sumar los ingresos por comisiones provenientes de la administración de activos que se realice a través de contratos de fiducia de inversión, fiducia inmobiliaria, fiducia de administración, fiducia en garantía, administración o gestión de fondos de inversión colectiva, fondos de pensiones voluntarias <Fondos Voluntarios de Pensión><3>, Fondo Nacional de Pensiones de las Entidades Territoriales (Fonpet), negocios fiduciarios sobre pasivos pensionales y la custodia de valores de que trata el Libro 37 de la Parte 2 del Decreto 2555 de 2010.
2. Deducir los gastos por comisiones causados por la custodia de valores de que trata el Libro 37 de la Parte 2 del Decreto 2555 de 2010, respecto de los valores administrados bajo los contratos a que hace referencia el numeral 1 del presente artículo.
Las entidades deberán reportar a la Superintendencia Financiera de Colombia información homogénea que permita avanzar hacia medidas más adecuadas de riesgo operacional. La Superintendencia Financiera de Colombia definirá las características de esta información y las condiciones en las que las entidades supervisadas deberán reportarla.
PARÁGRAFO 1. En consideración a los criterios que de manera específica determine la Superintendencia Financiera de Colombia en relación con la adecuada gestión del riesgo operacional de las sociedades fiduciarias respecto a uno o varios de los contratos a que se refiere el numeral 1 del presente artículo, esta podrá disminuir de manera diferencial el valor de exposición al riesgo operacional que en forma particular aplique respecto de cada uno de estos contratos. En estos casos, dicho valor de exposición no podrá ser inferior al doce por ciento (12%).
PARÁGRAFO 2. Para realizar los cálculos contemplados en el presente artículo, se tomarán como referencia los ingresos y gastos por comisiones anuales promedio de los últimos tres (3) años a la fecha de cálculo. Para nuevos administradores, o para aquellos que no tengan información para los tres (3) años anteriores, los ingresos y gastos por comisiones aplicables serán calculados como el resultado de multiplicar el valor de los activos administrados por los cocientes de los ingresos y gastos por comisiones sobre el valor de los activos administrados de aquellas entidades financieras que administraron estos activos en los últimos tres (3) años, de acuerdo con las definiciones que para el efecto imparta la Superintendencia Financiera de Colombia.
PARÁGRAFO 3. Para realizar el cálculo contemplado en el numeral 1 respecto al Fondo Nacional de Pensiones de las Entidades Territoriales (Fonpet), se tomarán como referencia los ingresos y gastos por comisiones anuales promedio de los últimos tres (3) años a la fecha de cálculo bajo un mismo contrato de administración. Para aquellos que no tengan información para los tres (3) años anteriores bajo un mismo contrato de administración, los ingresos y gastos por comisiones aplicables serán calculados como el resultado de multiplicar el valor de los activos administrados por los cocientes de los ingresos y gastos por comisiones sobre el valor de los activos administrados de aquellas entidades financieras que administraron estos activos en los últimos tres (3) años, de acuerdo con las definiciones que para el efecto imparta la Superintendencia Financiera de Colombia.
ARTÍCULO 2.5.3.1.9. REQUISITO PREVIO A LA ADMINISTRACIÓN DE RECURSOS. <Artículo adicionado por el artículo 1 del Decreto 415 de 2018. El nuevo texto es el siguiente:> La acreditación del margen de solvencia, incluidos los recursos que se pretenden administrar, será una condición previa a la celebración de contratos relacionados con la administración de recursos de la seguridad social.
ARTÍCULO 2.5.3.1.10. SANCIONES. <Artículo adicionado por el artículo 1 del Decreto 415 de 2018. El nuevo texto es el siguiente:> Cuando las sociedades fiduciarias incurran en defectos respecto de los niveles adecuados de patrimonio exigidos para la administración de los recursos de que trata el presente decreto, la Superintendencia Financiera de Colombia impondrá, por cada incumplimiento, una multa a favor del Fondo de Solidaridad Pensional, equivalente al tres punto cinco por ciento (3.5%) del valor del defecto mensual, sin exceder, respecto de cada incumplimiento, del uno punto cinco por ciento (1.5%) del monto requerido para dar cumplimiento a tal relación.
Además de lo previsto en el inciso anterior, la Superintendencia Financiera de Colombia impartirá, en todos los casos, las órdenes necesarias para el inmediato restablecimiento de los niveles adecuados de patrimonio.
NORMAS APLICABLES A LAS SOCIEDADES ADMINISTRADORAS DE
FONDOS DE PENSIONES Y CESANTÍAS.
MARGEN DE SOLVENCIA.
<Título modificado por el artículo 1 del Decreto 1548 de 2012>
ARTÍCULO 2.6.1.1.1 PATRIMONIO ADECUADO. <Artículo modificado por el artículo 1 del Decreto 1548 de 2012. El nuevo texto es el siguiente:> Las sociedades administradoras de fondos de pensiones y de cesantías deberán mantener y acreditar ante la Superintendencia Financiera de Colombia niveles adecuados de patrimonio, para lo cual deberán cumplir como mínimo con la relación de solvencia descrita en el presente título.
ARTÍCULO 2.6.1.1.2 RELACIÓN DE SOLVENCIA. <Artículo modificado por el artículo 2 del Decreto 415 de 2018. El nuevo texto es el siguiente:> La relación de solvencia se define como el valor del patrimonio técnico calculado en los términos de este Título, dividido por el valor que resulta de la sumatoria de los activos ponderados por nivel de riesgo, cien novenos (100/9) del valor de la exposición al riesgo operacional y cien novenos (100/9) del valor de la exposición al riesgo de mercado. Esta relación se expresa en términos porcentuales. La relación de solvencia mínima de las sociedades administradoras de fondos de pensiones y de cesantías será del nueve por ciento (9%).
ARTÍCULO 2.6.1.1.3 PATRIMONIO TÉCNICO. <Artículo modificado por el artículo 4 del Decreto 1895 de 2012. El nuevo texto es el siguiente:> El patrimonio técnico de las sociedades administradoras de fondos de pensiones y de cesantías será el resultante de sumar el patrimonio básico neto de deducciones con el patrimonio adicional y restar la suma de los valores de las reservas de estabilización de los fondos administrados en los casos en que las mismas se deban constituir. El valor a deducir corresponderá al saldo de las reservas de estabilización del último 31 de marzo. Para el caso de los recursos de la seguridad social diferentes a fondos de pensiones obligatorias y fondos de cesantías dicha fecha aplicará siempre que esté cubierta por un contrato de administración vigente. En caso contrario corresponderá al saldo de las reservas de estabilización del último día del primer mes administrado. Este último tratamiento también será aplicable a las sociedades administradoras que se constituyan con posterioridad al último 31 de marzo.
ARTÍCULO 2.6.1.1.4 PATRIMONIO BÁSICO. <Artículo modificado por el artículo 1 del Decreto 1548 de 2012. El nuevo texto es el siguiente:> El patrimonio básico comprenderá:
a) El capital suscrito y pagado;
b) La reserva legal, las demás reservas y las utilidades no distribuidas de ejercicios anteriores;
c) El valor total de la cuenta de “revalorización del patrimonio” cuando esta sea positiva;
d) Las utilidades del ejercicio en curso, en una proporción equivalente a las utilidades del último ejercicio contable que por disposición de la asamblea ordinaria hayan sido capitalizadas o destinadas a incrementar la reserva legal, o la totalidad de las mismas que deban destinarse a enjugar pérdidas acumuladas. En caso que la destinación de las utilidades sea incrementar la reserva legal, tal porcentaje se aplicará siempre y cuando se mantengan tales utilidades en el patrimonio de la entidad;
e) El valor total de los dividendos decretados en acciones;
PARÁGRAFO. En concordancia con el artículo 85 del Estatuto Orgánico del Sistema Financiero, la reducción de la reserva legal constituida mediante la apropiación de utilidades líquidas solo podrá realizarse en los siguientes dos (2) casos específicos: (i) cuando tenga por objeto enjugar pérdidas acumuladas que excedan el monto total de las utilidades obtenidas en el correspondiente ejercicio y de las utilidades no distribuidas de ejercicios anteriores; y (ii) cuando el valor liberado se destine a capitalizar la entidad mediante la distribución de dividendos en acciones. Lo dispuesto en el presente parágrafo aplica para la totalidad de la reserva legal, incluido el monto en que ella exceda el 50% del capital suscrito.
ARTÍCULO 2.6.1.1.5 DEDUCCIONES DEL PATRIMONIO BÁSICO. <Artículo modificado por el artículo 1 del Decreto 1548 de 2012. El nuevo texto es el siguiente:> Se deducirán del patrimonio básico los siguientes conceptos:
a) Las pérdidas acumuladas de ejercicios anteriores y las del ejercicio en curso;
b) La cuenta de “revalorización del patrimonio” cuando sea negativa;
c) El ajuste por inflación acumulado originado en activos no monetarios, mientras no se hayan enajenado los activos respectivos, hasta concurrencia de la sumatoria de la cuenta de revalorización del patrimonio y del valor capitalizado de dicha cuenta, cuando tal sumatoria sea posible.
ARTÍCULO 2.6.1.1.6 PATRIMONIO ADICIONAL. <Artículo modificado por el artículo 1 del Decreto 1548 de 2012. El nuevo texto es el siguiente:> El patrimonio adicional comprenderá:
a) El cincuenta por ciento (50%) del ajuste por inflación acumulado originado en activos no monetarios, mientras no se hayan enajenado los activos respectivos;
b) El cincuenta por ciento (50%) de las valorizaciones de los activos, contabilizados de acuerdo con los criterios establecidos por la Superintendencia Financiera de Colombia. En todo caso, no se computarán las valorizaciones correspondientes a bienes recibidos en dación en pago o adquiridos en remate judicial;
c) Bonos obligatoriamente convertibles en acciones, siempre y cuando se hayan emitido en las condiciones de plazo y tasa de interés que autorice, mediante normas de carácter general, la Superintendencia Financiera de Colombia.
PARÁGRAFO. El valor total del patrimonio adicional no podrá exceder del cien por ciento (100%) del valor total del patrimonio básico.
ARTÍCULO 2.6.1.1.7. RIESGOS OPERACIONALES. <Artículo modificado por el artículo 2 del Decreto 415 de 2018. El nuevo texto es el siguiente:> Para los efectos de este título se entiende por Riesgos Operacionales la posibilidad de que una sociedad administradora de fondos de pensiones y de cesantías incurra en pérdidas y disminuya el valor de su patrimonio como consecuencia de la inadecuación o fallos de los procesos, el personal y los sistemas internos, o bien a causa de acontecimientos externos. El riesgo operacional incluye el riesgo legal, pero excluye los riesgos estratégico y de reputación.
Para determinar el valor de exposición al riesgo operacional a que hace referencia el artículo 2.6.1.1.2 del presente decreto las sociedades administradoras de fondos de pensiones y de cesantías deberán multiplicar por dieciséis por ciento (16%) el valor resultante de:
1. <Numeral modificado por el artículo 4 del Decreto 1420 de 2019. El nuevo texto es el siguiente:> Sumar los ingresos por comisiones provenientes de la administración de activos que se realice a través de contratos de fondos de pensiones obligatorias, fondos de cesantías, fondos de pensiones voluntarias <Fondos Voluntarios de Pensión><3>, Fondo Nacional de Pensiones de las Entidades Territoriales (Fonpet) y negocios fiduciarios sobre pasivos pensionales.
2. Deducir los gastos por comisiones causados por la custodia de valores de que trata el Libro 37 de la Parte 2 del Decreto 2555 de 2010, respecto de los valores administrados bajo los contratos a que hace referencia el numeral 1 del presente artículo.
Las entidades deberán reportar a la Superintendencia Financiera de Colombia información homogénea que permita avanzar hacia medidas más adecuadas de riesgo operacional. La Superintendencia Financiera de Colombia definirá las características de esta información y las condiciones en las que las entidades supervisadas deberán reportarla.
PARÁGRAFO 1. En consideración a los criterios que de manera específica determine la Superintendencia Financiera de Colombia en relación con la adecuada gestión del riesgo operacional de las sociedades administradoras de fondos de pensiones y de cesantías respecto a uno o varios de los contratos a que se refiere el numeral 1 del presente artículo, esta podrá disminuir de manera diferencial el valor de exposición al riesgo operacional que en forma particular aplique respecto de cada uno de estos contratos. En estos casos, dicho valor de exposición no podrá ser inferior al doce por ciento (12%).
PARÁGRAFO 2. Para realizar los cálculos contemplados en el presente artículo, se tomarán como referencia los ingresos y gastos por comisiones anuales promedio de los últimos tres (3) años a la fecha de cálculo. Para nuevos administradores, o para aquellos que no tengan información para los tres (3) años anteriores, los ingresos y gastos por comisiones aplicables serán calculados como el resultado de multiplicar el valor de los activos administrados por los cocientes de los ingresos y gastos por comisiones sobre el valor de los activos administrados de aquellas entidades financieras que administraron estos activos en los últimos tres (3) años, de acuerdo con las definiciones que para el efecto imparta la Superintendencia Financiera de Colombia.
PARÁGRAFO 3. Para realizar el cálculo contemplado en el numeral 1 respecto al Fondo Nacional de Pensiones de las Entidades Territoriales (Fonpet), se tomarán como referencia los ingresos y gastos por comisiones anuales promedio de los últimos tres (3) años a la fecha de cálculo bajo un mismo contrato de administración. Para aquellos que no tengan información para los tres (3) años anteriores bajo un mismo contrato de administración, los ingresos y gastos por comisiones aplicables serán calculados como el resultado de multiplicar el valor de los activos administrados por los cocientes de los ingresos y gastos por comisiones sobre el valor de los activos administrados de aquellas entidades financieras que administraron estos activos en los últimos tres (3) años, de acuerdo con las definiciones que para el efecto imparta la Superintendencia Financiera de Colombia.
ARTÍCULO 2.6.1.1.8. RIESGO DE CRÉDITO. <Artículo modificado por el artículo 2 del Decreto 415 de 2018. El nuevo texto es el siguiente:> Para efectos del cálculo de la relación de solvencia, se entiende como riesgo de crédito la posibilidad de pérdidas que disminuyan el patrimonio técnico de una sociedad administradora de fondos de pensiones y de cesantías como consecuencia del incumplimiento de obligaciones financieras en los términos acordados. Entre otras razones, este riesgo puede tener origen en un posible incumplimiento de la contraparte en una operación o en una potencial variación del precio del instrumento de que se trate, por causas relacionadas bien con su emisor o con el emisor de su instrumento principal, si se trata de un instrumento derivado.
ARTÍCULO 2.6.1.1.9. RIESGO DE MERCADO. <Artículo adicionado por el artículo 3 del Decreto 415 de 2018. El nuevo texto es el siguiente:> Para efectos del cálculo de la relación de solvencia, se entiende como riesgo de mercado la posibilidad de pérdidas que disminuyan el patrimonio técnico de una sociedad administradora de pensiones y de cesantías por movimientos adversos en los indicadores del mercado que afecten los instrumentos financieros en los que la entidad mantenga posiciones dentro o fuera del balance. Los indicadores del mercado que se tendrán en cuenta son, entre otros, los tipos de interés, tipos de cambio, precio de los valores o títulos y otros índices.
ARTÍCULO 2.6.1.1.10. CLASIFICACIÓN Y PONDERACIÓN DE LOS ACTIVOS PARA RIESGO DE CRÉDITO. <Artículo adicionado por el artículo 3 del Decreto 415 de 2018. El nuevo texto es el siguiente:> Para efectos de determinar el valor total de activos ponderados por nivel de riesgo crediticio, los activos propios y exposiciones de la sociedad administradora de fondos de pensiones y de cesantías, se deben clasificar dentro de una de las siguientes categorías dependiendo de su naturaleza:
Categoría I. Activos de máxima seguridad. En esta categoría se clasificará la caja, depósitos a la vista en entidades sometidas a vigilancia de la Superintendencia Financiera de Colombia, las inversiones en títulos o valores del Banco de la República o de la Nación y los garantizados por esta en la parte cubierta.
Así mismo, computarán dentro de esta categoría los títulos o valores emitidos o totalmente garantizados por entidades multilaterales de crédito.
En esta categoría también se debe incluir la exposición neta en las operaciones de reporto o repo, operaciones simultáneas y operaciones de transferencia temporal de valores siempre que la contraparte sea la Nación, el Banco de la República o una cámara de riesgo central de contraparte.
Adicionalmente, en esta categoría se debe incluir la exposición crediticia en operaciones con instrumentos financieros derivados siempre que la contraparte sea la Nación, el Banco de la República o una cámara de riesgo central de contraparte.
Categoría II. <Inciso modificado por el artículo 3 del Decreto 1286 de 2020. El nuevo texto es el siguiente:> Activos de alta seguridad, tales como los títulos o valores emitidos por entidades públicas del orden nacional, los depósitos a término en establecimientos de crédito, créditos garantizados incondicionalmente con títulos o valores emitidos por la nación o por el Banco de la República o por Gobiernos o Bancos Centrales de países que autorice expresamente la Superintendencia Financiera de Colombia, y los activos, exposiciones y contingencias avalados o garantizados por el Fondo Nacional de Garantías S.A. o por el Fondo Agropecuario de Garantías en la parte cubierta.
En esta categoría también se debe incluir la exposición neta en las operaciones de reporto o repo, operaciones simultáneas y operaciones de transferencia temporal de valores siempre que la contraparte sea una entidad vigilada por la Superintendencia Financiera de Colombia distinta del Banco de la República, o una entidad pública de orden nacional o un fondo mutuo de inversión controlado.
Así mismo, en esta categoría se debe incluir la exposición crediticia en las operaciones con instrumentos financieros derivados siempre que la contraparte sea una entidad vigilada por la Superintendencia Financiera de Colombia distinta del Banco de la República, una entidad pública de orden nacional o un fondo mutuo de inversión controlado.
Categoría III. Otros activos de riesgo: En esta categoría se incluirán los otros activos de riesgo no deducidos en el cómputo del patrimonio técnico y no incluidos en ninguna categoría anterior incluyendo cuentas por cobrar, otras inversiones voluntarias, inversiones en activos fijos, bienes de arte y cultura, bienes muebles o inmuebles realizables recibidos en dación de pago o en remates judiciales, la exposición neta en las operaciones de reporto o repo, operaciones simultáneas y operaciones de transferencia temporal de valores y la exposición crediticia en operaciones con instrumentos financieros derivados, siempre que la contraparte sea una entidad no contemplada en ninguna de las categorías anteriores.
Los activos incluidos en la Categoría I se ponderarán al 0%, en la Categoría II al 20% y en la Categoría III ponderarán de la siguiente manera, de acuerdo con la calificación otorgada por las sociedades calificadoras autorizadas por la Superintendencia Financiera de Colombia, para lo cual se observarán los rangos de calificación indicados en la siguiente matriz o su equivalente:
RIESGO CREDITICIO DE LARGO PLAZO
| RANGO DE CALIFICACIÓN | PONDERACIÓN |
| AAA hasta AA- | 20% |
| A+ hasta A- | 50% |
| BBB+ o Inferior o sin calificación | 100% |
RIESGO CREDITICIO DE CORTO PLAZO
| RANGO DE CALIFICACIÓN | PONDERACIÓN |
| 1+ hasta 1- | 20% |
| 2+ hasta 2- | 50% |
| 3 o Inferior o sin calificación | 100% |
En la Categoría III, la exposición neta en las operaciones de reporto o repo, operaciones simultáneas y operaciones de transferencia temporal de valores y la exposición crediticia en operaciones con instrumentos financieros derivados, ponderarán de la siguiente manera, de acuerdo con la calificación otorgada por las sociedades calificadoras autorizadas por la Superintendencia Financiera de Colombia a la contraparte en dichas operaciones:
| RANGO DE CALIFICACIÓN | PONDERACIÓN |
| AAA hasta AA- | 20% |
| A+ hasta A- | 50% |
| BBB+ o Inferior o sin calificación | 100% |
PARÁGRAFO 1. Bonos y títulos hipotecarios. Los bonos y títulos hipotecarios de que trata el artículo 30 de la Ley 546 de 1999, que cuenten con garantía total del Gobierno nacional, a través del Fondo de Garantías de Instituciones Financieras (Fogafín), computarán al cero por ciento (0%).
PARÁGRAFO 2. Productos estructurados. Computarán por su precio justo de intercambio multiplicado por el factor de ponderación que corresponda según la categoría de riesgo del emisor del respectivo producto.
Cuando se realicen inversiones en un producto estructurado cuyos componentes provengan de distintas contrapartes, pero se haya adquirido el mismo a otra entidad que obra como vendedor de este y no es responsable de su pago, dicho producto estructurado computará por la suma de los siguientes dos (2) factores:
i) La multiplicación del precio justo de intercambio del componente no derivado por el factor de ponderación que aplique al respectivo emisor de conformidad con lo previsto en el presente artículo;
ii) La multiplicación de la exposición crediticia de los componentes derivados por el factor de ponderación que aplique a la respectiva contraparte, de conformidad con lo previsto en el presente artículo.
PARÁGRAFO 3. Títulos derivados de procesos de titularización. Para efectos de determinar el valor total de estos activos ponderados por su nivel de riesgo crediticio, los mismos se clasificarán, de acuerdo con la calificación otorgada por las sociedades calificadoras autorizadas por la Superintendencia Financiera de Colombia, para lo cual se observarán los rangos de calificación indicados en la siguiente matriz o su equivalente:
RIESGO CREDITICIO DE LARGO PLAZO
| RANGO DE CALIFICACIÓN | PONDERACIÓN |
| AAA hasta AA- | 20% |
| A+ hasta A- | 50% |
| RANGO DE CALIFICACIÓN | PONDERACIÓN |
| BBB+ hasta BBB- | 100% |
| BB+ hasta BB- | 150% |
| B+ hasta B- | 200% |
| CCC | 300% |
| DD o Inferior o sin calificación | Deducción |
RIESGO CREDITICIO DE CORTO PLAZO
| RANGO DE CALIFICACIÓN | PONDERACIÓN |
| 1+ hasta 1- | 20% |
| 2+ hasta 2- | 50% |
| 3 | 100% |
| 4 | 300% |
| 5 o Inferior o sin calificación | Deducción |
<Inciso adicionado por el artículo 5 del Decreto 1420 de 2019. El nuevo texto es el siguiente:> Las deducciones a que se refieren las tablas del presente parágrafo deben realizarse sobre el Patrimonio Técnico.
PARÁGRAFO 4. Acciones. Las acciones ponderarán al 50%. Sin embargo, aquellas cuyos emisores cuenten con un adecuado gobierno corporativo y mecanismos que garanticen liquidez, en los términos que determine la Superintendencia Financiera de Colombia, ponderarán al veinte por ciento (20%).
PARÁGRAFO 5. Para los efectos del presente artículo, se entiende como exposición neta en operaciones de reporto o repo, operaciones simultáneas y operaciones de transferencia temporal de valores, el monto que resulte de restar la posición deudora de la posición acreedora que ostenta la entidad en cada operación, siempre que este monto sea positivo. Para el cálculo de dichas posiciones deberán tenerse en cuenta el valor de mercado de los títulos o valores cuya propiedad se transfirió y/o la suma de dinero entregada como parte de la operación, así como los intereses o rendimientos asociados a la misma.
PARÁGRAFO 6. Los valores transferidos en desarrollo de las operaciones repo o reporto simultáneas o de transferencia temporal de valores deberán ser tenidos en cuenta para los efectos previstos en este artículo, mientras permanezcan en el balance del enajenante, originador o receptor, según sea el caso, conforme a las disposiciones contables que rigen dichas operaciones.
PARÁGRAFO 7. Para los efectos del presente artículo, para determinar la exposición crediticia en instrumentos financieros derivados, serán aplicables las definiciones contenidas en el artículo 2.35.1.1.1 del presente decreto.
PARÁGRAFO 8. Los activos que en desarrollo del presente título se deduzcan para efectuar el cálculo del patrimonio técnico, no se computarán para efectos de determinar el valor total de activos ponderados por nivel de riesgo crediticio de las sociedades administradoras de fondos de pensiones y de cesantías.
PARÁGRAFO 9. Para efectos de este artículo, los activos computarán netos de su respectiva provisión. Las provisiones de carácter general que ordene la Superintendencia Financiera de Colombia no serán deducibles de los activos.
PARÁGRAFO 10. La Superintendencia Financiera de Colombia impartirá las instrucciones necesarias para facilitar la debida clasificación de la totalidad de los activos dentro de las categorías previstas en el presente artículo.
ARTÍCULO 2.6.1.1.11. VALOR DE LA EXPOSICIÓN POR RIESGO DE MERCADO. <Artículo adicionado por el artículo 3 del Decreto 415 de 2018. El nuevo texto es el siguiente:> Para el cálculo del riesgo de mercado de los activos propios y exposiciones de las sociedades administradores de fondos de pensiones y de cesantías, se utilizará la metodología VeR, conforme a la cual se estima la pérdida que podría registrar una determinada posición de la sociedad administradora de fondos de pensiones y de cesantías en un intervalo de tiempo con un cierto nivel de probabilidad o confianza debido a un cambio adverso en los precios. Para el efecto, la Superintendencia Financiera de Colombia instruirá de manera general a los vigilados respecto de los procedimientos que permitan dar aplicación a dicha metodología.
ARTÍCULO 2.6.1.1.12. VIGILANCIA. <Artículo adicionado por el artículo 3 del Decreto 415 de 2018. El nuevo texto es el siguiente:> Las sociedades administradoras deberán dar cumplimiento diario a la relación de solvencia a que se refiere el presente capítulo. La Superintendencia Financiera de Colombia controlará como mínimo una vez al mes el cumplimiento de estas disposiciones y dictará las medidas necesarias para su correcta aplicación.
ELECCIÓN DE LOS REPRESENTANTES DE LOS TRABAJADORES Y DE LOS EMPLEADORES EN LAS JUNTAS Y CONSEJOS DIRECTIVOS DE LAS SOCIEDADES ADMINISTRADORAS DE FONDOS DE PENSIONES Y CESANTÍAS.
ARTÍCULO 2.6.2.1.1 ASAMBLEA ORDINARIA.
<Fuente original compilada: D. 2769/91 Art. 1o. Modificado por el Decreto 464 de 1992 Art. 3o.> Los trabajadores afiliados a los fondos de pensiones y de cesantía administrados por sociedades administradoras de fondos de pensiones y de cesantía se reunirán en asamblea ordinaria una vez al año, dentro del mes de marzo, con el fin de elegir su representante o representantes, según corresponda, en la junta directiva de la respectiva sociedad.
ARTÍCULO 2.6.2.1.2 POSTULACIONES.
<Fuente original compilada: D. 2769/91 Art. 2o.> Los trabajadores que deseen postularse para actuar como representante de los demás trabajadores afiliados a la respectiva sociedad administradora de fondos de pensiones y de cesantía deberán inscribirse, junto con sus respectivos suplentes, durante el mes de febrero inmediatamente anterior a la elección, en cualquiera de las oficinas de la sociedad administradora o de las entidades a través de las cuales se efectúe el recaudo de recursos del fondo administrado, adjuntando para el efecto una hoja de vida en la cual conste, a lo menos, su nombre completo y documento de identidad, fecha de nacimiento, lugar de residencia y cargos desempeñados durante los últimos cinco (5) años.
ARTÍCULO 2.6.2.1.3 CONVOCATORIAS.
<Fuente original compilada: D. 2769/91 Art. 3o.> Corresponderá al representante legal de las sociedades administradoras de fondos de pensiones y de cesantía convocar, con no menos de cinco (5) días hábiles de antelación, a la reunión ordinaria de que trata el artículo 2.6.2.1.1, mediante comunicación escrita dirigida a la dirección de la empresa en la cual presten sus servicios los trabajadores afiliados a los Fondos por ella administrados, acompañada de una relación detallada de las personas inscritas como candidatas a la elección de representante de los trabajadores. Cuando varios de los trabajadores afiliados a un fondo de cesantía presten sus servicios auna misma empresa, bastara con el envío de una citación conjunta. Siguiendo el mismo procedimiento se citará a los afiliados independientes.
En la citación que efectúe la sociedad administradora se indicará la fecha, hora y lugar de la reunión.
ARTÍCULO 2.6.2.1.4 CONVOCATORIA MEDIANTE AVISO.
<Fuente original compilada: D. 464/92 Art. 4o.> La convocatoria a la asamblea de trabajadores afiliados a los fondos de pensiones y de cesantía también podrá efectuarse mediante aviso destacado publicado al menos en dos (2) ocasiones, en días distintos, en tres (3) diarios de amplia circulación nacional, con el cumplimiento de lo señalado anteriormente. En todo caso, la última publicación deberá efectuarse con no menos de cinco (5) días hábiles de antelación a la fecha prevista para la reunión.
PARÁGRAFO. Cuando la sociedad administradora no convoque a la asamblea ordinaria de trabajadores, en los términos previstos en el presente Título, ésta se reunirá por derecho propio el último día hábil del mes de marzo, en el domicilio principal de la sociedad administradora, a las seis (6:00) de la tarde.
ARTÍCULO 2.6.2.1.5 REPRESENTACIÓN MEDIANTE PODER.
<Fuente original compilada: D. 2769/91 Art. 4o.> Todo trabajador podrá hacerse representar en las reuniones de la asamblea ordinaria de que trata los artículos anteriores, mediante poder otorgado por escrito, en el cual se indique el nombre del apoderado, la persona en quien éste puede sustituirlo y la reunión para la cual se confiere. Esta representación sólo podrá recaer en la persona de otro trabajador afiliado al mismo Fondo.
ARTÍCULO 2.6.2.1.6 QUÓRUM DELIBERATORIO.
<Fuente original compilada: D. 2769/91 Art. 5o.> La asamblea de los trabajadores, reunida para los efectos previstos en el artículo 2.6.2.1.1, podrá deliberar con cualquier número plural de asistentes. Las decisiones se tomarán por mayoría de los votos presentes. Para estos efectos, el trabajador tendrá tantos votos como unidades posea en el fondo.
ARTÍCULO 2.6.2.1.7 REUNIONES DE SEGUNDA CONVOCATORIA.
<Fuente original compilada: D. 2769/91 Art. 6o.> Si se convoca la asamblea y ésta no se lleva a cabo por falta de quórum, dentro de los tres (3) días hábiles siguientes se citará a una nueva reunión, en los mismos términos, señalados en el artículo 2.6.2.1.3, la cual sesionará y decidirá válidamente cualquiera que sea la cantidad de unidades que esté representada.
La nueva reunión deberá efectuarse a más tardar dentro de los quince (15) días hábiles siguientes a la fecha fijada para la primera sesión.
Cuando la asamblea se reúna en sesión ordinaria por derecho propio el último día hábil del mes de marzo, también podrá deliberar, y decidir válidamente en los términos previstos en el inciso anterior.
ARTÍCULO 2.6.2.1.8 LIMITACIONES A LA REPRESENTACIÓN.
<Fuente original compilada: D. 2769/91 Art. 7o.> En la asamblea de trabajadores a que hace referencia el artículo 2.6.2.1.1 del presente decreto ningún trabajador podrá representar, en ningún caso, un número de unidades superior al diez por ciento (10%) de aquellas en las cuales se encuentre dividido el respectivo fondo de cesantía.
ARTÍCULO 2.6.2.1.9 ACTAS DE LA ASAMBLEA.
<Fuente original compilada: D. 2769/91 Art. 8o.> Lo ocurrido en las reuniones de la asamblea se hará constar con un libro de actas.
Estas se firmarán por quienes sean elegidos presidente y secretario de la asamblea.
Las actas se encabezarán con su número y expresarán, cuando menos, el lugar, fecha y hora de la reunión; la forma y antelación de la convocatoria, si la hubo; la lista de asistentes, con indicación del número de unidades propias y ajenas que representen; las personas inscritas para la elección de representantes de los trabajadores, la persona o personas elegidas; el número de votos emitidos a su favor y a favor de los demás participantes en la elección; los votos en blanco; las constancias dejadas por los asistentes y la fecha y hora de la clausura de la sesión.
ARTÍCULO 2.6.2.1.10 DESIGNACIÓN DE REPRESENTANTES.
<Fuente original compilada: D. 2769/91 Art. 9o.> Los representantes de los empleadores en la junta directiva de las sociedades administradoras de fondos de pensiones y de cesantía serán designados por la asamblea general ordinaria de accionistas de cada sociedad, con sujeción a las normas que regulan dichas reuniones.
ARTÍCULO 2.6.2.1.11 REPRESENTANTES DE LOS EMPLEADORES.
<Fuente original compilada: D. 2769/91 Art. 10> Podrán actuar como representantes de los empleadores las sociedades en las cuales laboren los trabajadores afiliados al respectivo fondo de cesantía, así como las personas naturales a las cuales éstos presten directamente sus servicios. En el primero de los casos, la representación se ejercerá por conducto del representante legal de la sociedad respectiva.
ARTÍCULO 2.6.2.1.12 POSTULACIÓN DE EMPLEADORES.
<Fuente original compilada: D. 2769/91 Art. 11> Los empleadores que deseen postularse para actuar como representantes de los demás empleadores de los trabajadores afiliados a la respectiva sociedad deberán inscribirse para el efecto, junto con sus respectivos suplentes, en los términos previstos en el artículo 2.6.2.1.2 del presente decreto.
ARTÍCULO 2.6.2.1.13 ENVÍO DE ACTAS. <Fuente original compilada: D. 2769/91 Art. 12>
<Inciso modificado el artículo 12 del Decreto 1745 de 2020. El nuevo texto es el siguiente:> Copia autorizada del acta de las asambleas destinadas a elegir representantes de los empleadores y de los trabajadores en las Juntas Directivas de las sociedades administradoras será enviada al Ministerio del Trabajo y a la Superintendencia Financiera de Colombia, dentro de los cinco (5) días hábiles inmediatamente siguientes a la respectiva reunión.
Tratándose de asambleas de trabajadores copia del acta deberá enviarse igualmente a la respectiva sociedad administradora.
ARTÍCULO 2.6.2.1.14 AUSENCIA DE INSCRIPCIÓN.
<Fuente original compilada: D. 2769/91 Art. 13> Cuando durante los términos señalados para el efecto no se realice ninguna inscripción de postulantes a representantes de los trabajadores, en la convocatoria a la respectiva asamblea la sociedad administradora informará el hecho a los afiliados al fondo de cesantía. En tal caso, los representantes de los trabajadores serán elegidos de entre los asistentes a la respectiva asamblea.
<Inciso modificado el artículo 13 del Decreto 1745 de 2020. El nuevo texto es el siguiente:> Cuando no se presenten inscripciones al cargo de representante de los empleadores, la sociedad administradora de fondos de pensiones y de cesantía, informará el hecho al Ministerio del Trabajo o a la entidad que haga sus veces, dentro de los tres (3) días hábiles inmediatamente siguientes al vencimiento del término señalado para el efecto, con el objeto de que se designe a un representante del mismo para que asista a la correspondiente asamblea, en la cual los accionistas podrán elegir libremente la representación de los empleadores en la junta directiva de la sociedad, de entre quienes reúnan los requisitos para serlo.
La persona que así resulte electa ejercerá forzosamente el cargo, pero podrá solicitar que se abra por la sociedad administradora un nuevo período de inscripciones y que se realice una nueva elección
<Fuente original compilada: D. 545/93 Art. 2o.> Los representantes de los trabajadores y de los empleadores que sean elegidos de conformidad con el procedimiento establecido en el presente Título deberán tomar posesión de sus respectivos cargos ante la Superintendente Financiera de Colombia.
Si vencidos dos (2) meses desde la fecha de la elección, ninguno de los representantes de los trabajadores electos hubiere dado cumplimiento al requisito de que trata el inciso anterior, o si la Superintendencia Financiera de Colombia hubiere negado la posesión tanto del principal como del suplente, el representante legal de la sociedad deberá proceder a convocar una nueva asamblea, en los términos previstos presente decreto para la elección del representante o representantes de los trabajadores que deban reemplazar a aquél o aquellos que no tomaron posesión de sus cargos.
REVISOR FISCAL DE LOS FONDOS DE PENSIONES Y REPRESENTANTES DE LOS AFILIADOS AL FONDO DE PENSIONES.
ARTÍCULO 2.6.3.1.1 REVISOR FISCAL DE LOS FONDOS DE PENSIONES.
<Fuente original compilada: D. 1727/94 Art. 1o.> Los fondos de pensiones tendrán un revisor fiscal, designado por los accionistas de la sociedad administradora y los afiliados del respectivo fondo de pensiones, en la forma prevista en los artículos siguientes. El revisor fiscal que se elija podrá ser el mismo de la sociedad administradora.
<Fuente original compilada: D. 1727/94 Art. 2o.> Para la elección de revisor fiscal se conformará una comisión integrada por tres representantes de los afiliados del fondo de pensiones y los accionistas de la sociedad administradora.
ARTÍCULO 2.6.3.1.3 DESIGNACIÓN DE LOS MIEMBROS DE LA COMISIÓN.
<Fuente original compilada: D. 1727/94 Art. 3o.>Los miembros de la comisión serán elegidos por la asamblea de accionistas o de afiliados según el caso y ejercerán el cargo por el término establecido en los estatutos de la sociedad administradora. A falta de estipulación, el período de los comisionados será igual al previsto para el revisor fiscal del fondo de pensiones.
Sin perjuicio de lo previsto en el presente decreto, en la designación de los representantes de los afiliados se aplicará lo dispuesto en materia de asambleas de trabajadores, en el Título 2 del Libro 6 de la presente Parte. La elección de los representantes de la administradora se hará en la forma prevista en la ley para la designación de los miembros de la junta directiva.
<Fuente original compilada: D. 1727/94 Art. 4o.>La elección del revisor fiscal de un fondo de pensiones requiere el voto de cuatro (4) de los miembros de la Comisión. Cada miembro tendrá derecho a un voto.
Si efectuada la reunión en la forma prevista en la ley, no se obtiene la mayoría exigida en este artículo, deberá celebrarse una nueva reunión, dentro de los quince (15) días siguientes. Si en la segunda reunión tampoco se obtiene dicha mayoría, deberá realizarse una tercera reunión dentro de los quince (15) días siguientes a la fecha de la segunda reunión, en la cual podrá decidirse con el voto favorable de tres de los miembros de la comisión.
ARTÍCULO 2.6.3.1.5 OTRAS NORMAS APLICABLES.
<Fuente original compilada: D. 1727/94 Art. 6o.>En lo no previsto en el presente Título se aplicará lo dispuesto en el Estatuto Orgánico del Sistema Financiero, en materia de elección, posesión, funcionamiento y remoción de revisores fiscales y en subsidio, las disposiciones del Código de Comercio.
ARTÍCULO 2.6.3.1.6 REPRESENTANTES DE LOS AFILIADOS AL FONDO DE PENSIONES.
<Fuente original compilada: D. 1727/94 Art. 7o.>Los afiliados al fondo de pensiones tendrán dos representantes, para que asistan a todas las juntas directivas de la sociedad administradora, con voz pero sin voto, quienes con el revisor fiscal, velarán por los intereses de los afiliados.
Tratándose de sociedades administradoras de fondos de pensiones y de cesantías, que administren fondos de pensiones, éstas contarán en sus juntas directivas con un representante de los afiliados al fondo de cesantías y con un representante de los fondos de pensiones. Sin perjuicio de su obligación de elegir un representante de los empleadores.
Para efectos del cumplimiento de las normas sobre número de miembros de Junta Directiva sólo se tendrán en cuenta aquellos de cuenten con voto.
ARTÍCULO 2.6.3.1.7 ELECCIÓN DE REPRESENTANTES.
<Fuente original compilada: D. 1727/94 Art. 8o.>La elección de los representantes de los afiliados de los fondos de pensiones en la junta directiva de la sociedad administradora, se regirá por lo dispuesto en el Título 2 del Libro 6 de la presente Parte, sobre elección de los representantes de los afiliados a los fondos de cesantía.
ARTÍCULO 2.6.3.1.8 FUNCIONES DE LOS REPRESENTANTES.
<Fuente original compilada: D. 1727/94 Art. 9o.>Los representantes de los afiliados a los fondos de pensiones tendrán derecho a inspeccionar, en cualquier momento, los libros, papeles e informes de de acuerdo con las disposiciones legales vigentes pueden ser consultados por los accionistas de la sociedad administradora.
RESERVAS DE ESTABILIZACIÓN DE RENDIMIENTOS.
ARTÍCULO 2.6.4.1.1 MONTO MÍNIMO DE LA RESERVA DE ESTABILIZACIÓN DE LOS FONDOS DE PENSIONES.
<Fuente original compilada: D. 721/94 Art. 1o.> Las sociedades que administren fondos de pensiones deben mantener una reserva de estabilización de rendimientos respecto de cada fondo que administren, destinada a garantizar el cumplimiento de la rentabilidad mínima exigida por la Ley para los mismos.
El monto mínimo de la reserva de estabilización de rendimientos que deberán mantener las sociedades que administren fondos de pensiones será el uno por ciento (1%) del valor del respectivo fondo. Sin embargo la reserva no podrá ser inferior a la suma mensual a abonar para estar cumpliendo permanentemente con la rentabilidad mínima provisional que para cada período vaya calculando la Superintendencia Financiera de Colombia de conformidad con lo previsto sobre el particular por el Gobierno Nacional.
ARTÍCULO 2.6.4.1.2 MONTO MÍNIMO DE LA RESERVA DE ESTABILIZACIÓN DE LOS FONDOS DE CESANTÍA.
<Fuente original compilada: D. 721/94 Art. 2o.> Lo dispuesto en el artículo anterior será igualmente aplicable para efectos de determinar la reserva de estabilización de rendimientos que deben mantener las sociedades que administren fondos de cesantía para garantizar el cumplimiento de la rentabilidad mínima exigida por la ley.
PARÁGRAFO. Las administradoras acordarán con la Superintendencia Financiera de Colombia un plan de ajuste para efectos de dar cumplimiento a lo previsto en este artículo, cuyo plazo no podrá exceder de tres meses.
ARTÍCULO 2.6.4.1.3 CONFORMACIÓN DE LA RESERVA DE ESTABILIZACIÓN DE RENDIMIENTOS.
<Fuente original compilada: D. 721/94 Art. 3o.> Las reservas de estabilización de rendimientos se conformarán con recursos propios de cada entidad administradora y estarán representadas en unidades del fondo respecto del cual se constituyen. La Superintendencia Financiera de Colombia impartirá las instrucciones que considere pertinentes sobre el particular.
ARTÍCULO 2.6.4.1.4 CÓMPUTO DE LA RESERVA DE ESTABILIZACIÓN DE RENDIMIENTOS.
<Fuente original compilada: D. 721/94 Art. 4o.> Para efectos del cumplimiento de lo previsto en el presente decreto, se tomará en consideración el valor total de cada uno de los fondos de pensiones y del fondo de cesantía al cierre de cada mes calendario. Para estos efectos se descontarán las unidades de propiedad de la respectiva administradora.
(Modificado por el D. 1724/94 Art. 3o.) En el caso en el cual el valor de la suma de las unidades de propiedad de la administradora en cada fondo sea inferior al valor de la reserva requerida, las administradoras deberán adquirir dentro de los cinco (5) días siguientes a la fecha de publicación de la tasa de referencia por parte de Superintendencia Financiera de Colombia las unidades necesarias para cubrir el defecto. Lo anterior sin perjuicio de lo dispuesto en el artículo siguiente.
La liberación de excesos en el monto de la reserva requerida se podrá efectuar con base, igualmente, en las cifras registradas al cierre de cada mes calendario.
ARTÍCULO 2.6.4.1.5 RESTABLECIMIENTO DE LA RESERVA DE ESTABILIZACIÓN DE RENDIMIENTOS.
<Fuente original compilada: D. 721/94 Art. 5o.> Siempre que sea necesario afectar la reserva de estabilización de rendimientos para garantizar el cumplimiento de la rentabilidad mínima de un fondo de cesantía, al final de un período completo, las administradoras deberán restablecer la respectiva reserva dentro del mes inmediatamente siguiente al cierre.
<Fuente original compilada: D. 721/94 Art. 6o.> Cuando el monto correspondiente a la reserva de estabilización de rendimiento sea inferior al requerido, de conformidad con lo previsto en el artículo 2.6.4.1.1 del presente decreto, la Superintendencia Financiera de Colombia deberá aplicar una multa, en favor del fondo de solidaridad pensional, equivalente al tres punto cinco por ciento (3.5%) del valor del defecto mensual que presenten.
Cuando el defecto corresponda a la reserva de estabilización de rendimientos destinada a garantizar la rentabilidad mínima del fondo de cesantía, continuará aplicándose lo previsto en el numeral 5 del artículo 162 del Estatuto Orgánico del Sistema Financiero.
RENTABILIDAD MÍNIMA OBLIGATORIA DE LOS FONDOS DE PENSIONES OBLIGATORIAS.
ARTÍCULO 2.6.5.1.1. DETERMINACIÓN DE LA RENTABILIDAD MÍNIMA.
<Título 5 sustituido por el artículo 1 del Decreto 2949 de 2010. El nuevo texto es el siguiente:> La Superintendencia Financiera de Colombia calculará, verificará y divulgará, conforme a las reglas que se determinan en el Título 5 del Libro 6 de la Parte 2 del presente decreto, la rentabilidad mínima obligatoria para cada uno de los tipos de fondos de pensiones obligatorias.
<Título 5 sustituido por el artículo 1 del Decreto 2949 de 2010. El nuevo texto es el siguiente:> La rentabilidad mínima obligatoria de cada uno de los tipos de fondos de pensiones obligatorias será determinada con base en la suma de los siguientes factores ponderados:
1. Componente de Referencia. El cual podrá estar conformado por la rentabilidad de un portafolio de referencia, por la suma ponderada de las rentabilidades calculadas con base en un conjunto de índices del mercado o por una combinación de ambos elementos.
Para cada tipo de fondo de pensiones obligatorias se establecerá un Componente de Referencia que tenga en consideración criterios de largo plazo. Para la construcción del Componente de Referencia la Superintendencia Financiera de Colombia podrá utilizar un portafolio de referencia para cada tipo de fondo de pensiones obligatorias o el mismo para todos los tipos de fondos, con ponderación distinta dentro del componente de referencia debido a las diferencias estructurales de cada uno de ellos.
2. Promedio ponderado de las rentabilidades acumuladas efectivas anuales para cada tipo de fondo de pensiones obligatorias, atendiendo el período de cálculo correspondiente a cada uno de ellos, calculado para el tipo de fondo i como:

| ri prom: | rentabilidad promedio ponderada obtenida durante el periodo de cálculo por el tipo de fondo i |
| i: | tipo de fondo (conservador, moderado o de mayor riesgo) |
| ij: | tipo de fondo i administrado por la AFP j |
| N: | número de fondos de pensiones obligatorias que hacen parte del cálculo |
| rij: | rentabilidad obtenida durante el periodo de cálculo por el tipo de fondo i administrado por la AFP j. |
| wij: | ponderación asignada a rij en la rentabilidad promedio del fondo i. Esta ponderación se construirá a partir de la participación del saldo promedio diario del tipo de fondo i administrado por la AFP j dentro de la suma de los saldos promedios diarios de los tipos de fondo i administrados por todas las AFP. No obstante, cuando las participaciones de los fondos de pensiones obligatorias superen el porcentaje máximo de ponderación (N – 1)-1, los excesos serán distribuidos proporcionalmente entre los demás fondos de pensiones obligatorias del mismo tipo hasta agotarlos. Si como resultado de la aplicación de este procedimiento la participación de los fondos de pensiones obligatorias resultara superior a (N –1)-1, se repetirá el procedimiento. |
PARÁGRAFO 1. Los factores señalados en los numerales 1 y 2 se ponderarán en los siguientes porcentajes de participación:
| Tipo de Fondo de Pensiones Obligatorias | Componente de Referencia | Promedio ponderado de rentabilidad de cada tipo de fondo de pensiones obligatorias |
| Fondo Conservador | 30% | 70% |
| Fondo Moderado | 20% | 80% |
| Fondo de Mayor Riesgo | 10% | 90% |
PARÁGRAFO 2o. La rentabilidad mínima obligatoria para cada uno de los tipos de fondos de pensiones obligatorias será la que resulte inferior entre las opciones A y B que se señalan en el cuadro siguiente:
| Tipo de Fondo de Pensiones Obligatorias | Opción A | Opción B |
| Fondo Conservador | La suma de los factores ponderados, disminuidos en un 30% | La suma de los factores ponderados, menos 200 puntos básicos |
| Fondo Moderado | La suma de los factores ponderados, disminuidos en un 35% | La suma de los factores ponderados, menos 300 puntos básicos |
| Fondo de Mayor Riesgo | La suma de los factores ponderados, disminuidos en un 40% | La suma de los factores ponderados, menos 400 puntos básicos |
PARÁGRAFO 3o. Corresponde a la Superintendencia Financiera de Colombia, a través de instrucciones de carácter general definir los criterios metodológicos para la composición del Componente de Referencia, previsto en el numeral 1 de este artículo.
Así mismo, en caso de que la composición del componente de referencia involucre un portafolio de referencia la Superintendencia Financiera de Colombia: i) Actualizará y valorará a precios de mercado el portafolio de referencia, y ii) Divulgará amplia y oportunamente la composición del portafolio de referencia, así como los cambios que se introduzcan como resultado de su ajuste a las condiciones del mercado.
<Artículo modificado por el artículo 1 del Decreto 2392 de 2018. El nuevo texto es el siguiente:> La rentabilidad nominal acumulada en términos anuales para cada tipo de fondo de pensiones obligatorias, será calculada con base en la metodología de Valor del Activo Neto, entendida como la razón financiera entre el valor de la unidad del fondo resultante al momento del cálculo y su valor inicial, aplicando la siguiente fórmula:

Donde:
RNA es la rentabilidad nominal en términos anuales
NAV Es el valor de la unidad
(t) día final del periodo de cálculo
(i) día inicial del periodo de cálculo
(n) número de días del periodo, teniendo en cuenta los períodos previstos en el artículo 2.6.5.1.4 del presente decreto para el cálculo de rentabilidad de los diferentes tipos de fondos de pensiones obligatorias.
PARÁGRAFO 1o. La metodología para la determinación del valor de la unidad será la establecida por la Superintendencia Financiera de Colombia, de acuerdo con instrucciones que expida sobre el particular.
PARÁGRAFO 2o. Sin perjuicio de lo previsto en la ley, en ningún caso podrán divulgarse al público los rendimientos o rentabilidades acumuladas de cada tipo de fondos de pensiones obligatorias con periodos de cálculo inferiores a los referidos en el artículo 2.6.5.1.4 del presente decreto, salvo las divulgaciones realizadas por la Superintendencia Financiera de Colombia.
ARTÍCULO 2.6.5.1.4. PERÍODO DE CÁLCULO DE LA RENTABILIDAD MÍNIMA.
<Artículo modificado por el artículo 1 del Decreto 59 de 2018. El nuevo texto es el siguiente:> Los períodos de cálculo de la rentabilidad mínima obligatoria acumulada serán:
| Tipo de Fondo de Pensiones obligatorias | Período de Cálculo |
| Fondo Conservador | 36 meses |
| Fondo Moderado | 48 meses |
| Fondo de Mayor Riesgo | 60 meses |
| Fondo Especial de Retiro Programado | 48 meses |
ARTÍCULO 2.6.5.1.5. VERIFICACIÓN.
<Título 5 sustituido por el artículo 1 del Decreto 2949 de 2010. El nuevo texto es el siguiente:> El cumplimiento de la rentabilidad mínima obligatoria será verificado mensualmente por la Superintendencia Financiera de Colombia.
Para el efecto, comparará la rentabilidad acumulada en términos efectivos anuales obtenida por cada tipo de fondo de pensiones obligatorias durante el período de cálculo correspondiente, con la rentabilidad mínima obligatoria calculada para el mismo período de acuerdo con lo dispuesto en el Título 5 del Libro 6 de la Parte 2 del presente decreto.
PARÁGRAFO. La Superintendencia Financiera de Colombia divulgará a más tardar el quinto día hábil siguiente a la fecha de verificación, la rentabilidad mínima obligatoria para cada uno de los tipos de fondos de pensiones obligatorias.
ARTÍCULO 2.6.5.1.6. OBLIGACIÓN DE GARANTIZAR LA RENTABILIDAD MÍNIMA.
<Título 5 sustituido por el artículo 1 del Decreto 2949 de 2010. El nuevo texto es el siguiente:> Cuando la rentabilidad acumulada en términos efectivos anuales obtenida por alguno de los tipos de fondos de pensiones obligatorias durante el período de cálculo correspondiente sea inferior a la rentabilidad mínima obligatoria exigida, las Sociedades Administradoras de Fondos de Pensiones y Cesantías deberán responder con sus propios recursos por los defectos.
En este caso se afectará en primer término la reserva de estabilización de rendimientos constituida para el tipo de fondo que presente defecto de rentabilidad, mediante el aporte de la diferencia entre el valor del fondo al momento de la verificación y el valor que este debería tener para alcanzar la rentabilidad mínima obligatoria.
ARTÍCULO 2.6.5.1.7. RESERVA DE ESTABILIZACIÓN PARA CADA TIPO DE FONDO.
<Título 5 sustituido por el artículo 1 del Decreto 2949 de 2010. El nuevo texto es el siguiente:> Las Sociedades Administradoras de Fondos de Pensiones y Cesantías deberán mantener una reserva de estabilización de rendimientos para cada tipo de fondo de acuerdo con lo previsto en el Título 4 del Libro 6 de la Parte 2 del Decreto 2555 de 2010, aplicando sus reglas individualmente para cada uno de los tipos de fondos de pensiones obligatorias. Los recursos de una reserva sólo podrán ser utilizados para cubrir los defectos de rentabilidad mínima del tipo de fondo para el cual fue constituida.
ARTÍCULO 2.6.5.1.8. MECANISMOS DE PARTICIPACIÓN.
<Título 5 sustituido por el artículo 1 del Decreto 2949 de 2010. El nuevo texto es el siguiente:> El Gobierno Nacional establecerá mecanismos que permitan la participación de expertos en materias financieras, de mercado de capitales y/o estructuración y administración de portafolios de inversión, para la revisión y discusión de los siguientes temas: i) Metodología para la determinación de rentabilidad mínima, evaluando la posibilidad de incrementar el porcentaje de participación del Componente de Referencia. ii) Metodología para establecer el Componente de Referencia, evaluando la viabilidad y conveniencia de incorporar índices que puedan ser replicados por los fondos de pensiones obligatorias, y iii) Estructura del régimen de inversiones de cada uno de los tipos de fondos de pensiones obligatorias, que conduzcan a la formulación de recomendaciones a las autoridades competentes sobre dichos aspectos.
ARTÍCULO 2.6.5.1.9. METODOLOGÍA PARA EL CÁLCULO DE LA RENTABILIDAD MÍNIMA OBLIGATORIA PARA EL FONDO ESPECIAL DE RETIRO PROGRAMADO. <Artículo modificado por el artículo 2 del Decreto 59 de 2018. El nuevo texto es el siguiente:> La rentabilidad mínima obligatoria del Fondo Especial de Retiro Programado será determinada de acuerdo con la suma ponderada de las rentabilidades calculadas con base en un conjunto de índices del mercado.
Los índices del mercado y la suma ponderada de sus rentabilidades seguirán las siguientes reglas:
i) La variación porcentual efectiva anual durante el período de cálculo correspondiente de un índice representativo del mercado de TES en UVR que indique la Superintendencia Financiera de Colombia, ponderado por un porcentaje determinado de manera ex ante por dicha autoridad de supervisión.
ii) La variación porcentual efectiva anual durante el período de cálculo correspondiente de un índice representativo del mercado de renta variable local que indique la Superintendencia Financiera de Colombia, ponderado por un porcentaje determinado de manera ex ante por dicha autoridad de supervisión.
iii) La variación porcentual efectiva anual durante el período de cálculo correspondiente del índice representativo del mercado accionario del exterior que indique la Superintendencia Financiera de Colombia, ponderado por un porcentaje determinado de manera ex ante por dicha autoridad de supervisión.
PARÁGRAFO 1. La rentabilidad mínima obligatoria para el Fondo Especial de Retiro Programado será la que resulte inferior entre las opciones A y B que se señalan en el cuadro siguiente:
| Tipo de Fondo de Pensiones Obligatorias | Opción A | Opción B |
| Fondo Especial de Retiro Programado | La suma ponderada de la rentabilidad de los índices representativos del mercado señalados en el presente artículo disminuido en un 35% | La suma ponderada de la rentabilidad de los índices representativos del mercado señalados en el presente artículo menos 300 puntos básicos |
PARÁGRAFO 2. Los índices señalados en los ordinales i) y ii) del presente artículo serán determinados con base en al menos los siguientes criterios: a) la experiencia del proveedor del índice, b) políticas de gobierno corporativo que como mínimo definan los procedimientos para administrar los conflictos de interés de los agentes involucrados en la construcción y divulgación del índice hacia el mercado, c) la representatividad y replicabilidad del índice y, d) condiciones mínimas de divulgación del índice hacia el mercado.
ARTÍCULO 2.6.5.1.10. TRANSICIÓN.
<Título 5 sustituido por el artículo 1 del Decreto 2949 de 2010. El nuevo texto es el siguiente:> Para la implementación de lo previsto en el Título 5 del Libro 6 de la Parte 2 del presente decreto se establecen las siguientes reglas de transición:
1. Fondo conservador: A partir del 31 de agosto de 2012 la Superintendencia Financiera de Colombia realizará la primera revisión de rentabilidad mínima. Para el efecto, se tomará como período de cálculo los últimos doce (12) meses. En las revisiones posteriores se adicionarán al período de cálculo los meses transcurridos hasta completar el período de veintitrés (23) meses. Si durante el citado período algún fondo presenta un defecto de rentabilidad mínima, la Sociedad Administradora del mismo deberá constituir una provisión por el valor equivalente al mencionado defecto. La primera verificación de rentabilidad mínima obligatoria se realizará a partir del 31 de agosto de 2013. Para el efecto, se tomará como período de cálculo los últimos veinticuatro (24) meses. En las verificaciones posteriores se adicionarán al período de cálculo los meses transcurridos hasta completar el período de cálculo previsto en el artículo 2.6.5.1.4 del presente decreto.
2. Fondo moderado: A partir del 31 de agosto de 2013 la Superintendencia Financiera de Colombia realizará la primera revisión de rentabilidad mínima. Para el efecto, se tomará como período de cálculo los últimos veinticuatro (24) meses. En las revisiones posteriores se adicionarán al período de cálculo los meses transcurridos hasta completar el período de treinta y cinco (35) meses. Si durante el citado período algún fondo presenta un defecto de rentabilidad mínima, la Sociedad Administradora del mismo deberá constituir una provisión por el valor equivalente al mencionado defecto. La primera verificación de rentabilidad mínima obligatoria se realizará a partir del 31 de agosto de 2014. Para el efecto, se tomará como período de cálculo los últimos treinta y seis (36) meses. En las verificaciones posteriores se adicionarán al período de cálculo los meses transcurridos hasta completar el período de cálculo previsto en el artículo 2.6.5.1.4 del presente decreto.
3. Fondo de mayor riesgo: A partir del 31 de agosto de 2013 la Superintendencia Financiera de Colombia realizará la primera revisión de rentabilidad mínima. Para el efecto, se tomará como período de cálculo los últimos veinticuatro (24) meses. En las revisiones posteriores se adicionarán al período de cálculo los meses transcurridos hasta completar el período de treinta y cinco (35) meses. Si durante el citado período algún fondo presenta un defecto de rentabilidad mínima, la Sociedad Administradora del mismo deberá constituir una provisión por el valor equivalente al mencionado defecto. La primera verificación de rentabilidad mínima obligatoria se realizará a partir del 31 de agosto de 2014. Para el efecto, se tomará como período de cálculo los últimos treinta y seis (36) meses. En las verificaciones posteriores se adicionarán al período de cálculo los meses transcurridos hasta completar el período de cálculo previsto en el artículo 2.6.5.1.4 del presente decreto. Para este fondo en particular y entre el 31 de agosto de 2013 y el 31 de julio de 2015, los porcentajes y puntos básicos previstos en el parágrafo 2o del artículo 2.6.5.1.2 del presente decreto, serán los siguientes:
| Fondo de Mayor Riesgo entre | Opción A | Opción B |
| 31 de agosto de 2013 a 31 de julio de 2014 | La suma de los factores ponderados, disminuidos en un 50% | La suma de los factores ponderados, menos 500 puntos básicos |
| 31 de agosto de 2014 a 31 de julio de 2015 | La suma de los factores ponderados, disminuidos en un 43% | La suma de los factores ponderados, menos 430 puntos básicos |
4. Lo previsto en el parágrafo segundo del artículo 2.6.5.1.3 no aplicará hasta que se cumpla el periodo de cálculo de cada uno de los tipos de fondo de pensiones obligatorias, entre tanto, las rentabilidades a divulgar por tipo de fondo serán las publicadas por la Superintendencia Financiera de Colombia.
OPERACIONES CON DERIVADOS, ACCIONES E INVERSIONES EN ACTAS Y CARTERA.
ARTÍCULO 2.6.6.1.1 OPERACIONES CON INSTRUMENTOS FINANCIEROS DERIVADOS Y PRODUCTOS ESTRUCTURADOS.
<Fuente original compilada: D. 1801/94 Art. 1o. Modificado por el D. 1796/08 Art. 9o.> <Artículo derogado por el artículo 5 del Decreto 2955 de 2010.>
ARTÍCULO 2.6.6.1.2 NEGOCIACIÓN DE ACCIONES.
<Fuente original compilada: D. 1801/94 Art. 2o.> <Artículo derogado por el artículo 5 del Decreto 2955 de 2010.>
ARTÍCULO 2.6.6.1.3 DESCUENTO DE ACTAS Y CARTERAS.
<Fuente original compilada: D. 1801/94 Art. 3o.> <Artículo derogado por el artículo 5 del Decreto 2955 de 2010.>
RÉGIMEN DE LAS SOCIEDADES ADMINISTRADORAS DE FONDOS DE CESANTÍA.
ARTÍCULO 2.6.7.1.1 PORTAFOLIOS DE INVERSIÓN DE LOS FONDOS DE CESANTÍA.
<Fuente original compilada: D. 4600/09 Art. 1o.> Las Sociedades Administradoras de Fondos de Cesantía deberán ofrecer dos (2) tipos de portafolios de inversión:
1. Uno de corto plazo, orientado a administrar recursos del auxilio de cesantía con horizontes esperados de permanencia cortos, cuyo régimen de inversión propenderá por mitigar el riesgo generados por la concentración de los flujos de retiros.
2. Uno de largo plazo, orientado a la administración de los recursos del auxilio de cesantía con horizontes esperados de permanencia mayores a un año, cuyo régimen de inversión propenderá por obtener la mayor rentabilidad para el plazo relevante de dichos recursos.
ARTÍCULO 2.6.7.1.2 SUBCUENTAS. <Fuente original compilada: D. 4600/09 Art. 2o.> Cada cuenta individual de cada uno de los afiliados al Fondo de Cesantía, tendrá dos (2) subcuentas:
1. Subcuenta de Corto Plazo: Que corresponderá al Portafolio de Corto Plazo.
2. Subcuenta de Largo Plazo: Que corresponderá al Portafolio de Largo Plazo.
ARTÍCULO 2.6.7.1.3 DERECHOS DE LOS AFILIADOS. <Fuente original compilada: D. 4600/09 Art. 3o.> Los afiliados a los Fondos de Cesantía tendrán los siguientes derechos:
1. Ser informados adecuadamente de las condiciones del nuevo sistema de administración de cesantías.
2. Elegir la Administradora a la que se afilie y trasladarse voluntariamente cuando así lo decida.
3. Seleccionar el perfil de administración de sus subcuentas de conformidad con las condiciones establecidas en el presente Título.
4. Modificar su perfil de administración previo aviso a la Administradora, de conformidad con las condiciones establecidas en el presente Título.
5. Conocer la composición de los portafolios de la Administradora donde se encuentre afiliado y las rentabilidades asociadas a los mismos.
6. Retirar los recursos depositados en las Administradoras, por las causas y en los tiempos legalmente previstos.
ARTÍCULO 2.6.7.1.4 INFORMACIÓN Y EDUCACIÓN DEL AFILIADO.
<Fuente original compilada: D. 4600/09 Art. 4o.> Las Sociedades Administradoras de Fondos de Cesantía tendrán la obligación de informar a los afiliados, de conformidad con las instrucciones que para el efecto imparta la Superintendencia Financiera de Colombia, sus derechos, obligaciones, y los efectos de seleccionar entre los diferentes portafolios disponibles, de manera tal que estos puedan adoptar decisiones informadas en relación con la inversión de sus recursos. Por su parte, los afiliados manifestarán de forma libre y expresa a la administradora correspondiente que entienden y aceptan los riesgos y beneficios de su elección.
ARTÍCULO 2.6.7.1.5 PERFIL DE ADMINISTRACIÓN DE LAS SUBCUENTAS.
<Fuente original compilada: D. 4600/09 Art. 5o.> A partir del 1o de julio de 2010 los afiliados a los Fondos de Cesantía podrán definir, su perfil de administración, es decir, la forma como se deben distribuir sus recursos entre las subcuentas de Corto Plazo y Largo Plazo, o en una sola de ellas, en la Administradora a la que se encuentren vinculados.
La definición del perfil de administración será aplicada a los aportes existentes al momento de la ejecución de la orden impartida por el afiliado, así como a los nuevos aportes que ingresen a la cuenta individual, hasta tanto dicho perfil sea modificado por el afiliado.
La definición de perfil de administración y sus modificaciones se realizarán teniendo en cuenta las siguientes reglas:
1. La orden que tenga por objeto aumentar el porcentaje de asignación a la Subcuenta de Largo Plazo, sólo podrá ser modificada una vez transcurridos por lo menos seis (6) meses desde la última orden.
2. La orden que tenga por objeto aumentar el porcentaje de asignación a la Subcuenta de Corto Plazo, sólo podrá ser modificada una vez transcurridos por lo menos doce (12) meses desde la última orden.
Las órdenes recibidas entre el primero (1o) y el décimo quinto (15o) día de cada mes serán efectivamente ejecutadas por la Administradora el último día hábil de dicho mes. Las órdenes recibidas entre el décimo sexto (16o) y el trigésimo primer (31o) día de cada mes serán efectivamente ejecutadas por la Administradora el día 16 del siguiente mes. En el evento en el cual el día 16 no corresponda a un día hábil, las órdenes deberán ser ejecutadas por la administradora el día hábil siguiente.
La definición de perfil de administración y sus modificaciones deberán impartirse por medios verificables de conformidad con las instrucciones que señale la Superintendencia Financiera de Colombia para el efecto y, en todo caso, contendrán una manifestación libre y expresa del afiliado en la que conste que contó con la adecuada información acerca de las características de los portafolios sobre los cuales recae su decisión.
La Superintendencia Financiera de Colombia podrá verificar la existencia de los medios antes indicados.
La definición de perfil de administración y sus modificaciones no implican que los porcentajes allí definidos determinen la composición futura de los portafolios.
Las Sociedades Administradoras de Fondos de Cesantía deberán establecer los mecanismos que les permitan identificar, respecto de cada uno de los afiliados, las órdenes impartidas en ejercicio del derecho de definición o modificación del perfil de administración y la fecha en la que las mismas fueron impartidas. Dicha información, en los casos de traslado entre Administradoras, deberá ser suministrada a la nueva Administradora simultáneamente con la transferencia de los recursos a que haya lugar.
ARTÍCULO 2.6.7.1.6 RECAUDO Y ACREDITACIÓN DE APORTES. <Fuente original compilada: D. 4600/09 Art. 6o.> Las Sociedades Administradoras de Fondos de Cesantía recaudarán los aportes al fondo de cesantías por ellas administrado, a través del Portafolio de Corto Plazo. Los aportes deberán ser acreditados en las Subcuentas de corto y largo plazo dentro de los diez (10) días comunes siguientes al recaudo.
ARTÍCULO 2.6.7.1.7 ELECCIÓN POR DEFECTO.
<Fuente original compilada: D. 4600/09 Art. 7o.> En aquellos casos en los que el afiliado no haya definido su perfil de administración, el cien por ciento (100%) de los nuevos aportes ingresará a la Subcuenta de Corto Plazo. No obstante, las Administradoras deberán trasladar entre los días 16 y 31 de agosto de cada año, los saldos existentes en la Subcuenta de Corto Plazo a la Subcuenta de Largo Plazo de estos afiliados, evento en el cual, el valor de los traslados se podrá efectuar con títulos al valor por el cual se encontraban registrados en la contabilidad el día inmediatamente anterior al traslado, para lo cual la Superintendencia Financiera de Colombia podrá impartir instrucciones. Los nuevos aportes que sean consignados entre el 1o de septiembre y el 31 de diciembre de cada año, serán acreditados a la Subcuenta de Corto Plazo.
ARTÍCULO 2.6.7.1.8 TRASLADOS A OTRA SOCIEDAD ADMINISTRADORA DE FONDOS DE CESANTÍA.
<Fuente original compilada: D. 4600/09 Art. 8o.> En caso de que el afiliado opte por trasladarse de Administradora, el saldo existente en su cuenta individual, será acreditado en la nueva Administradora a las Subcuentas de Corto Plazo y Largo Plazo en las mismas proporciones en que se encontraba al momento de ejecutar la respectiva orden de traslado. El derecho de traslado no implica cambio en las condiciones de permanencia de los recursos en cada una de las subcuentas, razón por la cual en este evento se mantendrán las reglas establecidas en el artículo 2.6.7.1.5 precedente.
En el evento en que un afiliado mantenga más de una cuenta individual a su nombre, en una o varias Administradoras, la decisión de traslado entre dichas cuentas implica la transferencia de los saldos existentes de la cuenta de origen en las mismas proporciones de las Subcuentas de Corto Plazo y Largo Plazo en que se encontraba al momento de ejecutar la respectiva orden; es decir, el saldo de la Subcuenta de Corto Plazo se trasladará a la misma Subcuenta de la Administradora receptora, y el de Largo Plazo a la correspondiente Subcuenta. En tal evento, se tendrá como última fecha de definición o modificación de perfil de administración la última realizada por el afiliado en la cuenta individual receptora.
ARTÍCULO 2.6.7.1.9 TRASLADOS DEL FONDO NACIONAL DEL AHORRO.
<Fuente original compilada: D. 4600/09 Art. 9o.> Los recursos correspondientes a los traslados recibidos del Fondo Nacional de Ahorro se asignarán siguiendo el perfil de administración elegido por el afiliado. En el evento de no selección del afiliado, los recursos se asignarán de conformidad con lo establecido en el artículo 2.6.7.1.7 del presente decreto.
ARTÍCULO 2.6.7.1.10 APORTES NO IDENTIFICADOS.
<Fuente original compilada: D. 4600/09 Art. 10> Los recursos correspondientes a los aportes de auxilio de cesantía no identificados se asignarán al Portafolio de Corto Plazo, hasta tanto se identifiquen, momento en el cual se aplicarán siguiendo el perfil de administración elegido por el afiliado. En el evento de no selección del afiliado, los recursos se asignarán de conformidad con lo establecido en el artículo 2.6.7.1.7 del presente decreto.
ARTÍCULO 2.6.7.1.11 DEPÓSITOS POR PORTAFOLIO.
<Fuente original compilada: D. 4600/09 Art. 11> La Sociedad Administradora de Fondos de Cesantía deberá mantener cuentas corrientes o de ahorro destinadas exclusivamente para manejar los recursos de cada portafolio, las cuales serán abiertas identificando claramente el portafolio al que corresponden.
ARTÍCULO 2.6.7.1.12 LIQUIDACIÓN POR RETIROS PARCIALES.
<Fuente original compilada: D. 4600/09 Art. 12> Los retiros parciales se realizarán afectando en primera medida los saldos disponibles en la Subcuenta de Corto Plazo y el remanente se deducirá de aquellos que se encuentren en la de Largo Plazo.
ARTÍCULO 2.6.7.1.13 PIGNORACIÓN O EMBARGO DE CESANTÍAS.
<Fuente original compilada: D. 4600/09 Art. 13> En caso de que las cesantías sirvan como garantía de cualquier obligación del afiliado o sean embargadas, la afectación de los recursos a tales gravámenes se realizará en primera medida sobre los saldos disponibles en la Subcuenta de Largo Plazo y posteriormente la Subcuenta de Corto Plazo.
Sin perjuicio de lo anterior, el afiliado podrá definir o modificar su perfil de administración, de conformidad con las normas establecidas para el efecto en el presente decreto.
ARTÍCULO 2.6.7.1.14 RÉGIMEN DE TRANSICIÓN.
<Fuente original compilada: D. 4600/09 Art. 14> Con el fin de que las Sociedades Administradoras de Fondos de Cesantía puedan llevar a cabo una adecuada divulgación e implementación del presente régimen, se establece las siguientes reglas de transición:
1. A partir del 1o de enero de 2010 el Fondo de Cesantía existente se constituirá en el Portafolio de Largo Plazo, con excepción de los saldos de los aportes por identificar los cuales deberán ser incorporados al Portafolio de Corto Plazo, que a partir de dicha fecha se crea.
2. Los aportes que se consignen entre el 1o de enero y el 30 de junio de 2010, independientemente del tipo de afiliado de que se trate -nuevo o antiguo- serán acreditados en la Subcuenta de Corto Plazo.
3. En los términos del artículo 2.6.7.1.5 del presente decreto, a partir del 1o de julio de 2010, los afiliados a los fondos de cesantías podrán seleccionar el perfil de administración para sus recursos correspondientes al auxilio de cesantía.
RÉGIMEN DE INVERSIONES.
ARTÍCULO 2.6.8.1.1 INVERSIÓN DE RECURSOS.
<Título 8 derogado por el artículo 5 del Decreto 857 de 2011>
ARTÍCULO 2.6.8.1.2 INVERSIONES ADMISIBLES PARA EL PORTAFOLIO DE LARGO PLAZO.
<Título 8 derogado por el artículo 5 del Decreto 857 de 2011>
ARTÍCULO 2.6.8.1.3 INVERSIONES ADMISIBLES PARA EL PORTAFOLIO DE CORTO PLAZO.
<Título 8 derogado por el artículo 5 del Decreto 857 de 2011>
ARTÍCULO 2.6.8.1.4 REQUISITOS DE CALIFICACIÓN PARA LAS INVERSIONES ADMISIBLES.
<Título 8 derogado por el artículo 5 del Decreto 857 de 2011>
ARTÍCULO 2.6.8.1.5 LÍMITES GLOBALES DE INVERSIÓN PARA LE PORTAFOLIO DE LARGO PLAZO.
<Título 8 derogado por el artículo 5 del Decreto 857 de 2011>
ARTÍCULO 2.6.8.1.6 LÍMITES INDIVIDUALES DE INVERSIÓN DE CADA PORTAFOLIO POR EMISOR.
<Título 8 derogado por el artículo 5 del Decreto 857 de 2011>
ARTÍCULO 2.6.8.1.7 LÍMITES MÁXIMOS DE INVERSIÓN POR EMISIÓN.
<Título 8 derogado por el artículo 5 del Decreto 857 de 2011>
ARTÍCULO 2.6.8.1.8 LÍMITE DE CONCENTRACIÓN DE PROPIEDAD ACCIONARIA.
<Título 8 derogado por el artículo 5 del Decreto 857 de 2011>
ARTÍCULO 2.6.8.1.9 LÍMITES DE INVERSIÓN EN VINCULADOS POR PORTAFOLIO.
<Título 8 derogado por el artículo 5 del Decreto 857 de 2011>
ARTÍCULO 2.6.8.1.10 VALOR DEL FONDO Y DE LOS PORTAFOLIOS.
<Título 8 derogado por el artículo 5 del Decreto 857 de 2011>
ARTÍCULO 2.6.8.1.11 EXCESOS DE LAS INVERSIONES U OPERACIONES.
<Título 8 derogado por el artículo 5 del Decreto 857 de 2011>
<Título 8 derogado por el artículo 5 del Decreto 857 de 2011>
ARTÍCULO 2.6.8.1.13 (ARTÍCULO 13 DEL DECRETO 4935 DE 2009) CUSTODIA.
<Título 8 derogado por el artículo 5 del Decreto 857 de 2011>
ARTÍCULO 2.6.8.1.14 INVERSIONES NO AUTORIZADAS.
<Título 8 derogado por el artículo 5 del Decreto 857 de 2011>
ARTÍCULO 2.6.8.1.15 OPERACIONES DE REPORTO O REPO PASIVAS Y OPERACIONES SIMULTÁNEAS PASIVAS.
<Título 8 derogado por el artículo 5 del Decreto 857 de 2011>
<Título 8 derogado por el artículo 5 del Decreto 857 de 2011>
ARTÍCULO 2.6.8.1.17 PROHIBICIÓN DE INVERSIÓN DE LOS RECURSOS DEL PORTAFOLIO DE CORTO PLAZO.
<Título 8 derogado por el artículo 5 del Decreto 857 de 2011>
ARTÍCULO 2.6.8.1.18 INVERSIONES EN FONDOS DE CAPITAL PRIVADO.
<Fuente original compilada: D. 3285/05 Art. 1o.> <Artículo derogado por el artículo 5 del Decreto 2955 de 2010>
METODOLOGÍA DEL CÁLCULO DE RENTABILIDAD MÍNIMA QUE DEBERÁN GARANTIZAR LAS SOCIEDADES ADMINISTRADORAS DE FONDOS DE CESANTÍA A SUS AFILIADOS.
ARTÍCULO 2.6.9.1.1 RENTABILIDAD MÍNIMA OBLIGATORIA PARA EL PORTAFOLIO DE CORTO PLAZO.
<Artículo modificado por el artículo 1 del Decreto 1861 de 2014. El nuevo texto es el siguiente:> La rentabilidad mínima obligatoria para el portafolio de corto plazo de los fondos de cesantía será la rentabilidad acumulada efectiva anual disminuida en un 25%, arrojada para el período de cálculo correspondiente, de un portafolio de referencia de corto plazo neto de comisión de administración. Para el efecto se tendrá en cuenta el porcentaje de comisión de administración autorizado para los portafolios de corto plazo de los fondos de cesantía.
PARÁGRAFO. La Superintendencia Financiera de Colombia calculará la rentabilidad del portafolio de referencia, con la rentabilidad diaria de la tasa IBR overnight. A este valor, se abonarán los aportes netos al final del día y se descontará la comisión de administración autorizada. En consecuencia, el valor del portafolio de referencia neto de comisiones al cierre de cada día será el que resulte de aplicar la siguiente fórmula:
![]()
Donde:
| VT= | Valor del portafolio de referencia neto de comisiones al cierre del día. |
| VT_1= | Valor del portafolio de referencia neto de comisiones al cierre del día anterior. |
| IBRT= | Tasa IBR overnight al cierre del día, expresada como un retorno diario. |
| C= | Porcentaje de comisión anual de administración autorizado por la Superintendencia Financiera de Colombia para el portafolio de corto plazo de los fondos de cesantías. |
| AT= | Aportes netos del día de todos los portafolios de corto plazo. Se entenderá como aportes netos, la diferencia entre el valor de los aportes y traslados recibidos, y los retiros, anulaciones y traslados efectuados, en el respectivo día. |
En cada verificación, el portafolio de referencia tendrá un valor nominal inicial igual a la suma del valor de todos los portafolios de corto plazo.
ARTÍCULO 2.6.9.1.2 RENTABILIDAD MÍNIMA OBLIGATORIA PARA EL PORTAFOLIO DE LARGO PLAZO.
<Fuente original compilada: D. 4936/09 Art. 2o.> La rentabilidad mínima obligatoria para el portafolio de largo plazo de los fondos de cesantía será la que resulte inferior entre:
1. El promedio simple, disminuido en un veinticinco por ciento (25%), de:
a) El promedio ponderado de las rentabilidades acumuladas efectivas anuales durante el período de cálculo correspondiente, y
b) El promedio ponderado de:
i) <Numeral modificado por el artículo 1 del Decreto 2685 de 2014. El nuevo texto es el siguiente:> La variación porcentual efectiva anual durante el período de cálculo correspondiente de un índice representativo del mercado de renta variable local que indique la Superintendencia Financiera de Colombia, ponderado por el porcentaje del portafolio invertido en acciones de emisores nacionales y en fondos de inversión colectiva representativos de índices accionarios locales de los portafolios de largo plazo.
ii) La variación porcentual efectiva anual durante el período de cálculo correspondiente del índice representativo del mercado accionario del exterior que indique la Superintendencia Financiera de Colombia, ponderado por el porcentaje del portafolio de los fondos invertido en acciones de emisores extranjeros y en fondos de inversión internacionales representativos de índices accionarios; y
iii) <Subnumeral modificado por el artículo 3 del Decreto 59 de 2018. El nuevo texto es el siguiente:> La variación porcentual efectiva anual durante el período de cálculo correspondiente de un índice representativo del mercado de renta fija que indique la Superintendencia Financiera de Colombia, ponderado por el porcentaje del portafolio invertido en las demás inversiones admisibles.
2. El promedio simple de los factores previstos en los literales a) y b) del numeral anterior, disminuido en doscientos veinte puntos básicos (220 pb).
PARÁGRAFO 1. <Parágrafo modificado por el artículo 1 del Decreto 2923 de 2013. El nuevo texto es el siguiente:> Para efectos de lo dispuesto en el literal a) del numeral 1 del presente artículo, se obtendrá para el período de cálculo la participación del promedio de los saldos diarios de cada portafolio dentro del promedio de los saldos diarios de los portafolios existentes. La participación de cada portafolio así calculada no podrá superar el porcentaje máximo de ponderación (N-1)-1, donde N corresponde al número de fondos de cesantía autorizados por la Superintendencia Financiera de Colombia. En consecuencia, las participaciones de los portafolios que superen dicho porcentaje serán distribuidas proporcionalmente entre los demás portafolios hasta agotar los excesos. Si como resultado de la aplicación de este procedimiento la participación de otros portafolios resultara superior a (N-1)-1, se repetirá el procedimiento.
PARÁGRAFO 2. Las ponderaciones de que trata el literal b) del numeral 1 de este artículo, se calcularán con base en la distribución promedio de los saldos diarios de los portafolios existentes, correspondiente al período de cálculo.
PARÁGRAFO 3. <Parágrafo modificado por el artículo 3 del Decreto 59 de 2018. El nuevo texto es el siguiente:> Para efectos del índice representativo del mercado de renta fija a que se refiere el subnumeral iii) del literal b) del numeral 1 del presente artículo, la Superintendencia Financiera de Colombia deberá diseñar una metodología de agregación de índices de renta fija. Los índices a tener en cuenta en dicha agregación serán determinados por la Superintendencia Financiera de Colombia con base en al menos los siguientes criterios: i) la experiencia del proveedor del índice, ii) políticas de gobierno corporativo que como mínimo definan los procedimientos para administrar los conflictos de interés de los agentes involucrados en la construcción y divulgación del índice hacia el mercado, iii) la representatividad y replicabilidad del índice y, iv) condiciones mínimas de divulgación del índice hacia el mercado.
PARÁGRAFO 4. <Parágrafo adicionado por el artículo 2 del Decreto 2685 de 2014. El nuevo texto es el siguiente:> Para efectos del índice representativo del mercado de renta variable local a que se refiere el subnumeral i) del literal b) del numeral 1 del presente artículo, la Superintendencia Financiera de Colombia deberá diseñar una metodología de agregación de índices de renta variable local. Los índices a tener en cuenta en dicha agregación serán determinados por la Superintendencia Financiera de Colombia con base en al menos los siguientes criterios: i) la experiencia del proveedor del índice; ii) políticas de gobierno corporativo que como mínimo definan los procedimientos para administrar los conflictos de interés de los agentes involucrados en la construcción y divulgación del índice hacia el mercado; iii) la representatividad y replicabilidad del índice y, iv) condiciones mínimas de divulgación del índice hacia el mercado.
PARÁGRAFO TRANSITORIO. <Parágrafo adicionado por el artículo 2 del Decreto 2685 de 2014. El nuevo texto es el siguiente:> El índice accionario COLCAP, calculado y divulgado por la Bolsa de Valores de Colombia, se utilizará hasta tanto la Superintendencia Financiera de Colombia diseñe la metodología de agregación de índices de renta variable local a que se refiere el parágrafo 4o del presente artículo”
ARTÍCULO 2.6.9.1.3 CÁLCULO DE LA RENTABILIDAD ACUMULADA. <Artículo modificado por el artículo 2 del Decreto 2392 de 2018. El nuevo texto es el siguiente:>
La rentabilidad nominal acumulada en términos anuales para los portafolios de los fondos de cesantía y la rentabilidad del portafolio de referencia de que trata el artículo 2.6.9.1.1 del presente decreto, será calculada con base en la metodología de Valor del Activo Neto, entendida como la razón financiera entre el valor de la unidad del portafolio resultante al momento del cálculo y su valor inicial, según la siguiente fórmula:
![]()
Donde:
RNA es la rentabilidad nominal en términos anuales
NAV Es el valor de la unidad
(t) día final del periodo de cálculo
(i) día inicial del periodo de cálculo
(n) número de días del periodo, teniendo en cuenta los períodos previstos en el artículo 2.6.9.1.4 del presente decreto para el cálculo de rentabilidad de los diferentes portafolios de los fondos de cesantía.
PARÁGRAFO. La metodología para la determinación del valor de la unidad será establecida por la Superintendencia Financiera de Colombia, de acuerdo con instrucciones que expida sobre el particular.
ARTÍCULO 2.6.9.1.4 PERIODO DE CÁLCULO DE LA RENTABILIDAD.
<Fuente original compilada: D. 4936/09 Art. 4o.> La rentabilidad mínima obligatoria a que hace referencia el artículo 2.6.9.1.1 y la rentabilidad acumulada del portafolio de corto plazo se calcularán para los últimos tres (3) meses. La rentabilidad mínima obligatoria y la rentabilidad acumulada del portafolio de largo plazo se calcularán para los últimos veinticuatro (24) meses.
ARTÍCULO 2.6.9.1.5 VERIFICACIÓN.
<Fuente original compilada: D. 4936/09 Art. 5o.> El cumplimiento de la rentabilidad mínima obligatoria será verificado mensualmente por la Superintendencia Financiera de Colombia.
Para el efecto, la Superintendencia Financiera de Colombia comparará la rentabilidad acumulada efectiva anual obtenida por cada portafolio durante el período de cálculo correspondiente, con la rentabilidad mínima obligatoria calculada para el mismo período de acuerdo con lo dispuesto en el presente Título.
ARTÍCULO 2.6.9.1.6 MONTO MÍNIMO PARA LA VERIFICACIÓN.
<Fuente original compilada: D. 4936/09 Art. 6o.> No habrá lugar a verificación de rentabilidad mínima para aquel portafolio de corto plazo cuyo valor patrimonial al cierre del periodo de cálculo sea inferior al monto mínimo establecido en el artículo 3.1.3.1.4 del presente Decreto y demás normas que lo modifiquen o sustituyan.
ARTÍCULO 2.6.9.1.7 CÁLCULO Y DIVULGACIÓN DE LA RENTABILIDAD MÍNIMA.
<Fuente original compilada: D. 4936/09 Art. 7o.> La Superintendencia Financiera de Colombia calculará y divulgará conforme a las reglas que se determinan en el presente titulo, una rentabilidad mínima obligatoria para el portafolio de corto plazo y una rentabilidad mínima obligatoria para el portafolio de largo plazo de los fondos de cesantía.
PARÁGRAFO. La Superintendencia Financiera de Colombia divulgará a más tardar el quinto (5) día hábil siguiente a la fecha de verificación, la rentabilidad mínima obligatoria para los portafolios de corto plazo y de largo plazo.
ARTÍCULO 2.6.9.1.8 TRANSICIÓN.
<Fuente original compilada: D. 4936/09 Art. 8o.> En el caso del portafolio del largo plazo, para efectos del cálculo de la rentabilidad mínima y la rentabilidad correspondiente a dicho portafolio, se tendrán en cuenta los flujos históricos de los fondos de cesantía anteriores al 31 de diciembre de 2009 durante los meses necesarios para completar el periodo de cálculo.
RÉGIMEN DE PROTECCIÓN AL CONSUMIDOR FINANCIERO DEL SISTEMA GENERAL DE PENSIONES.
OBJETO, PRINCIPIOS GENERALES, DERECHOS Y DEBERES.
ARTÍCULO 2.6.10.1.1 OBJETO Y ÁMBITO DE APLICACIÓN.
<Fuente original compilada: D. 2241/10 Art. 1o.> Sin perjuicio de otras disposiciones que contemplen medidas e instrumentos especiales de protección al consumidor financiero, las normas aquí contenidas tienen por objeto establecer los principios y reglas, derechos y deberes que rigen la protección de los consumidores financieros en las relaciones entre éstos y las entidades administradoras de los dos regímenes del Sistema General de Pensiones, en relación con la administración de los fondos de pensiones obligatorias.
ARTÍCULO 2.6.10.1.2 PRINCIPIOS.
<Fuente original compilada: D. 2241/10 Art. 2o.> Los principios previstos en el artículo 3 de la ley 1328 de 2009 se aplican integralmente al Sistema General de Pensiones, teniendo adicionalmente en cuenta los aspectos particulares que se desarrollan en los siguientes numerales:
1. Debida Diligencia. Las administradoras del Sistema General de Pensiones deberán emplear la debida diligencia en el ofrecimiento de sus productos y/o en la prestación de sus servicios a los consumidores financieros, a fin de que éstos reciban la información y/o la atención debida y respetuosa en relación con las opciones de afiliación a cualquiera de los dos regímenes que conforman el Sistema General de Pensiones, así como respecto de los beneficios y riesgos pensionales de la decisión. En el caso del Régimen de Ahorro Individual con Solidaridad, deberán poner de presente los tipos de fondos de pensiones obligatorias que pueden elegir según su edad y perfil de riesgo, con el fin de permitir que el consumidor financiero pueda tomar decisiones informadas. Este principio aplica durante toda la relación contractual o legal, según sea el caso.
2. Transparencia e información cierta, suficiente y oportuna. Las administradoras del Sistema General de Pensiones deberán suministrar al público información cierta, suficiente, clara y oportuna que permita a los consumidores financieros conocer adecuadamente los derechos, obligaciones y costos que aplican en los dos regímenes del Sistema General de Pensiones.
3. Manejo adecuado de los conflictos de interés. Las administradoras del Sistema General de Pensiones y las compañías aseguradoras de vida que tienen autorizado el ramo de rentas vitalicias deberán velar porque siempre prevalezca el interés de los consumidores financieros.
Las administradoras de fondos de pensiones del Régimen de Ahorro Individual con Solidaridad deberán privilegiar los intereses de los consumidores financieros frente a los de sus accionistas o aportantes de capital, sus entidades vinculadas, y los de las compañías aseguradoras con las que se contrate la póliza previsional y la renta vitalicia. En este último evento, la administradora de fondos de pensiones, además, deberá velar por que exista total transparencia en la cotización y contratación, con el fin de que se realice a precios del mercado.
Las aseguradoras de vida que tienen autorizado el ramo de rentas vitalicias deberán privilegiar los intereses de los consumidores financieros cuando ofrezcan y coticen rentas vitalicias velando por que exista transparencia en la contratación y que ella se realice a precios de mercado.
PARÁGRAFO. Lo anterior sin perjuicio de lo establecido en el artículo 98 del Estatuto Orgánico del Sistema Financiero y el artículo 13 del Decreto Ley 656 de 1994 y demás normas concordantes aplicables a las administradores del Sistema General de Pensiones.
4. Educación para el consumidor financiero. Las administradoras del Sistema General de Pensiones procurarán una adecuada educación de los consumidores financieros respecto de los productos y servicios financieros que ellas ofrecen. De manera especial las sociedades administradoras de fondos de pensiones del Régimen de Ahorro Individual con Solidaridad, procurarán una adecuada educación de los consumidores financieros respecto de los tipos de fondos de pensiones obligatorias del esquema “Multifondos”, de los productos y servicios que ofrecen, de la naturaleza de los mercados en los que actúan y de los beneficios y riesgos pensionales de la elección de cualquiera de los regímenes según su edad y perfil de riesgo, así como de los diferentes mecanismos establecidos para la defensa de sus derechos.
Para el efecto, las administradoras deberán organizar campañas de información, mediante las cuales se realicen capacitaciones, charlas, conferencias o cualquier otra actividad que implique informar, educar y capacitar a los consumidores financieros del Sistema General de Pensiones, ya sea de forma presencial o virtual, respecto de sus características, así como de los riesgos inherentes a cada régimen y de cada tipo de fondo de pensiones obligatorias en el caso del Régimen de Ahorro Individual con Solidaridad.
Las administradoras del Sistema General de Pensiones directamente o través de asociaciones gremiales o de asociaciones de consumidores o de organismos autorreguladores podrán celebrar acuerdos con instituciones universitarias acreditadas que tengan por objeto la estructuración y desarrollo de programas educativos de formación, de corta duración y bajo costo, de los consumidores financieros, ya sea de forma presencial o virtual. Lo anterior, sin perjuicio de la utilización de otros instrumentos que sean útiles para lograr la formación en materia financiera y pensional del ciudadano común.
La Superintendencia Financiera de Colombia instruirá a las administradoras respecto del alcance mínimo de los programas de capacitación para el cumplimiento de la obligación prevista en este numeral, que podrán ser realizados de forma presencial o virtual, con el objetivo de lograr la adecuada divulgación y educación de los consumidores financieros respecto del funcionamiento del Sistema General de Pensiones y, en particular, del esquema de “Multifondos” de manera que éstos puedan tomar decisiones informadas. En todo caso, las administradoras deberán mantener a disposición de la Superintendencia Financiera de Colombia, información como constancia de asistencia firmada por los consumidores financieros con la respectiva fecha en caso que la formación sea presencial, la constancia de las personas que realizaron la capacitación por cualquier medio verificable, el material utilizado en la misma, los costos asociados a la actividad con sus respectivos soportes y cualquier otra documentación que sea utilizada para el efecto, en los términos que ella defina.
<Fuente original compilada: D. 2241/10 Art. 3o.> Los consumidores financieros del Sistema General de Pensiones tendrán los siguientes derechos, en lo que les sea pertinente:
1. Ser informados de manera cierta, suficiente, clara y oportuna de las condiciones del Sistema General de Pensiones, del nuevo sistema de administración de multifondos, de las diferentes modalidades de pensión y de los efectos y consecuencias de la no toma de decisiones.
2. Seleccionar el régimen y elegir la administradora de fondos de pensiones y trasladarse voluntariamente tanto de régimen como de administradora, de acuerdo con las normas aplicables en la materia.
3. En el caso de los afiliados al Régimen de Ahorro Individual con Solidaridad, elegir el tipo de fondo en donde se invertirán sus recursos de conformidad con las reglas y condiciones establecidas en la reglamentación expedida sobre la materia, así como modificar su elección bajo las mismas reglas.
4. Conocer la clase o naturaleza de los activos en los que se realizan las inversiones de cada uno de los tipos de fondos de la administradora y las rentabilidades asociadas a los mismos, con una clara identificación de los riesgos de cada uno de los fondos.
5. <Numeral modificado por el artículo 2 del Decreto 2071 de 2015. El nuevo texto es el siguiente:> Acceder a las herramientas financieras que las administradoras decidan ofrecer con el objeto de permitir al consumidor financiero conocer los cálculos preliminares sobre el posible monto de su pensión, de acuerdo con las instrucciones que imparta la Superintendencia Financiera de Colombia. En particular, las administradoras del Régimen de Ahorro Individual con Solidaridad deberán ofrecer dichas herramientas.
6. Recibir una adecuada educación respecto de los diferentes productos y servicios ofrecidos, los costos que se generan sobre los mismos, sus derechos y obligaciones así como sobre los diversos mecanismos de protección establecidos para la defensa de sus derechos.
7. Exigir la debida diligencia, asesoría e información en la prestación del servicio por parte de las administradoras.
8. Presentar de manera respetuosa consultas, peticiones, solicitudes, quejas o reclamos ante la sociedad administradora, el Defensor del Consumidor Financiero y/o la Superintendencia Financiera de Colombia.
9. Los demás derechos que se establezcan en este decreto o en otras disposiciones, y los contemplados en las instrucciones que imparta la Superintendencia Financiera de Colombia.
<Fuente original compilada: D. 2241/10 Art. 4o.> Los consumidores financieros del Sistema General de Pensiones tendrán los siguientes deberes, en lo que les sea pertinente:
1. Informarse adecuadamente de las condiciones del Sistema General de Pensiones, del nuevo sistema de administración de multifondos y de las diferentes modalidades de pensión.
2. Aprovechar los mecanismos de divulgación de información y de capacitación para conocer el funcionamiento del Sistema General de Pensiones y los derechos y obligaciones que les corresponden.
3. Emplear la adecuada atención y cuidado al momento de tomar decisiones, como son entre otras, la afiliación, el traslado de administradora o de régimen, la selección de modalidad de pensión y de entidad aseguradora que le otorgue la renta vitalicia o la elección de tipo de fondo dentro del esquema de “Multifondos”, según sea el caso.
En todo caso, toda decisión por parte del consumidor financiero deberá contener la manifestación expresa de haber recibido la capacitación e información requerida para entender las consecuencias de la misma o en su defecto la manifestación de haberse negado a recibirla.
4. Leer y revisar los términos y condiciones de los formatos de afiliación, así como diligenciar y firmar los mismos y cualquier otro documento que se requiera dentro del Sistema General de Pensiones, sin perjuicio de lo establecido en el artículo 25 del decreto 692 de 1994 y las normas que lo modifiquen o sustituyan.
5. Las decisiones que se tomen dentro del Sistema General de Pensiones, manifestadas a través de documentos firmados o de otros medios idóneos autorizados para ello, implicarán la aceptación de los efectos legales, costos, restricciones y demás consecuencias derivadas de las mismas. En tal sentido, cuando de conformidad con la normatividad aplicable el silencio o la no toma de decisión por parte de los consumidores financieros de lugar a la aplicación de reglas supletivas establecidas en ella con impacto en sus cuentas de ahorro pensional, se entenderá dicho silencio como la toma de una decisión consciente con los efectos legales, costos, restricciones y demás consecuencias que ello conlleve.
6. Mantener actualizada la información que requieren las administradoras del Sistema General de Pensiones de conformidad con la normatividad aplicable.
7. Informarse sobre los órganos y medios que la administradora ha puesto a su disposición para la presentación de peticiones, solicitudes, quejas o reclamos.
8. Propender por el uso de los mecanismos que las administradoras del Sistema General de Pensiones pongan a disposición de los consumidores financieros para la educación financiera y previsional, así como para el suministro de información.
ACTIVIDADES DE PROMOCION Y PRESTACION DEL SERVICIO.
ARTÍCULO 2.6.10.2.1 PROFESIONALISMO.
<Fuente original compilada: D. 2241/10 Art. 5o.> Las administradoras de los dos regímenes del Sistema General de Pensiones, sus administradores, demás funcionarios con o sin vinculación directa y los promotores, independientemente del tipo de vinculación, deberán actuar con la debida diligencia en la promoción y prestación del servicio, de tal forma que los consumidores reciban la atención, asesoría e información suficiente que requieran para tomar las decisiones que les corresponda de acuerdo con la normatividad aplicable.
Lo anterior, sin perjuicio de lo previsto en el Decreto 720 de 1994 respecto de la responsabilidad de las administradoras de los dos regímenes del Sistema General de Pensiones por la actuación de los promotores.
ARTÍCULO 2.6.10.2.2 PROMOCIÓN DEL ESQUEMA DE MULTIFONDOS.
<Fuente original compilada: D. 2241/10 Art. 6o.> Las sociedades administradoras de fondos de pensiones, en cumplimiento de las instrucciones que imparta la Superintendencia Financiera de Colombia, deberán promover el esquema de “Multifondos” mediante la implementación de campañas de información y de educación financiera dirigidas a informar a los consumidores financieros, con el propósito de que éstos conozcan el esquema de “Multifondos”, en especial el derecho a elegir el tipo de fondo, de acuerdo con su edad y perfil del riesgo asociado, en concordancia con la reglamentación expedida sobre la materia.
PARÁGRAFO PRIMERO. La promoción comprenderá todas las iniciativas y programas tendientes a: 1) difundir las características del esquema de “Multifondos” y sus efectos para los consumidores financieros, tanto al momento de la afiliación y traslado de una administradora a otra, así como del cambio de un régimen a otro, y 2) informar respecto de los riesgos, derechos y obligaciones que apliquen a los consumidores financieros para que éstos tomen decisiones informadas.
PARÁGRAFO SEGUNDO. En todo caso, el material informativo que difundan las administradoras, cualquiera que sea el medio que se utilice, no puede contener elementos que distorsionen el proceso de afiliación o traslado de administradora o de régimen, la naturaleza de los fondos o los servicios que prestan las sociedades administradoras de fondos de pensiones, ni proporcionar información falsa, engañosa o que genere error o confusión.
Tratándose de la administración de dos o más tipos de fondos de pensiones del Régimen de Ahorro Individual con Solidaridad, la información que provee la administradora de fondos de pensiones deberá ser objetiva de conformidad con el perfil y edad de riesgo de los afiliados, en términos de las preferencias que pudieran tener éstos por un fondo en particular y/o de la administración que lleve a cabo la misma.
PARÁGRAFO TERCERO. En ningún caso las administradoras podrán ofrecer a sus promotores, cualquiera sea la forma de vinculación, comisiones asociadas a la elección de tipo de fondo o comisiones que sean diferenciales según el tipo de fondo que sea elegido por el consumidor financiero.
ARTÍCULO 2.6.10.2.3 ASESORÍA E INFORMACIÓN AL CONSUMIDOR FINANCIERO.
<Artículo modificado por el artículo 3 del Decreto 2071 de 2015. El nuevo texto es el siguiente:> Las administradoras del Sistema General de Pensiones tienen el deber del buen consejo, por lo que se encuentran obligadas a proporcionar a los consumidores financieros información completa respecto a los beneficios, inconvenientes y efectos de la toma de decisiones en relación con su participación en cualquiera de los dos regímenes del Sistema General de Pensiones.
Las administradoras de los dos regímenes del Sistema General de Pensiones, deberán garantizar que los afiliados que quieran trasladarse entre regímenes pensionales, esto es del Régimen de Ahorro Individual al Régimen de Prima Media y viceversa, reciban asesoría de representantes de ambos regímenes, como condición previa para que proceda el traslado. Lo anterior de conformidad con las instrucciones que para el efecto imparta la Superintendencia Financiera de Colombia.
La asesoría de que trata el inciso anterior deberá contemplar como mínimo la siguiente información conforme a la competencia de cada administradora del Sistema General de Pensiones:
1. Probabilidad de pensionarse en cada régimen.
2. Proyección del valor de la indemnización sustitutiva o devolución de saldos, lo anterior frente a la posibilidad de no cumplir los requisitos de ley para acceder a la pensión de vejez a la edad prevista en la normatividad vigente.
3. Proyección del valor de la pensión en cada régimen.
4. Requisitos para acceder a la garantía de pensión mínima en cada régimen.
5. Información sobre otros mecanismos de protección a la vejez vigentes dentro de la legislación.
6. Las demás que la Superintendencia Financiera de Colombia establezca.
En todo caso, el consumidor financiero podrá solicitar en cualquier momento durante la vigencia de su relación con la administradora toda aquella información que requiera para tomar decisiones informadas en relación con su participación en cualquiera de los dos regímenes del Sistema General de Pensiones.
En particular, las administradoras del Régimen de Ahorro Individual con Solidaridad deberán poner a disposición de sus afiliados herramientas financieras que les permitan conocer las consecuencias de su traslado al Régimen de Prima Media, así mismo deben suministrar una información clara, cierta, comprensible y oportuna respecto de: las condiciones de su afiliación al régimen, de manera tal que el consumidor financiero pueda tomar la decisión informada de vincularse a dicho régimen o de trasladarse entre administradoras del mismo o de elegir el tipo de fondo dentro del esquema de “Multifondos” o de seleccionar la modalidad de pensión o de escoger la aseguradora previsional en el caso de seleccionar una renta vitalicia. Lo anterior, sin perjuicio de la información que deberá ser remitida a los consumidores financieros en los extractos de conformidad con la reglamentación existente sobre el particular y las instrucciones que imparta la Superintendencia Financiera de Colombia para el efecto.
Para el caso de la proyección del beneficio pensional en el Régimen de Ahorro Individual con Solidaridad, la Administradora deberá realizar una asesoría en los términos descritos en el artículo 2.6.10.4.3 del presente decreto.
PARÁGRAFO 1o. La asesoría a que se refiere el presente artículo tendrá el alcance previsto en estas disposiciones y en ningún caso será interpretada conforme a las normas relativas al deber de asesoría contenidas en el artículo 7.3.1.1.3, o las normas que la modifiquen o sustituyan.
La asesoría de que trata el inciso 2o del presente artículo, así como la información que arroje la herramienta financiera deberán entenderse como un cálculo estimado de la futura pensión, de la devolución de saldos y de la indemnización sustitutiva. Dichas proyecciones no corresponden a un derecho consolidado, por fundamentarse en una simulación de supuestos futuros probables, pero sin certeza sobre la ocurrencia.
PARÁGRAFO 2o. Los consumidores financieros deberán manifestar de forma libre y expresa a la administradora su decisión de vincularse al régimen de Ahorro Individual con Solidaridad o al régimen de Prima Media con Prestación Definida o de trasladarse de régimen o de trasladarse entre administradoras del mismo régimen o de elegir el tipo de fondo dentro del esquema de “Multifondos” o de seleccionar la modalidad de pensión o de escoger la aseguradora previsional en el caso de seleccionar una renta vitalicia, a través de medios verificables de conformidad con las instrucciones que imparta la Superintendencia Financiera de Colombia. En dicho medio deberá constar que el consumidor financiero recibió la información suficiente y la asesoría requerida y que, en consecuencia, entiende y acepta los efectos legales, así como los potenciales riesgos y beneficios de su decisión.
PARÁGRAFO 3o. <Parágrafo modificado el artículo 14 del Decreto 1745 de 2020. El nuevo texto es el siguiente:> Las administradoras de los dos regímenes del Sistema General de Pensiones responderán por la actuación de los promotores de conformidad con lo previsto en el artículo 2.2.7.4.1. del Decreto 1833 de 2016.
CAPACITACIÓN Y REGISTRO DE PROMOTORES.
ARTÍCULO 2.6.10.3.1 CAPACITACIÓN. <Artículo modificado el artículo 15 del Decreto 1745 de 2020. El nuevo texto es el siguiente:>
Los programas de capacitación que implementen las administradoras de los dos regímenes del Sistema General de Pensiones deberán cumplir con lo previsto en el artículo 2.2.7.5.2 del Decreto 1833 de 2016 y cubrir por lo menos los siguientes aspectos:
a) Marco Regulatorio del Sistema General de Pensiones y de los dos regímenes pensiónales que lo conforman.
b) Naturaleza y régimen jurídico y financiero de las entidades administradoras de los regímenes del Sistema General de Pensiones.
c) Marco Regulatorio del esquema de "Multifondos".
d) Composición y características de cada uno de los fondos ofrecidos dentro del esquema de "Multifondos".
e) Marco general sobre cálculo de pensiones del Sistema General de Pensiones.
f) Modalidades de pensión.
g) Régimen de Promoción y Distribución de los productos y servicios ofrecidos por las entidades administradoras de los regímenes del Sistema General de Pensiones, conforme a lo establecido en el Título 7 de la Parte 2 del Libro 2 del Decreto 1833 de 2016.
h) Marco Regulatorio de Protección al Consumidor financiero en general y en el esquema de "Multifondos".
Los programas de capacitación debidamente actualizados deberán enviarse a la Superintendencia Financiera de Colombia para los efectos previstos en el artículo 2.2.7.5.2. del Decreto 1833 de 2016.
PARÁGRAFO 1. Las administradoras de los dos regímenes del Sistema General de Pensiones podrán celebrar acuerdos o convenios para la estructuración y desarrollo de programas de capacitación de los promotores con instituciones universitarias acreditadas por la entidad oficial competente.
PARÁGRAFO 2. Las administradoras de los dos regímenes del Sistema General de Pensiones deberán acreditar que los promotores vinculados por ellas han recibido y aprobado un programa de capacitación por lo menos una vez cada dos (2) años.
ARTÍCULO 2.6.10.3.2 REGISTRO. <Fuente original compilada: D. 2241/10 Art. 9o.>
<Inciso modificado el artículo 16 del Decreto 1745 de 2020. El nuevo texto es el siguiente:> Para efectos de cumplir con la obligación de registro de promotores establecida en el artículo 2.2.7.5.1. del Decreto 1833 de 2016, las administradoras de los dos regímenes del Sistema General de Pensiones deberán mantener, en forma organizada y con los soportes pertinentes, la siguiente información:
1) Relación de los convenios que hayan suscrito para implementar los programas de capacitación de sus promotores.
2) Relación de las personas que por cuenta de ellas actúan como promotores del Sistema General de Pensiones, independientemente de la forma de vinculación.
3) Relación de los certificados que acrediten la capacitación de cada uno de los promotores.
Las administradoras de los dos regímenes del Sistema General de Pensiones podrán, de manera voluntaria y con sujeción al principio de la autonomía de la voluntad privada, celebrar convenios o acuerdos con Organismos Autorreguladores sujetos a la vigilancia de la Superintendencia Financiera de Colombia, con el objeto de organizar un registro unificado de promotores del Sistema General de Pensiones que permita acreditar su idoneidad y profesionalismo a través de pruebas o exámenes diseñados por éstos.
ARTÍCULO 2.6.10.3.3 RÉGIMEN DE TRANSICIÓN.
<Fuente original compilada: D. 2241/10 Art. 10> La asesoría para la elección de tipo de fondo que las administradoras del régimen de ahorro individual con solidaridad deben suministrar a los consumidores financieros, de conformidad con lo previsto en el presente decreto, será exigible a partir del día 1o de enero del año 2011. En consecuencia, para dicha fecha los promotores deberán estar debidamente capacitados sobre el esquema de “Multifondos”.
INFORMACIÓN TRANSPARENTE A LOS CONSUMIDORES DEL SISTEMA GENERAL DE PENSIONES.
ARTÍCULO 2.6.10.4.1. EXTRACTOS DE LAS ADMINISTRADORAS DE FONDOS DE PENSIONES DEL RÉGIMEN DE AHORRO INDIVIDUAL CON SOLIDARIDAD. <Artículo adicionado por el artículo 1 del Decreto 2071 de 2015. El nuevo texto es el siguiente:> Las Administradoras de Fondos de Pensiones del Régimen de Ahorro Individual con Solidaridad tendrán la obligación de enviar los extractos a sus afiliados y pensionados trimestralmente por cualquier medio electrónico, sin embargo los afiliados podrán solicitar que el extracto sea enviado mediante correo físico, caso en el cual el documento deberá ser remitido a la dirección de correspondencia que se encuentre reportada en la Administradora. En el caso que la Administradora no pueda enviar el extracto por medio electrónico deberá enviarlo al correo físico, hasta tanto sean actualizados los datos del afiliado.
Los extractos emitidos por Administradoras de Fondos de Pensiones del Régimen de Ahorro Individual con Solidaridad deberán ser expedidos de conformidad con las instrucciones que sobre el particular imparta la Superintendencia Financiera de Colombia.
Los extractos de los afiliados que trata el presente artículo deberán contener como mínimo la siguiente información, la cual deberá discriminarse por tipo de fondo:
a) Ingreso base de cotización sobre el cual se realizan los aportes;
b) Número total de semanas cotizadas al Sistema General de Pensiones, de conformidad con las instrucciones que imparta la Superintendencia Financiera de Colombia;
c) El capital neto ahorrado o saldo final neto después de efectuar las deducciones, reportado al cierre del período del extracto;
d) El monto correspondiente al valor de los rendimientos abonados en la cuenta de ahorro individual del afiliado durante el período del extracto;
e) Las cotizaciones acreditadas durante el período de corte del extracto;
f) Nombre y NIT del empleador que realiza el aporte;
g) Para los extractos de los afiliados se debe informar el monto deducido en cada cotización y su equivalente expresado como porcentaje del ingreso base de cotización, por concepto de todas y cada una de las deducciones legales que se deban realizar, tales como: la comisión de administración de cotizaciones obligatorias, las primas del seguro de invalidez y sobrevivencia, los aportes al Fondo de Garantía de Pensión Mínima y Fondo de Solidaridad Pensional, y las demás deducciones realizadas, de acuerdo con la normatividad vigente, para el período de corte del extracto;
h) La información adicional que determine la Superintendencia Financiera de Colombia.
Para los extractos de los pensionados por retiro programado deberá reportarse el valor de la comisión y su porcentaje, expresado como una tasa, aplicada sobre los rendimientos abonados durante el mes en la cuenta de ahorro individual. Así como el valor de los descuentos que se realicen por cotización a salud, embargos por pensiones alimenticias o créditos a favor de cooperativas y demás que determine la ley.
ARTÍCULO 2.6.10.4.2. EXTRACTOS DE LA ADMINISTRADORA DEL RÉGIMEN DE PRIMA MEDIA CON PRESTACIÓN DEFINIDA COLPENSIONES. <Artículo adicionado por el artículo 1 del Decreto 2071 de 2015. El nuevo texto es el siguiente:> La Administradora Colombiana de Pensiones- Colpensiones, o quien haga sus veces, tendrá la obligación de enviar los extractos a sus afiliados anualmente por cualquier medio electrónico, sin embargo los afiliados podrán solicitar que el extracto sea enviado mediante correo físico, caso en el cual el documento deberá ser remitido a la dirección de correspondencia que se encuentre reportada en la Administradora. En el caso que Colpensiones no pueda enviar el extracto por medio electrónico deberá enviarlo al correo físico, hasta tanto sean actualizados los datos del afiliado.
Los extractos emitidos por Colpensiones deben ser expedidos de conformidad con las instrucciones que sobre el particular imparta la Superintendencia Financiera de Colombia.
Los extractos de que trata el presente artículo deberán contener como mínimo la siguiente información:
a) Ingreso base de cotización sobre el cual se realizaron los aportes para cada uno de los ciclos (o meses) del período reportado;
b) Nombre y NIT del empleador que realiza el aporte;
c) Valor total de la cotización;
d) Deducciones efectuadas al valor total de la cotización, tales como: comisión de administración de cotizaciones obligatorias, Fondo de Solidaridad Pensional y las demás deducciones realizadas, de acuerdo con la normatividad vigente, para cada uno de los ciclos (o meses) del período reportado;
e) Número total de semanas cotizadas en el Sistema General de Pensiones y durante el período de corte del extracto, de conformidad con las instrucciones que imparta la Superintendencia Financiera de Colombia;
f) La información adicional que determine la Superintendencia Financiera de Colombia.
ARTÍCULO 2.6.10.4.3. PROYECCIÓN DEL BENEFICIO PENSIONAL EN EL RÉGIMEN DE AHORRO INDIVIDUAL CON SOLIDARIDAD. <Artículo adicionado por el artículo 1 del Decreto 2071 de 2015. El nuevo texto es el siguiente:> El afiliado podrá solicitar una proyección del valor del beneficio pensional a la Administradora del Régimen de Ahorro Individual con Solidaridad en la que se encuentre afiliado. Para ello suministrará a la Administradora respectiva la información adicional que esta requiera. Para el cumplimiento de esta obligación por parte de la Administradora, el afiliado tiene derecho a contar con una asesoría personalizada por parte de la Administradora, de conformidad con el numeral 5 del artículo 2.6.10.1.3 y el artículo 2.6.10.2.3 del Decreto número 2555 de 2010, y las normas aplicables que regulen la materia.
Las administradoras deberán indicar de manera expresa al afiliado que la simulación corresponde a la modalidad de pensión de retiro programado, calculada con base en las cotizaciones obligatorias y no incluye aportes voluntarios.
Para el cálculo de la proyección antes mencionada se deberán tener en cuenta los siguientes parámetros técnicos:
a) La tasa de interés técnico que se encuentra establecida por la Superintendencia Financiera de Colombia o la que la modifique o sustituya;
b) Las tablas de mortalidad de rentistas y de inválidos expedidas por la Superintendencia Financiera de Colombia;
c) Las tasas de inflación y crecimiento de los beneficios pensionales;
d) Demás parámetros y supuestos que imparta sobre el particular la Superintendencia Financiera de Colombia.
El afiliado tiene derecho a contar con asesoría personalizada, la cual deberá entenderse como aquella en la que un representante de la Administradora le informa al afiliado de manera personal e individualizada, y por medio de los canales de comunicación que disponga la Administradora, los supuestos con base en las cuales se realiza la proyección del beneficio pensional y cómo debe interpretarse la misma, conforme a las instrucciones que imparta la Superintendencia Financiera de Colombia.
PARÁGRAFO 1o. Las Administradoras del Régimen de Ahorro Individual con Solidaridad deberán ofrecer herramientas financieras que propendan por informar a sus afiliados acerca de la proyección mencionada y de los supuestos que se utilicen para tal fin. Para estos efectos las administradoras podrán hacer uso de los canales de comunicación que tengan disponibles.
Las herramientas financieras mencionadas, previo a su utilización con los afiliados, deberán ser presentadas ante la Superintendencia Financiera de Colombia para establecer la no objeción.
PARÁGRAFO 2o. La proyección de que trata este artículo, proporcionada por la Administradora del Régimen de Ahorro individual con Solidaridad, a través de las herramientas financieras, deberá entenderse como un cálculo estimado de la eventual futura pensión. La Administradora deberá informar al afiliado que la mesada pensional resultante es una mera proyección y no un derecho consolidado, por fundamentarse en una simulación de supuestos futuros probables, pero sin certeza sobre la ocurrencia.
RÉGIMEN DEL ESQUEMA DE MULTIFONDOS PARA LA ADMINISTRACIÓN DE LOS RECURSOS DE PENSIÓN OBLIGATORIA DEL RÉGIMEN DE AHORRO INDIVIDUAL CON SOLIDARIDAD Y PARA LAS PENSIONES DE RETIRO PROGRAMADO.
ARTÍCULO 2.6.11.1.1 FONDOS DE PENSIÓN EN EL RÉGIMEN DE AHORRO INDIVIDUAL CON SOLIDARIDAD.
<Fuente original compilada: D. 2373/10 Art. 1o.> Las Sociedades Administradoras de Fondos de Pensiones y de Cesantía, en adelante la(s) administradora(s), deberán ofrecer tres (3) tipos de fondos de pensiones obligatorias elegibles por los afiliados no pensionados durante la etapa de acumulación, así: 1. Fondo Conservador; 2. Fondo Moderado; 3. Fondo de Mayor Riesgo. Igualmente deberán ofrecer un (1) Fondo Especial de Retiro Programado para los afiliados pensionados y los beneficiarios de pensiones de sobrevivencia.
ARTÍCULO 2.6.11.1.2 NATURALEZA DE LOS TIPOS DE FONDOS.
<Fuente original compilada: D. 2373/10 Art. 2o.> Los tipos de fondos a que se refiere el artículo 2.6.11.1.1 del presente decreto, constituyen patrimonios autónomos.
Cada tipo de fondo deberá contar con: i) Número de identificación tributaria propio, diferente al de la administradora y al de los otros tipos de fondos, ii) Separación patrimonial, iii) Contabilidad independiente, de acuerdo con las instrucciones que para el efecto imparta la Superintendencia Financiera de Colombia, y iv) Cuentas corrientes o de ahorro destinadas exclusivamente al manejo de los recursos de cada tipo de fondo, identificadas a nombre del mismo.
Las administradoras deberán ajustar el reglamento de administración unificado de fondos de pensiones obligatorias, así como el respectivo plan de pensiones, a fin de que el mismo refleje la estructura del esquema de multifondos. Las modificaciones a dicho reglamento deberán ser autorizadas de manera previa por la Superintendencia Financiera de Colombia. Así mismo, en el caso que ello sea necesario, las administradoras deberán ajustar sus estatutos, en cuanto a su objeto social se refiere.
Todas las obligaciones legales actualmente aplicables a las sociedades administradoras respecto de la administración de fondos de pensiones obligatorias, lo serán, en lo pertinente y salvo disposición en contrario, a cada uno de los tipos de fondos administrados.
ARTÍCULO 2.6.11.1.3 CUENTA INDIVIDUAL DE AHORRO PENSIONAL.
<Fuente original compilada: D. 2373/10 Art. 3o.> Al momento de la elección por parte del afiliado no pensionado o la asignación por defecto a un tipo de fondo, según lo estipulado en el presente decreto, la administradora creará una subcuenta individual de ahorro pensional en el tipo de fondo elegido o en el o los tipos de fondos que correspondan según la asignación o convergencia.
ARTÍCULO 2.6.11.1.4 ELECCIÓN DEL TIPO DE FONDO.
<Fuente original compilada: D. 2373/10 Art. 4o.> En el Régimen de Ahorro Individual con Solidaridad podrá elegirse libremente sólo uno de los tipos de fondos de la etapa de acumulación previstos en el artículo 2.6.11.1.1 del presente decreto, salvo que le sea aplicable la regla de convergencia definida en el artículo 2.6.11.1.6, caso en el cual podrá pertenecer a máximo dos (2) de los tipos de fondos.
Cuando un afiliado no pensionado haya elegido el Fondo de Mayor Riesgo o el Fondo Moderado, la sociedad administradora deberá, entre el cuarto y el tercer mes anterior a la fecha para cumplir la edad señalada en el artículo 2.6.11.1.6, informar al afiliado no pensionado que próximamente se iniciará la aplicación de las reglas de convergencia y que tiene la posibilidad de elegir el tipo de fondo en el cual deben permanecer los recursos de su cuenta individual en el porcentaje que no se destine en la forma prevista en el artículo 2.6.11.1.6.
A la elección del afiliado se aplicará, adicionalmente, lo previsto en las normas que sobre este particular define el régimen de protección al consumidor financiero en el Sistema General de Pensiones.
PARÁGRAFO. El afiliado no pensionado podrá ejercer la opción de retracto de su primera elección de tipo de fondo por una única vez. La decisión de retracto deberá ser manifestada por el afiliado no pensionado dentro de los tres (3) días hábiles siguientes a la fecha de la decisión inicial de elección de tipo de fondo ante la misma sociedad administradora por un medio verificable, de acuerdo con las instrucciones que para el efecto establezca la Superintendencia Financiera.
ARTÍCULO 2.6.11.1.5 ASIGNACIÓN POR DEFECTO. <Artículo modificado por el artículo 1 del Decreto 959 de 2018. El nuevo texto es el siguiente:>
Cuando el afiliado no pensionado no elija el tipo de fondo se aplicarán las siguientes reglas:
1. Flujos de aportes: la Administradora asignará los aportes de los afiliados no pensionados que no hayan elegido el tipo de fondo a los fondos de Mayor Riesgo y Moderado, de acuerdo a su género y edad, en los siguientes porcentajes:

2. Convergencia al Fondo Moderado: el saldo de la cuenta individual de ahorro pensional de los afiliados no pensionados que no hayan elegido el tipo de fondo deberá converger al Fondo Moderado, de acuerdo a su género y edad. Para esta convergencia la Administradora trasladará recursos del Fondo de Mayor Riesgo al Fondo Moderado hasta que el saldo de dicha cuenta alcance en el Fondo Moderado el porcentaje mínimo indicado en el siguiente cuadro:

3. Convergencia al Fondo Conservador: para aquellos afiliados no pensionados que no hayan elegido el tipo de fondo y que hayan cumplido alguna de las edades señaladas en el cuadro del artículo 2.6.11.1.6 del presente decreto la Administradora asignará los recursos al Fondo Moderado en aquel porcentaje que no deban estar en el Fondo Conservador según lo previsto en el artículo referido.
PARÁGRAFO 1o. En caso de que al momento de realizar el traslado de que trata el numeral 2 del presente artículo, la cuenta individual de ahorro pensional del afiliado ya cuente con un porcentaje igual o superior al mínimo, la Administradora no deberá realizar traslado de recursos.
PARÁGRAFO 2o. Los recursos del afiliado no pensionado que no haya elegido el tipo de fondo y que se encuentren en el Fondo Moderado, solo podrán trasladarse al Fondo Conservador para cumplir con la convergencia de que trata el numeral 3 del presente artículo.
PARÁGRAFO 3o. Las Administradoras diseñarán e implementarán mecanismos de divulgación de información dirigidos a sus afiliados encaminados a que estos conozcan, entiendan y comprendan los efectos de la aplicación de las medidas definidas en el presente artículo. La Superintendencia Financiera de Colombia impartirá instrucciones sobre la forma y contenido de la información de que trata el presente parágrafo.
ARTÍCULO 2.6.11.1.6 REGLAS DE CONVERGENCIA.
<Fuente original compilada: D. 2373/10 Art. 6o.> Atendiendo criterios de edad y género, el saldo de la cuenta individual de los afiliados no pensionados cuando cumplan 50 años de edad, en el caso de las mujeres, y 55 años de edad, en el caso de los hombres, deberá converger anualmente hacia el Fondo Conservador, de tal forma que se ajuste a los siguientes porcentajes, salvo que el afiliado, dentro de las condiciones previstas en el artículo 2.6.11.1.7 del presente decreto, manifieste su intención de asignar un porcentaje superior al fondo conservador.
Edad | Saldo mínimo de la cuenta Individual en el Fondo Conservador | |
| Mujeres | Hombres | |
| 50 | 55 | 20% |
| 51 | 56 | 40% |
| 52 | 57 | 60% |
| 53 | 58 | 80% |
| 54 o mas | 59 o mas | 100% |
PARÁGRAFO 1. Las reglas de convergencia aquí señaladas serán aplicadas a los aportes existentes en la fecha en que se cumplan las edades señaladas en la tabla antes prevista, así como a los nuevos aportes que ingresen a la cuenta individual. Lo anterior se entenderá sin perjuicio de las variaciones que los porcentajes puedan presentar por efecto de la valoración de las inversiones.
PARÁGRAFO 2. A partir del año 2014 las edades señaladas en el cuadro previsto en este artículo se aumentarán en dos (2) años tanto para hombres como para mujeres.
ARTÍCULO 2.6.11.1.7 CAMBIO DE TIPO DE FONDO.
<Fuente original compilada: D. 2373/10 Art. 7o.> El afiliado no pensionado podrá modificar su elección de tipo de fondo una vez cada seis (6) meses.
PARÁGRAFO. El término previsto en el presente artículo para el cambio de tipo de fondo es independiente del plazo para realizar cambio de administradora señalado en el artículo 16 del decreto 692 de 1994, o las normas que lo modifiquen, sustituyan o deroguen.
ARTÍCULO 2.6.11.1.8 CUMPLIMIENTO DE LAS ÓRDENES DE ELECCIÓN O CAMBIO DE TIPO DE FONDO.
<Fuente original compilada: D. 2373/10 Art. 8o.> La elección o cambio de tipo de fondo deberá efectuarse por medios verificables, de conformidad con las instrucciones que para el efecto señale la Superintendencia Financiera de Colombia.
Las órdenes de cambio de tipo de fondo deberán ejecutarse el día veinte (20) o el día hábil subsecuente, del mes siguiente a la fecha en que se impartió la misma.
Las administradoras deberán establecer los mecanismos que les permitan identificar, respecto de cada uno de los afiliados no pensionados, las órdenes impartidas en ejercicio del derecho de elección o cambio de tipo de fondo y la fecha en que las mismas fueron impartidas. En el evento de traslado de un afiliado no pensionado entre administradoras, la información sobre la última orden de cambio de tipo de fondo deberá ser suministrada en medio magnético a la nueva entidad administradora a más tardar con la transferencia de los recursos a que haya lugar.
PARÁGRAFO. Lo previsto en este artículo será aplicable para la trasferencia de recursos entre fondos a que haya lugar en desarrollo de los artículos 2.6.11.1.6 y 2.6.11.1.7.
ARTÍCULO 2.6.11.1.9 TRASLADO DE RECURSOS EN CASO DE MUERTE E INVALIDEZ.
<Fuente original compilada: D. 2373/10 Art. 9o.> Cuando exista certeza respecto de la muerte de un afiliado no pensionado o se encuentre en firme el dictamen que determine su invalidez, la administradora deberá transferir al Fondo Conservador los recursos del afiliado afectado en un plazo máximo de diez (10) días hábiles, contado a partir de la fecha en que se acredite la ocurrencia de los hechos mencionados.
ARTÍCULO 2.6.11.1.10 TRASLADOS A OTRA SOCIEDAD ADMINISTRADORA DE FONDOS DE PENSIONES Y DE CESANTÍA.
<Fuente original compilada: D. 2373/10 Art. 10> Cuando el afiliado no pensionado opte por trasladarse de administradora, el saldo existente en cada una de sus subcuentas individuales, será acreditado en la nueva entidad administradora en las subcuentas individuales de acuerdo con la última elección de tipo de fondo realizada por el afiliado que le sea informada por la administradora que realiza el traslado, sin perjuicio de la aplicación de las reglas de convergencia previstas en el artículo 2.6.11.1.6.
Desde el día en que se presente una solicitud de traslado de administradora y hasta la fecha de efectividad de la misma o la de su rechazo según lo previsto en la normatividad vigente, el afiliado no pensionado no podrá realizar solicitudes de cambio de tipo fondo y aquellas que presente no tendrán validez alguna.
ARTÍCULO 2.6.11.1.11 RECAUDO Y ACREDITACIÓN DE APORTES.
<Fuente original compilada: D. 2373/10 Art. 11> Las administradoras recaudarán la totalidad de los recursos que correspondan a los fondos de pensiones obligatorios a través del Fondo Moderado. Los aportes que deban ser acreditados en cuentas individuales de otros tipos de fondos, deberán transferirse a los mismos a más tardar dentro de los diez (10) días comunes siguientes a la fecha de recaudo.
Durante el plazo en que los recursos se encuentren en el Fondo Moderado únicamente se reconocerán los rendimientos que éste haya generado.
ARTÍCULO 2.6.11.1.12 APORTES NO IDENTIFICADOS.
<Fuente original compilada: D. 2373/10 Art. 12> Los recursos correspondientes a aportes no identificados se asignarán al Fondo Moderado y se les reconocerá únicamente los rendimientos que éste haya generado. Una vez identificados, se acreditarán en la o las subcuentas individuales de ahorro pensional del afiliado, de acuerdo con las reglas previstas en los artículos 2.6.11.1.4, 2.6.11.1.5 y 2.6.11.1.6 del presente decreto.
La acreditación se efectuará de acuerdo con los porcentajes que correspondan a cada tipo de fondo en dicho momento.
ARTÍCULO 2.6.11.1.13 COTIZACIONES VOLUNTARIAS EN LOS FONDOS DE PENSIONES OBLIGATORIAS.
<Fuente original compilada: D. 2373/10 Art. 13> A las cotizaciones voluntarias efectuadas por los afiliados y los empleadores en los Fondos de Pensiones Obligatorias les serán aplicables las mismas reglas dispuestas en el presente decreto para los aportes obligatorios.
No se podrá elegir de manera independiente el tipo de fondo en el que estarán los recursos correspondientes a las cotizaciones voluntarias y, por tanto, ellos serán destinados en la misma forma que se aplique para los aportes obligatorios de conformidad con las reglas previstas en el presente decreto.
ARTÍCULO 2.6.11.1.14 FONDO ESPECIAL DE RETIRO PROGRAMADO.
<Fuente original compilada: D. 2373/10 Art. 14> Los recursos de los afiliados pensionados y de los beneficiarios de pensiones de sobrevivencia, bajo la modalidad de Retiro Programado y de Retiro Programado con Renta Vitalicia Diferida y mientras se disfruta de una pensión, serán administrados en el Fondo Especial de Retiro Programado, previsto en el artículo 2.6.11.1.1 del presente decreto. El traspaso de dichos recursos al citado fondo deberá realizarse dentro de los seis (6) días hábiles siguientes al momento en el cual se escoja la modalidad de pensión de Retiro Programado o de Retiro Programado con Renta Vitalicia Diferida.
En el Fondo Especial de Retiro Programado se administrarán todos los recursos que correspondan a cuentas a través de las cuales se paguen mesadas pensionales.
En el evento en que el pensionado por invalidez pierda su condición de pensionado, dentro de los seis (6) días hábiles siguientes a que quede en firme la decisión respectiva, los recursos se deben transferir al tipo de fondo donde se encontraban antes de la solicitud de pensión, respetando en todo caso las reglas de convergencia previstas en el artículo 2.6.11.1.6 y sin perjuicio de la libertad que el afiliado tiene para elegir el tipo de fondo.
ARTÍCULO 2.6.11.1.15 TRANSFERENCIA DE TÍTULOS Y/O VALORES ENTRE TIPOS DE FONDOS.
<Fuente original compilada: D. 2373/10 Art. 15> Las administradoras podrán efectuar transferencias de títulos y/o valores exclusivamente entre los distintos tipos de fondos de pensiones que administran, sin que para el efecto sea necesario recurrir a los sistemas de negociación o se encuentren obligados al registro de dichas operaciones en el mercado mostrador, únicamente por los cambios de tipo de fondo de que tratan los artículos 2.6.11.1.4, 2.6.11.1.5, 2.6.11.1.6 y 2.6.11.1.14 del presente decreto. La Superintendencia Financiera de Colombia establecerá las condiciones y requisitos para efectuar las transferencias de dichos títulos y/o valores.
Las administradoras podrán realizar compensaciones entre los traslados de títulos y/o valores que deban efectuarse, de tal forma que únicamente se lleven a cabo transferencias por el neto resultante.
ARTÍCULO 2.6.11.1.16 PLANES ALTERNATIVOS DE CAPITALIZACIÓN Y DE PENSIONES.
<Fuente original compilada: D. 2373/10 Art. 16> Lo previsto en el presente decreto no será aplicable a los planes alternativos de capitalización y de pensiones previstos en el artículo 87 de la Ley 100 de 1993 o las normas que lo modifiquen o sustituyan.
ARTÍCULO 2.6.11.1.17 RÉGIMEN DE TRANSICIÓN.
<Fuente original compilada: D. 2373/10 Art. 17> Con el fin de llevar a cabo una adecuada divulgación, capacitación e implementación del presente régimen por parte de las administradoras, se establecen las siguientes reglas de transición:
1. A partir del 15 de septiembre de 2010 el Fondo de Pensiones existente se constituirá en el Fondo Moderado. Lo anterior, sin perjuicio de las modificaciones y ajustes que se realicen al régimen de inversiones aplicable al mismo.
2. Las administradoras deberán cumplir con los requisitos previstos en los incisos segundo y tercero del artículo 2.6.11.1.2 del presente decreto antes del 1o de enero de 2011.
3. A partir del 1o de enero de 2011 los afiliados no pensionados de los fondos de pensiones obligatorias podrán elegir uno de los tres (3) tipos de fondos de la etapa de acumulación. Las solicitudes de elección de tipo de fondo recibidas entre el 1o de enero de 2011 y el 28 de febrero de 2011 se cumplirán a más tardar el día 22 de marzo de 2011.
Para aquellos afiliados no pensionados que no hayan elegido tipo de fondo antes del 1o de marzo de 2011 las administradoras aplicarán lo previsto en el artículo 2.6.11.1.5.
4. <Numeral modificado por el artículo 1 del Decreto 574 de 2011. El nuevo texto es el siguiente:> El día 22 de marzo de 2011 entrarán en funcionamiento el Fondo Conservador, el Fondo de Mayor Riesgo y el Fondo Especial de Retiro Programado. Para efectos de lo dispuesto en los numerales 3 y 4 de este artículo, la Superintendencia Financiera de Colombia impartirá las instrucciones sobre las condiciones y el procedimiento a seguir para la distribución de los títulos entre los diferentes tipos de fondos.
RÉGIMEN DE INVERSIÓN DE LOS FONDOS DE PENSIONES OBLIGATORIAS Y DE CESANTÍA.
ARTÍCULO 2.6.12.1.1. CARACTERÍSTICAS DEL RÉGIMEN DE INVERSIÓN DE LOS TIPOS DE FONDOS DE PENSIONES OBLIGATORIAS. <Artículo modificado por el artículo 1 del Decreto 857 de 2011. El nuevo texto es el siguiente:> Los tipos de fondos de pensiones obligatorias tendrán las siguientes características:
Fondo Conservador: Tipo de fondo que a través de la gestión eficiente de sus recursos por parte de la AFP procura el mejor retorno posible al final del periodo de acumulación de aportes con baja exposición al riesgo.
Fondo Moderado: Tipo de fondo que a través de la gestión eficiente de sus recursos por parte de la AFP procura el mejor retorno posible al final del periodo de acumulación de aportes con moderada exposición al riesgo.
Fondo de Mayor Riesgo: Tipo de fondo que a través de la gestión eficiente de sus recursos por parte de la AFP procura el mejor retorno posible al final del periodo de acumulación de aportes con mayor exposición al riesgo.
Fondo Especial de Retiro Programado: Tipo de fondo con el cual se busca una administración orientada al pago de las pensiones.
ARTÍCULO 2.6.12.1.2. INVERSIONES ADMISIBLES. <Artículo modificado por el artículo 1 del Decreto 857 de 2011. El nuevo texto es el siguiente:> Con el propósito de que los recursos de los diferentes tipos de fondos de pensiones obligatorias en el régimen de ahorro individual con solidaridad y los recursos de los fondos de cesantía y sus portafolios de corto y largo plazo, se encuentren respaldados por activos que cuenten con la requerida seguridad, rentabilidad y liquidez, las AFP deben invertir dichos recursos en las condiciones y con sujeción a los límites que se establecen en los Títulos 12 y 13 del Libro 6 de la Parte 2 del presente decreto.
De acuerdo con lo anterior, los recursos de los diferentes tipos de fondos de pensiones obligatorias y los portafolios de los fondos de cesantía se pueden invertir en los activos que se señalan a continuación:
1. Títulos, valores o participaciones de emisores nacionales:
1.1 Títulos de deuda pública.
1.1.1 Títulos de deuda pública interna y externa, emitidos o garantizados por la Nación.
1.1.2 Otros títulos de deuda pública.
1.2 Títulos de deuda cuyo emisor, garante o aceptante sea una entidad vigilada por la Superintendencia Financiera de Colombia, incluyendo al Fondo de Garantías de Instituciones Financieras (Fogafín) y al Fondo de Garantías de Entidades Cooperativas (Fogacoop).
1.3 Bonos y títulos hipotecarios, Ley 546 de 1999, y otros títulos de contenido crediticio derivados de procesos de titularización de cartera hipotecaria.
1.4 Títulos de contenido crediticio derivados de procesos de titularización cuyos activos subyacentes sean distintos a cartera hipotecaria.
1.5 Títulos del Banco de la República.
1.6 Títulos de deuda cuyo emisor o garante sea una entidad no vigilada por la Superintendencia Financiera de Colombia.
1.7 <Subnumeral modificado por el artículo 1 del Decreto 765 de 2016. El nuevo texto es el siguiente:> Participaciones en fondos de inversión colectiva abiertos sin pacto de permanencia y/o en fondos bursátiles de que trata la Parte 3 del presente decreto, cuya política de inversión no considere como activos admisibles títulos y/o valores participativos. Se excluyen los fondos de inversión colectiva apalancados de que trata el Capítulo 5 del Título 1 del Libro 1 de la Parte 3 del presente decreto.
1.8 <Subnumeral modificado por el artículo 1 del Decreto 765 de 2016. El nuevo texto es el siguiente:> Participaciones en fondos de inversión colectiva abiertos con pacto de permanencia y/o cerrados de que trata la Parte 3 del presente decreto, cuya política de inversión no considere como activos admisibles títulos y/o valores participativos. Se excluyen los fondos de inversión colectiva apalancados de que trata el Capítulo 5 del Título 1 del Libro 1 de la Parte 3 del presente decreto.
1.9 Títulos y/o valores participativos.
1.9.1 Acciones de alta y media bursatilidad, certificados de depósitos negociables representativos de dichas acciones (ADR y GDR) y acciones provenientes de procesos de privatización o con ocasión de la capitalización de entidades donde el Estado tenga participación.
1.9.2 Acciones de baja y mínima bursatilidad o certificados de depósitos negociables representativos de dichas acciones (ADR y GDR).
1.9.3 <Subnumeral modificado por el artículo 1 del Decreto 765 de 2016. El nuevo texto es el siguiente:> Participaciones en fondos de inversión colectiva abiertos sin pacto de permanencia y en fondos bursátiles de que trata la Parte 3 del presente decreto, cuya política de inversión considere como activos admisibles los títulos y/o valores participativos. Se excluyen los fondos de inversión colectiva apalancados de que trata el Capítulo 5 del Título 1 del Libro 1 de la Parte 3 del presente decreto.
1.9.4 <Subnumeral modificado por el artículo 1 del Decreto 765 de 2016. El nuevo texto es el siguiente:> Participaciones en fondos de inversión colectiva abiertos con pacto de permanencia o cerrados de que trata la Parte 3 del presente decreto, cuya política de inversión considere como activos admisibles los títulos y/o valores participativos. Se excluyen los fondos de inversión colectiva apalancados de que trata el Capítulo 5 del Título 1 del Libro 1 de la Parte 3 del presente decreto.
1.9.5 Títulos participativos o mixtos derivados de procesos de titularización cuyos activos subyacentes sean distintos a cartera hipotecaria.
1.10 Inversiones en fondos de capital privado que tengan por finalidad: <Numeral modificado por el artículo 1 del Decreto 1393 de 2020. El nuevo texto es el siguiente:>
1.10 Inversiones en fondos de capital privado que tengan por finalidad:
1. Invertir en empresas o proyectos productivos en los términos previstos en la Parte 3 del presente decreto o demás normas que lo modifiquen o sustituyan, incluidos los fondos que invierten en fondos de capital privado, conocidos como “fondos de fondos” y los fondos de capital privado inmobiliarios;
2. Invertir en títulos, derechos económicos o instrumentos representativos de deuda, en los términos previstos en la Parte 3 de este decreto, conocidos como “fondos de deuda privada”, incluidos los fondos que inviertan en fondos de deuda privada.
Las AFP podrán adquirir compromisos para participar o entregar dinero, sujetos a plazo o condición, para realizar la inversión prevista en este numeral.
Considerando la naturaleza de los fondos de capital privado, la AFP debe tener a disposición de la Superintendencia Financiera de Colombia: 1. los criterios de inversión y riesgo que se tuvieron en cuenta para realizar la inversión y las evaluaciones de la relación riesgo-retorno de los mismos frente a los resultados esperados; y 2. la documentación relacionada con la inversión o su participación. La obligación aquí prevista deberá estar incluida dentro de sus políticas de inversión.
La Sociedad Administradora del fondo de capital privado o el Gestor Profesional, en caso de que exista, deberá tener a disposición de sus inversionistas toda la información relevante acerca de la constitución de los portafolios de inversión, la valoración de los activos subyacentes y los elementos que permitan conocer, identificar y valorar, entre otras, cada una de sus inversiones. De acuerdo con lo anterior, la política de inversión de los fondos de capital privado deberá estar definida de manera previa y clara en su reglamento, deberá contemplar el plan de inversiones, indicando el tipo de activos subyacentes y los criterios para su selección. Adicionalmente, el reglamento deberá establecer el tipo de inversionistas permitidos en el fondo de capital privado.
Al momento de realizar la inversión y durante la vigencia de la misma, la AFP deberá verificar que el gerente del fondo de capital privado cuando haga las veces de gestor profesional, o el gestor profesional, según sea el caso, acredite por lo menos cinco (5) años en la administración o gestión del (los) activo(s) subyacente(s) del fondo, dentro o fuera de Colombia. Tratándose de fondos de capital privado que cuenten con un gestor profesional que sea una persona jurídica, dicha experiencia también podrá ser acreditada por su representante legal o su matriz. En el caso de los fondos subyacentes en los denominados “fondos de fondos”, para dichos fondos subyacentes será igualmente exigible el requisito de experiencia del gerente o del gestor.
Cuando los fondos de capital privado inviertan en activos, participaciones o títulos cuyo emisor, aceptante, garante o propietario sea la AFP o las entidades que conforman su mismo conglomerado financiero, las inversiones que realice la AFP en estos fondos de capital privado deberán ser aprobadas por la Junta Directiva de la AFP y dar cumplimiento a lo contenido en los artículos 2.39.3.1.4 y 2.39.3.1.5 del presente decreto. Igualmente, las exposiciones de las que trata el presente inciso con las entidades que conforman el mismo conglomerado financiero de cada AFP computarán para el cálculo del límite definido en el artículo 2.39.3.1.6 del presente decreto. Así mismo, la Junta Directiva de la AFP al momento de aprobar la inversión de la que trata el presente inciso, y durante la vigencia de la misma, deberá validar, teniendo en cuenta los análisis y consideraciones del Comité de Riesgos y el Comité de Inversiones, que:
i. El gerente del fondo de capital privado cuando haga las veces de gestor profesional, o el gestor profesional, según sea el caso, y los miembros del comité de inversiones tengan la calidad de independientes respecto de la AFP y las entidades que conforman su mismo conglomerado financiero, conforme a lo previsto en el parágrafo segundo del artículo 44 de la Ley 964 de 2005. En los casos en los que el gestor profesional sea una persona jurídica, el mismo no deberá ser vinculado a la AFP, aplicando la definición contenida en el artículo 2.6.12.1.15 del presente decreto.
ii. La suma de las participaciones de los fondos administrados por la AFP, de la AFP y· de sus vinculados, sea menor al cincuenta por ciento (50%) del valor del patrimonio del fondo de capital privado. Para la aplicación de este límite deberá tenerse en cuenta la definición de vinculado contenida en el artículo 2.6.12.1.15 del presente decreto y entenderse como patrimonio del fondo de capital privado el valor total de los compromisos de capital y los aportes al mismo.
Cuando se trate de fondos de capital privado que destinen al menos dos terceras partes (2/3) de los aportes de sus inversionistas a invertir o financiar proyectos de infraestructura, y estos proyectos se estructuren bajo un esquema diferente a las Asociaciones Público Privadas (APP) descrito en la Ley 1508 de 2012, la AFP deberá verificar que este tipo de proyectos cumplen las siguientes condiciones:
a) Que participen en la financiación del proyecto de infraestructura establecimientos de crédito, entidades multilaterales de crédito y/o entidades de crédito internacionales sometidos a vigilancia comprensiva y consolidada por parte de una jurisdicción que sea miembro del Comité de Supervisión Bancaria de Basilea.
b) La estructuración financiera del proyecto de infraestructura haya sido llevada a cabo por parte de entidades y equipos que cumplen los criterios de idoneidad, experiencia relacionada y proporcional a la naturaleza y el monto de la inversión y trayectoria que se definen explícitamente en la Política de inversión de la AFP.
La Sociedad Administradora del fondo de capital privado deberá verificar que se dé cumplimiento a lo dispuesto en los literales i), ii), a) y b) antes citados, informarlo al comité de vigilancia del fondo de capital privado para el cumplimiento de sus funciones y mantener dicha verificación a disposición de la Superintendencia Financiera de Colombia.
1.11 <Subnumeral adicionado por el artículo 2 del Decreto 765 de 2016. El nuevo texto es el siguiente:> Participaciones en fondos de inversión colectiva inmobiliarios de que trata el Libro 5 de la Parte 3 del Decreto 2555 de 2010, títulos de contenido crediticio, participativos o mixtos derivados de procesos de titularización cuyos activos subyacentes sean de naturaleza inmobiliaria, y participaciones en fondos bursátiles cuyo índice se haya construido a partir de precios de commodities o divisas.
2. Títulos, valores o participaciones de emisores del exterior.
2.1 Títulos de deuda emitidos o garantizados por gobiernos extranjeros o bancos centrales extranjeros.
2.2 Títulos de deuda cuyo emisor, garante, aceptante u originador de una titularización sean bancos del exterior, comerciales o de inversión.
2.3 Títulos de deuda cuyo emisor, garante u originador de una titularización sean entidades del exterior diferentes a bancos.
2.4 Títulos de deuda emitidos o garantizados por organismos multilaterales de crédito.
2.5 <Subnumeral modificado por el artículo 3 del Decreto 765 de 2016. El nuevo texto es el siguiente:> Participaciones en fondos representativos de índices de renta fija, incluidos los ETFs (por sus siglas en inglés Exchange Traded Funds) cuyo índice se haya construido a partir de instrumentos de renta fija, participaciones en fondos mutuos o de inversión internacionales (mutual funds) o esquemas de inversión colectiva que tengan estándares de regulación y supervisión equivalentes a los de estos, que tengan por objetivo principal invertir en títulos de deuda.
2.6 Títulos y/o valores participativos.
2.6.1 <Subnumeral modificado por el artículo 3 del Decreto 765 de 2016. El nuevo texto es el siguiente:> Participaciones en fondos representativos de índices de acciones, incluidos los ETFs (por sus siglas en inglés Exchange Traded Funds) cuyo índice se haya construido a partir de acciones, participaciones en fondos mutuos o de inversión internacionales (mutual funds) o esquemas de inversión colectiva que tengan estándares de regulación y supervisión equivalentes a los de estos, que tengan por objetivo principal invertir en acciones o sean balanceados, entendiendo por estos últimos aquellos que invierten en acciones y en títulos de deuda, sin que tenga como objeto principal la inversión en alguno de estos tipos de activos.
2.6.2 Acciones emitidas por entidades del exterior o certificados de depósitos negociables representativos de dichas acciones (ADR y GDR).
2.7 <Inciso modificado por el artículo 1 del Decreto 1393 de 2020. El nuevo texto es el siguiente:> Participaciones en fondos de capital privado constituidos en el exterior, incluidos los fondos que invierten en fondos de capital privado, conocidos como “fondos de fondos”, los fondos de deuda privada y los fondos de capital privado inmobiliarios. Las AFP podrán adquirir compromisos para participar o entregar dinero, sujetos a plazo o condición, para realizar la inversión prevista en este numeral.
Las AFP podrán adquirir compromisos para participar o entregar dinero, sujetos a plazo o condición, para realizar la inversión prevista en este numeral.
Para todos los efectos, se debe entender como fondos de capital privado constituidos en el exterior, aquellos fondos creados por fuera de Colombia que, de conformidad con la regulación aplicable en su domicilio se consideren o tengan la naturaleza de fondos de capital privado, independientemente de la denominación, de la forma organizacional, legal o corporativa que dichos fondos asuman según la ley en su jurisdicción y de los instrumentos de inversión subyacentes en que estos inviertan. Cuando no haya regulación aplicable, en el prospecto o reglamento del fondo objeto de inversión deberá informarse que se trata de esta clase de inversión o, en su defecto, podrá acreditarse que se trata de un fondo de capital privado por medio de una certificación expedida por su administrador o gestor.
Considerando la naturaleza de estos fondos, la AFP debe tener a disposición de la Superintendencia Financiera de Colombia:
i) Los criterios de inversión y riesgo que se tuvieron en cuenta para realizar la inversión y las evaluaciones de la relación riesgo-retorno de los mismos frente a los resultados esperados, y
ii) La documentación relacionada con la inversión o su participación. La obligación aquí prevista deberá estar incluida dentro de sus políticas de inversión.
Así mismo, al momento de realizar la inversión y durante la vigencia de la misma, la AFP deberá verificar el cumplimiento de los siguientes requisitos:
a) Las entidades que tengan responsabilidad por la administración y gestión del fondo de capital privado o sus matrices deberán estar constituidas en una jurisdicción con grado de inversión según las escalas de calificación de una sociedad calificadora reconocida internacionalmente.
b) <Literal modificado por el artículo 3 del Decreto 765 de 2016. El nuevo texto es el siguiente:> La entidad administradora del fondo de capital privado, el gestor profesional o la matriz del gestor profesional acrediten un mínimo de mil millones de dólares (US$1.000 millones) en inversiones o activos administrados que puedan catalogarse como de capital privado.
c) El gestor del fondo, ya sea persona jurídica o persona natural, deberá acreditar por lo menos cinco (5) años de operación en la administración o gestión del (los) activo(s) subyacente(s) del fondo. Tratándose de fondos de capital privado que cuenten con un gestor profesional que sea una persona jurídica, dicha experiencia podrá ser acreditada por su representante legal o quien haga sus veces. En el caso de los fondos subyacentes en los denominados “fondos de fondos”, para dichos fondos subyacentes será igualmente exigible el requisito de experiencia del gestor.
d) En el prospecto o reglamento del fondo se debe especificar claramente los objetivos del mismo, sus políticas de inversión y de administración de riesgos, así como el funcionamiento de los órganos de control y de gobierno.
e) La sociedad administradora o el gestor profesional del fondo tienen la obligación de tener a disposición de los inversionistas toda la información relevante acerca de la constitución de los portafolios de inversión y los elementos que permitan conocer, identificar y valorar, entre otras, cada una de sus inversiones.
Los requisitos y condiciones establecidas en los literales a), b), c) y e) anteriores pueden acreditarse a través del reglamento o prospecto del fondo de capital privado o por medio de carta o certificación expedida por la sociedad administradora del fondo de capital privado o el gestor profesional según corresponda.
2.8 <Subnumeral adicionado por el artículo 4 del Decreto 765 de 2016. El nuevo texto es el siguiente:> Participaciones en fondos representativos de índices de commodities o divisas, incluidos los ETFs (por sus siglas en inglés Exchange Traded Funds) cuyo índice se haya construido a partir de precios de commodities o divisas, o esquemas de inversión colectiva que tengan estándares de regulación y supervisión equivalentes a los de estos, que en su prospecto o reglamento tengan por objeto principal invertir en commodities o divisas.
2.9 <Subnumeral adicionado por el artículo 4 del Decreto 765 de 2016. El nuevo texto es el siguiente:> Participaciones en Hedge Funds o esquemas de inversión colectiva que tengan estándares de regulación y supervisión equivalentes a los de estos.
2.10 <Subnumeral adicionado por el artículo 4 del Decreto 765 de 2016. El nuevo texto es el siguiente:> Participaciones en fondos o esquemas de inversión colectiva que en su prospecto o reglamento tengan por objeto principal invertir en activos de naturaleza inmobiliaria incluidos los REITS (por sus siglas en inglés Real Estate Investment Trust).
3. Otras inversiones y operaciones
3.1 Depósitos a la vista en establecimientos de crédito nacionales, incluyendo las sucursales de establecimientos de crédito nacionales en el exterior.
3.2. Depósitos remunerados en el Banco de la República.
3.3 Depósitos a la vista en bancos del exterior.
3.4 Operaciones de reporto o repo activas y operaciones simultáneas activas.
3.4.1 Operaciones de reporto o repo activas y operaciones simultáneas activas de que trata el Título 3 del Libro 36 de la Parte 2 del presente decreto o demás normas que lo modifiquen o sustituyan, sobre inversiones admisibles. En ningún momento se pueden realizar estas operaciones con las filiales o subsidiarias de la AFP, su matriz o las filiales o subsidiarias de esta.
Las inversiones que reciban el fondo de pensiones y el fondo de cesantía en desarrollo de estas operaciones computarán por el valor entregado a la contraparte para efectos del cumplimiento de todos los límites de que trata el Título 12 del Libro 6 de la Parte 2 del presente decreto. Los señalados valores no podrán ser transferidos de forma temporal o definitiva a un tercero durante el plazo de la operación y sólo podrán ser transferidos para cumplir la operación.
3.4.2 Operaciones de reporto o repo activas y operaciones simultáneas activas celebradas a través de sistemas de negociación de valores de la Bolsa Mercantil de Colombia sobre Certificados de Depósito de Mercancías (CDM).
3.5 Operaciones con instrumentos financieros derivados con fines de cobertura y con fines de inversión. Para el efecto se tendrá en cuenta la definición prevista por la Superintendencia Financiera de Colombia.
3.5.1 Instrumentos financieros derivados con fines de cobertura.
Estas operaciones deberán cumplir con los requisitos de documentación y de efectividad de la cobertura que señale la Superintendencia Financiera de Colombia para los instrumentos financieros derivados, sin importar que las posiciones primarias objeto de cobertura formen parte del 'Libro de Tesorería'.
Los límites de estas operaciones los podrán establecer las AFP en las respectivas políticas de inversión, debidamente aprobadas por su Junta Directiva. Las AFP podrán cerrar una posición de un instrumento financiero derivado con fines de cobertura, siempre que los contratos se realicen sobre el mismo activo objeto de cobertura y su vencimiento sea igual o se encuentre dentro de los treinta (30) días calendario anteriores a la fecha de cumplimiento de la posición que se cierra.
En las políticas de inversión se establecerán las condiciones que deben reunir las contrapartes para poder negociar instrumentos financieros derivados con fines de cobertura, indicando para el efecto criterios de selección de las mismas, tales como su solvencia, volumen y tipo de instrumentos a negociar con cada una de ellas, experiencia exigida y sistemas de control de riesgos y seguimiento de los mismos, entre otros. También se podrán negociar instrumentos financieros derivados con fines de cobertura cuya compensación y liquidación se realice a través de las cámaras de riesgo central de contraparte tanto locales, autorizadas por la Superintendencia Financiera de Colombia, como extranjeras señaladas por la citada Superintendencia, evento en el cual los requisitos previstos en este párrafo no serán exigibles.
En ningún momento se pueden negociar instrumentos financieros derivados con fines de cobertura en el mercado mostrador con entidades vinculadas a la respectiva AFP, teniendo en cuenta para el efecto, el término de vinculado descrito en el artículo 2.6.12.1.15 del presente decreto.
La suma de las posiciones de cobertura de moneda extranjera, medida en términos netos, mediante tales instrumentos, no podrá exceder el valor de mercado de las inversiones del fondo denominadas en moneda extranjera. Para el efecto, se entiende por términos netos:
a) Tratándose de contratos de futuros y forward, la diferencia, que en ningún caso podrá ser negativa, entre el valor nominal, en moneda extranjera, de las divisas vendidas producto de la negociación de instrumentos financieros derivados con fines de cobertura y el valor nominal, en moneda extranjera, de las divisas compradas producto de la negociación de instrumentos financieros derivados con el objeto de cerrar la posición en un instrumento financiero derivado con fines de cobertura.
b) En el caso de los contratos de opciones, la diferencia, que en ningún caso podrá ser negativa, entre la suma de las divisas que se tiene derecho a vender y la suma de las divisas respecto de las cuales se tiene la obligación de comprar.
Las AFP con los recursos de los fondos de pensiones obligatorias y de los fondos de cesantía podrán adquirir instrumentos financieros derivados de crédito, siempre que su finalidad sea exclusivamente de cobertura y cumplan con lo dispuesto por la normatividad que expida la Junta Directiva del Banco de la República y las instrucciones impartidas por la Superintendencia Financiera de Colombia.
3.5.2 Instrumentos financieros derivados con fines de inversión.
<Párrafo modificado por el artículo 5 del Decreto 765 de 2016. El nuevo texto es el siguiente:> Con los recursos de los fondos de pensiones obligatorias y de cesantías se podrán negociar instrumentos financieros derivados con fines de inversión, cuyos activos subyacentes correspondan a las inversiones descritas en los numerales 1 y 2 del presente artículo, así como las divisas, índices de renta fija o de renta variable, siempre que cumplan las siguientes condiciones:
a) Su compensación y liquidación se realice a través de las cámaras de riesgo central de contraparte que establezca la Superintendencia Financiera de Colombia.
b) Los instrumentos derivados cuenten con información de precios en los sistemas definidos por la Superintendencia Financiera de Colombia.
c) En los tipos de fondos de pensiones obligatorias conservador y moderado, y en el portafolio de largo plazo de los fondos de cesantía, se mantenga durante la vigencia del contrato en depósitos a la vista en establecimientos de crédito de no vinculados a la AFP, un valor equivalente a la diferencia entre el precio fijado en el contrato y las garantías que se hayan constituido en el correspondiente administrador de garantías. Para el efecto se entenderá por vinculado la persona que se encuentre en los supuestos del artículo 2.6.12.1.15 del presente decreto.
d) El requisito descrito en el literal anterior no será exigible para los siguientes casos:
i) Compra de opciones de compra o de venta (Call o Put); y
ii) Estrategias que combinen la compra de opciones de compra o de venta y de otro(s) instrumento(s) financiero(s) derivado(s) básico(s), siempre que todos los instrumentos que involucre la estrategia tengan el mismo subyacente y vencimiento.
Sin perjuicio de lo anterior, las AFP podrán vender opciones de compra o de venta (Call o Put), solamente con el fin de cerrar una operación de compra de opciones con idéntico subyacente y vencimiento, relacionadas en el anterior ordinal i).
e) En todo caso, con los recursos de los fondos de pensiones obligatorias y de cesantía no se podrán tomar posiciones netas vendedoras, en este tipo de instrumentos.
3.5.3 Las AFP deberán remitir a la Superintendencia Financiera de Colombia, dentro de los últimos diez (10) días de cada mes los estudios sobre los planes de cobertura y los instrumentos financieros derivados con fines de inversión a negociar durante el siguiente mes, debiendo informar y justificar cualquier modificación a los mismos a más tardar el día hábil siguiente a la fecha de su celebración.
3.5.4 No obstante lo descrito en los subnumerales anteriores, la Superintendencia Financiera de Colombia podrá establecer, mediante instrucciones de carácter general, requisitos adicionales a los ya señalados.
3.5.5 La negociación de instrumentos financieros derivados que involucre riesgo cambiario está sujeta a la normatividad que expida la Junta Directiva del Banco de la República.
3.6 Productos estructurados de capital protegido, es decir, aquellos en los que se garantice el ciento por ciento (100%) del capital invertido, de emisores nacionales o del exterior, en los cuales el emisor asuma la obligación de cumplir con las condiciones contractuales del producto, en la moneda en que este se encuentre denominado y el pago del rendimiento acordado si a ello hubiere lugar. Los productos estructurados deben cumplir con alguna de las siguientes características:
a) Productos estructurados no separables en los que la protección del capital consiste en la obligación directa de su pago por parte de su emisor;
b) Productos estructurados separables en los que el componente no derivado que protege el capital corresponde a un título de deuda considerado como inversión admisible, y
c) Productos estructurados separables en los que el capital se protege con la capacidad de endeudamiento del emisor del componente no derivado.
En todo caso, las AFP podrán adquirir productos estructurados de emisores extranjeros, que involucren instrumentos financieros derivados de crédito, siempre que dicho derivado genere una cobertura de riesgo de crédito para las inversiones que hacen parte de los fondos de pensiones obligatorias y de cesantía y, así mismo, cumplan las instrucciones impartidas por la Superintendencia Financiera de Colombia.
Para el efecto, será aplicable la definición de producto estructurado establecida por la Superintendencia Financiera de Colombia.
3.7 Operaciones de transferencia temporal de valores de que trata el Título 3 del Libro 36 de la Parte 2 del presente decreto o demás normas que lo modifiquen o sustituyan, siempre que los fondos de pensiones obligatorias y de cesantía actúen como originadores en las mismas. En todo caso, en desarrollo de dichas operaciones, los fondos de pensiones obligatorias y de cesantía sólo podrán recibir valores previstos en su régimen de inversiones admisibles. Dichos valores no podrán ser transferidos de forma temporal o definitiva, sino sólo para cumplir la respectiva operación. Así mismo, en los casos en que los fondos de pensiones obligatorias y de cesantía reciban recursos dinerarios, estos deberán permanecer en depósitos a la vista en establecimientos de crédito. En ningún caso, tales depósitos podrán constituirse en la matriz de la AFP o en las filiales o subsidiarias de aquella.
Las inversiones que entreguen los fondos de pensiones obligatorias y de cesantía a la contraparte en desarrollo de estas operaciones computarán para efectos del cumplimiento de todos los límites de que trata el Título 12 del Libro 6 de la Parte 2 del presente decreto.
PARÁGRAFO. Condiciones aplicables a las inversiones previstas en el presente artículo.
1. No serán admisibles aquellas inversiones descritas en este artículo, en las cuales el emisor establezca que las podrá cancelar con la entrega de títulos de emisores que entren en incumplimiento de pago de su deuda. Tratándose de productos estructurados, esta prohibición aplica respecto de la inversión con la que se protege el capital.
2. Cuando los instrumentos descritos en los subnumerales 1.7, 1.8, 1.9.3 y 1.9.4 cuenten con inversiones en títulos o valores de emisores del exterior, las mismas deben corresponder a las inversiones descritas en el numeral 2 del artículo 2.6.12.1.2 del presente decreto.
3. Para determinar la bursatilidad a la que se refieren los subnumerales 1.9.1 y 1.9.2 se tendrán en cuenta las categorías que para tal efecto defina la Superintendencia Financiera de Colombia.
4. <Numeral modificado por el artículo 2 del Decreto 1351 de 2019. El nuevo texto es el siguiente:> Las AFP con los recursos de los fondos de pensiones obligatorias y de cesantía no podrán realizar operaciones repo y simultáneas en el mercado mostrador (OTC). Para efectuar estas operaciones deberá participar en sistemas transaccionales, siempre que éstos sean administrados por entidades vigiladas por la Superintendencia Financiera de Colombia.
Las operaciones de transferencia temporal de valores podrán realizarse en el mercado mostrador y en sistemas transaccionales administrados por entidades vigiladas por la Superintendencia Financiera de Colombia.
5. Los títulos derivados de procesos de titularización de que tratan los subnumerales 1.3, 1.4 y 1.9.5 del presente artículo deben haber sido emitidos en desarrollo de procesos de titularización autorizados por la Superintendencia Financiera de Colombia.
6. Los bonos obligatoria u opcionalmente convertibles en acciones se considerarán como títulos de deuda, en tanto no se hayan convertido en acciones.
7. <Ordinal derogado por el artículo 23 del Decreto 765 de 2016>
PARÁGRAFO 2o. <Parágrafo adicionado por el artículo 6 del Decreto 765 de 2016. El nuevo texto es el siguiente:> Las políticas de inversión de cada tipo de fondo o portafolio de cesantías deberán contener los lineamientos que las inversiones descritas en los subnumerales 2.5, 2.6.1, 2.8, 2.9 y 2.10 deberán cumplir para ser admisibles, las cuales como mínimo serán las siguientes condiciones:
1. La calificación de la deuda soberana del país donde esté constituida la administradora del fondo y la bolsa o el mercado en el que se transan las cuotas o participaciones, en el evento en que se transen, deberá corresponder a grado de inversión otorgada por una sociedad calificadora reconocida internacionalmente.
2. La sociedad administradora del fondo y el fondo deben estar registrados y fiscalizados o supervisados por los organismos reguladores/supervisores pertinentes de los países en los cuales se encuentren constituidos.
3. La sociedad administradora del fondo o su matriz debe acreditar un mínimo de diez mil millones de dólares (USD $10.000 millones) en activos administrados por cuenta de terceros y un mínimo de cinco (5) años de experiencia en la gestión de los activos administrados.
4. Se deberá verificar al momento de la inversión que el fondo cuente por lo menos con un monto mínimo de cincuenta millones de dólares (USD $50 millones) en activos, excluido el valor de los aportes efectuados por la AFP y sus entidades vinculadas.
5. En el prospecto o reglamento del fondo se debe especificar claramente el o los objetivos del mismo, sus políticas de inversión y administración de riesgos, los periodos de inversión y/o desinversión si aplica, la estrategia de inversión del fondo, metodologías de medición de riesgos, metodologías de valoración empleadas, así como los mecanismos de custodia de títulos.
6. Cuando algún partícipe o adherente del fondo tenga una concentración superior al diez por ciento (10%) del valor del mismo, la sociedad administradora de dicho fondo deberá informar sobre la identidad de estos sujetos y la cuantía de dichas participaciones.
7. Tratándose de participaciones en fondos representativos de índices de commodities, de acciones, de renta fija, incluidos los ETFs, los índices deben corresponder a aquellos elaborados por bolsas de valores o entidades del exterior con una experiencia no inferior a diez (10) años en esta materia, que sean internacionalmente reconocidas a juicio de la Superintendencia Financiera de Colombia, y fiscalizadas o supervisadas por los organismos reguladores/supervisores pertinentes de los países en los cuales se encuentren constituidas. Las bolsas y entidades reconocidas de que trata este literal serán divulgadas a través de la página web de la Superintendencia Financiera de Colombia.
8. El valor de rescate de la cuota o unidad debe ser difundido mediante sistemas públicos de información financiera de carácter internacional.
9. La sociedad administradora del fondo deberá contar con procedimientos y/o políticas para administrar los potenciales conflictos de interés y los mecanismos de resolución de los mismos.
10. La sociedad administradora del fondo deberá contar con políticas que permitan identificar de manera clara los costos, comisiones y gastos que genera la administración del fondo.
11. Para el caso de las inversiones descritas en los subnumerales 2.8, 2.9 y 2.10, además de las condiciones descritas en el presente parágrafo deberán cumplir con las siguientes:
a) Las funciones de asesoría de inversión realizadas por la sociedad administradora del fondo deben estar claramente definidas, específicamente delegadas y materializadas a través de un contrato específico de acuerdo con los estándares del mercado.
b) La sociedad administradora del fondo deberá elaborar informes relacionados con el estado de estas inversiones, el cual deberá ser remitido a los inversionistas y la Superintendencia Financiera de Colombia por lo menos semestralmente por parte de la AFP.
c) Se deberá verificar al momento de la inversión que el fondo cuente por lo menos con un monto mínimo de cien millones de dólares (USD $100 millones) en activos.
d) El fondo deberá contar con estados financieros auditados anualmente por sociedades auditoras independientes de reconocida experiencia.
La AFP deberá contar con los soportes que le permitan verificar a la Superintendencia Financiera de Colombia, cuando esta lo requiera, que las condiciones descritas en el presente numeral se cumplen.
La Superintendencia Financiera de Colombia, a través de instrucciones de carácter general, podrá solicitar criterios o condiciones adicionales que deberán ser acreditados por las inversiones descritas en el presente parágrafo.
ARTÍCULO 2.6.12.1.3. REQUISITOS DE CALIFICACIÓN PARA LAS INVERSIONES ADMISIBLES. <Artículo modificado por el artículo 1 del Decreto 857 de 2011. El nuevo texto es el siguiente:> La inversión en los activos señalados en el artículo 2.6.12.1.2 del presente decreto estará sujeta a los siguientes requisitos de calificación:
1. <Numeral modificado por el artículo 2 del Decreto 1385 de 2015. El nuevo texto es el siguiente:>
<Inciso modificado por el artículo 2 del Decreto 1393 de 2020. El nuevo texto es el siguiente:> Las inversiones descritas en los subnumerales 1.1.2, 1.2, 1.3, 1.4, 1.6, 1.7, 1.8, 1.9.3, 1.9.4 y 1.9.5 del artículo 2.6.12.1.2 del presente decreto, de emisores nacionales, solo pueden realizarse cuando estén calificadas por sociedades calificadoras de riesgos autorizadas por la Superintendencia Financiera de Colombia y cuenten con una calificación de grado de inversión, exceptuando aquellos emitidos por Fogafín, Fogacoop, o los valores emitidos en el segundo mercado.
En el caso de emisiones de títulos de los que trata el primer inciso del presente numeral, emitidos en el exterior, serán admisibles cuando cuenten con una calificación que no sea inferior a grado de inversión otorgada por una sociedad calificadora reconocida internacionalmente. Cuando la calificación de la deuda pública externa de Colombia esté por debajo de grado de inversión, las emisiones serán admisibles cuando cuenten con una calificación no inferior a la calificación de mayor riesgo asignada a la deuda pública externa de Colombia. También se considerarán admisibles en los casos en los que estas emisiones cuenten con una calificación que no sea inferior a grado de inversión, otorgada por una sociedad calificadora de riesgos autorizadas por la Superintendencia Financiera de Colombia.
En el evento en que para la emisión haya calificaciones emitidas por más de una sociedad calificadora, dentro de la misma escala bien sea internacional o nacional, para la admisibilidad de dicha emisión se deberá tener en cuenta la calificación de menor nivel de riesgo.
La inversión en Certificados de Depósito a Término (CDT), o en Certificados de Depósito de Ahorro a Término (CDAT), requiere la previa calificación de grado de inversión de la capacidad de pago a corto y largo plazo de la entidad financiera emisora de los títulos.
Así mismo, la inversión en depósitos a la vista en establecimientos de crédito descrita en el subnumeral 3.1 del artículo 2.6.12.1.2 del presente decreto requiere de la previa calificación de grado de inversión de la capacidad de pago a corto plazo de la entidad financiera receptora de depósitos, con excepción de aquellos realizados en el Banco de la República.
<Inciso modificado por el artículo 2 del Decreto 1393 de 2020. El nuevo texto es el siguiente:> El valor de la inversión indirecta que realiza la AFP en los títulos representativos de deuda de emisores del exterior en que pueden invertir los fondos de inversión colectiva descritos en los subnumerales 1.7, 1.8, 1.9.3, 1.9.4 del artículo 2.6.12.1.2 del presente decreto, que no cuenten con el requisito de calificación; deberán ser tenidos en cuenta para el cómputo de los límites en inversiones restringidas según el artículo 2.6.12.1.25 del presente decreto. Para efectos del cómputo de los límites en inversiones restringidas la AFP deberá tomar la máxima exposición permitida en este tipo de inversiones, según la política de inversión establecida en el reglamento del fondo de inversión colectiva. En todo caso, la AFP podrá implementar mecanismos para determinar la exposición real del fondo de inversión colectiva a las inversiones consideradas como restringidas, en cuyo caso el cómputo deberá hacerse con base en este mecanismo, para el cual la Superintendencia Financiera de Colombia establecerá los criterios que debe cumplir este tipo de mecanismos.
No obstante lo anterior, los títulos descritos en el subnumeral 1.2 del artículo 2.6.12.1.2 del presente decreto, emitidos por entidades vigiladas por la entonces Superintendencia Bancaria de Colombia con anterioridad al 1o de enero del año 2000 que no cuenten con una calificación de grado de inversión podrán mantenerse hasta su enajenación o redención en el respectivo fondo o portafolio.
2. Las inversiones descritas en los subnumerales 2.1, 2.2, 2.3, 2.4, 2.5 salvo fondos representativos de índices de renta fija, 2.6.1 en cuanto a los fondos balanceados y 3.3 del artículo 2.6.12.1.2 del presente decreto serán admisibles cuando cuenten con una calificación de grado de inversión otorgada por una sociedad calificadora reconocida internacionalmente. En el evento en que la inversión o el emisor cuente con calificaciones de más de una sociedad calificadora, se debe tener en cuenta la calificación de mayor riesgo, si fueron expedidas dentro de los últimos tres (3) meses, o la más reciente cuando exista un lapso superior a dicho período entre una y otra calificación.
La calificación requerida respecto de la inversión en depósitos a término incluidos dentro del subnumeral 2.2 del artículo 2.6.12.1.2 del presente decreto, se verificará frente a la calificación asignada para la capacidad de pago de corto y largo plazo de la entidad financiera que emita el título. Así mismo, la inversión descrita en el subnumeral 3.3 del artículo 2.6.12.1.2 del presente decreto, requiere de la previa calificación de la capacidad de pago de corto plazo de la entidad financiera receptora de depósitos. En el caso de los títulos descritos en el subnumeral 2.1 del artículo 2.6.12.1.2 la calificación se verificará frente a la calificación de riesgo de la deuda soberana del país y tratándose de los títulos descritos en el subnumeral 2.4 del artículo 2.6.12.1.2 frente a la asignada al organismo multilateral y su deuda.
<Inciso modificado por el artículo 2 del Decreto 1393 de 2020. El nuevo texto es el siguiente:> El valor de la inversión indirecta en los títulos representativos de deuda en que pueden invertir los fondos o esquemas de inversión colectiva descritos en los subnumerales 2.5, salvo fondos representativos de índices de renta fija, y 2.6.1 en cuanto a los fondos balanceados del artículo 2.6.12.1.2 del presente decreto, que no cuenten con el requisito de calificación deberán ser tenidos en cuenta para el cómputo de los límites en inversiones restringidas según el artículo 2.6.12.1.25 del presente decreto. Esta condición puede acreditarse a través del reglamento o prospecto del fondo mutuo de inversión o por medio de carta o certificación expedida por el administrador del mismo. En todo caso, la AFP podrá implementar mecanismos para determinar la exposición real del fondo o esquema de inversión colectiva a las inversiones consideradas como restringidas, en cuyo caso el cómputo deberá hacerse con base en este mecanismo, para el cual la Superintendencia Financiera de Colombia establecerá los criterios que debe cumplir este tipo de mecanismos.
3. Respecto de la inversión prevista en el subnumeral 3.6 del artículo 2.6.12.1.2 del presente decreto se deberá contar con una calificación de grado de inversión, otorgada por una sociedad calificadora de riesgos autorizada por la Superintendencia Financiera de Colombia o por una sociedad calificadora reconocida internacionalmente según el caso, y para su verificación se aplicarán las siguientes condiciones:
a) Tratándose de productos estructurados no separables la calificación se verificará frente a la asignada al emisor del producto estructurado.
b) En el caso de productos estructurados separables la calificación se verificará frente a la asignada al componente no derivado.
c) En el evento en que el pago del ciento por ciento (100%) del capital del producto estructurado, cuando este sea separable, se proteja con la capacidad de endeudamiento del emisor del componente no derivado la calificación se verificará frente a la asignada a dicho emisor.
ARTÍCULO 2.6.12.1.4. LÍMITES DE INVERSIÓN EN TÍTULOS Y/O VALORES PARTICIPATIVOS, POR TIPO DE FONDO DE PENSIONES OBLIGATORIAS. <Artículo modificado por el artículo 1 del Decreto 857 de 2011. El nuevo texto es el siguiente:> Cada tipo de fondo de pensiones obligatorias deberá sujetarse a los siguientes límites de inversión en títulos y/o valores participativos descritos en los subnumerales 1.9 y 2.6 del artículo 2.6.12.1.2 del presente decreto.
1. Límites máximos:
Fondo Conservador: Hasta un veinte por ciento (20%) del valor del fondo.
Fondo Moderado: Hasta un cuarenta y cinco por ciento (45%) del valor del fondo.
Fondo de Mayor Riesgo: Hasta un setenta por ciento (70%) del valor del fondo.
2. Límites mínimos:
Cada AFP deberá establecer en sus políticas de inversión, de acuerdo con los objetivos de cada tipo de fondo de pensiones obligatorias, los límites mínimos de inversión en títulos y/o valores participativos. No obstante lo anterior, el límite mínimo del Fondo de Mayor Riesgo no puede ser inferior al límite máximo del Fondo Moderado previsto en el numeral anterior y el límite mínimo de este último no puede ser inferior al límite máximo del Fondo Conservador de que trata el numeral 1 de este artículo.
ARTÍCULO 2.6.12.1.5. LÍMITES GLOBALES DE INVERSIÓN PARA EL FONDO CONSERVADOR. <Artículo modificado por el artículo 1 del Decreto 857 de 2011. El nuevo texto es el siguiente:> La inversión del Fondo Conservador en los distintos activos señalados en el artículo 2.6.12.1.2 del presente decreto estará sujeta a los límites máximos previstos a continuación con respecto al valor del Fondo Conservador:
1. Hasta en un veinte por ciento (20%) para los instrumentos descritos en el subnumeral 1.1.2.
2. Hasta en un treinta por ciento (30%) para los instrumentos descritos en el subnumeral 1.2.
3. Hasta en un quince por ciento (15%) para los instrumentos descritos en el subnumeral 1.3.
4. Hasta en un cinco por ciento (5%) para los instrumentos descritos en los subnumerales 1.4 y 1.9.5.
5. Hasta un sesenta por ciento (60%) para los instrumentos descritos en el subnumeral 1.6.
6. Hasta en un cinco por ciento (5%) para la suma de los instrumentos descritos en los subnumerales 1.7 y 1.9.3.
7. Hasta en un quince por ciento (15%) para los instrumentos descritos en el subnumeral 1.9.
8. Hasta en un cuarenta por ciento (40%) para los instrumentos descritos en el numeral 2 y el subnumeral 3.3. Los títulos o valores de emisores del exterior que hagan parte de los instrumentos descritos en los subnumerales 1.7 y 1.9.3 computarán para efectos del límite establecido en el presente numeral.
9. Hasta en un diez por ciento (10%) para los depósitos del subnumeral 3.2.
10. Hasta un cinco por ciento (5%) para la suma de los depósitos descritos en los subnumerales 3.1 y 3.3. Para determinar el límite previsto en este numeral no se deben tener en cuenta dentro del saldo de los depósitos del fondo, las sumas recibidas durante los últimos veinte (20) días hábiles por concepto de aportes, traslados de otros fondos y vencimientos de capital e intereses de las inversiones, de acuerdo con las condiciones nominales de las mismas, así como aquellos recursos que por disposición expresa deben mantenerse en depósitos a la vista con antelación a la fecha de cumplimiento de la adquisición de la inversión. Tampoco serán tenidos en cuenta dentro del saldo de los depósitos a la vista las sumas asociadas a las operaciones a que hacen referencia los subnumerales 3.5.2 y 3.7.
11. Hasta en un cinco por ciento (5%) en las operaciones señaladas en el subnumeral 3.4.1 y hasta en un tres por ciento (3%) para las operaciones señaladas en el subnumeral 3.4.2.
12. Hasta en un dos por ciento (2%) para los instrumentos descritos en el subnumeral 3.5.2. Así mismo, los activos subyacentes objeto de estas operaciones computarán para el cálculo de todos los límites previstos en el Título 12 del Libro 6 de la Parte 2 del presente decreto.
Para el efecto, los límites se calcularán con base en el precio fijado en el contrato y en el caso de las opciones compradas computarán por el valor del derecho contabilizado, de conformidad con las instrucciones impartidas por la Superintendencia Financiera de Colombia.
13. Hasta en un diez por ciento (10%) para las operaciones señaladas en el subnumeral 3.7.
14. <Subnumeral modificado por el artículo 8 del Decreto 765 de 2016. El nuevo texto es el siguiente:> La suma de las inversiones en moneda extranjera que puede tener sin cobertura cambiaria el Fondo Conservador no podrá exceder del quince por ciento (15%) del valor del fondo. Dentro de esta suma deberán tenerse en cuenta las inversiones en moneda extranjera que tengan los instrumentos descritos en los subnumerales 1.7 y 1.9.3, del artículo 2.6.12.1.2 del presente decreto.
<Inciso modificado por el artículo 8 del Decreto 765 de 2016. El nuevo texto es el siguiente:> Con los recursos de fondo conservador no se podrá invertir en los instrumentos descritos en los subnumerales 1.8, 1.9.2, 1.9.4, 1.10, 1.11, 2.7, 2.8, 2.9, 2.10 y 3.6.
ARTÍCULO 2.6.12.1.6. LÍMITES GLOBALES DE INVERSIÓN PARA EL FONDO MODERADO. <Artículo modificado por el artículo 1 del Decreto 857 de 2011. El nuevo texto es el siguiente:> La inversión del Fondo Moderado en los distintos activos señalados en el artículo 2.6.12.1.2 del presente decreto estará sujeta a los límites máximos previstos a continuación con respecto al valor del Fondo Moderado:
1. Hasta en un veinte por ciento (20%) para los instrumentos descritos en el subnumeral 1.1.2.
2. Hasta en un treinta por ciento (30%) para los instrumentos descritos en el subnumeral 1.2.
3. Hasta en un quince por ciento (15%) para los instrumentos descritos en el subnumeral 1.3.
4. Hasta en un diez por ciento (10%) para los instrumentos descritos en los subnumerales 1.4 y 1.9.5.
5. Hasta un sesenta por ciento (60%) para los instrumentos descritos en el subnumeral 1.6.
6. Hasta en un cinco por ciento (5%) para la suma de los instrumentos descritos en los subnumerales 1.7 y 1.9.3.
7. Hasta en un cinco por ciento (5%) para la suma de los instrumentos descritos en los subnumerales 1.8 y 1.9.4.
8. Hasta en un treinta y cinco por ciento (35%) para los instrumentos descritos en el subnumeral 1.9. No obstante, la inversión en los títulos descritos en el subnumeral 1.9.2 no podrá exceder del cinco por ciento (5%).
9. <Numeral modificado por el artículo 3 del Decreto 1393 de 2020. El nuevo texto es el siguiente:> Hasta un quince por ciento (15%) para el valor de la inversión indirecta en los activos ubicados en el exterior en que pueden invertir los fondos o esquemas de inversión descritos en los subnumerales 1.10, 1.11, 2.7, 2.8, 2.9 y 2.10 del artículo 2.6.12.1.2 del presente decreto. Para efectos de este numeral, se entenderán como activos ubicados en el exterior todos aquellos cuya actividad económica principal no se desarrolle en alguna de las jurisdicciones que componen la Alianza del Pacífico. En todo caso, si la AFP no puede verificar la ubicación o domicilio de los activos, se entenderá que se trata de activos ubicados en el exterior.
10. Hasta en un sesenta por ciento (60%) para los instrumentos descritos en el numeral 2 y el subnumeral 3.3. Los títulos o valores de emisores del exterior que hagan parte de los instrumentos descritos en los subnumerales 1.7, 1.8, 1.9.3, 1.9.4 computarán para efectos del límite establecido en el presente numeral.
11. <Numeral modificado por el artículo 3 del Decreto 1393 de 2020. El nuevo texto es el siguiente:> Hasta el porcentaje máximo aprobado en la Política de Inversión por la Junta Directiva de la respectiva AFP, para el valor de la inversión directa en la suma de los instrumentos descritos en los subnumerales 1.10, 1.11, 2.7, 2.8, 2.9 y 2.10 del artículo 2.6.12.1.2 del presente decreto, considerados como activos alternativos. Así mismo, la Junta Directiva deberá aprobar en su Política de Inversión el porcentaje máximo de inversión en los distintos tipos de activos alternativos que se señalan en este numeral incluyendo los tipos de fondos de capital privado que se mencionan en el numeral 1.10 del artículo 2.6.12.1.2 del presente decreto. Para efectos de aprobar dichos límites la Junta Directiva deberá contar con las recomendaciones del Comité de Riesgos y Comité de Inversiones.
12. Hasta en un diez por ciento (10%) para los depósitos del subnumeral 3.2.
13. Hasta en un cinco por ciento (5%) para la suma de los depósitos descritos en los subnumerales 3.1 y 3.3. Para determinar el límite previsto en este numeral no se deben tener en cuenta dentro del saldo de los depósitos del fondo, las sumas recibidas durante los últimos veinte (20) días hábiles por concepto de aportes, traslados de otros fondos y vencimientos de capital e intereses de las inversiones, de acuerdo con las condiciones nominales de las mismas, así como aquellos recursos que por disposición expresa deben mantenerse en depósitos a la vista con antelación a la fecha de cumplimiento de la adquisición de la inversión. Tampoco serán tenidos en cuenta dentro del saldo de los depósitos a la vista las sumas asociadas a las operaciones a que hacen referencia los subnumerales 3.5.2 y 3.7.
14. Hasta en un cinco por ciento (5%) en las operaciones señaladas en el subnumeral 3.4.1 y hasta en un tres por ciento (3%) para las operaciones señaladas en el subnumeral 3.4.2.
15. Hasta un dos por ciento (2%) para los instrumentos descritos en el subnumeral 3.5.2. Así mismo, los activos subyacentes objeto de estas operaciones computarán para el cálculo de todos los límites previstos en el Título 12 del Libro 6 de la Parte 2 del presente decreto.
Para el efecto, los límites se calcularán con base en el precio fijado en el contrato y en el caso de las opciones compradas computarán por el valor del derecho contabilizado, de conformidad con las instrucciones impartidas por la Superintendencia Financiera de Colombia.
16. Hasta en un cinco por ciento (5%) para las operaciones señaladas en el subnumeral 3.6.
17. Hasta en un diez por ciento (10%) para las operaciones señaladas en el subnumeral 3.7.
18. La suma de las inversiones en moneda extranjera que puede tener sin cobertura cambiaria el fondo moderado no podrá exceder del treinta y cinco por ciento (35%) del valor del fondo. Dentro de esta suma deberán tenerse en cuenta las inversiones en moneda extranjera que tengan los instrumentos descritos en los subnumerales 1.7, 1.8, 1.9.3, 1.9.4 y 1.10 del artículo 2.6.12.1.2 del presente decreto.
19. <Numeral derogado por el artículo 23 del Decreto 1393 de 2020>
20. <Subnumeral adicionado por el artículo 10 del Decreto 765 de 2016. El nuevo texto es el siguiente:> Hasta el uno por ciento (1%) para la suma de los instrumentos restringidos descritos en el artículo 2.6.12.1.25 del presente decreto.
21. <Subnumeral adicionado por el artículo 10 del Decreto 765 de 2016. El nuevo texto es el siguiente:> Hasta el uno por ciento (1%) para la suma de los compromisos a plazo que se realicen para invertir en los títulos previstos en los numerales 1.4, 1.6. y 1.9.5 del artículo 2.6.12.1.2 siempre y cuando: i) vayan a ser emitidos exclusivamente para la financiación de proyectos de infraestructura de la cuarta generación de concesiones viales (4G) o cualquier otro programa que lo sustituya, modifique o actualice, ii) se presente bajo el esquema de Asociaciones Público Privadas (APP) descritas en la Ley 1508 de 2012, en los que la Agencia Nacional de Infraestructura (ANI) haga parte de la respectiva APP, y iii) la fuente principal de pago de los títulos provenga de recursos originados en etapa de operación y mantenimiento de una o varias unidades funcionales de los mencionados proyectos.
ARTÍCULO 2.6.12.1.7. LÍMITES GLOBALES DE INVERSIÓN PARA EL FONDO DE MAYOR RIESGO. <Artículo modificado por el artículo 1 del Decreto 857 de 2011. El nuevo texto es el siguiente:> La inversión del Fondo de Mayor Riesgo en los distintos activos señalados en el artículo 2.6.12.1.2 del presente decreto estará sujeta a los límites máximos previstos a continuación con respecto al valor del Fondo de Mayor Riesgo:
1. Hasta en un veinte por ciento (20%) para los instrumentos descritos en el subnumeral 1.1.2.
2. Hasta en un treinta por ciento (30%) para los instrumentos descritos en el subnumeral 1.2.
3. Hasta en un quince por ciento (15%) para los instrumentos descritos en el subnumeral 1.3.
4. Hasta en un quince por ciento (15%) para los instrumentos descritos en los subnumerales 1.4 y 1.9.5.
5. Hasta un sesenta por ciento (60%) para los instrumentos descritos en el subnumeral 1.6.
6. Hasta en un cinco por ciento (5%) para la suma de los instrumentos descritos en los subnumerales 1.7 y 1.9.3.
7. Hasta en un cinco por ciento (5%) para la suma de los instrumentos descritos en los subnumerales 1.8 y 1.9.4.
8. Hasta en un cuarenta y cinco por ciento (45%) para los instrumentos descritos en el subnumeral 1.9. No obstante, la inversión en los títulos descritos en el subnumeral 1.9.2 no podrá exceder del cinco por ciento (5%).
9 <Numeral modificado por el artículo 4 del Decreto 1393 de 2020. El nuevo texto es el siguiente:> Hasta un diecisiete punto cinco por ciento (17.5%) para el valor de la inversión indirecta en los activos ubicados en el exterior en que pueden invertir los fondos o esquemas de inversión descritos los subnumerales 1.10, 1.11, 2.7, 2.8, 2.9 y 2.10 del artículo 2.6.12.1.2 del presente decreto. Para efectos de este numeral, se entenderán como activos ubicados en el exterior todos aquellos cuya actividad económica principal no se desarrolle en alguna de las jurisdicciones que componen la Alianza del Pacífico. En todo caso, si la AFP no puede verificar la ubicación o domicilio de los activos, se entenderá que se trata de activos ubicados en el exterior.
10. Hasta en un setenta por ciento (70%) para los instrumentos descritos en el numeral 2 y el subnumeral 3.3. Los títulos o valores de emisores del exterior que hagan parte de los instrumentos descritos en los subnumerales 1.7, 1.8, 1.9.3, 1.9.4 computarán para efectos del límite establecido en el presente numeral.
11. <Numeral modificado por el artículo 4 del Decreto 1393 de 2020. El nuevo texto es el siguiente:> Hasta el porcentaje máximo aprobado en la Política de Inversión por la Junta Directiva de la respectiva AFP, para el valor de la inversión directa en la suma de los instrumentos descritos en los subnumerales 1.10, 1.11, 2.7, 2.8, 2.9 y 2.10 del artículo 2.6.12.1.2 del presente decreto, considerados como activos alternativos. Así mismo, la Junta Directiva deberá aprobar en su Política de Inversión el porcentaje máximo de inversión en los distintos tipos de activos alternativos que se señalan en este numeral, incluyendo los tipos de fondos de capital privado que se mencionan en el numeral 1.10 del artículo 2.6.12.1.2 del presente decreto. Para efectos de aprobar dichos límites la Junta Directiva deberá contar con las recomendaciones del Comité de Riesgos y Comité de Inversiones.
12. Hasta en un diez por ciento (10%) para los depósitos del subnumeral 3.2.
13. Hasta en un cinco por ciento (5%) para la suma de los depósitos descritos en los subnumerales 3.1 y 3.3. Para determinar el límite previsto en este numeral no se deben tener en cuenta dentro del saldo de los depósitos del fondo, las sumas recibidas durante los últimos veinte (20) días hábiles por concepto de aportes, traslados de otros fondos y vencimientos de capital e intereses de las inversiones, de acuerdo con las condiciones nominales de las mismas, así como aquellos recursos que por disposición expresa deben mantenerse en depósitos a la vista con antelación a la fecha de cumplimiento de la adquisición de la inversión. Tampoco serán tenidos en cuenta dentro del saldo de los depósitos a la vista las sumas asociadas a las operaciones a que hacen referencia los subnumerales 3.5.2 y 3.7.
14. Hasta en un cinco por ciento (5%) en las operaciones señaladas en el subnumeral 3.4.1 y hasta en un tres por ciento (3%) para las operaciones señaladas en el subnumeral 3.4.2.
15. Hasta un tres por ciento (3%) para los instrumentos descritos en el subnumeral 3.5.2. Así mismo, los activos subyacentes objeto de estas operaciones computarán para el cálculo de todos los límites previstos en el Título 12 del Libro 6 de la Parte 2 del presente decreto.
Para el efecto, los límites se calcularán con base en el precio fijado en el contrato y en el caso de las opciones compradas computarán por el valor del derecho contabilizado, de conformidad con las instrucciones impartidas por la Superintendencia Financiera de Colombia.
16. Hasta en un cinco por ciento (5%) para las operaciones señaladas en el subnumeral 3.6.
17. Hasta en un diez por ciento (10%) para las operaciones señaladas en el subnumeral 3.7.
18. La suma de las inversiones en moneda extranjera que puede tener sin cobertura cambiaria el fondo de mayor riesgo no podrá exceder del cincuenta por ciento (50%) del valor del fondo. Dentro de esta suma deberán tenerse en cuenta las inversiones en moneda extranjera que tengan los instrumentos descritos en los subnumerales 1.7, 1.8, 1.9.3, 1.9.4 y 1.10 del artículo 2.6.12.1.2 del presente decreto.
19. <Numeral derogado por el artículo 23 del Decreto 1393 de 2020>
20. <Subnumeral adicionado por el artículo 12 del Decreto 765 de 2016. El nuevo texto es el siguiente:> Hasta un cuatro por ciento (4%) para la suma de los instrumentos restringidos descritos en el artículo 2.6.12.1.25 del presente decreto.
21. <Subnumeral adicionado por el artículo 12 del Decreto 765 de 2016. El nuevo texto es el siguiente:> Hasta el uno por ciento (1%) para la suma de los compromisos a plazo que se realicen para invertir en los títulos previstos en los numerales 1.4, 1.6 y 1.9.5 del artículo 2.6.12.1.2 siempre y cuando: i) vayan a ser emitidos exclusivamente para la financiación de proyectos de infraestructura de la cuarta generación de concesiones viales (4G) o cualquier otro programa que lo sustituya, modifique o actualice, ii) se presente bajo el esquema de Asociaciones Público Privadas (APP) descritas en la Ley 1508 de 2012, en los que la Agencia Nacional de Infraestructura (ANI) haga parte de la respectiva APP, y iii) la fuente principal de pago de los títulos provenga de recursos originados en etapa de operación y mantenimiento de una o varias unidades funcionales de los mencionados proyectos.
ARTÍCULO 2.6.12.1.8. LÍMITES GLOBALES DE INVERSIÓN PARA EL PORTAFOLIO DE LARGO PLAZO DEL FONDO DE CESANTÍA. <Artículo modificado por el artículo 1 del Decreto 857 de 2011. El nuevo texto es el siguiente:> La inversión del Portafolio de Largo Plazo en los distintos activos señalados en el artículo 2.6.12.1.2 del presente decreto estará sujeta a los límites máximos previstos a continuación con respecto al valor del Portafolio de Largo Plazo:
1. Hasta en un veinte por ciento (20%) para los instrumentos descritos en el subnumeral 1.1.2.
2. Hasta en un cincuenta por ciento (50%) para los instrumentos descritos en el subnumeral 1.2.
3. Hasta en un quince por ciento (15%) para los instrumentos descritos en el subnumeral 1.3.
4. Hasta en un diez por ciento (10%) para los instrumentos descritos en los subnumerales 1.4 y 1.9.5.
5. Hasta un sesenta por ciento (60%) para los instrumentos descritos en el subnumeral 1.6.
6. Hasta en un cinco por ciento (5%) para la suma de los instrumentos descritos en los subnumerales 1.7 y 1.9.3.
7. Hasta en un cinco por ciento (5%) para la suma de los instrumentos descritos en los subnumerales 1.8 y 1.9.4.
8. Hasta en un cuarenta por ciento (40%) para los instrumentos descritos en los subnumerales 1.9. y 2.6. No obstante, la inversión en los títulos descritos en el subnumeral 1.9.2 no podrá exceder del cinco por ciento (5%).
9. <Numeral modificado por el artículo 5 del Decreto 1393 de 2020. El nuevo texto es el siguiente:> Hasta un quince por ciento (15%) para el valor de la inversión indirecta en los activos ubicados en el exterior en que pueden invertir los fondos o esquemas de inversión. descritos en los subnumerales 1.10, 1.11, 2.7, 2.8, 2.9 y 2.10 del artículo 2.6.12.1.2 del presente decreto, según su reglamento. Para efectos de este numeral, se entenderán como activos ubicados en el exterior todos aquellos cuya actividad económica principal no se desarrolle en alguna de las jurisdicciones que componen la Alianza del Pacífico. En todo caso, si la AFP no puede verificar la ubicación o domicilio de los activos, se entenderá que se trata de activos ubicados en el exterior.
10. Hasta en un sesenta por ciento (60%) para los instrumentos descritos en el numeral 2 y el subnumeral 3.3. Los títulos o valores de emisores del exterior que hagan parte de los instrumentos descritos en los subnumerales 1.7, 1.8, 1.9.3, 1.9.4 computarán para efectos del límite establecido en el presente numeral.
11. <Numeral modificado por el artículo 5 del Decreto 1393 de 2020. El nuevo texto es el siguiente:> Hasta el porcentaje máximo aprobado en la Política de Inversión por la Junta Directiva de la respectiva AFP, para el valor de la inversión directa en la suma de los instrumentos descritos en los subnumerales 1.10, 1.11, 2.7, 2.8, 2.9 y 2.10 del artículo 2.6.12.1.2 del presente decreto, considerados como activos alternativos. Así mismo, la Junta Directiva deberá aprobar en su Política de Inversión el porcentaje máximo de inversión en los distintos tipos de activos alternativos que se señalan en este numeral, incluyendo los tipos de fondos de capital privado que se mencionan en el numeral 1.10 del artículo 2.6.12.1.2 del presente decreto. Para efectos de aprobar dichos límites la Junta Directiva deberá contar con las recomendaciones del Comité de Riesgos y Comité de Inversiones.
12. Hasta en un diez por ciento (10%) para los depósitos del subnumeral 3.2.
13. Hasta en un diez por ciento (10%) para la suma de los depósitos descritos en los subnumerales 3.1 y 3.3. Para determinar el límite previsto en este numeral no se deben tener en cuenta dentro del saldo de los depósitos del portafolio, las sumas recibidas durante los últimos cuarenta y cinco (45) días hábiles por concepto de aportes, traslados entre portafolios, traslados de otros fondos y vencimientos de capital e intereses de las inversiones, de acuerdo con las condiciones nominales de las mismas, así como aquellos recursos que por disposición expresa deben mantenerse en depósitos a la vista con antelación a la fecha de cumplimiento de la adquisición de la inversión. Tampoco serán tenidos en cuenta dentro del saldo de los depósitos a la vista las sumas asociadas a las operaciones a que hacen referencia los subnumerales 3.5.2 y 3.7.
14. Hasta en un diez por ciento (10%) en las operaciones señaladas en el subnumeral 3.4.1. y hasta en un tres por ciento (3%) para las operaciones señaladas en el subnumeral 3.4.2.
15. Hasta un dos por ciento (2%) para los instrumentos descritos en el subnumeral 3.5.2. Así mismo, los activos subyacentes objeto de estas operaciones computarán para el cálculo de todos los límites previstos en el Título 12 del Libro 6 de la Parte 2 del presente decreto.
Para el efecto, los límites se calcularán con base en el precio fijado en el contrato y en el caso de las opciones compradas computarán por el valor del derecho contabilizado, de conformidad con las instrucciones impartidas por la Superintendencia Financiera de Colombia.
16. Hasta en un cinco por ciento (5%) para las operaciones señaladas en el subnumeral 3.6.
17. Hasta en un diez por ciento (10%) para las operaciones señaladas en el subnumeral 3.7.
18. La suma de las inversiones en moneda extranjera que puede tener sin cobertura cambiaria el portafolio no podrá exceder del treinta por ciento (30%) del valor del portafolio. Dentro de esta suma deberán tenerse en cuenta las inversiones en moneda extranjera que tengan los instrumentos descritos en los subnumerales 1.7, 1.8, 1.9.3, 1.9.4 y 1.10 del artículo 2.6.12.1.2. del presente decreto.
19. <Numeral derogado por el artículo 23 del Decreto 1393 de 2020>
20. <Subnumeral adicionado por el artículo 14 del Decreto 765 de 2016. El nuevo texto es el siguiente:> Hasta el uno por ciento (1%) para la suma de los instrumentos restringidos descritos en el artículo 2.6.12.1.25 del presente decreto.
21. <Subnumeral adicionado por el artículo 14 del Decreto 765 de 2016. El nuevo texto es el siguiente:> Hasta el uno por ciento (1%) para la suma de los compromisos a plazo que se realicen para invertir en los títulos previstos en los numerales 1.4, 1.6. y 1.9.5 del artículo 2.6.12.1.2 siempre y cuando: i) vayan a ser emitidos exclusivamente para la financiación de proyectos de infraestructura de la cuarta generación de concesiones viales (4G) o cualquier otro programa que lo sustituya, modifique o actualice, ii) se presente bajo el esquema de Asociaciones Público Privadas (APP) descritas en la Ley 1508 de 2012, en los que la Agencia Nacional de Infraestructura (ANI) haga parte de la respectiva APP, y iii) la fuente principal de pago de los títulos provenga de recursos originados en etapa de operación y mantenimiento de una o varias unidades funcionales de los mencionados proyectos.
ARTÍCULO 2.6.12.1.9. LÍMITES GLOBALES DE INVERSIÓN PARA EL PORTAFOLIO DE CORTO PLAZO DEL FONDO DE CESANTÍA. <Artículo modificado por el artículo 15 del Decreto 765 de 2016. El nuevo texto es el siguiente:> Los recursos del Portafolio de Corto Plazo se pueden invertir en los activos señalados en el artículo 2.6.12.1.2 del presente decreto, exceptuando los instrumentos descritos en los subnumerales 1.9.2, 1.10, 1.11, 2.7, 2.8, 2.9, 2.10, 3.5.2 y 3.6 así como en los fondos de inversión colectiva cerrados de que tratan los subnumerales 1.8 y 1.9.4.
ARTÍCULO 2.6.12.1.10. LÍMITE GLOBAL DE INVERSIÓN APLICABLE A LA SUMA DE LOS CUATRO TIPOS DE FONDOS DE PENSIONES OBLIGATORIAS. <Artículo modificado por el artículo 1 del Decreto 857 de 2011. El nuevo texto es el siguiente:> Corresponderá a las AFP establecer el límite máximo a las inversiones en Títulos de Deuda Pública para cada uno de los tipos de fondos de pensiones obligatorias.
En todo caso, la suma de las inversiones de los cuatro (4) tipos de fondos de pensiones obligatorias en los activos señalados en el numeral 1.1 del artículo 2.6.12.1.2. del presente decreto no podrá ser superior al cincuenta por ciento (50%) de la suma del valor del fondo de los cuatro (4) tipos de fondos de pensiones obligatorias.
ARTÍCULO 2.6.12.1.11. REQUISITOS ADICIONALES A TENER EN CUENTA EN LA APLICACIÓN DE LOS LÍMITES DE INVERSIÓN DE QUE TRATA EL TÍTULO 12 DEL LIBRO 6 DE LA PARTE 2 DEL PRESENTE DECRETO. <Artículo modificado por el artículo 1 del Decreto 857 de 2011. El nuevo texto es el siguiente:>
1. Tratándose de títulos aceptados o garantizados, el límite global se debe imputar al grupo o clase de título al que pertenece la entidad que otorga la aceptación o la garantía, en la proporción garantizada o aceptada, y al grupo o clase de título al que pertenece el emisor, en la proporción no garantizada o no aceptada.
2. Los productos estructurados de capital protegido se consideran como títulos de deuda con rendimiento variable y para efectos de los límites globales de inversión previstos en este artículo computarán de la siguiente manera:
a. Los productos estructurados no separables computarán en la cuantía de su valor de mercado o precio justo de intercambio en el grupo o clase de título que corresponda a aquellos emitidos por el emisor del producto estructurado.
b. Los productos estructurados separables computarán en su componente no derivado por la cuantía de su valor de mercado o precio justo de intercambio dentro del grupo o clase de título que corresponda a la inversión admisible con la que se protege el capital. El componente derivado computará por la cuantía de su valor de mercado o precio justo de intercambio dentro del grupo o clase de título que corresponda a aquellos emitidos por el emisor responsable del pago de este componente.
c. En el evento en que el pago del cien por ciento (100%) del capital del producto estructurado separable se proteja con la capacidad de endeudamiento del emisor del componente no derivado, computará en la cuantía de su valor de mercado o precio justo de intercambio en el grupo o clase de título que corresponda a aquellos emitidos por el emisor que garantiza el pago de la inversión admisible que constituye el componente no derivado. El componente derivado computará por la cuantía de su valor de mercado o precio justo de intercambio dentro del grupo o clase de título que corresponda a aquellos emitidos por el emisor responsable del pago de este componente.
3. El activo subyacente de una titularización distinta a cartera hipotecaria correspondiente a una inversión admisible, de acuerdo con lo establecido en el Título 12 del Libro 6 de la Parte 2 del presente decreto, computará para el límite global establecido al activo subyacente.
4. <Numeral modificado por el artículo 3 del Decreto 1385 de 2015. El nuevo texto es el siguiente:> Para efectos de la aplicación de los límites de inversión previstos en el Título 12 del Libro 6 de la Parte 2 del presente decreto los fondos de inversión colectiva de que trata la Parte 3 del presente decreto o las normas que lo modifiquen o sustituyan, computarán como vehículo de inversión y no de forma individual por los subyacentes que los componen. Lo anterior sin perjuicio de lo dispuesto en el numeral 2 del parágrafo del artículo 2.6.12.1.2., los numerales 8 y 14 del artículo 2.6.12.1.5., los numerales 10 y 18 del artículo 2.6.12.1.6., los numerales 10 y 18 del artículo 2.6.12.1.7., y los numerales 10 y 18 del artículo 2.6.12.1.8.
5. <Numeral derogado por el artículo 23 del Decreto 1393 de 2020>
ARTÍCULO 2.6.12.1.12. LÍMITES DE CONCENTRACIÓN POR EMISOR POR TIPO DE FONDO DE PENSIONES OBLIGATORIAS Y POR PORTAFOLIO DEL FONDO DE CESANTÍA. <Artículo modificado por el artículo 1 del Decreto 857 de 2011. El nuevo texto es el siguiente:> La exposición a una misma entidad o emisor, incluidas sus filiales y subsidiarias, su matriz y las filiales y subsidiarias de esta no podrá exceder del diez por ciento (10%) del valor de cada tipo de fondo de pensiones obligatorias. Para el fondo de cesantías, esta exposición no podrá exceder del diez por ciento (10%) del valor de cada portafolio. Se entiende por exposición la suma de las inversiones en uno o varios instrumentos de una misma entidad o emisor, incluyendo los depósitos a la vista realizados en ella, las exposiciones netas de la contraparte resultantes de las operaciones descritas en los subnumerales 3.4 y 3.7 del artículo 2.6.12.1.2. del presente decreto y las exposiciones crediticias en operaciones con instrumentos financieros derivados, en las que dicha entidad es la contraparte, salvo que su compensación y liquidación se realice a través de cámaras de riesgo central de contraparte.
Para efectos de lo previsto para cada tipo de fondo de pensiones obligatorias en el presente artículo, dentro del saldo de los depósitos a la vista descritos en los subnumerales 3.1 y 3.3 del artículo 2.6.12.1.2. del presente decreto no se incluirán las sumas recibidas durante los últimos veinte (20) días hábiles por concepto de aportes, traslados de otros fondos y vencimientos de capital e intereses de las inversiones, de acuerdo con las condiciones nominales de las mismas, así como aquellos recursos que por disposición expresa deben mantenerse en depósitos a la vista con antelación a la fecha de cumplimiento de la adquisición de inversiones en el exterior. En ningún caso, el saldo a tener en cuenta por este concepto podrá ser negativo.
En el caso de cada uno de los portafolios que componen el fondo de cesantías, no se incluirán dentro del saldo de los depósitos a la vista descritos en los subnumerales 3.1 y 3.3 del artículo 2.6.12.1.2. del presente decreto, las sumas recibidas durante los últimos cuarenta y cinco (45) días hábiles por concepto de aportes, traslados entre portafolios, traslados de otros fondos y vencimientos de capital e intereses de las inversiones, de acuerdo con las condiciones nominales de las mismas, así como aquellos recursos que por disposición expresa deben mantenerse en depósitos a la vista con antelación a la fecha de cumplimiento de la adquisición de inversiones en el exterior. En ningún caso el saldo a tener en cuenta por este concepto podrá ser negativo.
Se entiende como exposición neta en las operaciones descritas en los subnumerales 3.4 y 3.7 del artículo 2.6.12.1.2. del presente decreto, el monto que resulte de restar la posición deudora de la posición acreedora de la contraparte en cada operación, siempre que este monto sea positivo. Para el cálculo de dichas posiciones deberán tenerse en cuenta el precio justo de intercambio de los valores cuya propiedad se transfiera y/o la suma de dinero entregada como parte de la operación, así como los intereses o rendimientos causados asociados a la misma.
Así mismo, para determinar la exposición crediticia en operaciones con instrumentos financieros derivados serán aplicables las definiciones que para el efecto determine la Superintendencia Financiera de Colombia.
Los límites individuales establecidos en este artículo no son aplicables a los emisores de los títulos descritos en los subnumerales 1.1.1 y 1.5 del artículo 2.6.12.1.2. del presente decreto, ni a los títulos de deuda emitidos por Fogafín y Fogacoop.
Respecto a la inversión en títulos derivados de procesos de titularización, los límites de concentración por emisor se aplicarán sobre el valor total de cada universalidad o patrimonio autónomo. Cuando la titularización prevea algún tipo de garantía sobre los títulos emitidos, para efectos del cálculo de los límites individuales la proporción garantizada computará para el límite del garante y el porcentaje no garantizado sólo computará para el límite de cada universalidad o patrimonio autónomo.
Para efectos del cálculo de los límites individuales en el caso de títulos aceptados o garantizados, la proporción garantizada computará para el límite del garante o aceptante y la no garantizada o aceptada para el límite del emisor.
Los límites individuales de inversión por emisor para el caso de inversiones en productos estructurados, de los que trata el subnumeral 3.6 del artículo 2.6.12.1.2. del presente decreto computarán de la siguiente manera:
a. Los productos estructurados no separables computarán en la cuantía de su valor de mercado o precio justo de intercambio como un título de deuda emitido por el emisor del producto estructurado.
b. Los productos estructurados separables computarán, en su componente no derivado, por la cuantía de su valor de mercado o precio justo de intercambio en la misma forma que corresponda a la inversión admisible con la que se protege el capital. El componente derivado computará por la exposición crediticia del emisor responsable del pago de este componente.
c. Los productos estructurados separables, donde el pago del 100% del capital se proteja con la capacidad de endeudamiento del emisor del componente no derivado del producto, computarán en la cuantía de su valor de mercado o precio justo de intercambio como un título de deuda emitido por el emisor que garantiza el pago de la inversión admisible que constituye el componente no derivado. El componente derivado computará por la exposición crediticia del emisor responsable del pago de este componente.
ARTÍCULO 2.6.12.1.13. LÍMITES MÁXIMOS DE INVERSIÓN POR EMISIÓN. <Artículo modificado por el artículo 6 del Decreto 1393 de 2020. El nuevo texto es el siguiente:> En las emisiones de títulos, con el valor resultante de la suma de los recursos de todos los tipos de fondos de pensiones obligatorias, administrados por una misma AFP, esta no podrá invertir un mayor porcentaje que el aprobado en la Política de Inversión por la Junta Directiva como límite máximo para procesos de emisión. Para efectos de aprobar dicho límite la Junta Directiva deberá contar con las recomendaciones del Comité de Riesgos y Comité de Inversiones. Quedan exceptuadas de este límite las inversiones en Certificados de Depósito a Término (CDT) y de Ahorro a Término (CDAT) emitidos por establecimientos de crédito y las inversiones en los instrumentos descritos en los subnumerales 1.1.1 y 1.5 del artículo 2.6.12.1.2. del presente decreto, así como los títulos de deuda emitidos o garantizados por Fogafín y Fogacoop.
Tratándose de la inversión en fondos de inversión colectiva cerrados, con la suma de los recursos de todos los tipos de fondos de pensiones obligatorias administrados por una misma AFP, esta no podrá mantener una participación que exceda el porcentaje aprobado en la Política de Inversión como límite máximo por la Junta Directiva. Para efectos de aprobar dicho límite la Junta Directiva deberá contar con las recomendaciones del Comité de Riesgos y Comité de Inversiones. Lo dispuesto en este inciso aplicará sin perjuicio de lo previsto en el artículo 3.1.1.6.2.·
Tratándose de la inversión en un Fondo de Capital Privado, la AFP, con la suma de los recursos de todos los tipos de fondos de pensiones obligatorias, no podrá mantener una participación que exceda el porcentaje aprobado en la Política de Inversión como límite por la Junta Directiva. Para efectos de aprobar dicho límite la Junta Directiva deberá contar con las recomendaciones del Comité de Riesgos y Comité de Inversiones de la respectiva AFP. Lo dispuesto en este inciso aplicará sin perjuicio de lo previsto en el artículo 3.3.2.2.6.
Los límites establecidos en el presente artículo también serán aplicables a la suma de los portafolios de corto y largo plazo del fondo de cesantía administrado por una misma AFP.
ARTÍCULO 2.6.12.1.14. LÍMITE DE CONCENTRACIÓN DE PROPIEDAD ACCIONARIA. <Artículo modificado por el artículo 1 del Decreto 857 de 2011. El nuevo texto es el siguiente:>
<Inciso modificado por el artículo 7 del Decreto 1393 de 2020. El nuevo texto es el siguiente:> Con el valor resultante de la suma de los recursos de todos los tipos de fondos de pensiones obligatorias, administrados por una misma AFP solo se podrá invertir en acciones de una sociedad hasta el diez por ciento (10%) de las mismas.
Tratándose de bonos obligatoriamente convertibles en acciones (BOCEAS), con el valor resultante de la suma de los recursos de todos los tipos de fondos de pensiones obligatorias administrados por una misma AFP, esta no podrá invertir en los BOCEAS en· circulación de una sociedad, un mayor porcentaje que el aprobado en la Política de Inversión como límite por la Junta Directiva. Para efectos de aprobar dicho límite la Junta Directiva deberá contar con las recomendaciones del Comité de Riesgos y Comité de Inversiones. En todo caso, se deberá evaluar el riesgo de conversión de los bonos en acciones de manera que se dé cumplimiento al límite de acciones señalado en el inciso primero de este artículo.
Lo dispuesto en el presente artículo debe tener en cuenta, en todo caso, el límite de concentración por emisor de que trata el artículo 2.6.12.1.12. del presente decreto.
Los límites establecidos en el presente artículo también serán aplicables a la suma de los portafolios de corto y largo plazo del fondo de cesantía administrado por una misma AFP.
ARTÍCULO 2.6.12.1.15. LÍMITES DE INVERSIÓN EN VINCULADOS POR TIPO DE FONDO DE PENSIONES OBLIGATORIAS Y POR PORTAFOLIO DEL FONDO DE CESANTÍA. <Artículo modificado por el artículo 1 del Decreto 857 de 2011. El nuevo texto es el siguiente:> La suma de las inversiones descritas en el artículo 2.6.12.1.2. del presente decreto que conforman cada tipo de fondo de pensiones obligatorias y se realicen en títulos cuyo emisor, aceptante, garante u originador de la emisión de una titularización sean entidades vinculadas a la AFP, no puede exceder del diez por ciento (10%) del valor de cada uno de los tipos de fondos de pensiones obligatorias. Para cada uno de los portafolios que conforman el fondo de cesantías, esta suma no podrá exceder del diez por ciento (10%) del valor de cada portafolio.
Para los efectos del cálculo de los límites señalados en el inciso anterior:
a. Dentro del saldo de los depósitos a la vista descritos en los subnumerales 3.1 y 3.3 del artículo 2.6.12.1.2. del presente decreto, para cada tipo de fondo de pensiones obligatorias no se incluirán las sumas recibidas durante los últimos veinte (20) días hábiles por concepto de aportes, traslados de otros fondos y vencimientos de capital e intereses de las inversiones, de acuerdo con las condiciones nominales de las mismas, así como aquellos recursos que por disposición expresa deben mantenerse en depósitos a la vista con antelación a la fecha de cumplimiento de la adquisición de inversiones en el exterior. En ningún caso el saldo a tener en cuenta por este concepto podrá ser negativo.
b. Dentro del saldo de los depósitos a la vista descritos en los subnumerales 3.1 y 3.3 del artículo 2.6.12.1.2. del presente decreto, para cada portafolio del fondo de cesantía no se incluirán las sumas recibidas durante los últimos cuarenta y cinco (45) días hábiles por concepto de aportes, traslados entre portafolios, traslados de otros fondos y vencimientos de capital e intereses de las inversiones, de acuerdo con las condiciones nominales de las mismas, así como aquellos recursos que por disposición expresa deben mantenerse en depósitos a la vista con antelación a la fecha de cumplimiento de la adquisición de inversiones en el exterior. En ningún caso el saldo a tener en cuenta por este concepto podrá ser negativo.
c. Deberá tenerse en cuenta la exposición neta de la contraparte, incluyendo las exposiciones crediticias en operaciones con instrumentos financieros derivados, descritas en el artículo 2.6.12.1.12. del presente decreto.
d. <Literal modificado por el artículo 4 del Decreto 1385 de 2015. El nuevo texto es el siguiente:> Se tendrán en cuenta las inversiones que, en los activos no inscritos en el Registro Nacional de Valores y Emisores (RNVE) a que se refiere el artículo 3.1.14.1.2. y demás normas que lo modifiquen o sustituyan, realicen los fondos de capital privado de que trata el subnumeral 1.10 del artículo 2.6.12.1.2. del presente decreto en activos, participaciones, o títulos emitidos o garantizados por entidades vinculadas a la AFP, en el porcentaje de participación que le corresponde.
No se tendrán en cuenta las inversiones que realicen los fondos de capital privado definidas en el inciso 5 del subnumeral 1.10 del artículo 2.6.12.1.2 del presente decreto.
Tampoco se tendrán en cuenta las inversiones que realicen los fondos de capital privado en activos, participaciones, o títulos emitidos o garantizados por entidades vinculadas a la AFP, únicamente cuando el fondo destine al menos dos terceras (2/3) partes de los aportes de sus inversionistas a proyectos de infraestructura, bajo el esquema de Asociaciones Público Privadas (APP) descrito en la Ley 1508 de 2012, y se dé cumplimiento a las obligaciones de la Junta Directiva de la AFP contenidas en el inciso 5 (i, ii) del subnumeral 1.10 del artículo 2.6.12.1.2 del presente decreto y de la Sociedad Administradora del Fondo de Capital Privado contenidas en el inciso 6 del subnumeral 1.10 del artículo 2.6.12.1.2 del presente decreto.
Los límites de concentración por emisor y concentración accionaria de que tratan los artículos 2.6.12.1.12. y 2.6.12.1.14. del presente decreto se deben reducir al cinco por ciento (5%) cuando corresponda a títulos cuyo emisor, aceptante, garante u originador de la emisión de una titularización sea un vinculado a la AFP.
Cuando el emisor, aceptante, garante u originador de una titularización, sean entidades vinculadas a la AFP, el límite por emisión previsto en el artículo 2.6.12.1.13. del presente decreto se debe calcular sobre la emisión efectivamente colocada. No obstante, cuando se trate de inversiones adquiridas en el mercado primario, dicho límite se debe establecer sobre la emisión efectivamente colocada en entidades o personas no vinculadas al emisor.
Para efectos de la aplicación del Título 12 del Libro 6 de la Parte 2 del presente decreto, se entiende por entidad vinculada o “vinculado” a una AFP:
1. El o los accionistas o beneficiarios reales del cinco por ciento (5%) o más de la participación en la AFP o quien tenga la capacidad de designar un miembro de junta, sin incluir la facultad que tienen los afiliados de designar miembros de Junta Directiva de conformidad con lo previsto en el artículo 10 del Decreto 656 de 1994.
2. Las personas jurídicas en las cuales la AFP sea beneficiaria real del cinco por ciento (5%) o más de la participación en las mismas o aquellas en las cuales tenga la capacidad de designar un miembro de junta, sin comprender aquellas personas designadas en el ejercicio de los derechos políticos que corresponden a las inversiones realizadas para los fondos de pensiones obligatorias y de cesantía que administran las AFP.
3. Las personas jurídicas en las cuales la o las personas a que se refiere el numeral 1 del presente artículo sean accionistas o beneficiarios reales, individual o conjuntamente, del cinco por ciento (5%) o más de la participación en las mismas o aquellas en las cuales tengan la capacidad de elegir un miembro de junta.
PARÁGRAFO 1o. Se entiende por beneficiario real cualquier persona o grupo de personas que, directa o indirectamente, por sí misma o a través de interpuesta persona, por virtud de contrato, convenio o de cualquier otra manera, tenga respecto de una acción o de cualquier participación en una sociedad, la facultad o el poder de votar en la elección de directivas o representantes o, de dirigir, orientar y controlar dicho voto, así como la facultad o el poder de enajenar y ordenar la enajenación o gravamen de la acción o de la participación.
Para los efectos de la presente definición, conforman un mismo beneficiario real los cónyuges o compañeros permanentes y los parientes dentro del segundo grado de consanguinidad, segundo de afinidad y único civil, salvo que se demuestre que actúan con intereses económicos independientes, circunstancia que podrá ser declarada mediante la gravedad de juramento ante la Superintendencia Financiera de Colombia con fines exclusivamente probatorios.
Una persona o grupo de personas se considera beneficiario real de una acción o participación si tiene derecho para hacerse a su propiedad con ocasión del ejercicio de un derecho proveniente de una garantía o de un pacto de recompra o de un negocio fiduciario o cualquier otro pacto que produzca efectos similares, salvo que los mismos no confieran derechos políticos.
Para los exclusivos efectos de esta disposición, se entiende que conforman un “grupo de personas” quienes actúen con unidad de propósito.
PARÁGRAFO 2o. No se considera que existe relación de vinculación cuando la participación en cualquiera de los casos señalados sea inferior al diez por ciento (10%) y los involucrados declaren bajo la gravedad de juramento ante la Superintendencia Financiera de Colombia, que actúan con intereses económicos independientes de los demás accionistas o beneficiarios reales o de la AFP.
PARÁGRAFO 3o. Para efectos de los porcentajes a los que alude el presente artículo, se excluirán las acciones o participaciones sin derecho a voto.
PARÁGRAFO 4o. No computarán para efectos del límite de que trata el presente artículo, los títulos derivados de titularizaciones cuyo originador sea una o varias personas que se encuentren en los supuestos de vinculación antes mencionados, siempre y cuando se trate de titularización de cartera y se cumplan las siguientes condiciones:
a. La o las personas vinculadas a la AFP no hayan originado el cincuenta por ciento (50%) o más de la cartera subyacente.
Para determinar este porcentaje se tomará como referencia el monto de la cartera subyacente a la fecha de emisión de los títulos derivados del proceso de titularización.
b. La o las entidades vinculadas a la AFP no asuman obligaciones contractuales que impliquen o puedan implicar la suscripción residual de los títulos no colocados de la correspondiente emisión.
c. La oferta pública se realice en su totalidad mediante la construcción del libro de ofertas en los términos del Título 2 del Libro 2 de la Parte 6 del presente decreto y las normas que lo modifiquen o sustituyan.
ARTÍCULO 2.6.12.1.16. VALOR DE CADA TIPO DE FONDO DE PENSIONES OBLIGATORIAS. <Artículo modificado por el artículo 1 del Decreto 857 de 2011. El nuevo texto es el siguiente:> Para efectos del cálculo de los límites que se establecen en el Título 12 del Libro 6 de la Parte 2 del presente decreto, se deberá tener en cuenta como valor de cada tipo de fondo de pensiones obligatorias el correspondiente al resultado de la suma de las inversiones y activos descritas en el artículo 2.6.12.1.2. del presente decreto que componen los diferentes tipos de fondos de pensiones obligatorias en el régimen de ahorro individual con solidaridad.
Para el cálculo de los límites establecidos en el artículo 2.6.12.1.7. del presente decreto se excluirá del valor del fondo el precio justo de intercambio de los instrumentos financieros derivados con fines de inversión registrados en el activo de que trata el subnumeral 3.5.2 del artículo 2.6.12.1.2.
PARÁGRAFO. Para efectos del cómputo de las inversiones en instrumentos financieros derivados, se deberá tener en cuenta el valor neto, calculado como el precio justo de intercambio de los instrumentos financieros derivados registrados en el activo, menos el precio justo de intercambio de los instrumentos financieros derivados registrados en el pasivo.
ARTÍCULO 2.6.12.1.17. VALOR DEL FONDO DE CESANTÍA Y DE LOS PORTAFOLIOS. <Artículo modificado por el artículo 1 del Decreto 857 de 2011. El nuevo texto es el siguiente:> Para efectos del cálculo de los límites que se establecen en el Título 12 del Libro 6 de la Parte 2 del presente decreto, se deberá tener en cuenta como valor de cada portafolio del fondo de cesantía el correspondiente al resultado de la suma de las inversiones y activos descritos en el artículo 2.6.12.1.2. del presente decreto que componen cada uno de los portafolios.
El valor del fondo de cesantía corresponderá a la suma del valor de los portafolios de largo plazo y de corto plazo.
PARÁGRAFO. Para efectos del cómputo de las inversiones en instrumentos financieros derivados, se deberá tener en cuenta el valor neto, calculado como el precio justo de intercambio de los instrumentos financieros derivados registrados en el activo, menos el precio justo de intercambio de los instrumentos financieros derivados registrados en el pasivo.
ARTÍCULO 2.6.12.1.18. EXCESOS EN LAS INVERSIONES U OPERACIONES. <Artículo modificado por el artículo 17 del Decreto 765 de 2016. El nuevo texto es el siguiente:> Cuando se presenten excesos en los límites previstos en este decreto, como consecuencia de la valorización o desvalorización de las inversiones que conforman cada uno de los tipos de fondos de pensiones obligatorias o cada uno de los portafolios de fondos de cesantía, o de las inversiones provenientes del pago de dividendos en acciones y los mismos permanezcan de manera continua durante los quince (15) días calendario siguientes, las AFP, el día hábil siguiente al vencimiento del citado plazo, deberán someter a consideración de la Superintendencia Financiera de Colombia un plan que permita ajustar el tipo de fondo o portafolio a los límites vigentes en un plazo no superior a los siguientes cuarenta y cinco (45) días calendario. La Superintendencia Financiera de Colombia podrá prorrogar el plazo de ajuste definido en el presente inciso, previo análisis de las razones, evidencias y evaluaciones de riesgo e impacto suministradas por la AFP en su solicitud de prórroga, con las cuales justifique el no haberse ajustado a los límites legales dentro del plazo antes mencionado.
Cuando una inversión o jurisdicción pierda la calificación de grado de inversión, que torne en inadmisible dicha inversión con posterioridad a su adquisición, la AFP deberá remitir a la Superintendencia Financiera de Colombia dentro de los diez (10) días hábiles siguientes a la ocurrencia del hecho, un plan de ajuste o de desmonte con los respectivos análisis de riesgo e impacto.
Así mismo, cuando las inversiones, la celebración de operaciones repo, simultáneas y de transferencia temporal de valores y la realización de operaciones con instrumentos financieros derivados sean efectuadas excediendo los límites de que trata el Título XII del Libro 6 de la Parte 2 del presente decreto, la AFP deberá adoptar de manera inmediata las acciones conducentes al cumplimiento de los límites, sin perjuicio de las sanciones a que haya lugar.
En todo caso, no se podrán realizar nuevas inversiones en la clase de activos que se encuentran excedidos, mientras no se ajusten a los límites vigentes.
PARÁGRAFO. Cuando en el caso de las inversiones descritas en los subnumerales 1.10 y 2.7 del artículo 2.6.12.1.2 se presenten llamados de capital o distribuciones de capital que generen excesos en los límites previstos en el presente decreto, se procederá como lo establece el inciso primero del presente artículo. En estos casos no se aplicará lo establecido en el inciso cuarto del presente artículo.
ARTÍCULO 2.6.12.1.19. INVERSIONES EN TÍTULOS INSCRITOS EN EL REGISTRO NACIONAL DE VALORES Y EMISORES Y MECANISMOS DE TRANSACCIÓN. <Artículo modificado por el artículo 1 del Decreto 857 de 2011. El nuevo texto es el siguiente:>
<Inciso modificado el artículo 17 del Decreto 1745 de 2020. El nuevo texto es el siguiente:> Todas las inversiones del artículo 2.6.12.1.2 del presente decreto, en los instrumentos descritos en los subnumerales 1.1,1.2, 1.3, 1.4,1.6, 1.8 respecto de fondos de inversión colectiva cerrados y escalonados, 1.9.1, 1.9.2, 1.9.4 respecto de fondos de inversión colectiva cerrados y escalonados, 1.9.5, 1.10 y 3.6 de emisores nacionales y los emitidos en Colombia por emisores del exterior, deben realizarse sobre títulos inscritos en el Registro Nacional de Valores y Emisores, salvo que se trate de emisiones de emisores nacionales colocadas exclusivamente en el exterior que hayan dado cumplimiento a las normas de la Superintendencia Financiera de Colombia o acciones de empresas donde el Estado colombiano tenga participación.
Adicionalmente, toda transacción de acciones, independiente del monto, debe realizarse a través de una bolsa de valores, salvo cuando se trate de:
a. Procesos de privatización.
b. Adquisiciones en el mercado primario.
c. Entrega de acciones para la constitución de aportes en fondos bursátiles de que trata el Libro 1 de la Parte 3 del presente decreto o demás normas que lo modifiquen o sustituyan, así como, las que reciba con ocasión de la redención de las participaciones en dichas carteras.
d. El pago de dividendos en acciones.
e. Las recibidas en dación en pago.
Las negociaciones de las inversiones del artículo 2.6.12.1.2. del presente decreto descritas en los subnumerales 1.1, 1.2, 1.3, 1.4, 1.5, 1.6, 1.9.5 y 3.6 de emisores nacionales y los emitidos en Colombia por emisores del exterior deberán realizarse a través de sistemas de negociación de valores o sistemas de cotización de valores extranjeros aprobados por la Superintendencia Financiera de Colombia, o en el mercado mostrador registradas en un sistema de registro de operaciones sobre valores debidamente autorizado por la Superintendencia Financiera de Colombia, siempre y cuando las mismas sean compensadas y liquidadas mediante un sistema de liquidación y compensación de valores, autorizado por dicha Superintendencia.
Toda transacción de las inversiones a las que se refiere el subnumeral 2.6.2 del artículo 2.6.12.1.2. debe realizarse a través de las bolsas de valores que establezca la Superintendencia Financiera de Colombia, la que tendrá en cuenta para el efecto consideraciones tales como el riesgo país, las características de los sistemas institucionales de regulación, fiscalización y control sobre el emisor y sus títulos en el respectivo país, la liquidez del mercado secundario, los requisitos mínimos que las bolsas de valores exigen a los emisores y a sus respectivos títulos para que estos puedan ser cotizados en las mismas y los sistemas de regulación, fiscalización y control sobre la bolsa de valores por parte de la autoridad reguladora pertinente. La relación de las bolsas de valores autorizadas deberá ser publicada por la Superintendencia Financiera de Colombia en su página de Internet.
Las inversiones admisibles del numeral 2 del artículo 2.6.12.1.2. del presente decreto podrán negociarse a través de sistemas de cotización de valores extranjeros, previamente autorizados por la Superintendencia Financiera de Colombia.
PARÁGRAFO. Lo dispuesto en el presente artículo aplicará sin perjuicio de lo previsto en el artículo 2.6.11.1.15 de este decreto.
ARTÍCULO 2.6.12.1.20. CUSTODIA. <Artículo modificado por el artículo 1 del Decreto 857 de 2011. El nuevo texto es el siguiente:> La totalidad de los títulos o valores representativos de las inversiones de los fondos de pensiones obligatorias y de los fondos de cesantía susceptibles de ser custodiados deben mantenerse en todo momento en los depósitos centralizados de valores debidamente autorizados para funcionar por la Superintendencia Financiera de Colombia.
Para efectos de los depósitos se tendrán en cuenta los términos establecidos en los reglamentos de operaciones de los citados depósitos centralizados de valores, contados a partir de la fecha de la adquisición o de la transferencia de propiedad del título o valor.
Las inversiones en títulos de emisores del exterior o nacionales que se adquieran y permanezcan en el extranjero y que por su naturaleza sean susceptibles de ser custodiados también podrán mantenerse en depósito y custodia en bancos extranjeros, instituciones constituidas en el exterior que presten servicios de custodia o en instituciones de depósito y custodia de valores constituidas en el exterior que tengan como giro exclusivo el servicio de custodia, siempre y cuando cumplan las siguientes condiciones:
a. Tener una experiencia mínima de cinco (5) años en servicios de custodia;
b. Tratándose de bancos extranjeros o instituciones constituidas en el exterior que presten servicios de custodia, estos deben estar calificados como grado de inversión;
c. La entidad de custodia se encuentre regulada y supervisada en el Estado en el cual se encuentre constituida, y
d. En los contratos de custodia, se haya establecido:
i. La obligación del custodio extranjero de remitir a la Superintendencia Financiera de Colombia, cuando esta la solicite, en la forma prevista en el contrato de custodia o en el celebrado con el depositante directo, las posiciones mantenidas en las cuentas de custodia de cada uno de los tipos de fondos o portafolios y los movimientos de las mismas o, la obligación para que el custodio le permita a la Superintendencia Financiera de Colombia el acceso directo a través de medios informáticos a las cuentas de custodia.
ii. Que el custodio no puede prestar los activos de los tipos de fondo o de los portafolios ni usar los mismos para liquidar deudas que tenga con la AFP.
Para el efecto, la AFP deberá remitir a la Superintendencia Financiera de Colombia, dentro de los quince (15) días siguientes a su suscripción, una copia del respectivo contrato y de sus modificaciones, con traducción oficial al español, si fuere el caso.
ARTÍCULO 2.6.12.1.21. INVERSIONES NO AUTORIZADAS. <Artículo derogado por el artículo 4 del Decreto 1486 de 2018, una vez se cumpla el régimen de transición de que trata el artículo 3o del Decreto 1486 de 2018. Consultar en Legislación Anterior el texto vigente hasta esta fecha>
ARTÍCULO 2.6.12.1.22. OPERACIONES DE REPORTO O REPO PASIVAS Y OPERACIONES SIMULTÁNEAS PASIVAS. <Artículo modificado por el artículo 1 del Decreto 857 de 2011. El nuevo texto es el siguiente:> Únicamente para atender solicitudes de retiros o gastos de los tipos de fondos de pensiones obligatorias y de los portafolios del fondo de cesantía, las AFP podrán celebrar con los activos del respectivo tipo de fondo o portafolio operaciones de reporto pasivo y/o operaciones simultáneas pasivas.
En ningún caso la suma de las operaciones referidas podrá ser superior al uno por ciento (1%) del valor de cada tipo de fondo de pensiones obligatorias. Para el fondo de cesantías, este límite no podrá ser superior al cinco por ciento (5%) del valor de cada portafolio.
En todo caso, los valores que entregue el fondo de pensiones obligatorias o el fondo de cesantía en desarrollo de estas operaciones computarán para efectos del cumplimiento de todos los límites de que trata el Título 12 del Libro 6 de la Parte 2 del presente decreto.
ARTÍCULO 2.6.12.1.23. MECANISMO DE REGISTRO DE OPERACIONES. <Artículo modificado por el artículo 1 del Decreto 857 de 2011. El nuevo texto es el siguiente:> Las AFP deberán implementar un mecanismo que permita identificar de manera completa, clara y suficiente el tipo de fondo o portafolio para el cual se efectúa la operación.
Los efectos y/o resultados de las operaciones realizadas, directamente o a través de un intermediario de valores, no podrán afectar a un fondo o portafolio administrado distinto del que se haya identificado en dicho mecanismo, ni a la AFP.
PARÁGRAFO 1o. La Superintendencia Financiera de Colombia establecerá, mediante instrucciones de carácter general, las reglas y requisitos para el funcionamiento del mecanismo de registro de operaciones que se establece en el presente artículo.
PARÁGRAFO 2o. Los sistemas de negociación de valores y los sistemas de registro de valores deberán adoptar las medidas necesarias para permitir la identificación del tipo fondo o portafolio al momento de la recepción de las órdenes o la información sobre las operaciones realizadas. La Superintendencia Financiera, mediante instrucciones de carácter general, definirá las condiciones requeridas para el efecto.
ARTÍCULO 2.6.12.1.24. LÍMITES GLOBALES DE INVERSIÓN PARA EL FONDO ESPECIAL DE RETIRO PROGRAMADO. <Artículo modificado por el artículo 5 del Decreto 59 de 2018. El nuevo texto es el siguiente:> La inversión del Fondo Especial de Retiro Programado en los distintos activos señalados en el artículo 2.6.12.1.2 del presente decreto estará sujeta a los límites máximos previstos a continuación con respecto al valor del Fondo Especial de Retiro Programado:
1. Hasta en un veinte por ciento (20%) para los instrumentos descritos en el subnumeral 1.1.2.
2. Hasta en un treinta por ciento (30%) para los instrumentos descritos en el subnumeral 1.2.
3. Hasta en un quince por ciento (15%) para los instrumentos descritos en el subnumeral 1.3.
4. Hasta en un cinco por ciento (5%) para los instrumentos descritos en los subnumerales 1.4 y 1.9.5.
5. Hasta un sesenta por ciento (60%) para los instrumentos descritos en el subnumeral 1.6.
6. Hasta en un cinco por ciento (5%) para la suma de los instrumentos descritos en los subnumerales 1.7 y 1.9.3.
7. Hasta en un quince por ciento (15%) para los instrumentos descritos en el subnumeral 1.9.
8. Hasta en un cuarenta por ciento (40%) para los instrumentos descritos en el numeral 2 y el subnumeral 3.3. Los títulos o valores de emisores del exterior que hagan parte de los instrumentos descritos en los subnumerales 1.7 y 1.9.3 computarán para efectos del límite establecido en el presente numeral.
9. Hasta en un diez por ciento (10%) para los depósitos del subnumeral 3.2.
10. Hasta un cinco por ciento (5%) para la suma de los depósitos descritos en los subnumerales 3.1 y 3.3. Para determinar el límite previsto en este numeral no se deben tener en cuenta dentro del saldo de los depósitos del fondo, las sumas recibidas durante los últimos veinte (20) días hábiles por concepto de aportes, traslados de otros fondos y vencimientos de capital e intereses de las inversiones, de acuerdo con las condiciones nominales de las mismas, así como aquellos recursos que por disposición expresa deben mantenerse en depósitos a la vista con antelación a la fecha de cumplimiento de la adquisición de la inversión. Tampoco serán tenidos en cuenta dentro del saldo de los depósitos a la vista las sumas asociadas a las operaciones a que hacen referencia los subnumerales 3.5.2 y 3.7.
11. Hasta en un cinco por ciento (5%) en las operaciones señaladas en el subnumeral 3.4.1 y hasta en un tres por ciento (3%) para las operaciones señaladas en el subnumeral 3.4.2.
12. Hasta en un dos por ciento (2%) para los instrumentos descritos en el subnumeral 3.5.2. Asimismo, los activos subyacentes objeto de estas operaciones computarán para el cálculo de todos los límites previstos en el Título 12 del Libro 6 de la Parte 2 del presente decreto.
Para el efecto, los límites se calcularán con base en el precio fijado en el contrato y en el caso de las opciones compradas computarán por el valor del derecho contabilizado, de conformidad con las instrucciones impartidas por la Superintendencia Financiera de Colombia.
13. Hasta en un diez por ciento (10%) para las operaciones señaladas en el subnumeral 3.7.
14. La suma de las inversiones en moneda extranjera que puede tener sin cobertura cambiaria el Fondo Especial de Retiro Programado no podrá exceder del quince por ciento (15%) del valor del fondo. Dentro de esta suma deberán tenerse en cuenta las inversiones en moneda extranjera que tengan los instrumentos descritos en los subnumerales 1.7 y 1.9.3 del artículo 2.6.12.1.2 del presente decreto.
15. <Numeral modificado por el artículo 8 del Decreto 1393 de 2020. El nuevo texto es el siguiente:> Hasta el porcentaje máximo aprobado por la Junta Directiva en su Política de Inversión para el valor de la inversión directa en la suma de los instrumentos descritos en los subnumerales 1.10, 1.11, 2.7, y 2.10 del artículo 2.6.12.1.2 del presente decreto, considerados como activos alternativos. Así mismo, la Junta Directiva deberá aprobar en su Política de Inversión el porcentaje máximo de inversión en los distintos tipos de activos alternativos que se señalan en este numeral, incluyendo los tipos de fondos de capital privado que se mencionan en el numeral 1.10 del artículo 2.6.12.1.2 del presente decreto. Para efectos de aprobar dichos límites la Junta Directiva deberá contar con las recomendaciones del Comité de Riesgos y Comité de Inversiones.
16. Hasta un cinco por ciento (5%) para la suma de los instrumentos descritos en los subnumerales 1.10 y 2.7, exceptuando los fondos de capital privado inmobiliarios. Asimismo, para el cómputo de este límite no se tendrá en cuenta el porcentaje de las inversiones cuyo límite se describe en el numeral 17 del presente artículo.
17. <Numeral derogado por el artículo 23 del Decreto 1393 de 2020>
18. Hasta el uno por ciento (1 %) para la suma de los compromisos a plazo que se realicen para invertir en los títulos previstos en los numerales 1.4, 1.6. y 1.9.5 del artículo 2.6.12.1.2 siempre y cuando: i) vayan a ser emitidos exclusivamente para la financiación de proyectos de infraestructura de la cuarta generación de concesiones viales (4G) o cualquier otro programa que lo sustituya, modifique o actualice, ii) se presente bajo el esquema de Asociaciones Público Privadas (APP) descritas en la Ley 1508 de 2012, en los que la Agencia Nacional de Infraestructura (ANI) haga parte de la respectiva APP, y iii) la fuente principal de pago de los títulos provenga de recursos originados en etapa de operación y mantenimiento de una o varias unidades funcionales de los mencionados proyectos.
Con los recursos del Fondo Especial de Retiro Programado no se podrá invertir en los instrumentos descritos en los subnumerales 1.8, 1.9.2, 1.9.4, 2.8, 2.9 y 3.6.
PARÁGRAFO. Para el Fondo Especial de Retiro Programado los límites de inversión en títulos y/o valores participativos serán los establecidos para el Fondo Conservador en el artículo 2.6.12.1.4 del presente decreto.
ARTÍCULO 2.6.12.1.25 INVERSIONES RESTRINGIDAS. <Artículo adicionado por el artículo 19 del Decreto 765 de 2016. El nuevo texto es el siguiente:> Las siguientes inversiones serán consideradas como restringidas:
1. <Numeral modificado por el artículo 9 del Decreto 1393 de 2020. El nuevo texto es el siguiente:> El valor de la inversión indirecta en los títulos representativos de deuda de emisores del exterior en que pueden invertir los fondos de inversión colectiva descritos en los subnumerales 1.7, 1.8, 1.9.3, 1.9.4 del artículo 2.6.12.1.2 del presente decreto, que no cumplan con el requisito de calificación descrito en ·el inciso quinto del numeral 1 del artículo 2.6.12.1.3 del presente decreto.
2. Las participaciones en fondos de que tratan los subnumerales 2.5 y 2.6.1 en cuanto a fondos balanceados del artículo 2.6.12.1.2 del presente decreto, que no cumplan con el requisito de calificación descrito en el último inciso del numeral 2 del artículo 2.6.12.1.3 del presente decreto.
3. Las participaciones en fondos de inversión colectiva apalancados de que trata el Capítulo V del Título I del Libro 1 de la Parte 3 del presente decreto.
4. Las mencionadas en el subnumeral 2.9 del artículo 2.6.12.1.2 del presente decreto.
5. <Numeral derogado por el artículo 23 del Decreto 1393 de 2020>
ARTÍCULO 2.6.12.1.26. VALORACIÓN DEL FONDO ESPECIAL DE RETIRO PROGRAMADO. <Artículo adicionado por el artículo 6 del Decreto 59 de 2018. El nuevo texto es el siguiente:> Las inversiones del Fondo Especial de Retiro Programado se deberán registrar inicialmente por su costo de adquisición y desde ese mismo día una parte no inferior al 70% del valor del fondo deberá ser valorada a valor razonable, mientras que la parte restante podrá ser valorada a costo amortizado.
Los montos correspondientes a las partes valoradas a valor razonable y costo amortizado, dentro del límite definido por cada administradora de fondos de pensión, deberán responder a los perfiles de sus afiliados y/o pensionados y estar incluidos dentro de las políticas de inversión de la entidad y en esa medida, ser aprobados de manera previa por su Junta Directiva.
PARÁGRAFO 1. Las inversiones del fondo que se valoren a costo amortizado deberán cumplir las siguientes características:
a) El activo se conserva dentro de un modelo de negocio cuyo objetivo es mantener los activos para obtener los flujos de efectivo contractuales;
b) Las condiciones contractuales del activo financiero dan lugar, en fechas especificadas, a flujos de efectivo que son únicamente pagos del principal e interés sobre el importe del principal pendiente.
En caso de que los activos no cumplan con las características señaladas anteriormente, deberán valorarse a valor razonable de acuerdo con las normas vigentes sobre la materia.
PARÁGRAFO 2. La Superintendencia Financiera de Colombia, podrá autorizar la reclasificación de las inversiones clasificadas como negociables a la categoría de inversiones al vencimiento. Dicha reclasificación operará por una única vez y para su cálculo deberá ser efectuada con la tasa interna de retorno del cierre del día anterior. Para el efecto, la AFP deberá presentar un documento que justifique técnicamente dicha solicitud a la Superintendencia Financiera de Colombia.
PARÁGRAFO 3. Las inversiones del fondo que se valoren a costo amortizado no podrán ser reclasificadas por parte de la administradora.
REGLAS DE GOBIERNO CORPORATIVO COMUNES AL PROCESO DE INVERSIÓN.
ARTÍCULO 2.6.13.1.1. POLÍTICAS DE INVERSIÓN Y ASIGNACIÓN ESTRATÉGICA DE ACTIVOS. <Artículo modificado por el artículo 2 del Decreto 857 de 2011. El nuevo texto es el siguiente:> Las Juntas Directivas de las Sociedades Administradoras de Fondos de Pensiones y de Cesantías, en adelante las AFP, deberán, en concordancia con los objetivos de cada uno de los tipos de fondos de pensiones obligatorias y de cada uno de los portafolios del fondo de cesantía, aprobar:
a. <Literal modificado por el artículo 10 del Decreto 1393 de 2020. El nuevo texto es el siguiente:> La Política de Inversión de cada uno de los tipos de fondos de pensiones obligatorias y de cada uno de los portafolios del fondo de cesantía, la cual será divulgada a los afiliados y al público en general, según las instrucciones que imparta la Superintendencia Financiera de Colombia. En todo caso dicha Política de Inversión deberá incluir un capítulo sobre conflictos de interés en el marco del artículo 2.39.3.1.5 del presente decreto, que contenga como mínimo:
i. Criterios para identificar, administrar y revelar las situaciones de potenciales conflictos de interés.
ii. Revisiones periódicas de las decisiones adoptadas.
iii. Evaluación de riesgos por concentración, contagio, sistémico y reputacional.
iv. Procedimientos de revelación de información detallada sobre las operaciones realizadas y sobre el cumplimiento de los deberes contenidos en el artículo 2.39.3.1.4 del presente decreto.
Adicionalmente, y sin perjuicio de las instrucciones adicionales que imparta la Superintendencia Financiera de Colombia, la Política de Inversión deberá incluir un capítulo de inversiones alternativas que deberá contener la siguiente información mínima respecto de las inversiones realizadas en los activos descritos en los subnumerales 1.10, 1.11, 2.7, 2.8, 2.9 y 2.10 del artículo 2.6.12.1.2 del presente decreto:
i. Las políticas y límites prudenciales internamente establecidos por la AFP para la exposición al riesgo financiero asociado con este tipo de inversiones.
ii. Los modelos y metodologías adoptados por la AFP para la medición y valoración del riesgo financiero asociado con este tipo de inversiones.
iii. Los procesos adoptados para la medición, monitoreo y reporte de los riesgos financiero y operativo asociados con este tipo de inversiones.
iv. Las políticas y medidas de control interno adoptadas por la AFP para corregir cualquier desviación que ocurra con respecto a la máxima exposición a los riesgos financiero y operacional establecidas en la Política de Inversión.
b. La Asignación Estratégica de Activos, es decir, la distribución de las clases de activos definidas por el Comité de Inversiones para cada uno de los tipos de fondos de pensiones obligatorias y para el portafolio de largo plazo del fondo de cesantía, la cual deberá ser remitida a la Superintendencia Financiera de Colombia con la periodicidad que la misma establezca. La Asignación Estratégica de Activos no comprende la selección específica de cada título, valor o activo dentro de las clases definidas y el momento de ejecución de las inversiones.
c. <Literal adicionado por el artículo 20 del Decreto 765 de 2016. El nuevo texto es el siguiente:> Las comisiones máximas derivadas de las operaciones realizadas respecto de las inversiones de que tratan los numerales 1.7, 1.8, 1.9.3, 1.9.4, 1.10, 1.11, 2.5, 2.6.1, 2.7, 2.8, 2.9 y 2.10 del artículo 2.6.12.1.2 del presente decreto, que se celebren en cada uno de los tipo de fondos de pensiones obligatorias y en cada uno de los portafolios del fondo de cesantía, deberán hacer parte de la asignación estratégica de activos de que trata el literal b) del presente artículo. Estas comisiones deberán ser calculadas por la Sociedad Administradora con base en una metodología que tenga en cuenta los costos y comisiones de mercado. Cuando las comisiones pagadas sean mayores a las máximas establecidas, los excesos sobre estas últimas serán a cargo de la Sociedad Administradora de Fondos de Pensiones y de Cesantías. La Superintendencia Financiera de Colombia podrá determinar las condiciones en las que se cumplirá el presente deber.
Para la definición de las Políticas de Inversión y la Asignación Estratégica de Activos la Junta Directiva deberá tener en consideración los análisis y recomendaciones del Comité de Riesgo. En las actas de la Junta Directiva deberá incorporarse el texto completo de lo aprobado por dicho órgano social.
La Junta Directiva deberá velar porque todos los administradores y funcionarios que participen en el proceso de inversión de los recursos de los fondos de pensiones obligatorias y del fondo de cesantía cumplan con las Políticas de Inversión y la Asignación Estratégica de Activos adoptadas y deberá establecer mecanismos de control necesarios para el efecto. Adicionalmente, el revisor fiscal deberá verificar el cumplimiento de las Políticas de Inversión. Lo anterior, sin perjuicio de las actuaciones administrativas que pueda adelantar la Superintendencia Financiera de Colombia.
PARÁGRAFO 1o. Las AFP deberán contar con un Comité de Inversiones en el cual se tomarán las decisiones de inversión de acuerdo con las Políticas de Inversión y la Asignación Estratégica de Activos aprobadas por la Junta Directiva para cada tipo de fondo de pensiones obligatorias y para cada portafolio del fondo de cesantía, según corresponda. En las reuniones del Comité de Inversiones se deberán analizar las situaciones relativas a los potenciales conflictos de interés relacionados con el proceso de inversión y su tratamiento, dejando constancia de los temas discutidos.
PARÁGRAFO 2o. La Superintendencia Financiera de Colombia mediante instrucciones de carácter general establecerá: a) El contenido mínimo de las Políticas de Inversión y de la Asignación Estratégica de Activos que se definen en este artículo y, b) Los requisitos mínimos para la conformación y funcionamiento del Comité de Inversiones y del Comité de Riesgos, las responsabilidades de dichos comités y la forma en que deberán documentarse las decisiones que se tomen.
PARÁGRAFO 3o. <Parágrafo adicionado por el artículo 11 del Decreto 1393 de 2020. El nuevo texto es el siguiente:> La aprobación o modificación por parte de la Junta Directiva de los límites establecidos en el numeral 11 del artículo 2.6.12.1.6, el numeral 11 del artículo 2.6.12.1.7, el numeral 11 del artículo 2.6.12.1.8, el artículo 2.6.12.1.13, el artículo 2.6.12.1.14 y el numeral 15 del artículo 2.6.12.1.24 del presente decreto, contenidos en la política de inversión de la respectiva AFP deberá contar con una justificación profesional en los términos señalados en el artículo 2.6.13.1.9 del presente decreto. La justificación profesional y sus soportes deberán quedar debidamente documentados y a disposición de la Superintendencia Financiera de Colombia, la cual podrá ordenar una revisión de los límites referidos en el presente parágrafo, sin perjuicio de las facultades generales de supervisión y control con que cuenta esta entidad.
ARTÍCULO 2.6.13.1.2. EJERCICIO DE DERECHOS POLÍTICOS. <Artículo modificado por el artículo 2 del Decreto 857 de 2011. El nuevo texto es el siguiente:> Las AFP deberán ejercer los derechos políticos que correspondan a las inversiones realizadas con los recursos de los fondos de pensiones obligatorias y del fondo de cesantía cuando sumadas las posiciones de los cuatro (4) tipos de fondos de pensiones obligatorias o de los dos (2) portafolios del fondo de cesantía, según corresponda, tengan una participación relevante. Se entiende por participación relevante: (i) un porcentaje de participación igual o superior al cinco por ciento (5%) del capital de la sociedad emisora, y (ii) un porcentaje de participación igual o superior al cinco por ciento (5%) de una emisión de valores distinta de acciones. Así mismo, se tendrá una participación relevante cuando alguno de los cuatro (4) tipos de fondos de pensiones obligatorias o el fondo de cesantía, tenga una participación en el capital de una sociedad emisora o en una emisión de valores, igual o superior al cinco por ciento (5%) del valor del respectivo fondo.
Las AFP deberán velar por que siempre prevalezca el interés de los afiliados y ejercer los derechos políticos de conformidad con una política aprobada por su Junta Directiva. La Superintendencia Financiera de Colombia instruirá respecto del contenido mínimo de la Política de Ejercicio de Derechos Políticos, la periodicidad con la cual deberá ser revisada y la forma en que será divulgada a los afiliados y al público en general.
Los representantes que las AFP designen para ejercer los derechos políticos estarán obligados a cumplir con la política de la entidad y a informar a la AFP respecto de la justificación del voto emitido cuando la misma no conste en la respectiva acta. Cuando una AFP vote de forma contraria a la mayoría deberá entregar una constancia que justifique las razones de su decisión a quien ejerza la secretaría de la reunión para que sea incorporada en el acta respectiva.
La designación de miembros de Junta Directiva en los emisores de valores se regirá por lo previsto en el artículo 2.6.13.1.5.
ARTÍCULO 2.6.13.1.3. ACUERDOS DE ACCIONISTAS. <Artículo modificado por el artículo 2 del Decreto 857 de 2011. El nuevo texto es el siguiente:> Las AFP, sin perjuicio de lo previsto en las normas sobre transparencia e integridad del mercado, podrán suscribir, en nombre de los tipos de fondos de pensiones obligatorias y de los portafolios del fondo de cesantía que administran, acuerdos de accionistas o convenios con otros inversionistas con el alcance previsto en la ley, asumiendo para el efecto obligaciones a plazo o condición.
Los acuerdos o convenios mencionados deberán remitirse a la Superintendencia Financiera de Colombia de forma inmediata a su suscripción.
ARTÍCULO 2.6.13.1.4. DOCUMENTACIÓN. <Artículo modificado por el artículo 2 del Decreto 857 de 2011. El nuevo texto es el siguiente:> Las AFP deberán documentar, de conformidad con sus procedimientos internos, los análisis e instrucciones que impartan a sus representantes para el ejercicio de los derechos políticos. Los soportes deberán estar a disposición de la Superintendencia Financiera de Colombia de conformidad con la normatividad aplicable y las instrucciones que ella imparta.
ARTÍCULO 2.6.13.1.5. PARTICIPACIÓN EN LA ELECCIÓN DE MIEMBROS DE JUNTA DIRECTIVA DE LOS EMISORES DE VALORES. <Artículo modificado por el artículo 2 del Decreto 857 de 2011. El nuevo texto es el siguiente:> El ejercicio de los derechos políticos para la postulación y elección de miembros de Junta Directiva de los emisores de valores por parte de las AFP se sujetará a las siguientes reglas:
1. En la Política de Ejercicio de Derechos Políticos de las AFP se deberán establecer los criterios y procedimientos de selección de las personas que serán propuestas y/o votadas para ser miembros de Junta Directiva o Consejo de Administración. En todo caso, las AFP, en representación de los fondos de pensiones obligatorias y del fondo de cesantía, podrán actuar concertadamente entre sí.
2. La persona en cuya postulación participe una AFP deberá ser independiente de la misma y de las entidades vinculadas a dicha AFP. Para tal efecto, se evaluará la independencia de la persona a postular con la aplicación de los criterios del parágrafo 2o del artículo 44 de la Ley 964 de 2005 con relación a la respectiva AFP y sus vinculados, salvo el establecido en el numeral 5 de dicho parágrafo.
Para efectos de la aplicación del criterio contenido en el numeral 6 del mencionado parágrafo, no se tendrá como independiente la persona que reciba de una AFP o de sus entidades vinculadas alguna remuneración diferente a los honorarios como miembro de la junta directiva, del comité de auditoría o de cualquier otro comité creado por la junta directiva, cuando dicha remuneración represente el veinte por ciento (20%) o más del total de los ingresos recibidos por concepto de honorarios por esa persona durante el último año.
Se tendrá como vinculado a la AFP a la persona o personas que se encuentren en alguno de los supuestos señalados en el artículo 2.6.12.1.15. del presente decreto.
3. Cuando se trate de elección de miembros de Junta Directiva independientes del emisor, a los que se refiere el artículo 44 de la Ley 964 de 2005, la persona en cuya elección participe una AFP deberá ser independiente de la misma y de las entidades vinculadas a dicha AFP. Para tal efecto, se evaluará la independencia de la persona a postular y/o elegir con la aplicación de los criterios del parágrafo 2o del artículo 44 de la Ley 964 de 2005 con relación a la respetiva AFP y sus vinculados, salvo el establecido en el numeral 5 de dicho parágrafo.
Para efectos de la aplicación del criterio contenido en el numeral 6 del mencionado parágrafo, no se tendrá como independiente la persona que reciba de una AFP o de sus entidades vinculadas alguna remuneración diferente a los honorarios como miembro de la junta directiva, del comité de auditoría o de cualquier otro comité creado por la junta directiva, cuando dicha remuneración represente el veinte por ciento (20%) o más del total de los ingresos recibidos por concepto de honorarios por esa persona durante el último año.
Se tendrá como vinculado a la AFP a la persona o personas que se encuentren en alguno de los supuestos señalados en el artículo 2.6.12.1.15. del presente decreto.
4. Deberán documentar la evaluación respecto de las calidades personales, idoneidad, trayectoria, integridad y experiencia de las personas en cuya postulación y elección participen, así como las razones que tuvieron para su elección.
5. Deberán abstenerse de solicitar a los miembros de Junta Directiva que hayan sido elegidos con su concurso información del emisor de valores que no tenga carácter público y/o de impartir instrucciones respecto de la forma de ejercer su cargo.
ARTÍCULO 2.6.13.1.6. VERIFICACIÓN DE LA GESTIÓN DE MIEMBROS DE JUNTA DIRECTIVA DE EMISORES DE VALORES POR PARTE DE LA AFP. <Artículo modificado por el artículo 2 del Decreto 857 de 2011. El nuevo texto es el siguiente:> La AFP no podrá controlar la gestión del miembro o miembros de Junta Directiva cuya elección promueva o apoye como accionista. En tal virtud, no direccionará la actuación ni ejercerá el control de la gestión de tales miembros, circunscribiéndose respecto de estos a verificar su asistencia y participación activa en el respectivo órgano colegiado.
ARTÍCULO 2.6.13.1.7. ESTÁNDARES DE GOBIERNO CORPORATIVO DE LOS EMISORES DE VALORES QUE SEAN RECEPTORES DE RECURSOS DE LOS FONDOS DE PENSIONES OBLIGATORIAS Y DEL FONDO DE CESANTÍA. <Artículo modificado por el artículo 2 del Decreto 857 de 2011. El nuevo texto es el siguiente:> La AFP deberá velar por que los emisores que reciban inversión de los fondos de pensiones obligatorias y del fondo de cesantía cuenten con estándares de gobierno corporativo que cumplan con las políticas internas de esta.
Con este propósito, la Junta Directiva de la AFP adoptará criterios discrecionales de inversión que le permitan evaluar el gobierno corporativo del emisor, basando su decisión de inversión en los resultados de dicha evaluación. Tales criterios deberán permitir como mínimo la evaluación de los siguientes aspectos del gobierno corporativo de los emisores de valores: a) la adecuada composición y el funcionamiento de los órganos de gobierno y control; b) la asignación clara de funciones y responsabilidades entre los distintos órganos de gobierno del emisor; c) La revelación y transparencia de la información financiera y no financiera, incluyendo la relacionada con los principales riesgos que tiene el emisor y la forma como estos se gestionan y la revelación completa de las operaciones que celebren con sus vinculados; d) los mecanismos de protección de los derechos de los accionistas minoritarios; e) las medidas para prevenir y gestionar los conflictos de interés entre accionistas, administradores, empleados, los vinculados a todos estos y los principales grupos de interés, y f) los demás que mediante instrucciones de carácter general determine la Superintendencia Financiera de Colombia.
Estos criterios, una vez adoptados, deberán ser divulgados a través de las páginas web de las AFP, y revisados y actualizados periódicamente por parte de su Junta Directiva.
ARTÍCULO 2.6.13.1.8. OBLIGACIONES DE LOS MIEMBROS DE JUNTA DIRECTIVA INDEPENDIENTES ELEGIDOS CON LA CONCURRENCIA DEL VOTO DE LOS FONDOS DE PENSIONES OBLIGATORIAS Y DE LOS FONDOS DE CESANTÍA. <Artículo modificado por el artículo 2 del Decreto 857 de 2011. El nuevo texto es el siguiente:> Las personas que acepten ser postuladas por una AFP como miembro independiente de una Junta Directiva de un emisor de valores y resulten elegidas en dicha dignidad, tendrán las siguientes obligaciones:
1. Actuar en el mejor interés de la sociedad y no podrán recibir instrucciones de quienes hayan concurrido con su voto a su elección.
2. Actuar con todo respeto de las normas de gobierno corporativo de la sociedad y propenderán por la adopción, desarrollo y fortalecimiento de las mejores prácticas corporativas.
3. Respetar el deber de confidencialidad de la información a que tengan acceso por su participación en la Junta Directiva y, por tanto, no suministrarán información reservada a las personas que con su voto hayan concurrido a su elección.
4. No incurrir en ninguna circunstancia que implique la pérdida de su calidad de independiente respecto del emisor de valores, de las AFP que hayan concurrido con su voto a su elección y/o de los vinculados de la AFP. En caso de que sobrevenga alguna circunstancia que desvirtúe su independencia, la persona deberá presentar renuncia a su posición en la Junta Directiva dentro del mes siguiente a la ocurrencia de la misma.
PARÁGRAFO. Para efectos de la evaluación que de su gestión y desempeño deben realizar las AFP los miembros independientes de Junta Directiva a que se refiere el presente artículo deberán presentar los informes que estas requieran sin que ello implique el suministro de información reservada y confidencial del emisor de valores respectivo.
ARTÍCULO 2.6.13.1.9. PROFESIONALIDAD. <Artículo adicionado por el artículo 12 del Decreto 1393 de 2020. El nuevo texto es el siguiente:> Los administradores de las sociedades administradoras de fondos de pensiones y cesantía deberán actuar de manera profesional, con la diligencia exigible a un experto prudente y diligente en la administración de fondos de pensiones y cesantía.
La administración de los fondos de pensiones y cesantía deberá realizarse en las mejores condiciones posibles para los afiliados, teniendo en cuenta, pero sin limitarse a análisis riesgo-retorno, horizonte de tiempo de las inversiones, las características de las operaciones, la diversificación de las inversiones, la situación del mercado al momento de efectuar operaciones, los costos asociados a las inversiones, las oportunidades para generar valor, las previsiones establecidas en la política de inversión y en la asignación estratégica de activos, demás criterios establecidos en el presente decreto y cualquier otro factor relevante que tendría en cuenta un profesional en la administración de fondos de pensiones y cesantía.
NORMAS APLICABLES A LAS SOCIEDADES DE INTERMEDIACIÓN CAMBIARIA Y DE SERVICIOS FINANCIEROS ESPECIALES.
ARTÍCULO 2.7.1.1.1 DEFINICIÓN.
<Fuente original compilada: D. 4601/10 Art. 1o.> Son sociedades de intermediación cambiaria y de servicios financieros especiales, las personas jurídicas organizadas con arreglo a las disposiciones del presente decreto, cuyo objeto social sea realizar las operaciones de pagos, recaudos, giros y transferencias nacionales en moneda nacional, así como actuar como corresponsales no bancarios, de conformidad con lo señalado en el artículo 34 de la Ley 1328 de 2009.
Así mismo, en su condición de intermediario del mercado cambiario, las citadas sociedades podrán realizar las operaciones autorizadas bajo el régimen cambiario que para el efecto determine la Junta Directiva del Banco de la República.
Las sociedades a las que se hace alusión con anterioridad deberán anunciarse por su razón social acompañada de la denominación completa “sociedades de intermediación cambiaria y de servicios financieros especiales” o de la abreviatura SICA y SFE.
ARTÍCULO 2.7.1.1.2 RÉGIMEN APLICABLE.
<Fuente original compilada: D. 4601/10 Art. 2o.> En adición a lo dispuesto en el presente decreto, las sociedades de intermediación cambiaria y de servicios financieros especiales se rigen para todos los efectos por las disposiciones contenidas en el Estatuto Orgánico del Sistema Financiero en tanto les sean aplicables. Así mismo, tales entidades deberán cumplir con las instrucciones relativas a la gestión de riesgos que expida la Superintendencia Financiera de Colombia.
Sin perjuicio de lo anterior, en su condición de intermediarios del mercado cambiario, las sociedades de intermediación cambiaria y de servicios financieros especiales estarán sujetas a las obligaciones y disposiciones que para tal efecto imparta la Junta Directiva del Banco de la República.
ARTÍCULO 2.7.1.1.3 TIPO SOCIAL.
<Fuente original compilada: D. 4601/10 Art. 3o.> Para efectos de constitución y funcionamiento, las sociedades de intermediación cambiaria y de servicios financieros especiales deberán tener la forma de sociedades anónimas.
ARTÍCULO 2.7.1.1.4 REQUISITOS DE ORGANIZACIÓN.
<Fuente original compilada: D. 4601/10 Art. 4o.> En adición al cumplimiento de las disposiciones establecidas en el artículo 53 del Estatuto Orgánico del Sistema Financiero, quienes pretendan constituir una sociedad de intermediación cambiaria y de servicios financieros especiales deberán contar con una plataforma tecnológica y una infraestructura administrativa tal que les permita realizar las operaciones cambiarias y de servicios financieros especiales autorizadas por la ley, con los estándares de seguridad, calidad y eficiencia que para el efecto defina la Superintendencia Financiera de Colombia y/o la Junta Directiva del Banco de la República, según corresponda.
ARTÍCULO 2.7.1.1.5 MONTO MÍNIMO DE CAPITAL.
<Fuente original compilada: D. 4601/10 Art. 5o.> Las sociedades de intermediación cambiaria y de servicios financieros especiales deberán acreditar para su constitución un monto mínimo de capital de ocho mil cien millones de pesos ($8.100.000.000). Los aumentos de capital deberán pagarse de conformidad con lo dispuesto en el artículo 81 del Estatuto Orgánico del Sistema Financiero.
El monto mínimo de capital aquí previsto deberá ser cumplido de manera permanente por las referidas sociedades, y con independencia de las actividades que desarrolle.
PARÁGRAFO 1. Lo dispuesto en el presente artículo debe entenderse sin perjuicio de los montos mínimos de capital que la Junta Directiva del Banco de la República exija para los intermediarios del mercado cambiario.
PARÁGRAFO 2. Los montos mínimos de capital de las sociedades de intermediación cambiaria y de servicios financieros especiales se ajustarán anualmente en forma automática en el mismo sentido y porcentaje en que varíe el Índice de Precios al Consumidor que suministre el DANE. El valor resultante se aproximará al múltiplo en millones de pesos inmediatamente superior. El primer ajuste se realizará en enero de 2010 tomando como base la variación del Índice de Precios al Consumidor durante el año 2009.
PARÁGRAFO 3. Para determinar el monto mínimo de capital que deberá ser cumplido de manera permanente por las sociedades de intermediación cambiaria y de servicios financieros especiales, se deberán sumar las siguientes cuentas patrimoniales: capital suscrito y pagado, reservas, superávit por prima en colocación de acciones, utilidades no distribuidas de ejercicios anteriores, revalorización del patrimonio, y se deducirán las pérdidas acumuladas. Igualmente se tendrán en cuenta los bonos obligatoriamente convertibles en acciones en los términos del parágrafo 1o del numeral 5 del artículo 80 del Estatuto Orgánico del Sistema Financiero.
PARÁGRAFO 4. Aquellas casas de cambio que se encuentren autorizadas para operar por la Superintendencia Financiera de Colombia y que decidan adoptar elrégimen de sociedades de intermediación cambiaria y de servicios financieros especiales, tendrán un plazo máximo de seis (6) meses contados a partir del 25 de noviembre de 2009 para acreditar el monto mínimo de capital establecido en el presente artículo.
ARTÍCULO 2.7.1.1.6 OBLIGACIONES ESPECIALES.
<Fuente original compilada: D. 4601/10 Art. 6o.> Adicionalmente a las obligaciones como institución financiera e intermediario del mercado cambiario, las sociedades de intermediación cambiaria y de servicios financieros especiales y sus administradores están sometidos al cumplimiento de las siguientes obligaciones especiales:
1. Realizar las operaciones de cambio que les permita el régimen cambiario, con estricta sujeción a los requisitos y condiciones previstos en las disposiciones pertinentes y, en particular, dar cumplimiento a las disposiciones tributarias sobre retención en la fuente.
2. Contribuir activamente con las entidades encargadas de vigilar y controlar el cumplimiento del régimen cambiario, así como con aquellas otras que tengan atribuida competencia para solicitarles información. En desarrollo de esta obligación deberán suministrar la información y la colaboración que requieran la Fiscalía General de la Nación, en los términos de los artículos 102 a 107 del Estatuto Orgánico del Sistema Financiero, y demás normas que lo modifiquen, adicionen o complementen y, la Unidad de Información y Análisis Financiero, en desarrollo de lo previsto en la Ley 526 de 1999 modificada por la Ley 1121 de 2006 y demás normas que la modifiquen, adicionen o complementen.
ARTÍCULO 2.7.1.1.7 AUTORIZACIÓN.
<Fuente original compilada: D. 4601/10 Art. 7o.> Para que las sociedades de intermediación cambiaria y de servicios financieros especiales puedan realizar las nuevas operaciones autorizadas en la Ley 1328 de 2009, estas deberán solicitar autorización previa a la Superintendencia Financiera de Colombia.
En todo caso, la Superintendencia Financiera de Colombia validará previamente que la sociedad cuente con la infraestructura física, tecnológica y administrativa requerida para la realización de las actividades autorizadas por la Ley 1328 de 2009.
NORMAS APLICABLES A LAS SOCIEDADES DE CAPITALIZACIÓN.
PATRIMONIO ADECUADO.
ARTÍCULO 2.8.1.1.1 PATRIMONIO ADECUADO.
<Fuente original compilada: D. 3086/97 Art. 1o.> Las sociedades de capitalización deberán cumplir las normas sobre niveles de patrimonio adecuado contempladas en este Título con el fin de proteger la confianza del público en el sistema y asegurar su desarrollo en condiciones de seguridad y competitividad.
ARTÍCULO 2.8.1.1.2 RELACIÓN DE SOLVENCIA DE LAS SOCIEDADES DE CAPITALIZACIÓN.
<Fuente original compilada: D. 3086/97 Art. 2o.> Establécese como relación de solvencia, un nivel mínimo de patrimonio adecuado de las sociedades de capitalización equivalente al siete por ciento (7%) del total de sus activos y contingencias en moneda nacional y extranjera, ponderados por riesgo. Por lo tanto, el patrimonio técnico de las sociedades de capitalización, definido en los términos de este Título no podrá ser inferior al nivel adecuado de patrimonio aquí señalado.
ARTÍCULO 2.8.1.1.3 CUMPLIMIENTO DE LA RELACIÓN DE SOLVENCIA.
<Fuente original compilada: D. 3086/97 Art. 3o.> El cumplimiento de la relación de solvencia vigente se realizará en forma individual por cada sociedad de capitalización. Igualmente la relación de solvencia deberá cumplirse y supervisarse en forma consolidada, de acuerdo con las instrucciones que para el efecto imparta la Superintendencia Financiera de Colombia.
ARTÍCULO 2.8.1.1.4 PATRIMONIO TÉCNICO.
<Fuente original compilada: D. 3086/97 Art. 4o.> El cumplimiento de la relación de solvencia se efectuará con base en el patrimonio técnico que refleje cada sociedad de capitalización, calculado de acuerdo con las reglas de los artículos siguientes, esto es, mediante la suma del patrimonio básico y del patrimonio adicional.
ARTÍCULO 2.8.1.1.5 CÁLCULO DEL PATRIMONIO BÁSICO.
<Fuente original compilada: D. 3086/97 Art. 5o.> El patrimonio básico de una sociedad de capitalización comprenderá:
a) El capital suscrito y pagado;
b) La reserva legal;
c) Las demás reservas;
d) Las utilidades no distribuidas de ejercicios anteriores;
e) La prima en colocación de acciones;
f) La cuenta de revalorización del patrimonio cuando sea positiva;
g) Las utilidades del ejercicio en curso, en un porcentaje equivalente a las utilidades del ejercicio correspondiente a la última asamblea ordinaria que hayan sido capitalizadas o destinadas a incrementar la reserva legal, o la totalidad de las mismas que deban destinarse a enjugar pérdidas acumuladas;
h) El saldo de los dividendos decretados en acciones por la última asamblea ordinaria de accionistas;
i) La cuenta patrimonial de superávit por donaciones, siempre y cuando los fondos en que se origine tengan carácter permanente y estén disponibles para atender las actividades comerciales propias del objeto social, la cuenta enjugue pérdidas si estas se presentan y su distribución o asignación en caso de liquidación de la entidad estén subordinadas al pago del pasivo externo;
j) el valor de la cuenta de interés minoritario que se determine en la consolidación de estados financieros, para calcular la relación en forma consolidada.
ARTÍCULO 2.8.1.1.6 DEDUCCIONES DEL PATRIMONIO BÁSICO. <Fuente original compilada: D. 3086/97 Art. 6o.> Se deduce del patrimonio básico:
a) Las pérdidas de ejercicios anteriores y las del ejercicio en curso;
b) La cuenta de revalorización del patrimonio, cuando sea negativa;
c) El ajuste por inflación acumulado originado en activos no monetarios, mientras no se hayan enajenado los activos respectivos, sin incluir el ajuste por inflación acumulado de las inversiones no negociables en entidades sometidas al control y vigilancia de la Superintendencia Financiera de Colombia, hasta concurrencia de la sumatoria de la cuenta revalorización del patrimonio y del valor capitalizado de dicha cuenta, cuando tal sumatoria sea positiva.
ARTÍCULO 2.8.1.1.7 PATRIMONIO ADICIONAL.
<Fuente original compilada: D. 3086/97 Art. 7o.>El patrimonio adicional de una sociedad de capitalización comprenderá:
a) El cincuenta por ciento (50%) del ajuste por inflación acumulado, originado en activos no monetarios, mientras no se hayan enajenado los activos respectivos;
b) (Modificado por el D. 1272/99 Art. 1o.) El cincuenta por ciento (50%) de las valorizaciones de los activos, contabilizadas de acuerdo con los criterios establecidos por la Superintendencia Financiera de Colombia, excepto las correspondientes a bienes recibidos en pago o adquiridos en remate judicial. De dicho monto se deducirán las valorizaciones de inversiones en acciones y en bonos obligatoriamente convertibles en acciones a que se refiere el artículo 2.8.1.1.8 de este decreto.
c) Los bonos obligatoriamente convertibles en acciones, siempre y cuando se hayan emitido en las condiciones establecidas en el artículo 86 del Estatuto Orgánico del Sistema Financiero, y
d) El valor de las provisiones de carácter general constituidas mediante la aplicación del coeficiente de riesgo como se ha determinado por la Superintendencia Financiera de Colombia.
e) La cuenta patrimonial de superávit por donaciones, siempre y cuando los fondos en que se origine tengan carácter permanente, la cuenta enjugue pérdidas si estas se presentan y su distribución o asignación en caso de liquidación de la entidad estén subordinadas al pago del pasivo externo.
PARÁGRAFO 1. (Modificado por el D. 1272/99 Art. 2o.) Se deducirá del patrimonio adicional la cuenta de desvalorización de inversiones.
PARÁGRAFO 2. El valor total del patrimonio adicional de una sociedad de capitalización no podrá exceder del cien por ciento (100%) del patrimonio básico.
En caso de que el patrimonio básico una vez efectuadas las deducciones al mismo, resulte inferior a cero, el patrimonio técnico se tomará con valor cero.
ARTÍCULO 2.8.1.1.8 DEDUCCIONES DEL PATRIMONIO TÉCNICO.
<Fuente original compilada: D. 3086/97 Art. 8o.>Para el cálculo de la relación de solvencia, se deducirá del patrimonio técnico el valor de las inversiones de capital y en bonos obligatoriamente convertibles en acciones efectuadas en forma directa o indirecta en entidades sometidas al control y vigilancia de la Superintendencia Financiera de Colombia, sin incluir sus valorizaciones o provisiones, cuando se trate de entidades respecto de las cuales no haya lugar a consolidación.
Se exceptúan de la deducción las inversiones realizadas por mandato de la ley y las realizadas en los procesos de adquisición de que trata el artículo 63 del Estatuto Orgánico del Sistema Financiero, durante los plazos previstos en el inciso segundo del numeral 2 o en el parágrafo 2o del mismo artículo según corresponda, para la adquisición de la totalidad de las acciones y su enajenación si no fuese posible la adquisición de la totalidad de las mismas.
ARTÍCULO 2.8.1.1.9 CÁLCULO DEL TOTAL DE ACTIVOS PONDERADOS POR RIESGO.
<Fuente original compilada: D. 3086/97 Art. 9o.>Para efectos de este Título, las operaciones de las sociedades de capitalización, sean activos o contingencias, se computarán de acuerdo con su nivel de riesgo por un porcentaje de su valor de acuerdo con la clasificación en las categorías señaladas en los artículos 2.8.1.1.10 y 2.8.1.1.11.
La suma de las cuantías resultantes de aplicar los porcentajes correspondientes al valor de sus activos y contingencias, constituirá el total de los activos ponderados por riesgo de una sociedad de capitalización.
ARTÍCULO 2.8.1.1.10 CLASIFICACIÓN Y PONDERACIÓN DE ACTIVOS.
<Fuente original compilada: D. 3086/97 Art. 10 Modificado por el D. 1796/08 Art. 20>Para efectos de determinar el total de activos ponderados por riesgo, los mismos se clasificarán dentro de las siguientes categorías:
Categoría I. Activos de máxima seguridad como caja y depósitos a la vista en entidades sometidas a la inspección y vigilancia de la Superintendencia Financiera de Colombia, la inversión en títulos o valores emitidos para el cumplimiento de inversiones forzosas, títulos o valores emitidos por la Nación o por el Banco de la República, obligaciones a interés de la Nación o garantizadas por la misma.
En esta categoría también se debe incluir la exposición neta en las operaciones de reporto o repo, operaciones simultáneas y operaciones de transferencia temporal de valores, siempre que la contraparte sea la Nación, el Banco de la República o una cámara de riesgo central de contraparte.
Así mismo, en esta categoría se debe incluir la exposición crediticia en operaciones con instrumentos financieros derivados siempre que la contraparte sea la Nación, el Banco de la República o una cámara de riesgo central de contraparte.
Categoría II. <Inciso modificado por el artículo 4 del Decreto 1286 de 2020. El nuevo texto es el siguiente:> Activos de alta seguridad y liquidez como: cartera de créditos que tengan como garantía títulos de capitalización y cuyo monto no supere el setenta y cinco por ciento (75%) del valor del título pignorado; títulos o valores representativos de captaciones o títulos o valores emitidos por instituciones financieras sometidas a la inspección y vigilancia de la Superintendencia Financiera de Colombia; obligaciones a interés de departamentos y distritos de la República o de establecimientos públicos nacionales, regionales, departamentales o municipales o empresas del sector real, siempre que hayan sido calificados por una firma autorizada, para el efecto, por la Superintendencia Financiera de Colombia; los pagos anticipados; y los activos, exposiciones y contingencias avalados o garantizados por el Fondo Nacional de Garantías S.A. o el Fondo Agropecuario de Garantías en la parte cubierta.
La clasificación de títulos o valores en esta categoría será procedente cuando el nivel de calificación de la emisión sea equivalente a “alto” para los títulos o valores corto, de mediano y largo plazo, de acuerdo con las escalas que establezca la Superintendencia Financiera de Colombia para la calificación de valores.
En esta categoría también se debe incluir la exposición neta en las operaciones de reporto o repo, operaciones simultáneas y operaciones de transferencia temporal de valores siempre que la contraparte sea una entidad vigilada por la Superintendencia Financiera de Colombia distinta del Banco de la República, una entidad pública de orden nacional o un fondo mutuo de inversión controlado.
Así mismo, en esta categoría se debe incluir la exposición crediticia en las operaciones con instrumentos financieros derivados siempre que la contraparte sea una entidad vigilada por la Superintendencia Financiera de Colombia distinta del Banco de la República, una entidad pública de orden nacional o un fondo mutuo de inversión controlado.
Categoría III. Activos con alta seguridad pero con baja liquidez, así como los títulos o valores cuyo nivel de calificación se ubique entre “satisfactorio” y “bueno” para títulos o valores de largo y mediano plazo y equivalente a “bueno” para los títulos o valores de corto plazo, de acuerdo con las escalas que establezca la Superintendencia Financiera de Colombia para la calificación de valores.
Categoría IV. Los demás activos de riesgo como inversiones en acciones y bonos, cartera de créditos, cuentas por cobrar, bienes realizables y recibidos en pago y propiedades y equipo incluida su valorización, sucursales y agencias, bienes de arte y cultura, remesas en tránsito, derechos en fideicomiso y los demás activos.
En esta categoría también se debe incluir la exposición neta en las operaciones de reporto o repo, operaciones simultáneas y operaciones de transferencia temporal de valores, siempre que la contraparte sea una entidad no contemplada en ninguna de las categorías anteriores.
Así mismo, en esta categoría se debe incluir la exposición crediticia en las operaciones con instrumentos financieros derivados siempre que la contraparte sea una entidad no contemplada en ninguna de las categorías anteriores.
Los activos incluidos en las anteriores categorías se computarán así: Categoría I cero por ciento (0%), categoría II veinte por ciento (20%); categoría Ill cincuenta por ciento (50%) y categoría IV (100%).
PARÁGRAFO 1. Los activos que, en desarrollo de lo previsto en los artículos 2.8.1.1.6 y 2.8.1.1.8 de este decreto, se deduzcan para efectuar el cálculo del patrimonio básico y técnico respectivamente, no se computarán para efectos de la determinación del total de los activos ponderados por riesgo.
PARÁGRAFO 2. Para los efectos del presente artículo, se entiende como exposición neta en operaciones de reporto o repo, operaciones simultáneas y operaciones de transferencia temporal de valores, el monto que resulte de restar la posición deudora de la posición acreedora que ostenta la entidad en cada operación, siempre que este monto sea positivo. Para el cálculo de dichas posiciones deberán tenerse en cuenta el precio justo de intercambio de los valores cuya propiedad se transfiera y/o la suma de dinero entregada como parte de la operación así como los intereses o rendimientos causados asociados a la misma.
PARÁGRAFO 3. Los valores transferidos en desarrollo de las operaciones repo o reporto, o simultáneas o de transferencia temporal de valores deberán ser tenidos en cuenta para efectos previstos en este artículo, mientras permanezcan en el balance del enajenante, originador o receptor, según sea el caso, conforme a las disposiciones contables que rigen dichas operaciones.
PARÁGRAFO 4. Para los efectos del presente artículo, para determinar la exposición crediticia en instrumentos financieros derivados, serán aplicables las definiciones contenidas en el artículo 2.35.1.1.1 del presente decreto.
PARÁGRAFO 5. Productos estructurados. Computarán por su precio justo de intercambio multiplicado por el factor de ponderación que corresponda según la categoría de riesgo del emisor del respectivo producto.
Cuando se realicen inversiones en un producto estructurado cuyos componentes provengan de distintas contrapartes, pero se haya adquirido el mismo a otra entidad que obra como vendedor de este y no es responsable de su pago, dicho producto estructurado computará por la suma de los siguientes dos (2) factores:
i) La multiplicación del precio justo de intercambio del componente no derivado por el factor de ponderación que aplique al respectivo emisor de conformidad con lo previsto en el presente artículo;
ii) <Ordinal modificado por el artículo 5 del Decreto 4765 de 2011. El nuevo texto es el siguiente:> La multiplicación de la exposición crediticia de los componentes derivados por el factor de ponderación que aplique a la respectiva contraparte, de conformidad con lo previsto en el presente artículo.
ARTÍCULO 2.8.1.1.11 CLASIFICACIÓN Y PONDERACIÓN DE CONTINGENCIAS Y FACTORES DE CONVERSIÓN. <Artículo modificado el artículo 18 del Decreto 1745 de 2020. El nuevo texto es el siguiente:>
Las contingencias de las sociedades capitalizadoras ponderarán para efectos de lo previsto en el presente Título, de acuerdo con las previsiones del artículo 2.1.1.3.5 y demás normas que. lo modifiquen y adicionen, en lo que les resulte aplicable.
ARTÍCULO 2.8.1.1.12 DETALLE DE LA CLASIFICACIÓN DE ACTIVOS.
<Fuente original compilada: D. 3086/97 Art. 12> La Superintendencia Financiera de Colombia impartirá las instrucciones necesarias para facilitar la debida clasificación de la totalidad de los activos y contingencias dentro de las categorías determinadas en los artículos 2.8.1.1.10 y 2.8.1.1.11 de acuerdo con los criterios allí señalados.
ARTÍCULO 2.8.1.1.13 VALORACIONES Y PROVISIONES.
<Fuente original compilada: D. 3086/97 Art. 13> Los activos se computarán netos de su respectiva provisión, salvo cuando se trate de las provisiones de carácter general resultantes de la aplicación del coeficiente de riesgo a que se refieren las normas sobre evaluación y calificación de cartera expedidas por la Superintendencia Financiera de Colombia.
Para efectos de las deducciones de que trata el artículo 2.8.1.1.8 del presente decreto, estas se computarán sin deducir las provisiones efectuadas sobre las mismas.
ARTÍCULO 2.8.1.1.14 CLASIFICACIÓN DE ACTIVOS DE RIESGO EN PROCESOS DE TITULARIZACIÓN.
<Fuente original compilada: D. 3086/97 Art. 14> Para efectos del cálculo del total de activos ponderados por nivel de riesgo, en los procesos de titularización se observarán las disposiciones previstas para los establecimientos de crédito.
ARTÍCULO 2.8.1.1.15 SANCIONES.
<Fuente original compilada: D. 3086/97 Art. 15> Por los defectos en que incurran las sociedades de capitalización en el patrimonio técnico necesario para el cumplimiento de la relación de solvencia, la Superintendencia Financiera de Colombia impondrá una multa a favor del Tesoro Nacional por el equivalente al tres punto cinco por ciento (3.5%) del defecto patrimonial presentado por cada mes del período de control, sin exceder del uno punto cinco por ciento (1.5%) del total del patrimonio técnico requerido.
Lo dispuesto en este artículo se entenderá sin perjuicio de las demás sanciones o medidas administrativas que pueda imponer la Superintendencia Financiera de Colombia conforme a sus facultades legales.
PARÁGRAFO. Cuando una misma sociedad de capitalización incumpla la relación de solvencia individualmente y en forma consolidada, se aplicará la sanción que resulte mayor.
ARTÍCULO 2.8.1.1.16 PROGRAMAS DE AJUSTE A LA RELACIÓN.
<Fuente original compilada: D. 3086/97 Art. 16> Las sociedades de capitalización que incurran en vigilancia especial por parte de la Superintendencia Financiera de Colombia, podrán convenir con el Superintendente Financiero un programa de ajuste orientado a restablecer el cumplimiento de la relación de solvencia en el plazo más breve posible. Este mismo programa podrá convenirse, previa solicitud de la respectiva entidad, cuando esta prevea que va a incurrir o ha incurrido en incumplimiento de la relación de solvencia, siempre que a juicio de la Superintendencia Financiera de Colombia tal incumplimiento no pueda ser resuelto por medios ordinarios en el corto plazo y afecte en forma significativa su capacidad operativa.
En el programa, la Superintendencia Financiera de Colombia podrá establecer metas específicas de crecimiento o distribución del total de activos o determinadas clases de ellos, obligaciones de enajenación de inversiones, incrementos patrimoniales y en general cualquier clase de condiciones de desempeño financiero necesarias para lograr su efectividad. En todo caso, el programa no podrá extenderse por más de un (1) año, contado desde la celebración del programa. En desarrollo de los programas de ajuste, la Superintendencia Financiera de Colombia podrá reducir o abstenerse de imponer sanciones pecuniarias por las infracciones en que puedan incurrir por defectos en la relación de solvencia.
En caso de que la Superintendencia Financiera de Colombia verifique el incumplimiento de cualquiera de las condiciones, metas o compromisos del programa, podrá imponer a las sociedades de capitalización las sanciones correspondientes en la forma ordinaria, sin considerar el hecho de la ejecución parcial o incompleta del programa y sin perjuicio de las demás sanciones o medidas administrativas a que haya lugar.
ARTÍCULO 2.8.1.1.17 VIGILANCIA. <Artículo modificado el artículo 19 del Decreto 1745 de 2020. El nuevo texto es el siguiente:>
El cumplimiento de la relación de solvencia en forma individual y consolidada se controlará en los términos y condiciones que determine la Superintendencia Financiera de Colombia.
NORMAS APLICABLES A LAS SOCIEDADES COMISIONISTAS DE BOLSA.
PATRIMONIO ADECUADO.
ARTÍCULO 2.9.1.1.1 PATRIMONIO ADECUADO.
<Fuente original compilada: R. 400/95 Art. 2.2.1.1 Modificado por la R. 513/03 Art. 1o.> Las sociedades comisionistas de bolsa deben cumplir las normas sobre niveles de patrimonio adecuado y relación mínima de solvencia contempladas en este Título, con el fin de proteger la confianza del público en el sistema, proteger a los inversionistas y asegurar su desarrollo en condiciones de seguridad y competitividad.
ARTÍCULO 2.9.1.1.2 RELACIÓN DE SOLVENCIA. <Artículo modificado por el artículo 4 del Decreto 415 de 2018. El nuevo texto es el siguiente:> Las sociedades comisionistas de bolsa deberán mantener una relación de solvencia mínima del nueve por ciento (9%), la cual se calcula dividiendo el numerador por el denominador. El numerador corresponde al valor del patrimonio técnico de las sociedades comisionistas de bolsa y el denominador es la sumatoria de los activos ponderados por nivel de riesgo, del valor en riesgo de mercado multiplicado por 100/9 (cien novenos) y del valor de exposición por riesgo operacional multiplicado por 100/9 (cien novenos). La relación se expresa mediante la siguiente fórmula aritmética:

Donde:
APNR: Activos ponderados por nivel de riesgo crediticio.
VeRRM: Valor de la exposición por riesgo de mercado.
VeRRO: Valor de la exposición por riesgo operacional
ARTÍCULO 2.9.1.1.3 PATRIMONIO TÉCNICO.
<Fuente original compilada: R. 400/95 Art. 2.2.1.3 Modificado por la R. 513/03 Art. 1o.> El patrimonio técnico de una sociedad comisionista comprende las sumas de su capital primario y de su capital secundario, de conformidad con dispuesto en los siguientes artículos.
ARTÍCULO 2.9.1.1.4 CAPITAL PRIMARIO.
<Fuente original compilada: R. 400/95 Art. 2.2.1.4 Modificado por la R. 211/05 Art. 1o. Modificado R. 513/03 Art. 1o.> El capital primario de una sociedad comisionista de bolsa corresponde a la suma de los siguientes conceptos:
1. Capital suscrito y pagado;
2. Las reservas;
3. Prima en colocación de acciones;
4. Revalorización del patrimonio cuando ésta sea positiva;
5. Las utilidades no distribuidas de ejercicios anteriores;
6. El valor de las utilidades del ejercicio en curso, en un porcentaje igual al de las utilidades del último ejercicio contable que por disposición de la asamblea ordinaria hayan sido capitalizadas o destinadas a incrementar la reserva legal, o la totalidad de las mismas que deban destinarse a enjugar pérdidas acumuladas, y 7. El valor total de los dividendos decretados en acciones.
ARTÍCULO 2.9.1.1.5 DEDUCCIONES AL CAPITAL PRIMARIO.
<Fuente original compilada: R. 400/95 Art. 2.2.1.5 Modificado por la R. 211/05 Art. 1o. Modificado R. 513/03 Art. 1o. Modificado R. 783/00 Art. 1o.> Se deducen del capital primario los siguientes conceptos:
1. El costo ajustado de las inversiones de capital y de las que revisten el carácter de permanentes y obligatorias, que son necesarias para que la sociedad comisionista sea miembro de alguna o algunas de las bolsas de valores del país, de conformidad con lo dispuesto en las normas legales o en los reglamentos internos de la respectiva bolsa.
2. <Numeral derogado por el artículo 8 del Decreto 1420 de 2019>
3. La revalorización del patrimonio cuando sea negativa.
4. Las pérdidas de los ejercicios anteriores y las del ejercicio en curso.
5. <Numeral derogado por el artículo 8 del Decreto 1420 de 2019>
6. Activos intangibles.
7. Activos diferidos.
8. <Numeral derogado por el artículo 8 del Decreto 1420 de 2019>
ARTÍCULO 2.9.1.1.6 CAPITAL SECUNDARIO.
<Fuente original compilada: R. 400/95 Art. 2.2.1.6 Modificado por la R. 211/05 Art. 1o. Modificado R. 513/03 Art. 1o.> El capital secundario de una sociedad comisionista corresponde a la suma de los siguientes conceptos:
1. El valor en mercado de los bonos subordinados efectivamente suscritos siempre y cuando no superen el cincuenta por ciento (50%) del valor del capital primario. Sólo serán computables dichos bonos cuando:
a. En el respectivo prospecto de emisión se establezca, con carácter irrevocable, que en los eventos de liquidación el importe de su valor quedará subordinado al pago del pasivo externo.
b. Los títulos deberán ser emitidos a plazos mínimos de maduración no inferiores a cinco (5) años. No deberá existir ninguna opción de prepago por parte del emisor que reduzca el plazo de maduración a menos de cinco (5) años, ni otro tipo de opción a favor de los inversionistas que permita el pago anticipado de estos bonos en un plazo inferior a cinco (5) años.
c. No deberá existir ningún tipo de cláusula aceleratoria.
d. En el evento en que se pacten opciones de prepago a favor del emisor, se entenderá que el plazo de la emisión corresponde al establecido para ejercer dicha opción.
e. Durante los últimos cinco (5) años de maduración de los bonos subordinados, el valor computable se disminuirá en un veinte por ciento (20%) para cada año.
f. En el evento en que haya sido pactada una opción de prepago y se cumpla con el plazo de maduración mínima, el valor computable se disminuirá en un veinte por ciento (20%) por cada año en los cinco (5) años anteriores a la fecha de ejercicio de la opción.
Tratándose de bonos cuya opción tenga una fecha determinada para su ejercicio y la misma no sea ejercida, el valor disminuido durante los años anteriores a la fecha de ejercicio de la opción será recalculado en un monto equivalente a un bono que no tenga una opción de prepago, de forma tal que permita descontar un veinte por ciento (20%), cada año, hasta alcanzar un valor de cero por ciento (0%) al momento del vencimiento del bono.
Para el caso de bonos cuya opción tenga una fecha indeterminada para su ejercicio, el valor computable se disminuirá en un veinte por ciento (20%) por cada año en los cinco (5) años anteriores a la fecha a partir de la cual puede ser ejercida la opción, sin que deba realizarse recálculo alguno en el evento en que no sea ejercida.
2. Los bonos obligatoriamente convertibles en acciones, siempre y cuando sean efectivamente colocados y pagados y cumplan con las siguientes condiciones:
a. El plazo máximo de los bonos será de cinco (5) años.
b. El reglamento de emisión deberá indicar de manera expresa, que en los eventos de liquidación, el importe del valor de la obligación quedará subordinado al pago del pasivo externo.
c. El rendimiento financiero reconocido no excederá la tasa de interés de captación DTF certificada por el Banco de la República, vigente a la fecha de la respectiva liquidación.
d. Los intereses se reconocerán pagaderos por períodos mensuales vencidos.
e. Los bonos no podrán colocarse con descuento sobre su valor nominal.
f. La observación de los demás requisitos y procedimientos establecidos en la normatividad vigente.
PARÁGRAFO. <Parágrafo derogado por el artículo 8 del Decreto 1420 de 2019>
ARTÍCULO 2.9.1.1.7 VALOR COMPUTABLE DEL CAPITAL SECUNDARIO.
<Fuente original compilada: R. 400/95 Art. 2.2.1.7 Modificado por la R. 513/03 Art. 1o.> Para efectos del cálculo de la relación de solvencia, el valor máximo computable del capital secundario no podrá exceder el cien por ciento (100%) del capital primario una vez restadas las deducciones a que hace referencia el artículo 2.9.1.1.5.
ARTÍCULO 2.9.1.1.8 RIESGO DE CRÉDITO.
<Fuente original compilada: R. 400/95 Art. 2.2.1.8 Modificado por la R. 513/03 Art. 1o.> Para efectos del cálculo de la relación de solvencia, se entiende como riesgo de crédito la posibilidad de pérdidas que disminuyan el patrimonio técnico de una sociedad comisionista como consecuencia del incumplimiento de obligaciones financieras en los términos acordados. Entre otras razones, este riesgo puede tener origen en un posible incumplimiento de la contraparte en una operación o en una potencial variación del precio del instrumento de que se trate, por causas relacionadas bien con su emisor o con el emisor de su instrumento principal, si se trata de un instrumento derivado.
ARTÍCULO 2.9.1.1.9 RIESGO DE MERCADO.
<Fuente original compilada: R. 400/95 Art. 2.2.1.9 Modificado por la R. 513/03 Art. 1o.> Para efectos del cálculo de la relación de solvencia, se entiende como riesgo de mercado la posibilidad de pérdidas que disminuyan el patrimonio técnico de una sociedad comisionista por movimientos adversos en los indicadores del mercado que afecten los instrumentos financieros en los que la entidad mantenga posiciones dentro o fuera del balance. Los indicadores del mercado que se tendrán en cuenta son, entre otros, los tipos de interés, tipos de cambio, precio de los valores o títulos y otros índices.
ARTÍCULO 2.9.1.1.10 RIESGOS OPERACIONALES. <Artículo modificado por el artículo 4 del Decreto 415 de 2018. El nuevo texto es el siguiente:> Para los efectos de este título se entiende por Riesgos Operacionales la posibilidad de que una sociedad comisionista de bolsa incurra en pérdidas y disminuya el valor de su patrimonio como consecuencia de la inadecuación o fallos de los procesos, el personal y los sistemas internos, o bien a causa de acontecimientos externos. El riesgo operacional incluye el riesgo legal, pero excluye los riesgos estratégico y de reputación.
ARTÍCULO 2.9.1.1.11 CLASIFICACIÓN Y PONDERACIÓN DE LOS ACTIVOS PARA RIESGO DE CRÉDITO.
<Fuente original compilada: R. 400/95 Art. 2.2.1.11 Modificado por el D. 1796/08 Art. 2o.> Para efectos de determinar el valor total de activos ponderados por nivel de riesgo crediticio, los mismos se deben clasificar dentro de una de las siguientes categorías dependiendo de su naturaleza:
Categoría I. Activos de máxima seguridad. En esta categoría se clasificará la caja, depósitos a la vista en entidades sometidas a vigilancia de la Superintendencia Financiera de Colombia, las inversiones en títulos o valores del Banco de la República o de la Nación y los garantizados por esta en la parte cubierta.
Así mismo, computarán dentro de esta categoría los títulos o valores emitidos o totalmente garantizados por entidades multilaterales de crédito.
En esta categoría también se debe incluir la exposición neta en las operaciones de reporto o repo, operaciones simultáneas y operaciones de transferencia temporal de valores siempre que la contraparte sea la Nación, el Banco de la República o una cámara de riesgo central de contraparte.
Adicionalmente, en esta categoría se debe incluir la exposición crediticia en operaciones con instrumentos financieros derivados siempre que la contraparte sea la Nación, el Banco de la República o una cámara de riesgo central de contraparte.
Categoría II. <Inciso modificado por el artículo 5 del Decreto 1286 de 2020. El nuevo texto es el siguiente:> Activos de alta seguridad, tales como los títulos o valores emitidos por entidades públicas del orden nacional, los depósitos a término en establecimientos de crédito, créditos garantizados incondicionalmente con títulos o valores emitidos por la nación o por el Banco de la República o por Gobiernos o Bancos Centrales de países que autorice expresamente la Superintendencia Financiera de Colombia, y los activos, exposiciones y contingencias avalados o garantizados por el Fondo Nacional de Garantías S.A. o por el Fondo Agropecuario de Garantías en la parte cubierta.
En esta categoría también se debe incluir la exposición neta en las operaciones de reporto o repo, operaciones simultáneas y operaciones de transferencia temporal de valores siempre que la contraparte sea una entidad vigilada por la Superintendencia Financiera de Colombia distinta del Banco de la República, o una entidad pública de orden nacional o un fondo mutuo de inversión controlado.
Así mismo, en esta categoría se debe incluir la exposición crediticia en las operaciones con instrumentos financieros derivados siempre que la contraparte sea una entidad vigilada por la Superintendencia Financiera de Colombia distinta del Banco de la República, una entidad pública de orden nacional o un fondo mutuo de inversión controlado.
Categoría III. Otros activos de riesgo: En esta categoría se incluirán los otros activos de riesgo no deducidos en el cómputo del patrimonio técnico y no incluidos en ninguna categoría anterior incluyendo la exposición neta en las operaciones de reporto o repo, operaciones simultáneas y operaciones de transferencia temporal de valores y la exposición crediticia en operaciones con instrumentos financieros derivados, siempre que la contraparte sea una entidad no contemplada en ninguna de las categorías anteriores.
Los activos incluidos en la Categoría I se ponderarán al 0%, en la Categoría II al 20% y en la Categoría III ponderarán de la siguiente manera, de acuerdo con la calificación otorgada por las sociedades calificadoras autorizadas por la Superintendencia Financiera de Colombia, para lo cual se observarán los rangos de calificación indicados en la siguiente matriz o su equivalente:
RIESGO CREDITICIO DE LARGO PLAZO
| PLAN DE CALIFICACIÓN | PONDERACIÓN |
| AAA hasta AA- | 20% |
| A+ hasta IA- | 50% |
| BBB+ o Inferior o sin calificación | 100% |
RIESGO CREDITICIO DE CORTO PLAZO
| RANGO DE CALIFICACIÓN | PONDERACIÓN |
| 1+ hasta 1- | 20% |
| 2+ hasta 2- | 50% |
| 3 o Inferior o sin calificación | 100% |
En la Categoría III, la exposición neta en las operaciones de reporto o repo, operaciones simultáneas y operaciones de transferencia temporal de valores y la exposición crediticia en operaciones con instrumentos financieros derivados, ponderarán de la siguiente manera, de acuerdo con la calificación otorgada por las sociedades calificadoras autorizadas por la Superintendencia Financiera de Colombia a la contraparte en dichas operaciones:
RANGO DE CALIFICACION PONDERACION
AAA hasta AA- 20%
A+ hasta |A- 50%
BBB+ o Inferior o sin calificación 100%
PARÁGRAFO 1. Bonos y títulos hipotecarios. Los bonos y títulos hipotecarios de que trata el artículo 30 de la Ley 546 de 1999, que cuenten con garantía total del Gobierno Nacional, a través del Fondo de Garantías de Instituciones Financieras- FOGAFIN, computarán al cero por ciento (0%).
PARÁGRAFO 2. Productos estructurados. Computarán por su precio justo de intercambio multiplicado por el factor de ponderación que corresponda según la categoría de riesgo del emisor del respectivo producto.
Cuando se realicen inversiones en un producto estructurado cuyos componentes provengan de distintas contrapartes, pero se haya adquirido el mismo a otra entidad que obra como vendedor de este y no es responsable de su pago, dicho producto estructurado computará por la suma de los siguientes dos (2) factores:
i) La multiplicación del precio justo de intercambio del componente no derivado por el factor de ponderación que aplique al respectivo emisor de conformidad con lo previsto en el presente artículo;
ii) <Ordinal modificado por el artículo 6 del Decreto 4765 de 2011. El nuevo texto es el siguiente:> La multiplicación de la exposición crediticia de los componentes derivados por el factor de ponderación que aplique a la respectiva contraparte, de conformidad con lo previsto en el presente artículo.
PARÁGRAFO 3. Títulos derivados de procesos de titularización. Para efectos de determinar el valor total de estos activos ponderados por su nivel de riesgo crediticio, los mismos se clasificarán, de acuerdo con la calificación otorgada por las sociedades calificadoras autorizadas por la Superintendencia Financiera de Colombia, para lo cual se observarán los rangos de calificación indicados en la siguiente matriz o su equivalente:
RIESGO CREDITICIO DE LARGO PLAZO
| RANGO DE CALIFICACIÓN | PONDERACIÓN |
| AAA hasta AA- | 20% |
| A+ hasta IA- | 50% |
| BBB+ hasta BBB- | 100% |
| BB- hasta BB- | 150% |
| B hasta B- | 200% |
| CCC | 300% |
| DD o Inferior o sin calificación | Deducción |
RIESGO CREDITICIO DE CORTO PLAZO
| RANGO DE CALIFICACIÓN | PONDERACIÓN |
| 1+ hasta 1- | 20% |
| 2+ hasta 2- | 50% |
| 3 | 100% |
| 4 | 300% |
| 5 o Inferior o sin calificación | Deducción |
<Inciso adicionado por el artículo 6 del Decreto 1420 de 2019. El nuevo texto es el siguiente:> Las deducciones a que se refieren las tablas del presente parágrafo deben realizarse sobre el Patrimonio Técnico.
PARÁGRAFO 4. Acciones. Las acciones ponderarán al 50%. Sin embargo, aquellas cuyos emisores cuenten con un adecuado gobierno corporativo y mecanismos que garanticen liquidez, en los términos que determine la Superintendencia Financiera de Colombia, ponderarán al veinte por ciento (20%).
PARÁGRAFO 5. Para los efectos del presente artículo, se entiende como exposición neta en operaciones de reporto o repo, operaciones simultáneas y operaciones de transferencia temporal de valores, el monto que resulte de restar la posición deudora de la posición acreedora que ostenta la entidad en cada operación, siempre que este monto sea positivo. Para el cálculo de dichas posiciones deberán tenerse en cuenta el valor de mercado de los títulos o valores cuya propiedad se transfirió y/o la suma de dinero entregada como parte de la operación, así como los intereses o rendimientos asociados a la misma.
PARÁGRAFO 6. Los valores transferidos en desarrollo de las operaciones repo o reporto simultáneas o de transferencia temporal de valores deberán ser tenidos en cuenta para los efectos previstos en este artículo, mientras permanezcan en el balance del enajenante, originador o receptor, según sea el caso, conforme a las disposiciones contables que rigen dichas operaciones.
PARÁGRAFO 7. Para los efectos del presente artículo, para determinar la exposición crediticia en instrumentos financieros derivados, serán aplicables las definiciones contenidas en el artículo 2.35.1.1.1 del presente decreto.
PARÁGRAFO 8. <Parágrafo adicionado por el artículo 5 del Decreto 415 de 2018. El nuevo texto es el siguiente:> Los activos que en desarrollo del presente título se deduzcan para efectuar el cálculo del patrimonio técnico, no se computarán para efectos de determinar el valor total de activos ponderados por nivel de riesgo crediticio de las sociedades comisionistas de bolsa.
PARÁGRAFO 9. <Parágrafo adicionado por el artículo 5 del Decreto 415 de 2018. El nuevo texto es el siguiente:> Para efectos de este artículo, los activos computarán netos de su respectiva provisión. Las provisiones de carácter general que ordene la Superintendencia Financiera de Colombia no serán deducibles de los activos.
PARÁGRAFO 10. <Parágrafo adicionado por el artículo 7 del Decreto 1420 de 2019. El nuevo texto es el siguiente:> En el caso de otros activos, tales como propiedad, planta y equipo, bienes de arte y cultura, acciones en clubes sociales, u otros similares, se utilizará una ponderación de cien por ciento (100%).
PARÁGRAFO 11. <Parágrafo adicionado por el artículo 5 del Decreto 415 de 2018. El nuevo texto es el siguiente:> La Superintendencia Financiera de Colombia impartirá las instrucciones necesarias para facilitar la debida clasificación de la totalidad de los activos dentro de las categorías previstas en el presente artículo.
ARTÍCULO 2.9.1.1.12 VALOR DE LA EXPOSICIÓN POR RIESGO DE MERCADO.
<Fuente original compilada: R. 400/95 Art. 2.2.1.12 Modificado por la R. 513/03 Art. 1o.> Para el cálculo del riesgo de mercado se utilizará la metodología VeR, conforme a la cual se estima la pérdida que podría registrar una determinada posición en un intervalo de tiempo con un cierto nivel de probabilidad o confianza debido a un cambio adverso en los precios. Para el efecto, la Superintendencia Financiera de Colombia instruirá de manera general a los vigilados respecto de los procedimientos que permitan dar aplicación a dicha metodología.
ARTÍCULO 2.9.1.1.13 VALOR DE LA EXPOSICIÓN POR RIESGO OPERACIONAL. <Artículo modificado por el artículo 4 del Decreto 415 de 2018. El nuevo texto es el siguiente:> El valor de exposición al riesgo operacional será el dieciséis por ciento (16%) del valor resultante de:
1. Sumar los ingresos por comisiones provenientes de la colocación de títulos, asesoría en el mercado de valores y administración de activos que se realice a través de contratos de comisión, administración de valores, administración de portafolios de terceros y administración o gestión de fondos de inversión colectiva.
2. Deducir los gastos por comisiones causados por la custodia de valores de que trata el Libro 37 de la Parte 2 del Decreto 2555 de 2010, respecto de los valores administrados bajo los contratos a que hace referencia el numeral 1 del presente artículo.
Las entidades deberán reportar a la Superintendencia Financiera de Colombia información homogénea que permita avanzar hacia medidas más adecuadas de riesgo operacional. La Superintendencia Financiera de Colombia definirá las características de esta información y las condiciones en las que las entidades supervisadas deberán reportarla.
PARÁGRAFO 1. En consideración a los criterios que de manera específica determine la Superintendencia Financiera de Colombia en relación con la adecuada gestión del riesgo operacional de las sociedades comisionistas de bolsa respecto a uno o varios de los contratos a que se refiere el numeral 1 del presente artículo, esta podrá disminuir de manera diferencial el valor de exposición al riesgo operacional que en forma particular aplique respecto de cada uno de estos contratos. En estos casos, dicho valor de exposición no podrá ser inferior al doce por ciento (12%).
PARÁGRAFO 2. Para realizar los cálculos contemplados en el presente artículo, se tomarán como referencia los ingresos y gastos por comisiones anuales promedio de los últimos tres (3) años a la fecha de cálculo. Para nuevos administradores, o para aquellos que no tengan información para los tres (3) años anteriores, los ingresos y gastos por comisiones aplicables serán calculados como el resultado de multiplicar el valor de los activos administrados por los cocientes de los ingresos y gastos por comisiones sobre el valor de los activos administrados de aquellas entidades financieras que administraron estos activos en los últimos tres (3) años, de acuerdo con las definiciones que para el efecto imparta la Superintendencia Financiera de Colombia.
ARTÍCULO 2.9.1.1.14 CONCENTRACIÓN DEL RIESGO DE CRÉDITO.
<Fuente original compilada: R. 400/95 Art. 2.2.1.14 Modificado por la R. 211/05 Art. 3o. Modificado R. 513/03 Art. 1o.> Los riesgos que mantenga una sociedad comisionista miembro de una bolsa de valores respecto de un emisor individual o de un grupo de emisores relacionados entre sí, se considerará como una situación de concentración cuando el valor acumulado de estos riesgos exceda el diez por ciento (10%) del valor de su patrimonio técnico. Adicionalmente, el valor de todos los riesgos que una sociedad comisionista de bolsa contraiga y mantenga con un mismo emisor o grupo de emisores relacionados entre sí, no podrá exceder del treinta por ciento (30%) del valor de su patrimonio técnico.
En todo caso, el conjunto de las situaciones de concentración de una sociedad comisionista de bolsa no podrá superar ocho (8) veces el valor de su patrimonio técnico.
ARTÍCULO 2.9.1.1.15 RIESGO DE CRÉDITO CON PERSONAS RELACIONADAS.
<Fuente original compilada: R. 400/95 Art. 2.2.1.15 Modificado por el D. 1796/08 Art. 3o.> Para establecer el riesgo frente a un emisor o contraparte o a un grupo de emisores o contrapartes relacionados entre sí, previamente a la realización de una inversión en títulos o valores o a la celebración en el mercado mostrador de cualquier operación de compra o venta de títulos o valores de cumplimiento futuro o de una operación con instrumentos financieros derivados o productos estructurados, y durante su vigencia, las sociedades comisionistas deberán establecer y verificar si los receptores potenciales de sus recursos forman parte de un grupo de emisores o contrapartes relacionados entre sí, de conformidad con la definición del literal f) del artículo 2.9.1.1.19 del presente decreto.
ARTÍCULO 2.9.1.1.16 ACTIVOS, PARTIDAS Y OPERACIONES QUE GENERAN RIESGO DE CRÉDITO PARA EFECTOS DE LOS LÍMITES DE CONCENTRACIÓN. <Artículo modificado el artículo 21 del Decreto 1745 de 2020. El nuevo texto es el siguiente:>
Para establecer una situación de concentración se tendrán en cuenta los siguientes conceptos o rubros:
(i) El saldo de todas las inversiones y operaciones sobre valores que efectúen en desarrollo de las denominadas operaciones por cuenta propia y con recursos propios, bien sea que estas se negocien o contraten en mercados organizados o de mostrador y con independencia del país de origen del emisor de los mismos
(ii) Los saldos deudores a cargo del emisor o grupo de emisores relacionados entre sí, con independencia de su origen y forma de instrumentación.
(iii) Los saldos de depósitos en cuentas de ahorro y corrientes que se mantengan en establecimientos de crédito, nacionales o radicados en el exterior.
Para los efectos del ordinal i) del presente artículo, las denominadas operaciones por cuenta propia y con recursos propios estarán integradas por los siguientes tipos o modalidades:
a) El saldo de todas las inversiones en títulos o valores que se posean y mantengan, sean estos de renta fija, renta variable o mixtos.
b) El saldo de todas las inversiones en valores cuya propiedad haya sido transferida mediante la realización de operaciones de reporto o repo, simultáneas y de transferencia temporal de valores, con excepción de aquellos valores obtenidos previamente en desarrollo de las mencionadas operaciones.
c) Los saldos de las emisiones de títulos o valores de deuda o de renta variable que no hayan sido colocados en desarrollo de acuerdos celebrados para colocar la totalidad o parte de una emisión bajo la modalidad garantizada.
d) Los saldos de compromisos, operaciones o contratos de cumplimiento a futuro, de cualquier naturaleza, que versen sobre títulos o valores.
e) El precio justo de intercambio de los valores recibidos en desarrollo de las operaciones de reporto o repo, simultáneas y de transferencia temporal de valores, de acuerdo a lo estipulado en el artículo 2.9.1.1.17 del presente decreto.
Para los efectos del ordinal ii) del presente artículo, en el cálculo de los saldos deudores a cargo del emisor o grupo de emisores relacionados entre sí deberán incluirse las exposiciones netas resultantes de operaciones de reporto o repo, simultáneas y de transferencia temporal de valores, así como las exposiciones crediticias resultantes de las operaciones con instrumentos financieros derivados.
<Fuente original compilada: R. 400/95 Art. 2.2.1.17 Modificado por el D. 343/07 Modificado R. 211/05 Art. 3o. Modificado R. 513/03 Art. 1o.> Las sociedades comisionistas de bolsa de valores determinarán y controlarán al cierre diario, de operaciones los riesgos que contraigan y mantengan con un emisor individual y con emisores relacionados entre sí, de la siguiente manera:
1. Acumulación de los riesgos frente a un emisor individual. Los riesgos que se contraigan y mantengan con un emisor individualmente considerado se calcularán sumando los siguientes elementos:
a) <Literal modificado por el artículo 3 del Decreto 2219 de 2017. El nuevo texto es el siguiente:> Las sociedades comisionistas de bolsa de valores determinarán y controlarán al cierre diario de operaciones, los riesgos que contraigan y mantengan con un emisor individual y con emisores relacionados entre sí, de la siguiente manera:
1. Acumulación de los riesgos frente a un emisor individual. Los riesgos que se contraigan y mantengan con un emisor individualmente considerado se calcularán sumando los siguientes elementos:
a) El importe de las posiciones netas largas en títulos o valores, cuando estas sean positivas, de acuerdo con lo previsto al respecto en el literal c) del artículo 2.9.1.1.19 del presente decreto.
En la determinación de la posición neta en valores en un emisor determinado, se tendrá en cuenta el valor de los valores cuya propiedad haya sido transferida de manera temporal por las sociedades comisionistas mediante la celebración de operaciones de reporto o repo, simultáneas y de transferencia temporal de valores.
También se tendrán en cuenta los valores recibidos en desarrollo de las operaciones de reporto o repo, simultáneas y de transferencia temporal de valores. Estos computarán por un monto equivalente al cincuenta por ciento (50%) de su valor, salvo cuando estos se hayan recibido por virtud de operaciones con la Nación, con el Banco de la República o aquellas aceptadas por una cámara de riesgo central de contraparte, en cuyo caso tales valores no computarán.
Las sociedades comisionistas de bolsa, al efectuar el cómputo de los límites de concentración a que se encuentran sujetas en términos del presente Título, considerarán como saldo de la inversión en el título o valor de que se trate, su valor en libros, según las normas de valoración y clasificación de inversiones expedidas al respecto, y conforme a la categoría de inversiones en las que se encuentren clasificados los títulos o valores respectivos.
<Inciso modificado el artículo 22 del Decreto 1745 de 2020. El nuevo texto es el siguiente:> Los compromisos de compra de títulos o valores de cumplimiento a futuro, de cualquier naturaleza, se computarán por el valor pactado de la operación.
<Inciso modificado el artículo 22 del Decreto 1745 de 2020. El nuevo texto es el siguiente:> Los compromisos de venta de títulos o valores para cumplimiento a futuro, de cualquier naturaleza, se computarán por el valor pactado de la operación.
b) <Literal modificado por el artículo 3 del Decreto 2219 de 2017. El nuevo texto es el siguiente:> Los saldos deudores a cargo del emisor individual respectivo, los cuales se tomarán por su valor neto en libros.
Además, se incluirán los saldos resultantes de la exposición neta en operaciones de reporto o repo, operaciones simultáneas y operaciones de transferencia temporal de valores; así como, los saldos resultantes de la exposición crediticia en operaciones con instrumentos financieros derivados.
Lo dispuesto en el inciso anterior no será aplicable cuando una cámara de riesgo central de contraparte haya aceptado interponerse como contraparte de las operaciones repo, simultáneas, de transferencia temporal de valores o aquellas que se realicen con instrumentos financieros derivados.
c) Los saldos de depósitos en cuentas de ahorro y corrientes que se mantengan en el emisor individual respectivo, según corresponda;
d) El saldo de los títulos o valores de deuda o de renta variable que aún no haya sido colocado en desarrollo de acuerdos celebrados para colocar la totalidad o parte de una emisión bajo la modalidad garantizada, así como el saldo de los títulos de deuda adquiridos en desarrollo de una subasta en el mercado primario. El riesgo de la sociedad comisionista de bolsa que se haya comprometido a colocar el total o parte de una emisión bajo la modalidad garantizada o que haya adquirido títulos a través de una subasta en el mercado primario, será su riesgo neto, esto es, el valor total del respectivo compromiso asumido, deducido en el importe de los títulos o valores efectivamente colocados y en el importe de los títulos o valores respecto de los cuales se haya suscrito o garantizado un compromiso de adquisición por terceros, mediante acuerdo debidamente formalizado.
El riesgo neto, determinado de acuerdo con lo señalado en el inciso anterior, ponderará aplicando al mismo los siguientes porcentajes:
| Día hábil 0 | 0% |
| Día hábil 1 | 0% |
| Día hábil 2 | 10% |
| Día hábil 3 | 25% |
| Día hábil 4 | 50% |
| Día hábil 5 | 75% |
| A partir del día hábil 6 | 100% |
Para este efecto, se tomará como día hábil cero (0) el día en que se publique el aviso de oferta pública por parte del emisor respectivo, tratándose de colocaciones bajo la modalidad garantizada o el día de la aceptación de la oferta si se trata de una adquisición en desarrollo de una subasta en el mercado primario.
2. Agregación de los riesgos frente a un grupo de emisores relacionados entre sí.
Los riesgos que se contraigan y mantengan frente a un grupo de emisores relacionados entre sí, se determinarán sumando los riesgos de los emisores individuales que integran cada grupo, según el procedimiento y forma de cálculo señalada en el numeral anterior.
PARÁGRAFO 1. Exenciones a los límites de concentración. No estarán sujetos a los límites de concentración, los activos, partidas y operaciones siguientes:
a) Los activos representativos de títulos o valores emitidos, garantizados o avalados totalmente por la Nación o el Banco de la República;
b) Los activos representativos de títulos o valores emitidos, garantizados o avalados totalmente por entidades multilaterales de crédito. Para este efecto, tendrán la calidad o consideración de entidades multilaterales, entre otras, el Banco Mundial, la Corporación Financiera Internacional, el Banco Interamericano de Desarrollo, la Corporación Andina de Fomento y la Corporación Interamericana de Inversiones;
c) Los compromisos de compra o venta de valores de cumplimiento a futuro, cuyos activos subyacentes estén representados en títulos o valores emitidos, garantizados o avalados totalmente por la Nación o el Banco de la República o en títulos o valores emitidos, garantizados o avalados totalmente por entidades multilaterales de crédito;
d) El saldo de las cuentas corrientes y de ahorro que posean las sociedades comisionistas en los bancos líderes y cuya destinación sea el cumplimiento de operaciones en el mercado de valores. Para el efecto, las sociedades comisionistas registrarán ante la Superintendencia Financiera de Colombia, dentro del plazo que esta entidad señale, las cuentas que mantengan en estos bancos para el cumplimiento de sus operaciones.
PARÁGRAFO 2. Patrimonio técnico a considerar. Para efectos de los límites de concentración de que trata el presente artículo, el patrimonio técnico que se tendrá en cuenta durante un determinado mes, será el calculado para el penúltimo mes calendario anterior al respectivo mes.
En todos los casos, el patrimonio técnico se determinará con fundamento en los estados financieros mensuales que se transmitan a la Superintendencia Financiera de Colombia.
ARTÍCULO 2.9.1.1.18 LÍMITES A LAS OPERACIONES A PLAZO Y CARRUSEL.
<Fuente original compilada: R. 400/95 Art. 2.2.1.18 Modificado por la R. 513/03 Art. 1o.> El cuatro punto cinco por ciento (4.5 %) de la posición global bruta (sumatoria de posiciones largas y cortas) de las operaciones a plazo y carrusel no podrá exceder el valor del patrimonio técnico de la sociedad comisionista. Para el cálculo de los límites las operaciones computarán por su valor de cumplimiento o realización.
ARTÍCULO 2.9.1.1.19 DEFINICIONES.
<Fuente original compilada: R. 400/95 Art. 2.2.1.19 Modificado por el D. 343/07 Art. 15, Modificado R. 211/05 Art. 3o. Modificado R. 513/03 Art. 1o.> Para efectos de lo dispuesto en el presente Título se entenderá por:
a) <Literal modificado el artículo 23 del Decreto 1745 de 2020. El nuevo texto es el siguiente:> Posiciones largas en un emisor: Se denominan posiciones largas a la tenencia actual de títulos o valores de renta fija o variable, emitidos por un emisor determinado, así como la tenencia futura de los mismos. Así, generan posiciones largas en un emisor determinado los títulos o valores de renta fija o variable que se mantengan del mismo, así como los compromisos asumidos por la sociedad para comprar títulos o valores a futuro
b) <Literal modificado el artículo 23 del Decreto 1745 de 2020. El nuevo texto es el siguiente:> Posiciones cortas en un emisor: Se denominan posiciones cortas en un emisor determinado a los compromisos de venta de títulos o valores a futuro asumidos por la sociedad comisionista respectiva, cuyos activos subyacentes sean títulos o valores emitidos por el emisor de que se trate. Así, generan posiciones cortas en un emisor determinado los compromisos asumidos para vender títulos o valores a futuro.
c) Posición neta en un emisor: Se denomina posición neta en un emisor a la diferencia entre la suma de las posiciones largas y la suma de las posiciones cortas en el mismo. Cuando esta diferencia sea positiva, la posición neta será larga, mientras que, cuando sea negativa, será corta;
d) <Literal modificado el artículo 23 del Decreto 1745 de 2020. El nuevo texto es el siguiente:> Posición global bruta: Se entiende por posición global bruta la suma de las posiciones largas y cortas que posea una sociedad comisionista de bolsa originadas en la celebración de operaciones con instrumentos financieros derivados y productos estructurados. En el cálculo de la posición global bruta no se considerarán los emisores de los activos subyacentes de las operaciones.
e) Emisor: Se entiende por emisor a la empresa, entidad o institución de la cual se poseen títulos o valores sean de renta fija o renta variable, o se poseen saldos deudores o saldos activos en cuentas de ahorro o corrientes;
f) Emisores relacionados entre sí: Se entiende por emisores relacionados entre sí a los emisores que se encuentren en una situación de control o que hagan parte de un grupo empresarial, en los términos previstos en los artículos 26, 27, y 28 de la Ley 222 de 1995, o de las normas que los modifiquen, sustituyan o deroguen, y que por representar riesgo común se consideran como un solo emisor;
g) <Literal modificado el artículo 23 del Decreto 1745 de 2020. El nuevo texto es el siguiente:> Banco Líder: Se entenderá por Banco Líder a la entidad financiera con la cual la sociedad comisionista de bolsa mantiene cuentas de ahorro o corrientes para el cumplimiento de sus operaciones efectuadas a través de los sistemas de negociación de valores y sistemas de registro de operaciones sobre valores autorizados por la Superintendencia Financiera de Colombia
h) Exposición neta: Se entiende como exposición neta en operaciones de reporto o repo, operaciones simultáneas y operaciones de transferencia temporal de valores, el monto que resulte de restar la posición deudora de la posición acreedora que ostenta la entidad en cada operación, siempre que este monto sea positivo. Para el cálculo de dichas posiciones deberán tenerse en cuenta el precio justo de intercambio de los valores cuya propiedad se transfiera y/o la suma de dinero entregada como parte de la operación así como los intereses o rendimientos causados asociados a la misma.
ARTÍCULO 2.9.1.1.20 CONTROL E INFORMACIÓN.
<Fuente original compilada: R. 400/95 Art. 2.2.1.20 Modificado por la R. 513/03 Art. 1o.> El cumplimiento de la relación de solvencia se controlará periódicamente. Para el efecto, la Superintendencia Financiera de Colombia señalará de manera general el contenido de la información, procedimiento de remisión y los formularios que se deben utilizar.
ARTÍCULO 2.9.1.1.21 MEDICIÓN, MONITOREO Y REVELACIÓN DE INFORMACIÓN.
<Fuente original compilada: R. 400/95 Art. 2.2.1.21 Modificado por la R. 211/05 Art. 4o.> Las sociedades comisionistas de bolsa, deberán identificar y cuantificar las situaciones de concentración en las que incurran y mantener permanentemente informadas a las juntas directivas de las mismas acerca de dichas situaciones con indicación de la conformación de cada situación de concentración, así como el monto o volumen de las mismas respecto del patrimonio técnico de la respectiva sociedad.
Para ello, deberán establecer adecuados y efectivos sistemas para el seguimiento y monitoreo de las situaciones de concentración, así como mecanismos apropiados para la generación de reportes periódicos y oportunos sobre límites de concentración de riesgos.
ARTÍCULO 2.9.1.1.22 INFORMACIÓN A LA SUPERINTENDENCIA FINANCIERA DE COLOMBIA.
<Fuente original compilada: R. 400/95 Art. 2.2.1.22 Modificado por la R. 211/05 Art. 4o.> Toda situación de concentración de riesgo de crédito en que incurran las sociedades comisionistas de bolsa, según las disposiciones del presente Título, deberá ser reportada a la Superintendecia Financiera de Colombia en la forma, frecuencia y términos que esta entidad determine.
ARTÍCULO 2.9.1.1.23 REVELACIONES SOBRE SITUACIONES DE CONCENTRACIÓN.
<Fuente original compilada: R. 400/95 Art. 2.2.1.23 Modificado por la R. 211/05 Art. 4o.> Las sociedades comisionistas deberán revelar al público a través de notas a los estados financieros, la siguiente información:
(i) el número y monto de las situaciones de concentración que mantengan, incluyendo el monto total de aquellos y el porcentaje que representan de su patrimonio técnico, y
(ii) el monto al que ascienden sus tres (3) mayores situaciones de concentración.
ARTÍCULO 2.9.1.1.24 EXCESO A LOS LÍMITES DE CONCENTRACIÓN.
<Fuente original compilada: R. 400/95 Art. 2.2.1.24 Modificado por la R. 211/05 Art. 4o.> Cuando en desarrollo de sus operaciones habituales, una sociedad comisionista de bolsa, exceda los límites máximos que resulten de la aplicación del artículo 2.9.1.1.14 del presente decreto, deberá informarlo a la Superintendencia de Financiera de Colombia en la forma, frecuencia y en los términos que ésta determine. Dicha información deberá acompañarse de un plan de ajuste para eliminar esa situación de exceso, el cual será autorizado por la Superintendencia Financiera de Colombia.
ARTÍCULO 2.9.1.1.25 PONDERACIÓN DE LOS EXCESOS A LOS LÍMITES DE CONCENTRACIÓN.
<Fuente original compilada: R. 400/95 Art. 2.2.1.25 Modificado por la R. 211/05 Art. 4o.> Para efectos de determinar el valor total de activos ponderados por nivel de riesgo a que se refiere el artículo 2.9.1.1.11, los excesos a los límites de concentración, ponderarán por el cien por ciento (100%) siempre y cuando este porcentaje de ponderación sea mayor que el porcentaje de ponderación que le corresponda al activo que generó el exceso, caso contrario, ponderará por el porcentaje de ponderación del correspondiente activo. La anterior ponderación se aplicará durante los días en que permanezca el exceso a los límites.
ARTÍCULO 2.9.1.1.26 INSTRUCCIONES SOBRE LA CUENTA PROPIA.
<Fuente original compilada: D. 1121/08 Art. 10> La Superintendencia Financiera de Colombia impartirá las instrucciones necesarias para la reclasificación de las inversiones que las sociedades comisionistas de bolsa de valores tengan en recursos propios al 11 de abril de 2008.
Así mismo, dicha Superintendencia establecerá un régimen de terminación ordenada de las operaciones con recursos propios y un régimen de transición para que las sociedades comisionistas de bolsa de valores cumplan con todos los límites establecidos en el presente decreto para la realización de operaciones por cuenta propia.
ACTIVIDADES AUTORIZADAS.
RÉGIMEN DE AUTORIZACIÓN GENERAL.
ARTÍCULO 2.9.2.1.1 RÉGIMEN DE AUTORIZACIÓN GENERAL.
<Fuente original compilada: R. 1200/95 Art. 3.6.1.1> De conformidad con el artículo 7o de la ley 45 de 1990 se autoriza de manera general a las sociedades comisionistas de bolsa para adelantar las actividades que a continuación se enumeran, siempre y cuando cumplan con los requisitos establecidos en el artículo siguiente.
1. Operaciones por cuenta propia.
2. Administrar valores de sus comitentes.
3. Administrar portafolios de valores de terceros de conformidad con las normas vigentes.
4. Asesoría en actividades relacionadas con el mercado de capitales.
5. Operaciones de corretaje.
6. Representantes de oficinas de representación en Colombia de las bolsas de futuros y opciones del exterior, así como de las que constituyan las entidades financieras extranjeras especialmente calificadas por el Banco de la República.
7. <Numeral modificado el artículo 24 del Decreto 1745 de 2020. El nuevo texto es el siguiente:> Contratos de corresponsalía en sociedades de banca, administradoras de fondos de inversión colectiva, sociedades privadas de banca de inversión y/o casas de bolsa extranjeras con el objeto de promocionar la celebración de negocios entre terceros y tales entidades y promocionar los propios en el exterior.
8. Financiar la adquisición de valores.
ARTÍCULO 2.9.2.1.2 REQUISITOS.
<Fuente original compilada: R. 1200/95 Art. 3.6.1.2> Para hacer uso del régimen de autorización general de que trata el artículo anterior, deberá darse cumplimiento a las condiciones generales establecidas en cada caso por la Superintendencia Financiera de Colombia, y siempre y cuando cumplan con los siguientes requisitos:
1. Que dentro de su objeto social se encuentre prevista expresamente la o las operaciones correspondientes, advirtiendo que tales operaciones solo podrán realizarse previa autorización de la Superintendencia Financiera de Colombia.
2. Que la sociedad esté al día en la presentación de sus estados financieros e información de carácter general y periódica que deba remitir a la Superintendencia Financiera de Colombia.
3. Que la sociedad cumpla con el capital mínimo que se requiere para adelantar la operación correspondiente.
4. Que la sociedad tenga dispuesta una adecuada estructura administrativa, tecnológica y profesional, bajo la responsabilidad de personal debidamente capacitado. Lo anterior implica que la sociedad debe contar con el debido soporte financiero, jurídico y logístico, que le permita adelantar una gestión óptima respecto de las operaciones que pretenda adelantar, así como la adecuada protección de los intereses que represente.
5. Contar con un manual de procedimiento en el que se detallen claramente las funciones del área encargada de la gestión de la o las operaciones correspondientes, así como las funciones encargadas de la o las mismas.
Tratándose de las operaciones de que tratan los numerales 1, 2, 3 y 4 del artículo anterior, es necesario incluir en forma precisa dentro de los respectivos manuales las reglas que permitirán evitar que se configuren conflictos de interés y manejo de información privilegiada. Para el efecto debe distinguirse entre los potenciales conflictos que se pueden presentar con relación a los negocios que ordinariamente ejecuta la sociedad y aquellos cuya presencia se da respecto de la o las operaciones autorizadas.
En el caso de la administración de portafolios de terceros, se debe distinguir entre los potenciales conflictos de interés que se pueden presentar en relación con los demás negocios que ejecuta la sociedad y aquellos cuya presencia se da cuando se administra más de un portafolio, respecto de los demás negocios de administración de portafolios o administración de valores.
Así mismo, en el caso de oficinas de representación en Colombia de los miembros de las bolsas de futuros y opciones del exterior, se debe distinguir entre los potenciales conflictos de interés que se puedan presentar con relación a los negocios a que ordinariamente ejecuta la sociedad y aquellos cuya presencia se da cuando se tiene más de una representación, respecto de los demás negocios de representación o administración de portafolios de fondos de inversión de capital extranjero que pueda estar realizando la sociedad.
ARTÍCULO 2.9.2.1.3 REQUISITOS ESPECIALES PARA LA FINANCIACIÓN DE VALORES.
<Fuente original compilada: R. 1200/95 Art. 3.6.1.3> Sin perjuicio de lo previsto en el artículo 2.9.2.1.2 del presente decreto, la financiación de valores estará sujeta adicionalmente a las siguientes condiciones:
1. Contar con la infraestructura de sistemas que le permita desarrollar adecuadamente dicha operación.
2. Valorar en forma diaria la suficiencia de las garantías otorgadas por sus clientes en desarrollo del contrato de financiación para la adquisición de valores, debiendo exigir la ampliación de éstas cuando no cumplan los niveles mínimos requeridos o en su defecto poner en funcionamiento el procedimiento contemplado en el contrato suscrito para la liquidación de las garantías correspondientes.
ARTÍCULO 2.9.2.1.4 REPRESENTANTE LEGAL PARA OPERACIONES POR CUENTA PROPIA.
<Fuente original compilada: R. 1200/95 Art. 3.6.1.4> Tratándose de operaciones por cuenta propia se debe informar previamente a la Superintendencia Financiera de Colombia y a las bolsas el nombre del representante legal designado de manera preferencial y prioritaria para adelantar las operaciones por cuenta propia.
ARTÍCULO 2.9.2.1.5 REGLA PARA LA ADMINISTRACIÓN DE PORTAFOLIOS DE TERCEROS. <Artículo derogado por el artículo 2 del Decreto 1247 de 2016>
ARTÍCULO 2.9.2.1.6 RESPONSABILIDAD DE LOS ADMINISTRADORES Y REPRESENTANTES LEGALES.
<Fuente original compilada: R. 1200/95 Art. 3.6.1.6> La mayor capacidad que se otorga a las sociedades comisionistas de bolsa a través del régimen de autorización general de que trata el presente título conlleva una mayor responsabilidad de los representantes legales y administradores de las sociedades comisionistas de bolsa en el mantenimiento permanente de las condiciones necesarias para el desarrollo de las operaciones autorizadas y en el desarrollo de adecuados instrumentos de auditoria y control interno para su mantenimiento.
ARTÍCULO 2.9.2.1.7 INFORMACIÓN A LA SUPERINTENDENCIA FINANCIERA DE COLOMBIA.
<Fuente original compilada: R. 1200/95 Art. 3.6.1.7> Las sociedades comisionistas de bolsa que se acojan al anterior régimen de autorización general, en alguna o algunas de las operaciones allí autorizadas, deberán informarlo por escrito a la Superintendencia Financiera de Colombia con una antelación no inferior a quince (15) días hábiles antes de iniciar operaciones, acompañando para el efecto una manifestación suscrita por la junta directiva de la entidad en la cual se indique que la sociedad se encuentra en condiciones de desarrollar las operaciones autorizadas y una certificación suscrita por el Representante Legal y Revisor Fiscal en la cual se establezca que se cumplen los requisitos de que trata el presente título.
RÉGIMEN DE AUTORIZACIÓN INDIVIDUAL.
ARTÍCULO 2.9.2.2.1 RÉGIMEN DE AUTORIZACIÓN INDIVIDUAL.
<Fuente original compilada: R. 1200/95 Art. 3.6.2.1> Cuando la sociedad comisionista de bolsa que habiéndose acogido al régimen de autorización general no cumpla o deje de cumplir con alguno o algunos de los requisitos antes mencionados deberá abstenerse de continuar realizando la o las operaciones correspondientes, salvo los negocios cuya ejecución se halle en período de cumplimiento. En tal caso el desarrollo de la o las actividades correspondientes estará sujeta a autorización previa e individual.
Tratándose de operaciones por cuenta propia, cuando habiendo operado bajo el régimen de autorización general no cumpla o deje de cumplir con alguno de los requisitos exigidos para ello, deberá abstenerse de continuar realizando este tipo de operaciones y deberá liquidar a más tardar dentro del trimestre siguiente, todas las inversiones que haya adquirido en desarrollo de operaciones de este tipo.
En el caso de administración de valores de terceros, no podrá administrar ningún valor adicional, sin perjuicio de que la Superintendencia Financiera de Colombia pueda ordenar las medidas del caso orientadas a la conclusión del negocio, incluido la suspensión de la autorización que se concede en el artículo 2.9.2.1.1.
PARÁGRAFO. Las operaciones de Asesoría que no se encuentren previstas taxativamente en el artículo 2.9.8.1.2 del presente decreto quedan sometidas al régimen de autorización individual.
PARTICIPACIÓN EN REMATES.
ARTÍCULO 2.9.3.1.1 PARTICIPACIÓN EN REMATES.
<Fuente original compilada: R. 400/95 Art. 2.2.2.1> Las sociedades comisionistas de bolsa podrán realizar a través del martillo de la bolsa y con sujeción a las normas que rigen el remate de títulos inscritos en la misma, operaciones sobre valores que estén inscritos en el Registro Nacional de Valores y Emisores- RNVE o en la respectiva bolsa.
OPERACIONES POR CUENTA PROPIA.
OPERACIONES POR CUENTA PROPIA EN EL MERCADO
PRIMARIO.
ARTÍCULO 2.9.4.1.1 DEFINICIONES.
<Fuente original compilada: R. 400/95 Art. 2.2.3.1 subrogado por el D. 1121/08> Las operaciones por cuenta propia realizadas por sociedades comisionistas de bolsa de valores en el mercado primario de valores serán las siguientes:
1. La adquisición, dentro de la modalidad en firme, de toda o parte de una emisión con el objeto exclusivo de facilitar la distribución y colocación de los valores.
2. La adquisición del remanente de una emisión en desarrollo del acuerdo celebrado por la sociedad comisionista para colocar la totalidad o parte de una emisión bajo la modalidad garantizada.
3. La adquisición de valores emitidos por la Nación o por el Banco de la República, por entidades vigiladas por la Superintendencia Financiera de Colombia y de otros valores inscritos en el Registro Nacional de Valores y Emisores -RNVE.
PARÁGRAFO. Se denomina colocación en firme aquella en que la sociedad comisionista de bolsa de valores suscribe la totalidad o parte de una emisión de valores, obligándose a ofrecer al público inversionista los títulos así suscritos o adquiridos, en las condiciones de precio que se hubieren establecido en el contrato respectivo.
Se denomina colocación garantizada aquella en la que la sociedad comisionista de bolsa de valores se compromete a colocar la totalidad o parte de una emisión de valores dentro de un plazo determinado, con la obligación de suscribir el remanente no colocado en dicho plazo.
ARTÍCULO 2.9.4.1.2 RÉGIMEN APLICABLE.
<Fuente original compilada: R. 400/95 Art. 2.2.3.2 subrogado por el D. 1121/08> En el evento en que la sociedad comisionista de bolsa de valores deba adquirir total o parcialmente los valores objeto del contrato se aplicarán para todos los efectos las normas relativas a las operaciones por cuenta propia en el mercado secundario, después de transcurrido un (1) mes desde el momento en que tuvo lugar la mencionada adquisición.
OPERACIONES POR CUENTA PROPIA EN EL MERCADO SECUNDARIO.
ARTÍCULO 2.9.4.2.1 DEFINICIONES.
<Fuente original compilada: R. 400/95 Art. 2.2.3.3 subrogado por el D. 1121/08> Son operaciones por cuenta propia en el mercado secundario de valores aquellas adquisiciones de valores inscritos en el Registro Nacional de Valores y Emisores – RNVE o en un sistema local de cotizaciones de valores extranjeros que son realizadas por las sociedades comisionistas de bolsa de valores con el objeto de imprimirle liquidez y estabilidad al mercado, atendiendo ofertas o estimulando y abasteciendo demandas, o con el propósito de reducir los márgenes entre el precio de demanda y oferta, dentro de las condiciones establecidas en el presente decreto. La enajenación de los valores así adquiridos, se considerará también como operación por cuenta propia.
Así mismo, son operaciones por cuenta propia, cualquier operación que realice la sociedad comisionista de bolsa de valores con sus propios recursos, incluidas aquellas que se realicen para proteger su patrimonio.
ARTÍCULO 2.9.4.2.2 PRINCIPIOS GENERALES.
<Fuente original compilada: R. 400/95 Art. 2.2.3.4 subrogado por el D. 1121/08> En la realización de las operaciones por cuenta propia en el mercado secundario la sociedad comisionista de bolsa de valores atenderá los deberes de los intermediarios de valores consagrados en los libros 1, 2,3 y 4 de la Parte 7 del presente decreto.
ARTÍCULO 2.9.4.2.3 PROHIBICIONES. <Artículo modificado el artículo 25 del Decreto 1745 de 2020. El nuevo texto es el siguiente:>
Las sociedades comisionistas de bolsa de valores no podrán realizar operaciones por cuenta propia teniendo como contraparte, directa o indirectamente, a los fondos de Inversión colectiva que administre o a los portafolios de valores de terceros que administren en desarrollo de contratos de administración de portafolios de terceros.
DISPOSICIONES GENERALES DE LAS OPERACIONES POR CUENTA PROPIA.
ARTÍCULO 2.9.4.3.1 AUTORIZACIÓN.
<Fuente original compilada: R. 400/95 Art. 2.2.3.6 subrogado por el D. 1121/08> Las operaciones por cuenta propia que celebren las sociedades comisionistas de bolsa de valores estarán sujetas a las condiciones generales que establece el presente Capítulo y podrán ser ejercidas previa autorización de la Superintendencia Financiera de Colombia.
Solamente podrán realizar operaciones por cuenta propia las sociedades comisionistas de bolsa de valores que acrediten los requerimientos de capital consagrados en la Ley 510 de 1999. Cuando una sociedad comisionista de bolsa de valores presente defectos en el valor de su capital mínimo exigido para el efecto en la Ley en mención, podrá realizar tales operaciones siempre y cuando manifieste expresamente su compromiso de efectuar las capitalizaciones necesarias para alcanzar el monto requerido en los términos de la Ley.
ARTÍCULO 2.9.4.3.2 PROHIBICIÓN DE UTILIZAR RECURSOS DE SUS CLIENTES.
<Fuente original compilada: R. 400/95 Art. 2.2.3.7 subrogado por el D. 1121/08> En cumplimiento del deber de separación de activos previsto en el numeral 5o del artículo 7.3.1.1.2 del presente decreto, las sociedades comisionistas de bolsa de valores nunca podrán utilizar recursos provenientes de sus clientes para el cumplimiento de sus operaciones.
NORMAS SOBRE FINANCIACIÓN DE VALORES.
ARTÍCULO 2.9.5.1.1 DEFINICIÓN.
<Fuente original compilada: R. 400/95 Art. 2.2.4.1> Para efectos del presente título se entiende que se está financiando la adquisición de un valor cuando la sociedad comisionista proporciona la totalidad o parte de los recursos necesarios para atender cualquier orden de compra de un título impartida por un cliente.
ARTÍCULO 2.9.5.1.2 AUTORIZACIÓN. <Fuente original compilada: R. 400/95 Art. 2.2.4.2>
<Inciso modificado el artículo 26 del Decreto 1745 de 2020. El nuevo texto es el siguiente:> Las operaciones sobre financiación de valores que celebren las sociedades comisionistas de bolsa para financiar a sus clientes la adquisición de valores, estarán sujetas a las condiciones generales que establece el presente Título y podrán ser ejercidos previa autorización expresa de la Superintendencia Financiera de Colombia.
La Superintendencia Financiera de Colombia podrá determinar las condiciones que considere necesarias para efectos de autorizar las operaciones de financiación de valores.
ARTÍCULO 2.9.5.1.3 CLASES DE FINANCIACIÓN.
<Fuente original compilada: R. 400/95 Art. 2.2.4.3> La financiación que otorguen las sociedades comisionistas a sus clientes podrá efectuarse con recursos propios o con recursos provenientes de operaciones de endeudamiento siempre que el crédito correspondiente haya sido otorgado por una entidad sometida a la inspección y vigilancia de la Superintendencia Financiera de Colombia.
PARÁGRAFO 1o. Los pasivos que adquiera una firma comisionista y que estén destinados a financiar la adquisición de valores no podrán ser superiores a tres (3) veces su patrimonio técnico.
PARÁGRAFO 2o. En ningún caso se podrá financiar la adquisición de valores de un determinado emisor con recursos provenientes de préstamos otorgados a la sociedad comisionista por dicho emisor o la matriz y filiales de éste.
ARTÍCULO 2.9.5.1.4 GESTIÓN DE CRÉDITO PARA LA FINANCIACIÓN.
<Fuente original compilada: R. 400/95 Art. 2.2.4.4> Las sociedades comisionistas de bolsa podrán gestionar ante las entidades de crédito, siempre que estas se encuentren vigiladas por la Superintendencia Financiera de Colombia, la obtención de préstamos para sus clientes que vayan a ser utilizados para la adquisición de acciones inscritas en bolsa.
<Fuente original compilada: R. 400/95 Art. 2.2.4.5> En los préstamos que una sociedad comisionista otorgue a sus clientes deberán constituirse garantías en títulos inscritos en bolsa las cuales deberán cubrir en todo momento el cien por ciento (100%), cuando menos, del valor del préstamo.
Cuando por razones de cotización en el mercado, el valor de las garantías no alcance para cubrir el porcentaje anterior, la sociedad comisionista de bolsa deberá exigir a su cliente la constitución inmediata de las garantías necesarias para el ajuste de las mismas.
PARÁGRAFO 1. Los valores entregados en garantía se aceptarán como máximo al ochenta por ciento (80%) de su valor actual, calculando éste de acuerdo con la cotización en bolsa.
PARÁGRAFO 2. Cuando se entreguen acciones en calidad de garantía, estas deberán ser de alta o media bursatilidad. Tratándose de otros valores estos deberán ser de alta liquidez.
<Fuente original compilada: R. 400/95 Art. 2.2.4.6> Los créditos que una sociedad comisionista otorgue a un mismo beneficiario real no podrán ser superiores al quince por ciento (15%) de su capacidad para otorgar financiación y en todo caso no podrán estar destinados a que un mismo cliente adquiera con los recursos correspondientes un porcentaje superior al tres por ciento (3%) de las acciones en circulación de una misma sociedad.
<Fuente original compilada: R. 400/95 Art. 2.2.4.7> En las operaciones de financiación para la adquisición de valores las sociedades comisionistas de bolsa podrán otorgar créditos con un plazo máximo de un (1) año.
ADMINISTRACIÓN DE VALORES.
<Fuente original compilada: R. 400/95 Art. 2.2.7.1> De conformidad con lo dispuesto en las normas vigentes, las sociedades comisionistas de bolsa podrán ofrecer y prestar a sus clientes servicios de administración de valores, previa autorización de la Superintendencia Financiera de Colombia y siempre que se sujeten a las condiciones que se establecen en los artículos siguientes.
ARTÍCULO 2.9.6.1.2 FACULTADES DE LA SOCIEDAD COMISIONISTA.
<Fuente original compilada: R. 400/95 Art. 2.2.7.2 Modificado R. 708/97 Art. 1o.> En desarrollo de la actividad de administración de valores, la sociedad comisionista de bolsa sólo está facultada para ejercer en nombre y por cuenta de su mandante y siempre que cuente con la autorización expresa del mismo, las actividades que se mencionan a continuación:
1. Realizar el cobro de los rendimientos;
2. Realizar el cobro del capital;
3. <Numeral modificado el artículo 27 del Decreto 1745 de 2020. El nuevo texto es el siguiente:> Reinvertir las sumas que por capital o rendimientos llegue a cobrar de acuerdo con las que para cada caso particular imparta el cliente, las cuales deben tener el correspondiente soporte en cualquier medio verificable que repose en la sociedad comisionista de bolsa.
4. Llevar a cabo la suscripción preferencial de los títulos que le correspondan en una nueva, y
5. Valorar a precios de mercado los títulos recibidos en administración.
PARÁGRAFO. La sociedad comisionista deberá informar al cliente sobre las facultades de que trata este artículo, para que éste pueda efectuar las correspondientes reservas o impartir las instrucciones que estime procedentes, de lo cual dejará la respectiva evidencia.
<Fuente original compilada: R. 400/95 Art. 2.2.7.3> La ejecución de los servicios de administración de valores por parte del comisionista estará sujeta a las siguientes reglas:
1. En los actos de administración que realice, deberá emplearse el mayor grado de diligencia y cuidado que la ley establece, debiendo responder la sociedad comisionista hasta por la culpa leve, de acuerdo con el artículo 2155 del Código Civil;
2. Mantener los mecanismos que permitan controlar el cobro oportuno de los rendimientos y del capital;
3. Efectuar las reinversiones que procedan, con sujeción a las instrucciones que imparta el cliente, y
4. En caso que no proceda la reinversión, poner a disposición del cliente las sumas correspondientes en forma inmediata.
ARTÍCULO 2.9.6.1.4 CUENTAS ESPECIALES.
<Fuente original compilada: R. 400/95 Art. 2.2.7.4> La sociedad comisionista deberá abrir una cuenta especial a nombre de cada uno de sus clientes en su contabilidad para los movimientos de dinero que origine la administración, en la que se deberán registrar todas y cada una de las operaciones que ejecute con motivo del respectivo mandato.
ARTÍCULO 2.9.6.1.5 REGISTRO CONTABLE. <Artículo modificado el artículo 28 del Decreto 1745 de 2020. El nuevo texto es el siguiente:>
La sociedad comisionista deberá revelar en notas a los estados financieros el valor de los títulos recibidos en administración, así como elaborar, respecto de los valores no desmaterializados que le han sido entregados, un certificado de custodia con numeración consecutiva, en el cual se asentarán, cuando menos, los siguientes datos:
1. Nombre y dirección del cliente. :
2. Descripción de los valores, especificando su denominación, cantidad, valor nominal, nombre del emisor, serie y número de títulos que los representan, fecha de emisión y demás información necesaria para su debida individualización.
3. Fecha de entrega.
4. Valores específicos en los que se harán las reinversiones, cuando a ellas haya lugar.
El original del certificado debe ser entregado al cliente en medio físico o electrónico, una copia se llevará al consecutivo y otra se dejará anexa al título valor, la cual debe ser firmada por el cliente al recibo del mismo.
La sociedad comisionista debe abrir un libro auxiliar debidamente registrado, en los términos establecidos en las normas vigentes, especificando los mismos datos que se deben consignar en el certificado de custodia respectivo.
ARTÍCULO 2.9.6.1.6 ADMINISTRACIÓN DE VALORES EN EL DEPÓSITO CENTRAL DE VALORES. <Artículo modificado por el artículo 2 del Decreto 1243 de 2013. El nuevo texto es el siguiente:> Cuando se trate de la administración de valores que se encuentren en el depósito central de valores, los documentos que acrediten el depósito serán los establecidos para el efecto en el reglamento que regule el funcionamiento de dicha entidad.
ARTÍCULO 2.9.6.1.7 ADMINISTRACIÓN DE VALORES NO INSCRITOS EN BOLSA.
<Fuente original compilada: R. 400/95 Art. 2.2.7.7> Las sociedades comisionistas de bolsa podrán administrar valores no inscritos en bolsa, siempre y cuando estos se encuentren inscritos en el Registro Nacional de Valores y Emisores- RNVE.
Para lo anterior, será necesario que la sociedad comisionista se encuentre cumpliendo con las disposiciones relativas a los conflicto de interés y al régimen de inversiones y endeudamiento.
ADMINISTRACIÓN DE PORTAFOLIOS DE TERCEROS.
ARTÍCULO 2.9.7.1.1. DEFINICIÓN. <Artículo modificado por el artículo 1 del Decreto 1247 de 2016. El nuevo texto es el siguiente:> La administración de portafolios de terceros es una actividad por medio de la cual las sociedades comisionistas de bolsa reciben activos de un tercero con la finalidad de administrar un portafolio a su criterio, pero con base en los lineamientos y objetivos dispuestos por dicho tercero.
Los activos que pueden formar parte de los portafolios de terceros administrados deberán corresponder a valores inscritos en el Registro Nacional de Valores y Emisores (RNVE), participaciones en fondos de inversión colectiva locales, valores extranjeros listados en un sistema de cotización de valores extranjeros por medio de las sociedades comisionistas de bolsa o mediante acuerdos o convenios de integración de bolsas de valores, los valores extranjeros cuya oferta pública autorizada en el exterior haya sido reconocida en los términos del Título 2 Libro 23 de la Parte 2 del presente decreto, divisas e instrumentos financieros derivados. También podrá aportarse al portafolio de terceros dinero en efectivo para la realización de las operaciones autorizadas al respectivo portafolio o el producto de estas.
La Sociedad Comisionista de Bolsa no podrá emplear este mecanismo para administrar portafolios cuyos activos pertenezcan a más de una persona.
ARTÍCULO 2.9.7.1.2. SOCIEDADES AUTORIZADAS. <Artículo modificado por el artículo 1 del Decreto 1247 de 2016. El nuevo texto es el siguiente:> Las sociedades comisionistas de bolsa podrán prestar los servicios de administración de portafolios de terceros, con sujeción a las condiciones establecidas en el presente Título. Para ello deberán contar con la autorización previa de la Superintendencia Financiera de Colombia, la cual será concedida una vez la Sociedad Comisionista de Bolsa solicitante acredite que posee la idoneidad y las capacidades operativas requeridas al efecto.
ARTÍCULO 2.9.7.1.3. PRINCIPIOS. <Artículo modificado por el artículo 1 del Decreto 1247 de 2016. El nuevo texto es el siguiente:> Las sociedades comisionistas de bolsa en la administración de portafolios de terceros deberán:
1. Actuar de manera profesional, con la diligencia exigible a un experto prudente y diligente de conformidad con los lineamientos dispuestos por el cliente en el contrato de administración.
2. Dar prevalencia a los intereses de sus clientes sobre cualquier otro interés, incluyendo los de la Sociedad Comisionista de Bolsa, sus accionistas, sus administradores, sus funcionarios, sus filiales o subsidiarias, su matriz o las filiales o subsidiarias de esta, y propender por el mejor resultado posible para el cliente de conformidad con sus lineamientos e instrucciones, en cumplimiento del deber de mejor ejecución.
3. Actuar de conformidad con los deberes de los intermediarios de valores establecidos en el Libro 3 de la Parte 7 del presente decreto.
ARTÍCULO 2.9.7.1.4. SEGREGACIÓN. <Artículo modificado por el artículo 1 del Decreto 1247 de 2016. El nuevo texto es el siguiente:> Los activos que forman parte del portafolio de terceros administrado constituyen un patrimonio independiente y separado de los activos propios de la Sociedad Comisionista de Bolsa y de aquellos que esta administre en virtud de otros negocios.
En virtud de lo anterior, los activos del portafolio de terceros administrado no hacen parte de los de la Sociedad Comisionista de Bolsa, ni constituyen prenda general de los acreedores de esta y estarán excluidos de la masa de bienes que pueda conformarse para efectos de la liquidación de la Sociedad Comisionista de Bolsa.
ARTÍCULO 2.9.7.1.5. MONTO TOTAL DE LOS PORTAFOLIOS DE TERCEROS ADMINISTRADOS. <Artículo modificado por el artículo 1 del Decreto 1247 de 2016. El nuevo texto es el siguiente:> <Artículo derogado por el artículo 9 del Decreto 415 de 2018>
ARTÍCULO 2.9.7.1.6. FACULTADES DE LA SOCIEDAD COMISIONISTA DE BOLSA. <Artículo modificado por el artículo 1 del Decreto 1247 de 2016. El nuevo texto es el siguiente:> Adicional a las facultades previstas en el artículo 2.9.6.1.2, del presente decreto y de conformidad con lo autorizado expresamente por el cliente, la Sociedad Comisionista de Bolsa en desarrollo de la actividad de administración de portafolios de terceros podrá comprometerse a realizar operaciones de compra y venta de valores, operaciones de derivados, de reporto o repo, simultáneas, transferencia temporal de valores o cualquiera otra operación que le esté autorizada en ejecución del contrato de comisión, así como a tomar decisiones sobre el manejo de los excedentes de liquidez transitorios.
Para la realización de las anteriores actividades es necesario que la Sociedad Comisionista de Bolsa haya sido autorizada expresamente por su cliente en el respectivo contrato de administración.
ARTÍCULO 2.9.7.1.7. MECANISMOS PARA LA REVELACIÓN DE INFORMACIÓN. <Artículo modificado por el artículo 1 del Decreto 1247 de 2016. El nuevo texto es el siguiente:> La Sociedad Comisionista de Bolsa deberá obrar de manera transparente, suministrando la información de manera veraz, imparcial, completa y exacta para lo cual enviará mensualmente a su cliente extractos de cuenta sobre el movimiento del portafolio, en los cuales se incluya cuando menos el valor total del portafolio en pesos, la rentabilidad neta generada durante el período, las operaciones realizadas sobre el portafolio y la composición por plazos y por especie del mismo.
PARÁGRAFO. La Superintendencia Financiera de Colombia podrá impartir instrucciones para determinar las condiciones en las cuales la Sociedad Comisionista de Bolsa deberá dar cumplimiento a lo establecido en el presente artículo.
ARTÍCULO 2.9.7.1.8. VALOR DEL PORTAFOLIO ADMINISTRADO. <Artículo modificado por el artículo 1 del Decreto 1247 de 2016. El nuevo texto es el siguiente:> El valor del portafolio en un momento determinado estará dado por el monto total de los activos de acuerdo con el valor razonable menos los pasivos del portafolio, calculado diariamente.
ARTÍCULO 2.9.7.1.9. CONTRATO DE ADMINISTRACIÓN DE PORTAFOLIOS DE TERCEROS. <Artículo modificado por el artículo 1 del Decreto 1247 de 2016. El nuevo texto es el siguiente:> Para la administración de portafolios de terceros la Sociedad Comisionista de Bolsa y el cliente deberán suscribir un contrato, el cual deberá incluir por lo menos lo siguiente:
a) Según se trate, monto de dinero entregado y/o relación de los demás activos que conforman el portafolio al momento de la entrega, así como sus principales características;
b) Instrucciones claras y precisas del cliente a la Sociedad Comisionista de Bolsa sobre los objetivos que esta debe buscar en desarrollo de la administración del portafolio;
c) Lineamientos sobre el manejo del portafolio, los cuales deben considerar la composición y características del mismo con base en los niveles de riesgo y objetivo de inversión que el cliente desea alcanzar, incluyendo, como mínimo, tipo de títulos, emisores, plazos (duración) y disponibilidades de liquidez;
d) Indicación de las operaciones que se autoriza realizar a la Sociedad Comisionista de Bolsa, y si existen o no límites o restricciones para la ejecución de las mismas, tales como valores máximos por operación o exposición por emisor, por plazos, por tipo de títulos y por duración;
e) Periodicidad y forma de los retiros por parte del cliente;
f) Valor y forma de pago de la comisión por administración, con indicación de si los gastos que se pagan por el uso de los proveedores de infraestructura hacen parte de la misma;
g) Procedimiento y plazos máximos para la liquidación y entrega de los activos cuando, por cualquier motivo, se termine el contrato de administración del portafolio;
h) En caso de que la Sociedad Comisionista de Bolsa cuente con un comité de inversiones deberá hacerse mención expresa sobre la decisión del cliente de utilizar o no los lineamientos que recomiende dicho comité.
PARÁGRAFO. La Superintendencia Financiera de Colombia podrá establecer requisitos adicionales a los establecidos en el presente artículo.
ARTÍCULO 2.9.7.1.10. OBLIGACIONES DE LA SOCIEDAD COMISIONISTA DE BOLSA. <Artículo modificado por el artículo 1 del Decreto 1247 de 2016. El nuevo texto es el siguiente:> La Sociedad Comisionista de Bolsa en su calidad de administradora de un portafolio de terceros deberá cumplir las siguientes obligaciones:
a) Administrar el portafolio con la diligencia que le corresponde en su carácter de profesional en la actividad, observando para el efecto los lineamientos y objetivos definidos por el cliente en el respectivo contrato de administración;
b) Contar con mecanismos que permitan identificar, medir, controlar, gestionar y administrar los riesgos asociados al portafolio que administra;
c) Mantener actualizada y separada de cualquier otro, la documentación e información relativa a las operaciones de cada portafolio de terceros que administre;
d) Cobrar oportunamente los dividendos, capital, intereses o cualquier rendimiento de los activos del portafolio que esté administrando;
e) Asegurar el mantenimiento de la reserva de la información que conozca con ocasión de la actividad de administración de portafolios de terceros, y adoptar políticas, procedimientos y mecanismos para evitar el uso indebido de información privilegiada o reservada relacionada con los portafolios de terceros administrados, sus activos, estrategias, negocios y operaciones, sin perjuicio del cumplimiento de los deberes de información a la Superintendencia Financiera de Colombia.
f) Adoptar medidas de control y reglas de conducta necesarias, apropiadas y suficientes, que se orienten a evitar que los portafolios de terceros administrados puedan ser utilizados como instrumentos para el ocultamiento, manejo, inversión o aprovechamiento en cualquier forma de dineros u otros bienes provenientes de actividades ilícitas, para dar apariencia de legalidad a las actividades ilícitas o a las transacciones y recursos vinculados con las mismas;
g) Llevar la contabilidad o información para la supervisión de cada portafolio de terceros administrado, de manera separada de la que corresponde a la Sociedad Comisionista de Bolsa, a cualquier otro portafolio o los fondos de inversión colectiva que administre, de conformidad con lo establecido en el Decreto 2420 de 2015 y las normas que lo modifiquen o adicionen;
h) Identificar, controlar y gestionar las situaciones generadoras de conflictos de interés que se presenten en el ejercicio de la administración de portafolios de terceros;
i) Entregar oportunamente a la Superintendencia Financiera de Colombia y a los organismos de autorregulación la información que requieran para el cumplimiento de sus funciones;
j) Ejercer supervisión permanente sobre el personal vinculado a la administración de los portafolios de terceros administrados;
k) Cumplir a cabalidad con los demás aspectos necesarios para la adecuada administración de los portafolios de terceros administrados.
ARTÍCULO 2.9.7.1.11. PROHIBICIONES. <Artículo modificado por el artículo 1 del Decreto 1247 de 2016. El nuevo texto es el siguiente:> Las sociedades comisionistas de bolsa, en su condición de administradoras de portafolios de terceros se abstendrán de realizar las siguientes actividades:
a) <Literal modificado el artículo 29 del Decreto 1745 de 2020. El nuevo texto es el siguiente:> Invertir los recursos de los portafolios de terceros administrados en activos cuyo emisor, avalista, aceptante o garante, o para el caso de una titularización, el originador, sea la propia Sociedad Comisionista de Bolsa.
b) Destinar recursos del portafolio, de manera directa o indirecta, para el apoyo de liquidez de la sociedad comisionista, de bolsa sus subordinadas, su matriz o las subordinadas de esta, así como aquellas sociedades en las cuales los miembros de la junta directiva o los representantes legales de la Sociedad Comisionista de Bolsa tengan poder de decisión o hagan parte de su junta directiva;
c) Adquirir para los portafolios de terceros que administra, sea directa o indirectamente, la totalidad o parte de los valores que se haya obligado a colocar por un contrato de colocación bajo la modalidad en firme o garantizado, antes de que hubiere finalizado dicho proceso. Lo anterior no obsta para que la Sociedad Comisionista de Bolsa adquiera para los portafolios de terceros que administra, valores de aquellos que se ha obligado a colocar, una vez finalice el proceso de colocación;
d) Tomar en préstamo valores de los portafolios de terceros administrados para desarrollar el mecanismo de estabilización de precios; así como, realizar operaciones para los portafolios de terceros administrados con los valores objeto de estabilización durante el periodo de la misma;
e) Actuar, directa o indirectamente, incluso a través de sus entidades vinculadas, como contraparte de los portafolios de terceros que administra, en desarrollo de los negocios que constituyen el giro ordinario de este, lo cual también resulta aplicable para la realización de operaciones con fondos de inversión colectiva o portafolios administrados o gestionados por la misma sociedad o sus entidades vinculadas;
f) Utilizar a través de cualquier medio, directa o indirectamente los activos que forman parte de los portafolios de terceros para otorgar reciprocidades que faciliten la realización de otras operaciones por parte de la Sociedad Comisionista de Bolsa, o de personas vinculadas a esta;
g) Representar en las asambleas generales de accionistas las acciones que se negocien en el mercado de valores y que constituyan inversiones de un portafolio de terceros.
h) Aparentar, la realización de operaciones sobre los activos que componen el portafolio de terceros administrado.
i) Manipular el valor del portafolio de terceros administrado;
j) No respetar la priorización o prelación de órdenes de negocios en beneficio de la Sociedad Comisionista de Bolsa, de sus matrices, subordinadas, o de terceros en general;
k) Dar en prenda, otorgar avales o establecer cualquier otro gravamen que comprometa los activos del portafolio de terceros, salvo que se cuente con autorización previa y expresa por parte del titular del portafolio de terceros administrado. No obstante, las sociedades comisionistas de bolsa podrán otorgar garantías que respalden las operaciones de derivados, reporto o repo, simultáneas y de transferencia temporal de valores realizadas en virtud de la administración del respectivo portafolio de terceros, incluidas la constitución de las garantías para el cumplimiento de las operaciones realizadas en las bolsas de valores, los sistemas de negociación de valores y los sistemas de registro de operaciones sobre valores autorizados por la Superintendencia Financiera de Colombia, y las demás aceptadas por una cámara de riesgo central de contraparte sometida a la inspección y vigilancia de la Superintendencia Financiera de Colombia;
l) Comprar o vender para el portafolio de terceros administrado, directa o indirectamente, activos que pertenezcan a los socios, representantes legales o empleados de la Sociedad Comisionista de Bolsa, o a sus cónyuges, compañeros permanentes, parientes dentro del segundo grado de consanguinidad, segundo de afinidad y único civil, o a sociedades en que estos sean beneficiarios reales del veinticinco por ciento (25%) o más del capital social. m) Invertir los recursos del portafolio de terceros en mecanismos o vehículos que estén referidos a activos que contravengan los lineamientos y objetivos definidos por el cliente en el respectivo contrato de administración.
ARTÍCULO 2.9.7.1.12. SITUACIONES DE CONFLICTOS DE INTERÉS. <Artículo modificado por el artículo 1 del Decreto 1247 de 2016. El nuevo texto es el siguiente:> Adicional a las situaciones generadoras de conflictos de interés aplicables a las sociedades comisionistas de bolsa, se entenderán como situaciones de este tipo, que deben ser administradas y reveladas por las sociedades comisionistas de bolsa en el ejercicio de la administración de portafolios de terceros, entre otras:
1. La celebración de operaciones donde concurran las instrucciones de inversión de varios portafolios de terceros o fondos de inversión colectiva administrados por una misma Sociedad Comisionista de Bolsa sobre los mismos activos, caso en el cual se deberá realizar una distribución de la inversión sin favorecer ninguno de los portafolios partícipes, en detrimento de los demás, según se establezca en el código de gobierno corporativo.
2. La inversión directa o indirecta de los recursos de los portafolios de terceros administrados en activos cuyo emisor, avalista, aceptante, garante u originador de una titularización sea la matriz, las subordinadas de esta o las subordinadas de la Sociedad Comisionista de Bolsa. Esta inversión solo podrá efectuarse a través de las bolsas de valores y los sistemas de negociación de valores debidamente autorizados por la Superintendencia Financiera de Colombia.
3. <Numeral modificado por el artículo 1 del Decreto 1422 de 2017. El nuevo texto es el siguiente:> La inversión directa o indirecta de los recursos de los portafolios de terceros en depósitos a la vista o fondos de inversión colectiva administrados y/o gestionados por la misma sociedad comisionista de bolsa o sus entidades vinculadas. Esta inversión solo podrá efectuarse cuando el cliente indique de manera previa y expresa en el contrato de administración, la posibilidad de que su portafolio esté invertido en cuentas corrientes o de ahorros en entidades vinculadas a la sociedad comisionista de bolsa o adquiera participaciones en los fondos de inversión colectiva que la sociedad comisionista de bolsa o sus entidades vinculadas administren o gestionen, y además, determine el nivel de inversión en dichos depósitos a la vista o participaciones. En todo caso, la sociedad comisionista de bolsa deberá suministrar al cliente información que detalle la estructura de costos y gastos derivada de este tipo de inversiones.
ARTÍCULO 2.9.7.1.13. RECURSOS TRANSITORIOS DE LIQUIDEZ. <Artículo modificado por el artículo 1 del Decreto 1247 de 2016. El nuevo texto es el siguiente:> Los recursos transitorios de liquidez de cada portafolio de terceros administrado se deberán mantener de manera independiente para cada cliente en depósitos a la vista o en fondos de inversión colectiva abiertos sin pacto de permanencia, de conformidad con lo acordado con el cliente en el respectivo contrato.
ARTÍCULO 2.9.7.1.14. DEPÓSITO DE VALORES. <Artículo modificado por el artículo 1 del Decreto 1247 de 2016. El nuevo texto es el siguiente:> Los valores que integran el portafolio de terceros administrado por las sociedades comisionistas de bolsa, deberán depositarse en una entidad legalmente autorizada para recibir depósitos de valores.
ARTÍCULO 2.9.7.1.15. INHABILIDAD TEMPORAL. <Artículo modificado por el artículo 1 del Decreto 1247 de 2016. El nuevo texto es el siguiente:> Cuando la Sociedad Comisionista de Bolsa se encuentre temporalmente inhabilitada para actuar en bolsa podrá encomendar a otra Sociedad Comisionista de Bolsa la realización, por cuenta del portafolio administrado, de las operaciones que sean necesarias. Esta delegación solo podrá realizarse previo el visto bueno del cliente, de la respectiva bolsa y siempre que la Superintendencia Financiera de Colombia no disponga otra cosa.
ASESORÍA EN ACTIVIDADES RELACIONADAS CON EL MERCADO DE CAPITALES.
<Fuente original compilada: R. 400/95 Art. 2.2.9.1> Las sociedades comisionistas de bolsa, previa autorización de la Superintendencia Financiera de Colombia, podrán ofrecer y prestar a sus clientes los servicios de asesoría que se detallan en el artículo siguiente, siempre que se sujeten a las condiciones que para el efecto establezca la Superintendencia Financiera de Colombia.
ARTÍCULO 2.9.8.1.2 MODALIDADES.
<Fuente original compilada: R. 400/95 Art. 2.2.9.2> Los servicios de asesoría a que se refiere el artículo anterior, podrán revestir las siguientes modalidades:
1. Asesoría en ingeniería financiera, la cual esta dirigida a empresas existentes en aspectos tales como sistemas de consecución de recursos, diseño de valores, fuentes de financiación, sistema de costos, definición de la estructura adecuada de capital, reestructuración de deuda, comercialización de cartera, colocación de valores entre terceros o asociados y repatriación de capitales.
2. Asesoría financiera en procesos empresariales de reorganización cuando contemplen entre otros casos, la conversión, fusión, escisión, adquisición, enajenación, cesión de activos, pasivos y contratos, y liquidación de empresas;
3. Asesoría en procesos de privatización, y
4. Asesoría en programas de inversión.
ARTÍCULO 2.9.8.1.3 OBLIGACIONES.
<Fuente original compilada: R. 400/95 Art. 2.2.9.3> La sociedad comisionista de bolsa tendrá entre otras, las siguientes obligaciones con la sociedad asesorada:
1. Informarse de las necesidades y expectativas del emisor, así como informarle a éste acerca de la naturaleza, alcance, contenido y precio de los servicios que le ofrece;
2. Establecer y mantener un permanente contacto a lo largo de la ejecución del contrato;
3. Guardar reserva respecto de las informaciones de carácter confidencial que conozca en desarrollo de su actividad, entendiendo por tales aquellas informaciones que obtiene en virtud de su relación con el emisor, que no están a disposición del público y que el emisor no está obligado a revelar;
4. Abstenerse de utilizar información privilegiada en beneficio propio o de terceros, y
5. Informar al emisor de todo conflicto de interés que comprenda las relaciones entre el emisor y la sociedad comisionista y entre ésta y los demás clientes, absteniéndose de actuar cuando a ello haya lugar.
ARTÍCULO 2.9.8.1.4 OBLIGACIONES CON EL INVERSIONISTA.
<Fuente original compilada: R. 400/95 Art. 2.2.9.4> La sociedad comisionista de bolsa tendrá entre otras, las siguientes obligaciones con el inversionista:
1. Prestar, con la debida diligencia, la asesoría necesaria para la mejor ejecución del encargo, y
2. Dar adecuado cumplimiento a todas las obligaciones de información contenidas en la ley, subrayándose la importancia de informar al cliente acerca de cualquier circunstancia sobreviniente que pueda modificar la voluntad contractual del mismo, así como cualquier situación de conflicto de interés, absteniéndose de actuar, cuando a ello haya lugar.
ARTÍCULO 2.9.8.1.5 OBLIGACIONES CON EL MERCADO.
<Fuente original compilada: R. 400/95 Art. 2.2.9.5> La sociedad comisionista de bolsa tendrá entre otras, las siguientes obligaciones frente al mercado en general:
1. Abstenerse de realizar cualquier operación que no sea representativa del mercado;
2. Conducir con lealtad sus negocios procurando la satisfacción de los intereses de seguridad, honorabilidad y diligencia, lo cual implica el sometimiento de su conducta a las diversas normas que reglamentan su actividad profesional, ya provengan del Estado, de las mismas bolsas o constituyan parte de los sanos usos y prácticas del comercio o del mercado público de valores,
3. Informar al cliente y al mercado en general, el interés en la colocación de los títulos, en cuanto el comisionista actúe en varias calidades, por ejemplo como asesor y como underwriter.
De esta forma, cuando la sociedad desempeñe esta actividad, ello deberá hacerse constar en caracteres visibles dentro del correspondiente prospecto o estudio, especificando, además, las actividades que incluyó la asesoría y los alcances de la misma.
ARTÍCULO 2.9.8.1.6. APLICACIÓN DE LAS REGLAS DE LA ACTIVIDAD DE ASESORÍA REGULADA EN LIBRO 40 DE LA PARTE 2 DEL PRESENTE DECRETO. <Artículo adicionado por el artículo 2 del Decreto 661 de 2018. El nuevo texto es el siguiente:> Cuando la asesoría prevista en el presente título implique el suministro de recomendaciones profesionales conforme al artículo 2.40.1.1.2 se deberá cumplir con las reglas del Libro 40 de la Parte 2 del presente decreto.
OPERACIONES DE CORRETAJE.
ARTÍCULO 2.9.9.1.1 OBJETO. <Artículo modificado el artículo 30 del Decreto 1745 de 2020. El nuevo texto es el siguiente:>
Las sociedades comisionistas de bolsa podrán, previa autorización de la Superintendencia Financiera de Colombia, realizar operaciones de corretaje sobre valores inscritos en el Registro Nacional de Valores y Emisores-RNVE que no estén inscritos en bolsa, siempre que para el efecto den cumplimiento a lo que sobre el particular establece el Código de Comercio.
OFICINAS DE REPRESENTACIÓN DE CORREDORES DE BOLSA DE FUTUROS Y OPCIONES DEL EXTERIOR.
<Fuente original compilada: R. 400/95 Art. 2.2.11.1> Las sociedades comisionistas de bolsa podrán actuar, previa autorización del Superintendente Financiera de Colombia, como representantes de las oficinas de representación en Colombia de los miembros de las bolsas de futuros y opciones del exterior, así como de las que constituyan las entidades financieras extranjeras especialmente calificadas por el Banco de la República.
OPERACIONES SOBRE TÍTULOS NO INSCRITOS EN BOLSA.
ARTÍCULO 2.9.11.1.1 CONTRATOS DE COMISIÓN SOBRE TÍTULOS NO INSCRITOS EN BOLSA. <Artículo modificado el artículo 31 del Decreto 1745 de 2020. El nuevo texto es el siguiente:>
Las sociedades comisionistas de bolsa podrán celebrar contratos de comisión para la adquisición en mercado primario de los títulos representativos de las suscripciones recibidas por las sociedades administradoras de inversión para los fondos de inversión colectiva por ellas administrados, que no estén inscritos en bolsa pero sí en el Registro Nacional de Valores y Emisores-RNVE.
PARTICIPACIÓN DE LAS SOCIEDADES COMISIONISTAS DE BOLSA EN LOS PROCESOS DE PRIVATIZACIÓN Y DEMOCRATIZACIÓN.
<Fuente original compilada: R. 400/95 Art. 2.2.14.1 Adicionado R. 167/97 Art. 2o. R. 1275/97 Art. 7o. Aclara que el presente Art. sigue vijente> Las sociedades comisionistas de bolsa podrán celebrar contratos de comisión para comprar acciones inscritas en el Registro Nacional de Valores y Emisores -RNVE siempre y cuando la operación se realice por cuenta de las personas a que se refiere el artículo 3o de la Ley 226 de 1995, con sujeción a las condiciones establecidas en dicha ley y al programa de enajenación respectivo.
Cuando en desarrollo del programa de enajenación participen bolsas de valores, las sociedades comisionistas de bolsa sólo podrán actuar a través de ellas y las operaciones deberán realizarlas con sujeción a las normas que rigen la negociación de valores en bolsa, con excepción de aquellas que no resulten compatibles con los requisitos establecidos por la Ley 226 de 1995, para la etapa orientada a los destinatarios de las condiciones especiales.
OPERACIONES DE VENTAS EN CORTO.
ARTÍCULO 2.9.13.1.1 DEFINICIÓN.
<Artículo modificado por el artículo 1 del Decreto 2510 de 2014. El nuevo texto es el siguiente:> Se entiende como venta en corto, aquella venta de valores en la cual el vendedor no tiene la propiedad de los valores objeto de la operación al momento de la misma. En todo caso, a más tardar el mismo día de la celebración de la venta en corto el vendedor deberá haber realizado las operaciones que sean necesarias para no dejar descubierta la venta en corto y asegurar así la posterior liquidación de la misma.
PARÁGRAFO 1o. Para efectos de la anterior definición, no se consideran ventas en corto las ventas en las que el vendedor cuenta con la propiedad de los valores, bien sea porque previamente ha realizado la operación contraria (compra) o una operación a través de la cual se adquirirá de manera incondicional el valor objeto de la venta aun cuando esta se encuentre pendiente de liquidación.
PARÁGRAFO 2o. La Superintendencia Financiera de Colombia podrá expedir instrucciones sobre la manera como se deberán realizar las operaciones de ventas en corto y la forma como se administrarán los riesgos implícitos a las mismas.
ARTÍCULO 2.9.13.1.2 AUTORIZACIÓN.
<Fuente original compilada: R. 400/95 Art. 2.2.16.2 Adicionado R. 746/97 Art. 1o.> Las sociedades comisionistas de bolsa podrán realizar a través de bolsa por cuenta propia o por cuenta de terceros, operaciones de Venta en Corto, con sujeción a las normas contenidas en este decreto.
ARTÍCULO 2.9.13.1.3 PRECIOS PARA LA NEGOCIACIÓN DE ACCIONES.
<Fuente original compilada: R. 400/95 Art. 2.2.16.4 Adicionado R. 746/97 Art. 1o. Modificado R. 412/98 Art. 2o.> El precio para la negociación de acciones a través de operaciones de ventas en corto deberá ser como mínimo igual al último precio de negociación registrado en bolsa y que haya marcado precio, para la respectiva acción.
ARTÍCULO 2.9.13.1.4 INFORMACIÓN.
<Fuente original compilada: R. 400/95 Art. 2.2.16.5 Adicionado R. 746/97 Art. 1o.> Las bolsas de valores deberán definir en sus reglamentos el sistema a través del cual se informará diariamente el volumen de operaciones efectuadas en ventas en corto con indicación de su precio, tasa de negociación y especie negociada, entre otros aspectos.
ARTÍCULO 2.9.13.1.5 PRESENTACIÓN DE REGLAMENTOS.
<Artículo modificado por el artículo 2 del Decreto 2510 de 2014. Rige a partir de 4 de junio de 2015, consultar en Legislación Anterior el texto vigente hasta esta fecha. El nuevo texto es el siguiente:> Las bolsas de valores deberán incluir en sus reglamentos los valores sobre los cuales podrán efectuarse las ventas en corto, teniendo en cuenta, entre otros criterios, la liquidez de los mismos. De igual forma, los mencionados reglamentos deberán contemplar las características y requisitos de la referida operación y presentarlos a la Superintendencia Financiera de Colombia de manera unificada para su aprobación, en forma previa a la celebración de las mismas.
ARTÍCULO 2.9.13.1.6 MARCACIÓN DE LAS OPERACIONES.
<Artículo adicionado por el artículo 3 del Decreto 2510 de 2014. Rige a partir de 4 de junio de 2015. El nuevo texto es el siguiente:> Las ventas en corto deberán ser marcadas como tal por parte del vendedor de las acciones.
OPERACIONES DEL MERCADO CAMBIARIO.
ARTÍCULO 2.9.14.1.1 AUTORIZACIÓN.
<Fuente original compilada: R. 400/95 Art. 2.2.18.1 Adicionado R. 520/00 Art. 1o.> Las sociedades comisionistas de bolsa podrán realizar operaciones del mercado cambiario, afectando su posición propia o en desarrollo de contratos de comisión, sujetándose para ello tanto a las condiciones establecidas por la Junta Directiva del Banco de la República como a las fijadas en el presente Título.
En todo caso la realización de dichas operaciones, estará condicionada al cumplimiento previo de los requisitos establecidos en los numerales 2, 4 y 5 del artículo 2.9.2.1.2 del presente decreto, así como de los señalados en el artículo siguiente.
PARÁGRAFO. Estas operaciones no estarán sujetas a la reglamentación de las operaciones por cuenta propia de que tratan los Capítulos 1,2 y 3 del Título 4 del Libro 9 de la Parte 2.
ARTÍCULO 2.9.14.1.2 REQUISITOS. <Fuente original compilada: R. 400/95 Art. 2.2.18.2 Adicionado R. 520/00 Art. 1o.>
<Inciso modificado el artículo 32 del Decreto 1745 de 2020. El nuevo texto es el siguiente:> Para el desarrollo de las operaciones de que trata el presente Título, además de acreditar y mantener el patrimonio exigido por la reglamentación de carácter general expedida por la Junta Directiva del Banco de la República, las sociedades comisionistas de bolsa deberán cumplir los siguientes requisitos:
1. Designar cuando menos un representante legal para la realización de estas operaciones.
2. Contar con los medios necesarios para disponer y remitir de manera oportuna y adecuada la información exigida por el Banco de la República y los demás entes de control, sin perjuicio de lo exigido en el numeral cuarto del artículo 2.9.2.1.2 del presente decreto.
3. Adoptar un código de conducta con el propósito principal de fomentar la lealtad y la transparencia del mercado cambiario. Este documento deberá ser aprobado previamente por la Junta Directiva de la sociedad respectiva.
4. <Numeral modificado el artículo 32 del Decreto 1745 de 2020. El nuevo texto es el siguiente:> Suscribir un convenio con las bolsas en el cual conste que la sociedad comisionista se somete a los reglamentos de operación que aprueben las respectivas bolsas en relación con las transacciones en divisas que se realicen a través de los sistemas que administran, los cuales deberán definir normas claras para la solución de conflictos de interés y evitar el uso indebido de información privilegiada.
5. Adoptar, en especial, las normas que se dirijan a la solución adecuada de conflictos de interés y a evitar el uso indebido de información privilegiada, de acuerdo con lo dispuesto por la Superintendencia Financiera de Colombia para las operaciones por cuenta propia de que tratan los Capítulos 1,2 y 3 del Título 4 del Libro 9 de la Parte 2 del presente decreto o las normas que lo modifiquen o sustituyan.
PARÁGRAFO 1. <Parágrafo modificado el artículo 32 del Decreto 1745 de 2020. El nuevo texto es el siguiente:> Las sociedades comisionistas de bolsa que decidan realizarlas operaciones de que trata el presente Título, deberán informarlo por escrito a la Superintendencia Financiera de Colombia a más tardar el mismo día en que inicien las operaciones, adjuntando una manifestación suscrita por la junta directiva de la entidad en la cual se indique que la sociedad se encuentra en condiciones de desarrollar las operaciones, además de una certificación suscrita por el Representante Legal y el Revisor Fiscal en la cual se establezca que se cumplen los requisitos de que trata el presente Título.
PARÁGRAFO 2. Con antelación al desarrollo de las operaciones y en aplicación de la obligación contenida en el numeral 1 del presente artículo, las sociedades comisionistas de bolsa deberán informar a las bolsas y a la Superintendencia Financiera de Colombia el nombre del representante legal que se designe con el propósito ahí señalado.
ARTÍCULO 2.9.14.1.3 OBLIGACIONES.
<Fuente original compilada: R. 400/95 Art. 2.2.18.3 Adicionado R. 520/00 Art. 1o.> En adición a sus obligaciones como intermediarios del mercado cambiario, las sociedades comisionistas deberán:
1. Registrar todas las órdenes de compra y venta recibidas por cuenta de un tercero el mismo día de su recepción, en un sistema electrónico.
2. <Numeral modificado el artículo 33 del Decreto 1745 de 2020. El nuevo texto es el siguiente:> Registrar, a través de sistemas electrónicos, las operaciones sobre divisas, bien sea que las realice en posición propia o en desarrollo de contratos de comisión, en los términos y condiciones establecidos por el Banco de la República.
3. Anotar cronológicamente estas operaciones en el libro de registro de operaciones con divisas, según reglamentación de la Superintendencia Financiera de Colombia.
4. Informar de manera clara y precisa a sus clientes sobre la facultad que éstos tienen de decidir si sus operaciones con divisas las hará la sociedad comisionista actuando en posición propia o en desarrollo de contratos de comisión y qué implicaciones tiene para el cliente el seleccionar una u otra alternativa.
5. <Numeral modificado el artículo 33 del Decreto 1745 de 2020. El nuevo texto es el siguiente:> Suministrar de manera completa y oportuna a las entidades de control toda la información que éstas requieran sobre las transacciones en divisas que realicen.
ARTÍCULO 2.9.14.1.4 INVERSIONES EN DIVISAS.
<Fuente original compilada: R. 400/95 Art. 2.2.18.4 Adicionado R. 520/00 Art. 1o.> Las sociedades comisionistas sólo podrán efectuar las siguientes inversiones en divisas, siempre y cuando sean de corto plazo: inversiones financieras temporales, inversiones en activos financieros emitidos por entidades bancarias del exterior e inversiones en bonos y títulos emitidos por gobiernos extranjeros.
ARTÍCULO 2.9.14.1.5 CONVENIOS.
<Fuente original compilada: R. 400/95 Art. 2.2.18.5 Adicionado R. 520/00 Art. 1o.> Las sociedades comisionistas de bolsa podrán realizar convenios o contratos con sociedades comerciales nacionales o extranjeras como apoyo para la ejecución de sus negocios en divisas, siempre que tales convenios no impliquen la delegación de las decisiones que corresponden a la sociedad comisionista. En estos casos, siempre que actúen en desarrollo de un contrato de comisión, las sociedades comisionistas deberán adoptar las medidas necesarias para prestar directamente la asesoría a la que están obligadas, frente a las personas que les encomienden la realización de operaciones. Tal asesoría no podrá ser prestada bajo ninguna circunstancia por la sociedad comercial con la cual se realice el convenio.
El texto de dichos convenios o contratos deberá ser remitido a la Superintendencia Financiera de Colombia con una antelación mínima de 20 días a la celebración de los mismos.
ARTÍCULO 2.9.14.1.6 PROHIBICIONES.
<Fuente original compilada: R. 400/95 Art. 2.2.18.6 Adicionado R. 520/00 Art. 1o.> En desarrollo de las operaciones de que trata este Título, las sociedades comisionistas de bolsa no podrán utilizar, en sus propios negocios, recursos provenientes de sus clientes. Tampoco podrán realizar operaciones pasivas de crédito para adquirir divisas.
ARTÍCULO 2.9.14.1.7 DEBERES DE LAS BOLSAS.
<Fuente original compilada: R. 400/95 Art. 2.2.18.7 Adicionado R. 520/00 Art. 1o.> Las bolsas de valores deberán:
1. Reglamentar, ajustándose a las normas que rigen la materia, las actuaciones de sus miembros en todo lo relativo a la negociación de divisas.
2. Velar porque en las operaciones en divisas realizadas por sus sociedades comisionistas de bolsa, se de cabal cumplimiento a lo dispuesto en las normas relativas a dichas operaciones y, en especial, a las normas vigentes para la prevención de las actividades delictivas y de lavado de activos, sin perjuicio de las facultades de la Superintendencia Financiera de Colombia y de las autoridades cambiarias sobre la materia.
3. Suministrar de manera completa y oportuna a las autoridades de control, toda la información que éstas requieran sobre las transacciones en divisas que realicen sus miembros.
4. Suministrar al mercado la información sobre las operaciones con divisas que realicen sus miembros, con un retraso que no puede exceder de 20 minutos desde el momento en que se hayan registrado electrónicamente las operaciones.
5. Contribuir a la capacitación de las personas que, por parte de las firmas comisionistas, participen en estas operaciones.
PARÁGRAFO. El reglamento a que se refiere el numeral 1 del presente artículo deberá ser aprobado por la Superintendencia Financiera de Colombia previo el inicio de las operaciones con divisas por parte de las sociedades comisionistas de bolsa.
ARTÍCULO 2.9.14.1.8 PREVENCIÓN DE ACTIVIDADES DELICTIVAS Y DE LAVADO DE ACTIVOS.
<Fuente original compilada: R. 400/95 Art. 2.2.18.8 Adicionado R. 520/00 Art. 1o.> Las sociedades comisionistas de bolsa que participen en las transacciones de divisas a que se refiere el presente Título deberán, además de cumplir con lo establecido en el artículo 39 de la Ley 190 de 1995 y demás normas pertinentes, suministrar toda la información y la colaboración que requieran las autoridades competentes, para efectos de la prevención de las actividades delictivas y de lavado de activos.
ARTÍCULO 2.9.14.1.9 RÉGIMEN SANCIONATORIO. <Artículo modificado el artículo 34 del Decreto 1745 de 2020. El nuevo texto es el siguiente:>
El incumplimiento de las obligaciones establecidas en el régimen de cambios internacionales o de lo dispuesto en el presente Título, dará lugar a la imposición de sanciones por parte de la Superintendencia Financiera de Colombia de conformidad con las normas vigentes, sin perjuicio de las sanciones que puedan imponer las autoridades cambiarías.
OPERACIONES DE REPORTO O REPO, SIMULTÁNEAS Y DE TRANSFERENCIA TEMPORAL DE VALORES.
ARTÍCULO 2.9.15.1.1 AUTORIZACIÓN A LAS SOCIEDADES COMISIONISTAS DE BOLSA.
<Artículo modificado por el artículo 3 del Decreto 1351 de 2019. El nuevo texto es el siguiente:> Las sociedades comisionistas de bolsa de valores podrán realizar a través de bolsa de valores, por cuenta propia o por cuenta de terceros, operaciones de reporto o repo, simultáneas y de transferencia temporal de valores.
Las operaciones de transferencia temporal de valores también podrán realizarse en el mercado mostrador en los términos del Capítulo 5 del Título 3 del Libro 36 de la Parte 2 del presente decreto.
OPERACIONES POR FUERA DE RUEDA.
ARTÍCULO 2.9.16.1.1 VALORES INSCRITOS EN BOLSA.
<Fuente original compilada: R. 1200/95 Art. 3.5.1.1 Modificado por la R. 549/96 Art. 1o.> Las sociedades comisionistas de bolsa podrán realizar por fuera de rueda operaciones que tengan por objeto colocar en el mercado primario valores inscritos en bolsa, siempre y cuando el precio de colocación se encuentre previamente determinado por el emisor.
Las operaciones que realicen las sociedades comisionistas de bolsa en desarrollo de lo previsto en el presente artículo y sean producto de oferta pública deberán ser registradas en la rueda inmediatamente siguiente a la del día de su celebración.
ARTÍCULO 2.9.16.1.2 RECOLOCACIÓN.
<Fuente original compilada: R. 1200/95 Art. 3.5.1.2> Las sociedades comisionistas de bolsa podrán realizar por fuera de rueda aquellas operaciones cuyo objeto sea volver a colocar en el mercado secundario, a precios preestablecidos en función de los días que falten para su vencimiento, títulos previamente readquiridos por su respectivo emisor.
PARÁGRAFO. Las operaciones que realicen las sociedades comisionistas de bolsa en desarrollo de lo previsto en el presente artículo deberán ser registradas en la rueda inmediatamente siguiente al día de su celebración. Los presidentes de las respectivas ruedas velarán por el cumplimiento de esta obligación.
ARTÍCULO 2.9.16.1.3 VALORES OFRECIDOS SIMULTÁNEAMENTE EN EL EXTERIOR Y EN EL PAÍS.
<Fuente original compilada: R. 1200/95 Art. 3.5.1.3> Las sociedades comisionistas podrán realizar por fuera de los recintos bursátiles operaciones que tengan por objeto colocar bajo la modalidad del mejor esfuerzo los valores que vayan a ser ofrecidos simultáneamente en el exterior y en el país.
PARÁGRAFO. Las operaciones que realicen las sociedades comisionistas en desarrollo de lo previsto en el presente artículo, deberán ser informadas a la Superintendencia Financiera de Colombia y a la Bolsa de Valores correspondiente, el día hábil siguiente a la fecha de su celebración. Las Bolsas de Valores velarán por el cumplimiento de esta obligación.
FORMADORES DE LIQUIDEZ DEL MERCADO DE VALORES.
ARTÍCULO 2.9.17.1.1 FORMADORES DE LIQUIDEZ DEL MERCADO DE VALORES.
<Fuente original compilada: R. 400/95 Art. 2.2.20.1 Modificado por el D. 2279/10 Art. 1o.> Las sociedades comisionistas de bolsa de valores podrán actuar como formadores de liquidez del mercado de valores cuando intervengan de manera continua en las ruedas o sesiones de los sistemas de negociación de valores formulando posturas u órdenes de venta o de compra en firme, con el objeto de otorgar liquidez a los valores a los que hace referencia el artículo 2.9.17.1.2 del presente Título. Dicha actuación se llevará a cabo de conformidad con lo establecido en las instrucciones de contenido general que imparta la Superintendencia Financiera de Colombia y en desarrollo de los requisitos y condiciones establecidos en los reglamentos de los sistemas de negociación de valores.
PARÁGRAFO. Siempre que en el presente título se mencione a los sistemas de negociación de valores se entenderá que se hace mención también a las bolsas de valores.
ARTÍCULO 2.9.17.1.2 VALORES ADMISIBLES.
<Fuente original compilada: R. 400/95 Art. 2.2.20.2 Modificado por el D. 2279/10 Art. 1o.> Para los efectos previstos en este título, podrán ser objeto de negociación por parte de los formadores de liquidez del mercado de valores, los valores inscritos en el Registro Nacional de Valores y Emisores y en los sistemas de negociación de valores o listados en sistemas de cotización de valores del extranjero.
PARÁGRAFO 1. <Parágrafo modificado por el artículo 1 del Decreto 2241 de 2015. El nuevo texto es el siguiente:> Los emisores que ostenten la calidad de entidades estatales, así como las entidades con participación directa o indirecta del Estado superior al cincuenta por ciento (50%) en su capital social, independientemente de su naturaleza y del orden al cual pertenezcan, que hagan uso del mecanismo regulado en el presente Título, no podrán utilizar fondos provenientes de la entidad estatal que actúe en calidad de emisor para el desarrollo de la actividad de formación de liquidez.
ARTÍCULO 2.9.17.1.3 MECANISMOS DE ACTUACIÓN DE LOS FORMADORES DE LIQUIDEZ DE MERCADO DE VALORES.
<Fuente original compilada: R. 400/95 Art. 2.2.20.3 Modificado por el D. 2279/10 Art. 1o.> Las actuaciones y operaciones como formadores de liquidez del mercado de valores se podrán desarrollar a través de los siguientes mecanismos:
1. Empleando fondos propios, con sujeción a las instrucciones de contenido general que imparta la Superintendencia Financiera de Colombia y el reglamento del sistema de negociación de valores.
2. Empleando fondos provenientes del emisor, con sujeción a las normas de contenido general que establezca la Superintendencia Financiera de Colombia y el reglamento del sistema de negociación de valores. En este caso se deberá suscribir un contrato entre el formador de liquidez y el emisor del valor, el cual deberá contener como mínimo:
a. Identificación del valor objeto del contrato.
b. Establecer en forma clara, precisa y detallada los derechos, las obligaciones y las responsabilidades del emisor y del formador de liquidez del mercado de valores, así como los demás elementos necesarios para su ejecución.
c. Identificación del aportante de los recursos necesarios para la ejecución de la actuación de la sociedad comisionista como formador de liquidez del mercado de valores objeto del contrato.
d. Establecer el monto máximo de los recursos y describir claramente la forma de entregarlos al formador de liquidez del mercado de valores por parte de la sociedad fiduciaria.
e. Establecer los mecanismos y procedimientos necesarios para asegurar que las decisiones del formador de liquidez del mercado de valores sean tomadas con total autonomía técnica y con absoluta independencia del emisor.
f. Pactar expresamente la forma y monto de contraprestación y la duración del contrato.
g. Definir las obligaciones especiales de suministro de información entre el formador de liquidez del mercado de valores y el emisor.
La actuación como formador de liquidez del mercado de valores requerirá autorización por parte de los sistemas de negociación de valores donde esté inscrito el respectivo valor. Las sociedades comisionistas de bolsa de valores que hayan celebrado un contrato con el emisor, deberán adjuntarlo a la solicitud de autorización que se solicite.
PARÁGRAFO. Cuando los fondos provengan del emisor, deberá preverse que éstos sean transferidos a un patrimonio autónomo mediante la celebración de un contrato de fiducia mercantil. El formador de liquidez del mercado de valores deberá ejecutar el contrato de manera autónoma y con total independencia del administrador del patrimonio autónomo y del emisor.
ARTÍCULO 2.9.17.1.4 AUTORIZACIÓN DE FORMADOR DE LIQUIDEZ DEL MERCADO DE VALORES.
<Fuente original compilada: R. 400/95 Art. 2.2.20.4 Modificado por el D. 2279/10 Art. 1o.> Los administradores de los sistemas de negociación de valores, deberán observar los siguientes criterios para la autorización de los formadores de liquidez del mercado de valores:
1. Se podrá autorizar más de un formador de liquidez del mercado de valores para cada valor, hasta el límite señalado en los reglamentos establecidos por los administradores de los sistemas de negociación de valores.
2. Se podrá autorizar a una sociedad comisionista de bolsa de valores para que actúe como formador de liquidez del mercado de valores en forma simultánea para más de un valor, siempre y cuando cumpla con los mínimos establecidos en los reglamentos de los sistemas de negociación de valores.
ARTÍCULO 2.9.17.1.5 SUJECIÓN A LAS REGLAS APLICABLES A LAS OFERTAS PÚBLICAS DE ADQUISICIÓN.
<Fuente original compilada: R. 400/95 Art. 2.2.20.5 Modificado por el D. 2279/10 Art. 1o.> Las sociedades comisionistas de bolsa de valores en sus actividades de formadores de liquidez del mercado de valores respecto de acciones inscritas en los sistemas de negociación de valores, deberán observar los límites establecidos para la realización de ofertas públicas de adquisición, de conformidad con lo dispuesto en el presente Decreto o en las normas que la modifiquen o sustituyan.
ARTÍCULO 2.9.17.1.6 OBLIGACIONES GENERALES DEL FORMADOR DE LIQUIDEZ DEL MERCADO DE VALORES.
<Fuente original compilada: R. 400/95 Art. 2.2.20.6 Modificado por el D. 2279/10 Art. 1o.> Las sociedades comisionistas de bolsa de valores que desarrollen actividades de formador de liquidez del mercado de valores, además de las obligaciones establecidas en las normas que las rigen, de las que se fijen en el reglamento de los sistemas de negociación de valores y de las pactadas en el contrato con el emisor, estarán obligadas a:
1. Formular posturas u órdenes de venta o de compra en firme dentro de los sistemas de negociación de valores, con el objeto de otorgar liquidez a los valores a los que hace referencia el artículo 2.9.17.1.2 del presente título.
2. Cumplir con los procedimientos, parámetros y condiciones de negociación definidos por los administradores de los sistemas de negociación de valores para el ingreso de órdenes o posturas en su actuación como formador de liquidez del mercado de valores.
3. Informar públicamente sobre su calidad como formador de liquidez del mercado de determinado valor y el mecanismo adoptado para el efecto.
4. Elaborar informes periódicos, relativos a la evolución de la liquidez en la negociación de los valores respecto de los que actúe en calidad de formador de liquidez del mercado de valores. Este informe deberá colocarse a disposición del público en general a través de su página web.
5. En caso de utilizar fondos provenientes del emisor, deberá mantener a disposición de las autoridades competentes y de los administradores de los sistemas de negociación de valores, todas las comunicaciones entre las sociedades comisionistas, la fiduciaria y el emisor, relacionadas con su actividad de formador de liquidez del mercado de valores.
6. En caso de utilizar fondos provenientes del emisor, informar a los administradores de los sistemas de negociación de valores acerca de la terminación, modificación o prórroga del contrato celebrado con el emisor y de los motivos de dicho evento, dentro de los plazos que se establezcan en el reglamento del administrador de los sistemas de negociación de valores.
7. Informar a la Superintendencia Financiera de Colombia y a los administradores de los sistemas de negociación de valores, cómo se afectará su condición de formador de liquidez del mercado de valores cuando la sociedad comisionista de bolsa de valores haya decidido realizar operaciones tales como fusión, transferencia de la mayoría de la propiedad accionaria a terceros, escisión, cesión de activos, pasivos y contratos, o adopción de otros esquemas de organización empresarial con efectos semejantes a los anteriores, o ante cualquier acto, operación o negocio que, en todo caso, tenga implicaciones de trascendencia en el desempeño operacional o financiero de esta sociedad. Lo anterior, dentro de los plazos que se establezcan en el reglamento del administrador de los sistemas de negociación de valores.
ARTÍCULO 2.9.17.1.7 PROHIBICIONES DEL FORMADOR DE LIQUIDEZ DEL MERCADO DE VALORES.
<Fuente original compilada: R. 400/95 Art. 2.2.20.7 Modificado por el D. 2279/10 Art. 1o.> Sin perjuicio de las normas generales sobre conflictos de interés, información privilegiada y manipulación de precios, siempre que una sociedad comisionista de bolsa de valores actúe como formador de liquidez del mercado de valores, le estará prohibido:
1. Discriminar entre inversionistas o grupos de inversionistas al ejecutar las operaciones.
2. Celebrar operaciones por cuenta propia con valores respecto de los cuales haya suscrito y tenga vigente un contrato como formador de liquidez del mercado de valores con el emisor del respectivo valor.
ARTÍCULO 2.9.17.1.8 OBLIGACIONES DEL EMISOR.
<Fuente original compilada: R. 400/95 Art. 2.2.20.8 Modificado por el D. 2279/10 Art. 1o.> Los emisores de valores que suscriban contratos de conformidad con lo establecido en el numeral 2 del artículo 2.9.17.1.3, deberán cumplir con las siguientes obligaciones:
1. Difundir al mercado el nombre de la sociedad comisionista de bolsa de valores que ha contratado para la función de formador de liquidez del mercado de valores.
2. Establecer los mecanismos para asegurar que las decisiones de la sociedad comisionista de bolsa de valores y de la sociedad fiduciaria administradora del patrimonio autónomo, se tomen con absoluta independencia del emisor.
3. Enviar copia del contrato al Registro Nacional de Valores y Emisores.
PARÁGRAFO. El emisor no podrá condicionar la entrega de los recursos materia del contrato al logro de un resultado específico de precio o tasa de negociación del respectivo valor.
ARTÍCULO 2.9.17.1.9 OBLIGACIONES DE LOS ADMINISTRADORES DE LOS SISTEMAS DE NEGOCIACIÓN DE VALORES.
<Fuente original compilada: R. 400/95 Art. 2.2.20.9 Modificado por el D. 2279/10 Art. 1o.> Sin perjuicio de sus facultades y obligaciones generales y de las que establezca la Superintendencia Financiera de Colombia, los administradores de los sistemas de negociación de valores tendrán, con relación a los formadores de liquidez del mercado de valores, las siguientes obligaciones y funciones:
1. Establecer en los reglamentos los requisitos para la autorización de los formadores de liquidez del mercado de valores.
2. Implementar mecanismos para identificar las operaciones que realice un determinado formador de liquidez del mercado de valores.
3. Informar al mercado cuáles son las entidades que se encuentran habilitadas para realizar actuaciones como formadores de liquidez del mercado de valores en sus sistemas de negociación de valores, así como los valores objeto de tales actuaciones.
4. Establecer en los reglamentos para cada uno de sus sistemas de negociación de valores o sesiones de negociación de valores, los parámetros y condiciones para la ejecución de las operaciones como formador de liquidez del mercado de valores que les corresponda adelantar a las sociedades comisionistas de bolsa de valores en desarrollo de los mecanismos de actuación definidos en el artículo 2.9.17.1.3 de título. La Superintendencia Financiera de Colombia podrá establecer unos criterios generales para el efecto.
5. Determinar los términos, condiciones y procedimientos mediante los cuales se realizará el monitoreo de las operaciones de los formadores de liquidez del mercado de valores en desarrollo de mecanismo de actuación adoptado.
6. Parametrizar sus sistemas o sesiones de negociación para el monitoreo y control de las operaciones de los formadores de liquidez del mercado de valores en desarrollo del mecanismo de actuación adoptado.
7. Establecer las políticas y mecanismos de divulgación de información al mercado, con relación a los valores y operaciones realizadas por los formadores de liquidez del mercado de valores.
8. Conservar toda la información de las operaciones que se realicen en sus sistemas de negociación en desarrollo de las actuaciones de los formadores de liquidez del mercado de valores.
9. Velar porque en las operaciones que realicen los formadores de liquidez del mercado de valores se de cabal cumplimiento a lo dispuesto en las normas, los reglamentos, el código de conducta de los administradores de los sistemas de negociación de valores y el contrato respectivo.
10. Adoptar en el respectivo reglamento el régimen disciplinario y sancionatorio con relación a la actividad de los formadores de liquidez del mercado de valores, sin perjuicio de las facultades de la Superintendencia Financiera de Colombia y los Organismos de Autorregulación.
10. Comunicar a los formadores de liquidez del mercado de valores las modificaciones a los reglamentos autorizados por la Superintendencia Financiera de Colombia, con una antelación no inferior a quince (15) días hábiles de su entrada en vigencia.
11. Prever en sus reglamentos los casos excepcionales en los cuales los formadores de liquidez del mercado de valores podrán eximirse temporalmente de sus obligaciones de negociación.”
OPERACIONES CARRUSEL.
ARTÍCULO 2.9.18.1.1 AUTORIZACIÓN.
<Fuente original compilada: R. 1200/95 Art. 3.5.2.1> Se autoriza a las sociedades comisionistas de bolsa, la celebración de operaciones carrusel, de acuerdo con los siguientes artículos.
ARTÍCULO 2.9.18.1.2 CARACTERÍSTICAS DE LAS OPERACIONES.
<Fuente original compilada: R. 1200/95 Art. 3.5.2.2> Las instrucciones que aquí se imparten cobijan el conjunto de dos o más operaciones que reúnen las siguientes características, independientemente del nombre que se les de para distinguirlas:
a) Se celebran, en principio, sobre un mismo título, el cual tiene un plazo de vencimiento.
b) Se celebran de manera simultánea.
c) Son operaciones en las cuales los compromisos de compraventa se hacen efectivos en fechas futuras.
d) Permiten establecer que los compromisos de compraventa conexos a las correspondientes operaciones, definen la propiedad del título abarcando un tiempo sucesivo e ininterrumpido de la vigencia del mismo.
Quedan incluidas bajo la presente reglamentación todas aquellas operaciones que, en lo sustancial, respondan a las características generales antes enunciadas.
ARTÍCULO 2.9.18.1.3 OBLIGACIÓN DE REGISTRO EN BOLSA.
<Fuente original compilada: R. 1200/95 Art. 3.5.2.3> El registro de las operaciones carrusel se sujetará a la siguiente regla:
Las sociedades comisionistas deberán registrar en bolsa todas las operaciones de las que trata este artículo observando las instrucciones que aquí se imparten, así como las demás normas y procedimientos definidos por la respectiva bolsa.
ARTÍCULO 2.9.18.1.4 FORMA Y MECANISMOS DE REGISTRO.
<Fuente original compilada: R. 1200/95 Art. 3.5.2.4> Las bolsas de valores determinarán los mecanismos que se deben utilizar para el registro de cada una de las operaciones a que hace referencia este artículo.
No obstante, únicamente la operación inicial, entendiéndose por tal aquella con la cual se inicia el carrusel, será registrada en rueda de conformidad con las normas vigentes.
En todo caso, las bolsas de valores expedirán los respectivos comprobantes de transacción y liquidación de la operación inicial.
ARTÍCULO 2.9.18.1.5 TRASPASO DE TÍTULOS.
<Fuente original compilada: R. 1200/95 Art. 3.5.2.6> Las bolsas deberán llevar control sobre el (los) traspaso(s) de los títulos que sea(n) necesario para hacer efectivas las compraventas de las operaciones a que se refiere esta sección.
Para ello, exigirán a las firmas comisionistas, en la fecha en que un traspaso deba hacerse efectivo, la presentación de una constancia, suscrita por parte del comprador, de que éste ha recibido a satisfacción el título adquirido. Igualmente, exigirán constancia similar, suscrita por el vendedor, de que éste ha recibido a satisfacción el dinero correspondiente a la operación.
Cuando deba surtirse algún trámite ante el emisor de un título para efectos de su traspaso, la bolsa será la encargada de realizar el trámite.
ARTÍCULO 2.9.18.1.6 PLAZO PARA LA LIQUIDACIÓN.
<Fuente original compilada: R. 1200/95 Art. 3.5.2.7> Las operaciones de que trata este capítulo podrán ser registradas con un plazo máximo para su liquidación igual al de maduración del título, contado a partir de la fecha de registro de la operación.
ARTÍCULO 2.9.18.1.7 SOPORTES QUE DEBEN LLEVAR LAS SOCIEDADES COMISIONISTAS.
<Fuente original compilada: R. 1200/95 Art. 3.5.2.8> Las sociedades comisionistas de bolsa que efectúen operaciones carrusel deberán llevar los siguientes soportes:
Cartas de compromiso de compra y venta.
Cuando los participantes en una operación carrusel deban suscribir cartas de compromiso como garantía de la operación, éstas deberán estar a disposición de los comisionistas a más tardar dentro de las veinticuatro (24) horas siguientes al registro de la operación en bolsa y contener como mínimo los siguientes puntos:
1. Clase de título y emisor;
2. Fecha de emisión y vencimiento del título, así como su valor nominal;
3. Manifestación expresa del compromiso irrevocable de compra y/o venta, señalando las fechas en que se harán efectivos tales compromisos y el valor de la operación.
4. Precio de compra y/o venta
5. De tratarse del último comprador del título, esta circunstancia deberá especificarse claramente en la correspondiente carta;
6. Señalamiento de la calidad de representante legal en la cual se actúa, ó del origen del poder bastante para obligar a la respectiva institución en la operación.
7. Podrá elaborarse una sola carta de compromiso siempre que en ella queden claramente establecidas las obligaciones adquiridas por las partes intervinientes y aceptantes.
ARTÍCULO 2.9.18.1.8 PUBLICACIONES.
<Fuente original compilada: R. 1200/95 Art. 3.5.2.9> Con relación a cada una de las operaciones de que trata este Título, las bolsas de valores deberán publicar en el boletín diario el volumen, el título transado, plazo de la inversión y tasa de interés efectiva anual a la cual se registró la operación especificando la fecha de liquidación.
Igualmente, publicarán en el boletín diario un cuadro resumen de tales operaciones con información del volumen, fecha de liquidación, plazo de inversión y tasa efectiva anual promedio ponderado.
SERVICIOS FINANCIEROS PRESTADOS POR LAS SOCIEDADES COMISIONISTAS DE BOLSA DE VALORES A TRAVÉS DE CORRESPONSALES.
ARTÍCULO 2.9.19.1.1 SERVICIOS DE SOCIEDADES COMISIONISTAS DE BOLSA DE VALORES PRESTADOS POR MEDIO DE CORRESPONSALES. <Título 19 derogado por el artículo 3 del Decreto 2672 de 2012>
ARTÍCULO 2.9.19.1.2 MODALIDADES DE SERVICIOS. <Título 19 derogado por el artículo 3 del Decreto 2672 de 2012>
ARTÍCULO 2.9.19.1.3 CONTENIDO DE LOS CONTRATOS. <Título 19 derogado por el artículo 3 del Decreto 2672 de 2012>
ARTÍCULO 2.9.19.1.4 INFORMACIÓN A LOS CLIENTES Y USUARIOS. <Título 19 derogado por el artículo 3 del Decreto 2672 de 2012>
ARTÍCULO 2.9.19.1.5 CALIDADES DE LOS CORRESPONSALES. <Título 19 derogado por el artículo 3 del Decreto 2672 de 2012>
ARTÍCULO 2.9.19.1.6 OBLIGACIONES DE LAS SOCIEDADES COMISIONISTAS DE BOLSA DE VALORES. <Título 19 derogado por el artículo 3 del Decreto 2672 de 2012>
ARTÍCULO 2.9.19.1.7 AUTORIZACIÓN. <Título 19 derogado por el artículo 3 del Decreto 2672 de 2012>
ARTÍCULO 2.9.19.1.8 EJERCICIO ILEGAL DE LA ACTIVIDAD FINANCIERA Y CAPTACIÓN MASIVA Y HABITUAL DE DINEROS. <Título 19 derogado por el artículo 3 del Decreto 2672 de 2012>
OBLIGACIONES DE LAS SOCIEDADES COMISIONISTAS DE VALORES.
<Fuente original compilada: R. 1200/95 Art. 1.1.3.1> En desarrollo del Libro 6 de la Parte 7 del presente decreto, las sociedades comisionistas de bolsa y las comisionistas independientes de valores deberán adoptar las siguientes reglas de conducta:
a) Revelar al mercado la información privilegiada o eventual sobre la cual no tengan deber de reserva y estén obligadas a transmitir;
b) Guardar reserva, respecto de las informaciones de carácter confidencial que conozcan en desarrollo de su actividad, entendiendo por tales aquellas que obtienen en virtud de su relación con el cliente, que no está a disposición del público y que el cliente no está obligado a revelar;
c) Obtener, en cada caso, autorización expresa y escrita del cliente para ejecutar órdenes sobre valores emitidos por empresas a las que esté prestando asesoría en el mercado de capitales, excepto cuando dicha asesoría sea propia del contrato de comisión;
d) Informar adecuadamente a los clientes previamente a la aceptación del encargo sobre su vinculación, en desarrollo del literal d) del artículo 2o de la ley 45 de 1990, cuando la orden tenga por objeto títulos emitidos, avalados, aceptados o cuya emisión sea administrada por la matriz, por sus filiales o subsidiarias de ésta, y
e) Abstenerse de:
e.1 <Subliteral modificado el artículo 35 del Decreto 1745 de 2020. El nuevo texto es el siguiente:> Realizar cualquier operación en el mercado utilizando información privilegiada, en los términos del artículo 75 de la Ley 45 de 1990, 258 de la Ley 599 de 2000 y el artículo 7.6.1.1.1 del presente decreto.
e. 2 . Suministrar información a un tercero que no tenga derecho a recibirla conforme a las disposiciones citadas;
e.3 <Subliteral modificado el artículo 35 del Decreto 1745 de 2020. El nuevo texto es el siguiente:> Con base en dicha información, aconsejar la adquisición o venta de un valor en el mercado, según lo previsto en el artículo 75 de la Ley 45 de 1990 y el artículo 258 de la Ley 599 de 2000.
e. 4 . Ejecutar órdenes desconociendo la prelación en su registro.
e. 5. Preparar, asesorar o ejecutar órdenes que según un criterio profesional y de acuerdo con la situación del mercado, puedan derivar en un claro riesgo de pérdida anormal para el cliente, a menos que, en cada caso, éste de por escrito autorización expresa y asuma claramente el riesgo respectivo.
a) <Fuente original compilada: R. 1200/95 Art. 1.1.3.2> Observar en todas las operaciones que efectúen por cuenta propia los principios generales, obligaciones y demás disposiciones que establece el Título 4 del Libro 9 de la Parte 2 del presente decreto.
b) Abstenerse de:
b.1. Realizar operaciones por cuenta propia de títulos emitidos, avalados, aceptados o cuya emisión sea administrada por la matriz, por sus filiales o subsidiarias de ésta o de la sociedad comisionista de bolsa.
a) <Fuente original compilada: R. 1200/95 Art. 1.1.3.4> Cumplir con lo dispuesto en las letras b) y e) del artículo 2.9.20.1.1 del presente decreto.
b) En cuanto a la operación de asesoría, abstenerse de preparar o asesorar procesos de constitución de sociedades comisionistas de bolsa o comisionistas independientes de valores.
ARTÍCULO 2.9.20.1.4 REGLAS DE CONDUCTA QUE DEBEN SER ADOPTADAS POR LAS SOCIEDADES COMISIONISTAS DE BOLSA Y SOCIEDADES COMISIONISTAS INDEPENDIENTES DE VALORES EN RELACIÓN CON LA REALIZACIÓN SIMULTÁNEA DE ACTIVIDADES. <Fuente original compilada: R. 1200/95 Art. 1.1.3.5>
<Inciso modificado el artículo 36 del Decreto 1745 de 2020. El nuevo texto es el siguiente:> Establecer una estricta independencia entre la simple intermediación y, según se trate, los departamentos que prestan asesoría en el mercado de capitales, administran portafolios de terceros, y administran fondos de inversión colectiva.
Particularmente, cuando la entidad preste servicios de asesoría en el mercado de capitales, deberá asegurarse de que la información derivada de tales actividades no esté al alcance, directa o indirectamente, del personal de la propia entidad que trabaje en otro departamento, de manera que cada función se ejerza en forma autónoma y sin posibilidad de que surjan conflictos de interés, para lo cual deberá asignar personal con dedicación exclusiva en esta área y establecer las correspondientes reglas de independencia dentro de sus manuales internos de operación.
a) <Fuente original compilada: R. 1200/95 Art. 1.1.3.6> Ajustar su conducta a las reglas establecidas en el presente decreto y en las demás disposiciones vigentes, revelando oportunamente a la sociedad comisionista o a la Superintendencia Financiera de Colombia, según sea el caso, toda la información necesaria para su cabal aplicación, y
b) <Literal modificado por el artículo 1 del Decreto 1340 de 2012. El nuevo texto es el siguiente:> La negociación de acciones, excepto aquellas recibidas a título de herencia o legado, por parte de quienes ostenten la calidad de administrador de una sociedad comisionista de bolsa de valores, podrá realizarse siempre y cuando la referida entidad cuente con políticas de prevención, revelación y administración de los conflictos de interés que se puedan generar con la referida negociación.
Como mínimo, dentro de las políticas que deberá implementar la respectiva sociedad comisionista de bolsa se encuentran las relacionadas con:
1. Revelación de las negociaciones efectuadas por los administradores al órgano que la sociedad comisionista de bolsa de valores designe.
2. Revelación al órgano mencionado en el numeral anterior de los intermediarios de valores o terceros a través de los cuales los administradores realizan o realizarán la negociación de acciones.
3. Establecimiento del tiempo mínimo durante el cual los administradores deberán mantener su posición, así como las causales de excepción a dicha regla o el establecimiento de programas de negociación por parte de los administradores en los que de manera previa a la realización de las operaciones se contemplen la duración del programa, la cual no podrá ser inferior a (30) treinta días calendario, los montos y tipo de operación(es) que los administradores realizarán en el futuro.
DEBERES DE INFORMACIÓN DE LAS SOCIEDADES COMISIONISTAS DE VALORES Y PRÁCTICAS INSEGURAS Y NO AUTORIZADAS.
ARTÍCULO 2.9.21.1.1 SOCIEDADES COMISIONISTAS DE VALORES.
<Fuente original compilada: R. 1200/95 Art. 1.1.4.1> Dentro de los tres días hábiles siguientes a aquel en el cual se concrete el hecho que las origine, las sociedades comisionistas deberán comunicar a la Superintendencia Financiera de Colombia y a las bolsas de valores del país, de todas aquellas vinculaciones económicas, relaciones contractuales, otras circunstancias que, en su actuación por cuenta propia o ajena, puedan suscitar conflictos de interés Esta obligación se aplica también a las sociedades comisionistas independientes de valores, caso en el cual la información debe suministrarse a la Superintendencia Financiera de Colombia.
ARTÍCULO 2.9.21.1.2 PRÁCTICAS INSEGURAS Y NO AUTORIZADAS Y RÉGIMEN SANCIONATORIO.
<Fuente original compilada: R. 1200/95 Art. 1.1.4.2> Constituye práctica insegura y no autorizada el incumplimiento de cualquiera de las instrucciones que se contienen en los Títulos 20 y 21 del Libro 9 de la Parte 2, en el Título 2 del Libro 10 de la Parte 2 y en el Libro 6 de la Parte 7 del presente decreto, que no hayan sido tipificadas por normas legales especiales.
Cuando sea del caso, la Superintendencia impondrá las sanciones administrativas a que haya lugar, y adelantará las acciones necesarias para que se haga efectiva la responsabilidad civil prevista en el artículo 76 de la ley 45 de 1990.
CORRESPONSALÍA LOCAL DE LAS SOCIEDADES COMISIONISTAS DE BOLSA.
ARTÍCULO 2.9.22.1.1 CORRESPONSALÍA LOCAL DE LAS SOCIEDADES COMISIONISTAS DE BOLSA. <Título 22 derogado por el artículo 5 del Decreto 2673 de 2012>
FONDO DE GARANTÍAS.
ARTÍCULO 2.9.23.1.1 OBJETO DEL FONDO. <Artículo modificado por el artículo 1 del Decreto 1235 de 2020. El nuevo texto es el siguiente:> Las sociedades comisionistas de bolsa de valores deberán conformar y mantener un único fondo de garantías, el cual tendrá como objeto responder a los clientes de dichas sociedades, incluidos los fondos de inversión colectiva que administran, por el cumplimiento de las obligaciones de entrega o restitución de valores o de dinero que las mismas hayan contraído en desarrollo del contrato de comisión, la administración de fondos de inversión colectiva, la administración de valores y la administración de portafolios de terceros. En desarrollo del mencionado objeto, el fondo gestionara los riesgos sistémicos que se puedan generar por los incumplimientos mencionados.
Dicho fondo realizará las operaciones en los términos y condiciones que señale su Consejo de Administración, las cuales deberán estar establecidas en el reglamento del fondo, que deberá ser aprobado por la Superintendencia Financiera de Colombia de conformidad con lo establecido en el artículo 2.9.23.1.4 del presente decreto.
PARÁGRAFO. La bolsa de valores deberá estar representada en el Consejo de Administración del fondo.
ARTÍCULO 2.9.23.1.2 MONTO MÍNIMO DE LOS RECURSOS Y APORTES PERIÓDICOS.
<Fuente original compilada: R. 1200/95 Art. 3.7.1.7 Adicionado R. 138/01 Art. 1o.> Las bolsas de valores establecerán el monto mínimo de los recursos que deberá acreditar el fondo único de garantías, los aportes periódicos que deberá realizar cada firma comisionista y los aportes extraordinarios que se consideren necesarios. La determinación del monto mínimo deberá ajustarse dependiendo de la variación de los riesgos en el tiempo.
ARTÍCULO 2.9.23.1.3 PATRIMONIO AUTÓNOMO.
<Fuente original compilada: R. 1200/95 Art. 3.7.1.8 Adicionado R. 138/01 Art. 1o.> El fondo de que trata el artículo 2.9.23.1.1 del presente decreto, deberá constituirse bajo la figura de patrimonio autónomo. La atención de los siniestros no estará limitada a la cuantía de los aportes de cada firma comisionista.
ARTÍCULO 2.9.23.1.4 REGLAMENTO.
<Artículo modificado por el artículo 2 del Decreto 2255 de 2012. El nuevo texto es el siguiente:> El reglamento del fondo único de garantías y sus posteriores modificaciones deberán ser sometidos a la aprobación de la Superintendencia Financiera de Colombia. Dicho reglamento deberá contemplar como mínimo lo siguiente:
1. Plazo y condiciones bajo las cuales responderá a los clientes de las sociedades comisionistas en caso de incumplimiento.
2. Reglas de funcionamiento.
3. Procedimiento de reclamación por parte de los clientes afectados.
4. Requisitos para el ingreso y retiro de sociedades comisionistas de bolsa de valores.
5. Régimen de cuotas de las sociedades comisionistas de bolsa de valores.
6. Pólizas de seguro.
7. Régimen de inversión.
8. Procedimiento para el manejo de los riesgos operacionales.
9. <Numeral adicionado por el artículo 2 del Decreto 1235 de 2020. El nuevo texto es el siguiente:> Descripción de las operaciones que podrá realizar el fondo.
9. 10. Los demás aspectos que establezca la Superintendencia Financiera de Colombia para preservar la seguridad, eficiencia y transparencia del mercado de valores.
PARÁGRAFO. La Superintendencia Financiera de Colombia podrá en cualquier momento, ordenar la calificación del fondo de garantías que se constituya, con el fin de que se determine y evalúe respecto del mismo lo siguiente: i) Los riesgos operacionales, de crédito y de mercado; ii) La capacidad financiera para responder por la exposición que corresponda a los distintos riesgos cubiertos.
ARTÍCULO 2.9.23.1.5. INCORPORACIÓN DE LAS OPERACIONES AUTORIZADAS. <Artículo adicionado por el artículo 3 del Decreto 2255 de 2012. El nuevo texto es el siguiente:> Las operaciones autorizadas se entienden incorporadas en los reglamentos y en los contratos que rigen el funcionamiento del fondo de garantía que a la fecha se encuentre en funcionamiento. Los actos jurídicos que sean necesarios para implementar las operaciones autorizadas al fondo de garantías de las sociedades comisionistas de bolsa, de acuerdo con lo previsto en el artículo 2.9.23.1.1 del presente decreto, no requieren el cumplimiento de requisitos adicionales diferentes al de la suscripción de los respectivos documentos que las instrumenten.
PARÁGRAFO. Cuando el Consejo de Administración del fondo así lo determine, el valor total del patrimonio del fondo y de los mecanismos que tenga previstos para recuperar ese patrimonio, podrá ser utilizado para desarrollar las operaciones previstas en el artículo 2.9.23.1.1 del presente decreto, sin que sea requerido restablecer dicho patrimonio de manera inmediata. Caso en el cual el voto de la Bolsa de Valores de Colombia en el Consejo de Administración del fondo deberá ser consultado con el Consejo Directivo de dicha bolsa. El plazo y las condiciones de restablecimiento del patrimonio serán definidos por la Superintendencia Financiera de Colombia.
RÉGIMEN DE TARIFAS EN LAS OPERACIONES QUE REALICEN LAS SOCIEDADES COMISIONISTAS DE BOLSA.
ARTÍCULO 2.9.24.1.1 RÉGIMEN DE AUTORIZACIÓN.
<Fuente original compilada: R. 1200/95 Art. 3.3.1.1> Autorizar, por vía general, a las sociedades comisionistas de bolsa el cobro de tarifas en las operaciones que realicen sin sujeción a límites máximos o mínimos, las que no podrán ser discriminatorias entre clientes.
ARTÍCULO 2.9.24.1.2 CRITERIOS.
<Fuente original compilada: R. 1200/95 Art. 3.3.1.2> Para efectos de lo dispuesto en el presente título, las sociedades comisionistas deberán establecer una política general en materia de cobro de comisiones e información al público sobre las mismas, así como observar los siguientes criterios prudenciales:
a) La formación de precios debe basarse en factores objetivos de costo beneficio, atendiendo las particularidades del mercado, pudiendo cobrar precios diferenciales a los diversos clientes sólo en aspectos tales como volumen de transacciones, clase de título, plazo o mercado, considerándose proscritos los actos unilaterales que conlleven tratamientos discriminatorios que no consulten alguna de las variables que justifican diferenciaciones;
b) En el establecimiento de los precios deberá atenderse lo relacionado con las disposiciones vigentes en materia de prácticas comerciales restrictivas, en particular en lo que concierne a la determinación de precios y distribución de mercados;
c) La comisión pactada por operaciones de compra podrá considerarse como parámetro para determinar la aplicación de la comisión en el cobro correspondiente a las operaciones de venta de los mismos títulos;
d) Cada transacción debe considerarse de modo individual. En todo caso, para la determinación de las comisiones, se tendrá en cuenta el parámetro utilizado por las sociedades comisionistas para el conjunto de clientes que realicen operaciones bajo condiciones similares.
ARTÍCULO 2.9.24.1.3 INFORMACIÓN Y REGISTRO.
<Fuente original compilada: R. 1200/95 Art. 3.3.1.3> Las sociedades comisionistas deberán revelar a sus clientes, antes y después de realizada la operación, el importe y porcentaje de la comisión. En todo caso, deberán registrar por separado en su contabilidad el precio de cada operación y el importe de la comisión respectiva.
PARÁGRAFO. Las bolsas de valores deberán llevar las estadísticas correspondientes a las comisiones cobradas por las sociedades comisionistas miembros.
NORMAS APLICABLES A LAS BOLSAS DE VLORES.
CONSEJOS DIRECTIVOS DE LAS BOLSAS DE VALORES.
ARTÍCULO 2.10.1.1.1 INTEGRACIÓN DE LOS CONSEJOS DIRECTIVOS DE LAS BOLSAS DE VALORES.
<Fuente original compilada: D. 3767/05 Art. 1o.> Cuando menos el cuarenta por ciento (40%) de los miembros del consejo directivo de las bolsas de valores tendrán la calidad de independientes. Para efectos de lo dispuesto en el presente artículo se entenderán por independientes todas las personas naturales, salvo las que se encuentren en las siguientes situaciones:
1. Empleado o directivo de las bolsas de valores o de alguna de sus filiales o subsidiarias, incluyendo aquellas personas que hubieren tenido tal calidad durante el año inmediatamente anterior a la designación, salvo que se trate de la reelección de una persona independiente.
2. Accionistas que directamente o en virtud de convenio dirijan, orienten o controlen la mayoría de los derechos de voto de las bolsas de valores o que determinen la composición mayoritaria de los órganos de administración, de dirección o de control de la misma.
3. Socio o empleado de asociaciones o sociedades que presten servicios de asesoría o consultoría a las bolsas de valores, cuando los ingresos por dicho concepto representen para aquellos, el veinte por ciento (20%) o más de sus ingresos operacionales.
4. Empleado o directivo de una fundación, asociación o sociedad que reciba donativos importantes de las bolsas de valores. Se consideran donativos importantes aquellos que representen más del veinte por ciento (20%) del total de donativos recibidos por la respectiva institución.
5. Administrador de una entidad en cuya junta directiva participe un representante legal de las bolsas de valores.
6. Persona que reciba de las bolsas de valores alguna remuneración diferente a los honorarios como miembro del consejo directivo o de cualquier comité creado por el mismo.
PARÁGRAFO 1. Las bolsas de valores podrán establecer en sus estatutos las calidades generales y particulares de los miembros que no tengan la calidad de independientes.
PARÁGRAFO 2. Los miembros independientes y los que no tengan tal calidad, serán elegidos mediante votaciones separadas, siguiendo el procedimiento a que se refiere el artículo 436 del Código de Comercio.
PARÁGRAFO 3. Las bolsas de valores podrán disponer en sus estatutos que no existirán suplencias en sus consejos directivos.
PARÁGRAFO 4. (Adicionado D. 692/07 Art. 1o.) Las bolsas de valores podrán establecer en los estatutos sociales cualquier número máximo de miembros de sus consejos directivos, aún cuando la bolsa respectiva inscriba en el Registro Nacional de Valores y Emisores –RNVE valores emitidos por ella.
OBLIGACIONES DE LAS BOLSAS DE VALORES.
ARTÍCULO 2.10.2.1.1 MEDIDAS QUE DEBEN SER ADOPTADAS POR LAS BOLSAS.
<Fuente original compilada: R. 1200/95 Art. 1.1.2.1> En desarrollo del Libro 6 de la Parte 7 del presente decreto, las bolsas de valores deberán adoptar las siguientes medidas:
a) Código de Conducta: Con el propósito principal de fomentar la lealtad y la transparencia del mercado, las bolsas de valores del país deben contar con un Código de Conducta que recoja los comportamientos que deberán observarse y las sanciones a que habrá lugar en caso de su incumplimiento, al cual se cometerán sus funcionarios y las sociedades comisionistas de bolsa y sus funcionarios.
Un código en el mismo sentido deberá existir por cada una de las sociedades comisionistas independientes de valores, quienes podrán acordar uno de manera conjunta.
b) Procedimientos de control: Puesto que corresponde a las bolsas de valores, de acuerdo con el artículo 3 del decreto 2969 de 1960, mantener el funcionamiento de un mercado bursátil debidamente organizado, que ofrezca condiciones suficientes de igualdad, seguridad, honorabilidad y corrección, ellas deben velar por el estricto cumplimiento de las disposiciones legales y reglamentarias por parte de las sociedades comisionistas.
Para tal efecto las bolsas de valores deberán disponer procedimientos de control que incluyan las pruebas y hojas de trabajo necesarias para garantizar el cumplimiento del presente instructivo.
ÍNDICE DE BURSATILIDAD ACCIONARIA. COMPOSICIÓN, CÁLCULO Y CATEGORÍA.
ARTÍCULO 2.10.3.1.1 DEL ÍNDICE DE BURSATILIDAD ACCIONARIA.
<Fuente original compilada: R. 1200/95 Art. 1.2.1.1 Modificado R. 638/98 Art. 8o> La Superintendencia Financiera de Colombia calculará y dará a conocer en forma mensual, durante los diez primeros días de cada mes y anual en el mes de enero, el índice de bursatilidad para cada una de las acciones que se negocian en las bolsas del país.
ARTÍCULO 2.10.3.1.2 COMPOSICIÓN DEL ÍNDICE DE BURSATILIDAD ACCIONARIA.
<Fuente original compilada: R. 1200/95 Art. 1.2.1.2 Modificado R. 638/98 Art. 8o> El índice de bursatilidad accionaria estará determinado por los siguientes conceptos:
1. Frecuencia de transacción: Corresponde al número de operaciones realizadas en promedio durante un mes.
2. Volumen promedio de transacción: Corresponde al valor total de las operaciones efectuadas para cada acción, dividido por el número de operaciones efectuadas durante el período considerado.
ARTÍCULO 2.10.3.1.3 PERÍODOS CONSIDERADOS.
<Fuente original compilada: R. 1200/95 Art. 1.2.1.3 Modificado R. 638/98 Art. 8o> Los períodos de cálculo del Indice de Bursatilidad Accionaria se determinarán de la siguiente manera:
1. Para calcular el índice de bursatilidad accionaria mensual, los factores de que trata el anterior artículo se calcularán sobre el período móvil de los últimos cuatro (4) meses, incluido el mes de cálculo.
2. Para calcular el índice de bursatilidad accionaria anual, los factores de que trata el artículo anterior se calcularán sobre los doce (12) meses del año calendario respectivo.
ARTÍCULO 2.10.3.1.4 CÁLCULO Y CATEGORIZACIÓN DE LA BURSATILIDAD ACCIONARIA.
<Fuente original compilada: R. 1200/95 Art. 1.2.1.4 Modificado R. 638/98 Art. 8o> Para determinar el índice de bursatilidad accionaria, se desarrollarán los siguientes pasos:
1. Se establecerá la ponderación relativa entre los conceptos frecuencia de transacción y volumen promedio de transacción, enunciados en el artículo 2.10.3.1.2 del presente decreto, mediante regresión lineal aplicada sobre los mismos, de manera que se muestre la importancia relativa de las dos variables para cada una de las sociedades.
2. Se obtendrá el indicador numérico de cada sociedad realizando una suma ponderada de la frecuencia de transacción y el volumen promedio de transacción.
3. Se determinará la categorización de las acciones de la siguiente manera:
3.1. Cada acción se representará por una pareja de valores correspondientes a los conceptos frecuencia de transacción y volumen promedio de transacción.
3.2. Las acciones se clasificarán en las siguientes categorías de acuerdo con la distribución obtenida en el numeral anterior, utilizando la metodología estadística de análisis de conglomerados:
| CATEGORÍA | DESCRIPCIÓN BURSATILIDAD |
| I | Mínima |
| II | Baja |
| III | Media |
| IV | Alta |
3.3. Una vez realizada la categorización, se aplicará a los resultados obtenidos en proceso de suavización histórica de la clasificación de conglomerados.
3.4. Posteriormente se utilizará la técnica estadística denominada análisis discriminante con el objeto de verificar la clasificación obtenida mediante el método de conglomerados.
4. Finalmente se procederá a establecer un ordenamiento de las acciones para cada una de las categorías mediante la utilización del indicador numérico.
PARÁGRAFO. La Superintendencia Financiera de Colombia divulgará y establecerá en detalle la metodología utilizada para el cálculo y categorización de la bursatilidad accionaria de que trata el presente artículo.
ARTÍCULO 2.10.3.1.5 PUBLICACIÓN.
<Fuente original compilada: R. 1200/95 Art. 1.2.1.5 Modificado R. 638/98 Art. 8o> La Superintendencia Financiera de Colombia hará pública la categorización referida en este artículo, listando las acciones ordenadas de acuerdo con el indicador numérico y los valores correspondientes a la frecuencia de transacción y volumen promedio de transacción para cada acción y número de ruedas en las que se transó cada acción.
ARTÍCULO 2.10.3.1.6 INFORMACIÓN DE LAS BOLSAS DE VALORES.
<Fuente original compilada: R. 1200/95 Art. 1.2.1.6 Modificado R. 638/98 Art. 8o> Corresponde a las bolsas de valores del país enviar a la Superintendencia Financiera de Colombia la información necesaria para el cálculo del índice, de acuerdo a la periodicidad y formato que para el efecto establezca.
TARIFAS Y COMISIONES.
ARTÍCULO 2.10.4.1.1 TARIFAS. AUTORIZACIÓN POR VÍA GENERAL.
<Fuente original compilada: R. 1200/95 Art. 3.1.2.1> Las bolsas de valores están autorizadas a cobrar tarifas a los emisores de valores inscritos en bolsa, siempre que éstas cumplan los siguientes requisitos:
a) Que la adopción de la tarifa se encuentre sustentada en un estudio que la Bolsa correspondiente elabore para tal efecto;
b) Que la bolsa de a conocer la tarifa a través de su boletín diario con un mínimo de diez (10) días de antelación a la adopción de la misma;
c) Que la tarifa adoptada no se contraponga a las normas relacionadas con el régimen de libre competencia, contenidas principalmente en la Ley 155 de 959 y del Decreto 2153 de 1992.
DISPOSICIONES MEDIANTE LAS CUALES SE REGLAMENTA LA NEGOCIACIÓN DE ACCIONES, BONOS OBLIGATORIAMENTE CONVERTIBLES EN ACCIONES INSCRITOS EN BOLSAS DE VALORES, ASÍ COMO LOS INSTRUMENTOS FINANCIEROS DERIVADOS CUYO ACTIVO SUBYACENTE SEAN ACCIONES INSCRITAS EN DICHAS BOLSAS.
ASPECTOS GENERALES.
ARTÍCULO 2.10.5.1.1 ÁMBITO DE APLICACIÓN.
<Fuente original compilada: R. 400/95 Art. 4.5.1.1 Adicionado por el D. 4808/08 Art. 1o.> Las disposiciones que integran el presente Título regulan el funcionamiento de los sistemas de negociación de acciones y bonos obligatoriamente convertibles en acciones inscritas en bolsas de valores, así como de los instrumentos financieros derivados cuyo activo subyacente sean acciones inscritas en bolsas de valores, cuando estas acciones, bonos e instrumentos financieros derivados se encuentren inscritos en el Registro Nacional de Valores y Emisores - RNVE.
PARÁGRAFO 1. Normas especiales. La realización de operaciones sobre los valores señalados en este artículo, tales como las ofertas públicas de adquisición, las ofertas públicas para democratización, las operaciones de remate y martillo, las ofertas públicas de mercado primario y su registro, la readquisición de acciones y su enajenación posterior, las operaciones de privatización o democratización y demás operaciones especiales permitidas, continuarán rigiéndose por las disposiciones especiales que les resulten aplicables.
PARÁGRAFO 2. En las bolsas de valores también podrán inscribirse valores de renta variable diferentes a los señalados en este artículo, en cuyo caso la negociación de los mismos estará sujeta a lo previsto en el presente Título.
ASPECTOS APLICABLES A LAS BOLSAS DE VALORES EN SU CALIDAD DE SISTEMAS DE NEGOCIACIÓN DE ACCIONES, BONOS CONVERTIBLES EN ACCIONES E INSTRUMENTOS FINANCIEROS DERIVADOS CUYO SUBYACENTE SEAN ACCIONES.
ARTÍCULO 2.10.5.2.1 MODALIDADES DE OPERACIONES.
<Fuente original compilada: R. 400/95 Art. 4.5.2.1 Adicionado por el D. 4808/08 Art. 1o.> Las bolsas de valores podrán habilitar en sus sistemas la celebración de las siguientes operaciones sobre los valores a que se refiere el artículo 2.10.5.1.1 del presente decreto:
a) operaciones de contado;
b) operaciones a plazo;
c) operaciones de reporto o repo;
d) operaciones simultáneas;
e) operaciones de transferencia temporal de valores;
f) operaciones sobre instrumentos financieros derivados cuyo subyacente sean acciones inscritas en bolsas de valores; y
g) las demás que de manera general y previa autorice la Superintendencia Financiera de Colombia.
<Fuente original compilada: R. 400/95 Art. 4.5.2.2 Adicionado por el D. 4808/08 Art. 1o.> La Superintendencia Financiera de Colombia impartirá las instrucciones relativas a la interconexión de las bolsas de valores a través de las cuales se celebren operaciones sobre los valores a que se refiere el artículo 2.10.5.1.1 del presente decreto; y de estas con los sistemas de compensación y liquidación de operaciones sobre valores, con los sistemas de pagos, con los depósitos centralizados de valores, con las cámaras de riesgo central de contraparte, con los organismos de autorregulación y con los proveedores de precios para valoración.
ARTÍCULO 2.10.5.2.3 DE LA COMPENSACIÓN Y LIQUIDACIÓN DE LAS OPERACIONES.
<Fuente original compilada: R. 400/95 Art. 4.5.2.3 Adicionado por el D. 4808/08 Art. 1o.> Todas las operaciones sobre los valores a los que se refiere el artículo 2.10.5.1.1 del presente decreto celebradas en las bolsas de valores deberán ser compensadas y liquidadas por el mecanismo de entrega contra pago en los sistemas de compensación y liquidación autorizados, salvo las excepciones contenidas en los reglamentos autorizados por la Superintendencia Financiera de Colombia.
Las bolsas de valores deberán establecer en su reglamento si la compensación y liquidación de las operaciones sobre dichos valores que se ejecutan en sus sistemas, será efectuada a través de su sistema de compensación y liquidación o a través de un sistema administrado por otra entidad y autorizado por la Superintendencia Financiera de Colombia.
<Inciso adicionado por el artículo 4 del Decreto 2219 de 2017. El nuevo texto es el siguiente:> Cuando las operaciones celebradas en una bolsa de valores se compensen y liquiden a través de una cámara de riesgo central de contraparte, tal compensación y liquidación se regirá por los reglamentos de la respectiva cámara. En este evento, los reglamentos de la bolsa señalarán la forma en que la cámara de riesgo central de contraparte podrá acceder directamente al sistema de negociación administrado por la bolsa, por cuenta propia o por cuenta de sus miembros o contrapartes, exclusivamente para gestionar el cumplimiento de las operaciones aceptadas por la cámara para su compensación y liquidación.
ARTÍCULO 2.10.5.2.4 DEBERES DE LAS BOLSAS DE VALORES.
<Fuente original compilada: R. 400/95 Art. 4.5.2.4 Adicionado por el D. 4808/08 Art. 1o.> Las bolsas de valores tendrán los siguientes deberes en relación con la negociación de valores de renta variable a los que se refiere el artículo 2.10.5.1.1 del presente decreto:
a) Contar con sistemas de negociación de carácter multilateral y transaccional a los cuales podrán concurrir las sociedades comisionistas miembros de la respectiva bolsa de valores, bajo las reglas y condiciones establecidas en la presente resolución, las instrucciones de la Superintendencia Financiera de Colombia y lo establecido en el reglamento de las bolsas de valores, para la realización en firme de ofertas sobre los valores susceptibles de calzarse o cerrarse en el sistema, para la divulgación de información al mercado sobre dichas operaciones y para la interconectividad de sus sistemas con los sistemas de las sociedades comisionistas miembros.
Los sistemas de negociación que las bolsas de valores pongan a disposición deberán ser diseñados para operar de manera organizada, eficiente, segura, transparente y garantizar un tratamiento equitativo a todas las sociedades comisionistas miembros de la respectiva bolsa de valores;
b) Promover la eficiencia y liquidez del mercado de valores a los que se refiere el artículo 2.10.5.1.1 del presente decreto en el ámbito correspondiente e incluir reglas de transparencia en las operaciones, garantizar la diseminación de la información respecto de las ofertas de compra y venta a sus sociedades comisionistas de bolsa, así como de las operaciones que se celebren por su conducto;
c) Expedir su propio reglamento;
d) Recibir, evaluar, tramitar y decidir las solicitudes de admisión de las sociedades comisionistas como miembros de la respectiva bolsa de valores. Para tal efecto, deberá establecer en su reglamento criterios de admisión que garanticen la igualdad de condiciones para las postulantes;
e) Definir los mecanismos o ruedas bajo los cuales deberá realizarse la negociación de valores a los que se refiere el artículo 2.10.5.1.1 del presente decreto y las reglas sobre requisitos de admisión que deberán cumplir las sociedades comisionistas de bolsa de valores que participarán en las ruedas correspondientes;
f) Llevar el registro de las sociedades comisionistas de bolsa de valores y mantenerlo permanentemente actualizado;
g) Llevar y mantener actualizado un registro de los valores a los que se refiere el artículo 2.10.5.1.1 del presente decreto inscritos en la respectiva bolsa de valores, que incluya las características e información necesaria para su correcta identificación y negociación;
h) Adoptar mecanismos eficaces para realizar la compensación y liquidación eficiente de las operaciones sobre valores a los que se refiere el artículo 2.10.5.1.1 del presente decreto celebradas en sus sistemas y, en caso de que dicha compensación y liquidación vaya a ser realizada por una entidad distinta de la propia bolsa de valores y autorizada por la Superintendencia Financiera de Colombia para el efecto, las bolsas de valores deberán celebrar los acuerdos que se requieran con dichas entidades;
i) Llevar un registro de todas las operaciones sobre valores a los que se refiere el artículo 2.10.5.1.1 del presente decreto que se celebren en las ruedas de sus sistemas, de todas las posturas u órdenes de compra o de venta que se ingresen, así como de todos los mensajes y avisos que se envíen a través de estos;
j) Llevar un registro actualizado de los funcionarios autorizados y establecer mecanismos para verificar que estos se encuentren certificados e inscritos en el Registro Nacional de Profesionales del Mercado de Valores-RNPMV en las modalidades correspondientes, de acuerdo con el tipo de actividades que pueden adelantar en la bolsa de valores;
k) Contar con mecanismos y procesos para el manejo de la información de los sistemas que administran;
1) Velar por el correcto funcionamiento del sistema o sistemas a través de los cuales funcionen las ruedas de negociación de valores a los que se refiere el artículo 2.10.5.1.1 del presente decreto;
m) Identificar, controlar y gestionar adecuadamente los riesgos a los que está expuesta la entidad y los sistemas bajo los cuales funcionen las ruedas de negociación de valores a los que se refiere el artículo 2.10.5.1.1 del presente decreto;
n) Establecer políticas y reglas para difundir la información a las sociedades comisionistas miembros de la bolsa de valores, al mercado y al público en general, atendiendo las instrucciones especiales que para el efecto imparta la Superintendencia Financiera de Colombia;
o) Prestar a los organismos de autorregulación autorizados por la Superintendencia Financiera de Colombia la colaboración que resulte necesaria para el adecuado cumplimiento de sus funciones, incluyendo el suministro de la información que estos requieran para el desarrollo y cumplimiento de las mismas;
p) Propender por la integridad, transparencia, seguridad y eficiencia del mercado de valores en el ámbito de sus funciones; y
q) Guardar estricta confidencialidad sobre toda información reservada de las sociedades comisionistas de bolsa de valores que acceden a las ruedas de negociación, así como sobre la información relacionada con las operaciones y los negocios realizados, sean estos pasados, presentes o futuros. Lo anterior, sin perjuicio de aquella información que deba reportar periódica o eventualmente a las autoridades o a los organismos de autorregulación, en relación con los sistemas y las operaciones celebradas en los mismos, o de aquella información que se deba entregar por solicitud de autoridad judicial o administrativa.
ARTÍCULO 2.10.5.2.5 PROHIBICIÓN ESPECIAL PARA LAS BOLSAS DE VALORES.
<Fuente original compilada: R. 400/95 Art. 4.5.2.5 Adicionado por el D. 4808/08 Art. 1o.> Las bolsas de valores bajo ninguna circunstancia asumirán el carácter de contraparte en las operaciones que se realicen a través de los sistemas por ellas administrados, o en otras bolsas de valores en las cuales se negocien valores de la misma especie de los que se negocian por conducto de aquellas, salvo las excepciones que establezca la Superintendencia Financiera de Colombia por norma de carácter general.
ARTÍCULO 2.10.5.2.6 MECANISMOS DE NEGOCIACIÓN DE VALORES INSCRITOS EN BOLSAS DE VALORES.
<Fuente original compilada: R. 400/95 Art. 4.5.2.6 Adicionado por el D. 4808/08 Art. 1o.> Las bolsas de valores establecerán en su reglamento, cuál o cuáles mecanismos, con sus correspondientes metodologías, se utilizarán en la negociación de valores a los que se refiere el artículo 2.10.5.1.1 del presente decreto, así como las reglas y condiciones para dicha utilización y funcionamiento, para cuyo efecto la Superintendencia Financiera de Colombia podrá emitir instrucciones especiales.
Para determinar cuáles de estos valores serán negociados a través de uno u otro mecanismo de negociación y qué tipos de operaciones se podrán celebrar sobre dichos valores, las bolsas de valores deberán tener en cuenta criterios como la liquidez de la especie, medida en términos de frecuencia, rotación y volumen, su volatilidad en los precios y cualquier otro que garantice el adecuado funcionamiento del mercado de valores.
ARTÍCULO 2.10.5.2.7 CONTENIDO MÍNIMO DEL REGLAMENTO.
<Fuente original compilada: R. 400/95 Art. 4.5.2.7 Adicionado por el D. 4808/08 Art. 1o.> El reglamento que adopten las bolsas de valores para la operación y funcionamiento de los sistemas de negociación de valores a los que se refiere el artículo 2.10.5.1.1 del presente decreto, así como sus modificaciones, deberá ser aprobado previamente por la Superintendencia Financiera de Colombia, Igualmente, deberá contener como mínimo lo siguiente:
a) Procedimientos para su adopción y modificación por parte de la respectiva bolsa de valores;
b) Criterios para la admisión y desvinculación de las sociedades comisionistas como miembros de la bolsa de valores;
c) Derechos y obligaciones de las sociedades comisionistas de bolsa de valores que actúan en las ruedas de negociación;
d) Derechos, facultades y obligaciones de la bolsa de valores;
e) Los criterios y requisitos generales que deberán observar los emisores para inscribir y mantener inscritos valores que serán objeto de negociación en el sistema o sistemas que para el efecto disponga la respectiva bolsa de valores;
f) Las modalidades de operaciones que se podrán celebrar sobre los valores inscritos en la respectiva bolsa y los criterios bajo los cuales dichos valores podrán ostentar el carácter de activos o inactivos;
g) Las reglas para el funcionamiento y operación del sistema o sistemas en los cuales se celebrarán las operaciones sobre los valores, en especial la definición de los mecanismos y metodologías de negociación conforme a los cuales se podrán celebrar operaciones;
Podrán utilizarse mecanismos de calce automático y continuo de órdenes o de adjudicación o calce a través de subastas, entre otros, los cuales serán establecidos por la respectiva bolsa de valores. Igualmente, deberán preverse mecanismos o procedimientos aplicables en momentos de alta volatilidad;
h) Los criterios para determinar los valores que serán negociados a través de uno u otro mecanismo de negociación;
i) Las clases y características de las órdenes que conforme a los mecanismos de negociación pueden formular los operadores, y la definición de las condiciones en las cuales dichas órdenes podrán tener el carácter de ofertas o demandas permanentes;
j) Los criterios bajo los cuales deberá proceder la suspensión de la negociación de uno o varios valores o de una o varias ruedas o sesiones de negociación o del respectivo mercado en su conjunto. Igualmente, los procedimientos generales aplicables a la suspensión y la reanudación cuando esta se presente, así como los efectos de la suspensión según los tipos de operaciones;
k) Las condiciones y reglas generales a las que deberán sujetarse las actividades de los creadores del mercado de valores, de conformidad con las instrucciones que imparta para el efecto la Superintendencia Financiera de Colombia;
l) Los criterios según los cuales se calcularán o definirán el precio de referencia o precio de cotización, los precios de apertura y de cierre de los valores, así como aquellos que permitan establecer los rangos de precios o de marcación de precio, entre otros parámetros de negociación;
m) Los plazos y condiciones para la liquidación de las operaciones, sean estas de contado o a plazo;
n) Las condiciones y reglas generales aplicables a la expedición de los comprobantes de las operaciones que se celebren en sus sistemas y que permitan identificar la operación celebrada;
o) Las políticas y reglas para difundir la información a las sociedades comisionistas miembros de la bolsa, al mercado y al público en general, atendiendo las instrucciones especiales que para el efecto emita la Superintendencia Financiera de Colombia;
p) Las reglas que permitan el acceso y la identificación de las sociedades comisionistas miembros de la bolsa de valores, así como la verificación de que la compensación y liquidación de las operaciones sea realizada en su propio sistema de compensación y liquidación o en un sistema de otra entidad autorizada para ello;
q) Los mecanismos a través de los cuales se solucionarán las controversias o conflictos que se presenten entre las sociedades comisionistas de bolsa de valores que celebren operaciones través del sistema o sistemas de la respectiva bolsa de valores;
r) Las reglas objetivas para iniciar planes de contingencia y continuidad que deberán aplicarse en caso de fallas en el funcionamiento de los sistemas de la bolsa de valores;
s) La política general en materia de derechos o tarifas a cargo de las sociedades comisionistas de bolsa de valores por la utilización de los servicios de la respectiva bolsa de valores, o a cargo de los emisores de los valores inscritos en la bolsa de valores. Las tarifas y los criterios para su modificación deberán ser publicados en la página de Internet de dicha bolsa, en forma previa a su aplicación;
t) Las reglas de auditoría a las cuales se someterá el sistema en el cual se celebren operaciones, de conformidad con las instrucciones que al respecto imparta la Superintendencia Financiera de Colombia; y
u) Los demás aspectos que establezca la Superintendencia Financiera de Colombia para preservar la seguridad, eficiencia y transparencia del mercado de valores.
PARÁGRAFO. Se entiende que las sociedades comisionistas de bolsa de valores miembros de la respectiva bolsa de valores y las personas vinculadas a estos, conocen y aceptan los Reglamentos, Circulares e Instructivos Operativos. En consecuencia, en ningún momento servirá como excusa la ignorancia de dichos Reglamentos, Circulares e Instructivos Operativos y por lo tanto los mismos obligan en los términos en ellos previstos.
Para los efectos previstos en este artículo, será aplicable la definición de persona vinculada establecida en el parágrafo del artículo 11.4.1.1.2 del presente decreto demás normas que lo modifiquen o sustituyan.
ARTÍCULO 2.10.5.2.8 SUSPENSIÓN DE LA NEGOCIACIÓN DE VALORES.
<Fuente original compilada: R. 400/95 Art. 4.5.2.8 Adicionado por el D. 4808/08 Art. 1o.> Las bolsas de valores podrán suspender la negociación de uno o varios valores a los que se refiere el artículo 2.10.5.1.1 del presente decreto inscritos en ellas, cuando sobrevengan circunstancias especiales que produzcan o puedan producir graves alteraciones en el normal desarrollo de las operaciones o que determinen dicha medida para la protección de los inversionistas o del mercado de valores.
Estas bolsas también podrán suspender la negociación de uno o varios de estos valores, cuando el respectivo emisor incumpla sus obligaciones para mantener la inscripción, o cuando este emisor incumpla igualmente sus obligaciones frente al mercado. Lo anterior, sin perjuicio de lo dispuesto en el parágrafo 2 del artículo 5.2.6.1.2 del presente decreto en materia de cancelación de la inscripción de acciones inscritas en el RNVE y las bolsas de valores.
La suspensión de la negociación de uno o varios valores efectuada por las bolsas de valores, deberá ser informada a la Superintendencia Financiera de Colombia, a los organismos de autorregulación y al público en general por la respectiva bolsa de valores a través de los medios establecidos en el respectivo reglamento.
PARÁGRAFO 1. En cualquier momento, la Superintendencia Financiera de Colombia podrá ejercer las facultades previstas en el literal c) del artículo 6o de la Ley 964 de 2005.
PARÁGRAFO 2 La suspensión de la negociación de uno o varios de los valores a los que se refiere el presente artículo cuyo emisor sea la bolsa de valores o una entidad vinculada a esta, deberá ser autorizada de manera previa y particular por la Superintendencia Financiera de Colombia. El concepto de vinculado aplicable será el previsto en el literal b) del numeral 2) del artículo 7.3.1.1.2 del presente decreto.
ARTÍCULO 2.10.5.2.9 SUSPENSIÓN DE LA NEGOCIACIÓN POR DISMINUCIÓN DEL ÍNDICE.
<Fuente original compilada: R. 400/95 Art. 4.5.2.9 Adicionado por el D. 4808/08 Art. 1o.> Las bolsas de valores deberán establecer en su reglamento el porcentaje de disminución del índice de precios durante una misma rueda, que se utilizará como referencia para suspender la negociación de valores a los que se refiere el artículo 2.10.5.1.1 del presente decreto. Así mismo, en tal reglamento deberá establecerse el procedimiento para la suspensión y reanudación de la negociación y para suministrar adecuada y oportunamente la información correspondiente a la Superintendencia Financiera de Colombia, a los organismos de autorregulación, al mercado y al público en general.
ARTÍCULO 2.10.5.2.10 DEBER DE MONITOREAR.
<Fuente original compilada: R. 400/95 Art. 4.5.2.10 Adicionado por el D. 4808/08 Art. 1o.> Las bolsas de valores deberán adoptar y mantener mecanismos y procedimientos eficaces para monitorear las ofertas, posturas y operaciones que se realicen o registren por conducto de sus sistemas sobre valores a los que se refiere el 2.10.5.1.1 del presente decreto, con el fin de verificar el cumplimiento por parte de las sociedades comisionistas miembros de la respectiva bolsa de las obligaciones que les asistan en tal calidad.
Las bolsas de valores también deberán adoptar y mantener mecanismos y procedimientos eficaces que les permita verificar el cumplimiento de las operaciones realizadas por su conducto.
De igual manera, deberán poner a disposición de la Superintendencia Financiera de Colombia y de los organismos de autorregulación, la información que conozcan acerca de las posibles infracciones que puedan haber cometido las sociedades comisionistas miembros de la bolsa y en general cualquier hecho que pueda ser susceptible de investigación por parte de estas entidades.
Así mismo, cuando el supervisor o el autorregulador adelanten investigaciones, las bolsas de valores deberán prestarles la colaboración necesaria y poner a su disposición la información que de acuerdo con sus atribuciones legales estos requieran.
PARÁGRAFO. Las bolsas de valores deberán implementar mecanismos para que las sociedades comisionistas miembros de la bolsa informen, incluso con protección de identidad, acerca de las posibles infracciones que puedan haber cometido otras sociedades y en general cualquier hecho que pueda ser susceptible de investigación. La omisión del deber de informar por parte de las sociedades comisionistas miembros de la bolsa, se considerará en sí mismo una conducta contraria a la integridad del mercado de valores.
ARTÍCULO 2.10.5.2.11 PROCESOS DE ARCHIVO Y CUSTODIA DE PISTAS DE AUDITORÍA.
<Fuente original compilada: R. 400/95 Art. 4.5.2.11 Adicionado por el D. 4808/08 Art. 1o.> Las bolsas de valores deberán contar con procesos de archivo y custodia de pistas de auditoría para asegurar la trazabilidad de las órdenes y operaciones que se realicen por su conducto sobre valores a los que se refiere el artículo 2.10.5.1.1 del presente decreto.
Los procesos de archivo y de custodia de pistas de auditoría deben diseñarse para facilitar, entre otros, el cumplimiento eficiente y oportuno del deber de monitoreo de que trata el artículo 2.10.5.2.10 del presente decreto.
ARTÍCULO 2.10.5.2.12 CONSERVACIÓN DE DATOS SOBRE OPERACIONES, ÓRDENES, POSTURAS Y MENSAJES.
<Fuente original compilada: R. 400/95 Art. 4.5.2.12 Adicionado por el D. 4808/08 Art. 1o.> Las bolsas de valores deberán mantener y conservar toda la información relativa a las operaciones, órdenes, posturas y los mensajes o avisos que se realicen o coloquen a través de sus sistemas, durante el término previsto en el artículo 96 del Estatuto Orgánico del Sistema Financiero, o la norma que lo modifique o sustituya, para la conservación de los libros, soportes, comprobantes y demás documentación de carácter contable.
En todo caso, respecto de cada operación, se deberá conservar como mínimo la siguiente información:
a) Fecha y hora en la cual la operación se ejecutó por cada contraparte (expresadas en términos de año, mes, día, horas, minutos y segundos);
b) Identificación del valor;
c) Tipo de operación;
d) Precio o tasa de la operación;
e) Monto nominal de la operación;
f) Valor o monto transado;
g) Identificación de las sociedades comisionistas miembros de la bolsa y de los funcionarios participantes en la operación;
h) <Literal modificado el artículo 37 del Decreto 1745 de 2020. El nuevo texto es el siguiente:> Indicación de la modalidad de participación de la sociedad comisionista de bolsa de valores, ya sea por cuenta propia, por cuenta de terceros, en calidad de administrador de fondos de inversión colectiva, o en calidad de administrador de portafolios de terceros.
i) <Literal modificado el artículo 37 del Decreto 1745 de 2020. El nuevo texto es el siguiente:> Identificación del cliente, cuando se trate de operaciones por cuenta de terceros o en calidad de administrador de fondos de inversión colectiva o en calidad de administrador de portafolios de terceros.
j) Forma de liquidación;
k) Fecha de la liquidación;
l) Fecha y hora del ingreso, eliminación o cancelación de las órdenes u ofertas de compra y de venta, expresada en términos de año, mes, día, horas, minutos y segundos;
m) Identificación de los casos en que se esté actuando en calidad de creador del mercado de acciones; y
n) Cualquier otra que establezca la Superintendencia Financiera de Colombia.
PARÁGRAFO. Las bolsas de valores estarán obligadas a proporcionar a la Superintendencia Financiera de Colombia y a los organismos de autorregulación, los datos, informes, registros, libros de actas, auxiliares, documentos, correspondencia y en general, la información que la entidad de supervisión o autorregulación estime necesaria en la forma y términos que señale, así como a permitirles el acceso a sus oficinas, locales y demás instalaciones, cuando la información requerida y el acceso resulten necesarios para el cumplimiento de sus funciones.
ARTÍCULO 2.10.5.2.13 TRANSPARENCIA EN LAS OPERACIONES.
<Fuente original compilada: R. 400/95 Art. 4.5.2.13 Adicionado por el D. 4808/08 Art. 1o.> Para efectos de lo dispuesto en el presente Capítulo, se entiende por transparencia en las operaciones sobre valores a los que se refiere el artículo 2.10.5.1.1 del presente decreto realizadas en bolsas de valores, la oportunidad y la suficiencia con las cuales la información relativa a las ofertas u órdenes de compra y de venta de valores, las cantidades, los precios o las tasas de las operaciones y el volumen de estas, se hace disponible a las sociedades comisionistas miembros de la respectiva bolsa, a los organismos de autorregulación del mercado de valores, al mercado, a los inversionistas interesados y al público en general.
<Fuente original compilada: R. 400/95 Art. 4.5.2.14 Adicionado por el D. 4808/08 Art. 1o.> Las bolsas de valores deberán revelar a sus sociedades comisionistas de bolsa de valores en las ruedas de negociación, las cantidades, los precios o tasas de compra y venta de las posturas u órdenes vigentes y activas en el sistema, en el momento en que estas posturas u órdenes sean recibidas.
Igualmente, las bolsas de valores deberán establecer y poner en funcionamiento mecanismos de información electrónicos que permitan que toda la información relacionada con los valores, cantidades y precios de las órdenes y operaciones, incluyendo las mejores ofertas de compra y venta, realizadas por su conducto pueda ser conocida por los inversionistas interesados y por el público en general.
<Fuente original compilada: R. 400/95 Art. 4.5.2.15 Adicionado por el D. 4808/08 Art. 1o.> Las bolsas de valores deberán informar a sus sociedades comisionistas de bolsa de valores, a los organismos de autorregulación, a los inversionistas interesados y al público en general, el precio o tasa, el volumen y la hora de las operaciones realizadas durante las ruedas de negociación, de acuerdo con su reglamento.
De otra parte, se deberá revelar al menos diariamente, por cada una de las especies negociadas, de manera amplia y oportuna, los precios o tasas de apertura, precio promedio, precio mínimo, precio máximo y precio de cierre de las operaciones realizadas, el precio de referencia o cotización, volúmenes totales y número de transacciones que lo componen.
PARÁGRAFO. La Superintendencia Financiera de Colombia podrá determinar la forma, contenido, términos y condiciones, en las cuales la información sobre las operaciones realizadas en la bolsa de valores deberá colocarse a disposición del público.
PLANES DE CONTINGENCIA Y CONTINUIDAD DE LAS BOLSAS DE VALORES EN SU CALIDAD DE SISTEMAS DE NEGOCIACIÓN DE ACCIONES, BONOS CONVERTIBLES EN ACCIONES E INSTRUMENTOS FINANCIEROS DERIVADOS CUYO SUBYACENTE SEAN ACCIONES.
ARTÍCULO 2.10.5.3.1 SEGURIDAD INFORMÁTICA.
<Fuente original compilada: R. 400/95 Art. 4.5.3.1 Adicionado por el D. 4808/08 Art. 1o.> Las bolsas de valores, de conformidad con el tamaño y complejidad de sus sistemas, deberán diseñar e implementar un plan de contingencia y continuidad para el manejo, procesamiento, difusión, conservación y recuperación de la información relativa a las operaciones que se realicen por su conducto.
Dicho plan deberá abarcar los elementos necesarios para asegurar la continuidad del funcionamiento de las ruedas en las cuales se celebran operaciones, con la finalidad primordial de prevenir y, en caso de ser necesario, solucionar los problemas, fallas e incidentes, que se puedan presentar en cualquiera de los dispositivos tecnológicos y de comunicaciones de la respectiva bolsa de valores o de cualquier otro recurso necesario para su funcionamiento. Para estos efectos, se deberán combinar controles preventivos, de detección y correctivos, con estrategias de recuperación.
PARÁGRAFO. La Superintendencia Financiera de Colombia, podrá determinar los componentes mínimos, requisitos, condiciones y demás características del plan de contingencia y de continuidad de operaciones.
ARTÍCULO 2.10.5.3.2 EXIGENCIAS A PROVEEDORES DE COMUNICACIONES.
<Fuente original compilada: R. 400/95 Art. 4.5.3.2 Adicionado por el D. 4808/08 Art. 1o.> Las bolsas de valores deberán exigir a sus proveedores de servicios de comunicaciones, que cuenten con un plan de contingencia para prevenir y solucionar los problemas, fallas e inconvenientes, que se puedan presentar en cualquiera de los dispositivos requeridos para el funcionamiento y operación de sus sistemas, en el menor tiempo posible.
El plan de contingencia deberá propender por la continuidad en las comunicaciones.
DISPOSICIONES FINALES.
ARTÍCULO 2.10.5.4.1 AJUSTE DE REGLAMENTOS DE LAS BOLSAS DE VALORES.
<Fuente original compilada: D. 4808/08 Art. 10> Las bolsas de valores deberán presentar ante la Superintendencia Financiera de Colombia las modificaciones necesarias a sus reglamentos para que los mismos estén ajustados de acuerdo con lo previsto en el presente Título, a más tardar el 23 de marzo de 2009.
ARTÍCULO 2.10.5.4.2 RÉGIMEN DE TRANSICIÓN.
<Fuente original compilada: D. 4808/08 Art. 12> Hasta cuando las modificaciones correspondientes a los reglamentos de las bolsas de valores sean aprobadas por la Superintendencia Financiera de Colombia, la realización de operaciones sobre acciones y bonos obligatoriamente convertibles en acciones inscritos en ellas, así como de los instrumentos financieros derivados cuyo activo subyacente sean acciones inscritas en bolsas de valores, valores todos inscritos en el Registro Nacional de Valores y Emisores - RNVE -, continuará rigiéndose por las normas que la regulaban, así como por el reglamento vigente de las bolsas de valores.
Los contratos de liquidez vigentes al 23 de diciembre de 2008, seguirán rigiéndose hasta su terminación por las normas con base en las cuales fueron pactados.
OPERACIONES DE PRIVATIZACIÓN Y DEMOCRATIZACIÓN.
ARTÍCULO 2.10.6.1.1 PARTICIPACIÓN EN OPERACIONES DE PRIVATIZACIÓN Y DEMOCRATIZACIÓN.
<Fuente original compilada: R. 400/95 Art. 2.1.4.1 Adicionado R. 167/97 Art. 1o.> Con sujeción a lo previsto en la Ley 226 de 1995 y en el programa de enajenación respectivo, las bolsas de valores podrán participar en operaciones de venta de acciones inscritas en el Registro Nacional de Valores y Emisores -RNVE, que se realicen en los procesos de privatización y democratización, en desarrollo de la etapa orientada a los destinatarios de las condiciones especiales a que se refiere el artículo 3o. de dicha Ley.
Las operaciones de venta mencionadas en el inciso anterior, no se tendrán en cuenta para efectos del cálculo de precios y volúmenes negociados, si se trata de acciones que sólo se encuentren inscritas en el Registro Nacional de Valores y Emisores -RNVE.
OPERACIONES DE REMATE Y MARTILLO.
ARTÍCULO 2.10.7.1.1 AUTORIZACIÓN.
<Fuente original compilada: R. 1200/95 Art. 3.2.3.1 Modificado por la R. 165/98 Art. 1o.> Se autoriza a las bolsas de valores para que a través de los martillos se ocupen del remate público de valores inscritos en el Registro Nacional de Valores y Emisores.
Salvo los casos de privatización, los valores objeto del martillo deben estar en el momento del cumplimiento de la operación, libres de gravámenes, limitaciones de dominio y de cualquier demanda o pleito pendiente que pueda afectar la propiedad o su negociabilidad.
ARTÍCULO 2.10.7.1.2 PRESIDENTE.
<Fuente original compilada: R. 1200/95 Art. 3.2.3.2 Modificado por la R. 1092/96 Art. 1o.> Los remates deberán celebrarse de forma simultánea a través del martillo de las bolsas de valores que existan en el país. , Cada bolsa tendrá su propio presidente para el martillo y se nombrará entre estos, a elección del vendedor, un presidente para el remate simultáneo.
En el evento en que el vendedor no manifieste quien deberá presidir el remate simultáneo, dicho nombramiento se hará de común acuerdo por los presidentes del martillo de cada una de las bolsas.
<Fuente original compilada: R. 1200/95 Art. 3.2.3.3> Serán postores en los remates que efectúen los martillos de las bolsas de valores las sociedades comisionistas miembros de la respectiva bolsa.
Cuando las sociedades comisionistas participen en desarrollo de operaciones por cuenta propia deberán observar las limitaciones establecidas en la normatividad vigente para dichas operaciones, y en todo caso ninguna de ellas podrá adquirir más del cincuenta por ciento (50%) del total de los valores objeto del remate
ARTÍCULO 2.10.7.1.4 FACULTADES DEL PRESIDENTE.
<Fuente original compilada: R. 1200/95 Art. 3.2.3.4> Cuando el presidente del remate tenga dudas acerca del adjudicatario, la validez de una postura, la conclusión del remate o discrepancias con los postores sobre hechos que puedan afectar la adjudicación del martillo, deberá suspender el remate o abrir nuevamente la vuelta o vueltas correspondientes con el fin de subsanar las dudas o discrepancias presentadas.
Sin perjuicio de las acciones a que hubiere lugar con posterioridad a la suspensión o a la conclusión del remate, los postores no podrán oponerse a la decisión que adopte el presidente conforme a lo establecido en el inciso anterior.
ARTÍCULO 2.10.7.1.5 GARANTÍAS PARA PARTICIPAR EN UN REMATE.
<Fuente original compilada: R. 1200/95 Art. 3.2.3.5 Modificada por la R. 1092/96 Art. 2o.> Cuando las bolsas de valores consideren que para participar en un determinado remate se requiere el otorgamiento de garantías a favor de la respectiva bolsa, podrán exigirlas siempre y cuando estas sean proporcionales al valor individual de las ofertas de compra y se comunique tal decisión en el aviso mediante el cual se informe de la celebración del remate y en el boletín diario de la respectiva bolsa para los mismos días de publicación de los avisos.
En los reglamentos, que deben ser unificados para esta materia, las bolsas deberán establecer criterios claros y objetivos que permitan determinar el monto y características que deberán tener dichas garantías.
PARÁGRAFO. (Adicionado por la R. 334/98 Art. 1o.) Cuando las bolsas hayan exigido para la participación en un martillo el otorgamiento de garantías a su favor, deberán hacerlas públicas e informar a la Superintendencia Financiera de Colombia en el momento de su constitución.
ARTÍCULO 2.10.7.1.6 PUBLICACIÓN DE AVISOS.
<Fuente original compilada: R. 1200/95 Art. 3.2.3.6 Adicionado por la R. 015/05 Art. 2o. Modificado por la R. 1092/96 Art. 3o.>
<Inciso modificado por el artículo 4 del Decreto 1351 de 2019. El nuevo texto es el siguiente:> El presidente del martillo deberá informar la celebración del remate por medio de avisos que se publicarán por lo menos tres (3) veces, con intervalos no menores de cinco (5) días comunes, en uno o más diarios impresos o electrónicos de amplia circulación nacional y en el boletín diario de las bolsas, sin perjuicio de que los interesados ordenen la misma publicación por otros medios. El remate no se podrá celebrar antes de diez (10) días hábiles contados a partir de la fecha de publicación del último aviso
En los avisos deberá incluirse como mínimo: Las condiciones específicas que van a regir el martillo; la cantidad y las características de los valores que serán objeto del remate, indicando cualquier circunstancia que afecte o pueda llegar a afectar dichos valores o al emisor de los mismos; si los valores se encuentran o no inscritos en bolsa; si los valores a subastar serán rematados por lotes, la conformación de los mismos y la indicación de si alguno o algunos de dichos lotes serán vendidos bajo la modalidad de “Todo o Nada”; el precio base del remate, especificando el porcentaje de incremento de precio que impondrá en caso de que se presenten varias vueltas, el cual no podrá ser superior al cinco por ciento (5%); el día, la hora y el lugar en que se realizará el remate y en que se dará información sobre el mismo; la advertencia en caracteres destacados, de suerte que resalte visiblemente en el texto del aviso, que la inscripción en el Registro Nacional de Valores y Emisores -RNVE y la autorización de la oferta pública no implican certificación sobre la bondad del valor o la solvencia del emisor; la indicación de que el cuadernillo de ventas se encuentra a disposición de los posibles inversionistas en la Superintendencia Financiera de Colombia, oficinas de la entidad emisora, agentes colocadores y en las bolsas de valores.
PARÁGRAFO. (Adicionado por la R. 015/05 Art. 2o.) Tratándose de procesos de privatización de entidades vigiladas por la Superintendencia Financiera de Colombia, el remate no podrá celebrarse antes de veinte (20) días hábiles contados a partir de la fecha de publicación del último aviso.
ARTÍCULO 2.10.7.1.7 REMATES POR LOTES.
<Fuente original compilada: R. 1200/95 Art. 3.2.3.7> De acuerdo con las condiciones establecidas por el vendedor los valores a subastar podrán ser rematados en uno o más lotes. Los lotes seleccionados no podrán ser ofrecidos sujetos a ninguna condición salvo las de ser vendidos bajo la modalidad “Todo o Nada”.
En este caso, la modalidad “Todo o Nada” significa que solamente en caso de que sea posible adjudicar la totalidad de lote ofrecido el vendedor está dispuesto a efectuar la venta.
ARTÍCULO 2.10.7.1.8 CUADERNILLO DE VENTAS.
<Fuente original compilada: R. 1200/95 Art. 3.2.3.8 Modificado por la R. 1092/96 Art. 4o. R. 165/98 Art. 3o.> El vendedor deberá elaborar un cuadernillo de ventas para proporcionar a los posibles inversionistas mayor información sobre las operaciones que vayan a surtirse por conducto del martillo de bolsa, el cual deberá contener como mínimo y dependiendo del valor que se pretenda ofrecer, la siguiente información:
1. Las características generales de los títulos, esto es:
1.1. Valor nominal, precio de venta, valor patrimonial al corte de los dos últimos años calendario y al del trimestre inmediatamente anterior.
En todos los casos, independientemente de que el vendedor acepte otorgar condiciones de financiación para el pago, el precio de venta deberá determinarse sobre la base de que el mismo será pagado de contado.
1.2. Cuando se trate de valores inscritos en bolsa, se indicará las bolsas en que se encuentra inscrito el valor; precio en bolsa al corte de los dos años últimos calendario y al de cada uno de los seis meses anteriores.
1.3. Cantidad de valores ofrecidos y el porcentaje que representan con respecto al total de los valores de la misma clase que tenga en circulación el emisor.
1.4. Condiciones para la venta, forma de pago y condiciones de financiación.
Cuando el vendedor acepte otorgar condiciones de financiación, deberá establecer criterios claros y objetivos con base en los cuales se determine quiénes pueden acceder a esta forma de pago. En ningún caso se aceptará la fijación de condiciones subjetivas o que tiendan a impedir la libre concurrencia en condiciones de igualdad.
1.5. Cualquier circunstancia que pueda afectar el precio o la circulación de los valores objeto de remate.
2. La información general de la entidad emisora, esto es: la denominación o razón social, domicilio social, dirección de la oficina principal, duración y objeto social, así como cualquier hecho que sea de trascendencia para la misma o para sus negocios.
Con respecto a la sociedad matriz y entidades subordinadas de la entidad emisora se deberá indicar su razón o denominación social, su objeto social y la clase de subordinación.
3. La información financiera de la entidad emisora, que deberá incluir como mínimo: los estados financieros al corte del trimestre calendario inmediatamente anterior y los informes presentados por el representante legal y el revisor fiscal en las asambleas de los tres (3) años anteriores donde se hayan considerado estados de fin de ejercicio junto con los correspondientes estados financieros o en las asambleas de iguales características que se hayan producido desde la constitución del emisor, cuando su existencia sea inferior a (3) tres años.
La información que conste en el cuadernillo de ventas debe suministrarse en idioma español. El cuadernillo deberá enviarse a la Superintendencia Financiera de Colombia y a las bolsas de valores por lo menos cinco (5) días hábiles antes de la fecha prevista para la publicación del primer aviso a que se refiere el artículo 2.10.7.1.6 a fin de que se formulen las observaciones que se consideren pertinentes.
4. (Adicionado por la R. 165/98 Art. 2o.) Constancia suscrita por el vendedor señalando que empleó la debida diligencia en la verificación del contenido del cuadernillo y que en éste no se presentan omisiones de información que revistan materialidad y puedan afectar la decisión de futuros inversionistas.
ARTÍCULO 2.10.7.1.9 ADJUDICACIÓN A LAS OFERTAS PERMANENTES.
<Fuente original compilada: R. 1200/95 Art. 3.2.3.9 Modificado por la R. 165/98 Art. 4o. Modificado R. 309/96 Art. 1o. Modificado R. 1092/96 Art. 5o.> Cuando se trate de acciones inscritas en bolsa, las ofertas de venta permanentes por un precio inferior o igual al precio base del remate, que queden vigentes al cierre de la rueda realizada en la fecha fijada para el mismo, se entenderá que hacen parte de los valores ofrecidos en el martillo y serán rematados junto con el primer o único lote que conformen los valores originalmente ofrecidos y se regirán por las condiciones establecidas para el mismo.
Lo dispuesto en el inciso anterior no se aplicará a los martillos que se celebren en desarrollo de procesos de privatización. Tampoco a las ofertas de venta que correspondan a un mismo comitente o que sumadas por comitente superen el veinte por ciento (20%) del total de los valores originalmente ofrecidos.
Cuando el vendedor establezca el remate por lotes, será condición indispensable para la continuación del remate que el primer lote haya sido adjudicado en su totalidad.
En el evento en que el primer o único lote no esté sujeto a la condición “Todo o Nada”, para efectos de la adjudicación del total de los valores que lo conformen se aplicará un mecanismo de prorrateo. En todos los casos, para efectos de los vendedores, el precio de adjudicación será el precio promedio ponderado del respectivo lote.
PARÁGRAFO 1. Para efectos del cómputo del límite previsto en el presente artículo se aplicará la noción de beneficiario real, consagrada en el artículo 6.1.1.1.3 del presente decreto.
PARÁGRAFO 2. Cuando las ofertas permanentes que hayan causado la suspensión de negociaciones por más de una rueda sean atendidas durante el martillo se levantará la suspensión durante la rueda inmediatamente siguiente.
ARTÍCULO 2.10.7.1.10 INFORMACIÓN A LA SUPERINTENDENCIA FINANCIERA DE COLOMBIA.
<Fuente original compilada: R. 1200/95 Art. 3.2.3.10 Modificado por la R. 1092/96 Art. 6o.> El presidente del martillo radicará en la Superintendencia Financiera de Colombia el proyecto de aviso e informará sobre las características y condiciones específicas que regirán el martillo.
La Superintendencia Financiera de Colombia tendrá un plazo de cinco (5) días hábiles contados a partir de la fecha de radicación para efectuar las observaciones que considere pertinentes.
La publicación del primer aviso deberá efectuarse dentro de los cinco (5) días comunes siguientes a aquel en que venza el plazo referido, siempre y cuando la Superintendencia Financiera de Colombia no haya formulado observaciones. En el evento en que se formulen objeciones el término para la publicación del primer aviso deberá contarse a partir de la fecha en que la Superintendencia Financiera de Colombia manifieste su conformidad con la información, datos o aclaraciones que al respecto haya solicitado.
PARÁGRAFO. Una vez se presente la anterior información a la Superintendencia, las bolsas suspenderán la negociación bursátil de los títulos objeto del remate hasta el día siguiente a la publicación del primer aviso
ARTÍCULO 2.10.7.1.11 PROCEDIMIENTO OPERATIVO.
<Fuente original compilada: R. 1200/95 Art. 3.2.3.11> Los remates que se efectúen por conducto del martillo de las bolsas de valores deberán ajustarse al procedimiento contemplado en el presente artículo.
1. Condiciones de las ofertas de compra.
1.1. Los compradores presentarán ofertas de compra, las cuales se entenderán en firme, hasta que se dé por concluido el remate, por cualquier cantidad igual o inferior al número de valores en remate, pudiendo fijar una cantidad mínima de valores que aceptan comprar en caso de adjudicación.
En ningún caso la suma de las ofertas de compra presentadas por un mismo postor podrá superar el total de los valores objeto del remate.
1.2. Toda postura realizada deberá ser radicada por cualquier medio que deje constancia de la fecha y hora exacta en que se realizó.
1.3. Cuando en la primera vuelta del remate de un lote ofrecido bajo la modalidad “Todo o Nada”, el número de valores demandado sea inferior a la cantidad ofrecida, se dará por finalizado el remate y no habrá lugar a adjudicación.
1.4. Cuando el conjunto de ofertas de compra supere el número de valores en remate, el presidente del martillo procederá a abrir una nueva vuelta, incrementando el precio en el porcentaje que para el efecto se haya establecido.
Sólo podrán participar en esta nueva vuelta quienes hayan efectuado postura en la vuelta anterior, sin que en ningún caso puedan realizar ofertas de compra por una cantidad de valores superior a la demandada en la vuelta precedente pero pudiendo establecer una nueva condición sobre la cantidad mínima a demandar.
Cuando la nueva oferta presentada por cualquiera de los participantes sea inferior a la de la vuelta precedente, la diferencia sobre la cual no se efectuó nueva postura hará parte de las ofertas de compra que han de considerarse para efectos de la adjudicación del martillo.
Este procedimiento se repetirá tantas veces como sea necesario hasta que las ofertas de compra sean iguales o inferiores al número de valores en remate.
2. Procedimiento para la adjudicación de demandas.
Una vez concluida la etapa de posturas el presidente del martillo procederá a dar inicio a la etapa de adjudicación, la cual se realizará teniendo en cuenta las siguientes reglas:
2.1. Cuando la cantidad de valores demandada en la última vuelta sea igual al número de valores objeto de remate, el presidente del martillo procederá a efectuar la adjudicación definitiva a quienes hayan presentado ofertas en esa vuelta y concluirá el martillo.
2.2. Cuando en la última vuelta la cantidad de valores demandados sea inferior al número de valores objeto del remate, el presidente del martillo procederá a realizar una asignación preliminar a todas las demandas presentadas en esa vuelta y buscará distribuir el remanente entre las demandas no atendidas en la vuelta inmediatamente anterior, teniendo en cuenta el siguiente procedimiento:
2.2.1. De acuerdo con lo establecido en el inciso tercero del numeral 1.4. del presente artículo, se descontará del valor total demandado la cantidad asignada preliminarmente a aquellas demandas que participaron en la vuelta inmediatamente superior, con el fin de establecer el saldo en firme de esas demandas en la presente vuelta y los mínimos que siguen vigentes para cada una.
2.2.2. Una vez establecidos los saldos de cada una de las ofertas se procederá a prorratear el remanente por asignar entre cada una de ellas.
Si la cantidad a asignar de acuerdo con el prorrateo realizado no alcanza a satisfacer una o varias de las cantidades mínimas establecidas en las demandas, el presidente del martillo procederá a invitar a los postores no satisfechos por su condición de mínimos a que liberen la cantidad mínima fijada en su oferta para esa vuelta.
2.2.3. Si todas las restricciones de mínimo son liberadas, el presidente confirmará el prorrateo hecho según el numeral 2.2.2. y procederá a realizar la adjudicación de las cantidades así prorrateadas como de las previamente asignadas en la vuelta anterior y dará por concluido el martillo.
2.2.4. Cuando alguno de los postores no cambie su condición de cantidad mínima, el presidente del martillo procederá a descartar esa oferta de compra y a prorratear el saldo que le hubiere correspondido en el primer prorrateo entre las demás ofertas de compra. En caso de que después de realizado el anterior procedimiento no quedare remanente alguno por asignar, el presidente procederá a adjudicar todas las demandas previamente asignadas y a dar por concluido el martillo.
2.2.5. Si una vez cumplido el anterior procedimiento, aún quedare un remanente, éste se asignará preliminarmente entre los postores de la vuelta inmediatamente anterior, siguiendo nuevamente las reglas descritas desde el numeral 2.2.1. del presente artículo.
2.3. Cuando se llegue a la vuelta que dio inicio al remate, después de haber seguido el procedimiento de asignación, y aún exista un remanente por asignar, el presidente del martillo hará la adjudicación teniendo en cuenta para ello los siguientes pasos:
2.3.1. Si el lote objeto del remate no tiene la condición “Todo o Nada”, las demandas asignadas preliminarmente, durante los procesos de prorrateo descritos anteriormente, serán adjudicadas de manera definitiva y el remanente se declarará desierto.
2.3.2. Si en desarrollo del artículo 2.10.7.1.7 del presente decreto, el lote a rematar tiene la condición de “Todo o Nada” y durante el martillo se presentaron demandas con condición de “Todo o Nada”, el presidente del martillo procederá así:
2.3.2.1. Seleccionará las demandas realizadas durante la etapa de posturas con la condición “Todo o Nada” hechas al mejor precio. En caso de que exista más de una demanda a ese precio se abrirá, entre éstas, una nueva ronda en donde los participantes podrán realizar una sola postura, a un precio igual o superior al ofrecido en la vuelta en la cual fueron seleccionados. El presidente adjudicará el lote a quien haya ofrecido el mejor precio o, en caso de empate, a quien primero haya realizado la demanda “Todo o Nada” durante la vuelta donde fueron seleccionados.
2.3.2.2. Si existe una sola demanda con la condición “Todo o Nada”, se hará la adjudicación directa al precio de la vuelta en la cual fue seleccionada.
2.3.3. Si el lote a rematar tiene la condición “Todo o Nada” a que se refiere el numeral 2.3.2 anterior y no existe ninguna demanda “Todo o Nada”, el presidente del martillo lo declarará desierto.
ARTÍCULO 2.10.7.1.12 OTROS PROCEDIMIENTOS.
<Fuente original compilada: R. 1200/95 Art. 3.2.3.12> No obstante lo establecido en el artículo anterior, de manera excepcional y cuando las circunstancias específicas así lo ameriten, la Superintendencia Financiera de Colombia podrá autorizar que para la realización de un martillo se utilice un procedimiento operativo diferente al establecido en el presente Título, para lo cual será necesario que se brinden a los participantes condiciones similares de igualdad, transparencia y libre concurrencia.
ARTÍCULO 2.10.7.1.13 ACTAS DE LOS REMATES.
<Fuente original compilada: R. 1200/95 Art. 3.2.3.13> De todo remate que celebre el martillo de las bolsas de valores se levantará un acta en que deberá constar lo ocurrido durante el desarrollo del remate y los resultados que se obtuvieron en el mismo, la cual será suscrita por quien haya presidido el remate.
Las bolsas deberán asentar en un solo libro, debidamente registrado en la cámara de comercio, las actas de los remates que se celebren por conducto del martillo.
PARÁGRAFO. Las bolsas de valores deberán grabar mediante cintas magnetofónicas, sistemas electrónicos o cualquier otro medio similar el desarrollo de cada remate; copia de dichas grabaciones deberán conservarse atendiendo para el efecto las normas que regulan la conservación de documentos.
ARTÍCULO 2.10.7.1.14 INFORMACIÓN DEL RESULTADO DEL REMATE.
<Fuente original compilada: R. 1200/95 Art. 3.2.3.14> Las bolsas de valores deberán publicar en el boletín diario del día hábil siguiente al de la celebración del remate, la información correspondiente a los resultados que se obtuvieron en el mismo, con indicación de la especie y cantidad vendida, el precio de adjudicación y el valor de la operación.
<Fuente original compilada: R. 1200/95 Art. 3.2.3.15 Modificado por la R. 165/98 Art. 5o.> Cuando se prevea el pago del bien objeto de remate en moneda diferente al peso colombiano, siempre será a elección del comprador su realización en pesos colombianos o en la moneda extranjera prevista por el vendedor.
Cuando el pago haya de efectuarse en una fecha posterior a aquella que se considere de contado, el adjudicatario deberá otorgar las garantías que para este tipo de operaciones se hayan establecido en los reglamentos de la respectiva bolsa.
ARTÍCULO 2.10.7.1.16 COMPENSACIÓN Y LIQUIDACIÓN. <Artículo modificado el artículo 38 del Decreto 1745 de 2020. El nuevo texto es el siguiente:>
Salvo que las condiciones particulares del martillo requieran un procedimiento diferente, una vez adjudicado éste, las operaciones deberán ser compensadas y liquidadas a través de los sistemas de compensación y liquidación autorizados por la Superintendencia Financiera de Colombia.
ARTÍCULO 2.10.7.1.17 MARTILLO PARA REMATAR ACCIONES EN MERCADO PRIMARIO.
<Fuente original compilada: R. 1200/95 Art. 3.2.3.18 Modificado por el D. 3139/06 Art. 24 Adicionado R. 334/98 Art. 2o.> El martillo que se organice para rematar acciones en mercado primario se realizará bajo las mismas reglas previstas en el presente Título, con excepción de lo estipulado en el artículo 2.10.7.1.9 y en el parágrafo del artículo 2.10.7.1.10 del presente decreto.
A este mecanismo sólo podrá accederse cuando su utilización se haya contemplado en el reglamento de suscripción de acciones.
PARÁGRAFO. El prospecto de información a que hace referencia el artículo 5.2.1.1.4 del presente decreto surtirá los mismos efectos del cuadernillo de ventas regulado en el artículo 2.10.7.1.8 del presente decreto.
ARTÍCULO 2.10.7.1.18 REGLAS ESPECIALES.
<Fuente original compilada: R. 1200/95 Art. 3.2.3.19 Adicionado por la R. 334/98 Art. 3o.> El martillo de que trata el artículo anterior, puede organizarse, a elección de la sociedad emisora, bajo una de las siguientes modalidades:
1. Iniciar el remate con una etapa previa al procedimiento regulado en el artículo 2.10.7.1.11 del presente decreto, en la cual se ofrecerá al público en general como mínimo el veinte por ciento (20%) de las acciones objeto del martillo.
Las acciones demandadas en esta etapa se adjudicarán a precio base y aplicando el mecanismo de prorrateo, a aquellos comitentes que individualmente presenten ofertas de compra inferiores a un número determinado de acciones, el cual en todo caso no puede ser superior al cinco por ciento (5%) del total de las acciones objeto del martillo.
Cumplida la etapa anterior se comunicará su resultado y se iniciará el remate del remanente de las acciones con sujeción al procedimiento reglamentado en el artículo 2.10.7.1.11 del presente decreto.
2. Destinar como mínimo el veinte por ciento (20%) del total de las acciones objeto del martillo para ser ofrecido al público en general en una etapa posterior, la cual ha de realizarse no antes de cinco (5) días hábiles ni después de quince (15) días hábiles contados desde la fecha de realización del martillo.
Las acciones ofrecidas en esta segunda etapa se adjudicarán a precio base y aplicando el mecanismo de prorrateo, y sólo podrán ser demandas por aquellos comitentes que individualmente presenten ofertas de compra inferiores a un número determinado de acciones, el cual en todo caso no puede ser superior al cinco por ciento (5%) del total de las acciones objeto del martillo.
Cuando se opte por la modalidad que se regula en el presente numeral, la fecha de realización de la segunda etapa deberá anunciarse en el aviso del martillo de que trata el artículo 2.10.7.1.19, indicando además los requisitos que deben cumplir los comitentes para la aceptación de la oferta.
PARÁGRAFO 1. Cuando el valor de las acciones a rematar supere la cifra de 750.000 salarios mínimos legales mensuales vigentes a la fecha de su celebración, elveinte por ciento (20%) de que trata el presente artículo se podrá reducir al diez por ciento (10%) del total de las acciones ofrecidas en venta.
PARÁGRAFO 2. Para determinar el número de acciones de las ofertas de compra de que trata el presente artículo se aplicará la noción de beneficiario real, consagrada en el artículo 6.1.1.1.3 del presente decreto.
ARTÍCULO 2.10.7.1.19 AVISO DE MARTILLO PARA REMATAR VALORES EN MERCADO PRIMARIO.
<Fuente original compilada: R. 1200/95 Art. 3.2.3.20 Modificado por el D. 3139/06 Art. 25, Adicionado por la R. 334/98 Art. 4o.> Aviso de martillo para rematar valores en mercado primario. Además de lo dispuesto en el segundo inciso del artículo 2.10.7.1.6, el aviso del martillo deberá incluir la información a que alude el literal c) del artículo 5.2.1.1.5 del presente decreto.
El primer aviso del martillo deberá publicarse dentro de los quince (15) días hábiles siguientes a la fecha en que quede ejecutoriada la resolución por medio de la cual la Superintendencia Financiera de Colombia autorice la oferta pública de las acciones.
La fecha de celebración del martillo deberá establecerse observando lo previsto en el literal c) del artículo 41 de la Ley 964 de 2005.
ARTÍCULO 2.10.7.1.20 MARTILLOS PARA PRIVATIZACIÓN.
<Fuente original compilada: R. 1200/95 Art. 3.2.3.21 Adicionado R. 015/05 Art. 1o.> Cuando el respectivo programa de enajenación haya determinado que particulares tenedores de acciones o bonos obligatoriamente convertibles en acciones puedan participar del proceso de privatización, la bolsa de valores, previa aceptación del encargo, deberá publicar un (1) aviso por una (1) vez, en un diario de amplia circulación nacional, cuyo propósito será informar a los particulares sobre el proceso y las condiciones en que éstos podrán participar en el mismo.
Dicho aviso contendrá, como mínimo, lo siguiente:
a) Objeto del aviso y esquema general del proceso, indicando, cuando sea del caso, la cantidad máxima de acciones o bonos obligatoriamente convertibles en acciones de propiedad de particulares que podrán integrarse al martillo por este medio y, cuando sea del caso, la cantidad mínima de acciones o bonos obligatoriamente convertibles en acciones de propiedad de particulares que será necesaria para que el programa de enajenación pueda llevarse a cabo;
b) La manera en que los particulares podrán participar en el martillo incluyendo la forma y condiciones en que deberá realizarse el encargo a la bolsa de valores;
c) El precio de venta y la forma de pago de las acciones o bonos obligatoriamente convertibles en acciones;
d) La advertencia de que las condiciones de venta de los valores de propiedad de los particulares serán las mismas fijadas para los valores de propiedad de la entidad del Estado enajenante;
e) Plazo que tienen los particulares para comunicar a la bolsa de valores la decisión de participar en el proceso;
f) Cuando sea del caso, el sistema de adjudicación del derecho de los particulares a enajenar las acciones o bonos obligatoriamente convertibles en acciones en el martillo; y
g) Sitio o mecanismo a través del cual los interesados podrán consultar la información adicional relativa al proceso, que no se encuentre contenida en el aviso.
PARÁGRAFO 1. Durante el término de quince (15) días hábiles a que se refiere el artículo siguiente, la bolsa de valores deberá igualmente incluir el contenido del aviso en su boletín diario.
PARÁGRAFO 2. Lo dispuesto en el presente Título será aplicable exclusivamente a la etapa o etapas del procedimiento de privatización dirigidas al público en general.
En consecuencia, el presente Título no se aplicará a la oferta dirigida a los destinatarios de condiciones preferentes o especiales, prevista en la Ley.
PARÁGRAFO 3. El aviso a que se refiere el presente artículo no sustituye los avisos que deben publicarse para adelantar el martillo, a que se refiere el artículo 2.10.7.1.6 del presente decreto.
ARTÍCULO 2.10.7.1.21 ENCARGO A LA BOLSA DE VALORES.
<Fuente original compilada: R. 1200/95 Art. 3.2.3.22 Adicionado R. 015/05 Art. 1o.> Dentro de los quince (15) días hábiles siguientes a la publicación del aviso a que se refiere el artículo anterior, los particulares tenedores de acciones o bonos obligatoriamente convertibles en acciones, interesados en enajenar los valores de su propiedad dentro del martillo, deberán comunicar a la bolsa de valores su decisión en tal sentido, indicando en la misma la cantidad de acciones o bonos obligatoriamente convertibles en acciones que se pretende enajenar. A tal efecto se deberá celebrar encargo irrevocable de conformidad con los reglamentos de la bolsa y, al momento de la celebración del mismo, deberán entregarse a la bolsa los títulos de las acciones respectivas.
Los valores de propiedad de los particulares que pretendan participar en el martillo deben estar al momento del encargo libres de gravámenes, limitaciones de dominio y de cualquier demanda o pleito pendiente que pueda afectar la propiedad o su negociabilidad.
Las condiciones de venta de los valores de propiedad de los particulares serán las mismas fijadas para los valores de propiedad de la entidad del Estado enajenante.
En todo caso, el martillo deberá realizarse bajo la modalidad “Todo o Nada”.
PARÁGRAFO. Los particulares que no cumplan con las condiciones para la celebración del encargo al momento de su presentación serán rechazados por la bolsa de valores y no podrán ser incluidos en el proceso.
<Fuente original compilada: R. 1200/95 Art. 3.2.3.23 Adicionado R. 015/05 Art. 1o.> Cuando el número de acciones o bonos obligatoriamente convertibles en acciones de aquellos particulares que informaron su decisión de vender sus valores en el martillo y cuyo encargo haya sido aceptado por la bolsa, sea inferior al número mínimo de acciones fijado en el respectivo programa de enajenación, la bolsa dará por terminado el proceso.
Cuando el número de acciones o bonos obligatoriamente convertibles en acciones de aquellos particulares que informaron su decisión de vender sus valores en el martillo y cuyo encargo haya sido aceptado por la bolsa, sea superior al número máximo de acciones fijado en el respectivo programa de enajenación, se deberá adjudicar el derecho a enajenar las acciones o bonos obligatoriamente convertibles en acciones en el martillo, de conformidad con el sistema de adjudicación fijado en el respectivo programa de enajenación. Los sistemas de adjudicación que podrán señalarse son:
a) de prorrateo por oferente privado,
b) de prorrateo por cantidad de valores y c) de prelación en el tiempo.
Una vez surtido el procedimiento para adjudicar el derecho a enajenar las acciones o los bonos obligatoriamente convertibles en acciones, la bolsa procederá a publicar los avisos a que se refiere el artículo 2.10.7.1.6 del presente decreto.
ARTÍCULO 2.10.7.1.23 SISTEMA DE PRORRATEO POR OFERENTE PRIVADO.
<Fuente original compilada: R. 1200/95 Art. 3.2.3.24 Adicionado R. 015/05 Art. 1o.> Cuando se utilice el sistema de prorrateo por oferente privado se seguirán las siguientes reglas:
a) Cuando la cantidad de valores que los particulares están dispuestos a enajenar y cuyo encargo haya sido aceptado por la bolsa, sea igual o inferior a la cantidad máxima de valores fijada en el respectivo programa de enajenación, la bolsa adjudicará el derecho a enajenar sus valores en favor de todos los particulares que hayan celebrado encargo de venta.
b) Cuando la cantidad de valores que los particulares están dispuestos a enajenar y cuyo encargo haya sido aceptado por la bolsa, supere la cantidad máxima de valores fijada en el respectivo programa de enajenación, se adjudicará el derecho a enajenar los valores siguiendo las siguientes reglas:
b.1. La bolsa establecerá un cupo de valores a enajenar por cada particular que celebró encargo para la venta de sus valores, dividiendo la cantidad máxima de valores fijada en el respectivo programa de enajenación, entre el número de particulares que encargaron la venta de sus valores.
b.2. Una vez se determine el cupo de valores a enajenar por cada particular que celebró encargo para la venta de sus valores, se procederá a adjudicar a cada particular el derecho a enajenar un número de valores máximo igual al del cupo que haya sido fijado.
b.3. Si el número de valores respecto de los cuales un particular celebró encargo de venta, es inferior al cupo asignado, su encargo será atendido por el monto respecto del cual se celebró el mismo.
b.4. Si se presentaren residuos de cupos por adjudicar, dicho residuo será distribuido nuevamente en forma proporcional entre los particulares que celebraron encargo respecto de un número de valores superior al del cupo que fue asignado conforme al literal b.1.anterior.
c) Se entenderá que todos y cada uno de los particulares que se vinculan al proceso, por el sólo hecho de celebrar el encargo respectivo, consienten en que el número de los valores de su propiedad que llegaren a ser enajenados sea inferior a la cantidad de valores inicialmente incluida en el encargo, si en razón del sistema de prorrateo por oferente privado, el cupo a enajenar que les sea asignado resulta inferior al número de valores inicialmente incluido en el encargo.
La bolsa no tomará en cuenta aquellos encargos en los cuales se haya expresado que no se admite tal reducción.
ARTÍCULO 2.10.7.1.24 SISTEMA DE PRORRATEO POR CANTIDAD DE VALORES.
<Fuente original compilada: R. 1200/95 Art. 3.2.3.25 Adicionado R. 015/05 Art. 1o.> Cuando se utilice el sistema de prorrateo por cantidad de valores se seguirán las siguientes reglas:
a) Cuando la cantidad de valores que los particulares están dispuestos a enajenar y cuyo encargo haya sido aceptado por la bolsa, sea igual o inferior a la cantidad máxima de valores fijada en el respectivo programa de enajenación, la bolsa adjudicará el derecho a enajenar sus valores en favor de todos los particulares que hayan celebrado encargo de venta.
b) Cuando la cantidad de valores que los particulares están dispuestos a enajenar y cuyo encargo haya sido aceptado por la bolsa, supere la cantidad máxima de valores fijada en el respectivo programa de enajenación, se adjudicará el derecho a enajenar los valores siguiendo las siguientes reglas:
b.1. La bolsa establecerá el porcentaje o proporción que los valores objeto de encargo por cada uno de los particulares representen en relación con el total de los valores objeto de encargo por los particulares.
b.2. La bolsa realizará la adjudicación del derecho a enajenar los valores en forma directamente proporcional a las cantidades objeto de encargo por cada uno de los particulares.
c) Se entenderá que todos y cada uno de los particulares que celebran encargo para la venta de sus valores, por el sólo hecho de celebrar dicho encargo, consienten en que los valores de su propiedad que llegaren a ser enajenados sea inferior al número de valores inicialmente incluidos en el encargo, si en razón del sistema de prorrateo por cantidad de valores, el cupo a enajenar que les sea asignado resulta inferior a la cantidad de valores inicialmente incluida en el encargo. La bolsa no tomará en cuenta aquellos encargos en los cuales se haya expresado que no se admite tal reducción.
ARTÍCULO 2.10.7.1.25 SISTEMA DE PRELACIÓN EN EL TIEMPO.
<Fuente original compilada: R. 1200/95 Art. 3.2.3.26 Adicionado R. 015/05 Art. 1o.> Cuando se utilice el sistema de prelación en el tiempo se seguirán las siguientes reglas:
a) La bolsa utilizará sistemas manuales o técnicos de manera que se pueda conocer la fecha y la hora de presentación de cada encargo de venta de acciones o de bonos obligatoriamente convertibles en acciones por parte de los particulares;
b) La bolsa adjudicará a los particulares el derecho a enajenar sus valores teniendo en cuenta el orden cronológico de los encargos, para lo cual se tendrá en cuenta la fecha y la hora de su celebración;
c) La bolsa asignará a cada particular el derecho a enajenar el número de valores por él entregados en encargo, hasta que se alcance la cantidad máxima de valores fijada en el respectivo programa de enajenación;
d) Se entenderá que todos y cada uno de los particulares que celebren encargo de venta de sus valores, por el sólo hecho de celebrar dicho encargo, consienten en que los valores de su propiedad que llegaren a ser enajenados sea inferior al número de valores inicialmente incluidos en el encargo, si en razón del sistema de prelación en el tiempo, el cupo a enajenar que les sea asignado resulta inferior a la cantidad de valores inicialmente incluida en el encargo. La bolsa no tomará en cuenta aquellos encargos en los cuales se haya expresado que no se admite tal reducción.
ADMINISTRACIÓN DE SISTEMAS DE SUBASTA PARA LA DETERMINACIÓN DE TARIFAS INTERBANCARIAS DE INTERCAMBIO.
2.10.8.1.1 ADMINISTRACIÓN DE SISTEMAS DE SUBASTA PARA LA DETERMINACIÓN DE TARIFAS INTERBANCARIAS DE INTERCAMBIO. <Ver Notas del Editor> <Artículo adicionado por el artículo 1 del Decreto 848 de 2013. El nuevo texto es el siguiente:> Las bolsas de valores podrán administrar sistemas de subasta para la determinación de tarifas interbancarias de intercambio de que trata el literal d) del artículo 2.1.4.1.1 del presente decreto, lo cual comprenderá las siguientes actividades:
a) Administrar los mecanismos de votación que se implementen en el marco de los sistemas de subasta para la determinación de tarifas interbancarias de intercambio.
b) Calcular y publicar las tarifas interbancarias de intercambio que se obtengan como resultado de la ejecución de los mecanismos de votación.
c) Conservar los antecedentes y registros de los mecanismos de votación.
NORMAS APLICABLES A LAS BOLSAS DE BIENES Y PRODUCTOS AGROPECUARIOS, AGROINDUSTRIALES O DE OTROS COMMODITIES.
DISPOSICIONES GENERALES.
<Fuente original compilada: D. 1511/06 Art. 1o.> Las bolsas de bienes y productos agropecuarios, agroindustriales o de otros commodities son sociedades anónimas que tienen como objeto organizar y mantener en funcionamiento un mercado público de bienes y productos agropecuarios, agroindustriales o de otros commodities sin la presencia física de los mismos, así como de servicios, documentos de tradición o representativos de mercancías, títulos, valores, derechos, derivados y contratos que puedan transarse en dichas bolsas. En desarrollo de su objeto social las bolsas deben garantizar a quienes participen en el mercado y al público en general, condiciones suficientes de transparencia, honorabilidad y seguridad.
Para el efecto, dichas bolsas deberán facilitar el acceso y garantizar la igualdad de condiciones de participación para todos los oferentes y demandantes, así como desarrollar normas sobre las características mínimas de los bienes y productos agropecuarios, agroindustriales o de otros commodities y sobre las cláusulas básicas que deben incluir los contratos respectivos. De igual manera, suministrarán información oportuna y fidedigna sobre las negociaciones y condiciones del mercado.
Las juntas directivas de las bolsas de bienes y productos agropecuarios, agroindustriales o de otros commodities deberán establecer mecanismos adecuados tendientes a brindar la máxima seguridad de cumplimiento de las operaciones que se realicen en el mercado.
ARTÍCULO 2.11.1.1.2 ACCIONISTAS.
<Fuente original compilada: D. 1511/06 Art. 2o.> Podrá ser accionista de una bolsa de bienes y productos agropecuarios, agroindustriales o de otros commodities cualquier persona natural o jurídica, de acuerdo con su régimen legal y/o convencional.
PARÁGRAFO. Cada uno de los miembros de una bolsa de bienes y productos agropecuarios, agroindustriales o de otros commodities, deberá poseer en la misma un número de acciones no inferior al que establezca el respectivo reglamento.
<Fuente original compilada: D. 1511/06 Art. 3o.> De las operaciones realizadas en los sistemas de negociación y de registro que administren las bolsas de bienes y productos agropecuarios, agroindustriales o de otros commodities se dejará constancia en un documento idóneo, suscrito por los miembros que lo celebren y por un representante de la bolsa de bienes y productos agropecuarios, agroindustriales o de otros commodities debidamente facultado para tal efecto.
Dicho documento deberá expresar la especie, calidad y cantidad objeto de la negociación, su precio, lugar y plazo de entrega y demás formalidades y requisitos que se establezcan en el respectivo reglamento. El documento original se le entregará a sus respectivos miembros y la copia del original será conservado por la bolsa.
ARTÍCULO 2.11.1.1.4 ORGANIZACIÓN DE SUBASTAS.
<Fuente original compilada: D. 1511/06 Art. 4o.> Las bolsas de bienes y productos agropecuarios, agroindustriales o de otros commodities podrán organizar subastas públicas de todo lo que sea objeto de negociación en dichas bolsas, en la forma que lo determine el reglamento general de las mismas.
ARTÍCULO 2.11.1.1.5 REGLAMENTOS GENERALES DE LAS BOLSAS.
<Fuente original compilada: D. 1511/06 Art. 5o.> Las bolsas de bienes y productos agropecuarios, agroindustriales o de otros commodities deberán contar con reglamentos que rijan su organización, administración, funcionamiento, así como las operaciones y actividades que se realicen por conducto de los mercados que administren.
Las bolsas de bienes y productos agropecuarios, agroindustriales o de otros commodities que administren sistemas de registro de operaciones, deberán establecer las normas que regulen la organización, administración y funcionamiento de dichos sistemas.
Estos reglamentos y sus modificaciones deberán ser aprobados por la junta directiva y autorizados por la Superintendencia Financiera de Colombia.
Parágrafo 1o. <Parágrafo adicionado por el artículo 1 del Decreto 2547 de 2014. El nuevo texto es el siguiente:> Cuando se trate de las subastas y los servicios a cargo del gestor del mercado de gas natural realizados en desarrollo de la regulación establecida por la Comisión de Regulación de Energía y Gas Combustible (CREG) respecto del funcionamiento del mercado mayorista de gas combustible, no será necesario que las bolsas de bienes y productos agropecuarios, agroindustriales o de otros commodities tengan reglamentos autorizados por la Superintendencia Financiera de Colombia.
ARTÍCULO 2.11.1.1.6 CONTENIDO MÍNIMO DE LOS REGLAMENTOS.
<Fuente original compilada: D. 1511/06 Art. 6o.> Los reglamentos de las bolsas de bienes y productos agropecuarios, agroindustriales o de otros commodities, deberán hacer referencia como mínimo a los siguientes aspectos:
1. Criterios para la admisión y desvinculación de sus miembros. Los criterios de admisión a que hace referencia el presente numeral deberán prever requisitos de idoneidad profesional y solvencia moral en relación con los socios, administradores y revisores fiscales.
2. Derechos y obligaciones de la bolsa y de sus miembros.
3. Bienes, productos, servicios, títulos, valores, derechos, derivados y contratos con subyacente agropecuario, agroindustrial o de otros commodities, que serán objeto de negociación a través de la bolsa respectiva.
4. Modalidades de operaciones que podrán celebrarse a través de la bolsa respectiva y las reglas y condiciones a las cuales se sujetarán las mismas.
5. Características y estándares de los contratos que se negociarán por su conducto.
6. Requisitos para la inscripción en la bolsa respectiva de títulos, valores, derechos, derivados y contratos con subyacente agropecuario, agroindustrial o de otros commodities.
7. Las reglas para el funcionamiento y operación de los mercados respectivos, las cuales deben aludir entre otros aspectos al proceso de formación de precios, al proceso de negociación y ejecución de operaciones, al tipo de ofertas que se pueden colocar en el sistema, a la información que se debe ingresar al sistema sobre las ofertas de compra y venta, así como a los criterios y parámetros para el cierre y adjudicación de operaciones.
8. Órganos, mecanismos y procedimientos a través de los cuales se deberá realizar la compensación y liquidación de las operaciones que se realicen a través de la bolsa respectiva.
9. Condiciones y reglas a las cuales se sujetarán sus miembros en el desarrollo de las actividades de comisión, corretaje, cuenta propia, administración de valores, asesoría en el mercado, y demás actividades que puedan realizar, de conformidad con lo previsto en el presente decreto y las demás normas que resulten aplicables.
10. Horarios de funcionamiento de los mercados bajo su administración.
11. Normas que garanticen el suministro de información oportuna y fidedigna sobre las negociaciones y los mercados, mediante el establecimiento de sistemas de información adecuados.
12. Los mecanismos de medición, control y gestión integral de los riesgos.
13. Los mecanismos de contingencia que garanticen el continuo y normal funcionamiento de los mercados bajo su administración y aseguren el debido funcionamiento de la compensación y liquidación de las operaciones.
14. Mecanismos para dotar a los mercados de la máxima seguridad de cumplimiento de los compromisos que se adquieran en ellos, de manera que las partes que intervengan en las negociaciones respondan por sus obligaciones contractuales.
15. Normas acerca de la expedición de los comprobantes de transacción de las operaciones celebradas por conducto suyo. Estos comprobantes deberán expresar al menos la especie, la calidad y cantidad del objeto de la operación, su precio, lugar y plazo de entrega, y la comisión cobrada.
16. Criterios y parámetros objetivos tenidos en cuenta para establecer el régimen de cobros, tarifas y otros pagos por la prestación de los servicios respectivos.
17. Integración y funciones de sus comités internos.
18. Criterios para la conformación y elección de los miembros de sus órganos internos.
PARÁGRAFO. Las bolsas de bienes y productos agropecuarios, agroindustriales o de otros commodities deberán unificar sus reglamentos en todos sus aspectos, incluidos los de autorregulación.
Para tal efecto, presentarán conjuntamente a la Superintendencia Financiera de Colombia el correspondiente proyecto, a más tardar el 19 de mayo de 2008.
En el evento en que se presenten diferencias acerca de la forma en que deben ser unificados los reglamentos, y las bolsas de bienes y productos agropecuarios, agroindustriales o de otros commodities no lograren ponerse de acuerdo al respecto, dichas diferencias serán resueltas por la Superintendencia Financiera de Colombia.
En todo caso, la Superintendencia Financiera de Colombia podrá aprobar reglas especiales para una bolsa, en determinadas materias, cuando con ello no se afecte la transparencia, seguridad y desarrollo del mercado.
<Fuente original compilada: D. 1511/06 Art. 7o.> Las bolsas de bienes y productos agropecuarios, agroindustriales o de otros commodities, además de los órganos sociales que de conformidad con las normas mercantiles se encuentren obligadas a conformar, deberán contar por lo menos con los siguientes comités:
1. Comité de estándares, que se encargará de determinar las calidades de los bienes, productos y servicios agropecuarios, agroindustriales o de otros commodities, y los términos y condiciones de los títulos, valores, derechos, derivados y contratos que se negocien en la respectiva bolsa.
2. Comité arbitral, que se encargará de solucionar los conflictos que pudieran derivarse de las negociaciones que se hagan en la respectiva bolsa.
3. Comité de riesgos, que se encargará de hacer el seguimiento de los riesgos que afecten la actividad de la respectiva bolsa y de formular recomendaciones para su manejo, dentro del marco fijado por el sistema de control y gestión de riesgos.
PARÁGRAFO. Los miembros de las bolsas de bienes y productos agropecuarios, agroindustriales o de otros commodities y los organismos de compensación y liquidación de las operaciones que se celebren por su conducto, también deberán contar con el comité previsto en el numeral 3 del presente artículo.
ARTÍCULO 2.11.1.1.8 MODALIDADES DE OPERACIONES.
<Fuente original compilada: D. 1511/06 Art. 8o.> En los mercados administrados por las bolsas de bienes y productos agropecuarios, agroindustriales o de otros commodities, podrán celebrarseoperaciones de entrega inmediata; operaciones sobre físicos disponibles; operaciones a término, forward, de futuros, y opciones sobre bienes, productos, documentos, títulos, valores, derechos, derivados, contratos con subyacente agropecuario, agroindustrial o de otros commodities de que trata el artículo 2.11.1.1.1 del presente decreto y las demás que sean autorizadas por sus reglamentos y se ajusten a lo permitido por su régimen legal.
ARTÍCULO 2.11.1.1.9 CARACTERÍSTICAS DE LOS SISTEMAS DE NEGOCIACIÓN.
<Fuente original compilada: D. 1511/06 Art. 9o.> Los sistemas de negociación de las bolsas de bienes y productos agropecuarios, agroindustriales o de otros commodities deberán procurar la más alta participación de personas en los mismos, promover la eficiencia y liquidez del mercado, asegurar niveles apropiados de protección a los inversionistas y usuarios, incluir reglas de transparencia en las operaciones, así como garantizar la difusión de información en tiempo real, con respecto a las operaciones que se celebren por su conducto.
Dichos sistemas se deben diseñar para operar y ofrecer precios eficientes, así como para garantizar un tratamiento equitativo a todos los participantes. En consecuencia, las metodologías de negociación que adopten deberán ser justas y ordenadas, de tal manera que se permita a los participantes obtener el mejor precio disponible en el sistema, de acuerdo con el tamaño de la oferta de compra o venta y el momento de su realización.
MIEMBROS.
ARTÍCULO 2.11.1.2.1 ADQUISICIÓN DE LA CALIDAD DE MIEMBRO.
<Fuente original compilada: D. 1511/06 Art. 10> Para ser admitido como miembro de una bolsa de bienes y productos agropecuarios, agroindustriales o de otros commodities, la entidad interesada deberá solicitar su ingreso a la junta directiva, acreditando dentro del término que señalen los reglamentos, el cumplimiento de los requisitos objetivos establecidos por los administradores de las mismas.
En ningún caso, una bolsa de bienes y productos agropecuarios, agroindustriales o de otros commodities permitirá que actúe por su conducto una persona que no se encuentre inscrita en el Registro Nacional de Agentes del Mercado de Valores-RNAMV.
ARTÍCULO 2.11.1.2.2 OBJETO SOCIAL.
<Fuente original compilada: D. 1511/06 Art. 11> Los miembros de las bolsas de bienes y productos agropecuarios, agroindustrialeso de otros commodities deberán constituirse como sociedades anónimas o entidades cooperativas y tendrán como objeto social exclusivo el desarrollo del contrato de comisión para la compra y venta de bienes, productos y servicios agropecuarios, agroindustriales o de otros commodities, títulos, valores, derivados, derechos y contratos con origen o subyacente en tales bienes, productos y servicios que se negocien por conducto de esas bolsas.
Los miembros de las bolsas de bienes y productos agropecuarios, agroindustriales o de otros commodities también podrán ejecutar operaciones de corretaje sobrebienes, productos, documentos, títulos, valores, derechos, derivados, contratoscon subyacente agropecuario, agroindustrial o de otros commodities.
En todo caso, cuando la operación de corretaje o de comisión verse sobre títulos, valores, derechos o contratos que se negocien en la bolsa respectiva, los miembros que realicen tales operaciones tendrán, además de las obligaciones derivadas de los contratos de corretaje y comisión, las mismas obligaciones y prohibiciones para con el cliente y el mercado, previstas en las normas vigentes para cuando las sociedades comisionistas miembros de una bolsa de valores celebran estos contratos, en todo lo que sea compatible con la naturaleza de los miembros de las bolsas de bienes y productos agropecuarios, agroindustriales o de otros commodities.
ARTÍCULO 2.11.1.2.3 OTRAS ACTIVIDADES.
<Fuente original compilada: D. 1511/06 Art. 12> Además de las actividades señaladas en el artículo anterior, los miembros de bolsas de bienes y productos agropecuarios, agroindustriales o de otros commodities podrán realizar operaciones por cuenta propia en los mercados primario y secundario, siempre y cuando obtengan de manera previa autorización de la Superintendencia Financiera de Colombia para ejercer dicha actividad.
OPERACIONES POR CUENTA PROPIA.
ARTÍCULO 2.11.1.3.1 OPERACIONES POR CUENTA PROPIA EN EL MERCADO PRIMARIO.
<Fuente original compilada: D. 1511/06 Art. 13> Son operaciones por cuenta propia en el mercado primario las siguientes:
1. La adquisición temporal, dentro de la modalidad en firme, de bienes, productos o servicios agropecuarios, agroindustriales o de otros commodities. La bolsa respectiva establecerá, para cada tipo de bienes, productos o servicios agropecuarios, agroindustriales o de otros commodities, el tiempo durante el cual un miembro podrá conservar la propiedad de bienes, productos o servicios agropecuarios, agroindustriales o de otros commodities, para lo cual tendrá en cuenta la naturaleza y características del respectivo bien, producto o servicio.
2. La adquisición temporal, dentro de la modalidad garantizada, de bienes, productos o servicios agropecuarios, agroindustriales o de otros commodities.
3. La adquisición temporal, dentro de la modalidad en firme, de toda o parte de una emisión de títulos, valores, derechos o contratos que se negocien en la respectiva bolsa.
4. La adquisición temporal del remanente de una emisión en desarrollo del acuerdo celebrado por el miembro de la bolsa de bienes y productos agropecuarios, agroindustriales o de otros commodities para colocar la totalidad o parte de una emisión bajo la modalidad garantizada.
PARÁGRAFO 1. Para los efectos del presente Libro, se denomina colocación en firme de bienes, productos o servicios agropecuarios, agroindustriales o de otros commodities, aquella en que un miembro de una bolsa de bienes y productos agropecuarios, agroindustriales o de otros commodities adquiere ciertos bienes, productos o servicios agropecuarios, agroindustriales o de otros commodities, obligándose a ofrecer al público tales bienes, productos o servicios, en las condiciones de precio que se hubieren establecido en el contrato respectivo.
PARÁGRAFO 2. Para los efectos del presente Libro, se denomina colocación garantizada de bienes, productos o servicios agropecuarios, agroindustriales o de otros commodities, aquella en que un miembro de una bolsa de bienes y productos agropecuarios, agroindustriales o de otros commodities se compromete a conseguir comprador para ciertos bienes, productos o servicios agropecuarios, agroindustriales o de otros commodities, dentro de un plazo determinado, con la obligación de adquirir el remanente no vendido en dicho plazo.
PARÁGRAFO 3. Los conceptos de “colocación en firme” y “colocación garantizada” tendrán para los efectos del presente Libro, tratándose de títulos, valores, derechos y contratos con origen en bienes, productos o servicios agropecuarios, agroindustriales o de otros commodities, o que tengan como subyacente tales bienes, productos o servicios, el significado que les atribuye el parágrafo del artículo 2.9.4.1.1 del presente decreto.
PARÁGRAFO 4. En el evento en que un miembro de una bolsa de bienes y productos agropecuarios, agroindustriales o de otros commodities deba adquirir total o parcialmente los bienes, productos, servicios, títulos, valores, derechos o contratos objeto del contrato de colocación en firme o garantizada, se aplicarán para todos los efectos las normas relativas a las operaciones por cuenta propia en el mercado secundario, después de transcurrido un mes desde el momento en que tuvo lugar la mencionada adquisición.
ARTÍCULO 2.11.1.3.2 OPERACIONES POR CUENTA PROPIA EN EL MERCADO SECUNDARIO.
<Fuente original compilada: D. 1511/06 Art. 14> Son operaciones por cuenta propia en el mercado secundario aquellas adquisiciones de títulos, valores, derechos o contratos con subyacente agropecuario, agroindustrial o de otros commodities, que se negocien en una bolsa de bienes y productos agropecuarios, agroindustriales o de otros commodities y se realicen por miembros de las mismas con el objeto de imprimirle liquidez y estabilidad al mercado, atendiendo ofertas o estimulando y abasteciendo demandas, o con el propósito de reducir los márgenes entre el precio de demanda y oferta, dentro de las condiciones señaladas en el presente Libro. La enajenación de los títulos, valores, derechos o contratos así adquiridos, igualmente se considerará como operación por cuenta propia.
En ningún caso el tiempo de permanencia promedio ponderado de la totalidad de las inversiones en títulos, valores, derechos o contratos que se mantengan por cuenta propia, en desarrollo de lo establecido en el presente Capítulo, podrá ser superior a un (1) año. En todo caso, ninguna inversión podrá mantenerse por un plazo superior a cuatrocientos cincuenta (450) días.
PARÁGRAFO 1. <Parágrafo modificado el artículo 39 del Decreto 1745 de 2020. El nuevo texto es el siguiente:> La Superintendencia Financiera de Colombia podrá determinar el tiempo mínimo de permanencia de títulos, valores, derechos y contratos con subyacente agropecuario, agroindustrial o de otros commodities para que se considere efectuado por cuenta propia.
PARÁGRAFO 2. Para desarrollar este tipo de operaciones, los miembros de las bolsas de bienes y productos agropecuarios, agroindustriales o de otros commodities, deberán designar por lo menos un (1) representante legal de la entidad, para que se encargue de manera preferencial y prioritaria de las operaciones por cuenta propia.
Con antelación al desarrollo de tales operaciones, los miembros de dichas bolsas deberán informar a la Superintendencia Financiera de Colombia, el nombre del(os) representante(s) legal(es) que se designe(n) con el propósito señalado en el inciso anterior.
PARÁGRAFO 3. Para efectos de lo previsto en el presente Libro, se entiende por tiempo de permanencia promedio ponderado, la sumatoria de los productos obtenidos al multiplicar el valor presente de cada inversión por su respectivo tiempo de permanencia calculado con base en días comerciales, dividida por la sumatoria de los valores presentes del total de las inversiones que el respectivo miembro haya realizado por cuenta propia en títulos, valores, derechos o contratos.
ARTÍCULO 2.11.1.3.3 PRINCIPIOS GENERALES PARA OPERACIONES POR CUENTA PROPIA.
<Fuente original compilada: D. 1511/06 Art. 15> En la realización de las operaciones por cuenta propia, los miembros de las bolsas de bienes y productos agropecuarios, agroindustriales o de otros commodities, atenderán las siguientes previsiones:
1. No podrán utilizar recursos provenientes de sus clientes.
2. Se abstendrán de realizar operaciones por cuenta propia que tengan por objeto títulos emitidos, avalados o aceptados por la matriz del respectivo miembro, o por filiales o subsidiarias del mismo.
3. No podrán actuar en detrimento de los intereses de sus clientes.
4. En todo caso en que entren en contraposición el interés del cliente y el del miembro respectivo o el de sus administradores, prevalecerá el de aquel.
5. Deberá atender las normas aplicables a las sociedades comisionistas miembros de una bolsa de valores dirigidas a evitar la ocurrencia de conflictos de interés y el uso de información privilegiada, así como lo que establezca el respectivo reglamento de autorregulación.
6. Deberá anotar cronológicamente en el libro de registro de operaciones las compras y ventas realizadas por cuenta propia, de conformidad con las instrucciones que al respecto imparta la Superintendencia Financiera de Colombia.
PARÁGRAFO. Se entiende que un miembro de una bolsa de bienes y productos agropecuarios, agroindustriales o de otros commodities, obra en detrimento de los intereses de sus clientes, entre otros casos, cuando quiera que dé prelación, de manera directa o indirecta, con el fin de obtener mejores condiciones de precio o liquidez, a las ventas o compras por cuenta propia sobre aquellas ventas o compras por cuenta de sus clientes, tratándose de bienes, productos, servicios, títulos, valores, derechos, derivados o contratos de la misma naturaleza y similares características.
OTRAS ACTIVIDADES AUTORIZADAS.
ARTÍCULO 2.11.1.4.1 OTRAS ACTIVIDADES AUTORIZADAS.
<Fuente original compilada: D. 1511/06 Art. 16> Se autoriza a los miembros de las bolsas de bienes y productos agropecuarios, agroindustriales o de otros commodities para que previa aprobación de la Superintendencia Financiera de Colombia, realicen las siguientes actividades:
1. Administración de valores con subyacente agropecuario, agroindustrial o de otros commodities.
2. Asesorías en actividades relacionadas con el mercado propio de las bolsas de bienes y productos agropecuarios, agroindustriales o de otros commodities.
3. Celebración de contratos de liquidez.
PARÁGRAFO. La realización de nuevas operaciones autorizadas estará sujeta al cumplimiento de los requerimientos especiales que establezca la Superintendencia Financiera de Colombia, quien para el efecto podrá señalar regímenes de autorización general o individual.
ARTÍCULO 2.11.1.4.2 ACTIVIDADES Y OPERACIONES.
<Fuente original compilada: D. 1511/06 Art. 17> Las actividades y operaciones autorizadas a los miembros de la bolsas de bienes y productos agropecuarios, agroindustriales o de otros commodities, sólo podrán realizarse cuando hayan sido objeto de reglamentación por parte de la junta directiva de la bolsa respectiva y el respectivo reglamento sea aprobado por la Superintendencia Financiera de Colombia.
ADMINISTRACIÓN DE VALORES.
ARTÍCULO 2.11.1.5.1 ADMINISTRACIÓN DE VALORES.
<Fuente original compilada: D. 1511/06 Art. 18> Los miembros de las bolsas de bienes y productos agropecuarios, agroindustriales o de otros commodities, podrán ofrecer y prestar a sus clientes servicios de administración de valores con cualquiera de tales subyacentes, previa autorización de la Superintendencia Financiera de Colombia y con sujeción a las condiciones previstas en el presente capítulo.
ARTÍCULO 2.11.1.5.2 FACULTADES DE LOS MIEMBROS.
<Fuente original compilada: D. 1511/06 Art. 19> En desarrollo de la actividad de administración de valores, los miembros de las bolsas de bienes y productos agropecuarios, agroindustriales o de otros commodities, sólo están facultados para ejercer en nombre y por cuenta de su mandante y siempre que cuenten con la autorización expresa del mismo, las actividades que se mencionan a continuación:
1. Realizar el cobro de los rendimientos.
2. Realizar el cobro del capital.
3. Reinvertir las sumas que por capital o rendimientos llegue a cobrar de acuerdo con las instrucciones que para cada caso particular imparta el cliente, las cuales deben tener el correspondiente soporte escrito.
4. Valorar a precios de mercado los valores recibidos en administración.
PARÁGRAFO. Los miembros de las bolsas de bienes y productos agropecuarios, agroindustriales o de otros commodities deberán informar al cliente sobre las facultades de que trata el presente artículo, para que este pueda efectuar las correspondientes reservas o impartir las instrucciones que estime procedentes, de lo cual dejará la respectiva constancia.
<Fuente original compilada: D. 1511/06 Art. 20> La ejecución de los servicios de administración de valores por parte de los miembros de las bolsas de bienes y productos agropecuarios, agroindustriales o de otros commodities, estará sujeta a las siguientes reglas:
1. En los actos de administración que realicen, deberá emplearse el mayor grado de diligencia y cuidado que la ley establece, debiendo responder el miembro respectivo hasta por la culpa leve, de acuerdo con el artículo 2155 del Código Civil.
2. Mantener los mecanismos que permitan controlar el cobro oportuno de los rendimientos y del capital.
3. Efectuar las reinversiones que procedan, con sujeción a las instrucciones que imparta el cliente.
4. En caso que no proceda la reinversión, poner a disposición del cliente las sumas correspondientes en forma inmediata, y
5. Remitir mínimo mensualmente a sus clientes reportes acerca del saldo, estado y movimiento de sus cuentas.
ARTÍCULO 2.11.1.5.4 CUENTAS ESPECIALES.
<Fuente original compilada: D. 1511/06 Art. 21> Los miembros de las bolsas de bienes y productos agropecuarios, agroindustriales o de otros commodities, deberán abrir en su contabilidad una cuenta especial a nombre de cada uno de sus clientes para los movimientos de dinero que origine la administración, en la que se deberán registrar todas y cada una de las operaciones que ejecuten con motivo del respectivo mandato.
ARTÍCULO 2.11.1.5.5 REGISTRO CONTABLE. <Fuente original compilada: D. 1511/06 Art. 22>
<Inciso modificado el artículo 40 del Decreto 1745 de 2020. El nuevo texto es el siguiente:> Los miembros de las bolsas de bienes y productos agropecuarios, agroindustriales o de otros commodities, deberán revelar en notas a los estados financieros el valor de los títulos recibidos en administración, así como elaborar, respecto de los valores no desmaterializados que le han sido entregados, un certificado de custodia con numeración consecutiva, en el cual se incluirá, cuando menos, la siguiente información:
1. Nombre y dirección del cliente.
2. Descripción de los valores, especificando su denominación, cantidad, valor nominal, nombre del emisor, cuando sea del caso, serie y número de títulos que los representan, fecha de emisión, cuando sea del caso, y demás información necesaria para su debida individualización.
3. Fecha de entrega.
4. Valores específicos en los que se harán las reinversiones, cuando a ellas hubiere lugar.
PARÁGRAFO 1. <Parágrafo modificado el artículo 40 del Decreto 1745 de 2020. El nuevo texto es el siguiente:> El original del certificado deberá ser entregado al cliente en medio físico o electrónico, una copia se llevará al consecutivo y otra se dejará anexa al valor, la cual debe ser firmada por el cliente al recibo del mismo.
PARÁGRAFO 2. <Parágrafo modificado el artículo 40 del Decreto 1745 de 2020. El nuevo texto es el siguiente:> Los miembros de las bolsas de bienes y productos agropecuarios, agroindustriales o de otros commodities, deberán abrir un libro auxiliar debidamente registrado, en los términos establecidos en las normas vigentes. En dicho libro, se deberá consignar, respecto de cada título recibido en administración, la misma información contenida en el certificado de custodia respectivo.
ARTÍCULO 2.11.1.5.6 ADMINISTRACIÓN DE VALORES EN DEPÓSITOS CENTRALIZADOS DE VALORES.
<Fuente original compilada: D. 1511/06 Art. 23> Cuando se trate de la administración de valores que se encuentren en depósitos centralizados de valores, los documentos que acrediten la custodia serán los establecidos para el efecto en el reglamento que regule el funcionamiento del respectivo depósito.
ASESORÍA EN ACTIVIDADES RELACIONADAS CON EL MERCADO PROPIO DE LAS BOLSAS DE BIENES Y PRODUCTOS AGROPECUARIOS, AGROINDUSTRIALES O DE OTROS COMMODITIES.
ARTÍCULO 2.11.1.6.1 SERVICIOS DE ASESORÍA.
<Fuente original compilada: D. 1511/06 Art. 24> Los miembros de las bolsas de bienes y productos agropecuarios, agroindustriales o de otros commodities podrán, previa autorización de la Superintendencia Financiera de Colombia, ofrecer y prestar a sus clientes del sector agropecuario, agroindustrial o de otros commodities, servicios de asesoría en actividades relacionadas con el mercado propio de las bolsas de bienes y productos agropecuarios, agroindustriales o de otros commodities.
ARTÍCULO 2.11.1.6.2 MODALIDADES.
<Fuente original compilada: D. 1511/06 Art. 25> Los servicios de asesoría a que se refiere el presente capítulo, podrán revestir las siguientes modalidades:
1. Asesoría en ingeniería financiera dirigida a empresas del sector agropecuario, agroindustrial o de otros commodities, en aspectos tales como sistemas de consecución de recursos, diseño de valores, fuentes de financiación, sistema de costos, definición de la estructura adecuada de capital, reestructuración de deuda, comercialización de cartera, colocación de valores entre terceros o asociados y repatriación de capitales.
2. Asesoría financiera en procesos empresariales de reorganización, tales como la conversión, fusión, escisión, adquisición, enajenación, cesión de activos, pasivos y contratos, y liquidación de empresas del sector agropecuario, agroindustrial o de otros commodities.
3. Asesoría en procesos de privatización de empresas del sector agropecuario, agroindustrial o de otros commodities.
4. Asesoría en programas de inversión relacionados con el sector agropecuario, agroindustrial o de otros commodities.
ARTÍCULO 2.11.1.6.3 OBLIGACIONES.
<Fuente original compilada: D. 1511/06 Art. 26> Los miembros de las bolsas de bienes y productos agropecuarios, agroindustriales o de otros commodities en desarrollo de los servicios de asesoría previstos en el presente capítulo, cumplirán, entre otras, con las siguientes obligaciones:
1. Conocer las necesidades y expectativas del cliente, así como informarle a éste acerca de la naturaleza, alcance, contenido y precio de los servicios que le ofrece.
2. Establecer y mantener con el cliente un permanente contacto a lo largo de la ejecución del contrato.
3. Informar al cliente de todo conflicto de interés que comprenda las relaciones entre el cliente y el miembro respectivo y entre éste y sus demás clientes, absteniéndose de actuar cuando a ello hubiere lugar.
4. Prestar al inversionista, con la debida diligencia, la asesoría necesaria para la mejor ejecución del encargo.
5. Dar adecuado cumplimiento a todas las obligaciones de información contenidas en la ley, en especial la de informar al cliente acerca de cualquier circunstancia sobreviniente que pueda modificar la voluntad contractual del mismo, así como cualquier situación de conflicto de interés, absteniéndose de actuar, cuando a ello hubiere lugar.
6. Informar al cliente y al mercado en general, el interés en la colocación de los títulos cuando el miembro actúe en varias calidades, por ejemplo como asesor y como colocador.
De esta forma, cuando la entidad desempeñe esta actividad, ello deberá hacerse constar en caracteres visibles dentro del correspondiente prospecto o estudio, especificando, además, las actividades que incluyó la asesoría y los alcances de la misma.
ARTÍCULO 2.11.1.6.4 LIMITACIÓN.
<Fuente original compilada: D. 1511/06 Art. 27> En desarrollo de la actividad prevista en el presente capítulo, los miembros de las bolsas de bienes y productos agropecuarios, agroindustriales o de otros commodities, deberán abstenerse de preparar o asesorar procesos de constitución de miembros de las bolsas de bienes y productos agropecuarios, agroindustriales o de otros commodities.
CONTRATOS DE LIQUIDEZ.
ARTÍCULO 2.11.1.7.1 CONTRATOS DE LIQUIDEZ.
<Fuente original compilada: D. 1511/06 Art. 28> Los miembros de las bolsas de bienes y productos agropecuarios, agroindustriales o de otros commodities, podrán celebrar contratos de liquidez a través de los cuales estos se obligan a intervenir durante un tiempo determinado, empleando fondos provenientes del emisor o fondos propios, para proveer liquidez en el mercado a los títulos, valores, derechos o contratos que se negocien en la bolsa respectiva.
OBLIGACIONES DE LOS MIEMBROS.
ARTÍCULO 2.11.1.8.1 OBLIGACIONES GENERALES DE LOS MIEMBROS.
<Fuente original compilada: D. 1511/06 Art. 29> Los miembros de las bolsas de bienes y productos agropecuarios, agroindustriales o de otros commodities, estarán sujetos a las siguientes obligaciones:
1. Revelar al mercado la información privilegiada o eventual sobre la cual no tengan deber de reserva y estén obligados a transmitir.
2. Realizar las operaciones que celebre en desarrollo de su objeto social por conducto de los sistemas de negociación de la bolsa de que sean miembros y dentro de los horarios establecidos para el efecto en sus reglamentos. Las operaciones que de conformidad con el reglamento de la bolsa respectiva puedan celebrarse por fuera de los mencionados sistemas de negociación, deberán registrarse a través del sistema que para tal efecto establezca la bolsa correspondiente. En todo caso el registro respectivo deberá efectuarse antes de iniciarse la nueva sesión de negociación en los respectivos sistemas.
3. Tener a disposición de sus clientes los comprobantes de las operaciones que celebre para estos, dentro de los tres (3) días hábiles siguientes a la fecha de su realización.
4. Guardar reserva, respecto de terceros, sobre las actividades que realice en relación con su profesión, en especial sobre las órdenes que se le encomienden, salvo que exista la autorización expresa del interesado, o medie solicitud de cualquier autoridad administrativa o judicial legalmente autorizada para ello, y en los demás casos determinados por la Constitución Política y la ley. Lo anterior se entiende, sin perjuicio de sus obligaciones relacionadas con los mecanismos para la prevención y control de actividades delictivas.
5. Obtener, en cada caso, autorización expresa y documentada del cliente para ejecutar órdenes sobre valores emitidos por sujetos a los que estén prestando una asesoría de las que trata el Capítulo 6 del presente Título, excepto cuando dicha asesoría sea propia del contrato de comisión.
6. Pagar el precio de compra o hacer la entrega de los bienes, productos, servicios, títulos, valores, derechos o contratos negociados, cuando actúen por cuenta de sus clientes o por cuenta propia. Para el efecto, no podrán, en ningún caso, alegar falta de provisión de los mismos.
7. Cerciorarse de la autenticidad de la firma de sus mandantes y la validez de los poderes de los representantes de sus clientes, y responder por la autenticidad del último endoso de los títulos valores que se transen por su conducto.
8. Conducir todos los negocios con lealtad, claridad, y precisión, procurando la satisfacción de los intereses de seguridad, honorabilidad y diligencia, lo cual implica el sometimiento de su conducta a las diversas normas que reglamentan su actividad profesional, ya provengan del Estado, de las mismas bolsas o constituyan parte de los sanos usos y prácticas del comercio o del mercado público de valores.
9. Informar a sus clientes sobre la ejecución de las transacciones ordenadas.
10. Actuar como expertos prudentes y diligentes respecto de sus clientes, en especial en lo que se refiere a su deber de asesoría a los mismos.
11. Cumplir estrictamente todas las obligaciones que contraigan con la bolsa de la que sean miembros o con los demás agentes del mercado, y en especial con las operaciones que celebre por conducto de la bolsa respectiva.
12. Otorgar las garantías que sean exigidas por el reglamento de la bolsa de la cual sea miembro.
13. Llevar, además de los libros de contabilidad exigidos por el Código de Comercio, la Superintendencia Financiera de Colombia y las demás disposiciones aplicables, un libro de órdenes, un libro para el registro de las operaciones que celebren y un libro en el cual registre los valores que haya recibido de sus comitentes para su administración. Los libros a los que se refiere el presente numeral deberán ajustarse a las disposiciones que al efecto expida la Superintendencia Financiera de Colombia.
14. Conservar los soportes documentales de las órdenes que se ejecuten por su conducto.
15. Acatar las instrucciones que les imparta la bolsa respectiva o el organismo de autorregulación respectivo, cuando sea del caso, y cumplir las órdenes e instrucciones que imparta la Superintendencia Financiera de Colombia.
16. Someterse al código de conducta que adopte la bolsa respectiva para sus miembros, en el cual se dispondrán las medidas necesarias para asegurar que dichos miembros prevengan los conflictos de interés y el uso indebido de información privilegiada.
17. Informar adecuadamente a los clientes, previamente a la aceptación del encargo sobre su vinculación, cuando la orden tenga por objeto títulos emitidos, avalados, aceptados o cuya emisión sea administrada por el mismo miembro, la matriz de este, o por sus filiales o subsidiarias de esta.
18. Ejecutar los encargos conferidos por sus clientes de conformidad con las instrucciones que se le impartan, y
19. Abstenerse de:
a) Utilizar información privilegiada en beneficio propio o de terceros;
b) Realizar operaciones que no sean representativas de las condiciones del mercado;
c) Suministrar información a un tercero que no tenga derecho a recibirla;
d) Ejecutar órdenes desconociendo la prelación en su registro en el libro de órdenes;
e) Preparar, asesorar o ejecutar órdenes que según un criterio profesional y de acuerdo con la situación del mercado, puedan derivar en un claro riesgo de pérdida anormal para el cliente, a menos que, en cada caso, este dé por escrito autorización expresa y asuma claramente el riesgo respectivo;
f) Utilizar para su propio beneficio o negocio los bienes o activos de sus clientes, o destinarlos para fines diferentes del encargo conferido;
g) Con base en la información privilegiada que conozca en razón de sus funciones, aconsejar la adquisición o venta de un valor en el mercado;
h) Actuar de modo tal que en cualquier forma puedan inducir en error a las partes contratantes, al mercado, a las autoridades o al público en general;
20. Cumplir las demás disposiciones legales y reglamentarias vigentes.
PARÁGRAFO. Cuando un miembro de una bolsa de bienes y productos agropecuarios, agroindustriales o de otros commodities, reciba de sus clientes dinero con el objeto de adquirir bienes, productos, servicios, títulos, valores, derechos o contratos, sin que se determine el lapso durante el cual deba cumplir la comisión, esta se entiende conferida por el término de cinco (5) días hábiles, vencido el cual, si no hubiere sido posible cumplirla deberá devolver al cliente el monto de dinero por él entregado.
Cuando se le confiera al miembro respectivo el encargo de vender bienes, productos, servicios, títulos, valores, derechos o contratos sin que se especifique el término de la comisión, este se entenderá conferido por cinco (5) días hábiles.
REGLAS DE CONDUCTA.
ARTÍCULO 2.11.1.9.1 INDEPENDENCIA EN LA REALIZACIÓN SIMULTÁNEA DE ACTIVIDADES.
<Fuente original compilada: D. 1511/06 Art. 30> Los miembros de las bolsas de bienes y productos agropecuarios, agroindustriales o de otros commodities, que realicen varias de las actividades previstas en el presente Libro, deberán establecer una estricta independencia entre los departamentos que prestan asesoría en el mercado propio de las bolsas de bienes y productos agropecuarios, agroindustriales o de otros commodities y las demás actividades.
De tal forma, cuando la entidad preste servicios de asesoría en el mercado propio de las bolsas de bienes y productos agropecuarios, agroindustriales o de otros commodities, deberá asegurarse de que la información derivada de tales actividades no esté al alcance, directa o indirectamente, del personal de la propia entidad que trabaje en otro departamento, de manera que cada función se ejerza en forma autónoma y sin posibilidad de que surjan conflictos de interés, para lo cual deberá asignar personal con dedicación exclusiva en esta área y establecer las correspondientes reglas de independencia dentro de sus manuales internos de operación.
ARTÍCULO 2.11.1.9.2 PRÁCTICAS NO AUTORIZADAS E INSEGURAS Y SANOS USOS Y PRÁCTICAS.
<Fuente original compilada: D. 1511/06 Art. 31> A los miembros de las bolsas de bienes y productos agropecuarios, agroindustriales o de otros commodities, sus administradores y funcionarios, les serán aplicables las normas sobre prácticas no autorizadas e inseguras y las relacionadas con sanos usos y prácticas previstas en las normas pertinentes.
ARTÍCULO 2.11.1.9.3 INFORMACIÓN SOBRE VINCULACIONES ECONÓMICAS.
<Fuente original compilada: D. 1511/06 Art. 32> Dentro de los tres (3) días hábiles siguientes a aquel en el cual se concrete el hecho que las origine, los miembros de las bolsas de bienes y productos agropecuarios, agroindustriales o de otros commodities, deberán comunicar a la Superintendencia Financiera de Colombia y a las bolsas respectivas, de todas aquellas vinculaciones económicas, relaciones contractuales, y demás circunstancias que, en su actuación por cuenta propia o ajena, puedan suscitar conflictos de interés.
AUTORREGULACIÓN.
ARTÍCULO 2.11.2.1.1 AUTORREGULACIÓN.
<Fuente original compilada: D. 1511/06 Art. 33> Sin perjuicio de lo dispuesto en el capítulo II del título IV de la Ley 964 de 2005, las bolsas de bienes y productos agropecuarios, agroindustriales o de otros commodities continuarán ejerciendo la función de autorregulación respecto de sus miembros, siempre que estos no cuenten con la posibilidad de inscribirse en otro organismo de autorregulación. Para tal efecto deberán contar con un reglamento que prevea lo necesario para el cumplimiento de los deberes de la bolsa como organismo autorregulador, incluyendo el ejercicio de las siguientes funciones:
1. Función normativa. Las bolsas de bienes y productos agropecuarios, agroindustriales o de otros commodities deberán contar con normas que aseguren el correcto funcionamiento de las actividades y operaciones que en ellas se realicen y establecer un código de conducta para sus miembros, el cual preverá, con arreglo a lo dispuesto por la ley y el presente Libro, por lo menos:
a) Los principios que regirán la conducta y actuación de sus miembros;
b) Los deberes de sus miembros;
c) Los deberes de las personas vinculadas a los miembros de la bolsa respectiva;
d) Las normas y procedimientos para prevenir los conflictos de interés, el uso indebido de información privilegiada, la manipulación del mercado, y la vulneración de las normas acerca de sanos usos y prácticas y en general de las normas del mercado;
e) Las conductas prohibidas;
f) Reglas que impidan la discriminación entre los miembros de la bolsa respectiva.
2. Función de supervisión. Las bolsas de bienes y productos agropecuarios, agroindustriales o de otros commodities, deberán verificar el cumplimiento por parte de sus miembros de las normas que les sean aplicables y contar con los instrumentos y mecanismos necesarios para desarrollar dicha función.
3. Función disciplinaria. Las bolsas de bienes y productos agropecuarios, agroindustriales o de otros commodities tendrán la facultad de imponer sanciones por el incumplimiento de las normas aplicables, para lo cual deberán regular al menos:
a) La organización y funcionamiento de una cámara disciplinaria u organismo que haga sus veces, el cual se encargará de conocer y decidir sobre la contravención de las normas que regulen la conducta de los miembros de la respectiva bolsa. La cámara disciplinaria o el organismo que haga sus veces deberá tener autonomía e independencia respecto de la administración de la bolsa correspondiente;
Para asegurar el adecuado funcionamiento de la cámara disciplinaria o el órgano que haga sus veces, la bolsa respectiva deberá asignarle el presupuesto necesario para el cabal cumplimiento de sus obligaciones y funciones. El presupuesto respectivo deberá ser aprobado y asignado por la asamblea general de accionistas;
b) Los procedimientos que deben seguirse para la investigación y sanción de los sujetos pasivos de su función disciplinaria, los cuales se someterán a las reglas del artículo 32 de la Ley 964 de 2005;
c) Las sanciones aplicables a los sujetos pasivos de su función disciplinaria;
d) Criterios y parámetros para la imposición y graduación de sanciones.
COMPENSACION Y LIQUIDACIÓN.
ARTÍCULO 2.11.3.1.1 COMPENSACIÓN Y LIQUIDACIÓN DE OPERACIONES.
<Fuente original compilada: D. 1511/06 Art. 34> Las operaciones que se efectúen a través de una bolsa de bienes y productos agropecuarios, agroindustriales o de otros commodities deberán ser objeto de compensación y liquidación a través de una entidad legalmente autorizada para el efecto.
Las entidades que asuman la función de compensación y liquidación de las operaciones celebradas por conducto de las bolsas de bienes y productos agropecuarios, agroindustriales o de otros commodities, deberán prever mecanismos y procedimientos para verificar el traspaso de la propiedad de los bienes, productos o servicios agropecuarios, agroindustriales o de otros commodities, así como adelantar los trámites necesarios para atender el traspaso de los títulos, valores, derechos y contratos objeto de compensación y liquidación por conducto suyo, de conformidad con lo dispuesto en sus reglamentos.
De igual manera, deberán mantener el soporte documental necesario que sustente la compensación y liquidación de las operaciones realizadas por su conducto.
Tales documentos deberán contener como mínimo toda la información que permita identificar en forma inequívoca cada operación registrada y el estado de la compensación y liquidación efectuada. Los reglamentos respectivos señalarán la forma y contenido del soporte documental a que se refiere el presente artículo.
DISPOSICIONES COMUNES.
ADMINISTRACIÓN Y CONTROL DE RIESGOS.
ARTÍCULO 2.11.4.1.1 ORGANIZACIÓN.
<Fuente original compilada: D. 1511/06 Art. 35> Sin perjuicio de lo dispuesto para cada tipo de entidad en particular, las bolsas de bienes y productos agropecuarios, agroindustriales o de otros commodities, los miembros de las mismas y los organismos de compensación y liquidación de las operaciones que se realicen por intermedio de tales bolsas, deberán contar en todo momento con la organización y recursos adecuados para su correcto funcionamiento, y en especial con la infraestructura administrativa, física, tecnológica, operativa y de comunicaciones adecuada.
PARÁGRAFO. La infraestructura administrativa, física, tecnológica, operativa y de comunicaciones de las bolsas de bienes y productos agropecuarios, agroindustriales o de otros commodities deberá ser adecuada para que dichas bolsas puedan interconectarse.
ARTÍCULO 2.11.4.1.2 SISTEMAS DE ADMINISTRACIÓN Y CONTROL DE RIESGOS.
<Fuente original compilada: D. 1511/06 Art. 36> Las bolsas de bienes y productos agropecuarios, agroindustriales o de otros commodities, sus miembros y los organismos de compensación y liquidación de las operaciones que se celebren por conducto de estas bolsas deberán diseñar, elaborar y poner en funcionamiento sistemas eficientes, idóneos y adecuados de administración y control de riesgos, los cuales tendrán como objetivos la prevención de pérdidas, la protección de los recursos y bienes bajo el control de las entidades, sean estos propios o de sus clientes, así como propender porque la actuación en los mercados en que participen se desarrolle en las más amplias condiciones de transparencia, competitividad, corrección y seguridad.
Para dar cumplimiento a lo previsto en el inciso anterior, las entidades obligadas a la aplicación de esta disposición, deberán contar con una infraestructura que les permita la administración y control de los riesgos a los que se encuentran expuestas, su identificación, evaluación y monitoreo, así como la medición de los que sean cuantificables.
Dicha infraestructura deberá guardar proporción con la naturaleza y complejidad de los negocios, operaciones y actividades, así como con el volumen de las mismas.
Así mismo, la administración y control de riesgos hará parte de la estrategia institucional y del proceso de toma de decisiones de la respectiva entidad.
PARÁGRAFO. Las bolsas de bienes y productos agropecuarios, agroindustriales o de otros commodities, sus miembros y los organismos de compensación y liquidación de las operaciones que se celebren por conducto de estas bolsas, deberán documentar cuidadosamente las reglas, políticas, procedimientos y metodologías que correspondan a los sistemas de administración y control de riesgos.
Además, deberán mantener y conservar los soportes, informes, recomendaciones, observaciones, papeles de trabajo y demás documentos que evidencien la operación, funcionamiento y eficacia de los mencionados sistemas.
ARTÍCULO 2.11.4.1.3 RESPONSABLES DE LOS SISTEMAS DE ADMINISTRACIÓN Y CONTROL DE RIESGOS.
<Fuente original compilada: D. 1511/06 Art. 37> El diseño, elaboración, eficiencia y funcionamiento de los sistemas de administración y control de riesgos de las bolsas de bienes y productos agropecuarios, agroindustriales o de otros commodities, de sus miembros y de los organismos de compensación y liquidación de las operaciones que se celebren por conducto de estas bolsas, será responsabilidad de sus administradores.
Serán igualmente responsables, dentro del ámbito de sus funciones, los comités, unidades o grupos que se creen en cada entidad, con el propósito de cumplir alguna función o actividad relacionada con los sistemas de administración y control de riesgos.
<Fuente original compilada: D. 1511/06 Art. 38> Las juntas directivas serán responsables de la existencia de una infraestructura que, atendiendo la naturaleza, complejidad y volumen de los negocios, operaciones y actividades que desarrolle la respectiva entidad, resulte adecuada para la administración y control de riesgos, así como de que se disponga de los recursos y medios necesarios para tales propósitos, y, en todo caso, de lo siguiente:
1. Aprobar el sistema de administración y control de riesgos, el cual debe incluir la infraestructura necesaria para la identificación, gestión, medición, control, evaluación y manejo permanentes de todos los riesgos derivados de los negocios, operaciones y actividades en los que participe la entidad.
2. Adoptar y actualizar permanentemente las políticas de administración y control de riesgos, de acuerdo con la dinámica propia del mercado y de los negocios, operaciones y actividades que desarrolle la entidad, con identificación de los riesgos susceptibles de ser asumidos y sus límites.
3. Aprobar la apertura e incursión de la entidad en nuevos negocios, operaciones y actividades, con sujeción a las normas legales y estatutarias que resulten aplicables en cada caso.
4. Determinar y asignar el capital suficiente para soportar el riesgo global de la entidad, por áreas de negocio y demás fuentes de riesgo.
5. Asegurar que la organización cuenta con la infraestructura y los recursos humanos necesarios para garantizar la eficiente gestión del negocio, la adecuada separación de funciones, cuando sea del caso, y en general el funcionamiento adecuado de los sistemas de administración y control de riesgos dentro de la entidad.
6. Garantizar que el comité de riesgos de que trata el artículo 2.11.1.1.7 del presente decreto, sea independiente de los demás comités de la entidad, se encuentre conformado con personal funcionalmente separado de los demás comités de la entidad, y cumpla por lo menos con las siguientes funciones:
a) Las necesarias para una adecuada administración y control de riesgos, incluyendo la evaluación, control y monitoreo de los riesgos a los que se encuentra expuesta la entidad, así como su cuantificación, cuando sea del caso;
b) Las necesarias para garantizar la oportuna detección y reporte de desviaciones, errores e irregularidades en el cumplimiento de las políticas y procedimientos trazados por la junta directiva y por el comité, unidad o grupo responsable de la administración y control de riesgos;
c) Las demás actividades que resulten necesarias para el adecuado cumplimiento de sus funciones en relación con el sistema de administración y control de riesgos.
7. Establecer las políticas referidas al envío, el contenido y la periodicidad de los informes relacionados con la identificación, gestión, medición, control, liquidación, evaluación y manejo de los riesgos que asume la entidad, así como evaluar y aprobar tales informes.
8. Las demás funciones que en materia de administración y control de riesgos le sean asignadas estatutariamente.
PARÁGRAFO. Las bolsas de bienes y productos agropecuarios, agroindustriales o de otros commodities deberán acreditar a la Superintendencia Financiera de Colombia que cuentan con los medios necesarios que les permitan efectuar, de manera adecuada y suficiente, el seguimiento y control del cumplimiento, por parte de sus miembros, de lo establecido en sus sistemas de administración y control de riesgos.
Además, las bolsas de bienes y productos agropecuarios, agroindustriales o de otros commodities deberán verificar que las reglamentaciones vigentes, tanto para las operaciones que se celebren por conducto de las mismas, como para aquellas que se adelanten por el mecanismo de registro, aseguren el cumplimiento de las disposiciones previstas en el presente Titulo.
ARTÍCULO 2.11.4.1.5 SISTEMA DE ADMINISTRACIÓN Y CONTROL DE RIESGOS.
<Fuente original compilada: D. 1511/06 Art. 39> El sistema que se adopte para la administración y control de los riesgos deberá, de manera permanente, comprender la totalidad de los aspectos necesarios para la adecuada gestión y control integral de los mismos y, en todo caso, lo siguiente:
1. Políticas, procedimientos y límites de riesgo.
2. Criterios para la aceptación y la asunción de riesgos.
3. Identificación, evaluación y medición de los distintos tipos de riesgos.
4. Monitoreo y reporte del cumplimiento de los límites establecidos.
5. Determinación del capital suficiente para asumir la exposición al riesgo que se presente como consecuencia de los negocios, operaciones y actividades que se proponga desarrollar.
6. Guías para el desarrollo de nuevos productos y la inclusión de nuevas exposiciones al riesgo dentro de la estructura existente.
7. Aplicación de nuevos métodos de medición de riesgo a los productos existentes.
ARTÍCULO 2.11.4.1.6 PLANES DE CONTINGENCIA Y CONTINUIDAD.
<Fuente original compilada: D. 1511/06 Art. 40> Las bolsas de bienes y productos agropecuarios, agroindustriales o de otros commodities y sus organismos de compensación y liquidación, deberán diseñar y adoptar un plan de contingencia y continuidad del negocio para el manejo, procesamiento, difusión y conservación de la información de sus sistemas, en especial la relativa a las operaciones que se realicen, registren o asienten por su conducto.
Dicho plan deberá abarcar todos los elementos necesarios para el adecuado funcionamiento y operación de los sistemas de negociación, registro, compensación y liquidación de operaciones, cuya finalidad primordial es prevenir y, en caso de ser necesario, solucionar los problemas, fallas e incidentes, que se puedan presentar en cualquiera de los dispositivos tecnológicos y de comunicaciones que conforman tales sistemas, según corresponda.
PARÁGRAFO. Para estos efectos, se deberán combinar controles preventivos y correctivos, con estrategias de recuperación. La Superintendencia Financiera de Colombia podrá determinar los componentes mínimos, requisitos, condiciones y demás características del plan de contingencia y de continuidad del negocio de las bolsas de bienes y productos agropecuarios, agroindustriales o de otros commodities y sus organismos de compensación y liquidación.
Los miembros de las bolsas de bienes y productos agropecuarios, agroindustriales o de otros commodities deberán contar con planes de contingencia y continuidad del negocio, en los términos y condiciones que determine la respectiva bolsa en su reglamento.
PRINCIPIOS Y DEFINICIONES EN MATERIA DE CONFLICTOS DE INTERÉS E INFORMACIÓN PRIVILEGIADA.
ARTÍCULO 2.11.4.2.1 DEFINICIONES.
<Fuente original compilada: D. 1511/06 Art. 41> Para los efectos del presente Título se entiende por:
a) Información privilegiada: Se considera información privilegiada aquella que está sujeta a reserva, la que no ha sido dada a conocer al público existiendo deber para ello y aquella de carácter concreto que no ha sido dada a conocer al público y que de haberlo sido la habría tenido en cuenta un inversionista medianamente diligente y prudente al negociar los respectivos valores;
b) Conflicto de interés: Se entiende por conflicto de interés la situación en virtud de la cual una persona en razón de su actividad se enfrenta a distintas alternativas de conducta con relación a intereses incompatibles, ninguno de los cuales puede privilegiar en atención a sus obligaciones legales o contractuales.
Entre otras conductas, se considera que hay conflicto de interés cuando la situación llevaría a la escogencia entre (1) la utilidad propia y la de un cliente, o (2) de un tercero vinculado al agente y un cliente, o (3) la utilidad de una operación y la transparencia del mercado.
ARTÍCULO 2.11.4.2.2 PRINCIPIOS ORIENTADORES.
<Fuente original compilada: D. 1511/06 Art. 42> Para los efectos del presente Libro se consideran principios orientadores en relación con los conflictos de interés y el manejo de información privilegiada los siguientes:
a) Transparencia: Mediante el cual es posible una apropiada formación de precios y toma de decisiones, como consecuencia de niveles adecuados de eficiencia, de competitividad y de flujos de información oportunos, suficientes y claros, entre los agentes que en el intervienen;
b) Reserva: Mediante el cual se establece el deber de abstenerse de revelar aquella información sujeta a reserva;
c) Utilización adecuada de la información: Mediante el cual los agentes que intervienen en el mercado deben abstenerse de emplear información privilegiada para si o para un tercero;
d) Lealtad: Mediante el cual los agentes tienen la obligación de obrar simultáneamente de manera íntegra, franca, fiel y objetiva, con relación a todas las personas que intervienen de cualquier manera en el mercado.
Entre otras conductas, son expresión del principio de lealtad: (1) abstenerse de obrar frente a conflictos de interés; (2) abstenerse de dar información ficticia, incompleta o inexacta; (3) omitir conductas que puedan provocar por error la, compra o venta de valores, títulos, productos, servicios o contratos y (4) evitar participar bajo cualquier forma en operaciones no representativas del mercado;
e) Profesionalismo: los agentes que actúan en el mercado regulado por el presente Título, deben suministrar su consejo para la mejor ejecución del encargo con fundamento en información sería, completa y objetiva, y en función de las necesidades del cliente;
f) Adecuación a la ley: señala la exigencia de dar apropiado cumplimiento a todas las disposiciones legales, en especial a los deberes de información en ellas contenidos, subrayándose la importancia de comunicar al cliente cualquier circunstancia sobreviniente que pueda modificar su voluntad contractual.
OTRAS DISPOSICIONES.
ARTÍCULO 2.11.4.3.1 INVERSIONES.
<Fuente original compilada: D. 1511/06 Art. 43> Las bolsas de bienes y productos agropecuarios, agroindustriales o de otros commodities, sus miembros y los organismos de compensación y liquidación sólo podrán realizar aquellas inversiones que guarden relación directa con su objeto social.
Tratándose de bienes inmuebles la inversión será procedente cuando tenga como finalidad la utilización del bien para el funcionamiento de la entidad.
Las inversiones de capital que se pretenda realizar en otras sociedades o entidades requerirán de la autorización de la Superintendencia Financiera de Colombia.
PARÁGRAFO. Si alguna de las entidades a que se refiere este artículo recibiere bienes inmuebles en pago de deudas contraídas en el curso de sus negocios, por no existir medio distinto para su cancelación, tales bienes deberán ser enajenados dentro de los dos (2) años siguientes a la fecha de adquisición, cuando no fueren a utilizarse como sede para la realización de sus actividades. De esta situación deberá informarse de manera inmediata a la Superintendencia Financiera de Colombia.
ARTÍCULO 2.11.4.3.2 PROGRAMAS PUBLICITARIOS.
<Fuente original compilada: D. 1511/06 Art. 44> Las bolsas de bienes y productos agropecuarios, agroindustriales o de otros commodities, sus miembros y los organismos de compensación y liquidación se someterán, en sus programas publicitarios, a las normas vigentes al respecto para las bolsas de valores, los miembros de estas, y los organismos de compensación y liquidación del sector.
ARTÍCULO 2.11.4.3.3 MEDIDAS CAUTELARES.
<Fuente original compilada: D. 1511/06 Art. 45> Sin perjuicio de las demás facultades legales, corresponde a la Superintendencia Financiera de Colombia imponer una o varias de las medidas cautelares previstas en el numeral 1 del artículo 108 del Estatuto Orgánico del Sistema Financiero, a las personas naturales o jurídicas que realicen actividades exclusivas de las bolsas de bienes y productos agropecuarios, agroindustriales o de otros commodities, sus miembros o los organismos de compensación y liquidación, sin contar con la debida autorización.
<Fuente original compilada: D. 1511/06 Art. 46> Sólo las empresas debidamente autorizadas para el efecto podrán utilizar las palabras “bolsa de bienes y productos agropecuarios, agroindustriales o de otros commodities”, “bolsa de productos agropecuarios”, “bolsa agropecuaria”, “miembro de una bolsa de bienes y productos agropecuarios, agroindustriales o de otros commodities”, “comisionista agropecuario”, “organismo de compensación y liquidación de operaciones en bolsas de bienes y productos agropecuarios, agroindustriales o de otros commodities”, u otras equivalentes para identificar el ejercicio de las actividades previstas en el presente Libro.
El incumplimiento de lo dispuesto en el presente artículo será sancionado por la Superintendencia Financiera de Colombia, de conformidad con las disposiciones de la Ley 964 de 2005.
ARTÍCULO 2.11.4.3.5 NEGOCIACIONES POR PARTE DE ADMINISTRADORES.
<Fuente original compilada: D. 1511/06 Art. 47> Los administradores de las bolsas de bienes y productos agropecuarios, agroindustriales o de otros commodities, de sus miembros y de los organismos de compensación y liquidación a los que se refiere el presente Libro no podrán negociar, directamente ni por interpuesta persona, bienes, productos, servicios, títulos, valores, derechos o contratos que se negocien en la respectiva bolsa.
ARTÍCULO 2.11.4.3.6 RÉGIMEN DE TARIFAS.
<Fuente original compilada: D. 1511/06 Art. 48> En tanto la Superintendencia Financiera de Colombia regula de manera especial la materia, se aplicarán a los miembros de las bolsas de bienes y productos agropecuarios, agroindustriales o de otros commodities las normas sobre régimen de tarifas previstas en el artículo 2.9.24.1.1 y siguientes del presente Decreto o las normas que lo modifiquen, sustituyan o adicionen.
<Fuente original compilada: D. 1511/06 Art. 49> Las bolsas de bienes y productos agropecuarios, agroindustriales o de otros commodities y sus miembros, además de sus obligaciones generales de información resultantes de su inscripción en el Registro Nacional de Agentes del Mercado de Valores- RNAMV, deberán adoptar las medidas necesarias para suministrar al público en general, y a la Superintendencia Financiera de Colombia y a los inversionistas en particular, información suficiente, oportuna, y veraz sobre los mercados que administran y sobre las transacciones que se realicen por su conducto.
La Superintendecia Financiera de Colombia determinará el alcance, medio de difusión, contenido y periodicidad de la información que deberá ser suministrada de conformidad con el inciso anterior.
PARÁGRAFO. Sin perjuicio de lo previsto en el inciso anterior, las bolsas de bienes y productos agropecuarios, agroindustriales o de otros commodities, deberán garantizar, a través de medios idóneos que permitan su difusión entre el público en general, que se mantenga informado a este sobre los siguientes aspectos:
1. El nombre de las entidades que tienen calidad de miembros indicando si su estado es activo o inactivo o si ha sido objeto de intervención por parte de la Superintendencia Financiera de Colombia.
2. Las sanciones impuestas a sus miembros, en especial las consistentes en suspensión o expulsión de la bolsa respectiva.
3. Las operaciones realizadas por su conducto.
ARTÍCULO 2.11.4.3.8 OPERACIONES CON OTROS COMMODITIES.
<Fuente original compilada: D. 1511/06 Art. 50> Las bolsas de bienes y productos agropecuarios, agroindustriales o de otros commodities, sus miembros y los organismos de compensación y liquidación, sólo podrán realizar operaciones con commodities diferentes a los actualmente autorizados, previa aprobación de la Superintendencia Financiera de Colombia.
NORMAS APLICABLES A ENTIDADES ADMINISTRADORAS DE SISTEMAS DE COMPENSACIÓN Y LIQUIDACIÓN.
<Fuente original compilada: D. 1456/07 Art. 1o.> De conformidad con lo previsto en el artículo 9o de la Ley 964 de 2005, podrán administrar sistemas de compensación y liquidación de operaciones sobre valores las entidades constituidas exclusivamente para tal fin, las cámaras de riesgo central de contraparte, las bolsas de valores, las bolsas de bienes y productos agropecuarios, agroindustriales o de otros commodities, el Banco de la República y los depósitos centralizados de valores.
Las entidades que se constituyan exclusivamente para administrar sistemas de compensación y liquidación de operaciones sobre valores, deberán establecerse como sociedades anónimas mercantiles de objeto exclusivo y cumplir con lo establecido en los artículos 53 del Estatuto Orgánico del Sistema Financiero yen el artículo 5.3.1.1.3 del presente decreto.
PARÁGRAFO. La compensación y liquidación de las operaciones efectuadas en las bolsas de bienes y productos agropecuarios, agroindustriales o de otros commodities se regirá por lo establecido en el Libro 11 de la Parte 2 del presente decreto. No obstante, la actividad de compensación y liquidación de operaciones sobre valores que llegaren a realizar se someterá a lo previsto en el presente Libro.
ARTÍCULO 2.12.1.1.2 REGLAMENTO.
<Fuente original compilada: D. 1456/07 Art. 2o.> Las entidades que administren sistemas de compensación y liquidación de operaciones sobre valores deberán adoptar un reglamento de funcionamiento, el cual deberá contener, cuando menos, provisiones relacionadas con lo siguiente:
a) Características básicas del sistema de compensación y liquidación;
b) Participantes autorizados, criterios de acceso aplicables y mecanismos de solución de controversias;
Los criterios de acceso para los participantes deberán ser objetivos, públicos, equitativos, transparentes y basados en consideraciones legales o de prevención y mitigación de los riesgos de crédito, legal, de liquidez, operativo y sistémico;
c) Esquemas y mecanismos que garanticen una información clara, transparente y objetiva a los participantes, incluyendo aquella que les permita identificar los riesgos en que incurren al utilizar el sistema;
d) Tipos de órdenes de transferencia que podrán ser recibidas y aceptadas por dicho sistema, los mecanismos establecidos para su compensación y los activos que se utilizarán para su liquidación;
e) El procedimiento y los requisitos o controles de riesgo que deberán cumplir las órdenes de transferencia enviadas al sistema para considerarse aceptadas.
Dichos controles de riesgo deberán permitir que se prevengan o mitiguen, de forma eficaz, los riesgos de crédito, de liquidez, operacional, sistémico y legal;
f) El deber que tienen los participantes de disponer de los recursos y valores suficientes para garantizar la liquidación de las órdenes de transferencia aceptadas;
g) El deber de la entidad administradora y de los participantes de contar con planes de contingencia, de continuidad del negocio y de seguridad informática, para garantizar la continuidad de su operación en el sistema de compensación y liquidación;
h) Las obligaciones y responsabilidades de la entidad administradora del sistema de compensación y liquidación y de sus participantes;
i) Los estándares operativos y técnicos con que cuenta la entidad administradora del sistema, así como aquellos que deberán tener los participantes del mismo, incluyendo los procedimientos de contingencia y de continuidad del negocio, capaces de permitir el procesamiento y la terminación de la compensación y liquidación oportunamente;
j) El manejo de la confidencialidad y la provisión de información a los participantes.
Igualmente, los compromisos que adquiere la entidad administradora para proteger la información recibida y prevenir su modificación, daño o pérdida;
k) La política general en materia de cobro de comisiones a los participantes por la utilización del servicio, y los mecanismos de información a los participantes sobre las mismas;
l) <Literal modificado el artículo 41 del Decreto 1745 de 2020. El nuevo texto es el siguiente:> Reglas y procedimientos para asegurar que la confirmación de las órdenes de transferencia de dinero o valores ocurra tan pronto como sea posible después de celebrada la respectiva operación y, en todo caso, el mismo día de esta (t + 0), excepto cuando el cliente final sea un participante indirecto persona jurídica del exterior autorizada en los términos del artículo 2.12.1.1.3 del presente decreto, en cuyo caso la confirmación podrá realizarse al día hábil siguiente (t+1) o en aquellos eventos en los cuales la confirmación deba efectuarse en un plazo distinto en virtud del protocolo de que trata el Título 5 del Libro 35 de la Parte 2 del presente decreto.
m) <Literal modificado por el artículo 5 del Decreto 2219 de 2017. El nuevo texto es el siguiente:> Mecanismos que serán utilizados para la liquidación de las operaciones de sus participantes en cuentas de depósito en el Banco de la República y en cuentas de títulos en los depósitos centralizados de valores. Excepcionalmente podrán utilizarse para la liquidación cuentas en otras entidades bancarias siempre y cuando impliquen un riesgo de crédito o de liquidez nulo o ínfimo.
Cualquier modificación al respecto deberá ser informada a la Superintendencia Financiera de Colombia dentro de los cinco (5) días hábiles siguientes a la fecha en que esta se efectúe. En todo caso, la liquidación de las operaciones deberá realizarse a más tardar en la fecha acordada inicialmente por las partes para el cumplimiento de la operación que les da origen, a menos que tal fecha corresponda a un día no hábil, caso en el cual la liquidación se efectuará en el día hábil siguiente o en aquellos eventos en los cuales la liquidación deba efectuarse en un plazo distinto en virtud del protocolo de que trata el Título 5 Libro 35 Parte 2 del presente decreto.
n) Las relaciones e interacciones que tenga el sistema de compensación y liquidación de operaciones sobre valores con otros sistemas de la misma clase, con sistemas de negociación o de registro de operaciones sobre valores y con sistemas de pago;
o) Las consecuencias originadas en el incumplimiento de los reglamentos, las cuales podrán consistir en sanciones administrativas o pecuniarias. Para tal efecto, se podrán establecer procedimientos para la suspensión o exclusión de un participante;
p) Reglas y procedimientos aplicables en los casos de incumplimiento de un participante, de medidas judiciales o administrativas, tales como órdenes de cesación de pagos, medidas cautelares, órdenes de retención o similares, así como las derivadas de normas de naturaleza concursal, de toma de posesión, disolución, liquidación o acuerdos globales de reestructuración de deudas, que tengan por objeto prohibir, suspender o de cualquier forma limitar los pagos que deban efectuarse a través de dicho sistema.
PARÁGRAFO 1. Las entidades que administren sistemas de compensación y liquidación de operaciones sobre valores deberán contar con manuales de operación, los cuales deberán incluir, además de los aspectos operativos, los horarios de funcionamiento del sistema y las condiciones para su modificación.
PARÁGRAFO 2. El reglamento y sus modificaciones deberán someterse a la aprobación previa por parte de la Superintendencia Financiera de Colombia, sin perjuicio de lo previsto en el inciso 2o del literal m) del presente artículo.
PARÁGRAFO 3. Los reglamentos de los sistemas de compensación y liquidación de valores y los manuales de operación serán parte integrante de los acuerdos o contratos de vinculación que suscriban los participantes, y en esa medida, se entienden conocidos y aceptados por estos, por las personas vinculadas a ellos y por las personas por cuenta de las cuales se realicen operaciones en dichos sistemas. En consecuencia, en ningún caso servirá como excusa o defensa la ignorancia de dichos reglamentos y manuales, para abstenerse de cumplir sus disposiciones o para justificar su incumplimiento.
ARTÍCULO 2.12.1.1.3 PARTICIPANTES EN LOS SISTEMAS DE COMPENSACIÓN Y LIQUIDACIÓN.
<Fuente original compilada: D. 1456/07 Art. 3o.> Podrán participar de manera directa en un sistema de compensación y liquidación de operaciones sobre valores, las personas jurídicas que prevea el reglamento de dicho sistema, en las condiciones y con el cumplimiento de los requisitos establecidos en el mismo, siempre que se trate de entidades vigiladas por la Superintendencia Financiera de Colombia, entidades públicas que estén legalmente facultadas para utilizar sistemas de negociación para realizar sus operaciones de tesorería, entidades del exterior que desarrollen actividades en el sistema de compensación y liquidación de pagos y de valores del respectivo país, así como los organismos internacionales y los bancos centrales del exterior.
Lo anterior se entenderá sin perjuicio del cumplimiento de las disposiciones cambiarias y de inversión extranjera.
ARTÍCULO 2.12.1.1.4 DEBER DE SUMINISTRO DE INFORMACIÓN.
<Fuente original compilada: D. 1456/07 Art. 4o.> Las entidades administradoras y participantes de los sistemas de compensación y liquidación de operaciones sobre valores deberán suministrar a la Superintendencia Financiera de Colombia, a las autoridades competentes y a los organismos autorreguladores la información que requieran en cumplimiento de sus funciones.
ARTÍCULO 2.12.1.1.5 CONFIRMACIÓN DE LAS ÓRDENES DE TRANSFERENCIA DE DINERO O VALORES.
<Fuente original compilada: D. 1456/07 Art. 5o.> Se entenderá que una orden de transferencia cursada al sistema de compensación y liquidación ha sido confirmada cuando las partes que han intervenido en la operación que le da origen, hayan transmitido los datos de la operación al sistema de compensación y liquidación y este haya recibido y casado dichas comunicaciones.
Los reglamentos de los sistemas de compensación y liquidación podrán establecer que la confirmación de órdenes de transferencia, correspondientes a una operación celebrada en un sistema de negociación de valores o registrada en un sistema de registro de operaciones sobre valores, se entienda producida por virtud de la transmisión de la información sobre la adjudicación o cierre de la respectiva operación que efectúe el respectivo sistema al sistema de compensación y liquidación de valores.
<Inciso modificado el artículo 42 del Decreto 1745 de 2020. El nuevo texto es el siguiente:> Las órdenes de transferencia confirmadas no podrán anularse o modificarse por el ordenante, salvo que la entidad administradora del sistema lo autorice, atendiendo razones como el error material, problemas técnicos u otras análogas.
ARTÍCULO 2.12.1.1.6 ACEPTACIÓN DE LAS ÓRDENES DE TRANSFERENCIA DE DINERO O VALORES.
<Fuente original compilada: D. 1456/07 Art. 6o.> Las órdenes de transferencia de dinero o valores que ingresen a un sistema de compensación y liquidación de operaciones sobre valores se entenderán aceptadas y, en consecuencia, serán firmes e irrevocables de conformidad con lo dispuesto en el artículo 10 de la Ley 964 de 2005, cuando hayan cumplido los requisitos y controles de riesgo establecidos en el reglamento del mismo sistema.
<Inciso modificado el artículo 43 del Decreto 1745 de 2020. El nuevo texto es el siguiente:> Tales requisitos y controles deberán referirse, como mínimo, a los riesgos de crédito, de liquidez, operacional, sistémico y legal, tal como están definidos en el artículo 2.17.1.1.1 del presente decreto y en las normas que lo modifiquen, adicionen o sustituyan.
Ningún sistema de compensación y liquidación podrá tener como aceptada una orden de transferencia antes de que se haya realizado la confirmación correspondiente, por uno o todos los participantes en la respectiva operación, según prevea el reglamento.
En un sistema que compense y liquide operaciones bajo la modalidad de liquidación bruta, se entenderá que una orden de transferencia ha cumplido los controles de riesgo y, por lo tanto, que ha sido aceptada, solamente a partir del momento en que se haya verificado la existencia de saldos suficientes en la cuenta de valores y, de ser el caso, en la cuenta de dinero de los participantes, y se hayan efectuado los respectivos asientos contables, sin perjuicio del cumplimiento de los otros controles de riesgo previstos en el reglamento del sistema.
En un sistema que compense y liquide operaciones bajo la modalidad de liquidación neta diferida, se entenderá que una orden de transferencia ha sido aceptada cuando haya cumplido a cabalidad con todos los requisitos y controles de riesgo establecidos en el reglamento del respectivo sistema, tales como la comprobación de la disponibilidad en las líneas de crédito bilaterales y multilaterales (límites operacionales), la idoneidad y la suficiencia de las garantías constituidas para respaldar la operación, la disponibilidad de saldo en las líneas de crédito ofrecidas por proveedores de liquidez y las demás medidas de mitigación de riesgo previstas en dicho reglamento.
Cuando un sistema de compensación y liquidación de valores que haya aceptado una orden de transferencia (sea de valores o de dinero), requiera utilizar los servicios de otro(s) sistema(s) de compensación y liquidación de operaciones sobre valores o de sistemas de pago para realizar o culminar la liquidación de la correspondiente orden de transferencia, este(os) último(s) estará(n) obligado(s) a recibir la respectiva orden de transferencia, para efectos de continuar con el proceso de liquidación, incluso cuando el participante respectivo o la persona por cuenta de la cual este actúe haya sido objeto de medidas judiciales o administrativas, tales como órdenes de cesación de pagos, medidas cautelares, órdenes de retención, congelamiento o bloqueo de fondos o similares, así como las derivadas de normas de naturaleza concursal, de toma de posesión, disolución, liquidación o acuerdos globales de reestructuración de deudas, que tengan por objeto prohibir, suspender o de cualquier forma limitar los pagos que deban efectuarse a través de dicho sistema, sin que ello signifique para el (los) administrador(es) de tal(es) sistema(s) garantizar el cumplimiento efectivo de la(s) respectiva(s) orden(es) de transferencia. Estas órdenes de transferencia tampoco podrán anularse o modificarse por el ordenante, salvo que la entidad administradora del correspondiente sistema lo autorice, atendiendo razones como el error material, problemas técnicos u otras análogas.
En el evento descrito en el inciso anterior, el sistema que reciba una orden de transferencia de otro sistema de compensación y liquidación no estará obligado a verificar el cumplimiento de los requisitos establecidos por este último para la aceptación de dicha orden de transferencia.
ARTÍCULO 2.12.1.1.7 ACEPTACIÓN DE ÓRDENES DE TRANSFERENCIA ORIGINADAS EN OPERACIONES A PLAZO.
<Fuente original compilada: D. 1456/07 Art. 7o.> Las órdenes de transferencia de dinero o valores originadas en operaciones a plazo, reporto o repos, simultáneas, transferencia temporal de valores, podrán ser recibidas y aceptadas para liquidación en un sistema de compensación y liquidación el día del cumplimiento de cada una de las órdenes de transferencia que involucre la respectiva operación, siempre que en esa fecha se den las condiciones previstas en el artículo anterior, según el caso, y se cumplan con los demás requisitos previstos en el reglamento del respectivo sistema de compensación y liquidación.
ARTÍCULO 2.12.1.1.8 GARANTÍAS.
<Fuente original compilada: D. 1456/07 Art. 8o.> Las garantías entregadas por cuenta de un participante, a un sistema de compensación y liquidación de operaciones, sean propias o de un tercero, que estén destinadas a asegurar el cumplimiento de la liquidación efectuada por dicho sistema, se encuentran protegidas en los términos dispuestos por los artículos 10 y 11 de la Ley 964 de 2005, a partir del momento de la constitución, incremento o sustitución de las garantías y hasta cuando se cumplan enteramente las obligaciones derivadas de las operaciones garantizadas.
En consecuencia, las órdenes de transferencia de dinero o valores que envíen los participantes o el administrador de un sistema de compensación y liquidación de operaciones sobre valores al mismo sistema, a un depósito centralizado de valores o al sistema de pagos involucrado, en los términos indicados en su respectivo reglamento y manual de procedimientos operativos, para constituir, modificar, ampliar, sustituir o ejecutar garantías destinadas a asegurar el cumplimiento de la liquidación efectuadas por dichos sistemas, tendrán la misma protección contenida en los artículos 10 y 11 de la Ley 964 de 2005 y en este Libro, desde el momento de la constitución de las garantías hasta tanto no se cumplan enteramente las obligaciones derivadas de las operaciones u órdenes garantizadas.
<Fuente original compilada: D. 1456/07 Art. 9o.> La entidad administradora de un sistema de compensación y liquidación de operaciones sobre valores que sea notificada por la autoridad u organismo competente sobre el embargo, secuestro, confiscación, comiso, congelamiento o bloqueo de fondos, orden de retención o cualquier otra medida cautelar; la orden de suspensión de pagos derivada de la toma de posesión de los bienes, activos y haberes; la decisión de iniciar la liquidación forzosa o voluntaria, o la admisión o inicio de cualquier otro proceso concursal o procedimiento universal dereestructuración de deudas, que recaiga sobre un participante del respectivosistema o una persona por cuenta de la cual este actúe, deberá continuar con el trámite normal de la compensación y la liquidación de las órdenes de transferencia de dinero o valores que involucren al respectivo participante, incluida la ejecución de las garantías correspondientes, siempre que hayan sido aceptadas por el sistema con anterioridad a dicha notificación.
Así mismo, el juez, liquidador, agente especial, administrador provisional, síndico o funcionario encargado de adelantar el procedimiento o de aplicar la medida de que se trate, no podrá omitir o impedir el cumplimiento de cualquiera de las operaciones mencionadas.
Si las operaciones relacionadas con tales órdenes de transferencia no pudieran ser liquidadas en la fecha estipulada, por falta de dinero o de valores disponibles suficientes en cualquiera de las cuentas de liquidación del participante que haya sido objeto de alguna de las medidas descritas en este artículo, o por otra razón, las operaciones respectivas se considerarán incumplidas, se reportarán como tal a las partes, al sistema de negociación del cual proceda, si fuere el caso, a la entidad de supervisión competente y al organismo o autoridad que haya decretado la medida o se encuentre adelantando el proceso concursal. En dicho caso, se ejecutarán las garantías que fueren aplicables y las operaciones incumplidas remanentes quedarán excluidas de la compensación y liquidación por el sistema, quedando a cargo del respectivo acreedor su cobro judicial o extrajudicial, o su reclamación dentro de la liquidación o proceso concursal de que se trate, para solicitar allí el reconocimiento y pago de sus créditos, de acuerdo con los procedimientos y las normas que sean aplicables.
Para tal efecto los sistemas de compensación y liquidación de operaciones emitirán el certificado en el que consten las operaciones incumplidas.
Una vez notificada a las entidades administradoras de los sistemas de compensación y liquidación de operaciones sobre valores la orden de suspensión de pagos derivada de la toma de posesión de los bienes, activos y haberes, el inicio de la liquidación forzosa o voluntaria, o la admisión o inicio de cualquier otro proceso concursal o procedimiento universal de reestructuración de deudas, los respectivos sistemas se abstendrán de recibir órdenes de transferencia que involucren al participante objeto de la misma, diferentes a las que se refiere el inciso 5o del artículo 2.12.1.1.6 de este decreto. Así mismo, se rechazarán aquellas órdenes de transferencia de dinero o valores que habiendo sido enviadas al sistema en forma previa a la citada notificación, no hubieran sido aún aceptadas.
ARTÍCULO 2.12.1.1.10 NOTIFICACIÓN DE DECISIONES JUDICIALES Y ADMINISTRATIVAS.
<Fuente original compilada: D. 1456/07 Art. 10> La notificación de una medida judicial o administrativa de embargo, secuestro, confiscación, comiso, congelamiento o bloqueo de fondos, orden de retención o cualquier otra medida cautelar se entenderá efectuada cuando la autoridad que haya adoptado la medida le informe a la entidad administradora del sistema de compensación y liquidación de operaciones sobre valores, de acuerdo con las normas propias que regulen el respectivo procedimiento.
En el caso de medidas derivadas de procedimientos de naturaleza concursal, toma de posesión, disolución, liquidación o acuerdos globales de reestructuración de deudas, la notificación deberá hacerse de manera personal al representante legal de la entidad administradora del sistema de compensación y liquidación de operaciones sobre valores.
ARTÍCULO 2.12.1.1.11 DISPOSICIÓN TRANSITORIA.
<Fuente original compilada: D. 1456/07 Art. 12> Sin perjuicio de lo indicado en inciso siguiente, las bolsas de valores, las bolsas de bienes y productos agropecuarios, agroindustriales o de otros commodities, el Banco de la República y los depósitos centralizados de valores que al 30 de abril de 2007 se encuentren administrando sistemas que puedan ser calificados como sistemas de compensación y liquidación de operaciones sobre valores, podrán seguir administrando dichos sistemas.
No obstante, tales entidades deberán adecuar sus reglamentos, manuales operativos y modelos de contrato a lo dispuesto en este decreto y remitirlos para aprobación a la Superintendencia Financiera de Colombia a más tardar el 30 de abril de 2008. Si después de tal fecha no se hubiesen remitido, no podrán continuar adelantando la actividad de compensación y liquidación de valores.
NORMAS APLICABLES A LAS CÁMARAS DE RIESGO CENTRAL DE CONTRAPARTE.
ARTÍCULO 2.13.1.1.1 CONSTITUCIÓN E INSCRIPCIÓN DE LAS CÁMARAS DE RIESGO CENTRAL DE CONTRAPARTE.
<Fuente original compilada: D. 2893/07 Art. 1o.> Las cámaras de riesgo central de contraparte deberán establecerse como sociedades anónimas de objeto exclusivo y cumplir con lo dispuesto en el artículo 53 del Estatuto Orgánico del Sistema Financiero para su constitución. Las cámaras de riesgo central de contraparte estarán obligadas a incluir en su razón social y nombre comercial la denominación “cámara de riesgo central de contraparte”, seguida de la abreviatura S. A. Ninguna otra persona o entidad podrá utilizar tales denominaciones o cualquier otra que induzca a confusión con las mismas ni realizar la actividad prevista en el literal a) del artículo 15 de la Ley 964 de 2005.
Así mismo, estas sociedades deberán inscribirse en el Registro Nacional de Agentes del Mercado de Valores - RNAMV en su calidad de proveedores de infraestructura del mercado de valores, en los términos y condiciones establecidos en el presente decreto.
Las actividades que de conformidad con la ley corresponde desarrollar a las Cámaras de Riesgo Central de Contraparte podrán realizarse respecto de valores nacionales o extranjeros, inscritos o no en el Registro Nacional de Valores y Emisores - RNVE, derivados, contratos, productos o bienes transables, incluyendo los que por su naturaleza se negocien a través de bolsas de bienes y productos agropecuarios, agroindustriales o de otros commodities. Las Cámaras de Riesgo Central de Contraparte también podrán realizar las actividades que les permite la ley en relación con divisas, de conformidad con la regulación que para el efecto expida la Junta Directiva del Banco de la República.
PARÁGRAFO. Las actividades que adelante la Cámara de Riesgo Central de Contraparte como contraparte central podrán realizarse en relación con las operaciones que se efectúen tanto en el mercado mostrador como en los sistemas de negociación o cualquier otro mecanismo autorizado por los reglamentos de la Cámara de Riesgo Central de Contraparte.
PARÁGRAFO 2o. <Parágrafo adicionado por el artículo 6 del Decreto 2219 de 2017. El nuevo texto es el siguiente:> Las cámaras de riesgo central de contraparte podrán celebrar operaciones en el mercado mostrador sobre valores de renta variable, que tengan como contraparte intermediarios del mercado de valores autorizados para la negociación en bolsas de valores. Estas operaciones podrán realizarse por cuenta propia o por cuenta de sus miembros o contrapartes, con el único objeto de gestionar el cumplimiento de las operaciones que las cámaras de riesgo central de contraparte acepten para su compensación y liquidación, en los términos establecidos en su reglamento.
ARTÍCULO 2.13.1.1.2 CAPITAL MÍNIMO.
<Fuente original compilada: D. 2893/07 Art. 2o.> El monto mínimo de capital que se deberá acreditar para solicitar la constitución de una Cámara de Riesgo Central de Contraparte es de diecinueve mil millones de pesos ($19.000.000.000), el cual podrá constituirse así:
Al inicio del primer año de funcionamiento, mínimo la suma de diez mil millones de pesos ($10.000.000.000); al inicio del segundo año de funcionamiento, mínimo la suma de diecinueve mil millones de pesos ($19.000.000.000).
Los montos mínimos de capital aquí previstos deberán mantenerse permanentemente por la cámara de riesgo central de contraparte.
PARÁGRAFO. Los montos para la constitución de una Cámara de Riesgo Central de Contraparte arriba indicados, se ajustarán anualmente en forma automática en el mismo sentido y porcentaje en que varíe el índice de precios al consumidor que suministre el Dane. El valor resultante se aproximará al múltiplo en millones de pesos inmediatamente superior. El primer ajuste se realizará en enero de 2008 tomando como base la variación del índice de precios al consumidor durante el año 2007. Dicho capital se calculará en la forma indicada en el numeral 4 del artículo 80 del Estatuto Orgánico del Sistema Financiero.
<Fuente original compilada: D. 2893/07 Art. 3o.> Además de las entidades indicadas en el artículo 16 de la Ley 964 de 2005, sólo podrán ser socios de las Cámaras de Riesgo Central de Contraparte:
1. Las bolsas de futuros y opciones y otros instrumentos derivados financieros y sus intermediarios.
2. Las sociedades administradoras de los sistemas de intercambio comerciales del mercado mayorista de energía eléctrica y las sociedades administradoras de sistemas transaccionales de energía y de contratos y derivados financieros que tengan como subyacente energía eléctrica o gas combustible, y sus intermediarios.
3. Las sociedades que realicen la compensación y liquidación de valores, divisas, de bienes y productos agropecuarios, agroindustriales o de otros commodities, de contratos de futuros y opciones y otros instrumentos derivados financieros, incluidos aquellos que tengan como subyacente energía eléctrica o gas combustible.
4. Las entidades administradoras de sistemas de negociación de activos o bienes susceptibles de compensarse y liquidarse a través de dichas cámaras, así como los intermediarios que actúen en dichos sistemas.
PARÁGRAFO 1. <Parágrafo modificado por el artículo 1 del Decreto 32 de 2015. El nuevo texto es el siguiente:> Ninguna persona podrá ser beneficiario real de un número de acciones que representen más del diez por ciento (10%) del capital social de una Cámara de Riesgo Central de Contraparte.
No obstante, las bolsas de valores, los sistemas de negociación de valores, las bolsas de futuros y opciones, las bolsas de bienes y productos agropecuarios, agroindustriales o de otros commodities, los depósitos centralizados de valores y las sociedades administradoras de sistemas de intercambio comerciales del mercado mayorista de energía eléctrica, podrán tener la calidad de beneficiario real de un número de acciones hasta por un valor equivalente al cien por ciento (100%) del capital social de una Cámara de Riesgo Central de Contraparte.
PARÁGRAFO 2. <Parágrafo modificado por el artículo 2 del Decreto 32 de 2015. El nuevo texto es el siguiente:> En todo caso, independientemente de la composición accionaria del capital social de la entidad, esta deberá dar igual tratamiento a cualquier cliente o potencial cliente en los siguientes términos:
1. Transparencia en Precios y Tarifas: La correspondiente Cámara de Riesgo Central de Contraparte deberá otorgar y garantizar la mayor transparencia a los clientes o potenciales clientes sobre los servicios prestados. La Junta Directiva de la Cámara de Riesgo Central de Contraparte definirá las políticas de definición y divulgación de sus tarifas, cumpliendo lo establecido en el parágrafo 3 de este artículo.
2. Desagregación de servicios: Los clientes tendrán la posibilidad de escoger cada servicio de la cadena de servicios con una entidad distinta. La correspondiente Cámara de Riesgo Central de Contraparte no podrá obligar a un cliente a adquirir varios servicios al mismo tiempo, lo cual no impedirá que las entidades integradas ofrezcan servicios conjuntos ofreciendo algún tipo de beneficio en términos de precios y tarifas, los cuales serán de libre elección por parte de los clientes.
3. Interoperabilidad. La Cámara de Riesgo Central de Contraparte deberá garantizar a cualquier cliente el acceso a su plataforma y asegurar la interoperabilidad entre los agentes o partes que intervienen en la cadena de servicios, incluyendo la negociación de valores. De igual manera, los agentes o partes que intervienen en la cadena de servicios deberán garantizarle el libre acceso a la Cámara de Riesgo Central de Contraparte, sin importar su composición accionaria.
La Cámara de Riesgo Central de Contraparte no podrá establecer prácticas discriminatorias frente a clientes o potenciales clientes, independientemente del sistema de negociación donde realicen sus operaciones. Sin embargo establecerá los requisitos mínimos de acceso basados en riesgos.
PARÁGRAFO 3o. <Parágrafo modificado por el artículo 3 del Decreto 32 de 2015. El nuevo texto es el siguiente:> La metodología para determinar los precios y tarifas, será aprobada por la Junta Directiva de la Cámara de Riesgo Central de Contraparte, de conformidad con las políticas definidas en cumplimiento del numeral 1 del parágrafo 2o del presente artículo. Dichas metodologías deberán estar disponibles para el miembro que las solicite.
<Fuente original compilada: D. 2893/07 Art. 4o.> Al menos el cuarenta por ciento (40%) de los miembros de la Junta Directiva de las cámaras de riesgo central tendrán la calidad de independientes.
Para efectos de lo dispuesto en el presente Libro, se entenderá por miembro independiente, aquella persona que no sea:
1. Funcionario o directivo de la respectiva cámara de riesgo central de contraparte o de alguna de sus filiales, subsidiarias o controlantes, incluyendo aquellas personas que hubieren tenido tal calidad durante el año inmediatamente anterior a la designación, salvo que se trate de la reelección de una persona independiente.
2. Accionistas que directamente o en virtud de convenio dirijan, orienten o controlen la mayoría de los derechos de voto de la respectiva cámara de riesgo central de contraparte o que determinen la composición mayoritaria de los órganos de administración, de dirección o de control de la misma.
3. Funcionario, directivo o accionista con participación igual o superior al cinco por ciento (5%) de una contraparte de la cámara de riesgo central de contraparte, así como de su matriz, controlante o subordinada, incluyendo aquellas personas que hubieran tenido tal calidad durante el año inmediatamente anterior a la designación.
4. Socio o empleado de asociaciones o sociedades que presten servicios de asesoría o consultoría a la respectiva cámara de riesgo central de contraparte o a las empresas que pertenezcan al mismo grupo económico del cual forme parte esta, cuando los ingresos por dicho concepto representen para aquellas, el veinte por ciento (20%) o más de sus ingresos operacionales.
5. Funcionario o directivo de una fundación, asociación o sociedad que reciba donativos importantes de la cámara de riesgo central de contraparte o de un accionista de la misma.
Se consideran donativos importantes aquellos que representen más del veinte por ciento (20%) del total de donativos recibidos por la respectiva institución.
6. <Numeral modificado por el artículo 4 del Decreto 32 de 2015. El nuevo texto es el siguiente:> Administrador de una entidad en cuya junta directiva participe un representante legal de la respectiva Cámara de Riesgo Central de Contraparte.
7. Persona que reciba de la cámara de riesgo central de contraparte alguna remuneración diferente a los honorarios como miembro de la junta directiva, del comité de riesgos o de cualquier otro comité creado por la junta directiva.
8. Cónyuge, compañero permanente o pariente hasta el segundo grado de consanguinidad, primero de afinidad o primero civil de alguna de las personas mencionadas en los literales anteriores del presente artículo.
PARÁGRAFO 1. Los miembros independientes serán elegidos en votaciones separadas de las de los demás miembros de la junta directiva atendiendo el procedimiento del cuociente electoral.
PARÁGRAFO 2. Las cámaras de riesgo central de contraparte podrán disponer en sus estatutos que no existan suplencias en las juntas directivas.
PARÁGRAFO 3. Las cámaras de riesgo central de contraparte podrán establecer en los estatutos sociales cualquier número de miembros de sus juntas directivas, aun cuando inscriban en el Registro Nacional de Valores y Emisores -RNVE valores emitidos por ellas.
PARÁGRAFO 4. Las condiciones de independencia de los miembros de junta directiva, tanto principales como suplentes, deberán mantenerse durante todo el tiempo del ejercicio del cargo.
PARÁGRAFO 5. <Parágrafo adicionado por el artículo 5 del Decreto 32 de 2015. El nuevo texto es el siguiente:> En todo caso, en los eventos que una persona tenga la calidad de beneficiario real de un número de acciones que represente un porcentaje superior al cincuenta por ciento (50%) del capital social de una Cámara de Riesgo Central de Contraparte, el porcentaje de independencia de los miembros de la Junta Directiva será el establecido en el inciso 1 del presente artículo. En adición, se deberá tener como mínimo un veinte por ciento (20%) de miembros de la Junta Directiva que sean representantes de los miembros liquidadores de la respectiva Cámara de Riesgo Central de Contraparte, independientemente de su condición de accionistas.
ARTÍCULO 2.13.1.1.5 COMITÉS DE LAS CÁMARAS DE RIESGO CENTRAL DE CONTRAPARTE.
<Fuente original compilada: D. 2893/07 Art. 5o.> Las cámaras de riesgo central de contraparte, además de los órganos sociales que de conformidad con las normas mercantiles se encuentren obligadas a conformar, deberán contar como mínimo con los siguientes comités, establecidos por la junta directiva:
1. Comité de riesgos, el cual tendrá como finalidad evaluar las políticas, mecanismos y procedimientos de riesgos implementados por la cámara de riesgo central de contraparte, así como recomendar las medidas o ajustes a que haya lugar.
2. Comité de auditoría, el cual tendrá como finalidad verificar que el sistema de control interno de la cámara de riesgo central de contraparte funcione de manera eficaz, así como el cumplimiento de las funciones de auditoría, sin perjuicio de las funciones atribuidas al revisor fiscal.
PARÁGRAFO 1. Las cámaras de riesgo central de contraparte deberán prever en sus estatutos las disposiciones que regirán el funcionamiento y la conformación de los comités antes señalados, así como lo relacionado con la elección de sus miembros.
Los miembros de los comités señalados en este artículo deberán tener las calidades técnicas y la experiencia suficientes para definir los criterios y procedimientos para el manejo de riesgos.
PARÁGRAFO 2. Los comités previstos en este artículo deberán estar integrados con por lo menos dos (2) miembros de la junta directiva de la cámara de riesgo central de contraparte, que tengan el carácter de independientes.
ARTÍCULO 2.13.1.1.6 INVERSIONES.
<Fuente original compilada: D. 2893/07 Art. 6o.> Las cámaras de riesgo central de contraparte podrán realizar todas aquellas inversiones que guarden relación con su objeto social.
Tratándose de bienes inmuebles, la inversión será procedente cuando tenga como finalidad la utilización del bien para el adecuado desarrollo de su objeto social. Con excepción de las inversiones de capital que la cámara de riesgo central de contraparte realice para el cumplimento de las obligaciones a favor o a cargo de la contraparte central, las inversiones de capital que la cámara de riesgo central de contraparte pretenda realizar en otras sociedades o entidades sean nacionales o extranjeras, deberán contar con la autorización previa por parte de la Superintendencia Financiera de Colombia.
ARTÍCULO 2.13.1.1.7 REGLAMENTO.
<Fuente original compilada: D. 2893/07 Art. 7o.> Las cámaras de riesgo central de contraparte deberán adoptar un reglamento de funcionamiento, el cual deberá contener, por lo menos lo siguiente:
a) Operaciones respecto de las cuales la cámara de riesgo central de contraparte se constituirá como acreedora y deudora recíproca de los derechos y obligaciones de las contrapartes y los mecanismos mediante los cuales se interpondrá entre dichas contrapartes;
b) Calidades generales de las contrapartes, modalidades y contrapartes autorizadas, las cuales deberán contar con suficientes recursos financieros y con una sólida capacidad operativa, de manera que puedan cumplir las obligaciones derivadas de su participación en la cámara de riesgo central de contraparte. Así mismo, criterios aplicables de acceso y de retiro, los cuales deberán ser objetivos y públicos y estar basados en consideraciones de gestión de riesgo;
c) Requisitos que deberán cumplir y mantener las contrapartes a fin de que la cámara de riesgo central de contraparte se constituya como acreedor y deudor recíproco, así como los supuestos en los que asumiría o dejaría de tener tal calidad;
d) Las medidas que adoptará la cámara de riesgo central de contraparte para la evaluación y monitoreo de los estándares operativos y financieros de las contrapartes;
e) <Inciso 1 modificado el artículo 44 del Decreto 1745 de 2020. El nuevo texto es el siguiente:> Los mecanismos para identificar, monitorear, medir y controlar la exposición a los riesgos de las contrapartes. El reglamento deberá establecer una descripción de los parámetros mínimos y la frecuencia con que se efectuará el monitoreo para el cálculo de las posiciones crediticias de la cámara de riesgo central de contraparte y las contrapartes.
Tales estimaciones deberán ser actualizadas a precios de mercado y deberán realizarse por lo menos una vez al día, sin perjuicio de la obligación de la cámara de estar en capacidad de realizar tales estimaciones de forma constante intradía;
f) Los requisitos y controles de riesgo y el procedimiento que deberán cumplir las operaciones enviadas a la cámara de riesgo central de contraparte para considerarse aceptadas.
Tales requisitos y controles pueden comprender entre otros, límites de riesgo de contraparte, límites de riesgos multilaterales, suficiencia de fondos o valores de las contrapartes, garantías y márgenes. Dichos requisitos y controles de riesgo deberán permitir que se prevenga o mitigue, los riesgos de crédito, de liquidez, operacional, sistémico y legal;
g) Los eventos en que la cámara de riesgo central de contraparte en desarrollo de su objeto social podrá realizar por cuenta propia o por cuenta de las contrapartes, operaciones para el cumplimento de las obligaciones a favor o a cargo de la contraparte central;
h) El modelo y los mecanismos y procedimientos definidos para la gestión del riesgo a que se expone la Cámara de Riesgo Central de Contraparte, así como el sistema de garantías, incluidos los márgenes iniciales, llamados al margen, recursos financieros, fondos y, en general, las salvaguardas financieras necesarias para el control y protección de los riesgos. Dichos mecanismos y procedimientos deberán establecer el orden en el que se utilizará el sistema de garantías, incluidos los recursos financieros, los fondos y en general las salvaguardas financieras. Así mismo, deberá indicarse la manera como tales mecanismos y procedimientos contribuirán a la mitigación de cada uno de los riesgos inherentes al funcionamiento de la Cámara.
i) Las garantías, incluidos los márgenes iniciales, llamados al margen, recursos financieros, fondos de garantía y, en general, las salvaguardas financieras que deberán constituir las contrapartes para asegurar el cumplimiento de las operaciones. El reglamento deberá establecer las características que deban cumplir los activos con los cuales podrán constituirse las garantías, los cuales deberán estar valorados a precios de mercado; <sic>
De igual manera, el reglamento deberá prever la forma de constitución y ajuste de las garantías, lo cual deberá definirse en función de los riesgos, así como los procedimientos para hacer efectivas dichas garantías, incluyendo los mecanismos intra día que se emplearán para solicitar y liquidar garantías, en caso de ser necesario; <sic>
En todo caso, la cámara de riesgo central de contraparte deberá mantener suficientes recursos financieros para soportar, como mínimo, el incumplimiento de la contraparte con la que mantiene la mayor posición, en condiciones de mercado extremas pero posibles;
j) Los criterios de inversión de las garantías, los cuales deberán prever instrumentos de mínimo riesgo de crédito, mercado y liquidez; El reglamento deberá establecer, así mismo, la destinación de los rendimientos producto de tales inversiones, la cual podrá consistir en la constitución de un fondo de garantía afecto al cumplimiento de las operaciones que ha aceptado la cámara de riesgo central de contraparte;
k) El deber que tienen las contrapartes de disponer de los recursos, valores, productos o bienes transables suficientes para garantizar la liquidación de las operaciones aceptadas;
l) Los derechos, obligaciones y responsabilidades de la cámara de riesgo central y de sus contrapartes;
m) Los estándares operativos y técnicos con que cuenta la cámara de riesgo central de contraparte, así como aquellos que deberán tener las contrapartes de la misma, incluyendo los procedimientos de contingencia y de continuidad del negocio, capaces de permitir el procesamiento y la terminación de la compensación y liquidación oportunamente;
n) El manejo de la confidencialidad y la provisión de información a las contrapartes.
Igualmente, los compromisos que adquiere la cámara de riesgo central para proteger la información recibida y prevenir su modificación, daño o pérdida;
o) La política general en materia de derechos o tarifas a cargo de las contrapartes por la utilización del servicio, por la administración de garantías y por los mecanismos de información; <sic>
Las tarifas deberán ser publicadas en la página de Internet de la cámara de riesgo central de contraparte, así como los criterios para su modificación;
p) Las relaciones e interacciones que tenga la cámara de riesgo central de contraparte con sistemas de compensación y liquidación, con sistemas de negociación o de registro de operaciones sobre valores y otros activos, depósitos centralizados de valores y con sistemas de pago, según sea el caso;
q) Los mecanismos de acceso de la cámara de riesgo central de contraparte a los sistemas de negociación y a los sistemas de compensación y liquidación en el exterior, al igual que a otros agentes del exterior para el desarrollo de su objeto social en caso de operaciones transfronterizas, sin perjuicio del cumplimiento de las disposiciones cambiarias y de inversión extranjera;
r) La definición de eventos de incumplimiento de los reglamentos u operaciones, los métodos de identificación y declaración de los mismos, las consecuencias derivadas de los incumplimientos, junto con las medidas disciplinarias y correctivas que se puedan aplicar, indicando los procedimientos para su adopción y la forma de hacerlas efectivas;
s) Reglas y procedimientos internos para aplicación en casos de incumplimiento de una contraparte; medidas judiciales o administrativas, tales como órdenes de cesación de pagos, medidas cautelares, órdenes de retención o similares, así como las derivadas de normas de naturaleza concursal, de toma de posesión, disolución, liquidación o acuerdos globales de reestructuración de deudas, que tengan por objeto prohibir, suspender o de cualquier forma limitar los pagos o transferencias de valores u otros activos que deban efectuarse a través de dicho sistema. Estas reglas podrán contemplar la aplicación de garantías, fondos y salvaguardas financieras, pudiendo incluso preverse la distribución de las pérdidas entre las contrapartes;
t) Los mecanismos de solución de controversias;
u) Los procedimientos para modificar el reglamento, incluyendo la posibilidad para las contrapartes de conocer las modificaciones, de forma previa a su adopción.
v) (Adicionado por el D. 1796/08 Art. 21) La forma en que los miembros o contrapartes liquidadores o miembros o contrapartes no liquidadores que participen por cuenta de terceros, gestionarán las cuentas de manera individual, global o colectiva.
PARÁGRAFO 1. El reglamento y sus modificaciones deberán someterse a la aprobación previa de la Superintendencia Financiera de Colombia.
PARÁGRAFO 2. Los reglamentos de la cámara de riesgo central de contraparte, las circulares e instructivos que la misma emita son de carácter vinculante, serán parte integrante de los acuerdos o contratos de vinculación que suscriban las contrapartes, y en esa medida se entenderán conocidos y aceptados por estos, por las personas vinculadas a ellos, y por las personas por cuenta de las cuales se realicen operaciones en la cámara de riesgo central de contraparte.
PARÁGRAFO 3. <Parágrafo adicionado por el artículo 7 del Decreto 2219 de 2017. El nuevo texto es el siguiente:> Las operaciones que se acepten para su compensación y liquidación a través de una cámara de riesgo central de contraparte, se sujetarán a lo dispuesto en el reglamento de funcionamiento de dicha cámara, en particular, respecto a los requisitos y controles de riesgo requeridos para su aceptación, al procedimiento que debe llevarse a cabo para su compensación y liquidación, a la eventual modificación de la fecha de liquidación de las operaciones aceptadas para gestionar su cumplimiento y a la gestión de los incumplimientos y sus consecuencias, específicamente, frente a los derechos y las obligaciones de las partes y la realización de las correspondientes garantías.
ARTÍCULO 2.13.1.1.8 CONTRAPARTES.
<Fuente original compilada: D. 2893/07 Art. 8o.> Podrán ser contrapartes de una cámara de riesgo central de contraparte y tendrán acceso directo a la misma, en las condiciones, modalidades y con el cumplimiento de los requisitos establecidos en su reglamento, las entidades sujetas a inspección y vigilancia de la Superintendencia Financiera de Colombia, así como los intermediarios de cualquier clase de derivado, instrumento, producto, bien transable o contrato, que tengan acceso directo a los medios de pago y de entrega establecidos por la cámara de riesgo central de contraparte, así como las entidades públicas que estén legalmente facultadas para utilizar sistemas de negociación cuando realicen operaciones de tesorería.
También podrán ser contrapartes de las cámaras de riesgo central de contraparte la Nación-Ministerio de Hacienda y Crédito Público- y el Banco de la República, así como las entidades del exterior que estén autorizadas para ser contrapartes de cámaras de riesgo central de contraparte del exterior o entidades similares y que se encuentren bajo la supervisión de una autoridad equivalente a la Superintendencia Financiera de Colombia.
Lo anterior se entenderá sin perjuicio del cumplimiento de las disposiciones cambiarias y de inversión extranjera.
Las contrapartes de las cámaras de riesgo central de contraparte podrán participar en la compensación y liquidación por su propia cuenta o por cuenta de terceros.
PARÁGRAFO 1. (Adicionado por el D. 1796/08 Art. 22) Las cámaras de riesgo central de contraparte informarán a la Superintendencia Financiera de Colombia y a las contrapartes cuando dejen de asumir la calidad de contraparte respecto de alguna de estas, de conformidad con lo dispuesto en sus reglamentos. En este supuesto las cámaras de riesgo central de contraparte estarán facultadas para liquidar de manera anticipada las obligaciones de dicha contraparte y, de conformidad con el reglamento y lo establecido en los acuerdos o contratos de vinculación, destinar los recursos recibidos, así como las garantías asociadas a sus operaciones, para asegurar el cumplimiento de obligaciones.
PARÁGRAFO 2. (Adicionado por el D. 1796/08 Art. 22) Miembros o contrapartes liquidadores. Son las entidades que tienen acceso directo a una cámara de riesgo central de contraparte autorizada por la Superintendencia Financiera de Colombia, a través de las cuales esta cámara acreditará y debitará las cuentas respectivas con el propósito de compensar, liquidar y garantizar ante sí los instrumentos financieros derivados o productos estructurados que se compensen y liquiden por su intermedio.
Un miembro o contraparte liquidador que opere en una cámara de riesgo central de contraparte podrá participar en tal calidad por su propia cuenta, por cuenta de miembros o contrapartes no liquidadores o por cuenta de terceros en la compensación y liquidación de instrumentos financieros derivados o productos estructurados.
Cuando un miembro o contraparte liquidador participe por cuenta de un miembro o contraparte no liquidador o de un tercero y cualquiera de estos últimos no cumpla con sus obligaciones relacionadas con una operación con instrumentos financieros derivados o productos estructurados que se compense, liquide o garantice a través de una cámara de riesgo central de contraparte, será responsabilidad del miembro o contraparte liquidador cumplir con tales operaciones entregando el dinero o los valores, según corresponda, y/o constituyendo las garantías respectivas.
Lo dispuesto en el presente parágrafo será aplicable a cualquier operación sobre valores, instrumentos financieros, productos o bienes transables o contratos que se compensen en una cámara de riesgo central de contraparte autorizada por la Superintendencia Financiera de Colombia.
PARÁGRAFO 3. (Adicionado por el D. 1796/08 Art. 21) Miembros o contrapartes no liquidadores. Son las entidades que tienen acceso directo a una cámara de riesgo central de contraparte autorizada por la Superintendencia Financiera, de Colombia y cuyas liquidaciones con la misma se hacen a través de un miembro o contraparte liquidador. Un miembro o contraparte no liquidador podrá acudir a un miembro liquidador por su propia cuenta o por cuenta de terceros.
Cuando un miembro o contraparte no liquidador participe por cuenta de un tercero y este no cumpla con sus obligaciones relacionadas con una operación con instrumentos financieros derivados o productos estructurados que se compense, liquide o garantice a través de una cámara de riesgo central de contraparte, será responsabilidad del miembro o contraparte no liquidador cumplir con tales operaciones entregando el dinero o los valores, según corresponda, y/o constituyendo las garantías respectivas.
Lo dispuesto en el presente parágrafo será aplicable a cualquier operación sobre valores, instrumentos financieros, productos o bienes transables o contratos que se compensen en una cámara de riesgo central de contraparte autorizada por la Superintendencia Financiera de Colombia.
En este supuesto las cámaras de riesgo central de contraparte estarán facultadas para liquidar de manera anticipada las obligaciones de dicha contraparte y, de conformidad con el reglamento y lo establecido en los acuerdos o contratos de vinculación, destinar los recursos recibidos, así como las garantías asociadas a sus operaciones, para asegurar el cumplimiento de obligaciones.
PARÁGRAFO 4. <Parágrafo adicionado por el artículo 8 del Decreto 2219 de 2017. El nuevo texto es el siguiente:> En desarrollo del presente artículo, un miembro liquidador que tenga la condición de establecimiento bancario y deba adquirir acciones para cumplir con las operaciones de los miembros no liquidadores o de los terceros por cuenta de los que participe, según sea el caso, efectuará dicha adquisición excepcional con carácter temporal, con la finalidad específica de compensar y liquidar las operaciones en las que actúa como miembro liquidador ante una cámara de riesgo central de contraparte y sujetándose en todo caso, al procedimiento establecido en el reglamento de funcionamiento de la respectiva cámara.
ARTÍCULO 2.13.1.1.9 TRATAMIENTO DEL RIESGO DE CONTRAPARTE.
<Fuente original compilada: D. 2893/07 Art. 9o.> Para todos los efectos, se asignará un valor de cero a la exposición de riesgo de crédito de contraparte en las operaciones aceptadas por una cámara de riesgo central de contraparte. Igualmente, se asignará un valor de cero a la exposición de riesgo de crédito de contraparte a las garantías otorgadas a una cámara de riesgo central de contraparte.
La Superintendencia Financiera de Colombia deberá verificar, al momento de aprobar el reglamento de la cámara de riesgo central de contraparte, que las garantías, incluidos los márgenes iniciales, llamados al margen, recursos financieros, fondos de garantía y, en general, las salvaguardas financieras que deberán constituir las contrapartes para asegurar el cumplimiento de las operaciones, resultan suficientes para poder considerar como nulo el riesgo de crédito de contraparte en las operaciones aceptadas por dicha Cámara.
ARTÍCULO 2.13.1.1.10 DEBER DE SUMINISTRO DE INFORMACIÓN.
<Fuente original compilada: D. 2893/07 Art. 10> Las cámaras de riesgo central de contraparte, y las contrapartes deberán suministrar a la Superintendencia Financiera de Colombia, a las autoridades competentes y a los organismos autorreguladores, la información que sea requerida para el cumplimiento de sus funciones.
Las cámaras de riesgo central de contraparte podrán divulgar la información relativa al sistema de garantías destinado al cumplimiento de las obligaciones de sus contrapartes sin que se requiera autorización, así como cualquier información que considere pertinente.
ARTÍCULO 2.13.1.1.11 EXTENSIÓN DEL PRINCIPIO DE FINALIDAD.
<Fuente original compilada: D. 2893/07 Art. 11> Sin perjuicio de las normas especiales establecidas en el presente Libro, la compensación y liquidación de las operaciones sobre valores efectuadas por una cámara de riesgo central de contraparte, respecto de las contrapartes y de las personas por cuenta de las cuales estas actúan, se regirá por lo dispuesto en el Libro 12 de la Parte 2 del presente decreto y las normas que lo modifiquen o adicionen.
El principio de finalidad se extiende a las operaciones aceptadas por una cámara de riesgo central de contraparte en su función de contraparte desde el momento de su aceptación y se aplica a todos los actos necesarios para su cumplimiento, incluida la compensación a que se refiere el artículo 17 de la Ley 964 de 2005, aún si estos se llevan a cabo a través de otros administradores o agentes de sistemas de compensación y liquidación, depósitos de valores y sistemas de pagos, sin que ello implique para el (los) administrador(es) de tal(es) sistema(s) garantizar el cumplimiento efectivo de la(s) respectiva(s) orden(es) de transferencia.
PARÁGRAFO. Sin perjuicio de lo previsto en el artículo 2.13.1.1.16 del presente Libro, la compensación y liquidación efectuada por organismos que al 31 de julio de 2007 se encontraran ejecutando actividades propias de una cámara de riesgo central de contraparte, respecto de operaciones realizadas por intermedio de las bolsas de bienes y productos agropecuarios, agroindustriales o de otros commodities, se regirá por lo previsto en el Libro 11 de la Parte 2 del presente decreto y en las demás disposiciones que lo modifiquen o sustituyan.
No obstante, la compensación y liquidación sobre valores que realicen dichos organismos, se regirá por lo dispuesto en el Libro 12 de la Parte 2 del presente decreto y por las demás disposiciones que lo modifiquen o sustituyan.
ARTÍCULO 2.13.1.1.12 OBLIGACIÓN ESPECIAL DE LOS INTERMEDIARIOS DE VALORES.
<Fuente original compilada: D. 2893/07 Art. 12> Los intermediarios de valores y los miembros de bolsas de bienes y productos agropecuarios, agroindustriales o de otros commodities deberán informar previamente a sus clientes acerca de si utilizarán o no a una cámara de riesgo central de contraparte en la compensación y liquidación de las operaciones.
ARTÍCULO 2.13.1.1.13 MEDIDAS EN CASO DE LIQUIDACIÓN DE LA CÁMARA DE RIESGO CENTRAL DE CONTRAPARTE.
<Fuente original compilada: D. 2893/07 Art. 13> Cuando quiera que se dé inicio a un procedimiento dirigido a la liquidación de la cámara de riesgo central de contraparte, los recursos excedentes que hubiere recibido de sus contrapartes, por cuenta de terceros, cuyas operaciones hayan sido compensadas y liquidadas en su totalidad, no harán parte de la masa del proceso liquidatorio y se devolverán a las contrapartes que correspondan, quienes los recibirán por cuenta de dichos terceros. Igual régimen será aplicable a los recursos excedentes recibidos de las contrapartes, por cuenta propia, siempre que no existan obligaciones a su cargo y a favor de la cámara de riesgo central de contraparte.
ARTÍCULO 2.13.1.1.14 CUPOS INDIVIDUALES DE CRÉDITO.
<Fuente original compilada: D. 2893/07 Art. 14> Tratándose de operaciones activas de crédito realizadas con cámaras de riesgo central de contraparte, los cupos individuales de crédito de las instituciones financieras previstos en los títulos 2 y 3 del Libro 1 de la Parte 2 del presente decreto podrán alcanzar hasta el treinta por ciento (30%) del patrimonio técnico del otorgante del crédito.
ARTÍCULO 2.13.1.1.15 PROHIBICIÓN DE ESTABLECER CUPOS DE CONTRAPARTE ENTRE CONTRAPARTES.
<Fuente original compilada: D. 2893/07 Art. 15> Los participantes en los sistemas de negociación no podrán establecer cupos de contraparte cuando la respectiva operación vaya a realizarse con la interposición de una cámara de riesgo central de contraparte.
<Fuente original compilada: D. 2893/07 Art. 17> Los organismos que al día 31 de julio de 2007 se encontraran realizando actividades propias de una cámara de riesgo central de contraparte, tendrán plazo hasta el día 31 de julio de 2009, para estar ajustados a todas las disposiciones previstas inicialmente en este Libro.
Para los efectos previstos en el artículo 2.13.1.1.2 del presente decreto, el capital mínimo exigido de diez mil millones de pesos ($10.000.000.000) deberá cumplirse al inicio del primer año en el cual el respectivo organismo se haya ajustado a lo previsto inicialmente en el presente Libro; la suma de diecinueve mil millones de pesos ($19.000.000.000) deberá cumplirse al inicio del segundo año de funcionamiento en dicha condición.
ARTÍCULO 2.13.1.1.17 GARANTÍAS. <Artículo adicionado por el artículo 3 del Decreto 1235 de 2020. El nuevo texto es el siguiente:> Las entidades sometidas a inspección y vigilancia de la Superintendencia Financiera de Colombia podrán otorgar garantías para la realización de operaciones cuya compensación y liquidación se realice a través de las cámaras de riesgo central de contraparte autorizadas por la Superintendencia Financiera de Colombia.
En desarrollo de lo anterior, se podrán otorgar garantías que respalden la realización de operaciones con los recursos de los fondos administrados por las sociedades administradoras de fondos de pensiones y de cesantías, de fondos de pensiones de jubilación o invalidez, aquellos correspondientes a los fondos de inversión colectiva y en general de los portafolios de terceros administrados por las sociedades fiduciarias, por sociedades comisionistas de bolsas de valores o por sociedades administradoras de fondos de inversión, las operaciones realizadas bajo contrato de comisión ejecutado por las sociedades comisionistas de bolsa, y los correspondientes a las reservas técnicas de las compañías de seguros o de sociedades de capitalización, de conformidad con el régimen aplicable a cada entidad y respetando la independencia de los recursos de cada uno de los portafolios de terceros administrados.
NORMAS APLICABLES A LOS DEPÓSITOS CENTRALIZADOS DE VALORES.
PRINCIPIOS DE LA ANOTACIÓN EN CUENTA.
ARTÍCULO 2.14.1.1.1. PRINCIPIOS DE LA ANOTACIÓN EN CUENTA. <Artículo modificado por el artículo 1 del Decreto 3960 de 2010. El nuevo texto es el siguiente:> Los depósitos centralizados de valores deberán llevar sus registros bajo los siguientes principios:
1. Principio de prioridad: Una vez producido un registro no podrá practicarse ningún otro respecto de los mismos valores o derechos que obedezca a un hecho producido con anterioridad en lo que resulte opuesto o incompatible con dicho registro.
2. Principio de tracto sucesivo: Los registros sobre un mismo derecho anotado deberán estar encadenados cronológica, secuencial e ininterrumpidamente, de modo que quien trasmite el valor o derecho aparezca previamente en el registro.
3. Principio de rogación: Para la realización de cada registro se requerirá solicitud previa del titular del valor o derecho registrado o de la entidad competente y autorizada para tal fin. Por lo tanto, no procederán registros a voluntad o iniciativa propia del depósito centralizado de valores, salvo casos reglamentarios previamente establecidos,
4. Principio de buena fe: La persona que aparezca como titular de un registro, se presumirá como legítimo titular del valor o del derecho al cual se refiere el respectivo registro.
5. Principio de fungibilidad: Los titulares de registros que se refieran a valores o derechos que hagan parte de una misma emisión y que tengan iguales características, serán legítimos titulares de tales valores en la cantidad correspondiente, y no de unos valores o derechos especificados individualmente.
ARTÍCULO 2.14.1.1.2. REGISTRO. <Artículo modificado por el artículo 1 del Decreto 3960 de 2010. El nuevo texto es el siguiente:> En el ámbito de la anotación en cuenta, el registro que lleven los depósitos centralizados de valores cumplirá la función del registro al que hace referencia el artículo 648 del Código de Comercio.
ENTIDADES ADMINISTRADORAS DE DEPÓSITOS CENTRALIZADOS DE VALORES.
ARTÍCULO 2.14.2.1.1. ENTIDADES AUTORIZADAS. <Artículo modificado por el artículo 1 del Decreto 3960 de 2010. El nuevo texto es el siguiente:> Podrán administrar depósitos centralizados de valores las sociedades que con autorización de la Superintendencia Financiera de Colombia se constituyan exclusivamente para tal objeto.
ARTÍCULO 2.14.2.1.2. CONSTITUCIÓN DE LAS SOCIEDADES ADMINISTRADORAS. <Artículo modificado por el artículo 1 del Decreto 3960 de 2010. El nuevo texto es el siguiente:>
Las sociedades que tengan por objeto la administración de un depósito centralizado de valores serán sociedades anónimas constituidas de acuerdo con lo dispuesto en el artículo 13 de la Ley 27 de 1990 y las normas contenidas en el presente Libro.
<Inciso modificado el artículo 45 del Decreto 1745 de 2020. El nuevo texto es el siguiente:> En su constitución se aplicará el procedimiento previsto por el artículo 53 del Estatuto Orgánico del Sistema Financiero.
La Superintendencia Financiera de Colombia establecerá el monto mínimo del capital pagado que deben tener las sociedades que administren depósitos centralizados de valores.
ARTÍCULO 2.14.2.1.3. FUNCIONES DE LAS ENTIDADES ADMINISTRADORAS DE DEPÓSITOS CENTRALIZADOS DE VALORES. <Artículo modificado por el artículo 1 del Decreto 3960 de 2010. El nuevo texto es el siguiente:> Las entidades que, de conformidad con la Ley 27 de 1990, administren un depósito centralizado de valores tendrán las siguientes funciones:
1. La administración de los valores que se les entreguen, si así lo solicita el depositante, su representante, o apoderado. No obstante, en el reglamento del depósito se podrá establecer que las labores propias de la administración podrán ser realizadas por las entidades que de acuerdo con el reglamento actúan como mandatarios ante el depósito, estando legalmente facultadas para ello.
2. El registro de la constitución de gravámenes o la transferencia de los valores que el depositante le comunique.
3. La compensación y liquidación de operaciones sobre valores depositados.
4. La teneduría de los libros de registro de títulos nominativos, a solicitud de las entidades emisoras.
5. La restitución de los valores, para lo cual endosará y entregará el mismo título recibido o títulos del mismo emisor, clase, especie, valor nominal y demás características financieras.
6. La inscripción de las medidas cautelares en los registros de la entidad. Cuando dichas medidas recaigan sobre títulos nominativos, deberá comunicarlas a la entidad emisora para que proceda a la anotación del embargo en el libro respectivo.
7. La adopción en sus reglamentos del régimen disciplinario a que se someterán los usuarios del depósito, y
8. Las demás que les autorice la Superintendencia Financiera de Colombia que sean compatibles con las anteriores.
ARTÍCULO 2.14.2.1.4. INTEGRACIÓN DE LAS JUNTAS O CONSEJOS DIRECTIVOS DE LOS DEPÓSITOS CENTRALIZADOS DE VALORES. <Artículo modificado por el artículo 1 del Decreto 3960 de 2010. El nuevo texto es el siguiente:> A partir del siguiente ejercicio anual en que sesione en forma ordinaria la asamblea de accionistas, al menos el cuarenta por ciento (40%) de los miembros de la junta o consejo directivo de los depósitos centralizados de valores tendrán la calidad de independientes. Su elección se deberá llevar a cabo en una votación especial.
Para efectos de lo dispuesto en el presente artículo se entenderán por independientes todas las personas naturales, salvo las que se encuentren en las siguientes situaciones:
1. Empleado o directivo de los depósitos centralizados de valores o de alguna de sus filiales o subsidiarias, incluyendo aquellas personas que hubieren tenido tal calidad durante el año inmediatamente anterior a la designación, salvo que se trate de la reelección de una persona independiente.
2. Accionistas que directamente o en virtud de convenio dirijan, orienten o controlen la mayoría de los derechos de voto de los depósitos centralizados de valores o que determinen la composición mayoritaria de los órganos de administración, de dirección o de control de la misma.
3. Socio o empleado de asociaciones o sociedades que presten servicios de asesoría o consultoría a los depósitos centralizados de valores, cuando los ingresos por dicho concepto representen para aquellos, el veinte por ciento (20%) o más de sus ingresos operacionales.
4. Empleado o directivo de una fundación, asociación o sociedad que reciba donativos importantes de los depósitos centralizados de valores. Se consideran donativos importantes aquellos que representen más del veinte por ciento (20%) del total de donativos recibidos por la respectiva institución.
5. Administrador de una entidad en cuya junta directiva o consejo directivo participe un representante legal de los depósitos centralizados de valores.
6. Persona que reciba de los depósitos centralizados de valores alguna remuneración diferente a los honorarios como miembro de junta o consejo directivo o de cualquier comité creado por el mismo.
PARÁGRAFO. Los depósitos centralizados de valores podrán establecer en sus estatutos sociales las calidades generales y particulares de los miembros que no tengan la calidad de independientes; la procedencia de suplencias en sus juntas o consejos directivos y el número máximo de miembros de su junta o consejo directivo, sin perjuicio de lo establecido en el artículo 44 de la Ley 964 de 2005.
ARTÍCULO 2.14.2.1.5. CUSTODIA Y ADMINISTRACIÓN DE TÍTULOS VALORES E INSTRUMENTOS FINANCIEROS. <Artículo modificado por el artículo 1 del Decreto 3960 de 2010. El nuevo texto es el siguiente:> Los depósitos centralizados de valores podrán custodiar y administrar valores, títulos valores de contenido crediticio, de participación, representativos de mercancías e instrumentos financieros que no se encuentren inscritos en el Registro Nacional de Valores y Emisores -RNVE-, ya sea que se emitan o negocien localmente o en el exterior, previa solicitud del emisor o su mandatario, del administrador de la emisión, del custodio en el exterior o del depositante directo local o extranjero, en la forma y condiciones que señale el reglamento del depósito centralizado de valores. Esta actividad se ejercerá con estricta observancia de las normas cambiarias y tributarias aplicables.
PARÁGRAFO. Las disposiciones del presente libro relativas a la anotación en cuenta serán aplicables en lo pertinente a los títulos valores de contenido crediticio o de participación, que reciban en custodia tales depósitos. En este caso, se entenderá que la entrega y/o endoso de los títulos valores se efectuará mediante la anotación en cuenta siempre que, en relación con el endoso, la orden de transferencia que emita el endosante cumpla con los requisitos pertinentes establecidos en la ley. Los títulos valores indicados en este parágrafo conservarán todos los derechos, acciones y prerrogativas propias de su naturaleza, consagradas en la legislación mercantil.
CONTRATO DE DEPÓSITO DE VALORES.
ARTÍCULO 2.14.3.1.1. DEFINICIÓN. <Artículo modificado por el artículo 1 del Decreto 3960 de 2010. El nuevo texto es el siguiente:> Por medio del contrato de depósito de valores a que se refiere el presente libro, una persona confía uno o más valores a una entidad habilitada para el efecto, quien se obliga a custodiarlos, a administrarlos cuando el depositante lo solicite de acuerdo con el reglamento que cada depósito expida, y a registrar los gravámenes y enajenaciones que aquel le comunique.
Solo las sociedades administradoras de depósitos centralizados de valores especialmente autorizadas por la Superintendencia Financiera de Colombia, y el Banco de la República, podrán administrar depósitos centralizados de valores.
PARÁGRAFO 1o. La administración de los valores por parte del depósito centralizado de valores comprenderá las facultades para presentarlos para su aceptación o su pago extrajudicialmente o judicialmente, en este último caso cuando así se pacte o se prevea en el reglamento.
Para tales efectos el depósito podrá emplear el certificado que al efecto expida.
Pagado totalmente el valor, el depósito entregará el respectivo título a quien lo canceló. En el evento en que de acuerdo con la Ley 27 de 1990 el valor que se paga esté comprendido en un título global, el depósito expedirá un certificado sobre dicho pago y hará la anotación del mismo en la subcuenta abierta a nombre del titular.
PARÁGRAFO 2o. Todo lo que en el presente título se regula para el contrato de depósito de valores, se entenderá que también es aplicable al contrato de emisiones de valores.
ARTÍCULO 2.14.3.1.2. PERFECCIONAMIENTO DEL CONTRATO. <Artículo modificado por el artículo 1 del Decreto 3960 de 2010. El nuevo texto es el siguiente:> El contrato de depósito de valores a que se refiere este libro se perfecciona por el endoso en administración y la entrega de los títulos a la entidad que administre un depósito centralizado de valores o el abono en cuenta del depositante directo cuando se trate de emisiones desmaterializadas.
ARTÍCULO 2.14.3.1.3. REGLAMENTO Y TARIFAS DE LOS DEPÓSITOS CENTRALIZADOS DE VALORES. <Artículo modificado por el artículo 1 del Decreto 3960 de 2010. El nuevo texto es el siguiente:> Sin perjuicio de lo establecido en el artículo 2.14.5.1.3 los reglamentos de los depósitos centralizados de valores, así como sus reformas, deberán ser sometidos a la aprobación de la Superintendencia Financiera de Colombia. Las tarifas aplicables al servicio de depósito y custodia de valores serán establecidas libremente por los depósitos con sujeción a las normas del derecho de la competencia.
ARTÍCULO 2.14.3.1.4. ACCESO AL DEPÓSITO. <Artículo modificado por el artículo 1 del Decreto 3960 de 2010. El nuevo texto es el siguiente:> Los reglamentos de los depósitos centralizados de valores podrán determinar las personas que tendrán acceso a los mismos mediante celebración del contrato de depósito de valores con las respectivas entidades administradoras. Dichas personas actuarán bien sea en nombre y por cuenta propia o en nombre y por cuenta ajena, de acuerdo con su respectivo régimen legal.
Aquellas personas que no tengan acceso directo al depósito podrán tenerlo a través de las personas facultadas y autorizadas para ello quienes actuarán como sus mandatarios. Para tal efecto el endoso en administración podrá también contener las estipulaciones dirigidas a regular las obligaciones entre el titular del respectivo valor y su mandatario.
ARTÍCULO 2.14.3.1.5. INFORMACIÓN A LOS DEPOSITANTES. <Artículo modificado por el artículo 1 del Decreto 3960 de 2010. El nuevo texto es el siguiente:>
<Inciso modificado el artículo 46 del Decreto 1745 de 2020. El nuevo texto es el siguiente:> Con la periodicidad que establezca la Superintendencia Financiera de Colombia, las sociedades administradoras de depósitos centralizados de valores remitirán a las entidades que tengan acceso directo al depósito, de acuerdo con el reglamento de éste, una relación detallada de los valores que figuren registrados en sus respectivas cuentas, con descripción de las subcuentas correspondientes.
Dicha información será suministrada a su mandante por el depositante que actúe en calidad de mandatario, con la periodicidad que establezca el reglamento del depósito, conforme a las instrucciones que al efecto imparta la Superintendencia Financiera de Colombia, sin perjuicio de que en el respectivo contrato de mandato se pacte que dicha información debe enviarse con mayor frecuencia.
Los depositantes indirectos podrán acceder a la información que sobre sus valores esté registrada en los depósitos centralizados de valores, ya sea por conducto de sus respectivos depositantes directos, o bien en forma directa utilizando los mecanismos y procedimientos que se establezcan en los reglamentos de operación de dichos depósitos autorizados por la Superintendencia Financiera de Colombia.
ARTÍCULO 2.14.3.1.6. TÍTULOS GLOBALES. <Artículo modificado por el artículo 1 del Decreto 3960 de 2010. El nuevo texto es el siguiente:> La sociedad emisora al efectuar el depósito de emisiones entregará al depósito uno o varios títulos en que se represente la totalidad o parte de la emisión. El título o los títulos respectivos indicarán:
1. La ley de circulación de los valores entregados.
2. El nombre de la sociedad emisora y su domicilio.
3. El monto de la emisión que se deposita.
4. Si es del caso, el plazo de vencimiento de los respectivos valores, cuando tengan idéntico plazo, o los plazos mínimo y máximo de vencimiento dentro de los cuales puede colocarse la emisión.
5. Los rendimientos financieros y su forma de pago, si es del caso. En los eventos en que las normas del respectivo título establezcan que el rendimiento del título y otras características se determinan al momento de la colocación, se indicará esa circunstancia en el título que se deposite, precisando los límites entre los cuales puede variar dicho rendimiento.
6. Las demás condiciones que exija la Superintendencia Financiera de Colombia.
ARTÍCULO 2.14.3.1.7. CONFORMACIÓN DE UN TÍTULO GLOBAL CON TÍTULOS INDIVIDUALES DEPOSITADOS. <Artículo modificado por el artículo 1 del Decreto 3960 de 2010. El nuevo texto es el siguiente:> En desarrollo de lo previsto en el artículo 21 de la Ley 27 de 1990, el depósito centralizado de valores podrá en cualquier tiempo solicitar a la entidad emisora que sustituya, por uno o varios títulos, todos los valores que se encuentren en el depósito y que posean las mismas características financieras.
Sin perjuicio de lo anterior, cuando los títulos que se encuentren en depósito no tengan idénticas características financieras, la sociedad emisora podrá entregar al depósito centralizado de valores un solo título destinado a representar la totalidad o parte de cada emisión que se encuentre en el depósito. Dicho valor se sujetará a lo dispuesto en el artículo 2.14.3.1.6. del presente decreto.
ARTÍCULO 2.14.3.1.8. INFORMACIÓN QUE DEBE REPORTARSE A LOS DEPÓSITOS. <Artículo modificado por el artículo 1 del Decreto 3960 de 2010. El nuevo texto es el siguiente:> Los emisores de valores, o quienes los representen en el mercado local si se trata de emisores del extranjero, que tengan depositados valores en un depósito centralizado de valores local, deberán reportar ante el mismo la información, en la oportunidad, periodicidad y contenido que señalen los reglamentos aprobados por la Superintendencia Financiera de Colombia:
ARTÍCULO 2.14.3.1.9. OMISIÓN DEL DEBER DE INFORMAR. <Artículo modificado por el artículo 1 del Decreto 3960 de 2010. El nuevo texto es el siguiente:> Si el emisor o en su caso el depósito centralizado de valores, no cumpliere con la obligación de informar en los términos señalados en el artículo anterior, dicha información no será oponible al depósito o a la sociedad emisora, según corresponda, y por lo tanto la entidad que no recibió la correspondiente información se liberará de la responsabilidad que pueda derivarse de tal circunstancia. Lo anterior, sin perjuicio de las sanciones que en virtud de sus atribuciones legales pueda imponer la Superintendencia Financiera de Colombia.
ARTÍCULO 2.14.3.1.10. RESPONSABILIDAD DE LOS DEPOSITANTES. <Artículo modificado por el artículo 1 del Decreto 3960 de 2010. El nuevo texto es el siguiente:> El depositante, bien sea que actúe en nombre propio o en nombre ajeno ante el depósito, será responsable de la identificación del último endosante, de la integridad y autenticidad de los valores depositados y de la validez de las operaciones que se realicen con dichos valores.
Por consiguiente, recibido un valor por parte del depósito centralizado de valores, el mismo se considerará libre de vicios, gravámenes o embargos y el depositante que lo haya entregado responderá de todos los perjuicios que se causen a terceros.
ARTÍCULO 2.14.3.1.11. RENUNCIA A LAS ACCIONES EN VÍA DE REGRESO. <Artículo modificado por el artículo 1 del Decreto 3960 de 2010. El nuevo texto es el siguiente:> En la medida en que el depósito central de valores pueda restituir títulos distintos a los que le fueron entregados, la entrega de un valor al depósito centralizado de valores implica la renuncia, por parte de quien lo entrega, a las acciones de regreso que podría intentar contra quienes hayan endosado el título y sus avalistas, salvo cuando se haya pactado la entrega del mismo título.
ARTÍCULO 2.14.3.1.12. ENDOSO SIN RESPONSABILIDAD. <Artículo modificado por el artículo 1 del Decreto 3960 de 2010. El nuevo texto es el siguiente:> Salvo manifestación expresa en contrario, la orden de transferencia de un valor depositado produce los efectos de endoso sin responsabilidad por parte del enajenante.
ARTÍCULO 2.14.3.1.13. SECUESTRO DE VALORES DEPOSITADOS. <Artículo modificado por el artículo 1 del Decreto 3960 de 2010. El nuevo texto es el siguiente:>
<Inciso modificado el artículo 47 del Decreto 1745 de 2020. El nuevo texto es el siguiente:> De conformidad con lo previsto sobre la designación de secuestre en el numeral 1 del artículo 48 del Código General del Proceso, o las normas que lo modifiquen, sustituyan o adicionen, cuando se trate de realizar el secuestro de valores que se encuentren en un depósito centralizado de valores, podrá designarse como secuestre a la entidad administradora de dicho depósito.
Mientras no se comunique la designación de secuestre por parte del juez respectivo, la entidad administradora del depósito centralizado de valores actuará como administradora de los valores y mantendrá el producto de dicha administración a órdenes del juzgado.
DEL EJERCICIO DE LOS DERECHOS.
ARTÍCULO 2.14.4.1.1. DE LOS CERTIFICADOS Y DE LAS CONSTANCIAS. <Artículo modificado por el artículo 1 del Decreto 3960 de 2010. El nuevo texto es el siguiente:> Para efectos del presente Libro se entiende por certificado el documento de legitimación mediante el cual el depositante ejercita los derechos políticos o los derechos patrimoniales en el evento en que haya lugar. Dicho documento es expedido por la sociedad administradora del depósito centralizado de valores a solicitud del depositante directo de conformidad con el registro en cuenta. Su carácter es meramente declarativo, presta mérito ejecutivo pero no podrá circular ni servirá para transferir la propiedad de los valores.
Por constancia se entiende el documento expedido por el depósito centralizado de valores, mediante el cual el depositante controla su propia cuenta de depósito de títulos. Es un documento no negociable ni legitimará para el ejercicio de los derechos patrimoniales o políticos.
ARTÍCULO 2.14.4.1.2. CERTIFICACIONES EXPEDIDAS POR LOS DEPÓSITOS. <Artículo modificado por el artículo 1 del Decreto 3960 de 2010. El nuevo texto es el siguiente:> En el certificado que expida el depósito de valores constarán el depósito y la titularidad de los valores objeto de anotación en cuenta. Estos certificados legitimarán al titular para ejercer los derechos que otorguen dichos valores.
El certificado deberá constar en un documento estándar físico o electrónico, de conformidad con lo establecido en el reglamento de operaciones del depósito centralizado de valores. Dicho certificado deberá contener como mínimo:
1. Identificación completa del titular del valor o del derecho que se certifica.
2. Descripción del valor o derecho por virtud del cual se expide, indicando su naturaleza, cantidad y el código o número de identificación de la emisión y el emisor, cuando a ello haya lugar.
3. La situación jurídica del valor o derecho que se certifica. En caso de existir y sin perjuicio de las obligaciones de reserva que procedan, deberán indicarse los gravámenes, medidas administrativas, cautelares o cualquier otra limitación sobre la propiedad o sobre los derechos que derivan de su titularidad.
4. Especificación del derecho o de los derechos para cuyo ejercicio se expide.
5. Firma del representante legal del depósito centralizado de valores o de la persona a quien este delegue dicha función.
6. Fecha de expedición.
7. De manera destacada, una advertencia en la cual se indique, que el certificado no es un documento negociable y que no es válido para transferir la propiedad del valor o derecho que incorpora.
PARÁGRAFO. Los certificados deberán expedirse a más tardar el día hábil siguiente al de la fecha de la solicitud.
ARTÍCULO 2.14.4.1.3. ALCANCE DE LOS CERTIFICADOS. <Artículo modificado por el artículo 1 del Decreto 3960 de 2010. El nuevo texto es el siguiente:> Los certificados cualifican a quien figura en los mismos como la persona legitimada para el ejercicio de los derechos incorporados en el valor depositado. Dichos certificados constituyen documentos probatorios que acreditan y evidencian el contenido de los registros en cuenta. Por consiguiente, no podrán ser utilizados para actos diferentes al ejercicio del derecho incorporado en los valores depositados
ARTÍCULO 2.14.4.1.4. EJERCICIO DE DERECHOS PATRIMONIALES POR PARTE DEL DEPÓSITO CENTRALIZADO DE VALORES. <Artículo modificado por el artículo 1 del Decreto 3960 de 2010. El nuevo texto es el siguiente:> Para el ejercicio de los derechos patrimoniales incorporados en valores depositados y cuya administración le haya sido encomendada, el depósito remitirá a la entidad emisora certificación discriminada de los valores de que se trate.
ARTÍCULO 2.14.4.1.5. CERTIFICADOS PARA EJERCER DERECHOS PATRIMONIALES POR PARTE DEL DEPOSITANTE. <Artículo modificado por el artículo 1 del Decreto 3960 de 2010. El nuevo texto es el siguiente:>
Cuando a solicitud del depositante directamente o por conducto de su mandatario, el depósito centralizado de valores expida un certificado para efectos del ejercicio de los derechos patrimoniales incorporados en los valores o derechos, el emisor deberá informar al depósito sobre el ejercicio de dichos derechos para que este haga la anotación correspondiente en sus registros.
En todo caso en que se ejerza un derecho patrimonial ante el emisor el mismo retendrá el certificado si se ejercieron todos los derechos a que se refiere, o hará una anotación en el certificado cuando el ejercicio de los derechos fuere parcial.
Si el emisor del título no informa al depósito sobre el ejercicio de tales derechos, toda orden de transferencia de dicho valor que se envíe al depósito deberá ir acompañada del respectivo certificado con el fin de que el depósito lo cancele, o en su defecto el depositante manifestará por escrito que se ejercieron los derechos, con base en lo cual el depósito hará la anotación correspondiente.
PARÁGRAFO. <Inciso 1 modificado el artículo 48 del Decreto 1745 de 2020. El nuevo texto es el siguiente:> En aquellos eventos en que el depósito no tenga la administración del respectivo valor y reciba orden de embargo informará inmediatamente al emisor para los efectos previstos en el inciso tercero del numeral 6 del artículo 593 del Código General del Proceso, o las normas que lo modifiquen, sustituyan o adicionen.
En los casos en que el emisor reciba una orden de embargo de un título nominativo depositado, deberá informar inmediatamente del embargo al depósito.
ARTÍCULO 2.14.4.1.6. CERTIFICADOS PARA EJERCER DERECHOS EN ASAMBLEAS. <Artículo modificado por el artículo 1 del Decreto 3960 de 2010. El nuevo texto es el siguiente:> Cuando se expida un certificado para ejercer los derechos incorporados en acciones o en bonos en una asamblea de accionistas o de tenedores de bonos, el depósito centralizado de valores se abstendrá de registrar transferencias sobre tales títulos, mientras no se le restituya el certificado, o sea informado por la sociedad emisora o por el representante de los tenedores de los bonos que la asamblea se realizó.
PARÁGRAFO 1o. Cuando el depositante directo, bien sea actuando por cuenta propia o en nombre de terceros, solicite certificados para el ejercicio de derechos políticos derivados de los mismos, deberá elevar ante el depósito centralizado de valores una petición indicando los valores sobre los cuales pretende que verse el certificado, la fecha en que se vaya a celebrar la asamblea, los derechos que en la misma se van a ejercer y el tipo de asamblea a llevarse a cabo.
La certificación que sea expedida en este sentido, tendrá validez únicamente para el ejercicio de los derechos en una sola asamblea, incluyendo las sesiones que tengan lugar por suspensiones de la misma.
PARÁGRAFO 2o. En el evento que el depósito centralizado de valores administre posiciones de sus depositantes directos en valores extranjeros en el mercado local, o posiciones de sus depositantes directos en el exterior, podrá proveer procesos electrónicos para canalizar la documentación de sus depositantes relacionada con las asambleas donde estos deban ejercer sus derechos, a fin que puedan ser representados a través de un apoderado ante el respectivo emisor.
ARTÍCULO 2.14.4.1.7. REPRESENTACIÓN PARA EL EJERCICIO DE DERECHOS. <Artículo modificado por el artículo 1 del Decreto 3960 de 2010. El nuevo texto es el siguiente:> Los depósitos de valores locales establecerán a través de sus reglamentos mecanismos eficaces, públicos y suficientes, que permitan a los inversionistas extranjeros en valores locales, directamente o a través de mandatarios, ser representados ante el emisor local para el ejercicio de los derechos que otorguen tales valores. Así mismo, los depósitos locales podrán realizar todas las actividades necesarias ante los demás depósitos extranjeros, para garantizar a los inversionistas locales en valores extranjeros el ejercicio de sus derechos ante los respectivos emisores extranjeros.
ARTÍCULO 2.14.4.1.8. CONSTANCIA DE DEPÓSITOS DE EMISIONES. <Artículo modificado por el artículo 1 del Decreto 3960 de 2010. El nuevo texto es el siguiente:> De conformidad con el artículo 22 de la Ley 27 de 1990, los Depósitos Centralizados de Valores deberán expedir a los suscriptores de una emisión una constancia del depósito, la cual contendrá por lo menos las siguientes menciones:
1. Identificación plena del emisor.
2. La emisión que ha sido depositada.
3. Características del valor.
4. La participación que le corresponda al suscriptor en la respectiva emisión, y
5. Término de vigencia por el cual se expide y la indicación de que solo constituye una constancia que acredita la entrega de los títulos a los suscriptores.
ARTÍCULO 2.14.4.1.9. DUPLICADO DEL CERTIFICADO. <Artículo modificado el artículo 49 del Decreto 1745 de 2020. El nuevo texto es el siguiente:>
El depositario deberá entregar duplicado del certificado original siempre y cuando se denuncie la pérdida, destrucción o sustracción. Para el efecto tal certificado debe indicar visible y claramente que es un "duplicado". Una vez expedido se dará informe inmediato a la entidad emisora y su expedición priva de valor la certificación originaria.
ARTÍCULO 2.14.4.1.10. CONSERVACIÓN DE INFORMACIÓN. <Artículo modificado por el artículo 1 del Decreto 3960 de 2010. El nuevo texto es el siguiente:> Los Depósitos Centralizados de Valores conservarán durante el término señalado por la ley la información que permita reconstruir los registros practicados a nombre de cada titular.
ARTÍCULO 2.14.4.1.11. REPOSICIÓN DE TÍTULOS Y OTORGAMIENTO DE LA CAUCIÓN. <Artículo modificado por el artículo 1 del Decreto 3960 de 2010. El nuevo texto es el siguiente:> De conformidad con lo dispuesto en el artículo 29 de la Ley 27 de 1990, en caso de pérdida, destrucción, extravío o hurto de los valores depositados, los depósitos centralizados de valores podrán solicitar a la entidad emisora la reposición de los mismos, para lo cual otorgarán caución suficiente, consistente en una póliza de cumplimiento por el valor del título expedida a favor del emisor por una compañía de seguros vigilada por la Superintendencia Financiera de Colombia, que cubra cualquier riesgo que se pueda derivar de la reposición y garantice el pago de las obligaciones y perjuicios que se ocasionen al emisor.
La vigencia de la póliza comprenderá el plazo faltante del vencimiento del título más el término de la prescripción, tanto de la acción cambiaria como de la acción de enriquecimiento sin causa, derivada del mismo título.
Todo ello, sin perjuicio de la obligación del depósito centralizado de valores de adelantar las acciones legales para obtener la cancelación del título objeto de reposición.
DEPÓSITO CENTRAL DE VALORES DEL BANCO DE LA REPÚBLICA.
ARTÍCULO 2.14.5.1.1. FUNCIONES. <Artículo modificado por el artículo 1 del Decreto 3960 de 2010. El nuevo texto es el siguiente:> El depósito central de valores creado en el Banco de la República, tendrá como funciones recibir en depósito y administración los títulos que emita, garantice o administre el propio Banco y los valores que constituyan inversiones forzosas o sustitutivas a cargo de las sociedades sometidas a la inspección y vigilancia de la Superintendencia Financiera de Colombia, distintos de acciones.
ARTÍCULO 2.14.5.1.2. USUARIOS. <Artículo modificado por el artículo 1 del Decreto 3960 de 2010. El nuevo texto es el siguiente:> Podrán tener acceso a los servicios del depósito central de valores del Banco de la República, las entidades sujetas a la inspección y vigilancia de la Superintendencia Financiera de Colombia y las personas que posean o administren los títulos o valores a que se refiere el artículo anterior, en las condiciones que establezca la Junta Directiva del Banco de la República.
ARTÍCULO 2.14.5.1.3. RÉGIMEN LEGAL. <Artículo modificado por el artículo 1 del Decreto 3960 de 2010. El nuevo texto es el siguiente:> La Junta Directiva del Banco de la República podrá dictar las demás disposiciones que sean necesarias para desarrollar el mandato contenido en el artículo 2.14.5.1.1.
NORMAS APLICABLES A LOS SISTEMAS DE NEGOCIACIÓN DE VALORES Y DE REGISTRO DE OPERACIONES SOBRE VALORES.
ÁMBITO DE APLICACIÓN Y AUTORIZACIÓN PARA EL DESARROLLO DE LA ACTIVIDAD DE ADMINISTRACIÓN DE SISTEMAS DE NEGOCIACIÓN DE VALORES Y REGISTRO DE OPERACIONES SOBRE VALORES.
ASPECTOS GENERALES.
ARTÍCULO 2.15.1.1.1 ÁMBITO DE APLICACIÓN.
<Fuente original compilada: R. 400/95 Art. 4.1.1.1 Subrogado por el D. 1120/08 Art. 1o. Modificado por el D. 4808/08 Art. 4o.> Las disposiciones que integran los Títulos 1, 2, 3 y 4 del presente Libro regulan laadministración, funcionamiento y utilización de los sistemas de negociación de valores y de registro de operaciones sobre valores distintos de acciones inscritas en bolsas de valores, bonos obligatoriamente convertibles en acciones inscritas en bolsas de valores, instrumentos financieros derivados cuyo subyacente sean acciones inscritas en bolsas de valores y de otros valores de renta variable que se inscriban en estas bolsas, así como la participación de los agentes en los mismos.
<Inciso modificado el artículo 50 del Decreto 1745 de 2020. El nuevo texto es el siguiente:> Dichos sistemas serán el conjunto de elementos, incluida la infraestructura electrónica, de voz o mixta, establecidos para la negociación de valores o el registro de operaciones sobre valores.
ARTÍCULO 2.15.1.1.2 AUTORIZACIÓN.
<Fuente original compilada: R. 400/95 Art. 4.1.1.2 Subrogado por el D. 1120/08 Art. 1o.> La administración de sistemas de negociación de valores y de sistemas de registro de operaciones sobre valores, sólo podrá ser desarrollada por las entidades sometidas a inspección y vigilancia de la Superintendencia Financiera de Colombia, que se encuentren habilitadas para el efecto y que hayan sido autorizadas previa y expresamente por esta entidad respecto de los sistemas que pretenda administrar, de conformidad con las disposiciones del presente Título.
ARTÍCULO 2.15.1.1.3 REQUISITOS DE ORGANIZACIÓN.
<Fuente original compilada: R. 400/95 Art. 4.1.1.3 Subrogado por el D. 1120/08 Art. 1o.> Las entidades que pretendan administrar un sistema de negociación de valores y/o un sistema de registro de operaciones sobre valores deberán acreditar el cumplimiento de los siguientes requisitos:
a) Establecerse como sociedades anónimas cumpliendo el trámite de autorización previsto en el artículo 53 del Estatuto Orgánico del Sistema Financiero para su constitución;
b) Inscribirse en el Registro Nacional de Agentes del Mercado de Valores – RNAMV en su calidad de proveedores de infraestructura del mercado de valores, en los términos y condiciones establecidos el presente decreto o demás normas que la modifiquen o sustituyan.
c) Establecer políticas y procedimientos adecuados y suficientes para garantizar que los miembros de su junta directiva, sus representantes legales, sus funcionarios, sus empleados y demás personas vinculadas a la entidad reúnan las más altas calidades y condiciones de honorabilidad, corrección y competencia técnica;
d) Establecer medidas administrativas y de organización efectivas con el propósito de prevenir, administrar y revelar conflictos de interés;
e) Adoptar medidas para garantizar la continuidad y la regularidad de los mecanismos y dispositivos implementados para el funcionamiento del sistema de negociación o registro. Para el efecto, la sociedad administradora deberá emplear sistemas, recursos y procedimientos adecuados y proporcionales al tamaño, frecuencia y complejidad de los negocios que a través de dichos sistemas se realicen o registren, y
f) Disponer de procedimientos administrativos y contables adecuados,mecanismos de control interno, técnicas eficaces de administración y control de riesgos y mecanismos eficaces de control y salvaguardia de sus sistemas informáticos.
PARÁGRAFO. No se aplicará al Banco de la República, como administrador de sistemas de negociación o de registro, lo establecido en los literales a) y c) del presente artículo.
ARTÍCULO 2.15.1.1.4 TÍTULOS O VALORES OBJETO DE NEGOCIACIÓN O DE REGISTRO.
<Artículo modificado por el artículo 5 del Decreto 1351 de 2019. El nuevo texto es el siguiente:> Podrán ser objeto de negociación o de registro en los sistemas regulados en este Título, los valores o títulos distintos de acciones y bonos obligatoriamente convertibles en acciones, que se encuentren inscritos en el Registro Nacional de Valores y Emisores (RNVE).
Las operaciones previstas en el Capítulo 5 del Título 3 del Libro 36 de la Parte 2 del presente decreto realizadas sobre acciones y bonos obligatoriamente convertibles en acciones podrán ser objeto de registro en los sistemas regulados en este título.
<Fuente original compilada: R. 400/95 Art. 4.1.1.5 Subrogado por el D. 1120/08 Art. 1o.> En los sistemas de negociación de valores o en los sistemas de registro de operaciones sobre valores podrán celebrarse o registrarse operaciones de contado, operaciones a plazo, operaciones de reporto o repo, simultáneas, operaciones de transferencia temporal de valores y aquellas que de manera general y previa autorice la Superintendencia Financiera de Colombia.
<Fuente original compilada: R. 400/95 Art. 4.1.1.6 Subrogado por el D. 1120/08 Art. 1o.> La Superintendencia Financiera de Colombia impartirá las instrucciones relativas a la interconexión de los sistemas de negociación de valores y los sistemas de registro de operaciones sobre valores, entre sí y con los sistemas de compensación y liquidación de operaciones sobre valores, los sistemas de compensación y liquidación de pagos, los depósitos centralizados de valores, las cámaras de riesgo central de contraparte y las entidades que suministren profesionalmente información al mercado de valores de que trata el literal k) del artículo 2.15.1.2.3 del presente decreto.
ARTÍCULO 2.15.1.1.7 DE LA COMPENSACIÓN Y LIQUIDACIÓN DE LAS OPERACIONES SOBRE VALORES.
<Fuente original compilada: R. 400/95 Art. 4.1.1.7 Subrogado por el D. 1120/08 Art. 1o.> Todas las operaciones sobre valores realizadas en un sistema de negociación de valores o registradas en un sistema de registro de operaciones sobre valores deberán ser compensadas y liquidadas por el mecanismo de entrega contra pago en los sistemas de compensación y liquidación autorizados, salvo las excepciones contenidas en los reglamentos autorizados por la Superintendencia Financiera de Colombia.
DE LAS ENTIDADES HABILITADAS PARA ADMINISTRAR SISTEMAS DE NEGOCIACIÓN DE VALORES Y SISTEMAS DE REGISTRO DE OPERACIONES SOBRE VALORES.
ARTÍCULO 2.15.1.2.1 ENTIDADES HABILITADAS.
<Fuente original compilada: R. 400/95 Art. 4.1.2.1 Subrogado por el D. 1120/08 Art. 1o.> Podrán administrar sistemas de negociación de valores, el Banco de la República, las bolsas de valores, las bolsas de bienes y productos agropecuarios, agroindustriales y de otros commodities, así como las sociedades anónimas a que se refiere el artículo 67 de la Ley 964 de 2005.
También podrán administrar sistemas de registro de operaciones sobre valores, las entidades previstas en el inciso anterior, así como los administradores de sistemas de compensación y liquidación de operaciones sobre valores.
En los sistemas de negociación de valores o de registro de operaciones sobre valores que administren las bolsas de bienes y productos agropecuarios y agroindustriales y de otros commodities, únicamente se podrán efectuar operaciones cuyo subyacente sea ese tipo de bienes.
<Fuente original compilada: R. 400/95 Art. 4.1.2.2 Subrogado por el D. 1120/08 Art. 1o.> Además de las entidades mencionadas en el artículo 67 de la Ley 964 de 2005, podrá ser accionista de una sociedad administradora de sistemas de negociación de valores o de sistemas de registro de operaciones sobre valores cualquier persona natural o jurídica que no tenga prohibido tener tal calidad según su régimen normativo.
PARÁGRAFO (Modificado por el D. 450/09 Art. 1o.) Nadie podrá ser beneficiario real de un número de acciones que represente más del treinta por ciento (30%) del capital social de las sociedades cuyo objeto social exclusivo es la administración de sistemas de negociación de valores o de sistemas de registro de operaciones sobre valores.
No obstante lo anterior, las bolsas de valores, las bolsas de futuros y opciones, las bolsas de bienes y productos agropecuarios, agroindustriales o de otros commodities, los depósitos centralizados de valores, las sociedades administradoras de sistemas de intercambios comerciales del mercado mayorista de energía eléctrica, los organismos de autorregulación y las sociedades extranjeras cuyo objeto sea desarrollar la administración de bolsas de valores, de sistemas de negociación de valores o de sistemas de registro de operaciones sobre valores y sean reconocidas internacionalmente por ello, podrán tener la calidad de beneficiario real de un número de acciones equivalente al cien por ciento (100%) del capital social del administrador de los sistemas de negociación de valores o de los sistemas de registro de operaciones sobre valores.
La Superintendencia Financiera de Colombia establecerá por norma de carácter general, las condiciones que se deben acreditar para ser considerada como una sociedad extranjera reconocida por desarrollar la administración de bolsas de valores, de sistemas de negociación de valores o de sistemas de registro de operaciones sobre valores.
ARTÍCULO 2.15.1.2.3 DEBERES DE LA ENTIDAD ADMINISTRADORA.
<Fuente original compilada: R. 400/95 Art. 4.1.2.3 Subrogado por el D. 1120/08 Art. 1o.> Las entidades administradoras de sistemas de negociación de valores y de sistemas de registro de operaciones sobre valores tendrán los siguientes deberes:
a) Expedir el reglamento de funcionamiento del sistema o sistemas que administre;
b) Recibir, evaluar, tramitar y decidir las solicitudes de afiliación al sistema o sistemas que administre. Para tal efecto, deberá establecer en su reglamento criterios de admisión que garanticen la igualdad de condiciones para los postulantes;
c) Llevar el registro de los afiliados al sistema o sistemas administrados y mantenerlo permanentemente actualizado;
d) Llevar y mantener actualizado un registro de los valores que podrán ser transados o registrados por su conducto, que incluya las características e información necesaria para su correcta identificación, negociación y registro;
e) Adoptar mecanismos eficaces para facilitar la compensación y liquidación eficiente de las operaciones sobre valores ejecutadas o registradas por conducto de los sistemas bajo su administración, en los términos del artículo 2.15.1.1.6 del presente decreto;
f) Llevar un registro de todas las operaciones sobre valores que se realicen o registren por conducto del sistema o sistemas bajo su administración; de todas las posturas de oferta y demanda que se coloquen en los sistemas de negociación de valores; así como la remisión de todos los mensajes y avisos que se envíen a través de éstos;
g) Llevar un registro actualizado de los operadores autorizados;
h) Contar con mecanismos y procesos para el manejo de la información de los sistemas que administran;
i) Velar por el correcto funcionamiento del sistema o sistemas bajo su administración;
j) Identificar, controlar y gestionar adecuadamente los riesgos a los que está expuesta la entidad y los sistemas que administre;
k) Proveer información de precio o tasas y montos sobre las operaciones cerradas o registradas por su conducto a los proveedores de precios que autorice la Superintendencia Financiera de Colombia, atendiendo las instrucciones de carácter general que para el efecto imparta dicho organismo y en los términos y condiciones que se acuerden con tales proveedores;
l) Prestar a los organismos de autorregulación aprobados por la Superintendencia Financiera de Colombia la colaboración que resulte necesaria para el adecuado cumplimiento de sus funciones, incluyendo el suministro de la información que éstos requieran para el desarrollo y cumplimiento de tales funciones;
m) Propender por la integridad, transparencia y eficiencia del mercado de valores en el ámbito de los sistemas que administre; y
n) Guardar estricta confidencialidad sobre toda información reservada de los afiliados y los antecedentes relacionados con las operaciones y los negocios realizados, sean éstos pasados, presentes o futuros. Lo anterior sin perjuicio de aquella información que deba reportar periódica o eventualmente a las autoridades o a los organismos de autorregulación, en relación con los sistemas y sus respectivas operaciones realizadas o registradas, o de aquella información que deba entregar por decisión judicial o administrativa;
ARTÍCULO 2.15.1.2.4 PROHIBICIÓN ESPECIAL PARA LOS ADMINISTRADORES DE SISTEMAS.
<Fuente original compilada: R. 400/95 Art. 4.1.2.4 Subrogado por el D. 1120/08 Art. 1o.> Los administradores de sistemas de negociación de valores y de registro de operaciones sobre valores bajo ninguna circunstancia asumirán el carácter de contraparte en las operaciones que se realicen a través de los sistemas administrados, o de otros sistemas de negociación de valores o de registro de operaciones sobre valores, en los cuales se negocien o registren valores de la misma especie de los que se negocian o registren por conducto de aquellos.
PARÁGRAFO. Lo previsto en el presente artículo no aplicará al Banco de la República cuando su actuación como contraparte resulte necesaria para el cumplimento de sus funciones constitucionales y legales.
PARTICIPANTES EN LOS SISTEMAS.
ARTÍCULO 2.15.1.3.1 AFILIACIÓN A LOS SISTEMAS.
<Fuente original compilada: R. 400/95 Art. 4.1.3.1 Subrogado por el D. 1120/08 Art. 1o.> Las personas o entidades que deseen afiliarse a un sistema de negociación de valores o de registro de operaciones sobre valores deberán obtener la autorización de conformidad con lo establecido por el administrador del sistema en el respectivo reglamento.
ARTÍCULO 2.15.1.3.2 REQUISITOS DE PARTICIPACIÓN.
<Fuente original compilada: R. 400/95 Art. 4.1.3.2 Subrogado por el D. 1120/08 Art. 1o.> Para poder negociar a través de un sistema de negociación de valores o registrar en un sistema de registro de operaciones sobre valores, se requiere el cumplimiento de los siguientes requisitos:
a) Estar inscrito en el Registro Nacional de Agentes del Mercado de Valores - RNAMV;
b) Ser admitido como afiliado al sistema de negociación de valores o a un sistema de registro de operaciones sobre valores;
c) Manifestar expresamente su aceptación de los reglamentos, circulares, instructivos operativos, y demás normas que expidan los administradores del sistema de negociación de valores o del sistema de registro de operaciones sobre valores. La participación por parte del afiliado en el respectivo sistema, supone la plena aceptación de las normas antes enunciadas.
d) Disponer, en todo momento, de la capacidad administrativa, operativa, técnica, tecnológica y de comunicaciones necesaria para operar en el sistema de negociación de valores o en el sistema de registro de operaciones sobre valores, incluyendo una adecuada estructura de administración y control de riesgos, de acuerdo a los requerimientos establecidos por el administrador del sistema.
e) Ser un intermediario de valores vigilado por la Superintendencia Financiera de Colombia o una entidad pública autorizada para ser afiliada a un sistema de negociación de valores, miembro de un organismo de autorregulación y mantener tales calidades durante su permanencia como afiliado al sistema de negociación de valores o al sistema de registro de operaciones sobre valores.
f) Participar, cuando así lo disponga el administrador respectivo, en las pruebas o programas implementados para verificar y garantizar el adecuado funcionamiento del sistema o sistemas y de los planes de contingencia.
PARÁGRAFO. Se entiende que los afiliados a los sistemas de negociación de valores y a los sistemas de registro de operaciones sobre valores, las personas vinculadas a éstos y las personas que negocien a través de los afiliados que puedan actuar a nombre de terceros en los sistemas, conocen y aceptan los Reglamentos, Circulares e Instructivos Operativos de los administradores de sistemas de negociación de valores o de registro de operaciones sobre valores que se encuentren debidamente publicados. En consecuencia en ningún momento servirá como excusa la ignorancia de dichos Reglamentos, Circulares e Instructivos Operativos y por lo tanto los mismos obligan en los términos en ellos previstos.
Para los efectos previstos en este artículo, se entiende por personas vinculadas a los afiliados, aquellas que hayan celebrado con éstas, directa o indirectamente, contrato de trabajo, agencia, mandato, prestación de servicios, u otro equivalente.
DEL REGLAMENTO DE FUNCIONAMIENTO Y OPERACIÓN DE LOS SISTEMAS.
ARTÍCULO 2.15.1.4.1 CONTENIDO MÍNIMO DEL REGLAMENTO.
<Fuente original compilada: R. 400/95 Art. 4.1.4.1 Subrogado por el D. 1120/08 Art. 1o.> El reglamento que se expida para la operación y funcionamiento del sistema de negociación de valores y/o del sistema de registro de operaciones sobre valores, así como sus modificaciones, deberá estar aprobado por la Superintendencia Financiera de Colombia y contener como mínimo lo siguiente:
a) Procedimientos para su aprobación y modificación por parte del administrador del respectivo sistema;
b) Criterios para la admisión y desvinculación de afiliados;
c) Derechos y obligaciones de los afiliados al sistema;
d) Derechos, facultades y obligaciones del administrador del sistema;
e) Los valores que serán objeto de negociación o de registro en el sistema; así como, las modalidades de operaciones que se podrán celebrar sobre esos valores;
f) Las reglas para el funcionamiento y operación del sistema de negociación de valores, así como las reglas para el funcionamiento y operación del sistema de registro de operaciones sobre valores, cuando corresponda;
g) La descripción de los módulos para la negociación de valores o registro de operaciones sobre valores;
Las políticas y reglas para difundir la información a los afiliados al respectivo sistema, a los demás sistemas y entidades previstos en el artículo 2.15.1.1.6 del presente decreto y al mercado, atendiendo las instrucciones especiales que para el efecto emita la Superintendencia Financiera de Colombia;
h) Las reglas que permitan el acceso y la identificación de los participantes, así como la verificación de que la compensación y liquidación de las operaciones sea realizada en un sistema autorizado para ello;
i) Los mecanismos a través de los cuales se solucionarán las controversias o conflictos que se presenten entre los afiliados que realicen o registren operaciones a través del respectivo sistema;
j) Las reglas objetivas para iniciar planes de contingencia y continuidad que deberán aplicarse en caso de fallas en el funcionamiento del sistema;
k) La política general en materia de derechos o tarifas a cargo de los afiliados por la utilización del servicio por el suministro de información. Las tarifas deberán ser publicadas en la página de Internet del administrador del sistema de negociación de valores o de registro de operaciones sobre valores, así como los criterios para su modificación;
l) Las reglas de auditoría a las cuales se someterá el sistema de negociación o registro de valores, de conformidad con las instrucciones que al respecto imparta la Superintendencia Financiera de Colombia;
m) Los demás aspectos que establezca la Superintendencia Financiera de Colombia para preservar la seguridad, eficiencia y transparencia del mercado de valores.
PARÁGRAFO. Los administradores de varios sistemas de negociación de valores o sistemas de registro de operaciones sobre valores, podrán tener un único reglamento para todos ellos, siempre que se reconozcan las diferencias entre cada uno de éstos.
MONITOREO DE LOS SISTEMAS.
ARTÍCULO 2.15.1.5.1 DEBER DE MONITOREAR.
<Fuente original compilada: R. 400/95 Art. 4.1.5.1 Subrogado por el D. 1120/08 Art. 1o. Modificado por el D. 4808/08 Art. 8o> Los administradores de sistemas de negociación de valores o de registro de operaciones sobre valores deberán adoptar y mantener mecanismos y procedimientos eficaces para monitorear las ofertas, posturas y operaciones que se realicen o registren por conducto de sus sistemas, con el fin de verificar el cumplimiento por parte de los afiliados de las obligaciones que les asistan en tal calidad.
Los administradores de sistemas de negociación de valores o de registro de operaciones sobre valores, también deberán adoptar y mantener mecanismos y procedimientos eficaces que les permita verificar el cumplimiento de las operaciones realizadas o registradas en los sistemas que administran.
De igual manera, deberán poner a disposición de la Superintendencia Financiera de Colombia y de los organismos de autorregulación, la información que conozcan acerca de las posibles infracciones que puedan haber cometido los afiliados al sistema y en general cualquier hecho que pueda ser susceptible de investigación por parte de estas entidades.
Así mismo, cuando el supervisor o el autorregulador adelanten investigaciones, los administradores de los sistemas deberán prestarles la colaboración necesaria y poner a su disposición la información que de acuerdo con sus atribuciones legales estos requieran.
PARÁGRAFO. Los administradores de los sistemas deberán implementar mecanismos para que los afiliados informen, incluso con protección de identidad, acerca de las posibles infracciones que puedan haber cometido otros afiliados al sistema y en general cualquier hecho que pueda ser susceptible de investigación. La omisión del deber de informar por parte de los afiliados se considerará en sí mismo una conducta contraria a la integridad del mercado de valores.
ARTÍCULO 2.15.1.5.2 ARCHIVO Y CUSTODIA DE PISTAS DE AUDITORÍA.
<Fuente original compilada: R. 400/95 Art. 4.1.5.2 Modificado por el D. 4808/08 Art. 8o.> Los administradores de sistemas de negociación o registro deberán contar con procesos de archivo y custodia de pistas de auditoría para asegurar la trazabilidad de las órdenes y operaciones que se realicen o registren por su conducto.
Los procesos de archivo y custodia de pistas de auditoría deben diseñarse para facilitar, entre otros, el cumplimiento eficiente y oportuno del deber de monitoreo de que trata el artículo anterior.
ARTÍCULO 2.15.1.5.3 CONSERVACIÓN DE DATOS SOBRE OPERACIONES, REGISTROS, POSTURAS Y MENSAJES.
<Fuente original compilada: R. 400/95 Art. 4.1.5.3 Subrogado por el D. 1120/08 Art. 1o.> Los administradores de sistemas de negociación de valores y de sistemas de registro de operaciones sobre valores deberán mantener y conservar toda la información relativa a las operaciones, registros, posturas y los mensajes o avisos que se realicen o coloquen a través de los sistemas que administren, durante el término previsto en el artículo 96 del Estatuto Orgánico del Sistema Financiero para la conservación de los libros, soportes, comprobantes y demás documentación de carácter contable.
En todo caso, respecto de cada operación, como mínimo, se deberá conservar la siguiente información:
a) Fecha y hora en la cual la operación se ejecutó, o se registró, por cada contraparte (expresadas en términos de año, mes, día, horas, minutos y segundos);
b) Identificación del valor;
c) Tipo de operación;
d) Precio o tasa de la operación;
e) Monto nominal de la operación;
f) Valor transado;
g) Identificación de los afiliados, operadores participantes en la operación;
h) Indicación de modalidad de participación del afiliado (por cuenta propia o por cuenta de terceros);
i) Identificación del cliente, cuando se trate de operaciones por cuenta de terceros;
j) Identificación de la contraparte, cuando se trate de operaciones en el mercado mostrador registradas en el sistema de registro.
k) Forma de liquidación;
l) Fecha de la liquidación;
m) Fecha y hora del ingreso de las ofertas de compra y de venta (expresada en términos de año, mes, día, horas, minutos y segundos), en el caso de los sistemas de negociación;
n) Cualquier otra que establezca la Superintendencia Financiera de Colombia.
PARÁGRAFO. Las sociedades administradoras de sistemas de negociación o registro estarán obligadas a proporcionar a la Superintendencia Financiera de Colombia y a los organismos autorreguladores, los datos, informes, registros, libros de actas, auxiliares, documentos, correspondencia y en general, la información que la entidad de supervisión o autorregulación estime necesaria en la forma y términos que les señale, así como a permitirles el acceso a sus oficinas, locales y demás instalaciones, cuando la información requerida y el acceso resulten necesarios para el cumplimiento de sus funciones.
DE LOS SISTEMAS DE NEGOCIACIÓN DE VALORES.
ASPECTOS GENERALES.
ARTÍCULO 2.15.2.1.1 DEFINICIÓN.
<Fuente original compilada: R. 400/95 Art. 4.2.1.1 Subrogado por el D. 1120/08 Art. 1o.> Un sistema de negociación de valores es un mecanismo de carácter multilateral y transaccional, mediante el cual concurren las entidades afiliadas al mismo, bajo las reglas y condiciones establecidas en el presente decreto, en el reglamento aprobado por la Superintendencia Financiera de Colombia y aquellas adoptadas por la entidad administradora, para la realización en firme de ofertas sobre valores que se cierren en el sistema y para la divulgación de información al mercado sobredichas operaciones.
Son parte del sistema, tanto la reglamentación que se expida para su funcionamiento y operación, así como, todos los medios y mecanismos que se empleen para la colocación, presentación, confirmación, tratamiento, ejecución, e información de las ofertas de compra o venta de valores desde el momento en que éstas son recibidas por el sistema hasta el momento en que se transmiten para su compensación y liquidación posterior.
ARTÍCULO 2.15.2.1.2 CARACTERÍSTICAS DE LOS SISTEMAS DE NEGOCIACIÓN DE VALORES.
<Fuente original compilada: R. 400/95 Art. 4.2.1.2 Subrogado por el D. 1120/08 Art. 1o.> Los sistemas de negociación de valores cuyo funcionamiento se autorice deben promover la eficiencia y liquidez del mercado de valores en el ámbito correspondiente e incluir reglas de transparencia en las operaciones, garantizar la diseminación de la información respecto de las ofertas de compra y venta a sus afiliados; así como, de las operaciones que se celebren por su conducto.
Dichos sistemas se deben diseñar para operar de manera organizada, eficiente, segura, transparente y para garantizar un tratamiento equitativo a todos los participantes.
TRANSPARENCIA EN LAS OPERACIONES REALIZADAS EN LOS SISTEMAS DE NEGOCIACIÓN DE VALORES.
ARTÍCULO 2.15.2.2.1 DEFINICIÓN.
<Fuente original compilada: R. 400/95 Art. 4.2.2.1 Subrogado por el D. 1120/08 Art. 1o. Modificado por el D. 4808/08 Art. 5o.> Para efectos de lo dispuesto en el presente Título, se entiende por transparencia en las operaciones realizadas en un sistema de negociación de valores, la oportunidad y la suficiencia con las cuales la información relativa a las ofertas de compra y venta de valores, los precios o tasas de las operaciones y el volumen de estas, se hace disponible a los afiliados al sistema, a los organismos de autorregulación, al mercado, a los inversionista: interesados y al público en general.
<Fuente original compilada: R. 400/95 Art. 4.2.2.1 Subrogado por el D. 1120/08 Art. 1o.> Los administradores de sistemas de negociación de valores deberán revelar a sus afiliados en el foro de negociación los precios o tasas de compra y venta de las posturas vigentes en el sistema cuando se reciben las mismas.
<Fuente original compilada: R. 400/95 Art. 4.2.2.3 Subrogado por el D. 1120/08 Art. 1o. Modificado por el D. 4808/08 Art. 6o.> Los administradores de sistemas de negociación de valores deberán informar a sus afiliados y a los organismos de autorregulación el precio o tasa, el volumen y la hora de las operaciones realizadas, de acuerdo con sus reglamentos.
Se deberá revelar, al menos diariamente, por cada una de las especies negociadas, de manera amplia y oportuna, los precios o tasas de apertura, promedio mínimo, máximo y de cierre de las operaciones realizadas, volúmenes totales y número de transacciones que lo componen.
PARÁGRAFO. La Superintendencia Financiera de Colombia podrá determinar la forma, contenido, términos y condiciones, en las cuales la información sobre las operaciones realizadas en el sistema de negociación de valores deberá colocarse a disposición del público.
SISTEMAS DE REGISTRO DE OPERACIONES SOBRE VALORES.
ASPECTOS GENERALES.
ARTÍCULO 2.15.3.1.1 DEFINICIÓN.
.
<Fuente original compilada: R. 400/95 Art. 4.3.1.1 Subrogado por el D. 1120/08 Art. 1o.> Son sistemas de registro de operaciones aquellos mecanismos que tengan como objeto recibir y registrar información de operaciones sobre valores que celebren en el mercado mostrador los afilados a dichos sistemas, o los afiliados al mismo con personas o entidades no afiliadas a tales sistemas, bajo las reglas y condiciones establecidas en el presente decreto, en el reglamento aprobado por la Superintendencia Financiera de Colombia y aquellas adoptadas por la entidad administradora.
ARTÍCULO 2.15.3.1.2 REGISTRO DE OPERACIONES.
<Fuente original compilada: R. 400/95 Art. 4.3.1.2 Subrogado por el D. 1120/08 Art. 1o.> Todas las operaciones realizadas en el mercado mostrador deberán ser registradas por las partes intervinientes. Dicho registro, será condición necesaria e indispensable para que las operaciones así celebradas, sean compensadas y liquidadas de acuerdo con lo dispuesto en el artículo 2.15.1.1.7 del presente decreto.
<Fuente original compilada: R. 400/95 Art. 4.3.1.3 Subrogado por el D. 1120/08 Art. 1o.> Todas las operaciones realizadas en el mercado mostrador entre afiliados a sistemas de registro de operaciones sobre valores y no afiliados a los mismos, deberán ser registradas por el afiliado.
PARÁGRAFO. Cuando se trate de operaciones celebradas como consecuencia de la participación de un intermediario de valores en desarrollo del contrato de corretaje de valores en el mercado mostrador los registros respectivos deberán ser efectuados por dicho intermediario.
ARTÍCULO 2.15.3.1.4 OBLIGACIÓN DE REGISTRAR OPORTUNAMENTE OPERACIONES.
<Fuente original compilada: R. 400/95 Art. 4.3.1.4 Subrogado por el D. 1120/08 Art. 1o.> De conformidad con lo establecido en el artículo 7.4.1.1.6 del presente decreto el registro de las operaciones deberá efectuarse en el tiempo, forma y condiciones que señale la Superintendencia Financiera de Colombia.
La omisión en el cumplimiento de la obligación de registrar oportunamente las operaciones por parte de los afiliados, se considera como una conducta contraria a la integridad en el mercado de valores, en los términos del literal b) del artículo 50 de la Ley 964 de 2005.
TRANSPARENCIA EN LAS OPERACIONES OBJETO DE REGISTRO.
ARTÍCULO 2.15.3.2.1 DEFINICIÓN.
<Fuente original compilada: R. 400/95 Art. 4.3.2.1 Subrogado por el D. 1120/08 Art. 1o. Modificado por el D. 4808/08 Art. 9o.> Para efectos de lo dispuesto en el presente Título, se entiende por transparencia en las operaciones realizadas en el mercado mostrador y registradas en un sistema de registro de operaciones sobre valores, la oportunidad y la suficiencia, con las cuales la información relativa a dichas operaciones, el precio o la tasa y el volumen de estas, se hace disponible a los organismos de autorregulación, a los afiliados al sistema y al público en general.
<Fuente original compilada: R. 400/95 Art. 4.3.2.2 Subrogado por el D. 1120/08 Art. 1o. Modificado por el D. 4808/08 Art. 9o.> Los administradores de sistemas de registro de operaciones sobre valores deberán informar a los organismos de autorregulación y a sus afiliados el precio o tasa, el volumen y la hora de registro de las operaciones registradas de acuerdo con su reglamento.
Se deberá revelar, al menos diariamente, por cada una de las especies registradas, de manera amplia y oportuna, los precios o tasas promedio, mínima y máxima y, volúmenes totales y número de transacciones que lo componen.
PARÁGRAFO 1. La Superintendencia Financiera de Colombia podrá determinar la forma, contenido, términos y condiciones en las cuales la información sobre las operaciones registradas en un sistema de registro de operaciones sobre valores deberá colocarse a disposición del público.
PARÁGRAFO 2. La Superintendencia Financiera de Colombia podrá instruir a los administradores de sistemas de registro de operaciones sobre los mecanismos para identificar operaciones no representativas de mercado por su monto, precio o tasa, para que puedan ser excluidas de cualquier obligación de transparencia.
Dichas operaciones deberán ser informadas a la Superintendencia Financiera de Colombia y a los organismos de autorregulación de valores.
<Fuente original compilada: R. 400/95 Art. 4.3.2.3 Subrogado por el D. 1120/08 Art. 1o.> Cuando un valor se pueda registrar en varios sistemas de registro de operaciones sobre valores, se deberán aplicar a dicho valor los mismos estándares de transparencia en todos los sistemas.
PLANES DE CONTINGENCIA Y CONTINUIDAD.
ARTÍCULO 2.15.4.1.1 SEGURIDAD INFORMÁTICA.
<Fuente original compilada: R. 400/95 Art. 4.4.1.1 Subrogado por el D. 1120/08 Art. 1o.> Los administradores de sistemas de negociación de valores y de registro de operaciones sobre valores, de conformidad con el tamaño y complejidad de los sistemas que administren, deberán diseñar e implementar un plan de contingencia y continuidad para el manejo, procesamiento, difusión, conservación y recuperación de la información relativa a las operaciones que se realicen o registren por su conducto.
Dicho plan deberá abarcar los elementos necesarios para asegurar la continuidad del funcionamiento de los sistemas de negociación de valores o de registro de operaciones sobre valores, con la finalidad primordial de prevenir y, en caso de ser necesario, solucionar los problemas, fallas e incidentes, que se puedan presentar en cualquiera de los dispositivos tecnológicos y de comunicaciones que conforman el respectivo sistema de negociación de valores o de registro de operaciones sobre valores o de cualquier otro recurso necesario para su funcionamiento. Para estos efectos, se deberán combinar controles preventivos, de detección y correctivos, con estrategias de recuperación.
PARÁGRAFO. La Superintendencia Financiera de Colombia, podrá determinar los componentes mínimos, requisitos, condiciones y demás características del plan de contingencias y de continuidad de operaciones.
ARTÍCULO 2.15.4.1.2 EXIGENCIAS A PROVEEDORES DE COMUNICACIONES.
<Fuente original compilada: R. 400/95 Art. 4.4.1.2 Subrogado por el D. 1120/08 Art. 1o. Modificado por el D. 4808/08 Art. 7o.> Las sociedades administradoras de sistemas de negociación de valores y de registro de operaciones sobre valores deberán exigir a sus proveedores de servicios de comunicaciones, que cuenten con un plan de contingencia para prevenir y solucionar los problemas, fallas e inconvenientes, que se puedan presentar en cualquiera de los dispositivos requeridos para el funcionamiento y operación de sus sistemas, en el menor tiempo posible.
El plan de contingencia deberá propender por la continuidad en las comunicaciones.
OTRAS DISPOSICIONES.
ARTÍCULO 2.15.5.1.1 RÉGIMEN DE TRANSICIÓN.
<Fuente original compilada: D. 1120/08 Art. 3o.> El presente Libro tendrá el siguiente régimen de transición:
1. Las entidades que actualmente administren sistemas de negociación de valores o de registro de operaciones sobre valores, deberán ajustar sus reglamentos a lo previsto en el presente decreto y obtener de la Superintendencia Financiera de Colombia la autorización correspondiente, dentro de un plazo de ocho (8) meses contados a partir del 11 de abril de 2008.
Las entidades administradoras de sistemas de negociación de valores o de registro de operaciones sobre valores que no obtengan dicha autorización, deberán abstenerse de continuar administrando estos sistemas a partir del vencimiento del plazo señalado en este numeral.
2. El Banco de la República podrá continuar administrando los sistemas de negociación de valores y registro de operaciones que administre al 11 de abril de 2008, debiendo ajustar sus reglamentos en la forma y en el plazo previsto en el numeral anterior.
3. Los intermediarios de valores que de acuerdo con el régimen previo al 11 de abril de 2008 estén obligados a realizar sus operaciones sobre valores a través de sistemas de negociación de valores, sólo podrán actuar en el mercado mostrador hasta cuando esté en funcionamiento un sistema de registro de operaciones que cumpla con el nuevo régimen previsto en el presente decreto.
4. Una vez esté en funcionamiento un sistema de registro de operaciones sobre valores que cumpla el nuevo régimen previsto en el presente decreto, los intermediarios de valores deberán registrar sus operaciones únicamente en sistemas de registro que observen íntegramente las disposiciones contempladas en este Decreto.
5. Los corredores de valores especializados en TES Clase B (CVETES) estarán sometidos a las disposiciones especiales que contemplen la terminación ordenada de su actividad.
<Fuente original compilada: D. 4808/08 Art. 11> Los administradores de sistemas de negociación de valores y de registro de operaciones sobre valores deberán presentar ante la Superintendencia Financiera de Colombia las modificaciones necesarias a sus reglamentos para que los mismos estén ajustados a lo previsto en los artículos 2.15.1.1.1, 2.15.2.2.1, 2.15.2.2.3, 2.15.4.1.2, 2.15.1.5.1 y 2.15.1.5.2 del presente decreto, a más tardar dentro de los tres (3) meses siguientes al 23 de diciembre de 2008.
LISTADO DE VALORES EXTRANJEROS EN LOS SISTEMAS DE COTIZACIÓN DE VALORES DEL EXTRANJERO.
DEL LISTADO DE VALORES EXTRANJEROS EN LOS SISTEMAS DE COTIZACIÓN DE VALORES DEL EXTRANJERO POR MEDIO DE LAS SOCIEDADES COMISIONISTAS DE BOLSA.
ARTÍCULO 2.15.6.1.1 ÁMBITO DE APLICACIÓN.
<Fuente original compilada: D. 3886/09 Art. 1o.> Con el presente régimen se regula el listado, negociación, registro, custodia, administración, compensación, liquidación y transferencia de valores extranjeros a que se refiere el numeral 2 del artículo 7.1.1.1.1 .del presente Decreto. En consecuencia, las operaciones sobre valores listados en los sistemas de cotización de valores extranjeros realizadas en ellos, constituyen intermediación de valores y su realización se entiende autorizada a las entidades indicadas en el artículo 7.1.1.1.1 y siguientes de la misma disposición.
Las disposiciones aquí dispuestas, se entienden sin perjuicio del cumplimiento de las normas cambiarias y de las que regulan la inversión de colombianos o residentes del país en el exterior.
ARTÍCULO 2.15.6.1.2 VALORES EXTRANJEROS.
<Fuente original compilada: D. 3886/09 Art. 2o.> Para efectos del presente decreto, se entiende por valores extranjeros, todos aquellos que hayan sido emitidos fuera del país por emisores nacionales o extranjeros bajo la regulación de un país extranjero, siempre y cuando gocen del reconocimiento a que se refiere el artículo 2.15.6.1.5 del presente Decreto y se enmarquen dentro del concepto de valor de conformidad con el artículo 2o de la Ley 964 de 2005.
ARTÍCULO 2.15.6.1.3 SISTEMAS DE COTIZACIÓN DE VALORES EXTRANJEROS.
<Fuente original compilada: D. 3886/09 Art. 3o.> Son mecanismos de carácter multilateral y transaccional, a los cuales concurren los miembros o agentes afiliados al mismo, bajo las reglas, parámetros y condiciones establecidas en el presente Decreto y en el reglamento del administrador del Sistema de Cotización de Valores Extranjeros, para la realización de operaciones sobre valores extranjeros listados en dichos sistemas y para la divulgación de información al mercado sobre tales operaciones. El reglamento del administrador a que se hace referencia, así como sus modificaciones, deberán ser aprobados previamente por la Superintendencia Financiera de Colombia.
Los Sistemas de Cotización de Valores Extranjeros incluirán los sistemas de registro de valores cuando tales operaciones procedan.
ARTÍCULO 2.15.6.1.4 ADMINISTRADORES DE LOS SISTEMAS DE COTIZACIÓN DE VALORES EXTRANJEROS.
<Fuente original compilada: D. 3886/09 Art. 4o.> Podrán administrar Sistemas de Cotización de Valores Extranjeros, las bolsas de valores o los administradores de Sistemas de Negociación de Valores sometidos a la inspección y vigilancia de la Superintendencia Financiera de Colombia.
Las bolsas de valores o los administradores de los sistemas de negociación de valores que se autoricen para administrar Sistemas de Cotización de Valores Extranjeros, deberán realizar los ajustes necesarios tanto a sus reglamentos como a sus sistemas operativos, a fin de dar cumplimiento a lo aquí establecido. En todo caso deberán implementar dicho sistema de cotización a través de una rueda o sesión independiente o en el respectivo sistema de registro.
ARTÍCULO 2.15.6.1.5 RECONOCIMIENTO DE VALORES EXTRANJEROS.
<Fuente original compilada: D. 3886/09 Art. 5o.> Se reconocen como valores extranjeros, a efectos de ser listados y negociados en un Sistema de Cotización de Valores Extranjeros, los siguientes:
a. Los valores emitidos en el extranjero por instituciones u organismos multilaterales internacionales de carácter financiero,
b. Los valores emitidos en el extranjero por otras naciones o sus bancos centrales, o
c. Los valores emitidos en el extranjero con inscripción vigente en un registro público de valores o listados en una bolsa de valores o en un sistema de negociación de valores, internacionalmente reconocidos a juicio de la Superintendencia Financiera de Colombia.
ARTÍCULO 2.15.6.1.6 LISTADO DE VALORES EXTRANJEROS.
<Fuente original compilada: D. 3886/09 Art. 6o.> La solicitud de listado de valores del extranjero ante el administrador del respectivo sistema se realizará, de manera exclusiva, por una sociedad comisionista de bolsa.
ARTÍCULO 2.15.6.1.7 OBLIGACIONES DE LA SOCIEDAD COMISIONISTA DE BOLSA DE VALORES.
<Fuente original compilada: D. 3886/09 Art. 7o.> Sin perjuicio de lo establecido en el reglamento del Sistema de Cotización de Valores del Extranjero, la sociedad comisionista de bolsa que solicite el listado de un valor extranjero deberá cumplir con los siguientes deberes y obligaciones:
1. Suministrar oportunamente toda la información que el administrador del sistema le solicite y en las condiciones que le defina para efectos del listado de los valores extranjeros.
2. Garantizar el acceso a la información financiera, económica, contable, jurídica y administrativa del respectivo emisor, incluyendo aquella que se considere relevante en el país o en el mercado de valores de origen, con la misma periodicidad con que allí sea requerida. Esta obligación implica conocer la forma de actualización de tal información y los medios a través de los cuales se publica.
3. Advertir a los inversionistas autorizados de que trata el artículo 2.15.6.1.8 del presente Decreto, acerca de las características, derechos, obligaciones, restricciones y riesgos inherentes al tipo de inversión, así como los mecanismos para su protección a efectos de ejercer los derechos que dichos valores otorgan.
4. Informar sobre la existencia de acuerdos o convenios para la administración y custodia de los valores extranjeros a listarse, entre los depósitos centralizados de valores locales e internacionales, o entre los primeros y custodios internacionales, según sea el caso.
PARÁGRAFO. Lo dispuesto se entenderá sin perjuicio de los deberes y obligaciones propios de la actividad de intermediación de valores establecidos en esta disposición.
ARTÍCULO 2.15.6.1.8 INVERSIONISTAS AUTORIZADOS.
<Artículo modificado por el artículo 1 del Decreto 1827 de 2012. El nuevo texto es el siguiente:> Podrán invertir en los valores extranjeros de que trata el presente capítulo quienes tengan la calidad de inversionista profesional y de cliente inversionista de conformidad con los artículos 7.2.1.1.2 y 7.2.1.1.4 del presente Decreto, y en los términos establecidos en el presente capítulo.
ARTÍCULO 2.15.6.1.9 ADMINISTRACIÓN, CUSTODIA, COMPENSACIÓN Y LIQUIDACIÓN DE VALORES EXTRANJEROS.
<Fuente original compilada: D. 3886/09 Art. 9o.> Los depósitos centralizados de valores vigilados por la Superintendencia Financiera de Colombia custodiarán y administrarán valores extranjeros que no se encuentren inscritos en el Registro Nacional de Valores y Emisores de Colombia y que estén listados en los Sistemas de Cotización de Valores Extranjeros, atendiendo lo previsto en el artículo 12 de la Ley 964 de 2005, en la forma y condiciones que señale el reglamento de la sociedad administradora del depósito aprobado por la Superintendencia Financiera de Colombia.
En todo caso, los depósitos celebrarán acuerdos con custodios globales, depositarios internacionales o agentes especializados del exterior, según sea el caso, encargados de la custodia y administración del valor en el exterior y que se encuentren autorizados para desarrollar esta labor y estén bajo la supervisión de una autoridad competente en su respectiva jurisdicción.
Los depósitos de valores y las entidades administradoras de sistemas de compensación y liquidación de operaciones sobre valores, vigilados por la Superintendencia Financiera de Colombia, cada uno en lo pertinente, deberán establecer los mecanismos y procedimientos necesarios para hacer efectivos los derechos de los inversionistas, asegurar y certificar la titularidad o tenencia de los valores y el cumplimiento de las transacciones, sin perjuicio de las condiciones que exija dicha Superintendencia en la aprobación de los reglamentos.
PARÁGRAFO 1. En el evento en que sea cancelado el listado de algún valor en los Sistemas de Cotización de Valores Extranjeros, los depósitos centralizados de valores autorizados y vigilados por la Superintendencia Financiera de Colombia podrán mantener en custodia dicho valor. En este caso, es requisito que los inversionistas estén autorizados para mantener la inversión directamente en los mercados internacionales, ajustándose para ello a lo dispuesto a la legislación vigente.
PARÁGRAFO 2. Las entidades administradoras de sistemas de compensación y liquidación de operaciones sobre valores, autorizadas y sometidas a la inspección y vigilancia de la Superintendencia Financiera de Colombia, podrán desarrollar su objeto respecto de los valores extranjeros a que se refiere el presente decreto, previo ajuste de sus reglamentos y sistemas operativos autorizado por la Superintendencia Financiera de Colombia.
PARÁGRAFO 3. Los registros de anotación en cuenta sobre valores emitidos en el exterior que lleven los depósitos centralizados de valores, tanto a la luz del Sistema de Cotización de Valores del Extranjero como de los otros Sistemas en los que se transen valores de este tipo, se considerarán validos y suficientes para efectos del control a que haya lugar, debiendo ceñirse en cada caso a las instrucciones que sobre el particular emita la autoridad competente.
PARÁGRAFO 4. Las actividades a que se refiere éste artículo se ejercerán con estricta observancia de las normas cambiarias y tributarias aplicables e incluirán la obligación de llevar los registros correspondientes y brindar la información que las autoridades requieran para este tipo de inversiones.
ARTÍCULO 2.15.6.1.10 REGLAS DE CONTABILIZACIÓN Y VALORIZACIÓN.
<Fuente original compilada: D. 3886/09 Art. 10> La valoración y contabilización de valores listados en Sistemas de Cotización de Valores Extranjeros deberá regirse por las instrucciones impartidas para el efecto por la Superintendencia Financiera de Colombia.
<Fuente original compilada: D. 3886/09 Art. 11> Las sociedades administradoras llevarán un registro consolidado de los valores extranjeros listados y de su negociación, en los términos y condiciones que determine la Superintendencia Financiera de Colombia. Se entiende que el registro aquí referido hace las veces de inscripción en tratándose de las Bolsas de Valores.
El listado de valores no implicará calificación ni responsabilidad alguna por parte de la sociedad administradora acerca del precio, la bondad o negociabilidad del valor o de la respectiva emisión, sobre la solvencia del emisor, ni implica una garantía sobre el pago del valor.
Tampoco responderá por la veracidad de la información que le sea suministrada por parte de la sociedad comisionista para efectos de incluir un valor en el listado.
No obstante, la sociedad administradora coadyuvará a la comisionista de bolsa en la garantía de acceso y actualización a la información a que se refiere el numeral 2 del artículo 2.15.6.1.7 del presente Decreto, estableciendo los mecanismos mediante los cuales se suministrará la información pertinente y suficiente a los inversionistas.
ARTÍCULO 2.15.6.1.12 APLICACIÓN DE NORMAS.
<Fuente original compilada: D. 3886/09 Art. 12> Sin perjuicio de las normas especiales definidas en este decreto y de aquellas de carácter general que expida la Superintendencia Financiera de Colombia en su desarrollo, de manera supletiva se aplicarán las disposiciones que rigen a los sistemas de negociación o registro, así como las normas aplicables a la negociación, compensación y liquidación de valores.
ARTÍCULO 2.15.6.1.13 SUPERVISIÓN DE LOS VALORES Y EMISORES DEL EXTRANJERO.
<Fuente original compilada: D. 3886/09 Art. 13> La Superintendencia Financiera de Colombia no ejercerá facultades de supervisión sobre los valores ni sobre los emisores del exterior a que se refiere el presente decreto, sin perjuicio de las atribuciones que en el ámbito de su competencia le correspondan, de conformidad con las disposiciones legales e instrucciones aplicables para preservar el orden y la transparencia de los Sistemas de Cotización de Valores Extranjeros donde se transen dichos valores.
ARTÍCULO 2.15.6.1.14 SUSPENSIÓN DE LA NEGOCIACIÓN DE VALORES DEL EXTRANJERO.
<Fuente original compilada: D. 3886/09 Art. 14> Sin perjuicio de aquellas causales establecidas en su reglamento, los administradores de los Sistemas de Cotización de Valores Extranjeros, por decisión propia o a solicitud de la Superintendencia Financiera de Colombia, dispondrán la suspensión de la negociación de los valores listados en dichos sistemas, cuando:
1. Se suspenda la negociación del valor correspondiente en la bolsa de valores o sistema de negociación de valores del país de origen o de cotización principal.
2. Existan condiciones u operaciones no conformes a sanos usos o prácticas de mercado.
3. Se omita el suministro de la información descrita en el presente decreto, o bien se proporcione información falsa o que induzca a error sobre la situación financiera, económica, contable, jurídica y administrativa del respectivo emisor o sobre los valores listados.
ARTÍCULO 2.15.6.1.15 CANCELACIÓN DEL LISTADO DE UN VALOR DEL EXTRANJERO.
<Fuente original compilada: D. 3886/09 Art. 15> Las sociedades administradoras de Sistemas de Cotización de Valores Extranjeros, por decisión propia o a solicitud de la Superintendencia Financiera de Colombia, dispondrán la cancelación del listado de los valores extranjeros a que se refiere el presente decreto, siempre que se den las causales establecidas en el respectivo reglamento, y en todo caso cuando:
1. Se dejen de satisfacer las condiciones exigidas en el presente Decreto a los valores listados.
2. Se cancele el listado o registro del valor de que se trate en las bolsas de valores o el sistema de negociación del país de origen o de cotización principal.
ARTÍCULO 2.15.6.1.16 NOTIFICACIÓN DE SUSPENSIONES Y CANCELACIONES.
<Fuente original compilada: D. 3886/09 Art. 16> Las sociedades administradoras de los Sistemas de Negociación de Valores Extranjeros, así como las sociedades comisionistas de bolsa de valores que solicitaron el listado de dichos valores deberán notificar y divulgar a los inversionistas autorizados y al mercado en general, la decisión de suspensión de la negociación o de la cancelación del listado, así como sus efectos, en los términos y condiciones que determine la Superintendencia Financiera de Colombia. Lo anterior, con el fin de que los inversionistas autorizados adopten las medidas que consideren necesarias respecto de su inversión.
DEL LISTADO DE VALORES EN LOS SISTEMAS DE COTIZACIÓN DE VALORES DEL EXTRANJERO MEDIANTE ACUERDOS O CONVENIOS DE INTEGRACIÓN DE BOLSAS DE VALORES O DE ACUERDOS O CONVENIOS ENTRE SISTEMAS DE NEGOCIACIÓN DE VALORES O DE REGISTRO DE OPERACIONES SOBRE VALORES.
ARTÍCULO 2.15.6.2.1. ÁMBITO DE APLICACIÓN. <Artículo modificado por el artículo 3 del Decreto 2241 de 2015. El nuevo texto es el siguiente:> Para efectos del listado de valores extranjeros en los sistemas de cotización de valores del extranjero mediante acuerdos o convenios de integración de bolsas de valores o de acuerdos o convenios de sistemas de negociación de valores o de registro de operaciones sobre valores se aplicará lo previsto en el Capítulo I del presente Título, salvo lo que de manera especial se regule en el presente Capítulo.
ARTÍCULO 2.15.6.2.2. LISTADO Y NEGOCIACIÓN. <Artículo modificado por el artículo 4 del Decreto 2241 de 2015. El nuevo texto es el siguiente:> El listado de valores extranjeros a que se refiere el artículo anterior, será realizado por las bolsas de valores, los sistemas de negociación de valores o los sistemas de registro de operaciones sobre valores, en virtud de los convenios o acuerdos con una o más bolsas o sistemas de negociación o de registro extranjeros. Respecto del artículo 2.15.6.1.7 del presente Decreto, le serán exigibles a las bolsas de valores, los sistemas de negociación de valores o los sistemas de registro de operaciones sobre valores, las obligaciones establecidas en los numerales 2 y 4.
La negociación de los valores será realizada en las bolsas de valores o en los sistemas de negociación de valores del país que haga parte del acuerdo y en los que los valores se encuentren originalmente inscritos o listados.
En el caso del registro de operaciones sobre valores de emisores extranjeros, dicho registro será realizado en el respectivo sistema de registro de operaciones sobre valores del país que haga parte del acuerdo y donde los valores se encuentren originalmente inscritos o listados.
Los valores extranjeros listados en sistemas de cotización de valores del extranjero en los términos del presente Capítulo podrán ser promocionados por el emisor extranjero o por intermediarios de valores locales, y colocados a través de estos últimos entre los inversionistas autorizados, de acuerdo con lo previsto en el artículo 2.15.6.2.4 del presente decreto.
PARÁGRAFO. La Superintendencia Financiera de Colombia podrá señalar el contenido mínimo de los acuerdos que se celebren entre los proveedores de infraestructuras locales y extranjeros, así como de los que se celebren entre los intermediarios de valores locales y extranjeros.
ARTÍCULO 2.15.6.2.3. REGLAMENTOS. <Artículo adicionado por el artículo 2 del Decreto 4087 de 2010. El nuevo texto es el siguiente:> La Superintendencia Financiera de Colombia tendrá la facultad de aprobar la parte especial de los reglamentos del respectivo Sistema de Cotización de Valores del Extranjero, en lo que se refieran a lo regulado en el presente capítulo, procurando como mínimo los siguientes objetivos:
1. Que la modalidad de las operaciones se ajusten a lo establecido en el respectivo convenio o acuerdo.
2. Que los inversionistas tengan acceso a la información pertinente y suficiente.
3. Que existan los acuerdos específicos que se requieran, tales como los que celebren los proveedores de infraestructura, y el de enrutamiento intermediado suscrito entre los intermediarios de valores locales y extranjeros para acceder a los respectivos sistemas.
PARÁGRAFO. La Superintendencia Financiera de Colombia podrá autorizar que las órdenes que reciban los intermediarios de valores locales no ingresen al libro electrónico de órdenes del intermediario de valores local, siempre y cuando se garantice el cumplimiento de los principios a seguir en el procesamiento de órdenes, establecidos en desarrollo del artículo 7.7.1.1.1 del presente decreto.
ARTÍCULO 2.15.6.2.4 INVERSIONISTAS AUTORIZADOS. <Artículo modificado por el artículo 2 del Decreto 1827 de 2012. El nuevo texto es el siguiente:> Podrán invertir en los valores de que trata el presente capítulo quienes tengan la calidad de inversionista profesional y de cliente inversionista de conformidad con los artículos 7.2.1.1.2 y 7.2.1.1.4 del presente decreto, y en los términos establecidos en el presente capítulo.
PARÁGRAFO 1. <Parágrafo adicionado por el artículo 5 del Decreto 2241 de 2015. El nuevo texto es el siguiente:> Los valores de que trata el presente capítulo únicamente podrán ser adquiridos por cuenta de un cliente inversionista o un inversionista profesional, si en los países en los cuales se encuentran listados o inscritos, dichos valores son adquiridos o enajenados por el mismo tipo de inversionista o su equivalente en la respectiva jurisdicción.
PARÁGRAFO 2. <Parágrafo adicionado por el artículo 5 del Decreto 2241 de 2015. El nuevo texto es el siguiente:> La Superintendencia Financiera de Colombia podrá establecer o evaluar el cumplimiento de la equivalencia a que hace referencia el parágrafo 1o del presente artículo, así como establecer condiciones adicionales a las establecidas en el presente artículo.
ARTÍCULO 2.15.6.2.5. ANOTACIÓN EN CUENTA. <Artículo modificado por el artículo 3 del Decreto 1243 de 2013. El nuevo texto es el siguiente:> Los sistemas de compensación y liquidación de valores extranjeros podrán tener la calidad de depositantes directos en los depósitos centralizados de valores locales, a través de una cuenta que contenga la posición de los valores que en ellos se administren sin desagregación a nivel de beneficiario final. En este mismo sentido, los depósitos centralizados de valores locales podrán administrar la posición de sus cuentahabientes en otros sistemas de compensación y liquidación extranjeros sin desagregación a nivel de beneficiario final.
Los movimientos realizados en la cuenta extranjera se reflejarán bajo la normativa local de manera concurrente en el depósito centralizado de valores local. Las cuentas de los inversionistas locales y los saldos de la cuenta sin participación pro indiviso del depósito local en el depósito extranjero, se mantendrán permanentemente conciliados. Corresponde al depósito centralizado de valores en el que se encuentre abierta la cuenta del inversionista local, el registro y ejecución de cualquier orden judicial o administrativa sobre los respectivos valores.
PARÁGRAFO 1o. La anotación en cuenta sobre valores extranjeros, podrá hacerse directamente a nivel del inversionista local en los depósitos extranjeros o en la institución extranjera encargada de realizar la anotación en cuenta en el respectivo mercado, en el evento en el que el inversionista local utilice custodios para la compensación y liquidación de las operaciones que realice en una bolsa de valores extranjera.
PARÁGRAFO 2o. En todo caso, los depósitos centralizados de valores locales mantendrán disponible para las autoridades competentes y para el emisor la información individualizada de los inversionistas extranjeros para todos los efectos legales.
NORMAS APLICABLES A LOS PROVEEDORES DE PRECIOS PARA VALORACIÓN.
DE LA ACTIVIDAD DE PROVEER PRECIOS EN EL MERCADO Y LA
VALORACIÓN DE INVERSIONES DE LAS ENTIDADES SOMETIDAS A
INSPECCIÓN Y VIGILANCIA DE LA SUPERINTENDENCIA FINANCIERA DE
COLOMBIA.
DE LA PROVEEDURÍA DE PRECIOS.
ARTÍCULO 2.16.1.1.1 PROVEEDURÍA DE PRECIOS.
<Fuente original compilada: D. 985/10 Art. 1o.> La proveeduría de precios profesional en los mercados financieros comprende las siguientes actividades:
1. La creación y expedición de las metodologías de valoración y de los reglamentos de los sistemas de valoración; y
2. La prestación habitual y profesional del servicio de cálculo, determinación y proveeduría o suministro de información para la valoración de las inversiones.
PARÁGRAFO. Se entiende por información para valoración de inversiones, aquella obtenida con base en datos del mercado o teóricos, calculados mediante la aplicación de algoritmos matemáticos, criterios técnicos estadísticos y modelos de valoración, en valores de deuda, valores participativos, bienes y productos agropecuarios, agroindustriales u otros commodities, inversiones en bienes inmuebles, inversiones en valores, títulos valores y demás derechos de contenido económico, así como de los instrumentos financieros derivados y los productos estructurados.
ARTÍCULO 2.16.1.1.2 UTILIZACIÓN DE PRECIOS.
<Fuente original compilada: D. 985/10 Art. 2o.> Las entidades sometidas a inspección y vigilancia de la Superintendencia Financiera de Colombia deberán valorar sus inversiones utilizando la información que suministren los Proveedores de Precios para Valoración constituidos legalmente en Colombia, salvo las excepciones que establezca la Superintendencia Financiera de Colombia por normas de contenido general.
ARTÍCULO 2.16.1.1.3. PERÍODO MÍNIMO DE CONTRATACIÓN DE UN PROVEEDOR DE PRECIOS PARA VALORACIÓN OFICIAL. <Artículo modificado por el artículo 1 del Decreto 2925 de 2013. El nuevo texto es el siguiente:> La contratación de un proveedor de precios para valoración oficial por parte de las entidades sometidas a inspección y vigilancia de la Superintendencia Financiera de Colombia, respecto de un mismo tipo o clase de valor o segmento de mercado, en ningún caso podrá ser inferior a un (1) año, de conformidad con las instrucciones que imparta dicha Superintendencia.
Vencido el periodo mínimo de contratación del proveedor de precios para valoración oficial mencionado en el inciso anterior del presente artículo, la entidad que decida mantener el mismo proveedor lo deberá hacer por un periodo mínimo de un (1) año. En todo caso, cada vez que se decida mantener el mismo proveedor se deberá cumplir con dicho periodo mínimo.
PARÁGRAFO. La Superintendencia Financiera de Colombia, por norma de contenido general, establecerá los eventos en los cuales no procede este periodo mínimo, por razones técnicas y de administración de riesgos.
ARTÍCULO 2.16.1.1.4 PROVEEDOR DE PRECIOS PARA VALORACIÓN “OFICIAL”.
<Fuente original compilada: D. 985/10 Art. 4o.> Cuando una entidad sometida a inspección y vigilancia de la Superintendencia Financiera de Colombia haya contratado los servicios de dos (2) o más Proveedores de Precios para Valoración deberá designar uno de estos como oficial y así manifestarlo a la Superintendencia Financiera de Colombia y a los organismos de autorregulación del mercado de valores.
ARTÍCULO 2.16.1.1.5. SELECCIÓN DEL PROVEEDOR DE PRECIOS PARA VALORACIÓN OFICIAL. <Artículo adicionado por el artículo 2 del Decreto 2925 de 2013. El nuevo texto es el siguiente:> En la selección del proveedor de precios para valoración oficial que realicen las entidades vigiladas por la Superintendencia Financiera de Colombia, se deberán seguir las siguientes reglas:
1. La selección del proveedor de precios para la valoración oficial de las inversiones de los fondos de pensiones obligatorias y de cesantías de que trata el artículo 2.16.1.2.15 del presente decreto, deberá realizarse entre el veintiuno (21) y el veintiocho (28) de febrero del año correspondiente.
2. La selección del proveedor de precios para la valoración oficial de las inversiones de las entidades vigiladas por la Superintendencia Financiera de Colombia diferentes a las establecidas en el numeral 1 del presente artículo, deberá realizarse a más tardar el quince (15) de febrero del año correspondiente.
En ambos casos, una vez adoptada la decisión deberá ser informada a la Superintendencia Financiera de Colombia, en los términos y condiciones que para el efecto defina dicha entidad, incluyendo en todo caso la fecha de inicio de la renovación o del nuevo contrato, que en ningún caso podrá ser posterior al cuatro (4) de marzo del año correspondiente.
PARÁGRAFO. Las Sociedades Administradoras de Fondos de Pensiones y Cesantías deberán, en forma previa a la realización del proceso de selección, hacer público en el medio que consideren pertinente, los criterios que se tendrán en cuenta en la selección del proveedor de precios para la valoración oficial de las inversiones de los fondos de pensiones obligatorias y de cesantías que se menciona en el numeral 1 del presente artículo.
DE LA VALORACIÓN DE INVERSIONES Y DE LOS PROVEEDORES DE PRECIOS PARA VALORACIÓN.
ARTÍCULO 2.16.1.2.1 VALORACIÓN DE INVERSIONES.
<Fuente original compilada: D. 985/10 Art. 5o.> La valoración de las inversiones en valores de deuda, valores participativos, bienes y productos agropecuarios, agroindustriales u otros commodities, inversiones en bienes inmuebles, inversiones en valores, títulos valores y demás derechos de contenido económico, así como de los instrumentos financieros derivados y los productos estructurados, tiene como objetivo fundamental el cálculo, registro contable y revelación al mercado del precio justo de intercambio de dichas inversiones.
ARTÍCULO 2.16.1.2.2 PRECIO JUSTO DE INTERCAMBIO.
<Artículo modificado por el artículo 4 del Decreto 4802 de 2010. El nuevo texto es el siguiente:> El precio justo de intercambio es al que compradores y vendedores, suficientemente informados, estarían dispuestos a transar inversiones en un momento determinado, de acuerdo con las características particulares de las mismas y dentro de las condiciones prevalecientes en el mercado.
En ausencia de información suficiente sobre posturas de compradores y vendedores, también se considerará precio justo de intercambio, el calculado o teórico en los términos previstos en el parágrafo del artículo 2.16.1.1.1 del presente decreto.
ARTÍCULO 2.16.1.2.3 METODOLOGÍAS DE VALORACIÓN.
<Fuente original compilada: D. 985/10 Art. 7o.> La Superintendencia Financiera de Colombia determinará los eventos y condiciones mínimas para la valoración de las inversiones por parte de las entidades sometidas a su inspección y vigilancia.
Igualmente, le corresponderá determinar los objetivos y criterios básicos que deben tener las metodologías de valoración de inversiones generadas por los Proveedores de Precios para Valoración.
ARTÍCULO 2.16.1.2.4 OBJETO SOCIAL DE LOS PROVEEDORES DE PRECIOS PARA VALORACIÓN.
<Fuente original compilada: D. 985/10 Art. 8o.> Los Proveedores de Precios para Valoración, autorizados por la Superintendencia Financiera de Colombia, en desarrollo de su objeto principal, solamente realizarán las siguientes actividades:
1. Expedir las metodologías de valoración y los reglamentos de los sistemas de valoración de conformidad con los objetivos y criterios básicos establecidos por la Superintendencia Financiera de Colombia.
2. Prestar servicios de cálculo, determinación y proveeduría o suministro de información actualizada para la valoración de las inversiones; y
3. Solucionar las divergencias que surjan como consecuencia de las actividades descritas en los numerales 1 y 2 del presente artículo.
PARÁGRAFO. Los Proveedores de Precios para Valoración podrán prestar servicios de cálculo y análisis de variables o factores de riesgo como insumo para la medición de riesgos financieros necesarios en la gestión de activos y pasivos por parte de sus clientes.
De la misma forma podrán desarrollar las actividades complementarias para el adecuado cumplimiento de la actividad de proveeduría de precios en los mercados financieros, de conformidad con lo establecido en su reglamento de funcionamiento.
ARTÍCULO 2.16.1.2.5 EXPEDICIÓN DE LAS METODOLOGÍAS DE VALORACIÓN.
<Fuente original compilada: D. 985/10 Art. 9o.> Las metodologías de valoración de las inversiones serán elaboradas y publicadas por los Proveedores de Precios para Valoración.
Estas metodologías podrán ser objetadas en cualquier momento por la Superintendencia Financiera de Colombia.
En todo caso, la Superintendencia Financiera de Colombia podrá ordenar la aplicación de una metodología de valoración especial.
ARTÍCULO 2.16.1.2.6 CONSTITUCIÓN E INSCRIPCIÓN DE LOS PROVEEDORES DE PRECIOS PARA VALORACIÓN.
<Fuente original compilada: D. 985/10 Art. 10> Los Proveedores de Precios para Valoración de inversiones, para su constitución e inscripción, deberán:
1. Establecerse como sociedades anónimas de objeto exclusivo y cumplir para su constitución con lo dispuesto en el artículo 53 del Estatuto Orgánico del Sistema Financiero o la norma que lo sustituya o modifique.
2. Incluir en su razón social y nombre comercial la denominación “Proveedor de Precios para Valoración”, seguida de la abreviatura S. A. Ninguna otra persona o entidad podrá utilizar tales denominaciones o cualquier otra que induzca a confusión.
3. Inscribirse en el Registro Nacional de Agentes del Mercado de Valores – RNAMV en su calidad de proveedores de infraestructura del mercado de valores, en los términos y condiciones establecidos en la normatividad pertinente o en las demás normas que la modifiquen o sustituyan; y
4. Presentar para aprobación previa ante la Superintendencia Financiera de Colombia, el reglamento de funcionamiento previsto en el artículo 2.16.1.2.11 del presente decreto.
ARTÍCULO 2.16.1.2.7 MÁXIMA PARTICIPACIÓN ACCIONARIA EN UN PROVEEDOR DE PRECIOS PARA VALORACIÓN.
<Fuente original compilada: D. 985/10 Art. 11> Ninguna entidad sometida a inspección vigilancia o control de la Superintendencia Financiera de Colombia, ni sus entidades vinculadas de conformidad con el literal b) del numeral 2 del artículo 7.3.1.1.2 del presente decreto, podrá ser beneficiaria real de un número de acciones que representen más del veinte por ciento (20%) del capital social de un Proveedor de Precios para Valoración.
No obstante lo anterior, las bolsas de valores, las bolsas de futuros y opciones, las bolsas de bienes y productos agropecuarios, agroindustriales o de otros commodities, los depósitos centralizados de valores, los organismos de autorregulación y las sociedades extranjeras cuyo objeto sea desarrollar, de manera profesional, la proveeduría de precios para valoración y sean reconocidas internacionalmente por ello, podrán tener la calidad de beneficiario real de un número de acciones equivalente al cien por ciento (100%) del capital social de un Proveedor de Precios para Valoración.
La Superintendencia Financiera de Colombia establecerá por norma de carácter general, las condiciones que se deben acreditar para ser considerada como una sociedad extranjera reconocida por desarrollar, de manera profesional, la proveeduría de precios para valoración.
PARÁGRAFO. La Superintendencia Financiera de Colombia tendrá la potestad de no autorizar la constitución de un Proveedor de Precios para Valoración, o la realización de transacciones sobre sus acciones por cualquier monto, así como de ordenar la recomposición accionaria, cuando estime que se afecta el grado de independencia necesario para cumplir con el objeto social propio de estas entidades.
ARTÍCULO 2.16.1.2.8 FUNCIONES ESPECIALES DE LA JUNTA DIRECTIVA. <Fuente original compilada: D. 985/10 Art. 12> Además de las funciones establecidas por el Código de Comercio y demás normatividad aplicable, la Junta Directiva de los Proveedores de Precios para Valoración tendrá las siguientes funciones:
1. Aprobar los reglamentos de los sistemas de valoración y las metodologías de valoración;
2. Designar como mínimo a cuatro (4) de los miembros del comité de valoración del Proveedor de Precios para Valoración de igual número de ternas propuestas por su representante legal; y
3. Las demás que establezca la Superintendencia Financiera de Colombia para el desarrollo del objeto social de los Proveedores de Precios para Valoración.
ARTÍCULO 2.16.1.2.9 COMITÉ DE VALORACIÓN.
<Fuente original compilada: D. 985/10 Art. 13> Los Proveedores de Precios para Valoración deberán contar con un comité de valoración, el cual tendrá las siguientes funciones:
1. Elaborar y proponer a la junta directiva, los reglamentos de los sistemas de valoración y las metodologías de valoración y sus respectivas actualizaciones.
2. Elaborar y proponer a la junta directiva, un reglamento contentivo del proceso para la impugnación de la información calculada y/o publicada por el Proveedor de Precios para Valoración.
3. Solucionar las divergencias y observaciones que presenten sus clientes sobre los reglamentos de los sistemas de valoración y las metodologías de valoración.
4. Expedir su propio reglamento; y
5. Las demás que establezca la junta directiva.
ARTÍCULO 2.16.1.2.10 MIEMBROS DEL COMITÉ DE VALORACIÓN.
<Fuente original compilada: D. 985/10 Art. 14> El comité de valoración de los Proveedores de Precios para Valoración tendrá por los menos siete (7) miembros, de los cuales al menos tres (3) deberán tener la calidad de independiente.
PARÁGRAFO. Para efectos de lo dispuesto en el presente artículo, se entenderá por miembro independiente, aquella persona que en ningún caso sea:
1. Administrador o funcionario del Proveedor de Precios para Valoración o de sus entidades vinculadas de conformidad con el literal b) del numeral 2 del artículo 7.3.1.1.2, incluyendo aquellas personas que hubieren tenido tal calidad durante el año inmediatamente anterior a la designación, salvo que se trate de la reelección de una persona independiente.
2. Accionista que directamente o en virtud de convenio dirija, oriente o controle la mayoría de los derechos de voto de la entidad o que determine la composición mayoritaria de los órganos de administración, de dirección o de control de la misma.
3. Beneficiario real del cinco por ciento (5%) o más del capital con derecho a voto del Proveedor de Precios para Valoración.
4. Administrador o accionista de una entidad cliente del Proveedor de Precios para Valoración, así como de su matriz, controlante o subordinada, incluyendo aquellas personas que hubieran tenido tal calidad durante el año inmediatamente anterior a la designación.
5. Socio, asociado o empleado de sociedades o entidades que presten servicios de asesoría o consultoría al Proveedor de Precios para Valoración o a las empresas que pertenezcan al mismo grupo económico del cual forme parte este, cuando los ingresos por dicho concepto representen para el socio, asociado o empleado, el veinte por ciento (20%) o más de sus ingresos durante el año calendario anterior.
6. Administrador de una entidad en cuya junta directiva participe un administrador del Proveedor de Precios para Valoración.
7. Persona que reciba del Proveedor de Precios para Valoración alguna remuneración diferente a los honorarios que pueda percibir como miembro del comité de valoración.
8. Cónyuge, compañero permanente o pariente hasta el segundo grado de consanguinidad o primero de afinidad de algunas de las personas catalogadas como no independientes de conformidad con los numerales anteriores.
ARTÍCULO 2.16.1.2.11 REGLAMENTO DE FUNCIONAMIENTO.
<Fuente original compilada: D. 985/10 Art. 15> Los Proveedores de Precios para Valoración adoptarán un reglamento de funcionamiento el cual deberá ser aprobado de manera previa por la Superintendencia Financiera de Colombia.
ARTÍCULO 2.16.1.2.12 OBLIGACIONES ESPECIALES DE LOS PROVEEDORES DE PRECIOS PARA VALORACIÓN.
<Fuente original compilada: D. 985/10 Art. 16> Los Proveedores de Precios para Valoración deberán:
1. Establecer requisitos en el reglamento de funcionamiento para que sus administradores y funcionarios que participen en las funciones técnicas de la proveeduría de precios cuenten con la capacidad e idoneidad necesarias para el adecuado desarrollo de su objeto social.
2. Contar con estándares operativos y técnicos, incluyendo procedimientos de contingencia y de continuidad del negocio, los cuales permitan una pronta recuperación de la operación y el cumplimiento de sus obligaciones.
3. Comunicar a la Superintendencia Financiera de Colombia la existencia de proyectos de modificación de los reglamentos de los sistemas de valoración y de las metodologías de valoración.
4. Garantizar el acceso permanentemente de la Superintendencia Financiera de Colombia a la información calculada y/o publicada por el Proveedor de Precios para Valoración.
5. Informar a la Superintendencia Financiera de Colombia cuando se presenten eventos no previstos en las metodologías, y la solución aplicada, señalando las razones que la justifiquen.
6. Hacer uso estricto de la información suministrada por las fuentes y por sus clientes, el cual permita prevenir su modificación, daño, pérdida o uso indebido.
7. Contar con una política de acceso a sus servicios o derechos no discriminatoria, así como con criterios generales y objetivos en materia de tarifas a cargo de sus clientes.
8. Suministrar a la Superintendencia Financiera de Colombia, a las autoridades competentes y a los organismos autorreguladores, la información que sea requerida para el cumplimiento de sus funciones.
9. Conservar la información calculada y/o publicada para la valoración de los valores de deuda, valores participativos, bienes y productos agropecuarios, agroindustriales u otros commodities, inversiones en bienes inmuebles, inversiones en títulos valores y demás derechos de contenido económico, los instrumentos financieros derivados y los productos estructurados; así como, la información relativa a las variables utilizadas en su cálculo y demás datos o documentos relacionados con las actividades que realizan, de conformidad con lo establecido en el artículo 96 del Estatuto Orgánico del Sistema Financiero o la norma que lo modifique o sustituya.
10. Contar con un código de conducta que rija la actuación propia de la sociedad, de los miembros de su junta directiva, de los demás administradores de la compañía, de los miembros del comité de valoración y de los funcionarios o contratistas involucrados en el proceso de cálculo, determinación y proveeduría o suministro de la información para valoración y proyección de las respectivas metodologías y reglamentos.
Este código deberá prevenir los conflictos de interés de las personas relacionadas en el presente numeral; así como, los del propio Proveedor de Precios para Valoración con los intermediarios de valores, las bolsas de valores, las bolsas de bienes y productos agropecuarios, agroindustriales o de otros commodities, los sistemas de negociación de valores, sistemas de registro sobre valores, los sistemas de compensación y liquidación de valores, las cámaras de riesgo central de contraparte, las sociedades calificadoras de valores y los depósitos centralizados de valores;
11. Contar con documentos que incorporen los criterios técnicos, estadísticos y matemáticos que soporten las metodologías de valoración y los reglamentos de los sistemas de valoración.
12. Contar con un manual que incorpore las políticas y los medios que se utilizarán para proveer o suministrar información necesaria para la valoración de inversiones.
13. Divulgar los resultados de la solución de divergencias y observaciones a que se refiere el numeral 3 del artículo 2.16.1.2.9 del presente decreto; y
14. Las demás que establezca la Superintendencia Financiera de Colombia para el desarrollo del objeto social exclusivo de los Proveedores de Precios para Valoración.
ARTÍCULO 2.16.1.2.13 SUMINISTRO DE INFORMACIÓN A LOS PROVEEDORES DE PRECIOS PARA VALORACIÓN.
<Fuente original compilada: D. 985/10 Art. 17> Los sistemas de negociación de valores, las bolsas de valores, las bolsas de bienes y productos agropecuarios, agroindustriales o de otros commodities, los sistemas de registro sobre valores, los sistemas de compensación y liquidación de valores, las cámaras de riesgo central de contraparte, las sociedades calificadoras de valores, los depósitos centralizados de valores, deberán suministrar la información necesaria para que los Proveedores de Precios para Valoración desarrollen su objeto social, atendiendo las instrucciones de carácter general que para el efecto imparta la Superintendencia Financiera de Colombia, en los términos y condiciones que se acuerden con estos proveedores.
Dicha Superintendencia, mediante actos de carácter general, podrá establecer qué otros organismos sujetos a su inspección, vigilancia o control, deban suministrar información a los Proveedores de Precios para Valoración.
ARTÍCULO 2.16.1.2.14 PROHIBICIONES ESPECIALES.
<Fuente original compilada: D. 985/10 Art. 18> Los Proveedores de Precios para Valoración tendrán prohibidas, además de lo establecido en otras' normas, las siguientes conductas:
1, Discriminar a sus clientes en el suministro de información; y
2. <Numeral modificado el artículo 52 del Decreto 1745 de 2020. El nuevo texto es el siguiente:> Proporcionar información para la valoración de inversiones cuando tengan un conflicto de interés respecto de la valoración de éstas.
ARTÍCULO 2.16.1.2.15. PROVEEDURÍA DE PRECIOS PARA VALORACIÓN DE LAS SOCIEDADES ADMINISTRADORAS DE FONDOS DE PENSIONES Y CESANTÍAS. <Artículo adicionado por el artículo 1 del Decreto 1836 de 2012. El nuevo texto es el siguiente:> Las Sociedades Administradoras de Fondos de Pensiones y Cesantías –AFP– deberán, mediante el mecanismo que consideren más adecuado, contratar a un mismo proveedor oficial de precios para la valoración de las inversiones de los fondos de pensiones obligatorias y de cesantías que administran.
Cada contrato deberá tener una duración máxima de dos (2) años. Al momento de finalización del contrato, las AFP deberán realizar nuevamente el proceso de selección que consideren más adecuado. Las AFP podrán volver a contratar al mismo proveedor de precios.
PARÁGRAFO. Las AFP además podrán contratar a otros proveedores de precios de conformidad con lo previsto en el artículo 2.16.1.1.4 del presente decreto.
DISPOSICIONES FINALES.
ARTÍCULO 2.16.1.3.1 RÉGIMEN DE TRANSICIÓN.
<Fuente original compilada: D. 985/10 Art. 19> Las entidades que realicen actividades propias del objeto social de los Proveedores de Precios para Valoración, al 25 de marzo de 2010, tendrán un plazo máximo de un (1) año para ajustarse a todas las disposiciones previstas en el mismo. Hasta entonces seguirán aplicando las reglas que rigen su actividad.
En todo caso, las entidades sometidas a inspección y vigilancia de la Superintendencia Financiera de Colombia deberán valorar sus inversiones utilizando la información que suministren los Proveedores de Precios para Valoración, máximo a los dos (2) meses siguientes a la fecha de entrada en funcionamiento de una de estas entidades aprobadas por la Superintendencia Financiera de Colombia.
NORMAS APLICABLES A LOS SISTEMAS DE PAGO DE BAJO VALOR.
DEFINICIONES Y PRINCIPIOS APLICABLES A LOS SISTEMAS DE PAGO DE BAJO VALOR Y LA ADQUIRENCIA.
ARTÍCULO 2.17.1.1.1. DEFINICIONES. <Artículo modificado por el artículo 1 del Decreto 1692 de 2020. El nuevo texto es el siguiente:> Para efectos del presente Libro se adoptan las siguientes definiciones:
1. Adquirencia: Actividad consistente en la ejecución y el cumplimiento de las responsabilidades que se listan a continuación:
1.1. Vincular a los comercios al sistema de pago de bajo valor.
1.2. Suministrar al comercio tecnologías de acceso que permitan el uso de instrumentos de pago.
1.3. Procesar y tramitar órdenes de pago o transferencia de fondos iniciadas a través de las tecnologías de acceso.
1.4. Abonar al comercio o al agregador, en los términos con ellos convenidos, los recursos de las ventas realizadas a través de las tecnologías de acceso a él suministradas, así como gestionar los ajustes a los que haya lugar derivados de un proceso de controversias, devoluciones, reclamaciones o contracargos y notificar al usuario la confirmación o rechazo de la orden de pago o transferencia.
Las actividades de los numerales 1.1, 1.2 y 1.3 podrán ser desarrolladas por terceros contratistas del adquirente denominados proveedores de servicios de pago. En todo caso, la relación contractual del comercio será directa y únicamente con el adquirente, quien será responsable ante el sistema de pago, los participantes y sus usuarios, por el cumplimiento de las funciones aquí listadas.
La actividad de adquirencia podrá ser desarrollada por los establecimientos de crédito, las sociedades especializadas en depósitos y pagos electrónicos - SEDPES y por sociedades no vigiladas por la Superintendencia Financiera de Colombia.
2. Adquirente: Agente que desarrolla la actividad de adquirencia.
3. Agregador: Proveedor de servicios de pago del adquirente que vincula a los comercios al sistema de pago de bajo valor, le suministra tecnologías de acceso que permitan el uso de instrumentos de pago y recauda en su nombre los fondos resultantes de las órdenes de pago o transferencia de fondos a su favor.
4. Beneficiario: Persona natural, jurídica o patrimonio autónomo destinataria de los recursos objeto de una orden de pago o transferencia de fondos.
5. Comisión de Adquirencia: Comisión definida y cobrada por el adquirente al beneficiario por los servicios prestados.
6. Compensación: Proceso que realiza la entidad administradora del sistema de pago de bajo valor para determinar, al cierre de un periodo establecido, el saldo que corresponda a cada uno de sus participantes como resultado de las órdenes de pago o transferencia de fondos procesadas en el sistema de pago de bajo valor y extinguir entre ellos sus obligaciones, tal como lo establecen las normas vigentes.
La compensación puede ser bilateral, es decir, entre dos personas que sean recíprocamente deudoras y acreedoras, o multilateral, esto es, entre más de dos personas que ostenten las calidades mencionadas.
7. Entidad administradora del sistema de pago de bajo valor: Serán entidades administradoras del sistema de pago de bajo valor aquellas que desarrollen la actividad de compensación y liquidación en uno o más sistemas de pago. Estas entidades son vigiladas por la Superintendencia Financiera de Colombia.
8. Entidad Emisora: Entidad que ofrece medios de pago y emite instrumentos de pago a favor de los ordenantes.
9. Entidad Receptora: Entidad autorizada para ofrecer productos de depósito en los cuales el beneficiario recibe los fondos resultantes de liquidación de las órdenes de pago o transferencia de fondos, provenientes bien sea del adquirente o de la entidad emisora.
10. Franquiciador: Titular de una marca susceptible de utilizarse en un instrumento de pago, que otorga contratos de licencias de uso de dicha marca a participantes del sistema de pago.
11. Instrumentos de pago: Mecanismo asociado a un medio de pago para emitir órdenes de pago o transferencia de fondos.
12. Liquidación: Proceso que realiza la entidad administradora del sistema de pago de bajo valor con el cual finaliza una operación o conjunto de operaciones, mediante cargos y abonos en cuentas de depósito en el Banco de la República, en cuentas corrientes o de ahorros en un establecimiento de crédito, de las cuales sean titulares los participantes en un sistema de pago;
13. Medio de pago: Producto de depósito, tal como cuenta de ahorros, cuenta corriente o depósito electrónico, o cupos de crédito con cargo al cual se ejecutan las órdenes de pago o transferencia de fondos.
14. Orden de pago o transferencia de fondos: La instrucción dada por el ordenante o el beneficiario, previa autorización del ordenante, para debitar o acreditar recursos desde o hacia el medio de pago del ordenante.
15. Ordenante: Persona natural, jurídica o patrimonio autónomo, que autoriza una orden de pago o transferencia de fondos con cargo o a favor de un medio de pago.
16. Participante: Quien haya sido autorizado por la entidad administradora del sistema de pago de bajo valor para tramitar órdenes de pago o transferencia de fondos en su sistema. Los participantes podrán ser entidades vigiladas y no vigiladas por la Superintendencia Financiera de Colombia.
17. Proveedor de tecnologías de acceso: Proveedor de servicios de pago del adquirente que suministra al comercio tecnologías de acceso que permitan el uso de instrumentos de pago en ambientes presente y no presente.
18. Procesador Adquirente: Proveedor de servicios de pagos del adquirente que enruta las órdenes de pago o transferencia de fondos a la entidad administradora del sistema de pago de bajo valor.
19. Procesador Emisor: Proveedor de servicios de pago de la entidad emisora que transmite la autorización de una orden de pago o transferencia de fondos a la entidad administradora del sistema de pago de bajo valor.
20. Proveedores de servicios de pago: Agente del sistema de pago que por delegación del adquirente o la entidad emisora desarrolla una o varias de sus funciones. Se incluye dentro de esta definición, entre otros, al procesador emisor, al procesador adquirente, al agregador y al proveedor de tecnologías de acceso.
21. Sistema de pago: Es un conjunto organizado de políticas, reglas, acuerdos, instrumentos de pago, entidades y componentes tecnológicos, tales como equipos, software y sistemas de comunicación, que permiten la transferencia de fondos entre los participantes del sistema, mediante la recepción, el procesamiento, la transmisión, la compensación y la liquidación de órdenes de pago o transferencias de fondos.
En todo caso, un sistema de pago solo será considerado como tal cuando actúen, en calidad de participantes, tres (3) o más instituciones vigiladas por la Superintendencia Financiera de Colombia, cooperativas multiactivas con Sección de Ahorro y Crédito o cooperativas de ahorro y crédito vigiladas por la Superintendencia de la Economía Solidaria, inscritas en el Fondo de Garantías de Entidades Cooperativas, Fogacoop.
22. Sistemas de pago de bajo valor: Son aquellos sistemas de pago que procesan órdenes de pago o transferencia de fondos distintas a las procesadas en el sistema de pago de alto valor, de conformidad con lo que defina el Banco de la República. En los sistemas de pago de bajo valor, para el procesamiento de órdenes de pago o transferencia de fondos entre la entidad emisora y el adquirente o la entidad receptora, se requiere de una entidad administradora de sistema de pago de bajo valor.
23. Tarifa de intercambio: Comisión causada entre la entidad emisora y la entidad receptora o el adquirente por las órdenes de pago o transferencias de fondos liquidada en el sistema de pago de bajo valor.
24. Tecnologías de acceso: Dispositivos y/o conjunto de procedimientos tecnológicos que permiten emplear un instrumento de pago con el fin de iniciar órdenes de pago o transferencia de fondos.
25. Usuario: Es la persona natural, jurídica o patrimonio autónomo, que utiliza los servicios de una entidad emisora, entidad receptora o adquirente para ejecutar órdenes de pago o transferencia de fondos
ARTÍCULO 2.17.1.1.2. PRINCIPIOS DE LOS SISTEMAS DE PAGO DE BAJO VALOR. <Artículo modificado por el artículo 1 del Decreto 1692 de 2020. El nuevo texto es el siguiente:> En el funcionamiento, regulación y supervisión de los sistemas de pago de bajo valor se deberá:
1. Promover el acceso, la transparencia y la eficiencia en la prestación de servicios de pagos.
2. Promover la innovación en la prestación de servicios de pagos.
3. Velar por la protección y los intereses de los usuarios.
4. Preservar la integridad y la estabilidad de los sistemas de pago de bajo valor.
5. Promover la adopción de estándares globales que permitan la interoperabilidad dentro de los sistemas de pago.
ARTÍCULO 2.17.1.1.3. OBJETIVOS DE LA VIGILANCIA. <Artículo modificado por el artículo 1 del Decreto 1692 de 2020. El nuevo texto es el siguiente:> Además de los objetivos establecidos en el artículo 325 numeral 1 del Estatuto Orgánico del Sistema Financiero, en el ejercicio de su facultad de inspección, vigilancia y control de las entidades administradoras de sistemas de pago de bajo valor, la Superintendencia Financiera de Colombia deberá velar por que tales entidades:
1. Adopten una estructura de gobierno corporativo adecuada para la debida administración y funcionamiento del sistema, incluida la adopción de políticas y procedimientos necesarios y suficientes para la correcta gestión de los conflictos de interés que se presenten en el desarrollo de su actividad;
2. Adopten y pongan en práctica reglas y elevados estándares operativos, técnicos y disciplinarios que permitan el desarrollo de sus operaciones en condiciones de seguridad, transparencia y eficiencia;
3. Adopten y pongan en práctica sistemas adecuados de administración y gestión de los riesgos inherentes a su actividad;
4. Adopten y apliquen procedimientos adecuados que les permitan prevenir ser utilizadas para la realización de actividades delictivas, y
5. Adopten sistemas adecuados de revelación de información financiera y comercial para los participantes, de acuerdo con lo previsto para el efecto en el presente Libro.
PARÁGRAFO. Sin perjuicio de lo señalado en el presente artículo, las funciones en materia de control a las prácticas comerciales restrictivas de la competencia frente a los administradores de sistemas de pago de bajo valor continuarán siendo ejercidas por la Superintendencia de Industria y Comercio, de acuerdo con las atribuciones conferidas por el Decreto 2153 de 1992 y las normas que lo modifiquen o sustituyan, y las demás normas concordantes.
ARTÍCULO 2.17.1.1.4. DEL LIBRE ACCESO A LOS SISTEMAS DE PAGO. <Artículo modificado por el artículo 1 del Decreto 1692 de 2020. El nuevo texto es el siguiente:> Los sistemas de pago de bajo valor, los adquirentes, procesadores adquirentes, entidades emisoras, procesadores emisores y entidades receptoras, se abstendrán de restringir arbitrariamente la entrada de nuevas entidades y aplicarán las mismas condiciones y el mismo tratamiento a todas las órdenes de pago o transferencia de fondos ejecutadas en los sistemas de pago de bajo valor.
Los sistemas de pago de bajo valor, las entidades emisoras, adquirentes y entidades receptoras y sus proveedores de servicios de pago, no podrán bloquear arbitrariamente el procesamiento y trámite de las órdenes de pago o transferencia de fondos de otros participantes del mismo sistema de pago. Así mismo, se abstendrán de pactar la exclusividad en la prestación de sus servicios.
ARTÍCULO 2.17.1.1.5. FRANQUICIADORES. <Artículo modificado por el artículo 1 del Decreto 1692 de 2020. El nuevo texto es el siguiente:> Los franquiciadores no podrán bloquear arbitrariamente la compensación y liquidación de órdenes de pago o transferencia de fondos en las entidades administradoras del sistema de pago de bajo valor que hayan sido autorizadas por el franquiciador para compensar y liquidar las órdenes de pago o transferencia de fondos iniciadas por instrumentos de pago que usen su marca.
Los franquiciadores tampoco podrán exigir a sus franquiciados la suscripción de cláusulas de exclusividad respecto a las actividades de emisión o adquirencia.
ENTIDADES ADMINISTRADORAS DE SISTEMAS DE PAGO DE BAJO VALOR.
ARTÍCULO 2.17.2.1.1. NORMAS APLICABLES A LAS ENTIDADES ADMINISTRADORAS DE SISTEMAS DE PAGO DE BAJO VALOR. <Artículo modificado por el artículo 1 del Decreto 1692 de 2020. El nuevo texto es el siguiente:> Las entidades administradoras de sistemas de pago de bajo valor deberán dar cumplimiento, en lo pertinente, a las disposiciones aplicables a las compañías de financiamiento, en especial, a los Capítulos I, II, III, IV, V, Vil, VIII, X, XIII, XIV, XVI, XVII, XVIII, XX y XXI de la Parte Tercera, la Parte Undécima y el artículo 326 numeral 2 literal i) del Estatuto Orgánico del Sistema Financiero. No será aplicable a las entidades administradoras de sistemas de pago de bajo valor lo dispuesto en el artículo 71 numeral 1 y el artículo 80 del referido Estatuto, en materia de capital mínimo. Sin perjuicio de lo anterior, la Superintendencia Financiera de Colombia podrá ejercer las facultades de vigilancia e inspección que considere oportunas en el marco de las facultades dadas por el Estatuto Orgánico del Sistema Financiero.
PARÁGRAFO 1o. Las entidades administradoras de sistemas de pago de bajo valor sólo podrán desarrollar las actividades propias de su calidad y las autorizadas en el presente Libro, así como las actividades relacionadas con el procesamiento y suministro de tecnología de corresponsales, puntos de recaudo y cajeros electrónicos y las actividades conexas a éstas.
PARÁGRAFO 2o. Las entidades administradoras de sistemas de pago de bajo valor dejarán de ser consideradas sociedades de servicios técnicos y administrativos.
ARTÍCULO 2.17.2.1.2. AUTORIZACIÓN. <Artículo modificado por el artículo 1 del Decreto 1692 de 2020. El nuevo texto es el siguiente:> Los establecimientos de crédito, las sociedades de servicios financieros, las sociedades de capitalización y las sociedades especializadas en depósitos y pagos electrónicos, podrán poseer, conjuntamente, cualquier porcentaje de acciones en entidades administradoras de sistemas de pago de bajo valor.
ARTÍCULO 2.17.2.1.3. CONTRIBUCIONES. <Artículo modificado por el artículo 1 del Decreto 1692 de 2020. El nuevo texto es el siguiente:> Para los efectos de lo dispuesto en el artículo 337 numeral 5 del Estatuto Orgánico del Sistema Financiero, en la determinación de la contribución a cargo de las entidades autorizadas para administrar sistemas de pago de bajo valor, la Superintendencia Financiera de Colombia establecerá una categoría especial.
ARTÍCULO 2.17.2.1.4. DE LA ACTIVIDAD DE COMPENSACIÓN Y LIQUIDACIÓN. <Artículo modificado por el artículo 1 del Decreto 1692 de 2020. El nuevo texto es el siguiente:> La actividad de compensación y liquidación de los sistemas de pago de bajo valor únicamente podrá ser desarrollada por las entidades administradoras del sistema de pago de bajo valor.
ARTÍCULO 2.17.2.1.5. DEBERES DE LAS ENTIDADES ADMINISTRADORAS DE SISTEMAS DE PAGO DE BAJO VALOR. <Artículo modificado por el artículo 1 del Decreto 1692 de 2020. El nuevo texto es el siguiente:> Las entidades administradoras de sistemas de pago de bajo valor tendrán los siguientes deberes:
1. Determinar criterios y tarifas objetivas para el acceso a potenciales participantes que aseguren el cumplimiento de los siguientes principios:
1.1 Trato no discriminatorio; con cargo igual acceso igual.
1.2 Transparencia.
1.3 Promoción de la libre y leal competencia.
1.4 Evitar el abuso de la posición dominante.
1.5 Garantizar que no se aplicarán prácticas que generen impactos negativos al acceso a los sistemas de pago por parte de algún o algunos de los participantes.
2. Informar a los participantes y al público en general las características y tarifas del sistema en los términos del artículo 2.17.2.1.13. del presente decreto.
3. Establecer las políticas y procedimientos administrativos y de organización para la prevención, administración y revelación de conflictos de interés.
4. No restringir a sus participantes su vinculación como participantes en otras entidades administradoras de sistemas de pago de bajo valor.
5. Contar con sistemas adecuados de administración de los riesgos inherentes a su actividad, incluidos planes de contingencia y de seguridad informática para garantizar la continuidad de su operación y la administración y mitigación de los riesgos de crédito, legal, de liquidez, operativo y sistémico.
6. Contar con reglas y elevados estándares operativos, técnicos y de seguridad que permitan el desarrollo de sus operaciones, y las de sus participantes, en condiciones de seguridad, transparencia y eficiencia.
7. Exigir a sus participantes contar con reglas y elevados estándares operativos, técnicos y de seguridad que permitan el desarrollo de sus operaciones y su participación dentro del sistema de pago de bajo valor en condiciones de seguridad, transparencia y eficiencia, y el mantenimiento de sistemas adecuados de administración de los riesgos inherentes a su actividad y aquellos asociados con su participación dentro del sistema de pago de bajo valor, entre otros, el riesgo de contraparte, operativo, de crédito y liquidez.
8. Exigir a sus participantes contar con una política de tratamiento y protección de datos personales, políticas y procedimientos relacionados con la prevención y el control del riesgo de lavado de activos y financiación del terrorismo y deberes de información a los beneficiarios respecto a sus tarifas, comisiones y procedimientos de pago.
9. Poner a disposición de las autoridades competentes la información que conozca, relacionada con posibles actuaciones o situaciones que puedan llegar a configurar conductas fraudulentas, ilegales o anticompetitivas.
10. Suministrar la información requerida por las autoridades competentes en relación con su actividad.
11. Expedir su propio reglamento.
12. Los demás que establezca la Superintendencia Financiera de Colombia.
ARTÍCULO 2.17.2.1.6. JUNTAS DIRECTIVAS. Las juntas directivas de las entidades administradoras de sistemas de pago de bajo valor se conformarán y funcionarán según lo dispuesto para las compañías de financiamiento, de acuerdo a lo establecido en el parágrafo 1 del numeral 2 del artículo 325 del Estatuto Orgánico del Sistema Financiero.
No obstante, en el caso de las entidades administradoras de sistemas de pago de bajo valor en las cuales alguno de sus participantes o de sus proveedores de servicios de pago posean inversiones en su capital, o que posean inversiones en el capital de sus participantes o proveedores de servicios de pago; sus juntas directivas tendrán un número impar de miembros que no será menor de cinco (5) ni mayor de once (11), de los cuales, cuando menos, el veinticinco por ciento (25%) deberá tener la calidad de independiente.
Para efectos de este Libro, se entenderá por independiente, aquella persona que en ningún caso sea, ni durante el último año haya sido:
1. Empleado de la entidad administradora del sistema de pago de bajo valor o de alguna de sus filiales, subsidiarias, controlantes o accionistas, incluyendo los miembros de Junta Directiva de estas últimas.
2. Empleado, socio o directivo de alguno de los participantes de la entidad administradora del sistema de pago de bajo valor.
3. Socio o empleado de asociaciones o sociedades que presten servicios de asesoría o consultoría a la entidad administradora del sistema de pago de bajo valor o a las empresas que pertenezcan al mismo grupo económico del cual forme parte esta.
4. Empleado o directivo de una fundación, asociación o sociedad que reciba donativos importantes de la entidad administradora del sistema de pago de bajo valor. Se consideran donativos importantes aquellos que representen más del veinte por ciento (20%) del total de donativos recibidos por la respectiva institución.
5. Persona que reciba de la entidad administradora del sistema de pago de bajo valor alguna remuneración diferente a los honorarios como miembro de la junta directiva, del comité de auditoría o de cualquier otro comité creado por la junta directiva.
6. Cónyuge, compañero permanente o pariente hasta el segundo grado de consanguinidad, primero de afinidad o primero civil de alguna de las personas mencionadas en los numerales anteriores del presente artículo.
7. Administrador de una empresa en cuya junta directiva participe el representante legal de la entidad administradora del sistema de pago de bajo valor.
Aquellos miembros de junta directiva que no ostenten la calidad de independientes, en ningún caso podrán ser empleados que hagan parte de las áreas de negocio relacionadas con pagos u operación bancaria de las filiales, subsidiarias, controlantes o accionistas de la entidad administradora del sistema de pago de bajo valor.
ARTÍCULO 2.17.2.1.7. COMITÉ DE ACCESO. <Artículo modificado por el artículo 1 del Decreto 1692 de 2020. El nuevo texto es el siguiente:> Las entidades administradoras de sistemas de pago de bajo valor en las cuales alguno de sus participantes o de sus proveedores de servicios de pago posean inversiones en su capital, o que posean inversiones en el capital de sus participantes o proveedores de servicios de pago, deberán contar con un Comité de Acceso. Este comité estará compuesto mínimo por cinco (5) miembros de la Junta Directiva, de los cuales al menos el veinticinco por ciento (25%) debe tener la calidad de independiente, en los términos del inciso tercero del artículo 2.17.2.1.6 del presente decreto.
ARTÍCULO 2.17.2.1.8. FUNCIONES DEL COMITÉ DE ACCESO. <Artículo modificado por el artículo 1 del Decreto 1692 de 2020. El nuevo texto es el siguiente:> El Comité de Acceso tendrá las siguientes funciones:
1. Conocer y decidir las solicitudes de acceso de nuevos participantes con base en los criterios de acceso y procedimientos establecidos en el reglamento de la entidad.
2. Dar respuesta a las solicitudes de acceso sin superar los noventa (90) días calendario contados a partir de la fecha en que esté completa la solicitud de acceso. Si el solicitante no obtiene respuesta a su solicitud dentro de este plazo, ésta se entenderá aceptada. Una vez aceptada la solicitud de acceso, la conexión del nuevo participante se deberá realizar dentro del término estipulado en el reglamento de la entidad, el cual no podrá ser en ningún caso mayor a seis (6) meses
3. En caso de negar la solicitud de acceso, se informará al solicitante los motivos detallados de la misma.
4. Conocer y decidir acerca de la imposición de sanciones, suspensión y exclusión de un participante de la entidad administradora del sistema de pago de bajo valor, de acuerdo con las causales para ello establecidas en el reglamento de la entidad.
ARTÍCULO 2.17.2.1.9. TARIFA DE INTERCAMBIO. <Artículo modificado por el artículo 1 del Decreto 1692 de 2020. El nuevo texto es el siguiente:> En el caso de los pagos o transferencias de fondos iniciados con instrumentos de pago franquiciados, las tarifas de intercambio entre los participantes siempre serán establecidas por las franquicias. Para el efecto, las franquicias no podrán fijar tarifas de intercambio distintas en función de la entidad administradora del sistema de pago de bajo valor donde se procese la transacción.
Para los pagos o transferencias de fondos iniciados con instrumentos de pago no franquiciados, la tarifa de intercambio se establecerá así:
En el caso de las entidades administradoras de sistemas de pago de bajo valor en las cuales sus participantes no posean inversiones en su capital ni posean inversiones en el capital de sus participantes y proveedores de servicio de pago, la tarifa de intercambio será fijada por su junta directiva.
En el caso de las entidades administradoras de sistemas de pago de bajo valor en las cuales alguno de sus participantes o de sus proveedores de servicios de pago posean inversiones en su capital, o que posean inversiones en el capital de sus participantes o proveedores de servicios de pago, la tarifa de intercambio será establecida por la entidad administradora de sistemas de pago de bajo valor. Ni la Junta Directiva de la entidad, ni los participantes o proveedores de servicios de pago que posean inversiones en su capital, podrán tener injerencia alguna en la decisión
Para el efecto, la entidad administradora de sistemas de pago de bajo valor podrá solicitar a los participantes la información estrictamente necesaria para establecer la tarifa de intercambio. Esta información no podrá ser divulgada a la Junta Directiva ni a los participantes o proveedores de servicios de pago que posean inversiones en su capital.
Además de la tarifa de intercambio no podrá existir ninguna otra remuneración entre la entidad emisora y la entidad receptora o el adquirente por las operaciones ejecutadas en el sistema de pago. Cada participante será responsable de pagar los costos de operar como entidad emisora, adquirente o entidad receptora y no deberá asumir costos de otro participante ni de sus proveedores de servicios de pago.
ARTÍCULO 2.17.2.1.10. PUBLICIDAD DE LA TARIFA DE INTERCAMBIO. <Artículo modificado por el artículo 1 del Decreto 1692 de 2020. El nuevo texto es el siguiente:> En todos los casos, el administrador del sistema de pago de bajo valor deberá divulgar en su página web, de forma explícita, los criterios utilizados para determinar las tarifas de intercambio. Para el efecto, cuando la tarifa de intercambio sea determinada por la franquicia, éstas deberán entregar a la entidad administradora de sistemas de pago esta información.
ARTÍCULO 2.17.2.1.11. TARIFA DE ACCESO AL SISTEMA Y DE COMPENSACIÓN Y LIQUIDACIÓN. <Artículo modificado por el artículo 1 del Decreto 1692 de 2020. El nuevo texto es el siguiente:> La tarifa de acceso de los participantes al sistema de pagos y la tarifa por la compensación y liquidación de las órdenes de pago o transferencia de fondos será establecida por la entidad del sistema de pagos de bajo valor, así:
En el caso de las entidades administradoras de sistemas de pago de bajo valor en las cuales sus participantes no posean inversiones en su capital ni posean inversiones en el capital de sus participantes y proveedores de servicio de pago, las tarifas de acceso al sistema y de compensación y liquidación serán fijadas por su junta directiva.
En el caso de las entidades administradoras de sistemas de pago de bajo valor en las cuales alguno de sus participantes o de sus proveedores de servicios de pago posean inversiones en su capital, o que posean inversiones en el capital de sus participantes o proveedores de servicios de pago, las tarifas de acceso al sistema y de compensación y liquidación serán establecidas por la entidad administradora de sistemas de pago de bajo valor. Ni la Junta Directiva de la entidad, ni los participantes o proveedores de servicios de pago que posean inversiones en su capital, podrán tener injerencia alguna en la decisión.
ARTÍCULO 2.17.2.1.12. REGLAMENTO. <Artículo modificado por el artículo 1 del Decreto 1692 de 2020. El nuevo texto es el siguiente:> Las entidades administradoras de sistemas de pago de bajo valor deberán adoptar un reglamento de funcionamiento el cual deberá comprender al menos lo siguiente:
1. Características del sistema de pago de bajo valor.
2. Instrumentos de pago que se canalizarán a través del mismo y los mecanismos de recepción de órdenes de pago o transferencias
3. Características básicas de la compensación y/o la liquidación.
4. Identificación de la cuenta de depósito en el Banco de la República o de la cuenta corriente o de ahorros en un establecimiento de crédito que en principio utilizará la entidad para la liquidación de las operaciones tramitadas por el sistema.
5. Las obligaciones y responsabilidades de las entidades administradoras de sistemas de pago de bajo valor y de sus participantes.
6. Listado explícito y claro de la documentación e información requerida para la solicitud de acceso de nuevos participantes y las causales de rechazo.
7. Listado y descripción de las etapas del procedimiento de acceso y los plazos máximos de cada etapa, incluyendo la etapa final de conexión y puesta en marcha para la entrada en operación.
8. La política y metodología establecida para la fijación de tarifas a los participantes o para la determinación de cualquier otro cargo del sistema de pago, incluida la tarifa de intercambio.
9. Las políticas y procedimientos para prevenir, administrar y revelar conflictos de interés de acuerdo con lo establecido en el artículo 2.17.2.1.15. del presente decreto.
10. Las políticas y procedimientos para el manejo de la confidencialidad y la provisión de información a los participantes. Igualmente, los compromisos que adquiere la entidad para proteger la información y los datos de los usuarios y participantes del sistema y prevenir su modificación, daño o pérdida.
11. El momento específico en el cual una orden de pago o transferencia de fondos cumple con los requisitos y controles de riesgo establecidos y, en consecuencia, se entiende aceptada, produciéndose los efectos del artículo 2.17.2.1.17. del presente decreto.
12. El modelo y los procedimientos definidos para la gestión de los riesgos del sistema de pago, incluidos los riesgos de crédito, legal, de liquidez, operativo y sistémico.
13. Los horarios de funcionamiento, así como las condiciones especiales para su eventual modificación.
14. La obligación que tendrán sus participantes de informar a sus beneficiarios el plazo máximo en el cual pondrán a su disposición el importe de los pagos o transferencia de fondos.
15. Los eventos en los cuales se configura un incumplimiento de las obligaciones a cargo de cualquiera de los participantes, junto con sus correspondientes sanciones. Las sanciones deberán fijarse atendiendo a principios de proporcionalidad, razonabilidad y transparencia.
16. Procedimientos para determinar e imponer sanciones, causales de retiro, suspensión y exclusión de un participante del sistema de pago de bajo valor, así como los mecanismos de solución de controversias;
17. Las reglas y procedimientos internos que aplicará la entidad ante el incumplimiento de un participante, la orden de cesación de pagos dictada por alguna autoridad judicial o administrativa, el inicio de un proceso de liquidación u otro procedimiento concursal.
18. El manual de operaciones.
19. El procedimiento previsto para la modificación del reglamento.
20. Los mecanismos para obligar al adquirente no vigilado a trasladar los fondos recibidos de la liquidación de órdenes de pago o transferencias de fondos a sus usuarios en caso que la inscripción en el Registro de Adquirentes no Vigilados sea suspendida o cancelada por la Superintendencia Financiera de Colombia, en los términos del artículo 2.17.3.1.3. del presente decreto.
21. Los demás que establezca la Superintendencia Financiera de Colombia.
PARÁGRAFO. El reglamento deberá ser aprobado por la Superintendencia Financiera de Colombia. Esta aprobación estará sujeta al cumplimiento de los principios de los sistemas de pago de bajo valor, los deberes y obligaciones establecidos en el presente decreto y deberá ser publicado por la entidad administradora del sistema de pago de bajo valor en su página web.
En caso de que las entidades administradoras de sistemas de pago de bajo valor administren más de un sistema de pago, éstas deberán adoptar un reglamento de Funcionamiento por cada uno de ellos y deberán ser aprobados por la Superintendencia Financiera de Colombia.
La Superintendencia Financiera de Colombia determinará las modificaciones al reglamento que requieran ser aprobadas por dicha entidad.
ARTÍCULO 2.17.2.1.13. INFORMACIÓN. <Artículo modificado por el artículo 1 del Decreto 1692 de 2020. El nuevo texto es el siguiente:> Además de lo establecido en la Ley 1328 de 2009 y las normas que la modifiquen o sustituyan, las entidades administradoras de sistemas de pago de bajo valor deberán informar a los participantes y al público en general, en su página web o cualquier otro medio de amplia divulgación, la siguiente información:
1. Las características del sistema,
2. Los requisitos de acceso de los participantes,
3. Las tarifas y comisiones cobradas en desarrollo de la actividad de compensación y liquidación.
4. Los costos y requisitos de vinculación del comercio de cada uno de los adquirentes participantes en su sistema. Para el efecto, los. adquirentes deberán informar a las entidades administradoras de los sistemas de pago de bajo valor la información aquí requerida.
5. El valor de la comisión de adquirencia cobrado por los adquirentes participantes en su sistema, discriminado por cada una de las categorías de establecimientos de comercio o sectores, de conformidad con la clasificación que los adquirentes tengan establecidos. En caso que el adquirente delegue sus servicios a un agregador, deberá reportarse también la comisión de adquirencia cobrada por dicho proveedor de servicios pago.
6. La tarifa de intercambio en los términos del artículo 2.17.2.1.10.
7. Los plazos para la acreditación de pagos a los participantes del sistema.
PARÁGRAFO. La Superintendencia Financiera de Colombia determinará las obligaciones de transparencia de los adquirentes y entidades receptoras en relación con los plazos de acreditación de los fondos a sus usuarios, de forma tal que esta información sea comparable.
ARTÍCULO 2.17.2.1.14. PRESTACIÓN DE OTROS SERVICIOS. <Artículo modificado por el artículo 1 del Decreto 1692 de 2020. El nuevo texto es el siguiente:> Las entidades administradoras de sistemas de pago de bajo valor no podrán desarrollar la actividad de adquirencia ni ser entidad emisora. No obstante, podrán ser proveedores de servicios de pago de adquirentes y entidades emisoras. En este caso, las entidades administradoras de sistemas de pago de bajo valor observarán las siguientes reglas:
1. Las entidades deberán ofrecer sus servicios y productos de manera desagregada y cobrar tarifas individuales por cada uno de dichos servicios y productos.
2. En ningún caso podrán condicionar la prestación de la actividad de compensación y liquidación a la contratación de otros servicios ni viceversa.
3. En ningún caso podrán restringir la contratación de servicios con sus competidores.
4. En ningún caso podrán usar la información a la que tengan acceso en el desarrollo de alguna de las actividades aquí, autorizadas para el desarrollo o ejecución de la otra actividad.
5. Deberán contar con los mecanismos de solución de conflictos de interés del artículo 2.17.2.1.15 del presente decreto.
ARTÍCULO 2.17.2.1.15. CONFLICTOS DE INTERÉS. <Artículo modificado por el artículo 1 del Decreto 1692 de 2020. El nuevo texto es el siguiente:> En caso de que una entidad administradora de sistemas de pago de bajo valor que desarrolle la actividad de compensación y liquidación sea proveedor de servicios de pago de adquirentes o entidades emisoras; o alguna de sus filiales, subsidiarias, controlantes o accionistas sean participantes de su sistema de pago, esta deberá incluir en su reglamento un capítulo específico de políticas y procedimientos para identificar, prevenir, administrar y revelar conflictos de interés que se puedan derivar de la relación aquí prevista.
Las políticas y procedimientos a que se refiere el presente artículo deberán incluir, como mínimo, lo siguiente:
1. Identificación de las situaciones de conflicto de interés en que pueda estar incursa la entidad, sus accionistas, miembros de Junta Directiva y empleados y la forma de administrarlos.
2. Reglas para que la realización simultánea de actividades en el sistema de pago de bajo valor no dé lugar a situaciones de conflicto de interés que afecten la actividad de compensación y liquidación.
3. Reglas relativas a los flujos de información para que no se afecte el cumplimiento de la actividad de compensación y liquidación.
4. Mecanismos que permitan informar de manera oportuna a los participantes y demás actores del sistema de pago de bajo valor sobre los conflictos de interés y la forma en que son administrados por la entidad.
5. Contar con los mecanismos para que las áreas, funciones y sistemas de toma de decisiones susceptibles de entrar en conflicto de interés, estén separadas decisoria, física y operativamente.
La Superintendencia Financiera de Colombia podrá ampliar el contenido de las políticas y procedimientos requeridos por el presente artículo y fijar los criterios técnicos para su elaboración.
ARTÍCULO 2.17.2.1.16. CONTRATACIÓN DE PROVEEDORES DE SERVICIOS DE PAGO. <Artículo modificado por el artículo 1 del Decreto 1692 de 2020. El nuevo texto es el siguiente:> Las entidades administradoras de sistemas de pago de bajo valor no podrán obligar a los participantes, en ningún caso, a contratar a uno o varios proveedores de servicios de pago. En consecuencia, los adquirentes podrán contratar al proveedor de servicios de pago que consideren conveniente para el conocimiento e identificación de los comercios.
ARTÍCULO 2.17.2.1.17. FINALIDAD. <Artículo modificado por el artículo 1 del Decreto 1692 de 2020. El nuevo texto es el siguiente:> Las órdenes de pago o transferencia de fondos serán firmes, irrevocables, exigibles y oponibles frente a terceros a partir del momento en que tales órdenes hayan sido aceptadas por el sistema de compensación y liquidación.
Se entiende que una orden de transferencia ha sido aceptada cuando ha cumplido los requisitos y controles de riesgo establecidos en los reglamentos de la respectiva entidad administradora de sistemas de pago de bajo valor.
ARTÍCULO 2.17.2.1.18. INTEROPERABILIDAD. <Artículo modificado por el artículo 1 del Decreto 1692 de 2020. El nuevo texto es el siguiente:> Las entidades administradoras de sistemas de pago de bajo valor deberán requerir a sus participantes el cumplimiento de los estándares de tecnologías de acceso para la iniciación de pagos o transferencias de fondos establecidos por la Superintendencia Financiera de Colombia. Para el efecto, la Superintendencia Financiera de Colombia podrá crear un comité consultivo con la participación de entidades públicas y privadas, en donde se discutan estos estándares.
ARTÍCULO 2.17.2.1.19. BANCO DE LA REPÚBLICA. <Artículo modificado por el artículo 1 del Decreto 1692 de 2020. El nuevo texto es el siguiente:> El Banco de la República podrá seguir administrando sistemas de pago de bajo valor de acuerdo con lo previsto en su régimen legal propio, debiendo dar cumplimiento a las normas y requisitos establecidos en este decreto que le resulten aplicables y, en particular, lo establecido en los artículos 2.17.2.1.5, 2.17.2.1.12, 2.17.2.1.13, 2.17.2.1.16, 2.17.2.1.17 y 2.17.2.1.18.
El Banco de la República podrá fijar la tarifa de intercambio entre los participantes en los sistemas de pago de bajo valor que administra, en el caso de que se compensen y liquiden órdenes de pago o transferencia de fondos iniciados con instrumentos de pago no franquiciados. En el reglamento a que hace referencia el artículo 2.17.2.1.12, se publicará la política y metodología aplicable.
El Banco de la República también podrá definir la tarifa de acceso de los participantes a los sistemas de pago y la tarifa por la compensación y liquidación de las órdenes de pago o transferencia de fondos.
DE LA ADQUIRENCIA.
ARTÍCULO 2.17.3.1.1. DE LA ADQUIRENCIA. <Artículo modificado por el artículo 1 del Decreto 1692 de 2020. El nuevo texto es el siguiente:> La actividad de adquirencia podrá ser desarrollada por los establecimientos de crédito, las sociedades especializadas en depósitos y pagos electrónicos - SEDPES y por sociedades no vigiladas por la Superintendencia Financiera de Colombia.
ARTÍCULO 2.17.3.1.2. REGISTRO DE ADQUIRENTES NO VIGILADOS. <Artículo modificado por el artículo 1 del Decreto 1692 de 2020. El nuevo texto es el siguiente:> La Superintendencia Financiera de Colombia mantendrá un registro de las sociedades no vigiladas que desarrollen la actividad de adquirencia. Dicho registro tiene como propósito permitir que se evalúe su solvencia y se realizará de forma previa a que el adquirente sea aceptado como participante al primer sistema de pago de bajo valor donde pretenda desarrollar sus actividades.
La Superintendencia Financiera de Colombia autorizará la inscripción en el Registro de Adquirentes no Vigilados a aquellas sociedades que cumplan los siguientes requisitos de carácter general:
1. Ser una sociedad anónima.
2. Disponer de un capital suscrito y pagado igual o superior a mil setecientos (1.700) salarios mínimos mensuales legales vigentes.
3. Contar con un mecanismo para mantener los fondos recibidos de la liquidación de órdenes de pago o transferencias de fondos separados de los fondos de sus recursos propios o recursos de otras personas distintas a sus usuarios. Para el efecto podrán, entre otros, suscribir alianzas con establecimientos de crédito o constituir patrimonios autónomos.
4. A partir del primer año de operación, y cada año siguiente, demostrar que cuenta con un capital suscrito y pagado de por lo menos el dos por ciento (2%) del valor de los fondos recibidos de la liquidación de órdenes de pago o transferencias de fondos de los últimos doce meses.
La Superintendencia Financiera de Colombia podrá verificar, en cualquier momento, el cumplimiento de los requisitos aquí listados.
La Superintendencia Financiera de Colombia tendrá un plazo máximo de dos (2) meses, contados a partir de la radicación de la solicitud de registro junto a toda la información requerida, para autorizar o denegar la solicitud de la inscripción en el Registro de Adquirentes no Vigilados.
ARTÍCULO 2.17.3.1.3. NEGACIÓN DE LA SOLICITUD DE INSCRIPCIÓN. <Artículo modificado por el artículo 1 del Decreto 1692 de 2020. El nuevo texto es el siguiente:> La inscripción en el Registro de Adquirentes no Vigilados puede ser negada, suspendida o cancelada por la Superintendencia Financiera de Colombia, cuando el adquirente no cumpla o deje de satisfacer los requisitos establecidos. En caso de que la inscripción sea suspendida o cancelada, el adquirente deberá proceder inmediatamente a trasladar los fondos recibidos de la liquidación de órdenes de pago o transferencias de fondos a sus usuarios.
ARTÍCULO 2.17.3.1.4. REGISTRO Y ACCESO A LOS SISTEMAS DE PAGO. <Artículo modificado por el artículo 1 del Decreto 1692 de 2020. El nuevo texto es el siguiente:> La inscripción en el Registro de Adquirentes no Vigilados no suplirá el cumplimiento de los requisitos estipulados por las entidades administradoras de sistemas de pago de bajo valor para el acceso de los adquirentes como participantes de su sistema de pago.
Sin embargo, la entidad administradora de sistemas de pago de bajo valor no podrá requerir a los adquirentes no vigilados el cumplimiento de requisitos de capital, solvencia o mecanismos de separación de fondos provenientes de órdenes de pago o transferencias de fondos, distintos a los previstos en el artículo 2.17.3.1.2 del presente decreto.
ARTÍCULO 2.17.3.1.5. DEPÓSITO DE FONDOS. <Artículo modificado por el artículo 1 del Decreto 1692 de 2020. El nuevo texto es el siguiente:> Las sociedades no vigiladas por la Superintendencia Financiera de Colombia que desarrollen las actividades de adquirencia deberán depositar los fondos resultantes de las órdenes de pago o transferencia de fondos a favor de los comercios adquiridos, en establecimientos de crédito o sociedades especializadas en depósitos y pagos electrónicos. En este caso, ni el establecimiento de crédito ni la sociedad especializada en depósitos y pagos electrónicos tendrá la calidad de adquirente ni asumirá sus obligaciones y responsabilidades.
ARTÍCULO 2.17.3.1.6. ADQUIRENTES VIGILADOS. <Artículo modificado por el artículo 1 del Decreto 1692 de 2020. El nuevo texto es el siguiente:> Los establecimientos de crédito y las sociedades especializadas en depósitos y pagos electrónicos - SEDPES que desarrollen la actividad de adquirencia no deberán cumplir ningún requisito adicional de capital ni solvencia distinto a lo ya exigido en la normatividad vigente.
NORMAS APLICABLES A LOS FONDOS DEINVERSIÓN DE CAPITAL EXTRANJERO.
ARTÍCULO 2.18.1.1.1 AUTORIZACIÓN. <Artículo modificado el artículo 53 del Decreto 1745 de 2020. El nuevo texto es el siguiente:>
Los fondos institucionales de inversión de capital extranjero están autorizados para realizar transacciones en el mercado de valores de conformidad con la Parte 17 del Libro 2 del Decreto 1068 de 2015.
NORMAS APLICABLES A LOS FONDOS MUTUOS DE INVERSIÓN.
ARTÍCULO 2.19.1.1.1 ALCANCE DEL CONTROL A LOS FONDOS MUTUOS DE INVERSIÓN.
<Fuente original compilada: R. 1200/95 Art. 3.11.2 Adicionado por la R. 545/02 Art. 1o.> El control de la Superintendencia Financiera de Colombia sobre los fondos mutuos de inversión de que trata el inciso segundo del artículo 75 de la ley 510 de 1999, se ejerce sobre las actividades que dichos entes desarrollen en el mercado público de valores, como inversionistas institucionales. Para tal efecto, corresponde a la Superintendencia Financiera de Colombia verificar que sus actividades de inversión se ajusten a las normas del mercado de valores que las regulan, y velar por el cumplimiento de las obligaciones establecidas en el artículo 2.19.1.1.8 del presente decreto.
ARTÍCULO 2.19.1.1.2. <Fuente original compilada: R. 400/95 Art. 2.5.0.1 Derogado por el D. 3885/09 Art. 1o.> Los Fondos Mutuos de Inversión deberán gestionarse atendiendo a los principios de profesionalismo, equidad, mejor ejecución del encargo y diversificación, buscando generar la mayor rentabilidad con un adecuado nivel de riesgo. Para los efectos de este artículo, los principios se definen de la siguiente manera:
Profesionalismo: Los administradores del fondo mutuo actuarán de manera profesional con la diligencia exigible a un experto prudente y diligente en la administración de activos de terceros.
Equidad: Igualdad de trato entre los inversionistas con características similares.
Mejor Ejecución del Encargo: El Fondo Mutuo de Inversión deberá gestionar los activos en las mejores condiciones posibles para los intereses de sus afiliados, teniendo en cuenta las características de las operaciones a ejecutar, la situación del mercado al momento de la ejecución, los costos asociados, la oportunidad de mejorar el precio y demás factores relevantes.
Se entiende que el Fondo Mutuo de Inversión logra la mejor ejecución de una operación cuando obra con el cuidado necesario para propender porque el precio y las demás condiciones de la operación correspondan a las mejores condiciones disponibles en el mercado al momento de la negociación, teniendo en cuenta la clase, el valor y el tamaño de la operación.
Diversificación: Política de inversión que permita lograr un nivel adecuado de riesgo mediante la mezcla óptima de inversiones.
ARTÍCULO 2.19.1.1.3 RÉGIMEN DE INVERSIONES Y OPERACIONES.
<Fuente original compilada: D. 3885/09 Art. 2o.> Las inversiones de los Fondos Mutuos de Inversión sometidos a inspección y vigilancia de la Superintendencia Financiera de Colombia, estarán limitadas a:
1. Valores inscritos en el Registro Nacional de Valores y Emisores (RNVE) que se encuentren igualmente inscritos en bolsa de valores, en un sistema de negociación de valores o en una bolsa de productos agropecuarios, agroindustriales o de otros commodities de Colombia, o valores listados y negociados en un sistema de cotización de valores extranjeros. Cuando se trate de acciones o bonos obligatoriamente convertibles en acciones, la inversión no podrá exceder el ochenta por ciento (80%) del valor del activo total del respectivo Fondo Mutuo de Inversión.
2. Préstamos otorgados a sus afiliados de conformidad con el reglamento que apruebe la respectiva junta directiva, hasta en un monto que no exceda el cuarenta y cinco por ciento (45%) del valor del activo total del respectivo Fondo Mutuo de Inversión.
3. <Numeral modificado el artículo 54 del Decreto 1745 de 2020. El nuevo texto es el siguiente:> Participaciones en fondos de inversión colectiva constituidos de conformidad con el artículo 3.1.1.1.1 y siguientes del presente decreto o la norma que lo modifique o sustituya, con excepción de los fondos de naturaleza apalancada y los Fondos de Capital Privado. Cuando el fondo de inversión colectiva contemple en su portafolio valores de renta variable, la inversión del respectivo Fondo Mutuo de Inversión en este fondo computará para establecer el límite a que se refiere el numeral 1 del presente artículo.
4. Depósitos a término en establecimientos de crédito sometidos a la inspección y vigilancia de la Superintendencia Financiera de Colombia, de acuerdo con las políticas establecidas por la respectiva junta directiva del Fondo Mutuo de Inversión.
5. Operaciones de reporto o repo, simultáneas activas y pasivas y operaciones de transferencia temporal de valores sobre inversiones admisibles, cuya cuantía combinada no supere el treinta por ciento (30%) del activo total del respectivo Fondo. Dichas operaciones deberán efectuarse a través de bolsa de valores o de bolsa de productos agropecuarios, agroindustriales o de otros commodities de Colombia, o de cualquier otro sistema de negociación de valores autorizado por la Superintendencia Financiera de Colombia.
Los Fondos Mutuos de Inversión sólo podrán efectuar operaciones de transferencia temporal de valores en las que actúen como “originadores” de las mismas. En estas operaciones sólo podrán recibir títulos o valores en los cuales se encuentran facultados para invertir. Así mismo, en los casos en que el Fondo Mutuo de Inversión reciba recursos dinerarios, estos deberán permanecer congelados en depósitos a la vista en las entidades a que se refiere el numeral 4 de este artículo.
6. Descuentos de cartera, siempre y cuando el cumplimiento de las obligaciones correspondientes se encuentre garantizado por un establecimiento de crédito o una entidad aseguradora sometidos a la inspección y vigilancia de la Superintendencia Financiera de Colombia. En este caso, la garantía otorgada computará dentro del límite individual respectivo, por el ciento por ciento (100%) de su valor.
La inversión autorizada en el presente numeral no podrá exceder del diez por ciento (10%) del activo total del respectivo Fondo Mutuo de Inversión.
PARÁGRAFO 1. Los valores que se reciban en desarrollo de las operaciones descritas en el numeral 5 del presente artículo computarán para efectos del cumplimiento de todos los límites de que trata el presente decreto, por un monto equivalente al cincuenta por ciento (50%) de su valor de mercado, salvo cuando éstos se hayan recibido por virtud de operaciones con la Nación o el Banco de la República, en cuyo caso tales valores no computarán. Dichos valores no podrán ser transferidos de forma temporal o definitiva, sino solo para cumplir la respectiva operación.
PARÁGRAFO 2. Los Fondos Mutuos de Inversión en el desarrollo de su objeto legal y en la realización de operaciones previstas en su régimen de inversiones deberán aplicar las instrucciones y disposiciones generales establecidas por la Superintendencia Financiera de Colombia para la administración de riesgos.
PARÁGRAFO 3. Los Fondos Mutuos de Inversión podrán realizar depósitos en cuenta corriente o de ahorros en entidades sometidas a la inspección y vigilancia de la Superintendencia Financiera de Colombia, en los términos y condiciones que se establezcan en su reglamento.
PARÁGRAFO 4. Para efectos de lo dispuesto en el numeral primero del presente artículo, respecto de la inversión en valores listados en un Sistema de Cotización de Valores Extranjeros, los Fondos Mutuos de Inversión deberán tener la calidad de Inversionista Profesional en los términos del artículo 7.2.1.1.2 y siguientes de la presente disposición.
ARTÍCULO 2.19.1.1.4 LÍMITE POR EMISOR.
<Fuente original compilada: D. 3885/09 Art. 3o.> Sin perjuicio de los límites previstos en el artículo 2.19.1.1.3 del presente Decreto y con excepción de las inversiones en valores o títulos emitidos por la Nación o el Banco de República, se deberán tener en cuenta los siguientes límites de concentración:
1. <Numeral modificado el artículo 55 del Decreto 1745 de 2020. El nuevo texto es el siguiente:> La exposición a una persona natural o jurídica no podrá exceder del veinte por ciento (20%) del valor de mercado del portafolio. Se entiende por exposición la suma de las inversiones en uno o varios instrumentos de una misma entidad, emisor o fondo de inversión colectiva, los préstamos otorgados a dicha persona de conformidad con el numeral 2 del artículo 2.19.1.1.3 del presente decreto, los depósitos a la vista realizados en ella y las exposiciones netas resultantes de las operaciones descritas en el numeral 5 del artículo 2.19.1.1.3 del presente decreto, en las que dicha entidad es la contraparte.
2. Sin perjuicio de lo establecido en el numeral anterior, la exposición a la persona jurídica en la que trabajen todos los afiliados al respectivo fondo no podrá exceder del veinticinco por ciento (25%) del valor de mercado del portafolio.
3. Cuando se trate de Fondos Mutuos de Inversión que agrupen trabajadores de varias empresas, la suma de las exposiciones a esos emisores no podrá exceder del cuarenta por ciento (40%) del valor de mercado del portafolio.
4. La suma de las exposiciones a un mismo emisor incluidas sus filiales y subsidiarias, su matriz y las filiales o subsidiarias de ésta, no podrá exceder del treinta por ciento (30%) del valor del portafolio.
5. La cantidad de acciones o bonos obligatoriamente convertibles en acciones en poder de un Fondo Mutuo de Inversión no podrá exceder del diez por ciento (10%) de acciones o bonos convertibles en acciones en circulación de un mismo emisor.
PARÁGRAFO 1. Respecto a la inversión en títulos hipotecarios y títulos derivados de procesos de titularización, los límites de concentración se aplicarán sobre el valor total de cada universalidad o patrimonio autónomo. Cuando la titularización prevea algún tipo de garantía sobre los títulos emitidos, para efectos del cálculo de los límites de concentración, el porcentaje garantizado computará para el límite del garante y para el límite del patrimonio autónomo sólo computará el porcentaje no garantizado.
PARÁGRAFO 2. En el caso de títulos avalados, aceptados o garantizados por entidades vigiladas por la Superintendencia Financiera de Colombia, el límite se imputará a la entidad mejor calificada entre el emisor y el avalista. En el caso de las emisiones garantizadas por la Nación, el Banco de la República o Fogafín, el límite se imputará a estas últimas.
PARÁGRAFO 3. Para los efectos del presente artículo, se entiende como exposición neta en las operaciones descritas en los numerales 5 y 6 del artículo 2.19.1.1.3 del presente Decreto, el monto que resulte de restar la posición deudora de la posición acreedora que ostenta la entidad con la misma contraparte, siempre que este monto sea positivo. Para el cálculo de dichas posiciones deberán tenerse en cuenta el precio justo de intercambio de los valores cuya propiedad se transfiera y/o la suma de dinero entregada como parte de la operación, así como los intereses o rendimientos causados asociados a la misma.
ARTÍCULO 2.19.1.1.5 FINANCIACIÓN PARA ADQUIRIR VALORES.
<Fuente original compilada: D. 3885/09 Art. 4o.> Los Fondos Mutuos de Inversión podrán recibir financiación de los establecimientos de crédito sometidos a inspección y vigilancia de la Superintendencia Financiera de Colombia, para la adquisición de valores cuando ello corresponda a las condiciones de la respectiva emisión para los valores adquiridos en el mercado primario o se trate de programas de privatización o democratización de sociedades.
ARTÍCULO 2.19.1.1.6 CONTRATACIÓN DE LA ADMINISTRACIÓN.
<Fuente original compilada: D. 3885/09 Art. 5o.> Los Fondos Mutuos de Inversión podrán encomendar, por su cuenta y a su nombre, en Sociedades Fiduciarias o Sociedades Comisionistas de Bolsa sometidos a inspección y vigilancia de la Superintendencia Financiera de Colombia, la administración del respectivo Fondo o la administración total o parcial de los activos que lo integran, sin que implique delegación de la responsabilidad.
Por este hecho, el Fondo Mutuo de Inversión no podrá eximirse de sus obligaciones legales y será responsable de las actuaciones adelantadas por el administrador o mandatario. El administrador o mandatario tendrá los mismos límites que le resultaren aplicables al respectivo Fondo Mutuo de Inversión por las normas que rigen sus inversiones y operaciones.
ARTÍCULO 2.19.1.1.7 LIQUIDACIÓN OBLIGATORIA DE INVERSIONES POR VALORIZACIONES.
<Fuente original compilada: D. 3885/09 Art. 6o.> Cuando como consecuencia de las valorizaciones de los activos del Fondo Mutuo de Inversión, éste incumpla algunos de los límites de concentración previstos en el presente Decreto, el respectivo fondo mutuo de inversión deberá proceder a liquidar las inversiones de manera tal que se cumpla con el límite establecido.
La liquidación se deberá realizar de manera ordenada de acuerdo con el plan de desmonte que se presente a la Superintendencia Financiera de Colombia, quien podrá presentar objeciones al mismo.
ARTÍCULO 2.19.1.1.8 INSTRUCCIONES.
<Fuente original compilada: D. 3885/09 Art. 7o.> La Superintendencia Financiera de Colombia impartirá las instrucciones necesarias para el cumplimiento del correspondiente régimen de inversiones, así como sobre la adecuada administración de los riesgos financieros de los Fondos Mutuos de Inversión.
ARTÍCULO 2.19.1.1.9 RÉGIMEN DE TRANSICIÓN.
<Fuente original compilada: D. 3885/09 Art. 8o.> Los Fondos de Mutuos de Inversión sometidos a la inspección y vigilancia de la Superintendencia Financiera de Colombia que se encuentren en funcionamiento, tendrán un término de seis (6) meses, contados a partir del 8 de octubre de 2009, para adoptar las medidas necesarias para el cumplimiento del presente Libro.
<Fuente original compilada: R. 1200/95 Art. 3.11.1 Adicionado por la R. 545/02 Art. 1o.> Para determinar el nivel de supervisión al que estará sometido cada fondo mutuo de inversión, el representante legal, dentro de los veinte (20) primeros días de cada año calendario, debe allegar a esta entidad una certificación, debidamente atestada por el revisor fiscal del mismo, en la cual conste el valor de los activos del respectivo fondo con corte a 31 de diciembre del año inmediatamente anterior.
Con fundamento en la referida certificación, la Superintendencia Financiera de Colombia, a más tardar el 15 de febrero de cada año, comunicará a cada fondo su condición de entidad controlada o de entidad sujeta a inspección y vigilancia, según el respectivo nivel de activos.
<Fuente original compilada: R. 1200/95 Art. 3.11.3 Adicionado por la R. 545/02 Art. 1o.> Los fondos mutuos de inversión bajo el control de la Superintendencia Financiera de Colombia, deberán cumplir con las siguientes obligaciones:
1. Mantener informada a la Superintendencia Financiera de Colombia sobre los datos generales de la entidad (dirección, teléfono, fax) y de sus administradores y revisores fiscales (nombre, número de documento de identificación, calidad).
2. Ajustarse a las normas sobre preparación, presentación y publicación de informes contables y financieros que expida la Superintendencia Financiera de Colombia.
3. Suministrar las informaciones que solicite la Superintendencia a la entidad o a sus administradores, funcionarios o apoderados. La Superintendencia Financiera de Colombia podrá ordenar la publicación de aquella información que estime necesaria para la transparencia del mercado de valores.
4. Enviar a la Superintendencia Financiera de Colombia los estados financieros de fin de ejercicio y sus respectivos anexos, antes de ser considerados por la asamblea de afiliados. La Superintendencia Financiera de Colombia ordenará la incorporación de los ajustes que resulten necesarios para el adecuado cumplimiento de lo establecido en el numeral primero del presente artículo. Dichos informes harán parte del Registro Nacional de Agentes del Mercado de Valores, RNAMV.
5. Ajustar de forma permanente el portafolio de inversiones, al régimen legal que lo regula.
6. Atender las visitas decretadas y ordenadas por la Superintendencia Financiera de Colombia, en las cuales deberán exhibir todos los libros, papeles y, en general, documentos, requeridos por los funcionarios visitadores.
7. Allegar dentro del mes siguiente a cada uno de los respectivos eventos, copia autorizada del acta orgánica de constitución y sus reglamentos de funcionamiento, así como de las modificaciones que se hayan introducido a los mismos; y copia autorizada de las actas en las que conste el nombramiento de los miembros de la junta directiva, principales y suplentes, del representante legal y del revisor fiscal.
PARÁGRAFO 1. En consideración a lo previsto en el presente artículo, el control ejercido por la Superintendencia Financiera de Colombia no conlleva:
1. Posesionar a los miembros de junta directiva, representantes legales y revisores fiscales.
2. Autorizar los estados financieros intermedios y los proyectos de distribución de utilidades.
3. Recibir estados financieros intermedios.
4. Autorizar la presentación a la asamblea de los estados financieros de fin de ejercicio.
PARÁGRAFO 2. Las obligaciones a cargo de los fondos mutuos de inversión, establecidas en las circulares externas y demás normas expedidas por la Superintendencia Financiera de Colombia, deberán ser cumplidas por los fondos mutuos de inversión bajo el control de esta Superintendencia, en todo aquello que resulte compatible con lo establecido en los artículos 2.19.1.1.1 y el presente Decreto.
ARTÍCULO 2.19.1.1.12 ELECCIÓN DE LA JUNTA DIRECTIVA. <Artículo adicionado por el artículo 1 del Decreto 232 de 2019. El nuevo texto es el siguiente:> La Junta Directiva de los Fondos Mutuos de Inversión será integrada por cinco directores; dos de ellos elegidos por los trabajadores y dos por la respectiva o respectivas empresas. Los cuatro directores así elegidos designarán al quinto director con base en el mecanismo que decidan de común acuerdo. Este mecanismo deberá estar previamente establecido en el reglamento interno del respectivo Fondo.
La elección por parte de los trabajadores, por parte de las empresas y del quinto director, se hará separadamente.
En la elección de directores por parte de los trabajadores, cada uno de estos tendrá derecho a un voto. En la elección de directores por parte de las empresas, cuando fueren varias, cada empresa tendrá derecho a un voto. Cuando se trate de una sola empresa, esta hará libremente la designación de dos directores.
ARTÍCULO 2.19.1.1.13. FUNCIONES DE LA JUNTA DIRECTIVA. <Artículo adicionado por el artículo 2 del Decreto 232 de 2019. El nuevo texto es el siguiente:> Son funciones de la Junta Directiva:
1. Elegir de entre sus miembros al Presidente y al Vicepresidente de la misma.
2. Expedir los reglamentos de Administración, de Crédito y del Fondo de Perseverancia.
3. Elegir y remover al Gerente y a los demás funcionarios del Fondo, así como fijarles su remuneración.
4. Presentar con el Gerente a la Asamblea de afiliados las cuentas, balances e informes financieros.
5. Autorizar la distribución de rendimientos entre los afiliados, con base en los estados financieros aprobados previamente por la Asamblea de afiliados y los lineamientos previstos en el reglamento de administración.
6. Examinar en cualquier tiempo, directamente o por medio de una comisión conformada con algunos de sus miembros, los libros y papeles del Fondo.
7. Dictar su reglamento.
8. Adoptar las demás determinaciones necesarias para que el Fondo cumpla sus fines, siempre que no estén atribuidas a otro órgano.
ARTÍCULO 2.19.1.1.14. CONDICIONES PARA EL RETIRO DE UNA EMPRESA DE UN FONDO MUTUO DE INVERSIÓN. <Artículo adicionado por el artículo 3 del Decreto 232 de 2019. El nuevo texto es el siguiente:> Toda empresa puede libremente retirarse del grupo de empresas a que pertenezca en un Fondo Mutuo de Inversión para ingresar a otro o para organizar su propio fondo. Para el efecto, la respectiva empresa dará aviso de su decisión mediante comunicación radicada ante el Fondo Mutuo de Inversión, con tres (3) meses de antelación a la fecha para la cual solicite se haga efectivo el traspaso de los activos que correspondan a sus trabajadores.
El Fondo Mutuo de Inversión que reciba aviso de retiro de una empresa procederá inmediatamente a elaborar un balance general, un inventario de los valores, créditos y otros bienes si los hubiere, y un anexo de los abonos registrados a nombre de los trabajadores de la empresa en retiro y de las correspondientes unidades de inversión, incluyendo las que correspondan al Fondo especial de excedentes.
Con esta base se proyectará la distribución de haberes y la adjudicación global de la parte que corresponde al fondo que la empresa retirada organice o al fondo a que la empresa ingrese.
Una vez concluidos los trabajos previstos en los incisos segundo y tercero del presente artículo, estos serán remitidos a la Superintendencia Financiera de Colombia para su conocimiento.
En todo caso, las participaciones de los trabajadores no podrán sufrir alteración alguna que les sea desfavorable.
Según la finalidad del retiro se aplicarán las siguientes reglas:
1. La empresa que pretenda organizar un Fondo Mutuo de Inversión propio, procederá a cumplir los requisitos señalados en el artículo 2o del Decreto 958 de 1961, y en los artículos 2o y 3o del Decreto 1705 de 1985, dentro del plazo de dos (2) meses, contados desde la fecha del aviso de retiro. Una vez obtenida la aprobación del acta orgánica y cumplido el requisito previsto en el inciso cuarto del presente artículo, se procederá por los interesados al traspaso de los activos que correspondan a los trabajadores de la respectiva empresa.
2. En caso de ingreso a un Fondo Mutuo de Inversión existente, la conformación de este y las condiciones del ingreso deberán informarse a la Superintendencia Financiera de Colombia dentro del plazo de dos (2) meses, contados a partir de la fecha del aviso de retiro. Una vez cumplido este requisito, se procederá por los interesados al traspaso de los activos que correspondan a los trabajadores de la respectiva empresa.
Los plazos previstos en los artículos 2o y 3o del Decreto 958 de 1961, se reducirán proporcionalmente, a fin de que el trámite de retiro pueda cumplirse dentro del término señalado en el inciso primero del presente artículo.
ARTÍCULO 2.19.1.1.15. <Artículo adicionado por el artículo 4 del Decreto 232 de 2019. El nuevo texto es el siguiente:> Las referencias a libretas de ahorro e inversión contenidas en las normas aplicables a los Fondos Mutuos de Inversión, entre ellas en los Decretos 2968 de 1960, 958 de 1961, 1705 de 1985 y 2514 de 1987, se entenderán efectuadas a los estados de cuenta que consten en los medios físicos, digitales o de otra naturaleza aprobados por la Junta Directiva del respectivo fondo, los cuales en todo caso deberán cumplir las condiciones, y el registro de la información y movimientos, exigidos por las mencionadas normas y demás disposiciones aplicables
NORMAS APLICABLES A LAS SOCIEDADES ADMINISTRADORAS DE INVERSIÓN.
<Fuente original compilada: D. 2304/96 Art. 1o.> Las sociedades administradoras de inversión que se constituyan a partir del 19 de diciembre de 1996 deberán acreditar un capital suscrito y pagado que ascienda, cuando menos, a novecientos millones de pesos ($900.000.000.oo)
Una vez constituida la respectiva entidad deberá acreditar y mantener un capital mínimo equivalente, cuando menos, a este mismo valor, de acuerdo con lo dispuesto en el artículo 2.20.1.1.2 presente decreto.
ARTÍCULO 2.20.1.1.2 CAPITAL MÍNIMO PARA LAS SOCIEDADES ADMINISTRADORAS DE INVERSIÓN.
<Fuente original compilada: D. 2304/96 Art. 2o.> Las sociedades administradoras de inversión actualmente constituidas deberán acreditar y mantener un capital mínimo equivalente, cuando menos, a novecientos millones de pesos ($900,000.000). Para tal efecto computarán, además del capital pagado y una vez deducidas todas las pérdidas, las siguientes cuentas patrimoniales:
-Reserva legal.
-Prima en colocación de acciones.
-Revalorización del patrimonio, y
-Las utilidades no distribuidas correspondientes al último ejercicio contable, en una proporción equivalente a las utilidades del último ejercicio anterior que hayan sido capitalizadas o destinadas a incrementar la reserva legal en cuantía superior a la requerida de acuerdo con la ley. El cómputo de las mencionadas utilidades sólo será procedente cuando quiera que la entidad no presente pérdidas acumuladas de ejercicios anteriores.
ARTÍCULO 2.20.1.1.3 REAJUSTE DEL MONTO DE CAPITAL MÍNIMO FIJADO.
<Fuente original compilada: D. 2304/96 Art. 3o.> El valor a que se refieren los artículos 2.20.1.1.1 y 2.20.1.1.2 del presente decreto se ajustarán anualmente a partir del 1o de enero de 1998, en un porcentaje igual a la meta de inflación fijada para el año en que se proceda al reajuste, de conformidad en las normas vigentes sobre la materia.
ARTÍCULO 2.20.1.1.4 ADMINISTRACIÓN DE MÁS DE UN FONDO DE INVERSIÓN.
<Fuente original compilada: D. 2304/96 Art. 4o.> Las sociedades administradoras de inversión actualmente constituidas no podrán administrar más de un fondo de inversión hasta tanto no acrediten ante la Superintendencia de Financiera de Colombia el capital mínimo a que se refiere el artículo 2.20.1.1.2, sin perjuicio de lo dispuesto en el artículo 2.20.1.1.6 del presente Decreto.
ARTÍCULO 2.20.1.1.5 PLAZO PARA ACREDITAR EL CAPITAL MÍNIMO.
<Fuente original compilada: D. 2304/96 Art. 5o.> Las sociedades administradoras de inversión actualmente constituidas que registren defectos de capital mínimo al realizar la sumatoria de las cuentas computables, con base en las cifras de los estados financieros cortados al mes anterior al 19 de diciembre de 1996 y de conformidad con el artículo 2.20.1.1.2 del presente decreto, deberán ajustarse a lo previsto en dicho artículo a más tardar el 30 de junio de 1997.
<Fuente original compilada: D. 2304/96 Art. 6o.> En el evento en que para dar cumplimiento a lo dispuesto en el presente Libro se opte por la fusión deberá allegarse a la Superintendencia Financiera de Colombia, a más tardar el 30 de junio de 1997, copia auténtica del compromiso de fusión aprobado por el órgano competente de cada una de las compañías involucradas, el cual deberá contener la información prevista en las normas correspondientes.
En todo caso, la fusión deberá quedar formalizada, a más tardar, dentro de los seis meses siguientes contados a partir del término para la presentación del mencionado compromiso, so pena de lo dispuesto en el artículo siguiente.
ARTÍCULO 2.20.1.1.7 LIQUIDACIÓN.
<Fuente original compilada: D. 2304/96 Art. 7o.> Las sociedades administradoras de inversión que no acrediten el capital mínimo requerido dentro del plazo establecido en el artículo 2.20.1.1.5 del presente decreto deberán liquidarse.
<Fuente original compilada: D. 2304/96 Art. 8o.> Sin perjuicio de que su inscripción en el Registro Nacional de Valores y Emisores pueda ser suspendida o cancelada por la Superintendencia de Financiera de Colombia de acuerdo con las normas vigentes, las sociedades administradoras de inversión que no mantengan el capital exigido en el presente Libro serán sancionadas por dicha Superintendencia con una multa equivalente al cinco por ciento (5%) del defecto, por cada mes o fracción de mes de retardo en el cumplimiento.
ARTÍCULO 2.20.1.1.9 PATRIMONIO TÉCNICO DE LAS SOCIEDADES ADMINISTRADORAS DE INVERSIÓN. <Artículo modificado por el artículo 6 del Decreto 415 de 2018. El nuevo texto es el siguiente:> Serán aplicables a las sociedades administradoras de inversión las disposiciones contenidas en los artículos 2.9.1.1.1 al 2.9.1.1.13 del presente decreto, en lo que resulte pertinente.
NORMAS APLICABLES A LAS SOCIEDADES TITULARIZADORAS.
SOCIEDADES TITULARIZADORAS DE ACTIVOS HIPOTECARIOS.
ASPECTOS GENERALES.
ARTÍCULO 2.21.1.1.1 ÁMBITO DE APLICACIÓN.
<Fuente original compilada: D. 1719/01 Art. 1o.> El presente Título es aplicable a las sociedades titularizadoras de activos hipotecarios de que tratan los artículos 12 y 14 de la Ley 546 de 1999, las cuales se constituirán como sociedades anónimas mercantiles de objeto exclusivo, previo el procedimiento previsto en el artículo 53 del Estatuto Orgánico del Sistema Financiero.
ARTÍCULO 2.21.1.1.2 OBJETO SOCIAL, DENOMINACIÓN Y VIGILANCIA.
<Fuente original compilada: D. 1719/01 Art. 2o. Modificado por el D. 3760/08 Art. 1o.> <Ver Notas de Vigencia> Las sociedades titularizadoras tendrán como objeto social exclusivo la titularización de activos hipotecarios. Su denominación se encontrará seguida o precedida de la expresión “sociedad titularizadora de activos hipotecarios”, y estarán sujetas a la vigilancia y control de la Superintendencia Financiera de Colombia.
ARTÍCULO 2.21.1.1.3 OPERACIONES AUTORIZADAS.
<Fuente original compilada: D. 1719/01 Art. 3o. Modificado por el D. 3760/08 Art. 2o.> En desarrollo de su objeto social las sociedades titularizadoras podrán:
1. Adquirir activos hipotecarios a cualquier título;
2. Originar, estructurar y administrar procesos de titularización de activos hipotecarios originados en Colombia o en el exterior para financiar la construcción y la adquisición de vivienda, para lo cual emitirán títulos respaldados con dichos activos hipotecarios, los cuales podrán ser colocados en Colombia o en el exterior;
3. Originar, estructurar y administrar procesos de titularización respaldados con bonos y títulos hipotecarios para lo cual podrán recibir dichas especies de títulos a cualquier título;
4. Prestar servicios para el desarrollo de procesos de movilización de activos hipotecarios incluyendo asesoría para la estructuración, emisión y colocación de bonos y títulos hipotecarios, la administración de universalidades de activos hipotecarios derivados de procesos de emisión de bonos hipotecarios y la administración de procesos de titularización de activos hipotecarios en Colombia o en el exterior;
5. Avalar, garantizar y en general suministrar coberturas en procesos de movilización de activos hipotecarios originados en Colombia o en el exterior, incluyendo las titularizaciones en que actúe como originador o emisor;
6. Realizar actos de comercio sobre activos, títulos y bonos hipotecarios, incluyendo sus derechos y garantías, siempre y cuando guarden relación con el objeto social exclusivo previsto en la Ley 546 de 1999 para las sociedades titularizadoras;
7. Participar en el capital de compañías nacionales o extranjeras que se encuentren facultadas para la movilización de activos hipotecarios;
8. Emitir títulos de deuda respaldados con su propio patrimonio;
9. Obtener créditos, garantías o avales;
10. Administrar su tesorería y realizar las operaciones pertinentes para tal fin;
11. Celebrar los contratos conexos o complementarios que resulten necesarios para el cumplimiento de las operaciones autorizadas.
ARTÍCULO 2.21.1.1.4 SEPARACIÓN PATRIMONIAL.
<Fuente original compilada: D. 1719/01 Art. 4o.> En los procesos de titularización de activos hipotecarios, los activos titularizados deberán conformar universalidades separadas del patrimonio de las sociedades titularizadoras de activos hipotecarios, cuyos flujos de caja estarán destinados exclusivamente al pago de los títulos emitidos y de los demás gastos y garantías inherentes al proceso de titularización correspondiente, en la forma en que se establezca en el correspondiente reglamento de emisión y colocación.
Además de los activos no hipotecarios, harán parte de las universalidades las garantías de cualquier índole sobre los mismos, los derechos sobre los contratos de seguro que amparen las garantías de dichos activos o la vida de los deudores, los activos a partir de los cuales se estructuren los mecanismos de seguridad o apoyo crediticio de la emisión o los derechos derivados de los contratos a través de los cuales tales mecanismos de seguridad o apoyo crediticio se constituyen y, en general, cualquier otro derecho o activo que se derive de los activos no hipotecarios titularizados, tales como los flujos provenientes de dichos activos, los rendimientos producto de la realización de inversiones temporales de liquidez y las daciones en pago o los bienes rematados que se reciban con ocasión de su cobranza, así como el producto de su venta.
Los activos vinculados a los procesos de titularización de que trata este título no constituirán prenda general de los acreedores de quienes los originen o administren, y estarán excluidos de la masa de bienes que pueda conformarse para efectos de cualquier procedimiento mercantil o de cualquier otra acción que pudiera afectarlos. Por consiguiente, tales activos en ningún caso se restituirán al patrimonio del originador ni al del emisor, del administrador del proceso de titularización o del administrador de los activos, en los casos en que éste se encuentre en concordato, liquidación, o cualquier otro proceso de naturaleza concursal, de conformidad con lo dispuesto en el artículo 68 de la Ley 964 de 2005 o en la norma que lo sustituya o modifique.
En ningún caso los títulos emitidos en los procesos de titularización de activos hipotecarios otorgarán a sus tenedores el derecho de solicitar o iniciar procesos divisorios respecto de la universalidad conformada por los activos subyacentes y/o las garantías que los amparen.
PARÁGRAFO. Las sociedades titularizadoras de activos hipotecarios deberán mantener sistemas de información contable independientes de los activos de la propia sociedad y de las otras masas o paquetes de activos que formen parte de otros procesos de titularización, con el fin de revelar su condición de activos separados del patrimonio de la sociedad y facilitar la evaluación independiente de los riesgos inherentes a cada emisión.
ARTÍCULO 2.21.1.1.5 MANEJO DE LOS RIESGOS.
<Fuente original compilada: D. 1719/01 Art. 6o.> Cada sociedad titularizadora de activos hipotecarios deberá estructurar y documentar sistemas técnicos de control interno, que permitan la identificación, cuantificación, administración y seguimiento de los riesgos que está asumiendo y sus mecanismos de cobertura.
<Fuente original compilada: R. 775/01 Art. 26> Además de las condiciones y requisitos generales para toda emisión de títulos hipotecarios, la emisión de títulos hipotecarios por parte de las sociedades titularizadoras de activos hipotecarios estará sujeta al cumplimiento de los siguientes requisitos y condiciones especiales:
1. Que la sociedad titularizadora de activos hipotecarios estructure y documente un sistema técnico de control interno, que permita, en todo caso:
i) la identificación, cuantificación, administración y seguimiento de los distintos tipos de riesgos que asuma; ii) el establecimiento de políticas, procedimientos y límites de riesgo, y
iii) el uso de mecanismos de monitoreo y reporte de los límites establecidos.
2. Que la sociedad titularizadora de activos hipotecarios disponga de la estructura tecnológica y operativa adecuada que permita, en todo caso: i) brindar soporte a los procesos y negocios de la entidad en forma confiable, y ii) contar con planes de contingencia que permitan una capacidad mínima de procesamiento ante eventuales siniestros y la recuperación rápida de información.
3. Que la sociedad titularizadora de activos hipotecarios haya implementado y mantenga en funcionamiento los mecanismos tecnológicos y de comunicaciones, necesarios para garantizar acceso permanente por parte del mercado y la Superintendencia Financiera de Colombia la información de la sociedad y sus diferentes emisiones, en los términos de oportunidad, calidad y suficiencia que se establecen en el presente decreto.
ARTÍCULO 2.21.1.1.7 RÉGIMEN DE INSCRIPCIÓN AUTOMÁTICA Y OFERTA PÚBLICA.
<Fuente original compilada: R. 775/01 Art. 27> Para conservar el derecho a hacer uso del régimen automático de inscripción y autorización de oferta pública previsto en el artículo 5.2.2.1.10 del presente decreto, la respectiva sociedad titularizadora de activos hipotecarios deberá poder demostrar que posee capital suficiente para asumir la exposición al riesgo que se presente como consecuencia de las emisiones que se proponga efectuar.
PARÁGRAFO. Para los efectos previstos en este artículo, la sociedad titularizadora de activos hipotecarios deberá revelar en forma oportuna y suficiente su capital y su exposición al riesgo, de acuerdo con las reglas de información y revelación establecidas en el artículo 2.21.1.1.9 del presente decreto.
ARTÍCULO 2.21.1.1.8 RÉGIMEN DE INSCRIPCIÓN Y AUTORIZACIÓN PREVIA.
<Fuente original compilada: R. 775/01 Art. 28> Las sociedades titularizadoras de activos hipotecarios que no puedan hacer uso del régimen de inscripción y autorización automática, quedarán sometidas al régimen de inscripción y autorización previa. En tal caso, podrán ser requeridas por la Superintendencia Financiera de Colombia para que suministren al público información especial o datos adicionales respecto de su administración, operaciones, emisiones y desempeño financiero, así como de la administración y seguimiento de los riesgos derivados de su operación.
ARTÍCULO 2.21.1.1.9 REVELACIÓN E INFORMACIÓN PLENA.
<Fuente original compilada: R. 775/01 Art. 29 Modificada por la R. 223/02> Las sociedades titularizadoras de activos hipotecarios deberán habilitar en su sitio de internet vínculos o encadenamientos que permitan al mercado obtener toda la información necesaria para el adecuado entendimiento de las emisiones y sus riesgos, información contable y financiera de la sociedad titularizadora de activos hipotecarios, así como la demás información que se prevea para toda emisión de títulos hipotecarios. En todo caso, cada sociedad titularizadora de activos hipotecarios deberá, de manera permanente, proporcionar al mercado la siguiente información:
1. Información sobre suficiencia de capital: Cada sociedad titularizadora de activos hipotecarios deberá revelar al mercado, en forma permanente, información sobre su capital y sobre la cuantificación de los riesgos que está asumiendo.
1.1.- Para estos efectos, las sociedades titularizadoras de activos hipotecarios revelarán, a través de los mecanismos establecidos en el presente artículo y de manera permanente, su nivel de capital, el cual, únicamente para estos propósitos, se entenderá conformado por la suma de lo siguiente:
(i) Capital suscrito y pagado;
(ii) Reserva legal y demás reservas;
(iii) Prima en colocación de acciones;
(iv) La cuenta de revalorización del patrimonio, cuando esta sea positiva;
(v) El valor de las utilidades no distribuidas correspondientes a ejercicios anteriores; y,
(vi) Las utilidades del ejercicio en curso, en una proporción equivalente al porcentaje de las utilidades que, en el periodo inmediatamente anterior, hayan sido capitalizadas o destinadas a incrementar la reserva legal, siempre y cuando la sociedad no registre pérdidas acumuladas. De la sumatoria de estas partidas, se deducirán las pérdidas de ejercicios anteriores y las del ejercicio en curso y la cuenta de revalorización del patrimonio cuando esta sea negativa.
Cuando respecto de sus emisiones de títulos hipotecarios, determinada sociedad titularizadora de activos hipotecarios efectúe operaciones o asuma compromisos tales como la adquisición de títulos subordinados o de cualquier manera afecte activos de su propiedad para mejorar la calidad crediticia de sus emisiones, deberá deducir del monto de capital calculado de acuerdo con las reglas establecidas en el inciso anterior, lo siguiente:
(i) Una suma equivalente al cincuenta (50%) de la porción no amortizada de los activos comprometidos o de los respectivos títulos subordinados, cuando estos obtengan una calificación igual o superior a A menos (A-) e inferior a triple A (AAA) o su equivalente; y
(ii) Una suma equivalente al cien por ciento (100%) de la porción no amortizada de los activos comprometidos o de los respectivos títulos subordinados, cuando estos obtengan una calificación inferior a A menos (A-) o su equivalente, o no tengan calificación.
Las anteriores deducciones del capital, solo se llevarán a cabo para propósitos de informar al público sobre el nivel de capital de la respectiva sociedad titularizadora de activos hipotecarios.
1.2.- Las sociedades titularizadoras de activos hipotecarios deberán, de manera permanente, revelar al público el valor que se obtenga como resultado de la cuantificación de los riesgos que está asumiendo y sean cuantificables. Así mismo revelarán la metodología, modelos y parámetros que se hayan utilizado para el efecto. Igualmente, deberán establecer indicadores que expresen las relaciones existentes entre el capital y los riesgos asumidos. Finalmente, las sociedades titularizadoras de activos hipotecarios deberán revelar, conjuntamente con su capital, la suma de la porción no amortizada de todos los títulos hipotecarios que hayan emitido hasta la fecha de la respectiva publicación.
PARÁGRAFO. Las sociedades titularizadoras de activos hipotecarios deberán revelar en una nota a sus estados financieros, la parte vigente de cualquier garantía total o parcial o compromiso similar que hubieren adquirido para respaldar los títulos hipotecarios que hubieren emitido. Esa misma nota deberá publicarse siempre que den a conocer al público su capital.
2. Información sobre sus políticas de gestión de riesgo en forma actualizada y permanente.
3. Indicadores financieros que faciliten la evaluación del desempeño de la respectiva sociedad titularizadora de activos hipotecarios en aspectos tales como liquidez, eficiencia, solvencia y rentabilidad. La información que sirva de base para el cálculo de estos indicadores también estará disponible.
4. Información permanente sobre sus políticas para la adquisición de cartera hipotecaria y demás activos titularizables. En lo concerniente con las políticas de selección de los activos, se establecerán mecanismos para asegurar que los conflictos de interés se revelen y que los parámetros empleados se apliquen por igual a todos los originadores de créditos.
5. Información específica sobre las garantías y compromisos que asuma respecto de las emisiones de títulos hipotecarios colocadas.
PARÁGRAFO 1. Cualquier interesado podrá consultar directamente en sus fuentes, la información a que se refieren los anteriores numerales. Cada inversionista tendrá, además, derecho a consultar directamente la información relacionada con sus propios derechos.
PARÁGRAFO 2. En todo caso, a solicitud de la respectiva sociedad titularizadora de activos hipotecarios la Superintendencia Financiera de Colombia podrá autorizar la reserva de cierto tipo de información contable o administrativa, si existen razones que lo justifiquen.
ARTÍCULO 2.21.1.1.10 OBLIGACIONES DE LAS SOCIEDADES TITULARIZADORAS DE ACTIVOS HIPOTECARIOS.
<Fuente original compilada: R. 775/01 Art. 30> Las sociedades titularizadoras de activos hipotecarios y sus administradores, deberán cumplir con las siguientes obligaciones:
1. Estar inscritas en el Registro Nacional de Agentes del Mercado de Valores - RNAMV, y cumplir con las normas de información que se exige para los emisores inscritos en el Registro Nacional de Valores y Emisores -RNVE.
2. Abstenerse de ejecutar actos en situación de conflicto de interés. Se entenderá por conflicto de interés lo definido en el artículo 7.6.1.1.2 del presente decreto.
3. Actuar con lealtad y dar un trato equitativo a sus inversionistas y clientes.
4. Implementar los controles generales y especiales con relación a los mecanismos de prevención y control de actividades delictivas a través del mercado de valores.
5. Disponer de documentación detallada y separada sobre las operaciones relacionadas con cada universalidad o masa de activos hipotecarios titularizados.
6. Abstenerse de realizar operaciones, directamente o por interpuesta persona, utilizando información privilegiada. Se entiende por información privilegiada, la definida en el artículo 7.6.1.1.1 del presente decreto.
7. Cumplir con las obligaciones establecidas en la regulación sobre títulos hipotecarios o las normas que las modifiquen, adicionen o reemplacen.
8. Realizar sus operaciones con idoneidad y profesionalismo.
9. Las demás que le correspondan de acuerdo con las normas que les sean aplicables.
ARTÍCULO 2.21.1.1.11 NORMAS APLICABLES. <Artículo modificado el artículo 56 del Decreto 1745 de 2020. El nuevo texto es el siguiente:>
En todo aquello que no se encuentre expresamente regulado en el presente Título, las sociedades titularizadoras de activos hipotecarios y las emisiones que efectúen se sujetarán a: (i) las normas que se refieran a los participantes del mercado de valores; (ii) las normas que se refieran a los demás emisores de valores; y (iii) las normas que regulen las condiciones y requisitos de las ofertas públicas de valores
CAPITAL MÍNIMO.
ARTÍCULO 2.21.1.2.1 CAPITAL MÍNIMO DE LAS SOCIEDADES TITULARIZADORAS DE ACTIVOS HIPOTECARIOS.
<Fuente original compilada: D. 3760/08 Art. 3o.> Las sociedades titularizadoras de activos hipotecarios de objeto exclusivo, cuya actividad principal consista en estructurar, administrar y emitir títulos, en los términos previstos en los artículos 12 y 14 de la Ley 546 de 1999, deberán acreditar ante la Superintendencia Financiera de Colombia un capital mínimo de por lo menos sesenta y cinco mil setecientos setenta y cinco millones de pesos ($65.775.000.000), para efectos de obtener la autorización de la oferta pública de los valores que se emitan en desarrollo de procesos de titularización hipotecaria.
El monto del capital mínimo mencionado se establecerá como resultado de la sumatoria de las siguientes cuentas patrimoniales: capital suscrito y pagado, reservas, superávit por prima en colocación de acciones, utilidades no distribuidas de ejercicios anteriores, revalorización del patrimonio y bonos obligatoriamente convertibles en acciones. Para efectos del cálculo del capital mínimo se deducirán las pérdidas acumuladas de ejercicios anteriores.
PARÁGRAFO. El capital mínimo de las sociedades titularizadoras de activos hipotecarios se ajustará a partir del primero (1o) de enero de cada año en forma automática en el mismo sentido y porcentaje en que varíe el índice de precios al consumidor que suministre el DANE del año inmediatamente anterior. El valor resultante se aproximará al múltiplo en millones de pesos inmediatamente superior.
PATRIMONIO ADECUADO Y RELACIÓN DE SOLVENCIA QUE DEBEN MANTENER LAS SOCIEDADES TITULARIZADORAS DE ACTIVOS HIPOTECARIOS.
ARTÍCULO 2.21.1.3.1 PATRIMONIO ADECUADO.
<Fuente original compilada: R. 690/04 Art. 1o.> Las sociedades titularizadoras de activos hipotecarios deben cumplir las normas sobre niveles de patrimonio adecuado y relación mínima de solvencia, con el fin de proteger la confianza del público en el sistema, proteger a los inversionistas y asegurar el desarrollo de sus actividades en condiciones de seguridad y competitividad.
ARTÍCULO 2.21.1.3.2 RELACIÓN DE SOLVENCIA.
<Fuente original compilada: R. 690/04 Art. 2o.> Las sociedades titularizadoras de activos hipotecarios deberán mantener una relación de solvencia mínima del nueve por ciento (9%), la cual se calcula dividiendo el numerador por el denominador. El numerador corresponde al valor del patrimonio técnico de las sociedades titularizadoras de activos hipotecarios y el denominador es la sumatoria de los activos ponderados por nivel de riesgo más el valor de la exposición por riesgo de mercado multiplicado por cien novenos (100/9). La relación se expresa mediante la siguiente formula aritmética:

Donde:
APNR: Activos ponderados por nivel de riesgo crediticio.
VeRRM: Valor de la exposición por riesgo de mercado.
ARTÍCULO 2.21.1.3.3 PATRIMONIO TÉCNICO.
<Fuente original compilada: R. 690/04 Art. 3o.> El patrimonio técnico de una sociedad titularizadora de activos hipotecarios comprende las sumas de su capital primario y de su capital secundario.
ARTÍCULO 2.21.1.3.4 CAPITAL PRIMARIO.
<Fuente original compilada: R. 690/04 Art. 4o.> El capital primario de una sociedad titularizadora de activos hipotecarios corresponde a la suma de los siguientes conceptos:
1. Capital suscrito y pagado;
2. Las reservas;
3. Prima en colocación de acciones;
4. Revalorización del patrimonio cuando esta sea positiva;
5. Las utilidades no distribuidas de ejercicios anteriores;
6. Las utilidades del ejercicio en curso, en una proporción equivalente al porcentaje de las utilidades que, en el período inmediatamente anterior, hayan sido capitalizadas o destinadas a incrementar la reserva legal, o la totalidad de las mismas que deban destinarse a enjugar pérdidas acumuladas.
7. El valor total de los dividendos decretados en acciones.
ARTÍCULO 2.21.1.3.5 DEDUCCIONES AL CAPITAL PRIMARIO.
<Fuente original compilada: R. 690/04 Art. 5o.> Se deducen del capital primario los siguientes conceptos:
1. La revalorización del patrimonio cuando sea negativa.
2. Las pérdidas de los ejercicios anteriores y las del ejercicio en curso.
3. El cincuenta por ciento (50%) de la porción no amortizada de los títulos con una calificación igual o inferior a “DD” para títulos de largo plazo y a “ 5 y 6” para títulos de corto plazo, o sin calificación.
ARTÍCULO 2.21.1.3.6 CAPITAL SECUNDARIO.
<Fuente original compilada: R. 690/04 Art. 6o.> El capital secundario de una sociedad titularizadora de activos hipotecarios corresponde a la suma de los siguientes conceptos:
1. El valor en mercado de los bonos subordinados efectivamente suscritos siempre y cuando no superen el cincuenta por ciento (50%) del valor del capital primario. Sólo serán computables dichos bonos cuando:
a. En el respectivo prospecto de emisión se debe establecer, con carácter irrevocable, que en los eventos de liquidación el importe del valor del bono quedará subordinado al pago del pasivo externo.
b. Los títulos deberán ser emitidos a plazos mínimos de maduración no inferiores a cinco (5) años. No deberá existir ninguna opción de prepago por parte del emisor que reduzca el plazo de maduración a menos de cinco (5) años, ni otro tipo de opción a favor de los inversionistas que permita el pago anticipado de estos bonos en un plazo inferior a cinco (5) años.
c. No deberá existir ningún tipo de cláusula aceleratoria.
d. En el evento en que se pacten opciones de prepago a favor del emisor, se entenderá que el plazo de la emisión corresponde al establecido para ejercer dicha opción.
e. Durante los últimos cinco (5) años de maduración de los bonos subordinados, el valor computable se disminuirá en un veinte por ciento (20%) para cada año.
f. En el evento en que haya sido pactada una opción de prepago y se cumpla con el plazo de maduración mínima, el valor computable se disminuirá en un veinte por ciento (20%) por cada año en los cinco (5) años anteriores a la fecha de ejercicio de la opción.
Tratándose de bonos cuya opción tenga una fecha determinada para su ejercicio y la misma no sea ejercida, el valor disminuido durante los años anteriores a la fecha de ejercicio de la opción será recalculado en un monto equivalente a un bono que no tenga una opción de prepago, de forma tal que permita descontar un veinte por ciento (20%), cada año, hasta alcanzar un valor de cero por ciento (0%) al momento del vencimiento del bono.
Para el caso de bonos cuya opción tenga una fecha indeterminada para su ejercicio, el valor computable se disminuirá en un veinte por ciento (20%) por cada año en los cinco (5) años anteriores a la fecha a partir de la cual puede ser ejercida la opción, sin que deba realizarse recalculo alguno en el evento en que no sea ejercida.
2. Los bonos obligatoriamente convertibles en acciones, siempre y cuando sean efectivamente colocados y pagados y cumplan con las siguientes condiciones:
a. El plazo máximo de los bonos será de cinco (5) años.
b. El reglamento de emisión deberá indicar de manera expresa, que en los eventos de liquidación, el importe del valor de la obligación quedará subordinado al pago del pasivo externo.
c. El rendimiento financiero reconocido no excederá la tasa de interés de captación DTF certificada por el Banco de la República, vigente a la fecha de la respectiva liquidación o cuando se trate de emisiones pactadas a la UVR la tasa máxima se establecerá tomando como referencia la tasa prevista en el punto de la curva de rendimientos para los TES UVR que corresponda al plazo de los bonos, más un margen de 300 puntos básicos.
d. Los intereses se reconocerán pagaderos por períodos vencidos.
e. Los bonos no podrán colocarse con descuento sobre su valor nominal.
f. La observación de los demás requisitos y procedimientos establecidos en la normatividad vigente.
3. El cincuenta por ciento (50%) de las valorizaciones de los activos contabilizados de acuerdo con los criterios establecidos por la Superintendencia Financiera de Colombia. En todo caso no computarán las valorizaciones correspondientes a los bienes recibidos en dación en pago o adquiridos en remate judicial.
ARTÍCULO 2.21.1.3.7 DEDUCCIONES AL CAPITAL SECUNDARIO.
<Fuente original compilada: R. 690/04 Art. 7o.> Se deducen del capital secundario el cincuenta por ciento (50%) de la porción no amortizada de los títulos con una calificación igual o inferior a “DD” para títulos de largo plazo y a “ 5 y 6 “ para títulos de corto plazo, o sin calificación.
ARTÍCULO 2.21.1.3.8 VALOR COMPUTABLE DEL CAPITAL SECUNDARIO.
<Fuente original compilada: R. 690/04 Art. 8o.> Para efectos del cálculo de la relación de solvencia, el valor máximo computable del capital secundario no podrá exceder el cien por ciento (100%) del capital primario una vez restadas las deducciones a que hace referencia el artículo 2.21.1.3.5. del presente decreto.
ARTÍCULO 2.21.1.3.9 RIESGO DE CRÉDITO.
<Fuente original compilada: R. 690/04 Art. 9o.> Para efectos del cálculo de la relación de solvencia, se entiende como riesgo de crédito la posibilidad de pérdidas que disminuyan el patrimonio técnico de una sociedad titularizadora de activos hipotecarios como consecuencia del incumplimiento de obligaciones financieras en los términos acordados.
ARTÍCULO 2.21.1.3.10 RIESGO DE MERCADO.
<Fuente original compilada: R. 690/04 Art. 10> Para efectos del cálculo de la relación de solvencia, se entiende como riesgo de mercado la posibilidad de pérdidas que disminuyan el patrimonio técnico de una sociedad titularizadora de activos hipotecarios por movimientos adversos en los indicadores del mercado que afecten los instrumentos financieros en los que la entidad mantenga posiciones dentro o fuera del balance. Los indicadores del mercado que se tendrán en cuenta son, entre otros, los tipos de interés, tipos de cambio, precio de los valores o títulos y otros índices.
ARTÍCULO 2.21.1.3.11 CLASIFICACIÓN Y PONDERACIÓN DE LOS ACTIVOS POR NIVEL DE RIESGO DE CRÉDITO.
<Fuente original compilada: R. 690/04 Art. 11> Para efectos de determinar el valor total de activos ponderados por nivel de riesgo crediticio, los mismos se deben clasificar dentro de una de las siguientes categorías dependiendo de su naturaleza:
Categoría I – Activos de máxima seguridad: En esta categoría se clasificará la caja, depósitos a la vista en entidades sometidas a vigilancia de la Superintendencia Financiera de Colombia, las inversiones en títulos del Banco de la República o de la Nación y los garantizados por ésta en la parte cubierta. Así mismo, computarán dentro de esta categoría los títulos emitidos o garantizados por entidades multilaterales de crédito.
Categoría II – Activos de alta seguridad: En esta categoría se clasificarán títulos emitidos por entidades públicas del orden nacional, los depósitos a término en establecimiento de crédito, operaciones de reporto, operaciones activas de crédito relacionadas con fondos interbancarios vendidos, y créditos garantizados incondicionalmente con títulos emitidos por la Nación o por el Banco de la República o de Gobiernos o Bancos Centrales de países que autorice la Superintendencia Financiera de Colombia.
Categoría III – Otros activos de alta seguridad: En esta categoría se clasificarán los créditos para financiación de vivienda cuya garantía sea la misma vivienda, distintos de aquellos que se hayan reestructurados. Sin embargo, los créditos destinados a la adquisición de vivienda reestructurados cuya calificación crediticia mejore a A o B, ponderarán en esta categoría.
Categoría IV – Otros activos de riesgo: En esta categoría se incluirán los otros activos de riesgo no deducidos en el cómputo del patrimonio técnico y no incluidos en ninguna categoría anterior.
PARÁGRAFO 1. Los activos incluidos en la Categoría I se ponderarán al cero por ciento (0%), en la Categoría II al veinte por ciento (20%), en la Categoría III al cincuenta por ciento (50%) y en la Categoría IV al cien por ciento (100%).
PARÁGRAFO 2. Los créditos para financiación de vivienda previstos en la categoría III ponderarán a partir de los treinta (30) días siguientes de la fecha de su adquisición.
PARÁGRAFO 3. Los activos conformados por cartera hipotecaria de vivienda calificada en las categorías de riesgo C, D y E de acuerdo con las reglas establecidas por la Superintendencia Financiera de Colombia, computaran al setenta y cinco por ciento (75%). A partir del mes de enero del año 2005, los activos de que trata el presente parágrafo calificados en las categorías de riesgo D y E computarán por el cien por ciento (100%) de su valor.
ARTÍCULO 2.21.1.3.12 PONDERACIONES ESPECIALES:
<Fuente original compilada: R. 690/04 Art. 12> Las siguientes clases de activos se ponderarán de acuerdo con las normas especiales que se indican a continuación:
a. <Literal modificado el artículo 57 del Decreto 1745 de 2020. El nuevo texto es el siguiente:> Los bonos y títulos hipotecarios de que trata el artículo 30 de la Ley 546 de 1999, que cuenten con garantía del Gobierno Nacional, a través del Fondo de Garantías de Instituciones Financiera- FOGAFIN o del Fondo Nacional de Garantías- FNG, computarán al cero por ciento (0%).
b. Los contratos de leasing inmobiliario para vivienda ponderarán por el cincuenta por ciento (50%) a partir de los treinta (30) días siguientes a la fecha de su adquisición.
ARTÍCULO 2.21.1.3.13 TÍTULOS DERIVADOS DE PROCESOS DE TITULARIZACIÓN.
<Fuente original compilada: R. 690/04 Art. 13> Para efectos de determinar el valor total de estos activos ponderados por su nivel de riesgo crediticio, los mismos se clasificarán, de acuerdo con la calificación otorgada por sociedades calificadoras autorizadas por la Superintendencia Financiera de Colombia. La ponderación corresponderá a la obtenida en las siguientes tablas:
RIESGO CREDITICIO DE LARGO PLAZO
| RANGO DE CALIFICACIÓN | PONDERACIÓN |
| AAA hasta AA- | 20% |
| A+ hasta A- | 50% |
| BBB+ hasta BBB- | 100% |
| BB+ hasta BB- | 150% |
| B+ hasta B- | 200% |
| CCC | 300% |
RIESGO CREDITICIO DE CORTO PLAZO
| RANGO DE CALIFICACIÓN | PONDERACIÓN |
| 1+ hasta 1- | 20% |
| 2+ hasta 2- | 50% |
| 3 | 100% |
| 4 | 300% |
<Fuente original compilada: R. 690/04 Art. 14> Las garantías que las sociedades titularizadoras de activos hipotecarios otorguen para mejorar la calidad crediticia de una emisión de títulos hipotecarios se tomarán por el cien por ciento (100%) de su valor y se ponderarán por el ciento cincuenta por ciento (150%).
Las facilidades de liquidez admisibles establecidas por las sociedades titularizadoras de activos hipotecarios se consideran como una inversión en un tramo o una clase de títulos de una emisión. Las mismas se tomarán por el cien por ciento (100%) de su valor y ponderarán según la calificación de acuerdo con las tablas previstas en el artículo anterior. Para el efecto las facilidades de liquidez tendrán la calificación inmediatamente superior a la asignada al tramo o título subyacente cubierto por la facilidad.
PARÁGRAFO. Se consideran facilidades de liquidez admisibles las que cumplan las siguientes condiciones:
a) La documentación de la facilidad deberá identificar y limitar con claridad las circunstancias en las que se podrá hacer disposición de la misma. En concreto, la facilidad no podrá utilizarse para proporcionar apoyo crediticio para cubrir pérdidas ya sufridas, ni estar estructurada de modo que exista certeza de que se va a hacer disposición de ésta.
b) No podrá utilizarse la facilidad para cubrir exposiciones de riesgo de crédito que se encuentren calificadas en categoría ”C” de acuerdo con lo previsto en las normas expedidas por la Superintendencia Financiera de Colombia para la valuación del riesgo crediticio en la cartera de créditos de vivienda.
c) No podrá disponerse de la facilidad hasta que hayan sido agotadas todas as mejoras crediticias aplicables de las cuales pueda beneficiarse la facilidad de liquidez.
Cuando no se cumplan las condiciones anteriores las facilidades de liquidez recibirán el mismo tratamiento previsto para las garantías en el presente artículo.
ARTÍCULO 2.21.1.3.15 OPERACIONES CON DERIVADOS.
<Fuente original compilada: R. 690/04 Art. 15> Para la ponderación de operaciones con derivados se tendrá en cuenta la diferencia positiva que resulte de calcular el valor de mercado de la respectiva operación, de acuerdo con los siguientes porcentajes:
Cuando la contraparte sea la Nación o el Banco de la República se ponderará al ero por ciento (0%).1. Cuando la contraparte sea diferente a la Nación o el Banco de la República al cien por ciento (100%).
2. Si la operación de derivados es garantizada con títulos de deuda pública, la ponderación será del ochenta (80%).
El valor de mercado de un derivado corresponde a la diferencia del valor de mercado del derecho menos el valor de mercado de la obligación.
ARTÍCULO 2.21.1.3.16 VALOR DE CÓMPUTO DE LOS ACTIVOS.
<Fuente original compilada: R. 690/04 Art. 16> Para efectos del presente decreto los activos se computarán netos de provisiones.
ARTÍCULO 2.21.1.3.17 VALOR DE LA EXPOSICIÓN POR RIESGO DE MERCADO.
<Fuente original compilada: R. 690/04 Art. 17> Para el cálculo del riesgo de mercado se utilizará la metodología VeR, conforme a la cual se estima la pérdida que podría registrar una determinada posición en un intervalo de tiempo con un cierto nivel de probabilidad o confianza debido a un cambio adverso en los precios. Para el efecto, la Superintendencia Financiera de Colombia instruirá de manera general a los vigilados respecto de los procedimientos que permitan dar aplicación a dicha metodología.
ARTÍCULO 2.21.1.3.18 CONCENTRACIÓN DEL RIESGO DE CRÉDITO.
<Fuente original compilada: R. 690/04 Art. 18> El riesgo de crédito a que está expuesta una sociedad titularizadora de activos hipotecarios respecto de un cliente o de un grupo de clientes relacionados entre sí, se considerará como una situación de concentración de riesgo cuando el valor sea igual o superior al diez por ciento (10%) de su patrimonio técnico.
Para establecer el riesgo de crédito de un cliente o grupo de clientes relacionados se tendrán en cuenta aquellas operaciones que den origen a compromisos, dentro o fuera del balance, con una contraparte, y las posiciones en el portafolio propio, que se puedan afectar por un posible incumplimiento debido a una variación del precio del instrumento de que se trate, por causas relacionadas bien con su emisor o con el emisor de su instrumento principal, si se trata de un instrumento derivado.
ARTÍCULO 2.21.1.3.19 RIESGO DE CRÉDITO CON PERSONAS RELACIONADAS.
<Fuente original compilada: R. 690/04 Art. 19> Para efectos de establecer el riesgo de un cliente o grupo de clientes relacionados se tendrá en cuenta lo previsto en los artículos 2.1.2.1.10, 2.1.2.1.11 y 2.1.2.1.12 del presente decreto.
Las operaciones de aquellos clientes relacionados entre sí, deberán sumarse para efectos de establecer la existencia de situaciones de concentración de riesgo conforme a lo dispuesto por el artículo anterior.
ARTÍCULO 2.21.1.3.20 LÍMITES DE CONCENTRACIÓN DEL RIESGO DE CRÉDITO.
<Fuente original compilada: R. 690/04 Art. 20> El riesgo de crédito que puede asumir una sociedad titularizadora de activos hipotecarios estará sujeto a los siguientes límites:
1. El máximo valor de riesgo que puede contraer una sociedad titularizadora de activos hipotecarios respecto de un cliente o de un grupo de clientes relacionados entre sí, es del treinta por ciento (30%) del valor de su patrimonio técnico.
2. Una sociedad titularizadora de activos hipotecarios no podrá mantener situaciones de concentración de riesgo, cuyo valor acumulado supere 8 veces su patrimonio técnico.
PARÁGRAFO 1. No computarán para el cálculo de los límites a que hace referencia el presente artículo:
a) Las operaciones y las inversiones que se hagan en títulos emitidos, garantizados o avalados por la Nación y el Banco de la República;
b) Las operaciones en las que la contraparte sea la Nación o el Banco de la República;
c) Los títulos hipotecarios de que trata la Ley 546 de 1999, y
d) Los bonos hipotecarios de que trata la Ley 546 de 1999 cuando los tenedores de los mismos hayan adoptado de conformidad con el numeral 3 del artículo 10 de dicha Ley la decisión de ceder el contrato de administración de los bonos a otro establecimiento de crédito o a una sociedad fiduciaria en su calidad de administradora de patrimonios autónomos.
PARÁGRAFO 2. Cuando se trate de repos, simultáneas y transferencia temporal de valores, la entidad calculará la diferencia entre el valor de mercado de los valores y el importe recibido por la entidad, de simultáneas y transferencia temporal de valores, la entidad calculará la diferencia entre el importe prestado por la entidad y el valor de mercado de los valores que haya recibido, si dicha diferencia fuere positiva.
ARTÍCULO 2.21.1.3.21 CONTROL E INFORMACIÓN.
<Fuente original compilada: R. 690/04 Art. 21> El cumplimiento de la relación de solvencia se controlará periódicamente. Para el efecto, la Superintendencia Financiera de Colombia señalará de manera general el contenido de la información, procedimiento de remisión y los formularios que se deben utilizar.
ARTÍCULO 2.21.1.3.22 IMPLEMENTACIÓN.
<Fuente original compilada: R. 690/04 Art. 22> La Superintendencia Financiera de Colombia reglamentará los aspectos técnicos y procedimentales para que las sociedades titularizadoras de activos hipotecarios cumplan con lo dispuesto en el presente decreto.
ARTÍCULO 2.21.1.3.23 RÉGIMEN DE TRANSICIÓN. <Artículo modificado el artículo 58 del Decreto 1745 de 2020. El nuevo texto es el siguiente:>
Se establece el siguiente régimen de transición:
Los bonos obligatoriamente convertibles en acciones emitidos con anterioridad al 12 de agosto de 2004 podrán contarse como capital secundario de acuerdo con lo previsto en el numeral 2 del artículo 2.21.1.3.6 del presente decreto, a pesar de que no cumplan con el requisito previsto en el literal c) del mismo.
SOCIEDADES TITULARIZADORAS DE ACTIVOS NO HIPOTECARIOS.
ASPECTOS GENERALES.
ARTÍCULO 2.21.2.1.1 AUTORIZACIÓN, DENOMINACIÓN, OBJETO SOCIAL Y VIGILANCIA.
<Fuente original compilada: D. 230/10 Art. 1o.> Las sociedades de servicios técnicos y administrativos que adelanten la titularización de los activos de que trata el artículo 72 de la Ley 1328 de 2009 se constituirán únicamente como sociedades anónimas mercantiles, para lo cual deberán adelantar el trámite de constitución y obtener el certificado de autorización expedido por la Superintendencia Financiera de Colombia, de acuerdo con lo dispuesto en el artículo 53 del Estatuto Orgánico del Sistema Financiero, así como las normas que lo modifiquen o sustituyan.
Su denominación se encontrará seguida o precedida de la expresión “sociedad titularizadora de activos no hipotecarios” o de la sigla –STANH–, tendrán como objeto social exclusivo la titularización de activos no hipotecarios y estarán sujetas a la vigilancia y control de la Superintendencia Financiera de Colombia.
PARÁGRAFO. Para efectos del presente régimen, se entienden por activos no hipotecarios todos aquellos activos que no se originan, derivan o tienen fundamento en operaciones realizadas en desarrollo del sistema de financiación de vivienda de largo plazo de que trata la Ley 546 de 1999 y las normas que la modifiquen o sustituyan.
ARTÍCULO 2.21.2.1.2 OPERACIONES AUTORIZADAS.
<Fuente original compilada: D. 230/10 Art. 2o.> En desarrollo de su objeto social las sociedades titularizadoras de activos no hipotecarios podrán:
1. Adquirir activos no hipotecarios a cualquier título;
2. Originar, estructurar y administrar procesos de titularización de activos no hipotecarios originados en Colombia o en el exterior, para lo cual emitirán títulos respaldados con activos no hipotecarios y sus garantías, o con derechos sobre los mismos y sus respectivas garantías los cuales podrán ser colocados en Colombia o en el exterior;
3. Prestar servicios para el desarrollo de procesos de movilización de activos no hipotecarios, incluyendo asesoría para la estructuración, emisión y colocación de títulos, la administración de universalidades de activos no hipotecarios y la administración y desarrollo de procesos de titularización de activos no hipotecarios en Colombia o en el exterior;
4. Avalar, garantizar y en general suministrar coberturas en procesos de movilización de activos no hipotecarios originados en Colombia o en el exterior, incluyendo las titularizaciones en que actúe como originador o emisor;
5. Realizar actos de comercio sobre activos no hipotecarios, incluyendo sus derechos y garantías, siempre y cuando guarden relación con su objeto social exclusivo;
6. Participar en el capital de compañías nacionales o extranjeras que se encuentren facultadas para la movilización de activos no hipotecarios;
7. Emitir títulos de deuda respaldados con su propio patrimonio;
8. Obtener créditos, garantías o avales;
9. Administrar su tesorería y realizar las operaciones pertinentes para tal fin;
10. Celebrar los contratos conexos o complementarios que resulten necesarios para el cumplimiento de las operaciones autorizadas;
ARTÍCULO 2.21.2.1.3 SEPARACIÓN PATRIMONIAL
<Fuente original compilada: D. 230/10 Art. 8o.> De acuerdo con lo señalado en el artículo 72 de la Ley 1328 de 2009 los activos que formen parte de los procesos de titularización de activos no hipotecarios deberán conformar universalidades separadas y aisladas del patrimonio de las sociedades titularizadoras de activos no hipotecarios, cuyos flujos de caja estarán destinados exclusivamente al pago de los títulos emitidos y de los demás gastos y garantías inherentes al proceso, en la forma en que se establezca en el correspondiente reglamento de emisión y colocación.
Además de los activos no hipotecarios, harán parte de las universalidades las garantías de cualquier índole sobre los mismos, los derechos sobre los contratos de seguro que amparen las garantías de dichos activos o la vida de los deudores, los activos a partir de los cuales se estructuren los mecanismos de seguridad o apoyo crediticio de la emisión o los derechos derivados de los contratos a través de los cuales tales mecanismos de seguridad o apoyo crediticio se constituyen y, en general, cualquier otro derecho o activo que se derive de los activos no hipotecarios titularizados, tales como los flujos provenientes de dichos activos, los rendimientos producto de la realización de inversiones temporales de liquidez y las daciones en pago o los bienes rematados que se reciban con ocasión de su cobranza, así como el producto de su venta.
Los activos vinculados a los procesos de titularización de que trata este Decreto no constituirán prenda general de los acreedores de quienes los originen o administren, y estarán excluidos de la masa de bienes que pueda conformarse para efectos de cualquier procedimiento mercantil o de cualquier otra acción que pudiera afectarlos. Por consiguiente, tales activos en ningún caso se restituirán al patrimonio del originador ni al del emisor, del administrador del proceso de titularización o del administrador de los activos, en los casos en que éste se encuentre en concordato, liquidación, o cualquier otro proceso de naturaleza concursal, de conformidad con lo dispuesto en el artículo 68 de la Ley 964 de 2005 o en la norma que lo sustituya o modifique.
En ningún caso los títulos emitidos en los procesos de titularización de activos no hipotecarios otorgarán a sus tenedores el derecho de solicitar o iniciar procesos divisorios respecto de la universalidad conformada por los activos subyacentes y/o las garantías que los amparen.
PARÁGRAFO. Las sociedades titularizadoras de activos no hipotecarios deberán mantener sistemas de información contable independientes de los activos de la propia sociedad y de las otras masas o paquetes de activos que formen parte de los procesos de titularización, con el fin de revelar su condición de activos separados del patrimonio de la sociedad y facilitar la evaluación independiente de los riesgos inherentes a cada emisión.
ARTÍCULO 2.21.2.1.4 MANEJO DE RIESGOS.
<Fuente original compilada: D. 230/10 Art. 6o.> Las sociedades titularizadoras de activos no hipotecarios deberán estructurar y documentar sistemas de administración de riesgos que permitan la identificación, medición, control y monitoreo de los riesgos que están asumiendo y sus mecanismos de cobertura, de acuerdo con las instrucciones que al efecto imparta la Superintendencia Financiera de Colombia.
Igualmente, deberán suministrar de manera completa y oportuna toda la información al mercado sobre los riesgos que asumen los inversionistas en sus emisiones y sus políticas de gestión de riesgos.
ARTÍCULO 2.21.2.1.5 NORMAS APLICABLES. <Artículo modificado el artículo 59 del Decreto 1745 de 2020. El nuevo texto es el siguiente:>
En todo aquello que no se encuentre expresamente regulado en el presente Título, las sociedades titularizadoras de activos no hipotecarios y las emisiones que efectúen se sujetarán a (i) las normas que se refieran a los participantes del mercado de valores; (ii) las normas que se refieran a los demás emisores de valores; y (iii) las normas que regulen las condiciones y requisitos de las ofertas públicas de valores.
CAPITAL MÍNIMO, PATRIMONIO ADECUADO Y RELACIÓN DE SOLVENCIA.
ARTÍCULO 2.21.2.2.1 CAPITAL MÍNIMO DE LAS SOCIEDADES TITULARIZADORAS DE ACTIVOS NO HIPOTECARIOS.
<Fuente original compilada: D. 230/10 Art. 4o.> Las sociedades titularizadoras de activos no hipotecarios tendrán un capital mínimo de cinco mil quinientos noventa millones de pesos ($5.590.000.000). Dicho capital mínimo se ajustará a partir del primero (1o) de enero de cada año en forma automática en el mismo sentido y porcentaje en que varíe el índice de precios al consumidor que suministre el Departamento Administrativo Nacional de Estadística –DANE- para el año inmediatamente anterior. El valor resultante se aproximará al múltiplo en millones de pesos inmediatamente superior.
PARÁGRAFO. El monto del capital mínimo mencionado se establecerá como resultado de la sumatoria de las siguientes cuentas patrimoniales: capital suscrito y pagado, reservas, superávit por prima en colocación de acciones, utilidades no distribuidas de ejercicios anteriores, revalorización del patrimonio y bonos obligatoriamente convertibles en acciones. Para efectos del cálculo del capital mínimo se deducirán las pérdidas acumuladas de ejercicios anteriores.
ARTÍCULO 2.21.2.2.2 PATRIMONIO ADECUADO Y RELACIÓN DE SOLVENCIA.
<Fuente original compilada: D. 230/10 Art. 5o.> Mientras la Superintendencia Financiera de Colombia no disponga otra cosa, las sociedades titularizadoras de activos no hipotecarios estarán sujetas, en lo aplicable, al régimen de patrimonio adecuado y de relación de solvencia contenido en el Capitulo 3 del Titulo Primero del Libro 21 del presente Decreto y demás normas que la modifiquen o sustituyan.
NORMAS APLICABLES A LAS SOCIEDADES CALIFICADORAS DE RIESGOS.
ACTIVIDAD DE CALIFICACIÓN.
ARTÍCULO 2.22.1.1.1 PERSONAS QUE PUEDEN REALIZAR LA CALIFICACIÓN DE RIESGOS.
<Fuente original compilada: R. 400/95 Art. 2.3.1.1 Modificado por el D. 1076/07, Modificado por el D. 1350/08 Art. 1o.> Solamente podrán ejercer la actividad de calificación de valores o de riesgos en el mercado de valores las personas jurídicas que hayan obtenido el respectivo permiso de funcionamiento por parte de la Superintendencia Financiera de Colombia y se encuentren inscritas en el Registro Nacional de Agentes del Mercado de Valores - RNAMV.
El contenido de los manuales y reglamentos de las sociedades calificadoras y sus modificaciones, cuya información sea relevante para el Sistema Integral de Información del mercado de Valores, SIMEV, deberán ser aprobados previamente por la Superintendencia Financiera de Colombia. Se exceptúa de tal requerimiento a los manuales y reglamentos específicos, o los apartes incorporados en un reglamento o en un documento general, que tenga relación con las metodologías, procedimientos de calificación o demás temas analíticos propios de la actividad de calificación de riesgos.
PARÁGRAFO. Las referencias que se hagan en las normas vigentes a las sociedades calificadoras de valores o a la actividad de calificación de valores se entenderán aplicables a la actividad de calificación de riesgos.
ARTÍCULO 2.22.1.1.2 OBJETO SOCIAL.
<Fuente original compilada: R. 400/95 Art. 2.3.1.2 Modificado por el D. 1076/07> Las sociedades calificadoras de riesgos son sociedades anónimas cuyo objeto social exclusivo es la calificación de valores o riesgos relacionados con la actividad financiera, aseguradora, bursátil y cualquier otra relativa al manejo, aprovechamiento e inversión de recursos captados del público.
Las calificaciones se realizarán mediante estudios, análisis y evaluaciones que concluyan con una opinión o dictamen profesional, de naturaleza institucional, el cual deberá ser técnico, especializado, independiente, de conocimiento público y constar por escrito.
PARÁGRAFO. Las sociedades calificadoras de riesgos deberán agregar a su denominación social la expresión “calificadora de valores” y/o “calificadora de riesgos”.
Ninguna sociedad diferente a las sociedades calificadoras de riesgo podrá anunciarse, incluir en su denominación social o utilizar en cualquier forma la expresión “calificadora de valores” o “calificadora de riesgos”.
ARTÍCULO 2.22.1.1.3 ACTIVIDADES DE CALIFICACIÓN.
<Fuente original compilada: R. 400/95 Art. 2.3.1.3 Modificado por el D. 1076/07> Dentro de las actividades autorizadas a las sociedades calificadoras de riesgo se entenderán comprendidas, entre otras, las siguientes:
1. Calificación de emisor o contraparte.
2. Calificación de emisión de deuda.
3. Calificación sobre la capacidad de cumplir oportunamente con flujos futuros estimados en proyectos de inversión.
4. Calificación de riesgos de portafolios de inversión colectiva.
5. Calificación de capacidad de pago de siniestros de las compañías de seguros.
6. Calificación sobre la habilidad para administrar inversiones o portafolios de terceros.
7. Homologación de calificaciones otorgadas por agencias calificadoras de riesgos o valores extranjeras reconocidas por la Superintendencia Financiera de Colombia, que no cuenten con presencia comercial en Colombia, y solo para aquellos casos en los cuales se acepte la calificación por entidades del exterior.
8. Las calificaciones que se exijan mediante normas especiales.
9. Las demás que se establezcan en el reglamento de la calificadora.
ARTÍCULO 2.22.1.1.4 VALORES QUE DEBEN CALIFICARSE.
<Fuente original compilada: R. 400/95 Art. 2.3.1.4 Modificado por el D. 1076/07> Para efectos de su inscripción en el Registro Nacional de Valores y Emisores - RNVE, y la autorización de su oferta pública, los valores que reúnan las condiciones que se señalan a continuación deberán ser objeto de por lo menos una calificación en los términos del presente Libro:
1. Que se trate de bonos ordinarios emitidos por entidades diferentes de los establecimientos de crédito o de papeles comerciales, excepto los emitidos por el Fondo de Garantías de Instituciones Financieras-FOGAFIN.
2. Que se trate de bonos ordinarios o de garantía general emitidos por establecimientos de crédito.
3. Que se trate de bonos emitidos por entidades públicas, excepto aquellos que emita el Fondo de Garantías de Instituciones Financieras- FOGAFIN.
4. Que sean valores emitidos como resultado de un proceso de titularización.
PARÁGRAFO 1. <Parágrafo modificado el artículo 60 del Decreto 1745 de 2020. El nuevo texto es el siguiente:> Los demás valores que sean objeto de oferta pública en el mercado podrán ser objeto de calificación en los términos del presente Libro, a solicitud de cualquier interesado o del emisor.
PARÁGRAFO 2. Tratándose de un programa de emisión y colocación, los valores a que se refiere el presente artículo no requerirán calificación para efectos de su inscripción en el Registro Nacional de Valores y Emisores - RNVE. No obstante lo anterior, de manera previa a la publicación del aviso de oferta de la respectiva emisión, el emisor deberá acreditar la calificación de los valores objeto de la misma, ante la Superintendencia Financiera de Colombia.
PARÁGRAFO 3o. <Parágrafo adicionado por el artículo 1 del Decreto 1019 de 2014. El nuevo texto es el siguiente:> Los valores que hagan parte del Segundo Mercado no requerirán calificación para efectos de su inscripción en el Registro Nacional de Valores y Emisores (RNVE).
ARTÍCULO 2.22.1.1.5 ALCANCE DE LA CALIFICACIÓN.
<Fuente original compilada: R. 400/95 Art. 2.3.1.6 Modificado por el D. 1076/07 Modificado por el D. 1350/08 Art. 2o.> Los dictámenes u opiniones técnicas que emitan las sociedades calificadoras en desarrollo de su actividad, constituyen una estimación razonable de la capacidad de pago de las obligaciones a cargo del calificado, o del impacto de los riesgos que está asumiendo el calificado o de la habilidad para administrar inversiones o portafolios de terceros, según sea el caso.
Todas las calificaciones deberán señalar expresamente que la calificación otorgada no implica recomendación para comprar, vender o mantener un valor y que en ningún caso constituyen garantía de cumplimiento de las obligaciones del calificado.
ARTÍCULO 2.22.1.1.6 PROHIBICIONES.
<Fuente original compilada: R. 400/95 Art. 2.3.1.7 Modificado por el D. 1076/07 Modificado por el D. 1350/08 Art. 3o.> Las sociedades calificadoras no podrán:
1. Invertir en valores cuya calificación se encuentre vigente y haya sido otorgada por la misma calificadora.
2. <Numeral modificado el artículo 61 del Decreto 1745 de 2020. El nuevo texto es el siguiente:> Invertir en fondos de inversión colectiva que tengan calificación vigente otorgada por la misma sociedad calificadora o que sean administradas por una entidad cuya calificación, acerca de la administración de portafolios, haya sido otorgada por la sociedad calificadora y esté vigente. Para efectos del presente numeral se entenderá por fondos de inversión colectiva los definidos en la Parte 3 del presente decreto y demás normas que la desarrollen, complementen o sustituyan.
3. Utilizar en beneficio propio o de terceros la información a la que haya tenido acceso en desarrollo de su actividad de calificación.
4. Asegurar u ofrecer al solicitante de la calificación un determinado resultado del proceso de calificación.
5. Asesorar, directa o indirectamente, a personas diferentes a calificadoras del extranjero en temas que puedan generar conflictos de interés respecto de la actividad de calificación de riesgo.
6. Asesorar, directa o indirectamente, a cualquier persona en la toma de decisiones de inversión o de especulación.
PARÁGRAFO. Las prohibiciones establecidas en el presente artículo se harán extensivas a los accionistas, administradores, miembros del Comité Técnico de calificación, revisor fiscal y demás funcionarios de la sociedad calificadora, cuando estas personas hayan tenido acceso a información privilegiada o hayan participado de cualquier forma en el proceso de calificación.
ARTÍCULO 2.22.1.1.7 ESTUDIOS ECONÓMICOS.
<Fuente original compilada: R. 400/95 Art. 2.3.1.8 Modificado por el D. 1076/07> Las sociedades calificadoras de riesgos podrán realizar estudios económicos siempre que no publiquen información privilegiada o reservada de los clientes y en ningún caso podrán contener recomendaciones de inversión.
ARTÍCULO 2.22.1.1.8 CÓDIGOS DE CONDUCTA Y ÉTICA.
<Fuente original compilada: R. 400/95 Art. 2.3.1.9 Modificado por el D. 1076/07> Las sociedades calificadoras deberán elaborar e implementar un código de conducta y ética que rija la actuación de la sociedad, sus funcionarios y los miembros del comité técnico, cuya finalidad sea el establecimiento de normas, prácticas y procedimientos acordes con estándares internacionales, de conformidad con lo que para el efecto establezca la Superintendencia Financiera de Colombia.
Una vez adoptados dichos códigos deberá enviarse un ejemplar al Registro Nacional de Agentes del Mercado de Valores -RNAMV- y se deberán publicar en la página web de la sociedad calificadora.
<Fuente original compilada: R. 400/95 Art. 2.3.1.10 Modificado por el D. 1076/07 Modificado por el D. 1350/08 Art. 4o> No podrá realizarse una calificación por parte de una sociedad calificadora que carezca de la independencia necesaria para realizar tal labor. Para estos efectos se considerará que una sociedad carece de independencia para realizar su labor de calificación cuando ella, sus administradores, miembros del Comité Técnico, funcionarios a nivel profesional o beneficiarios reales de cualquier parte de su capital se encuentren en una cualquiera de las siguientes situaciones:
1. Tengan o hayan tenido dentro de los doce (12) meses anteriores a la fecha de la calificación el carácter de administradores, asesores o funcionarios del calificado, o hayan desarrollado en el mismo período funciones de revisoría fiscal en el calificado.
2. Tengan la calidad de beneficiario real de valores emitidos por el calificado o tengan en garantía títulos emitidos por el mismo al momento de la calificación.
3. Tengan o hayan tenido dentro de los doce (12) meses anteriores a la calificación, el carácter de administradores, funcionarios o beneficiarios reales del tres por ciento (3%) o más del capital de la sociedad matriz del emisor, de sus filiales o subordinadas, o de la entidad avalista de los títulos objeto de calificación.
4. Tengan un contrato de prestación de servicios profesionales o cualquier otro tipo de relación jurídica o comercial susceptible de generar conflictos de interés con el emisor, con su matriz o las subordinadas de esta última, con la entidad avalista de los títulos objeto de calificación, o con los beneficiarios reales del tres por ciento (3%) o más del capital de una de estas sociedades.
5. Hayan intervenido a cualquier título en el diseño, aprobación y colocación del valor objeto de calificación.
6. Sean beneficiarios reales del diez por ciento (10%) o más del capital de sociedades que se encuentren en alguna de las hipótesis previstas en los numerales 1, 2, 3, 4 y 5 del presente artículo.
7. Reciban cualquier ingreso que supere el cinco por ciento (5%) del total de sus ingresos percibidos durante el año inmediatamente anterior al día en que se contrate la respectiva calificación, diferentes a los relacionados con la actividad de calificación, ya sea proveniente de la entidad calificada, de sus administradores, de sus funcionarios, de sus filiales o subsidiarias, su matriz o las filiales o subsidiarias de esta. Dentro de estos ingresos no se tendrán en cuenta aquellos derivados de servicios financieros que el calificado preste masivamente.
8. Que sus cónyuges o parientes hasta el primer grado de consanguinidad, afinidad o civil, se encuentren en alguna de las situaciones previstas por los numerales anteriores del presente artículo.
PARÁGRAFO. No se considerará que la independencia de la sociedad calificadora está comprometida cuando los miembros del Comité Técnico de que trata el artículo 5.3.1.1.4 del presente decreto, los administradores de la sociedad calificadora, los funcionarios de nivel profesional y los beneficiarios reales de cualquier parte de su capital, que se encuentren inmersos en alguna de las situaciones descritas en el presente artículo o en cualquier situación que genere un conflicto de interés entre la calificadora y el calificado, se abstengan de participar en cualquier etapa del proceso de calificación para el cual se presente el conflicto.
DEL PROCEDIMIENTO DE CALIFICACIÓN.
ARTÍCULO 2.22.2.1.1 PROCEDIMIENTO DE CALIFICACIÓN.
<Fuente original compilada: R. 400/95 Art. 2.3.2.1 Modificado por el D. 1076/07> Toda calificación, así como sus revisiones, deberá aprobarse por el Comité Técnico con sujeción al reglamento y a las metodologías definidas por la calificadora.
ARTÍCULO 2.22.2.1.2 METODOLOGÍAS.
<Fuente original compilada: R. 400/95 Art. 2.3.2.2 Modificado por el D. 1076/07> Las sociedades calificadoras deberán adoptar metodologías que garanticen la obtención de calificaciones objetivas e independientes, basadas en el análisis idóneo y técnico de toda la información relevante para el proceso de calificación.
Las metodologías deberán estar actualizadas permanentemente, constar por escrito y permanecer a disposición de la Superintendencia Financiera de Colombia y del público en general, a través de la publicación en la página web de la sociedad calificadora.
Dichas metodologías adoptadas por las sociedades calificadoras deberán, entre otros:
1. Estar aprobadas por un comité técnico designado para el efecto.
2. Expresar un enfoque prospectivo y dinámico de cada uno de los riesgos y negocios analizados.
3. Tener en cuenta las particularidades específicas de cada entidad o proceso calificado así como sector, industria y localización.
4. Incluir elementos de juicio objetivos y cuantificables.
ARTÍCULO 2.22.2.1.3 DIVULGACIÓN DE LAS CALIFICACIONES OTORGADAS.
<Fuente original compilada: R. 400/95 Art. 2.3.2.3 Modificado por el D. 1076/07 Modificado por el D. 1350/08 Art. 5o.> La sociedad calificadora deberá informar cualquier calificación otorgada así como sus revisiones periódicas o extraordinarias, a la Superintendencia Financiera de Colombia, a los sistemas de negociación en donde se vaya a negociar el valor cuando a esto haya lugar, así como publicarla en su página en Internet de manera simultánea. Esta obligación se cumplirá en un término que en ningún caso podrá exceder las veinticuatro (24) horas siguientes a la sesión del Comité Técnico en donde se haya aprobado la respectiva calificación.
Sin perjuicio de lo anterior, antes del otorgamiento o decisión de una calificación, el Comité Técnico de calificación podrá suspender el proceso con el objeto de que el calificado aclare lo pertinente, o provea información suplementaria relevante para el proceso. No obstante, en ningún evento se podrá informar o revelar al calificado la posible calificación.
Dentro de los ocho (8) días hábiles siguientes, contados a partir del día en que se haya otorgado la calificación, se deberá remitir el documento que la sustente a la Superintendencia Financiera de Colombia, a los sistemas de negociación de valores o de registro de operaciones sobre valores en donde se vaya a negociar o registrar el valor, cuando a esto haya lugar, así como publicarla en su página en Internet de manera simultánea, en los mismos términos del inciso primero de este artículo.
PARÁGRAFO. Salvo las excepciones de que trata el artículo siguiente, la sociedad calificadora de valores deberá revelar al público en una base no selectiva cualquier calificación referente a las actividades de calificación de que trata el artículo 2.22.1.1.3 del presente Decreto.
ARTÍCULO 2.22.2.1.4 EXCEPCIONES A LA PUBLICACIÓN DE CALIFICACIÓN.
<Fuente original compilada: R. 400/95 Art. 2.3.2.4 Modificado por el D. 1076/07 Modificado por el D. 1350/08 Art. 5o.> Sin perjuicio de lo dispuesto en el artículo anterior, para los casos enunciados en los numerales 2 y 3 del artículo 2.22.1.1.3 del presente decreto., el emisor podrá solicitar, dentro de las veinticuatro (24) horas siguientes a la sesión del Comité Técnico en donde se haya aprobado dicha calificación, que se mantenga en reserva siempre que sea la primera vez que se califique la emisión y siempre que los valores correspondientes a la emisión calificada no vayan a ser objeto de oferta pública en el mercado primario durante el término de vigencia de la calificación.
En el evento antes mencionado, cuando el calificado vaya a efectuar una oferta pública de valores deberá reportar como información relevante todas las calificaciones que haya obtenido en el último año, siempre que estén relacionadas directamente con la emisión objeto de oferta.
Así mismo, estarán exceptuadas de publicación aquellas calificaciones definidas como privadas en los reglamentos de la sociedad calificadora con anterioridad al inicio del proceso de calificación, las cuales serán entregadas al calificado exclusivamente para su uso interno. En todo caso, será la sociedad calificadora quien defina en sus reglamentos y en los contratos de calificación que suscriba, los términos bajo los cuales considera que una calificación es de uso interno. Adicionalmente, la calificadora y el calificado deberán plasmar en el contrato de calificación el procedimiento a observarse por las partes, de manera que dichas calificaciones no tengan una utilización diferente al definido previamente por la calificadora.
ARTÍCULO 2.22.2.1.5 REVISIÓN PERIÓDICA Y EXTRAORDINARIA DE LA CALIFICACIÓN.
<Fuente original compilada: R. 400/95 Art. 2.3.2.5 Modificado por el D. 1076/07> Las sociedades calificadoras deberán revisar las calificaciones otorgadas de conformidad con la periodicidad pactada, que en ningún caso podrá superar un (1) año. Dicha periodicidad se entiende como vigencia de la calificación y el plazo de revisión se contará a partir del otorgamiento de la última calificación periódica o de la calificación inicial para aquellos casos en que sea la primera calificación revisión se denomina periódica y en el reglamento de la sociedad calificadora se definirá el corte de cifras máximo a utilizar.
Igualmente, las sociedades calificadoras deberán efectuar monitoreo permanente sobre las calificaciones otorgadas, de tal forma que ante situaciones extraordinarias se informe al mercado cualquier evento o situación susceptible de afectar los fundamentos sobre los cuales se otorgó la calificación. Esta revisión se denomina extraordinaria y en ningún caso suplirá la revisión periódica.
PARÁGRAFO. Para efectos del cumplimiento de las obligaciones a que se refiere el presente artículo, la sociedad calificadora deberá establecer en sus reglamentos mecanismos idóneos que garanticen un seguimiento permanente a todas las calificaciones otorgadas.
MANEJO DE INFORMACIÓN.
ARTÍCULO 2.22.3.1.1 OBLIGACIÓN DE RESERVA.
<Fuente original compilada: R. 400/95 Art. 2.3.3.1 Modificado por el D. 1076/07> La sociedad calificadora, así como sus administradores, funcionarios y miembros del comité técnico, estarán obligados a guardar reserva sobre aquella información que, de acuerdo con las normas que rigen el mercado de valores, la sociedad calificada no está obligada a revelar al público.
PARÁGRAFO. Las calificadoras adoptarán procedimientos y mecanismos para proteger la información confidencial de sus clientes, los cuales deberán ser incorporados en el código conducta y ética.
ARTÍCULO 2.22.3.1.2 SALVAGUARDA DE LA INFORMACIÓN.
<Fuente original compilada: R. 400/95 Art. 2.3.3.2 Modificado por el D. 1076/07> Las sociedades calificadoras deberán establecer las medidas necesarias para mitigar los riesgos por pérdida, fraude o uso indebido, de la información entregada en desarrollo de la actividad de calificación.
NORMAS APLICABLES A LOS EMISORES DE VALORES.
DISPOSICIONES GENERALES.
ARTÍCULO 2.23.1.1.1 INSCRIPCIÓN EN EL LIBRO DE REGISTRO DE TÍTULOS NOMINATIVOS.
<Fuente original compilada: R. 400/95 Art. 3.1.0.1> Las sociedades emisoras de valores se encuentran obligadas a inscribir en el libro de registro de acciones los traspasos y adelantar los trámites necesarios para la expedición, fraccionamiento, unificación y corrección de títulos para lo cual deberán observar los plazos que se establecen a continuación.
<Fuente original compilada: R. 400/95 Art. 3.1.0.2> Las sociedades emisoras deben hacer la inscripción del traspaso de títulos nominativos en el libro de registro correspondiente, con la fecha del día en que reciban los documentos indispensables para adelantar la inscripción, salvo en los casos donde obre orden contraria de autoridad competente o la transferencia no se encuentre revestida de la juridicidad indispensable, esto es, cuando no se hayan cumplido los requisitos o formalidades señaladas en la ley o en los estatutos.
ARTÍCULO 2.23.1.1.3 PLAZO PARA LA ENTREGA DE LOS NUEVOS TÍTULOS.
<Fuente original compilada: R. 400/95 Art. 3.1.0.3> 1. En las transacciones que se realicen sobre títulos nominativos inscritos en el Registro Nacional de Valores y Emisores -RNVE, las sociedades emisoras tendrán un plazo de diez (10) días hábiles, contados a partir de la fecha de recibo de la documentación correspondiente, para poner a disposición de los nuevos tenedores, los títulos que resulten de las operaciones que les hayan sido reportadas. El mismo plazo, contado a partir de la fecha de la suscripción, se aplicará para la entrega de los títulos nominativos colocados en el mercado primario.
2. Para la expedición y entrega de títulos a la orden o al portador correspondientes a colocaciones efectuadas en el mercado primario, los emisores tendrán un plazo máximo de cinco (5) días hábiles, contados a partir de la fecha de suscripción.
3. Los plazos señalados en los numerales 1. y 2. de este artículo se aplicarán igualmente para atender las solicitudes de fraccionamiento, unificación o corrección de títulos.
4. Cuando la colocación o negociación de los títulos se efectúe por conducto de una bolsa de valores, los títulos de los nuevos tenedores deberán ser entregados por las sociedades emisoras a las respectivas bolsas, para que éstas efectúen la entrega de los mismos.
5. Las obligaciones estipuladas en los numerales 1, 2, 3. y 4 anteriores se trasladarán a las entidades que ejerzan las funciones de administradoras de títulos inscritos en el Registro Nacional de Valores y Emisores -RNVE, cuando dichas entidades tengan a su cargo los procesos de expedición, traspaso, fraccionamiento, unificación o corrección de los títulos correspondientes.
ARTÍCULO 2.23.1.1.4 DIVIDENDOS.
<Artículo modificado por el artículo 1 del Decreto 4766 de 2011. El nuevo texto es el siguiente:> Las sociedades emisoras de acciones inscritas en el Registro Nacional de Valores y Emisores (RNVE) deberán contemplar un plazo prudencial mínimo de tres (3) días hábiles bursátiles entre cada fecha de causación de dividendos y la correspondiente fecha de pago de los mismos, con el fin de acopiar y actualizar la información sobre los nuevos titulares que tengan derecho a recibir dichos dividendos, en virtud de las operaciones realizadas sobre los mismos.
Una vez decididas tales fechas por el órgano social competente, deberán ser informadas inmediatamente a la Superintendencia Financiera de Colombia y a las bolsas de valores donde tengan inscritas las acciones.
PARÁGRAFO. La fecha de causación de dividendos y la correspondiente fecha de pago de los mismos deberá ser informada al respectivo depósito centralizado de valores en los términos dispuestos por el artículo 2.14.3.1.8 del presente decreto.
ARTÍCULO 2.23.1.1.5. PERÍODO O FECHA EX DIVIDENDO. <Artículo adicionado por el artículo 2 del Decreto 4766 de 2011. El nuevo texto es el siguiente:> El período o fecha ex dividendo hace referencia al tiempo durante el cual se entiende que una operación de compraventa de acciones no comprende el derecho a percibir los dividendos pendientes de pago por parte del comprador.
Las bolsas de valores podrán determinar en sus reglamentos dicho término, el cual en ningún caso podrá ser inferior a dos (2) días hábiles bursátiles.
PARÁGRAFO 1o. En el caso de acciones emitidas por entidades extranjeras que se encuentren inscritas en el Registro Nacional de Valores y Emisores (RNVE) pero que no se encuentren inscritas en el registro público establecido por la correspondiente autoridad en su domicilio principal ni en una bolsa o en un sistema de negociación, el período ex dividendo será establecido por la bolsa de valores en la que las respectivas acciones se encuentren inscritas en Colombia.
PARÁGRAFO 2o. Tratándose de acciones emitidas por entidades extranjeras que se encuentren inscritas en el Registro Nacional de Valores y Emisores (RNVE) y que a su vez se negocien en una bolsa o en un sistema de negociación internacionalmente reconocido por la Superintendencia Financiera de Colombia, el período ex dividendo corresponderá al término fijado como tal en el domicilio principal del emisor.
Sin perjuicio de la divulgación de esta información a través del mecanismo establecido por el artículo 5.2.4.1.6 del presente decreto, es obligación de la sociedad emisora hacer conocer a la bolsa de valores colombiana en la cual esté inscrita la acción y al depósito centralizado de valores local, el período ex dividendo que afecta la respectiva acción.
PARÁGRAFO 3o. Cuando se trate de acciones listadas en los sistemas de cotización de valores del extranjero, el período ex dividendo corresponderá al definido como tal en el domicilio principal del emisor.
ARTÍCULO 2.23.1.1.6. DIFUSIÓN ELECTRÓNICA DE INFORMES DE GESTIÓN. <Artículo adicionado por el artículo 2 del Decreto 1178 de 2017. El nuevo texto es el siguiente:> Las sociedades emisoras de acciones inscritas en el Registro Nacional de Valores y Emisores (RNVE), podrán difundir electrónicamente los informes de gestión aprobados o aquellos que pongan a consideración de sus accionistas para su respectiva aprobación. Lo anterior, sin perjuicio de los requisitos establecidos en las demás normas vigentes relacionadas con la preparación, depósito y conservación de dichos informes.
En todo caso, el emisor deberá garantizar la autenticidad, integridad, fiabilidad y disponibilidad de la información incorporada en los informes de gestión que difunda electrónicamente. La Superintendencia Financiera de Colombia, podrá establecer requisitos adicionales para la difusión electrónica de este tipo de información.
RECONOCIMIENTO DE OFERTAS PÚBLICAS AUTORIZADAS EN EL EXTERIOR.
GENERALIDADES.
ARTÍCULO 2.23.2.1.1 ÁMBITO DE APLICACIÓN. <Artículo adicionado por el artículo 6 del Decreto 2241 de 2015. El nuevo texto es el siguiente:> Con el presente régimen se regula el reconocimiento de las ofertas públicas primarias o secundarias de valores extranjeros, que hayan sido objeto de autorización previa y expresa por parte de una autoridad de supervisión, bajo el régimen legal aplicable en la respectiva jurisdicción, siempre y cuando dicha autoridad de supervisión tenga suscritos acuerdos o convenios de intercambio de información y protocolos de supervisión con la Superintendencia Financiera de Colombia.
Para efectos de lo previsto en el presente Título, se entenderán por valores extranjeros los definidos en el artículo 2.15.6.1.2 del presente decreto.
PARÁGRAFO 1o. Los acuerdos o convenios de intercambio de información y los protocolos de supervisión a que se refiere el presente artículo deberán contener al menos, los compromisos de las partes relativos a la cooperación e intercambio de información, documentación y la obtención y remisión de pruebas para el ejercicio de la supervisión por parte de cada una de las autoridades, así como aquellos relativos a la difusión de toda la información pública que los emisores de valores bajo su supervisión están obligados a difundir al mercado, de acuerdo con el marco jurídico aplicable en la respectiva jurisdicción.
Para estos efectos, la Superintendencia Financiera de Colombia informará las autoridades con las cuales tenga suscritos acuerdos o convenios de intercambio de información y protocolos de supervisión que cumplan con lo previsto en este artículo.
PARÁGRAFO 2o. Las disposiciones del presente título se entienden sin perjuicio del cumplimiento de las normas cambiarias y de las que regulan las inversiones de capital del exterior en Colombia y de las inversiones colombianas en el exterior.
PARÁGRAFO 3o. Las bolsas de valores, los sistemas de negociación de valores y los sistemas de registro de operaciones sobre valores podrán facilitar la negociación y/o el registro de operaciones sobre los valores extranjeros a que hace referencia el presente título, siempre y cuando el mercado en el cual se realiza o celebra la operación sobre tales valores corresponda a la jurisdicción donde el emisor obtuvo la autorización de la oferta pública, de acuerdo con lo establecido en el artículo 2.23.2.1.2 del presente decreto.
ARTÍCULO 2.23.2.1.2 OFERTAS PÚBLICAS RECONOCIDAS. <Artículo adicionado por el artículo 6 del Decreto 2241 de 2015. El nuevo texto es el siguiente:> Se reconocen como ofertas públicas de valores extranjeros, a efectos de permitir su promoción entre los inversionistas autorizados, aquellas que hayan sido objeto de autorización previa en los términos del artículo 2.23.2.1.1 del presente Decreto y que correspondan a valores emitidos en la respectiva jurisdicción donde se obtuvo la autorización y cuya inscripción se encuentre vigente en el registro público de valores correspondiente.
ARTÍCULO 2.23.2.1.3 INTERMEDIARIOS DE VALORES AUTORIZADOS. <Artículo adicionado por el artículo 6 del Decreto 2241 de 2015. El nuevo texto es el siguiente:> Los intermediarios de valores en Colombia están autorizados para adquirir valores que sean objeto de una oferta pública autorizada en el exterior, en los términos del presente Título, con observancia de las instrucciones que establezca la Superintendencia Financiera de Colombia, y con sujeción a las restricciones y prohibiciones que les sean aplicables a cada tipo de intermediario de valores, de acuerdo con el régimen normativo especial que rige sus operaciones.
PARÁGRAFO. Solo las sociedades comisionistas de bolsa de valores podrán, con sujeción a sus regímenes normativos propios, realizar operaciones sobre valores extranjeros que hagan parte de una oferta pública autorizada en el exterior, en nombre propio pero por cuenta ajena a través del contrato de comisión.
ARTÍCULO 2.23.2.1.4 INVERSIONISTAS AUTORIZADOS. <Artículo adicionado por el artículo 6 del Decreto 2241 de 2015. El nuevo texto es el siguiente:> Podrán invertir en los valores extranjeros de que trata el presente título quienes tengan la calidad de inversionista profesional y de cliente inversionista de conformidad con los artículos 7.2.1.1.2 y 7.2.1.1.4 del presente decreto, y en los términos establecidos en este título.
PARÁGRAFO 1o. Los valores de que trata el presente título únicamente podrán ser adquiridos por cuenta de un cliente inversionista o un inversionista profesional, si en los países en los cuales se encuentran listados o inscritos, dichos valores son adquiridos o enajenados por el mismo tipo de inversionista o su equivalente en la respectiva jurisdicción.
PARÁGRAFO 2o. La Superintendencia Financiera de Colombia podrá establecer o evaluar el cumplimiento de la equivalencia a que hace referencia el parágrafo 1 del presente artículo, así como establecer condiciones adicionales a las establecidas en el presente artículo.
ARTÍCULO 2.23.2.1.5 SUPERVISIÓN DE LOS VALORES Y EMISORES DEL EXTRANJERO. <Artículo adicionado por el artículo 6 del Decreto 2241 de 2015. El nuevo texto es el siguiente:> La Superintendencia Financiera de Colombia no ejercerá facultades de supervisión sobre los valores ni sobre los emisores del exterior a que se refiere el presente título, sin perjuicio de las atribuciones que en el ámbito de su competencia le correspondan, de conformidad con las disposiciones legales e instrucciones aplicables en relación con el cumplimiento de los deberes y obligaciones de los intermediarios de valores y de los proveedores de infraestructura, en desarrollo de sus operaciones autorizadas.
Las ofertas públicas autorizadas en el exterior y que hayan sido reconocidas en los términos del presente Título no se entenderán inscritas en el Registro Nacional de Valores y Emisores administrado por la Superintendencia Financiera de Colombia, a menos que el respectivo emisor de valores extranjeros surta el proceso de inscripción y de autorización de ofertas públicas ante dicha autoridad colombiana, en los términos establecidos en el presente decreto.
ARTÍCULO 2.23.2.1.6 INFORMACIÓN A LOS INVERSIONISTAS AUTORIZADOS. <Artículo adicionado por el artículo 6 del Decreto 2241 de 2015. El nuevo texto es el siguiente:> Los emisores de valores extranjeros que realicen la promoción y/o colocación de una oferta pública de valores reconocida en los términos previstos en el presente Título deberán informar a los inversionistas, al menos, los siguientes aspectos:
1. Los derechos y obligaciones asociados a los valores extranjeros y la forma o medios a través de los cuales los inversionistas podrán hacer efectivos sus derechos, indicando que los mismos están sometidos al régimen legal del país de origen del emisor;
2. La autoridad de supervisión competente respecto del emisor y los valores objeto de la oferta pública reconocida;
3. Los medios o mecanismos a través de los cuales se garantizará el acceso a la información financiera, económica, contable, jurídica y administrativa del emisor, incluyendo aquella que se considere relevante en el país de origen, bajo la periodicidad que allí sea requerida;
4. Cualquier cambio o ajuste que ocurra durante la vigencia de la respectiva emisión de valores extranjeros objeto de la oferta pública reconocida, en relación con los aspectos consagrados en los numerales 1 a 3 del presente artículo.
NORMAS COMUNES A INSTITUCIONES FINANCIERAS Y ENTIDADES ASEGURADORAS.
PROMOCIÓN COMERCIAL MEDIANTE INCENTIVOS.
ARTÍCULO 2.24.1.1.1 DEFINICIÓN.
<Fuente original compilada: D. 2204/98 Art. 1o.> Para efectos de lo previsto en el presente título, se entenderá por promoción comercial mediante incentivos, todo ofrecimiento directo o indirecto que cualquier institución financiera o entidad aseguradora realice transitoriamente en forma gratuita como un incentivo adicional a la tasa de interés y/o al costo del servicio, cualquiera sea la denominación o forma que adopte.
PARÁGRAFO. No se tendrán como incentivos los simples elementos de cortesía que otorguen las entidades vigiladas por la Superintendencia Financiera de Colombia a sus clientes o usuarios.
ARTÍCULO 2.24.1.1.2 PUBLICIDAD.
<Fuente original compilada: D. 2204/98 Art. 2o.> Las entidades a que se refiere el artículo anterior que realicen programas de promoción comercial mediante incentivos, deberán establecer reglas claras de transparencia e información al público debiendo para tal efecto difundir las características de la correspondiente promoción, mediante avisos en medios de amplia difusión, de fácil comprensión y visiblemente expuestos al público, en los cuales se permita el cabal entendimiento de las condiciones del respectivo programa.
La publicidad de las promociones a que se refiere el presente artículo, además de los requisitos generales establecidos por la Superintendencia Financiera de Colombia para la publicidad de los servicios o productos financieros de las entidades sometidas a su vigilancia, deberá indicar lo siguiente:
1. El período de vigencia de la promoción, señalando claramente la fecha de iniciación y terminación de la misma, los cortes parciales para sorteos o asignación de incentivos, los días y lugares de entrega, así como las características particulares, coberturas, limitaciones y demás datos que permitan al usuario estimar la probabilidad de acceder al incentivo ofrecido, así como las particularidades del mismo.
2. La totalidad de los incentivos objeto del programa de promoción deberá ser anunciada a los destinatarios desde el momento de su iniciación y si es del caso, la reducción de los mismos, en la medida en que se vayan entregando al público.
3. Cuando el incentivo consista en un plan especial de seguro, la indicación expresa de la cobertura de la prima del seguro. En caso de que se omita dicha aclaración, se entenderá que el mismo conlleva el pago de la totalidad de la prima del seguro.
4. Cuando el incentivo ofrecido esté ligado a determinado producto o servicio ofrecido por la entidad financiera, se deberá indicar en la publicidad respectiva la tasa efectiva cobrada o reconocida por dicho producto o servicio.
PARÁGRAFO. En todo caso, cuando los incentivos se asignen mediante sorteos, éstos deberán ser públicos y contar con la presencia de la autoridad competente, con la obligación a cargo de la entidad que realiza la promoción de elaborar el acta correspondiente, copia de la cual deberá mantenerse a disposición de la Superintendencia Financiera de Colombia.
<Fuente original compilada: D. 2204/98 Art. 3o.> Sin perjuicio de las sanciones a que haya lugar, la Superintendencia Financiera de Colombia podrá objetar el programa de promoción mediante incentivos y ordenar su desmonte, cuando los incentivos que ofrezcan las instituciones financieras o entidades aseguradoras a los clientes o usuarios de sus servicios o productos tenga relación directa con:
a) Disminución de la tasa efectiva anual reconocida en operaciones pasivas;
b) Aumento en la tasa efectiva anual reconocida en operaciones activas;
c) Incremento en los costos o comisiones por la utilización de cualquier producto o servicio ofrecido por la entidad vigilada.
Se considerará que existe una relación directa entre el incentivo y el costo del mismo, cuando los anteriores criterios varíen respecto de productos o servicios financieros iguales sin incentivos ofrecidos por la misma entidad a partir de la fecha en la cual se haga pública la oferta de incentivos y hasta seis (6) meses después de transcurrida la fecha prevista para el otorgamiento del último incentivo ofrecido. En todo caso, la Superintendencia Financiera de Colombia podrá calificar la existencia de una relación directa por virtud de las características de la oferta frente a los rendimientos ofrecidos o cobrados por la respectiva entidad.
PARÁGRAFO. De conformidad con el numeral 2 del artículo 99 del Estatuto Orgánico del Sistema Financiero, se entenderá que es una mayor carga o que el costo del incentivo se está traduciendo en un menor rendimiento para el ahorrador o usuario del producto o servicio promocionado cuando se pacte la penalización a cargo de éste por terminación anticipada del contrato en el cual se instrumenta la adquisición del producto o servicio mencionado, o el cambio en las condiciones del mismo, tal como la disminución de la tasa remuneratoria convenida para el período correspondiente en condiciones contrarias a la ley.
ARTÍCULO 2.24.1.1.4 SANCIONES.
<Fuente original compilada: D. 2204/98 Art. 4o.> En caso de comprobarse, de oficio o a petición de parte, que el costo de los premios o seguros ofrecidos como incentivos por las instituciones financieras o entidades aseguradoras se traduce en mayores cargas o en menos rendimientos o retribuciones al ahorrador o usuario de algún producto o servicio para el cual se efectúe ese tipo de promoción, la Superintendencia Financiera de Colombia impondrá las multas previstas en los artículos 209 y 211 del Estatuto Orgánico deSistema Financiero, según sea el caso, ordenando además en el mismo acto sancionatorio la adopción, en un plazo razonable de las medidas necesarias para evitar que se continúe causando daño o perjuicio a los usuarios del sistema financiero o asegurador.
ARTÍCULO 2.24.1.1.5 CONCORDANCIA CON OTRAS DISPOSICIONES.
<Fuente original compilada: D. 2204/98 Art. 5o.> El presente título deberá aplicarse en concordancia con las normas legales y reglamentarias que rigen el monopolio de arbitrio rentístico de juegos de suerte y azar.
NORMAS COMUNES A ESTABLECIMIENTOS DE CRÉDITO Y COOPERATIVAS FINANCIERAS.
ARTÍCULO 2.25.1.1.1 CUENTAS DE AHORRO ELECTRÓNICAS. <Libro deogado por el artículo 15 del Decreto 222 de 2020>
ARTÍCULO 2.25.1.1.2 CARACTERÍSTICAS DE LAS CUENTAS DE AHORRO ELECTRÓNICAS. <Libro deogado por el artículo 15 del Decreto 222 de 2020>
ARTÍCULO 2.25.1.1.3 INVERSIONES OBLIGATORIAS. <Libro deogado por el artículo 15 del Decreto 222 de 2020>
ARTÍCULO 2.25.1.1.4 GRAVAMEN A LOS MOVIMIENTOS FINANCIEROS. <Libro deogado por el artículo 15 del Decreto 222 de 2020>
NORMAS COMUNES A ESTABLECIMIENTOS DE CRÉDITO, SOCIEDADES DE SERVICIOS FINANCIEROS Y SOCIEDADES DE CAPITALIZACIÓN.
INVERSIONES EN OTRAS ENTIDADES.
INVERSIONES EN SOCIEDADES TITULARIZADORAS DE ACTIVOS HIPOTECARIOS.
ARTÍCULO 2.26.1.1.1 AUTORIZACIÓN.
<Fuente original compilada: D. 21/01 Art. 1o.> Los establecimientos de crédito, las sociedades de servicios financieros y las sociedades de capitalización, podrán poseer acciones en sociedades de servicios técnicos y administrativos cuyo objeto social sea la titularización de activos hipotecarios, siempre que la respectiva sociedad titularizadora cumpla con los siguientes requisitos:
a.) Que se trate de sociedades titularizadoras de activos hipotecarios en los términos previstos en los artículos 12 y 14 de la Ley 546 de 1999;
b.) Que su actividad y sus operaciones se realicen en cumplimiento de las normas de carácter general que señale el Gobierno Nacional, los instructivos que imparta la Superintendencia Financiera de Colombia y, en general, de las disposiciones que sean aplicables a las sociedades titularizadoras de activos hipotecarios.
ARTÍCULO 2.26.1.1.2 APORTES EN ESPECIE.
<Fuente original compilada: D. 21/01 Art. 2o.> Los establecimientos de crédito podrán transferir sus activos hipotecarios a sociedades titularizadoras de activos hipotecarios como aporte en especie, para efectos de realizar la inversión autorizada por el artículo 2.26.1.1.1 de este Decreto.
INVERSIONES EN SOCIEDADES TITULARIZADORAS DE ACTIVOS NO HIPOTECARIOS.
ARTÍCULO 2.26.1.2.1 AUTORIZACIÓN.
<Fuente original compilada: D. 230/10 Art. 7o.> Los establecimientos de crédito, las sociedades de servicios financieros y las sociedades de capitalización podrán poseer acciones en las sociedades titularizadoras de activos no hipotecarios.
Igualmente, los establecimientos de crédito, las sociedades de servicios financieros y las sociedades de capitalización, podrán vender en firme activos no hipotecarios, incluyendo las garantías o títulos representativos de derechos sobre los mismos y sobre las garantías que los respaldan, a las sociedades de titularizadoras de activos no hipotecarios, con el fin de que éstas emitan títulos para ser colocados entre el público.
INVERSIONES EN SOCIEDADES CONSTITUIDAS COMO OPERADORES DE BASES DE DATOS DE INFORMACIÓN FINANCIERA, CREDITICIA, COMERCIAL, DE SERVICIOS Y LA PROVENIENTE DE TERCEROS PAISES.
ARTÍCULO 2.26.1.3.1. AUTORIZACIÓN. <Artículo adicionado por el artículo 1 del Decreto 947 de 2012. El nuevo texto es el siguiente:> Los establecimientos de crédito, las sociedades de servicios financieros y las sociedades de capitalización, podrán poseer acciones en sociedades de servicios técnicos o administrativos constituidas como operadores de bases de datos de información financiera, crediticia, comercial, de servicios y la proveniente de terceros países a que se refiere la Ley 1266 de 2008.
INVERSIONES EN SOCIEDADES DE INNOVACIÓN Y TECNOLOGÍA FINANCIERA.
ARTÍCULO 2.26.1.4.1. AUTORIZACIÓN. <Artículo adicionado por el artículo 1 del Decreto 2443 de 2018. El nuevo texto es el siguiente:> Los establecimientos de crédito, las sociedades de servicios financieros y las sociedades de capitalización, podrán poseer acciones o cuotas en sociedades nacionales o internacionales cuyo objeto social exclusivo sea el de desarrollar y/o aplicar innovaciones y tecnologías conexas al desarrollo del objeto social de las entidades financieras inversoras. Estas sociedades se denominarán sociedades de innovación y tecnología financiera.
PARÁGRAFO 1o. Las sociedades de innovación y tecnología financiera no podrán prestar servicios financieros.
PARÁGRAFO 2o. La Superintendencia Financiera de Colombia tendrá en todo momento la facultad de requerir a sus entidades vigiladas la información que estime pertinente respecto a la inversión.
ARTÍCULO 2.26.1.4.2. PORCENTAJES DE PARTICIPACIÓN. <Artículo adicionado por el artículo 1 del Decreto 2443 de 2018. El nuevo texto es el siguiente:> Los establecimientos de crédito, las sociedades de servicios financieros y las sociedades de capitalización podrán poseer cualquier porcentaje de acciones o cuotas sociales en el capital de las sociedades de innovación y tecnología financiera.
ARTÍCULO 2.26.1.4.3. PROHIBICIÓN GENERAL. <Artículo adicionado por el artículo 1 del Decreto 2443 de 2018. El nuevo texto es el siguiente:> Las sociedades de innovación y tecnología financiera se someterán a las siguientes reglas:
a) Las sociedades de innovación y tecnología financiera no podrán adquirir o poseer a ningún título acciones, cuotas, partes de interés o aportes sociales de carácter cooperativo, en cualquier clase de sociedades o asociaciones.
b) Las sociedades de innovación y tecnología financiera no podrán adquirir acciones de los establecimientos de crédito, las sociedades de servicios financieros o las sociedades de capitalización que posean acciones o cuotas en su capital, ni de sus subordinadas.
NORMAS COMUNES A ESTABLECIMIENTOS DE CRÉDITO, SOCIEDADES COMISIONISTAS DE BOLSA Y BOLSAS DE VALORES.
INVERSIONES EN SOCIEDADES ADMINISTRADORAS DE SISTEMAS DE COMPENSACIÓN Y LIQUIDACIÓN DE DIVISAS.
ARTÍCULO 2.27.1.1.1 AUTORIZACIÓN.
<Fuente original compilada: D. 700/06 Art. 1o.> Los establecimientos de crédito, las sociedades comisionistas de bolsa y las bolsas de valores, podrán poseer acciones en sociedades de servicios técnicos y administrativos cuyo objeto social exclusivo sea la administración de sistemas de compensación y liquidación de divisas, las cuales se encontrarán sujetas a la inspección y vigilancia de la Superintendencia Financiera de Colombia, en los términos del numeral 1 del parágrafo 3 del artículo 75 de la Ley 964 de 2005.
PARÁGRAFO. De conformidad con el inciso 1 del artículo 9 y el artículo 19 de la Ley 964 de 2005, los reglamentos de los sistemas de compensación y liquidación de divisas deberán ser previamente aprobados por la Superintendencia Financiera de Colombia.
NORMAS COMUNES A LOS ESTABLECIMIENTOS BANCARIOS Y A LAS COMPAÑÍAS DE FINANCIAMIENTO.
OPERACIONES DE LEASING HABITACIONAL.
AUTORIZACIÓN PARA REALIZAR OPERACIONES DE LEASING HABITACIONAL Y MODALIDADES.
ARTÍCULO 2.28.1.1.1 AUTORIZACIÓN.
<Fuente original compilada: D. 1787/04 Art. 1o.> De acuerdo con el artículo 1 de la Ley 795 de 2003, por el cual se adiciona el literal n) al numeral 1 del artículo 7 del Estatuto Orgánico del Sistema Financiero, los establecimientos bancarios se encuentran facultados para realizar operaciones de leasing habitacional destinadas a la adquisición de vivienda, en la modalidad de leasing habitacional destinado a la adquisición de vivienda familiar y en la modalidad de leasing habitacional destinado a la adquisición de vivienda no familiar. De igual forma, de conformidad con el régimen general, estas operaciones de leasing también podrán ser realizadas por las compañías de financiamiento.
PARÁGRAFO. Cuando en el presente Libro se haga referencia a "entidades autorizadas" se entenderá que se refiere a los establecimientos bancarios y a las compañías de financiamiento, entidades autorizadas para la realización de operaciones de leasing habitacional en los términos del presente Libro.
<Fuente original compilada: D. 1787/04 Art. 2o. Modificado por el D. 3760/08 Art. 4o.> Se entiende por operación de leasing habitacional destinado a la adquisición de vivienda familiar, el contrato de leasing financiero mediante el cual una entidad autorizada entrega a un locatario la tenencia de un inmueble para destinarlo exclusivamente al uso habitacional y goce de su núcleo familiar, a cambio del pago de un canon periódico; durante un plazo convenido, a cuyo vencimiento el bien se restituye a su propietario o se transfiere al locatario, si este último decide ejercer una opción de adquisición pactada a su favor y paga su valor.
En los términos del artículo 4 de la Ley 546 de 1999 las operaciones y contratos de leasing habitacional destinado a la adquisición de vivienda familiar son un mecanismo del sistema especializado de financiación de vivienda de largo plazo en desarrollo de lo cual, les serán aplicables las reglas previstas en los artículos 11, 12, 13, y 17 numerales 2, 3, 6, 7, 8, 9, 10 y parágrafo de la Ley 546 de 1999, los literales b) y c) del artículo 1o del Decreto 145 de 2000 y lo previsto en el presente decreto.
<Fuente original compilada: D. 1787/04 Art. 3o.> Se entiende por operación de leasing habitacional destinado a la adquisición de vivienda no familiar, el contrato de leasing financiero mediante el cual una parte denominada entidad autorizada entrega a un locatario la tenencia de una vivienda, a cambio del pago de un canon periódico, durante un plazo convenido, a cuyo vencimiento el bien se restituye a su propietario o se transfiere al locatario, si este último decide ejercer una opción de adquisición pactada a su favor y paga su valor.
Las operaciones y contratos de leasing habitacional destinado a la adquisición de vivienda no familiar se regirán por las estipulaciones que pacten las partes en el contrato y por lo previsto en el Capítulo 3 del presente Título.
REGLAS DEL LEASING HABITACIONAL DESTINADO A LA ADQUISICIÓN DE VIVIENDA FAMILIAR.
ARTÍCULO 2.28.1.2.1 REGLAS DEL LEASING HABITACIONAL DESTINADO A LA ADQUISICIÓN DE VIVIENDA FAMILIAR.
<Fuente original compilada: D. 1787/04 Art. 4o.> Las operaciones de leasing habitacional destinado a la adquisición de vivienda familiar se sujetarán a las siguientes reglas:
a) El locatario deberá habitar el inmueble entregado en leasing destinado a la adquisición de vivienda familiar;
b) Los contratos de leasing habitacional deben contemplar una opción de adquisición a favor del locatario;
c) Los límites al costo financiero atenderán los mismos principios aplicables a los créditos individuales de vivienda que se establecen en la Ley 546 de 1999;
d) El valor de ejercicio de la opción de adquisición no podrá ser superior al treinta por ciento (30%) del valor comercial del bien, en pesos o en unidades de valor real UVR, al momento de la celebración del contrato de leasing habitacional. Este límite no operará cuando se trate de operaciones de leasing habitacional cuya finalidad sea lograr acuerdos de cartera o de normalización de créditos de vivienda;
e) El locatario podrá ceder el contrato de leasing habitacional, mediante autorización expresa y escrita de la entidad autorizada, quien previo a su otorgamiento, deberá haber estudiado al futuro locatario para determinar su capacidad para el cumplimiento de las obligaciones del contrato;
f) La entidad autorizada podrá ceder el contrato de leasing habitacional a otra entidad autorizada para la realización de este tipo de operación, sin necesidad de aceptación del locatario. En este caso, la entidad autorizada informará por escrito al locatario el nombre de la entidad a la cual se ha cedido el contrato y la fecha a partir de la cual la cesión se hizo efectiva;
g) El locatario podrá ceder a un tercero su derecho a ejercer la opción de adquisición, la cual solo producirá efectos hasta tanto sea aceptada por la entidad autorizada;
h) La entidad autorizada podrá exigir al locatario las garantías que a su juicio considere necesarias para garantizar el cumplimiento de las obligaciones derivadas del contrato. Dichas garantías tendrán los mismos efectos de una cláusula penal;
i) Los contratos de leasing habitacional podrán pactarse en moneda legal o en unidades de valor real UVR;
j) Los contratos de leasing habitacional deberán celebrarse por escrito;
k) Al inicio del contrato, la entidad autorizada deberá entregar al locatario el bien inmueble libre de gravámenes y a paz y salvo por concepto de impuestos, servicios públicos y administración.
<Fuente original compilada: D. 1787/04 Art. 5o.> Los sistemas de pago deberán sujetarse a las condiciones que establezca la Superintendencia Financiera de Colombia dentro del marco de sus facultades legales.
ARTÍCULO 2.28.1.2.3 CÁNONES EXTRAORDINARIOS.
<Fuente original compilada: D. 1787/04 Art. 6o. Modificado por el D. 3760/08 Art. 5o.> Al inicio o en cualquier momento durante la ejecución del contrato de leasing habitacional destinado a la adquisición de vivienda familiar, se podrán realizar pagos extraordinarios. Los cánones extraordinarios se reflejarán en el contrato de leasing habitacional de la siguiente forma, a elección del locatario:
a) Un menor valor de los cánones;
b) Una reducción del plazo del contrato;
c) Un menor valor de la opción de adquisición.
PARÁGRAFO. Los abonos que se realicen a los contratos de leasing habitacional destinados a la adquisición de vivienda familiar, con el producto de los retiros parciales del auxilio de cesantías de los trabajadores individualmente considerados o sus cónyuges o compañeros permanentes en los términos de la legislación vigente, podrán considerarse como cánones extraordinarios en los términos del presente artículo.
<Fuente original compilada: D. 1787/04 Art. 7o.> En el evento de terminación de un contrato de leasing habitacional destinado a la adquisición de vivienda familiar, se procederá de la siguiente manera:
1. Para los casos en que el locatario decida no ejercer la opción pactada a su favor se seguirá el siguiente procedimiento para efectos de la devolución del canon inicial y de los saldos amortizados al precio de la opción de adquisición del inmueble:
a) El valor del inmueble se calculará de acuerdo con su precio de venta o por el precio pactado en un nuevo contrato de leasing. Si el precio se pactó en UVR, se tomará el valor de la UVR a la fecha en que se suscriba la promesa de compraventa o el nuevo contrato de leasing. Para efectos de lo dispuesto en el presente literal, el locatario podrá presentar a la entidad autorizada personas interesadas en adquirir el bien o en celebrar un nuevo contrato de leasing;
b) Del valor del inmueble calculado conforme lo señalado en el literal anterior, se deducirán los siguientes rubros:
i) Los costos y gastos en que haya incurrido la entidad por concepto de la enajenación o nueva colocación del inmueble, y
ii) El valor de ejercicio de la opción de adquisición pactada en el contrato.
2. Si con anterioridad al vencimiento del plazo previsto en el contrato para ejercer la opción pactada a favor del locatario, se presenta el incumplimiento por parte de éste, se seguirá el siguiente procedimiento para efectos de la devolución del canon inicial y de los saldos amortizados al precio de la opción de adquisición del inmueble:
a) El valor del inmueble se calculará de conformidad con lo señalado en el literal a) del numeral 1 del presente artículo;
b) Del valor del inmueble calculado conforme lo señalado en el literal anterior, se deducirán los siguientes rubros:
i) Los costos y gastos en que haya incurrido la entidad por concepto del incumplimiento del contrato;
ii) El costo financiero generado y no pagado por el locatario;
iii) Las garantías de cumplimiento de las obligaciones del locatario, pactadas a favor de la entidad autorizada;
iv) El componente de capital de los cánones pactados no amortizado, y
v) El valor de ejercicio de la opción de adquisición pactada en el contrato;
c) Como una protección especial para los locatarios, la entidad autorizada podrá darle aplicación unilateral a esta regla sólo después de los noventa (90) días contados a partir de la cesación del pago corriente de los cánones pactados. Si el locatario decide anticipar este plazo se dará aplicación al mismo procedimiento.
3. Para el caso en que las partes decidan dar por terminado el contrato de leasing habitacional por mutuo acuerdo, se seguirá el siguiente procedimiento para efectos de la devolución del canon inicial y de los saldos amortizados al precio de la opción de adquisición del inmueble:
a) El valor del inmueble se calculará de conformidad con lo señalado en el literal a) del numeral 1 del presente artículo;
b) Del valor del inmueble calculado conforme lo señalado en el literal anterior, se deducirán los siguientes rubros:
i) Los costos y gastos en que haya incurrido la entidad por concepto de la terminación anticipada del contrato;
ii) El componente de capital de los cánones pactados no amortizado, y
iii) El valor de ejercicio de la opción de adquisición pactada en el contrato.
PARÁGRAFO. El valor resultante de la liquidación del contrato, si es el caso, será devuelto al locatario por la entidad autorizada dentro de los treinta (30) días siguientes al perfeccionamiento del contrato de compraventa del inmueble o del nuevo contrato de leasing.
DISPOSICIONES COMUNES A LAS DOS MODALIDADES DE LEASING HABITACIONAL.
ARTÍCULO 2.28.1.3.1 PROPIEDAD DEL INMUEBLE.
<Fuente original compilada: D. 1787/04 Art. 8o. Modificado por el D. 3760/08 Art. 6o.> El bien inmueble entregado en leasing habitacional deberá ser de propiedad de la entidad autorizada durante el término del contrato, derecho de dominio que se trasferirá cuando el locatario ejerza la opción de adquisición, pague su valor y se cumplan las normas aplicables sobre tradición de la propiedad. Lo anterior, sin perjuicio de que varias entidades autorizadas entreguen en leasing conjuntamente inmuebles de propiedad común mediante la modalidad de leasing habitacional sindicado.
En todo caso las entidades autorizadas podrán transferir a sociedades titularizadoras o a sociedades fiduciarias los bienes inmuebles objeto de contratos de leasing habitacional, cuando dicha transferencia tenga por objeto el desarrollo de procesos de titularización de flujos derivados de dichos contratos a partir de universalidades o patrimonios autónomos, respectivamente.
ARTÍCULO 2.28.1.3.2 EJERCICIO DE LA OPCIÓN DE ADQUISICIÓN ANTICIPADAMENTE.
<Fuente original compilada: D. 1787/04 Art. 9o.> Las partes podrán acordar el ejercicio de la opción de adquisición anticipadamente, en cuyo caso, deberán estipular en el contrato las condiciones a que estaría sujeto dicho ejercicio.
<Fuente original compilada: D. 1787/04 Art. 10> El contrato de leasing habitacional tendrá como mínimo los siguientes seguros:
a) Seguro contra incendio y terremoto cuya cobertura ampare el bien inmueble;
b) Opcionalmente, el locatario podrá tomar un seguro de vida en los términos que se acuerde con las entidades autorizadas. Por ser optativo, la entidad autorizada deberá informar suficientemente al locatario, al momento de la celebración del contrato de leasing habitacional, el alcance de la cobertura y las consecuencias en el evento de no tomar el amparo.
El locatario podrá tomar los seguros a que haya lugar directamente con las compañías de su elección. No obstante, podrá pactar dentro del contrato de leasing habitacional que las mencionadas pólizas puedan ser tomadas por la entidad autorizada por cuenta del locatario.
ARTÍCULO 2.28.1.3.4 SOLVENCIA Y LÍMITES DE CONCENTRACIÓN DE RIESGO.
<Fuente original compilada: D. 1787/04 Art. 11> Para efectos de activos ponderados por riesgo y límites de concentración de riesgo, el leasing habitacional tendrá el mismo tratamiento señalado para las operaciones de leasing inmobiliario que actualmente realizan las compañías de financiamiento.
ARTÍCULO 2.28.1.3.5 DEBER DE INFORMACIÓN PARA LA PROTECCIÓN DE LOS USUARIOS.
<Fuente original compilada: D. 1787/04 Art. 12> Las entidades autorizadas deberán suministrar anualmente, durante el primer mes de cada año calendario, información suficiente y de fácil comprensión para los locatarios respecto de las condiciones de sus operaciones de leasing habitacional, en los términos que determine la Superintendencia Financiera de Colombia de acuerdo con sus facultades legales.
En todo caso, la información que se suministre debe incluir como mínimo lo siguiente:
a) Una proyección de los cánones a pagar en el año que comienza. Dicha proyección se acompañará de los supuestos que se tuvieron en cuenta para efectuarla y en ella se indicará de manera expresa, que los cambios en tales supuestos, implicarán necesariamente modificaciones en los montos proyectados;
b) La discriminación de los montos imputados al precio del bien, el costo financiero y los seguros pagados por el locatario en el año inmediatamente anterior.
<Fuente original compilada: D. 1787/04 Art. 13> Los contratos de leasing habitacional no requieren elevarse a escritura pública. Solo será necesaria la escritura pública cuando se efectúe la transferencia del dominio del inmueble a título de leasing habitacional, una vez se ejerza la opción de adquisición y se pague su valor.
ARTÍCULO 2.28.1.3.7 TITULARIZACIÓN DE CONTRATOS DE LEASING HABITACIONAL.
<Fuente original compilada: D. 1787/04 Art. 14 Modificado por el D. 3760/08 Art. 7o.> Las entidades autorizadas para realizar contratos de leasing habitacional, las sociedades titularizadoras y las sociedades fiduciarias en su calidad de administradoras de patrimonios autónomos, podrán obrar como originadoras o emisoras, según sea el caso, de títulos representativos de flujos derivados de contratos de leasing habitacional, los cuales para todos los efectos tendrán la condición de títulos hipotecarios. Las condiciones, características y requisitos para la emisión de este tipo de títulos se sujetarán a lo establecido en el artículo 12 de la Ley 546 de 1999, en el artículo 68 de la Ley 964 de 2005, en el Título 10 del Libro 6 de la Parte 5 del presente decreto, en el Capitulo 1 Título 1 del Libro 21 de la Parte 2 del presente decreto y en las demás normas aplicables a la emisión y colocación de títulos hipotecarios para la financiación de vivienda derivados de procesos de titularización de activos hipotecarios.
<Fuente original compilada: D. 1787/04 Art. 15> De conformidad con el literal h) del artículo 299 del Estatuto Orgánico del Sistema Financiero, no forman parte de la masa de la liquidación los bienes dados en leasing habitacional, los cuales se transferirán al locatario cuando ejerza la opción y pague el valor respectivo. Si está pendiente el plazo de ejecución del contrato y el locatario no accede a pagar el valor presente correspondiente, el contrato y el bien serán cedidos a otra entidad legalmente facultada para desarrollar operaciones de leasing habitacional.
ARTÍCULO 2.28.1.3.9 DEFINICIONES.
<Fuente original compilada: D. 1787/04 Art. 16> Para los efectos del presente Libro, las definiciones que se relacionan a continuación tendrán el sentido que aquí se expresa:
a) Precio de la opción de adquisición. Es el precio pactado en el contrato de leasing habitacional que paga el titular de la opción o locatario para tener el derecho de adquirir un inmueble en un plazo determinado;
b) Valor de ejercicio de la opción de adquisición. Es el precio pactado en el contrato de leasing habitacional por el cual el inmueble puede ser adquirido por el titular de la opción o locatario.
OTRAS DISPOSICIONES.
<Fuente original compilada: D. 777/03 Art. 11> a) Los establecimientos bancarios deben examinar la capacidad de pago del potencial locatario, con el objeto de establecer su elegibilidad para ser beneficiario de la prioridad prevista en el Artículo 1o de la Ley 795 de 2003. No obstante, los establecimientos bancarios deben definir y dar a conocer al público los criterios generales de evaluación que le sirven para determinar la capacidad de pago del potencial locatario;
b) Los establecimientos bancarios deberán entregar el inmueble al usuario totalmente al día en materia de impuestos, servicios públicos y administración. A partir de la fecha de celebración del contrato de leasing habitacional, el locatario debe dar cumplimiento a las obligaciones previstas en este decreto y en el respectivo contrato.
LEASING HABITACIONAL DESTINADO A LA ADQUISICIÓN DE VIVIENDA FAMILIAR CON COMPONENTE DE CAPITAL ADMINISTRADO COMO AHORRO DE LARGO PLAZO.
ARTÍCULO 2.28.1.5.1 LEASING HABITACIONAL DESTINADO A LA ADQUISICIÓN DE VIVIENDA FAMILIAR CON COMPONENTE DE CAPITAL ADMINISTRADO COMO AHORRO DE LARGO PLAZO. <Artículo adicionado por el artículo 1 del Decreto 1058 de 2014. El nuevo texto es el siguiente:> Las entidades financieras que se encuentren facultadas para realizar operaciones de leasing habitacional destinadas a la adquisición de vivienda familiar podrán estructurar un producto dirigido a la financiación de Vivienda, en el cual parte del componente de capital de los cánones pactados será administrado por dichas entidades como ahorro de largo plazo a favor de los locatarios.
Al inicio o en cualquier momento durante la ejecución del contrato que corresponde al producto aquí establecido, se podrán realizar pagos extraordinarios, los cuales se sujetarán a las reglas previstas en el artículo 2.28.1.2.3 del presente decreto. En caso de elección de las opciones allí establecidas en los literales a) y b), los pagos extraordinarios solo podrán imputarse a la amortización de capital de que trata el literal a) del artículo 2.28.1.5.2 del presente decreto.
ARTÍCULO 2.28.1.5.2 CANON. <Artículo adicionado por el artículo 1 del Decreto 1058 de 2014. El nuevo texto es el siguiente:> El canon que se fije para el producto de que trata el presente Capítulo, tendrá un componente de costos financieros y un componente de capital. Este último se destinará a cubrir los siguientes conceptos:
a) La amortización periódica de una parte del precio de la opción de adquisición del inmueble;
b) Una parte que será administrada como ahorro de largo plazo. Esta porción del componente de capital se destinará, junto con sus rendimientos, a cubrir total o parcialmente el pago del valor del ejercicio de la opción de adquisición definido en el contrato.
ARTÍCULO 2.28.1.5.3 COMPONENTE DE CAPITAL ADMINISTRADO COMO AHORRO DE LARGO PLAZO. <Artículo adicionado por el artículo 1 del Decreto 1058 de 2014. El nuevo texto es el siguiente:> La parte del componente de capital que sea administrado como ahorro de largo plazo y sus rendimientos, tendrán las siguientes características:
a) Su valor deberá estimarse partiendo del supuesto de que, al final del periodo pactado, el locatario haya ahorrado parte o todo el valor del ejercicio de la opción de adquisición definido en el contrato;
b) El componente de capital administrado como ahorro de largo plazo debe ser remunerado por la entidad financiera autorizada, a favor del locatario, de manera que preserve el poder adquisitivo de este ahorro, y por el periodo en el cual sea administrado;
c) En caso de que el locatario decida ejercer la opción de adquisición pactada a su favor y lo administrado como ahorro de largo plazo y sus rendimientos no cubran la totalidad del valor del ejercicio de dicha opción, el locatario deberá pagar el valor restante para el ejercicio de esta.
Lo anterior, sin perjuicio de lo previsto en el artículo 2.28.1.5.7 del presente decreto;
d) No podrá ser empleado por la entidad financiera para compensar los componentes de costos financieros y de capital vencidos, ni cualquier otra obligación que el locatario tenga con la respectiva entidad, excepto en los casos y términos previstos en el artículo 2.28.1.5.7 del presente decreto;
e) Deberán ser administrados por la entidad financiera autorizada en cuentas independientes para cada locatario;
f) En caso de incumplimiento del pago de los cánones pactados, incluyendo el de la parte del componente de capital que sea administrado como ahorro de largo plazo, aplicarán las reglas de reportes de información ante los Bancos de Datos.
ARTÍCULO 2.28.1.5.4 SISTEMA DE AMORTIZACIÓN. <Artículo adicionado por el artículo 1 del Decreto 1058 de 2014. El nuevo texto es el siguiente:> Atendiendo lo establecido en el numeral 7 del artículo 17 de la Ley 546 de 1999, la Superintendencia Financiera de Colombia aprobará el sistema de amortización para el producto de que trata el presente Capítulo.
ARTÍCULO 2.28.1.5.5 APROBACIÓN DEL PRODUCTO Y REMUNERACIÓN DEL COMPONENTE DE CAPITAL ADMINISTRADO COMO AHORRO DE LARGO PLAZO. <Artículo adicionado por el artículo 1 del Decreto 1058 de 2014. El nuevo texto es el siguiente:> La creación del producto de que trata el presente Capítulo deberá ser aprobada por la Junta Directiva de la entidad o el órgano que haga sus veces, para lo cual se deberá tener en cuenta, como mínimo, la viabilidad y sostenibilidad financiera del producto.
Dicho órgano deberá definir la tasa de interés que se reconocerá sobre el componente de capital administrado como ahorro de largo plazo, así como su forma y periodicidad de liquidación, de manera que preserve el poder adquisitivo de este ahorro.
ARTÍCULO 2.28.1.5.6 DEBER DE INFORMACIÓN. <Artículo adicionado por el artículo 1 del Decreto 1058 de 2014. El nuevo texto es el siguiente:> Adicional a lo previsto en el artículo 2.28.1.3.5 del presente decreto, las entidades financieras que estructuren el producto de que trata el presente Capítulo, deberán suministrar a los locatarios con la misma periodicidad, información suficiente y de fácil comprensión, entre otra, sobre la composición de los cánones pactados, forma de aplicación de pagos de los cánones del año inmediatamente anterior, monto total del componente de capital administrado como ahorro de largo plazo, rentabilidad causada sobre el mismo y su tasa de interés.
Además, previo a la firma del contrato la entidad deberá suministrar al locatario información clara y suficiente sobre la naturaleza y características del producto a adquirir, en especial sobre los deberes y derechos de las partes, la condición prevista en el parágrafo 1o del artículo 2.28.1.5.7 del presente decreto, y en general todos los aspectos que le permitan conocer al locatario los costos del producto.
ARTÍCULO 2.28.1.5.7 TERMINACIÓN DEL CONTRATO. <Artículo adicionado por el artículo 1 del Decreto 1058 de 2014. El nuevo texto es el siguiente:> En caso de que el locatario decida no ejercer la opción pactada a su favor, o si con anterioridad al vencimiento del plazo previsto en el contrato para ejercer la opción pactada a favor del locatario, se presenta el incumplimiento por parte de este, o si las partes deciden dar por terminado el contrato de leasing habitacional por mutuo acuerdo, se aplicarán en cada caso las reglas previstas en el artículo 2.28.1.2.4 del presente decreto. En estos eventos, el componente de capital que sea administrado como ahorro de largo plazo, hará parte de los recursos sobre los cuales se realizarán los descuentos que cubran la deducción de los respectivos rubros en la liquidación del contrato.
PARÁGRAFO 1o. Los recursos correspondientes al componente de capital administrado como ahorro de largo plazo solo podrán ser devueltos al locatario por la entidad autorizada en los casos y en las condiciones previstas en el presente artículo.
PARÁGRAFO 2o. En los casos previstos en el presente artículo, podrá estipularse en el respectivo contrato la pérdida parcial o total de los rendimientos acreditados o devengados sobre el componente de capital administrado como ahorro de largo plazo.
ARTÍCULO 2.28.1.5.8 APLICACIÓN NORMATIVA. <Artículo adicionado por el artículo 1 del Decreto 1058 de 2014. El nuevo texto es el siguiente:> En lo no previsto en el presente Capítulo, se aplicarán las disposiciones contenidas en el Libro 28 de la Parte 2 del presente decreto respecto de la modalidad de leasing habitacional destinado a la adquisición de vivienda familiar, así como las reglas previstas en los artículos 11, 12, 13, y 17 numerales 2, 3, 6, 7, 8, 9, 10 y parágrafo de la Ley 546 de 1999, y los literales b) y c) del artículo 1o del Decreto número 145 de 2000
OTRAS OPERACIONES DE LEASING.
ARTÍCULO 2.28.2.1.1 DEFINICIÓN DE ARRENDAMIENTO FINANCIERO O LEASING FINANCIERO. <Artículo reubicado por el artículo 62 del Decreto 1745 de 2020. El nuevo texto es el siguiente:> Entiéndase por operación de arrendamiento financiero la entrega a título de arrendamiento de bienes adquiridos para el efecto financiando su uso y goce a cambio del pago de cánones que recibirá durante un plazo determinado, pactándose para el arrendatario la facultad de ejercer al final del período una opción de compra.
En consecuencia, el bien deberá ser de propiedad del arrendador, derecho de dominio que conservará hasta tanto el arrendatario ejerza la opción de compra. Así mismo debe entenderse que el costo del activo dado en arrendamiento se amortizará durante el término de duración del contrato, generando la respectiva utilidad.
ARTÍCULO 2.28.2.1.2 REGLAS PARA LA REALIZACIÓN DE OPERACIONES. <Artículo reubicado por el artículo 62 del Decreto 1745 de 2020. El nuevo texto es el siguiente:> Con el fin de que las operaciones de arrendamiento financiero se realicen de acuerdo con su propia naturaleza los establecimientos bancarios y las compañías de financiamiento se sujetarán a las siguientes reglas:
a) Los bienes que se entreguen en arrendamiento financiero deberán ser de propiedad del arrendador. Lo anterior sin perjuicio de que varios establecimientos bancarios o compañías de financiamiento arrienden conjuntamente bienes de propiedad de uno de ellos mediante la modalidad de arrendamiento financiero sindicado. En consecuencia, los establecimientos bancarios y las compañías de financiamiento no podrán celebrar contratos de arrendamiento financiero en los cuales intervengan terceros que actúen como copropietarios del bien o bienes destinado a ser entregados a tal título.
b) No podrán asumir el mantenimiento de los bienes entregados en arrendamiento financiero ni fabricar o construir bienes muebles o inmuebles.
c) El contrato de lease back o retroarriendo sólo podrá versar sobre activos fijos productivos, equipos de cómputo, maquinaria o vehículos de carga o de transporte público, o sobre bienes inmuebles; el valor de compra del bien objeto del contrato deberá cancelarse de contado.
d) El arrendamiento financiero no podrá versar sobre documentos de contenido crediticio, patrimonial, de participación o representativos de mercaderías, tengan éstos o no el carácter de títulos valores.
ARTÍCULO 2.28.2.1.3 CORRETAJE EN OPERACIONES DE ARRENDAMIENTO FINANCIERO. <Artículo reubicado por el artículo 62 del Decreto 1745 de 2020. El nuevo texto es el siguiente:> Los establecimientos bancarios y las compañías de financiamiento también podrán actuar como corredores en operaciones de arrendamiento financiero que versen sobre bienes que sociedades del mismo género, constituidas conforme a la ley de otro país y con domicilio principal en el exterior, exporten para ser entregados en arrendamiento a personas residentes en Colombia.
En todo caso, la actuación como corredores no podrá dar lugar a responsabilidad alguna para los establecimientos bancarios o compañías de financiamiento y en desarrollo de la misma no podrán actuar como representantes en negocios jurídicos de esta naturaleza, en nombre de cualquiera de las partes intervinientes, tomar posición propia o proveer de financiación a los intervinientes en tales operaciones.
PARÁGRAFO. Lo dispuesto en este artículo se entiende sin perjuicio de que residentes en el país celebren en el exterior contratos de arrendamiento con sociedades constituidas conforme a la ley extranjera, con sujeción al régimen de cambios internacionales.
ARTÍCULO 2.28.2.1.4 CONTRATOS DE ARRENDAMIENTO SIN OPCIÓN DE COMPRA. <Artículo reubicado por el artículo 62 del Decreto 1745 de 2020. El nuevo texto es el siguiente:> Los establecimientos bancarios y las compañías de financiamiento podrán, igualmente celebrar contratos de arrendamiento sin opción de compra, los cuales se sujetarán a las disposiciones comunes sobre el particular.
ARTÍCULO 2.28.2.1.5 ACTIVIDADES EN OPERACIONES DE LEASING INTERNACIONAL. <Artículo reubicado por el artículo 62 del Decreto 1745 de 2020. El nuevo texto es el siguiente:> En las operaciones de leasing internacional los establecimientos bancarios y las compañías de financiamiento podrán efectuar la revisión de los documentos referentes a la celebración de los contratos de leasing, la gestión de cobro de la cartera proveniente de dichos contratos, y la canalización de la información requerida para el desarrollo de los mismos.
ARTÍCULO 2.28.2.1.6 OPERACIONES DE LEASING INTERNACIONAL. <Artículo reubicado por el artículo 62 del Decreto 1745 de 2020. El nuevo texto es el siguiente:> Autorizase a los establecimientos bancarios y a las compañías de financiamiento a participar, en calidad de copropietarios con compañías de leasing extranjeras en operaciones de leasing internacional realizadas entre un locatario nacional y la compañía de leasing extranjera, hasta en un quince por ciento (15%) del costo del bien.
ARTÍCULO 2.28.2.1.7 LEASING DE EXPORTACIÓN. <Artículo reubicado por el artículo 62 del Decreto 1745 de 2020. El nuevo texto es el siguiente:> Los establecimientos bancarios y las compañías de financiamiento podrán realizar operaciones de leasing en las cuales el bien sea exportado, sujetándose al régimen de cambios internacionales.
Los ingresos provenientes de dichas operaciones tendrán el carácter de exportación de bienes y servicios para todos los efectos legales.
La exportación a que se refiere el inciso anterior, se realizará bajo la modalidad de exportación temporal para reimportación en el mismo estado cuando no se ejerza la opción de compra. En este caso la reimportación deberá efectuarse dentro de los seis (6) meses siguientes al finalizar la operación de leasing internacional.
ARTÍCULO 2.28.2.1.8 SUBARRENDAMIENTO FINANCIERO (SUBLEASING). <Artículo reubicado por el artículo 62 del Decreto 1745 de 2020. El nuevo texto es el siguiente:> Los establecimientos bancarios y las compañías de financiamiento podrán recibir de las sociedades de leasing extranjeras, bienes de leasing para ser entregados en calidad de subarrendamiento financiero, a personas domiciliadas o residentes en Colombia.
En este evento, el establecimiento bancario o la compañía de financiamiento deberá estar expresamente autorizado por la sociedad de leasing extranjera para entregar el bien en subarriendo.
ARTÍCULO 2.28.2.1.9 LEASING EN COPROPIEDAD. <Artículo reubicado por el artículo 62 del Decreto 1745 de 2020. El nuevo texto es el siguiente:> Varios establecimientos bancarios o compañías de financiamiento podrán entregar conjuntamente en arrendamiento financiero, bienes respecto de los cuales sean copropietarios.
NORMAS COMUNES A ESTABLECIMIENTOS BANCARIOS Y CORPORACIONES FINANCIERAS.
COTIZACIONES EN FIRME Y COLOCACIÓN DE TÍTULOS DE DEUDA PÚBLICA DE LA NACIÓN.
ARTÍCULO 2.29.1.1.1 COTIZACIONES EN FIRME DE COMPRA Y VENTA DE TÍTULOS DE DEUDA PÚBLICA.
<Fuente original compilada: D. 1638/96 Art. 1o.> En adición a las operaciones autorizadas, los establecimientos bancarios y las corporaciones financieras están autorizados para realizar por cuenta propia cotizaciones en firme de compra y venta de títulos de deuda pública de la Nación.
ARTÍCULO 2.29.1.1.2 COLOCACIÓN DE TÍTULOS DE DEUDA PÚBLICA EMITIDOS POR LA NACIÓN.
<Fuente original compilada: D. 1638/96 Art. 2o.> En adición a las operaciones autorizadas, los establecimientos bancarios están facultados para colocar títulos de deuda pública emitidos por la Nación, pudiendo o no garantizar la colocación del total o de una parte de tales emisiones o tomando la totalidad o una parte de la emisión para colocarla por su cuenta y riesgo.
NORMAS COMUNES A LOS INTERMEDIARIOS DE SEGUROS, REASEGUROS Y CAPITALIZACIÓN.
INTERMEDIARIOS DE SEGUROS Y REASEGUROS.
CONDICIONES GENERALES DEL EJERCICIO DE LA ACTIVIDAD.
ARTÍCULO 2.30.1.1.1 RÉGIMEN APLICABLE.
<Fuente original compilada: D. 2605/93 Art. 1o.> Los intermediarios de seguros y reaseguros se encuentran sometidos a las disposiciones generales que regulan su actividad y a las normas especiales de los Capítulos 1, 2 y 3 del presente Título.
ARTÍCULO 2.30.1.1.2 PERSONAS AUTORIZADAS.
<Fuente original compilada: D. 2605/93 Art. 2o.> La actividad de intermediación de seguros y reaseguros está reservada a las sociedades corredoras de seguros, a las sociedades corredoras de reaseguros, a las agencias colocadoras de seguros y a los agentes colocadores de pólizas de seguro, de acuerdo con su especialidad. La actividad de los intermediarios de seguros y reaseguros no inhabilita a las entidades aseguradoras para aceptar y ceder riesgos directamente, sin intervención de los intermediarios.
Artículo 2.30.1.1.3. Idoneidad de directores y administradores de sociedades corredoras. <Artículo modificado por el artículo 1 del Decreto 2123 de 2018. El nuevo texto es el siguiente:>
Son idóneos para actuar en calidad de director o administrador de una sociedad corredora de seguros o de reaseguros, las personas que manejan sus negocios de acuerdo con las sanas prácticas comerciales, financieras y de seguros y posean conocimientos suficientes sobre la actividad de intermediación de seguros o reaseguros.
ARTÍCULO 2.30.1.1.4 COMISIONES.
<Fuente original compilada: D. 2605/93 Art. 4o.> La determinación de las comisiones, formas de pago y demás condiciones se hará de conformidad con los convenios que libremente celebren intermediarios y entidades aseguradoras. La agencia de seguros desarrollará su actividad en beneficio de la entidad aseguradora con la cual haya celebrado el respectivo convenio, sin perjuicio de la estipulación expresa que la faculte para desarrollar su actividad en beneficio de otras entidades aseguradoras para negocios ocasionales.
ARTÍCULO 2.30.1.1.5 RESPONSABILIDAD DE LAS ENTIDADES ASEGURADORAS.
<Fuente original compilada: D. 2605/93 Art. 5o.> Las actuaciones de los agentes y agencias de seguros en el ejercicio de su actividad obligan a la entidad aseguradora respecto de la cual se hubiere promovido el contrato, mientras el intermediario continúe vinculado a ésta.
PRESUPUESTOS PARA LA SUPERVISIÓN.
ARTÍCULO 2.30.1.2.1 MONTO MÍNIMO DE COMISIONES.
<Fuente original compilada: D. 2605/93 Art. 6o.> El monto mínimo de las comisiones causadas durante cada ejercicio anual por las agencias de seguros sujetas al control de la Superintendencia Financiera de Colombia será la suma equivalente a mil seiscientos (1.600) salarios mínimos legales mensuales vigentes a la fecha del respectivo corte.
ARTÍCULO 2.30.1.2.2 INTERMEDIARIOS SUJETOS A SUPERVISIÓN PERMANENTE.
<Fuente original compilada: D. 2605/93 Art. 7o.> Las sociedades corredoras de seguros, las sociedades corredoras de reaseguros y las agencias que al corte de cada ejercicio anual hubieren causado a título de comisiones una suma por lo menos igual a la señalada en el artículo 2.30.1.2.1, se encuentran sujetos al control y vigilancia permanente de la Superintendencia Financiera de Colombia y deberán obtener previamente al ejercicio de la actividad, la inscripción ante dicho organismo.
Las agencias de seguros que en virtud del monto de comisiones causadas durante el ejercicio anual ingresen posteriormente a la supervisión permanente de la Superintendencia Financiera de Colombia, deberán solicitar su inscripción dentro de los veinte (20) primeros días del mes de enero siguiente al corte en el cual las mismas se causaron. La Superintendencia Financiera de Colombia podrá otorgar una autorización provisional que no excederá en ningún caso de dos (2) meses, mientras se acreditan todos los requisitos para obtener la inscripción.
ARTÍCULO 2.30.1.2.3 INCUMPLIMIENTO DE LA OBLIGACIÓN DE INSCRIBIRSE.
<Fuente original compilada: D. 2605/93 Art. 8o.> Las agencias de seguros que incumplan la obligación señalada en el artículo anterior quedarán inhabilitadas para el ejercicio de la actividad, a partir del vencimiento del término establecido para solicitar su inscripción.
ARTÍCULO 2.30.1.2.4 INTERMEDIARIOS NO SUJETOS A SUPERVISIÓN PERMANENTE.
<Fuente original compilada: D. 2605/93 Art. 9o.> Las agencias de seguros que durante el ejercicio anual hayan causado comisiones inferiores al monto mínimo señalado en el artículo 2.30.1.2.1, no se encuentran sujetos al control y vigilancia permanente de la Superintendencia Financiera de Colombia. Si a la fecha del respectivo corte tales intermediarios se encontraren bajo vigilancia y control, quedarán exentos de dicha supervisión, previa demostración mediante los estados financieros del ejercicio anual respectivo.
ARTÍCULO 2.30.1.2.5 INFORMACIÓN DE AGENTES Y AGENCIAS.
<Fuente original compilada: D. 2605/93 Art. 10> Las entidades aseguradoras deberán llevar un registro de los agentes y de las agencias con ellos vinculados que no se encuentren sujetos al control y vigilancia permanente de la Superintendencia Financiera de Colombia, y deberán mantener a disposición de este organismo, en la propia compañía, la información que acredite dicho registro.
ARTÍCULO 2.30.1.2.6 RÉGIMEN SANCIONATORIO.
<Fuente original compilada: D. 2605/93 Art. 11> La Superintendencia Financiera de Colombia podrá imponer las sanciones previstas en la ley al intermediario no sujeto a supervisión permanente cuando compruebe, por cualquier medio, que en el ejercicio de su actividad éste ha violado una norma a la cual debe estar sometido.
INTERMEDIARIOS DE CAPITALIZACIÓN.
ARTÍCULO 2.30.1.3.1 RÉGIMEN APLICABLE.
<Fuente original compilada: D. 2605/93 Art. 14> Lo dispuesto en los Capítulos 1, 2 y 3 del presente Título se aplica a los intermediarios de títulos de capitalización en todos aquellos aspectos que comprendan a los agentes y agencias de seguros. Las sociedades de capitalización igualmente quedan sometidas al presente régimen, en los mismos términos que las entidades aseguradoras.
CAPITAL MÍNIMO Y SISTEMA DE GARANTIAS A LOS CUALES DEBEN SOMETERSE LAS SOCIEDADES CORREDORAS DE REASEGUROS.
ARTÍCULO 2.30.1.4.1 CAPITAL PAGADO.
<Fuente original compilada: D. 1866/92 Art. 1o.> El monto mínimo de capital pagado que deberán acreditar las sociedades corredoras de reaseguros para solicitar su inscripción ante la Superintendencia Financiera de Colombia, será de veinte millones de pesos ($ 20.000.000). Este monto se ajustará anualmente, en forma automática, en el mismo sentido y porcentaje en que varíe el índice de precios al consumidor que suministre el DANE.
ARTÍCULO 2.30.1.4.2 MONTOS ABSOLUTOS DE CAPITAL MINIMO PARA LAS ENTIDADES EN FUNCIONAMIENTO.
<Fuente original compilada: D. 1866/92 Art. 2o.> Las sociedades inscritas como corredoras de reaseguros deberán comprobar ante la Superintendencia Financiera de Colombia, con anterioridad al 30 de junio de cada año, un capital pagado y reserva legal no inferiores, en su sumatoria, al monto que resulte mayor entre la cantidad indicada en el artículo precedente y el ocho por ciento (8%) de las comisiones causadas durante el ejercicio anual inmediatamente anterior.
ARTÍCULO 2.30.1.4.3 PAGO DEL CAPITAL.
<Fuente original compilada: D. 1866/92 Art. 3o.> Los aportes de capital así como los incrementos del mismo, deberán acreditarse en los términos del artículo 269 del Código de Comercio.
ARTÍCULO 2.30.1.4.4 SISTEMA DE GARANTIAS.
<Fuente original compilada: D. 1866/92 Art. 4o.> Las sociedades corredoras de reaseguros deberán suscribir y mantener pólizas de seguros que cubran los siguientes eventos:
1. Los perjuicios patrimoniales que cause el corredor de reaseguros con motivo de la responsabilidad civil en que incurra de acuerdo con la ley colombiana, por las pérdidas económicas causadas a terceros como consecuencia de errores u omisiones cometidos por la sociedad o sus dependientes en el ejercicio de la actividad propia de su objeto social.
2. Las pérdidas, daños y gastos que sufra el corredor de reaseguros como consecuencia de actos fraudulentos de sus empleados o dependientes, pérdidas de dinero y valores, causados por su destrucción o desaparición o hurto mientras se encuentren en los predios del asegurado o fuera de ellos o cuando estén siendo transportados por mensajeros o compañías especializadas en el transporte de valores.
Las sumas aseguradas de las pólizas señaladas precedentemente deberán ser equivalentes, cuando menos, al cinco por ciento (5%) del monto promedio de los valores asegurados en los contratos celebrados con su concurso, para la primera, así como de las primas recaudadas, para la segunda.
NORMAS COMUNES A ENTIDADES ASEGURADORAS Y SOCIEDADES DE CAPITALIZACIÓN.
ASPECTOS PRUDENCIALES APLICABLES A LAS ENTIDADES ASEGURADORAS.
PATRIMONIO REQUERIDO PARA LA OPERACIÓN DE LOS RAMOS DE SEGURO Y CAPITAL MÍNIMO QUE DEBEN ACREDITAR LAS ENTIDADES ASEGURADORAS QUE TENGAN COMO OBJETO EXCLUSIVO EL OFRECIMIENTO DEL RAMO DE SEGURO DE CRÉDITO A LA EXPORTACIÓN.
ARTÍCULO 2.31.1.1.1 PATRIMONIO REQUERIDO POR RAMOS DE SEGURO.
<Fuente original compilada: D. 1222/03 Art. 1o.> Para efectos de lo dispuesto en el numeral primero del artículo 80 de Estatuto Orgánico del Sistema Financiero, a partir del 1o de enero del año 2004, las compañías y las cooperativas de seguro, con excepción de aquellas que efectúen actividades propias de las compañías reaseguradoras y de aquellas que tengan como objeto exclusivo el ofrecimiento del ramo de seguro de crédito a la exportación, deberán acreditar y mantener en adición a la suma indicada en el mencionado artículo, el monto de patrimonio requerido por cada ramo de seguros autorizado, tal como se indica a continuación:
| Automoviles | $1800.000.000 |
| Crédito a la exportación | $1.400.000.000 |
| SOAT | $1.100.000.000 |
| Incendio y/o terremoto y/o lucro cesante | $1.100.000.000 |
| Cumplimiento | $1.100.000.000 |
| Transporte | $600.000.000 |
| Vida individual | $1.000.000.000 |
| Previsionales de invalidez y sobrevivencia | $1.000.000.000 |
| Pensiones Ley 100 (excluye planes alternativos de capitalización y pensión) | $2.400.000.000 |
| Pensiones voluntarias y/o con conmutación pensional (excluye planes alternativos de capitalización y pensión) | $1.800.000.000 |
| Riesgos profesionales | $1.600.000.000 |
| Enfermedades de alto costo | $1.000.000.000 |
| Vida grupo | $1.000.000.000 |
| Demás ramos de seguros | $ 600.000.000 |
ARTÍCULO 2.31.1.1.2 AJUSTE ANUAL DEL PATRIMONIO REQUERIDO POR RAMOS DE SEGURO.
<Fuente original compilada: D. 1222/03 Art. 2o.> Los montos de patrimonio requerido por ramos señalados en el artículo anterior, deberán ajustarse anualmente en forma automática, en el mismo sentido y porcentaje en que varíe el índice de precios del consumidor que suministre el DANE. El valor resultante se aproximará al múltiplo en millones de pesos inmediatamente superior. El primer ajuste se realizará el 1o de enero de 2004, tomando como base la variación del índice de precios al consumidor durante el año 2003.
<Fuente original compilada: D. 1222/03 Art. 3o.> Las compañías o cooperativas de seguros que tengan como objeto exclusivo el ofrecimiento del ramo de seguro de crédito a la exportación, deberán acreditar como capital mínimo la suma equivalente a catorce mil seiscientos noventa y seis (14.696) salarios mínimos legales mensuales vigentes.
El capital mínimo de funcionamiento resultará de la sumatoria de las cuentas patrimoniales definidas en el numeral 4 del artículo 80 del Estatuto Orgánico del Sistema Financiero.
PARÁGRAFO. El valor resultante se aproximará al múltiplo en millones de pesos inmediatamente superior.
RÉGIMEN DE PATRIMONIO ADECUADO DE LAS ENTIDADES ASEGURADORAS.
ARTÍCULO 2.31.1.2.1. PATRIMONIO TÉCNICO.
<Artículo modificado por el artículo 1 del Decreto 1349 de 2019. El nuevo texto es el siguiente:> Las entidades aseguradoras deben mantener permanentemente y acreditar ante la Superintendencia Financiera de Colombia en la forma y plazos que esta determine, un patrimonio técnico equivalente como mínimo al nivel de patrimonio adecuado establecido en el presente Capítulo.
Para los fines a que se refiere el presente artículo el patrimonio técnico corresponde a la suma del patrimonio básico ordinario neto de deducciones, el patrimonio básico adicional y el patrimonio adicional, calculados en los términos señalados en los artículos siguientes.
Los criterios de pertenencia a los diferentes niveles de patrimonio serán los siguientes:
1. Criterios de pertenencia al patrimonio básico ordinario. Para que una acción o un instrumento de deuda se pueda acreditar como patrimonio básico ordinario deberá cumplir con los criterios que se enumeran a continuación:
1.1. Suscrito y efectivamente pagado. El instrumento debe corresponder a capital suscrito y efectivamente pagado. En el caso de instrumentos de deuda los instrumentos deben ser autorizados, colocados y pagados.
1.2. Subordinación calificada. Incorpora un derecho sobre los activos residuales en proporción a su participación en el capital suscrito, una vez atendidos el pago de los pasivos por contratos de seguros y los demás pasivos del balance contable en caso de liquidación. Los derechos no pueden estar garantizados, asegurados, ni tener arreglo alguno que incrementen su categoría o grado de subordinación.
1.3. Perpetuidad.
1.3.1. Las acciones que componen el Patrimonio Básico Ordinario, solamente se pagan en caso de una liquidación.
1.3.2. Se considera que un instrumento de deuda cumple este criterio si su redención está condicionada a la liquidación del emisor. Dichos instrumentos podrán redimirse, pagarse o recomprarse anticipadamente, una vez transcurridos cinco (5) años contados a partir del momento de su emisión, siempre y cuando se cumplan los siguientes requisitos.
1.3.2.1. El emisor deberá obtener, previo al momento de realizar la redención, pago o recompra, autorización de la Superintendencia Financiera de Colombia.
1.3.2.2. Deberán sustituirse por instrumentos de capital que pertenezcan al Patrimonio Básico Ordinario, y dicha sustitución debe efectuarse en condiciones de sostenibilidad para la capacidad de generación de ingresos del emisor. Este requisito puede exceptuarse si la entidad demuestra que, después de realizar de forma anticipada la redención, el pago o la recompra, seguirá contando con recursos suficientes para dar cumplimiento a la condición establecida en el inciso primero del presente artículo.
1.3.2.3. El emisor deberá abstenerse de generar expectativas sobre la redención, el pago o la recompra anticipada de instrumentos de deuda.
1.3.2.4. El emisor deberá cumplir los requerimientos mínimos de capital de funcionamiento una vez realizada la redención, pago o recompra.
1.3.3. Los instrumentos de deuda que pertenezcan al Patrimonio Básico Ordinario podrán contemplar la redención, el pago o la recompra anticipada antes de cinco (5) años, previa autorización de la Superintendencia Financiera de Colombia, cuando se presente alguno de los siguientes eventos:
1.3.3.1. Cuando se presente una modificación al presente Título que implique que el instrumento no cumpla los criterios de pertenencia al Patrimonio Básico Ordinario.
1.3.3.2. Cuando una modificación a la normativa tributaria implique un cambio en el tratamiento de los flujos del instrumento en las bases fiscales.
1.4. Condicionalidad del pago.
1.4.1 En el caso de las acciones, el dividendo no debe contener características de pago obligatorio o preferencial bajo ninguna circunstancia, más allá de las previstas en los artículos 155 y 454 del Código de Comercio y en el artículo 63 de la Ley 222 de 1995, con excepción de lo previsto en el numeral 3 del mencionado artículo 63. Sólo se pueden pagar dividendos de elementos distribuibles y no podrá ser un dividendo acumulativo.
Además, el prospecto debe indicar que cuando la entidad aseguradora no cumpla con la condición establecida en el primer inciso del presente artículo y hasta tanto no se restablezca su cumplimiento, la entidad tendrá las siguientes limitaciones:
1.4.1.1. Limitación a la distribución de utilidades o excedentes.
1.4.1.2. La suspensión temporal del pago de dividendos.
1.4.2 En el caso de los instrumentos de deuda, estos deberán incorporar una cláusula que permita no realizar el pago del cupón, en caso de que el emisor no cumpla con la condición establecida en el primer inciso del presente artículo o si como resultado del pago no la cumpliere. De igual forma, los instrumentos podrán incluir una cláusula que permita el ajuste periódico de la tasa base a la que se encuentre indexado el cupón de acuerdo con la periodicidad que se establezca en el prospecto, pero dicho ajuste no podrá basarse en función de la solvencia crediticia del emisor. En el caso de que el emisor opte por el no pago de cupones, el prospecto de emisión del instrumento deberá disponer que este evento no constituye un incumplimiento por parte del emisor y no podrá contemplar la acumulación de pagos con otros cupones.
En caso de que el emisor no cumpla con la condición establecida en el primer inciso del presente artículo o si como resultado del pago no la cumpliere, solo podrán pagarse cupones siempre y cuando se observen todos los siguientes requisitos:
1.4.2.1. El emisor deberá obtener, previo al momento de realizar la redención, pago o recompra, autorización de la Superintendencia Financiera de Colombia.
1.4.2.2. Que el pago del cupón no debilite más la condición del inciso primero del presente artículo.
1.4.2.3. Que después del pago el emisor cumpla los requerimientos mínimos de capital de funcionamiento.
1.5. No financiado por la entidad. La compra del instrumento no puede haber sido financiada por la entidad ni por alguna institución vinculada.
1.6. Absorción de pérdidas. Los instrumentos deben tener capacidad de absorber pérdidas. Para el reconocimiento de instrumentos de deuda, en su prospecto de emisión se debe contemplar alguno de los siguientes mecanismos de absorción de pérdidas:
1.6.1. Conversión en acciones que cumplan los criterios para hacer parte del Patrimonio Básico Ordinario. En el prospecto de emisión se deberá establecer si dicha conversión se dará en acciones ordinarias o privilegiadas y se determinará la metodología de conversión del instrumento. En todo momento el emisor deberá mantener un nivel de capital autorizado que permita llevar a cabo la conversión a dichas acciones.
1.6.2. Mecanismo de amortización permanente que asigne las pérdidas al instrumento, el cual será total mientras no se cumpla con la condición establecida en el primer inciso del presente artículo.
El mecanismo de absorción de pérdidas que se adopte se activará en caso de presentar un patrimonio técnico menor a un porcentaje del patrimonio adecuado establecido en el presente Capítulo señalado por el emisor en el prospecto de emisión del instrumento, el cual no podrá ser inferior al 75%. En todo caso, el mecanismo de absorción de pérdidas deberá activarse cuando el cumplimiento de la condición establecida en el primer inciso del presente artículo no se restablezca en un plazo de tres meses desde la fecha en que se haya observado por primera vez dicho incumplimiento, o de manera inmediata cuando la entidad no cumpla los requerimientos mínimos de capital de funcionamiento de manera previa a la adopción de una orden de capitalización. De igual manera, dicho mecanismo se activará cuando la Superintendencia Financiera de Colombia así lo determine.
2. Criterios de pertenencia al patrimonio básico adicional. Para que una acción o un instrumento de deuda se pueda acreditar como patrimonio básico adicional deberá cumplir con los criterios que se enumeran a continuación:
2.1. Suscrito y efectivamente pagado. El instrumento debe corresponder a capital suscrito y efectivamente pagado. En el caso de deuda los instrumentos deben ser autorizados y colocados.
2.2. Subordinación adicional. Incorpora un derecho sobre los activos residuales en caso de liquidación, una vez atendido el pago de los pasivos por contratos de seguros, de los demás pasivos externos y de los instrumentos que hagan parte del Patrimonio Adicional. Los derechos no pueden estar garantizados, asegurados, ni tener arreglo alguno que incrementen su categoría o grado de subordinación.
2.3. Vocación de permanencia.
2.3.1. Las acciones que componen el Patrimonio Básico Adicional, solamente se pagan en caso de una liquidación.
2.3.2. En el caso de instrumento de deuda se considera que cumple este criterio si su vencimiento desde la fecha de emisión es de al menos diez (10) años. Dichos instrumentos podrán redimirse, pagarse o recomprarse anticipadamente, una vez transcurridos cinco (5) años contados a partir del momento de su emisión, siempre y cuando se cumplan los siguientes requisitos:
2.3.2.1. El emisor deberá obtener, previo al momento de realizar la redención, pago o recompra, autorización de la Superintendencia Financiera de Colombia.
2.3.2.2. Deberán sustituirse por instrumentos de capital que pertenezcan al Patrimonio Básico Ordinario o al Patrimonio Básico Adicional, y dicha sustitución debe efectuarse en condiciones de sostenibilidad para la capacidad de generación de ingresos del emisor. Este requisito puede exceptuarse si la entidad demuestra que, después de realizar de forma anticipada la redención, el pago o la recompra, seguirá contando con recursos suficientes para dar cumplimiento a la condición establecida en el inciso primero del presente artículo.
2.3.2.3 El emisor deberá abstenerse de generar expectativas sobre la redención, el pago o la recompra anticipada de instrumentos de deuda.
2.3.2.4. El emisor deberá cumplir los requerimientos mínimos de capital de funcionamiento una vez realizada la redención, pago o recompra.
2.3.3. Los instrumentos de deuda que pertenezcan al Patrimonio Básico Adicional podrán contemplar la redención, el pago o la recompra anticipada antes de cinco (5) años, previa autorización de la Superintendencia Financiera de Colombia, cuando se presente alguno de los siguientes eventos:
2.3.3.1. Cuando se presente una modificación al presente Título que implique que el instrumento no cumpla los criterios de pertenencia al Patrimonio Básico Adicional.
2.3.3.2. Cuando una modificación a la normativa tributaria implique un cambio en el tratamiento de los flujos del instrumento en las bases fiscales.
2.4. Condicionalidad del pago.
2.4.1. En el caso de las acciones, el dividendo no debe contener características de pago obligatorio o preferencial bajo ninguna circunstancia, más allá de las previstas en los artículos 155 y 454 del Código de Comercio y en el artículo 63 de la Ley 222 de 1995, con excepción de lo previsto en el numeral 3 del mencionado artículo 63. Sólo se pueden pagar dividendos de elementos distribuibles y no podrá ser un dividendo acumulativo.
Además, el prospecto debe indicar que cuando la entidad aseguradora no cumpla con la condición establecida en el primer inciso del presente artículo y hasta tanto no se restablezca su cumplimiento, la entidad tendrá las siguientes limitaciones:
2.4.1.1. La limitación a la distribución de utilidades o excedentes.
2.4.1.2 La suspensión temporal del pago de dividendos.
2.4.2. En el caso de los instrumentos de deuda, estos deberán incorporar una cláusula que permita no realizar el pago del cupón, en caso de que el emisor no cumpla con la condición establecida en el primer inciso del presente artículo o si como resultado del pago se incumpliera la mencionada condición. De igual forma, los instrumentos podrán incluir una cláusula que permita el ajuste periódico de la tasa base a la que se encuentre indexado el cupón de acuerdo con la periodicidad que se establezca en el prospecto, pero dicho ajuste no podrá basarse en función de la solvencia crediticia del emisor. En el caso de que el emisor opte por el no pago de cupones, el prospecto de emisión del instrumento deberá disponer que este evento no constituye un incumplimiento por parte del emisor y no podrá contemplar la acumulación de pagos con otros cupones.
En caso de que el emisor no cumpla con la condición establecida en el primer inciso del presente artículo o si como resultado del pago no la cumpliere, solo podrán pagarse cupones siempre y cuando se observen todos los siguientes requisitos:
2.4.2.1. El emisor deberá obtener, previo al momento de realizar la redención, pago o recompra, autorización de la Superintendencia Financiera de Colombia.
2.4.2.2. Que el pago del cupón no debilite más la condición del inciso primero del presente artículo.
2.4.2.3. Que después del pago el emisor cumpla los requerimientos mínimos de capital de funcionamiento.
2.5. No financiado por la entidad. La compra del instrumento no puede haber sido financiada por la entidad ni por alguna institución vinculada.
2.6. Absorción de pérdidas. Los instrumentos deben tener capacidad de absorber pérdidas. Para el reconocimiento de instrumentos de deuda, en su prospecto de emisión se debe contemplar alguno de los siguientes mecanismos de absorción de pérdidas:
2.6.1. Conversión en acciones que cumplan los criterios para hacer parte del patrimonio básico ordinario o del patrimonio básico adicional. En el prospecto de emisión se deberá establecer si dicha conversión se dará en acciones ordinarias o privilegiadas y se determinará la metodología de conversión del instrumento. En todo momento el emisor deberá mantener un nivel de capital autorizado que permita llevar a cabo la conversión a acciones y deberá verificar que se dé cumplimiento a las disposiciones necesarias para cumplir con dicha conversión.
2.6.2. Mecanismo de amortización permanente que asigne las pérdidas al instrumento, el cual será total mientras no se alcance a dar cumplimiento al nivel mínimo de patrimonio adecuado establecido en el presente Capítulo.
El mecanismo de absorción de pérdidas que se adopte, se activará en caso de presentar un patrimonio técnico menor a un porcentaje del patrimonio adecuado establecido en el presente Capítulo señalado por el emisor en el prospecto de emisión del instrumento, el cual no podrá ser inferior al 75%. En todo caso, el mecanismo de absorción de pérdidas deberá activarse cuando el cumplimiento del patrimonio adecuado establecido en el presente Capítulo no se restablezca en un plazo de tres meses desde la fecha en que se haya observado por primera vez dicho incumplimiento, o de manera inmediata cuando la entidad no cumpla los requerimientos mínimos de capital de funcionamiento, de manera previa a la adopción de una orden de capitalización. De igual manera, dicho mecanismo se activará cuando la Superintendencia Financiera de Colombia así lo determine.
3. Criterios de pertenencia al patrimonio adicional. Para que una acción o un instrumento de deuda se pueda acreditar como patrimonio adicional deberá cumplir con los criterios que se enumeran a continuación:
3.1. Suscrito y efectivamente pagado. El instrumento debe corresponder a capital suscrito y efectivamente pagado. En el caso de deuda los instrumentos deben ser autorizados y colocados.
3.2. Subordinación adicional. Incorpora un derecho sobre los activos residuales en caso de liquidación, una vez atendido el pago de los pasivos por contratos de seguros y demás pasivos externos. Los derechos no pueden estar garantizados, asegurados, ni tener arreglo alguno que incrementen su categoría o grado de subordinación.
3.3. Vocación de permanencia.
3.3.1. Las acciones privilegiadas que componen el Patrimonio Adicional, solamente se pagan en caso de una liquidación.
3.3.2. En el caso de instrumento de deuda se considera que cumple este criterio si su vencimiento desde la fecha de emisión es de al menos cinco (5) años. Dichos instrumentos podrán redimirse, pagarse o recomprarse anticipadamente, una vez transcurridos cinco (5) años contados a partir del momento de su emisión, siempre y cuando se cumplan los siguientes requisitos:
3.3.2.1. El emisor deberá obtener, previo al momento de realizar la redención, pago o recompra, autorización de la Superintendencia Financiera de Colombia.
3.3.2.2. Deberán sustituirse por instrumentos de capital que pertenezcan al patrimonio básico ordinario, al patrimonio básico adicional o al patrimonio adicional, y dicha sustitución debe efectuarse en condiciones de sostenibilidad para la capacidad de generación de ingresos del emisor. Este requisito puede exceptuarse si la entidad demuestra que, después de realizar de forma anticipada la redención, el pago o la recompra, seguirá contando con recursos suficientes para dar cumplimiento a la condición establecida en el inciso primero del presente artículo.
3.3.2.3 El emisor deberá abstenerse de generar expectativas sobre la redención, el pago o la recompra anticipada de instrumentos de deuda.
3.3.2.4. El emisor deberá cumplir los requerimientos mínimos de capital de funcionamiento una vez realizada la redención, pago o recompra.
3.3.3. Los instrumentos de deuda que pertenezcan al Patrimonio Adicional podrán contemplar la redención, el pago o la recompra anticipada antes de cinco (5) años, previa autorización de la Superintendencia Financiera de Colombia, cuando se presente alguno de los siguientes eventos:
3.3.3.1. Cuando se presente una modificación al presente Título que implique que el instrumento no cumpla los criterios de pertenencia al Patrimonio Adicional.
3.3.3.2. Cuando una modificación a la normativa tributaria implique un cambio en el tratamiento de los flujos del instrumento en las bases fiscales.
3.4. Condicionalidad del pago
3.4.1. En el caso de las acciones, el dividendo puede contener características de pago obligatorio o preferencial diferentes al del dividendo convencional. Sólo se pueden pagar dividendos de elementos distribuibles.
Cuando la entidad aseguradora no cumpla con la condición establecida en el primer inciso del presente artículo y hasta tanto no se restablezca su cumplimiento, la entidad, tendrán las siguientes limitaciones:
3.4.1.1. La limitación a la distribución de utilidades o excedentes.
3.4.1.2. La suspensión temporal del pago de dividendos.
3.4.2. En el caso de los instrumentos de deuda, estos deberán incorporar una cláusula que permita no realizar el pago del cupón, en caso que el emisor no cumpla con la condición establecida en el primer inciso del presente artículo o si como resultado del pago se incumpliera la mencionada condición. De igual forma, los instrumentos podrán incluir una cláusula que permita el ajuste periódico de la tasa base a la que se encuentre indexado el cupón de acuerdo con la periodicidad que se establezca en el prospecto, pero dicho ajuste no podrá basarse en función de la solvencia crediticia del emisor. En el caso de que el emisor opte por el no pago de cupones, el prospecto de emisión del instrumento deberá disponer que este evento no constituye un incumplimiento por parte del emisor.
En caso de que el emisor no cumpla con la condición establecida en el primer inciso del presente artículo o si como resultado del pago no la cumpliere, solo podrán pagarse cupones siempre y cuando se observen todos los siguientes requisitos:
3.4.2.1. El emisor deberá obtener, previo al momento de realizar la redención, pago o recompra, autorización de la Superintendencia Financiera de Colombia.
3.4.2.2. Que el pago del cupón no debilite más la condición del inciso primero del presente artículo.
3.4.2.3. Que después del pago el emisor cumpla los requerimientos mínimos de capital de funcionamiento.
PARÁGRAFO 1o. La Superintendencia Financiera de Colombia definirá la pertenencia de las acciones y los instrumentos de deuda al patrimonio básico ordinario, al patrimonio básico adicional o al patrimonio adicional, según corresponda. Para tal efecto, previo requerimiento del emisor, el supervisor evaluará la información proporcionada en el prospecto de emisión a la luz de los criterios que se presentan en este artículo. Los instrumentos que no hayan sido clasificados por parte del supervisor no podrán hacer parte del patrimonio técnico.
PARÁGRAFO 2o. Los criterios antes descritos deben ser claramente identificables. Si el instrumento ha sido acreditado a un nivel de patrimonio no podrá ser acreditado a otro.
ARTÍCULO 2.31.1.2.2. PATRIMONIO BÁSICO ORDINARIO.
<Artículo modificado por el artículo 2 del Decreto 1349 de 2019. El nuevo texto es el siguiente:> El patrimonio básico ordinario de las entidades aseguradoras de los que trata este Capítulo comprenderá:
1. El capital suscrito y pagado en acciones que la Superintendencia Financiera de Colombia clasifique como parte del patrimonio básico ordinario en cumplimiento del numeral 1 y el parágrafo 1 del artículo 2.31.1.2.1. del presente decreto.
2. El valor de los dividendos decretados en acciones a las que se refiere el numeral 1 de este artículo.
3. Los instrumentos de deuda que la Superintendencia Financiera de Colombia clasifique como parte del patrimonio básico ordinario en cumplimiento del numeral 1 y el parágrafo 1 del artículo 2.31.1.2.1. del presente decreto.
4. La prima en colocación de acciones a las que se refiere el numeral 1 de este artículo.
5. La reserva legal constituida por apropiaciones de utilidades líquidas.
6. Los anticipos destinados a incrementar el capital por un término máximo de cuatro (4) meses contados a partir de la fecha de ingreso de los recursos al balance, siempre que no se trate de una cooperativa de seguros. Transcurrido dicho término, el anticipo dejará de computar como un instrumento del patrimonio técnico desde la fecha en que se realizó.
7. Las utilidades del ejercicio en curso.
8. El valor total de Otros Resultados Integrales (ORI).
9. Las utilidades retenidas, las reservas ocasionales y las reservas estatutarias.
10. La reserva de protección de los aportes sociales descrita en el artículo 54 de la Ley 79 de 1988.
11. El monto mínimo de aportes no reducibles previsto en los estatutos, el cual no deberá disminuir durante la existencia de la cooperativa, de acuerdo con el numeral 7 del artículo 5o de la Ley 79 de 1988.
12. El fondo no susceptible de repartición constituido para registrar los excedentes que se obtengan por la prestación de servicios a no afiliados, de acuerdo con el artículo 10 de la Ley 79 de 1988. La calidad de no repartible, impide el traslado total o parcial de los recursos que componen el fondo a otras cuentas del patrimonio.
13. Los aportes sociales amortizados o readquiridos por la entidad cooperativa en exceso del que esté determinado en los estatutos como monto mínimo de aportes sociales no reducibles.
14. El fondo de amortización o readquisición de aportes a que hace referencia el artículo 52 de la Ley 79 de 1988, bajo el entendido de que la destinación especial a la que se refiere la disposición, determina que los recursos de este fondo no pueden ser objeto de traslado a otras cuentas del patrimonio, ni utilizados para fines distintos a la adquisición de aportes sociales.
15. Los excedentes del ejercicio en curso, en el caso de las entidades aseguradoras con naturaleza cooperativa.
PARÁGRAFO 1o. El valor máximo computable de la suma del valor de las acciones privilegiadas que hacen parte del numeral 1 y los instrumentos de deuda del numeral 3 del presente articulo es del 20% del total del patrimonio básico ordinario. El valor restante de dichos instrumentos será computado en el patrimonio básico adicional.
PARÁGRAFO 2o. En relación con los numerales 12, 13, 14 y 15 del presente artículo dichos rubros deberán cumplir en todo momento con los criterios previstos en el numeral 1 del artículo 2.31.1.2.1 de este decreto.
ARTÍCULO 2.31.1.2.3 DEDUCCIONES DEL PATRIMONIO BÁSICO ORDINARIO. <Artículo modificado por el artículo 3 del Decreto 1349 de 2019. El nuevo texto es el siguiente:>
Se deducirán del patrimonio básico ordinario los siguientes conceptos:
1. Las pérdidas acumuladas de ejercicios anteriores y las del ejercicio en curso.
2. El valor total de la suma de las inversiones de capital, de las inversiones en bonos obligatoriamente convertibles en acciones, inversiones en bonos subordinados opcionairnente convertibles en acciones o, en general, inversiones en instrumentos de deuda subordinada efectuadas en forma directa o indirecta en entidades sometidas al control y vigilancia de la Superintendencia Financiera de Colombia o en entidades financieras del exterior, que supere el diez por ciento (10%) del Patrimonio Básico Ordinario una vez realizadas las demás deducciones contenidas en el presente artículo excepto la descrita en este numeral. Se exceptúan de la deducción aquí prevista los siguientes elementos:
2.1. Las inversiones realizadas en entidades para las cuales la entidad aseguradora sea la consolidante a efectos de la presentación de información financiera consolidada, cuando las entidades consolidadas en que se realiza la inversión no sean entidades de seguros generales, de vida y sociedades de capitalización.
2.2. Las inversiones efectuadas en otra institución financiera vigilada por la Superintendencia Financiera de Colombia para adelantar un proceso de adquisición de los que trata el artículo 63 del Estatuto Orgánico del Sistema Financiero, durante los plazos establecidos en el inciso 2 del numeral 2 o en el parágrafo 2 del mismo artículo.
2.3. Las inversiones realizadas por las entidades de seguros en entidades vigiladas por la Superintendencia Financiera de Colombia, que sean consolidadas por otra entidad vigilada, cuando dichas participaciones no puedan ser consideradas como interés minoritario por la consolidante.
3. El valor del impuesto de renta diferido neto cuando sea positivo. Para el efecto, no se tendrán en cuenta los provenientes de los otros conceptos deducidos en virtud del presente artículo.
4. El ciento por ciento (100%) del valor del crédito mercantil o plusvalía y de los activos intangibles.
5. El valor no amortizado del cálculo actuarial del pasivo pensional.
6. El valor de la revalorización de activos.
PARÁGRAFO 1o. Para efectos de lo previsto en el numeral 2 del presente artículo los aportes que las entidades aseguradoras con naturaleza cooperativa posean en otras entidades de naturaleza solidaria se consideran inversiones de capital.
PARÁGRAFO 2o. Las inversiones en instrumentos de deuda subordinada efectuadas antes del primero (1) de agosto de 2019 no serán objeto de deducción dentro del patrimonio básico ordinario.
ARTÍCULO 2.31.1.2.4 PATRIMONIO BÁSICO ADICIONAL Y PATRIMONIO ADICIONAL. <Artículo modificado por el artículo 4 del Decreto 1349 de 2019. El nuevo texto es el siguiente:>
1. El patrimonio básico adicional de las entidades aseguradoras de las que trata este Capítulo comprenderá:
1.1. El capital suscrito y pagado en acciones que la Superintendencia Financiera de Colombia clasifique como parte del patrimonio básico adicional en cumplimiento del numeral 2 y el parágrafo 1 del artículo 2.31.1.2.1.
1.2. El valor de los dividendos decretados en acciones referidas en el numeral 1.1 de este artículo.
1.3. Los instrumentos de deuda que la Superintendencia Financiera de Colombia clasifique como parte del patrimonio básico adicional en cumplimiento del numeral 2 y el parágrafo 1 del artículo 2.31.1.2.1. Su reconocimiento en el patrimonio básico adicional será amortizado anualmente por el método de línea recta en los cinco (5) años anteriores a su vencimiento.
1.4. El valor en exceso del que trata el parágrafo 1 del artículo 2.31.1.2.2 del presente decreto.
1.5. La prima en colocación de acciones a las que se refiere el numeral 1.1 de este artículo.
2. El patrimonio adicional de las entidades aseguradoras de las que trata este Capítulo comprenderá:
2.1. El capital suscrito y pagado en acciones privilegiadas que la Superintendencia Financiera de Colombia clasifique como parte del patrimonio adicional en cumplimiento del numeral 3 y el parágrafo 1 del artículo 2.31.1.2.1.
2.2. El valor de los dividendos decretados en acciones referidas en el numeral 2.1 de este artículo.
2.3. La prima en colocación de acciones privilegiadas a las que se refiere el numeral 2.1 de este artículo.
2.4. Los bonos obligatoriamente convertibles en acciones que sean efectivamente colocados y pagados, de los que trata el artículo 86 del Estatuto Orgánico del Sistema Financiero.
2.5. Los instrumentos de deuda que la Superintendencia Financiera de Colombia clasifique como parte del patrimonio adicional en cumplimiento del numeral 3 y el parágrafo 1 del artículo 2.31.1.2.1. Su reconocimiento en el patrimonio adicional será amortizado anualmente por el método de línea recta en los cinco (5) años anteriores a su vencimiento.
2.6. El impuesto de renta diferido neto cuando sea positivo.
PARÁGRAFO. Para efectos del cálculo del patrimonio técnico el valor máximo computable de la suma del valor del patrimonio básico adicional y el patrimonio adicional es del 50% del patrimonio adecuado y el valor máximo computable del patrimonio adicional es del 15% del patrimonio adecuado
ARTÍCULO 2.31.1.2.5. PATRIMONIO ADECUADO.
<Capítulo sustituido por el artículo 1 del Decreto 2954 de 2010. El nuevo texto es el siguiente:> El patrimonio adecuado corresponderá al patrimonio técnico mínimo que deben mantener y acreditar las entidades aseguradoras, el cual estará determinado en función de tres componentes a) el riesgo de suscripción, b) el riesgo de activo y c) el riesgo de mercado. Para efectos del cálculo del patrimonio adecuado deberá utilizarse la siguiente fórmula:

En donde:
| PA: | Patrimonio adecuado |
| R1: | Riesgo de suscripción |
| R2: | Riesgo de activo |
| R3: | Valor de riesgo de mercado |
| Pij: | <Definición modificada el artículo 63 del Decreto 1745 de 2020. El nuevo texto es el siguiente:> Coeficiente de correlación entre el riesgo Ri y el riesgo Rj. |
Se define Pij = 1, para todo i,j. Esto sin perjuicio de que las entidades aseguradoras puedan utilizar modelos de medición propios o de industria para el cálculo de las correlaciones entre los diferentes riesgos, previa autorización de la Superintendencia Financiera de Colombia.
PARÁGRAFO. <Parágrafo modificado por el artículo 7 del Decreto 415 de 2018. El nuevo texto es el siguiente:> Las entidades aseguradoras que administren a través de patrimonios autónomos recursos del Fondo Nacional de Pensiones de las Entidades Territoriales (Fonpet), deberán restar del patrimonio técnico el valor de la reserva de estabilización que están obligadas a constituir para tal fin. El valor a deducir corresponderá al saldo de la reserva de estabilización del último 31 de marzo, siempre que esta fecha esté cubierta por un contrato de administración vigente. En caso contrario corresponderá al saldo de la reserva de estabilización del último día del primer mes administrado.
Así mismo, deberán adicionar al patrimonio adecuado de que trata el presente artículo, el valor de exposición al riesgo operacional asociado a la administración de recursos de la seguridad social a través de patrimonios autónomos.
Se entiende por Riesgo Operacional la posibilidad de que una entidad aseguradora que administre a través de patrimonios autónomos recursos de la seguridad social incurra en pérdidas y disminuya el valor de su patrimonio como consecuencia de la inadecuación o fallos de los procesos, el personal y los sistemas internos, o bien a causa de acontecimientos externos. El riesgo operacional incluye el riesgo legal, pero excluye los riesgos estratégico y de reputación.
El valor de exposición al riesgo operacional a que hace referencia este parágrafo será el dieciséis por ciento (16%) del valor resultante de:
1. Sumar los ingresos por comisiones provenientes de la administración de activos que se realice a través de contratos de fondos de pensiones voluntarias <Fondos Voluntarios de Pensión><3>, Fondo Nacional de Pensiones de las Entidades Territoriales (Fonpet) y patrimonios autónomos sobre pasivos pensionales.
2. Deducir los gastos por comisiones causados por la custodia de valores de que trata el Libro 37 de la Parte 2 del Decreto 2555 de 2010, respecto de los valores administrados bajo los contratos a que hace referencia el numeral 1 del presente artículo.
En consideración a los criterios que de manera específica determine la Superintendencia Financiera de Colombia en relación con la adecuada gestión del riesgo operacional de las entidades aseguradoras respecto a uno o varios de los contratos a que se refiere el numeral 1 del presente artículo, esta podrá disminuir de manera diferencial el valor de exposición al riesgo operacional que en forma particular aplique respecto de cada uno de estos contratos. En estos casos, dicho valor de exposición no podrá ser inferior al doce por ciento (12%).
Para realizar los cálculos contemplados en el presente parágrafo, se tomarán como referencia los ingresos y gastos por comisiones anuales promedio de los últimos tres (3) años a la fecha de cálculo. Para nuevos administradores, o para aquellos que no tengan información para los tres (3) años anteriores, los ingresos y gastos por comisiones aplicables serán calculados como el resultado de multiplicar el valor de los activos administrados por los cocientes de los ingresos y gastos por comisiones sobre el valor de los activos administrados de aquellas entidades financieras que administraron estos activos en los últimos tres (3) años, de acuerdo con las definiciones que para el efecto imparta la Superintendencia Financiera de Colombia.
Para realizar los cálculos contemplados en el presente parágrafo respecto al Fondo Nacional de Pensiones de las Entidades Territoriales (Fonpet), se tomarán como referencia los ingresos y gastos por comisiones anuales promedio de los últimos tres (3) años a la fecha de cálculo bajo un mismo contrato de administración. Para aquellos que no tengan información para los tres (3) años anteriores bajo un mismo contrato de administración, los ingresos y gastos por comisiones aplicables serán calculados como el resultado de multiplicar el valor de los activos administrados por los cocientes de los ingresos y gastos por comisiones sobre el valor de los activos administrados de aquellas entidades financieras que administraron estos activos en los últimos tres (3) años, de acuerdo con las definiciones que para el efecto imparta la Superintendencia Financiera de Colombia.
Las entidades deberán reportar a la Superintendencia Financiera de Colombia información homogénea que permita avanzar hacia medidas más adecuadas de riesgo operacional. La Superintendencia Financiera de Colombia definirá las características de esta información y las condiciones en las que las entidades supervisadas deberán reportarla.
PARÁGRAFO 2o. Para los efectos previstos en el literal c) del numeral 2 del artículo 82 del Decreto 663 de 1993 (Estatuto Orgánico del Sistema Financiero), se entenderá como patrimonio adecuado el establecido en el presente artículo.
ARTÍCULO 2.31.1.2.6. RIESGO DE SUSCRIPCIÓN EN LAS ENTIDADES DE SEGUROS GENERALES. <Artículo modificado por el artículo 5 del Decreto 1349 de 2019. El nuevo texto es el siguiente:>
En las entidades de seguros generales el riesgo de suscripción se calculará como el monto que resulte más elevado entre los siguientes procedimientos:
1. Riesgo de suscripción en función del monto de las primas emitidas y aceptadas en reaseguro en los últimos doce (12) meses, el cual se determina de la siguiente manera:
1.1. Por concepto de primas se toman tanto las emitidas (directas + coaseguro aceptado) durante el período de los doce (12) meses finalizados en la fecha para la que se realiza el cálculo, como las primas aceptadas en reaseguro en el mismo período.
1.2. Hasta cuarenta y un millones (41.000.000) de Unidades de Valor Real (UVR) vigentes al 31 de diciembre del año inmediatamente anterior, de los montos así establecidos, se aplicará un porcentaje del dieciocho por ciento (18%), y al exceso, si lo hubiere, un porcentaje del dieciséis por ciento (16%), sumándose ambos resultados.
1.3. La cuantía que se obtenga según lo dispuesto en el subnumeral anterior se multiplica por la relación existente, en el ejercicio que sirve de base para el cálculo, entre el monto de los siniestros brutos descontados los reembolsos de siniestros, y el importe de estos siniestros brutos, sin que tal relación pueda ser inferior, en ningún caso, al cincuenta por ciento (50%).
2. Riesgo de suscripción en función de la siniestralidad de los últimos treinta y seis (36) meses, el cual se establece de la siguiente manera:
2.1. En la cuantificación de los siniestros se deben incluir los liquidados (pagados durante el período de los treinta y seis (36) meses finalizados en la fecha para la, que se realiza el cálculo, sin deducción por reaseguros), los siniestros pagados por aceptaciones en reaseguros (en los últimos treinta y seis (36) meses) y las reservas para siniestros avisados por liquidar, cuenta compañía y reaseguradores, constituidas al final del período contemplado.
2.2. Al saldo que arroje la suma de los factores indicados en el subnumeral anterior se debe deducir el importe de los recobros y los salvamentos liquidados y realizados por siniestros efectuados en el mismo período al que se refiere el mencionado subnumeral, así como el monto de la reserva para siniestros avisados por liquidar registrada el primer día de los treinta y seis (36) meses contemplados, tanto para negocios directos como por aceptaciones.
2.3. La cifra que resulte de la operación descrita en el subnumeral anterior se debe dividir por tres (3). Hasta veinticinco millones (25.000.000) de Unidades de Valor Real (UVR) vigentes al 31 de diciembre del año inmediatamente anterior de este resultado, se multiplicará por un porcentaje del veintisiete por ciento (27%), y el exceso, si lo hubiere, por un porcentaje del veinticuatro por ciento (24%), sumándose ambos resultados.
2.4. La cuantía así obtenida se multiplica por la relación existente en el ejercicio que sirve de base para el cálculo, entre el importe de los siniestros brutos descontados los reembolsos de siniestros, y el importe bruto de estos siniestros, sin que esta relación pueda ser inferior, en ningún caso, al cincuenta por ciento (50%).
PARÁGRAFO. Cuando dentro de los últimos treinta y seis (36) meses se observen siniestros extremos liquidados y/o siniestros extremos pagados por aceptaciones en reaseguro, la cuantía correspondiente al riesgo de suscripción en función de la siniestralidad se determinará como la suma de los montos obtenidos a partir de los siguientes procedimientos.
1. El primer monto corresponderá al obtenido como el resultado de aplicar el procedimiento descrito en los subnumerales 2.1 a 2.4 del presente artículo, con las siguientes condiciones:
a) En el procedimiento descrito en los subnumerales 2.1 a 2.3 se deben excluir los montos correspondientes a siniestros liquidados y siniestros pagados por aceptaciones en reaseguro, que se clasifiquen como siniestros extremos. Así mismo, los salvamentos y recobros liquidados y realizados deben excluir los montos correspondientes a siniestros extremos. Se debe computar el total de la reserva para siniestros avisados por liquidar (incluyendo siniestros extremos).
b) La relación de que trata el subnumeral 2.4 se determinará como la división del importe de los siniestros brutos (excluyendo siniestros extremos) descontados los reembolsos de siniestros (excluyendo siniestros extremos), entre el importe bruto de estos siniestros (excluyendo siniestros extremos), sin que esta relación pueda ser inferior, en ningún caso, al cincuenta por ciento (50%).
2. El segundo monto corresponderá al obtenido como el resultado de aplicar el procedimiento descrito en los subnumerales 2.1 a 2.4 del presente artículo, con las siguientes condiciones:
a) El procedimiento descrito en los subnumerales 2.1 a 2.3 debe llevarse a cabo tomando únicamente los montos correspondientes a siniestros liquidados y siniestros pagados por aceptaciones en reaseguro, que se clasifiquen como siniestros extremos. Los salvamentos y recobros liquidados y realizados deben corresponder únicamente a los siniestros extremos y no se computará reserva para siniestros avisados por liquidar.
b) La relación de que trata el subnumeral 2.4 se determinará como la división del importe de los siniestros extremos brutos descontados los reembolsos de siniestros extremos, entre el importe bruto de estos siniestros extremos, sin que esta relación pueda ser inferior, en ningún caso, al dos por ciento (2%). En caso de que el monto del importe bruto de estos siniestros extremos sea cero (0), la relación de que trata el presente literal tomará el valor de dos por ciento (2%).
La Superintendencia Financiera de Colombia determinará los criterios estadísticos y actuariales para la identificación de los siniestros extremos.
ARTÍCULO 2.31.1.2.7. RIESGO DE SUSCRIPCIÓN EN LAS ENTIDADES DE SEGUROS DE VIDA. <Capítulo sustituido por el artículo 1 del Decreto 2954 de 2010. El nuevo texto es el siguiente:>
En las entidades de seguros de vida el riesgo de suscripción es igual al resultado que se obtenga de sumar los importes que arrojen las operaciones descritas a continuación:
a) Para aquellos ramos en los cuales la prima se deba destinar a la constitución de reserva matemática, entre ellos los ramos de vida individual, pensiones Ley 100 y educativo, el riesgo de suscripción corresponde a la suma que resulte de multiplicar el seis por ciento (6%) del total de las reservas matemáticas por la relación que exista, en el ejercicio que se contemple, entre el importe de las reservas matemáticas, deducidas las correspondientes al reaseguro, y el importe bruto de las mismas, sin que esta relación pueda ser, en ningún caso, inferior al ochenta y cinco por ciento (85%).
b) Para los demás ramos explotados por estas entidades el riesgo de suscripción se determina del mismo modo que para las entidades de seguros generales, pero multiplicando, cuando se determina su cuantía en función de las primas, por el porcentaje de dieciocho por ciento (18%) hasta once millones (11.000.000) de Unidades de Valor Real (UVR) vigentes al 31 de diciembre del año inmediatamente anterior, y por el dieciséis por ciento (16%) al exceso, si lo hubiere. Para el cálculo en función de la siniestralidad el veintisiete por ciento (27%) se aplica hasta seis millones seiscientos mil (6.600.000) Unidades de Valor Real (UVR) vigentes al 31 de diciembre del año inmediatamente anterior, y el veinticuatro por ciento (24%) al exceso, si lo hubiere.
c) Para el ramo de riesgos profesionales, el riesgo de suscripción se calculará de conformidad con lo previsto en el artículo siguiente.
ARTÍCULO 2.31.1.2.8. RIESGO DE SUSCRIPCIÓN PARA EL RAMO DE RIESGOS PROFESIONALES.
<Capítulo sustituido por el artículo 1 del Decreto 2954 de 2010. El nuevo texto es el siguiente:> En las entidades de seguros de vida, el riesgo de suscripción para el ramo de riesgos profesionales es igual al resultado que se obtenga de sumar los importes que arrojen los numerales 1 y 2 siguientes:
1. En función del monto de las cotizaciones de los últimos doce (12) meses, o en función de la siniestralidad de los últimos treinta y seis (36) meses, aquel que arroje el mayor resultado.
a) El cálculo en función de las cotizaciones de los últimos doce (12) meses se determinará de la siguiente manera:
i. Se tomará el 70% del monto de las cotizaciones brutas (directas + coaseguro aceptado + reaseguro aceptado) de los últimos doce (12) meses en la fecha en la cual se realiza el cálculo. El monto equivalente a veintinueve millones (29.000.000) de Unidades de Valor Real (UVR) vigentes al 31 de diciembre del año inmediatamente anterior, se multiplicará por un porcentaje del dieciocho por ciento (18%), y el excedente, si lo hubiere, por un porcentaje del dieciséis por ciento (16%), sumándose ambos resultados;
ii. La cuantía que se obtenga según lo dispuesto en el numeral anterior, se multiplicará por la relación existente en el ejercicio que sirve de base para el cálculo, entre el monto de los siniestros brutos descontados los reembolsos de siniestros y el importe de estos siniestros brutos, sin que tal relación pueda ser inferior, en ningún caso, al 50%.
b) El cálculo en función de los siniestros de los últimos treinta y seis (36) meses, se establecerá de la siguiente forma:
i. En la cuantificación de los siniestros se incluirán los liquidados (pagados durante los últimos treinta y seis (36) meses en la fecha en la cual se realiza el cálculo, sin deducción por reaseguros), los siniestros pagados por aceptaciones en reaseguro y las reservas para siniestros avisados por liquidar cuenta compañía y reaseguradores, constituidas al final del período contemplado;
ii. Al saldo que arroje la suma de los factores indicados en el numeral anterior, se deducirá el importe de los recobros liquidados y realizados por siniestros efectuados en el mismo período a que se refiere el numeral anterior, así como el monto de la reserva para siniestros avisados por liquidar registrada el primer día de los treinta y seis (36) meses contemplados, tanto para siniestros directos como por aceptaciones;
iii. La cifra que resulte de la operación descrita en el numeral anterior, se dividirá por tres (3). De este resultado, el monto equivalente a catorce millones (14.000.000) de Unidades de Valor Real (UVR) vigentes al 31 de diciembre del año inmediatamente anterior, se multiplicará por un porcentaje del veintisiete por ciento (27%); el exceso, si lo hubiere, por un porcentaje del veinticuatro por ciento (24%) y se procederá a sumar ambos resultados;
iv. La cuantía así obtenida se multiplicará por la relación existente en el ejercicio contemplado, entre el importe de los siniestros brutos descontados los reembolsos de siniestros, y el importe bruto de estos siniestros, sin que esta relación pueda ser inferior, en ningún caso, al 50%.
2. En función de la reserva matemática
a) El saldo de la cuenta reservas matemáticas, se multiplicará por un porcentaje del seis por ciento (6%);
b) El resultado anterior, se multiplicará por la relación que exista en el ejercicio que se contemple, entre el importe de las reservas matemáticas, deducidas las correspondientes al reaseguro y el importe bruto de las mismas, sin que esta relación pueda ser, en ningún caso, inferior al ochenta y cinco por ciento (85%).
ARTÍCULO 2.31.1.2.9. RIESGO DE ACTIVO.
<Capítulo sustituido por el artículo 1 del Decreto 2954 de 2010. El nuevo texto es el siguiente:>
<Inciso modificado por el artículo 6 del Decreto 1349 de 2019. El nuevo texto es el siguiente:> Para efectos de determinar el valor correspondiente al riesgo de activo, las entidades aseguradoras deberán clasificar las primas por cobrar, las cuentas por cobrar con reaseguradores del exterior, las cuentas por cobrar por contratos de coaseguro, el activo que contabiliza las contingencias a cargo del reasegurador netas de deterioro y los activos que respaldan las reservas técnicas netas, dentro de una de las siguientes categorías dependiendo de su naturaleza.
Categoria I - Activos de máxima seguridad. En esta categoria se clasificarán los siguientes activo:
a) La caja y los depósitos a la vista en entidades sometidas a vigilancia de la Superintendencia Financiera de Colombia.
b) Las inversiones en títulos o valores del Banco de la República o de la Nación y los garantizados por esta en la parte cubierta.
c) Los bonos y títulos hipotecarios de que trata el artículo 30 de la Ley 546 de 1999, que cuenten con garantía total del Gobierno Nacional, a través del Fondo de Garantías de Instituciones Financieras - FOGAFIN.
d) Cuentas por cobrar cuenta corriente seguro de crédito a la exportación y siniestros pendientes garantizados por la Nación.
e) Títulos o valores emitidos o totalmente garantizados por entidades multilaterales de crédito.
f) Deuda soberana de países miembros del G-10 y títulos o valores, emitidos o totalmente garantizados, por sus bancos centrales.
g) La exposición neta en las operaciones de reporto o repo, operaciones simultáneas y operaciones de transferencia temporal de valores siempre que la contraparte sea la Nación, el Banco de la República o una cámara de riesgo central de contraparte.
h) La exposición crediticia en operaciones con instrumentos financieros derivados siempre que la contraparte sea la Nación, el Banco de la República o una cámara de riesgo central de contraparte.
Categoría II – Activos de alta seguridad. En esta categoría se clasificarán los siguientes activos:
a) Los depósitos a término en establecimientos de crédito sometidos a vigilancia de la Superintendencia Financiera de Colombia.
b) Depósitos a la vista en bancos del exterior cuando estos cuenten con una calificación de grado de inversión otorgada por una sociedad calificadora reconocida internacionalmente.
c) Los créditos garantizados incondicionalmente con títulos o valores emitidos por la Nación o por el Banco de la República o por Gobiernos o Bancos Centrales de países que autorice expresamente la Superintendencia Financiera de Colombia.
d) Títulos o valores emitidos por emisores del exterior, cuando dichos títulos o valores cuenten con una calificación de grado de inversión otorgada por una sociedad calificadora reconocida internacionalmente.
e) <Literal derogado por el artículo 12 del Decreto 1349 de 2019>
f) Cuentas por cobrar por contratos de coaseguro con aseguradoras sometidas a vigilancia por la Superintendencia Financiera de Colombia cuando cuenten con una calificación vigente de grado de inversión otorgada por una sociedad calificadora de riesgo.
g) La exposición neta en las operaciones de reporto o repo, operaciones simultáneas y operaciones de transferencia temporal de valores siempre que la contraparte sea una entidad vigilada por la Superintendencia Financiera de Colombia distinta del Banco de la República, o una entidad pública de orden nacional o un fondo mutuo de inversión controlado.
h) La exposición crediticia en las operaciones con instrumentos financieros derivados siempre que la contraparte sea una entidad vigilada por la Superintendencia Financiera de Colombia distinta del Banco de la República, o una entidad pública de orden nacional o un fondo mutuo de inversión controlado.
i) <Literal adicionado por el artículo 6 del Decreto 1286 de 2020. El nuevo texto es el siguiente:> Los activos, exposiciones y contingencias avalados o garantizados por el Fondo Nacional de Garantías S.A. o por el Fondo Agropecuario de Garantías en la parte cubierta”
Categoría III – Otros activos de riesgo. En esta categoría se incluirán todos los activos no incluidos en ninguna categoría anterior.
Los activos incluidos en la Categoría I se ponderarán al 0%, en la Categoría II al 1.5% y en la Categoría III ponderarán de acuerdo a las siguientes reglas:
1. Los títulos de deuda y los títulos derivados de procesos de titularización, se clasificarán de acuerdo con la calificación otorgada por las sociedades calificadoras autorizadas por la Superintendencia Financiera de Colombia, para lo cual se observarán los rangos de calificación indicados en la siguiente matriz o su equivalente:
RIESGO CREDITICIO DE LARGO PLAZO
| RANGO DE CALIFICACIÓN | PONDERACIÓN |
| AAA hasta AA- | 1.5% |
| A+ hasta A- | 4.5% |
| BBB+ o inferior o sin calificación | 8.5% |
RIESGO CREDITICIO DE CORTO PLAZO
| RANGO DE CALIFICACIÓN | PONDERACIÓN |
| 1+ hasta 1- | 1.5% |
| 2+ hasta 2- | 4.5% |
| 3 o inferior o sin calificación | 8.5% |
2. La exposición neta en las operaciones de reporto o repo, operaciones simultáneas y operaciones de transferencia temporal de valores y la exposición crediticia en operaciones con instrumentos financieros derivados, siempre que la contraparte sea una entidad no contemplada en las categorías I y II, ponderarán de la siguiente manera, de acuerdo con la calificación indicada a continuación o su equivalente, otorgada por las sociedades calificadoras autorizadas por la Superintendencia Financiera de Colombia a la contraparte en dichas operaciones:
| RANGO DE CALIFICACIÓN | PONDERACIÓN |
| AAA hasta AA- | 1.5% |
| A+ hasta A- | 4.5% |
| BBB+ o inferior o sin calificación | 8.5% |
3. Las acciones emitidas por entidades del exterior, las acciones inscritas en el Registro Nacional de Valores y de Emisores RNVE, los certificados de depósitos negociables representativos de dichas acciones (ADRs y GDRs) y las participaciones en carteras colectivas<1> ponderarán al 4.5%.
4. Los demás activos ponderarán al 8.5% de su valor.
5. <Numeral adicionado por el artículo 7 del Decreto 1349 de 2019. El nuevo texto es el siguiente:> Los activos de las contingencias a cargo del reasegurador, cuando cuenten con una calificación vigente de grado de inversión otorgada por una sociedad calificadora reconocida internacionalmente, se ponderarán por la probabilidad de incumplimiento de la entidad reaseguradora en un año, de acuerdo con las matrices de transición más recientes publicadas por dichas sociedades calificadoras. Aquellas entidades reaseguradoras que cuenten con una calificación de BB o menos o no cuenten con calificación vigente otorgada por sociedades calificadoras reconocidas internacionalmente ponderarán al 8.5% de su valor. La Superintendencia Financiera de Colombia impartirá las instrucciones a que haya lugar.
6. <Numeral adicionado por el artículo 8 del Decreto 1349 de 2019. El nuevo texto es el siguiente:> Las cuentas por cobrar con reaseguradoras, netas del depósito de reserva a reaseguradoras del exterior, cuando cuenten con una calificación vigente de grado de inversión otorgada por una sociedad calificadora reconocida internacionalmente, se ponderarán por la probabilidad de incumplimiento de la entidad reaseguradora en un año, de acuerdo con las matrices de transición más recientes publicadas por dichas sociedades calificadoras. Aquellas entidades reaseguradoras que cuenten con una calificación de BB o menos o no cuenten con calificación vigente otorgada por sociedades calificadoras reconocidas internacionalmente ponderarán al 8.5% de su valor. La Superintendencia Financiera de Colombia impartirá las instrucciones a que haya lugar.
Categoría IV - Activos de riesgo inmobiliario no productivos. <Categoría adicionada por el artículo 3 del Decreto 1398 de 2020. El nuevo texto es el siguiente:>
1. Los bienes raíces no productivos descritos en el numeral 3.10 de artículo 2.31.3.1.2 del presente Decreto ponderarán al 15% de su valor.
En esta categoría se clasificarán los siguientes activos:
PARÁGRAFO 1o. El valor de los activos a ponderar se tomará neto de provisiones y sin incluir valorizaciones ni desvalorizaciones. En ningún caso se deducirán las provisiones de carácter general establecidas por la Superintendencia Financiera de Colombia.
Las valorizaciones de estos activos computarán al 50% de su valor.
PARÁGRAFO 2o. Productos estructurados: Computarán por su precio justo de intercambio multiplicado por el factor de ponderación que corresponda según la categoría de riesgo del emisor del respectivo producto.
Cuando se realicen inversiones en un producto estructurado cuyos componentes provengan de distintas contrapartes, pero se haya adquirido el mismo a otra entidad que obra como vendedor de éste y no es responsable de su pago, dicho producto estructurado computará por la suma de los siguientes dos (2) factores:
i. La multiplicación del precio justo de intercambio del componente no derivado por el factor de ponderación que aplique al respectivo emisor de conformidad con lo previsto en el presente artículo.
ii. La multiplicación del costo de reposición de los componentes derivados por el factor de ponderación que aplique a la respectiva contraparte de conformidad con lo previsto en el presente artículo.
PARÁGRAFO 3o. Para los efectos del presente artículo, se entiende como exposición neta en operaciones de reporto o repo, operaciones simultáneas y operaciones de transferencia temporal de valores, el monto que resulte de restar la posición deudora de la posición acreedora que ostenta la entidad en cada operación, siempre que este monto sea positivo. Para el cálculo de dichas posiciones deberán tenerse en cuenta el valor de mercado de los títulos o valores cuya propiedad se transfirió y/o la suma de dinero entregada como parte de la operación, así como los intereses o rendimientos asociados a la misma.
PARÁGRAFO 4o. Los valores transferidos en desarrollo de las operaciones repo o reporto simultáneas o de transferencia temporal de valores deberán ser tenidos en cuenta para los efectos previstos en este artículo, mientras permanezcan en el balance del enajenante, originador o receptor, según sea el caso, conforme a las disposiciones contables que rigen dichas operaciones.
PARÁGRAFO 5o. Para los efectos del presente artículo, para determinar la exposición crediticia en instrumentos financieros derivados, serán aplicables las definiciones que para el efecto determine la Superintendencia Financiera de Colombia.
PARÁGRAFO 6o. <Parágrafo modificado por el artículo 9 del Decreto 1349 de 2019. El nuevo texto es el siguiente:> Los activos que en desarrollo del artículo 2.31.1.2.3 del presente decreto se deduzcan para efectuar el cálculo del patrimonio básico ordinario, no se computarán para efectos de determinar el valor total de activos ponderados por nivel de riesgo de activo de las entidades aseguradoras.
ARTÍCULO 2.31.1.2.10. VALOR DE EXPOSICIÓN POR RIESGO DE MERCADO.
<Capítulo sustituido por el artículo 1 del Decreto 2954 de 2010. El nuevo texto es el siguiente:> Para el cálculo del riesgo de mercado en las entidades de seguros generales se utilizará la metodología en función del Valor en Riesgo (VeR), conforme a la cual se estima la pérdida que podría registrar una determinada posición en un intervalo de tiempo con un cierto nivel de probabilidad o confianza debido a un cambio adverso en los precios. La Superintendencia Financiera de Colombia establecerá la metodología que deberán implementar las entidades aseguradoras de seguros generales, sin perjuicio de que las mismas puedan solicitar a este organismo autorización para utilizar un modelo de medición propio, caso en el cual deberán acreditar ante dicha Superintendencia, el cumplimiento de los requisitos mínimos que se establezcan para el efecto.
ARTÍCULO 2.31.1.2.11. TRANSICIÓN.
<Capítulo sustituido por el artículo 1 del Decreto 2954 de 2010. El nuevo texto es el siguiente:> En el evento en que a la entrada en vigencia del Capítulo 2 del Título 1 del Libro 31 de la Parte 2 del presente decreto, una entidad aseguradora tenga un nivel de patrimonio técnico inferior al patrimonio adecuado calculado de conformidad con lo allí dispuesto, deberá ajustarlo en un plazo máximo de doce (12) meses, contados a partir de la fecha de su entrada en vigencia.
ARTÍCULO 2.31.1.2.12 PLAN DE AJUSTE ANTE EL INCUMPLIMIENTO DEL PATRIMONIO ADECUADO. <Artículo adicionado por el artículo 10 del Decreto 1349 de 2019. El nuevo texto es el siguiente:> En el evento que la entidad aseguradora no cumpla con la condición establecida en el primer inciso del artículo 2.31.1.2.1 del presente decreto, la entidad deberá informarlo de manera inmediata a sus accionistas o asociados y poner esta comunicación en conocimiento de la Superintendencia Financiera de Colombia. Lo anterior sin perjuicio del régimen sancionatorio aplicable a las entidades aseguradoras en cabeza de dicha superintendencia.
De manera concomitante la entidad deberá establecer un plan de ajuste y enviarlo a la Superintendencia Financiera de Colombia en los términos y condiciones que esta determine. Dicho plan de ajuste deberá contener los mecanismos establecidos por la entidad para reponer el nivel requerido de patrimonio técnico y el plazo en el cual se completará dicho proceso.
En todo caso, cuando se presente el mencionado incumplimiento y hasta tanto no se complete el plan de ajuste, la entidad tendrá las siguientes limitaciones:
1. La limitación a la liberación de reservas, reducción del capital social, y en general, cualquier posibilidad de afectación de recursos por voluntad de la Administración que conlleve una reducción en su patrimonio.
2. La suspensión temporal del pago de dividendos, recompra de acciones, bonificaciones a empleados o cualquier otro programa de pagos discrecionales, de incentivos o erogaciones no ordinarias a partes relacionadas.
LÍMITES MÁXIMOS DE RETENCIÓN SOBRE LOS RIESGOS QUE ASUMEN LAS ENTIDADES ASEGURADORAS.
<Fuente original compilada: D. 2271/93 Art. 1o.> Las entidades aseguradoras y reaseguradoras no podrán asumir en un sólo riesgo una retención neta que exceda del diez por ciento (10%) de su patrimonio técnico correspondiente al trimestre inmediatamente anterior a aquel en el cual se efectúe la operación.
Se entiende por riesgo la sumatoria de todos los valores asegurados y reasegurados de las coberturas de los intereses amparados por una determinada compañía expuestos a un mismo evento.
PARÁGRAFO. Para los propósitos de este artículo se considerará como patrimonio técnico el calculado para el cumplimiento de las normas de solvencia vigentes.
<Capítulo 4 derogado por el artículo 2 del Decreto 2954 de 2010>
<Capítulo 4 derogado por el artículo 2 del Decreto 2954 de 2010>
<Capítulo 4 derogado por el artículo 2 del Decreto 2954 de 2010>
ARTÍCULO 2.31.1.4.4 OPORTUNIDAD PARA ACREDITAR EL PATRIMONIO TÉCNICO SANEADO.
<Capítulo 4 derogado por el artículo 2 del Decreto 2954 de 2010>
ARTÍCULO 2.31.1.4.5 CÁLCULO DEL MARGEN DE SOLVENCIA.
<Capítulo 4 derogado por el artículo 2 del Decreto 2954 de 2010>
ARTÍCULO 2.31.1.4.6 INCREMENTOS DE LOS MONTOS.
<Capítulo 4 derogado por el artículo 2 del Decreto 2954 de 2010>
METODOLOGÍA PARA EL CÁLCULO DEL MARGEN DE SOLVENCIA DE COMPAÑÍAS DE SEGUROS DE VIDA APLICABLE AL RAMO DE RIESGOS PROFESIONALES.
ARTÍCULO 2.31.1.5.1 METODOLOGÍA.
<Capítulo 5 derogado por el artículo 2 del Decreto 2954 de 2010>
SEGUROS PREVISIONALES DE INVALIDEZ Y SOBREVIVENCIA.
ARTÍCULO 2.31.1.6.1 PARTICIPACIÓN DE UTILIDADES.
<Fuente original compilada: D. 876/94 Art. 1o.> En desarrollo de lo previsto en el artículo 108 de la Ley 100 de 1993, las entidades aseguradoras de vida que cuenten con autorización impartida por la Superintendencia Financiera de Colombia para la explotación del ramo de seguros previsionales de invalidez y sobrevivencia deberán distribuir una vez al año las utilidades generadas en los resultados de las pólizas de invalidez y sobrevivientes que contraten las sociedades administradoras, con sujeción a las disposiciones pertinentes.
Para los efectos del presente artículo las entidades aseguradoras de vida elaborarán un informe con destino a la sociedad administradora correspondiente, en el cual se especifiquen las utilidades obtenidas durante el respectivo período, las cuales deberán entregarse a la sociedad administradora dentro del mes siguiente al corte respectivo, el cual para todos los casos será el 31 de diciembre de cada año.
Dentro de los cinco (5) días hábiles siguientes a aquél en que les sean trasladadas, las sociedades administradoras deberán abonar a prorrata del valor del aporte para pagar los seguros correspondientes, el valor de las utilidades en la cuenta individual de ahorro pensional de todos sus afiliados a la fecha de la distribución.
ARTÍCULO 2.31.1.6.2 TERMINACIÓN DEL SEGURO DE INVALIDEZ Y SOBREVIVIENTES POR NO PAGO DE LA PRIMA.
<Fuente original compilada: D. 876/94 Art. 2o.> De conformidad con lo previsto en el artículo 108 de la Ley 100 de 1993, el seguro de invalidez y sobrevivientes se sujeta, en relación con la terminación del contrato por no pago de la prima, al plazo previsto en el artículo 1152 del Código de Comercio.
Las entidades aseguradoras de vida comunicarán dicha circunstancia a la Superintendencia Financiera de Colombia dentro de los tres (3) días hábiles anteriores al momento en que produzca efectos la terminación del seguro por no pago de la prima.
ARTÍCULO 2.31.1.6.3 TRÁMITE DE LAS RECLAMACIONES.<Artículo compilado en el artículo 2.2.5.6.1 del Decreto Único Reglamentario 1833 de 2016. Debe tenerse en cuenta lo dispuesto por el artículo 3.1.1 del mismo Decreto 1833 de 2016>
<Fuente original compilada: D. 876/94 Art. 3o.> En desarrollo de lo previsto en el artículo 108 de la Ley 100 de 1993, las sociedades administradoras deberán tramitar ante la respectiva entidad aseguradora de vida con la cual tengan contratado el seguro de invalidez y sobrevivientes, dentro de los cinco (5) días siguientes a la fecha en que el dictamen de invalidez quede en firme o se solicite el beneficio en caso de muerte, la reclamación por el aporte adicional necesario para financiar la pensión y el auxilio funerario, en su caso.
ARTÍCULO 2.31.1.6.4 AUXILIO FUNERARIO. <Artículo compilado en el artículo 2.2.8.4.2 del Decreto Único Reglamentario 1833 de 2016. Debe tenerse en cuenta lo dispuesto por el artículo 3.1.1 del mismo Decreto 1833 de 2016>
<Fuente original compilada: D. 876/94 Art. 4o.> En desarrollo de lo previsto en el artículo 86 de la Ley 100 de 1993, la persona que compruebe haber sufragado los gastos de entierro de un afiliado tendrá derecho a que la respectiva sociedad administradora le cancele, con cargo a sus propios recursos, el auxilio funerario de que trata dicho artículo. La administradora podrá, a su turno, repetir tal pago contra la entidad aseguradora de vida que hubiere expedido el correspondiente seguro de sobrevivientes.
Así mismo, la persona que compruebe haber sufragado los gastos de entierro de un pensionado bajo la modalidad de retiro programado que prevé el artículo 81 de la Ley 100 de 1993 tendrá derecho a que la respectiva sociedad administradora le cancele, con cargo a la correspondiente cuenta individual de ahorro pensional, el auxilio funerario. Tratándose de pensionados que estuvieren recibiendo una renta vitalicia, el auxilio lo pagará la respectiva entidad aseguradora.
Las sociedades administradoras o entidades aseguradoras, según corresponda, deberán cancelar el auxilio funerario dentro de los cinco (5) días hábiles siguientes a la fecha en la cual se les suministren los documentos mediante los cuales se acredite el pago de los gastos de entierro de un afiliado o pensionado.
PARÁGRAFO. Se considerarán pruebas suficientes para acreditar el derecho al auxilio funerario, entre otras, la certificación del correspondiente pago y la prueba de la muerte conforme a lo previsto en la ley.
ARTÍCULO 2.31.1.6.5 GARANTÍA DE LA RENTA VITALICIA. <Artículo modificado el artículo 64 del Decreto 1745 de 2020. El nuevo texto es el siguiente:>
Con sujeción a lo previsto en el Capítulo 2 del Título 6 del Libro 2 de la Parte 2 del Decreto 1833 de 2016 y las normas que lo adicionen o modifiquen, la entidad aseguradora de vida que hubiere expedido el seguro previsional de invalidez y sobrevivencia deberá garantizar a la respectiva sociedad administradora, a sus afiliados y beneficiarios:
1. La expedición de un seguro de renta vitalicia inmediata o el retiro programado con renta vitalicia diferido como modalidades para obtener su pensión, cuando así lo solicite expresamente el afiliado, el pensionado o sus beneficiarios según el caso, y
2. Que el seguro de renta vitalicia comprenda el pago de una pensión mensual no inferior al cien por ciento (100%) de la pensión de referencia utilizada para el cálculo del capital necesario.
En todo caso, la sociedad administradora deberá informar a los afiliados y sus beneficiarios la opción prevista en este artículo, la cual se incluirá en los formatos que con carácter general señale la Superintendencia Financiera de Colombia, según lo prevé el parágrafo del artículo 2.2.6.2.4. del Decreto 1833 de 2016.
La sociedad administradora respetará la libertad de contratación de seguros de renta vitalicia por parte del afiliado, según las disposiciones pertinentes.
ARTÍCULO 2.31.1.6.6 SEGURO EN CASO DE CESIÓN DEL FONDO DE PENSIONES.
<Fuente original compilada: D. 876/94 Art. 6o.> Cuando, en desarrollo de lo previsto en el Capítulo VIII del Decreto 656 de 1994, se efectúe la cesión de fondos de pensiones, de una sociedad administradora a otra, el seguro previsional de invalidez y sobrevivencia tomado por la sociedad administradora que actúe como cesionaria, asumirá los riesgos a partir del momento en el cual se perfeccione la cesión, oportunidad a partir de la cual las correspondientes primas deberán pagarse a la entidad aseguradora de vida que asegure los riesgos de invalidez y sobrevivencia de la sociedad administradora cesionaria.
ARTÍCULO 2.31.1.6.7 VERIFICACIÓN.
<Fuente original compilada: D. 876/94 Art. 7o.> La Superintendencia Financiera de Colombia verificará la sujeción de los respectivos contratos a lo previsto en este decreto, al aprobar las pólizas de seguros que emitan las entidades aseguradoras de vida que cuenten con autorización para la explotación de los ramos de seguros previsionales de invalidez y sobrevivientes y de pensiones.
ARTÍCULO 2.31.1.6.8 CÁLCULO DE LAS UTILIDADES. <Artículo adicionado por el artículo 3 del Decreto 2973 de 2013. El nuevo texto es el siguiente:>Diez (10) años después de que se termine la relación correspondiente a la póliza previsional de invalidez y de sobrevivencia, el saldo de la reserva podrá ser liberado. Una vez liberado, deberá recalcularse la utilidad de la póliza y efectuar la repartición de utilidades, de acuerdo con la fórmula ofrecida en la póliza, a la administradora de fondos de pensiones, las cuales deberán entregarse dentro del mes siguiente a la fecha en que se produjo la liberación del saldo de la reserva.
Para tal efecto, las entidades aseguradoras de vida deberán elaborar un informe con destino a la sociedad administradora correspondiente, en el cual se especifiquen las utilidades obtenidas durante la vigencia de la póliza y hasta la fecha en que se liberó el saldo de la reserva. Dentro de los cinco (5) días hábiles siguientes a aquel en que le sean entregados, la sociedad administradora deberá abonar el valor de las utilidades en la cuenta individual de ahorro pensional de todos sus afiliados a la fecha de distribución así:
La sociedad administradora tomará el valor total de las utilidades pagadas por la Aseguradora y lo dividirá por el número de años de vigencia de la póliza cuya reserva se está liberando, determinando así el monto de la utilidad para cada año.
El valor de la utilidad anual, será distribuido entre el número de personas que se encontraban afiliados a la sociedad administradora en ese año y que permanezcan afiliados a dicha sociedad a la fecha de la distribución de utilidades. Este procedimiento se repetirá para cada uno de los años de vigencia de la póliza respectiva.
ARTÍCULO 2.31.1.6.9 DECLARACIÓN SOBRE EL ESTADO DE RIESGO. <Artículo adicionado por el artículo 3 del Decreto 2973 de 2013. El nuevo texto es el siguiente:> En los términos del artículo 1058 del Código de Comercio, las administradoras de fondos de pensiones suministrarán a la aseguradora la información necesaria para efectos del cálculo de la prima de riesgo.
ARTÍCULO 2.31.1.6.10. MODIFICACIÓN A LA FORMULACIÓN APLICABLE. <Artículo adicionado por el artículo 3 del Decreto 2973 de 2013. El nuevo texto es el siguiente:>Las compañías que no hubieran considerado en el cálculo de la repartición de utilidades la constitución de las reservas reglamentadas en este decreto podrán pactar con la respectiva administradora de fondos de pensiones la modificación de la formulación aplicable.
RÉGIMEN DE RESERVAS PARA RIESGOS EN CURSO DE LOS REASEGUROS DEL EXTERIOR.
ARTÍCULO 2.31.1.7.1 CONSTITUCIÓN DEL DEPÓSITO DE RESERVA.
<Fuente original compilada: D. 1798/94 Art. 1o.> Las entidades aseguradoras y reaseguradoras estarán obligadas a constituir a los reaseguradores del exterior, el depósito de reserva, en los siguientes porcentajes:
| RAMOS DE SEGUROS | PORCENTAJE |
| Aviación, navegación y Minas y Petróleos | 10% |
| Manejo Global Bancario | 10% |
| Transportes | 20% |
| Otros ramos | 20% |
Las partes podrán estipular la tasa de interés que la entidad aseguradora reconocerá al reasegurador sobre el depósito de reserva.
ARTÍCULO 2.31.1.7.2 PERÍODO DE LA RETENCIÓN.
<Fuente original compilada: D. 1798/94 Art. 2o.> La retención del depósito de reserva se hará en la fecha de la cesión al reasegurador y el período durante el cual deberá mantenerse será igual a aquel en el cual la entidad aseguradora cedente mantenga la reserva propia del mismo seguro. El depósito de reserva relacionado con seguros cuya vigencia sea superior a un (1) año se liberará expirado el primer año de vigencia del seguro.
ARTÍCULO 2.31.1.7.3 PRUEBA DE LA CONSTITUCIÓN DEL DEPÓSITO DE RESERVA.
<Fuente original compilada: D. 1798/94 Art. 3o.> Las entidades aseguradoras acreditarán en las fechas señaladas para la presentación de los estados financieros ante la Superintendencia Financiera de Colombia, la retención de los depósitos de reserva regulados en este Decreto.
ARTÍCULO 2.31.1.7.4 INVERSIÓN DE LOS DEPÓSITOS DE RESERVA RETENIDOS.
<Artículo modificado por el artículo 4 del Decreto 2973 de 2013. El nuevo texto es el siguiente:> Los depósitos de reserva retenidos al reasegurador del exterior se sujetan al régimen de inversiones que señala el Título 3 del presente Libro.
ARTÍCULO 2.31.1.7.5 CONTRATOS NO PROPORCIONALES. <Artículo modificado el artículo 66 del Decreto 1745 de 2020. El nuevo texto es el siguiente:>
La obligación señalada en el artículo 2.31.1.7.1 del presente decreto no se aplica para los contratos de reaseguro no proporcionales.
ARTÍCULO 2.31.1.7.6 EXONERACIÓN DE LA OBLIGACIÓN DE RETENCIÓN.
<Fuente original compilada: D. 1798/94 Art. 6o.> Las entidades aseguradoras y reaseguradoras no tendrán que constituir el depósito de reserva en los siguientes casos:
a) En los ramos de seguros de aviación, navegación, minas y petróleos y manejo en los seguros globales bancarios, cuando la respectiva entidad aseguradora constituya por cuenta propia el depósito retenido que le correspondería al reasegurador;
b) Por autorización de la Superintendencia Financiera de Colombia, por razones de interés general, cuando se trate de riesgos catastróficos, especiales o de altísima severidad.
NORMAS APLICABLES A ALGUNAS OPERACIONES DE LAS ENTIDADES ASEGURADORAS.
PÓLIZAS DE SEGUROS EN MONEDA EXTRANJERA.
ARTÍCULO 2.31.2.1.1 UTILIZACIÓN DE SEGUROS EN MONEDA EXTRANJERA.
<Fuente original compilada: D. 2821/91 Art. 1o.> El valor asegurado de las pólizas de seguros que emitan entidades aseguradoras legalmente establecidas en el país se podrá expresar en moneda extranjera en los siguientes eventos:
1. Cuando los riesgos objeto del seguro se encuentren ubicados en territorio extranjero, la realización del riesgo tenga lugar en él, o la indemnización deba ser reconocida a una persona natural o jurídica domiciliada en el exterior.
2. En los seguros de daños a la propiedad, cuando el asegurado o beneficiario haya pactado la reposición a nuevo del interés asegurable y éste se encuentre representado por bienes, equipos electrónicos o maquinarias cuya reposición deba hacerse recurriendo a su importación.
3. Cuando el interés asegurable provenga de obligaciones contractuales fijadas en moneda extranjera contempladas por el régimen cambiario vigente.
4. Cuando para la indemnización, reposición o reemplazo del interés asegurable se deba recurrir necesariamente al mercado cambiario.
5. En los seguros de lucro cesante o sobre bienes de capital representativos o resultantes de la inversión de capital colombiano en el exterior o en zonas francas.
6. En los seguros de daños en naves aéreas y marítimas.
7. En los seguros de daños y lucro cesante en complejos industriales, de minas y petróleos, para el procesamiento de hidrocarburos o sus derivados, cuyo producto esté destinado, en su mayor parte, a la exportación.
8. En los seguros de cumplimiento que garanticen contratos financiados con empréstitos en moneda extranjera, a largo plazo y con entidades financieras o de fomento domiciliadas en el exterior.
9. En los seguros de fidelidad y manejo destinados únicamente al amparo individual del personal de las entidades autorizadas como intermediarios del mercado cambiario y cuya función implique el manejo, transacción y cuidado directo de moneda extranjera o de los títulos representativos de ésta.
10. En los seguros de responsabilidad civil derivada de los accidentes ocasionados a pasajeros y a terceros no transportados, los daños corporales que sufra la tripulación como consecuencia de accidentes causados por los vehículos terrestres, naves aéreas o marítimas legalmente autorizadas para el transporte internacional de pasajeros y/o mercancías.
12. En los seguros de responsabilidad civil derivada de los daños causados a bienes que temporalmente se encuentren en el territorio nacional, de propiedad de terceros no residentes en Colombia.
PARÁGRAFO. También será procedente la utilización de pólizas en moneda extranjera en los casos no previstos en el presente artículo, en los cuales se presenten situaciones análogas a las aquí previstas, previo concepto de la Superintendencia Financiera de Colombia.
ARTÍCULO 2.31.2.1.2 INVERSIÓN DE LAS RESERVAS.0
<Artículo derogado por el artículo 3 del Decreto 159 de 2016>
ARTÍCULO 2.31.2.1.3 REPORTE A LA SUPERINTENDENCIA FINANCIERA DE COLOMBIA.
<Fuente original compilada: D. 2821/91 Art. 3o.> Las entidades aseguradoras deberán informar a la Superintendencia Financiera de Colombia en forma agregada y con periodicidad trimestral acerca de las expediciones de pólizas que hubieren efectuado en moneda extranjera, para lo cual deberán diligenciar los formatos e informes contables o estadísticos que la Superintendencia Financiera de Colombia señale con carácter general.
ARTÍCULO 2.31.2.1.4 APLICACIÓN DE NORMAS CAMBIARIAS.
<Fuente original compilada: D. 2821/91 Art. 4o.> Las obligaciones derivadas de los contratos de seguros en moneda extranjera deberán sujetarse integralmente a las disposiciones vigentes en materia cambiaria.
RAMOS DE SEGUROS QUE SE PUEDEN COMERCIALIZAR MEDIANTE EL USO DE RED.
ARTÍCULO 2.31.2.2.1. REQUISITOS. <Artículo modificado por el artículo 1 del Decreto 34 de 2015. El nuevo texto es el siguiente:> Para los efectos previstos en el artículo 6o de la Ley 389 de 1997, en la comercialización de seguros a través del uso de red, se tendrán en cuenta los siguientes requisitos:
1. Universalidad. Es la característica consistente en que las pólizas de los ramos de seguros autorizados en este Capítulo, deben proteger intereses asegurables y riesgos comunes a todas las personas.
2. Sencillez. Es la característica consistente en que las pólizas de los ramos de seguros autorizados, sean de fácil comprensión y manejo para las personas.
3. Estandarización. Es la característica consistente en que el texto de las pólizas de los ramos de seguros autorizados, sea igual para todas las personas según la clase de interés que se proteja y por lo tanto, no exijan condiciones específicas ni tratamientos diferenciales a los asegurados.
4. Comercialización masiva. Es la distribución de las pólizas de los ramos autorizados a través de la red de los establecimientos de crédito y de corresponsales, siempre que cumpla con las condiciones o requisitos antes señalados.
PARÁGRAFO. La comercialización masiva de seguros podrá llevarse a cabo siempre y cuando la vinculación se realice directamente por la compañía aseguradora, a través de los intermediarios de seguros autorizados por la Superintendencia Financiera de Colombia, mediante el Uso de Red de establecimientos de crédito para los ramos estipulados en el artículo 2.31.2.2.2 del presente decreto, o de corresponsales para los ramos estipulados en el artículo 2.36.9.1.18 del presente decreto. Así mismo, dicha Superintendencia establecerá los estándares o condiciones generales que deberán cumplir las pólizas de seguros que se comercialicen masivamente.
ARTÍCULO 2.31.2.2.2 RAMOS DE SEGUROS. <Artículo modificado por el artículo 2 del Decreto 2123 de 2018. El nuevo texto es el siguiente:>
Se consideran idóneos para ser comercializados mediante la red de los establecimientos de crédito los siguientes ramos, siempre y cuando las pólizas cumplan con los requisitos establecidos en el artículo 2.31.2.2.1 del presente decreto.
1. Seguro Obligatorio de Accidentes de Tránsito.
2. Seguro de automóviles.
3. Seguro de exequias.
4. Accidentes personales.
5. Seguro de desempleo.
6. Seguro educativo.
7. Vida individual.
8. Seguro de pensiones voluntarios.
9. Seguro de salud.
10. Seguro de responsabilidad civil.
11. Seguro de incendio.
12. Seguro de terremoto.
13. Seguro de sustracción.
14. Seguro agrícola.
15. Seguro del hogar.
16. Seguro colectivo de vida.
17. Seguro vida grupo.
18. Los demás ramos que la Superintendencia Financiera de Colombia establezca, de acuerdo con la evaluación de riesgos y condiciones que resulten aplicables para garantizar el cumplimiento de lo establecido en el 2.31.2.2.1 del presente decreto.
Se entienden autorizadas todas aquellas operaciones de recaudo, recepción, pago, transferencia, entrega de dinero. Adicionalmente, la entrega y recepción de solicitudes, documentos, informes, boletines, certificados y en general toda aquella información relacionada con los seguros comercializados a través del uso de red y de corresponsales.
PARÁGRAFO 1. Con sujeción a lo previsto en el artículo 6o de la Ley 389 de 1997, en la realización del contrato de seguro, adquirido a través de la red de establecimientos de crédito, no se podrán exigir condiciones previas para el inicio del amparo de la póliza o para la subsistencia de la misma, según el caso, distintas de los principales elementos considerados para asumir los riesgos propios del amparo de la póliza. De la misma manera, las condiciones del mismo no podrán ser modificadas unilateralmente por la entidad aseguradora.
PARÁGRAFO 2. Para el ramo de automóviles no podrán exigirse requisitos o condiciones específicas de ninguna naturaleza como condición previa al inicio del amparo de la póliza o para la subsistencia de la cobertura, tales como la revisión o el avalúo del automotor.
Para el ramo de accidentes personales, se podrán comercializar los seguros que ofrezcan coberturas adicionales a las obligatorias establecidas en el Libro Tercero de la Ley 100 de 1993 y el Decreto-ley 1295 de 1994.
Para el ramo de seguros de salud se podrán comercializar a través de la red de establecimientos de crédito, los seguros que se ajusten a lo establecido en el artículo 2.2.4.4 del Decreto 780 de 2016.
ARTÍCULO 2.31.2.2.3 CONDICIONES PARA LA UTILIZACIÓN DE LA RED. <Fuente original compilada: D. 1367/98 Art. 3o.>
<Inciso modificado el artículo 67 del Decreto 1745 de 2020. El nuevo texto es el siguiente:>
La red de los establecimientos de crédito a que hace referencia el presente Capítulo podrá utilizarse para la promoción y gestión de las operaciones autorizadas exclusivamente a las entidades aseguradoras, las sociedades de capitalización y los intermediarios de seguros, de acuerdo con las condiciones señaladas en el presente Capítulo y bajo términos contractuales que no impliquen delegación de profesionalidad o que el establecimiento de crédito desarrolle actividades para las cuales no está legalmente habilitado. De conformidad con el artículo 5 de la Ley 389 de 1997, deberán cumplirse las siguientes condiciones:
a) La celebración de un contrato de uso de red remunerado entre el establecimiento de crédito y el usuario de la red, en el cual se deberán detallar las condiciones mínimas en las que será ejecutado el contrato, precisando las condiciones en que habrán de trasladarse los dineros recaudados por el establecimiento de crédito a las entidades usuarias de la red;
b) La capacitación, por parte de la entidad usuaria de la red, de las personas que en virtud del contrato de uso de red deban cumplir con el objeto del contrato;
c) La adopción de las medidas necesarias para que el público identifique claramente que la entidad usuaria de la red es una persona jurídica distinta y autónoma del establecimiento de crédito cuya red se utiliza;
d) Deberá indicarse que las obligaciones del establecimiento de crédito, en desarrollo del contrato de uso de red, se limitan al correcto cumplimiento de las instrucciones debidamente impartidas por la entidad usuaria. Para el efecto, en todo documento se indicará que el establecimiento de crédito actúa bajo la exclusiva responsabilidad de la entidad usuaria de la red, de tal manera que sus obligaciones se limitan al correcto cumplimiento de las funciones delegadas expresamente en el respectivo contrato;
e) El servicio deberá ser remunerado y obedecer a una tarifa acorde con las prestaciones que surjan con ocasión del contrato de uso de red.
ARTÍCULO 2.31.2.2.4 CONTRATOS DE USO DE RED Y PRODUCTOS A SER COMERCIALIZADOS.
<Fuente original compilada: D. 1367/98 Art. 4o.> El texto de los contratos que celebren las entidades usuarias de la red y los establecimientos de crédito, deberá remitirse a la Superintendencia Financiera de Colombia con treinta (30) días hábiles de antelación a la celebración de los mismos. Las entidades usuarias de la red, deberán enviar a la Superintendencia Financiera de Colombia, previamente a su utilización, las pólizas de seguros que se comercializarán a través de la red de los establecimientos de crédito, en los términos del artículo 184 del Estatuto Orgánico del Sistema Financiero. Para el caso de las pólizas de los ramos autorizados que se deseen comercializar a través de la red de establecimientos de crédito y se encuentren a disposición de la Superintendencia Financiera de Colombia, la entidad sólo deberá informar de su utilización.
ARTÍCULO 2.31.2.2.5. UTILIZACIÓN Y PRESTADORES DE LA RED. <Artículo modificado por el artículo 6 del Decreto 1491 de 2015. El nuevo texto es el siguiente:> Podrán ser igualmente comercializados mediante la red de las sociedades de servicios financieros, las sociedades comisionistas de bolsa de valores, las comisionistas independientes de valores, las sociedades administradoras de inversión, las sociedades administradoras de depósitos centralizados de valores, las Sociedades Especializadas en Depósitos y Pagos Electrónicos, (SEDPE), los ramos de seguros de que trata el presente capítulo bajo los requisitos y condiciones allí previstos.
REGISTRO ÚNICO DE SEGUROS (RUS).
<Artículo adicionado por el artículo 1 del Decreto 2775 de 2010. El nuevo texto es el siguiente:> <Fuente original: D. 3680/09 Art. 1o.> Establecer la forma y condiciones bajo las que será administrado el Registro Único de Seguros (RUS), así como las obligaciones a las cuales deben sujetarse quienes suministren o consulten la información del mencionado registro.
ARTÍCULO 2.31.2.3.2. CONDICIONES DEL RUS.
<Artículo adicionado por el artículo 1 del Decreto 2775 de 2010. El nuevo texto es el siguiente:> <Fuente original: D. 3680/09 Art. 2o.> El Registro Único de Seguros (RUS), deberá cumplir con los siguientes requisitos:
a) Garantizar la reserva y confidencialidad de la información;
b) Contar con un sistema adecuado de seguridad y la infraestructura técnica suficiente para garantizar el manejo de la información administrada;
c) Contar con mecanismos que impidan el deterioro, pérdida, alteración, uso no autorizado o fraudulento de la información;
d) Contar con los recursos necesarios para suministrar de manera oportuna la información solicitada;
e) Contar con políticas para el manejo de la información, atendiendo el tipo o ramo de seguros objeto de consulta, lo cual podrá conllevar diferentes niveles de acceso, de acuerdo con la reserva de la información;
f) Contar con los mecanismos de seguridad necesarios para garantizar la confidencialidad y conservación de la información, así como el acceso restringido a la misma.
ARTÍCULO 2.31.2.3.3. MANEJO DE LA INFORMACIÓN. <Artículo adicionado por el artículo 1 del Decreto 2775 de 2010. El nuevo texto es el siguiente:> <Fuente original: D. 3680/09 Art. 3o.>La información contenida en el Registro Único de Seguros (RUS), podrá manejarse de alguna de las siguientes formas:
a) Centralizado. A través de la cual el RUS, contará con una base de datos en la que almacenará la información relacionada con la existencia de la póliza y la entidad aseguradora que la expidió, de conformidad con los datos reportados por las aseguradoras.
b) Canalizado. A través de la cual el RUS se encargará de requerir a las entidades aseguradoras, mediante el mecanismo que diseñe para el efecto, a fin de que remitan la información relacionada con la existencia de la póliza, los tomadores, asegurados y beneficiarios. Para este fin, las entidades aseguradoras deberán contar con una base de datos actualizada que contenga la información necesaria para atender las solicitudes que se le formulen.
ARTÍCULO 2.31.2.3.4. CONTENIDO DEL RUS.
<Artículo adicionado por el artículo 1 del Decreto 2775 de 2010. El nuevo texto es el siguiente:> <Fuente original: D. 3680/09 Art. 4o.> El Registro Único de Seguros se conformará con la información sobre los siguientes tipos o ramos de seguros:
1. Seguros de automóviles en su cobertura de responsabilidad civil.
2. Seguros de vida grupo e individual.
3. Seguro obligatorio de bienes comunes.
La inclusión de otros ramos se realizará gradualmente al RUS cuando se advierta un interés legítimo de contar con información sobre otros tipos o ramos de seguros y cuando medie solicitud expresa y fundamentada en tal sentido dirigida al Ministerio de Hacienda y Crédito Público.
PARÁGRAFO. Con el fin de evitar la duplicidad en el reporte, la información relacionada en registros de seguros obligatorios ya existentes, tal como el establecido en la Ley 1005 de 2006, referido a las pólizas de seguros obligatorios expedidas en Colombia y reportadas al Registro Único Nacional de Tránsito (RUNT), se sujetará a las reglas y condiciones establecidas por las normas que lo regulan específicamente respecto de su administración, consulta y acceso a la información.
ARTÍCULO 2.31.2.3.5. DEBERES DE LAS ENTIDADES ASEGURADORAS.
<Artículo adicionado por el artículo 1 del Decreto 2775 de 2010. El nuevo texto es el siguiente:> <Fuente original: D. 3680/09 Art. 5o.> Sin perjuicio del cumplimiento de lo dispuesto en el presente capítulo, las entidades aseguradoras tendrán las siguientes obligaciones:
a) Suministrar al RUS, la información sobre la existencia o no de la póliza y, en el primer caso, si el consultante tiene la condición de tomador, beneficiario o asegurado de la misma;
b) Suministrar la información solicitada por el consultante del RUS, previa acreditación de la condición en que actúa, siempre que la misma no esté sujeta a reserva;
c) Colaborar activamente con el RUS en la atención de las solicitudes con el fin de que los consultantes obtengan información veraz, precisa, completa y oportuna;
d) Reportar y actualizar la información de las pólizas contenidas en el RUS, cuando este disponga de un manejo centralizado de la información;
e) Implementar y actualizar en forma permanente una base de datos que contenga la información sobre las pólizas vigentes, sus tomadores, beneficiarios y asegurados con el fin de tener un registro actualizado que permita dar respuesta oportuna a las solicitudes que se presenten ante el RUS.
PARÁGRAFO. Será responsabilidad exclusiva de las entidades aseguradoras el reporte de la información en forma completa, veraz, verificable y comprobable. En el evento en que la información que se suministre o reporte no cumpla con los anteriores requisitos, corresponderá a la Superintendencia Financiera de Colombia adelantar las actuaciones a que haya lugar e imponer las sanciones previstas en el artículo 208 del Estatuto Orgánico del Sistema Financiero.
ARTÍCULO 2.31.2.3.6. DEBERES DE LOS CONSULTANTES.
<Artículo adicionado por el artículo 1 del Decreto 2775 de 2010. El nuevo texto es el siguiente:> <Fuente original: D. 3680/09 Art. 6o.> Los consultantes de la información contenida en el RUS tendrán las siguientes obligaciones:
a) Formular en forma clara y precisa las consultas o solicitudes sobre existencia de pólizas de seguros vigentes y el nombre de la aseguradora que la haya expedido;
b) Dirigirse a la aseguradora respectiva, cuando sea del caso, para obtener información acerca de la condición de beneficiario, tomador o asegurado, previa la acreditación de la condición en que actúa.
RÉGIMEN DE INVERSIÓN DE LAS RESERVAS TÉCNICAS DE LAS ENTIDADES ASEGURADORAS Y LAS SOCIEDADES DE CAPITALIZACIÓN.
ARTÍCULO 2.31.3.1.1. CRITERIOS DE INVERSIÓN DE LAS RESERVAS TÉCNICAS.
<Artículo sustituido por el artículo 1 del Decreto 2953 de 2010. El nuevo texto es el siguiente:> Las decisiones de inversión que efectúen las entidades aseguradoras y sociedades de capitalización para respaldar las reservas técnicas que sea necesario constituir, netas del activo de transferencia de riesgo al reasegurador, deben contar con la requerida seguridad, rentabilidad y liquidez, en las condiciones y con sujeción a los límites que a continuación se establecen en este Título 3 del Libro 31 de la Parte 2 del presente decreto.
<Inciso modificado por el artículo 1 del Decreto 2103 de 2016. El nuevo texto es el siguiente:> Para los efectos de la aplicación del presente título, las referencias que se hagan a las reservas técnicas se entenderán hechas a las reservas técnicas netas del activo que contabiliza las contingencias a cargo del reasegurador descrito en el artículo 2.31.4.1.3 del presente decreto.
ARTÍCULO 2.31.3.1.2. INVERSIONES ADMISIBLES DE LAS RESERVAS TÉCNICAS. <Artículo sustituido por el artículo 1 del Decreto 2953 de 2010. El nuevo texto es el siguiente:>
<Inciso modificado por el artículo 2 del Decreto 2103 de 2016. El nuevo texto es el siguiente:> De acuerdo con los criterios establecidos en el artículo anterior, la totalidad de las reservas técnicas de las entidades aseguradoras y sociedades de capitalización, deben estar permanentemente invertidas exclusivamente en los activos que se señalan a continuación y con las condiciones establecidas en este Título. Las inversiones que no cumplan con estos requisitos no serán computadas como inversión de las reservas técnicas.
1. Títulos, valores o participaciones de emisores nacionales:
1.1 Títulos de deuda pública.
1.1.1 Títulos de deuda pública interna y externa, emitidos o garantizados por la Nación.
1.1.2 Otros títulos de deuda pública.
1.2 Títulos de deuda cuyo emisor, garante o aceptante sea una entidad vigilada por la Superintendencia Financiera de Colombia, incluyendo al Fondo de Garantías de Instituciones Financieras (FOGAFIN) y al Fondo de Garantías de Entidades Cooperativas (FOGACOOP).
1.3 Bonos y títulos hipotecarios, Ley 546 de 1999, y otros títulos de contenido crediticio derivados de procesos de titularización de cartera hipotecaria.
1.4 Títulos de contenido crediticio derivados de procesos de titularización cuyos activos subyacentes sean distintos a cartera hipotecaria.
1.5 Títulos del Banco de la República.
1.6 Títulos de deuda cuyo emisor o garante sea una entidad no vigilada por la Superintendencia Financiera de Colombia.
1.7 <Subnumeral modificado por el artículo 2 del Decreto 2103 de 2016. El nuevo texto es el siguiente:> Participaciones en fondos de inversión colectiva abiertos sin pacto de permanencia, y/o fondos bursátiles de que trata la Parte 3 del presente decreto, cuya política de inversión considere como activos admisibles aquellos distintos a títulos y/o valores participativos. Se excluyen los fondos de inversión colectiva apalancados de que trata el Capítulo 5 del Título 1 del Libro 1 de la Parte 3 del presente decreto.
1.8 <Subnumeral modificado por el artículo 2 del Decreto 2103 de 2016. El nuevo texto es el siguiente:> Participaciones en fondos de inversión colectiva abiertos con pacto de permanencia y/o cerrados de que trata la Parte 3 del presente decreto, cuya política de inversión considere como activos admisibles aquellos distintos a títulos y/o valores participativos. Se excluyen los fondos de inversión colectiva apalancados de que trata el Capítulo 5 del Título 1 del Libro 1 de la Parte 3 del presente decreto.
1.9 <Subnumeral modificado por el artículo 2 del Decreto 2103 de 2016. El nuevo texto es el siguiente:> Participaciones en fondos de inversión colectiva inmobiliarios de las que trata el Libro 5 la Parte 3 del presente decreto, títulos de contenido crediticio, participativos o mixtos derivados de procesos de titularización cuyos activos subyacentes sean de naturaleza inmobiliaria, y participaciones en fondos bursátiles cuyo índice se haya construido a partir de precios de commodities o divisas.
1.10 Títulos y/o valores participativos.
1.10.1 Acciones de alta y media bursatilidad, certificados de depósitos negociables representativos de dichas acciones (ADRs y GDRs) y acciones provenientes de procesos de privatización o con ocasión de la capitalización de entidades donde el Estado tenga participación.
1.10.2 Acciones de baja y mínima bursatilidad o certificados de depósitos negociables representativos de dichas acciones (ADRs y GDRs).
1.10.3 <Subnumeral modificado por el artículo 2 del Decreto 2103 de 2016. El nuevo texto es el siguiente:> Participaciones en fondos de inversión colectiva abiertas sin pacto de permanencia, incluidos los fondos bursátiles, de que trata la Parte 3 del presente decreto, cuya política de inversión considere como activo admisible los títulos y/o valores participativos. Se excluyen los fondos de inversión colectiva apalancados de que trata el Capítulo 5 del Título 1 del Libro 1 de la Parte 3 del presente decreto.
1.10.4 <Subnumeral modificado por el artículo 2 del Decreto 2103 de 2016. El nuevo texto es el siguiente:> Participaciones en fondos de inversión colectiva abiertas con pacto de permanencia o cerradas, de que trata la Parte 3 del presente decreto, cuya política de inversión considere como activo admisible los títulos y/o valores participativos. Se excluyen los fondos de inversión colectiva apalancados de que trata el Capítulo 5 del Título 1 del Libro 1 de la Parte 3 del presente decreto.
1.10.5 Títulos participativos o mixtos derivados de procesos de titularización cuyos activos subyacentes sean distintos a cartera hipotecaria.
1.10.6 Acciones no inscritas en el Registro Nacional de Valores y Emisores, RNVE.
1.11 Inversiones en fondos de capital privado que tengan por finalidad: <Numeral modificado por el artículo 13 del Decreto 1393 de 2020. El nuevo texto es el siguiente:> 1. Invertir en empresas o proyectos productivos en los términos previstos en la Parte 3 del presente decreto o d más normas que lo modifiquen o sustituyan, incluidos los fondos que invierten en fondos de capital privado, conocidos como “fondos de fondos” y los fondos de capital privado inmobiliarios;
2. Invertir en títulos, derechos económicos o instrumentos representativos de deuda, en los términos previstos en la Parte 3 de este decreto, conocidos como “fondos de deuda privada”, incluidos los fondos que inviertan en fondos de deuda privada.
La entidad aseguradora o la sociedad de capitalización podrá adquirir compromisos para participar o entregar dinero, sujetos a plazo o condición, para realizar la inversión prevista en el presente numeral
Considerando la naturaleza de los fondos de capital privado, la entidad aseguradora o la sociedad de capitalización, debe tener a disposición de la Superintendencia Financiera de Colombia: 1) los criterios de inversión y riesgo que se tuvieron en cuenta para realizar la inversión y las evaluaciones de la relación riesgo-retorno de los mismos frente a los resultados esperados, y 2) la documentación relacionada con la inversión o su participación. La obligación aquí prevista deberá estar incluida dentro de sus políticas de inversión.
La Sociedad Administradora del fondo de capital privado o el Gestor Profesional, en caso de que exista, deberá tener a disposición de sus inversionistas toda la información relevante acerca de la constitución de los portafolios de inversión, la valoración de los activos subyacentes y los elementos que permitan conocer, identificar y valorar, entre otras, cada una de sus inversiones. De acuerdo con lo anterior, la política de inversión de los fondos de capital privado deberá estar definida de manera previa y clara en su reglamento, deberá contemplar el plan de inversiones, indicando el tipo de activos subyacentes y los criterios para su selección. Adicionalmente, el reglamento deberá establecer el tipo de inversionistas permitidos en el fondo de capital privado.
Al momento de realizar la inversión y durante la vigencia de la misma, la entidad aseguradora o la sociedad de capitalización deberá verificar que el gerente del fondo de capital privado cuando haga las veces de gestor profesional, o el gestor profesional, según sea el caso, acredite por lo menos cinco (5) años en la administración o gestión del (los) activo(s) subyacente(s) del fondo, dentro o fuera de Colombia. Tratándose de fondos de capital privado que cuenten con un gestor profesional que sea una persona jurídica, dicha experiencia también podrá ser acreditada por su representante legal o su matriz. En el caso de los fondos subyacentes en los denominados “fondos de fondos”, para dichos fondos subyacentes será igualmente exigible el requisito de experiencia del gerente o del gestor.
No serán admisibles las inversiones en fondos de capital privado que inviertan en activos, participaciones y títulos cuyo emisor, aceptante, garante o propietario sea la entidad aseguradora o la sociedad de capitalización, las filiales o subsidiarias de la misma, su matriz o las filiales o subsidiarias de esta, salvo que se trate de fondos de capital privado que destinen al menos dos terceras (2/3) partes de los aportes de sus inversionistas a proyectos de infraestructura, cuyas inversiones sean aprobadas por la Junta Directiva de la entidad aseguradora o de la sociedad de capitalización. Órgano que al momento de realizar la inversión y durante la vigencia de la misma deberá garantizar que:
i. El gerente del fondo de capital privado cuando haga las veces de gestor profesional, o el gestor profesional, según sea el caso, y los miembros del Comité de· inversiones tengan la calidad de independientes de la entidad aseguradora o sociedad de capitalización, conforme a lo previsto en el parágrafo segundo del artículo 44 de la Ley 964 de 2005. En los casos en los que el gestor profesional sea una persona jurídica, el mismo no deberá ser vinculado a la aseguradora o sociedad de capitalización, aplicando la definición contenida en el artículo 2.31.3.1.12 del presente decreto.
ii. La suma de las participaciones de los recursos propios y de terceros administrados por la entidad aseguradora o sociedad de capitalización y de sus vinculados, sea menor al cincuenta por ciento (50%) del valor del patrimonio del fondo de capital privado. Para la aplicación de este límite deberá tenerse en cuenta la definición de vinculado contenida en el artículo 2.31.3.1.12 del presente decreto y entenderse como patrimonio del fondo de capital privado el valor total de los compromisos de capital y los aportes al mismo.
Cuando se trate de fondos de capital privado que destinen al menos dos terceras partes (2/3) de los aportes de sus inversionistas a invertir o financiar proyectos de infraestructura, y estos proyectos se estructuren bajo un esquema diferente a las Asociaciones Público Privadas (APP) descrito en la Ley 1508 de 2012, la entidad aseguradora o de la sociedad de capitalización deberá verificar que este tipo de proyectos cumplen las siguientes condiciones:
a) Que participen en la financiación del proyecto de infraestructura establecimientos de crédito, entidades multilaterales de crédito y/o entidades de crédito internacionales sometidos a vigilancia comprensiva y consolidada por parte de una jurisdicción que sea miembro del Comité de Supervisión Bancaria de Basilea;
b) La estructuración financiera del proyecto de infraestructura haya sido llevada a cabo por parte de entidades y equipos que cumplen los criterios de idoneidad, experiencia relacionada y proporcional a la naturaleza y el monto de la inversión y trayectoria que se definen explícitamente en la Política de inversión de la entidad aseguradora o de la sociedad de capitalización.
La Sociedad Administradora del fondo de capital privado deberá verificar que se dé cumplimiento a lo dispuesto en los literales i), ii), a) y b) antes citados, informarlo al Comité de vigilancia del fondo de capital privado para el cumplimiento de sus funciones y mantener dicha verificación a disposición de la Superintendencia Financiera de Colombia.
2. Títulos, valores o participaciones de emisores del exterior.
2.1 Títulos de deuda emitidos o garantizados por gobiernos extranjeros o bancos centrales extranjeros.
2.2 Títulos de deuda cuyo emisor, garante, aceptante u originador de una titularización sean bancos del exterior, comerciales o de inversión.
2.3 Títulos de deuda cuyo emisor, garante u originador de una titularización sean entidades del exterior diferentes a bancos.
2.4 Títulos de deuda emitidos o garantizados por organismos multilaterales de crédito.
2.5 <Subnumeral modificado por el artículo 3 del Decreto 2103 de 2016. El nuevo texto es el siguiente:> Participaciones en fondos representativos de índices de renta fija, incluidos los ETFs (por sus siglas en inglés Exchange Traded Funds) cuyo índice se haya construido a partir de instrumentos de renta fija, y participaciones en fondos mutuos o de inversión internacionales (mutual funds) o esquemas de inversión colectiva que tengan estándares de regulación y supervisión equivalentes a los de éstos, que tengan por objetivo principal invertir en títulos de deuda.
2.6 Títulos y/o valores participativos.
2.6.1 <Subnumeral modificado por el artículo 3 del Decreto 2103 de 2016. El nuevo texto es el siguiente:> Participaciones en fondos representativos de índices de acciones, incluidos los ETFs (por sus siglas en inglés Exchange Traded Funds), cuyo índice se haya construido a partir de acciones, participaciones en fondos mutuos o de inversión internacionales (mutual funds) o esquemas de inversión colectiva que tengan estándares de regulación y supervisión equivalentes a los de éstos, que tengan por objetivo principal invertir en acciones o sean balanceados, entendiendo por estos últimos aquellos que invierten en acciones y en títulos de deuda, sin que tenga como objeto principal la inversión en alguno de estos tipos de activos.
2.6.2 Acciones emitidas por entidades del exterior o certificados de depósitos negociables representativos de dichas acciones (ADRs y GDRs).
2.7 <Inciso modificado por el artículo 13 del Decreto 1393 de 2020. El nuevo texto es el siguiente:> Participaciones en fondos de capital privado constituidos en el exterior, incluidos los fondos que invierten en fondos de capital privado, conocidos como “fondos de fondos”, los fondos de deuda privada y los fondos de capital privado inmobiliarios.
Para todos los efectos, se debe entender como fondos de capital privado constituidos en el exterior, aquellos fondos creados por fuera de Colombia que, de conformidad con la regulación aplicable en su domicilio se consideren o tengan la naturaleza de fondos de capital privado, independientemente de la denominación, de la forma organizacional, legal o corporativa que dichos fondos asuman, según la ley, en su jurisdicción y de los instrumentos de inversión subyacentes en que estos inviertan. Cuando no haya regulación aplicable, en el prospecto o reglamento del fondo objeto de inversión deberá informarse que se trata de esta clase de inversión o, en su defecto, podrá acreditarse que se trata de un fondo de capital privado por medio de una certificación expedida por su administrador o gestor.
Considerando la naturaleza de estos fondos, la entidad aseguradora o la sociedad de capitalización debe tener a disposición de la Superintendencia Financiera de Colombia:
i) los criterios de inversión y riesgo que se tuvieron en cuenta para realizar la inversión y las evaluaciones de la relación riesgo-retorno de los mismos frente a los resultados esperados, y ii) la documentación relacionada con la inversión o su participación. La obligación aquí prevista deberá estar incluida dentro de sus políticas de inversión.
Así mismo, al momento de realizar la inversión y durante la vigencia de la misma, la entidad aseguradora o la sociedad de capitalización deberán verificar el cumplimiento de los siguientes requisitos:
a) Las entidades que tengan responsabilidad por la administración y gestión del fondo de capital privado o sus matrices deberán estar constituidas en una jurisdicción con grado de inversión según las escalas de calificación de una sociedad calificadora reconocida internacionalmente.
b) <Literal modificado por el artículo 3 del Decreto 2103 de 2016. El nuevo texto es el siguiente:> La entidad administradora del fondo de capital privado o el gestor profesional o la matriz del gestor profesional acrediten un mínimo de mil millones de dólares (US$1.000 millones) en inversiones o activos administrados que puedan catalogarse como de capital privado.
c) El gestor del fondo, ya sea persona jurídica o persona natural, deberá acreditar por lo menos cinco (5) años de operación en la administración o gestión del (los) activo(s) subyacente(s) del fondo. Tratándose de fondos de capital privado que cuenten con un gestor profesional que sea una persona jurídica, dicha experiencia podrá ser acreditada por su representante legal. En el caso de los fondos subyacentes en los denominados “fondos de fondos”, para dichos fondos subyacentes será igualmente exigible el requisito de experiencia del gestor.
d) En el prospecto o reglamento del fondo se debe especificar claramente los objetivos del mismo, sus políticas de inversión y de administración de riesgos, así como el funcionamiento de los órganos de control y de gobierno.
e) La sociedad administradora o el gestor profesional del fondo tienen la obligación de tener a disposición de los inversionistas toda la información relevante acerca de la constitución de los portafolios de inversión y los elementos que permitan conocer, identificar y valorar, entre otras, cada una de sus inversiones.
Los requisitos y condiciones establecidas en los literales a, b, c, y e, anteriores pueden acreditarse a través del reglamento o prospecto del fondo de capital privado o por medio de carta o certificación expedida por la sociedad administradora del fondo de capital privado o el gestor profesional según corresponda.
2.8 <Subnumeral adicionado por el artículo 4 del Decreto 2103 de 2016. El nuevo texto es el siguiente:> Participaciones en fondos representativos de índices de commodities o divisas, incluidos los ETFs (por sus siglas en inglés Exchange Traded Funds) cuyo índice se haya construido a partir de precios de commodities o divisas, o esquemas de inversión colectiva que tengan estándares de regulación y supervisión equivalentes a los de estos, que en su prospecto o reglamento tengan por objeto principal invertir en commodities o divisas.
2.9 <Subnumeral adicionado por el artículo 4 del Decreto 2103 de 2016. El nuevo texto es el siguiente:> Participaciones en Hedge Funds o esquemas de inversión colectiva que tengan estándares de regulación y supervisión equivalentes a los de estos
2.10 <Subnumeral adicionado por el artículo 4 del Decreto 2103 de 2016. El nuevo texto es el siguiente:> Participaciones en fondos o esquemas de inversión colectiva que en su prospecto o reglamento tengan por objeto principal invertir en activos de naturaleza inmobiliaria incluidos los REITS (por sus siglas en inglés Real Estate Investment Trust). Así como, las inversiones descritas en los numeral 2.2 y 2.3 cuando tengan como subyacente o inviertan en bienes inmuebles ubicados en el exterior.
3. Otras inversiones y operaciones
3.1 <Subnumeral modificado por el artículo 5 del Decreto 2103 de 2016. El nuevo texto es el siguiente:> Depósitos a la vista en establecimientos de crédito nacionales, incluyendo las sucursales de establecimientos de crédito nacionales en el exterior. Para este propósito se deducirán los descubiertos en cuenta corriente registrados en el pasivo
3.2 Depósitos a la vista en bancos del exterior.
3.3 Operaciones de reporto o repo activas y operaciones simultáneas activas.
3.3.1 Operaciones de reporto o repo activas y operaciones simultáneas activas de que trata el Título 3 del Libro 36 de la Parte 2 del presente decreto o demás normas que lo modifiquen o sustituyan, sobre inversiones admisibles. En ningún momento se pueden realizar estas operaciones con las filiales o subsidiarias de la entidad aseguradora o sociedad de capitalización, su matriz o las filiales o subsidiarias de esta.
Las inversiones que reciban la entidad aseguradora o sociedad de capitalización en desarrollo de estas operaciones computarán por el valor entregado a la contraparte para efectos del cumplimiento de todos los límites de que trata este Título 3 del Libro 31 de la Parte 2 del presente decreto. Los señalados valores no podrán ser transferidos de forma temporal o definitiva a un tercero durante el plazo de la operación y sólo podrán ser transferidos para cumplir la operación.
3.3.2 Operaciones de reporto o repo activas y operaciones simultáneas activas celebradas a través de sistemas de negociación de valores de la Bolsa Mercantil de Colombia sobre Certificados de Depósito de Mercancías (CDM).
3.4 Operaciones con instrumentos financieros derivados con fines de cobertura y con fines de inversión. Para el efecto se tendrá en cuenta la definición prevista por la Superintendencia Financiera de Colombia.
3.4.1 Instrumentos financieros derivados con fines de cobertura.
Estas operaciones deberán cumplir con los requisitos de documentación y de efectividad de la cobertura que señale la Superintendencia Financiera de Colombia para los instrumentos financieros derivados, sin importar que las posiciones primarias objeto de cobertura formen parte del 'Libro de Tesorería'.
Los límites de tales operaciones de cobertura los podrá establecer la entidad aseguradora o sociedad de capitalización. La entidad aseguradora o sociedad de capitalización podrá cerrar una posición de un instrumento financiero derivado con fines de cobertura, siempre que los contratos se realicen sobre el mismo activo objeto de cobertura y su vencimiento sea igual o se encuentre dentro de los treinta (30) días calendario anteriores a la fecha de cumplimiento de la posición que se cierra.
La entidad aseguradora o sociedad de capitalización establecerá las condiciones que deben reunir las contrapartes para poder negociar instrumentos financieros derivados con fines de cobertura, indicando para el efecto criterios de selección de las mismas, tales como su solvencia, volumen y tipo de instrumentos a negociar con cada una de ellas, experiencia exigida y sistemas de control de riesgos y seguimiento de los mismos, entre otros. También se podrán negociar instrumentos financieros derivados con fines de cobertura cuya compensación y liquidación se realice a través de las cámaras de riesgo central de contraparte tanto locales, autorizadas por la Superintendencia Financiera de Colombia, como extranjeras señaladas por la citada Superintendencia, evento en el cual los requisitos previstos en este párrafo no serán exigibles.
En ningún momento se pueden negociar instrumentos financieros derivados con fines de cobertura en el mercado mostrador con entidades vinculadas a la respectiva entidad aseguradora o sociedad de capitalización, teniendo en cuenta para el efecto, el término de vinculado descrito en el artículo 2.31.3.1.12 del presente decreto.
La suma de las posiciones de cobertura de moneda extranjera, medida en términos netos, mediante tales instrumentos, no podrá exceder el valor de mercado de las inversiones de las reservas denominadas en moneda extranjera. Para el efecto, se entiende por términos netos:
a) Tratándose de contratos de futuros y forward, la diferencia, que en ningún caso podrá ser negativa, entre el valor nominal, en moneda extranjera, de las divisas vendidas producto de la negociación de instrumentos financieros derivados con fines de cobertura y el valor nominal, en moneda extranjera, de las divisas compradas con el objeto de cerrar la posición en un instrumento financiero derivado con fines de cobertura.
b) En el caso de los contratos de opciones, la diferencia, que en ningún caso podrá ser negativa, entre la suma de las divisas que se tiene derecho a vender y la suma de las divisas respecto de las cuales se tiene la obligación de comprar.
La entidad aseguradora o sociedad de capitalización, con los recursos que respaldan las reservas técnicas podrá adquirir instrumentos financieros derivados de crédito, siempre que su finalidad sea exclusivamente de cobertura y cumplan con lo dispuesto por normatividad que expida la Junta Directiva del Banco de la República y las instrucciones impartidas por la Superintendencia Financiera de Colombia.
3.4.2 Instrumentos financieros derivados con fines de inversión. <Enunciado modificado por el artículo 5 del Decreto 2103 de 2016. El nuevo texto es el siguiente: > Con los recursos que respaldan las reservas técnicas se podrán negociar instrumentos financieros derivados con fines de inversión cuyos activos subyacentes correspondan a las inversiones descritas en los numerales 1 y 2 del presente artículo, así como las divisas, índices de renta fija o de renta variable, siempre que cumplan las siguientes condiciones:
a) Su compensación y liquidación se realice a través de las cámaras de riesgo central de contraparte que establezca la Superintendencia Financiera de Colombia.
b) Los instrumentos derivados cuenten con información de precios en los sistemas definidos por la Superintendencia Financiera de Colombia.
c) La entidad aseguradora o compañía de capitalización mantenga durante la vigencia del contrato en depósitos a la vista en establecimientos de crédito no vinculados a la dicha entidad, un valor equivalente a la diferencia entre el precio fijado en el contrato y las garantías que se hayan constituido en el correspondiente administrador de garantías. Para el efecto se entenderá por vinculado la persona que se encuentre en los supuestos del artículo 2.31.3.1.12 del presente decreto.
d) El requisito descrito en el literal anterior no será exigible para los siguientes casos: i) Compra de opciones de compra o de venta (Call o Put); y ii) estrategias que combinen la compra de opciones de compra o de venta y de otro(s) instrumento(s) financiero(s) derivado(s) básico(s), siempre que todos los instrumentos que involucre la estrategia tengan el mismo subyacente y vencimiento.
Sin perjuicio de lo anterior, la entidad aseguradora o compañía de capitalización con los recursos de las reservas técnicas podrá vender opciones de compra o de venta (Call o Put), solamente con el fin de cerrar una operación de compra de opciones con idéntico subyacente y vencimiento, relacionadas en el anterior ordinal i).
e) En todo caso, con los recursos de las reservas técnicas no se podrán tomar posiciones netas vendedoras, en este tipo de instrumentos.
3.4.3 La entidad aseguradora o sociedad de capitalización deberá remitir a la Superintendencia, Financiera de Colombia, dentro de los últimos diez (10) días de cada mes los estudios sobre los planes de cobertura y los instrumentos financieros derivados con fines de inversión a negociar durante el siguiente mes, debiendo informar y justificar cualquier modificación a los mismos a más tardar el día hábil siguiente a la fecha de su celebración.
3.4.4 No obstante lo descrito en los subnumerales anteriores, la Superintendencia Financiera de Colombia podrá establecer, mediante instrucciones de carácter general, requisitos adicionales a los ya señalados.
3.5 Productos estructurados de capital protegido, es decir, aquellos en los que se garantice el cien por ciento (100%) del capital invertido, de emisores nacionales o del exterior, en los cuales el emisor asuma la obligación de cumplir con las condiciones contractuales del producto, en la moneda en que este se encuentre denominado y el pago del rendimiento acordado si a ello hubiere lugar. Los productos estructurados deben cumplir con alguna de las siguientes características: a) productos estructurados no separables en los que la protección del capital consiste en la obligación directa de su pago por parte de su emisor, b) productos estructurados separables en los que el componente no derivado que protege el capital corresponde a un título de deuda considerado como inversión admisible y c) productos estructurados separables en los que el capital se protege con la capacidad de endeudamiento del emisor del componente no derivado.
En todo caso, las entidades aseguradoras o sociedades de capitalización podrán adquirir a emisores extranjeros productos estructurados que involucren instrumentos financieros derivados de crédito, siempre que dicho derivado genere una cobertura de riesgo de crédito para las inversiones que respaldan las reservas técnicas y, así mismo, cumplan las instrucciones impartidas por la Superintendencia Financiera de Colombia.
Para el efecto, será aplicable la definición de producto estructurado establecida por la Superintendencia Financiera de Colombia.
3.6 Operaciones de transferencia temporal de valores de que trata el Título 3 del Libro 36 de la Parte 2 del presente decreto o demás normas que lo modifiquen o sustituyan, siempre que las entidades aseguradoras o sociedades de capitalización actúen como originadores en las mismas. En todo caso, en desarrollo de dichas operaciones, las entidades aseguradoras o sociedades de capitalización sólo podrán recibir valores previstos en su régimen de inversiones admisibles. Dichos valores no podrán ser transferidos de forma temporal o definitiva, sino sólo para cumplir la respectiva operación. Así mismo, en los casos en que las entidades aseguradoras o sociedades de capitalización reciban recursos dinerarios, estos deberán permanecer en depósitos a la vista en establecimientos de crédito. En ningún caso, tales depósitos podrán constituirse en la matriz de la entidad aseguradora o sociedad de capitalización o en las filiales o subsidiarias de aquella.
Las inversiones que entreguen la entidad aseguradora o sociedad de capitalización a la contraparte en desarrollo de estas operaciones computarán para efectos del cumplimiento de todos los límites de que trata este Título 3 del Libro 31 de la Parte 2 del presente decreto.
3.7 Los préstamos con garantía en las pólizas de seguro de vida o títulos de capitalización hasta por su valor de rescate. No serán computables como inversión de las reservas técnicas los préstamos con garantía en las pólizas de seguros relacionados con la seguridad social.
3.8 Saldos disponibles en caja.
3.9 Transferencia de riesgo por concepto de contratos de reaseguro.
3.10 <Numeral modificado por el artículo 2 del Decreto 1398 de 2020. El nuevo texto es el siguiente:> Bienes raíces productivos localizados en territorio colombiano. Los bienes serán admisibles siempre que no sean utilizados para el desarrollo del objeto social de la compañía aseguradora o la compañía de capitalización y siempre que las entidades vinculadas a la compañía aseguradora o a la compañía de capitalización, de acuerdo con la definición de vinculado prevista en el artículo 2.31.3.1.12 del presente Decreto, no tengan condición alguna de titular de derechos reales sobre el activo objeto de la inversión. Al momento de llevar a cabo la inversión, la compañía aseguradora o la compañía de capitalización no podrá tener condición alguna de titular de derechos reales sobre el activo objeto de la inversión.
Los bienes raíces no productivos localizados en territorio colombiano serán admisibles siempre y cuando se trate de los activos descritos en el Título 7 del Libro 31 de la Parte 2 del presente Decreto, relativos a la· renta vitalicia inmobiliaria. Para efectos de este numeral se entenderá que todo bien que sea transferido a la compañía aseguradora o al tercero que esta determine en virtud de las operaciones previstas en el Título 7 del Libro 31 de la Parte 2 del presente Decreto es un bien raíz no productivo durante la vigencia de la renta vitalicia inmobiliaria.
La Superintendencia Financiera de Colombia establecerá las características, reglas y procedimientos a que deben sujetarse estas inversiones para ser admisibles, incluida la metodología de valoración de estos activos la cual deberá tener en cuenta, como mínimo, el avalúo comercial periódico del inmueble y un factor de ajuste por la iliquidez asociada al activo.
3.11 <Subnumeral adicionado por el artículo 6 del Decreto 2103 de 2016. El nuevo texto es el siguiente:> Las primas por recaudar asociadas a pólizas con reserva de prima no devengada, siempre que no exista mora en el pago de la prima de la póliza. En este caso la prima por recaudar asociada a una póliza, sólo podrá respaldar el saldo de reserva de prima no devengada retenida de la misma, calculada según lo establecido en el artículo 2.31.4.2.2 del presente decreto. Se excluyen las primas por recaudar de las pólizas de seguros en los que no aplica la terminación automática del contrato por mora en el pago de la prima.
PARÁGRAFO 1. Condiciones aplicables a las inversiones previstas en el presente artículo.
1. <Numeral modificado por el artículo 5 del Decreto 2103 de 2016. El nuevo texto es el siguiente:> No serán admisibles para los recursos que respaldan las reservas técnicas de las entidades aseguradoras o sociedades de capitalización aquellas inversiones descritas en este artículo, en las cuales el emisor establezca que las podrá cancelar con la entrega de títulos de emisores que entren en incumplimiento de pago de su deuda. Tratándose de productos estructurados, esta prohibición aplica respecto de la inversión con la que se protege el capital.
2. Cuando los instrumentos descritos en los subnumerales 1.7, 1.8, 1.9, 1.10.3 y 1.10.4 cuenten con inversiones en títulos o valores de emisores del exterior, las mismas deben corresponder a las inversiones descritas en el numeral 2 del artículo 2.31.3.1.2 del presente decreto.
3. Para determinar la bursatilidad a la que se refieren los subnumerales 1.10.1 y 1.10.2 se tendrán en cuenta las categorías que para tal efecto defina la Superintendencia Financiera de Colombia.
4. <Numeral modificado por el artículo 6 del Decreto 1351 de 2019. El nuevo texto es el siguiente:> La entidad aseguradora o sociedad de capitalización con los recursos que respaldan las reservas técnicas no podrá realizar operaciones repo y simultáneas en el mercado mostrador (OTC). Para efectuar estas operaciones deberá participar en sistemas transaccionales, siempre que éstos sean administrados por entidades vigiladas por la Superintendencia Financiera de Colombia.
Las operaciones de transferencia temporal de valores podrán realizarse en el mercado mostrador y en sistemas transaccionales administrados por entidades vigiladas por la Superintendencia Financiera de Colombia.
5. Los títulos derivados de procesos de titularización de que trata los numerales 1.3, 1.4 y 1.10.5 del presente artículo deben haber sido emitidos en desarrollo de procesos de titularización autorizados por la Superintendencia Financiera de Colombia.
6. Los bonos obligatoria u opcionalmente convertibles en acciones se considerarán como títulos de deuda, en tanto no se hayan convertido en acciones.
7. Las inversiones descritas en los subnumerales 2.5 y 2.6.1 serán admisibles siempre y cuando se cumplan las siguientes condiciones:
a) La calificación de la deuda soberana del país donde esté constituida la administradora del fondo y la bolsa o el mercado en el que se transan las cuotas o participaciones, en el evento en que se transen, deberá corresponder a grado de inversión otorgada por una sociedad califícadora reconocida internacionalmente.
b) La sociedad administradora del fondo y el fondo deben estar registrados y fiscalizados o supervisados por los organismos reguladores/supervisores pertinentes de los países en los cuales se encuentren constituidos.
c) La sociedad administradora del fondo o su matriz debe acreditar un mínimo de diez mil millones de dólares (US$10.000 millones) en activos administrados por cuenta de terceros y un mínimo de cinco (5) años de experiencia en la gestión de los activos administrados.
d) En el caso de los fondos mutuos se deberá verificar al momento de la inversión que el fondo mutuo cuente por lo menos con diez (10) aportantes o adherentes no vinculados a la sociedad administradora del fondo mutuo y un monto mínimo de cincuenta millones de dólares (US$ 50 millones) en activos, excluido el valor de los aportes efectuados por la entidad aseguradora o sociedad de capitalización y sus entidades vinculadas.
e) En el prospecto o reglamento del fondo se debe especificar claramente el o los objetivos del mismo, sus políticas de inversión y administración de riesgos, así como los mecanismos de custodia de títulos.
f) En el fondo mutuo de inversión ningún partícipe o adherente puede tener una concentración superior al diez por ciento (10%) del valor del referido fondo. Esta condición puede acreditarse a través del reglamento o prospecto del fondo mutuo de inversión o por medio de carta o certificación expedida por el administrador del mismo.
g) Tratándose de participaciones en fondos representativos de índices de commodities, de acciones, de renta fija, incluidos los ETFs, los índices deben corresponder a aquellos elaborados por bolsas de valores o entidades del exterior con una experiencia no inferior a diez (10) años en esta materia, que sean internacionalmente reconocidas a juicio de la Superintendencia Financiera de Colombia, y fiscalizadas o supervisadas por los organismo reguladores/supervisores pertinentes de los países en los cuales se encuentre constituidas. Las bolsas y entidades reconocidas de que trata este literal serán divulgadas a través de la página web de la Superintendencia Financiera de Colombia.
h) El valor de rescate de la cuota o unidad debe ser difundido mediante sistema públicos de información financiera de carácter internacional.
PARÁGRAFO 2o. <Parágrafo adicionado por el artículo 6 del Decreto 2103 de 2016. El nuevo texto es el siguiente:> Las inversiones descritas en los subnumerales 2.5, 2.6.1, 2.8, 2.9 y 2.10 serán admisibles siempre y cuando cumplan las siguientes condiciones:
1. La calificación de la deuda soberana del país donde esté constituida la administradora del fondo y la bolsa o el mercado en el que se transan las cuotas o participaciones, en el evento en que se transen, deberá corresponder a Grado de inversión otorgada por una sociedad calificadora reconocida internacionalmente.
2. La sociedad administradora del fondo y el fondo deben estar registrados y fiscalizados o supervisados por los organismos reguladores/supervisores pertinentes de los países en los cuales se encuentren constituidos.
3. La sociedad administradora del fondo o su matriz debe acreditar un mínimo de diez mil millones de dólares (USD $10.000 millones) en activos administrados por cuenta de terceros y un mínimo de cinco (5) años de experiencia en la gestión de los activos administrados.
4. Se deberá verificar al momento de la inversión que el fondo cuente por lo menos con un monto mínimo de cincuenta millones de dólares (USD $50 millones) en activos, excluido el valor de los aportes efectuados por la entidad aseguradora o la sociedad de capitalización y sus entidades vinculadas.
5. En el prospecto o reglamento del fondo se debe especificar claramente el o los objetivos del mismo, sus políticas de inversión y administración de riesgos, los periodos de inversión y/o desinversión si aplica, la estrategia de inversión del fondo, metodologías de medición de riesgos, metodologías de valoración empleadas, así como los mecanismos de custodia de títulos.
6. Cuando algún partícipe o adherente del fondo tenga una concentración superior al diez por ciento (10%) del valor del mismo, la sociedad administradora de dicho fondo deberá informar sobre la identidad de estos sujetos y la cuantía de dichas participaciones.
7. Tratándose de participaciones en fondos representativos de índices de commodities, de acciones, de renta fija, incluidos los ETFs, los índices deben corresponder a aquellos elaborados por bolsas de valores o entidades del exterior con una experiencia no inferior a diez (10) años en esta materia, que sean internacionalmente reconocidas a juicio de la Superintendencia Financiera de Colombia, y fiscalizadas o supervisadas por los organismos reguladores/supervisores pertinentes de los países en los cuales se encuentren constituidas. Las bolsas y entidades reconocidas de que trata este literal serán divulgadas a través de la página web de la Superintendencia Financiera de Colombia.
8. El valor de rescate de la cuota o unidad debe ser difundido mediante sistemas públicos de información financiera de carácter internacional.
9. La sociedad administradora del fondo deberá contar con procedimientos y/o políticas para administrar los potenciales conflictos de interés y los mecanismos de resolución de los mismos.
10. La sociedad administradora del fondo deberá contar con políticas que permitan identificar de manera clara los costos, comisiones y gastos que genera la administración del fondo.
11. Para el caso de las inversiones descritas en los subnumerales 2.8, 2.9 y 2.10, además de las condiciones descritas en el presente parágrafo deberán cumplir con las siguientes:
a) Las funciones de asesoría de inversión realizadas por la sociedad administradora del fondo deben estar claramente definidas, específicamente delegadas y materializadas a través de un contrato específico de acuerdo con los estándares del mercado.
b) La sociedad administradora del fondo deberá elaborar informes relacionados con el estado de estas inversiones, el cual deberá ser remitido a los inversionistas y la Superintendencia Financiera de Colombia por lo menos semestralmente por parte de la entidad aseguradora o la sociedad de capitalización.
c) Se deberá verificar al momento de la inversión que el fondo cuente por lo menos con un monto mínimo de cien millones de dólares (USD $100 millones) en activos.
d) El fondo deberá contar con estados financieros auditados anualmente por sociedades auditoras independientes de reconocida experiencia.
Las entidades aseguradoras y sociedades de capitalización deberán contar con los soportes que le permitan verificar a la Superintendencia Financiera de Colombia, cuando esta lo requiera, que las condiciones descritas en el presente numeral se cumplen.
La Superintendencia Financiera de Colombia, a través de instrucciones de carácter general, podrá solicitar criterios o condiciones adicionales que deberán ser acreditados por las inversiones descritas en el presente parágrafo.
ARTÍCULO 2.31.3.1.3. REQUISITOS DE CALIFICACIÓN PARA LAS INVERSIONES ADMISIBLES.
<Artículo sustituido por el artículo 1 del Decreto 2953 de 2010. El nuevo texto es el siguiente:> La inversión en los activos señalados en el artículo 2.31.3.1.2 del presente decreto estará sujeta a los siguientes requisitos de calificación:
1. <Numeral modificado por el artículo 6 del Decreto 1385 de 2015. El nuevo texto es el siguiente:>
<Inciso modificado por el artículo 14 del Decreto 1393 de 2020. El nuevo texto es el siguiente:> Las inversiones descritas en los subnumerales 1.1.2, 1.2, 1.3, 1.4, 1.6, 1.7, 1.8, 1.9, 1.10.3, 1.10.4, 1.10.5 y 1.10.6 del artículo 2.31.3.1.2 del presente decreto, de emisores nacionales, solo pueden realizarse cuando estén calificadas por sociedades calificadoras de riesgos autorizadas por la Superintendencia Financiera de Colombia y cuenten con una calificación de grado de inversión, exceptuando aquellos emitidos por Fogafín, Fogacoop o los valores emitidos en el segundo mercado.
En el caso de emisiones de títulos de los que trata el primer inciso del presente numeral, emitidos en el exterior, serán admisibles cuando cuenten con una calificación que no sea inferior a grado de inversión otorgada por una sociedad calificadora reconocida internacionalmente. Cuando la calificación de la deuda pública externa de Colombia esté por debajo de grado de inversión, las emisiones serán admisibles cuando cuenten con una calificación no inferior a la calificación de mayor riesgo asignada a la deuda pública externa de Colombia. También se considerarán admisibles en los casos en los que estas emisiones cuenten con una calificación que no sea inferior a grado de inversión, otorgada por una sociedad calificadora de riesgos autorizadas por la Superintendencia Financiera de Colombia.
En el evento en que para la emisión haya calificaciones emitidas por más de una sociedad calificadora, dentro de la misma escala bien sea internacional o nacional, para la admisibilidad de dicha emisión se deberá tener en cuenta la calificación de menor nivel de riesgo.
La inversión en Certificados de Depósito a Término (CDT) o en Certificados de Depósito de Ahorro a Término (CDAT) requiere la previa calificación de grado de inversión de la capacidad de pago a corto y largo plazo de la entidad financiera emisora de los títulos.
Asimismo, la inversión en depósitos a la vista en establecimientos de crédito descrita en el subnumeral 3.1 del artículo 2.31.3.1.2 del presente decreto requiere de la previa calificación de grado de inversión de la capacidad de pago a corto plazo de la entidad financiera receptora de depósitos.
<Inciso modificado por el artículo 14 del Decreto 1393 de 2020. El nuevo texto es el siguiente:> El valor de la inversión indirecta que realice la entidad aseguradora o sociedad de capitalización en los títulos representativos de deuda de emisores del exterior en que pueden invertir los fondos de inversión colectiva descritos en los subnumerales 1.7, 1.8, 1.9, 1.10.3 y 1.10.4 del artículo 2.31.3.1.2 del presente decreto, que no cuenten con el requisito de calificación, deberán ser tenidos en cuenta para el cómputo de los límites en instrumentos restringidos según el artículo 2.31.3.1.21 del presente decreto. Para efectos del cómputo de los límites en inversiones restringidas la entidad aseguradora o sociedad de capitalización deberá tomar la máxima exposición permitida en este tipo de inversiones, según la política de inversión establecida en el reglamento del fondo de inversión colectiva. En todo caso, la entidad aseguradora o sociedad de capitalización podrá implementar mecanismos para determinar la exposición real del fondo de inversión colectiva a las inversiones consideradas como restringidas, en cuyo caso el cómputo deberá hacerse con base en este mecanismo, para el cual la Superintendencia Financiera de Colombia establecerá los criterios que debe cumplir este tipo de mecanismos.
No obstante lo anterior, los títulos descritos en el subnumeral 1.2 del artículo 2.31.3.1.2 del presente decreto, emitidos por entidades vigiladas por la entonces Superintendencia Bancaria de Colombia con anterioridad al 1o de enero del año 2000 que no cuenten con una calificación de grado de inversión podrán mantenerse hasta su enajenación o redención en el respectivo portafolio.
2. Las inversiones descritas en los subnumerales 2.1, 2.2, 2.3, 2.4, 2.5 salvo fondos representativos de índices de renta fija, 2.6.1 en cuanto a los fondos balanceados y 3.2 del artículo 2.31.3.1.2 del presente decreto serán admisibles cuando cuenten con una calificación de grado de inversión otorgada por una sociedad calificadora reconocida internacionalmente. En el evento en que la inversión o el emisor cuente con calificaciones de más de una sociedad calificadora, se debe tener en cuenta la calificación de mayor riesgo, si fueron expedidas dentro de los últimos tres (3) meses, o la más reciente cuando exista un lapso superior a dicho período entre una y otra calificación.
La calificación requerida respecto de la inversión en depósitos a término incluidos dentro del subnumeral 2.2 del artículo 2.31.3.1.2 del presente decreto, se verificará frente a la calificación asignada para la capacidad de pago de corto y largo plazo de la entidad financiera que emita el título. Así mismo, la inversión descrita en el subnumeral 3.2 del artículo 2.31.3.1.2 del presente decreto, requiere de la previa calificación de la capacidad de pago de corto plazo de la entidad financiera receptora de depósitos. En el caso de los títulos descritos en el subnumeral 2.1 del artículo 2.31.3.1.2 la calificación se verificará frente a la calificación de riesgo de la deuda soberana del país y tratándose de los títulos descritos en el subnumeral 2.4 del artículo 2.31.3.1.2 frente a la asignada al organismo multilateral y su deuda.
<Inciso modificado por el artículo 14 del Decreto 1393 de 2020. El nuevo texto es el siguiente:> El valor de la inversión indirecta que realice la entidad aseguradora o sociedad de capitalización en los títulos representativos de deuda en que pueden invertir los fondos o esquemas de inversión colectiva descritos en los subnumerales 2.5, salvo fondos representativos de índices de renta fija, y 2.6.1 en cuanto a los fondos balanceados de artículo 2.31.3.1.2 del presente decreto, que no cuenten con el requisito de calificación deberán ser tenidos en cuenta para el cómputo de los límites en instrumentos restringidos según el artículo 2.31.3.1.21 del presente decreto. Esta condición puede acreditarse a través del reglamento o prospecto del fondo mutuo de inversión o por medio de carta o certificación expedida por el administrador del mismo. En todo caso, la entidad aseguradora o sociedad de capitalización podrá implementar mecanismos para determinar la exposición real del fondo o esquema de inversión colectiva a las inversiones· consideradas como restringidas, en cuyo caso el cómputo deberá hacerse con base en este mecanismo, para el cual la Superintendencia Financiera de Colombia establecerá los criterios que debe cumplir este tipo de mecanismos.
3. Respecto de la inversión prevista en el subnumeral 3.5 del artículo 2.31.3.1.2 del presente decreto se deberá contar con una calificación de grado de inversión, otorgada por una sociedad calificadora de riesgos autorizada por la Superintendencia Financiera de Colombia o por una sociedad calificadora reconocida internacionalmente según el caso, y para su verificación se aplicarán las siguientes condiciones:
a, Tratándose de productos estructurados no separables la calificación se verificará frente a la asignada al emisor del producto estructurado.
b, En el caso de productos estructurados separables la calificación se verificará frente a la asignada al componente no derivado.
c, En el evento en que el pago del 100% del capital del producto estructurado, cuando este sea separable, se proteja con la capacidad de endeudamiento del emisor del componente no derivado la calificación se verificará frente a la asignada a dicho emisor.
ARTÍCULO 2.31.3.1.4. LÍMITES GLOBALES PARA COMPAÑÍAS DE SEGUROS DE VIDA.
<Artículo sustituido por el artículo 1 del Decreto 2953 de 2010. El nuevo texto es el siguiente:> Los siguientes son los límites máximos que deberán cumplir permanentemente las compañías de seguros de vida, con respecto al valor del portafolio que respalda las reservas técnicas para la inversión en los títulos o instrumentos listados en el artículo 2.31.3.1.2 del presente decreto:
1. Hasta en un veinte por ciento (20%) para las inversiones en los instrumentos descritos en el subnumeral 1.1.2.
2. Hasta en un cincuenta por ciento (50%) para los instrumentos descritos en el subnumeral 1.2.
3. Hasta en un quince por ciento (15%) para los instrumentos descritos en el subnumeral 1.3.
4. Hasta en un quince por ciento (15%) para los instrumentos descritos en los subnumerales 1.4 y 1.10.5.
5. Hasta un setenta por ciento (70%) para los instrumentos descritos en el subnumeral 1.6.
6. Hasta en un diez por ciento (10%) para los instrumentos descritos en el subnumeral 1.9.
7. Hasta en un cuarenta por ciento (40%) para el cómputo total de las inversiones en los instrumentos descritos en los subnumerales 1.10 y 2.6. No obstante, la inversión en los títulos descritos en el subnumeral 1.10.2 no podrá exceder del cinco por ciento (5%) y la inversión en los títulos descritos en el subnumeral 1.10.6 no podrá exceder del dos por ciento (2%).
8. <Numeral modificado por el artículo 15 del Decreto 1393 de 2020. El nuevo texto es el siguiente:> Hasta un diecisiete punto cinco por ciento (17.5%) para el valor de la inversión indirecta en los activos ubicados en el exterior en que pueden invertir los fondos o esquemas de inversión descritos en los subnumerales 1.9, 1.11, 2.7, 2.8, 2.9, 2.10 y 3.10 del artículo 2.31.3.1.2 del presente decreto, según su reglamento. Para efectos de este numeral, se entenderán como activos ubicados en el exterior todos aquellos cuya actividad económica principal no se desarrolle en alguna de las jurisdicciones que componen la Alianza del Pacífico. En todo caso, si la entidad aseguradora o la sociedad de capitalización no puede verificar la ubicación o domicilio de los activos, se entenderá que se trata de activos ubicados en el exterior.
9. <Numeral modificado por el artículo 8 del Decreto 2103 de 2016. El nuevo texto es el siguiente:> Hasta en un cuarenta por ciento (40%) para los instrumentos descritos en el numeral 2 y el subnumeral 3.2. Los títulos o valores de emisores del exterior que hagan parte de los instrumentos descritos en los subnumerales 1.7, 1.8, 1.9, 1.10.3,1.10.4 y 1.11 computaran para efectos del límite establecido en el presente numeral.
10. <Numeral modificado por el artículo 15 del Decreto 1393 de 2020. El nuevo texto es el siguiente:> Hasta el porcentaje máximo aprobado en la Política de Inversión por la Junta Directiva de la respectiva entidad aseguradora o sociedad de capitalización, para el valor de la inversión directa en la suma de los instrumentos descritos en los subnumerales 1.9, 1.11, 2.7, 2.8, 2.9, 2.10 y 3.10 del artículo 2.31.3.1.2 del presente decreto, considerados como activos alternativos. Así mismo, la Junta Directiva deberá aprobar en su Política de Inversión el porcentaje máximo de inversión en los distintos tipos de activos alternativos que se señalan en este numeral, incluyendo los tipos fondos de capital privado que se mencionan en el numeral 1.11 del artículo 2.31.3.1.2 del presente decreto.
11. Hasta en un cinco por ciento (5%) en las operaciones señaladas en el subnumeral 3.3.1. y hasta en un tres por ciento (3%) para las operaciones señaladas en el subnumeral 3.3.2.
12. Hasta en dos por ciento (2%) para los instrumentos descritos en el subnumeral 3.4.2. Así mismo, los activos subyacentes objeto de estas operaciones computarán para el cálculo de todos los límites previstos en este Título 3 del Libro 31 de la Parte 2 del presente decreto.
Para el efecto, los límites se calcularán con base en el precio fijado en el contrato y en el caso de las opciones compradas computarán por el valor del derecho contabilizado, de conformidad con las instrucciones impartidas por la Superintendencia Financiera de Colombia.
13. Hasta en un cinco por ciento (5%) para las operaciones señaladas en el subnumeral 3.5.
14. Hasta en un quince por ciento (15%) para las operaciones señaladas en el subnumeral 3.6.
15. Hasta en un tres por ciento (3%) para las operaciones señaladas en el subnumeral 3.8.
16. La suma de las inversiones en moneda extranjera que puede tener sin cobertura cambiaria el portafolio que respalda las reservas técnicas no podrá exceder del treinta y cinco por ciento (35%) del valor del portafolio. Dentro de esta suma deberán tenerse en cuenta las inversiones en moneda extranjera que tengan los instrumentos descritos en los subnumerales 1.7, 1.8, 1.9, 1.10.3, 1.10.4 y 1.11 del artículo 2.31.3.1.2 del presente decreto.
17. <Numeral derogado por el artículo 23 del Decreto 1393 de 2020>
18. <Numeral modificado por el artículo 15 del Decreto 1393 de 2020. El nuevo texto es el siguiente:> Hasta en un cinco por ciento (5%) para los instrumentos descritos en el subnumeral 1.11 del artículo 2.31.3.1.2 del presente decreto siempre y cuando dichos instrumentos destinen al menos dos terceras partes (2/3) de los aportes de sus inversionistas a proyectos de infraestructura. Este porcentaje no se computará con el porcentaje descrito en el numeral 8 del presente artículo.
19. <Numeral adicionado por el artículo 9 del Decreto 2103 de 2016. El nuevo texto es el siguiente:> Hasta el cinco por ciento (5%) para las operaciones descritas en el subnumeral 3.11.
20. <Numeral adicionado por el artículo 9 del Decreto 2103 de 2016. El nuevo texto es el siguiente:> Hasta el uno por ciento (1%) para la suma de los instrumentos restringidos descritos en el artículo 2.31.3.1.21 del presente decreto
<Artículo sustituido por el artículo 1 del Decreto 2953 de 2010. El nuevo texto es el siguiente:> Los siguientes son los límites máximos que deberán cumplir permanentemente las compañías de seguros generales y sociedades de capitalización, con respecto al valor del portafolio que respalda las reservas técnicas para la inversión en los títulos o instrumentos listados en el artículo 2.31.3.1.2 del presente decreto:
1. Hasta en un veinte por ciento (20%) para las inversiones en los instrumentos descritos en el subnumeral 1.1.2.
2. Hasta en un cincuenta por ciento (50%) para los instrumentos descritos en el subnumeral 1.2.
3. Hasta en un diez por ciento (10%) para los instrumentos descritos en el subnumeral 1.3.
4. Hasta en un diez por ciento (10%) para los instrumentos descritos en los subnumerales 1.4 y 1.10.5. No obstante, la inversión en titularizaciones de cartera distinta a la hipotecaria no podrá exceder del dos por ciento (2%).
5. Hasta un setenta por ciento (70%) para los instrumentos descritos en el subnumeral 1.6.
6. <Numeral modificado por el artículo 10 del Decreto 2103 de 2016. El nuevo texto es el siguiente:> Las compañías de seguros generales y sociedades de capitalización no podrán invertir en los instrumentos descritos en los subnumerales 1.8, 1.10.4, 1.10.6 y 3.5.
7. Hasta en un treinta por ciento (30%) para el cómputo total de las inversiones en los instrumentos descritos en los subnumerales 1.10 y 2.6.
8. <Numeral modificado por el artículo 16 del Decreto 1393 de 2020. El nuevo texto es el siguiente:> Hasta un siete punto cinco por ciento (7.5%) para el valor de la inversión indirecta en los activos ubicados en el exterior en que pueden invertir los fondos o esquemas de inversión descritos en los subnumerales 1.9, 1.11, 2.7, 2.8, 2.9, 2.10 y 3.10 del artículo 2.31.3.1.2 del presente decreto. Para efectos de este numeral, se entenderán como activos ubicados en el exterior todos aquellos cuya actividad económica principal no se desarrolle en alguna de las jurisdicciones que componen la Alianza del Pacífico. En todo caso, si la entidad aseguradora o la sociedad de capitalización no puede verificar la ubicación o domicilio de los activos, se entenderá que se trata de activos ubicados en el exterior.
9. <Numeral modificado por el artículo 10 del Decreto 2103 de 2016. El nuevo texto es el siguiente:> Hasta en un cuarenta por ciento (40%) para los instrumentos descritos en el numeral 2 y el subnumeral 3.2. Los títulos o valores de emisores del exterior que hagan parte de los instrumentos descritos en los subnumerales 1.7, 1.9 y 1.10.3, computarán para efectos del límite establecido en el presente numeral.
10. Hasta en un cinco por ciento (5%) en las operaciones señaladas en el subnumeral 3.3.1. y hasta en un tres por ciento (3%) para las operaciones señaladas en el subnumeral 3.3.2.
11. Hasta en uno por ciento (1%) para los instrumentos descritos en el subnumeral 3.4.2. Así mismo, los activos subyacentes objeto de estas operaciones computarán para el cálculo de todos los límites previstos en este Título 3 del Libro 31 de la Parte 2 del presente decreto.
12. Hasta en un quince por ciento (15%) para las operaciones señaladas en el subnumeral 3.6.
13. Hasta en un tres por ciento (3%) para las operaciones señaladas en el subnumeral 3.8.
14. <Numeral modificado por el artículo 10 del Decreto 2103 de 2016. El nuevo texto es el siguiente:> La suma de las inversiones en moneda extranjera que puede tener sin cobertura cambiaría el portafolio que respalda las reservas técnicas no podrá exceder del treinta y cinco por ciento (35%) del valor del portafolio. Dentro de esta suma deberán tenerse en cuenta las inversiones en moneda extranjera que tengan los instrumentos descritos en los subnumerales 1.7, 1.9, 1.10.3 y 1.11 del artículo 2.31.3.1.2 del presente decreto.
15. <Numeral modificado por el artículo 16 del Decreto 1393 de 2020. El nuevo texto es el siguiente:> Hasta el porcentaje máximo aprobado en la Política de Inversión por la Junta Directiva de la respectiva entidad aseguradora o sociedad de capitalización, para el valor de la inversión directa en la suma de los instrumentos descritos en los subnumerales 1.9, 1.11, 2.7, 2.8, 2.10 y 3.10 del artículo 2.31.3.1.2 del presente decreto, considerados como activos alternativos. Así mismo, la Junta Directiva deberá aprobar en su Política de Inversión el porcentaje máximo de inversión en los distintos tipos de activos alternativos que se señalan en este numeral, incluyendo los tipos de fondos de capital privado que se mencionan en el numeral 1.11 del artículo 2.31.3.1.2 del presente decreto.
16. <Numeral derogado por el artículo 23 del Decreto 1393 de 2020>
17. <Numeral adicionado por el artículo 11 del Decreto 2103 de 2016. El nuevo texto es el siguiente:> Hasta el cinco por ciento (5%) para las operaciones descritas en el numeral 3.11.
<Artículo sustituido por el artículo 1 del Decreto 2953 de 2010. El nuevo texto es el siguiente:>
1. Tratándose de títulos aceptados o garantizados, el límite global se debe imputar al grupo o clase de título al que pertenece la entidad que otorga la aceptación o la garantía, en la proporción garantizada o aceptada, y al grupo o clase de título al que pertenece el emisor, en la proporción no garantizada o no aceptada.
2. Los productos estructurados de capital protegido se consideran como títulos de deuda con rendimiento variable y para efectos de los límites globales de inversión previstos en este artículo computarán de la siguiente manera:
a) Los productos estructurados no separables computarán en la cuantía de su valor de mercado o precio justo de intercambio en el grupo o clase de título que corresponda a aquellos emitidos por el emisor del producto estructurado.
b) Los productos estructurados separables computarán en su componente no derivado por la cuantía de su valor de mercado o precio justo de intercambio dentro del grupo o clase de título que corresponda a la inversión admisible con la que se protege el capital. El componente derivado computará por la cuantía de su valor de mercado o precio justo de intercambio dentro del grupo o clase de título que corresponda a aquellos emitidos por el emisor responsable del pago de este componente.
c) En el evento en que el pago del 100% del capital del producto estructurado separable se proteja con la capacidad de endeudamiento del emisor del componente no derivado, computará en la cuantía de su valor de mercado o precio justo de intercambio en el grupo o clase de título que corresponda a aquellos emitidos por el emisor que garantiza el pago de la inversión admisible que constituye el componente no derivado. El componente derivado computará por la cuantía de su valor de mercado o precio justo de intercambio dentro del grupo o clase de título que corresponda a aquellos emitidos por el emisor responsable del pago de este componente.
3. El activo subyacente de una titularización distinta a cartera hipotecaria correspondiente a una inversión admisible, de acuerdo con lo establecido en este Título 3 del Libro 31 de la Parte 2 del presente decreto, computará para el límite global establecido al activo subyacente.
4. <Numeral modificado por el artículo 7 del Decreto 1385 de 2015. El nuevo texto es el siguiente:> Para efectos de la aplicación de los límites de inversión previstos en el Título 3 de este libro 31 de la Parte 2 del presente decreto los fondos de inversión colectiva de que trata la Parte 3 del presente decreto o las normas que lo modifiquen o sustituyan, computarán como vehículo de inversión y no de forma individual por los subyacentes que los componen. Lo anterior sin perjuicio de lo dispuesto en el numeral 2 del parágrafo del artículo 2.31.3.1.2, los numerales 9 y 16 del artículo 2.31.3.1.4, los numerales 9 y 14 del artículo 2.31.3.1.5
ARTÍCULO 2.31.3.1.7. INVERSIÓN DE LAS RESERVAS TÉCNICAS DEL RAMO DE TERREMOTO.
<Artículo sustituido por el artículo 1 del Decreto 2953 de 2010. El nuevo texto es el siguiente:> El cien por ciento (100%) de las reservas técnicas correspondientes al ramo de terremoto deberá estar invertido en instrumentos emitidos o garantizados por entidades del exterior, de acuerdo con las alternativas relacionadas en el numeral 2 y el subnumeral 3.2 del artículo 2.31.3.1.2 del presente decreto. También podrán estar invertidas en los instrumentos descritos en el subnumeral 3.5 siempre que el componente con el que se protege el capital corresponda a un título y/o valor emitido por un emisor del exterior.
Las inversiones previstas en el numeral 2.6 no podrán exceder en su conjunto el treinta por ciento (30%) del valor del portafolio que respalda las reservas técnicas del ramo de terremoto.
<Numeral modificado por el artículo 12 del Decreto 2103 de 2016. El nuevo texto es el siguiente:> Las inversiones previstas en los numerales 2.7, 2.8, y 2.10 del artículo 2.31.3.1.2 del Decreto 2555 del 2010 no podrán exceder el diez por ciento (10%) del valor del portafolio que respalda las reservas técnicas del ramo de terremoto.
La inversión en uno o varios instrumentos de una misma entidad, emisor o fondo, incluidas sus filiales y subsidiarias, su matriz y las filiales y subsidiarias de esta, no podrá exceder el treinta por ciento (30%) del valor del portafolio que respalda las reservas técnicas de ramo de terremoto.
La suma de las exposiciones del conjunto de personas naturales o jurídicas que presenten relaciones de vinculación con la entidad aseguradora, no podrá exceder el diez por ciento (10%) del valor del portafolio.
Los límites previstos en los artículos 2.31.3.1.5, 2.31.3.1.9 y 2.31.3.1.12 del presente decreto no serán aplicables a las reservas técnicas de terremoto. Lo anterior sin perjuicio del cumplimiento de las demás disposiciones de este Título 3 del Libro 31 de la Parte 2 del presente decreto.
<Artículo sustituido por el artículo 1 del Decreto 2953 de 2010. El nuevo texto es el siguiente:> La inversión de las reservas técnicas correspondientes a las pólizas de seguros contratadas en moneda extranjera de acuerdo con la ley, así como aquellas que aún cuando sean pactadas en moneda nacional ofrezcan sumas aseguradas referidas al comportamiento de la Tasa Representativa del Mercado, deberán constituirse en títulos denominados en moneda extranjera, estos últimos de acuerdo con las alternativas contempladas en el numeral 2 el subnumeral 3.2 del artículo 2.31.3.1.2 del presente decreto. También podrán estar invertidas en los instrumentos descritos en el numeral 1 del artículo 2.31.3.1.2 siempre que estos estén denominados en moneda extranjera y en el subnumeral 3.5 del mismo artículo siempre que el componente con el que se protege el capital corresponda a un título y/o valor denominado en moneda extranjera.
Las entidades de seguros de vida y generales y las sociedades de capitalización que ofrezcan este tipo de seguros deberán cumplir los límites señalados en los artículos 2.31.3.1.4 y 2.31.3.1.5 del presente decreto, según corresponda, con excepción de los numerales 9 y 16 del artículo 2.31.3.1.4 y los numerales 9 y 14 del artículo 2.31.3.1.5.
Lo anterior sin perjuicio del cumplimiento de las demás disposiciones del Título 3 de este Libro 31 de la Parte 2 del presente decreto.
ARTÍCULO 2.31.3.1.9. LÍMITES DE CONCENTRACIÓN POR EMISOR.
<Artículo sustituido por el artículo 1 del Decreto 2953 de 2010. El nuevo texto es el siguiente:> La exposición a una misma entidad o emisor no podrá exceder del 10% del valor del portafolio. Se entiende por exposición la suma de las inversiones en uno o varios instrumentos de una misma entidad o emisor, incluyendo los depósitos a la vista realizados en ella, las exposiciones netas de la contraparte resultantes de las operaciones descritas en los subnumerales 3.3 y 3.6 del artículo 2.31.3.1.2 del presente decreto y las exposiciones crediticias en operaciones con instrumentos financieros derivados, en las que dicha entidad es la contraparte, salvo que su compensación y liquidación se realice a través de cámaras de riesgo central de contraparte.
Se entiende como exposición neta en las operaciones descritas en los subnumerales 3.3 y 3.6 del artículo 2.31.3.1.2 del presente decreto, el monto que resulte de restar la posición deudora de la posición acreedora de la contraparte en cada operación, siempre que este monto sea positivo. Para el cálculo de dichas posiciones deberán tenerse en cuenta el precio justo de intercambio de los valores cuya propiedad se transfiera y/o la suma de dinero entregada como parte de la operación, así como los intereses o rendimientos causados asociados a la misma.
Así mismo, para determinar la exposición crediticia en operaciones con instrumentos financieros derivados serán aplicables las definiciones que para el efecto determine la Superintendencia Financiera de Colombia.
Los límites individuales establecidos en este artículo no son aplicables a los emisores de los títulos descritos en los subnumerales 1.1.1 y 1.5 del artículo 2.31.3.1.2 del presente decreto, ni a los títulos de deuda emitidos por Fogafín y Fogacoop.
Respecto a la inversión en títulos derivados de procesos de titularización, los límites de concentración por emisor se aplicarán sobre el valor total de cada universalidad o patrimonio autónomo. Cuando la titularización prevea algún tipo de garantía sobre los títulos emitidos, para efectos del cálculo de los límites de concentración, la proporción garantizada computará para el límite del garante y el porcentaje no garantizado sólo computará para el límite de cada universalidad o patrimonio autónomo.
Para efectos del cálculo de los límites de concentración en el caso de títulos aceptados o garantizados, la proporción garantizada computará para el límite del garante o aceptante y la no garantizada o aceptada para el límite del emisor.
Los límites individuales de inversión por emisor para el caso de inversiones en productos estructurados, de los que trata el subnumeral 3.5 del artículo 2.31.3.1.2 del presente decreto computarán de la siguiente manera:
a) Los productos estructurados no separables computarán en la cuantía de su valor de mercado o precio justo de intercambio como un título de deuda emitido por el emisor del producto estructurado.
b) Los productos estructurados separables computarán, en su componente no derivado, por la cuantía de su valor de mercado o precio justo de intercambio en la misma forma que corresponda a la inversión admisible con la que se protege el capital. El componente derivado computará por la exposición crediticia del emisor responsable del pago de este componente.
c) Los productos estructurados separables, donde el pago del 100% del capital se proteja con la capacidad de endeudamiento del emisor del componente no derivado del producto, computarán en la cuantía de su valor de mercado o precio justo de intercambio como un título de deuda emitido por el emisor que garantiza el pago de la inversión admisible que constituye el componente no derivado. El componente derivado computará por la exposición crediticia del emisor responsable del pago de este componente.
ARTÍCULO 2.31.3.1.10. LÍMITES MÁXIMOS DE INVERSIÓN POR EMISIÓN.
<Artículo modificado por el artículo 17 del Decreto 1393 de 2020. El nuevo texto es el siguiente:> En las emisiones de títulos, con el valor resultante de la suma de los recursos que respaldan las reservas técnicas no se podrá invertir un mayor porcentaje que el aprobado en la Política de Inversión por la Junta Directiva como límite máximo para procesos de emisión. Quedan exceptuadas de este límite las inversiones en Certificados de Depósito a Término (CDT) y de Ahorro a Término (CDAT) emitidos por establecimientos de crédito y las inversiones en los instrumentos descritos en los subnumerales 1.1.1 y 1.5 del artículo 2.31.3.1.2 del presente decreto, así como los títulos de deuda emitidos o garantizados por Fogafín y Fogacoop.
Tratándose de la inversión en fondos de inversión colectiva cerrados, con el valor resultante de la suma con los recursos que respaldan las reservas técnicas, la entidad aseguradora o sociedad de capitalización no podrá mantener una participación que exceda el porcentaje aprobado en la Política de Inversión como límite máximo por la Junta Directiva. Lo dispuesto en este inciso aplicará sin perjuicio de lo previsto en el artículo 3.1.1.6.2.
Tratándose de la inversión en un Fondo de Capital Privado, con el valor resultante de la suma de los recursos que respaldan las reservas técnicas, la entidad aseguradora o sociedad de capitalización no podrá mantener una participación que exceda el porcentaje aprobado en la Política de Inversión como límite máximo por la Junta Directiva. Lo dispuesto en este inciso aplicará sin perjuicio de lo previsto en el artículo 3.3.2.2.6.
ARTÍCULO 2.31.3.1.11. LÍMITE DE CONCENTRACIÓN DE PROPIEDAD ACCIONARIA.
<Artículo modificado por el artículo 18 del Decreto 1393 de 2020. El nuevo texto es el siguiente:> Con el valor resultante de la suma de los recursos que respaldan las reservas técnicas solo se podrá invertir en acciones de una sociedad hasta el diez por ciento (10%) de las mismas.
Tratándose de Bonos Obligatoriamente Convertibles en Acciones (BOCEAS), con el valor resultante de la suma de los recursos que respaldan las reservas técnicas administrados por una entidad aseguradora o sociedad de capitalización, esta no podrá invertir en los BOCEAS en circulación de una sociedad, un mayor porcentaje que el aprobado en la Política de Inversión como límite por la Junta Directiva. En todo caso, se deberá evaluar el riesgo de conversión de los bonos en acciones de manera que se respete el límite de propiedad accionaria.
Lo dispuesto en el presente artículo debe tener en cuenta, en todo caso, el límite de concentración por emisor de que trata el artículo 2.31.3.1.9 del presente decreto.
ARTÍCULO 2.31.3.1.12. LÍMITES DE INVERSIÓN EN VINCULADOS.
<Artículo sustituido por el artículo 1 del Decreto 2953 de 2010. El nuevo texto es el siguiente:> La suma de las inversiones descritas en el artículo 2.31.3.1.2 del presente decreto que se realicen en títulos cuyo emisor, aceptante, garante u originador de la emisión de una titularización sean entidades vinculadas a la entidad aseguradora o a la sociedad de capitalización, no puede exceder del diez por ciento (10%) del valor del portafolio.
Para los efectos del cálculo del límite señalado en el inciso anterior:
a) Deberá tenerse en cuenta la exposición neta de la contraparte, incluyendo las exposiciones crediticias en operaciones con instrumentos financieros derivados, descritas en el artículo 2.31.3.1.9 del presente decreto.
b) <Literal modificado por el artículo 8 del Decreto 1385 de 2015. El nuevo texto es el siguiente:> Se tendrán en cuenta las inversiones que, en los activos no inscritos en el Registro Nacional de Valores y Emisores, RNVE, a que se refiere el artículo 3.1.14.1.2 del presente decreto y demás normas que lo modifiquen o sustituyan, realicen los fondos de capital privado de que trata el numeral 1.11 del artículo 2.31.3.1.2 del presente decreto en activos, participaciones, o títulos emitidos o garantizados por entidades vinculadas a la entidad aseguradora o sociedad de capitalización, en el porcentaje de participación que le corresponde.
No se tendrán en cuenta las inversiones que realicen los fondos de capital privado definidas en el inciso 5o del subnumeral 1.11 del artículo 2.31.3.1.2 del presente decreto.
Tampoco se tendrán en cuenta las inversiones que realicen los fondos de capital privado en activos, participaciones, o títulos emitidos o garantizados por entidades vinculadas a la entidad aseguradora o sociedad de capitalización, únicamente cuando el fondo destine al menos dos terceras (2/3) partes de los aportes de sus inversionistas a proyectos de infraestructura, bajo el esquema de Asociaciones Público Privadas (APP) descrito en la Ley 1508 de 2012, y se dé cumplimiento a las obligaciones de la Junta Directiva de la entidad aseguradora o sociedad de capitalización contenidas en el inciso 5 (i, ii) del subnumeral 1.11 del artículo 2.31.3.1.2 del presente decreto y de la Sociedad Administradora del Fondo de Capital Privado contenidas en el inciso 6o del subnumeral 1.11 del artículo 2.31.3.1.2 del presente decreto.
Cuando el emisor, aceptante, garante u originador de una titularización sea un vinculado de la entidad aseguradora o sociedad de capitalización, el límite por emisión previsto en el artículo 2.31.3.1.10 del presente decreto se debe calcular sobre la emisión efectivamente colocada. No obstante, cuando se trate de inversiones adquiridas en el mercado primario, dicho límite se debe establecer sobre la emisión efectivamente colocada en entidades o personas no vinculadas al emisor.
Para efectos de la aplicación de este Título 3 del Libro 31 de la Parte 2 del presente decreto, se entiende por entidad vinculada o “vinculado” a una entidad aseguradora o sociedad de capitalización:
1. El o los accionistas o beneficiarios reales del cinco por ciento (5%) o más de la participación en la entidad aseguradora o sociedad de capitalización o quien tenga la capacidad de designar un miembro de junta.
2. Las personas jurídicas en las cuales la entidad aseguradora o sociedad de capitalización sea beneficiaria real del cinco por ciento (5%) o más de la participación en las mismas o aquellas en las cuales tenga la capacidad de designar un miembro de junta.
3. Las personas jurídicas en las cuales la o las personas a que se refiere el numeral 1 del presente artículo sean accionistas o beneficiarios reales, individual o conjuntamente, del cinco por ciento (5%) o más de la participación en las mismas o aquellas en las cuales tengan la capacidad de elegir un miembro de junta.
PARÁGRAFO 1o. Se entiende por beneficiario real cualquier persona o grupo de personas que, directa o indirectamente, por sí misma o a través de interpuesta persona, por virtud de contrato, convenio o de cualquier otra manera, tenga respecto de una acción o de cualquier participación en una sociedad, la facultad o el poder de votar en la elección de directivas o representantes o, de dirigir, orientar y controlar dicho voto, así como la facultad o el poder de enajenar y ordenar la enajenación o gravamen de la acción o de la participación.
Para los efectos de la presente definición, conforman un mismo beneficiario real los cónyuges o compañeros permanentes y los parientes dentro del segundo grado de consanguinidad, segundo de afinidad y único civil, salvo que se demuestre que actúan con intereses económicos independientes, circunstancia que podrá ser declarada mediante la gravedad de juramento ante la Superintendencia Financiera de Colombia con fines exclusivamente probatorios.
Una persona o grupo de personas se considera beneficiario real de una acción o participación si tiene derecho para hacerse a su propiedad con ocasión del ejercicio de un derecho proveniente de una garantía o de un pacto de recompra o de un negocio fiduciario o cualquier otro pacto que produzca efectos similares, salvo que los mismos no confieran derechos políticos.
Para los exclusivos efectos de esta disposición, se entiende que conforman un “grupo de personas” quienes actúen con unidad de propósito.
PARÁGRAFO 2o. No se considera que existe relación de vinculación cuando la participación en cualquiera de los casos señalados sea inferior al diez por ciento (10%) y los involucrados declaren bajo la gravedad de juramento ante la Superintendencia Financiera de Colombia, que actúan con intereses económicos independientes de los demás accionistas o beneficiarios reales o de la entidad aseguradora o sociedad de capitalización.
PARÁGRAFO 3o. Para efectos de los porcentajes a los que alude el presente artículo se excluirán las acciones o participaciones sin derecho a voto.
PARÁGRAFO 4o. No computarán para efectos del límite de que trata el presente artículo, los títulos derivados de titularizaciones cuyo originador sea una o varias personas que se encuentren en los supuestos de vinculación antes mencionados, siempre y cuando se trate de titularización de cartera y se cumplan las siguientes condiciones:
a) La o las personas vinculadas a la entidad aseguradora o compañía de capitalización no hayan originado el cincuenta por ciento (50%) o más de la cartera subyacente.
Para determinar este porcentaje se tomará como referencia el monto de la cartera subyacente a la fecha de emisión de los títulos derivados del proceso de titularización.
b) La o las entidades vinculadas a la entidad aseguradora o compañía de capitalización no asuman obligaciones contractuales que impliquen o puedan implicar la suscripción residual de los títulos no colocados de la correspondiente emisión.
c) La oferta pública se realice en su totalidad mediante la construcción del libro de ofertas en los términos del Título 2 del Libro 2 de la Parte 6 del presente decreto y las normas que lo modifiquen o sustituyan.
ARTÍCULO 2.31.3.1.13. REQUISITOS PARA EL CÁLCULO DE LOS LÍMITES DE INVERSIÓN.
<Artículo sustituido por el artículo 1 del Decreto 2953 de 2010. El nuevo texto es el siguiente:> Para efectos de calcular los límites y el valor del portafolio de acuerdo con lo previsto en este Título 3 del Libro 31 de la Parte 2 del presente decreto, se deberán tener en cuenta los siguientes requisitos:
1. Para calcular el valor total del portafolio se deberá considerar la suma total de las inversiones admisibles descritas en el artículo 2.31.3.1.2 del presente decreto que respaldan las reservas técnicas y que cumplan con los requisitos de este Título 3 del Libro 31 de la Parte 2 del presente decreto, de acuerdo con las normas de valoración de portafolio que para el efecto expida o haya expedido la Superintendencia Financiera de Colombia.
2. <Numeral modificado por el artículo 14 del Decreto 2103 de 2016. El nuevo texto es el siguiente:> El cálculo de los límites de inversión de las reservas técnicas se efectuará tomando como base todas las reservas técnicas de seguros y capitalización acreditadas en el estado de situación financiera del mes inmediatamente anterior, netas del activo que contabiliza las contingencias a cargo del reasegurador.
3. Sin perjuicio de lo dispuesto en el artículo 65 de la Ley 964 de 2005, o las normas que lo modifiquen o sustituyan, las inversiones de las reservas técnicas se deberán mantener libres de embargos, gravámenes, medidas preventivas o de cualquier naturaleza que impida su libre cesión o transferencia. Cualquier afectación de las mencionadas impedirá que la inversión sea computada como inversión de las reservas técnicas.
PARÁGRAFO. Cuando se presenten eventos catastróficos, podrán computar como inversiones de las reservas técnicas los valores que se transfieran en desarrollo de operaciones de reporto o repo y de operaciones simultáneas, hasta un porcentaje equivalente al diez por ciento (10%) de la reserva para siniestros pendientes por parte de reaseguradores, constituida para tal fin y por un plazo no superior a un (1) mes. En la realización de estas operaciones no se podrán utilizar valores que respalden reservas de la seguridad social.
ARTÍCULO 2.31.3.1.14 DEFECTOS DE INVERSIÓN O EXCESOS EN LÍMITES DE INVERSIÓN. <Artículo modificado por el artículo 15 del Decreto 2103 de 2016. El nuevo texto es el siguiente:> Cuando se presenten defectos de inversión o excesos en los límites previstos en este título, como consecuencia de la valorización o desvalorización de las inversiones que conforman los portafolios que respaldan las reservas técnicas de las entidades aseguradoras o sociedades de capitalización, o de las inversiones provenientes del pago de dividendos en acciones, estos deberán ser inmediatamente reportados a la Superintendencia Financiera de Colombia y tendrán un plazo de un (1) mes para su ajuste, contado a partir de la fecha en que se produzca el exceso o defecto respectivo. La Superintendencia Financiera de Colombia podrá prorrogar el plazo de ajuste definido en el presente inciso, previo análisis de las razones, evidencias y evaluaciones de riesgo e impacto suministradas por la entidad aseguradora o la sociedad de capitalización en su solicitud de prórroga, con las cuales justifique el no poderse ajustar a los límites legales dentro del plazo antes mencionado.
Cuando una inversión o jurisdicción pierda la calificación de Grado de inversión, que torne en inadmisible dicha inversión con posterioridad a su adquisición, la entidad aseguradora o la sociedad de capitalización deberá remitir a la Superintendencia Financiera de Colombia dentro de los diez (10) días hábiles siguientes a la ocurrencia del hecho, un plan de ajuste o de desmonte con los respectivos análisis de riesgo e impacto.
Así mismo, cuando las inversiones, la celebración de operaciones repo, simultáneas y de transferencia temporal de valores y la realización de operaciones con instrumentos financieros derivados sean efectuadas excediendo los límites de que trata el presente título, la entidad aseguradora o la sociedad de capitalización deberá adoptar de manera inmediata las acciones conducentes al cumplimiento de los límites, sin perjuicio de las sanciones a que haya lugar.
En todo caso, no se podrán realizar nuevas inversiones en la clase de activos que se encuentran excedidos, mientras no se ajusten a los límites vigentes.
PARÁGRAFO. Cuando en el caso de las inversiones descritas en los subnumerales 1.11 y 2.7 del artículo 2.31.3.1.2 se presenten llamados de capital o distribuciones de capital que generen excesos en los límites previstos en el presente decreto, se procederá como lo establece el inciso primero del presente artículo. En estos casos no se aplicará lo establecido en el inciso 4o del presente artículo.
ARTÍCULO 2.31.3.1.15. OTRAS INVERSIONES.
<Artículo sustituido por el artículo 1 del Decreto 2953 de 2010. El nuevo texto es el siguiente:> Son de libre inversión de las entidades aseguradoras y sociedades de capitalización, su patrimonio y demás fondos que no correspondan a las reservas técnicas.
ARTÍCULO 2.31.3.1.16. REGISTRO CONTABLE DE LAS INVERSIONES DE LAS RESERVAS TÉCNICAS.
<Artículo sustituido por el artículo 1 del Decreto 2953 de 2010. El nuevo texto es el siguiente:> La inversión de las reservas técnicas se registrará en cuentas contables separadas por grupos de ramos de conformidad con las instrucciones contables que para el efecto imparta la Superintendencia Financiera de Colombia.
ARTÍCULO 2.31.3.1.17. INVERSIÓN DE LAS CUOTAS O COMPONENTES DE AHORRO.
<Artículo sustituido por el artículo 1 del Decreto 2953 de 2010. El nuevo texto es el siguiente:> El valor acumulado de los recursos integrados por las cuotas de ahorro y sus rendimientos en los seguros de vida, el componente de ahorro en los seguros de pensiones voluntarias y el componente de ahorro en los seguros de rentas temporales ajustables anualmente, podrán manejarse mediante patrimonios autónomos administrados por las compañías de seguros, caso en el cual se sujetarán al régimen de inversiones de los fondos de pensiones voluntarias <Fondos Voluntarios de Pensión><3>, previa la autorización y el cumplimiento de los requisitos que fije la Superintendencia Financiera.
ARTÍCULO 2.31.3.1.18. INVERSIONES NO AUTORIZADAS.
<Artículo sustituido por el artículo 1 del Decreto 2953 de 2010. El nuevo texto es el siguiente:> Las entidades aseguradoras y las sociedades de capitalización deben abstenerse de realizar inversiones con recursos de las reservas técnicas en títulos cuyo emisor, aceptante, garante u originador de una titularización sea la entidad aseguradora o la sociedad de capitalización, las filiales o subsidiarias de las mismas, su matriz o las filiales o subsidiarias de esta.
Salvo para el caso en el cual la entidad aseguradora o la sociedad de capitalización actúen como originadoras, lo previsto en este artículo no aplicará cuando se trate de titularización de cartera y se cumplan las condiciones establecidas en los literales a), b) y c) del parágrafo cuarto del artículo 2.31.3.1.12 bajo el entendido que la mención que allí se realiza a entidades vinculadas se predica de las filiales o subsidiarias de la entidad aseguradora o la sociedad de capitalización, su matriz o las filiales o subsidiarias de esta.
ARTÍCULO 2.31.3.1.19. INVERSIONES EN TÍTULOS INSCRITOS EN EL REGISTRO NACIONAL DE VALORES Y EMISORES Y MECANISMOS DE TRANSACCIÓN. <Artículo sustituido por el artículo 1 del Decreto 2953 de 2010. El nuevo texto es el siguiente:>
<Inciso modificado por el artículo 16 del Decreto 2103 de 2016. El nuevo texto es el siguiente:> Todas las inversiones del artículo 2.31.3.1.2 del presente decreto, en los instrumentos descritos en los subnumerales 1.1, 1.2, 1.3, 1.4, 1.6, 1.8 respecto de fondos de inversión colectiva abiertas con pacto de permanencia o cerradas, 1.10.1, 1.10.2, 1.10.4 respecto de fondos de inversión colectiva abiertas con pacto de permanencia o cerradas, 1.10.5, 1.11 y 3.5 de emisores nacionales y los emitidos en Colombia por emisores del exterior deben realizarse sobre títulos inscritos en el Registro Nacional de Valores y Emisores, salvo que se trate de emisiones de emisores nacionales colocadas exclusivamente en el exterior que hayan dado cumplimiento a las normas de la Superintendencia Financiera de Colombia o acciones de empresas donde el Estado colombiano tenga participación.
Adicionalmente, toda transacción de acciones, independiente del monto, debe realizarse a través de una bolsa de valores, salvo cuando se trate de:
a) Procesos de privatización.
b) Adquisiciones en el mercado primario.
c) Entrega de acciones para la constitución de aportes en carteras colectivas bursátiles<2> de que trata el Libro 1 de la Parte 3 del presente decreto o demás normas que lo modifiquen o sustituyan, así como las que reciba con ocasión de la redención de las participaciones en dichas carteras.
d) El pago de dividendos en acciones.
e) Las recibidas en dación en pago.
Las negociaciones de las inversiones del artículo 2.31.3.1.2 del presente decreto descritas en los subnumerales 1.1, 1.2, 1.3, 1.4, 1.5, 1.6, 1.10.5 y 3.5 de emisores nacionales y los emitidos en Colombia por emisores del exterior deberán realzarse a través de sistemas de negociación de valores o sistemas de cotización de valores extranjeros aprobados por la Superintendencia Financiera de Colombia, o en el mercado mostrador registradas en un sistema de registro de operaciones sobre valores debidamente autorizado por la Superintendencia Financiera de Colombia, siempre y cuando las mismas sean compensadas y liquidadas mediante un sistema de liquidación y compensación de valores, autorizado por dicha Superintendencia.
Toda transacción de las inversiones a las que se refiere el subnumeral 2.6.2 debe realizarse a través de las bolsas de valores que establezca la Superintendencia Financiera de Colombia, la que tendrá en cuenta para el efecto consideraciones tales como el riesgo país, las características de los sistemas institucionales de regulación, fiscalización y control sobre el emisor y sus títulos en el respectivo país, la liquidez del mercado secundario, los requisitos mínimos que las bolsas de valores exigen a los emisores y a sus respectivos títulos para que estos puedan ser cotizados en las mismas y los sistemas de regulación, fiscalización y control sobre la bolsa de valores por parte de la autoridad reguladora pertinente.
La relación de las bolsas de valores autorizadas deberá ser publicada por la Superintendencia Financiera de Colombia en su página web.
Las inversiones admisibles del numeral 2 del artículo 2.31.3.1.2. del presente decreto podrán negociarse a través de Sistemas de Cotización de Valores Extranjeros, previamente autorizados por la Superintendencia Financiera de Colombia.
ARTÍCULO 2.31.3.1.20. CUSTODIA.
<Artículo sustituido por el artículo 1 del Decreto 2953 de 2010. El nuevo texto es el siguiente:> Los títulos o valores representativos de las inversiones que respaldan las reservas técnicas de las entidades aseguradoras y las sociedades de capitalización susceptibles de ser custodiados deben mantenerse en todo momento en los depósitos centralizados de valores debidamente autorizados para funcionar por la Superintendencia Financiera de Colombia.
Para efectos de los depósitos se tendrán en cuenta los términos establecidos en los reglamentos de operaciones de los citados depósitos centralizados de valores, contados a partir de la fecha de la adquisición o de la transferencia de propiedad del título o valor.
Las inversiones en títulos de emisores del exterior o nacionales que se adquieran y permanezcan en el extranjero y que por su naturaleza sean susceptibles de ser custodiados también podrán mantenerse en depósito y custodia en bancos extranjeros, instituciones constituidas en el exterior que presten servicios de custodia o en instituciones de depósito y custodia de valores constituidas en el exterior que tengan como giro exclusivo el servicio de custodia, siempre y cuando cumplan las siguientes condiciones:
a) Tener una experiencia mínima de cinco (5) años en servicios de custodia;
b) Tratándose de bancos extranjeros o instituciones constituidas en el exterior que presten servicios de custodia, estos deben estar calificados como grado de inversión;
c) La entidad de custodia se encuentre regulada y supervisada en el Estado en el cual se encuentre constituida, y
d) En los contratos de custodia se haya establecido:
i) La obligación del custodio de remitir a la Superintendencia Financiera de Colombia, cuando esta la solicite, en la forma prevista en el contrato de custodia o en el celebrado con el depositante directo, las posiciones mantenidas en las cuentas de custodia del portafolio y los movimientos de las mismas o, la obligación para que el custodio le permita a la Superintendencia Financiera de Colombia el acceso directo a través de medios informáticos a las cuentas de custodia.
ii) Que el custodio no puede prestar los activos del portafolio ni usar los mismos para liquidar deudas que tenga con la entidad aseguradora o sociedad de capitalización.
Para el efecto, la entidad aseguradora o sociedad de capitalización deberá remitir a la Superintendencia Financiera de Colombia dentro de los quince (15) días siguientes a su suscripción, una copia del respectivo contrato y de sus modificaciones, con traducción oficial al español, si fuere el caso.
ARTÍCULO 2.31.3.1.21 INVERSIONES RESTRINGIDAS. <Artículo modificado por el artículo 17 del Decreto 2103 de 2016. El nuevo texto es el siguiente:> Las siguientes inversiones serán consideradas como restringidas:
1. <Numeral modificado por el artículo 19 del Decreto 1393 de 2020. El nuevo texto es el siguiente:> El valor de la inversión indirecta en los títulos representativos de deuda de emisores del exterior en que pueden invertir los fondos de inversión colectiva descritos en los subnumerales 1.7, 1.8, 1.9, 1.10.3 y 1.10.4 del artículo 2.31.3.1.2 del presente decreto, que no cumplan con el requisito de calificación descrito en el inciso quinto del numeral 1 del artículo 2.6.12.1.3 del presente decreto.
2. Las participaciones en fondos de que tratan los subnumerales 2.5 y 2.6.1 en cuanto a fondos balanceados del artículo 2.31.3.1.2 del presente decreto, que no cumplan con el requisito de calificación descrito en el último inciso del numeral 2 del artículo 2.31.3.1.3 del presente decreto.
3. Las participaciones en fondos de inversión colectiva apalancados de que trata el Capítulo 5 del Título 1 del Libro 1 de la Parte 3 del presente decreto.
4. Las mencionadas en el subnumeral 2.9 del artículo 2.31.3.1.2 del presente decreto.
5. <Numeral derogado por el artículo 23 del Decreto 1393 de 2020>
ARTÍCULO 2.31.3.1.22. CAMBIOS A LA POLÍTICA DE INVERSIÓN. <Artículo adicionado por el artículo 20 del Decreto 1393 de 2020. El nuevo texto es el siguiente:> La aprobación o modificación por parte de la Junta Directiva de los límites establecidos el numeral 10 del artículo 2.31.3.1.4, el numeral 15 del artículo 2.31.3.1.5, el artículo 2.31.3.1.10 y el artículo 2.31.3.1.11 del presente decreto, contenidos en la política de inversión de la respectiva entidad aseguradora o sociedad de capitalización deberá contar con una justificación profesional en los términos señalados en el artículo 2.31.3.1.23 del presente decreto. La justificación profesional y sus soportes deberán quedar debidamente documentados y a disposición de la Superintendencia Financiera de Colombia, la cual podrá ordenar una revisión de los límites referidos en el presente parágrafo, sin perjuicio de las facultades generales de supervisión y control con que cuenta esta entidad.
ARTÍCULO 2.31.3.1.23. PROFESIONALIDAD. <Artículo adicionado por el artículo 21 del Decreto 1393 de 2020. El nuevo texto es el siguiente:> Los administradores de las entidades aseguradoras y las sociedades de capitalización deberán actuar de manera profesional, con la diligencia exigible a un experto prudente y diligente en la administración de reservas técnicas.
La administración de las reservas técnicas deberá realizase en las mejores condiciones posibles para el adecuado calce con el flujo del pasivo, teniendo en cuenta, pero sin limitarse a la proyección actuarial del flujo del pasivo, análisis riesgo-retorno, horizonte de tiempo de las inversiones, las características de las operaciones, la diversificación de las inversiones, la situación del mercado al momento de efectuar operaciones, los costos asociados a las inversiones, las oportunidades para generar valor, las previsiones establecidas en la política de inversión, demás criterios establecidos en el presente decreto y cualquier otro factor relevante que tendría en cuenta un profesional en la administración de los recursos que respaldan las reservas técnicas.
RESERVAS TÉCNICAS DE LAS ENTIDADES ASEGURADORAS.
DISPOSICIONES GENERALES.
ARTÍCULO 2.31.4.1.1. OBLIGATORIEDAD Y CAMPO DE APLICACIÓN. <Artículo modificado por el artículo 1 del Decreto 2973 de 2013. El nuevo texto es el siguiente:> Las entidades aseguradoras tienen la obligación de calcular, constituir y ajustar en forma mensual sus reservas técnicas, de conformidad con las reglas establecidas en este decreto y en las normas que lo modifiquen y/o complementen, salvo para las reservas que presenten una periodicidad diferente de acuerdo a lo dispuesto en el presente título.
Las normas contenidas en este Título no aplican para el amparo de riesgos políticos o extraordinarios del seguro de crédito a la exportación garantizado por la Nación.
ARTÍCULO 2.31.4.1.2. RESERVAS TÉCNICAS. <Artículo modificado por el artículo 1 del Decreto 2973 de 2013. El nuevo texto es el siguiente:> Para los efectos de este Libro, las reservas técnicas de las entidades aseguradoras son las siguientes:
a) Reserva de Riesgos en Curso: es aquella que se constituye para el cumplimiento de las obligaciones futuras derivadas de los compromisos asumidos en las pólizas vigentes a la fecha de cálculo. La reserva de riesgos en curso está compuesta por la reserva de prima no devengada y la reserva por insuficiencia de primas;
La reserva de prima no devengada representa la porción de las primas emitidas de las pólizas vigentes y de las primas emitidas de las pólizas con inicio de vigencia futura, descontados los gastos de expedición, correspondiente al tiempo no corrido del riesgo.
La reserva por insuficiencia de primas complementará la reserva de prima no devengada, en la medida en que la prima no resulte suficiente para cubrir el riesgo en curso y los gastos no causados;
b) Reserva Matemática: es aquella que se constituye para atender el pago de las obligaciones asumidas en los seguros de vida individual y en los amparos cuya prima se ha calculado en forma nivelada o seguros cuyo beneficio se paga en forma de renta.
c) Reserva de Insuficiencia de Activos: es aquella que se constituye para compensar la insuficiencia que puede surgir al cubrir los flujos de pasivos esperados que conforman la reserva matemática con los flujos de activos de la entidad aseguradora;
d) Reserva de Siniestros Pendientes: es aquella que se constituye para atender el pago de los siniestros ocurridos una vez avisados o para garantizar la cobertura de los no avisados, a la fecha de cálculo. La reserva de siniestros pendientes está compuesta por la reserva de siniestros avisados y la reserva de siniestros ocurridos no avisados.
La reserva de siniestros avisados corresponde al monto de recursos que debe destinar la entidad aseguradora para atender los pagos de los siniestros ocurridos una vez estos hayan sido avisados, así como los gastos asociados a estos, a la fecha de cálculo de esta reserva.
La reserva de siniestros ocurridos no avisados representa una estimación del monto de recursos que debe destinar la entidad aseguradora para atender los futuros pagos de siniestros que ya han ocurrido, a la fecha de cálculo de esta reserva, pero que todavía no han sido avisados a la entidad aseguradora o para los cuales no se cuenta con suficiente información;
e) Reserva de Desviación de Siniestralidad: es aquella que se constituye para cubrir riesgos cuya experiencia de siniestralidad puede causar amplias desviaciones con respecto a lo esperado;
f) Reserva de Riesgos Catastróficos: es aquella que se constituye para cubrir los riesgos derivados de eventos catastróficos, caracterizados por su baja frecuencia y alta severidad.
PARÁGRAFO. La formulación de las reservas técnicas y de las tarifas, incorporada en la nota técnica, debe guardar relación directa con las condiciones generales de la póliza de seguro. Los estados financieros mensuales deberán estar acompañados de un soporte técnico en que el actuario de la compañía certifique la suficiencia de las reservas reportadas, de acuerdo a las instrucciones que para el efecto determine la Superintendencia Financiera de Colombia.
ARTÍCULO 2.31.4.1.3. CONTABILIZACIÓN DE LAS RESERVAS TÉCNICAS. <Artículo modificado por el artículo 1 del Decreto 2973 de 2013. El nuevo texto es el siguiente:> Las anteriores reservas, con excepción de la reserva de riesgos catastróficos, se contabilizarán en el pasivo de la entidad por su valor bruto, es decir, sin descontar la parte a cargo del reasegurador. Las entidades aseguradoras deberán cuantificar y contabilizar en el activo las contingencias a cargo del reasegurador derivadas de los contratos suscritos de reaseguro proporcional, en caso de todas las reservas técnicas, y de reaseguro no proporcional, este último sólo aplicado a la reserva de siniestros avisados y ocurridos no avisados.
Este activo estará sujeto a deterioro, según los criterios que defina la Superintendencia Financiera de Colombia. En todo caso, un activo por reaseguro tendrá deterioro, si como consecuencia de cualquier hecho ocurrido, circunstancia o situación adversa surgida después de su reconocimiento inicial, la entidad aseguradora evidencie que ha aumentado la probabilidad de incumplimiento de las obligaciones derivadas de los contratos de reaseguro suscritos.
PARÁGRAFO. El reconocimiento en el activo de las contingencias a carga del reasegurador, derivadas de contratos no proporcionales en el caso de la reserva de siniestros ocurridos no avisados, deberá calcularse con base en metodologías que tengan en cuenta el comportamiento de los siniestros o métodos validados técnicamente con suficiente desarrollo tanto teórico como práctico para esta estimación, sobre la base de siniestros ocurridos no avisados pagados por el reasegurador.
RÉGIMEN DE LA RESERVA DE RIESGOS EN CURSO.
ARTÍCULO 2.31.4.2.1. ÁMBITO DE APLICACIÓN DE LA RESERVA DE RIESGOS EN CURSO. <Artículo modificado por el artículo 1 del Decreto 2973 de 2013. El nuevo texto es el siguiente:> Esta reserva se aplica para todos los ramos y amparos del contrato de seguro, con excepción de:
a) Vida individual, amparos adicionales para los cuales la prima haya sido calculada en forma nivelada o se les calcule reserva matemática, y fondos de ahorro;
b) Pensiones Ley 100;
c) Pensiones con conmutación pensional;
d) Pensiones voluntarias;
e) Seguro educativo;
f) Rentas voluntarias;
g) Riesgos laborales.
No obstante, la Superintendencia Financiera podrá determinar la obligación o no de constituir esta reserva para cualquier ramo de seguros. El ramo de seguro de terremoto tendrá una metodología especial para el cálculo de esta reserva, de acuerdo con lo contenido en el artículo 2.31.5.1.2 del presente decreto.
ARTÍCULO 2.31.4.2.2. METODOLOGÍA DE CÁLCULO DE LA RESERVA DE PRIMA NO DEVENGADA. <Artículo modificado por el artículo 1 del Decreto 2973 de 2013. El nuevo texto es el siguiente:> Esta reserva se constituye en la fecha de emisión de la póliza y se calculará, póliza a póliza y amparo por amparo cuando las vigencias sean distintas, como el resultado de multiplicar la prima emitida, deducidos los gastos de expedición causados al momento de emitir la póliza, en las condiciones en que determine la Superintendencia Financiera de Colombia, por la fracción de riesgo no corrido a la fecha de cálculo. Sin perjuicio de la forma de pago del seguro, la reserva se calculará en función de su vigencia. Para las pólizas con vigencia indeterminada, la Superintendencia Financiera de Colombia establecerá la metodología para determinar una fecha de fin de vigencia.
La fracción de riesgo deberá tener en cuenta la distribución de la frecuencia y de la severidad de los siniestros y gastos asociados a cada póliza durante su vigencia. Cuando la frecuencia de siniestralidad sea alta y la severidad baja, se asumirá que la fracción del riesgo se comporta como una distribución uniforme.
Si durante la vigencia de la póliza la distribución del riesgo no es uniforme, la aseguradora debe determinar, actuarialmente, la fracción del riesgo no corrido en función de la siniestralidad esperada y presentar a consideración de la Superintendencia Financiera de Colombia la metodología de cálculo y la información utilizada.
Para las pólizas o amparos cuya vigencia sea inferior o igual a un (1) mes, se debe constituir y mantener una reserva equivalente como mínimo al 50% de la prima o cotización emitida mensualmente neta de gastos de expedición.
PARÁGRAFO 1o. La Superintendencia Financiera de Colombia podrá establecer mediante norma de carácter general los casos en los cuales se podrá utilizar una fecha distinta a la de fin de vigencia de la póliza para efectos del cálculo de esta reserva.
PARÁGRAFO 2o. La reserva de prima no devengada no deberá constituirse para el ramo del seguro previsional de invalidez y sobrevivencia.
PARÁGRAFO 3o. En el caso particular del ramo de SOAT la prima emitida usada debe calcularse después de compensación entre entidades, distribuyendo dicha compensación en lo que corresponda a cada póliza.
ARTÍCULO 2.31.4.2.3. METODOLOGÍA DE CÁLCULO DE LA RESERVA POR INSUFICIENCIA DE PRIMAS. <Artículo modificado por el artículo 1 del Decreto 2973 de 2013. El nuevo texto es el siguiente:> En aquellos ramos que no cuenten con un régimen especial para la estimación de esta reserva, se calculará y reajustará mensualmente, tomando como periodo de referencia los dos (2) últimos años y se determinará con base en el producto de:
a) El porcentaje que resulte mayor entre cero y la diferencia de los egresos y los ingresos, dividido por las primas devengadas en el período de referencia;
b) El saldo de la reserva de prima no devengada a la fecha de cálculo;
PARÁGRAFO 1o. Dentro de los egresos del ramo se tendrán en cuenta los siniestros incurridos, netos de salvamentos y recobros, los egresos derivados de reaseguro proporcional y no proporcional, los gastos de administración, de expedición y los asociados a la administración de los activos que respaldan las reservas técnicas, causados en los dos (2) últimos años y hasta la fecha de cálculo.
Se podrán excluir aquellos siniestros que se caractericen por una baja frecuencia y alta severidad, para lo cual se deberá remitir el sustento actuarial a la Superintendencia Financiera de Colombia.
Dentro de los ingresos se tendrán las primas devengadas, los ingresos de contratos proporcionales y no proporcionales y los ingresos financieros, causados en los dos (2) últimos años y hasta la fecha de cálculo.
La Superintendencia Financiera de Colombia señalará los criterios y procedimientos para calcular la reserva por insuficiencia de primas, ya sea por ramos o por grupos de ramos, y determinará los ingresos y egresos relevantes para su cálculo.
PARÁGRAFO 2o. Para la presente reserva no procederán en ningún caso compensaciones entre los diferentes ramos. Cuando la insuficiencia de las primas se presente en forma consecutiva durante doce (12) meses, la entidad aseguradora deberá revisar y ajustar las tarifas.
PARÁGRAFO 3o. Las entidades aseguradoras podrán utilizar métodos prospectivos para el cálculo de la reserva por insuficiencia de primas, siempre que hayan transcurrido dos (2) años de aplicación del método descrito en este artículo y no exista objeción por parte de la Superintendencia Financiera de Colombia.
PARÁGRAFO 4o. Para todos los ramos, exceptuado el seguro previsional de invalidez y sobrevivencia, cuando se inicie la operación de uno nuevo, esta reserva se empezará a calcular en el momento en que se cumplan doce (12) meses contados a partir de la emisión de la primera póliza y se irá ampliando la ventana para el cálculo mes a mes hasta alcanzar dos (2) años.
PARÁGRAFO 5o. Cuando se revoque la autorización otorgada para operar un ramo o se suspenda el ofrecimiento de todos los productos que se explotan en un determinado ramo, la entidad aseguradora está obligada a continuar con el cálculo de esta reserva hasta la expiración de la vigencia de todas las pólizas suscritas, para lo cual tomará el último porcentaje a que alude el literal a) de este artículo, obtenido en el mes inmediatamente anterior a la revocatoria o suspensión. Lo anterior, no resulta aplicable para los casos en que se cede totalmente la cartera de un ramo.
ARTÍCULO 2.31.4.2.4. RÉGIMEN ESPECIAL DE LA RESERVA POR INSUFICIENCIA DE PRIMAS EN EL RAMO DEL SEGURO PREVISIONAL DE INVALIDEZ Y SOBREVIVENCIA. <Artículo modificado por el artículo 1 del Decreto 2973 de 2013. El nuevo texto es el siguiente:> Esta reserva se deberá calcular mensualmente, tomando como período de referencia los últimos seis (6) meses y corresponderá al monto que resulte mayor entre cero y la diferencia de los egresos y los ingresos que determine la Superintendencia Financiera de Colombia.
Cuando la entidad aseguradora no cuente con información histórica, la reserva se empezará a constituir a partir del tercer mes de vigencia de la póliza y el periodo de referencia corresponderá a los últimos tres (3) meses, el cual se ampliará mes a mes hasta completar los seis (6) meses antes señalados.
Si como resultado del mecanismo de selección de asegurador previsto en la Ley, la Sociedad Administradora de Fondos de Pensiones continúa con la misma entidad aseguradora y no se presenta variación en la tarifa, para el cálculo de esta reserva se debe tener en cuenta la información histórica de la póliza anterior.
PARÁGRAFO 1o. Esta reserva deberá constituirse sin compensaciones entre contratos.
PARÁGRAFO 2o. Cuando resten seis (6) meses para la terminación del contrato y hasta su finalización, la entidad aseguradora deberá multiplicar la reserva calculada por la proporción de tiempo que falte para terminar los seis (6) meses.
PARÁGRAFO 3o. Las entidades aseguradoras podrán utilizar métodos prospectivos para el cálculo de la reserva por insuficiencia de primas para el ramo de seguro previsional de invalidez y sobrevivencia, siempre que haya transcurrido un (1) año de aplicación del método descrito en este artículo y no exista objeción por parte de la Superintendencia Financiera de Colombia.
RÉGIMEN DE LA RESERVA MATEMÁTICA.
ARTÍCULO 2.31.4.3.1. ÁMBITO DE APLICACIÓN. <Artículo modificado por el artículo 1 del Decreto 2973 de 2013. El nuevo texto es el siguiente:> La reserva matemática se constituirá para los seguros de vida individual y para los amparos cuya prima se calcule en forma nivelada o seguros cuyo beneficio se pague en forma de renta. La Superintendencia Financiera determinará la obligación o no de constituir esta reserva para otros ramos de seguros.
ARTÍCULO 2.31.4.3.2. METODOLOGÍA DE CÁLCULO DE LA RESERVA MATEMÁTICA. <Artículo modificado por el artículo 1 del Decreto 2973 de 2013. El nuevo texto es el siguiente:> Esta reserva se debe constituir póliza a póliza y amparo por amparo y su cálculo corresponderá a la diferencia entre el valor presente actuarial de las obligaciones futuras a cargo de la aseguradora y el valor presente actuarial de los pagos futuros a cargo del asegurado a la fecha de cálculo.
En la estimación de las obligaciones a cargo del asegurador se deben incluir los gastos de liquidación y administración no causados a la fecha de cálculo, así como la participación de utilidades y cualquier otro gasto asociado directamente a los compromisos asumidos en la póliza.
El monto mínimo de esta reserva para cada póliza o amparo debe ser, en cualquier tiempo, igual al valor de rescate garantizado y en ningún momento podrá ser negativo.
Esta reserva debe calcularse de acuerdo con lo establecido en la nota técnica depositada ante la Superintendencia Financiera de Colombia y con sujeción a las siguientes reglas:
a) La tasa de interés técnico que emplearán durante toda su vigencia las pólizas emitidas con posterioridad a la expedición del presente decreto, se determinará a la fecha de emisión de la misma, y corresponderá a la menor entre:
1. La tasa de interés que sirvió como base para el cálculo de la prima.
2. La tasa de mercado de referencia que para el efecto establezca la Superintendencia Financiera de Colombia;
b) En los seguros de vida con fondo de ahorro, adicionalmente se calculará la reserva por el valor del fondo conformado por el ahorro y los rendimientos generados por el mismo y se contabilizará de manera separada, según las instrucciones que imparta la Superintendencia Financiera de Colombia;
c) En aquellos casos en que se otorgue rentabilidad garantizada o cualquier otro tipo de garantía, estas se deben considerar y valorar en dicho cálculo;
d) Las tablas de mortalidad y de invalidez a utilizar serán las establecidas por la Superintendencia Financiera de Colombia. Sin embargo, las entidades aseguradoras podrán utilizar tablas de mortalidad y de invalidez que reflejen la experiencia propia, sujeta a la presentación y no objeción de las mismas por parte de la Superintendencia Financiera de Colombia.
PARÁGRAFO. La Superintendencia Financiera de Colombia establecerá la información y los requisitos técnicos de carácter general que deben cumplir los estudios actuariales que sustenten el cálculo de esta reserva.
ARTÍCULO 2.31.4.3.3. METODOLOGÍA DE CÁLCULO DE LA RESERVA MATEMÁTICA PARA EL RAMO DE SEGUROS DE PENSIONES LEY 100, RIESGOS LABORALES Y CONMUTACIÓN PENSIONAL. <Artículo modificado por el artículo 1 del Decreto 2973 de 2013. El nuevo texto es el siguiente:> Para estos ramos de seguros, la reserva matemática corresponde al valor presente actuarial de las obligaciones futuras a cargo de la aseguradora y se calcula teniendo en cuenta los siguientes aspectos técnicos.
a) La tasa de interés técnico que determine la Superintendencia Financiera de Colombia;
b) Las tablas de mortalidad de rentistas y de inválidos expedidas por la Superintendencia Financiera de Colombia las cuales deberán ser actualizadas periódicamente;
c) Las tasas de inflación y de crecimiento de los beneficios pensionales y la participación de utilidades, en los ramos a que haya lugar.
ARTÍCULO 2.31.4.3.4. ÁMBITO DE APLICACIÓN DE LA RESERVA POR INSUFICIENCIA DE ACTIVOS. <Artículo modificado por el artículo 1 del Decreto 2973 de 2013. El nuevo texto es el siguiente:> Esta reserva es de aplicación obligatoria para los siguientes ramos de seguros:
a) Vida individual, amparos adicionales para los cuales la prima haya sido calculada en forma nivelada o se les calcule reserva matemática, y fondos de ahorro.
b) Pensiones Ley 100;
c) Pensiones con conmutación pensional;
d) Pensiones voluntarias;
e) Seguro educativo;
f) Rentas voluntarias;
g) Riesgos laborales.
La Superintendencia Financiera determinará la obligación o no de constituir esta reserva para otros ramos de seguros.
ARTÍCULO 2.31.4.3.5. METODOLOGÍA DE CÁLCULO DE LA RESERVA POR INSUFICIENCIA DE ACTIVOS. <Artículo modificado por el artículo 1 del Decreto 2973 de 2013. El nuevo texto es el siguiente:> Esta reserva se deberá constituir y ajustar en forma trimestral. Se calculará como el valor presente de las insuficiencias de activos por tramos. La insuficiencia se calculará en cada tramo como la diferencia entre el flujo de los pasivos y los activos. La Superintendencia Financiera de Colombia establecerá el procedimiento de cálculo de esta reserva, y definirá sus componentes, que como mínimo deberá incluir los siguientes elementos:
a) Activos y pasivos a considerar, sus flujos y su respectivo tratamiento;
b) Tramos en los cuales se deben calcular las insuficiencias;
c) Tasa de descuento para el cálculo del valor presente de la insuficiencia.
RÉGIMEN DE LA RESERVA DE SINIESTROS PENDIENTES.
ARTÍCULO 2.31.4.4.1. METODOLOGÍA DE CÁLCULO DE LA RESERVA DE SINIESTROS AVISADOS. <Artículo modificado por el artículo 1 del Decreto 2973 de 2013. El nuevo texto es el siguiente:> Esta reserva es de aplicación obligatoria para todos los ramos y deberá constituirse por siniestro y para cada cobertura, en la fecha en que la aseguradora tenga conocimiento, por cualquier medio, de la ocurrencia del siniestro y corresponderá a la mejor estimación técnica del costo del mismo. En aquellos ramos de seguros en los cuales al momento del aviso del siniestro no se conozca dicho costo, la valuación deberá consistir en una proyección de pagos futuros basada en estadísticas de pago de siniestros de años anteriores por cada tipo de cobertura.
El monto de la reserva constituido se debe reajustar en la medida en que se cuente con mayor información y en caso de existir informes de liquidadores internos o externos los mismos deberán ser considerados. En todo caso, esta reserva se deberá actualizar mensualmente.
La reserva deberá incluir los costos en que se incurre para atender la reclamación, incluidos los costos de honorarios de abogados para aquellos siniestros que se encuentren en proceso judicial. La Superintendencia Financiera de Colombia establecerá los lineamientos generales para el cómputo de los costos asociados al siniestro.
PARÁGRAFO 1o. La Superintendencia Financiera de Colombia establecerá parámetros adicionales para la constitución de esta reserva, en ramos o coberturas que se encuentren fuera de los lineamientos generalmente considerados de frecuencia y severidad o para los cuales la experiencia siniestral reciente no constituye una base de información suficiente para el cálculo.
PARÁGRAFO 2o. Esta reserva se liberará en función del pago total o parcial del siniestro, incluidos los costos asociados al siniestro, reducción del valor estimado del siniestro, desistimientos y prescripciones.
ARTÍCULO 2.31.4.4.2. METODOLOGÍA DE CÁLCULO DE LA RESERVA DE SINIESTROS AVISADOS DEL RAMO DE SEGUROS PREVISIONALES DE INVALIDEZ Y SOBREVIVENCIA. <Artículo modificado por el artículo 1 del Decreto 2973 de 2013. El nuevo texto es el siguiente:> Las entidades aseguradoras constituirán esta reserva cuando la Sociedad Administradora de Fondos de Pensiones le avise respecto de la radicación de una solicitud de pensión por el fallecimiento de un afiliado o la notificación de un proceso judicial o le solicite determinar en primera instancia la pérdida de la capacidad laboral y calificar el grado de invalidez y el origen de la contingencia o cuando le avisen sobre el recálculo de la suma adicional por el incremento del grado de invalidez de un pensionado.
Esta reserva se constituirá para cada siniestro, se debe ajustar en forma mensual y su monto será equivalente al valor de la suma adicional a la fecha del cálculo, afectada con la probabilidad de pago que se determinará de acuerdo con la categoría en la que se encuentre clasificado el siniestro para esa fecha bajo las condiciones establecidas por la Superintendencia Financiera de Colombia.
En la estimación del monto de esta reserva también se deben incluir las coberturas de auxilio funerario e incapacidad temporal, así como los gastos asociados al siniestro, tales como, traslado de pacientes, valoración por especialistas, exámenes complementarios, honorarios de juntas de calificación, entre otros.
Para el cálculo de esta reserva, las solicitudes de sumas adicionales para el pago de pensiones por invalidez se deben clasificar según la instancia de la solicitud (en evaluación) o del proceso de calificación.
Igualmente las solicitudes para el pago de pensiones de sobrevivencia, se deben clasificar según la instancia de la solicitud (en evaluación) o de la decisión (aceptada u objetada).
Para aquellos siniestros que se encuentran en proceso jurídico, en adición al monto de la reserva a constituir se deben incluir los costos de honorarios de abogados.
PARÁGRAFO. La Superintendencia Financiera de Colombia definirá las categorías de clasificación para cada una de las contingencias e igualmente, establecerá la información que las Administradoras de los Fondos de Pensiones deben suministrar a las aseguradoras para el cálculo de esta reserva y para la operación del seguro previsional de invalidez y sobrevivencia durante la vigencia contratada.
Así mismo, cuando la entidad aseguradora no cuente con alguno de los datos necesarios para efectuar el cálculo de la suma adicional, deberá emplear los establecidos por la Superintendencia Financiera de Colombia.
ARTÍCULO 2.31.4.4.3. LIBERACIÓN DE LA RESERVA DE SINIESTROS AVISADOS DEL RAMO DE SEGUROS PREVISIONALES DE INVALIDEZ Y SOBREVIVENCIA. <Artículo modificado por el artículo 1 del Decreto 2973 de 2013. El nuevo texto es el siguiente:> En los casos en que se requiera un dictamen, la aseguradora podrá liberar esta reserva, si cuenta con el dictamen en firme que declare el origen laboral de la contingencia o una pérdida de la capacidad laboral inferior al 50% o al porcentaje que en su momento se encuentre vigente o una fecha de estructuración de la invalidez por fuera de la vigencia de la póliza, o que el afiliado no haya cotizado las semanas requeridas con anterioridad a la fecha de estructuración de la invalidez.
ARTÍCULO 2.31.4.4.4. METODOLOGÍA DE CÁLCULO DE LA RESERVA DE SINIESTROS AVISADOS DEL RAMO DE SEGURO DE RIESGOS LABORALES. <Artículo modificado por el artículo 1 del Decreto 2973 de 2013. El nuevo texto es el siguiente:> Esta reserva deberá constituirse por cada siniestro y para cada prestación asistencial y/o económica, en la fecha en que la aseguradora tenga conocimiento, por cualquier medio, de la ocurrencia del siniestro y con sujeción a las siguientes reglas:
a) Se tendrá en cuenta la clasificación del siniestro a la fecha del cálculo, según la tabla de lesiones o enfermedad elaborada por la Superintendencia Financiera de Colombia;
b) Para cada lesión o enfermedad se deberá estimar el costo esperado de las prestaciones asistenciales, teniendo en cuenta la información de los siniestros pagados por tal concepto durante los tres (3) años anteriores ajustado por un margen de seguridad;
c) Para calcular el monto de la reserva por incapacidad temporal, se debe estimar teniendo en cuenta la información de días de incapacidad para cada lesión o enfermedad, tomando como referencia todos los siniestros que hayan generado pago por tal concepto durante los tres (3) años anteriores, ajustado por un margen de seguridad;
d) En la estimación del monto de esta reserva también se deben incluir las coberturas de auxilio funerario, así como los gastos asociados al siniestro, traslado de pacientes, valoración por especialistas, exámenes complementarios, gastos asistenciales vitalicios y honorarios de juntas de calificación;
e) La estimación del monto de la reserva para aquellas reclamaciones que den lugar a una pensión de invalidez o de sobrevivencia, se efectuará siguiendo el procedimiento y parámetros establecidos en el artículo 2.31.4.3.3;
f) Para aquellos siniestros que se encuentran en proceso jurídico, en adición al monto de la reserva a constituir se deben incluir los costos de honorarios de abogados;
g) Para aquellos casos en los cuales las entidades aseguradoras no cuenten con alguno de los datos necesarios para efectuar el cálculo de la reserva para el pago de una pensión de invalidez o de sobrevivencia, deberán emplear los establecidos por la Superintendencia Financiera de Colombia.
ARTÍCULO 2.31.4.4.5. LIBERACIÓN DE LA RESERVA DE SINIESTROS AVISADOS DEL RAMO DE SEGURO DE RIESGOS LABORALES. <Artículo modificado por el artículo 1 del Decreto 2973 de 2013. El nuevo texto es el siguiente:> En los casos en que se requiera un dictamen, la aseguradora no podrá liberar esta reserva, si no cuenta con el dictamen en firme que declare el origen común de la contingencia o una pérdida de la capacidad laboral inferior al 5% o al porcentaje que en su momento se encuentre vigente.
Igualmente, cuando se trate de prestaciones asistenciales e incapacidades temporales en las cuales la reclamación no presente movimientos, esta reserva no se podrá liberar a menos que haya transcurrido un (1) año en el mismo estado.
ARTÍCULO 2.31.4.4.6. ÁMBITO DE APLICACIÓN DE LA RESERVA DE SINIESTROS OCURRIDOS NO AVISADOS. <Artículo modificado por el artículo 1 del Decreto 2973 de 2013. El nuevo texto es el siguiente:> Se exceptúan de la constitución de esta reserva los siguientes ramos:
a) Vida individual, amparos adicionales para los cuales la prima haya sido calculada en forma nivelada o se les calcule reserva matemática, y fondos de ahorro.
b) Pensiones Ley 100;
c) Pensiones con conmutación pensional;
d) Pensiones voluntarias;
e) Seguro educativo;
f) Rentas voluntarias.
No obstante, la Superintendencia Financiera podrá determinar la obligación o no de constituir esta reserva para cualquier ramo de seguros.
ARTÍCULO 2.31.4.4.7. METODOLOGÍA DE CÁLCULO DE LA RESERVA DE SINIESTROS OCURRIDOS NO AVISADOS. <Artículo modificado por el artículo 1 del Decreto 2973 de 2013. El nuevo texto es el siguiente:> Esta reserva se calculará por ramo, en forma mensual y comprende la estimación conjunta de los siniestros ocurridos no avisados y ocurridos no suficientemente avisados.
Para la estimación de esta reserva, se deberán utilizar metodologías que tengan en cuenta el comportamiento de los siniestros o métodos validados técnicamente con suficiente desarrollo tanto teórico como práctico para esta estimación, sobre la base de siniestros incurridos o pagados, netos de recobro y salvamentos, expresados en pesos corrientes a la fecha de cálculo.
La entidad aseguradora deberá escoger si el cálculo de esta reserva para cada ramo se hará sobre la base de siniestros incurridos o pagados. Solo se podrá modificar la base de siniestros previa justificación y no objeción de la Superintendencia Financiera de Colombia.
Para el cálculo de esta reserva, la entidad aseguradora deberá contar como mínimo, con cinco (5) años de información siniestral propia y con diez (10) años para los ramos de seguro de riesgos laborales, previsionales de invalidez y sobrevivencia y los amparos de responsabilidad civil y cumplimiento.
No obstante, si la aseguradora cuenta con información igual o superior a cinco (5) años para las coberturas de responsabilidad civil y cumplimiento o tres (3) para el resto de los ramos, podrá utilizarla mientras alcanza el número de años previsto en el inciso anterior. En ausencia de esta información, se podrán utilizar las estadísticas del reasegurador para mercados cuyas características siniestrales sea comparable.
PARÁGRAFO 1o. Para la operación de un nuevo ramo de seguros, la aseguradora deberá presentar en la nota técnica una metodología alternativa de cálculo de esta reserva la cual utilizará mientras cuenta con la información mínima requerida.
PARÁGRAFO 2o. La entidad aseguradora podrá separar para un ramo la siniestralidad en función de uno o varios amparos o coberturas o agrupar más de un ramo con características siniestrales similares, siempre que no exista objeción por parte de la Superintendencia Financiera de Colombia.
En cualquier caso, la cobertura de responsabilidad civil y el ramo de SOAT no podrán ser agrupados con otras coberturas o ramos.
PARÁGRAFO 3o. Cuando se revoque la autorización otorgada para operar un ramo o se suspenda el ofrecimiento de todos los productos que se explotan en uno determinado, la entidad aseguradora está obligada a continuar con el cálculo de esta reserva hasta que haya transcurrido el término de prescripción previsto en la ley para ejercer las acciones derivadas de todos los contratos de seguro celebrados durante el período de operación del ramo.
ARTÍCULO 2.31.4.4.8. METODOLOGÍA DE CÁLCULO DE LA RESERVA DE SINIESTROS OCURRIDOS NO AVISADOS PARA LOS RAMOS DE SEGURO DE RIESGOS LABORALES Y PREVISIONAL DE INVALIDEZ Y SOBREVIVENCIA. <Artículo modificado por el artículo 1 del Decreto 2973 de 2013. El nuevo texto es el siguiente:> Las entidades aseguradoras efectuarán el cálculo de esta reserva teniendo en cuenta la metodología descrita en el artículo 2.31.4.4.7 y con sujeción a las siguientes reglas:
a) En el ramo de seguro previsional de invalidez y sobrevivencia, esta reserva se debe constituir para cada póliza emitida, desagregada por tipo de cobertura;
b) En el ramo de seguro de riesgos laborales esta reserva se debe calcular y constituir en forma desagregada, es decir, por tipo de prestación o cobertura;
c) En el ramo de seguro previsional de invalidez y sobrevivencia, la entidad aseguradora está obligada a continuar con el cálculo y constitución de esta reserva hasta 10 años después de que se termine la relación contractual de la póliza.
PARÁGRAFO. Para el ramo de seguro de riesgos laborales se constituirá la reserva de enfermedad laboral, la cual será acumulativa y se calculará al finalizar el mes, por un monto equivalente al 2% de las primas (cotizaciones) devengadas en el mes. La Superintendencia Financiera de Colombia determinará, si dado el monto cotizado o el saldo alcanzado por esta reserva, hay necesidad de seguir constituyéndola o se debe proceder a su liberación parcial. Esta reserva solo podrá ser utilizada para el pago de siniestros de enfermedades laborales ante el recobro de otra administradora que repita contra ella por prestaciones económicas y asistenciales derivadas de enfermedad laboral.
La Superintendencia Financiera de Colombia establecerá la información que las entidades aseguradoras deben recolectar para contar con estadísticas sobre el comportamiento de la siniestralidad de la enfermedad laboral.
RÉGIMEN DE LA RESERVA DE DESVIACIÓN DE SINIESTRALIDAD.
ARTÍCULO 2.31.4.5.1. RESERVA DE DESVIACIÓN DE SINIESTRALIDAD PARA RIESGOS LABORALES. La Superintendencia Financiera de Colombia establecerá la metodología de cálculo y liberación de esta reserva, teniendo en cuenta que la misma debe ser acumulativa, debe tener un techo o límite superior y debe tener en cuenta los mecanismos de protección adicional descritos en el artículo 2.31.4.6.1.
PARÁGRAFO. Hasta tanto no se definan los procedimientos a que hace referencia el presente artículo la reserva de desviación de siniestralidad para riesgos laborales será acumulativa y se incrementará trimestralmente en un monto equivalente al 4% de las cotizaciones devengadas del período en la porción retenida del riesgo. No será necesario que el monto acumulado de la reserva supere el 25% de las cotizaciones registradas durante los últimos doce (12) meses menos la mitad del valor asegurado en excesos de pérdidas catastróficos que cubran estos riesgos. Esta reserva podrá ser utilizada para el pago de siniestros que por su monto o naturaleza puedan justificadamente ser considerados catastróficos.
DISPOSICIONES FINALES.
ARTÍCULO 2.31.4.6.1. MECANISMOS DE PROTECCIÓN ADICIONAL. <Artículo modificado por el artículo 1 del Decreto 2973 de 2013. El nuevo texto es el siguiente:> Las entidades aseguradoras que exploten los ramos de seguros previsionales de invalidez y sobrevivencia y riesgos laborales estarán obligadas a contratar coberturas de reaseguro específicas para protegerse frente a desviaciones en la siniestralidad esperada, es decir, eventos con baja frecuencia y alta severidad. Para tal efecto, se tendrán en cuenta los parámetros generales que establezca la Superintendencia Financiera de Colombia.
ARTÍCULO 2.31.4.6.2. DISPONIBILIDAD DE SALDOS DE RESERVAS. <Artículo modificado por el artículo 1 del Decreto 2973 de 2013. El nuevo texto es el siguiente:> Si por efectos del cambio de las metodologías para el cálculo de las reservas técnicas establecidas en este decreto, se produce una liberación de reservas, dichos excesos se utilizarán para ajustar las reservas de aquellos ramos que presenten defecto.
Los excesos de reserva que se produzcan en los ramos de SOAT, previsionales de invalidez y sobrevivencia, seguro de pensiones Ley 100, conmutación pensional y riesgos laborales solo se podrán emplear para ajustar las reservas del ramo respectivo. No obstante, en el ramo de seguro de riesgos laborales, el exceso de la reserva de siniestros ocurridos no avisados, se destinará a incrementar la reserva de enfermedad laboral”.
RESERVAS TÉCNICAS ESPECIALES.
RÉGIMEN DE RESERVAS TÉCNICAS PARA EL RAMO DE SEGURO DE TERREMOTO.
ARTÍCULO 2.31.5.1.1. DEFINICIONES. <Artículo modificado por el artículo 2 del Decreto 2973 de 2013. El nuevo texto es el siguiente:> Para efectos del presente capítulo se entenderá por:
a) Evento sísmico: Corresponde a la ocurrencia de una ruptura o deslizamiento súbito en las rocas del interior de la corteza terrestre provenientes de un hipocentro determinado, dentro de un periodo específico. Dicho periodo será determinado por la Superintendencia Financiera de Colombia;
b) Cartera retenida: Corresponde al valor asegurado en todo el país que queda a cargo de la entidad aseguradora, una vez descontados los contratos de reaseguros proporcionales y no proporcionales, la proporción de coaseguro a cargo de otras entidades aseguradoras y el efecto de los deducibles. Las entidades aseguradoras establecidas en Colombia, no podrán aceptar en reaseguro cartera ubicada en el país, excepto si el reaseguro es facultativo para lo cual deberán dar cumplimiento a lo establecido en el presente capítulo;
c) Cartera total: Corresponde al valor asegurado en todo el país que queda a cargo de la entidad aseguradora, una vez descontados los deducibles y la proporción de coaseguro a cargo de otras entidades aseguradoras;
d) Prima pura de riesgo de la cartera retenida: Corresponde a la pérdida anual promedio esperada de la cartera retenida por la entidad aseguradora;
e) Pérdida máxima probable de la cartera retenida: Corresponde a la pérdida máxima esperada, con un periodo de recurrencia de mil quinientos (1.500) años, de la cartera retenida por la entidad aseguradora, proveniente de un evento sísmico;
f) Pérdida máxima probable de la cartera total: Corresponde a la pérdida máxima esperada, con un periodo de recurrencia de mil quinientos (1.500) años, de la cartera total de la entidad aseguradora, proveniente de un evento sísmico;
g) Factor de pérdida máxima probable de la cartera retenida: Corresponde al cociente entre la pérdida máxima probable de la cartera retenida y la cartera retenida de la entidad aseguradora.
PARÁGRAFO 1o. El cálculo de la cartera retenida, la prima pura de riesgo de la cartera retenida, la pérdida máxima probable de la cartera retenida, la pérdida máxima probable de la cartera total y el factor de pérdida máxima probable de la cartera retenida a que hace referencia el presente capítulo, deberá hacerse por lo menos semestralmente, según el modelo de referencia de la Superintendencia Financiera de Colombia, o el de la entidad aseguradora previamente no objetado por dicha Superintendencia.
PARÁGRAFO 2o. Las entidades aseguradoras establecidas en Colombia que acepten reaseguro facultativo de cartera ubicada en el país, deberán dar cabal cumplimiento a lo establecido en el presente capítulo, en particular en lo relativo a la constitución y uso de sus reservas técnicas, las cuales deberán incluir la cartera aceptada en Colombia y la cartera aceptada en el exterior. Así mismo, estas entidades deberán contar con una calificación equivalente a la exigida para los reaseguradores del exterior.
ARTÍCULO 2.31.5.1.2. CÁLCULO DE LA RESERVA DE RIESGO EN CURSO. <Artículo modificado por el artículo 2 del Decreto 2973 de 2013. El nuevo texto es el siguiente:> Para el ramo de seguro de terremoto, la reserva de riesgos en curso se calculará mediante la utilización del sistema de póliza a póliza; las entidades aseguradoras constituirán una reserva equivalente al cien por ciento (100%) de la prima pura de riesgo de la cartera retenida de cada entidad. Los recursos de esta reserva se liberarán para el pago de siniestros en la cartera retenida o conforme a las características del modelo póliza a póliza con destino a la reserva de riesgos catastróficos en las condiciones estipuladas en el artículo 2.31.5.1.3 del presente decreto.
ARTÍCULO 2.31.5.1.3. RESERVA DE RIESGOS CATASTRÓFICOS. <Artículo modificado por el artículo 2 del Decreto 2973 de 2013. El nuevo texto es el siguiente:> La reserva de riesgos catastróficos del seguro de terremoto se constituirá con los recursos liberados de la reserva de riesgos en curso a que hace referencia el artículo 2.31.5.1.2 del presente decreto y será de carácter acumulativo hasta completar un valor equivalente al que resulte de multiplicar el factor de pérdida máxima probable de la cartera retenida promedio de los últimos cinco (5) años, por la cartera retenida por parte de la respectiva entidad aseguradora. El saldo de la reserva de riesgos catastróficos solo podrá liberarse, previa autorización de la Superintendencia Financiera de Colombia, en los siguientes casos:
a) Para el pago de siniestros de la cartera retenida derivados de la ocurrencia de un evento sísmico, en cuyo caso la liberación solo será procedente cuando se agote la reserva de riesgo en curso de la cartera afectada. Para hacer uso de la reserva de riesgos catastróficos, la entidad aseguradora deberá acreditar ante la Superintendencia Financiera de Colombia el cumplimiento de las obligaciones derivadas de los contratos de reaseguro que sean exigibles como consecuencia de la ocurrencia del respectivo evento sísmico.
El monto de los recursos liberados del saldo de la reserva de riesgos catastróficos será constituido por la entidad aseguradora como un mayor valor de la reserva de siniestros pendientes a que hace referencia el literal d) del artículo 2.31.4.1.2 del presente decreto o las normas que lo modifiquen o sustituyan. Cuando el pago de los siniestros resulte inferior al valor correspondiente de la reserva de siniestros pendientes, el excedente deberá restituirse de forma inmediata a la reserva de riesgos catastróficos;
b) Para el pago de siniestros de la cartera no retenida derivados de la ocurrencia de un evento sísmico, en caso de no pago por parte del reasegurador debido a factores de insolvencia. En este caso la entidad aseguradora deberá presentar a la Superintendencia Financiera de Colombia, dentro de los diez (10) días siguientes a la fecha en que se realice el primer pago por este concepto, un plan orientado a la restitución de dicha reserva.
El mencionado plan no podrá proponer un plazo de restitución superior a seis (6) meses, a menos que la Superintendencia Financiera de Colombia determine, que de acuerdo a condiciones particulares de la entidad aseguradora, se requiera un plazo de ajuste superior;
c) Cuando el monto de la reserva de riesgos catastróficos sea superior a la pérdida máxima probable de la cartera total y hasta por el exceso sobre dicha pérdida.
PARÁGRAFO. Las entidades aseguradoras que decidan incursionar en la suscripción del ramo de terremoto, deberán, dentro de los cinco (5) años siguientes a la fecha en que la Superintendencia Financiera de Colombia les autorice la operación de dicho ramo, acumular la reserva de riesgos catastróficos hasta completar un valor equivalente al que resulte de multiplicar el factor de pérdida máxima probable de la cartera retenida promedio de los años para los cuales exista este cálculo por la cartera retenida, por parte de la respectiva entidad aseguradora.
ARTÍCULO 2.31.5.1.4. COBERTURA DE LA PÉRDIDA MÁXIMA PROBABLE DE LA CARTERA TOTAL. <Artículo modificado por el artículo 2 del Decreto 2973 de 2013. El nuevo texto es el siguiente:> La pérdida máxima probable de la cartera total de una entidad aseguradora deberá ser siempre inferior a la suma de la reserva de riesgos catastróficos, la reserva de riesgo en curso, los montos a cargo de reaseguradores en contratos proporcionales y no proporcionales. Dichos montos deberán ser ajustados por cambios en calificación crediticia del reasegurador, de acuerdo a las indicaciones que para tal fin imparta la Superintendencia Financiera de Colombia.
Sin perjuicio de la aplicación de las sanciones a que haya lugar, si por alguna razón la pérdida máxima probable de la cartera total sobrepasa el valor de la suma a la que se refiere el inciso anterior, la entidad aseguradora deberá suspender la suscripción del ramo de terremoto hasta cuando incremente la reserva de riesgos catastróficos o aumente los montos de su cartera a cargo de reaseguradores, en contratos proporcionales y no proporcionales, para cumplir con este requisito, de acuerdo a un plan de ajuste ejecutable en un plazo no superior a veinte (20) días hábiles. Dicho plan deberá ser presentado a la Superintendencia Financiera de Colombia en un plazo no mayor a cinco (5) días calendario contados a partir de la fecha en que se presente la situación descrita.
ARTÍCULO 2.31.5.1.5. REAPERTURA DEL RAMO. <Artículo modificado por el artículo 2 del Decreto 2973 de 2013. El nuevo texto es el siguiente:> La entidad aseguradora que opte por el cierre del ramo de seguro de terremoto y posteriormente solicite su reapertura, deberá restituir el monto liberado a la fecha en que se notificó del acto administrativo que revocó la autorización para operar el ramo. Este monto se debe indexar con el Índice de Precios al Consumidor y destinar para la constitución de la reserva de riesgos catastróficos.
ARTÍCULO 2.31.5.1.6. RÉGIMEN DE TRANSICIÓN. <Artículo modificado por el artículo 2 del Decreto 2973 de 2013. El nuevo texto es el siguiente:> Las entidades aseguradoras que cuenten con autorización para operar el ramo de seguro de terremoto, tendrán dos (2) años para la adecuada implementación de las disposiciones incluidas en el presente capítulo, contados a partir de la fecha en que la Superintendencia Financiera de Colombia dé a conocer el modelo a que hace referencia el parágrafo 1o del artículo 2.31.5.1.1. Durante dicho periodo seguirán aplicando las normas que rigen dicha operación.
En los primeros cinco (5) años posteriores a la fecha en que la Superintendencia Financiera de Colombia dé a conocer el modelo a que hace referencia el parágrafo 1o del artículo 2.31.5.1.1, la reserva de riesgos catastróficos, a que hace referencia el artículo 2.31.5.1.3 del Decreto número 2555 de 2010, deberá acumularse hasta completar un valor equivalente al que resulte de multiplicar el factor de pérdida máxima probable de la cartera retenida promedio de los años para los cuales exista este cálculo, por la cartera retenida por parte de la respectiva entidad aseguradora.
PARÁGRAFO. El monto total de reserva de desviación de siniestralidad que para el ramo de seguro de terremoto hayan constituido las entidades aseguradoras hasta que finalice el periodo de transición previsto en el inciso primero del presente artículo, será transferido a la reserva de riesgos catastróficos a que hace referencia el artículo 2.31.5.1.3 del Decreto número 2555 de 2010 y solo será liberable en los casos previstos en dicho artículo.
RÉGIMEN DE RESERVAS TÉCNICAS Y EL MONTO DE PATRIMONIO REQUERIDO PARA LA OPERACIÓN DEL RAMO DE SEGURO EDUCATIVO.
ARTÍCULO 2.31.5.2.1. CAMPO DE APLICACIÓN. <Artículo modificado por el artículo 2 del Decreto 2973 de 2013. El nuevo texto es el siguiente:> Las disposiciones contenidas en este capítulo aplican para el Ramo de Seguro Educativo, que comprende aquellos productos de seguro que mediante el pago de una prima, el asegurador garantiza el pago del valor de la matrícula del programa de educación que el beneficiario elija, durante un número de períodos determinados siempre y cuando el beneficiario efectivamente curse los estudios. Dicho pago se realiza directamente a la Institución de Educación Superior o a aquella que ofrezca otra clase de programas educativos a realizar, una vez culminada la educación media.
ARTÍCULO 2.31.5.2.2. PATRIMONIO REQUERIDO PARA EL RAMO DE SEGURO EDUCATIVO. <Artículo modificado por el artículo 2 del Decreto 2973 de 2013. El nuevo texto es el siguiente:> Para efectos de lo dispuesto en el numeral 1 del artículo 80 del Estatuto Orgánico del Sistema Financiero, a partir del 1o de abril del año 2010, las entidades aseguradoras autorizadas para operar el Ramo de Seguro Educativo, excepto aquellas que desarrollen actividades de reaseguro, deberán acreditar y mantener, en adición al capital mínimo, la suma de mil cuatrocientos tres millones de pesos ($1.403.000.000).
El monto del patrimonio señalado en el inciso anterior, se deberá ajustar anualmente en forma automática, en el mismo sentido y porcentaje en que varíe el índice de precios del consumidor que suministre el DANE. El valor resultante se aproximará al múltiplo en millones de pesos más cercano. El primer ajuste se realizará el 1o de enero de 2011, tomando como base la variación del índice de precios al consumidor durante el año 2010.
ARTÍCULO 2.31.5.2.3. RESERVAS PARA EL RAMO DE SEGURO EDUCATIVO. <Artículo modificado por el artículo 2 del Decreto 2973 de 2013. El nuevo texto es el siguiente:> Las entidades aseguradoras que operen el Ramo de Seguro Educativo deberán constituir las siguientes reservas:
a) Reserva matemática;
b) Reserva de siniestros avisados de los seguros educativos.
ARTÍCULO 2.31.5.2.4. METODOLOGÍA DE CÁLCULO DE LA RESERVA MATEMÁTICA PARA LOS SEGUROS EDUCATIVOS. <Artículo modificado por el artículo 2 del Decreto 2973 de 2013. El nuevo texto es el siguiente:> Las entidades aseguradoras deberán calcular la reserva matemática de los seguros educativos en los términos señalados en el artículo 2.31.4.3.2 del presente decreto y con sujeción a las siguientes reglas:
a) El valor estimado del costo de la matrícula de cada período académico se determinará con base en la información histórica de los beneficios educativos pagados, para lo cual se podrá utilizar cualquier hipótesis adicional, siempre y cuando mejore los resultados en las pruebas de seguimiento;
b) En ausencia de información histórica, la entidad podrá emplear estadísticas de mercado o las de un reasegurador de reconocida solvencia técnica y financiera.
c) Los incrementos observados en los costos de las matrículas deben reflejarse en el cálculo de la reserva matemática;
d) Esta reserva solo se podrá liberar al momento de iniciarse el pago de beneficios o para atender las obligaciones derivadas de la terminación anticipada del contrato.
ARTÍCULO 2.31.5.2.5. RESERVA DE SINIESTROS AVISADOS DE LOS SEGUROS EDUCATIVOS. <Artículo modificado por el artículo 2 del Decreto 2973 de 2013. El nuevo texto es el siguiente:> Esta reserva se debe constituir para cada siniestro y en la fecha del aviso a la entidad aseguradora sobre la utilización del beneficio educativo. El monto de la reserva corresponderá al valor presente de todos los pagos futuros por concepto de matrículas del programa de educación escogido y se debe ajustar mensualmente, con base en el valor de la última matrícula pagada por la aseguradora.
Si la póliza de seguro educativo contempla devoluciones durante este período, también se podrá liberar esta reserva para tal efecto.
ARTÍCULO 2.31.5.2.6. REGISTRO CONTABLE DE LAS RESERVAS TÉCNICAS DEL RAMO DE SEGURO EDUCATIVO. <Artículo modificado por el artículo 2 del Decreto 2973 de 2013. El nuevo texto es el siguiente:> La inversión de las reservas técnicas derivadas de la operación del Ramo de Seguro Educativo se debe registrar y reportar en forma separada, de conformidad con las instrucciones que para tal efecto imparta la Superintendencia Financiera de Colombia.
SEGURO AGROPECUARIO.
ARTÍCULO 2.31.6.1.1 ÁMBITO DE APLICACIÓN.
<Fuente original compilada: D. 3377/03 Art. 1o.> El seguro agropecuario de que trata este Título, será de aplicación a las inversiones en producciones agropecuarias. Para efectos de este seguro subsidiado por el Gobierno, son producciones asegurables todas aquellas que se encuentren incluidas en el Plan Anual de Seguros, aprobado por la Comisión Nacional de Crédito Agropecuario. En los demás casos se podrá contratar libremente el seguro sin el beneficio del subsidio.
ARTÍCULO 2.31.6.1.2 DE LA COMISIÓN NACIONAL DE CRÉDITO AGROPECUARIO.
<Fuente original compilada: D. 3377/10 Art. 3o.> Para efectos del seguro agropecuario, corresponde a la Comisión Nacional de Crédito Agropecuario en desarrollo de sus facultades legales y con base en las recomendaciones de la Secretaría Técnica, aprobar el Plan Anual de Seguros Agropecuarios en el cual se determinará el ámbito territorial de su aplicación, los riesgos a cubrir en las producciones agropecuarias, los costos de producción estimados, el subsidio sobre el valor de las primas, la estimación del aporte global del Gobierno y su distribución para el subsidio a las primas de los asegurados, las fechas de suscripción del seguro, la inclusión de los estudios técnicos que posibiliten la incorporación paulatina de nuevos cultivos y los programas de fomento y divulgación del seguro agropecuario.
En relación con la dirección del Fondo Nacional de Riesgos Agropecuarios, la Comisión Nacional de Crédito Agropecuario señalará las políticas generales de manejo e inversión de los recursos del Fondo, aprobará el presupuesto general de operación del Fondo, solicitará informes periódicos al administrador acerca de la ejecución de las políticas generales adoptadas y velará por que el Fondo disponga de la capacidad financiera necesaria para su funcionamiento.
ARTÍCULO 2.31.6.1.3 REPRESENTANTES DE LA COMISIÓN NACIONAL DE CRÉDITO AGROPECUARIO.
<Ver Notas del Editor> <Fuente original compilada: D. 3377/10 Art. 4o.> Los representantes de las compañías aseguradoras y de los gremios de la producción agropecuaria, ante la Comisión Nacional de Crédito Agropecuario, a que se refiere el artículo 85 de la Ley 101 de 1993, serán elegidos por la Junta Directiva de la Federación de Aseguradores Colombianos-FASECOLDA-y de manera conjunta por la Sociedad de Agricultores de Colombia-SAC-y por la Federación Colombiana de Ganaderos-FEDEGAN-respectivamente, para un período de un (1) año y podrán ser reelegidos para periodos subsiguientes. Tal elección deberá comunicarse al presidente de la Comisión mediante oficio suscrito por los representantes legales de los gremios, adjuntando la respectiva acta.
ARTÍCULO 2.31.6.1.4 RECURSOS DEL FONDO NACIONAL DE RIESGOS AGROPECUARIOS.
<Fuente original compilada: D. 3377/10 Art. 5o.> El Fondo Nacional de Riesgos Agropecuarios contará con los siguientes recursos:
a) Las partidas que le sean asignadas en el Presupuesto Nacional, en los términos del artículo 86 de la Ley 101 de 1993;
b) Un porcentaje equivalente al uno por ciento (1%) de los recursos provenientes de las primas pagadas en seguros agropecuarios, que deberán transferirse trimestralmente por las compañías aseguradoras al Fondo;
c) Un porcentaje de las utilidades del Gobierno Nacional en las sociedades de economía mixta y en las empresas industriales y comerciales del Estado, fijado por el Gobierno Nacional con sujeción a la recomendación que al efecto expida el Conpes;
d) Las utilidades que genere el Fondo Nacional de Riesgos Agropecuarios por la inversión de sus recursos.
ARTÍCULO 2.31.6.1.5 DESTINACIÓN DE LOS RECURSOS DEL FONDO NACIONAL DE RIESGOS AGROPECUARIOS.
<Fuente original compilada: D. 3377/10 Art. 6o.> Los recursos del Fondo Nacional de Riesgos Agropecuarios se destinarán a:
a) Atender el pago del subsidio a la prima de seguro del productor agropecuario, de acuerdo a las determinaciones de la Comisión Nacional de Crédito Agropecuario;
b) El pago de los costos administrativos generados por las operaciones del fondo y campañas de divulgación del seguro agropecuario. La Comisión Nacional de Crédito Agropecuario determinará el porcentaje de los rendimientos que se destinarán al pago de tales gastos;
c) Complementar la cobertura del reaseguro por concepto del seguro cuando existan fallas en el mercado internacional de reaseguro que impliquen su no otorgamiento.
ARTÍCULO 2.31.6.1.6 DEL SUBSIDIO A LA PRIMA DEL SEGURO.
<Fuente original compilada: D. 3377/10 Art. 7o.> La Comisión Nacional de Crédito Agropecuario determinará el valor porcentual del subsidio sobre la prima neta de seguro, atendiendo las circunstancias de cada región, cultivo, nivel tecnológico y costo de producción.
ARTÍCULO 2.31.6.1.7 SOCIEDADES ADMINISTRADORAS DEL SEGURO AGROPECUARIO.
<Fuente original compilada: D. 3377/10 Art. 8o.> Con el objeto de administrar el seguro agropecuario definido por la Comisión Nacional de Crédito Agropecuario en los planes anuales, las compañías de seguros que tengan el ramo autorizado para operar estos seguros, participarán en la cobertura de todos los riesgos objeto del citado plan, constituyéndose en sociedades de servicios técnicos especializados de conformidad con la ley.
PARÁGRAFO. Las sociedades administradoras del seguro agropecuario, no tendrán la condición de entidad aseguradora. En tal virtud, las actividades que desarrollen son complementarias de la actividad aseguradora de las entidades que participen en su capital.
ARTÍCULO 2.31.6.1.8 FUNCIONES DE LAS SOCIEDADES ADMINISTRADORAS DEL SEGURO AGROPECUARIO.
<Fuente original compilada: D. 3377/10 Art. 9o.> Serán funciones primordiales de las sociedades administradoras del seguro agropecuario:
a) Administrar los riesgos derivados del seguro que ampare a los productores agropecuarios, en nombre y por cuenta de las compañías de seguros que participen en su capital;
b) Ajustar, liquidar y pagar los siniestros en nombre y por cuenta de las compañías de seguros que participen en su capital;
c) Efectuar los estudios estadísticos, investigación actuarial y técnica requeridos para el seguro agropecuario;
d) Las demás que se relacionen directamente con su objeto social especial y exclusivo.
ARTÍCULO 2.31.6.1.9 IMPLANTACIÓN.
<Fuente original compilada: D. 3377/10 Art. 10> El seguro será puesto en práctica de forma progresiva mediante planes anuales de seguros aprobados por la Comisión Nacional de Crédito Agropecuario.
ARTÍCULO 2.31.6.1.10 RIESGOS AGROPECUARIOS.
<Fuente original compilada: D. 3377/10 Art. 11> Los riesgos agropecuarios que podrá amparar el seguro, serán los causados por siniestros naturales, climáticos, ajenos al control del tomador, determinados por los estudios técnicos que elaboren las compañías de seguros los cuales deben estar incluidos en el plan anual de seguros agropecuarios aprobado por la Comisión Nacional de Crédito Agropecuario.
ARTÍCULO 2.31.6.1.11 CONDICIÓN DE ASEGURABILIDAD.
<Fuente original compilada: D. 3377/10 Art. 12> El que desee acogerse a los beneficios de este seguro, deberá asegurar todas las producciones de igual clase que posea en el territorio nacional y que se encuentren incluidas en el plan anual de seguro para el ejercicio de que se trate.
Esta condición constituye una garantía dentro del contrato del seguro.
ARTÍCULO 2.31.6.1.12 VALOR ASEGURABLE.
<Fuente original compilada: D. 3377/10 Art. 13> El valor asegurable por unidad de producción agropecuaria estará en función del costo total de la inversión realizada por el productor, ya sea con recursos de crédito o con recursos propios, según zonas, que a estos efectos determine la Comisión Nacional de Crédito Agropecuario y será establecido en el plan anual de seguros.
ARTÍCULO 2.31.6.1.13 PRIMA DEL SEGURO AGROPECUARIO.
<Fuente original compilada: D. 3377/10 Art. 14> El cálculo de la prima del seguro agropecuario se realizará teniendo en cuenta los mapas de riesgos, los cálculos actuariales y los estudios técnicos y estadísticos, los cuales deben recoger los requisitos establecidos en el artículo 184, numeral 30 del Estatuto Orgánico del Sistema Financiero.
ARTÍCULO 2.31.6.1.14 DEDUCIBLES.
<Fuente original compilada: D. 3377/10 Art. 15> El seguro agropecuario contemplará deducibles en función a la modalidad del seguro, la clase de producción y los riesgos asegurados, los cuales serán asumidos obligatoriamente por el asegurado. La aseguradora establecerá la participación en la pérdida del asegurado.
ARTÍCULO 2.31.6.1.15 DURACIÓN.
<Fuente original compilada: D. 3377/10 Art. 16> La vigencia de los seguros comprenderá años calendario, ciclos o campañas agrícolas, conforme se fije en las pólizas.
ARTÍCULO 2.31.6.1.16 PERIODOS DE CARENCIA.
<Fuente original compilada: D. 3377/10 Art. 17> En las respectivas pólizas se indicará el número de días que deberán transcurrir desde la entrada en vigencia del seguro hasta el comienzo efectivo de la cobertura, no siendo indemnizables los siniestros que se produzcan durante el período de carencia.
RENTA VITALICIA INMOBILIARIA.
CONDICIONES GENERALES DE LA OPERACIÓN.
ARTÍCULO 2.31.7.1.1 OBJETO. <Artículo adicionado por el artículo 1 del Decreto 1398 de 2020. El nuevo texto es el siguiente:>
Establecer etapas y condiciones para el desarrollo de la renta vitalicia inmobiliaria a cargo de las compañías aseguradoras de vida. Estas entidades podrán ofrecer la renta vitalicia inmobiliaria, en los términos y condiciones contenidos en las normas aplicables, otorgando una renta periódica a cambio del precio de la prima, representado en la transferencia de la nuda propiedad del inmueble por parte del tomador a la compañía aseguradora o el tercero que esta determine.
Para efectos del presente Título se entenderá como tomador el o los propietarios del inmueble quien o quienes transfieren lanuda propiedad; como los beneficiarios aquellos que se definan así al momento de celebrar el contrato y a la compañía aseguradora de vida como el asegurador.
ARTÍCULO 2.31.7.1.2 CLASES DE RENTA VITALICIA INMOBILIARIA. <Artículo adicionado por el artículo 1 del Decreto 1398 de 2020. El nuevo texto es el siguiente:>
Las compañías de seguros de vida podrán ofrecer las siguientes modalidades de renta vitalicia inmobiliaria:
1. Renta vitalicia inmobiliaria inmediata. Corresponde a un contrato de seguro que, salvo pacto en contrario se entiende irrevocable, mediante el cual garantiza un pago periódico de una renta mensual hasta el fallecimiento del tomador o el de sus beneficiarios, a partir del pago de una prima única que se paga al inicio del contrato.
2. Renta temporal cierta con renta vitalicia inmobiliaria diferida. Corresponde a un seguro que, salvo pacto en contrario se entiende irrevocable, mediante el cual garantiza un pago periódico durante un periodo de diferimiento cierto y que, a partir del mes siguiente a aquel en que termina el periodo de diferimiento, genera un pago de renta vitalicia hasta el fallecimiento del o los beneficiarios, a partir del pago de una prima única que se paga al inicio del contrato.
En el evento del fallecimiento del último de los beneficiarios definidos en el contrato, durante el período de diferimiento cierto, se generará a favor del tomador o su masa sucesoral un pago único correspondiente al periodo de renta temporal cierta restante.
PARÁGRAFO 1o. En todo caso la compañía aseguradora de vida deberá ofrecer al tomador la posibilidad de pactar una opción de retracto para las modalidades de renta vitalicia inmobiliaria descritas en el presente artículo, en cuyo caso el tomador deberá: 1. Pagar a la compañía aseguradora el valor de las rentas recibidas hasta la fecha, ajustadas a valor futuro a la tasa acordada en el contrato. 2. Pagar a la compañía aseguradora los gastos, impuestos y contribuciones que haya pagado la compañía aseguradora en calidad de nuda propietaria del inmueble, ajustadas anualmente a valor futuro con el Índice de Precios al Consumidor (IPC) publicado por el Departamento Administrativo Nacional de Estadísticas (DANE), y 3. Pagar la totalidad de los costos asociados con la transferencia del dominio del inmueble transferido a título de prima. En ningún caso la tasa acordada para el ajuste de las rentas podrá superar la tasa máxima de interés para financiación de vivienda del Banco de la República.
PARÁGRAFO 2o. La Superintendencia Financiera de Colombia establecerá los términos y condiciones para el acceso a las dos clases de renta vitalicia inmobiliaria, así como los parámetros bajo los cuales se puede ejercer el retracto por parte de los tomadores.
Para tal efecto, las instrucciones que expida la Superintendencia Financiera de Colombia incluirán, entre otros aspectos, el período durante el cual el tomador podrá hacer uso de la opción de retracto, así como las condiciones para efectuar la adquisición de la nuda propiedad por parte del tomador, para lo cual se deberá preservar el equilibrio negocial entre las partes, en los términos de lo establecido en el Título I del Capítulo 5 de la Ley 1328 de 2009 y lo establecido en el numeral 3 del artículo 2.31.7.2.1 del presente Decreto.
PARÁGRAFO 3o. Las compañías aseguradoras de vida podrán ofrecer otras modalidades dé renta vitalicia inmobiliaria, previa autorización de la Superintendencia Financiera de Colombia.
ARTÍCULO 2.31.7.1.3. FUNCIONAMIENTO DE LA OPERACIÓN. <Artículo adicionado por el artículo 1 del Decreto 1398 de 2020. El nuevo texto es el siguiente:>
La renta vitalicia inmobiliaria operará de la siguiente forma:
1. El tomador debe acreditar la propiedad del bien inmueble y transferir la nuda propiedad del mismo a cambio del pago de una renta vitalicia inmobiliaria, en los términos previstos para cada modalidad.
2. El monto del pago periódico se determina, entre otros, teniendo en cuenta el valor del bien inmueble que respalda la operación y la edad de los beneficiarios. El avalúo del inmueble empleado deberá cumplir con las condiciones establecidas en el artículo 2.31.7.1.4.
3. Los tomadores deberán recibir, previo a la celebración del contrato de seguro, una asesoría en los términos del Capítulo 2 del presente Título.
4. Cuando el tomador esté conformado por más de un propietario, las partes podrán pactar el porcentaje de los flujos mensuales que corresponderá a cada uno de los beneficiarios definidos en el contrato por parte de cada tomador. En caso de que las partes no establezcan este porcentaje, se entenderá que a cada tomador le corresponderá determinar el porcentaje equivalente a la cuota parte que tenía sobre el bien inmueble que fue transferido.
5. Los tomadores o el beneficiario que estos determinen conservan el uso y el disfrute del bien inmueble hasta el fallecimiento del último de los beneficiarios definidos en el contrato de seguro.
6. Para efectos del uso y goce del inmueble se seguirá lo establecido en el Código Civil para los contratos de usufructo. Corresponde a los beneficiarios los gastos asociados a los pagos de servicios públicos y administración, excepto las cuotas extraordinarias de administración. Corresponde a la compañía aseguradora de vida asumir:
6.1. Los gastos de notariado y registro asociados a la transferencia de la nuda propiedad.
6.2. Los impuestos derivados de la propiedad sobre el inmueble.
7. Para efectos de la retención en la fuente asociada a la transferencia de la nuda propiedad, la compañía aseguradora podrá pagar en nombre del tomador dicho concepto, en cuyo caso la compañía aseguradora podrá realizar los ajustes correspondientes en el valor de las rentas. En todo caso, se le deberá informar al tomador los impactos que tenga sobre el valor de las rentas.
8. El monto de la renta se actualizará anualmente con el Índice de Precios al Consumidor (IPC) publicado por el Departamento Administrativo Nacional de Estadísticas (DANE).
La compañía aseguradora de vida podrá acordar cubrimientos adicionales con el tomador, tales como seguro funerario.
La Superintendencia Financiera de Colombia, mediante instrucciones, definirá las disposiciones asociadas a los elementos que deben considerar las compañías aseguradoras que realicen contratos de renta vitalicia inmobiliaria en cuanto a los sistemas de administración de riesgos.
ARTÍCULO 2.31.7.1.4. AVALÚOS. <Artículo adicionado por el artículo 1 del Decreto 1398 de 2020. El nuevo texto es el siguiente:>
1. Avalúo inicial. El bien inmueble, cuya nuda propiedad se transferirá para la realización de la renta vitalicia inmobiliaria deberá contar con un avalúo comercial inicial, cuyo costo será asumido por el cliente o potencial cliente. El avalúo deberá ser realizado por un avaluador inscrito en el Registro Abierto de Avaluadores (RAA), a través de una Entidad Reconocida de Autorregulación, reconocida y autorizada por la Superintendencia de Industria y Comercio. Las reglas serán las siguientes:
1.1. El valor establecido en el avalúo comercial servirá para efectos de calcular el monto a disponer en la operación de renta vitalicia inmobiliaria.
1.2. En caso de existir un avalúo comercial cuya fecha de realización no sea superior a seis (6) meses, este podrá utilizarse para determinar el valor del inmueble y no será necesario practicar uno nuevo. En el caso de que la compañía aseguradora considere que deba practicarse un nuevo avalúo, el costo deberá ser asumido por esta.
1.3. El cliente o potencial cliente puede cuestionar el resultado del avalúo enviando una solicitud de reconsideración de valor si tiene tres (3) ventas comparables recientes, menores a seis (6) meses, que considera se deben tener en cuenta por el avaluador. Se requiere que el avaluador considere las ventas comparables presentadas y las utilice en su análisis o justifique por qué no pueden usarse como comparables. Se considerarán como ventas comparables aquellas que tengan en cuenta como mínimo los siguientes criterios:
1.3.1. Antigüedad.
1.3.2. Estado de conservación.
1.3.3. Tamaño del área privada.
1.3.4. Ubicación geográfica con respecto al bien inmueble con el que se desea suscribir la operación:
2. Avalúos periódicos. La compañía aseguradora deberá realizar avalúos comerciales periódicos del inmueble cada tres (3) años para efectos de actualizar los requerimientos prudenciales que tratan los artículos 2.31.1.2.9 y 2.31.3.1.2 del presente decreto. El avalúo deberá ser realizado por un avaluador inscrito en el Registro Abierto de Avaluadores (RAA) a través de una Entidad Reconocida de Autorregulación, reconocida y autorizada por la Superintendencia de Industria y Comercio. El costo será asumido por la compañía aseguradora.
PARÁGRAFO: En ningún caso los avalúos comerciales del bien inmueble podrán ser realizados por personas naturales o jurídicas relacionadas o vinculadas, directa o indirectamente, con la compañía aseguradora, el tomador o los beneficiarios establecidos en el contrato de seguro.
DEBERES DE LAS COMPAÑÍAS ASEGURADORAS DE VIDA.
ARTÍCULO 2.31.7.2.1. DEBERES DE LAS COMPAÑÍAS ASEGURADORAS EN EL OFRECIMIENTO DE LA RENTA VITALICIA INMOBILIARIA. <Artículo adicionado por el artículo 1 del Decreto 1398 de 2020. El nuevo texto es el siguiente:>
En el ofrecimiento de la renta vitalicia inmobiliaria –con independencia de la modalidad– las compañías aseguradoras y el personal contratado para la colocación de estas operaciones deben actuar con los más altos estándares de prudencia, diligencia, transparencia, honestidad, lealtad, idoneidad y el profesionalismo exigibles a un experto en el manejo de productos para la generación de ingresos complementarios para las personas elegibles para este producto. En este contexto, estarán sujetas al cumplimiento de los siguientes deberes.
1. Deber de información. Toda compañía aseguradora deberá adoptar las políticas, procesos y procedimientos idóneos para que la información dirigida a los clientes o potenciales clientes de una operación de renta vitalicia inmobiliaria –con independencia de la modalidad– sea suficiente, objetiva, oportuna, completa, imparcial, clara y de fácil comprensión para la toma de decisiones en relación con la suscripción o modificación de una operación de renta vitalicia inmobiliaria. En el marco de este deber, de manera previa a la realización de una operación de renta vitalicia inmobiliaria, o a la modificación de las condiciones de la misma, la compañía aseguradora deberá informar al cliente o potencial cliente por lo menos lo siguiente:
1.1. La naturaleza jurídica de la operación de renta vitalicia inmobiliaria bajo la modalidad que se estaría contratando.
1.2. Las características generales del producto y los riesgos inherentes a la misma.
1.3. Las condiciones y obligaciones a las que quedaría obligado el cliente o potencial cliente en relación con el inmueble incluyendo la periodicidad en que se harán avalúos sobre la vivienda y las obligaciones asociadas a este proceso; los mantenimientos y reparaciones; y el momento en que se hace exigible la restitución del inmueble.
1.4. La totalidad de los costos, tarifas, y comisiones, sean estos ciertos o contingentes, que surgirán o podrán surgir en el marco de la operación de la renta vitalicia inmobiliaria. En particular, cuando se haya pactado la posibilidad de retracto la compañía aseguradora deberá señalar el mayor costo entre los desembolsos recibidos y el repago requerido para resolver el contrato de seguro, así como una estimación de los costos de transferencia del inmueble.
1.5. Una explicación de cualquier término o condición contractual material para el cliente o potencial cliente en relación con los contratos que serían suscritos en el marco de la operación de renta vitalicia inmobiliaria.
1.6. Los derechos y protecciones a los que tiene derecho como consumidor financiero.
1.7. La compañía aseguradora deberá explicar al cliente o potencial cliente de manera clara y fácil de comprender el efecto que tendrá en las rentas derivadas de la operación el acordar una opción de retracto.
La información que la compañía aseguradora entregue al cliente o potencial cliente de una operación de renta vitalicia inmobiliaria podrá entregarse por cualquier medio verificable, respetando en todo caso el deber de documentación establecido en este artículo.
La Superintendencia Financiera de Colombia establecerá los criterios y directrices que las compañías aseguradoras deberán tener en cuenta al momento de suministrar la información prevista en el numeral 1 del presente artículo a los clientes o potenciales clientes de una operación de renta vitalicia inmobiliaria, para lo cual podrá establecer distinciones entre las modalidades que se pueden ofrecer para la operación.
2. Deber de documentación. En el marco de una operación de renta vitalicia inmobiliaria –con independencia de su modalidad– las compañías aseguradoras deberán documentar de manera oportuna y adecuada la información y asesoría entregada al cliente o potencial cliente de la operación. Dicha información deberá ponerse a disposición de la Superintendencia Financiera de Colombia, cuando esta la solicite.
3. Deber de mejor resultado en la operación. En el marco de una operación de renta vitalicia inmobiliaria, o en la modificación de los términos de la misma, las compañías aseguradoras deberán efectuar sus mejores esfuerzos para obtener el mejor resultado posible para el cliente o el potencial cliente, con base en la información evaluada.
4. Deber de asesoría. La asesoría en el marco de las operaciones de renta vitalicia inmobiliaria –con independencia de su modalidad– únicamente puede ser desarrollada por las compañías aseguradoras vigiladas por la Superintendencia Financiera de Colombia, conforme a las reglas que dispone el funcionamiento de este producto, según lo dispuesto en el presente Título.
Para efectos de cumplir con este deber, las compañías aseguradoras deberán elaborar un perfil para el cliente o potencial cliente de una operación de renta vitalicia inmobiliaria, establecerán el perfil del producto correspondiente y entregarán la información requerida, siguiendo las reglas establecidas a continuación:
4.1. Recomendación profesional. Las compañías aseguradoras deberán entregar a los clientes o potenciales clientes de una operación de renta vitalicia inmobiliaria –sea la originación o la modificación de esta– una recomendación profesional en relación con la idoneidad del producto, tomando en consideración las características individuales y personales establecidas en el perfil del cliente, así como el perfil del producto.
La recomendación se deberá realizar de forma individual y personalizada, de forma tal que se dirija a un cliente debidamente identificado, tomando en consideración sus condiciones particulares.
4.2. Perfil del cliente. Las compañías aseguradoras deberán elaborar un perfil del cliente para cada uno de los clientes o potenciales clientes de una operación de renta vitalicia inmobiliaria, en el cual deberán evaluar su situación financiera, intereses y necesidades, a fin de determinar el perfil del producto más idóneo y conveniente para lograr el bienestar del cliente o potencial cliente. Para estos efectos, la compañía aseguradora deberá analizar como mínimo la información que el cliente o potencial cliente le suministre en relación con los siguientes aspectos:
4.2.1. Nivel y fuente de ingresos;
4.2.2. Estructura familiar y de potenciales herederos;
4.2.3. Objetivos buscados con la operación;
4.2.4. La edad de quienes vayan a tener la calidad de los beneficiarios y
4.2.5. La tolerancia al riesgo.
Es obligación de los clientes o potenciales clientes entregarle a la compañía aseguradora la información requerida para la elaboración del perfil del cliente. La Superintendencia Financiera de Colombia podrá determinar los aspectos y elementos adicionales que se deben considerar para la elaboración del perfil del cliente en el marco de las operaciones de renta vitalicia inmobiliaria.
4.3. Perfil del producto. El perfil del producto es el resultado del análisis profesional que efectúe la compañía aseguradora en relación con la modalidad y los términos de la renta vitalicia inmobiliaria que más se adecúan al perfil del cliente interesado en suscribir la operación.
La Superintendencia Financiera de Colombia podrá determinar los aspectos y elementos adicionales que se deben considerar para la elaboración del perfil del producto, así como elementos que doten de transparencia a la operación de renta vitalicia inmobiliaria.
ARTÍCULO 2.31.7.2.2. COMERCIALIZACIÓN DE LA RENTA VITALICIA INMOBILIARIA. <Artículo adicionado por el artículo 1 del Decreto 1398 de 2020. El nuevo texto es el siguiente:>
Sin perjuicio de la exclusiva e indelegable responsabilidad de las compañías aseguradoras de brindar la asesoría, estas podrán suscribir convenios con los intermediarios de seguros que se encuentren sujetos a supervisión permanente por parte de la Superintendencia Financiera de Colombia para promover la contratación de la renta vitalicia inmobiliaria y administrar su relación con el cliente o potencial cliente.
NORMAS COMUNES A ENTIDADES ASEGURADORAS Y SOCIEDADES ADMINISTRADORAS DE FONDOS DE PENSIONES Y CESANTÍAS.
PLANES ALTERNATIVOS DE CAPITALIZACIÓN Y DE PENSIONES.
ARTÍCULO 2.32.1.1.1 PLANES ALTERNATIVOS.
<Fuente original compilada: D. 876/94 Art. 8o.> Conforme lo establece el artículo 87 de la Ley 100 de 1993, los afiliados al Régimen de Ahorro Individual podrán optar por planes alternativos de capitalización y de pensiones que sean autorizados por la Superintendencia Financiera de Colombia en los términos del presente Título.
El ejercicio de esta opción implica que el empleador y el afiliado según corresponda, efectúen el pago de las cotizaciones obligatorias al plan alternativo respectivo.
Los empleadores y los afiliados podrán efectuar cotizaciones voluntarias que se regirán por lo previsto en el correspondiente plan alternativo.
ARTÍCULO 2.32.1.1.2 REQUISITOS PARA EL EJERCICIO DE LA OPCIÓN.
<Fuente original compilada: D. 876/94 Art. 2o.> El ejercicio de la opción de que trata el artículo anterior está supeditado al cumplimiento de uno de los siguientes requisitos:
a) Que el afiliado haya acumulado en la cuenta individual de ahorro pensional una suma no inferior al cincuenta por ciento (50%) del capital necesario para financiar una pensión mínima equivalente a la que señala el artículo 35 de la Ley 100 de 1993.
Al evaluar estos planes alternativos, la Superintendencia Financiera de Colombia deberá verificar, previamente a su autorización, entre otros, aspectos propios de las condiciones de sobrevivencia de las personas destinatarias del plan propuesto;
b) Que el afiliado haya acumulado en la cuenta individual de ahorro pensional una suma equivalente al cien por ciento (100%) de capital necesario para financiar la pensión mínima que señala el artículo 35 de la Ley 100 de 1993.
En todo caso, en los planes alternativos, los cálculos correspondientes deberán tomar en consideración las regulaciones técnicas y actuariales que adopte la Superintendencia Financiera de Colombia para este efecto y se sujetarán a las normas que en materia de edad para acceder a la jubilación, señalan las normas correspondientes.
PARÁGRAFO. La capitalización que prevé el presente artículo se determinará a partir de la acumulación de ahorro pensional en la cuenta individual, a la cual se sumará el valor del bono pensional, si a él hubiere lugar.
ARTÍCULO 2.32.1.1.3 MOVILIDAD ENTRE PLANES ALTERNATIVOS.
<Fuente original compilada: D. 876/94 Art. 10> En desarrollo de los artículos 87 y 107 de la Ley 100 de 1993, los afiliados a los planes alternativos tendrán derecho a cambiarse a otro plan alternativo, cualquiera sea la entidad administradora o entidad aseguradora de vida que lo administre, sin exceder de una vez por semestre, previa solicitud presentada por el interesado con no menos de 30 días calendario de anticipación.
ARTÍCULO 2.32.1.1.4 REQUISITOS DE LOS PLANES ALTERNATIVOS.
<Fuente original compilada: D. 876/94 Art. 11> Para efectos de aprobar los planes alternativos de capitalización y de pensiones, la Superintendencia Financiera de Colombia verificará el cumplimiento de los siguientes requisitos:
1. Los recursos provenientes de los planes alternativos deberán administrarse como un patrimonio separado de la entidad que maneja el plan y de los fondos de pensiones de la misma, en la forma que disponga la Superintendencia Financiera de Colombia.
2. El plan deberá contemplar una cuenta o reserva individual a nombre del afiliado, que gozará de los beneficios fiscales y de inembargabilidad de que trata el artículo 134 de la Ley 100 de 1993. Por lo menos trimestralmente, los afiliados recibirán un extracto que registre dichos valores.
3. El plan cubrirá los riegos de invalidez y de sobrevivencia, incluido en este último el auxilio funerario.
4. El plan tendrá por finalidad la acumulación de recursos para obtener una pensión de vejez.
5. La cotización al plan alternativo se destinará a capitalización individual, obligatoriamente a seguros de invalidez y sobrevivientes, a gastos de administración y, en su caso, los aportes al Fondo de Solidaridad Pensional, en los términos contenidos en el artículo 20 de la Ley 100 de 1993.
6. En principio el plan alternativo implica la renuncia a la garantía de pensión y rentabilidad mínima, lo cual deberá ser informado suficientemente al afiliado, de manera previa a su contratación. No obstante, previo concepto favorable del Ministerio de Hacienda y Crédito Público, un plan alternativo puede prever dicha garantía.
7. Las sociedades administradoras y entidades aseguradoras de vida que ofrezcan planes alternativos deberán contar con la garantía del Fondo de Garantías de Instituciones Financieras- FOGAFIN, con sujeción a las disposiciones pertinentes.
8. (Adicionado por el D. 767/98 Art. 1o.) Que se prevea que la totalidad de los rendimientos generados por los recursos aportados a un plan alternativo de capitalización o de pensiones sean abonados a los afiliados en los términos del artículo 97 de la Ley 100 de 1993, de acuerdo con el cual los fondos de pensiones que resulten de los planes alternativos de capitalización o de pensiones, así como cualquier otro ingreso generado por los activos que los integren son propiedad de los afiliados.
PARÁGRAFO. (Adicionado por el D. 767/98 Art. 1o.) La Superintendencia Financiera de Colombia impartirá las instrucciones a que haya lugar para dar cumplimiento a dicho artículo.
ARTÍCULO 2.32.1.1.5 ASUNCIÓN DE RIESGOS.
<Fuente original compilada: D. 876/94 Art. 12> Solamente las entidades aseguradoras de vida que cuenten con autorización impartida por la Superintendencia Financiera de Colombia para la explotación del ramo de seguros previsionales podrán asumir los riesgos de invalidez y sobrevivencia que prevea el correspondiente plan alternativo.
Solamente las entidades aseguradoras de vida que cuenten con autorización impartida por la Superintendencia Financiera de Colombia para la explotación del ramo de seguro de pensiones podrán asumir el riesgo de vejez que, mediante beneficios definidos, prevea el correspondiente plan alternativo.
ARTÍCULO 2.32.1.1.6 ENTIDADES AUTORIZADAS.
<Fuente original compilada: D. 876/94 Art. 13> Sin perjuicio de lo dispuesto en el artículo precedente, podrán expedir los planes alternativos de capitalización y de pensiones las sociedades administradoras de fondos de pensiones y de cesantías y las entidades aseguradoras de vida que cuenten con autorización para explotar el ramo de pensiones.
ARTÍCULO 2.32.1.1.7 PATRIMONIO Y MARGEN DE SOLVENCIA DE LAS ENTIDADES ASEGURADORAS AUTORIZADAS.
<Fuente original compilada: D. 876/94 Art. 14> En desarrollo de lo previsto en el artículo 94 de la Ley 100 de 1993, las entidades aseguradoras de vida que sean autorizadas para ofrecer planes alternativos de capitalización y de pensiones deberán contar con un patrimonio equivalente al exigido a las administradoras del régimen de ahorro individual con solidaridad para actuar como tales.
El margen de solvencia de las entidades aseguradoras de vida autorizadas se regirá, en cuanto a los recursos destinados a la pensión de vejez, por el artículo 94 de la Ley 100 de 1993 y en relación con los riesgos de invalidez y sobrevivencia por las normas vigentes sobre margen de solvencia para entidades aseguradoras de vida.
ARTÍCULO 2.32.1.1.8 INVERSIONES.
<Fuente original compilada: D. 876/94 Art. 15> En desarrollo de lo previsto en el artículo 100 de la Ley 100 de 1993, las condiciones y límites de la inversión de los recursos provenientes de los planes alternativos serán aprobadas individualmente en cada caso por la Superintendencia Financiera de Colombia, tomando en consideración el nivel de riesgo asociado a cada plan.
NORMAS COMUNES A LAS SOCIEDADES COMISIONISTAS DE BOLSA Y SOCIEDADES FIDUCIARIAS.
CUENTAS DE MARGEN.
GENERALIDADES.
ARTÍCULO 2.33.1.1.1 CUENTAS DE MARGEN.
<Fuente original compilada: D. 666/07 Art. 1o.> Son cuentas de margen los contratos celebrados para realizar operaciones de contado de compraventa de valores, por cuenta de un cliente, por montos superiores a los recursos aportados por este, en los que se prevé que la liquidación de las posiciones abiertas se efectúe total o parcialmente con los recursos o valores obtenidos mediante la liquidación de una operación de compraventa de valores, reporto o repo, simultánea o transferencia temporal de valores.
PARÁGRAFO 1. Para los efectos previstos en este Libro se entiende por posición abierta el monto de las operaciones de contado de compraventa de valores, realizadas por una sociedad autorizada, por cuenta de un cliente, respecto de las cuales no se haya realizado una operación de compraventa de valores contraria a la inicialmente efectuada.
Se entiende que una posición ha sido cerrada únicamente cuando se realiza una operación de compraventa de valores contraria a la inicialmente efectuada. No se entenderá cerrada una posición cuando se encuentre pendiente el cumplimiento de una operación de reporto o repo, simultánea o de transferencia temporal de valores realizada en desarrollo del respectivo contrato de cuentas de margen.
PARÁGRAFO 2. Las operaciones correspondientes a cuentas de margen sólo podrán realizarse a través de sistemas de negociación de valores autorizados por la Superintendencia Financiera de Colombia.
ARTÍCULO 2.33.1.1.2 SOCIEDADES AUTORIZADAS.
<Fuente original compilada: D. 666/07 Art. 2o.> Las cuentas de margen sólo podrán ser realizadas por las sociedades comisionistas de bolsa de valores dentro del marco del contrato de comisión o a través de la administración de portafolios de terceros; y por las sociedades fiduciarias dentro del marco de los contratos de fiducia mercantil o encargo fiduciario.
ARTÍCULO 2.33.1.1.3 VALORES AUTORIZADOS.
<Fuente original compilada: D. 666/07 Art. 3o.> Se podrán realizar operaciones correspondientes a cuentas de margen sobre valores de alta liquidez. Con base en este criterio, la Superintendencia Financiera de Colombia establecerá por vía general, los valores que podrán ser objeto de operaciones de cuenta margen, incluyendo en dicha autorización el margen mínimo aplicable a los mismos, en concordancia con lo establecido en el artículo 2.33.1.2.1 del presente decreto.
REGLAS ESPECIALES PARA LA REALIZACIÓN DE CUENTAS DE MARGEN.
<Fuente original compilada: D. 666/07 Art. 4o.> Para los efectos previstos en este Libro, se entiende por margen la suma de dinero que la sociedad autorizada tiene por cuenta de un cliente, como respaldo patrimonial, específico y exclusivo, para la realización y la liquidación de las operaciones correspondientes a la cuenta de margen respectiva.
El margen deberá estar en poder de la sociedad autorizada, en su totalidad, de manera previa a la realización de las inversiones correspondientes a la cuenta de margen respectiva.
La Superintendencia Financiera de Colombia determinará el margen mínimo que las sociedades autorizadas deberán exigir. En todo caso, el margen al momento de tomar la posición por cuenta del cliente no podrá ser inferior al cinco por ciento (5%) del valor de la respectiva posición. Tratándose de acciones, dicho margen no podrá ser inferior al cincuenta por ciento (50%) de la respectiva posición.
PARÁGRAFO 1. Sin perjuicio de lo anterior, los reglamentos de los sistemas de negociación de valores podrán prever requerimientos de margen mayores a los mínimos exigidos.
PARÁGRAFO 2. Las sociedades autorizadas también podrán exigir requerimientos de margen superiores a los previstos en la presente norma o en los reglamentos de los sistemas de negociación de valores teniendo en cuenta factores como la liquidez y la volatilidad del mercado de los valores sobre los que el contrato permita dicha operación y el análisis de riesgo crediticio realizado sobre cada cliente.
ARTÍCULO 2.33.1.2.2 MONTO MÍNIMO INICIAL Y CLIENTE DE LAS CUENTAS DE MARGEN.
<Fuente original compilada: D. 666/07 Art. 5o.> El margen entregado al inicio del respectivo contrato no podrá ser inferior a cien (100) salarios mínimos legales mensuales vigentes.
<Inciso modificado el artículo 68 del Decreto 1745 de 2020. El nuevo texto es el siguiente:> El cliente de cada contrato para la realización de cuentas de margen estará conformado por una única persona natural o jurídica o por un fondo de inversión colectiva
ARTÍCULO 2.33.1.2.3 LLAMADO AL MARGEN.
<Fuente original compilada: D. 666/07 Art. 6o.> El llamado al margen es la solicitud a través de la cual la sociedad autorizada exige al cliente la entrega de más dinero para mantener abiertas las posiciones tomadas por su cuenta.
Este llamado tendrá lugar cuando el valor del margen calculado teniendo en cuenta las pérdidas o ganancias que resultarían en el evento de cierre de las posiciones del cliente, sea inferior a una suma igual al cincuenta por ciento (50%) del margen que se requeriría para tomar una posición equivalente a la que se tiene por cuenta del respectivo cliente, de conformidad con lo previsto en el artículo 2.33.1.2.1 del presente decreto. En este evento, el cliente deberá aportar la diferencia necesaria para completar este último margen.
Los reglamentos de los sistemas de negociación de valores o los contratos contentivos de las cuentas de margen podrán establecer porcentajes superiores al previsto en este artículo.
PARÁGRAFO 1. Para efectos del cálculo de las pérdidas, o ganancias que resultarían en el evento de cierre de las posiciones del cliente deberá tenerse en cuenta el precio correspondiente a la más reciente operación celebrada en los sistemas de negociación de valores sobre el valor respectivo.
PARÁGRAFO 2. El cliente deberá reconstituir el margen dentro de la oportunidad prevista en el contrato marco respectivo, el cual, en ningún caso, podrá ser superior a veinticuatro (24) horas comunes, contadas a partir del momento en que se haya realizado la solicitud por parte de la sociedad autorizada.
En caso de que el plazo termine en una hora no hábil, se entenderá que el mismo se extiende hasta el final de la subsiguiente hora hábil.
Cuando el cliente no atienda oportunamente el llamado al margen, la sociedad autorizada deberá cerrar obligatoriamente las posiciones abiertas de este, sin perjuicio de lo previsto en el artículo 2.33.1.2.5 de este decreto.
PARÁGRAFO 3. Cuando las condiciones del mercado así lo ameriten, la Superintendencia Financiera de Colombia podrá establecer por vía general, la obligación para que las sociedades autorizadas realicen llamados al margen con base en un porcentaje superior al previsto en el presente artículo.
ARTÍCULO 2.33.1.2.4 RECURSOS RECIBIDOS CORRESPONDIENTES AL MARGEN.
<Fuente original compilada: D. 666/07 Art. 7o.> Las sociedades autorizadas deberán depositar los recursos dinerarios correspondientes al margen en una cuenta bancaria, corriente o de ahorros, abiertas a nombre de la sociedad autorizada, para el desarrollo específico de los contratos de cuentas de margen.
ARTÍCULO 2.33.1.2.5 CIERRE OBLIGATORIO DE LAS POSICIONES ABIERTAS.
<Fuente original compilada: D. 666/07 Art. 8o.> La sociedad autorizada deberá cerrar todas las posiciones abiertas de un cliente siempre que el valor del margen calculado teniendo en cuenta las pérdidas o ganancias que resultarían en el evento de cierre de las posiciones del cliente, sea inferior a una suma igual al treinta por ciento (30%) del margen que se requeriría para tomar una posición equivalente a la que se tiene por cuenta del respectivo cliente de conformidad con lo previsto en el artículo 2.33.1.2.1 del presente decreto.
Los reglamentos de los sistemas de negociación de valores o los contratos contentivos de las cuentas de margen podrán establecer porcentajes superiores al previsto en este artículo.
Lo previsto en este artículo se aplicará, aun cuando el cierre de las posiciones abiertas de un cliente genere una pérdida para este superior al valor del margen en el momento de la realización del respectivo cierre.
PARÁGRAFO 1. Para efectos del cálculo de las pérdidas en que se incurriría si se cerraran las posiciones abiertas del cliente deberá tenerse en cuenta lo previsto en el parágrafo 1o del artículo 2.33.1.2.3 de este decreto.
PARÁGRAFO 2. Cuando las condiciones del mercado así lo ameriten, la Superintendencia Financiera de Colombia podrá establecer por vía general, la obligación para que las sociedades autorizadas realicen llamados al margen con base en un porcentaje superior al previsto en el presente artículo.
DE LAS SOCIEDADES AUTORIZADAS PARA EL DESARROLLO DE CUENTAS DE MARGEN.
ARTÍCULO 2.33.1.3.1 SEPARACIÓN PATRIMONIAL.
<Fuente original compilada: D. 666/07 Art. 9o.> Los recursos entregados por los clientes como margen de las cuentas de margen no hacen parte del patrimonio de la sociedad autorizada y deberán ser destinados únicamente al cumplimiento de las obligaciones que con respaldo de dicho margen adquiera el cliente.
Por consiguiente, dichos recursos no constituyen prenda general de los acreedores de la sociedad autorizada y están excluidos de la masa de bienes que pueda conformarse, para efectos de cualquier procedimiento o acción legal que pueda involucrar o afectar a dicha sociedad. Así mismo, los recursos provenientes de cuentas de margen deberán estar separados de los provenientes de otras actividades autorizadas por la Ley o el reglamento a las sociedades autorizadas.
La Superintendencia Financiera de Colombia determinará la forma como se contabilizarán las cuentas de margen.
ARTÍCULO 2.33.1.3.2 OBLIGACIONES DE LAS SOCIEDADES AUTORIZADAS.
<Fuente original compilada: D. 666/07 Art. 10> Las sociedades autorizadas para realizar cuentas de margen que pretendan realizar dichas operaciones deberán cumplir con las siguientes obligaciones:
1. La aprobación de la junta directiva de la sociedad para el desarrollo de este tipo de operaciones.
2. <Numeral modificado el artículo 69 del Decreto 1745 de 2020. El nuevo texto es el siguiente:> Contar con un contrato marco que contenga como mínimo los parámetros establecidos en el presente Título, el cual deberá ser enviado previamente a la Superintendencia Financiera de Colombia, la cual podrá exigir ajustes al mismo.
3. Incluir en el respectivo contrato la forma en que se calculará la remuneración que la sociedad autorizada recibirá por la realización de su gestión. Cuando las operaciones de cuentas de margen se estén realizando dentro del marco del contrato de comisión, la remuneración no podrá estar atada al resultado de dichas operaciones.
4. <Numeral modificado el artículo 69 del Decreto 1745 de 2020. El nuevo texto es el siguiente:> Dar cumplimiento estricto a los requisitos que debe reunir la inversión, el llamado al margen y los cierres obligatorios, de acuerdo con lo estipulado en los respectivos contratos de cuentas de margen y en el presente Título.
5. Contar con el capital adecuado para cumplir con las operaciones que se celebren en sistemas de negociación de valores en desarrollo de cuentas de margen.
6. Contar con una infraestructura administrativa, técnica, tecnológica y, en general, operativa, adecuada para el manejo seguro y eficiente del mayor flujo de operaciones derivadas de la realización de cuentas de margen.
7. <Numeral modificado el artículo 69 del Decreto 1745 de 2020. El nuevo texto es el siguiente:> Contar con infraestructura física, humana y técnica para la realización de operaciones bajo este tipo de contratos, la cual deberá ser independiente y distinta de aquellas referidas a la administración de fondos de inversión colectiva y a las operaciones por cuenta propia de la entidad, según sea el caso.
8. <Numeral modificado el artículo 69 del Decreto 1745 de 2020. El nuevo texto es el siguiente:> Contar con un sistema de administración de riesgos adecuado que permita a la sociedad identificar, medir, gestionar y controlar eficazmente los riesgos asociados a las operaciones de que trata el presente Título.
9. Contar con los sistemas operativos y procedimientos que permitan realizar un seguimiento continuo y permanente de las posiciones abiertas de cada uno de los contratos de cuentas de margen que la sociedad autorizada esté realizando, así como de la reconstitución de márgenes.
10. Contar con planes de contingencia que garanticen la continuidad de las operaciones.
11. Garantizar que el personal que desarrolle las cuentas de margen cuente con el conocimiento suficiente en el negocio de las mismas.
12. Contar con procedimientos que sirvan para garantizar que todas las transacciones realizadas como consecuencia de cuentas de margen puedan ser reconstruidas desde el momento en que se impartieron las órdenes de compra o venta por parte del cliente, la ejecución de las mismas y su correspondiente liquidación.
13. Contar con un código de conducta y ética que debe seguir el personal autorizado para realizar cuentas de margen, incluyendo las áreas de negociación, las de control y gestión de riesgos y las operativas. Este código debe incluir, además, disposiciones sobre la confidencialidad de la información, manejo de información privilegiada y de conflictos de interés. La sociedad autorizada deberá verificar el cumplimiento del mismo.
14. Contar con manuales internos en los que se incluyan, entre otros aspectos, las funciones y los niveles de responsabilidad de los administradores relacionados con el manejo de tales operaciones y las funciones y responsabilidades de la totalidad de los funcionarios involucrados en la realización de las cuentas de margen. Así mismo, contar con un manual del producto. La sociedad autorizada deberá verificar el cumplimiento de los manuales mencionados.
15. Incluir en la publicidad y en los contratos celebrados con los clientes, o en cualquier documentación relacionada con la realización de cuentas de margen, una advertencia clara y en caracteres destacados, en la que se manifieste, cuando menos, lo siguiente: “Las cuentas de margen son operaciones de naturaleza especulativa, dirigidas exclusivamente a personas con conocimientos del mercado de valores, sujetas a los riesgos del mercado, de crédito y de liquidez y pueden conllevar la pérdida completa de los recursos aportados por el cliente. La sociedad autorizada está facultada para requerir la entrega de dineros adicionales en los términos y condiciones del contrato. Los dineros entregados por los clientes no son depósitos, ni generan para la sociedad autorizada las obligaciones propias de una institución de depósito”.
16. Informar expresamente al cliente, antes de la celebración del contrato de cuentas de margen, acerca de la naturaleza, riesgos y condiciones del negocio, debiendo dejar constancia en el respectivo contrato que dicha información fue suministrada y que el cliente la entiende, conoce y acepta; así mismo, deberá dejarse expresa constancia de la manifestación del cliente de tener suficiente conocimiento del mercado de valores para emitir las órdenes relacionadas con la ejecución del respectivo contrato.
17. Realizar un estudio sobre la capacidad crediticia de cada cliente al momento de la celebración del contrato de cuentas de margen, así como un seguimiento continuo y permanente sobre la misma.
18. Informar, como mínimo, una vez al día a sus clientes sobre el movimiento y resultados de las cuentas de margen, de conformidad con las instrucciones que establezca la Superintendencia Financiera de Colombia.
PARÁGRAFO. Estos requisitos deberán acreditarse de conformidad con las instrucciones que imparta la Superintendencia Financiera de Colombia.
CUMPLIMIENTO DE LAS OPERACIONES REALIZADAS EN DESARROLLO DE CUENTAS DE MARGEN.
ARTÍCULO 2.33.1.4.1 CUMPLIMIENTO DE LAS OPERACIONES.
<Fuente original compilada: D. 666/07 Art. 11> La sociedad autorizada deberá cubrir, con recursos propios, el monto faltante para atender oportunamente las obligaciones que se generen como consecuencia de la realización de operaciones correspondientes a cuentas de margen, cuando los recursos aportados por los clientes sean insuficientes para ello.
PARÁGRAFO. En el caso previsto en el presente artículo, las sociedades autorizadas podrán repetir en contra del cliente de dichas operaciones.
RÉGIMEN PRUDENCIAL DE LAS SOCIEDADES AUTORIZADAS PARA REALIZAR CUENTAS DE MARGEN.
ARTÍCULO 2.33.1.5.1 LÍMITES PARA LA REALIZACIÓN DE CUENTAS DE MARGEN.
<Fuente original compilada: D. 666/07 Art. 12> Serán aplicables los siguientes límites:
Las sociedades comisionistas de bolsa de valores no podrán tener posiciones abiertas correspondientes a cuentas de margen, en cuantía que supere veinte (20) veces el monto del capital pagado, la reserva legal, ambos saneados, y la prima en colocación de acciones.
Las sociedades fiduciarias no podrán tener posiciones abiertas correspondientes a cuentas de margen, en cuantía que supere veinte (20) veces el monto del capital pagado y la reserva legal, ambos saneados. En todo caso, en la reserva legal se incluirá la prima en colocación de acciones.
<Fuente original compilada: D. 666/07 Art. 14> Para efectos de determinar el nivel total de activos ponderados por nivel de riesgo crediticio, las sociedades comisionistas de bolsa de valores deberán clasificar dentro de la categoría tres (3), “Otros activos de riesgo”, prevista en el artículo 2.9.1.1.11 del presente decreto el monto de recursos propios a que se refiere el artículo 2.33.1.4.1 del presente decreto. El factor de ponderación aplicable será el máximo previsto para esta categoría.
En los casos en los que el cliente no haya pagado su deuda con la sociedad comisionista dentro de un plazo de cinco (5) días hábiles, el monto total de la deuda será deducido del capital primario de la respectiva sociedad, adicional a los conceptos previstos en el artículo 2.9.1.1.5.
<Fuente original compilada: D. 666/07 Art. 15> El monto del capital pagado, la reserva legal, ambos saneados, y la prima en colocación de acciones, de las sociedades fiduciarias, previo descuento de cualquier requerimiento de capital relacionado con el desarrollo de los contratos de fiducia mercantil o de encargo fiduciario, deberá ser por lo menos igual al nueve por ciento (9%) del monto de los recursos propios a que se refiere el artículo 2.33.1.4.1 del presente decreto. Cuando el cliente no haya pagado la deuda dentro de un plazo de cinco (5) días hábiles, dicho porcentaje será del cien por ciento (100%).
PROHIBICIONES.
ARTÍCULO 2.33.1.6.1 PROHIBICIONES.
<Fuente original compilada: D. 666/07 Art. 16> Están prohibidas las siguientes conductas:
1) <Numeral modificado el artículo 70 del Decreto 1745 de 2020. El nuevo texto es el siguiente:> La realización de operaciones que tengan características o efectos ¡guales o similares a las cuentas de margen sin el cumplimiento de las disposiciones previstas en el presente Título o por personas que no estén autorizadas expresamente en el presente Título para el desarrollo de las mismas.
2) La realización de operaciones de cuentas de margen, directamente o a través de interpuesta persona, por parte de las personas naturales que están obligadas a registrarse en el Registro Nacional de Profesionales del Mercado de Valores.
3) <Numeral modificado el artículo 70 del Decreto 1745 de 2020. El nuevo texto es el siguiente:> La actuación por cuenta ajena, por parte de clientes de las sociedades autorizadas, salvo tratándose de administradores de fondos de inversión colectiva.
4) La celebración de contratos de cuentas de margen en los cuales las decisiones de inversión se dejen a la discreción de la sociedad autorizada.
NORMAS COMUNES A LOS ESTABLECIMIENTOS DE CRÉDITO, ENTIDADES ASEGURADORAS, CORREDORES DE SEGUROS, SOCIEDADES DE SERVICIOS FINANCIEROS, SOCIEDADES COMISIONISTAS DE BOLSAS DE VALORES, COMISIONISTAS INDEPENDIENTES DE VALORES, SOCIEDADES ADMINISTRADORAS DE DEPÓSITOS CENTALIZADOS DE VALORES, SOCIEDADES ADMINISTRADORAS DE INVERSIÓN, SOCIEDADES DE CAPITALIZACIÓN, ENTIDADES DE SEGURIDAD SOCIAL ADMINISTRADORAS DEL RÉGIMEN SOLIDARIO DE PRIMA MEDIA CON PRESTACIÓN DEFINIDA, MIEMBROS DE LAS BOLSAS DE BIENES Y PRODUCTOS AGROPECUARIOS, AGROINDUSTRIALES O DE OTROS COMMODITIES.
USO DE RED.
<Título modificado por el artículo 1 del Decreto 2673 de 2012>
ARTÍCULO 2.34.1.1.1. UTILIZACIÓN DE LA RED, PRESTADORES Y USUARIOS. <Artículo modificado por el artículo 3 del Decreto 2123 de 2018. El nuevo texto es el siguiente:>
Podrán ser tanto prestadores como usuarios de la red los establecimientos de crédito, las sociedades de servicios financieros, las sociedades comisionistas de bolsa de valores, las comisionistas independientes de valores, las sociedades administradoras de inversión, las sociedades administradoras de depósitos centralizados de valores, las Sociedades Especializadas en Depósitos y Pagos Electrónicos (SEDPE) y las entidades aseguradoras.
Los prestadores de la red podrán, mediante contrato remunerado, prestar su red para que los usuarios de la misma realicen la promoción y gestión de las operaciones que les han sido autorizadas con sujeción a los términos señalados en el presente título.
PARÁGRAFO 1. Para los efectos del presente decreto, se entiende como Red el conjunto de medios o elementos a través de los cuales sus prestadores suministran los servicios del usuario de la red al público. Forman parte de esta, entre otros, las oficinas, los empleados y los sistemas de información.
PARÁGRAFO 2. Para la comercialización de seguros mediante el uso de red, las entidades aseguradoras se sujetarán, como usuarias de la red, a las disposiciones del Capítulo 2 del Título 2 del Libro 31 de la Parte 2 del presente decreto.
ARTÍCULO 2.34.1.1.2. OPERACIONES AUTORIZADAS. <Artículo modificado por el artículo 1 del Decreto 2673 de 2012. El nuevo texto es el siguiente:>
El uso de la red se podrá contratar con sujeción a las condiciones señaladas en el presente título y bajo términos contractuales que no impliquen delegación de decisiones que correspondan al usuario de la red o se desarrollen actividades para cuya realización no se halle legalmente habilitado dicho usuario.
La red podrá utilizarse para la promoción y gestión de las siguientes operaciones:
a) <Literal modificado el artículo 71 del Decreto 1745 de 2020. El nuevo texto es el siguiente:> La distribución de fondos de inversión colectiva, incluyendo la vinculación de inversionistas.
b) La celebración de negocios de fiducia mercantil, encargos fiduciarios y leasing siempre y cuando el contrato que dé origen al negocio, obedezca a un modelo tipo que sirva como base para la celebración de contratos de adhesión y para la prestación masiva del servicio;
c) La captación de recursos a través de depósitos a término y depósitos de ahorro a término;
d) El pago de cheques;
e) Depósitos y retiros en efectivo, incluyendo los depósitos electrónicos, así como transferencias de fondos que afecten las cuentas de ahorros o corrientes;
f) Transferencia de fondos;
g) Recaudo;
h) Celebración de contratos de apertura de cuenta;
i) La recepción de órdenes para celebrar operaciones sobre valores, así como la entrega de títulos o de dinero para o como resultado de operaciones de intermediación en el mercado de valores;
j) La recepción de órdenes o intenciones para celebrar operaciones sobre derivados que se negocian OTC con base en un contrato marco, así como la entrega de dinero para o como resultado de dichas operaciones;
k) La colocación de acciones para la vinculación de capital privado a través de la capitalización de empresas estatales, así como la enajenación de acciones de propiedad del Estado o de empresas estatales, siempre y cuando la intermediación en el mercado de valores se realice por las entidades autorizadas para el efecto;
l) La entrega y recepción de las constancias y de los valores que se manejen a través de los depósitos cetralizados de valores;
m) La celebración de contratos de apertura de crédito y contratos de mutuo, siempre y cuando el contrato que dé origen a la operación obedezca a un modelo tipo que sirva como base para la celebración de contratos de adhesión y para la prestación masiva del servicio;
n) La vinculación a fondos de pensión voluntaria;
o) La recepción o entrega de recursos en moneda legal colombiana correspondiente a las operaciones de compra y venta de divisas provenientes de operaciones de cambio obligatoriamente canalizables a través del mercado cambiario;
p) La recepción o entrega de recursos en moneda legal colombiana correspondiente a la compra y venta de divisas provenientes de operaciones de envío o recepción de giros no obligatoriamente canalizables a través del mercado cambiario.
PARÁGRAFO 1o. Se entienden autorizadas todas aquellas operaciones de recaudo, recepción, pago, transferencia y entrega de dinero, así como la entrega y recibo de documentos, informes, extractos, consulta de saldos, boletines, certificados, reportes y en general toda aquella información relacionada directamente con los negocios cuya promoción y gestión se realice bajo esta modalidad de uso de red.
PARÁGRAFO 2o. El pago de cheques, los depósitos y retiros en efectivo a efectuar en cuentas corrientes y cuentas de ahorro, y las transferencias de fondos que afecten dichas cuentas, solo podrán promocionarse y gestionarse a través de la red de un prestador que tenga legalmente autorizado la prestación de tales operaciones por cuenta propia.
PARÁGRAFO 3o. Los servicios autorizados en los literales o) y p) del presente artículo, solo podrán ser promocionados y gestionados a través del contrato de uso de red, por parte de los establecimientos de crédito, las sociedades de intermediación cambiaria y de servicios financieros especiales, y las sociedades comisionistas de bolsa de valores, todos en su calidad de Intermediarios del Mercado Cambiario, sin perjuicio del cumplimiento de todas las obligaciones derivadas del régimen cambiario, entre ellas la presentación de la declaración de cambio.
PARÁGRAFO 4o. <Parágrafo modificado por el artículo 3 del Decreto 661 de 2018. El nuevo texto es el siguiente:> En la promoción y gestión de las operaciones de que trata el presente artículo se deberán cumplir las reglas de la actividad de asesoría de conformidad con lo previsto en el Libro 40 de la Parte 2 del presente decreto. El contrato de uso de red deberá garantizar los derechos de los inversionistas establecidos en dicho Libro y en todo caso deben ser atendidos por personas naturales inscritas en el Registro Nacional de Profesionales del Mercado de Valores (RNPMV), que cuenten además con la modalidad de certificación que les permita realizar esta actividad.
La entidad prestadora de la red deberá cumplir las reglas de la actividad de asesoría para la debida atención del cliente. La documentación y registro que permitan acreditar el cumplimiento de las obligaciones previstas en el Libro 40 de la Parte 2 del presente decreto corresponde al usuario de la red con la colaboración del prestador de la misma en los términos que se acuerden para el efecto en el contrato de uso de red
ARTÍCULO 2.34.1.1.3. CONDICIONES PARA LA UTILIZACIÓN DE LA RED. <Artículo modificado por el artículo 1 del Decreto 2673 de 2012. El nuevo texto es el siguiente:> Las entidades usuarias de la red podrán utilizarla para la promoción y gestión de las operaciones que les hayan sido autorizadas, siempre y cuando cumplan con las siguientes condiciones:
a) La celebración de un contrato de uso de red remunerado donde se detallen en forma clara y precisa las operaciones que adelantará el prestador de la red, así como las instrucciones, informaciones y demás elementos necesarios para la realización de las mismas;
b) La entidad usuaria de la red deberá capacitar a las personas que en virtud de contratos de uso de red deban cumplir con la obligación de promover y gestionar sus servicios;
c) Deberán adoptarse las medidas necesarias para que el público identifique claramente que el usuario de la red es una persona jurídica distinta y autónoma de la entidad cuya red se utiliza;
d) Deberá indicarse que las obligaciones del prestador de la red se limitan al correcto cumplimiento de las instrucciones debidamente impartidas por el usuario de la red para la prestación del servicio de la red;
e) El servicio deberá ser remunerado y obedecer a una tarifa acorde con las prestaciones que surjan con ocasión del contrato de uso de red.
PARÁGRAFO. La Superintendencia Financiera de Colombia en desarrollo de sus funciones podrá impartir instrucciones y fijar los criterios técnicos y jurídicos para el adecuado cumplimiento de las condiciones y demás disposiciones contempladas en el presente título.
ARTÍCULO 2.34.1.1.4. CONTRATOS DE USO DE RED. <Artículo modificado por el artículo 1 del Decreto 2673 de 2012. El nuevo texto es el siguiente:> El texto de los contratos a celebrar entre las entidades que prestarán y utilizarán la red, deberá remitirse a la Superintendencia Financiera de Colombia con veinte (20) días hábiles de antelación a la celebración de los mismos.
ARTÍCULO 2.34.1.1.5. COMPROBANTES DE LAS OPERACIONES. <Artículo modificado por el artículo 1 del Decreto 2673 de 2012. El nuevo texto es el siguiente:> En todo comprobante de transacción de las operaciones que se realicen en desarrollo del contrato de uso de red, se indicará que el prestador de la red actúa bajo la exclusiva responsabilidad de usuario de la misma, y que por lo tanto no asume obligación alguna relacionada con la ejecución de los negocios celebrados en su nombre.
ARTÍCULO 2.34.1.1.6. MANEJO DE RECURSOS. <Artículo modificado por el artículo 1 del Decreto 2673 de 2012. El nuevo texto es el siguiente:> En el contrato correspondiente se precisará la aplicación que habrá de darse a los recursos que reciba el prestador de la red con ocasión de las operaciones realizadas mediante su utilización, así como las condiciones bajo las cuales deberá hacerse”.
RÉGIMEN APLICABLE A LA DEFENSORIA DEL CONSUMIDOR FINANCIERO.
DISPOSICIONES GENERALES.
ARTÍCULO 2.34.2.1.1 ÁMBITO DE APLICACIÓN. <Fuente original compilada: D. 2281/10 Art. 1o.> <Inciso modificado por el artículo 5 del Decreto 2076 de 2017. El nuevo texto es el siguiente:> Deberán contar con Defensor del Consumidor Financiero de que trata este título los establecimientos de crédito; las sociedades de servicios financieros; las entidades aseguradoras; los corredores de seguros; las sociedades de capitalización, las entidades de seguridad social administradoras del régimen solidario de prima media con prestación definida; los miembros de las bolsas de bienes y productos agropecuarios, agroindustriales y otros commodities; las sociedades comisionistas de bolsas de valores; los comisionistas independientes de valores, las sociedades administradoras de inversión y las Sociedades Especializadas en Depósitos y Pagos Electrónicos (SEDPE).
Igualmente, deberán contar con Defensor del Consumidor Financiero el Fondo Nacional de Ahorro; el Instituto Colombiano de Crédito Educativo y Estudios Técnicos en el Exterior – ICETEX – y la Caja Promotora de Vivienda Militar y de Policía.
PARÁGRAFO. Las actuaciones que realicen las agencias y los agentes de seguros y de títulos de capitalización, que afecten a sus consumidores financieros, en la medida en que son representantes de las entidades aseguradoras y sociedades de capitalización, son responsabilidad de la entidad aseguradora y de la sociedad de capitalización, y por tanto, de competencia del Defensor del Consumidor Financiero de éstas.
Los bancos de redescuento están excluidos de la obligación de contar con Defensor del Consumidor Financiero.
ARTÍCULO 2.34.2.1.2 POSESIÓN DE LOS DEFENSORES DEL CONSUMIDOR FINANCIERO.
<Fuente original compilada: D. 2281/10 Art. 2o.> Una vez designados los Defensores del Consumidor Financiero, principal y suplente, deberán posesionarse ante la Superintendencia Financiera de Colombia, para lo cual se seguirá el trámite establecido para la posesión de los administradores de las entidades vigiladas.
ARTÍCULO 2.34.2.1.3 REGISTRO DE DEFENSORES DEL CONSUMIDOR FINANCIERO.
<Fuente original compilada: D. 2281/10 Art. 3o.> El Registro de Defensores del Consumidor Financiero – RDCF – deberá contener por lo menos la siguiente información:
a) Nombre completo del Defensor del Consumidor Financiero;
b) Entidad de la cual se es Defensor del Consumidor Financiero y calidad de principal o suplente;
c) Información de contacto donde se especifique dirección de las oficinas, teléfono y correo electrónico;
d) Fecha de posesión ante la Superintendencia Financiera de Colombia;
e) Vigencia del nombramiento como Defensor del Consumidor Financiero.
La Superintendencia Financiera de Colombia deberá publicar los datos actualizados contenidos en el RDCF y conservar la información histórica de los inscritos, correspondiéndole certificar tal condición.
En caso de terminación definitiva en el ejercicio de las funciones del Defensor del Consumidor Financiero, principal o suplente, la Superintendencia Financiera de Colombia deberá cancelar la inscripción en el RDCF en los términos y condiciones que para el efecto establezca dicha entidad.
Salvo cuando se trate de la causal de terminación enunciada en el literal d) del artículo 19 de la Ley 1328 de 2009, el Defensor del Consumidor Financiero suplente deberá asumir como principal, y la junta directiva o el consejo de administración de la entidad vigilada deberá designar inmediatamente un nuevo Defensor del Consumidor Financiero suplente. Igualmente, la junta directiva o consejo de administración deberá designar un nuevo Defensor del Consumidor Financiero suplente cuando las causales de terminación definitiva se prediquen del Defensor del Consumidor Financiero suplente en ejercicio. Los Defensores del Consumidor Financiero así nombrados ejercerán las funciones temporalmente, hasta que el máximo órgano de la correspondiente entidad designe el o los Defensores del Consumidor Financiero.
PARÁGRAFO TRANSITORIO. La Superintendencia Financiera de Colombia deberá implementar el RDCF a más tardar el 30 de junio de 2010.
ARTÍCULO 2.34.2.1.4 PROCEDIMIENTO REVOCATORIO DE LA INSCRIPCIÓN.
<Fuente original compilada: D. 2281/10 Art. 4o.> Para efectos del parágrafo 3o del artículo 18 de la Ley 1328 de 2009 deberá observarse el trámite establecido para la revocatoria de los administradores de que trata el literal g) del numeral 2o del artículo 326 del Estatuto Orgánico del Sistema Financiero.
<Fuente original compilada: D. 2281/10 Art. 5o.> En los eventos en los cuales el Defensor del Consumidor Financiero sea competente para resolver quejas o reclamos en los términos de la Ley 1328 de 2009 y del presente Decreto, deberá observar el siguiente procedimiento para su trámite:
1. El consumidor financiero deberá presentar su queja o reclamo ante el Defensor del Consumidor Financiero mediante documento en el cual consigne sus datos personales y la información de contacto, la descripción de los hechos y las pretensiones concretas de su queja o reclamo, la cual podrá ser remitida directamente ante el Defensor del Consumidor Financiero, o podrá ser presentada en sus oficinas o en las agencias o sucursales de las entidades. En este último caso, las entidades vigiladas tienen la obligación de hacer el traslado al Defensor del Consumidor Financiero dentro de los tres (3) días hábiles siguientes a la recepción de dicho documento.
2. Cuando el Defensor del Consumidor Financiero estime que la queja o reclamo interpuesto corresponde a temas de interés general, deberá dar traslado de la misma a la Superintendencia Financiera de Colombia para su conocimiento, sin perjuicio de continuar el trámite individual dentro de la órbita de su competencia.
3. Una vez recibida la queja o reclamo, el Defensor del Consumidor Financiero decidirá si el asunto que se le somete es de su competencia o no. Dicha decisión será comunicada al consumidor financiero interesado y a la entidad involucrada dentro de los tres (3) días hábiles contados desde el día siguiente en que sea recibida la solicitud.
Si la queja o reclamo es admitida, el Defensor del Consumidor Financiero deberá comunicar al consumidor financiero si la decisión final proferida por el Defensor del Consumidor Financiero es obligatoria según los reglamentos de la entidad respectiva, advirtiendo sobre la posibilidad de solicitar una audiencia de conciliación en cualquier momento.
Si la queja o reclamo es inadmitida, el Defensor del Consumidor Financiero comunicará su decisión al consumidor financiero, indicando los motivos de la inadmisión e informando que esto no obsta para el ejercicio de las demás acciones legales existentes.
4. Si el Defensor del Consumidor Financiero estima que para el análisis de la solicitud requiere mayor información de parte de la entidad involucrada o del consumidor financiero, procederá a comunicarles por cualquier medio verificable tal situación, a fin de que alleguen la información necesaria. En este evento, la entidad o el consumidor financiero deberán dar respuesta dentro del término que determine el Defensor del Consumidor Financiero sin que se excedan los ocho (8) días hábiles, contados desde el día siguiente al que se solicite la información. Una vez recibida la información solicitada, el Defensor del Consumidor Financiero podrá decidir sobre la admisión o inadmisión dentro del término máximo de tres (3) días hábiles.
5. Se entenderá que la queja o reclamo ha sido desistida si el consumidor financiero no da respuesta a la solicitud dentro del término máximo mencionado en el numeral anterior. Lo anterior sin perjuicio de que el consumidor financiero pueda presentar posteriormente su queja o reclamo con la información completa, la cual se entenderá presentada como si fuera la primera vez.
6. Admitida la queja o reclamo, el Defensor del Consumidor Financiero dará traslado de ella a la respectiva entidad, a fin de que allegue la información y presente los argumentos en que fundamenta su posición. Será obligatorio que en el mismo traslado, se solicite a la entidad que señale de manera expresa su aceptación previa para que dicho trámite sea objeto de decisión vinculante para ella.
La entidad deberá dar respuesta completa, clara y suficiente, manifestando la aceptación o no a la obligatoriedad de la decisión del Defensor del Consumidor Financiero en caso de que ésta le sea desfavorable. En todo caso, si la entidad ha incorporado en sus reglamentos la obligatoriedad de las decisiones del Defensor del Consumidor Financiero, no podrá manifestar lo contrario.
La respuesta deberá ser allegada al Defensor del Consumidor Financiero dentro de un término de ocho (8) días hábiles, contados desde el día siguiente al que se haga el traslado, término que se ampliará a petición de la entidad y a juicio del Defensor del Consumidor Financiero. En este último caso, la entidad vigilada deberá informar al consumidor financiero las razones en las que sustenta la prórroga.
El plazo al que se hace referencia en el presente numeral se entenderá incumplido cuando quiera que la respuesta de la entidad se hubiere producido fuera del mismo, se hubiere recibido en forma incompleta o cuando no hubiere sido recibida. En tal evento, el Defensor del Consumidor Financiero deberá requerir nuevamente a la entidad para que allegue la información faltante, sin perjuicio de informar a la Superintendencia Financiera de Colombia la ocurrencia reiterada de estos hechos.
Sin perjuicio de lo anterior, el incumplimiento reiterado evidenciado en el envío tardío, en forma incompleta o en el no envío de las respuestas al Defensor del Consumidor Financiero, deberá ser informado por éste a la Junta Directiva o al Consejo de Administración de la entidad vigilada, quienes deberán adoptar las medidas conducentes y oportunas para eliminar las causas expuestas o detectadas disponiendo lo necesario para el suministro de la información solicitada.
7. Si después de iniciado el trámite de la solicitud, el Defensor del Consumidor Financiero tiene conocimiento de que éste no es de su competencia, dará por terminada su actuación, comunicando inmediatamente su decisión a la entidad y al consumidor financiero.
8. El Defensor del Consumidor Financiero deberá evaluar la información aportada y resolver la queja o reclamo en un término que en ningún caso podrá ser superior a ocho (8) días hábiles, contados desde el día siguiente al vencimiento del término estipulado en el numeral 6o.
9. La decisión que profiera el Defensor del Consumidor Financiero deberá ser motivada, clara y completa. Dicha decisión, deberá ser comunicada al consumidor financiero y a la entidad vigilada el día hábil siguiente después de proferida.
En caso de que la decisión sea desfavorable al consumidor financiero éste puede acudir a cualquier medio de protección de sus derechos.
10. La entidad vigilada podrá rectificar total o parcialmente su posición frente una queja o reclamo con el consumidor financiero en cualquier momento anterior a la decisión final por parte del Defensor del Consumidor Financiero. En estos casos, la entidad informará tal situación al Defensor del Consumidor Financiero y éste, dentro de los tres (3) días hábiles siguientes a la comunicación de la entidad, consultará al consumidor financiero que formuló la queja o reclamo, por medio verificable, a efectos de establecer su expresa satisfacción. El consumidor financiero deberá responder a la consulta en un término máximo de ocho (8) días hábiles. Si vencido este término el consumidor financiero no responde, se considerará que la rectificación fue a satisfacción y se dará por terminado el trámite.
En caso de que el consumidor financiero exprese que la rectificación ha sido satisfactoria, se comunicará a las partes la terminación anticipada del trámite y se archivará la queja o reclamo. Lo anterior sin perjuicio que el Defensor del Consumidor Financiero estime que la queja o reclamo pertenece a aquellas de que trata el numeral 2o del presente artículo, en cuyo caso dará traslado a la Superintendencia Financiera de Colombia, si no lo había hecho previamente, junto con un escrito soportando su posición.
Si la rectificación fue parcial o el consumidor financiero no está plenamente satisfecho, el Defensor del Consumidor Financiero deberá continuar con el trámite a efectos de responder los aspectos de la solicitud que no fueron objeto de rectificación.
11. En cualquier etapa del trámite, podrá solicitarse la actuación del Defensor del Consumidor Financiero como conciliador, en los términos establecidos en el literal c) del artículo 13 de la Ley 1328 de 2009. En tal caso, se suspenderá el trámite de conocimiento ordinario del Defensor del Consumidor Financiero y se citará a audiencia de conciliación, de conformidad con lo previsto en la Ley 640 de 2001.
La decisión así adoptada prestará mérito ejecutivo y tendrá efectos de cosa juzgada, sin que se requiera depositar el acta correspondiente en el centro de conciliación. Lo anterior, sin perjuicio del cumplimiento de numeral 7 del artículo 8o de la Ley 640 de 2001, para efectos de publicidad.
12. El consumidor financiero podrá desistir de su queja o reclamo en cualquier momento del trámite mediante documento dirigido al Defensor del Consumidor Financiero. En tales eventos, el Defensor del Consumidor Financiero dará por terminado el trámite y deberá comunicar al consumidor financiero la recepción del documento de desistimiento y a la entidad vigilada sobre la terminación del trámite dentro de los tres (3) días hábiles siguientes a la recepción del desistimiento.
PARÁGRAFO. El trámite ante el Defensor del Consumidor Financiero no constituye requisito de procedibilidad para acudir a la Superintendencia Financiera de Colombia o ejercer en cualquier momento las acciones jurisdiccionales que los consumidores financieros estimen pertinentes.
ARTÍCULO 2.34.2.1.6 FUNCIÓN DE VOCERÍA.
<Fuente original compilada: D. 2281/10 Art. 6o.> El Defensor del Consumidor Financiero podrá dirigir en cualquier momento a los administradores, las juntas directivas o consejos de administración de las entidades vigiladas, recomendaciones y propuestas relacionadas con los servicios y atención a los consumidores financieros, sobre eventos que hubieran merecido su atención y que a su juicio, puedan mejorar y facilitar las relaciones entre la entidad y los consumidores financieros, la correcta prestación del servicio y la seguridad en el desarrollo de las actividades de la entidad.
En ejercicio de esta función, los Defensores del Consumidor Financiero podrán revisar los contratos de adhesión y emitir su concepto sobre los mismos, en especial respecto de la inclusión de cláusulas abusivas.
ARTÍCULO 2.34.2.1.7 ALCANCE DE LAS DECISIONES DEL DEFENSOR DEL CONSUMIDOR FINANCIERO.
<Fuente original compilada: D. 2281/10 Art. 7o.> En desarrollo de sus funciones el Defensor del Consumidor Financiero no podrá determinar perjuicios, sanciones o indemnizaciones, salvo que estén determinadas por la Ley.
ARTÍCULO 2.34.2.1.8 PUBLICACIÓN DE LAS DECISIONES.
<Fuente original compilada: D. 2281/10 Art. 8o.> Las decisiones de los Defensores del Consumidor Financiero podrán ser publicadas de acuerdo con las instrucciones que imparta la Superintendencia Financiera de Colombia, siempre que se mantenga la debida reserva respecto a la identidad de las partes intervinientes.
ARTÍCULO 2.34.2.1.9 RÉGIMEN DE TRANSICIÓN.
<Fuente original compilada: D. 2281/10 Art. 9o.> Las entidades financieras cuyos Defensores del Cliente no cumplan con la totalidad de los requisitos exigidos a los Defensores del Consumidor Financiero, a la entrada en vigencia del Título I de la Ley 1328 de 2009, podrán continuar ejerciendo sus funciones conforme a la normatividad anterior, por un periodo máximo de tres (3) meses.
Para efectos de la designación del primer Defensor del Consumidor Financiero podrá darse aplicación a lo previsto en el último inciso del Artículo 2.34.2.1.3 del presente Decreto.
FUNCIÓN DE CONCILIACIÓN DEL DEFENSOR DEL CONSUMIDOR FINANCIERO.
ARTÍCULO 2.34.2.2.1 COMPETENCIA. <Artículo adicionado por el artículo 2 del Decreto 3993 de 2010. El nuevo texto es el siguiente:>
<Inciso modificado el artículo 72 del Decreto 1745 de 2020. El nuevo texto es el siguiente:> El Defensor del Consumidor Financiero deberá conocer, a solicitud de cualquiera de las partes, de los trámites de conciliación de las controversias que se susciten entre los consumidores financieros y la entidad vigilada por la Superintendencia Financiera de Colombia a la cual el Defensor preste sus servicios, sobre los asuntos susceptibles de conciliación que surjan en desarrollo de la actividad de la entidad financiera. Lo anterior se entiende sin perjuicio de la competencia que sobre tales temas puedan tener los conciliadores inscritos en los Centros de Conciliación autorizados por el Ministerio de Justicia y del Derecho, los delegados regionales y seccionales de la Defensoría del Pueblo, los agentes del Ministerio Público en materia civil y las notarías.
PARÁGRAFO 1o. El Defensor del Consumidor Financiero sólo podrá actuar como conciliador en el territorio nacional.
PARÁGRAFO 2o. El Defensor del Consumidor Financiero no podrá conocer como conciliador de aquellos casos en los que se discutan controversias de naturaleza contencioso administrativas y laborales.
ARTÍCULO 2.34.2.2.2 NATURALEZA. <Artículo adicionado por el artículo 2 del Decreto 3993 de 2010. El nuevo texto es el siguiente:> El Defensor del Consumidor Financiero actuará como conciliador extrajudicial en derecho en los términos establecidos en la Ley 640 de 2001. El trámite que ante él se surta agotará, cuando proceda, el requisito de procedibilidad, de acuerdo con lo previsto en los artículos 35 y 38 de la Ley 640 de 2001.
ARTÍCULO 2.34.2.2.3 FORMACIÓN. <Artículo modificado el artículo 73 del Decreto 1745 de 2020. El nuevo texto es el siguiente:>
El Defensor del Consumidor Financiero deberá ser abogado titulado con formación en conciliación extrajudicial en derecho o Mecanismos Alternativos de Solución de Conflictos de acuerdo a lo establecido en la Sección 8 del Capítulo 2 del Título 4 de la Parte 2 del Libro 2 del Decreto 1069 de 2015 o la norma que lo modifique o sustituya, impartida por una entidad avalada por el Ministerio de Justicia y del Derecho.
ARTÍCULO 2.34.2.2.4 GRATUIDAD. <Artículo adicionado por el artículo 2 del Decreto 3993 de 2010. El nuevo texto es el siguiente:> Las conciliaciones extrajudiciales en derecho que se adelanten ante el Defensor del Consumidor Financiero serán gratuitas para los consumidores financieros.
PARÁGRAFO. Los gastos que conlleve cumplimiento de la función de conciliación, se cargará al presupuesto asignado por la entidad vigilada para la Defensoría del Consumidor Financiero.
ARTÍCULO 2.34.2.2.5 REGISTRO DEL ACTA DE CONCILIACIÓN. <Artículo modificado el artículo 74 del Decreto 1745 de 2020. El nuevo texto es el siguiente:>
El Defensor del Consumidor Financiero no está obligado a registrar el acta de conciliación. Con todo, deberá dar aplicación a lo dispuesto en la Sección 7 del Capítulo 2 del Título 4 de la Parte 2 del Libro 2 del Decreto 1069 de 2015.
ARTÍCULO 2.34.2.2.6 REPORTE DE INFORMACIÓN. <Artículo modificado el artículo 75 del Decreto 1745 de 2020. El nuevo texto es el siguiente:>
El Defensor del Consumidor Financiero deberá registrar todos los casos de conciliación que adelante en el Sistema de Información de la Conciliación -SIC- dentro de los tres (3) días siguientes, para efectos de la formulación de política pública que sobre los Mecanismos Alternativos de Solución de Conflictos compete al Ministerio de Justicia y del Derecho.
NORMAS COMUNES A LAS ENTIDADES SUJETAS A LA INSPECCIÓN Y VIGILANCIA DE LA SUPERINTENDENCIA FINANCIERA DE COLOMBIA.
INSTRUMENTOS FINANCIEROS DERIVADOS Y PRODUCTOS ESTRUCTURADOS.
DEFINICIONES Y NORMAS DE CARÁCTER GENERAL.
ARTÍCULO 2.35.1.1.1 DEFINICIONES.
<Fuente original compilada: R. 400/95 Art. 2.7.1.1 Adicionado por el D. 1796/08 Art. 7o.> Las siguientes expresiones tendrán el significado que para ellas se establece, así:
1. Instrumento financiero derivado. Es una operación cuya principal característica consiste en que su precio justo de intercambio depende de uno o más subyacentes y su cumplimiento o liquidación se realiza en un momento posterior. Dicha liquidación puede ser en efectivo, en instrumentos financieros o en productos o bienes transables, según se establezca en el contrato o en el correspondiente reglamento del sistema de negociación de valores, del sistema de registro de operaciones sobre valores o del sistema de compensación y liquidación. Estos instrumentos tendrán la calidad de valor siempre que se cumplan los parágrafos 3o y 4o del artículo 2o de la Ley 964 de 2005. Las Operaciones a Plazo de Cumplimiento Financiero (OPCF) y las Operaciones a Plazo de Cumplimiento Efectivo (OPCE) son instrumentos financieros derivados.
2. Producto estructurado. Está compuesto por uno o más instrumentos financieros no derivados y uno o más instrumentos financieros derivados, los cuales pueden ser transferibles por separado o no y tener contrapartes diferentes o no, por cada uno de los instrumentos financieros que lo componen. Cuando al menos uno de sus componentes tenga la calidad de valor, el producto estructurado también tendrá la calidad de valor.
3. Costo de reposición. Es el precio justo de intercambio de un instrumento financiero derivado cuando este es positivo, en caso contrario su valor es cero (0).
En el evento de haberse pactado con una determinada contraparte la posibilidad de compensar posiciones en instrumentos financieros derivados, el costo de reposición del portafolio de tales instrumentos negociados con esa contraparte será la suma de los precios justos de intercambio de los mismos, siempre que esta sea positiva, siendo su valor cero (0) en caso contrario.
4. Exposición potencial futura. <Numeral modificado por el artículo 7 del Decreto 4765 de 2011. El nuevo texto es el siguiente:> Corresponde a la pérdida que podría tener una entidad en un instrumento financiero derivado durante el plazo remanente de este por un eventual incumplimiento de su contraparte, bajo el supuesto de que el precio justo de intercambio sea positivo en la fecha de vencimiento del respectivo instrumento.
Cuando se haya pactado con una determinada contraparte la posibilidad de compensar posiciones en instrumentos financieros derivados, la exposición potencial futura de dicho portafolio corresponderá a un valor que recoja las exposiciones potenciales futuras de cada uno de los instrumentos financieros derivados que lo componen.
5. <Numeral modificado por el artículo 12 del Decreto 1477 de 2018. El nuevo texto es el siguiente:> Exposición crediticia de un instrumento financiero derivado. Mide la máxima pérdida potencial por un instrumento financiero derivado en caso de incumplimiento de la contraparte, incorporando para el efecto en su cálculo las garantías y/o demás mitigantes de riesgo de crédito si cuenta con ellos. Corresponde a la suma del costo de reposición y la exposición potencial futura.
6. Exposición crediticia de un producto estructurado. Independientemente de cada uno de los casos a los cuales aplique, la exposición crediticia de un producto estructurado no podrá ser nunca inferior a cero (0). Para su determinación se contemplan los siguientes eventos:
a) Para una entidad sometida a inspección y vigilancia de la Superintendencia Financiera de Colombia que emite un producto estructurado, la exposición crediticia por este es siempre igual a cero (0);
b) Para el caso de una entidad sometida a inspección y vigilancia de la Superintendencia Financiera de Colombia que realice una inversión en un producto estructurado, cuyos componentes de instrumentos financieros derivados y no derivados provienen de un mismo emisor y no tienen existencia jurídica en forma separada, la exposición crediticia en la fecha de vencimiento del producto corresponderá al capital pactado al vencimiento más los rendimientos que contractualmente debería recibir en dicha fecha. En cualquier fecha anterior al vencimiento, la exposición crediticia por el producto estructurado será igual al valor justo de intercambio del instrumento financiero no derivado más la exposición crediticia de los instrumentos financieros derivados que lo conforman;
c) Cuando una entidad sometida a inspección y vigilancia de la Superintendencia Financiera de Colombia no sea emisora del producto estructurado, sino que adquiera los distintos componentes de instrumentos derivados y no derivados para generar un producto estructurado para la venta, la exposición crediticia de esa entidad por concepto del mismo es cero (0) una vez lo haya vendido, siempre y cuando la entidad establezca expresamente en el prospecto del producto estructurado que ella obra como un vendedor pero no tiene la calidad de emisor del respectivo producto estructurado y no es responsable del pago del mismo, y deje allí también explícito quiénes son los proveedores de los instrumentos financieros que conforman el producto.
En caso contrario, es decir, cuando la entidad sometida a inspección y vigilancia de la Superintendencia Financiera de Colombia sea responsable del pago del producto estructurado, esta no tendrá exposición crediticia frente al adquirente del producto estructurado, pero sí frente a los proveedores de los instrumentos financieros componentes del producto, de la siguiente manera:
i) Una exposición crediticia con el vendedor de los instrumentos financieros derivados igual a la exposición crediticia de estos; y
ii) Una exposición crediticia con el vendedor del instrumento financiero no derivado igual al precio justo de intercambio del mismo;
d) Cuando una entidad sometida a inspección y vigilancia de la Superintendencia Financiera de Colombia realice inversiones en un producto estructurado, cuyos componentes provengan de distintas contrapartes y tengan existencia jurídica separada, y dicha entidad haya adquirido el producto estructurado a otra que obra como vendedor no responsable de su pago, la entidad inversionista no tiene exposición crediticia frente a la entidad que obra como vendedor del producto estructurado, pero sí frente a los proveedores de los instrumentos financieros componentes del mismo, de la siguiente manera:
i) Una exposición crediticia con el vendedor de los instrumentos financieros derivados igual a la exposición crediticia de estos; y
ii) Una exposición crediticia con el vendedor del instrumento financiero no derivado igual al precio justo de intercambio del mismo.
En caso contrario, es decir, cuando una entidad sometida a inspección y vigilancia de la Superintendencia Financiera de Colombia realice inversiones en un producto estructurado, cuyos componentes provengan de distintas contrapartes y tengan existencia jurídica separada, y dicha entidad haya adquirido el producto estructurado a otra que además de ser vendedora sea responsable de su pago, la entidad inversionista sólo tiene exposición crediticia frente a la entidad vendedora, por un monto igual al valor justo de intercambio del instrumento financiero no derivado más la exposición crediticia de los instrumentos financieros derivados que conforman el producto.
<Fuente original compilada: R. 400/95 Art. 2.7.1.2 Adicionado por el D. 1796/08 Art. 7o.> Las entidades sometidas a inspección y vigilancia de la Superintendencia Financiera de Colombia están autorizadas para realizar operaciones sobre instrumentos financieros derivados y productos estructurados en los términos que se señalan en el presente decreto, con observancia de las instrucciones que establezca la Superintendencia Financiera de Colombia en desarrollo de la misma y de sus propias atribuciones, y con sujeción a las restricciones y prohibiciones que les sean aplicables de acuerdo con sus regímenes normativos especiales.
PARÁGRAFO 1. Cuando los instrumentos financieros derivados y productos estructurados de que trata el presente Título correspondan a operaciones que formen parte del mercado cambiario, deberán sujetarse a las disposiciones del régimen cambiario.
PARÁGRAFO 2. Sólo las sociedades comisionistas de bolsa podrán, con sujeción a sus regímenes normativos propios, realizar operaciones con instrumentos financieros derivados y productos estructurados en nombre propio pero por cuenta ajena a través del contrato de comisión. En este caso, los clientes de la sociedad comisionista de bolsa podrán liquidar las operaciones a través de un miembro o contraparte liquidador distinto de dicha sociedad comisionista, evento en el cual no existirá responsabilidad por parte de esta cuando se presente falta de provisión de recursos, de activos o de bienes por parte del cliente.
ARTÍCULO 2.35.1.1.3 AUTORIZACIÓN PARA OTORGAR GARANTÍAS.
<Fuente original compilada: R. 400/95 Art. 2.7.1.3 Adicionado por el D. 1796/08 Art. 7o.> Las entidades sometidas a inspección y vigilancia de la Superintendencia Financiera de Colombia que realicen operaciones con instrumentos financieros derivados y productos estructurados podrán otorgar garantías para la realización de dichas operaciones.
<Inciso modificado el artículo 76 del Decreto 1745 de 2020. El nuevo texto es el siguiente:> En desarrollo de lo anterior, se podrán otorgar garantías para la realización de operaciones con instrumentos financieros derivados y productos estructurados con los recursos de los fondos administrados por las sociedades administradoras de fondos de pensiones y de cesantías, de Fondos Voluntarios de Pensión, aquellos correspondientes a los fondos de inversión colectiva administrados por sociedades fiduciarias, por sociedades comisionistas de bolsas de valores o por sociedades administradoras de fondos de inversión y los correspondientes a las reservas técnicas de las compañías de seguros o de sociedades de capitalización, de conformidad con el régimen aplicable a cada entidad, fondo o patrimonio administrado.
Las garantías se podrán otorgar en valores, títulos valores, dinero o en productos y bienes transables, con sujeción a lo dispuesto en el régimen de inversiones de la respectiva entidad sometida a inspección y vigilancia de la Superintendencia Financiera de Colombia.
ARTÍCULO 2.35.1.1.4 DISPOSICIONES HOMOGÉNEAS.
<Fuente original compilada: R. 400/95 Art. 2.7.1.4 Adicionado por el D. 1796/08 Art. 7o.> La Superintendencia Financiera de Colombia establecerá para las entidades sometidas a su inspección y vigilancia el régimen de valoración y de contabilización de los instrumentos financieros derivados y de los productos estructurados; igualmente, impartirá las instrucciones necesarias para la administración y revelación de los riesgos de estas operaciones y productos.
PARÁGRAFO 1. La Superintendencia Financiera de Colombia definirá la metodología de cálculo del costo de reposición y de la exposición potencial futura, necesarios para el cálculo de la exposición crediticia de los instrumentos financieros derivados.
PARÁGRAFO 2. Cuando exista conflicto para el cumplimiento simultáneo de los límites establecidos para las operaciones con instrumentos financieros derivados y productos estructurados por parte de las entidades sometidas a inspección y vigilancia de la Superintendencia Financiera de Colombia, esta entidad impartirá las instrucciones para su resolución.
ARTÍCULO 2.35.1.1.5 NECESIDAD DE REALIZAR UNA OFERTA PÚBLICA DE ADQUISICIÓN.
<Fuente original compilada: R. 400/95 Art. 2.7.1.5 Adicionado por el D. 1796/08 Art. 7o.> No podrán efectuarse operaciones con instrumentos financieros derivados que impliquen la transferencia de propiedad de un número de acciones para cuya adquisición deba efectuarse oferta pública, de conformidad con lo dispuesto en el artículo 6.15.2.1.1 del presente decreto o demás normas que lo modifiquen o sustituyan.
<Fuente original compilada: R. 400/95 Art. 2.7.1.6 Adicionado por el D. 1796/08 Art. 7o.> Las operaciones con instrumentos financieros derivados que tengan como subyacente acciones inscritas en bolsas de valores de Colombia sólo se podrán realizar en estas. Lo anterior sin perjuicio de lo previsto en el artículo 6.15.1.1.2 o demás normas que lo modifiquen o sustituyan.
<Fuente original compilada: R. 400/95 Art. 2.7.1.7 Adicionado por el D. 1796/08 Art. 7o.> Las entidades sometidas a inspección y vigilancia de la Superintendencia Financiera de Colombia podrán compensar obligaciones generadas por la realización de operaciones con instrumentos financieros derivados y productos estructurados con una misma contraparte y ejecutar las garantías que hayan sido constituidas para el cumplimiento de dichas operaciones, bajo las condiciones que se hayan acordado o establecido.
Los contratos y los sistemas de compensación y liquidación de operaciones establecerán en sus cláusulas y reglamentos, respectivamente, los criterios y condiciones para la realización de esta compensación, así como para la ejecución de las garantías.
PARÁGRAFO. Solamente los instrumentos financieros derivados y productos estructurados que se compensen y liquiden en sistemas de compensación y liquidación de operaciones tendrán los privilegios generados por el principio de finalidad y protección de las garantías contenidos en los artículos 10 y 11 de la Ley 964 de 2005 o demás normas que los modifiquen o sustituyan.
INSTRUMENTOS FINANCIEROS DERIVADOS Y PRODUCTOS ESTRUCTURADOS TRANSADOS EN SISTEMAS DE NEGOCIACIÓN DE VALORES.
ARTÍCULO 2.35.1.2.1 COMPENSACIÓN Y LIQUIDACIÓN DE INSTRUMENTOS FINANCIEROS DERIVADOS.
<Fuente original compilada: R. 400/95 Art. 2.7.2.1 Adicionado por el D. 1796/08 Art. 7o.> Los administradores de sistemas de negociación de valores donde se transen instrumentos financieros derivados podrán establecer en sus reglamentos que dichas operaciones deberán compensarse y liquidarse en una cámara de riesgo central de contraparte que se interponga como contraparte de dichas operaciones.
ARTÍCULO 2.35.1.2.2 TÉRMINOS Y CONDICIONES DE LOS INSTRUMENTOS FINANCIEROS DERIVADOS Y PRODUCTOS ESTRUCTURADOS. <Artículo modificado el artículo 77 del Decreto 1745 de 2020. El nuevo texto es el siguiente:>
De conformidad con lo previsto en el presente Título y en las instrucciones que para el efecto establezca la Superintendencia Financiera de Colombia, los sistemas de negociación de valores deberán establecer en sus respectivos reglamentos los términos y condiciones de las operaciones que se realicen por su conducto con instrumentos financieros derivados y productos estructurados.
OPERACIONES EN LAS CUALES SE INTERPONGA COMO CONTRAPARTE UNA CÁMARA DE RIESGO CENTRAL DE CONTRAPARTE.
<Fuente original compilada: R. 400/95 Art. 2.7.3.1 Adicionado por el D. 1796/08 Art. 7o.> Tratándose de las entidades sometidas a inspección y vigilancia de la Superintendencia Financiera de Colombia que deban cumplir la relación mínima de solvencia establecida en el Capítulo 1 del Título 1 del Libro 1 de la Parte 2 del presente decreto, en el Título 1 Libro 2 de la Parte 10 del presente decreto, en el Decreto 2801 de 2005, en el Título 1 del Libro 7 de la Parte 2 del presente decreto, en el Título 3 del Libro 21 de la Parte 2 del presente decreto y en el Título 1 del Libro 9 de la Parte 2 del presente decreto, siempre que los instrumentos financieros derivados transados por estas sean aceptados por una cámara de riesgo central de contraparte para interponerse como contraparte, la exposición crediticia de la entidad con dicha cámara será igual a cero (0) para efectos del cómputo de los cupos individuales y consolidados de crédito, de los niveles de concentración de riesgos y de la relación de solvencia.
Lo anterior sin perjuicio de las exposiciones por riesgos de contraparte que se generen por razón de las obligaciones que se establezcan entre miembros y contrapartes liquidadores y no liquidadores de instrumentos financieros derivados y/o productos estructurados y entre estos y terceras personas.
ARTÍCULO 2.35.1.3.2. OPERACIONES DE LAS ENTIDADES VIGILADAS MATRICES. <Artículo modificado por el artículo 2 del Decreto 1265 de 2015. El nuevo texto es el siguiente:> Las entidades vigiladas matrices podrán actuar como miembros liquidadores de operaciones que se compensen, liquiden o garanticen en una cámara de riesgo central de contraparte, que hayan sido transados por sus entidades filiales o subsidiarias, o por los fondos, fondos de inversión colectiva, patrimonios autónomos, encargos fiduciarios o portafolios de terceros administrados por estas, siempre que dichas operaciones estén establecidas en el reglamento de la respectiva cámara de riesgo central de contraparte autorizado por la Superintendencia Financiera de Colombia.
ARTÍCULO 2.35.1.3.3. OPERACIONES DE LAS SOCIEDADES ADMINISTRADORAS DE FONDOS DE INVERSIÓN COLECTIVA, PATRIMONIOS AUTÓNOMOS, ENCARGOS FIDUCIARIOS O PORTAFOLIOS DE TERCEROS EN CÁMARAS DE RIESGO CENTRAL DE CONTRAPARTE. <Artículo modificado por el artículo 4 del Decreto 1235 de 2020. El nuevo texto es el siguiente:> Las sociedades administradoras de fondos de inversión colectiva, patrimonios autónomos, encargos fiduciarios o portafolios de terceros podrán actuar como miembros liquidadores o no liquidadores de operaciones que se compensen, liquiden o garanticen en una cámara de riesgo central de contraparte, realizadas por cuenta de los fondos de inversión colectiva, patrimonios autónomos, encargos fiduciarios o portafolios de terceros administrados por estas, siempre que dichas operaciones se establezcan en el reglamento de la respectiva cámara de riesgo central de contraparte autorizado por la Superintendencia Financiera de Colombia.
DE LOS REGLAMENTOS.
ARTÍCULO 2.35.1.4.1 AJUSTE DE REGLAMENTOS.
<Fuente original compilada: R. 400/95 Art. 2.7.4.1 Adicionado por el D. 1796/08 Art. 7o.> Los reglamentos de los sistemas de negociación de valores, de registro de operaciones sobre valores, de compensación y liquidación de operaciones y de las cámaras de riesgo central de contraparte, a través de los cuales se transen, registren o compensen y liquiden instrumentos financieros derivados y productos estructurados, deberán ajustarse a las disposiciones del presente Título y a las instrucciones que imparta la Superintendencia Financiera de Colombia al respecto. Estos reglamentos deben contener condiciones de registro, transacción, liquidación, información y garantías aplicables, de acuerdo con la naturaleza de los instrumentos financieros derivados y de los productos estructurados que sean aceptados por tales sistemas.
TERMINACIÓN ANTICIPADA Y COMPENSACIÓN Y LIQUIDACIÓN EN OPERACIONES CON INSTRUMENTOS FINANCIEROS DERIVADOS Y CON PRODUCTOS ESTRUCTURADOS QUE NO SE COMPENSEN Y LIQUIDEN EN SISTEMAS DE COMPENSACIÓN Y LIQUIDACIÓN. CLOSE-OUT NETTING.
ARTÍCULO 2.35.1.5.1 REGLAS PARA EL REGISTRO DE OPERACIONES CON INSTRUMENTOS FINANCIEROS DERIVADOS Y PRODUCTOS ESTRUCTURADOS A QUE SE REFIERE EL NUMERAL III) DEL ARTÍCULO 74 DE LA LEY 1328 DE 2009. <Artículo adicionado por el artículo 2 del Decreto 4765 de 2011>
Cuando las operaciones con instrumentos financieros derivados y con productos estructurados realizadas con una contraparte que sea una entidad sometida a inspección y vigilancia de la Superintendencia Financiera de Colombia, no se compensen y liquiden en sistemas de compensación y liquidación, deberán registrarse de la siguiente manera:
1. Cuando se realicen operaciones entre entidades sometidas a la inspección y vigilancia de la Superintendencia Financiera de Colombia y agentes del exterior o residentes con instrumentos financieros derivados sobre divisas, se deberá: i) realizar el registro de la operación en un sistema de registro de operaciones sobre divisas conforme lo establecido en la Resolución Externa 4 de 2009 de la Junta Directiva del Banco de la República o en la norma que la modifique o complemente y ii) conservar la información señalada en el artículo 2.35.1.5.2 del presente decreto.
2. <Numeral modificado el artículo 78 del Decreto 1745 de 2020. El nuevo texto es el siguiente:> Cuando se realicen operaciones entre entidades sometidas a la inspección y vigilancia de la Superintendencia Financiera de Colombia y agentes del exterior o residentes con productos estructurados sobre divisas, el registro se entenderá efectuado con: i) el registro efectuado en desarrollo de la reglamentación de carácter general expedida por la Junta Directiva del Banco de la República y ii) la conservación de la información señalada en el artículo 2.35.1.5.2 del presente decreto.
3. Cuando las operaciones con instrumentos financieros derivados o con productos estructurados no correspondan a las enunciadas en los numerales anteriores, el registro se surtirá con: i) el primer envío de los formatos correspondientes a la valoración de instrumentos financieros derivados a la Superintendencia Financiera de Colombia, sin perjuicio de las obligaciones periódicas de envío de información de cada operación, así como de la información adicional que sobre el particular establezca la misma entidad y ii) la conservación de la información señalada en el artículo 2.35.1.5.2 del presente decreto por parte de la respectiva entidad vigilada.
La forma de realizar el registro previsto en el presente numeral operará durante los seis (6) meses siguientes a la entrada en vigencia del presente artículo. Cumplido dicho plazo, las operaciones señaladas en el anterior inciso que deseen contar con la protección otorgada por el artículo 74 de la Ley 1328 de 2009, deberán registrarse conforme a lo establecido por el artículo 2.35.1.6.1 del presente decreto.
El registro realizado en los términos de los numerales anteriores tendrá por efecto que cuando ocurra un proceso de insolvencia o de naturaleza concursal, una toma de posesión para liquidación o un acuerdo global de reestructuración, se podrán terminar anticipadamente y compensarse y liquidarse las operaciones a que se refiere el primer inciso del presente artículo, de tal forma que solamente quede vigente el monto correspondiente al saldo neto de las mismas.
PARÁGRAFO 1o. La forma de reportar la información será establecida en los instructivos que emitan el Banco de la República y la Superintendencia Financiera de Colombia. En todo caso, quien reporte la información, además de conservar la documentación soporte de la misma, deberá presentarla cuando le sea requerida por las autoridades o por el representante del respectivo procedimiento de insolvencia, de naturaleza concursal, de toma de posesión para liquidación o del acuerdo global de reestructuración. La veracidad de la información registrada será de exclusiva responsabilidad de quien la reporte.
PARÁGRAFO 2o. Siempre que el registro de operaciones con instrumentos financieros derivados o con productos estructurados realizados por una entidad sometida a inspección y vigilancia de la Superintendencia Financiera de Colombia, se efectúe en un sistema de registro administrado por una entidad sometida a inspección y vigilancia de la misma entidad, este se cumplirá, para efectos del presente artículo, de conformidad con lo establecido en el reglamento aprobado por dicha Superintendencia o por el Banco de la República, según sea el caso.
ARTÍCULO 2.35.1.5.2 CONSERVACIÓN DE INFORMACIÓN. <Artículo adicionado por el artículo 2 del Decreto 4765 de 2011> Para efectos de que se entienda realizado el registro a que se refiere el artículo 2.35.1.5.1 del presente decreto, las contrapartes en las operaciones allí referidas deberán conservar la siguiente información durante la respectiva relación contractual y cinco (5) años más:
a) El contrato marco suscrito entre las contrapartes que contenga los estándares mínimos establecidos por la Superintendencia Financiera de Colombia, contrato marco ISDA o el prospecto de inversión y los anexos de estos, de acuerdo con la operación de que se trate.
b) Documentos tales como suplementos, confirmaciones, protocolos, documentos de apoyo crediticio o garantías, puentes y cualquier otro documento mediante el cual las partes instrumenten la operación y sus correspondientes garantías.
c) La información adicional que en ejercicio de sus atribuciones establezca la Superintendencia Financiera de Colombia.
ARTÍCULO 2.35.1.5.3 EFECTIVIDAD DE LAS GARANTÍAS OTORGADAS EN DINERO. <Artículo adicionado por el artículo 2 del Decreto 4765 de 2011> Cuando se presente un proceso de insolvencia o de naturaleza concursal, una toma de posesión para liquidación o un acuerdo global de reestructuración de deudas, y se encuentren vigentes operaciones con instrumentos financieros derivados o con productos estructurados que no se compensen y liquiden en sistemas de compensación y liquidación, las garantías constituidas en depósitos en dinero se podrán hacer efectivas sin intervención judicial, siempre que:
1. Hayan sido otorgadas por la parte incursa en alguno de los eventos antes mencionados para respaldar el cumplimiento de las operaciones con instrumentos financieros derivados o con productos estructurados.
2. Las operaciones con instrumentos financieros derivados o con productos estructurados se hayan registrado de conformidad con el artículo 2.35.1.5.1 y 2.35.1.6.1 del presente decreto, según sea el caso.
3. Las partes hayan regulado en el contrato marco que contenga los estándares mínimos establecidos por la Superintendencia Financiera de Colombia, contrato marco ISDA o en el prospecto de inversión y/o los anexos de estos, dependiendo del tipo de operación de que se trate, que cuando el depositario sea la misma parte garantizada, esta podrá disponer del dinero depositado hasta por el saldo neto a su favor, sin intervención judicial. Cuando el depositario no sea la misma parte garantizada, este deberá tener la calidad de establecimiento bancario o de sociedad fiduciaria, y el procedimiento para hacer efectiva la garantía otorgada se regirá por lo establecido en el respectivo contrato, prospecto o reglamento.
ARTÍCULO 2.35.1.5.4 EJECUCIÓN DE LAS GARANTÍAS OTORGADAS EN DINERO. <Artículo adicionado por el artículo 2 del Decreto 4765 de 2011> A partir de que la autoridad competente respectiva expida la decisión de toma de posesión para liquidación, el auto admisorio del proceso de insolvencia respectivo o la decisión que haga sus veces en los acuerdos globales de reestructuración, el depositario, una vez enterado procederá a:
a) Informarle a dicha autoridad que el dinero depositado en garantía no constituye prenda general de los acreedores de la contraparte deudora y que está excluido de la masa de bienes que pueda conformarse para efectos del proceso de insolvencia o de naturaleza concursal, de la toma de posesión para liquidación o del acuerdo global de reestructuración, según se trate.
b) Pagarse con la garantía, disponiendo del dinero o transfiriéndoselo a la parte garantizada según el caso, sin intervención judicial, conforme a lo dispuesto en el reglamento, contrato marco que corresponda o en el prospecto de inversión y/o los anexos de estos, dependiendo del tipo de operación de que se trate, hasta concurrencia del saldo neto a favor de la parte garantizada.
c) En caso de que el dinero depositado como garantía no cubra la totalidad del saldo neto de las obligaciones a favor de la parte garantizada, podrá en todo caso ejecutarse la garantía, en los términos del presente artículo, para obtener un cubrimiento parcial.
d) Una vez realizado el pago del saldo neto adeudado a favor de la parte garantizada, el remanente dejará de estar cobijado por lo establecido en este capítulo y lo dispuesto en el artículo 74 de la Ley 1328 de 2009. El depositario informará a la autoridad competente sobre lo anterior y pondrá a su disposición el monto remanente respectivo y una copia de la documentación soporte correspondiente.
ARTÍCULO 2.35.1.5.5 EFECTIVIDAD DE LAS GARANTÍAS OTORGADAS EN VALORES. <Artículo adicionado por el artículo 2 del Decreto 4765 de 2011> Cuando se presente un proceso de insolvencia o de naturaleza concursal, una toma de posesión para liquidación o un acuerdo global de reestructuración de deudas, y se encuentren vigentes operaciones con instrumentos financieros derivados y con productos estructurados que no se compensen y liquiden en sistemas de compensación y liquidación, las garantías constituidas en valores se podrán hacer efectivas, sin intervención judicial, siempre que:
1. Hayan sido otorgadas por la parte incursa en alguno de los eventos antes mencionados, para respaldar el cumplimiento de las referidas operaciones con instrumentos financieros derivados o con productos estructurados.
2. Las operaciones con instrumentos financieros derivados o con productos estructurados se hayan registrado de conformidad con el artículo 2.35.1.5.1 y 2.35.1.6.1 del presente decreto, según sea el caso.
3. Las partes hayan regulado en el contrato marco que contenga los estándares mínimos establecidos por la Superintendencia Financiera de Colombia, contrato marco ISDA o en el prospecto de inversión y/o los anexos de estos, dependiendo del tipo de operación de que se trate, el procedimiento para hacer efectivas las garantías otorgadas para respaldar la operación. Cuando el depositario sea un tercero, el procedimiento para hacer efectiva la garantía otorgada se regirá por lo establecido en el respectivo contrato o reglamento según la operación de que se trate.
ARTÍCULO 2.35.1.5.6 EJECUCIÓN DE LAS GARANTÍAS OTORGADAS EN VALORES. <Artículo adicionado por el artículo 2 del Decreto 4765 de 2011> A partir de que la autoridad competente expida la decisión de toma de posesión para liquidación, el auto admisorio del proceso de insolvencia respectivo o la decisión que haga sus veces en los acuerdos globales de reestructuración, el depósito centralizado de valores sometido a la inspección y vigilancia de la Superintendencia Financiera de Colombia, encargado del registro de los valores otorgados en garantía y que haya aceptado contractualmente gestionar la ejecución de las garantías, una vez enterado procederá a:
a) Informarle a la autoridad competente que los valores otorgados en garantía no constituyen prenda general de los acreedores de la contraparte deudora y que están excluidos de la masa de bienes que pueda conformarse para efectos del proceso de insolvencia o de naturaleza concursal, de la toma de posesión para liquidación o del acuerdo global de reestructuración, según se trate.
b) Hacer efectivas las garantías previamente registradas en su sistema, sin intervención judicial, conforme a su reglamento, el contrato marco que corresponda o el prospecto de inversión y/o los anexos de estos, hasta concurrencia del saldo neto a favor de la parte garantizada.
Los valores otorgados en garantía se liquidarán mediante su venta, al precio de mercado vigente, en un sistema de negociación de valores administrado por una sociedad sometida a la inspección y vigilancia de la Superintendencia Financiera de Colombia. En caso de que no sea posible su venta, se podrán transferir en pago los valores dados en garantía, valorados por el depósito al precio que suministre una entidad sometida a la inspección y vigilancia de la misma Superintendencia, hasta por el saldo neto a favor de la parte garantizada.
c) En caso de que los valores depositados como garantía no cubran la totalidad del saldo neto de las obligaciones a favor de la parte garantizada, podrá en todo caso ejecutarse la garantía en los términos del presente artículo, para obtener un cubrimiento parcial.
d) Una vez realizado el pago del saldo neto adeudado a favor de la parte garantizada, el remanente y las garantías que no se hayan hecho efectivas dejarán de estar cobijadas por lo establecido en este capítulo y lo dispuesto en el artículo 74 de la Ley 1328 de 2009. El depósito centralizado de valores informará a la autoridad competente sobre lo anterior y pondrá a su disposición los valores respectivos y una copia de la documentación soporte correspondiente.
ARTÍCULO 2.35.1.5.7 GARANTÍAS EXTRANJERAS. <Artículo adicionado por el artículo 2 del Decreto 4765 de 2011> Siempre que se trate de garantías ubicadas en el exterior su efectividad y ejecución se someterá a la legislación y jurisdicción extranjera respectiva.
REGISTRO DE OPERACIONES REALIZADAS EN EL MERCADO MOSTRADOR.
ARTÍCULO 2.35.1.6.1 REGISTRO DE OPERACIONES. <Artículo adicionado por el artículo 3 del Decreto 4765 de 2011> Siempre que una entidad sometida a inspección y vigilancia de la Superintendencia Financiera de Colombia realice operaciones con instrumentos financieros derivados y con productos estructurados en el mercado mostrador, tengan o no la calidad de valor, deberá registrarlas en un sistema de registro de operaciones sobre valores administrado por una entidad sometida a inspección y vigilancia de la Superintendencia Financiera de Colombia, de conformidad con lo establecido en los instructivos de contenido general expedidos por esta y el respectivo reglamento aprobado por dicha Superintendencia.
PARÁGRAFO. Las entidades que administren sistemas de registro de operaciones sobre valores y deseen efectuar el registro de operaciones con instrumentos financieros derivados y productos estructurados que no tengan la calidad de valor, deberán ajustar sus reglamentos a lo previsto en el presente decreto y a los instructivos que para el efecto expida la Superintendencia Financiera de Colombia.
NORMATIVIDAD COMUN PARA LAS OPERACIONES DE CONTADO Y OPERACIONES A PLAZO.
DEFINICIONES COMUNES PARA LAS ENTIDADES SOMETIDAS A INSPECCIÓN Y VIGILANCIA DE LA SUPERINTENDENCIA FINANCIERA DE COLOMBIA.
ARTÍCULO 2.35.2.1.1 OPERACIONES DE CONTADO.
<Fuente original compilada: R. 400/95 Art. 2.8.1.1 Adicionado por el D. 1796/08 Art. 8o.> Son aquellas cuya compensación y liquidación se realiza en la misma fecha de su celebración o máximo en un período de tiempo que será determinado por la Superintendencia Financiera de Colombia.
ARTÍCULO 2.35.2.1.2 OPERACIONES A PLAZO.
<Fuente original compilada: R. 400/95 Art. 2.8.1.2 Adicionado por el D. 1796/08 Art. 8o.> Son aquellas que no son operaciones de contado.
OPERACIONES EN LAS CUALES SE INTERPONGA COMO CONTRAPARTE UNA CÁMARA DE RIESGO CENTRAL DE CONTRAPARTE.
ARTÍCULO 2.35.2.2.1 AUTORIZACIÓN PARA OTORGAR GARANTÍAS. <Artículo adicionado por el artículo 5 del Decreto 1235 de 2020. El nuevo texto es el siguiente:> Las entidades sometidas a inspección y vigilancia de la Superintendencia Financiera de Colombia que realicen operaciones de contado y operaciones a plazo que se compensen y liquiden a través de cámaras de riesgo central de contraparte podrán otorgar garantías para la realización de dichas operaciones.
En desarrollo de lo anterior, se podrán otorgar garantías para la realización de operaciones de contado y operaciones a plazo con los recursos de los fondos administrados por las sociedades administradoras de fondos de pensiones y cesantías, de fondos de pensiones de jubilación o invalidez, aquellos correspondientes a los fondos de inversión colectiva y en general de los portafolios de terceros administrados por sociedades fiduciarias, por sociedades comisionistas de bolsas de valores o por sociedades administradora de fondos de inversión, las operaciones realizadas bajo el contrato de comisión ejecutado por las sociedades comisionistas de bolsa y los correspondientes a las reservas técnicas de las compañías de seguros o de sociedades de capitalización, de conformidad con el régimen aplicable a cada entidad.
INVERSIONES DE CAPITAL.
ARTÍCULO 2.35.3.1.1. INVERSIONES DE CAPITAL DIRECTAS. <Artículo adicionado al Libro 35 por el artículo 1 del Decreto 4032 de 2010. El nuevo texto es el siguiente> Las entidades sometidas a inspección y vigilancia de la Superintendencia Financiera de Colombia que pretendan efectuar o aumentar inversiones de capital en entidades financieras, del mercado de valores, compañías de seguros, de reaseguros y en sucursales y agencias domiciliadas en el exterior deberán someter a la autorización de la Superintendencia Financiera de Colombia tales inversiones.
ARTÍCULO 2.35.3.1.2. INVERSIONES DE CAPITAL INDIRECTAS. <Artículo adicionado al Libro 35 por el artículo 1 del Decreto 4032 de 2010. El nuevo texto es el siguiente> Las entidades sometidas a inspección y vigilancia de la Superintendencia Financiera de Colombia que pretendan efectuar o aumentar inversiones de capital a través de sus filiales y subsidiarias en el exterior en entidades financieras, del mercado de valores, compañías de seguros, de reaseguros y en sucursales y agencias domiciliadas en el exterior, deberán someter a la autorización de la Superintendencia Financiera de Colombia tales inversiones cuando cumplan al menos uno de los criterios de materialidad establecidos en el presente decreto.
ARTÍCULO 2.35.3.1.3. CRITERIOS DE MATERIALIDAD. <Artículo adicionado al Libro 35 por el artículo 1 del Decreto 4032 de 2010. El nuevo texto es el siguiente> Las inversiones de capital indirectas mencionadas en el artículo anterior, deberán ser autorizadas por parte de la Superintendencia Financiera de Colombia, siempre que se realicen mediante una o varias operaciones en un término de doce (12) meses y que cumplan con al menos uno de los siguientes criterios de materialidad:
1. Monto de la inversión: Cuando la inversión inicial de capital sea igual o superior al diez por ciento (10%) del capital suscrito y pagado de la entidad que efectúa la inversión, así como cuando el aumento de la inversión sea igual o superior al cinco por ciento (5%) del capital suscrito y pagado de la entidad que efectúa la inversión.
Para efectos del cálculo de la inversión inicial de que trata el inciso anterior, se entenderá que, además de la primera operación, hacen parte de la inversión inicial los aumentos de inversión que se realicen dentro de los doce (12) meses siguientes contados a partir de la primera operación.
2. Coordinación entre supervisores: Cuando la inversión de capital se pretenda realizar en una jurisdicción cuyo supervisor financiero no haya celebrado un memorando de entendimiento con la Superintendencia Financiera de Colombia.
PARÁGRAFO. Las inversiones de capital, o sus incrementos, que no se encuentren dentro de alguno de los criterios de materialidad señalados en este artículo, deberán ser informadas a la Superintendencia Financiera de Colombia antes de la realización de la operación.
FIJACIÓN, DIFUSIÓN Y PUBLICIDAD DE LAS TARIFAS Y PRECIOS.
PRINCIPIOS.
ARTÍCULO 2.35.4.1.1. PRINCIPIOS. <Artículo adicionado por el artículo 1 del Decreto 4809 de 2011. El nuevo texto es el siguiente:> Para la fijación, difusión y publicidad de las tarifas o precios, diferentes a las tasas de interés, que las instituciones financieras cobran por los servicios y productos regidos por contratos de adhesión, que ofrecen a los consumidores financieros, deberán observarse los siguientes principios:
a) Libertad: Las instituciones financieras tienen libertad para fijar, de manera autónoma e individual, los precios y tarifas correspondientes a los productos y servicios que ofrezcan, observando para ello las disposiciones contenidas en el presente Título, así como las demás disposiciones legales y constitucionales aplicables.
b) Legalidad: La fijación, difusión y publicidad de precios y tarifas debe observar las normas y principios que propenden por la libre competencia.
c) Transparencia e información cierta, suficiente y oportuna: Las tarifas y los precios correspondientes a los productos y servicios ofrecidos por las instituciones financieras deben ser suministrados a los consumidores financieros de manera cierta, suficiente, clara y anticipada, de tal forma que se permita que los consumidores financieros conozcan adecuadamente sus derechos, obligaciones y, especialmente, el precio total que pagarán por los servicios ofrecidos, según los supuestos de uso pactados.
d) Correspondencia: Todos los cobros que realice una entidad financiera deberán corresponder a la prestación efectiva de un servicio y este no podrá ser cobrado en más de una ocasión.
e) Estabilidad: Los precios y tarifas que las entidades pacten con los consumidores para la prestación de sus productos y servicios no podrá incrementarse de manera unilateral, sin que se haya realizado un preaviso al consumidor, dándole la alternativa de terminar el contrato, previo al cobro de los nuevos precios.
Eficiencia de costos: Las instituciones financieras deben propender por la eficiencia de sus cadenas productivas, con el fin de lograr reducir sus costos para ofrecer productos y servicios más eficientes a los consumidores.
DISPOSICIONES APLICABLES A LOS ESTABLECIMIENTOS DE CRÉDITO.
ARTÍCULO 2.35.4.2.1. REPORTE ANUAL DE COSTOS TOTALES. <Artículo modificado por el artículo 2 del Decreto 1854 de 2015. El nuevo texto es el siguiente:> Con periodicidad anual, los establecimientos de crédito y las Sociedades Especializadas en Depósitos Electrónicos (SEDPE), deberán suministrar a cada uno de sus clientes, un reporte especial, distinto de los extractos mensuales, en el que se informará la suma total de todos los costos que ha pagado durante el año, asociados a los servicios, tales como cuotas de administración y manejo, tarifas por operaciones en cajeros, internet, consultas telefónicas.
El reporte deberá discriminar aquellos cobros que se hayan realizado al cliente a favor de un tercero, diferente a la entidad financiera en cuestión y se realizará en las condiciones que para tal efecto determine la Superintendencia Financiera de Colombia. En el caso de cobros realizados por el establecimiento de crédito y las sociedades especializadas en depósitos electrónicos se deberán discriminar los cobros asociados a las operaciones y productos a los que se le deben calcular el VTUA y el VTUP descritos en los artículos 2.35.4.3.1. y 2.35.4.3.2. del presente decreto.
Adicionalmente, el reporte deberá incluir las retenciones tributarias que la entidad hubiere realizado.
El Reporte Anual de Costos se deberá remitir por medios físicos o electrónicos a elección de cada cliente, o en su defecto a través de los canales habitualmente usados por la entidad para el reporte de los extractos mensuales.
PARÁGRAFO. Se excluyen de la aplicación de este artículo las operaciones y productos que no presenten ningún cobro durante el año para el cual se calculó el Reporte Anual de Costos Totales
ARTÍCULO 2.35.4.2.2. OFERTA DE SERVICIOS BÁSICOS. <Artículo modificado por el artículo 3 del Decreto 1854 de 2015. El nuevo texto es el siguiente:> Las entidades financieras que ofrezcan todos los servicios que componen el paquete de servicios básicos establecido por la Superintendencia Financiera de Colombia, cotizarán dentro de su portafolio de productos dicho paquete, el cual deberá estar disponible para el cliente que lo solicite y ha de ser promocionado de forma homogénea, de manera que se permita y facilite su comparación por parte del consumidor financiero.
La Superintendencia Financiera de Colombia deberá establecer los servicios que harán parte del paquete de servicios básicos, haciendo una revisión periódica del mismo, para lo cual deberá tener en cuenta los siguientes criterios:
a) Demanda: deberá contener los servicios básicos más demandados por los usuarios, entendiendo por servicios básicos aquellos destinados a satisfacer las necesidades mínimas de un consumidor financiero.
b) Costos: deberá contener los servicios básicos que representen los mayores costos para el consumidor.
c) Masividad: deberá corresponder a los servicios básicos prestados de manera masiva por parte de las entidades financieras.
Las entidades financieras que ofrezcan este paquete podrán promocionarlo como una oferta de inclusión financiera y reportarán en su página web la tarifa que cobran por este.
ARTÍCULO 2.3.5.42.3. OPERACIONES FALLIDAS. <Artículo adicionado por el artículo 1 del Decreto 4809 de 2011. El nuevo texto es el siguiente:> Cuando en una operación el consumidor no reciba el servicio que demandó, por razones que no le sean atribuibles, los establecimientos de crédito no podrán cobrar ninguna tarifa a los consumidores.
ARTÍCULO 2.35.4.2.4. NORMAS REFERENTES A LA DIVULGACIÓN Y FIJACIÓN DE TARIFAS POR OPERACIONES EN CAJEROS AUTOMÁTICOS. <Artículo adicionado por el artículo 1 del Decreto 4809 de 2011. El nuevo texto es el siguiente:> El costo de las tarifas asociadas a las operaciones a través de cajeros electrónicos siempre deberá ser informado al usuario antes de llevar a cabo las mismas, dándole la opción de cancelar la operación sin costo alguno.
Las tarifas cobradas por un establecimiento de crédito a sus clientes por concepto de retiros de dinero en cajeros electrónicos pertenecientes a otra entidad, solo podrán ser mayores a veinte (20) Unidades de Valor Real (UVR), cuando de manera previa el establecimiento de crédito haya reportado y acreditado a la Superintendencia Financiera de Colombia, en la forma en que esta determine, que los costos de la operación superan dicha suma. La tarifa máxima se calculará semestralmente, tomando la UVR certificada por el Banco de la República el 30 de junio y el último día de cada año.
ARTÍCULO 2.35.4.2.5. FAVORABILIDAD DE TARIFAS PARA SERVICIOS FINANCIEROS POR INTERNET. <Artículo adicionado por el artículo 1 del Decreto 4809 de 2011. El nuevo texto es el siguiente:>
Los precios y tarifas que los establecimientos de crédito cobren a sus clientes, por consultas de saldo y transacciones a través de internet, en ningún caso podrán ser superiores a las cobradas por otros canales.
ARTÍCULO 2.35.4.2.6. ESTABILIDAD DE TARIFAS. <Artículo adicionado por el artículo 1 del Decreto 4809 de 2011. El nuevo texto es el siguiente:> Los establecimientos de crédito no podrán incrementar las tarifas cobradas a sus clientes, ni imponer obligaciones adicionales a las inicialmente pactadas, sin antes haberlo notificado a cada cliente por los canales usados habitualmente por la entidad para reportar los extractos mensuales, con antelación no inferior a cuarenta y cinco (45) días calendario al día en que se efectúe el incremento.
En el evento en que el cliente no estuviere de acuerdo con la modificación propuesta, deberá, dentro del término de los cuarenta y cinco (45) días a que se refiere el inciso anterior, comunicárselo de manera oportuna al establecimiento por cualquiera de los canales habilitados, teniendo la opción de rescindir el contrato sin que haya lugar a penalidad o cargo alguno. En todo caso, esta decisión no exime al cliente del pago de los saldos por pagar a favor del establecimiento en las condiciones inicialmente pactadas.
En el evento en que el cliente, dentro del término de cuarenta y cinco (45) días a que se refiere el primer inciso del presente artículo, no manifieste su inconformidad con la modificación propuesta, se entenderá su aceptación tácita.
ARTÍCULO 2.35.4.2.7. VENTAS ATADAS. <Artículo adicionado por el artículo 1 del Decreto 4809 de 2011. El nuevo texto es el siguiente:> Sin perjuicio de las disposiciones normativas referentes a los actos contrarios a la libre competencia, cuando un establecimiento de crédito ofrezca uno o varios de sus servicios básicos en un paquete o agrupados en cualquier forma, deberá también, ofrecer a los consumidores la opción de adquirir dichos servicios de manera independiente o separada.
La Superintendencia Financiera definirá el listado de servicios básicos para efectos del presente artículo.
VALOR TOTAL UNIFICADO (VTU) DE OPERACIONES ACTIVAS Y PASIVAS DE NATURALEZA MASIVAS REALIZADAS POR ENTIDADES VIGILADAS POR LA SUPERINTENDENCIA FINANCIERA DE COLOMBIA.
ARTÍCULO 2.35.4.3.1. VALOR TOTAL UNIFICADO EN LAS OPERACIONES ACTIVAS (VTUA) PARA LOS CLIENTES POTENCIALES. <Artículo adicionado por el artículo 1 del Decreto 1854 de 2015. El nuevo texto es el siguiente:> Los establecimientos de crédito vigilados por la Superintendencia Financiera de Colombia deberán calcular y reportar el VTUA al cliente potencial de manera previa a la suscripción de los contratos de adhesión de las siguientes operaciones o productos: créditos de vivienda, operaciones de leasing habitacional, créditos de consumo (tales como tarjeta de crédito, vehículos, libre inversión, entre otros) microcrédito, créditos de bajo monto y crédito comercial.
El VTUA se expresará en términos porcentuales y su resultante en pesos. En el primer caso, el VTUA será equivalente a la tasa interna de retorno efectiva anual de los flujos mensuales asociados al crédito, entendiendo por flujos el valor de los desembolsos realizados y los conceptos señalados en el tercer inciso del presente artículo. En el segundo caso, el establecimiento de crédito deberá entregar al cliente potencial, de manera desagregada, la suma de los valores proyectados de los conceptos que componen el VTUA.
Los conceptos que se tendrán en cuenta para el cálculo del VTUA comprenden las cuotas del crédito o canon de arrendamiento, primas de seguros, comisiones y cualquier otro concepto que el cliente potencial tenga que pagar al establecimiento de crédito, a lo largo de la vida de la operación activa, en virtud de la obligación, y que sea inherente o se encuentre asociado a la misma. Se excluyen de los conceptos que se deben tener en cuenta para dicho cálculo los cobros en que el cliente incurriría si la transacción se realiza mediante una operación de contado comparable, esto es, sin mediar una operación de crédito, siempre y cuando dichos conceptos no los cobre el establecimiento de crédito. La Superintendencia Financiera de Colombia podrá determinar otros componentes del VTUA que sean inherentes o asociados a la operación.
En consecuencia, para el caso del crédito de vivienda no se incluyen en el cálculo del VTUA los gastos notariales y de registro, entre otros. En la operación de leasing habitacional se excluyen del cálculo del VTUA el pago de servicios públicos domiciliarios, impuesto predial y valorización, cuotas de administración, gastos notariales y de registro, entre otros.
Si alguno de estos conceptos se cobrara antes del desembolso inicial, se asumirá como ocurrido en dicho momento. Para el cálculo del VTUA se asume que el cliente potencial se encontrará al día con sus obligaciones.
En el caso particular de las tarjetas de crédito o productos rotativos con cupo, el VTUA se deberá presentar de acuerdo con una operación o producto tipo, con las siguientes categorías:
a) Cupo de dos (2) salarios mínimos mensuales legales vigentes (smmlv).
b) Cupo de seis (6) salarios mínimos mensuales legales vigentes (smmlv).
Para estas categorías el VTUA se calculará como la tasa interna de retorno de los siguientes flujos mensuales: i) un desembolso inicial que corresponde a la totalidad del cupo otorgado; ii) pagos mensuales de capital e intereses, asumiendo que el desembolso fue diferido a doce (12) cuotas, el cupo liberado por el cliente con el pago de la cuota mensual es reutilizado inmediatamente, y que la deuda remanente se cancela en su totalidad en la cuota doce (12) contada a partir del desembolso; iii) cualquier otro concepto asociado a la existencia de la operación o producto en el año posterior al desembolso, como cuota de manejo o pago de seguros, entre otros.
PARÁGRAFO 1o. La Superintendencia Financiera de Colombia podrá instruir la forma en que las entidades deberán proyectar los conceptos de que trata el inciso tercero del presente artículo incluidos en el VTUA a lo largo de la vida de la operación o producto.
PARÁGRAFO 2o. El VTUA y la suma de los valores entregados al cliente potencial resultan de una proyección de los cobros inherentes o asociados a la operación y no necesariamente corresponden con los montos efectivamente pagados por el cliente potencial. En este sentido el establecimiento de crédito deberá reflejarlo en todos los documentos en que se presenten al cliente potencial.
PARÁGRAFO 3o. En todo caso el VTUA es una medida que proyecta el monto total a pagar por el cliente potencial a lo largo de la vida de la operación activa. En consecuencia el VTUA no es una tasa de interés a la que le apliquen los límites establecidos en las normas vigentes sobre la materia.
ARTÍCULO 2.35.4.3.2. VALOR TOTAL UNIFICADO EN LAS OPERACIONES PASIVAS (VTUP) PARA LOS CLIENTES POTENCIALES. <Artículo adicionado por el artículo 1 del Decreto 1854 de 2015. El nuevo texto es el siguiente:> Los establecimientos de crédito y las Sociedades Especializadas en Depósitos Electrónicos (SEDPE), vigilados por la Superintendencia Financiera de Colombia deberán calcular y reportar el VTUP al cliente potencial de manera previa a la suscripción de los contratos de adhesión de las siguientes operaciones o productos: certificado de depósito a término, cuentas de ahorro, cuentas corrientes y depósitos electrónicos.
El VTUP se expresará en términos porcentuales y su resultante en pesos. En el primer caso, el VTUP será equivalente a la tasa interna de retorno efectiva anual de los ingresos y egresos mensuales asociados a la operación o producto descritos en el tercer inciso del presente artículo. En el segundo caso, los establecimientos de crédito y las Sociedades Especializadas en Depósitos Electrónicos (SEDPE), deberán entregar al cliente potencial, de manera desagregada, la suma de los valores proyectados de los conceptos que componen el VTUP.
Los conceptos que se tendrán en cuenta para el cálculo del VTUP comprenden los ingresos por intereses y cualquier otro concepto que sea inherente o se encuentre asociado a la apertura y administración a lo largo de la vida de la operación o producto. En todo caso, no se incluirán en el cálculo del VTUP los costos que correspondan a servicios transaccionales. La Superintendencia Financiera de Colombia podrá determinar otros componentes del VTUP que sean inherentes o asociados a la apertura y administración de la operación o producto.
Para el caso de los certificados de depósito a término, el VTUP debe ser presentado al cliente potencial de manera previa a la contratación del producto por parte de la entidad financiera, y se calculará de acuerdo con lo señalado en el inciso anterior.
En el caso particular de las cuentas de ahorro, cuentas corrientes y depósitos electrónicos, el VTUP se calculará como la diferencia entre: i) los intereses generados por un saldo mensual promedio equivalente a un salario mínimo mensual legal vigente; ii) los cobros asociados a la prestación de la operación o producto, sin incluir los costos que correspondan a servicios transaccionales. Para efectos de comparación se asume que el producto se cancela un año después de su apertura, y los ingresos por intereses y cobros por servicios se realizan al final del último día del mes. En el evento que los egresos asociados a la operación o producto resulten superiores a los ingresos de los mismos, dicha diferencia se expresará en valor absoluto y se le presentará al cliente potencial como un costo.
PARÁGRAFO 1o. La Superintendencia Financiera de Colombia podrá instruir la forma en que las entidades deberán proyectar los conceptos de que trata el inciso tercero del presente artículo incluidos en el VTUP a lo largo de la vida de la operación o producto.
PARÁGRAFO 2o. El VTUP y la suma de los valores entregados al cliente potencial resultan de una proyección de los ingresos y cobros asociados a la prestación del producto, y no necesariamente deberá corresponder con los montos efectivamente recibidos o pagados al cliente potencial. Los establecimientos de crédito y las Sociedades Especializadas en Depósitos Electrónicos (SEDPE), deberán informar al cliente potencial que estos flujos corresponden a una proyección, que no incluyen los costos transaccionales por el uso del producto y que no hay certeza sobre su ocurrencia. En este sentido el establecimiento de crédito deberá reflejarlo en todos los documentos en que se presente al cliente potencial.
PARÁGRAFO 3o. En todo caso el VTUP es una medida que proyecta el monto total recibido y pagado por el cliente a lo largo de la vida de la operación pasiva, en consecuencia no es una tasa de interés.
PROTOCOLO PARA SITUACIONES DE CRISIS O CONTINGENCIA EN EL MERCADO DE VALORES.
DISPOSICIONES GENERALES.
ARTÍCULO 2.35.5.1.1. PROTOCOLO DE CRISIS O CONTINGENCIA DEL MERCADO DE VALORES.
<Artículo adicionado por el artículo 10 del Decreto 2219 de 2017. El nuevo texto es el siguiente:> Con el propósito de gestionar situaciones extraordinarias que impidan o amenacen el funcionamiento adecuado del mercado de valores, afectando los procesos de negociación, registro, compensación, liquidación o valoración de las operaciones que en él se celebran y que tengan como causa factores de riesgo externos o internos de los proveedores de infraestructura o de cualquier otro agente que en él participe, los proveedores de infraestructura deberán establecer un protocolo de crisis o contingencia que establezca los lineamientos y reglas mínimas de actuación en este tipo de situaciones, que propenda por la continuidad del mercado y que sea vinculante para todos los agentes que en él intervienen.
ARTÍCULO 2.35.5.1.2. CONTENIDO MÍNIMO DEL PROTOCOLO. <Artículo adicionado por el artículo 10 del Decreto 2219 de 2017. El nuevo texto es el siguiente:> El diseño, estructuración e implementación del protocolo de crisis o contingencia del mercado de valores, será realizado por las entidades calificadas como proveedores de infraestructura del mercado de valores y será aprobado por la Superintendencia Financiera de Colombia, previo a su entrada en vigencia.
Dicho protocolo, deberá contener como mínimo:
a) El procedimiento establecido para su expedición y modificación;
b) La calidad de las entidades o agentes que pueden participar en su estructuración;
c) Los periodos o eventos previstos para su actualización;
d) Los órganos de gobierno que administrarán la estructuración, implementación, modificación o actualización del Protocolo;
e) Los lineamientos bajo los cuales el protocolo es objeto de simulación o pruebas por parte de los agentes participantes en el mercado de valores;
f) Sus mecanismos de difusión entre los agentes participantes en su diseño y estructuración, y el público en general;
g) El carácter vinculante del Protocolo para todos los agentes participantes en el mercado de valores, incluyendo a los inversionistas.
h) Los demás aspectos que la Superintendencia Financiera de Colombia determine.
Adicional a lo anterior, el protocolo de crisis o contingencia aprobado por la Superintendencia Financiera de Colombia, deberá incorporarse en los reglamentos de los proveedores de infraestructura.
ARTÍCULO 2.35.5.1.3. FACULTADES DE LA SUPERINTENDENCIA FINANCIERA DE COLOMBIA. <Artículo adicionado por el artículo 10 del Decreto 2219 de 2017. El nuevo texto es el siguiente:> Los términos y condiciones bajo los cuales deberá estructurarse, activarse o implementarse el Protocolo de crisis o contingencia del mercado de valores, así como las responsabilidades o facultades puntualmente previstas a cargo de los proveedores de infraestructura y demás agentes participantes en el mercado, serán establecidos por la Superintendencia Financiera de Colombia mediante instrucción.
PLANES DE RESOLUCIÓN.
DISPOSICIONES GENERALES.
ARTÍCULO 2.35.6.1.1. DEFINICIÓN Y OBJETIVOS. <Artículo adicionado por el artículo 1 del Decreto 923 de 2018. El nuevo texto es el siguiente:> Los planes de resolución son documentos que prevén la estrategia, recursos, guía de acción y los procesos y procedimientos adoptados por parte de las entidades vigiladas por la Superintendencia Financiera de Colombia que se determinen como obligadas a elaborarlos y presentarlos según lo previsto en el presente Título, con el fin de enfrentar de manera oportuna y adecuada situaciones de estrés financiero que se consideren materiales, así como la eventual liquidación de la entidad.
ARTÍCULO 2.35.6.1.2. CONDICIONES DE ELABORACIÓN Y PRESENTACIÓN. <Artículo adicionado por el artículo 1 del Decreto 923 de 2018. El nuevo texto es el siguiente:> Las entidades que se determinen como obligadas a elaborar planes de resolución como resultado de la adopción de los lineamientos y recomendaciones formulados por la Comisión Intersectorial de Resolución que se crea mediante el presente Título, deberán elaborarlos y presentarlos anualmente ante la Superintendencia Financiera de Colombia respecto de la entidad individualmente considerada, y/o en la forma que se determine por parte de la entidad de vigilancia y control.
En todo caso, los planes deberán contar con la aprobación de la Junta Directiva de la respectiva entidad, con anterioridad a su presentación ante la Superintendencia Financiera de Colombia.
ARTÍCULO 2.35.6.1.3. CARACTERÍSTICAS. <Artículo adicionado por el artículo 1 del Decreto 923 de 2018. El nuevo texto es el siguiente:> La elaboración y actualización de los planes de resolución deben reunir las siguientes características:
1. Estratégicos: Deben contemplar los planes de negocios tanto actuales como prospectivos, además de las características específicas de la entidad, incluyendo su tamaño, complejidad, grado de interconexión con otras entidades y ubicación geográfica, entre otras.
2. Factibles: Su implementación debe ser viable y posible en situaciones de estrés financiero que se determinen como materiales, así como ante la eventual liquidación de la entidad.
3. Actuales: Los planes deben ser actualizados periódicamente mediante un proceso iterativo.
ARTÍCULO 2.35.6.1.4. CONTENIDO. <Artículo adicionado por el artículo 1 del Decreto 923 de 2018. El nuevo texto es el siguiente:>
Los planes de resolución deberán incluir como mínimo la siguiente información de la entidad:
1. Estructura organizacional y operativa, especificando el gobierno corporativo, la interconexión con otras sociedades o entidades vinculadas y su actividad transfronteriza.
2. Descripción detallada de la interconexión con otras entidades del sistema financiero o de otros sectores, para identificar las relaciones de dependencia existentes.
3. Descripción del modelo y principales líneas de negocio.
4. Detalle de la situación financiera de la entidad en la cual se incluyan los activos, los pasivos, el patrimonio, la solvencia, y el indicador de liquidez, entre otras variables relevantes.
5. Definición de los servicios y funciones críticos para la operación de la entidad y de las estrategias previstas para mantenerlos en funcionamiento.
6. Definición de las principales contrapartes.
7. Descripción y cuantificación de las operaciones de derivados y coberturas.
8. Descripción de su participación en los sistemas de pago, compensación y liquidación.
9. Descripción de los sistemas de información, centros principales y alternos de procesamiento de datos y planes de contingencia y continuidad del negocio.
10. Descripción de las operaciones en el extranjero y de las autoridades de supervisión de dichas operaciones.
11. <Numeral modificado el artículo 79 del Decreto 1745 de 2020. El nuevo texto es el siguiente:> Definición de los indicadores base para iniciar la aplicación de las estrategias de resolución.
12. Definición y descripción de la estrategia de resolución aplicable en caso de presentarse una situación de estrés financiero material o liquidación de la entidad.
13. Definición de las acciones preparatorias que posibiliten la aplicación de la estrategia de resolución de manera efectiva y oportuna, así como la identificación de posibles obstáculos internos y externos para su adopción y definir posibles mitigantes a los mismos, teniendo en cuenta que las estrategias de resolución propuestas se validarán dentro del marco de los Esquemas de Pruebas de Resistencia establecidos por la Superintendencia Financiera de Colombia.
14. Definición y descripción de las diversas fuentes de recursos disponibles para el financiamiento de la estrategia de resolución.
15. Las demás que se adopten con base en los lineamientos y recomendaciones formulados por la Comisión Intersectorial de Resolución que se crea en el presente Título, sin perjuicio de las potestades de decisión de la Superintendencia Financiera de Colombia o el Fondo de Garantías de Instituciones Financieras (Fogafin) de acuerdo con la ley y los actos de creación o de reestructuración.
ARTÍCULO 2.35.6.1.5. FUNCIONES DE LA SUPERINTENDENCIA FINANCIERA DE COLOMBIA EN RELACIÓN CON LOS PLANES DE RESOLUCIÓN. <Artículo adicionado por el artículo 1 del Decreto 923 de 2018. El nuevo texto es el siguiente:> Corresponderá a la Superintendencia Financiera de Colombia adelantar las siguientes funciones en relación con los planes de resolución, sin perjuicio de las previstas en el Estatuto Orgánico del Sistema Financiero y demás normas pertinentes.
1. Comunicar a las entidades que han sido seleccionadas para elaborar y presentar planes de resolución, así como las condiciones de plazo y modo bajo las cuales deben cumplir con esta obligación.
2. Impartir instrucciones a las entidades obligadas a presentar planes de resolución, sobre los lineamientos para la elaboración y presentación de los mismos e informar sobre los contenidos mínimos adicionales a los indicados en el presente Título.
3. Requerir a las entidades para que efectúen modificaciones o ajustes a los planes de resolución.
4. Requerir a las entidades la adopción de cualquier medida adicional, necesaria y proporcionada, en caso de que considere que aquellas propuestas en el plan de resolución presentado no son suficientes.
ARTÍCULO 2.35.6.1.6 CARÁCTER NO VINCULANTE Y CONFIDENCIALIDAD DE LOS PLANES DE RESOLUCIÓN. <Artículo adicionado por el artículo 1 del Decreto 923 de 2018. El nuevo texto es el siguiente:> Los planes de resolución no son vinculantes para las autoridades competentes en materia de resolución de las entidades obligadas a presentarlos y se considerarán, para todos los efectos, como información de carácter confidencial y reservada.
COORDINACIÓN INTERSECTORIAL.
ARTÍCULO 2.35.6.2.1. COMISIÓN INTERSECTORIAL DE RESOLUCIÓN. <Artículo adicionado por el artículo 1 del Decreto 923 de 2018. El nuevo texto es el siguiente:> Créase la Comisión Intersectorial de Resolución como órgano técnico para la coordinación y orientación de funciones relacionadas con la resolución de entidades, la cual estará integrada mínimo por dos (2) funcionarios de la Superintendencia Financiera de Colombia y dos (2) del Fondo de Garantías de Instituciones Financieras (Fogafín). De los funcionarios designados, por lo menos uno de cada entidad deberá tener la calidad de directivo.
La Comisión Intersectorial de Resolución podrá invitar a las sesiones de trabajo a las personas cuya asistencia considere pertinente.
PARÁGRAFO. La totalidad de los miembros de la Comisión Intersectorial de Resolución, así como los invitados a las reuniones, deberán suscribir un acuerdo de confidencialidad sobre el tratamiento de la información que conozcan con ocasión de su participación en la Comisión.
ARTÍCULO 2.35.6.2.2. FUNCIONES. <Artículo adicionado por el artículo 1 del Decreto 923 de 2018. El nuevo texto es el siguiente:> La Comisión Intersectorial de Resolución ejercerá las siguientes funciones, sin perjuicio de las potestades decisorias que de acuerdo con la ley y los actos de creación o de reestructuración les correspondan a la Superintendencia Financiera de Colombia y al Fondo de Garantías de Instituciones Financieras (Fogafin):
a) Impartir lineamientos sobre la elaboración, presentación, actualización y ajuste de los planes de resolución de que trata el presente Título, entre ellos, los siguientes:
- Los criterios para establecer que una entidad se encuentra en una situación de estrés financiero material.
- Los principios, condiciones y/o guías para la elaboración y desarrollo de los planes de resolución.
- La información adicional a la requerida en el artículo 2.35.6.1.4 del presente Decreto, en el caso en que se considere necesario;
b) Proponer a las instancias decisorias de la Superintendencia Financiera y del Fondo de Garantías de Instituciones Financieras (Fogafin), las entidades que a su criterio deben elaborar planes de resolución y el cronograma de presentación de los mismos;
c) Coordinar los comentarios y solicitudes de ajuste a los planes de resolución propuestos por sus integrantes, en particular cuando estos presenten deficiencias o cuando se evidencien impedimentos para su aplicación y ponerlos en conocimiento de las instancias decisorias de las entidades que Integran la Comisión;
d) Coordinar la elaboración de estudios sobre el diseño y aplicación de estrategias de resolución adicionales a las consideradas en los planes de resolución;
e) Coordinar la elaboración de manuales sobre gestión de situaciones de crisis y ponerlos en conocimiento de las instancias decisorias de las entidades que integran la Comisión;
f) Analizar información relevante sobre la situación financiera, administrativa y operativa de las entidades vigiladas por la Superintendencia Financiera de Colombia para el adecuado desarrollo del objetivo de los planes de resolución y el adecuado ejercicio de sus funciones;
g) Elaborar estudios sobre mejores prácticas en materia de resolución de entidades y formular propuestas a las instancias decisorias de la Superintendencia Financiera de Colombia o del Fondo de Garantías de Instituciones Financieras (Fogafin), cuando se considere que deben incluirse en el diagnóstico de la situación financiera de las entidades vigiladas, o en los mecanismos de resolución;
h) Acordar y ejecutar una política de seguridad para el tratamiento de la información que se comparte en la Comisión;
i) Dictarse su propio reglamento, el cual debe incluir los responsables de elaborar y aprobar las actas de las reuniones y la forma en la que se procederá en caso en que no se logre un acuerdo sobre los asuntos relacionados con sus funciones, entre otros elementos necesarios para el funcionamiento de la Comisión.
PARÁGRAFO. Para el ejercicio de las anteriores funciones, se debe tomar en consideración que los planes de resolución deben propender por garantizar la continuidad de las funciones esenciales de la respectiva entidad, mitigar el riesgo moral de sus administradores, reducir el riesgo de necesidad de uso de recursos públicos y si es del caso, facilitar el proceso de liquidación.
ESPACIO CONTROLADO DE PRUEBA PARA ACTIVIDADES DE INNOVACIÓN FINANCIERA.
GENERALIDADES DEL ESPACIO CONTROLADO DE PRUEBA.
ARTÍCULO 2.35.7.1.1. DEFINICIÓN Y RÉGIMEN APLICABLE. <Artículo adicionado por el artículo 1 del Decreto 1234 de 2020. El nuevo texto es el siguiente:> El espacio controlado de prueba es el conjunto de normas, procedimientos, planes, condiciones, requisitos y requerimientos prudenciales que permite probar desarrollos tecnológicos innovadores en la prestación de actividades propias de las entidades vigiladas por la Superintendencia Financiera de Colombia.
La constitución y funcionamiento del espacio controlado de prueba se regirá por las disposiciones especiales contenidas en el presente Título. En lo no previsto expresamente en el mismo, se aplicarán las normas contenidas en el marco legal y reglamentario vigente.
Para el desarrollo del espacio controlado de prueba, la Superintendencia Financiera de Colombia podrá aplicar el principio de proporcionalidad definido en el presente Título, en el ejercicio de sus facultades de supervisión, vigilancia y control.
PARÁGRAFO. Las excepciones regulatorias otorgadas por la Superintendencia Financiera de Colombia en el espacio controlado de prueba no implican la modificación de la regulación vigente aplicable a las actividades financieras, bursátiles y aseguradoras. En todo caso, podrán ser tenidas en cuenta para revisiones que se hagan posteriormente del marco regulatorio.
ARTÍCULO 2.35.7.1.2. OBJETIVOS. <Artículo adicionado por el artículo 1 del Decreto 1234 de 2020. El nuevo texto es el siguiente:> En el funcionamiento, regulación y supervisión del espacio controlado de prueba se deberá tener en cuenta los siguientes objetivos:
1. Aprovechar la innovación en la prestación de servicios y productos financieros.
2. Velar por la protección y los intereses de los consumidores financieros.
3. Preservar la integridad y estabilidad del sistema financiero.
4. Prevenir los arbitrajes regulatorios.
ARTÍCULO 2.35.7.1.3. DESARROLLOS TECNOLÓGICOS INNOVADORES. <Artículo adicionado por el artículo 1 del Decreto 1234 de 2020. El nuevo texto es el siguiente:> Los desarrollos tecnológicos innovadores que se acepten en el espacio controlado de prueba deberán tener alguna de las siguientes finalidades: aumentar la eficiencia en la prestación de servicios u ofrecimiento de productos financieros, resolver una problemática para los consumidores financieros, facilitar la inclusión financiera, mejorar el cumplimiento normativo, desarrollar los mercados financieros o mejorar su competitividad.
ARTÍCULO 2.35.7.1.4. GLOSARIO. <Artículo adicionado por el artículo 1 del Decreto 1234 de 2020. El nuevo texto es el siguiente:> Para efectos del presente Título se adoptan las siguientes definiciones:
1. Certificado de Operación Temporal. Documento expedido por la Superintendencia Financiera de Colombia que permite probar desarrollos tecnológicos innovadores en la prestación de actividades propias de las entidades vigiladas por esta autoridad, gracias al marco regulatorio creado. Esta autorización iniciará a partir de la expedición del certificado de operación temporal y en ningún caso podrá superar los dos (2) años.
2. Desarrollo tecnológico innovador. Modelo de negocio que utilice tecnologías nuevas o emergentes y/o tecnologías existentes que introduzcan variaciones o cambios de formas novedosas en el ejercicio de actividades propias de entidades vigiladas por la Superintendencia Financiera de Colombia.
3. Interesado. Persona jurídica que solicite constituir una entidad vigilada por la Superintendencia Financiera de Colombia para participar en el espacio controlado de prueba.
4. Entidad Vigilada en el Espacio Controlado de Prueba. Persona jurídica que se haya constituido en el espacio controlado de prueba y haya obtenido certificado de operación temporal.
5. Entidad Vigilada Participante. Entidad vigilada por la Superintendencia Financiera de Colombia que participe en el espacio controlado de prueba y haya obtenido certificado de operación temporal.
6. Participante. Entidad vigilada en el espacio controlado de prueba y/o entidad vigilada participante.
7. Plan de prueba. Documento presentado por los interesados ante la Superintendencia Financiera de Colombia, que contiene la propuesta de desarrollo tecnológico innovador.
8. Plan de desmonte. Documento presentado por los interesados y aprobado por la Superintendencia Financiera de Colombia, mediante el cual se establece el procedimiento para liquidar las operaciones y finalizar la prueba temporal del espacio controlado de prueba.
9. Plan de transición. Documento presentado por entidades vigiladas en el espacio controlado de prueba y por las entidades vigiladas por la Superintendencia Financiera de Colombia que deseen probar actividades que no son propias de su licencia, y aprobado por la Superintendencia Financiera de Colombia, mediante el cual se establece el proceso para que la entidad pueda obtener el certificado de autorización de funcionamiento por parte de la Superintendencia Financiera de Colombia una vez finalice la prueba temporal.
10. Plan de ajuste. Documento presentado por la Entidad Vigilada Participante, y aprobado por la Superintendencia Financiera de Colombia, mediante el cual se establece el proceso para que la entidad acredite el cumplimiento pleno de los requisitos de operación aplicables al desarrollo tecnológico innovador, propios de su licencia, una vez finalice la prueba temporal.
11. Prueba temporal. Implementación temporal y controlada de un desarrollo tecnológico innovador que se realice de acuerdo con las disposiciones del presente Título conforme a las condiciones, requisitos y requerimientos prudenciales definidos en el certificado de operación temporal y bajo la supervisión de la Superintendencia Financiera de Colombia. La prueba temporal puede incluir o no la participación de consumidores financieros y tendrá un plazo máximo de dos (2) años contados desde la expedición del certificado de operación temporal.
12. Principio de proporcionalidad. Valoración o ponderación que deberá realizar la Superintendencia Financiera de Colombia en el momento de definir el marco regulatorio para los desarrollos tecnológicos innovadores que se pretendan probar en el espacio controlado de prueba. Estos deberán establecerse de acuerdo con los riesgos y características de cada uno de estos desarrollos tecnológicos innovadores.
INGRESO AL ESPACIO CONTROLADO DE PRUEBA.
ARTÍCULO 2.35.7.2.1. REQUISITOS DE INGRESO AL ESPACIO CONTROLADO DE PRUEBA. <Artículo adicionado por el artículo 1 del Decreto 1234 de 2020. El nuevo texto es el siguiente:> Podrán acceder al espacio controlado de prueba los interesados y las entidades, vigiladas participantes que cumplan los siguientes requisitos:
1. Que el desarrollo tecnológico innovador propuesto se enmarque en alguna de las finalidades previstas en el artículo 2.35.7.1.3. del presente decreto.
2. Que el desarrollo tecnológico innovador propuesto se encuentre suficientemente avanzado de forma tal que pueda ser probado inmediatamente después de ser expedido el certificado de operación temporal.
3. Que los servicios financieros vayan a ser prestados en territorio colombiano.
PARÁGRAFO 1o. Mediante instrucciones de carácter general y atendiendo los objetivos mencionados en el artículo 2.35.7.1.2. del presente decreto, la Superintendencia Financiera de Colombia establecerá las causales objetivas de restricción para acceder al espacio controlado de prueba.
PARÁGRAFO 2o. La Superintendencia Financiera de Colombia mediante instrucciones de carácter general, establecerá los parámetros que permitan definir el estado de avance del desarrollo tecnológico innovador que pretenda ser probado en el espacio controlado de prueba.
ARTÍCULO 2.35.7.2.2. CONSTITUCIÓN PARA OPERACIÓN TEMPORAL. <Artículo adicionado por el artículo 1 del Decreto 1234 de 2020. El nuevo texto es el siguiente:> Los interesados que se propongan implementar desarrollos tecnológicos innovadores para realizar actividades u operaciones propias de las entidades vigiladas por la Superintendencia Financiera de Colombia, a través del espacio controlado de prueba, deberán constituirse en una de tales entidades mediante el procedimiento especial previsto en este Título. ·
La solicitud de constitución para operación temporal deberá ser presentada a la Superintendencia Financiera de Colombia por parte de los interesados y deberá incluir como mínimo lo siguiente:
1. El proyecto de los estatutos sociales y la solicitud de constitución para operación temporal.
2. Características específicas del desarrollo tecnológico innovador, especificando como se relacionan con las finalidades mencionadas en el artículo 2.35.7.1.3. del presente decreto.
3. Modelo de negocio, definición del producto o servicio financiero propuesto, factibilidad del negocio metas y punto de equilibrio financiero del mismo.
4. Herramientas o medios tecnológicos que se emplearán.
5. Identificación de los requisitos prudenciales, incluido el capital mínimo; operativos y de administración de riesgo que necesiten ser flexibilizados, la propuesta de las condiciones, requisitos y requerimientos prudenciales diferenciados aplicables a las pruebas, junto con un análisis justificativo de la necesidad y proporcionalidad de dicha flexibilización de acuerdo con el modelo de negocio.
6. Políticas y procedimientos que aplicará la entidad para la gestión, administración y revelación de situaciones generadoras de conflictos de interés.
7. La propuesta de las políticas de análisis y administración de riesgos de los productos y servicios financieros que usen desarrollos tecnológicos innovadores que pretendan probarse.
8. Identificación de las actividades que se pretenden desarrollar en el espacio controlado de prueba y los objetivos que se pretenden cumplir.
9. Las disposiciones jurídicas que regulan la actividad financiera que obstaculizan el desarrollo de los productos o servicios, de ser aplicable.
10. Métrica e indicadores para la evaluación de los objetivos propuestos, en los términos del numeral 8 del presente artículo.
11. El mercado objetivo y número máximo de consumidores financieros a los que se les ofrecería el producto o servicio de que se trate el proyecto, especificando en su caso, la ubicación geográfica respectiva.
12. EI monto máximo de recursos que propone captar de cada consumidor financiero, así como el monto máximo total que podrá recibir durante la vigencia de su certificado de operación temporal, de ser el caso.
13. El plazo propuesto de prueba y cronograma.
14. La forma en que pretende informar y obtener el consentimiento de sus consumidores financieros respecto a que los productos y servicios financieros ofrecidos hacen parte de un espacio controlado de prueba, así como los riesgos a que se encuentran expuestos por ello.
15. Propuesta de plan de transición, de desmonte o de ajuste.
16. La propuesta de las medidas que se adoptarán para lograr la protección de sus consumidores financieros, conforme al nivel de riesgo de la prueba temporal.
17. La demás información que la Superintendencia Financiera de Colombia determine.
ARTÍCULO 2.35.7.2.3 REQUISITOS PARA ENTIDADES VIGILADAS PARTICIPANTES. <Artículo adicionado por el artículo 1 del Decreto 1234 de 2020. El nuevo texto es el siguiente:> Las entidades vigiladas participantes deberán presentar ante la Superintendencia Financiera de Colombia, la solicitud del certificado de operación temporal, que deberá incluir:
1. Las medidas de separación entre el desarrollo tecnológico innovador y la actividad financiera, bursátil o aseguradora que estas desarrollen, con el propósito de facilitar el desmonte de las operaciones de la prueba temporal y evitar confusión entre los consumidores financieros participantes.
2. Los requerimientos del artículo 2.35.7.2.2., con excepción del numeral 1 por tratarse de una entidad vigilada.
La Superintendencia Financiera de Colombia evaluará la solicitud presentada por las entidades vigiladas participantes y podrá requerir ajustes, aclaraciones o nueva información que considere pertinente.
PARÁGRAFO. Las entidades vigiladas participantes que se propongan implementar desarrollos tecnológicos innovadores para realizar actividades u operaciones que no sean propias de su licencia, no deberán solicitar la constitución para operación temporal. En este caso, las entidades vigiladas participantes deberán solicitar el certificado de operación temporal del que trata este artículo.
ARTÍCULO 2.35.7.2.4. PROCEDIMIENTO DE EVALUACIÓN DE LA SOLICITUD DE CONSTITUCIÓN Y EXPEDICIÓN DE CERTIFICADO PARA OPERACIÓN TEMPORAL. <Artículo adicionado por el artículo 1 del Decreto 1234 de 2020. El nuevo texto es el siguiente:> A través de instrucciones dictadas por la Superintendencia Financiera de Colombia se establecerá el procedimiento para evaluar las solicitudes de constitución para operación temporal presentadas por los interesados y la solicitud de expedición del certificado de operación temporal para el caso de las entidades vigiladas participantes.
En particular, la Superintendencia Financiera de Colombia deberá evaluar la adecuación y necesidad de condiciones, requisitos y requerimientos prudenciales diferenciados exigidos para la realización de las pruebas temporales, así como los capitales mínimos propuestos y la forma de acreditar estos, los cuales deben ser proporcionales a la complejidad y riesgos inherentes al desarrollo de las actividades autorizadas.
ARTÍCULO 2.35.7.2.5. EXPEDICIÓN DEL CERTIFICADO DE OPERACIÓN TEMPORAL. <Artículo adicionado por el artículo 1 del Decreto 1234 de 2020. El nuevo texto es el siguiente:> Una vez la Superintendencia Financiera de Colombia haya aprobado la constitución para operación temporal se expedirá al interesado un certificado de operación temporal. De igual forma este certificado de operación temporal será expedido para las entidades vigiladas participantes que cumplan con los requisitos del artículo 2.35.7.2.3. del presente decreto.
La expedición de dicho certificado autorizará a los participantes para llevar a cabo la actividad propuesta sujeto a las condiciones, requisitos y requerimientos prudenciales que este contenga.
El certificado de operación temporal contendrá las condiciones en las cuales se desarrollarán las pruebas, que incluirá como mínimo:
1. Los requerimientos establecidos para el proyecto de que tratan los numerales 10 y 11 del artículo 2.35.7.2.2 del presente decreto.
2. Los requerimientos de capital que apliquen y procedimientos definidos para la gestión de los riesgos del proyecto.
3. Los requerimientos que deberá cumplir sobre normas para prevenir el lavado de activos y financiación del terrorismo.
4. Garantías u otros mecanismos de cobertura que le permitan cubrir la responsabilidad por los daños y perjuicios en los que pudiera incurrir, cuando esto aplique.
5. Actividades autorizadas a desarrollar en el espacio controlado de prueba y objetivos que se deberán cumplir en este espacio.
6. Información que se deberá reportar a la Superintendencia Financiera de Colombia y cronograma para el envío de esta información.
7. Información que se deberá suministrar a los consumidores financieros sobre los riesgos a los que se exponen y los mecanismos de protección definidos.
8. El término de duración del espacio controlado de prueba autorizado.
9. Términos del plan de transición, de desmonte o de ajuste, según sea el caso.
10. Las disposiciones jurídicas o prácticas de supervisión que serán exceptuadas en el espacio controlado de prueba. En ningún caso los participantes en el espacio controlado de prueba podrán ser exceptuados del cumplimiento de la Ley 1581 de 2012, la Ley 1266 de 2008, el régimen cambiario y tributario, ni la regulación monetaria y crediticia del Banco de la República.
El certificado de operación temporal se otorgará por un plazo máximo de dos (2) años contados desde su expedición.
PARÁGRAFO. Durante el desarrollo de la prueba temporal la Superintendencia Financiera de Colombia podrá modificar las obligaciones estipuladas en el certificado de operación temporal en los eventos en que lo considere conveniente, atendiendo los objetivos mencionados en el artículo 2.35.7.1.2. del presente decreto.
FUNCIONAMIENTO DEL ESPACIO CONTROLADO DE PRUEBA.
ARTÍCULO 2.35.7.3.1. DEBERES DE LOS PARTICIPANTES DEL ESPACIO CONTROLADO DE PRUEBA. <Artículo adicionado por el artículo 1 del Decreto 1234 de 2020. El nuevo texto es el siguiente:> Durante la ejecución del desarrollo tecnológico innovador en el espacio controlado de prueba, según sea el caso, los participantes deberán:
1. Informar y obtener el consentimiento de sus consumidores financieros por cualquier medio verificable, donde manifiesten haber sido informados de las características y riesgos del producto o servicio al que está accediendo.
2. Atender de manera oportuna la solicitud de cancelación del producto o servicio por parte de sus consumidores financieros en el momento en que este lo solicite.
3. Cumplir los objetivos, condiciones, requisitos y requerimientos prudenciales contenidos en el certificado de operación temporal.
4. Enviar la información a la Superintendencia Financiera de Colombia según los términos y condiciones establecidas en el certificado de operación temporal y poner a disposición de esta autoridad toda la información relevante en el desarrollo de la prueba.
5. Asumir las pérdidas ocasionadas a sus consumidores financieros como consecuencia de su participación en las pruebas en caso de presentarse, de acuerdo con el régimen de responsabilidades aplicables.
ARTÍCULO 2.35.7.3.2. INFORMACIÓN PUBLICITARIA. <Artículo adicionado por el artículo 1 del Decreto 1234 de 2020. El nuevo texto es el siguiente:> Todo el material de divulgación que utilicen los participantes en la promoción y comercialización de los productos y servicios financieros en el espacio controlado de prueba deberá cumplir con lo siguiente:
1. Información que indique que los productos y servicios ofrecidos hacen parte de un espacio controlado de prueba, la cual deberá estar acompañada de una expresión distintiva que informe a los consumidores financieros que el producto o servicio respectivo se ofrece como parte de una prueba temporal. El contenido y características de la mencionada expresión será definida por la Superintendencia Financiera de Colombia.
2. Que la entidad que ofrece los productos y servicios opera bajo una licencia de operación temporal para probar un desarrollo tecnológico innovador.
3. La fecha de finalización de las operaciones del proyecto.
4. La información adicional que establezca la Superintendencia Financiera de Colombia.
ARTÍCULO 2.35.7.3.3. INSPECCIÓN, VIGILANCIA Y CONTROL. <Artículo adicionado por el artículo 1 del Decreto 1234 de 2020. El nuevo texto es el siguiente:> La Superintendencia Financiera de Colombia ejercerá la inspección, vigilancia y control de los participantes del espacio controlado de prueba.
FINALIZACIÓN DEL ESPACIO CONTROLADO DE PRUEBA.
ARTÍCULO 2.35.7.4.1. FINALIZACIÓN DEL CERTIFICADO DE OPERACIÓN TEMPORAL. <Artículo adicionado por el artículo 1 del Decreto 1234 de 2020. El nuevo texto es el siguiente:> Una vez se cumpla el tiempo establecido en el certificado de operación temporal y el participante no pretenda realizar la transición a la licencia de entidad financiera, bursátil o aseguradora de la que trata el artículo 2.35.7.4.2 del presente decreto o el ajuste a la actividad regulada de la que trata el artículo 2.35.7.4.3 del presente decreto, según sea el caso, este deberá activar el plan de desmonte atendiendo las instrucciones generales que para el efecto dicte la Superintendencia Financiera de Colombia.
En la ejecución de este procedimiento el participante saldará la totalidad de las acreencias con sus consumidores financieros y cesará completamente operaciones en relación con los servicios o productos financieros desarrollados en el espacio controlado de prueba, y deberá resolver todos los requerimientos que se hayan generado en el desarrollo de la prueba por parte de sus consumidores financieros.
En caso de que el participante pretenda solicitar la autorización de constitución de una entidad financiera regulada, este deberá seguir las disposiciones del artículo 2.35.7.4.2 del presente decreto.
PARÁGRAFO. Los participantes podrán solicitar a la Superintendencia Financiera de Colombia la prórroga del certificado de operación temporal. En ningún caso la prórroga podrá superar los dos (2) años contados desde la expedición del certificado de operación temporal.
ARTÍCULO 2.35.7.4.2. TRANSICIÓN A LA LICENCIA DE ENTIDAD FINANCIERA, BURSÁTIL O ASEGURADORA REGULADA. <Artículo adicionado por el artículo 1 del Decreto 1234 de 2020. El nuevo texto es el siguiente:> Una vez se cumpla el tiempo establecido en el certificado de operación temporal y cumplidos los objetivos del desarrollo tecnológico innovador de los que trata el numeral 5 del artículo 2.35.7.2.5, las entidades vigiladas en el espacio controlado de prueba y las entidades vigiladas por la Superintendencia Financiera de Colombia que probaron actividades que no son propias de su licencia, podrán solicitar la licencia de entidad financiera, bursátil o· aseguradora correspondiente a los desarrollos de la actividad probada, en los términos del artículo 53 del Estatuto Orgánico del Sistema Financiero.
La Superintendencia Financiera de Colombia definirá los requisitos que deberán cumplirlas entidades vigiladas en el espacio controlado de prueba y el procedimiento para la transición y obtención de la licencia correspondiente, caso en el cual las entidades podrán acreditar los requisitos cumplidos en el espacio controlado de prueba.
Durante el proceso de transición, la Superintendencia Financiera de Colombia podrá prorrogar el certificado de operación temporal. En todo caso la prórroga no podrá superar dos (2) años contados desde la expedición del certificado de operación temporal.
ARTÍCULO 2.35.7.4.3. AJUSTE A LA ACTIVIDAD REGULADA. <Artículo adicionado por el artículo 1 del Decreto 1234 de 2020. El nuevo texto es el siguiente:> Una vez se cumpla el tiempo establecido en el certificado de operación temporal y cumplidos los objetivos del desarrollo tecnológico innovador de los que trata el numeral 5 del artículo 2.35.7.2.5, la entidad vigilada participante interesada en desarrollar la actividad objeto de la prueba, y que haga parte de las operaciones autorizadas en su licencia, podrá solicitar la autorización para implementar el desarrollo tecnológico innovador, siempre que cumpla con el marco regulatorio vigente.
La Superintendencia Financiera de Colombia aprobará el plan de ajuste con los requisitos que deberá cumplir la entidad vigilada participante y el procedimiento para la implementación y obtención de la autorización correspondiente. En el cumplimiento del plan de ajuste la entidad podrá acreditar los requisitos cumplidos en el espacio controlado de prueba.
Durante la ejecución del plan de ajuste; la Superintendencia Financiera de Colombia podrá prorrogar el certificado de operación temporal. En todo caso la prórroga no podrá superar dos (2) años contados desde la expedición del certificado de operación temporal.
ARTÍCULO 2.35.7.4.4. DESMONTE VOLUNTARIO. <Artículo adicionado por el artículo 1 del Decreto 1234 de 2020. El nuevo texto es el siguiente:> En cualquier momento durante el periodo establecido en el certificado de operación temporal, los participantes podrán optar por desmontar de manera voluntaria sus operaciones, para lo cual deberá informar la decisión a la Superintendencia Financiera de Colombia y activar el plan de desmonte definido en el certificado de operación temporal.
ARTÍCULO 2.35.7.4.5. REVOCATORIA DEL CERTIFICADO DE OPERACIÓN TEMPORAL Y DESMONTE DE OPERACIONES. <Artículo adicionado por el artículo 1 del Decreto 1234 de 2020. El nuevo texto es el siguiente:> La Superintendencia Financiera de Colombia podrá revocar el certificado de operación temporal por cualquiera de los siguientes motivos:
1. Cuando los participantes ·incumplan los objetivos, condiciones, requisitos y requerimientos prudenciales contenidos en el certificado de operación temporal.
2. Cuando los participantes no inicien la prueba temporal dentro del plazo máximo previsto en el certificado de operación temporal.
3. Cuando los participantes incumplan obligaciones en la prestación de los servicios.
4. Cuando en desarrollo de la prueba temporal los participantes incumplan las normas que rigen la actividad objeto de la prueba.
5. Cuando se verifique la imposibilidad del cumplimiento de los objetivos propuestos con la prueba temporal de acuerdo con las causales y condiciones objetivas previstas en el plan de desmonte.
6. Cuando los participantes no administren ni mitiguen adecuadamente algún riesgo derivado del desarrollo tecnológico innovador.
7. Cuando acaezca una de las causales de toma de posesión previstas en el artículo 114 del Estatuto Orgánico del Sistema Financiero.
PARÁGRAFO 1o. Sin perjuicio de las causales mencionadas en el presente artículo la Superintendencia Financiera de Colombia podrá revocar el certificado de operación temporal en cualquier momento del término establecido en este, por causales objetivas y atendiendo los objetivos del artículo 2.35.7.1.2. del presente decreto.
PARÁGRAFO 2o. Una vez quede ejecutoriada la resolución que revoque el certificado de operación temporal, los participantes deberán activar de manera inmediata su plan de desmonte.
ARTÍCULO 2.35.7.4.6. DIVULGACIÓN. <Artículo adicionado por el artículo 1 del Decreto 1234 de 2020. El nuevo texto es el siguiente:> La Superintendencia Financiera de Colombia publicará el listado de los participantes aceptados en el espacio controlado de prueba y la descripción de los desarrollos tecnológicos innovadores a ser probados y una vez finalizadas las pruebas temporales, publicará los resultados de estas y el plan de transición, de desmonte o de ajuste, según sea el caso.
Atendiendo los objetivos mencionados en el artículo 2.35.7.1.2., esta información, podrá servir de insumo para la construcción de la agenda normativa de la autoridad regulatoria.
OTRAS DISPOSICIONES.
ENAJENACIÓN DE ALGUNOS ACTIVOS POR PARTE DE ENTIDADES FINANCIERAS PÚBLICAS.
RÉGIMEN DE LAS OPERACIONES DE REPORTO O REPO, SIMULTÁNEAS Y TRANSFERENCIA TEMPORAL DE VALORES.
ARTÍCULO 2.36.1.1.1 PROCEDIMIENTO DE ENAJENACIÓN.
<Fuente original compilada: D. 2222/05 Art. 1o.> Para el cumplimiento de lo previsto en artículo 10 inciso primero y literales a), b) y h), así como con el artículo 110 numerales 1, 4, 6 y 7 del Estatuto Orgánico del Sistema Financiero, las entidades financieras públicas que sean titulares de bienes que deban ser enajenados para el cumplimiento de un deber legal, podrán acudir a cualquiera de los mecanismos autorizados por el derecho privado, garantizando en la celebración del contrato, la transparencia, la eficiencia y la selección objetiva.
Se deberán atender además las siguientes reglas:
1. Cuando se trate de acciones o bonos obligatoriamente convertibles en acciones inscritos en bolsa, su venta se deberá ofrecer a través de los sistemas de negociación de las bolsas de valores, para cuyo efecto, la respectiva sociedad comisionista podrá ser contratada directamente atendiendo los principios de buena fe, igualdad, moralidad, celeridad, economía, imparcialidad, eficacia, eficiencia, participación, publicidad, responsabilidad y transparencia. Cuando el monto a enajenar equivalga al diez por ciento (10%) o más de las acciones ordinarias en circulación de una sociedad, deberá acudirse al mecanismo de martillo previsto en el Título 7 del Libro 10 de la Parte 2 del presente decreto.
En el evento en que las respectivas acciones o bonos obligatoriamente convertibles en acciones no estén inscritos en bolsa, o la enajenación recaiga sobre cualquier clase de participaciones en el capital de cualquier entidad, el procedimiento para la enajenación deberá prever condiciones de libre concurrencia y mecanismos de información que permitan la mayor transparencia y las mejores condiciones económicas para la entidad enajenante.
2. <Fuente original compilada: D. 2222/05 Art. 1o. Modificado por el D. 2379/05> Cuando se trate de bienes distintos a los previstos en el numeral 1 del presente artículo, el precio de referencia será como mínimo el del avalúo comercial. En todo caso, el valor por el cual se podrá enajenar los activos será su valor en el mercado, el cual debe incorporar el costo de oportunidad del dinero y el valor presente neto de la administración y mantenimiento.
Se podrá hacer uso de mecanismos tales como la enajenación del predio total o la división material del mismo y la enajenación de los lotes resultantes, la preselección de oferentes, la constitución de propiedad horizontal sobre edificaciones para facilitar la enajenación de las unidades privadas resultantes.
PARÁGRAFO 1. Para los efectos del presente Título se entienden incluidas dentro de las entidades financieras públicas, el Fondo de Garantías de Instituciones Financieras- FOGAFIN y el Fondo de Garantías de Entidades Cooperativas- FOGACOOP, los cuales deberán enajenar los activos de que trata el presente Título que hayan recibido en desarrollo de sus funciones, pero que no correspondan al objeto de la respectiva entidad.
PARÁGRAFO 2. El Banco de la República podrá aplicar, respecto de los activos recibidos en desarrollo de sus funciones de apoyo a las entidades financieras, las previsiones del presente Título, cuando quiera que de acuerdo con las normas que lo rigen, sea procedente su enajenación.
PARÁGRAFO 3. Cuando la operación se configure dentro de los supuestos del Artículo 88 del Estatuto Orgánico del Sistema Financiero sobre negociación de acciones suscritas de entidades vigiladas por la Superintendencia Financiera de Colombia, se deberá obtener además, la aprobación de la entidad de vigilancia y control en los términos previstos en la misma disposición y demás normas aplicables.
ARTÍCULO 2.36.1.1.2 ENTIDADES FINANCIERAS EN LIQUIDACIÓN.
<Fuente original compilada: D. 2222/05 Art. 2o.> La enajenación de los activos de que trata el artículo 2.36.1.1.1 del presente decreto en cabeza de entidades financieras públicas en liquidación, se rige exclusivamente por las disposiciones del numeral 2, inciso tercero, del artículo 293 del Estatuto Orgánico del Sistema Financiero y los numerales 1 y 2 del artículo 2.36.1.1.1 del presente decreto.
ARTÍCULO 2.36.1.1.3 DISPOSICIONES FINALES.
<Fuente original compilada: D. 2222/05 Art. 3o.> En desarrollo de lo previsto en el inciso cuarto del Artículo 310 del Estatuto Orgánico del Sistema Financiero, las entidades financieras públicas podrán contratar con el Fondo de Garantías de Instituciones Financieras- FOGAFIN el avalúo, preparación del programa, así como la orientación, administración o manejo de la enajenación de las acciones y bonos a que se refiere dicha disposición. Tales contratos estarán sometidos a lo previsto en dicho artículo y al derecho privado.
NORMAS APLICABLES A LAS INSTITUCIONES FINANCIERAS QUE ACTÚEN COMO TOMADORAS DE SEGUROS POR CUENTA DE SUS DEUDORES.
CONTRATACIÓN DE SEGUROS DIFERENTES A AQUELLOS ASOCIADOS A CRÉDITOS CON GARANTÍA HIPOTECARIA O LEASING HABITACIONAL.
ARTÍCULO 2.36.2.1.1 OBLIGACIONES COMO TOMADORES DE SEGUROS DE LAS INSTITUCIONES FINANCIERAS.
<Artículo modificado por el artículo 1 del Decreto 673 de 2014. El nuevo texto es el siguiente:> Las instituciones financieras que actúen como tomadoras de seguros por cuenta de sus deudores, cualquiera sea la clase del seguro y la causa, distintos de aquellos asociados a créditos con garantía hipotecaria o leasing habitacional, deberán garantizar la libre concurrencia de oferentes, proteger y promover la competencia en el mercado de seguros. Para el efecto adoptarán procedimientos que se sujeten a los siguientes criterios:
1. Igualdad de acceso. Las instituciones financieras deberán invitar, mediante mecanismos de amplia difusión, a las entidades aseguradoras autorizadas para explotar el correspondiente ramo de seguros.
2. Igualdad de información. Las instituciones financieras suministrarán la misma información a las entidades aseguradoras que acepten la invitación a presentar propuestas, la cual ha de ser pertinente y suficiente para la elaboración de la misma, con la indicación exacta acerca de si en el negocio participa o no intermediario de seguro y el nivel aplicable de comisión por su labor, al igual que el monto que aplicará la institución financiera por la gestión de administración y recaudo.
3. Objetividad en la selección del asegurador. Las instituciones financieras deberán utilizar, para la selección de las propuestas, criterios en materia patrimonial y de solvencia, coberturas, precios e idoneidad de la infraestructura operativa que le coloque a su disposición la entidad aseguradora y será responsable de evitar el empleo de prácticas discriminatorias, relacionadas con situaciones distintas a las vinculadas directamente con la capacidad patrimonial y técnica de la entidad aseguradora proponente.
4. Elección de aseguradora de parte del deudor. Cuando la institución financiera escoja a más de una entidad aseguradora como oferentes del amparo, solo el deudor asegurado podrá elegir a su arbitrio, la que en su caso asumirá la cobertura del riesgo.
5. Periodicidad. El procedimiento de selección de que trata este artículo deberá efectuarse periódicamente, cuando menos una vez cada dos (2) años.
ARTÍCULO 2.36.2.1.2 SELECCIÓN DE INTERMEDIARIOS.
<Artículo modificado por el artículo 1 del Decreto 673 de 2014. El nuevo texto es el siguiente:> Cuando la institución financiera opte por utilizar los servicios de intermediarios de seguros, en aquellos casos en los cuales actúe como tomadora de seguros, cualquiera sea su clase, por cuenta de sus deudores, su selección se sujetará, en lo pertinente, a lo previsto en los numerales 1, 2 y 3 del artículo 2.36.2.1.1 del presente decreto y, de todos modos, podrá invitar solo a los corredores de seguros.
DE LA LICITACIÓN DE SEGUROS ASOCIADOS A CRÉDITOS CON GARANTÍA HIPOTECARIA O LEASING HABITACIONAL.
ARTÍCULO 2.36.2.2.1. OBLIGATORIEDAD DEL PROCEDIMIENTO.
<Artículo adicionado por el artículo 1 del Decreto 673 de 2014. El nuevo texto es el siguiente:> El procedimiento de que trata este Capítulo será obligatorio cuando se trate de los seguros asociados a créditos garantizados con hipotecas o a contratos de leasing habitacional, independientemente de que su exigencia sea legal o contractual, y la institución financiera actúe como tomadora de los mismos por cuenta de sus deudores.
ARTÍCULO 2.36.2.2.2. SEGURO COLECTIVO.
<Artículo adicionado por el artículo 1 del Decreto 673 de 2014. El nuevo texto es el siguiente:> La contratación de los seguros en el evento de que trata el Artículo 2.36.2.2.1 de este Capítulo deberá convenirse de forma colectiva por la institución financiera con la aseguradora. Los seguros contratados deberán incluir a todos los inmuebles y deudores respecto de los cuales no haya recibido una póliza individual que cumpla con las características previstas en los pliegos de condiciones de la respectiva licitación.
ARTÍCULO 2.36.2.2.3. IGUALDAD DE ACCESO. <Artículo modificado por el artículo 1 del Decreto 1534 de 2016. Consultar artículo 9 -transición-. El nuevo texto es el siguiente:> Todas las aseguradoras que estén autorizadas para ofrecer los ramos de seguros a licitar, que tengan una calificación de fortaleza financiera igual o superior a 'A', otorgada por una sociedad calificadora de riesgo vigilada por la Superintendencia Financiera de Colombia, y que cumplan con los requisitos de admisibilidad adicionales incluidos en el pliego de condiciones, podrán participar en la licitación de que trata este Capítulo. La Superintendencia Financiera de Colombia determinará los criterios bajo los cuales las entidades financieras podrán incluir dichos requisitos de admisibilidad adicionales.
PARÁGRAFO 1o. Al proceso de licitación de que trata este Capítulo podrán presentarse las aseguradoras individualmente o a través de coaseguro.
PARÁGRAFO 2o. En el pliego de condiciones no podrán establecerse condiciones o requisitos de admisibilidad adicionales que favorezcan a una entidad en particular. Los requisitos de admisibilidad adicionales que se incorporen en el pliego deberán atender criterios técnicos relacionados directamente con el seguro objeto de la licitación. Estos criterios deberán estar sustentados en un documento de soporte de justificación técnica que hará parte del pliego de condiciones.
ARTÍCULO 2.36.2.2.4. IGUALDAD DE INFORMACIÓN.
<Artículo adicionado por el artículo 1 del Decreto 673 de 2014. El nuevo texto es el siguiente:> Las instituciones financieras que realicen la licitación de que trata el presente Capítulo deberán suministrar información en las mismas condiciones, incluyendo la de siniestralidad de la cartera sobre el objeto del contrato, a todas las aseguradoras interesadas en participar en el proceso y que cumplan con los requisitos de admisibilidad de que trata el artículo 2.36.2.2.3 del presente decreto. Dicha información será determinada por la Superintendencia Financiera de Colombia, y deberá ser suficiente para que cualquier aseguradora pueda presentar una postura informada en la licitación.
Una vez adjudicada una licitación, la institución financiera deberá suministrar a la entidad aseguradora adjudicataria la información sobre la cartera que esta requiera para realizar una adecuada gestión del riesgo asumido, de acuerdo con las instrucciones que al efecto expida la Superintendencia Financiera de Colombia.
PARÁGRAFO. La aseguradora que reciba la información de que trata el presente artículo deberá suscribir un acuerdo de confidencialidad con la institución financiera.
ARTÍCULO 2.36.2.2.5. LIBERTAD DE ELECCIÓN.
<Artículo adicionado por el artículo 1 del Decreto 673 de 2014. El nuevo texto es el siguiente:> En cualquier caso el deudor asegurado podrá contratar con otra aseguradora siempre que las condiciones del seguro sean, cuando menos, iguales a aquellas plasmadas en el pliego de condiciones de la licitación. En consecuencia, la institución financiera que actúe como tomadora de los seguros de que trata el presente Capítulo, no podrá rechazar pólizas que cumplan con tales condiciones, ni podrá establecer cargo alguno por la revisión o aceptación de dicha póliza.
En caso de rechazo por no cumplir con los requisitos establecidos, la institución financiera deberá informar las causales del rechazo por escrito al deudor, dentro de los diez (10) días hábiles siguientes contados a partir de la fecha de recibo de la solicitud.
ARTÍCULO 2.36.2.2.6. SEGMENTACIÓN.
<Artículo adicionado por el artículo 1 del Decreto 673 de 2014. El nuevo texto es el siguiente:> Será posible segmentar la licitación de la cartera, cuando con base en la distribución de la frecuencia y de la severidad de los siniestros, existan criterios objetivos y razonables para hacerlo, y estos sean reconocidos por la Superintendencia Financiera de Colombia. En caso de que se opte por segmentar la licitación se deberá observar el procedimiento previsto en este Capítulo.
ARTÍCULO 2.36.2.2.7. PERIODICIDAD.
<Artículo adicionado por el artículo 1 del Decreto 673 de 2014. El nuevo texto es el siguiente:> Licitado un contrato de seguros colectivos en los términos de este Capítulo, el mismo tendrá una duración máxima de dos (2) años, contados a partir de la fecha de adjudicación.
PARÁGRAFO. Si durante la vigencia del contrato el patrimonio técnico de la aseguradora adjudicataria cae por debajo de los niveles mínimos legales exigidos por la Superintendencia Financiera de Colombia o se incumplen los requisitos de admisibilidad establecidos en el pliego de condiciones, la institución financiera podrá dar por terminado el contrato unilateralmente con un preaviso mínimo de noventa (90) días calendario, fecha en la cual abrirá un nuevo proceso de licitación.
ARTÍCULO 2.36.2.2.8. INFORMACIÓN AL DEUDOR.
<Artículo modificado por el artículo 2 del Decreto 1534 de 2016. Consultar artículo 9 -transición-. El nuevo texto es el siguiente:> Una vez se adjudique la licitación, la institución financiera deberá informar al deudor, a través del medio en el que recibe regularmente sus extractos o estados de cuenta del producto al que se asocia el seguro, o por el medio que este haya autorizado con anterioridad:
i. El resultado de la licitación, indicando el nombre de la aseguradora y el cambio de la tasa de prima del seguro.
ii. El derecho que tiene de escoger otra aseguradora en los términos del artículo 2.36.2.2.5 del presente decreto, para lo cual la institución financiera deberá señalar la totalidad de las condiciones del seguro.
Una vez la institución financiera ha tomado el seguro por cuenta del deudor y ha recibido la póliza de parte de la aseguradora, tendrá quince (15) días hábiles para entregar al deudor una copia de la póliza respectiva, así como publicar en su página web los términos y condiciones del seguro tomado.
La entrega de la copia de la póliza podrá efectuarse por cualquiera de los medios previstos en el Código de Comercio o en la Ley 527 de 1999 y sus modificaciones. En todo caso la entidad financiera deberá proveer una copia de la póliza y los términos y condiciones del seguro en forma física si el deudor así lo requiere.
ARTÍCULO 2.36.2.2.9. OFERTA DE CONTRATO.
<Artículo adicionado por el artículo 1 del Decreto 673 de 2014. El nuevo texto es el siguiente:> En el proceso de licitación de que trata este Capítulo, el pliego de condiciones constituye una oferta de contrato y cada postura implica la celebración de un contrato condicionado a que no haya postura mejor en los términos del presente Capítulo.
ARTÍCULO 2.36.2.2.10. CONTENIDO DEL PLIEGO DE CONDICIONES.
<Artículo modificado por el artículo 3 del Decreto 1534 de 2016. Consultar artículo 9 -transición-. El nuevo texto es el siguiente:> El contenido de los pliegos de condiciones de la licitación de seguros asociados a créditos hipotecarios o leasing habitacional incluirá:
1. Los elementos esenciales de los seguros obligatorios de incendio y terremoto, en caso de que estas coberturas se incluyan en la licitación, definidos por la Superintendencia Financiera de Colombia.
2. Los requisitos de admisibilidad adicionales al previsto en el artículo 2.36.2.2.3 de este decreto que cumplan con los criterios definidos por la Superintendencia Financiera de Colombia para participar en la respectiva licitación.
3. Los procedimientos particulares que deben observarse en el proceso de licitación definidos por la Superintendencia Financiera de Colombia.
4. El costo del servicio de recaudo de la prima de seguro licitado que la institución financiera cobraría en caso que la aseguradora adjudicataria decida utilizar a dicha institución para tal fin. Este costo deberá sustentarse en el pliego con base en: el número de deudores; los canales utilizados históricamente por los deudores para hacer los pagos (internet, débito automático, transferencia, pago en sucursal, entre otros) y el costo asociado a cada uno de estos canales el cual deberá atender condiciones de mercado, por lo que se deberá incluir como parte del pliego el cálculo realizado por la institución financiera para establecer el costo del servicio. La aseguradora deberá suscribir un convenio de recaudo masivo con la institución financiera que se limite al pago de este costo. La institución financiera contará con un plazo máximo de treinta (30) días calendario desde la fecha de recaudo para entregar estos recursos a la aseguradora.
5. Cláusula donde se indique expresamente la imposibilidad de revocatoria unilateral de la póliza de que trata el artículo 1071 del Código de Comercio por parte de la aseguradora.
6. Cualquier otro contenido determinado por la institución financiera que convoca la licitación, que incluirá los elementos esenciales del contrato de seguro de las coberturas que cada institución estime necesarias, de acuerdo con sus políticas de gestión del riesgo.
7. En caso de exigirse una carta de compromiso por parte de un reasegurador, la información relativa a la cartera asegurable que permita suministrar dicho documento.
8. Cualquier otro requisito que la Superintendencia Financiera de Colombia estime necesario.
PARÁGRAFO 1o. La póliza de que trata el presente Capítulo no excluye la contratación de una póliza que ampare las propiedades horizontales de acuerdo con la normativa aplicable.
PARÁGRAFO 2o. Tratándose de las coberturas de incendio y terremoto, para efectos de lo establecido en este decreto y lo previsto en el numeral 1 del artículo 101 del Estatuto Orgánico del Sistema Financiero, la Superintendencia Financiera de Colombia determinará el valor por el cual deben asegurarse los bienes teniendo en cuenta para el efecto el valor comercial y la parte destructible de los mismos.
ARTÍCULO 2.36.2.2.11. GRATUIDAD DE LOS PLIEGOS DE CONDICIONES.
<Artículo adicionado por el artículo 1 del Decreto 673 de 2014. El nuevo texto es el siguiente:> Los pliegos de condiciones serán gratuitos para todas las aseguradoras interesadas en participar en el proceso de licitación.
ARTÍCULO 2.36.2.2.12. PROHIBICIÓN DE PAGOS A FAVOR DE LA INSTITUCIÓN FINANCIERA.
<Artículo modificado por el artículo 4 del Decreto 1534 de 2016. Consultar artículo 9 -transición-. El nuevo texto es el siguiente:> En la contratación de seguros asociados a créditos garantizados con hipoteca o leasing habitacional por cuenta del deudor, no podrá estipularse el pago de comisiones, participación de utilidades o remuneraciones de cualquier tipo a favor de la institución financiera otorgante del crédito, salvo el derecho del acreedor a pagarse del saldo insoluto del crédito con la indemnización en caso de siniestro. El costo del servicio de recaudo será reconocido a la institución financiera por parte de la entidad aseguradora, por lo que no está permitido el pago directo del servicio de recaudo a la institución financiera por parte del deudor.
PARÁGRAFO. En el caso de devolución de primas por cualquier concepto, el valor de las mismas deberá ser entregado a los deudores asegurados. Se exceptúa de la regla anterior, el caso en el cual el deudor está en mora de restituir el valor de la prima a la institución financiera tomadora del seguro por cuenta del deudor.
ARTÍCULO 2.36.2.2.13. INICIO DEL PROCESO DE LICITACIÓN.
<Artículo adicionado por el artículo 1 del Decreto 673 de 2014. El nuevo texto es el siguiente:> El proceso de licitación iniciará mediante una comunicación escrita dirigida al representante legal de todas las aseguradoras nacionales autorizadas a operar en los ramos a licitar.
En la comunicación de que trata el inciso anterior se indicará el medio y la fecha en la que se entregarán los pliegos de condiciones de que trata el artículo 2.36.2.2.10 del presente Capítulo. La Superintendencia Financiera de Colombia determinará el plazo para la entrega de los pliegos de condiciones.
Esta invitación deberá publicarse en un lugar destacado de la página web de la institución financiera que actúe como tomadora de seguros por cuenta de sus deudores.
PARÁGRAFO. El inicio del proceso de licitación tendrá que llevarse a cabo como mínimo noventa (90) días calendario antes de que expiren los contratos existentes y aquellos celebrados con las aseguradoras adjudicatarias de la licitación anterior. En todo caso, las instituciones financieras deberán dar aviso a la Superintendencia Financiera de Colombia acerca de este evento.
ARTÍCULO 2.36.2.2.14. ESTUDIO Y MODIFICACIÓN DEL PLIEGO DE CONDICIONES Y DE LOS REQUISITOS DE ADMISIBILIDAD. <Artículo modificado por el artículo 5 del Decreto 1534 de 2016. Consultar artículo 9 -transición-. El nuevo texto es el siguiente:> Para el estudio y modificación del pliego de condiciones y de los requisitos de admisibilidad se deberán agotar las siguientes etapas:
i) Las aseguradoras podrán formular las preguntas sobre el pliego de condiciones una vez este haya sido puesto a su disposición.
ii) La institución financiera dará respuesta a las inquietudes formuladas al pliego de condiciones y harán las modificaciones que estime convenientes si es del caso. En estos eventos, las preguntas formuladas, las respuestas correspondientes, así como las eventuales modificaciones efectuadas al pliego deberán ser publicadas en un lugar destacado de la página web de la institución financiera que actúe como tomadora de seguros por cuenta de sus deudores, al concluir el término correspondiente.
iii) Las aseguradoras deberán proporcionar la documentación necesaria para demostrar el cumplimiento de los requisitos de admisibilidad a que se refiere el artículo 2.36.2.2.3 del presente decreto.
iv) La institución financiera evaluará el cumplimiento de los requisitos de admisibilidad a que se refiere el artículo 2.36.2.2.3 del presente decreto. Si la institución financiera considera que alguna aseguradora no cumple dichos requisitos, deberá enviarle una comunicación en la que se expliquen las razones del incumplimiento.
v) La institución financiera dará oportunidad por una única vez a las aseguradoras de sanear las inconformidades que se presenten en cuanto al cumplimiento de los requisitos de admisibilidad, para pronunciarse de forma definitiva respecto de las aseguradoras que los cumplen o no.
vi) La institución financiera entregará la información de que trata el primer párrafo del artículo 2.36.2.2.4 del presente decreto a las aseguradoras que cumplan los requisitos de admisibilidad establecidos en el pliego de condiciones conforme a lo señalado en el artículo 2.36.2.2.3 del presente decreto.
La institución financiera deberá garantizar la transparencia de sus actuaciones durante todas las etapas señaladas en el presente artículo, mediante la publicación de los fundamentos que sustentan sus decisiones.
Los plazos de cada una de las etapas de que trata el presente artículo serán determinados por la Superintendencia Financiera de Colombia.
ARTÍCULO 2.36.2.2.15. PRESENTACIÓN DE POSTURAS.
<Artículo modificado por el artículo 6 del Decreto 1534 de 2016. Consultar artículo 9 -transición-. El nuevo texto es el siguiente:> Culminadas las etapas a que se hace referencia en el artículo anterior, las aseguradoras dispondrán de un plazo establecido por la Superintendencia Financiera de Colombia para presentar sus posturas en sobre cerrado. Las posturas presentadas con posterioridad al plazo señalado serán descartadas de plano por la institución financiera que actúe como tomadora de seguros por cuenta de sus deudores.
PARÁGRAFO. La presentación de una postura, vincula a la aseguradora durante el lapso entre su presentación y la adjudicación de la licitación. En consecuencia, la aseguradora deberá suscribir una póliza que garantice la seriedad de su oferta por el monto establecido para el efecto en los pliegos de condiciones.
ARTÍCULO 2.36.2.2.16. ADJUDICACIÓN DE LA LICITACIÓN.
<Artículo modificado por el artículo 7 del Decreto 1534 de 2016. Consultar artículo 9 -transición-. El nuevo texto es el siguiente:> Finalizado el plazo para la presentación de posturas, la institución financiera dispondrá de un plazo máximo para adjudicar la licitación determinado por la Superintendencia Financiera de Colombia.
La adjudicación de la licitación se hará en audiencia pública con apertura de los sobres cerrados y con lectura de todas las propuestas. Se efectuará la adjudicación a la aseguradora que presente la postura con la menor tasa de prima de seguro para el deudor, incluyendo la comisión del corredor de seguros, si es el caso. Si después de iniciado el proceso de licitación y antes de su adjudicación, la aseguradora adjudicataria deja de cumplir con las condiciones establecidas en el artículo 2.36.2.2.3 del presente decreto, el representante legal de la institución financiera que actúe como tomadora de seguros por cuenta de sus deudores, de manera pública y con fundamentos, podrá adjudicar la licitación al segundo mejor postor. El Defensor del Consumidor Financiero de la entidad licitante deberá asistir a la audiencia pública y levantar un acta de dicho proceso de adjudicación.
PARÁGRAFO 1o. Las aseguradoras presentarán sus ofertas como una tasa de prima mensual incluyendo el IVA, expresada en porcentaje del monto asegurado de los riesgos que se licitan. Dicha oferta deberá incluir y discriminar la comisión del corredor de seguros cuando corresponda.
PARÁGRAFO 2o. La institución financiera contratante podrá seleccionar otro corredor siempre y cuando la comisión del nuevo corredor sea inferior a la especificada en la oferta adjudicada.
PARÁGRAFO 3o. En caso de empate en la postura entre dos o más aseguradoras, la institución financiera deberá elegir la primera postulación recibida. En caso de que el empate subsista, la institución financiera deberá implementar un mecanismo aleatorio para resolverlo que deberá estar previsto previamente en los pliegos de condiciones.
ARTÍCULO 2.36.2.2.17. CIERRE DEL PROCESO DE LICITACIÓN.
<Artículo modificado por el artículo 8 del Decreto 1534 de 2016. Consultar artículo 9 -transición-. El nuevo texto es el siguiente:> Hecha la adjudicación de la licitación, la institución financiera que actúe como tomadora de seguros por cuenta de sus deudores, publicará los resultados y el acta de adjudicación en un lugar destacado de su página web, y enviará comunicación en el mismo sentido a la Superintendencia Financiera de Colombia. Dicha publicación deberá contener, al menos, el nombre o razón social de los oferentes y la tasa de prima ofrecida por cada uno de ellos, debiendo indicar la aseguradora seleccionada.
La siguiente información deberá mantenerse en la página web de la institución financiera al menos durante la vigencia del contrato respectivo: un cuadro comparativo que dé cuenta de las ofertas recibidas de las aseguradoras que incluya las tasas de prima ofrecidas, el pliego de condiciones y las preguntas y respuestas al mismo, la póliza del seguro contratado, el acta de adjudicación de la licitación y los demás que determine la Superintendencia Financiera de Colombia.
ARTÍCULO 2.36.2.2.18. DENUNCIA DE PRESUNTOS ACTOS CONTRARIOS A LA LIBRE COMPETENCIA.
<Artículo adicionado por el artículo 1 del Decreto 673 de 2014. El nuevo texto es el siguiente:> Las instituciones financieras de que trata el artículo 2.36.2.2.1 de este decreto informarán a la Superintendencia de Industria y Comercio los presuntos actos contrarios a la libre competencia que identifiquen entre los agentes que participen o convoquen a los procesos descritos en el presente Capítulo.
OPERACIONES DE REPORTO O REPO, SIMULTÁNEAS Y TRANSFERENCIA TEMPORAL DE VALORES.
ARTÍCULO 2.36.3.1.1 OPERACIONES DE REPORTO O REPO.
<Fuente original compilada: D. 4432/06 Art. 1o.> Las operaciones de reporto o repo son aquellas en las que una parte (el “Enajenante”), transfiere la propiedad a la otra (el “Adquirente”) sobre valores a cambio del pago de una suma de dinero (el “Monto Inicial”) y en las que el Adquirente al mismo tiempo se compromete a transferir al Enajenante valores de la misma especie y características a cambio del pago de una suma de dinero (“Monto Final”) en la misma fecha o en una fecha posterior previamente acordada.
Las operaciones de reporto o repo tendrán las siguientes características:
a) Los plazos a los cuales se podrán celebrar las operaciones serán establecidos por los reglamentos de las bolsas de valores y de los sistemas de negociación de valores. Cuando la operación no se realice a través de las bolsas de valores o de sistemas de negociación de valores, las partes acordarán el plazo de la misma.
El plazo de la operación inicialmente convenido no podrá ser superior a un (1) año, contado a partir de la celebración de la respectiva operación;
b) El Monto Inicial podrá ser calculado con un descuento sobre el precio de mercado de los valores objeto de la operación;
c) <Literal modificado por el artículo 2 del Decreto 2878 de 2013. El nuevo texto es el siguiente:> Los reglamentos de las bolsas de valores, de los sistemas de negociación de valores, de los sistemas de registro de operaciones sobre valores y de los sistemas de compensación y liquidación de operaciones sobre valores en cuanto al régimen de garantías deberán atender lo establecido en el Capítulo II del Título III del Libro 36 de la Parte 2 del presente Decreto.
Cuando la operación no se realice a través de las bolsas de valores o de sistemas de negociación de valores, las partes podrán acordar que durante la vigencia de la operación se transfieran o restituyan valores o dinero, de conformidad con las variaciones en los precios de mercado de los valores transferidos;
d) Podrá establecerse que, durante la vigencia de la operación, se sustituyan los valores inicialmente entregados por otros;
e) Podrán establecerse restricciones a la movilidad de los valores objeto de la operación; f) Si durante la vigencia de la operación los valores objeto de la misma pagan amortizaciones, rendimientos o dividendos, el Adquirente deberá transferir el importe de los mismos al Enajenante en la misma fecha en que tenga lugar dicho pago.
ARTÍCULO 2.36.3.1.2 OPERACIONES SIMULTÁNEAS.
<Fuente original compilada: D. 4432/06 Art. 2o.> Las operaciones simultáneas son aquellas en las que una parte (el “Enajenante”), transfiere la propiedad a la otra (el “Adquirente”) sobre valores a cambio del pago de una suma de dinero (el “Monto Inicial”) y en las que el Adquirente al mismo tiempo se compromete a transferir al Enajenante valores de la misma especie y características a cambio del pago de una suma de dinero (“Monto Final”) en la misma fecha o en una fecha posterior previamente acordada.
Las operaciones simultáneas tendrán las siguientes características:
a) Los plazos a los cuales se podrán celebrar las operaciones serán establecidos por los reglamentos de las bolsas de valores y de los sistemas de negociación de valores. Cuando la operación no se realice a través de las bolsas de valores o de sistemas de negociación de valores, las partes acordarán el plazo de la misma.
El plazo de la operación inicialmente convenido no podrá ser superior a un (1) año, contado a partir de la celebración de la respectiva operación;
b) No podrá establecerse que el Monto Inicial sea calculado con un descuento sobre el precio de mercado de los valores objeto de la operación;
c) <Literal modificado por el artículo 3 del Decreto 2878 de 2013. El nuevo texto es el siguiente:> Los reglamentos de las bolsas de valores, de los sistemas de negociación de valores, de los sistemas de registro de operaciones sobre valores y de los sistemas de compensación y liquidación de operaciones sobre valores en cuanto al régimen de garantías deberán atender lo establecido en el Capítulo II del Título III del Libro 36 de la Parte 2 del presente Decreto.
d) No podrá establecerse que, durante la vigencia de la operación, se sustituyan los valores inicialmente entregados por otros;
e) No podrán establecerse restricciones a la movilidad de los valores objeto de la operación.
ARTÍCULO 2.36.3.1.3 OPERACIONES DE TRANSFERENCIA TEMPORAL DE VALORES.
<Artículo modificado por el artículo 1 del Decreto 4871 de 2011. El nuevo texto es el siguiente:> Las operaciones de transferencia temporal de valores son aquellas en las que una parte (el “Originador”), transfiere la propiedad de unos valores (objeto de la operación) a la otra (el “Receptor”), con el acuerdo de retransferirlos en la misma fecha o en una fecha posterior.
A su vez, el Receptor transferirá al Originador la propiedad de “otros valores” (no objeto de la operación), o una suma de dinero de valor igual o mayor al de los valores objeto de la operación; o entregará dicha suma de dinero u “otros valores” en garantía a un sistema de negociación de valores o a una bolsa de valores vigilada por la Superintendencia Financiera de Colombia.
Cuando el dinero o los “otros valores” sean entregados en garantía, la operación de transferencia temporal de valores debe ser desarrollada a través de sistemas de negociación de valores o de bolsas de valores autorizados por la Superintendencia Financiera de Colombia, en los cuales se soliciten dichas garantías para la realización de estas operaciones y las mismas estén administradas por el respectivo sistema o bolsa, en las condiciones del artículo 11 de la Ley 964 de 2005.
En el caso en que se transfiera la propiedad sobre los “otros valores”, al momento en que se revierta la operación, tanto el Originador como el Receptor deberán restituir la propiedad de valores de la misma especie y características de aquellos recibidos en la operación o la suma de dinero recibida, según sea el caso.
Las operaciones de transferencia temporal de valores tendrán las siguientes características:
a) Los plazos a los cuales se podrán celebrar las operaciones serán establecidos por los reglamentos de las bolsas de valores y de los sistemas de negociación de valores. Cuando la operación no se realice a través de las bolsas de valores o de sistemas de negociación de valores, las partes acordarán el plazo de la misma. El plazo de la operación inicialmente convenido no podrá ser superior a un (1) año, contado a partir de la celebración de la respectiva operación;
<Inciso adicionado por el artículo 6 del Decreto 1235 de 2020. El nuevo texto es el siguiente:> Antes de vencido el plazo de la operación inicialmente pactado, previo acuerdo entre las partes, este podrá renovarse en diferentes oportunidades. El máximo plazo de las renovaciones no podrá ser superior a un año, contado a partir de la celebración de la primera operación.
b) La transferencia de los valores objeto de la operación generará el pago de una suma de dinero por parte del Receptor, la cual será calculada de conformidad con lo dispuesto en los reglamentos de las bolsas de valores o de los sistemas de negociación de valores, o acordada por las partes, según sea el caso;
c) <Literal modificado por el artículo 4 del Decreto 2878 de 2013. El nuevo texto es el siguiente:> Los reglamentos de las bolsas de valores, de los sistemas de negociación de valores, de los sistemas de registro de operaciones sobre valores y de los sistemas de compensación y liquidación de operaciones sobre valores en cuanto al régimen de garantías deberán atender lo establecido en el Capítulo II del Título III del Libro 36 de la Parte 2 del presente Decreto.
d) Si durante la vigencia de la operación los valores objeto de la misma pagan amortizaciones, rendimientos o dividendos, el Receptor deberá transferir el importe de los mismos al Originador en la misma fecha en que tenga lugar dicho pago.
Cuando el Receptor le haya entregado valores al Originador y durante la vigencia de la operación estos paguen amortizaciones, rendimientos o dividendos, el Originador deberá transferir el importe de los mismos al Receptor en la misma fecha en que tenga lugar dicho pago;
e) Cuando el Receptor le haya entregado valores al Originador, podrán establecerse restricciones a la movilidad de dichos valores, sin perjuicio de lo dispuesto por normas especiales aplicables a las entidades vigiladas;
f) Cuando el Receptor le haya entregado dinero al Originador, este podrá reconocer al Receptor un rendimiento por tales recursos durante la vigencia de la operación. La forma en que se realizará el pago de tales rendimientos será definida en los reglamentos de las bolsas de valores o de los sistemas de negociación de valores, o acordada por las partes, según sea el caso.
PARÁGRAFO. En el caso que el Receptor haya entregado en garantía dinero u “otros valores” a un sistema de negociación de valores o a una bolsa de valores, la referencia efectuada en el literal e) y el literal f) del presente artículo al originador, se entenderá efectuada a las referidas entidades.
ARTÍCULO 2.36.3.1.4 CARÁCTER UNITARIO DE LAS OPERACIONES.
<Fuente original compilada: D. 4432/06 Art. 4o.> Para todos los efectos legales se entenderá que los diferentes actos de transferencia de valores o dinero, así como la constitución y liberación de garantías, asociadas a una operación de reporto o repo, simultánea o de transferencia temporal de valores corresponden en cada caso a una sola operación entre las partes contratantes.
<Fuente original compilada: D. 4432/06 Art. 5o.> Las operaciones de reporto o repo, simultáneas y de transferencia temporal de valores son operaciones financieras, cuyo objetivo será determinado por cada parte. Tales operaciones se entenderán autorizadas, siempre que el régimen legal aplicable a las partes intervinientes no prohíba o restrinja su realización.
ARTÍCULO 2.36.3.1.6 APLICACIÓN AL BANCO DE LA REPÚBLICA.
<Fuente original compilada: D. 4432/06 Art. 6o.> Las operaciones de reporto o repo, simultáneas y de transferencia temporal de valores celebradas con el Banco de la República, cuando este actúe en su calidad de autoridad cambiaria, monetaria y crediticia, deberán cumplir exclusivamente con lo previsto en las disposiciones emitidas por la Junta Directiva del Banco de la República y las normas que las reglamenten.
ARTÍCULO 2.36.3.1.7 DISPOSICIONES HOMOGÉNEAS.
<Fuente original compilada: D. 4432/06 Art. 7o.> La Superintendencia Financiera de Colombia expedirá normas homogéneas en materia contable respecto de las operaciones de reporto o repo, simultáneas y de transferencia temporal de valores, así como las instrucciones pertinentes sobre la manera como las entidades vigiladas deberán administrar los riesgos implícitos a estas operaciones.
ARTÍCULO 2.36.3.1.8 INCUMPLIMIENTO.
<Fuente original compilada: D. 4432/06 Art. 8o.> En caso de incumplimiento de las operaciones, se tendrán en cuenta las siguientes reglas:
a) En las operaciones de reporto o repo, simultáneas y de transferencia temporal de valores, si alguna de las partes incumple su obligación, cada una mantendrá el derecho de propiedad sobre las sumas de dinero y los valores que haya recibido y podrá conservarlos definitivamente, disponer de ellos o cobrarlos a su vencimiento.
Los reglamentos de las bolsas de valores o de los sistemas de negociación de valores establecerán el procedimiento a seguirse en caso de incumplimiento de las operaciones celebradas y la forma de aplicar las garantías constituidas.
b) En las operaciones de reporto o repo y simultáneas, si en la fecha de vencimiento se presenta un incumplimiento por parte del Enajenante o del Adquirente y existe alguna diferencia entre, de un lado, el Monto Final pactado en la operación, y de otro lado, el precio de mercado de los valores en la fecha del incumplimiento más las amortizaciones, rendimientos o dividendos sobre los cuales el Adquirente tuviere deber de transferencia, la parte para la cual dicha diferencia constituya un saldo a favor tendrá derecho a que la misma le sea pagada en un plazo no mayor a cinco (5) días hábiles contados a partir de la fecha del incumplimiento, mediante la entrega de dinero. Podrá acordarse que la diferencia sea pagada mediante la entrega de valores.
En caso de presentarse la terminación anticipada de la operación, de conformidad con lo previsto en los reglamentos de las bolsas de valores y de los sistemas de negociación o en los contratos respectivos, según sea el caso, en lugar del Monto Final pactado deberá tenerse en cuenta el Monto Inicial, adicionado por los rendimientos causados hasta el momento de la terminación anticipada;
c) En las operaciones de transferencia temporal de valores, si en la fecha de incumplimiento existe alguna diferencia entre el valor de mercado de los valores intercambiados, o entre el dinero entregado por el Receptor y el valor de mercado de los valores entregados por el Originador, tomando en cuenta en uno y otro caso la suma de dinero que el Receptor haya acordado pagar al Originador por la transferencia de los valores, así como las amortizaciones, rendimientos y dividendos a cargo de las partes de conformidad con lo pactado por ellas o lo previsto en los reglamentos, la parte para la cual dicha diferencia constituya un saldo a favor tendrá derecho a que la misma le sea pagada en un plazo no mayor a cinco (5) días hábiles contados a partir de la fecha del incumplimiento, mediante la entrega de dinero. Podrá acordarse que la diferencia sea pagada mediante la entrega de valores.
En caso de presentarse la terminación anticipada de la operación, de conformidad con lo previsto en los reglamentos de las bolsas de valores y de los sistemas de negociación o en los contratos respectivos, según sea el caso, deberán tenerse en cuenta las sumas de dinero a que se refieren los literales b) y f) del artículo 2.36.3.1.3 del presente decreto, que se hayan causado hasta el momento de la terminación anticipada.
ARTÍCULO 2.36.3.1.9 AJUSTE DE REGLAMENTOS.
<Fuente original compilada: D. 4432/06 Art. 9o. Modificado por el D. 565/07 Art. 1o.> Los reglamentos de las bolsas de valores y de los sistemas de negociación de valores en los que se celebren operaciones de reporto o repo, simultáneas y de transferencia temporal de valores, deberán ajustarse a los requisitos mínimos previstos en el presente Título.
Estos reglamentos deben contener condiciones homogéneas de registro, transacción, liquidación, información y cumplimiento de cada uno de los tipos de operaciones de que trata el presente Título.
ARTÍCULO 2.36.3.1.10 APLICACIÓN DE REGLAMENTOS.
<Fuente original compilada: D. 4432/06 Art. 10> Las operaciones de reporto o repo, simultáneas y de transferencia temporal de valores deberán cumplir, además de lo dispuesto en el presente Título, con lo que señalen los reglamentos de negociación de las bolsas de valores o de los reglamentos de los sistemas de negociación de valores en los que se celebren estas operaciones.
ARTÍCULO 2.36.3.1.11 PROCESOS CONCURSALES.
<Fuente original compilada: D. 4432/06 Art. 11> Cuando se encuentre pendiente el cumplimiento de operaciones de reporto o repo, simultáneas y de transferencia temporal de valores y se presente un procedimiento concursal, una toma de posesión para liquidación o acuerdos globales de reestructuración de deudas, se dará por terminada anticipadamente la operación a partir de la fecha en que se haya adoptado la decisión respectiva y se aplicarán las reglas previstas en el artículo 2.36.3.1.8 de este decreto.
De conformidad con lo previsto en el artículo 14 de la Ley 964 de 2005, cuando se genere una diferencia en contra de la parte respecto de la cual se presenta alguno de los procedimientos antes descritos, su contraparte tendrá derecho a que la misma le sea pagada de manera inmediata, sin someterse a las resultas del proceso concursal. Los recursos necesarios para pagar dicha diferencia no formarán parte de los activos del proceso concursal.
ARTÍCULO 2.36.3.1.12 ÁMBITO DE APLICACIÓN.
<Fuente original compilada: D. 4432/06 Art. 12> Las operaciones de reporto o repo, simultáneas y de transferencia temporal de valores que celebren las entidades sometidas a inspección y vigilancia de la Superintendencia Financiera de Colombia, así como los fondos mutuos de inversión controlados por dicha entidad, deberán sujetarse a lo dispuesto en el presente Título.
Están prohibidas aquellas operaciones que, con independencia de su denominación, tengan características o efectos iguales o similares a las previstas en este Título sin el cumplimiento de las disposiciones del mismo.
ARTÍCULO 2.36.3.1.13 REGISTRO DE OPERACIONES.
<Fuente original compilada: D. 4432/06 Art. 13> Las operaciones previstas en el presente Título que se realicen por fuera de las bolsas de valores o de los sistemas de negociación de valores deberán ser registradas de conformidad con las instrucciones que imparta la Superintendencia Financiera de Colombia para tal efecto.
ARTÍCULO 2.36.3.1.14 FACTOR DE CONEXIDAD.
<Fuente original compilada: D. 4432/06 Art. 14> Cuando se realicen operaciones de reporto o repo, operaciones simultáneas u operaciones de transferencia temporal de valores entre entidades sometidas a inspección y vigilancia de la Superintendencia Financiera de Colombia, así como los fondos mutuos de inversión controlados por dicha entidad, y entidades que no tengan esta condición, se aplicarán las reglas previstas en el presente Título.
ARTÍCULO 2.36.3.1.15 OPERACIONES SOBRE VALORES QUE OTORGUEN DERECHOS POLÍTICOS.
<Fuente original compilada: D. 4432/06 Art. 15> Cuando se realicen las operaciones de que trata el presente Título sobre acciones u otros valores que otorguen derechos políticos, los reglamentos de las bolsas de valores y de los sistemas de negociación de valores y los contratos celebrados por las partes en el evento en que tales operaciones no se realicen por estos mecanismos, podrán prever que el Enajenante, el Originador o el Receptor conserven los derechos políticos sobre las acciones o valores transferidos, siempre y cuando se prevea la inmovilización de las respectivas acciones u otros valores.
ARTÍCULO 2.36.3.1.16 LIMITACIONES A LAS OPERACIONES DE REPORTO O REPO, SIMULTÁNEAS Y DE TRANSFERENCIAS TEMPORALES SOBRE ACCIONES. <Artículo derogado por el artículo 9 del Decreto 2878 de 2013>
ARTÍCULO 2.36.3.1.17 DISPOSICIONES FISCALES.
<Fuente original compilada: D. 4432/06 Art. 17> Para efectos de lo previsto en los numerales 5 y 8 del artículo 879 del Estatuto Tributario, las operaciones de reporto o repo y las operaciones simultáneas serán las previstas en el presente decreto.
En las operaciones a que se refiere el presente Título la retención en la fuente se practicará exclusivamente al momento de la liquidación final de la respectiva operación.
RÉGIMEN DE GARANTÍAS EN LAS OPERACIONES DE REPORTO O REPO, SIMULTÁNEAS Y TRANSFERENCIA TEMPORAL DE VALORES.
ARTÍCULO 2.36.3.2.1. DEBER DE CONSTITUIR GARANTÍAS EN LAS OPERACIONES DE REPORTO O REPO, SIMULTÁNEAS O TRANSFERENCIA TEMPORAL DE VALORES. <Artículo adicionado por el artículo 5 del Decreto 2878 de 2013. El nuevo texto es el siguiente:> Los intermediarios de valores que celebren operaciones de reporto o repo, simultáneas o transferencia temporal de valores por cuenta de terceros y las partes que celebren operaciones de reporto o repo, simultáneas o transferencia temporal de valores por cuenta propia, deberán constituir y entregar garantías, con sus propios recursos o con los de terceros, en favor de la bolsa de valores, de los sistemas de negociación de valores, de los sistemas de registro de operaciones sobre valores o de los sistemas de compensación y liquidación de operaciones sobre valores, según sea el caso.
PARÁGRAFO. El deber establecido en el presente artículo no será aplicable cuando el tercero por cuenta de quien se estén celebrando las operaciones sea:
1. El adquirente en las operaciones de reporto o repo, cuando los valores objeto de estas no puedan ser transferidos de forma temporal o definitiva a un tercero durante el plazo de la operación y solo puedan serlo para cumplir la misma.
2. El originador en las operaciones de transferencia temporal de valores, cuando los valores entregados a este no puedan ser transferidos de forma temporal o definitiva a un tercero durante el plazo de la operación y solo puedan serlo para cumplir la misma.
ARTÍCULO 2.36.3.2.2. CLASES DE GARANTÍAS. <Artículo adicionado por el artículo 5 del Decreto 2878 de 2013. El nuevo texto es el siguiente:> Las garantías que deberán constituirse en la celebración de cada operación de reporto o repo, simultánea o transferencia temporal de valores celebradas por cuenta propia o de terceros, serán las siguientes:
1. Garantía básica o inicial. Es aquella que constituyen las dos partes de la operación o una de ellas según la exposición al riesgo que asuman en la operación, previa a la celebración de la misma y máximo el mismo día de su celebración. En el caso de las operaciones simultáneas y de transferencia temporal de valores, esta garantía se constituye como un elemento adicional a los valores objeto del intercambio inicial de la operación. En el caso de las operaciones de reporto o repo, esta garantía será el descuento aplicado al valor objeto del intercambio inicial de la operación.
2. Garantía de variación o ajuste. Es aquella que constituyen las dos partes de la operación o una de ellas según la exposición al riesgo que asuman en la operación, cuando sea requerida por la bolsa de valores, los sistemas de negociación de valores, los sistemas de registro de operaciones sobre valores o los sistemas de compensación y liquidación de operaciones sobre valores en los cuales esté actuando, de conformidad con las reglas establecidas en su reglamento.
PARÁGRAFO. Se entenderá por garantía total para cada una de las partes en una operación de reporto o repo, simultáneas o transferencia temporal de valores la suma de la garantía básica más la garantía de variación que efectivamente deben constituirse para cada una de ellas.
ARTÍCULO 2.36.3.2.3. GARANTÍAS ADMISIBLES EN LAS OPERACIONES DE REPORTO O REPO, SIMULTÁNEAS O TRANSFERENCIA TEMPORAL DE VALORES. <Artículo adicionado por el artículo 5 del Decreto 2878 de 2013. El nuevo texto es el siguiente:> Serán garantías admisibles para la garantía básica o inicial, y de variación o ajuste en las operaciones de reporto o repo, simultáneas o transferencia temporal de valores celebradas por cuenta propia o de terceros, las siguientes:
a) Títulos de tesorería TES;
b) <Literal modificado por el artículo 1 del Decreto 766 de 2016. El nuevo texto es el siguiente:> Acciones o participaciones en fondos bursátiles. Dichas acciones y participaciones deben ser clasificadas como elegibles de acuerdo con la metodología establecida para definir la liquidez, determinada en el reglamento de la bolsa de valores, sistemas de negociación de valores, sistema de registro de operaciones sobre valores o sistemas de compensación y liquidación de operaciones sobre valores donde se negocian dichos valores.
c) Dinero en efectivo;
d) Títulos de renta fija que de conformidad con lo establecido en los reglamentos de las bolsas de valores, los sistemas de negociación de valores, los sistemas de registro de operaciones sobre valores o los sistemas de compensación y liquidación de operaciones sobre valores en los cuales se estén realizando las operaciones de las que trata el presente Capítulo, cumplan con criterios de elegibilidad relacionados con riesgo de crédito de la emisión, liquidez y mercado.
En todo caso deberá aplicarse un porcentaje de cobertura a este tipo de garantías.
No podrá aceptarse como garantía básica o de variación, el valor objeto de la operación, con excepción de las operaciones de reporto o repo, respecto de la garantía básica o inicial. No obstante, el reglamento de las bolsas de valores, de los sistemas de negociación de valores, de los sistemas de registro de operaciones sobre valores o de los sistemas de compensación y liquidación de operaciones sobre valores podrá contemplar la aceptación del valor objeto de la operación como garantía, tanto básica como de variación, para las operaciones de reporto o repo, simultáneas y transferencia temporal de valores sobre aquellas especies que por sus condiciones de riesgo de crédito, liquidez y mercado así lo ameriten. Tampoco podrán ser entregados en garantía valores cuya negociación se encuentre suspendida.
En el caso de las operaciones de reporto o repo, se considerarán también como garantías admisibles para la garantía básica o inicial, aquellos valores que pueden ser objeto de este tipo de operaciones según lo establecido en el artículo 2.36.3.4.2 del presente decreto.
PARÁGRAFO 1o. En el caso del ajuste o sustitución de garantías en operaciones de reporto o repo, simultáneas y transferencia temporal de valores las garantías admisibles deberán estar constituidas en activos que no estén sujetos a ningún tipo de gravamen, medida preventiva o de cualquier naturaleza.
PARÁGRAFO 2o. La Superintendencia Financiera de Colombia podrá determinar activos adicionales admisibles como garantías básicas o iniciales, así como de ajuste o sustitución, y en general las instrucciones que sean necesarias para el adecuado cumplimiento de las reglas establecidas en el presente artículo.
PARÁGRAFO 3o. <Parágrafo modificado el artículo 80 del Decreto 1745 de 2020. El nuevo texto es el siguiente:> Las garantías de que trata el presente Capítulo tendrán el tratamiento previsto en el artículo 11 de la Ley 964 de 2005.
ARTÍCULO 2.36.3.2.4. PORCENTAJES MÍNIMOS DE GARANTÍAS. <Artículo adicionado por el artículo 5 del Decreto 2878 de 2013. El nuevo texto es el siguiente:> Las bolsas de valores, las entidades que administren los sistemas de negociación de valores, las entidades que administran los sistemas de registro de operaciones sobre valores y las entidades que administran los sistemas de compensación y liquidación de operaciones sobre valores deberán fijar en sus reglamentos la metodología para el cálculo de los porcentajes mínimos exigibles en el otorgamiento tanto de las garantías básicas como de las de variación respecto de las operaciones de que las trata el presente Título.
ARTÍCULO 2.36.3.2.5. REGLAS ESPECIALES EN CASO DE SUSPENSIÓN O CANCELACIÓN. <Artículo adicionado por el artículo 5 del Decreto 2878 de 2013. El nuevo texto es el siguiente:> Los administradores de los sistemas de negociación de valores, bolsas de valores, los sistemas de registro de operaciones sobre valores o los sistemas de compensación y liquidación de operaciones sobre valores que hayan recibido valores en garantía, deberán incluir en sus reglamentos las condiciones o reglas para el tratamiento o sustitución de las garantías cuando los valores hayan sido objeto de suspensión o cancelación de su negociación.
ARTÍCULO 2.36.3.2.6. OPERACIONES REALIZADAS EN EL MERCADO MOSTRADOR. <Artículo modificado por el artículo 7 del Decreto 1351 de 2019. El nuevo texto es el siguiente:> Las operaciones de reporto o repo y las operaciones simultáneas celebradas en el mercado mostrador en cuanto al régimen de garantías, se regirán por lo establecido en el presente capítulo cuando se realicen por cuenta propia o de terceros. La Superintendencia Financiera de Colombia podrá impartir instrucciones relacionadas con el cumplimiento de esta actividad.
ARTÍCULO 2.36.3.2.7. OPERACIONES EN LAS CUALES ACTÚE UNA CÁMARA DE RIESGO CENTRAL DE CONTRAPARTE. <Artículo adicionado por el artículo 5 del Decreto 2878 de 2013. El nuevo texto es el siguiente:> Las operaciones de las que trata el presente Título que se compensen y liquiden a través de una cámara de riesgo central de contraparte, de las que trata el Libro 13 de la Parte 2 del presente decreto, no estarán sujetas al régimen de garantías establecido en el presente capítulo, sino al reglamento de la respectiva cámara de riesgo central de contraparte.
LIMITACIONES A LAS OPERACIONES DE REPORTO O REPO, SIMULTÁNEAS Y TRANSFERENCIA TEMPORAL DE VALORES CELEBRADAS POR CUENTA DE TERCEROS.
ARTÍCULO 2.36.3.3.1. DEFINICIONES. <Artículo adicionado por el artículo 6 del Decreto 2878 de 2013. El nuevo texto es el siguiente:> Para efectos de lo establecido en el presente Capítulo se entiende por:
1. Terceros. Aquellas personas naturales o jurídicas, patrimonios autónomos o portafolios de terceros por cuenta de quienes los intermediarios de valores realicen las operaciones de las que trata el presente título y en general, todos aquellos sujetos diferentes a las entidades vigiladas por la Superintendencia Financiera de Colombia respecto de las operaciones sobre valores en las que estas actúen a nombre propio y con sus propios recursos.
2. Vinculado. Cualquier sujeto que sea:
a) Él o los accionistas o beneficiarios reales del diez por ciento (10%) o más de la participación accionaria en el intermediario de valores;
b) Las personas jurídicas en las cuales el intermediario de valores sea beneficiario real del diez por ciento (10%) o más de la participación societaria;
c) La matriz del intermediario de valores y los subordinados de aquella;
d) Los administradores del intermediario de valores, de su matriz y de las subordinadas de esta.
Se entiende por beneficiario real el definido en el artículo 6.1.1.1.3 del presente decreto.
ARTÍCULO 2.36.3.3.2. LIMITACIONES A LAS OPERACIONES DE REPORTO O REPO, SIMULTÁNEAS Y TRANSFERENCIA TEMPORAL DE VALORES CELEBRADAS POR CUENTA DE TERCEROS. <Artículo adicionado por el artículo 6 del Decreto 2878 de 2013. El nuevo texto es el siguiente:> Los intermediarios de valores que celebren operaciones de reporto o repo, simultáneas y transferencia temporal de valores por cuenta de los terceros definidos en el numeral 1 del artículo 2.36.3.3.1 del presente decreto, en los sistemas de negociación de valores, en los sistemas de compensación y liquidación de operaciones sobre valores, en las bolsas de valores o en el mercado mostrador para ser registradas en sistemas de registro de operaciones sobre valores, no podrán tener compromisos que superen los siguientes límites:
1. Límite máximo de compromisos. La sumatoria de las operaciones de reporto o repo, simultáneas y transferencia temporal de valores celebradas por cuenta de terceros, no podrán superar el equivalente a catorce (14) veces el valor del patrimonio técnico calculado de conformidad con el parágrafo 2 del presente artículo.
2. <Numeral derogado por el artículo 6 del Decreto 766 de 2016>
3. Límite máximo por cuenta de un mismo tercero. No se podrán mantener por cuenta de un mismo tercero compromisos que sumados superen el 30% del patrimonio técnico, calculado de conformidad con el parágrafo 2 del presente artículo.
Para los efectos del límite establecido en el presente numeral, se entienden como operaciones de un mismo tercero:
i. Operaciones realizadas con una misma persona jurídica, así como, aquellas celebradas con su matriz o con sus subordinadas, o las subordinadas de la matriz o sus accionistas controlantes, en los términos de los artículos 260 y 261 del Código de Comercio.
ii. Operaciones realizadas con una misma persona natural además de las operaciones realizadas con esta, aquellas celebradas con su cónyuge, compañero o compañera permanente, sus hijos, padres, hermanos, abuelos, nietos y con los parientes hasta el segundo grado de afinidad.
Igualmente, aquellas celebradas con personas jurídicas respecto de las cuales la persona natural, su cónyuge, compañero o compañera permanente o los parientes indicados en el inciso anterior, tengan más del 50% del capital ya se directa o indirectamente.
iii. Las celebradas con sociedades subordinadas a las personas jurídicas mencionadas en el inciso anterior.
Con el fin de propender por el cumplimiento del límite anteriormente establecido, los intermediarios de valores podrán requerir a los terceros por cuenta de quienes actúa la información necesaria para identificar los vínculos a que hace referencia el presente numeral, para lo cual dichos terceros deberán suministrar la información de manera veraz y oportuna.
<Inciso adicionado por el artículo 2 del Decreto 766 de 2016. El nuevo texto es el siguiente:> Los intermediarios de valores podrán fijar límites internos para la celebración de operaciones por cuenta de un mismo tercero superiores al porcentaje previsto en el presente numeral, siempre y cuando dichos límites estén debidamente justificados, sean incorporados en sus políticas de administración del riesgo de contraparte y aprobados por su Junta Directiva.
<Inciso adicionado por el artículo 2 del Decreto 766 de 2016. El nuevo texto es el siguiente:> Únicamente en el caso de los valores de renta fija diferentes de TES, lo dispuesto en el inciso anterior se cumplirá a partir de la implementación de la metodología para el tratamiento de las garantías realizada por parte de las bolsas de valores, los sistemas de negociación de valores, los sistemas de registro de operaciones sobre valores o los sistemas de compensación y liquidación de operaciones sobre valores. Antes de la implementación de dicha metodología, los compromisos de las operaciones de reporto o repo, simultáneas y transferencia temporal de valores realizadas sobre valores de renta fija diferentes a TES por cuenta de un mismo tercero, no podrán superar el quince por ciento (15%) del patrimonio técnico, calculado de conformidad con el parágrafo 2o del presente artículo.
4. Límite por especie. <Numeral modificado por el artículo 3 del Decreto 766 de 2016. El nuevo texto es el siguiente:> El máximo porcentaje permitido de la relación entre el número de acciones de una especie que hayan sido objeto de operaciones de reporto o repo, simultáneas y transferencia temporal de valores por cuenta de terceros y el flotante de la misma, será el seis punto cinco por ciento (6.5%).
En todo caso, el máximo porcentaje permitido de la relación entre el número de acciones de una especie que hayan sido objeto de operaciones de reporto o repo, simultáneas y transferencia temporal de valores por cuenta de un mismo tercero y el flotante de la misma será el tres por ciento (3%).
Para efectos del presente numeral se entiende por flotante lo establecido en parágrafo 1o del artículo 2.36.3.4.1 del presente decreto.
5. Límites en operaciones sobre valores emitidos por vinculados. El límite máximo de compromisos de operaciones de reporto o repo, simultáneas y transferencia temporal de valores que los intermediarios de valores realicen sobre valores emitidos por sus vinculados por cuenta de terceros, de manera agregada, no podrá ser superior al doscientos por ciento (200%) del patrimonio técnico, calculado de conformidad con el parágrafo 2 del presente artículo.
Igualmente, el límite máximo de compromisos por cuenta de terceros sobre una especie emitida por vinculados del intermediario de valores, no puede superar el cincuenta por ciento (50%) del patrimonio técnico, calculado de conformidad con el parágrafo 2 del presente artículo.
Para los efectos del presente numeral, se entenderá por vinculados lo establecido en el artículo 2.36.3.3.1 del presente decreto.
PARÁGRAFO 1o. <Parágrafo modificado por el artículo 4 del Decreto 766 de 2016. El nuevo texto es el siguiente:> En el caso de presentarse el incumplimiento de alguno de los límites establecidos en el presente artículo, el intermediario de valores deberá suspender de manera inmediata, la realización de nuevas operaciones por cuenta del tercero que originó el incumplimiento y remitir dentro de los cinco (5) días hábiles siguientes a la fecha del incumplimiento un informe donde se consagre el plan de ajuste para reestablecer los límites y las medidas adoptadas para evitar que se presenten nuevos incumplimientos. Este deberá ser enviado con fines informativos a las bolsas de valores, sistemas de negociación de valores, sistemas de registro de operaciones sobre valores y sistemas de compensación y liquidación de operaciones sobre valores según sea el caso. Así mismo, deberá ser remitido a los organismos de autorregulación y a la Superintendencia Financiera de Colombia, sin perjuicio de las sanciones a que haya lugar por razón de dicho incumplimiento.
Para efectos de lo establecido en el presente parágrafo, las renovaciones de las operaciones por cuenta de terceros no se considerarán nuevas operaciones.
PARÁGRAFO 2o. Para los efectos del presente artículo el patrimonio técnico que se tendrá en cuenta durante determinado mes, será el publicado por la Superintendencia Financiera de Colombia para el penúltimo mes calendario anterior al respectivo mes.
PARÁGRAFO 3o. La Superintendencia Financiera de Colombia podrá impartir las instrucciones que sean necesarias para el adecuado cumplimiento de las reglas establecidas en el presente artículo.
PARÁGRAFO 4o. Se entienden excluidas de la aplicación de los límites establecidos en el presente artículo, las operaciones realizadas por cuenta de los siguientes terceros:
1. El adquirente en las operaciones de reporto o repo, cuando los valores objeto de estas no puedan ser transferidos de forma temporal o definitiva a un tercero durante el plazo de la operación y solo puedan serlo para cumplir la misma.
2. El originador en las operaciones de transferencia temporal de valores, cuando los valores entregados a este no puedan ser transferidos de forma temporal o definitiva a un tercero durante el plazo de la operación y solo puedan serlo para cumplir la misma.
3. Un fondo de inversión colectiva que no realice operaciones apalancadas.
4. Un fondo de pensiones administrado por una sociedad administradora de fondos de pensiones.
5. <Numeral adicionado por el artículo 5 del Decreto 766 de 2016. El nuevo texto es el siguiente:> El adquirente en las operaciones simultáneas. No obstante, en el caso en que el adquirente decida disponer de los valores objeto de la operación, el intermediario que actúa por cuenta de este deberá aplicar los límites establecidos en el presente artículo, e informar de esta situación a los sistemas de negociación y de registro de valores así como a los organismos de autorregulación.
PARÁGRAFO 5o. Las operaciones de las que trata el presente Título que se compensen y liquiden a través de una cámara de riesgo central de contraparte, no computarán para efecto de los límites de que trata el presente Capítulo. En este caso deberán sujetarse a lo establecido en el reglamento de la respectiva cámara de riesgo central de contraparte.
PARÁGRAFO 6o. Las operaciones de las que trata el presente Título que se realicen por cuenta de terceros bajo el contrato de cuentas de margen, no computarán para efecto de los límites de que trata el presente Capítulo. En este caso deberán sujetarse a lo establecido en el Título I del Libro 33 de la Parte 2 del presente decreto.
OTRAS DISPOSICIONES.
ARTÍCULO 2.36.3.4.1. LÍMITE DEL NÚMERO DE ACCIONES EN OPERACIONES REPO O REPORTO, SIMULTÁNEAS Y TRANSFERENCIA TEMPORAL DE VALORES. <Artículo adicionado por el artículo 7 del Decreto 2878 de 2013. El nuevo texto es el siguiente:> El máximo porcentaje permitido de la relación entre el número de acciones que hayan sido objeto de operaciones de reporto o repo y simultáneas y el flotante de la respectiva especie, será del 25%. En caso de superarse este límite, la especie no podrá ser objeto de nuevas operaciones de reporto o repo o simultáneas.
<Inciso derogado por el artículo 21 del Decreto 1351 de 2019>
PARÁGRAFO 1o. Para los efectos del presente artículo se entiende por flotante el número de acciones en poder de los accionistas que considerados individualmente cada uno no posea más del cinco por ciento (5%) del capital social, más las acciones de propiedad de los fondos administrados por las sociedades administradoras de fondos de pensiones y cesantías, las compañías de seguros y/o los fondos de inversión colectiva.
PARÁGRAFO 2o. Los depósitos centralizados de valores deberán calcular al final de cada trimestre calendario, el valor del flotante para cada uno de los valores sobre los cuales se haya realizado una anotación en cuenta en dicho depósito. Esta información deberá ser suministrada a la bolsa de valores en donde se encuentre inscrita la respectiva especie, con la misma periodicidad del cálculo.
Esta obligación deberá ser cumplida por el emisor en los casos en que la administración del libro de accionistas no se encuentre en cabeza de un depósito centralizado de valores.
PARÁGRAFO 3o. La bolsa de valores en donde se encuentre inscrita la respectiva especie deberá publicar trimestralmente la información del flotante, así como monitorear el cumplimiento del límite de que trata el presente artículo.
ARTÍCULO 2.36.3.4.2. VALORES QUE PUEDEN SER OBJETO DE LAS OPERACIONES DE REPORTO O REPO, SIMULTÁNEAS Y DE TRANSFERENCIA TEMPORAL DE VALORES. <Artículo adicionado por el artículo 7 del Decreto 2878 de 2013. El nuevo texto es el siguiente:> Las bolsas de valores, los sistemas de negociación de valores, los sistemas de registro de operaciones sobre valores y los sistemas de compensación y liquidación de operaciones sobre valores, deberán incluir dentro de sus reglamentos las metodologías y procedimientos para determinar los valores susceptibles de ser objeto de las operaciones de reporto o repo, simultáneas y de transferencia temporal de valores.
ARTÍCULO 2.36.3.4.3. LIMITACIONES A LAS OPERACIONES DE REPORTO O REPO, SIMULTÁNEAS Y DE TRANSFERENCIA TEMPORAL DE VALORES SOBRE ACCIONES INSCRITAS EN BOLSA DE VALORES Y VALORES SUSPENDIDOS. <Artículo adicionado por el artículo 7 del Decreto 2878 de 2013. El nuevo texto es el siguiente:> No podrán efectuarse operaciones de reporto o repo, simultáneas y de transferencia temporal de valores en los siguientes casos:
1. Sobre un número de acciones para cuya adquisición deba efectuarse oferta pública, de conformidad con lo dispuesto en el artículo 6.15.2.1.1 del presente decreto o normas que lo adicionen, modifiquen o sustituyan.
2. Sobre los valores cuya negociación se encuentre suspendida, salvo en las excepciones establecidas en los reglamentos de las bolsas de valores, los sistemas de negociación de valores, los sistemas de registro de operaciones sobre valores y los sistemas de compensación y liquidación de operaciones sobre valores, para el caso de los eventos corporativos que allí se contemplen.
Lo anterior sin perjuicio de la realización de las operaciones necesarias para cumplir con la operación cuando el valor suspendido sea el objeto mismo de la operación.
ARTÍCULO 2.36.3.4.4. TRANSPARENCIA EN LAS OPERACIONES SOBRE VALORES. <Artículo adicionado por el artículo 7 del Decreto 2878 de 2013. El nuevo texto es el siguiente:> Las bolsas de valores, los administradores de sistemas de negociación de valores, los administradores de sistemas de registro de operaciones sobre valores o los administradores de sistemas de compensación y liquidación de operaciones sobre valores deberán adoptar y mantener mecanismos y procedimientos que en desarrollo del deber de monitoreo les permita:
a) Poner a disposición del público en general la información sobre el flotante para el caso de los valores de renta variable o el monto emitido para los demás valores, así como la exposición total en operaciones de repo o reporto, simultáneas y transferencia temporal de valores que se celebran o registran en sus sistemas por cada especie;
b) Poner a disposición de las autoridades y afiliados o miembros de los sistemas de negociación de valores, de los sistemas de registro de operaciones sobre valores o de los sistemas de compensación y liquidación de operaciones sobre valores y bolsas de valores, la información sobre los montos de compromisos pendientes de cumplimiento por cuenta de sus clientes en el respectivo sistema.
La Superintendencia Financiera de Colombia podrá impartir las instrucciones que sean necesarias para el adecuado cumplimiento de las reglas establecidas en el presente artículo.
PARÁGRAFO. El emisor o quien tenga la administración del libro de accionistas del emisor de las especies sobre las cuales se realizan operaciones de repo o reporto, simultáneas y transferencia temporal de valores, deberá suministrar a los respectivos sistemas de negociación de valores, sistemas de registro de operaciones sobre valores o sistemas de compensación y liquidación de operaciones sobre valores y a las bolsas de valores, la información necesaria para el cumplimiento de los deberes establecidos en el presente artículo. Esta información también deberá estar a disposición de los organismos de autorregulación de valores y de la Superintendencia Financiera de Colombia.
ARTÍCULO 2.36.3.4.5. DEBER DE REPORTE DE INFORMACIÓN. <Artículo adicionado por el artículo 7 del Decreto 2878 de 2013. El nuevo texto es el siguiente:> Los intermediarios de valores deberán reportar de manera veraz y oportuna la información sobre el incumplimiento de las operaciones de las que trata el Título III del libro 36 de la Parte 2 del presente decreto, en los términos establecidos en el Decreto número 1727 de 2009.
TRANSFERENCIA TEMPORAL DE VALORES EN EL MERCADO MOSTRADOR.
ARTÍCULO 2.36.3.5.1. OPERACIONES DE TRANSFERENCIA TEMPORAL DE VALORES EN EL MERCADO MOSTRADOR.
<Artículo adicionado por el artículo 8 del Decreto 1351 de 2019. El nuevo texto es el siguiente:> Las operaciones de transferencia temporal de valores de que trata el artículo 2.36.3.1.3 del presente decreto podrán realizarse en el mercado mostrador y deberán ser registradas, compensadas y liquidadas, de acuerdo con lo establecido en los artículos 7.4.1.1.6 y 7.4.1.1.7 del presente decreto.
Se podrán realizar operaciones de transferencia temporal de valores en el mercado mostrador sobre valores inscritos en el Registro Nacional de Valores y Emisores (RNVE), que se encuentren desmaterializados o inmovilizados en un depósito centralizado de valores autorizado por la Superintendencia Financiera de Colombia.
Las características previstas para las operaciones de transferencia temporal de valores previstas en el artículo 2.36.3.1.3 del presente decreto, le son aplicables a las operaciones de transferencia temporal de valores que se realicen en el mercado mostrador.
A las operaciones de transferencia temporal de valores de que trata el presente artículo les serán aplicables, en lo pertinente, las disposiciones establecidas en el Título 1, Libro 15 de la Parte 2 del presente decreto.
PARÁGRAFO 1o. El límite por especie establecido en el numeral 4 del artículo 2.36.3.3.2 del presente decreto no será aplicable a las acciones objeto de las operaciones de transferencia temporal de valores de que trata el presente capítulo.
PARÁGRAFO 2o. La obligación de incluir en sus reglamentos las metodologías y procedimientos para determinar los valores susceptibles de operaciones de transferencia temporal de valores establecida en el artículo 2.36.3.4.2 del presente decreto, no será aplicable a los sistemas de registro de operaciones sobre valores.
ARTÍCULO 2.36.3.5.2. GARANTÍAS.
<Artículo adicionado por el artículo 8 del Decreto 1351 de 2019. El nuevo texto es el siguiente:> Las partes de la operación de transferencia temporal de valores acordarán las garantías que se reciban en dichas operaciones celebradas en el mercado mostrador, y serán los responsables de su administración. En todo caso dichas garantías deberán limitarse a las establecidas en los literales a), b), c) y d) del artículo 2.36.3.2.3 del presente decreto.
Los porcentajes de cobertura aplicables a las operaciones de transferencia temporal de valores que se celebren en el mercado mostrador serán establecidos por las partes.
Cuando la operación de transferencia temporal de valores se compense y se liquide a través de una cámara de riesgo central de contraparte, las garantías y el porcentaje de cobertura aplicable se regirán por lo establecido en el reglamento de la respectiva cámara de riesgo central de contraparte.
Las entidades habilitadas para realizar operaciones de transferencia temporal de valores implementarán una política interna de administración de riesgo para este tipo de operaciones, mediante la identificación, medición y control del riesgo que defina los porcentajes de cobertura óptimos que cubran el posible riesgo de incumplimiento de la operación y de cumplimiento a lo establecido en el Capítulo 3, del Título 3 del Libro 36 de la Parte 2 del presente Decreto.
GARANTÍAS.
ARTÍCULO 2.36.4.1.1 GARANTÍAS.
<Fuente original compilada: D. 343/07 Art. 23> Los recursos de los fondos administrados por las sociedades administradoras de fondos de pensiones y de cesantías, aquellos correspondientes a los fondos administrados por las sociedades fiduciarias, sociedades comisionistas de bolsa, sociedades administradoras de fondos de inversión y los de las reservas técnicas de las compañías de seguros podrán ser utilizados para otorgar garantías que respalden las operaciones de reporto o repo, simultáneas y de transferencia temporal de valores celebradas de conformidad con el régimen de inversiones aplicable.
CERTIFICADOS DE DEPÓSITO A TÉRMINO, ACEPTACIONES EN MONEDA LEGAL Y CERTIFICADOS DE DEPÓSITO DE AHORRO A TÉRMINO.
ARTÍCULO 2.36.5.1.1 PLAZO DE LOS CERTIFICADOS DE DEPÓSITO A TÉRMINO.
<Fuente original compilada: D. 2423/93 Art. 6o.> El plazo mínimo de los depósitos respecto de los cuales se emitan certificados de depósito a término de los establecimientos de crédito será de un (1) mes.
ARTÍCULO 2.36.5.1.2 PLAZO DE LAS ACEPTACIONES EN MONEDA LEGAL.
<Fuente original compilada: D. 2423/93 Art. 6o. con modificaciones de redacción> El plazo de las aceptaciones en moneda legal cuya emisión ha sido autorizada a los establecimientos de crédito podrá ser de un (1) año.
ARTÍCULO 2.36.5.1.3 CAPTACIÓN DE RECURSOS A TRAVÉS DE CDATS.
<Fuente original compilada: D. 1356/98 Art. 1o.> Las corporaciones financieras y las compañías de financiamiento están autorizadas para captar recursos a la vista o mediante la expedición de CDATS de cualquier clase de clientes, sin más requerimientos de capital mínimo que los establecidos para su funcionamiento por las disposiciones legales, a partir de la fecha en que cumplan con los requisitos y condiciones que al efecto se establezcan en las normas contables o de regulación prudencial necesarias para minimizar el riesgo generado por la diferencia en las condiciones financieras de los activos y pasivos de dichos establecimientos de crédito.
ACCIONISTAS.
ARTÍCULO 2.36.6.1.1 PROHIBICIÓN PARA ACCIONISTAS.
<Fuente original compilada: D. 1886/94 Art. 1o.> Ninguna entidad sometida al control y vigilancia de la Superintendencia Financiera de Colombia podrá realizar operaciones activas de crédito con la persona natural o jurídica que llegue a adquirir o poseer una participación superior o igual al diez por ciento (10%) del capital de dicha entidad.
La prohibición establecida en el inciso anterior se extenderá hasta por un período de un año contado a partir de la fecha en que el hecho se produzca.
PARÁGRAFO. El cumplimiento de lo previsto en el presente artículo se verificará con sujeción al inciso segundo del artículo 2.1.2.1.13 del presente decreto.
OPERACIONES ACTIVAS CON TITULOS VALORES EN BLANCO.
<Fuente original compilada: D. 1713/09 Art. 1o.> Los títulos con espacios en blanco de que trata el artículo 622 del Código de Comercio, suscritos con ocasión de la celebración de operaciones activas por parte de las entidades sometidas a inspección y vigilancia de la Superintendencia Financiera de Colombia en desarrollo de su objeto principal autorizado por la ley, se consideran títulos valores para todos los efectos, siempre que cumplan con los requisitos previstos en el Código de Comercio.
Cuando estas entidades dispongan de tales títulos, su importe se establecerá teniendo en cuenta el saldo de la obligación al momento de la transferencia, según los libros y registros contables y de conformidad con las instrucciones establecidas por la Superintendencia Financiera de Colombia. Dicho valor debe ser certificado por el revisor fiscal de respectiva entidad financiera.
RESPONSABILIDAD SOCIAL.
ARTÍCULO 2.36.8.1.1 ENTIDADES OBLIGADAS.
<Artículo adicionado por el artículo 2 del Decreto 2775 de 2010. El nuevo texto es el siguiente:> <Fuente original: D. 3341/09 Art. 1o.> De conformidad con lo dispuesto en el artículo 96 de la Ley 1328 de 2009, las entidades que pertenecen al sistema financiero, asegurador y al mercado de valores, deberán informar al público en general los distintos programas que, de acuerdo con sus políticas de gobierno corporativo, tengan implementados para atender a los sectores menos favorecidos del país.
Para divulgar la información, las entidades mencionadas podrán asociarse entre ellas o realizar esta labor por medio de sus asociaciones o agremiaciones, bajo la exclusiva responsabilidad de cada entidad.
ARTÍCULO 2.36.8.1.2. CONDICIONES DE DIVULGACIÓN.
<Artículo adicionado por el artículo 2 del Decreto 2775 de 2010. El nuevo texto es el siguiente:> <Fuente original: D. 3341/09 Art. 2o.> La divulgación de la información a que se refiere el presente decreto deberá hacerse:
1. Por lo menos una vez al año.
2. Dentro del primer trimestre de cada año.
3. En forma clara, completa y de fácil comprensión para el público en general.
4. A través de los medios de mayor cobertura y fácil acceso al público con que cuente la entidad, asociación de entidades o agremiación.
La información deberá corresponder a los programas que se hayan adelantado durante el año calendario inmediatamente anterior a la fecha en que se lleve a cabo la divulgación, y/o a los que se estén adelantando en esa misma fecha en desarrollo y continuación de aquellos.
ARTÍCULO 2.36.8.1.3. CONTENIDO DE LA INFORMACIÓN.
<Artículo adicionado por el artículo 2 del Decreto 2775 de 2010. El nuevo texto es el siguiente:> <Fuente original: D. 3341/09 Art. 3o.> La información divulgada deberá contener al menos los siguientes puntos:
1. Descripción de(l) (los) programa(s) social(es) implementado(s) por la entidad o entidades asociadas, y nombre de(l) (los) mismo(s) si lo tuviere.
2. Breve descripción de las actividades desarrolladas, con indicación de los sectores beneficiados.
3. Fecha de realización de las actividades del programa.
4. Período que comprende la información.
SERVICIOS FINANCIEROS PRESTADOS A TRAVÉS DE CORRESPONSALES CAMBIARIOS.
SERVICIOS FINANCIEROS DE ESTABLECIMIENTOS DE CRÉDITO, SOCIEDADES ADMINISTRADORAS DE INVERSIÓN, SOCIEDADES COMISIONISTAS DE BOLSA DE VALORES, SOCIEDADES ADMINISTRADORAS DE FONDOS DE PENSIONES, SOCIEDADES FIDUCIARIAS, INTERMEDIARIOS DEL MERCADO CAMBIARIO Y ENTIDADES ASEGURADORAS PRESTADOS A TRAVÉS DE CORRESPONSALES.
ARTÍCULO 2.36.9.1.1. SERVICIOS PRESTADOS POR MEDIO DE CORRESPONSALES. <Artículo modificado por el artículo 5 del Decreto 222 de 2020. El nuevo texto es el siguiente:> Los establecimientos de crédito incluyendo aquellos de naturaleza especial, las sociedades especializadas en depósitos y pagos electrónicos, las sociedades administradoras de inversión, las sociedades comisionistas de bolsa de valores, las sociedades administradoras de fondos de pensiones, las sociedades fiduciarias, los Intermediarios del Mercado Cambiario (IMC) y las entidades aseguradoras, podrán prestar los servicios a que se refieren los artículos 2.36.9.1.4 a 2.36.9.1.9 y el 2.36.9.1.17 del presente decreto, bajo su plena responsabilidad, a través de corresponsales.
Se entiende como corresponsal, aquel tercero a través del cual las entidades mencionadas en el primer inciso de este artículo prestan sus servicios. El corresponsal podrá prestar sus servicios en instalaciones físicas fijas, así como también podrá ser móvil y digital.
PARÁGRAFO 1o. La actividad de corresponsal no implica modificación alguna de la naturaleza y régimen de quienes se contratan para prestar dichos servicios. En consecuencia, el corresponsal podrá desarrollar dicha actividad de manera independiente a su actividad económica principal.
PARÁGRAFO 2o. La participación de un corresponsal no exonera a las entidades mencionadas en el artículo 2.36.9.1.1 que prestan sus servicios a través de corresponsal y a los usuarios o clientes beneficiarios de los servicios autorizados al corresponsal, del cumplimiento de los deberes previstos en relación con las obligaciones de conocimiento del cliente y de prevención de lavado de activos y financiación del terrorismo, así como de todas las obligaciones derivadas del régimen cambiario, tales como la presentación de la declaración de cambio.
ARTÍCULO 2.36.9.1.2 CALIDAD DE LOS CORRESPONSALES. <Artículo modificado por el artículo 6 del Decreto 222 de 2020. El nuevo texto es el siguiente:> Podrá actuar como corresponsal de las entidades mencionadas en el artículo 2.36.9.1.1, cualquier persona natural o jurídica, siempre y cuando su régimen legal u objeto social se lo permita.
La Superintendencia Financiera de Colombia podrá señalar, por medio de instructivo general, las condiciones que deberán cumplir los corresponsales para asegurar que cuenten con la debida idoneidad moral, así como la adecuada infraestructura técnica y/o de recursos humanos, para la prestación de los servicios financieros acordados con la entidad.
En todo caso, el corresponsal o su representante legal, cuando se trate de una persona jurídica, no podrán estar incursos en las hipótesis a que se refieren los literales a) y b) del inciso 3o del numeral 5 del artículo 53 del Estatuto Orgánico del Sistema Financiero.
PARÁGRAFO. Podrán actuar como corresponsales de los establecimientos de crédito las cooperativas de ahorro y crédito, las cooperativas multiactivas e integrales con sección de ahorro y crédito y las secciones de ahorro y crédito de las cajas de compensación familiar que cuenten con autorización de la respectiva Superintendencia para adelantar actividad financiera.
ARTÍCULO 2.36.9.1.3 CALIDADES DE LO CORRESPONSALES DE IMC. <Artículo modificado por el artículo 1 del Decreto 2672 de 2012. El nuevo texto es el siguiente:> Sólo podrán actuar como corresponsales de IMC los profesionales de compra y venta de divisas y las entidades que acrediten las condiciones de idoneidad señaladas en el presente capítulo.
Los profesionales de compra y venta de divisas y, en general, las entidades idóneas, que estén interesadas en prestar los servicios de corresponsal cambiario deberán cumplir y acreditar ante el IMC condiciones éticas, de responsabilidad, carácter e idoneidad profesional para el desarrollo de la actividad, así como los requisitos previstos en los literales a) a d) del parágrafo del artículo 100 de la Ley 1328 de 2009 y el presente título.
Sin perjuicio de lo anterior, tratándose de los profesionales de compra y venta de divisas, el cumplimiento de los requisitos indicados en el inciso precedente deberá acreditarse previamente a la celebración del contrato de mandato ante la Dirección de Impuestos y Aduanas Nacionales (DIAN), organismo que impartirá las instrucciones correspondientes.
ARTÍCULO 2.36.9.1.4. MODALIDADES DE SERVICIOS QUE PUEDAN PRESTAR LOS ESTABLECIMIENTOS DE CRÉDITO POR MEDIO DE CORRESPONSALES. <Artículo modificado por el artículo 1 del Decreto 2672 de 2012. El nuevo texto es el siguiente:> Los establecimientos de crédito podrán prestar, por medio de corresponsales, uno o varios de los siguientes servicios, de acuerdo con las operaciones autorizadas conforme a su régimen legal.
1. Recaudo.
2. Envío o recepción de giros en moneda legal colombiana dentro del territorio nacional.
3. Depósitos y retiros en efectivo, incluyendo los depósitos electrónicos.
4. Transferencias de fondos.
5. Consultas de saldos.
6. Expedición y entregas de extractos.
7. Desembolsos y pagos en efectivo por concepto de operaciones activas de crédito.
8. Recepción o entrega de recursos en moneda legal colombiana correspondiente a las operaciones de compra y venta de divisas provenientes de operaciones de cambio obligatoriamente canalizables a través de mercado cambiario.
9. Recepción o entrega de recursos en moneda legal colombiana correspondiente a la compra y venta de divisas de operaciones de envío o recepción de giros no obligatoriamente canalizables a través del mercado cambiario.
PARÁGRAFO 1o. Los corresponsales de establecimientos de crédito podrán recolectar y entregar documentación e información relacionada con los servicios previstos en el presente artículo, incluyendo aquella relativa a la apertura y cancelación de cuentas y a la realización de depósitos, así como la relacionada con solicitudes de crédito.
PARÁGRAFO 2o. Previa autorización del respectivo establecimiento de crédito y de acuerdo con las instrucciones impartidas por la Superintendencia Financiera de Colombia, los corresponsales de establecimientos de crédito podrán actuar como terceros autorizados para efectuar los procedimientos necesarios para que la respectiva entidad proceda a realizar la vinculación de clientes para la apertura de cuentas y la constitución de depósitos.
ARTÍCULO 2.36.9.1.5. MODALIDADES DE SERVICIOS QUE PUEDEN PRESTAR LAS SOCIEDADES COMISIONISTAS DE BOLSA DE VALORES A TRAVÉS DE CORRESPONSALES. Las sociedades comisionistas de bolsa de valores podrán prestar, por medio de corresponsales, los siguientes servicios, en desarrollo de las operaciones autorizadas conforme su régimen legal.
1. Recepción de dinero para o como resultado de operaciones realizadas a través de intermediarios de valores.
2. El pago de dividendos o rendimientos de títulos administrados por una sociedad comisionista de bolsa de valores, así como de los recursos derivados de la venta de inversiones.
3. Entrega y recepción de constancias o certificados de valores que se manejen a través de los depósitos centralizados de valores.
4. Recepción de recursos destinados a ser invertidos en un fondo de inversión colectiva, así como su devolución.
5. Recepción o entrega de recursos en moneda legal colombiana correspondiente a las operaciones de compra y venta de divisas provenientes de operaciones de cambio obligatoriamente canalizables a través del mercado cambiario.
6. Recepción o entrega de recursos en moneda legal colombiana correspondiente a la compra y venta de divisas de operaciones de envío o recepción de giros no obligatoriamente canalizables a través del mercado cambiario.
PARÁGRAFO. Los corresponsales de sociedades comisionistas de bolsa de valores no podrán prestar ningún tipo de asesoría para la vinculación de clientes ni para la realización de inversiones respecto de clientes ya vinculados con la sociedad comisionista de bolsa de valores. No obstante podrán recolectar y entregar documentación e información relacionada con los servicios previstos en el presente artículo.
ARTÍCULO 2.36.9.1.6. MODALIDADES DE SERVICIOS QUE PUEDEN PRESTAR LAS SOCIEDADES ADMINISTRADORAS DE FONDOS DE INVERSIÓN COLECTIVA POR MEDIO DE CORRESPONSALES. <Artículo modificado el artículo 81 del Decreto 1745 de 2020. El nuevo texto es el siguiente:>
Las sociedades comisionistas de bolsa de valores, las sociedades fiduciarias y las sociedades administradoras de inversión, todas en su calidad de sociedades administradoras de fondos de inversión colectiva y en desarrollo de las operaciones autorizadas conforme a su régimen legal, podrán prestar por medio de corresponsales de sociedades administradoras de fondos de inversión colectiva, los siguientes servicios:
1. Recaudo, pago y transferencia de recursos asociados a la operación de fondos de inversión colectiva.
2. Expedición y entrega de extractos.
3. Recolección y entrega de documentación e información relacionada con los fondos de inversión colectiva que administren.
PARÁGRAFO. Los corresponsales de sociedades administradoras de fondos de inversión colectiva no podrán prestar ningún tipo de asesoría para la vinculación de clientes e inversión en dichos fondos, ni para la realización de inversiones respecto de clientes ya vinculados con la mencionada sociedad. No obstante, podrán recolectar y entregar documentación e información relacionada con los servicios previstos en el presente artículo.
ARTÍCULO 2.36.9.1.7. MODALIDADES DE SERVICIOS QUE PUEDEN PRESTAR LOS INTERMEDIARIOS DEL MERCADO CAMBIARIO POR MEDIO DE CORRESPONSALES. Con sujeción a las normas autorizadas por el régimen de cambios internacionales, los IMC exclusivamente podrán prestar por medio de corresponsales los siguientes servicios financieros:
1. Recepción o entrega de recursos en moneda legal colombiana correspondiente a las operaciones de compra y venta de divisas provenientes de operaciones de cambio obligatoriamente canalizables a través del mercado cambiario.
2. Recepción o entrega de recursos en moneda legal colombiana correspondiente a la compra y venta de divisas de operaciones de envío o recepción de giros no obligatoriamente canalizables a través del mercado cambiario.
PARÁGRAFO 1o. Los corresponsales cambiarios no podrán desarrollar operaciones de compra y venta de divisas a nombre o por cuenta del IMC.
PARÁGRAFO 2o. El corresponsal del IMC sólo estará obligado a atender solicitudes de recursos en moneda legal colombiana de operaciones realizadas por el IMC a que se refiere el presente artículo, en la medida en que cuente con recursos suficientes, sin perjuicio de la exigibilidad de las obligaciones a cargo del IMC, las cuales, en todo caso, deberán ser atendidas oportunamente, a través de su propia red de oficinas.
ARTÍCULO 2.36.9.1.8. MODALIDADES DE SERVICIOS QUE PUEDEN PRESTAR LAS SOCIEDADES ADMINISTRADORAS DE FONDOS DE PENSIONES A TRAVÉS DE CORRESPONSALES. <Artículo modificado por el artículo 1 del Decreto 2672 de 2012. El nuevo texto es el siguiente:> Las sociedades administradoras de fondos de pensiones, en desarrollo de las operaciones autorizadas conforme a su régimen legal, podrán prestar por medio de corresponsales los siguientes servicios:
1. Recaudo y pago de recursos asociados a la vinculación a fondos de pensión voluntaria.
2. Recolección y entrega de documentación e información relacionada con la vinculación a fondos de pensión voluntaria.
3. Expedición y entrega de extractos.
PARÁGRAFO. Los corresponsales de sociedades administradoras de fondos de pensiones no podrán vincular ni prestar ningún tipo de asesoría para la vinculación de clientes.
ARTÍCULO 2.36.9.1.9. MODALIDADES DE SERVICIOS QUE PUEDEN PRESTAR LAS SOCIEDADES FIDUCIARIAS A TRAVÉS DE CORRESPONSALES. <Artículo modificado por el artículo 1 del Decreto 2672 de 2012. El nuevo texto es el siguiente:> Las sociedades fiduciarias, en desarrollo de las operaciones autorizadas conforme a su régimen legal, podrán prestar por medio de corresponsales los siguientes servicios:
1. Recaudo y pago de recursos asociados a las operaciones autorizadas a las sociedades fiduciarias.
2. Recolección y entrega de documentación e información relacionada con las operaciones autorizadas a las sociedades fiduciarias.
3. Expedición y entrega de extractos.
PARÁGRAFO. Los corresponsales de sociedades fiduciarias no podrán vincular ni prestar ningún tipo de asesoría para la vinculación de clientes.
ARTÍCULO 2.36.9.1.10. CONDICIONES PARA LA REALIZACIÓN DE LAS ACTIVIDADES DE CORRESPONSAL. <Artículo modificado por el artículo 1 del Decreto 2672 de 2012. El nuevo texto es el siguiente:> Las operaciones que se realicen por medio de corresponsales deberán efectuarse única y exclusivamente a través de terminales electrónicos o medios tecnológicos conectados con las plataformas tecnológicas de las entidades que presten sus servicios a través de aquellos, dependiendo de la modalidad de servicio que pretenda prestar. Dichos terminales o medios deberán cumplir con las características mínimas que determine la Superintendencia Financiera de Colombia.
PARÁGRAFO. Los corresponsales deberán mantener total independencia e individualización de los documentos y registros originados o que sean producto de la actividad que desarrollan como corresponsales, respecto de la actividad principal que ejercen conforme a su objeto social.
ARTÍCULO 2.36.9.1.11. CONTENIDO DE LOS CONTRATOS. <Artículo modificado por el artículo 7 del Decreto 222 de 2020. El nuevo texto es el siguiente:> Los contratos celebrados entre las entidades mencionadas en el artículo 2.36.9.1.1 y sus corresponsales, deberán contener, como mínimo, lo siguiente”:
1. La indicación expresa de la plena responsabilidad de la entidad frente al cliente o usuario, por los servicios prestados por medio del corresponsal.
2. Las obligaciones de ambas partes.
3. Sin perjuicio de lo previsto en el numeral 1 del presente artículo, la identificación de los riesgos asociados a la prestación de los servicios que serán asumidos por el corresponsal frente a la entidad que lo contrata, y la forma en que aquel responderá ante esta, incluyendo, entre otros, los riesgos inherentes al manejo del efectivo.
4. Las medidas para mitigar o cubrir los riesgos asociados a la prestación de los servicios autorizados, incluyendo aquellas relacionadas con la prevención y el control del lavado de activos y financiación del terrorismo. Tales medidas deberán incluir como mínimo el establecimiento de límites para la prestación de los servicios, como monto por transacción, número de transacciones por cliente o usuario y tipo de transacción.
5. La obligación del corresponsal y/o entidad que lo contrata para la prestación de sus servicios, según corresponda, debe entregar a los clientes y usuarios el soporte de la transacción realizada, el cual deberá ser expedido en forma física o electrónica y deberá incluir cuando menos la fecha, hora, tipo y monto de la transacción, así como el corresponsal y la entidad por cuenta de quien se presta el servicio.
6. La remuneración a favor del corresponsal y a cargo de la entidad que lo contrata para la prestación de sus servicios, y la forma de pago.
7. Los horarios de atención al público, los cuales podrán ser acordados libremente entre las partes.
8. La asignación del respectivo corresponsal a una agencia, sucursal o dependencia de la entidad, así como los canales y procedimientos que podrá emplear el corresponsal para comunicarse con aquellas. En el caso de entidades aseguradoras no se podrá asignar el corresponsal a una agencia.
9. La obligación de reserva a cargo del corresponsal respecto de la información de los clientes y usuarios de la entidad.
10. La obligación de la entidad de brindar acceso a los corresponsales a los manuales operativos que sean necesarios para la adecuada prestación de los servicios.
11. La constancia expresa de que la entidad ha suministrado al respectivo corresponsal la debida capacitación para prestar adecuadamente los servicios acordados, así como la obligación de tales entidades de proporcionar dicha capacitación durante la ejecución del contrato, cuando se produzca algún cambio en el mismo o en los manuales operativos mencionados en el numeral anterior, o ello sea requerido por el corresponsal.
12. La obligación del corresponsal de mantener durante la ejecución del contrato la idoneidad, la infraestructura técnica y/o de recursos humanos, adecuada para la prestación de los servicios, de acuerdo con las disposiciones que para el efecto prevea la Superintendencia Financiera de Colombia, así como la DIAN en lo que respecta a los profesionales de compra y venta de divisas.
13. La obligación del corresponsal de cumplir con las condiciones operativas que establezca la Superintendencia Financiera de Colombia para la prestación de servicios a través de corresponsales.
14. En el evento en que varias entidades vayan a prestar sus servicios por medio de un mismo corresponsal, o cuando un corresponsal lo sea de una o varias de tales entidades, los mecanismos que aseguren la debida diferenciación de los servicios prestados por cada una de las mencionadas entidades, así como la obligación del corresponsal de abstenerse de realizar actos de discriminación o preferencia entre estos o que impliquen competencia desleal entre los mismos.
15. La indicación de si el corresponsal se encontrará autorizado para emplear el efectivo recibido de los clientes y usuarios de la entidad para transacciones relacionadas con su propio negocio y, en tal caso, los términos y condiciones en que el efectivo podrá emplearse, sin perjuicio de la responsabilidad de la entidad que presta sus servicios a través del corresponsal frente a los clientes y usuarios, y del corresponsal frente a la entidad, por tales recursos.
PARÁGRAFO 1o. Las entidades y sus corresponsales podrán convenir, además, medidas como la obligación del corresponsal de consignar en una agencia o sucursal de la entidad contratante o de otro establecimiento de crédito el efectivo recibido, con una determinada periodicidad o si se exceden ciertos límites, la contratación de seguros, la forma de custodia del efectivo en su poder, entre otros. Las entidades podrán otorgar a sus corresponsales fijos y móviles, un cupo máximo de operación, el cual podrá ser previamente fondeado por el corresponsal, según lo pacten las partes.
Así mismo, podrán convenir las condiciones bajo las cuales los corresponsales podrán o no utilizar su red de oficinas, agencias, sucursales, franquicias y plataformas tecnológicas para prestar los servicios autorizados en el presente capítulo, con indicación expresa de la responsabilidad que asume la entidad de verificar de manera directa la idoneidad y la calidad en la prestación de los servicios por parte de su corresponsal.
PARÁGRAFO 2o. Se deberán incluir además, las siguientes prohibiciones para el corresponsal:
1. Operar cuando se presente una falla de comunicación que impida que las transacciones se puedan realizar en línea con la entidad contratante de corresponsalía correspondiente, en los casos en que la transacción deba realizarse en línea.
Para la prestación de servicios por parte de entidades aseguradoras a través de corresponsales, no se requerirá operar en línea y, en todo caso, será responsabilidad de la entidad aseguradora establecer mecanismos para garantizar la oportunidad en la transmisión de la documentación y/o información.
2. Ceder el contrato total o parcialmente, sin la expresa aceptación de la entidad.
3. Subcontratar total o parcialmente, sin la expresa aceptación de la entidad.
4. Cobrar para sí mismo a los clientes o usuarios cualquier tarifa relacionada con la prestación de los servicios previstos en el contrato.
5. Ofrecer o prestar cualquier tipo de garantía a favor de los clientes o usuarios respecto de los servicios prestados.
6. Prestar servicios financieros por cuenta propia. Se deberá incluir la advertencia que la realización de tales actividades acarreará las consecuencias previstas en el artículo 108 del Estatuto Orgánico del Sistema Financiero, y en las demás normas penales pertinentes
ARTÍCULO 2.36.9.1.12. PUBLICIDAD Y ENTREGA DE DOCUMENTACIÓN E INFORMACIÓN. <Artículo modificado por el artículo 1 del Decreto 2672 de 2012. El nuevo texto es el siguiente:> Los corresponsales podrán promover, publicitar, recolectar y entregar documentación e información relacionada con los servicios autorizados a ellos y previstos en el presente decreto.
<Inciso modificado por el artículo 8 del Decreto 222 de 2020. El nuevo texto es el siguiente:> Así mismo, los corresponsales podrán entregar documentos publicitarios de los servicios ofrecidos por las entidades mencionadas en el artículo 2.36.9.1.1
ARTÍCULO 2.36.9.1.13. INFORMACIÓN A LOS CLIENTES Y USUARIOS. <Artículo modificado por el artículo 9 del Decreto 222 de 2020. El nuevo texto es el siguiente:> Las entidades mencionadas en el artículo 2.36.9.1.1, que presten sus servicios a través de corresponsales suministrarán a los usuarios, a través de cualquier medio de forma comprensible, transparente, clara, veraz y oportuna, la siguiente información:
1. La denominación “Corresponsal” y el tipo de corresponsalía, señalando la entidad contratante.
2. Que la entidad es plenamente responsable frente a los clientes y usuarios por los servicios prestados por medio del corresponsal.
3. Que el corresponsal no está autorizado para prestar servicios financieros por cuenta propia.
4. Los límites para la prestación de los servicios que se hayan establecido, tales como monto por transacción, número de transacciones por cliente o usuario, o tipo de transacción.
5. Las tarifas que cobra la entidad por cada uno de los servicios que se ofrecen por medio del corresponsal.
6. Los horarios convenidos con la entidad para atención al público.
PARÁGRAFO. La información a que se refieren los numerales 1, 2 y 3 del presente artículo deberá indicarse, además, en la papelería y, en general, en la documentación diligenciada por el corresponsal, excepto en el soporte de la transacción realizada de que trata el numeral 5 del artículo 2.36.9.1.11.
ARTÍCULO 2.36.9.1.14 OBLIGACIONES DE LAS ENTIDADES. <Artículo modificado por el artículo 10 del Decreto 222 de 2020. El nuevo texto es el siguiente:> Las entidades mencionadas en el artículo 2.36.9.1.1, que presten sus servicios a través de corresponsales deberán:
1. Adoptar la decisión de operar a través de corresponsales por medio de su junta directiva u órgano que haga sus veces, la cual establecerá los lineamientos generales en materia de segmentos de mercado que se atenderán, perfil de los corresponsales y gestión de riesgos asociados a la prestación de servicios por medio de este canal.
2. Contar con medios de divulgación apropiados para informar a los clientes y usuarios acerca de la ubicación y servicios que se presten a través de corresponsales, así como sobre las tarifas que cobran por tales servicios.
3. Monitorear permanentemente el cumplimiento de las obligaciones de los corresponsales, así como establecer procedimientos adecuados de control interno y de prevención y control de lavado de activos y financiación del terrorismo relacionados con la prestación de los servicios por medio de corresponsales.
PARÁGRAFO 1o. Los intermediarios del mercado cambiario deberán verificar previamente a la celebración del contrato con el corresponsal cambiario el cumplimiento de los requisitos a que se refiere el artículo 2.36.9.1.3 del presente título.
PARÁGRAFO 2o. Las entidades deberán abstenerse de delegar en los corresponsales la toma de las decisiones sobre la celebración de contratos con clientes, sin perjuicio de la labor de recolección de documentación e información que, conforme el presente capítulo, tengan autorizado.
ARTÍCULO 2.36.9.1.15 DISPONIBILIDAD DE LOS CONTRATOS. <Artículo modificado por el artículo 11 del Decreto 222 de 2020. El nuevo texto es el siguiente:> Las entidades mencionadas en el artículo 2.36.9.1.1, que presten sus servicios a través de corresponsales deberán mantener a disposición de la Superintendencia Financiera de Colombia la información completa y actualizada de los corresponsales y de los contratos celebrados con ellos y sus modificaciones, en su domicilio principal.
De conformidad con los literales a), d), e) y f) del numeral 4 del artículo 326 del Estatuto Orgánico del Sistema Financiero, la Superintendencia Financiera de Colombia podrá efectuar visitas de inspección a los corresponsales y exigir toda la información que considere pertinente.
La Superintendencia Financiera de Colombia señalará las instrucciones que las entidades deben seguir para la administración de los riesgos implícitos en la prestación de servicios a través de corresponsales, en particular los riesgos operativo y de lavado de activos, incluyendo las especificaciones mínimas que deberán tener los medios tecnológicos que utilicen para la prestación de los servicios, tanto en lo relacionado con la transmisión de la información como con los terminales electrónicos.
Así mismo, la Superintendencia Financiera de Colombia señalará las instrucciones pertinentes para la realización de las distintas operaciones previstas en los artículos 2.36.9.1.4 a 2.36.9.1.9 y 2.36.9.1.17 del presente decreto.
Para el caso de las entidades aseguradoras, deberán enviar a la Superintendencia Financiera de Colombia los modelos de las pólizas de seguros que se comercializarán a través de los corresponsales, en los términos del artículo 184 del Estatuto Orgánico del Sistema Financiero.
PARÁGRAFO. Sin perjuicio de lo anterior, la Dirección de Impuestos y Aduanas Nacionales (DIAN), continuará controlando el ejercicio de las actividades de los Profesionales de Compra y Venta de Divisas a que se refiere el artículo 100 de la Ley 1328 de 2009, de conformidad con lo previsto en el presente título y la Resolución número 000061 de 2017, y las normas que la modifiquen, adicionen o sustituyan.
ARTÍCULO 2.36.9.1.16. EJERCICIO ILEGAL DE LAS ACTIVIDADES RESERVADAS A LAS ENTIDADES VIGILADAS POR LA SUPERINTENDENCIA FINANCIERA DE COLOMBIA. <Artículo modificado por el artículo 1 del Decreto 2672 de 2012. El nuevo texto es el siguiente:> En caso de que el corresponsal realice por cuenta propia operaciones exclusivas de las entidades vigiladas por la Superintendencia Financiera de Colombia, se hará acreedor a las medidas y sanciones previstas en el artículo 108 del Estatuto Orgánico del Sistema Financiero y demás normas concordantes.
Lo anterior, sin perjuicio de las sanciones establecidas en el régimen cambiario para el caso de la corresponsalía de IMC.
ARTÍCULO 2.36.9.1.17. MODALIDADES DE SERVICIOS QUE PUEDEN PRESTAR LAS ENTIDADES ASEGURADORAS POR MEDIO DE CORRESPONSALES. <Artículo adicionado por el artículo 11 del Decreto 34 de 2015. El nuevo texto es el siguiente:> Las entidades aseguradoras podrán prestar, por medio de corresponsales, uno o varios de los siguientes servicios, de acuerdo con las operaciones autorizadas conforme a su régimen legal:
1. Comercialización de las pólizas que pertenezcan a los ramos de seguros que cumplan con las condiciones de universalidad, sencillez, estandarización y comercialización masiva definidas en el artículo 2.31.2.2.1 y que estén autorizadas para comercializarse por medio de corresponsales de acuerdo con el artículo 2.36.9.1.18 del presente decreto.
2. Recaudo de primas y pago de indemnizaciones de cualquier ramo de seguros.
3. <Numeral modificado por el artículo 5 del Decreto 2123 de 2018. El nuevo texto es el siguiente:> Entrega y recepción de solicitudes de seguros y sus anexos, pólizas y anexos, condiciones generales, particulares y sus extractos, certificaciones y documentos necesarios para la reclamación del siniestro, de cualquier ramo de seguros.
PARÁGRAFO 1o. Para efectos de los seguros que podrán ser comercializados a través de terceros corresponsales, la Superintendencia Financiera de Colombia determinará las exclusiones aplicables; adicional a lo anterior, estos seguros deberán contar con un procedimiento simplificado de radicación y resolución de la reclamación.
PARÁGRAFO 2o. La inexactitud o reticencia, se predicarán de acuerdo con lo establecido en el inciso 1o del artículo 1058 del Código de Comercio, para lo cual, se deberán observar las disposiciones de contenido mínimo de los cuestionarios establecidos por la Superintendencia Financiera de Colombia
PARÁGRAFO 3o. Lo dispuesto en el presente artículo aplica también para la comercialización de seguros a través de los corresponsales de las entidades financieras con las cuales se tenga un convenio de uso de red en los términos del Capítulo 2 del Título 2 del Libro 31 de la Parte 2 del presente decreto.
ARTÍCULO 2.36.9.1.18 RAMOS DE SEGUROS QUE SE PUEDEN COMERCIALIZAR A TRAVÉS DE CORRESPONSALES. <Artículo modificado por el artículo 6 del Decreto 2123 de 2018. El nuevo texto es el siguiente:>
Se consideran idóneos para ser comercializados mediante corresponsales los siguientes ramos, siempre y cuando las pólizas cumplan con los requisitos establecidos en el artículo 2.31.2.2.1 del presente decreto:
1. Seguro Obligatorio de Accidentes de Tránsito.
2. Seguro de exequias.
3. Seguro de desempleo.
4. Seguro de vida individual.
5. Seguro de accidentes personales.
6. Seguro agrícola.
7. Seguro de responsabilidad civil.
8. Seguro del hogar.
9. Seguro colectivo de vida.
10. Seguro vida grupo.
11. Los demás ramos que la Superintendencia Financiera de Colombia establezca, de acuerdo con la evaluación de riesgos y condiciones que resulten aplicables para garantizar el cumplimiento de lo establecido en el artículo 2.31.2.2.1 del presente decreto.
PARÁGRAFO 1. Se entienden autorizadas todas aquellas operaciones de recaudo, recepción, pago, transferencia, entrega de dinero. Adicionalmente, la entrega y recepción de solicitudes, documentos, informes, boletines, certificados y en general toda aquella información relacionada con los seguros comercializados a través de corresponsales.
PARÁGRAFO 2. En la realización del contrato de seguro, adquirido a través de corresponsales, no se podrán exigir condiciones previas para el inicio del amparo de la póliza o para la subsistencia de la misma. De la misma manera, las condiciones del mismo no podrán ser modificadas unilateralmente por la compañía aseguradora.
ARTÍCULO 2.36.9.1.19. CONDICIONES ADICIONALES PARA LOS CORRESPONSALES DE ENTIDADES ASEGURADORAS. <Artículo adicionado por el artículo 13 del Decreto 34 de 2015. El nuevo texto es el siguiente:> En adición a lo dispuesto en el presente Capítulo las entidades aseguradoras y los corresponsales de estas, según cada caso, deberán dar cumplimiento a lo dispuesto en los artículos 2.31.2.2.1 y 2.31.2.2.3 del presente decreto.
ARTÍCULO 2.36.9.1.20 RÉGIMEN DE CORRESPONSALES DE LAS SOCIEDADES ESPECIALIZADAS EN DEPÓSITOS Y PAGOS ELECTRÓNICOS, (SEDPE). <Artículo adicionado por el artículo 7 del Decreto 1491 de 2015. El nuevo texto es el siguiente:> El régimen aplicable a las Sociedades Especializadas en Depósitos y Pagos Electrónicos, (SEDPE) sobre servicios financieros prestados a través de corresponsales, será el establecido en el presente capítulo para los establecimientos de crédito, atendiendo el objeto exclusivo de las Sociedades Especializadas en Depósitos y Pagos Electrónicos, (SEDPE) consagrada en la Ley 1735 de 2014.
PROGRAMAS PUBLICITARIOS DE LAS ENTIDADES SOMETIDAS A LA INSPECCIÓN Y VIGILANCIA DE LA SUPERINTENDENCIA FINANCIERA DE COLOMBIA.
<Título adicionado por el artículo 5 del Decreto 4802 de 2010>
ARTÍCULO 2.36.10.1.1 PROGRAMAS PUBLICITARIOS. <Artículo adicionado por el artículo 5 del Decreto 4802 de 2010. El nuevo texto es el siguiente:> Los programas publicitarios de las entidades mencionadas en el numeral 1 del parágrafo 3o del artículo 75 de la Ley 964 de 2005, se sujetarán a lo establecido en el literal c) del numeral 2 del artículo 326 del Estatuto Orgánico del Sistema Financiero
PROGRAMAS PUBLICITARIOS PARA LA PROMOCIÓN DE VALORES.
<Título 11 adicionado por el artículo 6 del Decreto 4802 de 2010>
DISPOSICIONES GENERALES.
ARTÍCULO 2.36.11.1.1. CAMPAÑAS Y MENSAJES PUBLICITARIOS. <Artículo adicionado por el artículo 6 del Decreto 4802 de 2010. El nuevo texto es el siguiente:> Las campañas y los mensajes publicitarios que tengan por objeto promover los valores que se ofrezcan al público, directamente por sus emisores o por conducto de intermediarios de valores, deberán ajustarse a las disposiciones contenidas en el presente título.
ARTÍCULO 2.36.11.1.2. OBLIGACIÓN DE PUBLICAR LA CALIFICACIÓN. <Artículo adicionado por el artículo 6 del Decreto 4802 de 2010. El nuevo texto es el siguiente:> La publicidad encaminada a promover los valores que hayan sido objeto de una calificación por parte de una sociedad calificadora de valores autorizada por la Superintendencia Financiera de Colombia deberán mencionar la calificación que se haya otorgado a los mismos, cualquiera sea el medio utilizado para su promoción.
ARTÍCULO 2.36.11.1.3. OBLIGACIÓN DE INFORMAR LA INSCRIPCIÓN. <Artículo adicionado por el artículo 6 del Decreto 4802 de 2010. El nuevo texto es el siguiente:> En todos los casos deberá indicarse que el valor que se promueve se encuentra inscrito en el Registro Nacional de Valores y Emisores - RNVE.
ARTÍCULO 2.36.11.1.4. VERACIDAD DE LA INFORMACIÓN. <Artículo adicionado por el artículo 6 del Decreto 4802 de 2010. El nuevo texto es el siguiente:> Las características jurídicas, económicas o financieras de los valores que se pretendan promover, del emisor de los mismos o del activo subyacente en los casos de titularización, deben ser ciertas y comprobables.
ARTÍCULO 2.36.11.1.5. CARÁCTER VERIFICABLE DE LA INFORMACIÓN. <Artículo adicionado por el artículo 6 del Decreto 4802 de 2010. El nuevo texto es el siguiente:> Si los textos comprenden el empleo de superlativos, términos que indiquen preeminencia, o cifras o datos específicos, ellos deberán corresponder fielmente a hechos objetivos, reales, comprobables y verificables a la fecha en que se difunda la campaña o el mensaje publicitario, los cuales podrán ser constatados directamente y en cualquier momento por la Superintendencia Financiera de Colombia.
ARTÍCULO 2.36.11.1.6. EXACTITUD DE LA INFORMACIÓN. <Artículo adicionado por el artículo 6 del Decreto 4802 de 2010. El nuevo texto es el siguiente:> Cuando quiera que en la publicidad de valores se utilicen cifras deberá identificarse claramente el período al cual corresponden y la fuente de donde han sido tomadas. El uso de indicadores para evidenciar una situación determinada, tanto respecto del valor como de su emisor o de los activos subyacentes en el caso de titularización, no debe dar lugar a equívocos.
ARTÍCULO 2.36.11.1.7. VALORES EMITIDOS EN DESARROLLO DE PROCESOS DE TITULARIZACIÓN. <Artículo adicionado por el artículo 6 del Decreto 4802 de 2010. El nuevo texto es el siguiente:> Cuando se promuevan valores emitidos en desarrollo de procesos de titularización tal circunstancia debe ser plenamente identificada en la publicidad que se efectúe para tal efecto, indicando la modalidad adoptada por tales valores, esto es, si son de participación, de contenido crediticio o mixtos.
RÉGIMEN DE AUTORIZACIÓN.
ARTÍCULO 2.36.11.2.1 AUTORIZACIÓN GENERAL. <Artículo adicionado por el artículo 6 del Decreto 4802 de 2010. El nuevo texto es el siguiente:> Las campañas o mensajes publicitarios que tenían por objeto la promoción de valores entre el público se entienden autorizados siempre que cumplan con las disposiciones contenidas en el capítulo anterior.
ARTÍCULO 2.36.11.2.2 VERIFICACIÓN. <Artículo adicionado por el artículo 6 del Decreto 4802 de 2010. El nuevo texto es el siguiente:> Quien contrate o realice directamente la publicidad encaminada a promover valores deberá remitir a la Superintendencia Financiera de Colombia, dentro de los cinco (5) días hábiles siguientes a la fecha del lanzamiento de la campaña o difusión del respectivo mensaje, todos los documentos y soportes que integren la publicidad, los cuales deben permitir identificar el medio de comunicación o mecanismo empleado, el período o períodos de difusión y demás características o condiciones.
Así mismo deberá acompañarse un documento suscrito por el representante legal en el cual certifique que la mencionada publicidad se ajusta a la realidad económica, jurídica y financiera de los valores, del emisor de los mismos o de los activos subyacentes en el caso de titularización, según sea el caso.
La Superintendencia Financiera de Colombia podrá en cualquier momento suspender las campañas o mensajes publicitarios que no se ajusten o no hayan cumplido los lineamientos establecidos en este título, ordenar su rectificación por los mismos medios utilizados para su divulgación sin perjuicio de la imposición de las sanciones pecuniarias que sean del caso.
ARTÍCULO 2.36.11.2.3 AUTORIZACIÓN INDIVIDUAL. <Artículo adicionado por el artículo 6 del Decreto 4802 de 2010. El nuevo texto es el siguiente:> A quien se suspenda una campaña publicitaria o se le ordene su rectificación no podrá hacer uso del régimen de autorización general para la promoción de valores por el término que para el efecto indique la Superintendencia Financiera de Colombia.
En este evento se requerirá que cualquier campaña o mensaje publicitario encaminado a la promoción de valores deberá ser sometida a la autorización previa de la Superintendencia Financiera de Colombia”.
RÉGIMEN APLICABLE A LAS SUCURSALES DE BANCOS Y COMPAÑÍAS DE SEGUROS DEL EXTERIOR.
<Título adicionado por el artículo 1 del Decreto 2838 de 2013. El nuevo texto es el siguiente:>
DISPOSICIONES GENERALES.
ARTÍCULO 2.36.12.1.1. RÉGIMEN GENERAL. <Artículo adicionado por el artículo 1 del Decreto 2838 de 2013. El nuevo texto es el siguiente:> De conformidad con lo dispuesto en los artículos 45A y siguientes del Estatuto Orgánico del Sistema Financiero, adicionado por el artículo 65 de la Ley 1328 de 2009, las sucursales de bancos y compañías de seguros del exterior se deberán regir, en todo lo que resulte pertinente, por las normas aplicables a los establecimientos bancarios y a las compañías de seguros constituidas en Colombia, con excepción de lo que se establezca al respecto en disposiciones especiales.
Cuando no exista disposición especial aplicable, y siempre que no sea contrario a la naturaleza de dichas entidades, las sucursales de bancos y compañías de seguros del exterior se regirán por lo dispuesto en el Código de Comercio para sucursales de sociedades extranjeras.
DISPOSICIONES ESPECIALES.
ARTÍCULO 2.36.12.2.1. CAPITAL ASIGNADO A LAS SUCURSALES DE BANCOS Y COMPAÑÍAS DE SEGUROS DEL EXTERIOR. <Artículo adicionado por el artículo 1 del Decreto 2838 de 2013. El nuevo texto es el siguiente:> Tratándose de las sucursales de bancos y compañías de seguros del exterior, todas las referencias que hagan las disposiciones legales aplicables de establecimientos bancarios y compañías de seguros al capital suscrito y pagado de los mismos, se entenderán efectuadas a la cuenta de capital asignado a la sucursal del banco o compañía de seguros del exterior.
En cualquier caso, queda entendido que, tratándose de sucursales de bancos y compañías de seguros del exterior, no resulta aplicable el plazo de un año previsto en el numeral primero del artículo 81 del Estatuto Orgánico del Sistema Financiero para el pago del capital suscrito.
ARTÍCULO 2.36.12.2.2. PERMANENCIA DEL CAPITAL ASIGNADO. <Artículo adicionado por el artículo 1 del Decreto 2838 de 2013. El nuevo texto es el siguiente:> El capital asignado a las sucursales de bancos y compañías de seguros del exterior deberá estar respaldado permanentemente por activos ubicados en Colombia, de conformidad con las disposiciones que para el efecto establezca la Superintendencia Financiera de Colombia.
ARTÍCULO 2.36.12.2.3. APODERADO DE LA SUCURSAL EN COLOMBIA. <Artículo adicionado por el artículo 1 del Decreto 2838 de 2013. El nuevo texto es el siguiente:> El apoderado que sea designado como representante legal de la sucursal en Colombia en desarrollo de lo dispuesto en el numeral 3 del artículo 45B del Estatuto Orgánico del Sistema Financiero o la norma que lo modifique o sustituya deberá ser residente en el país y contar, por lo menos, con un suplente, que lo reemplazará en sus faltas temporales o permanentes.
ARTÍCULO 2.36.12.2.4. AUTORIZACIÓN DE LA SUPERINTENDENCIA EN EL CASO DE LA OCURRENCIA DE CIERTOS EVENTOS. <Artículo adicionado por el artículo 1 del Decreto 2838 de 2013. El nuevo texto es el siguiente:> La fusión, escisión, conversión, adquisición, cesión de activos, pasivos y contratos y, en general, cualquier transacción que involucre, directa o indirectamente, a una sucursal de un banco o compañía de seguros del exterior en Colombia, así como la cesión de la cartera de una compañía de seguros del exterior que verse sobre activos de su sucursal en Colombia requerirá autorización previa de la Superintendencia Financiera de Colombia, únicamente respecto de la operación de la sucursal en el país y para efectos de continuar operando en Colombia, en los términos y sujeto a las condiciones y procedimientos previstos en el Estatuto Orgánico del Sistema Financiero, en especial en los artículos 56 y 71.4.
Igualmente, la Superintendencia Financiera de Colombia deberá ser informada de cualquier otro acto o hecho jurídico y/o económico que incida en la operación de la sucursal del exterior en Colombia, o que conlleve una modificación de los elementos o condiciones bajo los cuales esta otorgó la autorización de constitución a dicha sucursal, con el fin de revisar y revalidar, si fuera el caso, la autorización concedida a la sucursal respectiva.
PARÁGRAFO. La Superintendencia Financiera de Colombia podrá solicitar en cualquier momento a la entidad del exterior la actualización de la información requerida en el trámite de solicitud de constitución de la sucursal, de conformidad con lo dispuesto en el artículo 53 del Estatuto Orgánico del Sistema Financiero.
ACTIVIDAD DE CUSTODIA DE VALORES.
DEFINICIÓN, SERVICIOS Y PRINCIPIOS.
ARTÍCULO 2.37.1.1.1 DEFINICIÓN DE LA ACTIVIDAD DE CUSTODIA DE VALORES. <Artículo corregido por el por el artículo 1 del Decreto 1498 de 2013. El nuevo texto es el siguiente:> La custodia de valores es una actividad del mercado de valores por medio de la cual el custodio ejerce el cuidado y la vigilancia de los valores y recursos en dinero del custodiado para el cumplimiento de operaciones sobre dichos valores.
En ejercicio de esta actividad, el custodio deberá ejercer como mínimo la salvaguarda de los valores, la compensación y liquidación de las operaciones realizadas sobre dichos valores, así como la administración de los derechos patrimoniales que de ellos emanan, en los términos establecidos en el presente decreto.
ARTÍCULO 2.37.1.1.2 SERVICIOS OBLIGATORIOS. <Artículo corregido por el por el artículo 1 del Decreto 1498 de 2013. El nuevo texto es el siguiente:> En ejercicio de la actividad de custodia de valores, de que trata el artículo 2.37.1.1.1 del presente decreto, el custodio deberá prestar de manera obligatoria los siguientes servicios:
1. Salvaguarda de los valores: Por medio del cual se custodian los valores, así como los recursos en dinero del custodiado para el cumplimiento de operaciones sobre dichos valores. De igual manera, se asegura que la anotación en cuenta a nombre del custodiado sea realizada en un depósito de valores, o en un subcustodio, según sea el caso. Para este efecto, los depósitos centralizados de valores serán los encargados de prestar el servicio de depósito de valores y anotación en cuenta a los custodios.
La salvaguarda de los activos incluye el manejo de las cuentas bancarias del custodiado, con el propósito de realizar la compensación y liquidación de operaciones que se realicen sobre los valores que son objeto de la actividad de custodia.
2. Compensación y liquidación de operaciones: Por medio del cual el custodio, de acuerdo con las instrucciones del custodiado o la persona autorizada por este, participa desde la etapa de confirmación en el proceso de la compensación de operaciones sobre valores, y realiza las labores necesarias para liquidar definitivamente las operaciones sobre valores que haya ratificado el custodiado. Dicha liquidación implica el cargo o abono de dinero o valores de la cuenta del custodiado, así como las órdenes necesarias para realizar el pago asociado a la operación correspondiente, y las demás gestiones y trámites a que haya lugar para el cumplimiento de la operación.
Para el caso de las operaciones aceptadas por una cámara de riesgo central de contraparte para su compensación y liquidación, el custodio, de acuerdo con las instrucciones del custodiado, participará en los términos y condiciones establecidas en el reglamento de la cámara de riesgo central de contraparte, en el cumplimiento de las obligaciones del custodiado derivadas de las operaciones que se compensen y liquiden a través de dicha cámara.
3. Administración de derechos patrimoniales: Por medio del cual el custodio realiza el cobro de los rendimientos, dividendos y del capital asociados a los valores del custodiado.
PARÁGRAFO. Además de los servicios obligatorios establecidos en el presente artículo, en el caso de custodia sobre valores de los fondos de inversión colectiva, el custodio deberá verificar el cumplimiento de las normas del reglamento, así como de los límites, restricciones y prohibiciones legales aplicables a las operaciones del fondo de inversión colectiva que versen sobre los valores custodiados. La ejecución de esta obligación deberá llevarse a cabo por el custodio sin perjuicio del cumplimiento de las operaciones encomendadas a su cargo, de que se realice la verificación del cumplimiento de dichas normas, y de que se ejecute la obligación establecida en el numeral 5 del artículo 2.37.2.1.5 del presente decreto.
ARTÍCULO 2.37.1.1.3 SERVICIOS COMPLEMENTARIOS. <Artículo corregido por el por el artículo 1 del Decreto 1498 de 2013. El nuevo texto es el siguiente:> Adicionalmente a los servicios obligatorios establecidos en el artículo 2.37.1.1.2 del presente decreto, el custodio y el custodiado podrán pactar la prestación de los siguientes servicios complementarios por parte del custodio:
1. Administración de derechos políticos: Por medio del cual el custodio ejerce los derechos políticos inherentes a los valores objeto de custodia, de acuerdo con las instrucciones que para el efecto le imparta el custodiado.
2. Valoración: Por medio del cual el custodio efectúa la valoración de los valores objeto de custodia de acuerdo con lo dispuesto en las normas aplicables a dichos valores.
3. Transferencia temporal de valores: <Numeral modificado por el artículo 9 del Decreto 1351 de 2019. El nuevo texto es el siguiente:> El custodiado podrá autorizar al custodio para que actúe en nombre y por cuenta de este en calidad de agente de transferencia de valores para la administración, negociación y liquidación de las operaciones de transferencia temporal de valores realizadas respecto de los valores custodiados.
Cuando la operación de transferencia temporal de valores sea realizada en el mercado mostrador, deberá ser registrada en un sistema de registro de operaciones sobre valores autorizado por la Superintendencia Financiera de Colombia, para lo cual podrá pactarse que dicha obligación sea cumplida por el custodio.
El custodio tendrá a su cargo la administración de las garantías y el cumplimiento de la operación, en los términos establecidos por el custodiado. El riesgo de contraparte derivado de la operación será asumido de conformidad con lo acordado por el custodio y el custodiado.
El custodio será responsable de la disponibilidad de los valores objeto de las operaciones de transferencia temporal de valores.
En el desarrollo de este servicio el custodio deberá emplear los mecanismos que considere necesarios a efectos de garantizar el ejercicio de los derechos patrimoniales y políticos inherentes a los valores custodiados.
Cuando el custodio preste el servicio de que trata el presente numeral, deberá contar con políticas internas para la adecuada administración de las garantías y gestión de los riesgos asociados, así como aquellas que garanticen transparencia en la prelación del cumplimiento de las operaciones realizadas para los diferentes portafolios custodiados, y que permitan gestionar los conflictos de interés que se presenten en el desarrollo de este servicio.
4. Obligaciones Fiscales: Cumplimiento de las obligaciones fiscales que se encuentren en cabeza del custodiado, respecto de los valores entregados en custodia.
5. Obligaciones Cambiarias: Cumplimiento de las obligaciones cambiarias que se encuentren en cabeza del custodiado, respecto de los valores entregados en custodia.
PARÁGRAFO 1o. Los servicios complementarios de la custodia de valores, de que trata el presente artículo, deberán ser prestados por parte de la misma entidad que presta al custodiado los servicios obligatorios de custodia.
PARÁGRAFO 2o. En caso de que el custodiado y el custodio decidan que los servicios complementarios contemplados en el presente artículo no sean prestados por este último, el custodiado será responsable por la realización de las correspondientes actividades.
ARTÍCULO 2.37.1.1.4 SERVICIOS ESPECIALES DE CUSTODIA DE LOS VALORES QUE HACEN PARTE DE LOS PORTAFOLIOS DE FONDOS DE INVERSIÓN COLECTIVA. <Artículo corregido por el por el artículo 1 del Decreto 1498 de 2013. El nuevo texto es el siguiente:> Además de los servicios obligatorios y complementarios establecidos en los artículos 2.37.1.1.2 y 2.37.1.1.3 del presente decreto, en el caso de la custodia de los valores que hacen parte de los portafolios de fondos de inversión colectiva, el custodio de conformidad con lo pactado con el custodiado, podrá prestar adicionalmente los siguientes servicios especiales:
1. Valoración del portafolio del fondo de inversión colectiva y sus participaciones, de acuerdo con lo dispuesto en el reglamento del mismo, las demás normas aplicables y las instrucciones impartidas por la Superintendencia Financiera de Colombia, y
2. Contabilidad del fondo de inversión colectiva custodiado, de acuerdo con las reglas que sobre el particular establezca la Superintendencia Financiera de Colombia. Para el efecto, el administrador del fondo de inversión colectiva deberá suministrarle oportunamente al custodio toda la información necesaria para la prestación de este servicio.
PARÁGRAFO 1o. Los servicios especiales de custodia de que trata el presente artículo, deberán ser prestados por parte de la misma entidad que presta al fondo de inversión colectiva custodiado los servicios obligatorios y complementarios de custodia, cuando sea el caso.
PARÁGRAFO 2o. En caso de que el custodiado y el custodio decidan que los servicios especiales contemplados en el presente artículo no sean prestados por este último, la sociedad administradora del fondo de inversión colectiva custodiado será responsable por la realización de las correspondientes actividades.
PARÁGRAFO 3o. En ningún caso la actividad de custodia de los valores que hacen parte de un fondo de inversión colectiva podrá ser desarrollada por la misma sociedad administradora del respectivo fondo o por el gestor externo en caso de existir.
ARTÍCULO 2.37.1.1.5 PRINCIPIOS. <Artículo corregido por el por el artículo 1 del Decreto 1498 de 2013. El nuevo texto es el siguiente:> Los principios que orientan la actividad de custodia de valores son:
a) Independencia. El ejercicio de la actividad de custodia requiere que las áreas, funciones y mecanismos de toma de decisiones susceptibles de entrar en conflicto de interés, se encuentren separadas decisoria, física y operativamente al interior del custodio;
b) Segregación. Los valores recibidos en custodia constituyen un patrimonio independiente y separado de los activos propios del custodio, y de aquellos que este custodie en virtud de otros negocios.
En consecuencia, los valores recibidos en custodia no son activos del custodio ni forman parte de la prenda general de los acreedores de este, y están excluidos de la masa de bienes que pueda conformarse para efectos de cualquier procedimiento concursal o de insolvencia del custodio, o de cualquier otra acción instaurada contra este;
c) Profesionalidad. El custodio en el ejercicio de su actividad deberá actuar de manera profesional, con la diligencia exigible a un experto prudente y diligente en la custodia de valores.
REQUISITOS DE AUTORIZACIÓN Y OBLIGACIONES DEL CUSTODIO.
ARTÍCULO 2.37.2.1.1 ENTIDADES AUTORIZADAS PARA EJERCER LA ACTIVIDAD DE CUSTODIA DE VALORES. <Artículo corregido por el por el artículo 1 del Decreto 1498 de 2013. El nuevo texto es el siguiente:> La actividad de custodia de valores solo podrá ser ejercida por las sociedades fiduciarias autorizadas por la Superintendencia Financiera de Colombia. Para el efecto, el custodio deberá celebrar con el custodiado el correspondiente contrato de custodia.
ARTÍCULO 2.37.2.1.2 COBERTURA. <Artículo corregido por el por el artículo 1 del Decreto 1498 de 2013. El nuevo texto es el siguiente:> El custodio deberá mantener durante todo el tiempo de la prestación de los servicios, mecanismos que amparen los siguientes riesgos:
1. Pérdida o daño causado por actos u omisiones culposos cometidos por sus directores, administradores o cualquier persona vinculada contractualmente con el custodio.
2. Pérdida o daño causado por actos de infidelidad de los directores, administradores o cualquier persona vinculada contractualmente con el custodio.
3. Pérdida o daño de valores en establecimientos o dependencias del custodio.
4. Pérdida o daño por falsificación o alteración de documentos.
5. Pérdida o daño por falsificación de dinero.
6. Pérdida o daño por fraude a través de sistemas computarizados.
7. Pérdida o daño por incumplimiento de las operaciones sobre valores, distinto a aspectos relacionados con el riesgo de crédito o contraparte.
La Superintendencia Financiera de Colombia podrá exigir pólizas de seguros o mecanismos similares para la protección de riesgos adicionales; así mismo, definirá las instrucciones para determinar la cuantía de las coberturas.
ARTÍCULO 2.37.2.1.3 REQUISITOS DE AUTORIZACIÓN PARA LA ACTIVIDAD DE CUSTODIA DE VALORES. <Artículo corregido por el por el artículo 1 del Decreto 1498 de 2013. El nuevo texto es el siguiente:> Las sociedades fiduciarias que pretendan ejercer la actividad de custodia de valores deberán obtener previamente la autorización de la Superintendencia Financiera de Colombia, para lo cual deberán acreditar el cumplimiento de los siguientes requisitos:
1. La inscripción en el Registro Nacional de Agentes del Mercado de Valores (RNAMV), en su calidad de custodios, en los términos y condiciones establecidos en el Título 1, Libro 3, Parte 5 del presente decreto o demás normas que los modifiquen o sustituyan.
2. La adopción de políticas, procedimientos y mecanismos, que garanticen que al interior de la sociedad fiduciaria, las áreas, funciones y sistemas de toma de decisiones susceptibles de generar conflicto de interés, estén separados decisoria, física y operativamente. En tal virtud, el custodio debe contar con una estructura organizacional que asegure que ejercerá su actividad de custodia de valores de manera separada e independiente de las demás actividades autorizadas.
3. Acreditación de la capacidad administrativa e infraestructura tecnológica y operativa, suficientes para desarrollar la actividad de custodia de valores, así como para identificar, medir, controlar y gestionar los riesgos inherentes a esta actividad.
4. Establecer medidas administrativas y de organización efectivas con el propósito de prevenir, administrar y revelar conflictos de interés y uso indebido de información privilegiada que la entidad reciba o conozca en razón o con ocasión de la actividad de custodia de valores.
5. Establecer medidas para garantizar la continuidad y la regularidad de los mecanismos y dispositivos implementados para el funcionamiento de la actividad de custodia de valores.
6. Disponer de procedimientos administrativos y contables adecuados, mecanismos de control interno, técnicas eficaces de administración y control de riesgos y mecanismos eficaces de control y salvaguardia de sus sistemas informáticos.
7. Disponer de mecanismos que amparen los riesgos operativos asociados a la actividad de custodia de valores. La Superintendencia Financiera de Colombia podrá exigir la implementación de sistemas de administración de riesgos particulares para su mitigación.
8. Los demás que establezca la Superintendencia Financiera de Colombia.
ARTÍCULO 2.37.2.1.4 OBLIGACIONES DEL CUSTODIO DE VALORES. <Artículo corregido por el por el artículo 1 del Decreto 1498 de 2013. El nuevo texto es el siguiente:> Las entidades autorizadas por la Superintendencia Financiera de Colombia para ejercer la actividad de custodia de valores deberán cumplir las siguientes obligaciones:
1. Asegurar que se haya realizado la anotación en cuenta de los derechos sobre los valores cuya custodia se le encomienda a nombre del cliente respectivo.
2. Contar con las políticas, los procedimientos y mecanismos necesarios para garantizar una adecuada ejecución de la actividad de custodia de valores, incluyendo, entre otros:
a) Los mecanismos que serán utilizados por el custodiado para impartirle al custodio las instrucciones relacionadas con los valores y dineros custodiados, los mecanismos de validación de tales instrucciones, los mecanismos de identificación y segregación de los activos respecto de los cuales se ejerce la custodia, y los mecanismos para el suministro de información por parte del custodio al custodiado, y
b) Los mecanismos que serán utilizados por el custodio para impartir las instrucciones a las bolsas de valores, a los depósitos centralizados de valores, a los bancos y a los sistemas de negociación y registro de operaciones sobre valores, a los sistemas de compensación y liquidación de operaciones sobre valores, a las cámaras de riesgo central de contraparte y, en general, a los proveedores de infraestructura relacionados con los valores respecto de los cuales se ejerce la actividad de custodia.
3. Identificar, medir, controlar y gestionar los riesgos propios de la actividad de custodia de valores, para lo cual deberá desarrollar y mantener sistemas adecuados de control interno y de identificación, medición, control y gestión de riesgos.
4. Verificar el cumplimiento de las instrucciones impartidas por el custodiado, en relación con los valores objeto de custodia. En ningún caso el custodio podrá disponer de los valores objeto de custodia sin que medie la instrucción previa y expresa del custodiado, así como la validación previa de las instrucciones impartidas por este.
5. Contar con planes de contingencia, de continuidad del negocio y de seguridad informática, para garantizar la continuidad de su operación.
6. Adoptar las políticas, los procedimientos y mecanismos sobre el manejo de la información que la entidad reciba o conozca en razón o con ocasión de la actividad de custodia de valores, y el suministro de información al custodiado.
7. Establecer la política general en materia de cobro de comisiones a los custodiados, y los mecanismos de información sobre las mismas.
8. Reportar diariamente al custodiado todos los movimientos realizados en virtud de las instrucciones recibidas. Cuando la información verse sobre otros casos, la periodicidad con la que se reporte la información al custodiado, será definida en el contrato de custodia pero no podrá ser superior a un (1) mes. Dichos reportes podrán efectuarse por medios electrónicos.
9. Informar oportunamente al custodiado y a la Superintendencia Financiera de Colombia cualquier circunstancia que pueda afectar el normal desarrollo de la labor do custodia, y solicitarle al custodiado las instrucciones adicionales que requiera para el buen cumplimiento de sus funciones.
10. Asegurar el mantenimiento de la reserva de la información que reciba o conozca en razón o con ocasión de la actividad de custodia de valores, y adoptar las políticas, los procedimientos y mecanismos para evitar el uso indebido de información privilegiada o reservada relacionada con los valores custodiados y las estrategias, negocios y operaciones del custodiado. Lo anterior sin perjuicio del cumplimiento de los deberes de información a la Superintendencia Financiera de Colombia y a las autoridades competentes en ejercicio de sus funciones.
11. Suministrar al custodiado la información y documentación que este requiera sobre los valores y de recursos en dinero objeto de custodia y el desarrollo del contrato, de forma inmediata; por su parte, el custodiado deberá suministrar oportunamente al custodio la información que este requiera para el cumplimiento de sus funciones.
12. Impartir las órdenes necesarias para realizar los movimientos de las cuentas bancarias en las cuales se depositen dineros del custodiado, con el fin de compensar y liquidar las operaciones que se realicen sobre los valores respecto de los cuales se ejerce la custodia.
13. Cobrar oportunamente los intereses, dividendos y cualquier otro rendimiento de los activos respecto de los cuales se ejerza la custodia y, en general, ejercer los derechos derivados de los mismos, cuando hubiere lugar a ello.
14. Asegurarse de que se haya efectuado el depósito de los valores custodiados en una entidad legalmente facultada para el efecto.
15. Ejercer los derechos políticos inherentes a los valores custodiados, de acuerdo con las instrucciones impartidas por el custodiado, en los casos en que esta función se delegue en el custodio.
16. Abstenerse de llevar a cabo operaciones prohibidas en el manejo de los valores objeto de custodia y asegurarse del cumplimiento de las normas relacionadas con restricciones aplicables a las operaciones sobre dichos valores, sin perjuicio de lo dispuesto en el parágrafo del artículo 2.37.1.1.2 del presente decreto.
17. Acudir al custodiado en los eventos en que considere que se requiere de su intervención, con la finalidad de garantizar la adecuada custodia de los valores del fondo de inversión colectiva custodiado.
18. Identificar, controlar y gestionar las situaciones generadoras de conflictos de interés en el desarrollo de la actividad de custodia de valores, según las reglas establecidas en las normas aplicables y las directrices señaladas por la Junta Directiva del custodio.
19. Contar con manuales de control interno y gobierno corporativo, incluyendo el Código de Conducta, y los demás manuales necesarios para el cumplimiento de la normativa aplicable.
20. Adoptar medidas de control y reglas de conducta necesarias, apropiadas y suficientes, para evitar que los valores recibidos en custodia puedan ser utilizados como instrumentos para el ocultamiento, manejo, inversión o aprovechamiento en cualquier forma de dineros u otros bienes provenientes de actividades ilícitas, para realizar evasión tributaria o para dar apariencia de legalidad a actividades ilícitas o a las transacciones y recursos vinculados con las mismas.
21. Cumplir con las políticas, directrices, mecanismos y procedimientos que señale la Junta Directiva del custodio para la adecuada actividad de custodia.
22. Cumplir a cabalidad con los demás aspectos necesarios para la adecuada custodia de los valores respecto de los cuales se realiza dicha actividad.
23. Ejercer supervisión permanente sobre el personal vinculado al custodio, que intervenga en la realización de la actividad de custodia de valores.
24. Suministrar al custodiado, mecanismos en línea sobre los valores objeto de custodia con el fin de que este último pueda realizar arqueos periódicos de manera automática.
25. Contar con la infraestructura necesaria para realizar la custodia de los valores en condiciones ambientales y de seguridad que salvaguarden su integridad en el tiempo.
PARÁGRAFO 1o. En el caso de que la actividad de custodia de valores se realice con entidades vinculadas, sin perjuicio de lo dispuesto en normas de naturaleza especial, tanto el custodio como el custodiado deberán establecer y aplicar consistentemente principios, políticas y procedimientos para la detección, prevención y manejo de conflictos de interés en la realización de dicha actividad.
PARÁGRAFO 2o. El custodio responderá por los valores y dineros custodiados, en la prestación de los servicios obligatorios, complementarios y especiales, así como en el cumplimiento de sus obligaciones legales y contractuales, para lo cual será responsable hasta por la culpa leve como experto prudente y diligente en la actividad de custodia de valores.
ARTÍCULO 2.37.2.1.5 OBLIGACIONES ESPECIALES DEL CUSTODIO DE VALORES PARA LOS FONDOS DE INVERSIÓN COLECTIVA. <Artículo corregido por el por el artículo 1 del Decreto 1498 de 2013. El nuevo texto es el siguiente:> Además de los servicios obligatorios establecidos en el artículo 2.37.1.1.2 del presente decreto, y de las obligaciones establecidas en el artículo 2.37.2.1.4 del presente decreto, las entidades autorizadas por la Superintendencia Financiera de Colombia para ejercer la actividad de custodia de valores que hagan parte de los fondos de inversión colectiva deberán cumplir las siguientes obligaciones:
1. Asegurar que se haya realizado la anotación en cuenta de los derechos o saldos de los titulares de los valores cuya custodia se le encomiendan. Dicha anotación deberá hacerse a nombre de la sociedad administradora del fondo de inversión colectiva custodiado, seguido por el nombre o identificación del fondo de inversión colectiva del cual hagan parte. Para el efecto, la respectiva sociedad administradora del fondo de inversión colectiva, deberá mantener actualizado un registro que contenga la información respecto de quiénes son los inversionistas del respectivo fondo.
2. Verificar el cumplimiento de las normas establecidas en el reglamento del fondo de inversión colectiva y de los límites, restricciones y prohibiciones legales aplicables a las operaciones del fondo de inversión colectiva que versen sobre los valores custodiados, Así mismo, deberá cerciorarse que las instrucciones se ajustan a la política de inversión del fondo, al reglamento del fondo y a las demás normas aplicables a sus operaciones. Lo anterior, sin perjuicio de lo dispuesto en el parágrafo del artículo 2.37.1.1.2 del presente decreto.
3. Efectuar, en caso de ejercerse como actividad complementaria, la valoración de los valores del fondo de inversión colectiva custodiado y de sus participaciones, de conformidad con las normas generales y especiales aplicables y las instrucciones impartidas por la Superintendencia Financiera de Colombia, dependiendo de la naturaleza de los activos a valorar.
4. Abstenerse de llevar a cabo operaciones prohibidas en el manejo de los fondos de inversión colectiva a los cuales les presta el servicio de custodia de valores y asegurarse del cumplimiento de las normas relacionadas con restricciones aplicables a fondos de inversión colectiva, sin perjuicio de lo dispuesto en el parágrafo del artículo 2.37.1.1.2 del presente decreto.
5. <Numeral modificado por el artículo 7 del Decreto 1235 de 2020. El nuevo texto es el siguiente:> Presentar a la Superintendencia Financiera de Colombia, al organismo de autorregulación del mercado de valores y a la Junta Directiva de la respectiva sociedad administradora del fondo de inversión colectiva, un informe mensual escrito, en el cual se describan los eventos que impidieron la normal y correcta ejecución de la labor de custodia, o que implicaron el incumplimiento del reglamento o de otras normas aplicables al fondo de inversión colectiva. Así mismo, se deberán describir las medidas que se adoptaron para corregir o mejorar las situaciones descritas en el informe. En caso de no existir eventos a reportar, no será necesario enviar el informe mencionado.
6. Impartir las órdenes necesarias para realizar los movimientos de las cuentas bancarias en las cuales se depositen dineros de los fondos de inversión colectiva custodiados, con el fin de compensar y liquidar las operaciones que se realicen sobre los valores respecto de los cuales se ejerce la custodia.
7. <Numeral derogado por el artículo 21 del Decreto 1351 de 2019>
8. Llevar por separado la contabilidad del fondo de inversión colectiva custodiado, de acuerdo con las reglas que sobre el particular establezca la Superintendencia Financiera de Colombia, velando por que dicha contabilidad refleje en forma fidedigna su situación financiera, en los casos en los que la sociedad administradora del fondo de inversión colectiva custodiado delegue dicha actividad en el custodio.
9. Reportar diariamente a las sociedades administradoras de fondos de inversión colectiva custodiados todos los movimientos realizados en virtud de las instrucciones recibidas. Cuando la información verse sobre otros casos, la periodicidad con la que se reporte la información al custodiado, será definida en el contrato de custodia pero no podrá ser superior a un (1) mes. Dichos reportes podrán efectuarse por medios electrónicos.
10. Vigilar que el personal vinculado al custodio cumpla con sus obligaciones en la custodia de fondos de inversión colectiva incluyendo las reglas de gobierno corporativo y conducta y demás reglas establecidas en los manuales de procedimiento.
PARÁGRAFO 1o. En el caso en que la actividad de custodia de valores se realice con entidades administradoras de fondos de inversión colectiva vinculadas al custodio, sin perjuicio de lo dispuesto en normas de naturaleza especial, tanto el custodio como la sociedad administradora del fondo de inversión colectiva deberán establecer y aplicar consistentemente principios, políticas y procedimientos para la detección, prevención y manejo de conflictos de interés en la realización de dicha actividad.
PARÁGRAFO 2o. La Superintendencia Financiera de Colombia podrá impartir instrucciones generales sobre el reporte de información y el cumplimiento de las obligaciones mencionadas en el presente artículo.
ARTÍCULO 2.37.2.1.6 CUSTODIA DE VALORES EN EL EXTERIOR. <Artículo corregido por el por el artículo 1 del Decreto 1498 de 2013. El nuevo texto es el siguiente:> Las inversiones en valores de emisores del exterior o nacionales que se adquieran y permanezcan en el extranjero y que por su naturaleza sean susceptibles de ser custodiados, deben mantenerse en su totalidad, en custodia en bancos extranjeros, instituciones constituidas en el exterior que presten el servicio de custodia o en instituciones de custodia de valores constituidas en el exterior que tenga como giro exclusivo el servicio de custodia.
ARTÍCULO 2.37.2.1.7 SUBCUSTODIA DE VALORES UBICADOS EN EL EXTERIOR. <Artículo corregido por el por el artículo 1 del Decreto 1498 de 2013. El nuevo texto es el siguiente:> Los custodios podrán subcontratar la custodia de valores ubicados en el exterior relacionados con el servicio de custodia que prestan, cuando ello resulte necesario para el cumplimiento de las finalidades de la custodia encomendada.
En este caso, la entidad autorizada para actuar como custodio designará y contratará bajo su cuenta y riesgo al subcustodio en el exterior de conformidad con lo establecido en el artículo 2.37.2.1.6 del presente decreto.
El custodio informará a las sociedades administradoras de los fondos de inversión colectiva a los cuales les presta el servicio de custodia de valores, y a la Superintendencia Financiera de Colombia, la identificación completa, ubicación y datos de contacto del subcustodio contratado y los términos del contrato celebrado, remitiendo copia del mismo, así como de toda modificación al contrato, y la terminación del mismo o el reemplazo del subcustodio, dentro de los tres (3) días hábiles siguientes a la fecha en que tales eventos ocurran.
El custodio deberá ejercer la vigilancia y el control necesarios sobre la situación y actividad del subcustodio contratado y el cumplimiento de las funciones y obligaciones a cargo de este.
PARÁGRAFO. Lo establecido en el presente artículo se deberá realizar sin perjuicio de las reglas establecidas en el artículo 2.15.6.1.9 del presente decreto, cuando sea el caso.
ARTÍCULO 2.37.2.1.8 INDEPENDENCIA DE LAS CUENTAS EN EL DEPÓSITO DE VALORES. <Artículo corregido por el por el artículo 1 del Decreto 1498 de 2013. El nuevo texto es el siguiente:> Cada custodiado deberá tener identificada en el depósito de valores una cuenta segregada y diferenciada por cada vehículo de terceros administrado, la cual deberá estar diferenciada de las cuentas de la respectiva sociedad administradora del vehículo de inversión, de las de los demás vehículos que sean administrados por esta, así como de las de sus otros clientes, en la que se depositen los valores que forman parte de su portafolio.
PARÁGRAFO. En el caso de los fondos de inversión colectiva custodiados, cada fondo deberá tener identificada en el depósito de valores una cuenta segregada y diferenciada, distinta de las cuentas de los otros fondos de inversión colectiva custodiados, así como de las cuentas de la respectiva sociedad administradora del fondo de inversión colectiva.
ARTÍCULO 2.37.2.1.9 CUSTODIA EN LA LIQUIDACIÓN DE FONDOS DE INVERSIÓN COLECTIVA. <Artículo corregido por el por el artículo 1 del Decreto 1498 de 2013. El nuevo texto es el siguiente:> En caso de liquidación de un fondo de inversión colectiva custodiado, la actividad de custodia se mantendrá hasta el término de la misma.
ARTÍCULO 2.37.2.1.10 CUSTODIA DE VALORES QUE INTEGRAN LOS PORTAFOLIOS DE TERCEROS Y VALORES QUE HACEN PARTE DE LOS FIDEICOMISOS DE INVERSIÓN. <Artículo corregido por el por el artículo 1 del Decreto 1498 de 2013. El nuevo texto es el siguiente:> Las sociedades comisionistas de bolsa podrán contratar la custodia de los valores que integran el portafolio de valores de terceros que administran según lo establecido en el Título 7, del Libro 9, de la parte 2 del presente decreto, con las entidades mencionadas en el artículo 2.37.2.1.1 del presente decreto.
Por su parte, las sociedades fiduciarias que administren fideicomisos de inversión podrán contratar la custodia de los valores que integran el portafolio de los fideicomisos de inversión administrados, con las entidades mencionadas en el artículo 2.37.2.1.1 del presente decreto.
En los casos establecidos en el presente artículo, los servicios obligatorios de que trata el artículo 2.37.1.1.2 del presente decreto deberán ser prestados por el custodio y no por el custodiado. De igual forma, el custodiado deberá ejercer las actividades complementarias de que trata el artículo 2.37.1.1.3 del presente decreto a la custodia de valores cuando estas no sean desarrolladas por el custodio.
JUNTA DIRECTIVA DEL CUSTODIO.
ARTÍCULO 2.37.3.1.1 OBLIGACIONES DE LA JUNTA DIRECTIVA DEL CUSTODIO. <Artículo corregido por el por el artículo 1 del Decreto 1498 de 2013. El nuevo texto es el siguiente:> La junta directiva del custodio con respecto a la custodia de valores recibidos en custodia deberá cumplir las siguientes obligaciones:
1. Establecer las políticas y los procedimientos aplicables al desarrollo de la actividad de custodia de valores en general.
2. Definir una adecuada estructura organizacional para garantizar el adecuado cumplimiento e independencia de las funciones propias de la actividad de custodia de los valores recibidos para tal fin, así como del personal responsable de las mismas.
3. Establecer las políticas y los procedimientos para determinar el proceso de valoración de los valores recibidos en custodia, así mismo deberá fijar medidas de control que permitan vigilar el cumplimiento de las reglas establecidas para la valoración de los mismos, cuando dicho servicio haya sido delegado por el custodiado.
4. Establecer políticas en cualquier otro aspecto que tenga relevancia con el adecuado funcionamiento y la correcta custodia de los valores custodiados.
5. Establecer las políticas y los procedimientos para la identificación, medición, control y gestión de los riesgos propios de la actividad de custodia de valores.
6. Establecer las políticas y los procedimientos de gobierno corporativo y de control interno, orientadas a administrar los riesgos que puedan afectar a los valores custodiados, así como políticas para el seguimiento y control al cumplimiento de las políticas aplicables a la actividad de custodia de valores.
7. Aprobar los manuales para el control y prevención del lavado de activos, de gobierno corporativo incluyendo el código de conducta, de control interno, y los demás necesarios para el cumplimiento de las normas aplicables.
8. Establecer las políticas y los mecanismos que sean necesarios para evitar el uso de información privilegiada o reservada relacionada con los valores custodiados y las estrategias, negocios y operaciones del custodiado. Lo anterior sin perjuicio de las políticas de remisión de información a la Superintendencia Financiera de Colombia y a las autoridades competentes en ejercicio de sus funciones.
9. Definir las situaciones constitutivas de conflictos de interés en la actividad de custodia, según las reglas establecidas en las normas aplicables, así como los procedimientos para su prevención y administración.
10. Establecer las políticas y los procedimientos para el ejercicio de los derechos políticos inherentes a los valores custodiados, cuando dicha actividad haya sido delegada por el custodiado en el custodio. Dichas políticas y procedimientos deberán definir expresamente los casos en que el custodio podrá abstenerse de participar en las deliberaciones y votaciones, en razón, entre otras, de la poca materialidad de la participación social o de los asuntos a ser decididos.
11. Fijar las directrices de los programas de capacitación para los funcionarios encargados de las tareas relacionadas con la custodia de los valores recibidos para tal fin.
12. Establecer las políticas y los mecanismos para solucionar de manera efectiva y oportuna los problemas detectados y reportados por las áreas involucradas en la actividad de custodia de valores sobre asuntos que puedan afectar el adecuado desempeño de dicha actividad.
13 Determinar los mecanismos que eviten la aplicación de prácticas discriminatorias o inequitativas entre los valores custodiados.
PARÁGRAFO 1o. La junta directiva del custodio deberá cumplir las obligaciones establecidas en el presente artículo respecto de la custodia de valores de los fondos de inversión colectiva custodiados, para lo cual tendrá en cuenta tanto los servicios obligatorios como los complementarios y especiales cuando haya lugar a ellos.
PARÁGRAFO 2o. Cuando las actividades complementarias no se ejerzan por parte del custodio, la junta directiva del custodiado deberá cumplir con las obligaciones establecidas en el presente artículo en los casos en que haya lugar.
NORMAS APLICABLES A LAS SOCIEDADES ESPECIALIZADAS EN DEPÓSITOS Y PAGOS ELECTRÓNICOS, (SEDPE).
REQUERIMIENTO MÍNIMO DE APALANCAMIENTO, MANEJO DE EFECTIVO Y ADMINISTRACIÓN DE RIESGOS.
ARTÍCULO 2.38.1.1.1. APALANCAMIENTO. <Artículo adicionado por el artículo 8 del Decreto 1491 de 2015. El nuevo texto es el siguiente:> Las Sociedades Especializadas en Depósitos y Pagos Electrónicos, (SEDPE) deberán cumplir con las normas sobre niveles de apalancamiento contempladas en este Título, con el fin de proteger la confianza del público en el sistema y asegurar su desarrollo en condiciones de seguridad y competitividad.
ARTÍCULO 2.38.1.1.2. RELACIÓN DE APALANCAMIENTO. <Artículo adicionado por el artículo 8 del Decreto 1491 de 2015. El nuevo texto es el siguiente:> La relación de apalancamiento se define como el valor del patrimonio técnico calculado en los términos establecidos en este Título dividido por el valor del saldo promedio de los depósitos electrónicos al cierre diario de las operaciones en los últimos treinta (30) días. Esta relación se expresará en términos porcentuales. La relación de apalancamiento mínima de las Sociedades Especializadas en Depósitos y Pagos Electrónicos, (SEDPE) será del dos por ciento (2%) y su verificación se realizará de conformidad con las instrucciones que sobre el particular establezca la Superintendencia Financiera de Colombia.
Independientemente de las fechas de reporte, las entidades deberán cumplir con el nivel mínimo de la relación de apalancamiento en todo momento.
ARTÍCULO 2.38.1.1.3. PATRIMONIO TÉCNICO. <Artículo adicionado por el artículo 8 del Decreto 1491 de 2015. El nuevo texto es el siguiente:> El cumplimiento de la relación de apalancamiento se efectuará con base en el patrimonio técnico. Dicho patrimonio técnico se calculará siguiendo el mismo procedimiento definido para los establecimientos de crédito, según lo establecido en el artículo 2.1.1.1.5. del presente decreto.
ARTÍCULO 2.38.1.1.4. MANEJO DE EFECTIVO. <Artículo adicionado por el artículo 8 del Decreto 1491 de 2015. El nuevo texto es el siguiente:> Los recursos captados por las Sociedades Especializadas en Depósitos y Pagos Electrónicos, (SEDPE) deberán mantenerse en depósitos en el Banco de la República en los términos y condiciones que autorice su Junta Directiva y/o en depósitos a la vista en establecimientos de crédito. El cumplimiento de este requerimiento deberá realizarse al cierre diario de las operaciones y su verificación se realizará de conformidad con las instrucciones que sobre el particular establezca la Superintendencia Financiera de Colombia.
PARÁGRAFO. <Parágrafo adicionado por el artículo 6 del Decreto 2076 de 2017. El nuevo texto es el siguiente:> Para las operaciones realizadas a través de corresponsales, la SEDPE podrá cumplir el requisito de manejo de efectivo de que trata este artículo utilizando recursos diferentes de los captados. El uso de estos recursos responde a un proceso operativo propio del manejo del efectivo en las redes de corresponsales y no constituye una operación activa de crédito a favor de estos.
NORMAS APLICABLES A LOS CONGLOMERADOS FINANCIEROS.
DISPOSICIONES GENERALES.
ARTÍCULO 2.39.1.1.1. ÁMBITO DE APLICACIÓN. <Artículo adicionado por el artículo 1 del Decreto 246 de 2018. El nuevo texto es el siguiente:> Las disposiciones contenidas en el presente libro serán aplicables a todas las entidades que pertenecen a un conglomerado financiero en los términos de la Ley 1870 de 2017, incluido el holding financiero.
ARTÍCULO 2.39.1.1.2. CRITERIOS DE EXCLUSIÓN. <Artículo adicionado por el artículo 1 del Decreto 246 de 2018. El nuevo texto es el siguiente:> La Superintendencia Financiera de Colombia de manera motivada podrá excluir del alcance de supervisión comprensiva y consolidada a aquellas personas jurídicas o vehículos de inversión pertenecientes a un conglomerado financiero que, dada la naturaleza y cuantía de sus actividades no representen interés significativo para los objetivos de la supervisión de los conglomerados financieros y además se presente alguna de las siguientes situaciones:
a) Cuando el tamaño de la entidad no sea significativo en relación con el conglomerado financiero al que pertenece.
b) Cuando el nivel de interconexión y de exposición de riesgo de la entidad no tenga impacto significativo en el conglomerado financiero.
PARÁGRAFO 1. En todo caso, la Superintendencia Financiera de Colombia atenderá los principios de supervisión contenidos en el artículo 67 de la Ley 1328 de 2009, dando especial relevancia a los eventos que puedan afectar la continuidad de los servicios y la confianza en el sistema financiero.
PARÁGRAFO 2. La Superintendencia Financiera de Colombia, en cualquier momento y producto de sus objetivos y principios de supervisión, podrá incluir a una entidad que haya sido previamente excluida. De la misma manera, podrá solicitar la información que considere a cualquier entidad perteneciente a un conglomerado financiero.
PARÁGRAFO 3. El holding financiero deberá enviar a la Superintendencia Financiera de Colombia la información sobre las operaciones que se hayan efectuado entre las entidades excluidas y las otras entidades que conforman el conglomerado financiero, con la periodicidad y en las condiciones que establezca la Superintendencia Financiera de Colombia.
NIVEL ADECUADO DE CAPITAL PARA CONGLOMERADOS FINANCIEROS.
ARTÍCULO 2.39.2.1.1 NIVEL ADECUADO DE CAPITAL PARA EL CONGLOMERADO FINANCIERO. <Artículo adicionado por el artículo 1 del Decreto 774 de 2018. El nuevo texto es el siguiente:> El patrimonio técnico del conglomerado financiero, definido en el artículo 2.39.2.1.4 del presente decreto, en ningún momento podrá ser inferior al patrimonio adecuado del conglomerado financiero, definido en el artículo 2.39.2.1.5.
ARTÍCULO 2.39.2.1.2 CUMPLIMIENTO DEL NIVEL ADECUADO DE CAPITAL. <Artículo adicionado por el artículo 1 del Decreto 774 de 2018. El nuevo texto es el siguiente:> El holding financiero es el responsable del cumplimiento, en todo momento, del nivel adecuado de capital para el conglomerado financiero, sin perjuicio de las obligaciones previstas en la regulación aplicable a cada una de las entidades que hacen parte del conglomerado financiero.
En caso de evidenciarse que el patrimonio técnico del conglomerado financiero es inferior a su patrimonio adecuado, el holding financiero determinará e informará a la Superintendencia Financiera de Colombia la forma en que será corregido, para lo cual tendrá en cuenta, entre otras, su origen, las características del conglomerado y las situaciones de control o de influencia significativa.
La Superintendencia Financiera de Colombia impartirá las instrucciones a que haya lugar para el control y la vigilancia trimestral de este cumplimiento.
ARTÍCULO 2.39.2.1.3 BASES PARA LA DETERMINACIÓN DEL PATRIMONIO TÉCNICO Y EL PATRIMONIO ADECUADO DEL CONGLOMERADO FINANCIERO. <Artículo adicionado por el artículo 1 del Decreto 774 de 2018. El nuevo texto es el siguiente:> El holding financiero deberá utilizar la base de información consolidada del numeral 1 descrito a continuación, para la determinación del patrimonio técnico y el patrimonio adecuado del conglomerado financiero. Para el uso de las bases de los numerales 2 o 3 el holding financiero enviará la justificación técnica a la Superintendencia Financiera de Colombia indicando los motivos para no utilizar la base de información consolidada del numeral 1 y para elegir entre las bases de los numerales 2 o 3. En todo caso se empleará la información financiera correspondiente al mismo corte.
Las bases de determinación son las siguientes:
1. Base de información consolidada: Para el cálculo del patrimonio técnico y el patrimonio adecuado del conglomerado financiero se utilizará la información financiera consolidada de las entidades que hacen parte del conglomerado financiero.
2. Base de información separada: Para el cálculo del patrimonio técnico y el patrimonio adecuado del conglomerado financiero se utilizará la información financiera separada de cada una de las entidades que conforman el conglomerado financiero.
3. Combinación de bases de información consolidada y separada: Para el cálculo del patrimonio técnico y el patrimonio adecuado del conglomerado financiero se utilizará la combinación de las dos numerales anteriores.
PARÁGRAFO. Independientemente de la base empleada, la información será subdividida según la normatividad sobre patrimonio técnico o adecuado prevista en el presente decreto para las entidades que conforman el conglomerado financiero. La Superintendencia Financiera de Colombia podrá impartir instrucciones de reporte para dicha subdivisión.
ARTÍCULO 2.39.2.1.4 PATRIMONIO TÉCNICO DEL CONGLOMERADO FINANCIERO. <Artículo adicionado por el artículo 1 del Decreto 774 de 2018. El nuevo texto es el siguiente:> Será el resultado de:
1. La suma de los siguientes valores:
a) Los elementos de patrimonio técnico de las entidades que conforman el conglomerado financiero, de acuerdo con la naturaleza de cada entidad y la normatividad particular sobre patrimonio técnico prevista para cada una de ellas en el presente decreto, teniendo en cuenta las deducciones aplicables en cada caso;
b) Los elementos de patrimonio técnico de las entidades que no cuenten en el presente decreto con definiciones de elementos de patrimonio técnico, incluidas las subordinadas del exterior, para lo cual se aplicarán las definiciones y criterios sobre patrimonio técnico correspondientes a las entidades vigiladas por la Superintendencia Financiera de Colombia con actividades semejantes, o las previstas en el presente decreto que mejor reflejen la realidad económica y financiera de la entidad.
Para dar cumplimiento a lo establecido en el presente literal, el holding financiero deberá remitir a la Superintendencia Financiera de Colombia para su aprobación, el listado de entidades del conglomerado financiero y el régimen de patrimonio técnico seleccionado para cada una de ellas. Se podrán considerar otros rubros patrimoniales no incluidos dentro de los elementos del patrimonio técnico de los regímenes seleccionados. Para ello, el holding financiero deberá remitir a la Superintendencia Financiera las justificaciones técnicas que sustenten la inclusión de dichos rubros como elementos de su patrimonio técnico.
2. Las siguientes deducciones:
a) El valor de las participaciones en instrumentos representativos de capital en otras entidades del conglomerado financiero, cuando estas generen una duplicación del cómputo de los elementos de capital del conglomerado financiero, salvo aquellas que ya hayan sido depuradas en el proceso de consolidación o deducidas por alguna norma relacionada con el cálculo del patrimonio técnico;
b) El valor de las participaciones indirectas en instrumentos representativos de capital en entidades pertenecientes al conglomerado financiero, cuando estas generen una duplicación del cómputo de los elementos de capital del conglomerado financiero, o disminuyan la efectividad de dichos recursos al momento de cubrir las pérdidas o hacer frente a los riesgos asumidos por el conglomerado financiero;
c) El valor de las inversiones en instrumentos representativos de capital emitidos por entidades no pertenecientes al conglomerado financiero, en las cuales las entidades del conglomerado financiero que no cuenten en el presente decreto con definiciones de elementos de patrimonio técnico, incluidas las subordinadas del exterior, ostenten la calidad de controlantes según la regulación aplicable.
PARÁGRAFO. Lo dispuesto en el literal b) del numeral 1 del presente artículo será empleado únicamente para el cálculo del patrimonio técnico del conglomerado financiero y no tendrá efecto en la supervisión individual contemplada en la ley y el presente decreto.
ARTÍCULO 2.39.2.1.5 PATRIMONIO ADECUADO DEL CONGLOMERADO FINANCIERO. <Artículo adicionado por el artículo 1 del Decreto 774 de 2018. El nuevo texto es el siguiente:> Corresponde a la suma de:
a) Los niveles mínimos de patrimonio técnico con los cuales las entidades financieras que hacen parte del conglomerado financiero cumplen con los requisitos exigidos en la ley y el presente decreto en relación con las actividades que desarrollan y los riesgos asociados a estas;
b) Los niveles mínimos de patrimonio técnico de las entidades que no cuenten en el presente decreto con definiciones de requisitos de Patrimonio Técnico, incluidas las subordinadas del exterior, para lo cual se aplicarán los límites y definiciones correspondientes a actividades semejantes desarrolladas por las entidades vigiladas por la Superintendencia Financiera de Colombia, o las previstas en el presente decreto que mejor reflejen la realidad económica y financiera de la entidad.
Para dar cumplimiento a lo establecido en el presente literal, el holding financiero deberá remitir a la Superintendencia Financiera de Colombia para su aprobación, el listado de entidades del conglomerado financiero y el régimen de niveles mínimos de patrimonio técnico para cada una de ellas.
PARÁGRAFO 1o. Lo dispuesto en el literal b) del presente artículo será empleado únicamente para el cálculo del patrimonio adecuado del conglomerado financiero y no tendrá efecto en la supervisión individual contemplada en la ley y en el presente decreto.
PARÁGRAFO 2o. Las exposiciones entre entidades del conglomerado financiero computarán por cero (0) en la cuantificación del patrimonio adecuado del conglomerado financiero. Así mismo, todos aquellos rubros que sean objeto de las deducciones previstas en el numeral 2 del artículo 2.39.2.1.4 del presente decreto computarán por cero (0) en el cálculo de los niveles mínimos de patrimonio técnico previstos en el presente artículo.
PARÁGRAFO 3o. Siempre que las operaciones realizadas por entidades pertenecientes al conglomerado financiero sean aceptadas por una cámara de riesgo central de contraparte para interponerse como contraparte, la exposición crediticia de la entidad, y las garantías otorgadas por esta que respalden las operaciones con dicha cámara, computarán por cero (0) para efectos del cómputo del patrimonio adecuado del conglomerado financiero de que trata el presente artículo.
ARTÍCULO 2.39.2.1.6 SANCIONES. <Artículo adicionado por el artículo 1 del Decreto 774 de 2018. El nuevo texto es el siguiente:> El incumplimiento del nivel adecuado de capital del conglomerado financiero consagrado en el artículo 2.39.2.1.1 dará lugar a la imposición de sanciones por parte de la Superintendencia Financiera de Colombia conforme a sus facultades legales.
NORMAS SOBRE VINCULADOS, CONFLICTOS DE INTERÉS Y LÍMITES DE EXPOSICIÓN Y CONCENTRACIÓN DE RIESGOS.
VINCULADOS Y CONFLICTOS DE INTERÉS.
ARTÍCULO 2.39.3.1.1 OBJETO. <Artículo adicionado por el artículo 1 del Decreto 1486 de 2018. El nuevo texto es el siguiente:> El objeto del presente Título es reglamentar los criterios para determinar la calidad de vinculados al conglomerado financiero y al holding financiero, así como el establecimiento de criterios y mecanismos para que las entidades que hacen parte del conglomerado financiero identifiquen, administren y revelen los conflictos de interés. Finalmente, se establecen políticas y límites de exposición y concentración de riesgos para las operaciones entre entidades del conglomerado financiero y entre estas y sus vinculados.
ARTÍCULO 2.39.3.1.2 VINCULADOS. <Artículo adicionado por el artículo 1 del Decreto 1486 de 2018. El nuevo texto es el siguiente:> Para los efectos del presente Libro, tendrán la calidad de vinculados al conglomerado financiero quienes cumplan alguno de los siguientes criterios al menos frente a una de las entidades que haga parte del mismo:
a) Control, subordinación y/o grupo empresarial
La persona natural, persona jurídica o vehículo de inversión presenta situación de control o subordinación respecto de una entidad del conglomerado financiero de manera directa o indirecta, en los casos previstos en los artículos 260 y 261 del Código de Comercio, o pertenece al mismo grupo empresarial de acuerdo con la definición del artículo 28 de la Ley 222 de 1995, o las normas que los modifiquen, sustituyan o adicionen.
b) Participación significativa
Tiene una participación significativa quien o quienes cumplan alguna de las siguientes condiciones:
i. El o los participantes de capital o beneficiarios reales del diez por ciento (10%) o más de la participación en alguna entidad del conglomerado financiero. Para tal efecto, no se computarán las acciones sin derecho a voto.
ii. Las personas jurídicas en las cuales alguna entidad del conglomerado financiero sea beneficiaria real del diez por ciento (10%) o más de la participación. Para tal efecto, no se computarán las acciones sin derecho a voto.
iii. Las personas jurídicas que presenten situación de subordinación respecto de aquellos definidos en el numeral i., del presente literal. Las situaciones de subordinación serán las previstas en los artículos 260 y 261 del Código de Comercio. Para tal efecto, no se computarán las acciones sin derecho a voto.
PARÁGRAFO 1. Los fondos de pensiones obligatorias, los fondos de cesantía, los fondos de pensiones de jubilación e invalidez <Fondos Voluntarios de Pensión><3> los patrimonios autónomos en los cuales las políticas de inversión no sean definidas por las entidades del conglomerado financiero, los fondos de inversión colectiva con excepción de los fondos de capital privado, los fondos mutuos de inversión, las sociedades titularizadoras y sus universalidades, los organismos multilaterales de crédito, las personas jurídicas de derecho público y las entidades descentralizadas del sector público en sus diferentes órdenes no ostentarán la calidad de vinculados prevista en el presente artículo. Tampoco se considerarán como vinculados al conglomerado financiero los proveedores de infraestructura señalados en el artículo 11.2.1.6.4 del presente decreto, distintos de aquellos que pertenecen al conglomerado financiero.
PARÁGRAFO 2. Se entiende por beneficiario real el definido en el artículo 6.1.1.1.3 del presente decreto.
PARÁGRAFO 3. La definición de vinculado al conglomerado financiero prevista en el presente Libro únicamente tendrá efectos para la supervisión comprensiva y consolidada a los conglomerados financieros, y no afecta las definiciones de la calidad de vinculados para la supervisión individual prevista en el presente decreto para las entidades financieras que lo conforman.
ARTÍCULO 2.39.3.1.3 DEFINICIÓN DE CONFLICTO DE INTERÉS. <Artículo adicionado por el artículo 1 del Decreto 1486 de 2018. El nuevo texto es el siguiente:> En desarrollo de lo dispuesto en la Ley 1870 de 2017, en lo que corresponde al holding financiero, a las entidades que hacen parte de un conglomerado financiero, y a sus vinculados, se entiende por conflicto de interés aquella situación que surge o puede surgir para una o más personas que puedan tomar decisiones, o incidir en la adopción de las mismas, cuando se identifiquen intereses contrarios e incompatibles respecto de un acto o negocio.
ARTÍCULO 2.39.3.1.4 ADMINISTRACIÓN Y REVELACIÓN DE LOS CONFLICTOS DE INTERÉS. <Artículo adicionado por el artículo 1 del Decreto 1486 de 2018. El nuevo texto es el siguiente:> El holding financiero, a través de su Junta Directiva, deberá determinar las directrices generales para una adecuada identificación, revelación, administración y control de los conflictos de interés que surgen o pueden surgir en las operaciones que realicen las entidades que integran un conglomerado financiero y sus vinculados, incluidas aquellas que se realicen con recursos que provengan de la actividad de administración de recursos de terceros, respetando el equilibrio entre sus intereses, los de las subordinadas, los del conglomerado en su conjunto, los inversionistas y afiliados, sin perjuicio de las obligaciones legales que le asisten a los administradores de cada una de las entidades que integran el conglomerado financiero.
Dichas directrices deben prever que se podría presentar una situación de conflicto de interés entre las entidades que conforman el conglomerado financiero, entre estas y las entidades y personas vinculadas al conglomerado financiero y entre los administradores y personas con capacidad de toma de decisión de dichas entidades. Se entiende como administradores los definidos en el artículo 22 de la Ley 222 de 1995.
Estas directrices deberán incorporar límites, criterios de materialidad, barreras de información entre las entidades o líneas de negocio susceptibles de generar conflictos de interés, así como lineamientos acerca de la información relevante asociada a dichos conflictos que le deben ser presentados a los órganos competentes.
Así mismo, estas directrices adoptadas tendrán en cuenta, entre otras, las características del conglomerado financiero y las situaciones de control o de influencia significativa.
Dichas directrices serán aplicables a las entidades que conforman el conglomerado financiero, y deberán consagrar como mínimo los siguientes deberes:
a) El deber de abstención o prohibición de actuación. Al momento de verificar la existencia de un conflicto de interés o frente a la duda de la existencia del mismo, la(s) persona(s) incursa(s) debe(n) abstenerse de adelantar el acto u operación generadora del conflicto, no podrá(n) intervenir en el debate ni influir en la decisión que se adopte, y deberán abstenerse de dar información incompleta. La(s) persona(s) incursa(s) en conflictos de interés podrán participar en el acto u operación cuando cuente(n) con la(s) autorización(es) a que haya lugar;
b) El deber de información. Al observarse la existencia de un conflicto de interés, la(s) persona(s) incursa(s) deberá(n) ponerlo en conocimiento de la(s) Junta Directiva(s) u órgano(s) que haga sus veces;
c) El deber de obtener decisión. En los eventos que se presente conflicto de interés deberá mediar decisión motivada de la Junta(s) Directiva(s) u órgano(s) que haga(n) sus veces de la(s) entidad(es) incursa(s);
d) El deber de revelación. En el informe de rendición de cuentas de fin de ejercicio que se presente a la Asamblea General de Accionistas u órgano que haga sus veces se deberá incluir un capítulo especial relativo a las situaciones de conflictos de interés que se hubiesen presentado, informe que deberá contener el detalle, características e información relevante de dichas situaciones, junto con las decisiones y acciones tomadas al respecto;
e) El deber de transparencia. En el desarrollo de las operaciones en que se observen conflictos de interés, el holding y demás entidades que conformen el conglomerado financiero deben velar y propender por la transparencia y la celebración de las mismas en condiciones y precios de mercado.
PARÁGRAFO. Lo anterior sin perjuicio del cumplimiento de las normas que sobre conflictos de interés deban cumplir las entidades de forma individual.
ARTÍCULO 2.39.3.1.5 ADMINISTRACIÓN DE LOS CONFLICTOS DE INTERÉS EN LAS ENTIDADES QUE ADMINISTRAN FONDOS DE PENSIONES OBLIGATORIAS Y FONDOS DE CESANTÍA PERTENECIENTES A UN CONGLOMERADO FINANCIERO. <Artículo adicionado por el artículo 1 del Decreto 1486 de 2018. El nuevo texto es el siguiente:> Las inversiones que las entidades autorizadas para administrar fondos de pensiones obligatorias y fondos de cesantía realicen con los recursos de dichos fondos en entidades que pertenezcan a su mismo conglomerado financiero podrán celebrarse únicamente cuando cumplan a cabalidad con los criterios y mecanismos para que se identifiquen, administren y revelen los conflictos de interés, conforme a las directrices previstas en el artículo 2.39.3.1.4. Adicionalmente, dichos criterios y mecanismos adoptados por las entidades que administran estos fondos deberán garantizar como mínimo el cumplimiento de las siguientes condiciones:
1. La política de inversión que rige estas inversiones debe ser aprobada por la Junta Directiva, quien será informada de los resultados de su implementación. Una vez aprobada, esta política deberá estar a disposición de la Superintendencia Financiera de Colombia y el revisor fiscal, quien verificará su cumplimiento.
2. La Junta Directiva de las entidades que administran los fondos de pensiones obligatorias y fondos de cesantía debe garantizar que por lo menos el cuarenta por ciento (40%) de los miembros del comité de inversiones y del comité de riesgos tengan la calidad de independientes respecto de las entidades que administran los fondos de pensiones obligatorias y fondos de cesantía, conforme a lo previsto en el parágrafo segundo del artículo 44 de la Ley 964 de 2005, y en ningún caso podrán tener algún vínculo laboral con las entidades locales o internacionales del conglomerado financiero y/o sus vinculados.
3. Los criterios de selección y evaluación de estas inversiones harán parte de su política de inversión, en un capítulo independiente. Dichos criterios, como mínimo, deben garantizar la no existencia de sobreexposiciones entre las filiales o subsidiarias de dicha entidad, su matriz o las filiales o subsidiarias de esta, el impacto que estas inversiones puedan tener en el valor de mercado de estos instrumentos y que la inclusión de estas inversiones efectivamente representa el mejor interés para los afiliados; una constancia en este sentido debe dejarse expresamente en el acta de la Junta Directiva.
4. El comité de riesgos realizará una evaluación de los riesgos inherentes a estas inversiones y presentará los resultados de estas evaluaciones al comité de inversiones y a la Junta Directiva de dicha entidad.
5. El comité de inversiones dejará constancia sobre el análisis del proceso de toma de decisiones y la forma de mitigar los potenciales conflictos de interés derivados de estas inversiones.
6. El comité de inversiones justificará técnicamente los criterios para la inclusión de estas inversiones dentro de los activos para cada tipo de fondo.
7. El comité de auditoría evaluará el cumplimiento de las responsabilidades, atribuciones y límites asignados por la Junta Directiva y en particular que los procedimientos diseñados efectivamente protejan los recursos de los afiliados así como la existencia de controles que permitan verificar que las transacciones están siendo adecuadamente aprobadas y registradas.
8. En la asignación estratégica de activos se incluirán los impactos que las inversiones de que trata el presente artículo tengan sobre las estimaciones de los riesgos y los retornos esperados.
9. Las inversiones previstas en el presente artículo se realizarán a precios de mercado.
10. Las inversiones de que trata el presente artículo deberán realizarse únicamente a través de sistemas de negociación autorizados por la Superintendencia Financiera de Colombia, cuando corresponda.
11. La Junta Directiva deberá establecer dentro de la política de inversiones una política especial para el manejo de depósitos a la vista en entidades del conglomerado. Así mismo, deberá establecer límites por tipo de activos, por emisor, por emisión, así como la forma de realización de estas inversiones de forma tal que no se afecten las condiciones del mercado.
ARTÍCULO 2.39.3.1.6. LÍMITES POR TIPO DE FONDO DE PENSIONES OBLIGATORIAS Y FONDOS DE CESANTÍA PARA LAS EXPOSICIONES CON ENTIDADES QUE PERTENECEN AL MISMO CONGLOMERADO FINANCIERO. <Artículo adicionado por el artículo 1 del Decreto 1486 de 2018. El nuevo texto es el siguiente:> La sumatoria de las exposiciones de cada uno de los fondos de pensiones obligatorias y fondos de cesantía cuyas contrapartes sean entidades que conforman el mismo conglomerado financiero de la entidad administradora de dichos fondos, además de cumplir a cabalidad con las disposiciones contenidas en el artículo 2.39.3.1.5, no podrá exceder el ocho por ciento (8%) del valor de cada fondo.
Se entiende por exposición la suma de las operaciones en uno o varios instrumentos de una misma entidad o emisor, incluyendo los depósitos a la vista realizados en ella, las exposiciones netas de la contraparte resultantes de las operaciones descritas en los subnumerales 3.4 y 3.7 del artículo 2.6.12.1.2. del presente decreto y las exposiciones crediticias en operaciones con instrumentos financieros derivados, en las que dicha entidad es la contraparte, salvo que su compensación y liquidación se realice a través de cámaras de riesgo central de contraparte.
Se entiende como exposición neta en las operaciones descritas en los subnumerales 3.4 y 3.7 del artículo 2.6.12.1.2. del presente decreto, el monto que resulte de restar la posición deudora de la posición acreedora de la contraparte en cada operación, siempre que este monto sea positivo. Para el cálculo de dichas posiciones deberán tenerse en cuenta el precio justo de intercambio de los valores cuya propiedad se transfiera y/o la suma de dinero entregada como parte de la operación, así como los intereses o rendimientos causados asociados a la misma.
Así mismo, para determinar la exposición crediticia en operaciones con instrumentos financieros derivados serán aplicables las definiciones que para el efecto determine la Superintendencia Financiera de Colombia.
Respecto a la inversión en títulos derivados de procesos de titularización, los límites de concentración por emisor se aplicarán sobre el valor total de cada universalidad o patrimonio autónomo. Cuando la titularización prevea algún tipo de garantía sobre los títulos emitidos, para efectos del cálculo de los límites individuales la proporción garantizada computará para el límite del garante y el porcentaje no garantizado solo computará para el límite de cada universalidad o patrimonio autónomo.
Para efectos del cálculo de los límites individuales en el caso de títulos aceptados o garantizados, la proporción garantizada computará para el límite del garante o aceptante y la no garantizada o aceptada para el límite del emisor.
Los límites individuales de inversión por emisor para el caso de inversiones en productos estructurados, de los que trata el subnumeral 3.6 del artículo 2.6.12.1.2 del presente decreto computarán según lo previsto en el artículo 2.6.12.1.12 del presente decreto.
PARÁGRAFO 1. Salvo para el caso en el cual la administradora de fondos de pensiones obligatorias y del fondo cesantía actúe como originador, no computarán para efectos del límite de que trata el presente artículo los títulos derivados de titularizaciones cuyo originador sea una o varias personas que hagan parte del mismo conglomerado de la administradora, siempre y cuando se trate de titularización de cartera y se cumplan las condiciones establecidas en los literales a), b) y c) del parágrafo 4 del artículo 2.6.12.1.15.
PARÁGRAFO 2. Las operaciones de las que trata el presente artículo se encuentran sujetas a los límites contenidos en el presente decreto para las operaciones de las entidades autorizadas para administrar fondos de pensiones obligatorias y fondos de cesantía y las instrucciones que sobre el particular emita la Superintendencia Financiera de Colombia.
PARÁGRAFO 3. En el caso de cada uno de los portafolios que componen el fondo de cesantías, no se incluirán dentro del saldo de los depósitos a la vista descritos en los subnumerales 3.1 y 3.3 del artículo 2.6.12.1.2. del presente decreto, las sumas recibidas durante los últimos cuarenta y cinco (45) días hábiles por concepto de aportes, traslados entre portafolios, traslados de otros fondos y vencimientos de capital e intereses de las inversiones, de acuerdo con las condiciones nominales de las mismas, así como aquellos recursos que por disposición expresa deben mantenerse en depósitos a la vista con antelación a la fecha de cumplimiento de la adquisición de inversiones en el exterior. En ningún caso el saldo a tener en cuenta por este concepto podrá ser negativo.
ARTÍCULO 2.39.3.1.7 INCUMPLIMIENTO DE LAS CONDICIONES PARA LA ADMINISTRACIÓN DE LOS CONFLICTOS DE INTERÉS EN LAS ENTIDADES QUE ADMINISTRAN FONDOS DE PENSIONES OBLIGATORIAS Y FONDOS DE CESANTÍA PERTENECIENTES A UN CONGLOMERADO FINANCIERO. <Artículo adicionado por el artículo 1 del Decreto 1486 de 2018. El nuevo texto es el siguiente:> Constituye una práctica insegura el incumplimiento de alguna de las disposiciones contenidas en el artículo 2.39.3.1.5 del presente decreto.
Cuando sea del caso, la Superintendencia Financiera de Colombia impondrá las sanciones administrativas a que haya lugar, y adelantará las acciones necesarias para que se suspendan de inmediato estas prácticas o se adopten las medidas correctivas y de saneamiento en los términos de la ley.
POLÍTICA PARA LA EXPOSICIÓN Y CONCENTRACIÓN DE RIESGOS.
ARTÍCULO 2.39.3.2.1. POLÍTICA PARA LAS EXPOSICIONES ENTRE ENTIDADES QUE CONFORMAN EL CONGLOMERADO FINANCIERO Y POLÍTICA PARA LAS EXPOSICIONES CON SUS VINCULADOS. <Artículo adicionado por el artículo 1 del Decreto 1486 de 2018. El nuevo texto es el siguiente:> Para el cumplimiento de lo estipulado en el presente Título, el holding financiero definirá una política para las exposiciones entre las entidades que lo conforman y una política para las exposiciones entre estas y sus vinculados. La elaboración y aplicación de estas políticas por parte del holding financiero tendrá en cuenta, entre otras, las características del conglomerado financiero y las situaciones de control o de influencia significativa presentes dentro de este. Esta política deberá ser emitida y aprobada por la Junta Directiva del holding financiero.
Dichas políticas deberán contener, como mínimo, aspectos que permitan:
i. Identificar las operaciones entre entidades del conglomerado financiero y entre estas y sus vinculados.
ii. Identificar todos los riesgos materiales asociados a las exposiciones entre entidades del conglomerado financiero y las exposiciones con sus vinculados.
iii. Establecer las responsabilidades y obligaciones de los administradores y órganos de gobierno de las entidades que conforman el conglomerado financiero y del holding financiero en cuanto al monitoreo y la gestión de las operaciones entre entidades del conglomerado financiero y con sus vinculados.
iv. Definir alertas tempranas y umbrales para prevenir el incumplimiento de los límites cuantitativos contenidos en esta política y establecer los mecanismos para escalar los eventuales incumplimientos de la misma. Así mismo, se definirán las medidas necesarias para que los administradores y órganos de gobierno de las entidades subsanen y eviten futuros incumplimientos.
v. Fijar límites cuantitativos para las exposiciones entre entidades del conglomerado financiero y para las exposiciones con sus vinculados. Así mismo, definir las situaciones excepcionales bajo las cuales el holding financiero podrá fijar un límite diferente.
vi. Establecer mecanismos de revelación de los límites mencionados en el numeral v. con destino a la Superintendencia Financiera de Colombia, a la Asamblea General de Accionistas u órgano que haga sus veces y a los órganos de control interno y externo.
vii. Establecer mecanismos para la aprobación y revisión periódica de las políticas por parte de la Junta Directiva del holding financiero u órgano que haga sus veces.
viii. Determinar la periodicidad con la cual la Junta Directiva del holding financiero u órgano que haga sus veces deberá analizar la información sobre las exposiciones entre entidades del conglomerado financiero y las exposiciones con sus vinculados, que en todo caso se efectuará por lo menos cada (3) tres meses.
Las políticas para las exposiciones entre las entidades del conglomerado financiero y para las exposiciones entre estas y sus vinculados deberán contener lineamientos generales que sean consistentes con los manuales, procesos y procedimientos definidos por el holding financiero. Estos procedimientos deberán permitir la instrumentalización de la política, mediante la descripción de los mecanismos a través de los cuales se identificará, medirá, controlará y se hará el monitoreo de las exposiciones entre las entidades que conforman el conglomerado financiero y entre estas y sus vinculados.
Los aspectos mencionados anteriormente deberán ser documentados dentro de los manuales de procesos y procedimientos del holding financiero y de las entidades que integran el conglomerado financiero.
ARTÍCULO 2.39.3.2.2. LÍMITES DE EXPOSICIÓN Y DE CONCENTRACIÓN DE RIESGOS ENTRE ENTIDADES DEL CONGLOMERADO FINANCIERO Y CON SUS VINCULADOS. <Artículo adicionado por el artículo 1 del Decreto 1486 de 2018. El nuevo texto es el siguiente:> El holding financiero deberá definir dentro de la política para las exposiciones entre entidades del conglomerado financiero y las exposiciones con sus vinculados, como mínimo, los siguientes límites:
i. Límite para las exposiciones entre entidades del conglomerado financiero: corresponde a un porcentaje máximo del patrimonio técnico del conglomerado financiero permitido para las exposiciones agregadas entre las entidades que lo conforman.
ii. Límite para la exposición agregada con un vinculado al conglomerado financiero: corresponde a un porcentaje máximo del patrimonio técnico del conglomerado financiero permitido para la sumatoria de las exposiciones que tiene con un vinculado, diferentes a aquellos que pertenecen al conglomerado financiero.
Las exposiciones agregadas a las que se refieren estos límites incluirán las operaciones activas de crédito, las exposiciones netas en operaciones de reporto, simultáneas, de transferencia temporal de valores y las exposiciones crediticias en operaciones con instrumentos derivados, así como los activos entregados en leasing financiero, las inversiones en acciones o participaciones, bonos y títulos negociables consideradas como riesgos computables, y en general, todas las operaciones previstas en los Títulos 2 y 3 del Libro 1 de la Parte 2 del presente decreto, bajo los mismos criterios y condiciones allí contenidos. Para el caso de las inversiones en acciones o participaciones, no computarán para el cálculo aquellas que han sido objeto de las deducciones previstas en el numeral 2 del artículo 2.39.2.1.4.
ARTÍCULO 2.39.3.2.3 FACULTADES DE LA SUPERINTENDENCIA FINANCIERA DE COLOMBIA EN RELACIÓN CON LAS POLÍTICAS PARA LAS EXPOSICIONES ENTRE ENTIDADES DEL CONGLOMERADO FINANCIERO Y PARA LAS EXPOSICIONES DE ESTAS CON SUS VINCULADOS. <Artículo adicionado por el artículo 1 del Decreto 1486 de 2018. El nuevo texto es el siguiente:> La Superintendencia Financiera de Colombia requerirá ajustes a las políticas para las exposiciones entre entidades del conglomerado financiero y las exposiciones con sus vinculados, incluidos los límites allí definidos, cuando en el marco del ejercicio de supervisión, determine que dichas políticas y límites no resulten consistentes con los riesgos asociados a las exposiciones de las entidades que en ellas intervienen, o cuando identifique riesgos para la estabilidad del sistema financiero derivados de dichas exposiciones.
ARTÍCULO 2.39.3.2.4 INFORMACIÓN A LA SUPERINTENDENCIA FINANCIERA DE COLOMBIA. <Artículo adicionado por el artículo 1 del Decreto 1486 de 2018. El nuevo texto es el siguiente:> Es responsabilidad del holding financiero presentar a la Superintendencia Financiera de Colombia la política para las exposiciones entre las entidades que lo conforman y para las exposiciones entre estas y los vinculados al conglomerado financiero, junto con las respectivas justificaciones técnicas. Igualmente, es responsabilidad del holding financiero identificar, actualizar permanentemente y mantener a disposición de dicha Superintendencia la información acerca de sus vinculados, de las exposiciones vigentes con estos, así como la información relacionada con las operaciones que se realicen entre las entidades que conforman el conglomerado financiero. Lo anterior, sin perjuicio de otra información que pueda requerir la Superintendencia Financiera de Colombia para efectos de supervisión.
ACTIVIDAD DE ASESORÍA.
DEFINICIONES, ALCANCE Y REGLAS GENERALES.
DEFINICIONES.
ARTÍCULO 2.40.1.1.1. ACTIVIDAD DE ASESORÍA. <Artículo adicionado por el artículo 1 del Decreto 661 de 2018. El nuevo texto es el siguiente:> La asesoría es una actividad del mercado de valores que únicamente puede ser desarrollada por entidades vigiladas por la Superintendencia Financiera de Colombia conforme a las reglas que disponen el funcionamiento de los elementos e instrumentos requeridos para que los inversionistas puedan tomar decisiones de inversión según lo previsto en el presente Libro.
Para el efecto las entidades vigiladas por la Superintendencia Financiera de Colombia elaborarán el perfil del inversionista, establecerán el perfil del producto, realizarán el análisis de conveniencia del producto para el inversionista, suministrarán recomendaciones profesionales, entregarán información y efectuarán la distribución de los productos, de conformidad con las reglas establecidas en atención a la calidad de los inversionistas y a las características de los productos, según lo dispuesto en el presente Libro.
Las entidades que desarrollen la actividad de asesoría, deberán hacerlo a través de las personas naturales que expresamente autorice para la ejecución de dicha actividad, las cuales deberán estar inscritas en el Registro Nacional de Profesionales del Mercado de Valores (RNPMV) y contar con la certificación en la modalidad que les permita la realización de esta actividad. Lo anterior, sin perjuicio del uso de herramientas tecnológicas por las entidades, en los términos del Título 5 del presente Libro.
ARTÍCULO 2.40.1.1.2. RECOMENDACIÓN PROFESIONAL. <Artículo adicionado por el artículo 1 del Decreto 661 de 2018. El nuevo texto es el siguiente:> Se entiende por recomendación profesional el suministro de una recomendación individual o personalizada a un inversionista, que tenga en cuenta el perfil del cliente y el perfil del producto, para la realización de inversiones.
La recomendación profesional comprende una opinión idónea sobre una determinada inversión dada a un inversionista o a su ordenante para comprar, vender, suscribir, conservar, disponer o realizar cualquier otra transacción.
Se entiende que la recomendación es individual o personalizada cuando se dirige al inversionista debidamente identificado y tiene en cuenta sus condiciones particulares.
La opinión es idónea cuando se elabora con fundamento en el perfil del cliente y el perfil del producto, de tal suerte que incorpore un análisis profesional que responda debidamente al interés del inversionista destinatario de la misma.
ARTÍCULO 2.40.1.1.3. INFORMES DE INVESTIGACIÓN Y COMUNICACIONES GENERALES. <Artículo adicionado por el artículo 1 del Decreto 661 de 2018. El nuevo texto es el siguiente:> Los informes de investigación sobre inversiones y las comunicaciones de carácter general relativas a las mismas, que incorporen una descripción del producto y promuevan sus beneficios para los destinatarios, que se remitan a un inversionista, cualquiera sea el canal o medio de distribución, no se considerarán como una recomendación profesional en los términos del artículo 2.40.1.1.2. No obstante, dichos informes de investigación y comunicaciones generales recibirán el tratamiento de recomendaciones profesionales cuando cumplan con los criterios que determine la Superintendencia Financiera de Colombia.
En las comunicaciones generales de que trata este artículo se debe incluir una leyenda con el siguiente texto: “El contenido de la presente comunicación o mensaje no constituye una recomendación profesional para realizar inversiones en los términos del artículo 2.40.1.1.2 del Decreto número 2555 de 2010 o las normas que lo modifiquen, sustituyan o complementen”. Además, los mensajes o comunicaciones que se utilicen para difundir recomendaciones generales no pueden incluir un lenguaje o contenido que induzca al receptor a pensar que la inversión es adecuada en atención a su perfil.
El envío o entrega de los informes de investigación y/o de las comunicaciones generales de que trata este artículo no reemplazan o sustituyen el suministro de la recomendación profesional que deba realizarse de conformidad con las reglas del presente Libro.
PARÁGRAFO. Para la elaboración y distribución de informes de investigación y de comunicaciones generales de que trata este artículo no se requiere ser una entidad vigilada por la Superintendencia Financiera de Colombia.
ARTÍCULO 2.40.1.1.4. CONSEJO PROFESIONAL. <Artículo adicionado por el artículo 1 del Decreto 661 de 2018. El nuevo texto es el siguiente:> El suministro de consejo profesional en los términos del presente artículo, se regula por lo previsto en el estatuto profesional que rige la actividad correspondiente y la normativa aplicable a la prestación del respectivo servicio.
En tal sentido, no se someterá a las reglas del presente Libro la provisión de consejo que ofrecen profesionales como los abogados, contadores, auditores y revisores, entre otros, en la medida en que el mismo sea parte de un servicio profesional que se presta de manera conexa para la realización de actividades de manejo, aprovechamiento e inversión de recursos captados del público mediante valores.
El tratamiento previsto en el inciso anterior requiere que se cumplan las siguientes condiciones:
1. El consejo profesional se suministra sobre la base de los conocimientos y experiencia que es propia de la correspondiente profesión.
2. Cualquier opinión sobre la inversión en valores tiene carácter accesorio a la actividad profesional de la persona que la suministra.
3. La remuneración que recibe la persona que suministra el consejo profesional corresponde a las actividades propias del ejercicio de la profesión y en ningún caso al suministro de asesoría de inversiones en valores.
4. La persona que brinda el consejo profesional no se promueve o publicita como asesor de inversiones en valores.
ARTÍCULO 2.40.1.1.5. PERFIL DEL CLIENTE. <Artículo adicionado por el artículo 1 del Decreto 661 de 2018. El nuevo texto es el siguiente:> El perfil del cliente corresponde a la evaluación de su situación financiera, intereses y necesidades para determinar el perfil de los productos en los cuales resulta conveniente la realización de inversiones. Para construir el perfil del cliente se debe analizar como mínimo la información que el mismo entregue sobre los siguientes aspectos: conocimiento en inversiones, experiencia, objetivos de inversión, tolerancia al riesgo, capacidad para asumir pérdidas, horizonte de tiempo, capacidad para realizar contribuciones y para cumplir con requerimientos de garantías.
Es obligación de los clientes suministrar la información requerida para la elaboración y actualización del perfil del cliente. Las entidades vigiladas por la Superintendencia Financiera de Colombia deberán contar con políticas y procedimientos para la elaboración y actualización del perfil del cliente.
La Superintendencia Financiera de Colombia podrá determinar aspectos y elementos adicionales que se deben considerar para la elaboración del perfil del cliente, teniendo en cuenta el tipo de cliente y la clasificación de los productos que le serán ofrecidos.
PARÁGRAFO. Para efectos de lo previsto en el presente artículo, en el caso de los fondos de pensiones de jubilación e invalidez <Fondos Voluntarios de Pensión><3> se considerará como cliente al patrocinador de un plan institucional hasta el momento en que se consoliden los aportes en cabeza de los partícipes.
ARTÍCULO 2.40.1.1.6. PERFIL DEL PRODUCTO. <Artículo adicionado por el artículo 1 del Decreto 661 de 2018. El nuevo texto es el siguiente:> El perfil del producto es el resultado del análisis profesional de su complejidad, estructura, activos subyacentes, rentabilidad, riesgo, liquidez, volatilidad, costos, estructura de remuneración, calidad de la información disponible, prelación de pago y demás aspectos que se deben considerar para determinar las necesidades de inversión que satisface y los potenciales inversionistas que podrían ser destinatarios del mismo. Las entidades deberán revisar de forma periódica el perfil de los productos y en todo caso deberán proceder a su actualización cuando se produzcan cambios materiales en los principales elementos que se utilizan para el análisis de los mismos.
Las entidades vigiladas por la Superintendencia Financiera de Colombia deberán contar con políticas y procedimientos para la elaboración y actualización del perfil del producto.
La Superintendencia Financiera de Colombia podrá determinar los aspectos y elementos adicionales que se deben considerar para la elaboración del perfil del producto.
PARÁGRAFO 1. La clasificación del producto, como simple o complejo según lo previsto en el artículo 2.40.2.1.2 del presente decreto, sirve de base para que la entidad mediante la utilización de los otros criterios mencionados en este artículo defina el perfil del producto y el del inversionista objetivo del mismo.
PARÁGRAFO 2. Dentro del perfilamiento de fondos de inversión colectiva, podrá determinarse la existencia de fondos que habiendo sido clasificados como productos simples según lo previsto en el artículo 2.40.2.1.2. del presente decreto, estén dirigidos a cualquier tipo de inversionista sin ninguna característica o exigencia particular. En este caso, estos productos se deberán identificar como “productos universales” y no requerirán la realización de un perfilamiento de sus clientes en los términos del artículo 2.40.1.1.5.
ARTÍCULO 2.40.1.1.7. ANÁLISIS DE CONVENIENCIA. <Artículo adicionado por el artículo 1 del Decreto 661 de 2018. El nuevo texto es el siguiente:> Corresponde a la evaluación que realiza la entidad vigilada por la Superintendencia Financiera de Colombia para determinar si el perfil del producto es adecuado para un inversionista de acuerdo con el perfil del cliente. El análisis de conveniencia no comprende el suministro de una recomendación profesional al inversionista en los términos del artículo 2.40.1.1.2 del presente decre
Las entidades vigiladas por la Superintendencia Financiera de Colombia deberán contar con políticas y procedimientos para la realización profesional del análisis de conveniencia.
ÁMBITO DE LA ACTIVIDAD DE ASESORÍA.
ARTÍCULO 2.40.1.2.1. ÁMBITO DE LA ACTIVIDAD DE ASESORÍA. <Artículo adicionado por el artículo 1 del Decreto 661 de 2018. El nuevo texto es el siguiente:> Las entidades vigiladas por la Superintendencia Financiera de Colombia deben cumplir las disposiciones que se establecen en el presente Libro en los siguientes casos:
1. Para la prestación del servicio principal de asesoría en el mercado de valores, por parte de las entidades que tienen autorizada esta operación en su objeto social.
2. Para cumplir con el deber de asesoría exigido para el desarrollo de las actividades de intermediación previstas en los numerales 1 y 2 del artículo 7.1.1.1.2 del presente decreto.
3. Para la celebración y ejecución de contratos de administración de portafolios de terceros.
4. Para la distribución de fondos de inversión colectiva y la atención de los inversionistas mientras se encuentren vinculados a los mismos.
5. Para la vinculación de clientes a los fondos de pensiones de jubilación e invalidez <Fondos Voluntarios de Pensión><3> y la atención de los partícipes durante su permanencia en los mismos.
6. Para la celebración y ejecución de negocios fiduciarios que tengan por finalidad invertir en valores, ya sea a través de contratos de fiducia mercantil o de encargo fiduciario.
7. Para la celebración y ejecución de contratos de cuentas de margen.
En el desarrollo de la actividad de asesoría se tendrá en cuenta también, si se trata de un cliente inversionista o de un inversionista profesional, así como la clasificación de los productos entre simples y complejos, de conformidad con las reglas previstas en el presente Libro.
Las reglas de la actividad de asesoría previstas en este Libro se deben cumplir para la distribución de productos del exterior, que por su naturaleza sean propios del mercado de valores, por parte de las entidades vigiladas por la Superintendencia Financiera de Colombia que tienen autorizada dicha actividad en su objeto social.
PARÁGRAFO. Las disposiciones establecidas en el presente Libro no son aplicables a:
1. Las actividades que realicen los gestores profesionales de los fondos de capital privado de conformidad con lo previsto en el Libro 3 de la Parte 3 del presente decreto.
2. Los servicios profesionales que se prestan para la realización de estudios de factibilidad, procesos de adquisición, fusión, escisión, liquidación o reestructuración empresarial, cesión de activos, pasivos y contratos, diseño de valores, diseño de sistemas de costos, definición de estructuras adecuadas de capital, estudios de estructuración de deuda, comercialización de cartera, repatriación de capitales, estructuración de procesos de privatización, estructuración de fuentes de financiación, estructuración de procesos de emisión y colocación, y estructuración de operaciones especiales como ofertas públicas de adquisición y martillos.
3. El ofrecimiento de servicios financieros del exterior en Colombia de conformidad con la Parte 4 del presente decreto.
REGLAS GENERALES.
ARTÍCULO 2.40.1.3.1. OBLIGACIÓN DE SUMINISTRO DE UNA RECOMENDACIÓN PROFESIONAL. <Artículo adicionado por el artículo 1 del Decreto 661 de 2018. El nuevo texto es el siguiente:> En los casos previstos en el artículo 2.40.1.2.1 se requiere el suministro de recomendaciones profesionales a los clientes inversionistas de conformidad con las siguientes reglas:
1. Cuando el servicio principal de asesoría en el mercado de valores tenga por objeto la realización de operaciones sobre valores se deberá suministrar una recomendación profesional sobre las mismas.
2. Se deberá suministrar una recomendación profesional para cada una de las operaciones sobre valores que se realicen en desarrollo de las actividades de intermediación previstas en los numerales 1 y 2 del artículo 7.1.1.1.2 del presente decreto.
3. En los contratos de administración de portafolios de terceros se deberá suministrar al cliente recomendaciones profesionales que le permitan definir y actualizar los lineamientos y objetivos para su ejecución.
4. Para la distribución de fondos de inversión colectiva se deberá suministrar una recomendación profesional que permita al inversionista tomar la decisión de vinculación. En el reglamento del fondo de inversión colectiva se deberá establecer si al inversionista se le suministrarán recomendaciones profesionales mientras se encuentre vinculado al mismo, así como los términos y condiciones para la prestación de este servicio.
5. Para la vinculación de clientes a los fondos de pensiones de jubilación e invalidez <Fondos Voluntarios de Pensión><3> se deberá suministrar una recomendación profesional que permita al partícipe tomar la decisión de vinculación y realizar la selección de los portafolios y/o alternativas de inversión a los que quiera destinar sus aportes. En el reglamento del fondo de pensiones de jubilación e invalidez se deberá establecer si al partícipe se le suministrarán recomendaciones profesionales mientras se encuentre afiliado al mismo, así como los términos y condiciones para la prestación de este servicio.
6. Para la celebración de negocios fiduciarios que tengan por finalidad invertir en valores, ya sea a través de contratos de fiducia mercantil o de encargo fiduciario, se deberá suministrar recomendaciones profesionales a los inversionistas. En los respectivos contratos se deberá establecer si al inversionista se le suministrarán recomendaciones profesionales durante su ejecución y los términos y condiciones para la prestación de este servicio.
7. Para la celebración de contratos de cuentas de margen y para cada una de las operaciones que se realicen en desarrollo de los mismos se deberá suministrar al inversionista recomendaciones profesionales.
La obligación prevista en este artículo no será exigible cuando los clientes inversionistas renuncien a su derecho de obtener una recomendación profesional respecto de inversiones en productos simples conforme a lo previsto en el artículo 2.40.2.1.4.
Por su parte, los inversionistas profesionales podrán solicitar una recomendación profesional cuando en su criterio la requieran para tomar decisiones de inversión en valores y la entidad que ofrece o distribuye el producto o servicio estará en la obligación de suministrarla.
El cliente podrá solicitar la entrega del documento que soporta el suministro de la recomendación profesional, cuyo contenido se define en el artículo 2.40.4.1.2.
ARTÍCULO 2.40.1.3.2. CARÁCTER NO VINCULANTE DE LA RECOMENDACIÓN PROFESIONAL. <Artículo adicionado por el artículo 1 del Decreto 661 de 2018. El nuevo texto es el siguiente:> El inversionista que recibe la recomendación profesional tiene la libertad de proceder de conformidad con la misma o de actuar de forma diversa. En este último caso, en el evento de que se trate de clientes inversionistas que deciden realizar su inversión en condiciones más riesgosas que las incorporadas en la recomendación profesional, se deberá dejar registro de dicha decisión de forma previa a la realización de la operación, a través de un medio verificable.
ARTÍCULO 2.40.1.3.3. OBLIGACIÓN DE LOS ASESORES. <Artículo adicionado por el artículo 1 del Decreto 661 de 2018. El nuevo texto es el siguiente:> La persona natural que participa en la actividad de asesoría debe estar inscrita en el Registro Nacional de Profesionales del Mercado de Valores (RNPMV) y contar con la certificación en la modalidad que le permita cumplir con la totalidad de las reglas previstas en este Libro. Así mismo, el asesor debe conocer y entender el perfil del cliente y el perfil del producto que sugiere de forma previa al suministro de recomendaciones profesionales.
CALIDAD DE LOS CLIENTES, CLASIFICACIÓN DE PRODUCTOS Y DISTRIBUCIÓN.
ARTÍCULO 2.40.2.1.1. CALIDAD DE LOS CLIENTES. <Artículo adicionado por el artículo 1 del Decreto 661 de 2018. El nuevo texto es el siguiente:> Para la aplicación de lo previsto en el presente Libro se tendrá en cuenta la calidad de inversionista profesional o de cliente inversionista de conformidad con lo dispuesto en el Libro 2 de la Parte 7 del presente decreto.
Es obligación de los clientes suministrar la información requerida para determinar la calidad que les corresponde, ya sea de cliente inversionista o de inversionista profesional. Las entidades vigiladas por la Superintendencia Financiera de Colombia deberán contar con políticas y procedimientos para la clasificación de los clientes.
ARTÍCULO 2.40.2.1.2. CLASIFICACIÓN DE LOS PRODUCTOS. <Artículo adicionado por el artículo 1 del Decreto 661 de 2018. El nuevo texto es el siguiente:> Los productos que se ofrezcan a los clientes se clasifican en simples y complejos. La Superintendencia Financiera de Colombia determinará la categoría en que se clasifican los diferentes productos teniendo en cuenta, entre otros, los siguientes criterios:
a) La complejidad de su estructura;
b) Los riesgos asociados y la facilidad para analizarlos;
c) La información disponible y la transparencia de la misma para efectos de valoración;
d) Las limitaciones para salir de la posición de inversión en el producto;
e) La complejidad de las fórmulas de remuneración;
f) La incorporación de condiciones en los mecanismos de protección del capital.
Para la clasificación de los productos la Superintendencia Financiera de Colombia puede aplicar uno o varios criterios según lo considere pertinente. Así mismo, puede definir los productos con la generalidad o especificidad que considere adecuada.
PARÁGRAFO. La Superintendencia Financiera de Colombia realizará también la clasificación para los productos del exterior con base en los criterios establecidos en este artículo y podrá adoptar los criterios adicionales que considere pertinentes para el efecto.
ARTÍCULO 2.40.2.1.3. DISTRIBUCIÓN DE PRODUCTOS COMPLEJOS A CLIENTES INVERSIONISTAS. <Artículo adicionado por el artículo 1 del Decreto 661 de 2018. El nuevo texto es el siguiente:> Para la distribución de productos complejos a los clientes inversionistas se requiere el suministro de una recomendación profesional y se deben adoptar políticas y procedimientos de conformidad con los criterios que establezca la Superintendencia Financiera de Colombia, la cual tendrá en cuenta, entre otros, los siguientes:
a) La información debe ser suficiente para el entendimiento del producto por parte del cliente inversionista;
b) El perfil del producto debe ser adecuado para el perfil del cliente al cual se le ofrece;
c) La estructura de riesgo-remuneración debe ser conveniente para los intereses y necesidades del cliente inversionista;
d) Al cliente inversionista se le podrán ofrecer productos alternativos que puedan ser menos complejos y/o costosos, en caso que los mismos sean distribuidos por la misma entidad que atiende al cliente inversionista.
ARTÍCULO 2.40.2.1.4. DISTRIBUCIÓN DE PRODUCTOS SIMPLES A CLIENTES INVERSIONISTAS. <Artículo adicionado por el artículo 1 del Decreto 661 de 2018. El nuevo texto es el siguiente:> La distribución de productos simples se podrá realizar sin el suministro de una recomendación profesional cuando el cliente inversionista haya renunciado a su derecho a recibir dicha recomendación.
El cliente inversionista puede renunciar a recibir una recomendación profesional respecto de productos simples siempre que se cumplan las siguientes condiciones:
a) De forma previa a la renuncia el cliente inversionista recibe la información del producto simple y una explicación de sus características y riesgos;
b) El cliente inversionista manifiesta, de forma expresa, que conoce y entiende el producto simple y por tanto renuncia a recibir una recomendación profesional respecto de transacciones en el mismo. La decisión del cliente deberá constar en un formato físico o electrónico, especialmente diseñado para este propósito que explique las consecuencias de la misma. Por lo tanto, no valdrá como renuncia una cláusula contenida en un contrato de adhesión;
c) La entidad que distribuye u ofrece el producto simple debe en todo caso realizar el análisis de conveniencia de forma previa a la realización de la inversión.
El cliente inversionista podrá efectuar una renuncia con carácter general respecto de aquellos productos simples en los cuales hubiere realizado inversiones previas.
SUMINISTRO DE ASESORÍA Y CONFLICTOS DE INTERÉS.
SUMINISTRO DE ASESORÍA.
ARTÍCULO 2.40.3.1.1. CONDICIONES PARA EL SUMINISTRO DE ASESORÍA. <Artículo adicionado por el artículo 1 del Decreto 661 de 2018. El nuevo texto es el siguiente:> Al suministrar asesoría, las entidades vigiladas por la Superintendencia Financiera de Colombia autorizadas para el desarrollo de la actividad de asesoría, informarán al cliente de manera previa y expresa, bajo cuál de las siguientes modalidades suministran asesoría:
I. Modalidad independiente: Las entidades vigiladas por la Superintendencia Financiera de Colombia autorizadas para el desarrollo de la actividad de asesoría que la suministren bajo esta modalidad, deberán documentar y dar cumplimiento a las siguientes condiciones al momento del suministro de la respectiva asesoría:
1. Se realiza un análisis del mercado relevante de los productos disponibles en que podría invertir el inversionista para recomendar la opción que pueda satisfacer de mejor forma las necesidades del cliente en atención a su perfil. El análisis no se puede limitar a los productos ofrecidos por la entidad que atiende el cliente o por sus vinculados.
2. La entidad y las personas que suministran la asesoría no pueden recibir beneficios monetarios o no monetarios proporcionados por un tercero –entendido este como una persona que no es parte de la relación–, o por una persona que actúe por cuenta de un tercero en relación con la distribución del producto a sus clientes.
3. La entidad y las personas naturales que suministran la asesoría deben estar libres de todo conflicto de interés de tal suerte que puedan actuar buscando exclusivamente el mayor beneficio para el cliente.
En desarrollo de esta modalidad la entidad podría recomendar productos propios o de sus vinculados siempre que se cumplan las condiciones de los tres numerales anteriores.
II. Modalidad no independiente: Se considera que las entidades vigiladas por la Superintendencia Financiera de Colombia autorizadas para el desarrollo de la actividad de asesoría, la suministran bajo esta modalidad cuando no se cumplen los términos previstos en el numeral I del presente artículo.
A través de esta modalidad, el suministro de asesoría se debe realizar cumpliendo con las siguientes condiciones:
1. Se le debe informar al inversionista, de forma previa y a través de medio verificable, que la asesoría se suministra bajo la modalidad no independiente y las diferencias con la modalidad independiente.
2. Se debe revelar al inversionista, de forma previa y por medio verificable, el alcance de las limitaciones de la asesoría y las circunstancias por las cuales ella se suministra bajo la presente modalidad.
CONFLICTOS DE INTERÉS.
ARTÍCULO 2.40.3.2.1. CONFLICTOS DE INTERÉS. <Artículo adicionado por el artículo 1 del Decreto 661 de 2018. El nuevo texto es el siguiente:> Las entidades deben contar con políticas y procedimientos, aprobados por la Junta Directiva u órgano equivalente, para la identificación, prevención, administración y revelación de los conflictos de interés que puedan afectar el desarrollo de la actividad de asesoría.
Las políticas y procedimientos a que se refiere el presente artículo se deben orientar a privilegiar en todo caso el interés de los clientes y su contenido mínimo es el siguiente:
a) Identificación de las situaciones de conflicto de interés en que pueda estar incursa la entidad y la forma de administrarlos;
b) Identificación de las situaciones de conflicto de interés en que pueden estar incursos los asesores, particularmente aquellas relacionadas con la distribución de los productos propios de la entidad con la cual tienen relación y de los que son ofrecidos por los vinculados de esta, entendiendo por tales a quienes se definen en el artículo 7.3.1.1.2 del presente decreto;
c) Tratamiento de los incentivos monetarios y no monetarios que puedan llegar a recibir la entidad y/o quienes participan en la actividad de asesoría;
d) Independencia de quienes suministran la asesoría en relación con las personas que participan en la elaboración de informes de investigación sobre inversiones que podrían ser recomendadas a los clientes;
e) Reglas para que la realización simultánea de actividades no dé lugar a situaciones de conflicto de interés que afecten la actividad de asesoría;
f) Esquemas de remuneración de los asesores que tengan en cuenta la salvaguarda de los intereses de los clientes en el cumplimiento de la actividad de asesoría;
g) Reglas relativas a los flujos de información para que no se afecte el cumplimiento de la actividad de asesoría;
h) Mecanismos que permitan informar de manera oportuna a los clientes sobre los conflictos de interés y la forma en que son administrados por la entidad.
La Superintendencia Financiera de Colombia podrá ampliar el contenido de las políticas y procedimientos requeridos por el presente artículo y fijar los criterios técnicos para su elaboración.
DOCUMENTACIÓN Y REGISTRO.
ARTÍCULO 2.40.4.1.1. DOCUMENTACIÓN DE LA ACTIVIDAD DE ASESORÍA. <Artículo adicionado por el artículo 1 del Decreto 661 de 2018. El nuevo texto es el siguiente:> Para la adecuada documentación de la actividad de asesoría las entidades deberán atender como mínimo las reglas que se establecen a continuación:
1. Los términos y condiciones para el cumplimiento de la actividad de asesoría deben constar en un documento que permita su aplicación a la relación contractual que tenga la entidad con el cliente, el cual debe ser aceptado de forma expresa por este.
2. La entidad debe contar con medios verificables que permitan acreditar el cumplimiento de las obligaciones previstas en el presente Libro.
3. Se debe suministrar a los clientes el soporte, físico o electrónico, en el que se verifique la recomendación profesional, cuando lo soliciten, con el contenido previsto en el artículo 2.40.4.1.2.
4. Las decisiones que adopten los clientes de conformidad con lo previsto en el presente Libro deben constar en medio verificable.
ARTÍCULO 2.40.4.1.2 CONTENIDO DEL DOCUMENTO SOPORTE DEL SUMINISTRO DE UNA RECOMENDACIÓN PROFESIONAL. <Artículo adicionado por el artículo 1 del Decreto 661 de 2018. El nuevo texto es el siguiente:> El soporte, físico o electrónico, que permita verificar el suministro de una recomendación profesional debe incluir por lo menos los siguientes aspectos:
a) Clasificación del cliente;
b) Perfil del cliente;
c) Perfil del producto recomendado y mercado objetivo;
d) Modalidad de la asesoría prestada, independiente o no independiente, incluyendo las limitaciones que permitan calificarla en esta última categoría;
f) La recomendación profesional con una síntesis de los argumentos que le sirven de fundamento;
g) Descripción general de todos los gastos y demás factores que influyen en el precio del producto ofrecido y/o en el precio de la asesoría suministrada;
h) Los conflictos de interés y la forma en que puedan afectar al cliente, así como los mecanismos utilizados para administrarlos o mitigarlos;
i) La identificación del asesor, la calidad en que actúa, su forma de vinculación con la entidad y las certificaciones profesionales con que cuenta;
j) Las políticas de remuneración de la entidad que tienen relación con el producto o servicio ofrecido.
La información de los literales anteriores podrá incorporarse por vía de referencia siempre que la misma esté a disposición del cliente por cualquier medio. En todo caso la información debe ser justa, transparente, clara, comprensible y completa y se deberá entregar de forma que no resulte engañosa.
Así mismo, las entidades deberán llevar un registro que conserve los soportes de las recomendaciones profesionales suministradas y permita verificar el cumplimiento de las reglas previstas en este Libro.
UTILIZACIÓN DE HERRAMIENTAS TECNOLÓGICAS.
ARTÍCULO 2.40.5.1.1 UTILIZACIÓN DE HERRAMIENTAS TECNOLÓGICAS. <Artículo adicionado por el artículo 1 del Decreto 661 de 2018. El nuevo texto es el siguiente:> Las entidades podrán utilizar herramientas tecnológicas para el suministro de recomendaciones profesionales, cumpliendo en todo caso con lo previsto en el presente Libro.
Los clientes podrán solicitar que la recomendación profesional brindada por la herramienta tecnológica sea complementada por un asesor certificado para cumplir con las reglas de la actividad de asesoría previstas en este Libro y la entidad estará en obligación de atender dicha petición de acuerdo con los términos contractuales pactados.
Las entidades no podrán exonerarse de su responsabilidad por el suministro de una recomendación profesional con ocasión de fallas de cualquier naturaleza que afecten las herramientas tecnológicas utilizadas para dicho propósito.
La Superintendencia Financiera de Colombia establecerá criterios o requerimientos particulares que deberán cumplir las herramientas tecnológicas, los cuales deberán considerar la complejidad de los productos sobre los cuales se suministra asesoría y además deberán estar orientados a que los clientes obtengan las recomendaciones profesionales que requieren para tomar las correspondientes decisiones de inversión.
ORGANISMOS DE AUTORREGULACIÓN.
ARTÍCULO 2.40.6.1.1. ORGANISMOS DE AUTORREGULACIÓN. <Artículo adicionado por el artículo 1 del Decreto 661 de 2018. El nuevo texto es el siguiente:> Los organismos de autorregulación deberán cumplir las funciones de autorregulación en relación con las disposiciones del presente Libro, las cuales tienen por finalidad regular la relación de los clientes con los intermediarios de valores cuando estos desarrollen la actividad de asesoría.
ACTIVIDAD DE FINANCIACIÓN COLABORATIVA.
DISPOSICIONES GENERALES.
ARTÍCULO 2.41.1.1.1. ASPECTOS GENERALES. <Artículo adicionado por el artículo 1 del Decreto 1357 de 2018. El nuevo texto es el siguiente:> El presente Libro regula la actividad de financiación colaborativa a través de la emisión de valores.
La actividad de financiación colaborativa es aquella desarrollada por entidades autorizadas por la Superintendencia Financiera de Colombia, a partir de una infraestructura electrónica, que puede incluir interfaces, plataformas, páginas de internet u otro medio de comunicación electrónica, a través de la cual se ponen en contacto un número plural de aportantes con receptores que solicitan financiación en nombre propio para destinarlo a un proyecto productivo de inversión.
El presente Libro no regula las financiaciones que tengan como destino la realización de una donación o la recepción de un servicio o bien, que sea distinto a un valor en los términos del artículo 2o de la Ley 964 de 2005.
Para efectos de las normas que regulan la actividad de financiación colaborativa, se entiende por proyecto productivo aquel desarrollado por personas jurídicas con el fin de obtener una rentabilidad económica a partir de actividades empresariales, agropecuarias, industriales, comerciales o de servicios.
ARTÍCULO 2.41.1.1.2. MODALIDADES DE FINANCIACIÓN COLABORATIVA. <Artículo adicionado por el artículo 1 del Decreto 1357 de 2018. El nuevo texto es el siguiente:> La financiación colaborativa podrá realizarse a través de las siguientes modalidades:
a) Financiación colaborativa a través de valores representativos de deuda;
b) Financiación colaborativa a través de valores representativos de capital social.
ARTÍCULO 2.41.1.1.3 ENTIDADES AUTORIZADAS. <Artículo adicionado por el artículo 1 del Decreto 1357 de 2018. El nuevo texto es el siguiente:> La actividad de financiación colaborativa será desarrollada por sociedades anónimas de objeto exclusivo que tengan como propósito poner en contacto a un número plural de aportantes con receptores que solicitan financiación en nombre propio para destinarlo a un proyecto productivo, las cuales se denominarán sociedades de financiación colaborativa. Las bolsas de valores y los sistemas de negociación o registro de valores autorizados por la Superintendencia Financiera de Colombia, también podrán realizar la actividad de financiación colaborativa.
Las entidades que desarrollen la actividad de financiación colaborativa estarán sujetas a la inspección y vigilancia de la Superintendencia Financiera de Colombia.
La denominación de “sociedad de financiación colaborativa” únicamente podrá ser utilizado por las entidades que hayan sido autorizadas por la Superintendencia Financiera de Colombia.
ARTÍCULO 2.41.1.1.4. REQUISITOS DE ORGANIZACIÓN. <Artículo adicionado por el artículo 1 del Decreto 1357 de 2018. El nuevo texto es el siguiente:> Las sociedades que pretendan desarrollar la actividad de financiación colaborativa deberán acreditar el cumplimiento de los siguientes requisitos:
1. Establecerse como sociedades anónimas cumpliendo el trámite de autorización previsto en el artículo 53 del Estatuto Orgánico del Sistema Financiero para su constitución.
2. Inscribirse en el Registro Nacional de Agentes del Mercado de Valores (RNAMV).
3. <Numeral modificado por el artículo 8 del Decreto 1235 de 2020. El nuevo texto es el siguiente:> Adoptar medidas para garantizar la continuidad y la regularidad de los mecanismos y dispositivos implementados para llevar a cabo la financiación colaborativa. Para el efecto, la sociedad deberá desarrollar y mantener sistemas, recursos y procedimientos adecuados y proporcionales al tamaño, frecuencia y complejidad de las emisiones que a través de dichos sistemas se realicen, y.
4. Disponer de procedimientos administrativos y contables adecuados, mecanismos de control interno, técnicas eficaces de administración y control de riesgos y mecanismos eficaces de control y salvaguardia de sus sistemas informáticos.
PARÁGRAFO. <Parágrafo adicionado por el artículo 8 del Decreto 1235 de 2020. El nuevo texto es el siguiente:> Además de los requisitos anteriormente señalados, las entidades que desarrollan la actividad de financiación colaborativa que pretendan administrar un sistema de registro de operaciones sobre los valores emitidos en sus plataformas deberán adoptar medidas para garantizar la continuidad y la regularidad de los mecanismos y dispositivos implementados para el funcionamiento del sistema de registro. Para el efecto, la sociedad deberá desarrollar y mantener sistemas, recursos y procedimientos adecuados y proporcionales al tamaño, frecuencia y complejidad de los negocios que a través de dichos sistemas se registren.
ARTÍCULO 2.41.1.1.5. ÁMBITO DE APLICACIÓN TERRITORIAL. <Artículo adicionado por el artículo 1 del Decreto 1357 de 2018. El nuevo texto es el siguiente:> Estarán sujetas a lo previsto en este Libro las entidades que ejerzan la actividad de financiación colaborativa en el territorio nacional y estén domiciliadas en el país, así como los receptores y aportantes que participen en ellas. En tal sentido, los receptores deberán tener la calidad de residentes colombianos.
Las disposiciones previstas en el presente Libro, no resultan aplicables a las actividades que realicen los residentes colombianos en entidades o plataformas de financiación colaborativa o de crowdfunding domiciliadas en el extranjero.
REGLAS APLICABLES A LAS ENTIDADES QUE DESARROLLEN LA ACTIVIDAD DE FINANCIACIÓN COLABORATIVA.
ARTÍCULO 2.41.2.1.1 FUNCIONES DE LAS ENTIDADES QUE DESARROLLEN LA ACTIVIDAD DE FINANCIACIÓN COLABORATIVA. <Artículo adicionado por el artículo 1 del Decreto 1357 de 2018. El nuevo texto es el siguiente:> Las entidades que desarrollen la actividad de financiación colaborativa deberán prestar las siguientes funciones:
1. Recepción, clasificación y publicación de proyectos de financiación colaborativa.
2. Creación, desarrollo y utilización de canales para facilitar la entrega de información de los proyectos productivos a los aportantes.
3. Habilitar las herramientas necesarias para ejecutar las operaciones que formalicen la financiación del proyecto productivo.
4. Realizar el recaudo de los recursos relacionados con la financiación de los proyectos productivos a través de entidades vigiladas por la Superintendencia Financiera de Colombia, distintas a las propias entidades de financiación colaborativa.
5. Mantener los recursos recaudados para la financiación de un proyecto productivo, en entidades vigiladas por la Superintendencia Financiera de Colombia que aseguren la segregación patrimonial de dichos recursos, de los activos y recursos propios de las entidades que realicen la actividad de financiación colaborativa y de aquellos que esta última recaude en virtud de otros proyectos productivos y garantizar la disponibilidad y conservación de los mismos acorde con las obligaciones previstas en el presente Decreto.
6. <Numeral derogado por el artículo 24 del Decreto 1235 de 2020>
PARÁGRAFO. <Parágrafo adicionado por el artículo 9 del Decreto 1235 de 2020. El nuevo texto es el siguiente:> Las entidades que desarrollan la actividad de financiación colaborativa también podrán:
1. Prestar servicios adicionales de cobranza y publicidad para la divulgación del proyecto productivo.
2. Administrar sistemas de registro de operaciones sobre los valores de financiación colaborativa que hayan sido emitidos a través de la propia plataforma de financiación colaborativa.
3. Prestar servicios que permitan que los receptores inscritos en la plataforma reciban donaciones.
ARTÍCULO 2.41.2.1.2. DEBERES DE LAS ENTIDADES QUE REALICEN LA ACTIVIDAD DE FINANCIACIÓN COLABORATIVA. <Artículo adicionado por el artículo 1 del Decreto 1357 de 2018. El nuevo texto es el siguiente:> Las entidades que realicen la actividad de financiación colaborativa tendrán los siguientes deberes:
1. Expedir el reglamento de funcionamiento de la actividad de financiación colaborativa, el cual deberá ser aprobado por la Superintendencia Financiera de Colombia.
2. Contar con un procedimiento de clasificación de los proyectos productivos que facilite la toma de decisión de los aportantes. El procedimiento de clasificación mencionado deberá ser de público conocimiento.
3. Recibir, evaluar, tramitar y decidir las solicitudes de vinculación a las entidades que realicen la actividad de financiación colaborativa por parte de los aportantes y de los receptores. Para tal efecto, deberá establecer en su reglamento criterios de admisión que garanticen procesos de vinculación transparentes, objetivos, claros y no discriminatorios.
4. Proveer información al público de las características generales de los proyectos productivos, las condiciones financieras bajo las cuales se otorga su financiamiento y de cualquier actualización o información adicional que reporte el receptor de los recursos. Esta información deberá estar disponible como mínimo durante un (1) año luego de la fecha de emisión de los valores de financiación colaborativa, salvo que la redención de estos últimos sea inferior a este término.
5. Establecer un mecanismo de gestión y monitoreo de los límites fijados para los receptores.
6. <Numeral modificado por el artículo 10 del Decreto 1235 de 2020. El nuevo texto es el siguiente:> Reportar a los operadores de información financiera los datos de los receptores cada vez que realicen operaciones de financiación a través suyo en un término máximo de treinta (30) días a partir de la fecha del respectivo evento.
7. Llevar el registro de los receptores y sus proyectos productivos, de las operaciones de financiación que se realicen a través suyo y de los aportantes y el monto de sus aportes por proyecto productivo.
8. Adelantar los procedimientos ordinarios en materia de conocimiento del cliente y de administración del riesgo de lavado de activos y financiación del terrorismo para los receptores y aportantes.
9. Establecer y divulgar al público las políticas y procedimientos administrativos y de organización para la prevención, identificación, revelación y administración de los conflictos de interés.
10. Guardar estricta confidencialidad sobre la información reservada de los aportantes, los proyectos productivos y aquella relacionada con las operaciones de financiación realizadas a través suyo.
11. Poner a disposición de las autoridades competentes la información que conozca, relacionada con posibles actuaciones o situaciones que puedan llegar a configurar conductas fraudulentas o ilegales.
12. Suministrar toda la información requerida por las autoridades competentes en relación con su operación.
13. <Numeral adicionado por el artículo 10 del Decreto 1235 de 2020. El nuevo texto es el siguiente:> Las entidades que desarrollan la actividad de financiación colaborativa y que presten los servicios de los que trata el numeral 3 del parágrafo del artículo 2.41.2.1.1. del presente decreto deben asegurarse de que los aportantes sepan y entiendan que están haciendo una donación y no una inversión. Las entidades que desarrollan la actividad de financiación colaborativa también deberán garantizar que los receptores interesados en recibir donaciones por medio de la plataforma de financiación colaborativa no cuentan con una emisión de valores de financiación colaborativa en curso en su plataforma de manera simultánea.
13. 14. Los demás que establezca la Superintendencia Financiera de Colombia.
PARÁGRAFO. Para los efectos previstos en el numeral 8 de presente artículo, la Superintendencia Financiera de Colombia podrá establecer condiciones y trámites especiales para la realización de los procedimientos de conocimiento del cliente y administración del riesgo de lavado de activos y financiación del terrorismo para los receptores y aportantes de las entidades que realicen la actividad de financiación colaborativa.
ARTÍCULO 2.41.2.1.3. PROHIBICIONES. <Artículo adicionado por el artículo 1 del Decreto 1357 de 2018. El nuevo texto es el siguiente:> Las entidades que realicen la actividad de financiación colaborativa no podrán:
1. Prestar asesoría relacionada con los proyectos productivos que se financien a través suyo, ni respecto a cualquier situación que pueda generar conflictos de interés respecto de la actividad.
2. Administrar directamente los recursos de los proyectos productivos financiados, acorde con lo previsto en los numerales 4 y 5 del Artículo 2.41.2.1.1. del presente Decreto.
3. Asegurar retornos o rendimientos sobre la inversión realizada.
4. Otorgar préstamos, créditos o cualquier otro tipo de financiamiento a los aportantes o receptores, o actuar como aportante en los proyectos que se promuevan o financien a través de la misma entidad.
5. Asumir el carácter de receptores de proyectos productivos que se publiquen o financien a través de la misma entidad para la financiación colaborativa.
Las prohibiciones establecidas en el presente artículo serán extensivas a los accionistas, administradores y demás funcionarios de la entidad.
ARTÍCULO 2.41.2.1.4. CLASIFICACIÓN DE PROYECTOS PRODUCTIVOS. <Artículo adicionado por el artículo 1 del Decreto 1357 de 2018. El nuevo texto es el siguiente:> Las entidades que realicen la actividad de financiación colaborativa deberán adoptar un procedimiento que permita clasificar los proyectos productivos a partir de un análisis objetivo de la información suministrada sobre los mismos por los receptores.
El procedimiento deberá considerar como mínimo información relevante del proyecto relacionada con su sector, industria y localización, empleando criterios de análisis homogéneos y no discriminatorios y deberá publicarse en el medio de comunicación electrónica elegido por la entidad, junto con la clasificación resultante, con el objeto de que los aportantes dispongan de esta información para la toma de decisiones de inversión.
La clasificación de los proyectos productivos, en ningún caso implica la calificación de los riesgos asociados a los mismos, ni la emisión de una opinión o el aseguramiento de obtención de rentabilidades para los aportantes.
ARTÍCULO 2.41.2.1.5. REGLAMENTO DE FUNCIONAMIENTO. <Artículo adicionado por el artículo 1 del Decreto 1357 de 2018. El nuevo texto es el siguiente:> Las entidades que realicen la actividad de financiación colaborativa deberán adoptar un reglamento de funcionamiento que comprenda al menos lo siguiente:
1. El procedimiento previsto para la modificación de Reglamento.
2. Funcionamiento básico de la actividad de financiación colaborativa, incluido el procedimiento de clasificación de los proyectos y los criterios para su publicación.
3. Reglas que establezcan los derechos y obligaciones de los aportantes y receptores vinculados a la entidad y los criterios previstos para su admisión y desvinculación, que garanticen la igualdad de condiciones para los participantes.
4. Los procedimientos y medios a través de los cuales se invierte en los proyectos.
5. Los mecanismos de recaudo de los recursos relacionados con la financiación colaborativa.
6. Las actividades, derechos y obligaciones de la entidad, de los receptores y aportantes.
7. Los procedimientos y sistemas establecidos a través de los cuales se conserven y distribuyan los fondos de los aportantes y la remuneración del capital invertido, los cuales en todo caso deben realizarse a través de entidades vigiladas por la Superintendencia Financiera de Colombia, en los términos del numeral 5 del artículo 2.41.2.1.1. del presente Decreto.
8. Los requisitos y procedimientos establecidos por la entidad para realizar la entrega de los recursos recaudados al receptor de los proyectos productivos, una vez cumplidos los supuestos del Título 5 del Libro 41 de la Parte 2 del presente Decreto.
9. La política establecida para la fijación de tarifas a los receptores y aportantes de la entidad o para la determinación de cualquier otro cargo.
10. Las políticas y procedimientos para prevenir, administrar y revelar conflictos de interés.
11. Los eventos en los cuales se configura un incumplimiento de las obligaciones a cargo de cualquiera de los participantes en la entidad, junto con sus correspondientes sanciones. Las sanciones deberán fijarse atendiendo a principios de proporcionalidad, razonabilidad y transparencia.
12. Los mecanismos de resolución de controversias que surjan entre los participantes.
13. El plan de contingencia y continuidad de las operaciones de la entidad.
14. Los mecanismos previstos por la entidad, para un eventual desmonte gradual de las operaciones de financiación colaborativa que le han sido autorizadas, indicando al menos, las causas de activación de este mecanismo, el órgano social encargado de decretar su implementación, su duración y el procedimiento para ceder o trasladar los proyectos de financiación vigente a otra u otras entidades que realicen la actividad de financiación colaborativa.
15. Los demás que establezca la Superintendencia Financiera de Colombia.
ARTÍCULO 2.41.2.1.6. SUMINISTRO DE INFORMACIÓN A APORTANTES Y RECEPTORES. <Artículo adicionado por el artículo 1 del Decreto 1357 de 2018. El nuevo texto es el siguiente:> Las entidades que realicen la actividad de financiación colaborativa deberán suministrar a los aportantes y receptores, la siguiente información de manera actualizada, gratuita y fácilmente visible a través de su página web o cualquier otro medio que garantice su acceso:
1. El reglamento de funcionamiento de la actividad de financiación colaborativa.
2. Descripción concisa y en un lenguaje no técnico o de fácil entendimiento de cada uno de los proyectos productivos con el fin de proporcionar la información necesaria para permitir a un aportante un juicio fundado sobre la decisión de financiación del proyecto. Esta información incluirá la referida en el numeral 5 del artículo 2.41.3.1.1. del presente Decreto.
3. La clasificación de los proyectos productivos según el procedimiento establecido.
4. Descripción de los principales elementos de la financiación determinados por el receptor, que como mínimo estén referidos a: (i) monto, plazo y precio de la emisión o tasa de colocación de la misma expresada en términos efectivos anuales; ii) en el caso de títulos de deuda, tabla de amortizaciones con el monto, número y periodicidad de los pagos que deberá efectuar el receptor del crédito; iii) sanciones por incumplimiento en los pagos; iv) eventos de desistimiento y prepago; v) mecanismos de pago y recaudo y, (vi) el procedimiento en aquellos eventos en los cuales no se alcance el porcentaje mínimo de financiación en el plazo establecido y mecanismos para llevar a cabo el proceso de devolución de los recursos a los aportantes. También deberá informarse a los aportantes los costos o gastos, incluidos los tributarios, relacionados con el procedimiento de devolución.
5. La advertencia de que la entidad que realiza la actividad de financiación colaborativa no ostenta la condición de establecimiento de crédito ni de intermediario de valores.
6. Las tarifas que cobrará la entidad que realiza la actividad de financiación colaborativa a los aportantes y a los receptores y cualquier otra comisión, cargo o retención que esta aplique.
7. Los mecanismos de recaudo de los recursos relacionados con la financiación colaborativa.
8. Los procedimientos y sistemas establecidos para conservar y distribuir los fondos de los aportantes, y los previstos para que los aportantes reciban los recursos invertidos, la remuneración de dicha inversión y la eventual devolución de los aportes, en los eventos en los cuales no se alcance el porcentaje mínimo de financiación de un proyecto. Estos recursos en todo caso deberán canalizarse a través de entidades vigiladas por la Superintendencia Financiera de Colombia distintas a las propias entidades de financiación colaborativa.
9. La información financiera relacionada con la evolución de la financiación de cada uno de los proyectos productivos que se realicen en la entidad referida al menos al número de aportantes, montos financiados y condiciones de la financiación. Esta información deberá ser actualizada diariamente, respecto a los proyectos productivos con procesos de financiación abiertos o vigentes.
10. Los procedimientos y medios para la presentación de quejas y reclamaciones por parte de los aportantes y los procedimientos para resolverlos.
ARTÍCULO 2.41.2.1.7. ACTUALIZACIÓN DE INFORMACIÓN DE LOS PROYECTOS PRODUCTIVOS. <Artículo adicionado por el artículo 1 del Decreto 1357 de 2018. El nuevo texto es el siguiente:> Durante la vigencia de la financiación el receptor estará obligado a actualizar la información inicial suministrada sobre los proyectos productivos y en particular, a suministrar la información relacionada con cualquier situación o evento que modifique los datos financieros, planes de negocio, riesgos de dichos proyectos o que esté referida al pago de la financiación, sus rendimientos o cualquier otro derecho que surja en favor de los aportantes.
Una vez las entidades que realicen la actividad de financiación colaborativa reciban esta información, deberán divulgarla a los aportantes de manera inmediata.
ARTÍCULO 2.41.2.1.8. REPORTE A LOS OPERADORES DE INFORMACIÓN FINANCIERA. <Artículo adicionado por el artículo 1 del Decreto 1357 de 2018. El nuevo texto es el siguiente:> Las entidades que realicen la actividad de financiación colaborativa deberán reportar y actualizar de manera oportuna a los operadores de información financiera de que trata la Ley 1266 de 2008, la información relacionada con el nacimiento, modificación o extinción de las obligaciones contraídas por los receptores, incluyendo su monto y los reportes de pago de las mismas, según el caso.
Esta información será utilizada para el control de los límites de que trata el artículo 2.41.3.1.2. del presente Decreto.
En todo caso, para el reporte y actualización de información que las entidades que realicen la actividad de financiación colaborativa deban realizar a los operadores de información financiera, contarán con un término máximo de tres (3) días a partir de la fecha del respectivo evento, de la recepción de la información o del momento en que tuvo conocimiento de la misma.
REGLAS APLICABLES A LOS RECEPTORES DE RECURSOS Y A LOS PROYECTOS PRODUCTIVOS.
ARTÍCULO 2.41.3.1.1. REQUISITOS DE INFORMACIÓN. <Artículo adicionado por el artículo 1 del Decreto 1357 de 2018. El nuevo texto es el siguiente:> El receptor de los recursos deberá suministrar a la entidad que realice la actividad de financiación colaborativa la siguiente información al momento de solicitar la financiación:
1. Certificado de existencia y representación legal de los receptores.
2. <Numeral modificado por el artículo 11 del Decreto 1235 de 2020. El nuevo texto es el siguiente:> Descripción del perfil de los socios o accionistas de los receptores que ostenten más del cinco por ciento (5%) de la propiedad del receptor.
3. Autorización para consultar el historial crediticio de la sociedad receptora y de sus socios o accionistas.
4. Dirección de notificaciones del receptor.
5. Descripción completa del proyecto productivo que contenga cuando menos: una reseña histórica del proyecto, información financiera, planes de negocio, riesgos asociados al proyecto, destinación de los recursos que se reciban, porcentaje del proyecto productivo que se pretende financiar a través de la entidad y las demás fuentes de financiación que utiliza o prevé utilizar el receptor para el proyecto productivo –incluyendo la financiación realizada en otras entidades que realicen la actividad de financiación colaborativa–, así como la existencia o no de garantías que respalden la financiación.
6. Suscribir un formato de vinculación en el cual se acepten los siguientes términos y condiciones mínimos:
a) La plena aceptación y conocimiento del reglamento de funcionamiento de la respectiva entidad y de las normas aplicables a la actividad de la misma;
b) Que los proyectos productivos no son objeto de autorización ni de supervisión por la Superintendencia Financiera de Colombia y que esta autoridad tampoco certifica la bondad ni solvencia del proyecto productivo;
c) El receptor es el responsable por la integridad, veracidad, completitud y actualización de toda la información que deba suministrar a la entidad que realiza la actividad de financiación colaborativa y en particular aquella relacionada con el proyecto productivo, revelada a los aportantes y al público en general;
d) La participación de los receptores en las entidades que realicen la actividad de financiación colaborativa, supone la plena aceptación y conocimiento del reglamento de funcionamiento de la respectiva entidad y de las normas aplicables a la actividad de la misma;
e) Cualquier otra que determine la Superintendencia Financiera de Colombia.
7. <Numeral adicionado por el artículo 11 del Decreto 1235 de 2020. El nuevo texto es el siguiente:> Descripción del perfil de los administradores del receptor.
Durante la vigencia de la financiación el receptor estará obligado a suministrar la información requerida por la entidad, en particular cualquier situación o evento que altere sustancialmente la información contenida en el numeral 5 del presente artículo, así como aquella relacionada con el pago de la financiación, sus rendimientos o cualquier otro derecho que surja en favor de los aportantes.
Una vez finalizado el periodo mínimo de un (1) año establecido para la publicación de la información sobre el proyecto productivo en la entidad, el receptor deberá indicar a sus aportantes el medio a través del cual seguirá suministrando la información relacionada con el proyecto productivo.
ARTÍCULO 2.41.3.1.2. MONTO MÁXIMO DE LA FINANCIACIÓN. <Artículo modificado por el artículo 12 del Decreto 1235 de 2020. El nuevo texto es el siguiente:> El monto máximo de financiación de cada receptor en las entidades que desarrollan la actividad de financiación colaborativa no podrá ser superior a cincuenta y ocho mil (58.000) salarios mínimos mensuales legales vigentes (smmlv). En todo caso, si los recursos únicamente provienen de los aportantes no calificados definidos en el numeral 2 del artículo 2.41.4.1.2. del presente decreto, el monto máximo de financiación de cada receptor no podrá ser superior a diecinueve mil (19.000) salarios mínimos mensuales legales vigentes (smmlv)”.
PARÁGRAFO. La Superintendencia Financiera de Colombia, mediante instrucciones de carácter general, y con base en el cambio en las condiciones del mercado, podrá ampliar los montos máximos de financiación de los que trata este artículo.
ARTÍCULO 2.41.3.1.3. NÚMERO MÍNIMO DE APORTANTES Y PLAZO MÁXIMO DE PUBLICACIÓN. <Artículo adicionado por el artículo 1 del Decreto 1357 de 2018. El nuevo texto es el siguiente:> Los proyectos productivos deberán contar con un número plural de aportantes que determine la entidad que realice la actividad de financiación colaborativa en su procedimiento de clasificación de proyectos.
Las entidades que realicen la actividad de financiación colaborativa se asegurarán de que para cada proyecto productivo se establezca un plazo máximo para la consecución de los recursos que en ningún caso podrá superar seis (6) meses a partir de la fecha de publicación del proyecto productivo y determinará, de acuerdo con su procedimiento de clasificación de proyectos, el porcentaje mínimo que viabiliza la respectiva financiación.
Si no se alcanza el porcentaje mínimo de financiación en el plazo establecido, la entidad deberá suspender la publicación del proyecto productivo, comunicar al receptor y a los aportantes sobre la imposibilidad de continuar con la financiación de dicho proyecto productivo y llevar a cabo el proceso de devolución de recursos a los aportantes en un término máximo de treinta (30) días a partir del vencimiento del plazo establecido para la obtención del porcentaje mínimo de financiación del proyecto.
REGLAS APLICABLES A LOS APORTANTES.
ARTÍCULO 2.41.4.1.1. DEFINICIÓN. <Artículo adicionado por el artículo 1 del Decreto 1357 de 2018. El nuevo texto es el siguiente:> Para efectos de la actividad de financiación colaborativa, se denomina genéricamente como aportante, a las personas que intervienen en cualquier operación de financiación que se lleve a cabo a través de las entidades autorizadas para realizar la actividad de financiación colaborativa con el fin de financiar proyectos productivos.
ARTÍCULO 2.41.4.1.2. TIPOS DE APORTANTES. <Artículo adicionado por el artículo 1 del Decreto 1357 de 2018. El nuevo texto es el siguiente:> Respecto a la financiación colaborativa de que trata el presente Libro, se establecen los siguientes tipos de aportantes:
1. Aportantes calificados: Son aquellos aportantes que al momento de realizar una inversión para adquirir valores de financiación colaborativa, cumplan con uno o más de los siguientes requisitos:
a) Un patrimonio igual o superior a diez mil (10.000) salarios mínimos mensuales legales vigentes (smmlv);
b) Ser titular de un portafolio de inversión en valores, distintos a valores de financiación colaborativa, igual o superior a cinco mil (5.000) salarios mínimos mensuales legales vigentes (smmlv);
c) Tener la certificación de profesional del mercado como operador expedida por un organismo autorregulador del mercado de valores;
d) Tener la calidad de entidad vigilada por la Superintendencia Financiera de Colombia;
e) Ser un organismo financiero extranjero o una multilateral.
2. Aportantes no calificados: Son aquellos aportantes que al momento de realizar una inversión para adquirir valores de financiación colaborativa, no tengan la calidad de “aportantes calificados” de que trata el numeral 1 del presente artículo.
ARTÍCULO 2.41.4.1.3. REQUISITOS DE ADMISIÓN A LAS ENTIDADES QUE REALICEN LA ACTIVIDAD DE FINANCIACIÓN COLABORATIVA. <Artículo adicionado por el artículo 1 del Decreto 1357 de 2018. El nuevo texto es el siguiente:> Para la vinculación de los aportantes a las entidades que realicen la actividad de financiación colaborativa deberá exigirse como mínimo la siguiente información:
1. La identificación del aportante y los demás datos que se requieran para llevar a cabo el proceso de conocimiento del cliente, sin perjuicio de la información adicional que cada entidad determine como relevante y necesaria para controlar el riesgo de lavado de activos y financiación del terrorismo.
2. Suscribir un formato de vinculación en el cual se acepten como mínimo los siguientes términos y condiciones:
a) Que los proyectos productivos y los receptores no son objeto de autorización ni de supervisión por la Superintendencia Financiera de Colombia y que esta autoridad tampoco certifica la bondad ni solvencia del proyecto productivo ni la del receptor;
b) Los riesgos que implica la suscripción de valores de financiación colaborativa a través de la entidad, en particular sobre el riesgo de pérdida total o parcial del capital invertido, de no obtener el rendimiento esperado y el riesgo de iliquidez para recuperar la inversión;
c) Los recursos invertidos no están garantizados por el Fondo de Garantías de Instituciones Financieras;
d) La participación de los aportantes en las entidades que realicen la actividad de financiación colaborativa, supone la plena aceptación y conocimiento del reglamento de funcionamiento de la respectiva entidad y de las normas aplicables a la actividad de la misma;
e) La manifestación del aportante de que los recursos que tenga invertidos en la respectiva entidad o en otras entidades que realicen la actividad de financiación colaborativa, en conjunto, no exceden el límite de que trata el artículo 2.41.4.1.4. del presente Decreto, y que se sujetará a dicho límite de manera permanente;
f) Cualquier otra que determine la Superintendencia Financiera de Colombia.
ARTÍCULO 2.41.4.1.4. LÍMITES A LA INVERSIÓN DE LOS APORTANTES. <Artículo adicionado por el artículo 1 del Decreto 1357 de 2018. El nuevo texto es el siguiente:> Los aportantes no podrán comprometerse a invertir o invertir efectivamente a través de entidades autorizadas para realizar la actividad de financiación colaborativa, más del 20% de sus ingresos anuales o de su patrimonio, el que resulte mayor.
El monto máximo de inversión previsto en el presente artículo se calculará sin perjuicio de la modalidad de inversión colaborativa que realice el aportante.
Los aportantes calificados, no estarán sujetos al límite previsto en este artículo.
ARTÍCULO 2.41.4.1.5. OBLIGACIÓN DE LOS APORTANTES. <Artículo adicionado por el artículo 1 del Decreto 1357 de 2018. El nuevo texto es el siguiente:> Los aportantes deberán informar de manera oportuna a las entidades que realicen la actividad de financiación colaborativa y a los receptores o administradores de los libros de tenedores o de accionistas, según el caso, cualquier acto que implique la transferencia o limitación de los derechos derivados de su inversión.
Además, los aportantes tendrán el deber de hacer seguimiento a las inversiones que realicen en los proyectos productivos a través de las entidades que realicen la actividad de financiación colaborativa y a la información que en ellas se publique.
DE LOS VALORES EMITIDOS EN LAS ENTIDADES QUE REALICEN LA ACTIVIDAD DE FINANCIACIÓN COLABORATIVA.
DISPOSICIONES GENERALES.
ARTÍCULO 2.41.5.1.1. EMISIÓN DE VALORES. <Artículo adicionado por el artículo 1 del Decreto 1357 de 2018. El nuevo texto es el siguiente:>
<Incio modificado el artículo 82 del Decreto 1745 de 2020. El nuevo texto es el siguiente:> Para efectos de lo previsto en el artículo 2 de la Ley 964 de 2005, se entenderá que los instrumentos representativos de deuda o de capital, emitidos en las entidades que realicen la actividad de financiación colaborativa tendrán la calidad de valor y se denominarán valores de financiación colaborativa.
La emisión de valores de financiación colaborativa representativos de capital o de deuda, únicamente podrá efectuarse a través de las entidades que realicen la actividad de financiación colaborativa. Estas emisiones no constituirán una oferta pública de valores y en el Registro Nacional de Valores y Emisores (RNVE) no podrán estar inscritos ni el receptor ni los valores de las mismas.
Para realizar una nueva emisión de valores de financiación colaborativa a cargo de un receptor con proyectos productivos que tengan una financiación vigente, será requisito indispensable actualizar la información del receptor y de los proyectos productivos a su cargo, en los términos del artículo 2.41.2.1.8. del presente Decreto.
ARTÍCULO 2.41.5.1.2. REQUISITOS DE EMISIÓN. <Artículo adicionado por el artículo 1 del Decreto 1357 de 2018. El nuevo texto es el siguiente:> Será requisito indispensable para la emisión de valores de financiación colaborativa en las entidades autorizadas, que el proyecto productivo haya alcanzado el porcentaje mínimo de financiación inicialmente fijado y el plazo máximo establecido según el artículo 2.41.3.1.3. del presente Decreto.
Lo anterior sin perjuicio de que se pueda proceder a la emisión de valores una vez se logre recaudar el monto total de financiación inicialmente previsto, con independencia de que ello ocurra antes del plazo máximo establecido, siempre y cuando de manera previa se le informe a los aportantes la fecha en la cual se realizará la emisión, teniendo en cuenta además lo previsto en el artículo 2.41.5.2.1. del presente Decreto.
Así mismo, para la emisión de estos valores, el receptor y la entidad en la que estos se emitan, deberán verificar el cumplimiento de los requisitos exigidos en el presente Libro para el proyecto productivo.
Los valores de financiación colaborativa solo podrán emitirse en las entidades que realicen la actividad de financiación colaborativa registradas en el Registro Nacional de Agentes del Mercado de Valores (RNAMV), autorizadas por la Superintendencia Financiera de Colombia. El registro en el RNAMV en ningún caso implicará la calificación ni responsabilidad alguna por parte de la Superintendencia Financiera de Colombia acerca de la entidad inscrita, ni de los receptores o emisores, ni sobre la bondad de la respectiva emisión.
INFORMACIÓN DE LOS VALORES DE FINANCIACIÓN COLABORATIVA.
ARTÍCULO 2.41.5.2.1. INFORMACIÓN MÍNIMA RESPECTO A VALORES DE FINANCIACIÓN COLABORATIVA REPRESENTATIVOS DE CAPITAL O DE DEUDA. <Artículo adicionado por el artículo 1 del Decreto 1357 de 2018. El nuevo texto es el siguiente:> Las entidades que realicen la actividad de financiación colaborativa deberán suministrar al mercado como mínimo la siguiente información con al menos diez (10) días hábiles de anticipación a la fecha de emisión de los valores:
1. La información requerida en el presente Libro, respecto al receptor y a sus proyectos productivos.
2. <Numeral modificado por el artículo 13 del Decreto 1235 de 2020. El nuevo texto es el siguiente:> Copia del acta de la asamblea general de accionistas junta de socios, o del documento firmado por el representante legal en los casos en que no se requiera autorización de los mencionados órganos sociales, donde se autoriza la emisión de los valores de financiación colaborativa representativos de capital o de deuda, y se autoriza expresamente el porcentaje de la emisión de estos valores que se realizará en una entidad que desarrolle la actividad de financiación colaborativa.
3. Certificado de existencia y representación legal del emisor o receptor, el cual no deberá tener una fecha de expedición superior a tres (3) meses.
4. Copia de los estatutos sociales del emisor o receptor.
5. La existencia o no de garantías que respalden la emisión, en el caso de valores de financiación colaborativa de deuda.
6. Información sobre las personas que ejercen la revisoría fiscal del receptor, en caso que aplique.
7. Estados financieros certificados por el representante legal y un contador o auditados, según el caso, del último ejercicio contable.
8. <Numeral modificado por el artículo 13 del Decreto 1235 de 2020. El nuevo texto es el siguiente:> Términos bajo los cuales se realizará la circulación de los respectivos valores emitidos con la advertencia de que los valores emitidos tienen las características y prerrogativas de los títulos valores, excepto la acción cambiaria de regreso.
9. La advertencia de que ni el emisor o receptor, ni los valores de financiación colaborativa se encuentran inscritos en el Registro Nacional de Valores y Emisores (RNVE) y en consecuencia, no es viable su negociación en el mercado principal de valores ni en el Segundo Mercado.
10. La advertencia de que la inscripción en el Registro Nacional de Agentes del Mercado de Valores (RNAMV) de la entidad autorizada para desarrollar la actividad de financiación colaborativa, en la que se realizará la emisión, no implica certificación por parte de la Superintendencia Financiera de Colombia sobre la bondad del valor o sobre la solvencia del receptor o emisor.
11. Los demás que requiera la Superintendencia Financiera de Colombia.
ARTÍCULO 2.41.5.2.2. RESPONSABILIDAD EN EL SUMINISTRO DE LA INFORMACIÓN DE LOS VALORES DE FINANCIACIÓN COLABORATIVA. <Artículo adicionado por el artículo 1 del Decreto 1357 de 2018. El nuevo texto es el siguiente:> El suministro de información respecto de los valores de financiación colaborativa y su actualización, serán responsabilidad de la entidad autorizada en la que se emitan los respectivos valores y la información que se divulgue a los aportantes sobre estos deberá corresponder como mínimo a la requerida en el presente Libro respecto a los proyectos productivos que a través de los mismos se financian.
No obstante, la inexactitud, falsedad u omisiones en la divulgación de información de los valores de financiación colaborativa, será responsabilidad de los emisores o receptores de los proyectos productivos financiados. Sin embargo, esta responsabilidad podrá extenderse a las entidades que realicen la actividad de financiación colaborativa, en aquellos eventos en los cuales tal inexactitud, falsedad u omisión en la divulgación de la información les resulte atribuible.
ARTÍCULO 2.41.5.2.3. INFORMACIÓN QUE DEBERÁN CONTENER LOS VALORES DE FINANCIACIÓN COLABORATIVA REPRESENTATIVOS DE CAPITAL O DE DEUDA. <Artículo adicionado por el artículo 1 del Decreto 1357 de 2018. El nuevo texto es el siguiente:> Los valores de financiación colaborativa deberán incorporar una leyenda en la que se advierta que los mismos fueron emitidos en el marco de las normas establecidas en el Libro 41 de la Parte 2 del Decreto número 2555 de 2010 y en la que además, se transcriba lo establecido en el parágrafo 5 del artículo 2o de la Ley 964 de 2005.
CIRCULACIÓN DE LOS VALORES DE FINANCIACIÓN COLABORATIVA.
ARTÍCULO 2.41.5.3.1. CIRCULACIÓN DE LOS VALORES. <Artículo modificado por el artículo 14 del Decreto 1235 de 2020. El nuevo texto es el siguiente:> Una vez emitidos y colocados los valores de financiación colaborativa, los aportantes podrán enajenarlos o disponer de ellos según las normas mercantiles que les resulten aplicables. En ningún caso esta facultad de los aportantes podrá ser restringida por la entidad emisora.
Si la entidad que desarrolla la actividad de financiación colaborativa donde se realizaron las emisiones presta el servicio de administración de sistemas de registro sobre los valores de financiación colaborativa y si la entidad emisora decide que sus valores sean registrados en dicho sistema, los aportantes podrán enajenar o disponer de los valores de financiación colaborativa adquiridos, únicamente en los mecanismos electrónicos que la entidad que desarrolla la actividad de financiación colaborativa disponga para el efecto.
Cuando la entidad que desarrolla la actividad de financiación colaborativa opte por administrar sistemas de registro de operaciones sobre los valores representativos de deuda o de capital social de los que trata el presente Libro deberá garantizar:
1. Que las operaciones celebradas son operaciones de contado. No está permitido ningún otro tipo de operación sobre estos instrumentos.
2. Que todas las operaciones realizadas en el mercado mostrador de su plataforma han sido registradas por las partes intervinientes, salvo las excepciones contenidas en los reglamentos autorizados por la Superintendencia Financiera de Colombia. Dicho registro será condición necesaria e indispensable para que las operaciones así celebradas sean compensadas y liquidadas por el mecanismo de entrega contra pago en los sistemas de compensación y liquidación autorizados de conformidad con lo establecido en el Libro 12 de la Parte 2 del presente decreto.
3. Que ni la sociedad, ni sus accionistas, administradores y demás funcionarios de la entidad que desarrolla la actividad de financiación colaborativa actúan como contraparte de las operaciones registradas.
PARÁGRAFO. El registro de las operaciones deberá efectuarse en el tiempo, forma y condiciones que señale la Superintendencia Financiera de Colombia.
La omisión en el cumplimiento de la obligación de las partes de la operación de registrar oportunamente, se considera una conducta contraria a la integridad en el mercado de valores, en los términos del literal b) del artículo 50 de la Ley 964 de 2005.
ARTÍCULO 2.41.5.3.2. REGISTRO DE TRASPASOS Y LIMITACIONES A LA PROPIEDAD. <Artículo adicionado por el artículo 1 del Decreto 1357 de 2018. El nuevo texto es el siguiente:> Para efectos de información de los participantes en las entidades que realicen la actividad de financiación colaborativa, estas llevarán un registro de los traspasos de los valores de financiación colaborativa y de cualquier otro evento que afecte o limite la propiedad o circulación de dichos valores, luego de su correspondiente emisión.
La responsabilidad del suministro de la información a la entidad que realice la actividad de financiación colaborativa, será del emisor o receptor y/o de quien administre el respectivo libro de registro de accionistas o de tenedores de los títulos de deuda.
ARTÍCULO 2.41.5.3.3. INTERMEDIACIÓN. <Artículo adicionado por el artículo 1 del Decreto 1357 de 2018. El nuevo texto es el siguiente:> La colocación, adquisición o enajenación de valores de financiación colaborativa no constituyen operaciones de intermediación en el mercado de valores y en consecuencia, se efectuarán directamente entre las entidades que realicen la actividad de financiación colaborativa y los aportantes titulares de los mismos, o entre estos, según el caso.
ARTÍCULO 2.41.5.3.4. CANCELACIÓN. <Artículo adicionado por el artículo 1 del Decreto 1357 de 2018. El nuevo texto es el siguiente:> La cancelación de los valores de financiación colaborativa representativos de capital, se realizará conforme al régimen societario aplicable al correspondiente receptor, considerando además las condiciones previstas para el proyecto productivo financiado.
Respecto a los valores de financiación colaborativa representativos de deuda, su cancelación se llevará a cabo en los términos y condiciones previstos por el receptor para el respectivo proyecto productivo.
En todo caso, la cancelación de los valores de financiación colaborativa se entenderá realizada únicamente a partir de la fecha luego de la cual la entidad que realice la actividad de financiación colaborativa incorpore en su registro tal cancelación.
ARTÍCULO 2.41.5.3.5. REGLAS ESPECIALES PARA LOS VALORES DE FINANCIACIÓN COLABORATIVA REPRESENTATIVOS DE DEUDA. <Artículo adicionado por el artículo 1 del Decreto 1357 de 2018. El nuevo texto es el siguiente:> Los valores de financiación colaborativa representativos de deuda que se emitan en las entidades autorizadas, no requerirán representante legal para sus tenedores, ni estarán sujetas a los requisitos establecidos en la Parte 6 del presente Decreto para la emisión de bonos o papeles comerciales.
ARTÍCULO 2.41.5.3.6. PROHIBICIÓN. <Artículo adicionado por el artículo 1 del Decreto 1357 de 2018. El nuevo texto es el siguiente:> En ningún caso los valores de financiación colaborativa podrán trasladarse o negociarse en el mercado principal o en el Segundo Mercado.
Para los anteriores efectos, se entiende por mercado principal y por Segundo Mercado, los así definidos en el artículo 5.2.3.1.1. del presente Decreto.
ARTÍCULO 2.41.5.3.7. APLICACIÓN DE NORMAS PARA LOS VALORES DE FINANCIACIÓN COLABORATIVA. <Artículo adicionado por el artículo 1 del Decreto 1357 de 2018. El nuevo texto es el siguiente:> La emisión, circulación, cancelación o cualquier otro acto relacionado con los valores de financiación colaborativa, se regirá por lo dispuesto en el presente Libro.
NORMAS COMUNES A SOCIEDADES ADMINISTRADORAS DE FONDOS DE PENSIONES Y DE CESANTÍAS, SOCIEDADES FIDUCIARIAS Y COMPAÑÍAS DE SEGURO.
FONDOS VOLUNTARIOS DE PENSIÓN.
DENOMINACIÓN, DEFINICIONES, CONSTITUCIÓN, ADMINISTRACIÓN Y SUPERVISIÓN DE FONDOS VOLUNTARIOS DE PENSIÓN.
ARTÍCULO 2.42.1.1.1. DENOMINACIÓN Y REMISIÓN NORMATIVA. <Artículo adicionado por el artículo 1 del Decreto 1207 de 2020. El nuevo texto es el siguiente:> Para todos sus efectos, en adelante los llamados fondos de pensiones de jubilación e invalidez o fondos de pensiones voluntarias, recibirán exclusivamente la denominación de Fondos Voluntarios de Pensión.
PARÁGRAFO. Serán aplicables a los Fondos Voluntarios de Pensión las normas que regulan a los Fondos de Inversión Colectiva a que se remita expresamente en este Título, atendiendo las características de los Fondos Voluntarios de Pensión contenidas en las disposiciones del presente Título. Para el efecto, (i) no le aplicarán a los Fondos Voluntarios de Pensión las referencias a familia de fondos, gestor externo y distribuidor, y (ii) las expresiones “Fondos de Inversión Colectiva”, “participaciones” e “inversionistas” se entenderán realizadas a “Fondos Voluntarios de Pensión”, “sumas acreditadas a cada partícipe” y “partícipes”, respectivamente.
ARTÍCULO 2.42.1.1.2. DEFINICIONES. <Artículo adicionado por el artículo 1 del Decreto 1207 de 2020. El nuevo texto es el siguiente:> Los Fondos Voluntarios de Pensión corresponden a un mecanismo o vehículo de captación o administración de sumas de dinero u otros activos, integrado con los aportes de los partícipes y patrocinadores del mismo y sus rendimientos, para ser gestionados de manera colectiva y obtener resultados económicos colectivos, con el fin de cumplir uno o varios planes de pensiones de jubilación e invalidez.
Los Fondos Voluntarios de Pensión se componen de planes voluntarios de pensión con los que se establece la obligación de los patrocinadores y/o partícipes de contribuir al Fondo y el derecho de las personas, a cuyo favor se celebra, de percibir una prestación en la forma prevista en el Capítulo 2 del presente Título.
A su vez, los Fondos Voluntarios de Pensión podrán ser administrados y gestionados a través de alternativas de inversión y portafolios. Estos últimos corresponden al conjunto de vehículos de inversión mediante los cuales se desarrollan las operaciones de inversión del Fondo y las alternativas de inversión corresponden a las estrategias de distribución que agregan portafolios de acuerdo con los objetivos de inversión o perfil de riesgo de los partícipes.
PARÁGRAFO. Los partícipes de los Fondos Voluntarios de Pensión corresponden a todas aquellas personas naturales en cuyo interés se crea el plan; los beneficiarios son aquellas personas naturales que tienen derecho a percibir las prestaciones establecidas en el plan; y las entidades patrocinadoras son aquellas empresas, sociedades, sindicatos, asociaciones o gremios que participan en la creación o desarrollo de un plan institucional.
ARTÍCULO 2.42.1.1.3. SOCIEDADES ADMINISTRADORAS. <Artículo adicionado por el artículo 1 del Decreto 1207 de 2020. El nuevo texto es el siguiente:> De conformidad con lo previsto en el literal h) del numeral 1 del artículo 29, el numeral 1 del artículo 30 y el numeral 3 del artículo 183, del Estatuto Orgánico del Sistema Financiero, los Fondos Voluntarios de Pensión podrán ser administrados por sociedades fiduciarias, sociedades administradoras de fondos de pensiones y de cesantías, y compañías de seguros, en adelante sociedades administradoras.
ARTÍCULO 2.42.1.1.4. REQUISITOS DE CONSTITUCIÓN Y FUNCIONAMIENTO. <Artículo adicionado por el artículo 1 del Decreto 1207 de 2020. El nuevo texto es el siguiente:> Las sociedades administradoras, al momento de la constitución y durante la vigencia del Fondo, deberán contar con personal idóneo para la administración de Fondos Voluntarios de Pensión, tener capacidad administrativa e infraestructura tecnológica y operativa suficiente para administrar el respectivo Fondo, y cumplir con los requisitos previstos en los numerales 3, 4, 5, 6, 7 y 9 del artículo 3.1.1.3.1. del presente decreto.
La Superintendencia Financiera de Colombia instruirá la forma en que se verificará el cumplimiento de los anteriores requisitos.
ARTÍCULO 2.42.1.1.5. AUTORIZACIÓN. <Artículo adicionado por el artículo 1 del Decreto 1207 de 2020. El nuevo texto es el siguiente:> La Superintendencia Financiera de Colombia autorizará la constitución de Fondos Voluntarios de Pensión, previa solicitud de la entidad interesada, la cual deberá acompañarse de la siguiente documentación:
1. Modelo de reglamento de funcionamiento del Fondo Voluntario de Pensión.
2. Copia del acta de junta directiva de la sociedad administradora, mediante la cual se aprobó el modelo de reglamento de funcionamiento.
3. Certificación expedida por el representante legal de la sociedad administradora acerca de que la sociedad cumple con los requisitos previstos en el artículo 2.42.1.1.4. del presente decreto.
4. Descripción del perfil exigido para formar parte del comité de inversiones.
5. Los demás aspectos que establezca la Superintendencia Financiera de Colombia.
PARÁGRAFO. La sociedad administradora deberá poner en operación el Fondo autorizado dentro de los seis (6) meses siguientes a la fecha de ejecutoria del acto administrativo por medio del cual se autorice la constitución del respectivo Fondo Voluntario de Pensión.
La Superintendencia Financiera de Colombia podrá prorrogar dicho plazo por una sola vez hasta por un término igual, previa solicitud justificada de la sociedad administradora. Una vez vencido dicho término o prórroga si la hubiere, sin que se hubiere iniciado operaciones, la autorización perderá vigencia y la entidad interesada deberá solicitar una nueva autorización.
ARTÍCULO 2.42.1.1.6. CONDICIONES PARA LA ADMINISTRACIÓN DE VARIOS FONDOS. <Artículo adicionado por el artículo 1 del Decreto 1207 de 2020. El nuevo texto es el siguiente:> La Superintendencia Financiera de Colombia podrá autorizar a una sociedad para administrar varios Fondos Voluntarios de Pensión cuando la naturaleza de los planes de pensiones lo exija y siempre que no se pongan en peligro los intereses de los partícipes de los diversos planes y Fondos.
ARTÍCULO 2.42.1.1.7. SUPERVISIÓN. <Artículo adicionado por el artículo 1 del Decreto 1207 de 2020. El nuevo texto es el siguiente:> Corresponde a la Superintendencia Financiera de Colombia ejercer la inspección, control y vigilancia sobre las sociedades que administran Fondos Voluntarios de Pensión para que dicha administración se ajuste a lo dispuesto por el marco regulatorio vigente, la política de inversión y gestión, el reglamento de funcionamiento del Fondo y los planes voluntarios de pensión.
PLANES VOLUNTARIOS DE PENSIÓN.
ARTÍCULO 2.42.1.2.1. CLASES DE PLANES. <Artículo adicionado por el artículo 1 del Decreto 1207 de 2020. El nuevo texto es el siguiente:> Los planes voluntarios de pensión sólo podrán ser de contribución definida, entendidos como aquellos que tienen como objeto establecer la cuantía de los aportes de las patrocinadoras y de los partícipes en el plan.
Según el tipo de vinculación, los planes voluntarios de pensión podrán ser abiertos o institucionales. Los planes abiertos corresponden a aquellos a los cuales puede vincularse como partícipe cualquier persona natural que manifieste su voluntad de adherir al plan. Los institucionales son aquellos de los cuales sólo pueden ser partícipes los trabajadores, contratistas o miembros de las entidades que los patrocinen.
PARÁGRAFO. Previa autorización de la Superintendencia Financiera de Colombia, las sociedades administradoras podrán conformar planes institucionales en los que participen dos o más entidades patrocinadoras, y sus respectivos trabajadores, contratistas o miembros. Estos planes podrán conformarse siempre que no se pongan en peligro los intereses de los partícipes y patrocinadores de los diversos planes y Fondos.
ARTÍCULO 2.42.1.2.2. PRESTACIONES. <Artículo adicionado por el artículo 1 del Decreto 1207 de 2020. El nuevo texto es el siguiente:> Las prestaciones establecidas en un plan voluntario de pensión podrán consistir en el pago de un capital o de una renta temporal o vitalicia por causa de vejez, invalidez, viudez u orfandad.
En los casos que los planes voluntarios de pensión prevean como prestación una renta temporal o vitalicia, aquellos se establecerán mediante sistemas actuariales de capitalización que permitan establecer una equivalencia entre los aportes y las rentas futuras a que tienen derecho los beneficiarios.
ARTÍCULO 2.42.1.2.3. VALUACIÓN ACTUARIAL. <Artículo adicionado por el artículo 1 del Decreto 1207 de 2020. El nuevo texto es el siguiente:> En los casos previstos en el último inciso del artículo 2.42.1.2.2. del presente decreto, los planes deberán ser revisados anualmente por un actuario quien presentará una valuación actuarial sobre su desarrollo y el cumplimiento futuro de las prestaciones.
Si, como consecuencia de dicha valuación, fuere necesario efectuar ajustes, estos se pondrán en conocimiento previo del comité de inversiones y se someterán a consideración de la junta directiva de la sociedad administradora del Fondo, para que esta, de acuerdo con lo establecido en el plan, proponga las modificaciones necesarias que deberán ser autorizadas por la Superintendencia Financiera de Colombia.
PRINCIPIOS Y CARACTERÍSTICAS GENERALES DE LOS FONDOS VOLUNTARIOS DE PENSIÓN, POLÍTICAS DE INVERSIÓN, Y OTROS ASPECTOS FINANCIEROS.
ARTÍCULO 2.42.1.3.1. PRINCIPIOS. <Artículo adicionado por el artículo 1 del Decreto 1207 de 2020. El nuevo texto es el siguiente:> Las sociedades administradoras administrarán y gestionarán los Fondos Voluntarios de Pensión siguiendo los principios de profesionalidad, segregación, prevalencia de intereses de los partícipes, prevención y administración de conflictos de interés, trato equitativo entre los partícipes con características similares, preservación del buen funcionamiento del Fondo e integridad de mercado en general, y mejor ejecución del encargo, de que tratan los artículos 3.1.1.1.2 a 3.1.1.1.8 del presente decreto.
PARÁGRAFO. Para la aplicación del artículo 3.1.1.1.5. del presente decreto, en lugar de la expresión “de conformidad con las reglas previstas en esta Parte” se entenderá “de conformidad con el artículo 2.42.1.4.12. del presente decreto”.
ARTÍCULO 2.42.1.3.2. POLÍTICA DE INVERSIÓN. <Artículo adicionado por el artículo 1 del Decreto 1207 de 2020. El nuevo texto es el siguiente:> La política de inversión del Fondo Voluntario de Pensión deberá estar definida de manera previa y clara en el reglamento de funcionamiento y en los respectivos prospectos de portafolios, de forma tal que sea comprensible para los partícipes y el público en general.
PARÁGRAFO. El reglamento de funcionamiento contendrá la descripción general de la política de inversión del Fondo, conforme lo previsto en el numeral 6 del artículo 2.42.1.4.7. del presente decreto, mientras que los aspectos relacionados con la política de inversión de cada portafolio serán divulgados a través de los prospectos, según lo previsto en el numeral 4 del artículo 2.42.1.4.8. del presente decreto.
ARTÍCULO 2.42.1.3.3. CONTENIDO DE LA POLÍTICA DE INVERSIÓN. <Artículo adicionado por el artículo 1 del Decreto 1207 de 2020. El nuevo texto es el siguiente:> La política de inversión del Fondo Voluntario de Pensión deberá contemplar, por lo menos, los aspectos previstos en el artículo 3.1.1.4.2 del presente decreto. Estos aspectos se desarrollarán de forma individualizada para cada uno de los portafolios de inversión que componen el Fondo Voluntario de Pensión.
PARÁGRAFO 1o. Aplicarán a los Fondos Voluntarios de Pensión las reglas de ajustes temporales por cambios en las condiciones de mercado previstas en el artículo 3.1.1.4.3. del presente decreto.
PARÁGRAFO 2o. Para la aplicación del literal f) del numeral 1 y el numeral 3 del artículo 3.1.1.4.2. del presente decreto, en lugar de la expresión “sin perjuicio de lo previsto en el artículo 3.1.1.10.2. del presente decreto” se entenderá “sin perjuicio de lo previsto en el artículo 2.42.1.4.12. del presente decreto”.
ARTÍCULO 2.42.1.3.4. INVERSIONES ACEPTABLES. <Artículo adicionado por el artículo 1 del Decreto 1207 de 2020. El nuevo texto es el siguiente:> De acuerdo con la política de inversión definida, las sociedades administradoras podrán adquirir para los portafolios de los Fondos Voluntarios de Pensión cualquier activo o derecho de contenido económico, según su naturaleza, entre otros los previstos en el artículo 3.1.1.4.4. del presente decreto, o las normas que los modifiquen, adicionen o sustituyan.
ARTÍCULO 2.42.1.3.5. OPERACIONES ACEPTABLES. <Artículo adicionado por el artículo 1 del Decreto 1207 de 2020. El nuevo texto es el siguiente:> Para la realización de operaciones repo, simultáneas, de transferencia temporal de. valores, de derivados y de naturaleza apalancada por parte de los Fondos Voluntarios de Pensión, se seguirán los criterios y requisitos previstos en los artículos 3.1.1.4.5., 3.1.1.4.6., y el Capítulo 5 del Título 1 del Libro 1 de la Parte 3, del presente decreto, o las normas que los modifiquen, adicionen o sustituyan.
PARÁGRAFO 1o. Para el cumplimiento de lo previsto en el parágrafo 3 del artículo 3.1.1.4.5. y el numeral 3 del artículo 3.1.1.4.6., del presente decreto, aplicará el concepto de persona o entidad vinculada a la sociedad administradora previsto en el literal b) del numeral 2 del artículo 7.3.1.1.2 del presente decreto.
PARÁGRAFO 2o. Los límites previstos en el parágrafo 1 del artículo 3.1.1.4.5., el parágrafo 2 del artículo 3.1.1.5.1., los artículos 3.1.1.5.2. y 3.1.1.5.3., así como los criterios de que trata el artículo 3.1.1.5.4., del presente decreto, no aplicarán para el Fondo Voluntario de Pensión, sino para cada uno de los portafolios que lo componen. Para las denominaciones de que tratan los numerales 3 y 4 del artículo 3.1.1.5.4. se utilizará la expresión “portafolio de inversión de naturaleza apalancada”.
ARTÍCULO 2.42.1.3.6. CUSTODIA. <Artículo adicionado por el artículo 1 del Decreto 1207 de 2020. El nuevo texto es el siguiente:> Los valores representativos de las inversiones de los Fondos Voluntarios de Pensión, deberán mantenerse en todo momento en entidades autorizadas para desarrollar la actividad de custodia de valores, en cumplimiento de lo previsto en el Libro 37 de la Parte 2 del presente decreto.
Las sociedades administradoras ejercerán las actividades complementarias a la custodia de valores cuando estas no sean desarrolladas por el custodio.
NORMAS DE GOBIERNO CORPORATIVO.
ARTÍCULO 2.42.1.4.1. JUNTA DIRECTIVA DE LA SOCIEDAD ADMINISTRADORA. <Artículo adicionado por el artículo 1 del Decreto 1207 de 2020. El nuevo texto es el siguiente:> La junta directiva de la sociedad administradora deberá cumplir respecto de la administración de los Fondos Voluntarios de Pensión las siguientes obligaciones:
1. Verificar el cumplimiento del reglamento del Fondo y de los planes vinculados al mismo.
2. Aprobar nuevos planes voluntarios de pensión a desarrollarse a través del Fondo. Para el efecto, previamente deberá informarse al comité de inversiones de que trata el artículo 2.42.1.4.2 del presente decreto sobre el contenido del nuevo plan.
3. Elegir a los miembros del comité de inversiones, así como establecer los lineamientos para el ejercicio de las funciones de dicho comité y realizar un seguimiento al cumplimiento de los mismos.
4. Aprobar los estados financieros del Fondo y los estudios de valuación actuarial a los que hubiere lugar.
5. Designar al actuario, cuando corresponda.
6. Definir las políticas y procedimientos aplicables a la administración de Fondos Voluntarios de Pensión.
7. Designar a la entidad que prestará los servicios de custodia de valores y definir los criterios o estándares aplicables a la selección de dicha entidad.
8. Definir una adecuada estructura organizacional para garantizar el cumplimiento de las funciones propias de la administración del Fondo Voluntario de Pensión, así como del personal responsable de las mismas, y la independencia de las áreas de riesgo e inversión.
9. Fijar los procedimientos y políticas para determinar el proceso de valoración de los portafolios del Fondo Voluntario de Pensión y para calcular las sumas acreditadas a cada partícipe, los cuales deberán ser cumplidos por la sociedad administradora o por el custodio del respectivo Fondo, según lo establezca el reglamento.
10. Fijar medidas de control que permitan vigilar el cumplimiento de las reglas establecidas para la valoración del Fondo Voluntario de Pensión.
11. Determinar las políticas necesarias para adoptar medidas de control y reglas de conducta apropiadas y suficientes, que se orienten a evitar que el Fondo pueda ser utilizado como instrumento para el ocultamiento, manejo, inversión o aprovechamiento en cualquier forma de dineros u otros bienes provenientes de actividades ilícitas, para realizar evasión tributaria b para dar apariencia de legalidad a actividades ilícitas o a las transacciones y recursos vinculados con las mismas.
12. Aprobar los manuales para el control y prevención del lavado de activos y financiación del terrorismo, de gobierno corporativo, incluyendo el código de conducta, de control interno, y los demás necesarios para el cumplimiento de las normas aplicables.
13. Diseñar políticas, directrices y procedimientos de gobierno corporativo y de control interno, orientadas a administrar los riesgos que puedan afectar al Fondo Voluntario de Pensión.
14. Determinar políticas, directrices y procedimientos para garantizar la calidad de la información divulgada al público en general, a los partícipes y a la Superintendencia Financiera de Colombia.
15. Establecer políticas y adoptar los mecanismos que sean necesarios para evitar el uso de información privilegiada o reservada y la manipulación de la rentabilidad del Fondo.
16. Definir las situaciones constitutivas de conflictos de interés, así como las políticas y los procedimientos para su prevención y administración, de conformidad con lo previsto en el artículo 2.42.1.4.12. del presente decreto.
17. Establecer políticas, directrices y procedimientos para el ejercicio de los derechos políticos inherentes a los valores administrados colectivamente, cuando dicha actividad no haya sido delegada voluntariamente en el custodio de dichos valores. Dichas políticas, directrices y procedimientos deberán definir expresamente los casos en que la sociedad administradora podrá abstenerse de participar en las deliberaciones y votaciones, en razón, entre otras, de la poca materialidad de la participación social o de los asuntos a ser decididos.
18. Fijar las directrices de los programas de capacitación para los funcionarios encargados de las tareas relacionadas con la administración del Fondo Voluntario de Pensión.
19. Dictar las políticas y mecanismos para solucionar de manera efectiva y oportuna los problemas detectados y reportados por las áreas involucradas en la administración del Fondo Voluntario de Pensión, y por el revisor fiscal, sobre asuntos que puedan afectar el adecuado funcionamiento y administración del Fondo.
20. Determinar los mecanismos que eviten la aplicación de prácticas discriminatorias o inequitativas entre los partícipes de un mismo Fondo Voluntario de Pensión.
21. Establecer políticas en cualquier otro aspecto que tenga relevancia con el adecuado funcionamiento y la correcta administración del Fondo Voluntario de Pensión.
22. Las demás establecidas a cargo de la junta directiva de la sociedad administradora de Fondos Voluntarios de Pensión en otras normas legales o reglamentarias.
ARTÍCULO 2.42.1.4.2. COMITÉ DE INVERSIONES. <Artículo adicionado por el artículo 1 del Decreto 1207 de 2020. El nuevo texto es el siguiente:> El comité de inversiones de la sociedad administradora, será responsable del análisis de las inversiones y de los emisores, así como de la definición de los lineamientos de inversión, teniendo en cuenta la política de riesgos de la sociedad administradora y del Fondo Voluntario de Pensión.
Los miembros del comité de inversiones se considerarán administradores de acuerdo con lo dispuesto en el artículo 22 de la Ley 222 de 1995 o cualquier otra norma que lo modifique, sustituya o derogue.
La constitución del comité de inversiones no exonera a la junta directiva de la sociedad administradora de la responsabilidad prevista en el artículo 200 del Código de Comercio o cualquier otra norma que lo modifique, sustituya o derogue, ni del cumplimiento de los deberes establecidos en las normas legales y en la normatividad aplicable.
PARÁGRAFO. La Superintendencia Financiera de Colombia mediante instrucciones de carácter general establecerá los requisitos mínimos para la conformación y funcionamiento del comité de inversiones, las responsabilidades de dicho comité y la forma en que deberán documentarse las decisiones que este tome.
ARTÍCULO 2.42.1.4.3. REVISOR FISCAL. <Artículo adicionado por el artículo 1 del Decreto 1207 de 2020. El nuevo texto es el siguiente:> El revisor fiscal de la respectiva sociedad administradora ejercerá las funciones propias de su cargo respecto de cada uno de los Fondos Voluntarios de Pensión que la respectiva entidad administre. Los reportes o informes relativos al Fondo se deberán presentar de forma independiente a aquellos relativos a la sociedad administradora.
ARTÍCULO 2.42.1.4.4. DEBER DE ASESORÍA. <Artículo adicionado por el artículo 1 del Decreto 1207 de 2020. El nuevo texto es el siguiente:> Conforme lo previsto en el numeral 5 del artículo 2.40.1.2.1. del presente decreto, para la vinculación y atención de los partícipes durante su permanencia en el respectivo Fondo se cumplirá el deber de asesoría en los términos establecidos en el Libro 40 de la Parte 2 del presente decreto.
ARTÍCULO 2.42.1.4.5. REVELACIÓN DE INFORMACIÓN. <Artículo adicionado por el artículo 1 del Decreto 1207 de 2020. El nuevo texto es el siguiente:> Las sociedades administradoras deben obrar de manera transparente, asegurando el suministro de información de manera veraz, imparcial, oportuna, completa, exacta, pertinente y útil.
Toda información deberá ser presentada de forma sencilla y comprensible para los partícipes y el público en general. Las estipulaciones que impliquen limitaciones a los derechos de los partícipes deberán ser presentadas de forma resaltada y en letra fácilmente entendible.
Las sociedades administradoras deben abstenerse de dar información ficticia, incompleta o inexacta sobre la situación de los Fondos bajo su administración, o sobre sí mismas.
ARTÍCULO 2.42.1.4.6. MECANISMOS DE REVELACIÓN DE INFORMACIÓN. <Artículo adicionado por el artículo 1 del Decreto 1207 de 2020. El nuevo texto es el siguiente:> Las sociedades administradoras deberán mantener informados a los partícipes sobre todos los aspectos inherentes al Fondo, por lo menos a través de los siguientes mecanismos:
1. Reglamento de funcionamiento.
2. Prospecto de portafolio.
3. Ficha técnica.
4. Extracto de cuenta.
5. Informe de rendición de cuentas.
PARÁGRAFO. La información de que tratan los numerales 1, 2, 3 y 5 del presente artículo deberá estar disponible a través del sitio web que para el efecto deberá habilitar la sociedad administradora. La sociedad administradora deberá comunicar, de manera suficiente y adecuada a los partícipes, la disponibilidad de la respectiva información y los mecanismos para acceder a esta. La Superintendencia Financiera de Colombia definirá el contenido mínimo que se presentará en la página web.
ARTÍCULO 2.42.1.4.7. REGLAMENTO DE FUNCIONAMIENTO. <Artículo adicionado por el artículo 1 del Decreto 1207 de 2020. El nuevo texto es el siguiente:> Los Fondos Voluntarios de Pensión deberán contar con un reglamento de funcionamiento escrito con un lenguaje claro y de fácil entendimiento, sin cláusulas abusivas, ambiguas, confusas o ininteligibles, el cual deberá ponerse a disposición de los patrocinadores, partícipes y beneficiarios. Este reglamento deberá incluir por lo menos lo siguiente:
1. Aspectos generales:
1.1. Nombre completo, número de identificación y domicilio principal de la sociedad administradora.
1.2. Nombre del Fondo y de los planes, y tipos de alternativas de inversión y de portafolios que lo componen.
1.3. Sede principal donde se gestiona el Fondo.
1.4. Término de duración del Fondo.
1.5. Requisitos y mecanismos de vinculación al Fondo.
1.6. Monto de aportes requerido para el funcionamiento del Fondo.
1.7. Descripción de la naturaleza de patrimonio independiente y separado conformado por los bienes entregados o transferidos a la sociedad administradora por parte de los partícipes.
2. Información y características de los planes:
2.1. Las condiciones de admisión de los partícipes.
2.2. Las reglas para el cálculo de las prestaciones y, si estas son reajustables, los mecanismos de reajustes.
2.3. Las condiciones para la pérdida de la calidad de partícipe.
2.4. Las condiciones con las cuales los partícipes podrán solicitar que las sumas acreditadas a su favor se transfieran a otro plan voluntario de pensión, según lo previsto en el marco tributario vigente.
2.5. Los derechos del partícipe en caso de retiro del plan antes del cumplimiento de las condiciones previstas para tener derecho a las prestaciones establecidas en el mismo.
2.6. Los demás derechos y obligaciones de los partícipes.
2.7. Las causas de terminación del plan y las reglas para su liquidación.
2.8. Las reglas para modificar el plan.
3. Facultades, derechos y obligaciones de la sociedad administradora, de las entidades patrocinadoras, de los partícipes y de los beneficiarios.
4. Mecanismos de revelación de información a los patrocinadores, partícipes y el público en general, señalando los medios para su publicación.
5. Mecanismos de seguimiento y control del Fondo, incluyendo información de la composición, atribuciones y reglas de funcionamiento de los órganos de administración, gestión y control.
6. Descripción general de la política de inversión del Fondo y de gestión del riesgo, en los términos previstos en los artículos 2.42.1.3.2. y 2.42.1.3.3. del presente decreto.
7. Los criterios, periodicidad, procedimientos, estructura de decisiones y responsabilidades para la revisión de la política de inversión.
8. Funciones y conformación del comité de inversiones a que se refiere el artículo 2.42.1.4.2. del presente decreto.
9. Descripción de los mecanismos que pueden proveer información al público en general para la toma de la decisión de inversión en el Fondo.
10. Descripción detallada de las políticas de administración y revelación de conflictos de interés con sujeción a los términos previstos en el artículo 2.42.1.4.12. del presente decreto.
11. Los sistemas actuariales que se utilizan, cuando sea el caso.
12. Identificación del custodio y la descripción de sus funciones, obligaciones y remuneración.
13. Explicación del procedimiento técnico mediante el cual se establecerá el valor del Fondo y de las sumas acreditadas a cada partícipe.
14. La comisión que haya de pagarse a la sociedad administradora, junto con la descripción de la metodología de cálculo y la forma de pago, de conformidad con lo previsto en el artículo 2.42.1.5.1. del presente decreto.
15. Relación pormenorizada de los gastos a cargo del Fondo, junto con la descripción de la metodología de cálculo y la forma de pago, conforme lo previsto en el artículo 2.42.1.5.2. del presente decreto.
16. Causales, reglas y procedimientos para la disolución y liquidación del Fondo, la cesión del Fondo y la transferencia de planes.
17. Las condiciones y procedimientos para modificar el reglamento de funcionamiento del Fondo.
18. Los demás aspectos que establezca la Superintendencia Financiera de Colombia.
PARÁGRAFO 1o. Las modificaciones que se realicen al reglamento de los Fondos Voluntarios de Pensión se sujetarán a las reglas previstas en el artículo 3.1.1.9.6. del presente decreto.
PARÁGRAFO 2o. Para los planes institucionales, la Superintendencia Financiera de Colombia determinará la forma en que se dará cumplimiento a lo previsto en el numeral 2 del presente artículo, de manera que se cumplan los fines de revelación de información sin afectar información de carácter reservada o confidencial para el patrocinador.
ARTÍCULO 2.42.1.4.8. PROSPECTO DE PORTAFOLIO. <Artículo adicionado por el artículo 1 del Decreto 1207 de 2020. El nuevo texto es el siguiente:> Las sociedades administradoras deberán implementar la figura del prospecto para la comercialización de los Fondos Voluntarios de Pensión bajo su administración. El prospecto deberá darse a conocer previamente a la vinculación de los partícipes, dejando constancia del recibo de la copia del mismo y la aceptación y entendimiento de la información allí consignada; lo cual podrá realizarse también por medio electrónico, siempre y cuando se cumpla con los requisitos de recibo de la información, aceptación y entendimiento en los términos que establezca el reglamento.
El prospecto deberá estar escrito con un lenguaje claro y de fácil entendimiento, guardar concordancia con la información del reglamento y no contener afirmaciones que puedan inducir a error a los clientes. Además, debe contener en un mensaje claro y visible, el ofrecimiento de la sociedad administradora de entregar el reglamento cuando el cliente lo solicite, si considera que requiere una mayor información.
El prospecto de cada portafolio deberá contener como mínimo:
1. Información general del portafolio.
2. Descripción general de las opciones de planes al que puede acceder el cliente según el tipo de portafolio.
3. Descripción general de las alternativas de inversión a las que pertenece el respectivo portafolio.
4. Política de inversión del portafolio, indicando el tipo de portafolio y una descripción de su perfil de riesgo.
5. Información económica del portafolio, donde se incluya la forma, valor y cálculo de la remuneración a pagar a la sociedad administradora, e información sobre los demás gastos que puedan afectar la rentabilidad del portafolio, de conformidad con lo previsto en el numeral 2 del artículo 2.42.1.5.1 y en el artículo 2.42.1.5.2 del presente decreto.
6. Información operativa del Fondo, incluyendo la indicación de los contratos de uso de red de oficinas y de corresponsalía local que haya suscrito la sociedad administradora, vigentes al momento de la expedición del prospecto.
7. Medios de reporte d información a los partícipes y al público en general.
8. Identificación de la entidad que actúa como custodio de valores.
9. Los demás aspectos que establezca la Superintendencia Financiera de Colombia.
PARÁGRAFO. La Superintendencia Financiera de Colombia podrá solicitar en cualquier momento los ajustes necesarios en el prospecto para informar adecuadamente a los partícipes.
ARTÍCULO 2.42.1.4.9. FICHA TÉCNICA. <Artículo adicionado por el artículo 1 del Decreto 1207 de 2020. El nuevo texto es el siguiente:> La ficha técnica es un documento informativo estandarizado para los Fondos Voluntarios de Pensión que contendrá información básica de cada portafolio que compone el Fondo.
La Superintendencia Financiera de Colombia definirá la periodicidad, forma y contenido de la ficha técnica, incluyendo la información sobre comisiones prevista en el numeral 4 del artículo 2.42.1.5.1. del presente decreto.
ARTÍCULO 2.42.1.4.10. EXTRACTO DE CUENTA. <Artículo adicionado por el artículo 1 del Decreto 1207 de 2020. El nuevo texto es el siguiente:> La sociedad administradora del Fondo Voluntario de Pensión deberá entregar a los partícipes un extracto de cuenta en donde se informe sobre el movimiento de la cuenta de cada uno de los partícipes en el Fondo Voluntario de Pensión, que deberá ser remitido por el medio previsto en el reglamento.
La Superintendencia Financiera de Colombia definirá la periodicidad, y contenido mínimo del extracto de cuenta, incluyendo la información sobre comisiones prevista en el numeral 5 del artículo 2.42.1.5.1. del presente decreto.
ARTÍCULO 2.42.1.4.11. INFORME DE RENDICIÓN DE CUENTAS. <Artículo adicionado por el artículo 1 del Decreto 1207 de 2020. El nuevo texto es el siguiente:> La sociedad administradora deberá rendir un informe detallado y pormenorizado de la gestión de los bienes entregados o transferidos en virtud del acuerdo celebrado entre las partes, respecto de aquello que tenga relevancia con la labor ejecutada, incluyendo el balance general del Fondo y el estado de resultados del mismo.
La Superintendencia Financiera de Colombia definirá la forma y contenido mínimo del informe de rendición de cuentas, incluyendo la información sobre comisiones y gastos prevista en el numeral 6 del artículo 2.42.1.5.1 y en el artículo 2.42.1.5.2 del presente decreto.
PARÁGRAFO. El informe de rendición de cuentas deberá hacerse por lo menos cada seis (6) meses con cortes a 30 de junio y 31 de diciembre, salvo que en el reglamento del Fondo se disponga una periodicidad menor. El envío del informe deberá efectuarse en un plazo máximo de quince (15) días comunes contados desde la fecha del respectivo corte.
ARTÍCULO 2.42.1.4.12. ADMINISTRACIÓN Y REVELACIÓN DE CONFLICTOS DE INTERÉS, POLÍTICAS Y DEBERES. <Artículo adicionado por el artículo 1 del Decreto 1207 de 2020. El nuevo texto es el siguiente:> Las sociedades administradoras deberán establecer políticas de administración y revelación de situaciones generadoras de conflictos de interés.
Estas políticas deberán incorporar límites, criterios de materialidad, barreras de información entre las líneas de negocio susceptibles de generar conflictos de interés, así como lineamientos acerca de la información relevante asociada a dichos conflictos que le deben ser presentados a los órganos competentes.
Dichas políticas deben prever como mínimo que se podrán presentar conflictos de interés: (i) entre la sociedad administradora y los partícipes, beneficiarios o entidades patrocinadoras, o (ii) entre los partícipes, beneficiarios o entidades patrocinadoras y las entidades o personas vinculadas a la sociedad administradora, o (iii) entre los negocios administrados por la sociedad administradora. Para el efecto, aplicará el concepto de persona o entidad vinculada a la sociedad administradora previsto en el literal b) del numeral 2 del artículo 7.3.1.1.2 del presente decreto.
En las políticas de administración y revelación de conflictos de interés se deberán consagrar como mínimo los siguientes deberes:
1. Deber de abstención o prohibición de actuación. Al momento de verificar la existencia de un conflicto de interés o frente a la duda de la existencia del mismo, la(s) persona(s) incursa(s) debe(n) abstenerse de adelantar el acto u operación generadora del conflicto, no podrá(n) intervenir en el debate ni influir en la decisión que se adopte, y deberán abstenerse de dar información incompleta.
No obstante, cuando cuente(n) con la(s) autorización(es) a que haya lugar, la(s) persona(s) incursa(s) en conflictos de interés podrá(n) participar en el acto u operación.
2. Deber de información. Al observarse la existencia de un conflicto de interés, la(s) persona(s) incursa(s) deberá(n) ponerlo en conocimiento de la(s) Junta(s) Directiva(s) u órgano(s) que haga sus veces.
3. Deber de obtener decisión. En los eventos que se presente conflicto de interés deberá mediar decisión motivada de la Junta(s) Directiva(s) u órgano(s) que haga(n) sus veces de la(s) entidad(es) incursa(s).
4. Deber de revelación. En el informe de rendición de cuentas de que trata el artículo 2.42.1.4.11. del presente decreto se deberá incluir un capítulo especial relativo a las situaciones de conflictos de interés que se hubiesen presentado, informe que deberá contener el detalle, características e información relevante de dichas situaciones, junto con las decisiones y acciones tomadas al respecto.
5. Deber de transparencia. En el desarrollo de las operaciones en que se observen conflictos de interés, las sociedades administradoras deben velar y propender por la transparencia y la celebración de las mismas en condiciones y precios de mercado.
PARÁGRAFO 1o. Aplicarán a los Fondos Voluntarios de Pensión, las situaciones generadoras de conflictos de interés y los límites establecidos en el primer y segundo inciso del numeral 3, y en los numerales 4 y 5, del artículo 3.1.1.10.2 del presente decreto. Estos límites aplicarán respecto del monto total de activos administrados en el respectivo Fondo Voluntario de Pensión.
Sin perjuicio de lo anterior, no podrá aumentarse de 10% el límite de inversión directa o indirecta en valores cuyo emisor, avalista, aceptante, garante u originador de una titularización sea la matriz, las subordinadas de esta o las subordinadas de la sociedad administradora.
PARÁGRAFO 2o. Las sociedades administradoras se abstendrán de realizar las actividades previstas en el artículo 3.1.1.10.1. del presente decreto.
REMUNERACIÓN DE LA SOCIEDAD ADMINISTRADORA.
ARTÍCULO 2.42.1.5.1. COMISIÓN POR ADMINISTRACIÓN. <Artículo adicionado por el artículo 1 del Decreto 1207 de 2020. El nuevo texto es el siguiente:> La sociedad administradora percibirá como único beneficio por su gestión de administración, la comisión que se establezca en el reglamento de funcionamiento. La metodología y los parámetros relevantes para la determinación de la comisión deberán establecerse de forma previa y objetiva. Esta metodología deberá ser de baja complejidad y suficientemente detallada de manera que permita determinar la comisión de un partícipe de acuerdo con los parámetros establecidos.
El monto de activos administrados será exclusivamente la base para las comisiones fijas y los rendimientos causados en el respectivo período serán exclusivamente la base para las comisiones variables. Cualquier forma de remuneración de la sociedad administradora deberá estar contemplada en alguno de estos dos tipos de comisiones.
La comisión por administración se divulgará por las sociedades administradoras a través de los siguientes mecanismos de revelación de información y bajo los siguientes criterios:
1. El reglamento de funcionamiento establecerá la descripción general de la metodología de cálculo de las comisiones fijas y variables del Fondo, y la forma de convertir las comisiones variables efectivamente cobradas en cada período para expresarlas como porcentaje del monto de activos administrados o de las sumas acreditadas a cada partícipe, según sea el caso.
2. El prospecto de portafolio contendrá la relación pormenorizada de las comisiones fijas y las comisiones variables que se cobrarán por el respectivo portafolio, especificando todos los parámetros que se utilizarán para determinar las comisiones efectivamente cobradas. Esta información debe ser suficiente para que el cliente identifique la comisión que se le cobrará a partir de su adhesión y en cualquier momento posterior.
3. Para los planes abiertos, la sociedad administradora deberá publicar en su página web y entregar a los clientes de forma previa a su adhesión, un cuadro comparativo con la información detallada de las comisiones cobradas en todos los portafolios que ofrece el Fondo Voluntario de Pensión, tanto fijas como variables, especificando todos los parámetros que se utilizarán para determinar las comisiones efectivamente cobradas. Este cuadro debe ser de fácil comprensión y contener toda la información necesaria para que el cliente identifique la comisión que se le cobrará a partir de su adhesión y en cualquier momento posterior. La Superintendencia Financiera de Colombia establecerá las condiciones para presentar en dicho cuadro comparativo información adicional, tal como el perfil de riesgo o la rentabilidad histórica de cada portafolio, y en general para realizar su publicación.
4. La ficha técnica contendrá información sobre el perfil de riesgo, la rentabilidad histórica, y la relación pormenorizada de las comisiones fijas y variables del respectivo portafolio, especificando todos los parámetros que se utilizarán para determinar las comisiones efectivamente cobradas.
5. El extracto de cuenta contendrá la rentabilidad neta del respectivo partícipe, la relación pormenorizada de las comisiones fijas y variables cobradas en el respectivo período, y el porcentaje efectivamente pagado por comisiones, agregando para el efecto las comisiones fijas y las comisiones variables. Las comisiones variables se convertirán en la forma establecida en el reglamento del Fondo, para expresarlas como porcentaje de las sumas acreditadas al respectivo partícipe.
6. El informe de rendición de cuentas incluirá: i) la relación pormenorizada de las comisiones fijas y variables cobradas en el respectivo período, para lo cual podrán agregarse en un mismo rubro las comisiones cobradas a varios partícipes por el mismo concepto; ii) el porcentaje efectivamente pagado por comisiones, agregando para el efecto las comisiones fijas y las comisiones variables; las comisiones variables se convertirán en la forma establecida en el reglamento del Fondo, para expresarlas como porcentaje del monto de activos administrados; y iii) la distribución de los porcentajes efectivamente pagados por comisiones reportados en los extractos de cuentas, para lo cual deberán segmentarse los partícipes por alternativas o portafolios.
PARÁGRAFO. La Superintendencia Financiera de Colombia diseñará e implementará un mecanismo de publicación en su página web que permita a los partícipes y al público en general comparar de forma fácilmente comprensible las comisiones cobradas por cada sociedad administradora, y establecerá los medios y condiciones para que estas le suministren la información que requiera.
ARTÍCULO 2.42.1.5.2. GASTOS A CARGO DEL FONDO. <Artículo adicionado por el artículo 1 del Decreto 1207 de 2020. El nuevo texto es el siguiente:> Sólo podrán imputarse al Fondo Voluntario de Pensión los gastos que sean necesarios para el funcionamiento y gestión del mismo. En el reglamento de funcionamiento deberán relacionarse de forma pormenorizada todos los gastos a cargo del Fondo. Los gastos no relacionados se entenderán a cargo de la sociedad administradora.
DISPOSICIONES ESPECIALES DE RESOLUCIÓN.
ARTÍCULO 2.42.1.6.1. INTERVENCIÓN ADMINISTRATIVA DE LA SOCIEDAD ADMINISTRADORA. <Artículo adicionado por el artículo 1 del Decreto 1207 de 2020. El nuevo texto es el siguiente:> Si se presentan las causales de intervención administrativa previstas por la ley únicamente respecto de la administración de un Fondo Voluntario de Pensión, la Superintendencia Financiera de Colombia podrá limitar su intervención a dicho Fondo y disponer, cuando sea del caso, que el mismo se entregue a otra sociedad administradora.
ARTÍCULO 2.42.1.6.2. PROCESOS DE INSOLVENCIA O DE LIQUIDACIÓN DE LA ENTIDAD PATROCINADORA. <Artículo adicionado por el artículo 1 del Decreto 1207 de 2020. El nuevo texto es el siguiente:> En caso de proceso de insolvencia o de liquidación de la entidad patrocinadora o de alguna de ellas cuando sean varias, los pasivos para con los Fondos Voluntarios de Pensión estarán sometidos al régimen de los pasivos laborales.
Los planes voluntarios de pensión deberán establecer los derechos de los partícipes en los casos de insolvencia o liquidación de la entidad patrocinadora o mora en el pago de sus aportes.
ARTÍCULO 2.42.1.6.3. CAUSALES DE DISOLUCIÓN Y LIQUIDACIÓN. <Artículo adicionado por el artículo 1 del Decreto 1207 de 2020. El nuevo texto es el siguiente:> Los Fondos Voluntarios de Pensión se disolverán y liquidarán en los siguientes casos:
1. El vencimiento del término de duración.
2. Cuando la sociedad administradora sea objeto de liquidación y en un plazo de un año no se haya designado la entidad que haya de reemplazarla.
3. Cualquier hecho o situación que ponga a la sociedad administradora en imposibilidad definitiva de continuar desarrollando su objeto social.
4. La decisión motivada técnica y económicamente de la junta directiva de la sociedad administradora de liquidar el Fondo.
5. Cuando el patrimonio del Fondo esté por debajo del monto mínimo de aportes establecido conforme el numeral 1.6. del artículo 2.42.1.4.7. del presente decreto.
6. Los demás previstos en el reglamento de funcionamiento.
PARÁGRAFO 1o. La causal prevista en el numeral 5 del presente artículo solo será aplicable después de seis (6) meses de que el Fondo entre en operación.
PARÁGRAFO 2o. Cuando se presente alguna de las causales de liquidación previstas en el presente artículo, la sociedad administradora deberá comunicarla inmediatamente a la Superintendencia Financiera de Colombia, y a las bolsas de valores y a las entidades administradoras de los diferentes sistemas de negociación de valores en los que se encuentren inscritos los valores respectivos, cuando haya lugar a ello. A los partícipes se les comunicará el acaecimiento de la causal de liquidación del Fondo por los medios previstos en el reglamento. Estas comunicaciones deberán realizarse a más tardar al día siguiente de la ocurrencia de la causal.
FONDOS DE INVERSIÓN COLECTIVA.
ADMINISTRACIÓN, GESTIÓN Y DISTRIBUCIÓN DE LOS FONDOS DE INVERSIÓN COLECTIVA.
ASPECTOS GENERALES.
ÁMBITO DE APLICACIÓN Y PRINCIPIOS DE LOS FONDOS DE INVERSIÓN COLECTIVA.
ARTÍCULO 3.1.1.1.1. SOCIEDADES AUTORIZADAS Y ÁMBITO DE APLICACIÓN. <Artículo modificado por el artículo 1 del Decreto 1242 de 2013. El nuevo texto es el siguiente:> Los Fondos de Inversión Colectiva previstos en esta Parte solo podrán ser administrados por sociedades comisionistas de bolsa de valores, sociedades fiduciarias y sociedades administradoras de inversión, las cuales en lo relativo a Fondos de Inversión Colectiva se denominarán genéricamente sociedades administradoras de Fondos de Inversión Colectiva. Las sociedades mencionadas, en relación con la administración de Fondos de Inversión Colectiva, únicamente estarán sujetas a lo previsto en esta Parte.
PARÁGRAFO. <Parágrafo modificado el artículo 83 del Decreto 1745 de 2020. El nuevo texto es el siguiente:> Las normas de la presente Parte no aplican a los fondos de pensiones y de cesantías, a los Fondos Voluntarios de Pensión previstos en el Libro 42 de la Parte 2 del presente decreto, a los fondos mutuos de inversión, ni a los fondos de capital extranjero previstos en la Parte 17 del Libro 2 del Decreto 1068 de 2015, ni a los fondos de inversión inmobiliaria creados en virtud del inciso segundo del artículo 41 de la Ley 820 de 2003 antes de su derogatoria.
ARTÍCULO 3.1.1.1.2. PROFESIONALIDAD. <Artículo modificado por el artículo 1 del Decreto 1242 de 2013. El nuevo texto es el siguiente:> Las sociedades administradoras de Fondos de Inversión Colectiva deberán actuar de manera profesional, con la diligencia exigible a un experto prudente y diligente en la administración de Fondos de Inversión Colectiva, de conformidad con la política de inversión de cada Fondo de Inversión Colectiva.
En el análisis de prudencia y diligencia de la Sociedad Administradora de Fondos de Inversión Colectiva deberá tenerse en cuenta la manera como esta hubiere actuado para la selección de las inversiones, independientemente de si las inversiones fueron exitosas o no. Así mismo, en el análisis de la diligencia respecto de una inversión en particular se deberá tener en cuenta el papel que dicha inversión tiene en la estrategia integral del respectivo Fondo de Inversión Colectiva, de acuerdo con la política de inversión correspondiente.
ARTÍCULO 3.1.1.1.3. SEGREGACIÓN. <Artículo modificado por el artículo 1 del Decreto 1242 de 2013. El nuevo texto es el siguiente:> Los activos que formen parte del Fondo de Inversión Colectiva constituyen un patrimonio independiente y separado de los activos propios de la Sociedad Administradora de Fondos de Inversión Colectiva y de aquellos que esta administre en virtud de otros negocios.
Los activos del Fondo de Inversión Colectiva no hacen parte de los de la Sociedad Administradora de Fondos de Inversión Colectiva, no constituyen prenda general de los acreedores de esta y estarán excluidos de la masa de bienes que pueda conformarse para efectos de cualquier procedimiento de insolvencia o de cualquier otra acción contra la Sociedad Administradora.
Cuando la Sociedad Administradora de Fondos de Inversión Colectiva actúe por cuenta de un Fondo de Inversión Colectiva se considerará que compromete únicamente los recursos del respectivo fondo.
ARTÍCULO 3.1.1.1.4. PREVALENCIA DE LOS INTERESES DE LOS INVERSIONISTAS. <Artículo modificado por el artículo 1 del Decreto 1242 de 2013. El nuevo texto es el siguiente:> Las sociedades administradoras de Fondos de Inversión Colectiva deberán administrar los Fondos de Inversión Colectiva dando prevalencia a los intereses de los inversionistas sobre cualquier otro interés, incluyendo los de la Sociedad Administradora; sus accionistas; sus administradores; sus funcionarios; sus filiales o subsidiarias, su matriz o las filiales o subsidiarias de esta.
ARTÍCULO 3.1.1.1.5. PREVENCIÓN Y ADMINISTRACIÓN DE CONFLICTOS DE INTERÉS. <Artículo modificado por el artículo 1 del Decreto 1242 de 2013. El nuevo texto es el siguiente:> Las sociedades administradoras de Fondos de Inversión Colectiva deberán establecer en sus normas de gobierno corporativo, las políticas y los mecanismos idóneos que les permitan prevenir y administrar los posibles conflictos de interés en los que puedan incurrir cualquiera de sus funcionarios o la Sociedad Administradora, de conformidad con las reglas previstas en esta Parte.
ARTÍCULO 3.1.1.1.6. TRATO EQUITATIVO ENTRE LOS INVERSIONISTAS CON CARACTERÍSTICAS SIMILARES. <Artículo modificado por el artículo 1 del Decreto 1242 de 2013. El nuevo texto es el siguiente:> En la administración de los Fondos de Inversión Colectiva, la Sociedad Administradora de Fondos de Inversión Colectiva está obligada a otorgar igual tratamiento a los inversionistas que se encuentren en las mismas condiciones objetivas.
ARTÍCULO 3.1.1.1.7. PRESERVACIÓN DEL BUEN FUNCIONAMIENTO DEL FONDO DE INVERSIÓN COLECTIVA E INTEGRIDAD DE MERCADO EN GENERAL. <Artículo modificado por el artículo 1 del Decreto 1242 de 2013. El nuevo texto es el siguiente:> Las sociedades administradoras de Fondos de Inversión Colectiva en desarrollo de su gestión deberán actuar evitando la ocurrencia de situaciones que pongan en riesgo la normal y adecuada continuidad de la operación de los Fondos de Inversión Colectiva bajo su administración o la integridad del mercado.
ARTÍCULO 3.1.1.1.8. MEJOR EJECUCIÓN DEL ENCARGO. <Artículo modificado por el artículo 1 del Decreto 1242 de 2013. El nuevo texto es el siguiente:> La gestión del Fondo de Inversión Colectiva deberá realizarse en las mejores condiciones posibles para los adherentes, teniendo en cuenta las características de las operaciones a ejecutar, la situación del mercado al momento de la ejecución, los costos asociados, la oportunidad de mejorar el precio y demás factores relevantes.
Para los efectos de esta Parte se entiende que la Sociedad Administradora de Fondos de Inversión Colectiva logra la mejor ejecución de una operación cuando obra con el cuidado necesario para propender porque el precio y las demás condiciones de la operación correspondan a las mejores condiciones disponibles en el mercado al momento de la negociación, teniendo en cuenta la clase, el valor, el tamaño de la operación, así como el tipo de Fondo de Inversión Colectiva que se está operando y la estrategia integral de inversión que se esté ejecutando.
ARTÍCULO 3.1.1.1.9. EXTENSIÓN DE LOS PRINCIPIOS. <Artículo modificado por el artículo 1 del Decreto 1242 de 2013. El nuevo texto es el siguiente:> Cuando las actividades de gestión o distribución de los Fondos de Inversión Colectiva sean desarrolladas por parte de entidades autorizadas para realizar dichas actividades, diferentes a la Sociedad Administradora de Fondos de Inversión Colectiva, tales entidades en el desarrollo de dichas actividades deberán aplicar en los mismos términos los principios y deberes mencionados en los artículos anteriores.
DEFINICIÓN Y ARQUITECTURA DE LOS FONDOS DE INVERSIÓN COLECTIVA.
ARTÍCULO 3.1.1.2.1. DEFINICIÓN DE FONDO DE INVERSIÓN COLECTIVA. <Artículo modificado por el artículo 1 del Decreto 1242 de 2013. El nuevo texto es el siguiente:> Para los efectos de esta Parte se entiende por Fondo de Inversión Colectiva todo mecanismo o vehículo de captación o administración de sumas de dinero u otros activos, integrado con el aporte de un número plural de personas determinables una vez el fondo entre en operación, recursos que serán gestionados de manera colectiva para obtener resultados económicos también colectivos.
ARTÍCULO 3.1.1.2.2. TIPOS DE FONDOS DE INVERSIÓN COLECTIVA. <Artículo modificado por el artículo 1 del Decreto 1242 de 2013. El nuevo texto es el siguiente:> Los Fondos de Inversión Colectiva serán abiertos o cerrados, dependiendo de la manera cómo se estructure la obligación de redimir las participaciones de los inversionistas del Fondo de Inversión Colectiva.
Los Fondos de Inversión Colectiva serán abiertos, siempre que en el reglamento no se disponga otra cosa.
ARTÍCULO 3.1.1.2.3. FONDOS DE INVERSIÓN COLECTIVA ABIERTOS. <Artículo modificado por el artículo 1 del Decreto 1242 de 2013. El nuevo texto es el siguiente:> Son aquellos Fondos de Inversión Colectiva en los cuales la Sociedad Administradora está obligada a redimir las participaciones de los inversionistas en cualquier momento, durante la vigencia del mismo.
PARÁGRAFO. En el reglamento podrán acordarse pactos de permanencia mínima para la redención de participaciones de los inversionistas, caso en el cual deberá establecerse el cobro de penalidades por redenciones anticipadas, las cuales constituirán un ingreso para el respectivo fondo.
ARTÍCULO 3.1.1.2.4. FONDOS DE INVERSIÓN COLECTIVA CERRADOS. <Artículo modificado por el artículo 1 del Decreto 1242 de 2013. El nuevo texto es el siguiente:> Son aquellos Fondos de Inversión Colectiva en los que la Sociedad Administradora de Fondos de Inversión Colectiva únicamente está obligada a redimir las participaciones de los inversionistas al final del plazo previsto para la duración del Fondo de Inversión Colectiva.
PARÁGRAFO. Podrán crearse Fondos de Inversión Colectiva cerrados en los cuales se establezcan plazos determinados para realizar la redención de las participaciones, los cuales deberán estar previamente determinados en el reglamento. El plazo mínimo de redención de las participaciones en estos Fondos de Inversión Colectiva no podrá ser inferior a treinta (30) días comunes.
ARTÍCULO 3.1.1.2.5. FAMILIA DE FONDOS DE INVERSIÓN COLECTIVA. <Artículo modificado por el artículo 1 del Decreto 1242 de 2013. El nuevo texto es el siguiente:> Las Sociedades Administradoras de Fondos de Inversión Colectiva podrán crear familias de Fondos de Inversión Colectiva con el fin de agrupar en ellas más de un Fondo de Inversión Colectiva.
Las familias de Fondos de Inversión Colectiva y el primer Fondo de Inversión Colectiva perteneciente a la misma, deberán ser autorizadas en los términos del artículo 3.1.1.3.2 del presente decreto, en consecuencia los siguientes Fondos de Inversión Colectiva que se pretendan crear como parte de una familia autorizada no deberán surtir el trámite de autorización. En todo caso, la Sociedad Administradora de Fondos de Inversión Colectiva deberá informar a la Superintendencia Financiera de Colombia la creación de dichos Fondos de Inversión Colectiva, dentro de los cinco (5) días siguientes a la fecha de entrada en funcionamiento del respectivo Fondo de Inversión Colectiva.
Solo podrán constituirse como familias, los Fondos de Inversión Colectiva que cumplan con las siguientes condiciones:
1. Que la totalidad de las inversiones se realicen en bonos y/o acciones inscritos en el RNVE y/o se encuentren listados en sistemas de cotización de valores del extranjero, siempre y cuando no haya operaciones de naturaleza apalancada. La Superintendencia Financiera de Colombia podrá determinar otros valores inscritos en el RNVE o que se encuentren listados en sistemas de cotización de valores del extranjero que puedan incluirse en estas familias.
2. Que se trate de fondos bursátiles que repliquen o sigan índices de mercados reconocidos por la Superintendencia Financiera de Colombia, siempre y cuando no haya operaciones de naturaleza apalancada.
3. Que se trate de Fondos de Inversión Colectiva inmobiliarios, siempre que cumplan con lo siguiente:
a) La Superintendencia Financiera de Colombia determinará la destinación de los inmuebles y proyectos inmobiliarios en los que deberán invertir los Fondos de Inversión Colectiva inmobiliarios que se pretendan incluir como parte de la respectiva familia de Fondos de Inversión Colectiva;
b) La creación de Fondos de Inversión Colectiva inmobiliarios pertenecientes a familias de Fondos de Inversión Colectiva ya autorizados, deberá ser notificada a la Superintendencia Financiera de Colombia con una antelación no inferior a cinco (5) días respecto de la fecha de la entrada en funcionamiento del respectivo fondo, con el fin de que dicha superintendencia pueda pronunciarse al respecto si lo considera necesario.
La Superintendencia Financiera de Colombia de manera general podrá determinar otros tipos de familias de Fondos de Inversión Colectiva adicionales a los establecidos en el presente Decreto.
PARÁGRAFO 1o. Una familia de Fondos de Inversión Colectiva no podrá estar conformada por otras familias de Fondos de Inversión Colectiva.
PARÁGRAFO 2o. Los activos que conforman cada Fondo de Inversión Colectiva perteneciente a una misma familia de Fondos de Inversión Colectiva, constituyen un patrimonio independiente y separado de los demás Fondos de Inversión Colectiva que hagan parte de dicha familia.
PARÁGRAFO 3o. En la presentación de nuevos Fondos de Inversión Colectiva que hagan parte de una familia de Fondos de Inversión Colectiva ya autorizada, la Sociedad Administradora deberá atender los requisitos de idoneidad y profesionalidad que defina la Superintendencia Financiera de Colombia.
CONSTITUCIÓN Y ADMINISTRACIÓN DE LOS FONDOS DE INVERSIÓN COLECTIVA.
ARTÍCULO 3.1.1.3.1. REQUISITOS PARA LA CONSTITUCIÓN Y FUNCIONAMIENTO DE LOS FONDOS DE INVERSIÓN COLECTIVA Y DE LAS FAMILIAS DE FONDOS DE INVERSIÓN COLECTIVA. <Artículo modificado por el artículo 1 del Decreto 1242 de 2013. El nuevo texto es el siguiente:> Las sociedades administradoras, al momento de la constitución y durante la vigencia del fondo o familia de Fondos de Inversión Colectiva, deberán cumplir con los siguientes requisitos:
1. Tener capacidad administrativa e infraestructura tecnológica y operativa suficiente para administrar el respectivo fondo o familia de Fondos de Inversión Colectiva, o para realizar las actividades de gestión y distribución en caso de no haber sido estas delegadas.
2. Contar con personal idóneo y de dedicación exclusiva para la administración de fondos o familias de Fondos de Inversión Colectiva, exclusividad que únicamente se predicará del gerente del Fondo de Inversión Colectiva
3. Tener una adecuada estructura de control interno.
4. Tener implementado un sistema integral de información del Fondo de Inversión Colectiva o familia de Fondos de Inversión Colectiva.
5. Tener y cumplir con códigos de buen gobierno corporativo, incluyendo un código de conducta, para la administración del Fondo de Inversión Colectiva o familia de Fondos de Inversión Colectiva; en este sentido, las sociedades administradoras deberán adoptar criterios éticos y de conducta encaminados a preservar los derechos de los inversionistas de los Fondos de Inversión Colectiva y las familias de inversión colectiva bajo su administración, incluyendo el establecimiento de reglas claras y concretas que permitan realizar un control a la gestión de los administradores de la misma, sobre el cumplimiento de las obligaciones y responsabilidades asignadas, así como sobre la prevención y administración de los posibles conflictos de interés que puedan afrontar tanto la Sociedad Administradora como sus administradores y funcionarios.
6. Contar con planes de contingencia y continuidad de la operación, cuya finalidad primordial sea prevenir y, en caso de ser necesario, solucionar, los problemas, fallas e incidentes, que se puedan presentar en cualquiera de los dispositivos de procesamiento y conservación, que conforman el sistema integral de manejo y procesamiento de la información de los Fondos de Inversión Colectiva y las familias de Fondos de Inversión Colectiva bajo administración.
7. Contar con un sistema de gestión y administración de los riesgos.
8. Contar con la cobertura de que trata el artículo 3.1.1.3.4 del presente decreto.
9. <Numeral modificado el artículo 84 del Decreto 1745 de 2020. El nuevo texto es el siguiente:> Contar con una entidad que preste los servicios de custodia de valores en los términos establecidos en el Libro 37 de la Parte 2 del presente decreto.
La Superintendencia Financiera de Colombia instruirá la forma en que se verifique el cumplimiento de los anteriores requisitos.
ARTÍCULO 3.1.1.3.2. AUTORIZACIÓN DE LA SUPERINTENDENCIA FINANCIERA DE COLOMBIA. <Artículo modificado por el artículo 1 del Decreto 1242 de 2013. El nuevo texto es el siguiente:> La Superintendencia Financiera de Colombia autorizará previamente las familias de Fondos de Inversión Colectiva, el primer Fondo de Inversión Colectiva perteneciente a cada familia de Fondos de Inversión Colectiva y cada Fondo de Inversión Colectiva que no haga parte de una familia, previa solicitud de la Sociedad Administradora de Fondos de Inversión Colectiva. Para el trámite de autorización la Sociedad Administradora deberá aportar la siguiente documentación:
1. Modelo del reglamento del Fondo de Inversión Colectiva y en el caso de la familia de fondos, el reglamento marco junto con el reglamento del primer Fondo de Inversión Colectiva que la conforme.
2. Copia del acta de Junta Directiva de la Sociedad Administradora de Fondos de Inversión Colectiva mediante la cual se aprobó el o los respectivos modelos del reglamento.
3. Certificación expedida por el representante legal de la Sociedad Administradora de Fondos de Inversión Colectiva acerca de que la sociedad cumple con los requisitos previstos en el artículo 3.1.1 .3.1.
4. Modelo del documento representativo de las participaciones del Fondo de Inversión Colectiva, así como, un anexo en el que se describan los tipos de participaciones que se pretendan crear y sus condiciones, en el caso en que el reglamento establezca tal posibilidad.
5. Descripción del perfil exigido para formar parte del comité de inversiones.
6. Descripción de las calidades que tiene el gerente o el gestor externo del Fondo de Inversión Colectiva, según el caso.
7. Los demás aspectos que establezca la Superintendencia Financiera de Colombia.
PARÁGRAFO. La Sociedad Administradora de Fondos de Inversión Colectiva deberá poner en operación el Fondo de Inversión Colectiva o el primer fondo de la familia de Fondos de Inversión Colectiva autorizada(o) dentro de los seis (6) meses siguientes a la fecha de ejecutoria del acto administrativo por medio del cual se autorice la constitución del respectivo Fondo de Inversión Colectiva o familia de Fondos de Inversión Colectiva.
La Superintendencia Financiera de Colombia podrá prorrogar dicho término por una sola vez hasta por un tiempo igual, previa solicitud justificada de la Sociedad Administradora. Una vez vencido dicho término o prórroga si la hubiere, sin que se hubiere iniciado operaciones, la autorización perderá vigencia y la entidad interesada deberá solicitar una nueva autorización.
ARTÍCULO 3.1.1.3.3. MONTO TOTAL DE SUSCRIPCIONES. <Artículo derogado por el artículo 9 del Decreto 415 de 2018>
ARTÍCULO 3.1.1.3.4. COBERTURA. <Artículo modificado por el artículo 1 del Decreto 1242 de 2013. El nuevo texto es el siguiente:> Las sociedades administradoras de Fondos de Inversión Colectiva, así como el gestor externo y los distribuidores especializados en caso de existir deberán mantener durante todo el tiempo de la administración de los Fondos de Inversión Colectiva, mecanismos que amparen los siguientes riesgos, respecto de todos los Fondos de Inversión Colectiva que administren:
1. Pérdida o daño por actos u omisiones culposos cometidos por sus directores, administradores o cualquier persona vinculada contractualmente con esta.
2. Pérdida o daño causado a los Fondos de Inversión Colectiva por actos de infidelidad de los directores, administradores o cualquier persona vinculada contractualmente con la Sociedad Administradora.
3. Pérdida o daño de valores en establecimientos o dependencias de la Sociedad Administradora.
4. Pérdida o daño por falsificación o alteración de documentos.
5. Pérdida o daño por falsificación de dinero.
6. Pérdida o daño por fraude a través de sistemas computarizados.
7. Pérdida o daño por transacciones incompletas; este aspecto no se refiere al riesgo de crédito o contraparte.
La Superintendencia Financiera de Colombia podrá exigir pólizas de seguros o similares para la protección de riesgos adicionales; así mismo, definirá las instrucciones para determinar la cuantía de las coberturas.
ARTÍCULO 3.1.1.3.5 MONTO MÍNIMO DE PARTICIPACIONES. <Artículo modificado por el artículo 1 del Decreto 1242 de 2013. El nuevo texto es el siguiente:> Todo Fondo de Inversión Colectiva en operación deberá tener un patrimonio mínimo definido en el respectivo reglamento, el cual no podrá ser inferior al equivalente a dos mil seiscientos (2.600) salarios mínimos legales mensuales vigentes.
La Sociedad Administradora de Fondos de Inversión Colectiva tendrá un plazo de seis (6) meses, contado a partir de la entrada en operación del respectivo Fondo de Inversión Colectiva, para reunir el monto mínimo de participaciones exigido en el presente artículo, plazo que la Superintendencia Financiera de Colombia podrá prorrogar por una sola vez hasta por un tiempo igual, previa solicitud justificada de la Sociedad Administradora de Fondos de Inversión Colectiva. Si transcurrido dicho plazo o su prorroga si la hubiere, la Sociedad Administradora de Fondos de Inversión Colectiva no ha reunido el monto mínimo de participaciones, se perderá la respectiva autorización y se deberá proceder a liquidar el Fondo de Inversión Colectiva, sin perjuicio de lo establecido en el numeral 5 del artículo 3.1.2.2.1 del presente decreto.
PARÁGRAFO. Lo dispuesto en el presente artículo no será aplicable a los fondos de capital privado de que trata el presente decreto.
ARTÍCULO 3.1.1.3.6. CALIFICACIÓN DEL FONDO DE INVERSIÓN COLECTIVA. <Artículo modificado por el artículo 1 del Decreto 1242 de 2013. El nuevo texto es el siguiente:> Las sociedades administradoras de Fondos de Inversión Colectiva podrán establecer en sus reglamentos la obligación de la calificación del Fondo de Inversión Colectiva, así como la de la Sociedad Administradora, atendiendo los siguientes criterios.
1. La indicación de si el gasto de la calificación correrá a cargo de la Sociedad Administradora o del respectivo Fondo de Inversión Colectiva; la calificación sobre la habilidad para administrar Fondos de Inversión Colectiva no podrán estar a cargo de los mismos fondos.
2. La sociedad calificadora deberá medir como mínimo el riesgo de administración, riesgo operacional, riesgo de mercado, riesgo de liquidez y de crédito del Fondo de Inversión Colectiva, así como aquellos relacionados con operaciones apalancadas.
3. La vigencia máxima de la calificación será de un (1) año, la cual deberá actualizarse una vez vencido dicho término. El reglamento del fondo podrá definir una vigencia inferior.
4. En todo caso, la Sociedad Administradora deberá revelar al público, por los medios de suministro de información previstos en el reglamento y en el prospecto, todas las calificaciones que se contraten.
POLÍTICAS DE INVERSIÓN.
ARTÍCULO 3.1.1.4.1. POLÍTICA DE INVERSIÓN. <Artículo modificado por el artículo 1 del Decreto 1242 de 2013. El nuevo texto es el siguiente:> La política de inversión del fondo de inversión o la familia de Fondos de Inversión Colectiva deberá estar definida de manera previa y clara en el reglamento de aquel y en el reglamento marco de esta, así como en el prospecto, de forma tal que sea comprensible para los inversionistas y el público en general.
ARTÍCULO 3.1.1.4.2. CONTENIDO DE LA POLÍTICA DE INVERSIÓN. <Artículo modificado por el artículo 1 del Decreto 1242 de 2013. El nuevo texto es el siguiente:> La política de inversión deberá contemplar, por lo menos, los siguientes aspectos:
1, Plan de inversiones del Fondo de Inversión Colectiva, indicando, como mínimo, lo siguiente:
a) Objeto del Fondo de Inversión Colectiva o la familia de Fondos de Inversión Colectiva;
b) Relación de los activos que se consideran aceptables para invertir, de conformidad con el tipo de Fondo de Inversión Colectiva o familia de Fondos de Inversión Colectiva;
c) Diversificación del portafolio de acuerdo con el perfil de riesgo del Fondo de Inversión Colectiva, la administración del riesgo y los requerimientos de liquidez que prevea la Sociedad Administradora de Fondos de Inversión Colectiva;
d) Información sobre la naturaleza y las características de las inversiones propuestas;
e) Determinación de los límites mínimos y máximos por tipo de activo y por emisor u originador.
f) Determinación de los niveles de inversión, directa o indirecta, en valores cuyo emisor u originador, avalista, aceptante, garante sea la matriz, las subordinadas de esta o las subordinadas de la Sociedad Administradora, si es del caso, sin perjuicio de lo previsto en el artículo 3.1.1.10.2 del presente decreto. Para el caso de una titularización, dichas condiciones también deberán determinarse respecto del originador de la misma; y
g) Plazo promedio ponderado de las inversiones del Fondo de Inversión Colectiva, de conformidad con el perfil de riesgo propuesto, tratándose de títulos de renta fija;
2. Los parámetros para el manejo de las operaciones del mercado monetario que empleará la Sociedad Administradora del Fondo de Inversión Colectiva, teniendo en cuenta la clase de Fondo de Inversión Colectiva de que se trate.
3. Política en relación con los depósitos en cuentas corrientes o de ahorros, sin perjuicio de lo previsto en el artículo 3.1.1.10.2 del presente decreto.
4. Perfil de riesgo del Fondo de Inversión Colectiva, el cual deberá fundamentarse en la descripción y el análisis de los riesgos que puedan influir en el portafolio de inversiones;
5. Política de gestión de riesgos, en la cual se deberán describir los riesgos que pueden influir en el resultado del Fondo de Inversión Colectiva, y la manera de administrarlos.
6. Los demás aspectos que establezca la Superintendencia Financiera de Colombia.
ARTÍCULO 3.1.1.4.3. AJUSTES TEMPORALES POR CAMBIOS EN LAS CONDICIONES DE MERCADO. <Artículo modificado por el artículo 1 del Decreto 1242 de 2013. El nuevo texto es el siguiente:> Cuando circunstancias extraordinarias, imprevistas o imprevisibles en el mercado hagan imposible el cumplimiento de la política de inversión del respectivo Fondo de Inversión Colectiva o familia de Fondos de Inversión Colectiva, la Sociedad Administradora o el gestor externo podrán ajustar de manera provisional y conforme a su buen juicio profesional dicha política.
Los cambios efectuados deberán ser informados de manera efectiva e inmediata a los inversionistas, a la sociedad calificadora y a la Superintendencia Financiera de Colombia, detallando las medidas adoptadas y la justificación técnica de las mismas y su duración. La calificación de la imposibilidad deberá ser reconocida como un hecho generalizado en el mercado.
ARTÍCULO 3.1.1.4.4. ACTIVOS ACEPTABLES PARA INVERTIR. <Artículo modificado por el artículo 1 del Decreto 1242 de 2013. El nuevo texto es el siguiente:> Sin perjuicio de lo previsto en el artículo 3.1.1.4.3 del presente decreto, las sociedades administradoras podrán integrar a los portafolios de los fondos de inversión cualquier activo o derecho de contenido económico, según sea su naturaleza, entre otros:
1. Valores inscritos o no en el Registro Nacional de Valores y Emisores (RNVE).
2. Títulos valores, documentos de contenido crediticio y cualquier otro documento representativo de obligaciones dinerarias.
3. Valores emitidos por entidades bancarias del exterior.
4. Valores emitidos por empresas extranjeras del sector real cuyas acciones aparezcan inscritas en una o varias bolsas de valores internacionalmente reconocidas.
5. Bonos emitidos por organismos multilaterales de crédito, gobiernos extranjeros o entidades públicas.
6. Participaciones en fondos de inversión extranjeros o fondos que emulen índices nacionales o extranjeros.
7. Participaciones en otros Fondos de Inversión Colectiva nacionales.
8. Divisas, con las limitaciones establecidas en el régimen cambiario, en cuanto al pago de la redención de participaciones.
9. Inmuebles y proyectos inmobiliarios.
10. Commodities.
11. Instrumentos financieros derivados con fines de inversión.
PARÁGRAFO 1o. Las sociedades administradoras de Fondos de Inversión Colectiva o los gestores externos en caso de existir, podrán realizar depósitos en cuentas corrientes o de ahorros, en los términos y condiciones que se establezcan en el reglamento del Fondo de Inversión Colectiva.
PARÁGRAFO 2o. La Superintendencia Financiera de Colombia podrá determinar los activos o derechos de contenido económico que por su naturaleza, perfil de riesgo o complejidad solo sean admisibles para Fondos de Inversión Colectiva destinados a inversionistas profesionales.
ARTÍCULO 3.1.1.4.5. OPERACIONES REPO, SIMULTÁNEAS Y DE TRANSFERENCIA TEMPORAL DE VALORES. Sin perjuicio de lo establecido en el artículo 3.1.1.5.1 del presente decreto, las sociedades administradoras de Fondos de Inversión Colectiva o los gestores externos en caso de existir, podrán realizar, para los Fondos de Inversión Colectiva bajo su gestión, operaciones de reporto o repo activas, simultáneas activas y de transferencia temporal de valores, de conformidad con el plan de inversiones del respectivo fondo y demás normas aplicables.
En el reglamento del Fondo de Inversión Colectiva se deberán indicar las condiciones generales para la ejecución de este tipo de operaciones, en consideración a lo dispuesto en esta Parte del presente decreto y en las normas que lo modifiquen, sustituyan o adicionen, sin perjuicio de lo que se dispone en el capítulo de apalancamiento de la presente Parte.
PARÁGRAFO 1o. Las operaciones de reporto o repo activas y simultáneas activas que celebren las sociedades administradoras de Fondos de Inversión Colectiva o el gestor externo en caso de existir, para el respectivo Fondo de Inversión Colectiva, cualquiera sea su finalidad, no podrán exceder en su conjunto el treinta por ciento (30%) del activo total del Fondo de Inversión Colectiva.
Los títulos o valores que reciba el Fondo de Inversión Colectiva en desarrollo de operaciones de reporto o repo activas y simultáneas activas no podrán ser transferidos de forma temporal o definitiva, sino solo para cumplir la respectiva operación.
PARÁGRAFO 2o. <Parágrafo modificado por el artículo 10 del Decreto 1351 de 2019. El nuevo texto es el siguiente:> En las operaciones de transferencia temporal de valores de que trata el presente artículo, los fondos de inversión colectiva solo podrán recibir títulos o valores previstos en el reglamento de inversiones y en el prospecto. Así mismo, en los casos en que el fondo de inversión colectiva reciba recursos dinerarios, estos deberán permanecer congelados en depósitos a la vista en establecimientos de crédito. En ningún caso, tales depósitos podrán constituirse en la matriz de la sociedad administradora o en las filiales o subsidiarias de aquella.
PARÁGRAFO 3o. Las operaciones previstas en el presente artículo no podrán tener como contraparte, directa o indirectamente, a entidades vinculadas de la sociedad administradora del fondo de inversión colectiva, o del gestor externo en caso de existir. Se entenderá por entidades vinculadas aquellas que la Superintendencia Financiera de Colombia defina para efectos de consolidación de operaciones y de estados financieros de entidades sujetas a su supervisión, con otras entidades sujetas o no a su supervisión.
PARÁGRAFO 4o. La realización de las operaciones previstas en el presente artículo no autoriza ni justifica que la sociedad administradora incumpla los objetivos y política de inversión del fondo de inversión colectiva de acuerdo con lo establecido en el reglamento.
ARTÍCULO 3.1.1.4.6. OPERACIONES DE DERIVADOS. <Artículo modificado por el artículo 1 del Decreto 1242 de 2013. El nuevo texto es el siguiente:> Las sociedades administradoras de fondos de inversión colectiva o los gestores externos en caso de existir, podrán realizar operaciones de derivados con los recursos de los fondos de inversión colectiva administrados por estas, incluidas las operaciones de derivados con fines de inversión, con sujeción a los términos y límites previstos en el respectivo reglamento, sin perjuicio de lo señalado en el capítulo de apalancamiento de la presente Parte.
Se consideran operaciones de derivados con fines de inversión las que cumplan las siguientes condiciones:
1. Que los activos subyacentes estén contemplados en la política de inversión.
2. Que su compensación y liquidación se realice a través de las cámaras de riesgo central de contraparte que establezca la Superintendencia Financiera de Colombia.
3. Que la sociedad administradora de fondos de inversión colectiva o el gestor externo en caso de existir, con los recursos de los fondos de inversión colectiva durante la vigencia del contrato mantenga en depósitos a la vista en establecimientos de crédito de no vinculados a dicha entidad, un valor equivalente a la diferencia entre el precio fijado en el contrato y las garantías que se hayan constituido en el correspondiente administrador de garantías. Para el efecto se entenderá por vinculado aquellas personas que la Superintendencia Financiera de Colombia defina para efectos de consolidación de operaciones y estados financieros de entidades sujetas a supervisión, con otras entidades sujetas o no a supervisión.
OPERACIONES DE NATURALEZA APALANCADA EN LOS FONDOS DE INVERSIÓN COLECTIVA.
ARTÍCULO 3.1.1.5.1. OPERACIONES DE NATURALEZA APALANCADA EN LOS FONDOS DE INVERSIÓN COLECTIVA. <Artículo modificado por el artículo 1 del Decreto 1242 de 2013. El nuevo texto es el siguiente:> Son aquellas operaciones que permiten ampliar la exposición del fondo de inversión colectiva por encima del valor de su patrimonio.
Siempre que se encuentre establecido en el reglamento del respectivo fondo de inversión colectiva, se podrán realizar las siguientes operaciones de naturaleza apalancada:
1. Ventas en corto.
2. Repos pasivos y simultáneas pasivas.
3. Operaciones de endeudamiento.
4. Operaciones sobre instrumentos financieros derivados.
5. Cuentas de margen.
PARÁGRAFO 1o. <Parágrafo modificado por el artículo 1 del Decreto 1266 de 2015. El nuevo texto es el siguiente:> No constituyen operaciones de naturaleza apalancada:
a) <Literal modificado por el artículo 11 del Decreto 1351 de 2019. El nuevo texto es el siguiente:> Los créditos intradía y las operaciones pasivas de reporto, repo y simultáneas intradía que la sociedad administradora realice para cumplir operaciones en el mercado en nombre del fondo de inversión colectiva.
b) Los derivados con fines de cobertura;
c) Los derivados con fines de inversión definidos en el artículo 3.1.1.4.6 del presente decreto.
PARÁGRAFO 2o. <Parágrafo modificado por el artículo 21 del Decreto 765 de 2016. El nuevo texto es el siguiente:> Para efectos de los límites establecidos en el artículo 3.1.1.5.2 del presente decreto, no se computarán las operaciones de reporto o repo pasivas y simultáneas pasivas realizadas para atender solicitudes de redención de participaciones o gastos del fondo, caso en el cual no podrán exceder del 30% del activo total del fondo de inversión colectiva y no se considerarán operaciones de naturaleza apalancada.
PARÁGRAFO 3o. En relación con los fondos de inversión colectiva en los que se realicen operaciones apalancadas, la sociedad administradora de fondos de inversión colectiva o el gestor externo en caso de existir, deberán revelar en los sistemas de negociación de valores, que actúan en nombre y por cuenta del fondo respectivo, con el fin de determinar los cupos de contraparte correspondientes.
ARTÍCULO 3.1.1.5.2. LÍMITES EN LAS OPERACIONES DE NATURALEZA APALANCADA. <Artículo modificado por el artículo 1 del Decreto 1242 de 2013. El nuevo texto es el siguiente:> La exposición de las operaciones de naturaleza apalancada que celebren las sociedades administradoras de fondos de inversión colectiva o los gestores externos en caso de existir, como parte de las labores de gestión del portafolio de los fondos de inversión colectiva administrados o gestionados, no podrán superar el ciento por ciento (100%) del patrimonio del fondo de inversión colectiva.
La Superintendencia Financiera de Colombia determinará la metodología para medir la exposición de las operaciones de naturaleza apalancada de que trata el presente capítulo del presente decreto.
PARÁGRAFO. <Parágrafo adicionado por el artículo 1 del Decreto 1068 de 2014. El nuevo texto es el siguiente:> Las operaciones de las que trata el presente capítulo que sean aceptadas por una cámara de riesgo central de contraparte para su compensación y liquidación como contraparte central, no estarán sujetas a los límites establecidos en el presente artículo, sino al reglamento de la respectiva cámara de riesgo central de contraparte.
ARTÍCULO 3.1.1.5.3. LÍMITES MÍNIMOS PARA INVERSIONISTAS DE FONDOS DE INVERSIÓN COLECTIVA QUE REALICEN OPERACIONES DE NATURALEZA APALANCADA. <Artículo modificado por el artículo 1 del Decreto 1242 de 2013. El nuevo texto es el siguiente:> En los fondos de inversión colectiva en los que el reglamento permita operaciones apalancadas, la participación mínima por inversionista nunca podrá ser inferior a la suma equivalente a doscientos salarios mínimos legales mensuales vigentes (200 smlmv).
ARTÍCULO 3.1.1.5.4. CRITERIOS PARA LA REALIZACIÓN DE OPERACIONES APALANCADAS. <Artículo modificado por el artículo 1 del Decreto 1242 de 2013. El nuevo texto es el siguiente:> Las operaciones de naturaleza apalancada de que trata el artículo 3.1.1.5.1 del presente decreto deberán cumplir con los siguientes criterios:
1. Que se haya consagrado de forma expresa y clara en el reglamento y en el prospecto, la autorización dada a la sociedad administradora de fondos de inversión colectiva o al gestor externo en caso de existir, para realizar dichas operaciones.
2. Mantener recursos disponibles para atender oportuna y suficientemente los llamados al margen o el requerimiento de garantías.
3. Revelar claramente los riesgos inherentes al fondo de inversión colectiva y a las operaciones de naturaleza apalancada, incluyendo de manera expresa en el reglamento, en el prospecto y en el material promocional, la denominación “fondo de inversión colectiva de naturaleza apalancada” y la siguiente advertencia: “Las operaciones apalancadas son operaciones de naturaleza especulativa, sujetas a riesgos de mercado, de crédito y de liquidez, que pueden conllevar a la pérdida completa de los recursos aportados al fondo de inversión colectiva. Los dineros entregados por el fondo de inversión colectiva no son depósitos, ni generan para la sociedad autorizada las obligaciones propias de una institución de depósito”.
4. Cuando los fondos de inversión colectiva realicen las operaciones de naturaleza apalancada de que trata el presente artículo, deberán incluir en el nombre del mismo la denominación “apalancado”, así como anunciar de manera expresa y previa a los inversionistas que dicho fondo de inversión colectiva realiza operaciones de tal naturaleza.
5. La sociedad administradora de fondos de inversión colectiva o el distribuidor especializado en caso de existir, deberá tomar las medidas necesarias para asegurarse de que los inversionistas conocen y comprenden la naturaleza del riesgo que están asumiendo.
6. Para el caso de las cuentas de margen, la sociedad administradora o el gestor externo en caso de existir, podrán ser el operador de las cuentas de margen que adelante el fondo de inversión colectiva si su régimen legal se lo permite. De lo contrario, deberá contratar a una sociedad autorizada para el efecto.
PARTICIPACIONES.
ARTÍCULO 3.1.1.6.1. CONSTITUCIÓN DE PARTICIPACIONES. <Artículo modificado por el artículo 1 del Decreto 1242 de 2013. El nuevo texto es el siguiente:> Las participaciones en el fondo de inversión colectiva se constituirán una vez el inversionista realice la entrega efectiva y la plena identificación de la propiedad de los recursos correspondientes.
La sociedad administradora de fondos de inversión colectiva deberá entregar en el mismo acto la constancia documental de la entrega de los recursos y, a más tardar al día hábil siguiente, deberá poner a disposición del inversionista el documento representativo de su inversión con la indicación del número de unidades correspondientes a su participación en el respectivo fondo de inversión colectiva.
La Superintendencia Financiera de Colombia definirá el contenido mínimo de la información que la sociedad administradora de fondos de inversión colectiva deberá entregar al inversionista sobre la constitución de las participaciones, incluido el documento representativo de las participaciones.
PARÁGRAFO 1o. En los fondos de inversión colectiva cerrados, los inversionistas podrán comprometerse a suscribir participaciones a través de una promesa en la cual se obliguen incondicionalmente a pagar una determinada suma de dinero en las condiciones establecidas en el reglamento, de acuerdo con las necesidades de capital del respectivo fondo de inversión colectiva cerrado.
PARÁGRAFO 2o. El reglamento de los fondos de inversión colectiva cerrados podrá establecer que se acepten aportes en especie, de conformidad con la política de inversiones, en cuyo caso se deberán establecer en el reglamento los criterios aplicables para la valoración de los aportes en especie.
ARTÍCULO 3.1.1.6.2. LÍMITES A LA PARTICIPACIÓN POR INVERSIONISTA. <Artículo modificado por el artículo 1 del Decreto 1242 de 2013. El nuevo texto es el siguiente:> Durante la vigencia del fondo de inversión colectiva abierto sin pacto de permanencia, un solo inversionista no podrá mantener directa o indirectamente a través de una cuenta ómnibus, una participación que exceda del diez por ciento (10%) del valor del patrimonio del fondo.
En el caso de los fondos de inversión colectiva cerrados, un solo inversionista no podrá mantener directa o indirectamente a través de una cuenta ómnibus una participación que exceda del sesenta por ciento (60%) del valor del patrimonio del fondo.
PARÁGRAFO 1o. <Parágrafo modificado por el artículo 15 del Decreto 1235 de 2020. El nuevo texto es el siguiente:> Los límites establecidos en el presente artículo no se aplicarán durante el primer año de operación del fondo de inversión colectiva. En todo caso, cuando se presenten situaciones extraordinarias que afecten de manera grave la operación del fondo de inversión colectiva, la sociedad administradora del fondo de inversión colectiva podrá dejar de aplicar el presente límite de manera temporal, siempre y cuando se garanticen los derechos de los inversionistas del fondo de inversión colectiva y se informe de manera simultánea a la Superintendencia Financiera de Colombia.
PARÁGRAFO 2o. Para el caso de la distribución especializada de que trata el artículo 3.1.4.2.1 del presente decreto, los límites de que trata el presente artículo deberán ser controlados por parte de la sociedad administradora de fondos de inversión colectiva o del distribuidor especializado, en caso de existir. Para ello el inversionista deberá manifestar de manera expresa ante la sociedad administradora de fondos de inversión colectiva o el distribuidor especializado en caso de existir, que no se encuentra inmerso en dichas situaciones.
PARÁGRAFO 3o. Los límites establecidos en el presente artículo no aplicarán a la cuenta ómnibus de que trata el artículo 3.1.4.2.2 del presente decreto.
ARTÍCULO 3.1.1.6.3. DOCUMENTOS REPRESENTATIVOS DE LAS PARTICIPACIONES EN LOS FONDOS DE INVERSIÓN COLECTIVA ABIERTOS. <Artículo modificado por el artículo 1 del Decreto 1242 de 2013. El nuevo texto es el siguiente:> Los aportes de los inversionistas en los fondos de inversión colectiva abiertos estarán representados en derechos de participación, de lo cual se dejará constancia en los documentos, registros electrónicos o comprobantes que se prevean en el respectivo reglamento. Estos documentos no tendrán el carácter ni las prerrogativas propias de los títulos valores, no se consideran valores en los términos del artículo 2o. de la Ley 964 de 2005 y las normas que la reglamenten, modifiquen, sustituyan o deroguen, ni serán negociables.
Los documentos, registros electrónicos o comprobantes que representen las participaciones de esta clase de fondos de inversión colectiva deberán incluir la siguiente advertencia: “El presente documento no constituye título valor, tampoco constituye un valor, ni será negociable; tan sólo establece el valor de las participaciones en el momento en que se realiza el aporte por parte del inversionista. El valor de las participaciones depende de la valoración del portafolio a precios de mercado”.
ARTÍCULO 3.1.1.6.4. DOCUMENTOS REPRESENTATIVOS DE LAS PARTICIPACIONES EN LOS FONDOS DE INVERSIÓN COLECTIVA CERRADOS. <Artículo modificado por el artículo 1 del Decreto 1242 de 2013. El nuevo texto es el siguiente:> En los fondos de inversión colectiva cerrados, los derechos de participación de los inversionistas estarán representados en documentos que tendrán la calidad de valores en los términos del artículo 2o. de la Ley 964 de 2005 y las normas que la reglamenten, modifiquen, sustituyan o deroguen, de conformidad con lo establecido en el reglamento del fondo de inversión colectiva.
Los valores representativos de los derechos de participación de los inversionistas de los fondos de inversión colectiva cerrados podrán estar inscritos o no en el Registro Nacional de Valores y Emisores (RNVE), de conformidad con lo establecido por la sociedad administradora de fondos de inversión colectiva en el reglamento.
Cuando la sociedad administradora de fondos de inversión colectiva decida que los valores que representen la participación del respectivo fondo de inversión colectiva cerrado se negocien en sistemas de negociación de valores, deberán ser inscritos en el Registro Nacional de Valores y Emisores (RNVE) y establecerlo expresamente en el respectivo reglamento.
La sociedad administradora podrá modificar la condición de inscripción de los valores de que trata el presente artículo en el Registro Nacional de Valores y Emisores (RNVE), previa modificación del reglamento.
ARTÍCULO 3.1.1.6.5. TIPOS DE PARTICIPACIONES. <Artículo modificado por el artículo 1 del Decreto 1242 de 2013. El nuevo texto es el siguiente:> Bajo un mismo reglamento y plan de inversiones, los fondos de inversión colectiva podrán tener diferentes tipos de participaciones creadas de conformidad con los tipos de inversionistas que se vinculen al fondo de inversión colectiva. Sin perjuicio de la aplicación del principio de trato equitativo a los inversionistas que se encuentren en las mismas condiciones objetivas, cada tipo de participación podrá otorgar derechos y obligaciones diferentes a los inversionistas que las adquieran, en aspectos tales como monto de las comisiones de administración y reglas para realizar los aportes y redimir las participaciones del fondo de inversión colectiva. A su vez cada tipo de participación dará lugar a un valor de unidad independiente.
VALORACIÓN DEL FONDO DE INVERSIÓN COLECTIVA Y SUS PARTICIPACIONES.
ARTÍCULO 3.1.1.7.1. OBJETIVO DE LA VALORACIÓN Y DETERMINACIÓN DEL VALOR DE LOS FONDOS DE INVERSIÓN COLECTIVA. <Artículo modificado por el artículo 1 del Decreto 1242 de 2013. El nuevo texto es el siguiente:> La valoración de las inversiones de los fondos de inversión colectiva tiene como objetivo fundamental el cálculo, el registro contable y la revelación al mercado del valor o precio justo de intercambio al cual determinado valor, activo, título o derecho económico, podría ser negociado en una fecha determinada, de acuerdo con sus características particulares y dentro de las condiciones prevalecientes en el mercado para dicha fecha.
Para la determinación del valor de las participaciones y del valor del fondo de inversión colectiva, la Superintendencia Financiera de Colombia deberá establecer la metodología aplicable, así como la periodicidad y los mecanismos del reporte de dicha información.
ARTÍCULO 3.1.1.7.2. PROCEDIMIENTO PARA LA REDENCIÓN DE PARTICIPACIONES. <Artículo modificado por el artículo 1 del Decreto 1242 de 2013. El nuevo texto es el siguiente:> En el reglamento y en el prospecto del fondo de inversión colectiva, se deberá definir el procedimiento para la redención de las participaciones, así como el plazo máximo para su trámite, en concordancia con la política de inversión.
En todo caso, cualquier retiro o rembolso por concepto de redención de participaciones deberá calcularse con base en el valor de la participación vigente para el día en que se realice la solicitud de retiro o rembolso. Dicho valor se expresará en moneda legal con cargo a las cuentas de patrimonio y abono a cuentas por pagar.
PARÁGRAFO. Tratándose de fondos de inversión colectiva abiertos sin pacto de permanencia, el plazo para tramitar la redención no podrá superar tres (3) días hábiles, y en el caso de que estén involucrados activos internacionales dicho plazo no podrá superar cinco (5) días hábiles.
ARTÍCULO 3.1.1.7.3. SUSPENSIÓN DE REDENCIONES. <Artículo modificado por el artículo 1 del Decreto 1242 de 2013. El nuevo texto es el siguiente:> La junta directiva de la sociedad administradora de fondos de inversión colectiva podrá autorizar la suspensión de redenciones de participaciones de los fondos de inversión colectiva que administran, de conformidad con lo establecido en el respectivo reglamento. Dicha decisión deberá informarse de manera inmediata a la Superintendencia Financiera de Colombia, sustentando técnica y económicamente la decisión adoptada en beneficio de los inversionistas. Así mismo, la decisión deberá ser informada de manera inmediata, clara y precisa a los inversionistas, a través de los mecanismos que para el efecto se establezcan en el reglamento.
ARTÍCULO 3.1.1.7.4. REDENCIÓN PARCIAL Y ANTICIPADA DE PARTICIPACIONES PARA LOS FONDOS DE INVERSIÓN COLECTIVA CERRADOS. <Artículo modificado por el artículo 1 del Decreto 1242 de 2013. El nuevo texto es el siguiente:> Los fondos de inversión colectiva cerrados podrán redimir parcial y anticipadamente participaciones en los siguientes eventos, siempre y cuando sus reglamentos así lo prevean:
1. Cuando se trate de ventas anticipadas o redenciones y amortizaciones de activos ilíquidos; y
2. De manera periódica, el mayor valor de los aportes de los inversionistas de conformidad con el valor inicial de los mismos o los rendimientos de los activos del fondo de inversión colectiva.
En estos casos, la redención se realizará a prorrata de las participaciones de los inversionistas en el fondo de inversión colectiva, evento en el cual se dará aplicación a lo establecido en el artículo 3.1.1.7.2 del presente decreto.
ARTÍCULO 3.1.1.7.5. DISTRIBUCIÓN DEL MAYOR VALOR DE LOS APORTES EN FONDOS DE INVERSIÓN COLECTIVA CERRADOS. <Artículo modificado por el artículo 1 del Decreto 1242 de 2013. El nuevo texto es el siguiente:> Los reglamentos de los fondos de inversión colectiva cerrados podrán prever la posibilidad de distribuir el mayor valor de los aportes mediante la reducción del valor de la unidad.
En todos los casos se entenderá que la reducción del valor de los aportes no podrá conllevar la reducción del valor inicial del derecho pactado en el respectivo reglamento.
En el reglamento se determinarán las condiciones bajo las cuales se podrá realizar la distribución de que trata el presente artículo.
GASTOS Y COMISIONES.
ARTÍCULO 3.1.1.8.1. GASTOS A CARGO DEL FONDO DE INVERSIÓN COLECTIVA. <Artículo modificado por el artículo 1 del Decreto 1242 de 2013. El nuevo texto es el siguiente:> Sólo podrán imputarse al fondo de inversión colectiva los gastos que sean necesarios para el funcionamiento y gestión del mismo, tales como:
1. El costo del contrato de depósito de los valores que componen el portafolio del fondo de inversión colectiva.
2. El costo del contrato de custodia de los valores que hagan parte del portafolio del fondo de inversión colectiva.
3. La remuneración de la sociedad administradora del fondo de inversión colectiva y del gestor externo en caso de existir.
4. Los honorarios y gastos en que haya de incurrirse para la defensa de los intereses del fondo de inversión colectiva, cuando las circunstancias así lo exijan.
5. El valor de los seguros y amparos de los activos del fondo de inversión colectiva, distintos de la cobertura a que se refiere el artículo 3.1.1.3.4 del presente decreto.
6. Los gastos bancarios que se originen en el depósito y transferencia de los recursos del fondo de inversión colectiva.
7. Los gastos en que se incurra para la citación y celebración de las asambleas de los inversionistas.
8. Los tributos que gravan directamente los valores, los activos o los ingresos del fondo de inversión colectiva.
9. El costo de la inscripción de los valores representativos de derechos de participación en el Registro Nacional de Valores y Emisores (RNVE), y en la bolsa de valores, si hay lugar a ello.
10. Los honorarios y gastos causados por la revisoría fiscal del fondo de inversión colectiva.
11. Los correspondientes al pago de comisiones relacionados con la adquisición o enajenación de activos y la realización de operaciones, así como la participación en sistemas de negociación o de registro.
12. Los intereses y demás rendimientos financieros que deban cancelarse por razón de operaciones de reporto o repo pasivos, simultáneas pasivas y transferencias temporales de valores y para el cubrimiento de los costos de otras operaciones apalancadas que se encuentren autorizadas.
13. Los derivados de la calificación del fondo de inversión colectiva, sin perjuicio de lo establecido en el artículo 3.1.1.3.6 del presente decreto.
14. Los gastos en que se incurra por concepto de coberturas o derivados.
15. Las cuotas de administración de inmuebles en el caso de los fondos de inversión colectiva inmobiliarios.
16. El costo de los servicios y de los seguros que se contraten en relación con los inmuebles y proyectos inmobiliarios, en el caso de los fondos de inversión colectiva inmobiliaria.
PARÁGRAFO 1o. En el reglamento deberán relacionarse de forma pormenorizada todos los gastos a cargo del fondo de inversión colectiva. Los gastos no relacionados se entenderán a cargo de la sociedad administradora de fondos de inversión colectiva.
PARÁGRAFO 2o. En los fondos de inversión colectiva en los cuales hay tipos de participación diferenciales, los gastos y obligaciones que no sean atribuibles expresamente a dicha diferenciación serán asumidos a prorrata por la totalidad de los inversionistas del fondo de inversión colectiva.
ARTÍCULO 3.1.1.8.2. REMUNERACIÓN DE LA SOCIEDAD ADMINISTRADORA DE FONDOS DE INVERSIÓN COLECTIVA. <Artículo modificado por el artículo 1 del Decreto 1242 de 2013. El nuevo texto es el siguiente:> La sociedad administradora de fondos de inversión colectiva percibirá como único beneficio por su gestión de administración del fondo de inversión colectiva, la remuneración que se establezca en el respectivo reglamento. La metodología y los parámetros relevantes para la determinación de dicha remuneración deberán establecerse de forma previa y fija de tal manera que su determinación no varíe según el criterio de la sociedad administradora de fondos de inversión colectiva y se causará con la misma periodicidad que la establecida para la valoración del fondo de inversión colectiva.
El reglamento establecerá la forma de remuneración de la sociedad administradora de fondos de inversión colectiva, incluyendo la posibilidad de que esta se defina como un porcentaje calculado sobre los rendimientos del portafolio del fondo de inversión colectiva.
PARÁGRAFO 1o. La sociedad administradora de fondos de inversión colectiva deberá revelar al mercado y a los inversionistas la rentabilidad de las participaciones de los fondos de inversión colectiva administrados con la misma periodicidad con que se haga la valoración de los mismos, de conformidad con las reglas que para el efecto establezca la superintendencia financiera de colombia.
PARÁGRAFO 2o. En los fondos de inversión colectiva cerrados, para determinar el valor de la remuneración de la sociedad administradora de fondos de inversión colectiva se podrá estipular, en el reglamento, que se tendrá en cuenta el valor de los recursos comprometidos.
REVELACIÓN DE INFORMACIÓN.
ARTÍCULO 3.1.1.9.1. MECANISMOS PARA LA REVELACIÓN DE INFORMACIÓN. <Artículo modificado por el artículo 1 del Decreto 1242 de 2013. El nuevo texto es el siguiente:> Las sociedades administradoras de fondos de inversión colectiva deben obrar de manera transparente, asegurando el suministro de información de manera veraz, imparcial, oportuna, completa, exacta, pertinente y útil.
Toda información deberá ser presentada de forma sencilla y comprensible para los inversionistas y el público en general. Las estipulaciones que impliquen limitaciones a los derechos de los inversionistas deberán ser presentadas de forma resaltada y en letra fácilmente entendible.
Las sociedades administradoras de fondos de inversión colectiva deben abstenerse de dar información ficticia, incompleta o inexacta sobre la situación de los fondos de inversión colectiva y las familias de fondos de inversión colectiva bajo su administración, o sobre sí mismas. La misma regla se aplicará a los gestores externos en caso de existir.
Las sociedades administradoras de fondos de inversión colectiva deberán mantener informados a los inversionistas sobre todos los aspectos inherentes al fondo de inversión colectiva, por lo menos a través de los siguientes mecanismos:
1. Reglamento.
2. Prospecto.
3. Ficha técnica.
4. Extracto de cuenta.
5. Informe de rendición de cuentas.
ARTÍCULO 3.1.1.9.2. MEDIOS DE SUMINISTRO DE LA INFORMACIÓN. <Artículo modificado por el artículo 1 del Decreto 1242 de 2013. El nuevo texto es el siguiente:>
<Inciso modificado el artículo 85 del Decreto 1745 de 2020. El nuevo texto es el siguiente:> La información de que tratan los numerales 1, 2 y 3 del artículo precedente deberá estar disponible, a través del sitio web que para el efecto deberá habilitar la sociedad administradora de fondos de inversión colectiva y por medios impresos, a solicitud del consumidor financiero.
La sociedad administradora de fondos de inversión colectiva deberá comunicar, de manera suficiente y adecuada a los inversionistas, la disponibilidad de la respectiva información y los mecanismos para acceder a esta.
La Superintendencia Financiera de Colombia definirá el contenido mínimo de la página web a que hace referencia el presente artículo.
ARTÍCULO 3.1.1.9.3. ADVERTENCIA. <Artículo modificado por el artículo 1 del Decreto 1242 de 2013. El nuevo texto es el siguiente:> En los mecanismos de información deberá figurar la siguiente advertencia de forma visible, clara y destacada: “Las obligaciones de la sociedad administradora del fondo de inversión colectiva relacionadas con la gestión del portafolio son de medio y no, de resultado. Los dineros entregados por los inversionistas a los fondos de inversión colectiva no son depósitos, ni generan para la sociedad administradora las obligaciones propias de una institución de depósito y no están amparados por el seguro de depósito del Fondo de Garantías de Instituciones Financieras (Fogafín), ni por ninguno otro esquema de dicha naturaleza. La inversión en el fondo de inversión colectiva está sujeta a los riesgos de inversión, derivados de la evolución de los precios de los activos que componen el portafolio del respectivo fondo de inversión colectiva”.
ARTÍCULO 3.1.1.9.4. REGLAMENTO MARCO DE FAMILIA DE FONDOS DE INVERSIÓN COLECTIVA. <Artículo modificado por el artículo 1 del Decreto 1242 de 2013. El nuevo texto es el siguiente:> Se entiende por reglamento marco de familia de fondos de inversión colectiva el documento escrito mediante el cual de forma clara y precisa se establecen las condiciones de carácter general aplicables a los fondos de inversión colectiva que integran la familia de fondos.
Dicho documento deberá estar escrito con un lenguaje claro y de fácil entendimiento sin cláusulas ambiguas, confusas o ininteligibles.
Dicho documento deberá contener como mínimo un plan estratégico de la familia de fondos de inversión colectiva, en el cual se describa de manera general el plan de negocio que la sociedad administradora de fondos de inversión colectiva tiene para la respectiva familia, los tipos de subyacentes que conformarían los fondos que hacen parte de esta, así como el término estimado para llevar a cabo dicho plan.
PARÁGRAFO. La Superintendencia Financiera de Colombia determinará el contenido mínimo del reglamento marco de la familia de fondos de inversión colectiva.
ARTÍCULO 3.1.1.9.5. REGLAMENTO DEL FONDO DE INVERSIÓN COLECTIVA. <Artículo modificado por el artículo 1 del Decreto 1242 de 2013. El nuevo texto es el siguiente:> Los fondos de inversión colectiva deberán contar con un reglamento escrito en idioma castellano y con un lenguaje claro y de fácil entendimiento, sin cláusulas abusivas, ambiguas, confusas o ininteligibles, el cual deberá ponerse a disposición de los inversionistas.
En el caso de la creación de un nuevo fondo de inversión colectiva como parte de una familia de fondos que haya sido autorizada previamente por la Superintendencia Financiera de Colombia, este deberá contar con un reglamento independiente.
El contenido del reglamento será definido por la Superintendencia Financiera de Colombia y deberá incluir por lo menos lo siguiente:
1. Aspectos generales:
a) Nombre completo, número de identificación y domicilio principal de la sociedad administradora de fondos de inversión colectiva;
b) Nombre del fondo de inversión colectiva o de la familia de fondos de inversión colectiva, de conformidad con lo señalado en esta Parte;
c) Término de duración del fondo de inversión colectiva;
d) Sede principal donde se gestiona el fondo de inversión colectiva;
e) Si hay lugar a ello, el término de duración del encargo de inversión y el procedimiento para la restitución de los aportes por vencimiento de dicho término;
f) Naturaleza del patrimonio independiente y separado conformado por los bienes entregados o transferidos a la sociedad administradora por parte del inversionista;
g) Forma de constitución y extensión de la cobertura que debe suscribir la sociedad administradora, de conformidad con lo establecido en el artículo 3.1.1.3.4 del presente decreto;
h) Indicación sobre la existencia de mecanismos que pueden proveer información para la toma de la decisión de inversión en el fondo de inversión colectiva;
i) Monto mínimo de suscriptores y de aportes requerido por el fondo de inversión colectiva para iniciar operaciones; y
j) Si es el caso, el monto máximo de recursos que podrá recibir el fondo de inversión colectiva.
2. Política de inversión del fondo de inversión colectiva o de la familia de fondos de inversión colectiva en los términos señalados en la presente parte, indicando el tipo de fondo de inversión colectiva y una descripción del perfil de riesgo. Así mismo, deberá contener la definición de funciones y la conformación del comité de inversiones.
3. Mecanismos de seguimiento y control del fondo de inversión colectiva, incluyendo información relacionada con los órganos de administración, asesoría y control establecidos en esta Parte.
4. Constitución y redención de participaciones:
a) Procedimiento para la constitución y redención de participaciones, incluyendo el monto mínimo requerido para la vinculación y permanencia en el fondo de inversión colectiva y el plazo para los desembolsos;
b) Porcentaje máximo de participación que un sólo inversionista, por sí o por interpuesta persona, podrá poseer en el fondo de inversión colectiva de conformidad con lo dispuesto en la presente Parte;
c) Naturaleza y características de los documentos, registros electrónicos, comprobantes o títulos que representen las participaciones, de conformidad con la clase de fondo de inversión colectiva de que se trate;
d) La bolsa o bolsas de valores en las cuales se inscribirán las participaciones, cuando a ello haya lugar;
e) Tratándose de fondos de inversión colectiva cerrados, deberá estipularse de manera expresa si se permitirá la distribución parcial y anticipada de participaciones y las condiciones para tal fin;
f) Descripción de los eventos en los cuales la asamblea de inversionistas podrá aprobar la suspensión de redenciones de las participaciones, indicando las implicaciones de esta medida y los procedimientos que permitan restablecer las condiciones que habiliten la redención. Cualquier suspensión deberá ser informada por escrito de inmediato a la Superintendencia Financiera de Colombia, y
g) Explicación del procedimiento técnico mediante el cual se establecerá el valor del fondo de inversión colectiva y el valor de las participaciones.
5. Relación pormenorizada de los gastos a cargo del fondo de inversión colectiva y la preferencia con que se cubrirán. Dentro de la descripción del gasto por la remuneración de la administración que percibirá la sociedad administradora del fondo de inversión colectiva, así como respecto de la remuneración del gestor externo en caso de existir, deberá establecerse en forma clara y completa su metodología de cálculo y la forma de pago; así mismo, los criterios objetivos que la sociedad administradora aplicará para la escogencia y remuneración de intermediarios para la realización de operaciones del fondo de inversión colectiva, cuando tales intermediarios sean necesarios.
6. Facultades, derechos y obligaciones de la sociedad administradora, del gestor externo en caso de existir, y de los inversionistas.
7. Reglas aplicables a la asamblea de inversionistas, incluyendo los procedimientos para su convocatoria y las decisiones que podrá tomar.
8. Identificación y descripción del perfil del gestor externo en caso de que exista, sus funciones, obligaciones, remuneración y el régimen de inhabilidades e incompatibilidades. Así como las condiciones que regirán la relación contractual entre la sociedad administradora y el gestor externo.
9. Identificación del custodio y la descripción de sus funciones, obligaciones y remuneración.
10. Mecanismos de revelación de información del fondo de inversión colectiva, señalando los medios para su publicación.
11. Causales y procedimiento para la liquidación del fondo de inversión colectiva.
ARTÍCULO 3.1.1.9.6. MODIFICACIONES AL REGLAMENTO. <Artículo modificado por el artículo 1 del Decreto 1242 de 2013. El nuevo texto es el siguiente:> Las reformas que se introduzcan en el reglamento de los fondos de inversión colectiva o en el reglamento marco de la familia de fondos de inversión colectiva deberán ser aprobadas previamente por la junta directiva de la sociedad administradora y enviadas a la Superintendencia Financiera de Colombia, de forma previa a su entrada en vigencia, la cual podrá solicitar en cualquier tiempo los ajustes que estime necesarios.
Cuando dichas reformas impliquen modificaciones o afectación de los derechos económicos de los inversionistas, deberán ser autorizadas previamente por la Superintendencia Financiera de Colombia. En este caso se deberá informar a los inversionistas mediante una publicación en un diario de amplia circulación nacional, así como mediante el envío de una comunicación dirigida a cada uno de los inversionistas, indicando las reformas que serán realizadas y la posibilidad que tienen de retirarse del fondo de inversión colectiva en los términos que a continuación se indican. Dicha comunicación podrá ser enviada conjuntamente con el extracto o por correo electrónico a la dirección que los inversionistas hayan registrado en la sociedad administradora.
Con independencia de la modalidad del fondo de inversión colectiva, los inversionistas que manifiesten formalmente a la sociedad administradora su desacuerdo con las modificaciones podrán solicitar la redención de sus participaciones sin que por este hecho se genere sanción ni penalidad de ningún tipo. Este derecho podrá ejercerse en un plazo máximo de un (1) mes contado a partir de la fecha del recibo efectivo de la comunicación a que se refiere el inciso anterior.
Los cambios que impliquen modificación o afectación de los derechos económicos de los inversionistas solo serán oponibles a dichos inversionistas, una vez se venza el plazo establecido en el inciso anterior.
ARTÍCULO 3.1.1.9.7. PROSPECTO. <Artículo modificado por el artículo 1 del Decreto 1242 de 2013. El nuevo texto es el siguiente:> Las sociedades administradoras deberán implementar la figura del prospecto para la comercialización de los fondos de inversión colectiva bajo su administración. El prospecto deberá darse a conocer previamente a la vinculación de los inversionistas, dejando constancia del recibo de la copia del mismo y la aceptación y entendimiento de la información allí consignada. Lo cual podrá realizarse también por medio electrónico, siempre y cuando se cumpla con los requisitos de recibo de la información, su aceptación y entendimiento en los términos que establezca el reglamento.
El prospecto deberá estar escrito en idioma castellano, con un lenguaje claro y de fácil entendimiento, guardar concordancia con la información del reglamento y no contener afirmaciones que puedan inducir a error a los clientes. Además, debe contener en un mensaje claro y visible, el ofrecimiento de la sociedad administradora de entregar el reglamento cuando el cliente lo solicite, si considera que requiere una mayor información.
El prospecto deberá contener como mínimo:
1. Información general del fondo de inversión colectiva.
2. Política de inversión del fondo de inversión colectiva, indicando el tipo de fondo de inversión colectiva y una descripción de su perfil de riesgo.
3. Información económica del fondo de inversión colectiva, donde se incluya la forma, valor y cálculo de la remuneración a pagar a la sociedad administradora, así como la remuneración del gestor externo, en caso de existir, e información sobre los demás gastos que puedan afectar la rentabilidad del fondo de inversión colectiva.
4. Información operativa del fondo de inversión colectiva, incluyendo la indicación de los contratos de uso de red de oficinas y de corresponsalía local que haya suscrito la sociedad administradora, vigentes al momento de la expedición del prospecto.
5. Medios de reporte de información a los inversionistas y al público en general.
6. Identificación de la entidad que actúa como custodio de valores en caso de que haya.
7. Los demás aspectos que establezca la superintendencia financiera de Colombia.
8. Identificación del gestor externo o gestor extranjero, en caso de que los haya.
PARÁGRAFO. La Superintendencia Financiera de Colombia podrá solicitar en cualquier momento los ajustes necesarios en el prospecto para informar adecuadamente a los inversionistas.
ARTÍCULO 3.1.1.9.8. FICHA TÉCNICA DEL FONDO DE INVERSIÓN COLECTIVA. <Artículo modificado por el artículo 1 del Decreto 1242 de 2013. El nuevo texto es el siguiente:> La ficha técnica es un documento informativo estandarizado para los fondos de inversión colectiva que contendrá la información básica de cada fondo.
Corresponde a la Superintendencia Financiera de Colombia definir la periodicidad, forma y contenido de la ficha técnica.
ARTÍCULO 3.1.1.9.9. EXTRACTO DE CUENTA DEL INVERSIONISTA. <Artículo modificado por el artículo 1 del Decreto 1242 de 2013. El nuevo texto es el siguiente:> La sociedad administradora del fondo de inversión colectiva deberá entregar a los inversionistas un extracto de cuenta en donde se informe sobre el movimiento de la cuenta de cada uno de los inversionistas en el fondo de inversión colectiva, que deberá ser remitido por el medio previsto en el reglamento.
Corresponde a la Superintendencia Financiera de Colombia definir la periodicidad, y contenido mínimo del extracto de cuenta.
ARTÍCULO 3.1.1.9.10. INFORME DE RENDICIÓN DE CUENTAS. <Artículo modificado por el artículo 1 del Decreto 1242 de 2013. El nuevo texto es el siguiente:> La Sociedad Administradora de los Fondos de Inversión Colectiva deberá rendir un informe detallado y pormenorizado de la gestión de los bienes entregados o transferidos en virtud del acuerdo celebrado, entre las partes, respecto de aquello que tenga relevancia con la labor ejecutada, incluyendo el balance general del fondo de inversión colectiva y el estado de resultados del mismo.
Corresponde a la Superintendencia Financiera de Colombia definir la forma y contenido mínimo del informe de rendición de cuentas.
PARÁGRAFO. El informe de rendición de cuentas deberá hacerse por lo menos cada seis (6) meses con cortes a 30 de junio y 31 de diciembre, salvo que en el reglamento del fondo de inversión colectiva se disponga una periodicidad menor. El envío del informe deberá efectuarse en un plazo máximo de quince (15) días comunes contados desde la fecha del respectivo corte.
PROHIBICIONES Y CONFLICTOS DE INTERÉS.
ARTÍCULO 3.1.1.10.1. PROHIBICIONES. <Artículo modificado por el artículo 1 del Decreto 1242 de 2013. El nuevo texto es el siguiente:> Las sociedades administradoras de fondos de inversión colectiva y el gestor externo en caso de existir se abstendrán de realizar cualquiera de las siguientes actividades:
1. Desarrollar o promover operaciones que tengan como objetivo o resultado la evasión de los controles estatales o la evolución artificial del valor de la participación.
2. Ofrecer o administrar fondos de inversión colectiva sin estar habilitado legalmente para realizar dicha actividad o sin haber obtenido la autorización del respectivo reglamento.
3. Conceder préstamos a cualquier título con dineros del fondo de inversión colectiva, salvo tratándose de operaciones de reporto activas, simultáneas activas y de transferencia temporal de valores, en los términos del artículo 3.1.1.4.5 del presente decreto.
4. Delegar de cualquier manera las responsabilidades que como administrador o gestor del fondo de inversión colectiva le corresponden, según sea el caso, sin perjuicio de lo previsto en el artículo 3.1.3.2.1 del presente decreto.
5. Aceptar las participaciones en el fondo de inversión colectiva como garantía de créditos que hayan concedido a los inversionistas de dicho fondo de inversión colectiva.
6. <Numeral modificado el artículo 86 del Decreto 1745 de 2020. El nuevo texto es el siguiente:> Permitir, tolerar o incentivar el desarrollo de la fuerza de ventas y la promoción para el respectivo fondo de inversión colectiva, sin el cumplimiento de los requisitos previstos en el Capítulo 3 del Título 4 del presente Libro. Esta prohibición únicamente será aplicable a la Sociedad Administradora de fondos de inversión colectiva.
7. Invertir los recursos del fondo de inversión colectiva en valores cuyo emisor, avalista, aceptante o garante, o para el caso de una titularización, el originador, sea la propia sociedad administradora de fondos de inversión colectiva, o el gestor externo en caso de existir.
8. Destinar recursos, de manera directa o indirecta, para el apoyo de liquidez de la sociedad administradora de fondos de inversión colectiva, o del gestor externo en caso de existir, las subordinadas de los mismos, su matriz o las subordinadas de esta.
9. Adquirir para los fondos de inversión colectiva, sea directa o indirectamente, la totalidad o parte de los valores o títulos valores que se hayan obligado a colocar por un contrato de colocación bajo la modalidad en firme o garantizado, antes de que hubiere finalizado dicho proceso. Lo anterior no obsta para que la sociedad administradora de fondos de inversión colectiva adquiera para el fondo de inversión colectiva, títulos o valores de aquellos que se ha obligado a colocar, una vez finalice el proceso de colocación.
10. Identificar un producto con la denominación fondo de inversión colectiva, sin el cumplimiento de las condiciones establecidas en esta Parte del presente decreto.
11. Actuar, directa o indirectamente como contraparte del fondo de inversión colectiva que administra, en desarrollo de los negocios que constituyen el giro ordinario de este. lo establecido en el presente numeral también resulta aplicable para la realización de operaciones entre fondos de inversión colectiva, fideicomisos o portafolios administrados por la misma sociedad, o gestionados por el gestor externo en caso de existir.
12. Utilizar, directa o indirectamente, los activos de los fondos de inversión colectiva para otorgar reciprocidades que faciliten la realización de otras operaciones por parte de la sociedad administradora de fondos de inversión colectiva, del gestor externo en caso de existir, o de personas vinculadas con estos, ya sea mediante la adquisición o enajenación de valores a cualquier título, la realización de depósitos en establecimientos de crédito, o de cualquier otra forma.
13. Ejercer, directa o indirectamente, los derechos políticos de las inversiones de un fondo de inversión colectiva, en favor de la sociedad administradora de fondos de inversión colectiva o de personas vinculadas a esta, o de sujetos diferentes del propio fondo de inversión colectiva, o de uno o más inversionistas del fondo de inversión colectiva.
14. Aparentar operaciones de compra y venta de valores o demás activos que componen el portafolio del fondo de inversión colectiva.
15. Manipular el valor del portafolio de los fondos de inversión colectiva o el valor de sus participaciones.
16. No respetar la priorización o prelación de órdenes de negocios en beneficio de la sociedad administradora de fondos de inversión colectiva, del gestor externo en caso de existir, de sus matrices, subordinadas, otros fondos de inversión colectiva administrados por la sociedad administradora, o gestionados por el gestor externo en caso de existir, o de terceros en general.
17. <Numeral modificado por el artículo 2 del Decreto 1266 de 2015. El nuevo texto es el siguiente:> Obtener préstamos a cualquier título para la realización de los negocios del fondo de inversión colectiva, salvo cuando ello corresponda a las condiciones de la respectiva emisión para los títulos adquiridos en el mercado primario o se trate de programas de privatización o democratización de sociedades; o en el caso de las operaciones de las que trata el literal a) del parágrafo 1o del artículo 3.1.1.5.1 del presente decreto.
18. <Numeral modificado por el artículo 16 del Decreto 1235 de 2020. El nuevo texto es el siguiente:> Dar en prenda, otorgar avales o establecer cualquier otro gravamen que comprometa los activos del fondo de inversión colectiva; no obstante, podrán otorgar garantías que respalden las operaciones de derivados, reporto o repo, simultáneas y de transferencia temporal de valores, incluidas la constitución de las garantías para el cumplimiento de las operaciones realizadas en las bolsas de valores, los sistemas de negociación de valores y los sistemas de registro de operaciones sobre valores autorizados por la Superintendencia Financiera de Colombia, y las demás que se compensen y liquiden a través de una cámara de riesgo central de contraparte sometida a la inspección y vigilancia de la Superintendencia Financiera de Colombia, así como para amparar las obligaciones previstas en el numeral anterior y las de apalancamiento que se realicen con arreglo a lo dispuesto sobre el particular en esta Parte del presente decreto. El presente numeral no aplicará para los fondos de inversión colectiva cuyos activos sean inmuebles.
19. Comprar o vender para el fondo de inversión colectiva, directa o indirectamente, activos que pertenezcan a los socios, representantes legales o empleados de la sociedad administradora de fondos de inversión colectiva, o del gestor externo en caso de existir, o a sus cónyuges, compañeros permanentes, parientes dentro del segundo grado de consanguinidad, segundo de afinidad y único civil, o a sociedades en que estos sean beneficiarios reales del veinticinco por ciento (25%) o más del capital social.
ARTÍCULO 3.1.1.10.2. SITUACIONES DE CONFLICTOS DE INTERÉS. <Artículo modificado por el artículo 1 del Decreto 1242 de 2013. El nuevo texto es el siguiente:> Se entenderán como situaciones generadoras de conflictos de interés, que deben ser administradas y reveladas por las sociedades administradoras de fondos de inversión colectiva, y por el gestor externo en caso de que exista, entre otras:
1. La celebración de operaciones donde concurran las órdenes de inversión de varios fondos de inversión colectiva, fideicomisos o portafolios administrados por una misma sociedad, o gestionados por un mismo gestor externo en caso de existir, sobre los mismos valores o derechos de contenido económico, caso en el cual se deberá realizar una distribución de la inversión sin favorecer ninguno de los fondos de inversión colectiva partícipes, en detrimento de los demás, según se establezca en el código de gobierno corporativo.
2. La inversión directa o indirecta que la Sociedad Administradora de Fondos de Inversión Colectiva, o el gestor externo en caso de existir, pretenda hacer en los fondos de inversión colectiva que administra o gestiona, según el caso, evento en el cual, en el reglamento y en el prospecto, deberá establecerse expresamente: a) el porcentaje máximo de participaciones que la respectiva entidad podrá suscribir, el cual nunca podrá superar el quince por ciento (15%) del valor del fondo de inversión al momento de hacer la inversión; y b) que la Sociedad Administradora, o el gestor externo en caso de existir, deberá conservar las participaciones que haya adquirido durante un plazo mínimo de un (1) año cuando el término de duración del Fondo de Inversión Colectiva sea superior a dicho plazo, o durante la mitad del término previsto para la duración del fondo de inversión colectiva cuando este sea inferior a un (1) año.
3. La inversión directa o indirecta de los recursos del fondo de inversión colectiva en valores cuyo emisor, avalista, aceptante, garante u originador de una titularización sea la matriz, las subordinadas de esta o las subordinadas de la sociedad administradora, o del gestor externo en caso de existir. Esta inversión solo podrá efectuarse a través de sistemas de negociación de valores debidamente autorizados por la Superintendencia Financiera de Colombia.
Salvo en el caso de los fondos bursátiles, el monto de los recursos invertidos en los valores de que trata el presente numeral no podrá ser superior al diez por ciento (10%) de los activos del respectivo fondo de inversión colectiva, o hasta el treinta por ciento (30%) siempre y cuando la asamblea de inversionistas así lo autorice.
En todo caso la sociedad administradora podrá conformar fondos de inversión colectiva constituidos con valores emitidos por un único emisor, en cuyo caso la inversión representará como mínimo un ochenta (80%) del valor de los activos del respectivo fondo de inversión colectiva. El porcentaje restante deberá ser invertido en fondos del mercado monetario o en depósitos a la vista en establecimientos de crédito vigilados por la Superintendencia Financiera de Colombia. Para constituir esta modalidad de fondos de inversión colectiva, los inversionistas podrán hacer aportes en especie consistentes en los valores que constituyen el objeto principal del fondo de inversión colectiva.
4. La realización de depósitos en cuentas corrientes o de ahorros en la matriz o las subordinadas de esta. En ningún caso el monto de estos depósitos podrá exceder del diez por ciento (10%) del valor de los activos del respectivo fondo de inversión colectiva. Prohibición que no aplicará durante los primeros seis (6) meses de operación del fondo de inversión colectiva, en cuyo caso el monto de los depósitos mencionados en el presente numeral no podrá superar el treinta por ciento (30%) del valor de los activos del respectivo fondo de inversión colectiva.
5. Tratándose de fondos de inversión colectiva que tengan apalancamiento, la celebración de operaciones apalancadas para el fondo de inversión colectiva, directa o indirectamente, con la matriz, las subordinadas de esta o las subordinadas de la sociedad administradora, o del gestor externo en caso de existir, caso en el cual el monto de las operaciones apalancadas nunca podrá ser superior al diez por ciento (10%) de los activos del fondo de inversión colectiva.
6. Tratándose de fondos de inversión colectiva inmobiliarios:
a) La celebración de operaciones de crédito para el fondo de inversión colectiva inmobiliario, directa o indirectamente, con la matriz, las subordinadas de esta o las subordinadas de la sociedad administradora, o del gestor externo en caso de existir, caso en el cual el monto del crédito nunca podrá ser superior al diez por ciento (10%) de los activos del respectivo fondo, y
b) La realización de aportes en activos admisibles por parte de: i) la matriz de la Sociedad Administradora del fondo de inversión colectiva inmobiliaria, o las sociedades subordinadas de aquella; h) los accionistas de la sociedad administradora que no tengan la calidad de matriz de esta; iii) el gestor externo del mismo fondo, si lo hubiere, sus socios o administradores, o iv) otras sociedades en las cuales las personas mencionadas en los numerales ii) y iii) precedentes sean individual o conjuntamente, de manera directa o indirecta, beneficiarios reales del veinticinco por ciento (25%) o más del capital social, caso en el cual deberá efectuarse la revelación en la forma indicada en el parágrafo del artículo 3.5.1.1.5.
PARÁGRAFO. Para efectos de los límites previstos en los numerales 3, 4, 5 y 6 del presente artículo, se incluirá a las entidades vinculadas que la Superintendencia Financiera de Colombia defina para efectos de consolidación de operaciones y de estados financieros de entidades sujetas a su supervisión, con otras entidades sujetas o no a su supervisión.
PARÁGRAFO 2o. <Parágrafo adicionado por el artículo 17 del Decreto 1235 de 2020. El nuevo texto es el siguiente:> Cuando se presenten situaciones extraordinarias que afecten de manera grave la operación del fondo de inversión colectiva, la sociedad administradora del fondo podrá sobrepasar temporalmente el límite fijado en el numeral 2 del presente artículo, siempre y cuando se garanticen los derechos de los inversionistas del fondo de inversión colectiva y se informe de manera simultánea a la Superintendencia Financiera de Colombia
FUSIÓN, CESIÓN Y LIQUIDACIÓN DE LOS FONDOS DE INVERSIÓN COLECTIVA.
FUSIÓN Y CESIÓN.
ARTÍCULO 3.1.2.1.1. PROCEDIMIENTO PARA LA REALIZACIÓN DE LA FUSIÓN. <Artículo modificado por el artículo 1 del Decreto 1242 de 2013. El nuevo texto es el siguiente:> Podrán fusionarse dos o más fondos de inversión colectiva, pertenezcan o no a familias de fondos de inversión colectiva, siempre que se adelante el siguiente procedimiento:
1. Elaboración del proyecto de fusión con la siguiente información:
a) Los datos financieros y económicos de cada uno de los fondos de inversión colectiva objeto de la fusión, con sus respectivos soportes, y
b) Un anexo explicativo sobre los mecanismos que se utilizarán para nivelar el valor de la unidad de los fondos de inversión colectiva a fusionar, incluyendo la relación de intercambio.
2. Aprobación del proyecto de fusión por la junta directiva de la sociedad administradora de fondos de inversión colectiva involucrada; en caso de existir varias sociedades administradoras, deberá ser aprobado por las juntas directivas correspondientes.
3. Una vez aprobado el compromiso, se deberá realizar la publicación en un diario de amplia circulación nacional del resumen del compromiso de fusión.
4. Se deberá convocar a la asamblea de inversionistas mediante una comunicación escrita acompañada del compromiso de fusión. La asamblea deberá realizarse luego de transcurridos quince (15) días hábiles al envío de la comunicación a los inversionistas. Para la realización de la asamblea, serán aplicables las normas previstas para la asamblea general de accionistas establecidas en la legislación mercantil en lo que resulte aplicable.
Los inversionistas que no estén de acuerdo con el compromiso de fusión o los que no asistan a la asamblea en la que se decida la fusión podrán ejercer el derecho de solicitar la redención de sus participaciones consagrado en el inciso tercero del artículo 3.1.1.9.6 del presente decreto, en cuyo caso, el término de un (1) mes se contará desde el día de la celebración de la asamblea de inversionistas.
5. Una vez aprobado el compromiso de fusión por las asambleas de inversionistas, se informará a la Superintendencia Financiera de Colombia de dicho compromiso, mediante comunicación escrita a la cual se deberá anexar el proyecto de fusión aprobado y las actas resultantes de las asambleas y reuniones de juntas directivas.
PARÁGRAFO 1o. En caso de que, por virtud de la fusión, resulte un nuevo fondo de inversión, este deberá ajustarse a lo previsto en esta Parte del presente decreto.
PARÁGRAFO 2o. El procedimiento establecido en el presente artículo deberá ser aplicado en todos los casos de cambio de la sociedad administradora en que no medie la decisión de los inversionistas.
PARÁGRAFO 3o. Cuando la fusión de dos o más fondos de inversión colectiva se realice entre fondos administrados por diferentes sociedades administradoras de fondos de inversión colectiva, dicha fusión deberá ser autorizada por la Superintendencia Financiera de Colombia.
ARTÍCULO 3.1.2.1.2. PROCEDIMIENTO PARA LA CESIÓN. <Artículo modificado por el artículo 1 del Decreto 1242 de 2013. El nuevo texto es el siguiente:> Las sociedades administradoras de fondos de inversión colectiva podrán ceder la administración de un fondo de inversión colectiva o de una familia de fondos de inversión colectiva a otra administradora legalmente autorizada, independientemente de su modalidad, por decisión de la junta directiva, con sujeción a las reglas que se indican a continuación:
1. La cesión deberá ser autorizada por la Superintendencia Financiera de Colombia.
2. El cesionario debe anexar a la solicitud de autorización la documentación a que se refieren los numerales 3, 5 y 6 del artículo 3.1.1.3.2 de este decreto.
3. El cedente y el cesionario podrán tener naturaleza jurídica distinta.
4. Autorizada la cesión por la Superintendencia Financiera de Colombia, deberá informarse a los inversionistas participantes, en la forma prevista en el artículo 3.1.1.9.6 de este decreto para las modificaciones al reglamento.
5. Los inversionistas participantes deberán expresar su rechazo o aceptación dentro de los treinta (30) días siguientes a la fecha de publicación del aviso de cesión. De no recibirse respuesta dentro del término fijado se entenderá aceptada la cesión. Los inversionistas que manifiesten su desacuerdo con la cesión podrán solicitar ejercer el derecho de solicitar la redención de sus participaciones consagrado en el inciso tercero del artículo 3.1.1.9.6 del presente decreto, sin que por este hecho se genere sanción ni penalidad de ningún tipo.
LIQUIDACIÓN.
ARTÍCULO 3.1.2.2.1. CAUSALES DE LIQUIDACIÓN. <Artículo modificado por el artículo 1 del Decreto 1242 de 2013. El nuevo texto es el siguiente:> Son causales de liquidación de un fondo de inversión colectiva:
1. El vencimiento del término de duración.
2. La decisión válida de la asamblea de inversionistas de liquidar el fondo de inversión colectiva.
3. La decisión motivada técnica y económicamente de la junta directiva de la sociedad administradora de fondos de inversión colectiva de liquidar el fondo de inversión colectiva.
4. Cualquier hecho o situación que ponga a la sociedad administradora de fondos de inversión colectiva en imposibilidad definitiva de continuar desarrollando su objeto social; así como, en el caso de que exista gestor externo y no resulte viable su remplazo en condiciones que aseguren la normal continuidad de la marcha del fondo de inversión colectiva gestionado.
5. Cuando el patrimonio del fondo de inversión colectiva esté por debajo del monto mínimo establecido en el artículo 3.1.1.3.5 del presente decreto.
6. La toma de posesión de la sociedad administradora de fondos de inversión colectiva, o del gestor externo, en caso de existir, y cuando no resulte viable su remplazo en condiciones que aseguren la normal continuidad del fondo de inversión colectiva gestionado.
7. No cumplir con lo establecido en el artículo 3.1.1.6.2 del presente decreto. Esta causal podrá ser enervada durante un período máximo de dos (2) meses, y
8. Las demás previstas en el respectivo reglamento.
PARÁGRAFO 1o. Las causales previstas en los numerales 5 y 7 solo serán aplicables después de seis (6) meses de que el fondo de inversión colectiva entre en operación.
PARÁGRAFO 2o. Cuando se presente alguna de las causales de liquidación previstas anteriormente, la sociedad administradora de fondos de inversión colectiva deberá comunicarla inmediatamente a la Superintendencia Financiera de Colombia, y a las bolsas de valores y a las entidades administradoras de los diferentes sistemas de negociación de valores en los que se encuentren inscritos los valores respectivos, cuando haya lugar a ello. A los inversionistas se les comunicará el acaecimiento de la causal de liquidación del fondo de inversión colectiva por los medios previstos en el reglamento.
Estas comunicaciones deberán realizarse a más tardar al día siguiente de la ocurrencia de la causal.
ARTÍCULO 3.1.2.2.2. PROCESO LIQUIDATARIO. <Artículo modificado por el artículo 1 del Decreto 1242 de 2013. El nuevo texto es el siguiente:> La liquidación del Fondo de Inversión Colectiva se ajustará al siguiente procedimiento:
1. A partir de la fecha del acaecimiento de la causal de liquidación y mientras esta subsista, el fondo de inversión colectiva no podrá constituir nuevas participaciones ni atender redenciones. Adicionalmente, cuando haya lugar, se suspenderá la negociación de los valores emitidos por el fondo de inversión colectiva, hasta que se enerve la causal.
2. Cuando la causal de liquidación sea distinta de las previstas en los numerales 1 y 2 del artículo 3.1.2.2.1 del presente decreto, la sociedad administradora de fondos de inversión colectiva procederá a convocar a la asamblea de inversionistas que deberá celebrarse entre los cinco (5) y diez (10) días comunes siguientes a la fecha de la comunicación de la noticia de liquidación.
3. En caso de que esta asamblea no se realizare por falta del quórum previsto para el efecto, se citará nuevamente para celebrarse entre los tres (3) y seis (6) días comunes siguientes a la fecha de la asamblea fallida, pudiendo deliberar con cualquier quórum.
4. En el evento en que la liquidación haya ocurrido con base en las causales previstas en los numerales 3 y 4 del artículo 3.1.2.2.1 del presente decreto, la asamblea de inversionistas podrá decidir si entrega la administración del fondo de inversión colectiva a otra sociedad legalmente habilitada para administrar fondos de inversión colectiva, o la gestión del fondo de inversión colectiva a otro gestor externo, cuando sea el caso, eventos en los cuales solo se considerará enervada la respectiva causal de liquidación cuando la nueva sociedad administradora de fondos de inversión colectiva o el gestor externo designado acepten realizar la administración del respectivo fondo de inversión colectiva.
En este último caso, la asamblea deberá establecer las fechas y condiciones en las que se realizará el traspaso del fondo de inversión al administrador seleccionado.
5. Acaecida la causal de liquidación, si la misma no es enervada la asamblea de inversionistas deberá decidir si la sociedad administradora de fondos de inversión colectiva desarrollará el proceso de liquidación o si se designará un liquidador especial. En caso de que la asamblea no designe liquidador especial, se entenderá que la sociedad administradora de fondos de inversión colectiva adelantará la liquidación.
6. El liquidador deberá obrar con el mismo grado de diligencia, habilidad y cuidado razonables que los exigidos para la sociedad administradora de fondos de inversión colectiva en el presente decreto.
7. El liquidador procederá inmediatamente a liquidar todas las inversiones que constituyan el portafolio del fondo de inversión colectiva, en el plazo que para tal fin se haya señalado en el reglamento, término que no podrá ser superior a un (1) año.
Vencido este término, si existieren activos cuya realización no hubiere sido posible, la Asamblea de Inversionistas deberá reunirse en un lapso no mayor a cuatro (4) meses, con el fin de evaluar el informe detallado que deberá presentar el liquidador sobre las gestiones realizadas hasta la fecha, y podrá:
a) Otorgar el plazo adicional que estime conveniente para que el liquidador continúe con la gestión de liquidación de las inversiones pendientes, en cuyo caso deberá acordar las fechas en que el liquidador presentará a los inversionistas de forma individual y/o a la Asamblea de Inversionistas, informes sobre su gestión. La Asamblea de Inversionistas podrá prorrogar hasta por un (1) año el plazo adicional inicialmente otorgado en el evento en que los activos no se hayan podido liquidar en dicho plazo adicional inicial y, en todo caso, mediando informe detallado del liquidador sobre las gestiones realizadas;
<Inciso adicionado por el artículo 3 del Decreto 1984 de 2018. El nuevo texto es el siguiente:> Si durante el plazo adicional de que trata el presente literal no hubiere sido posible liquidar los activos, previo informe detallado del liquidador sobre los gastos y gestiones realizadas, la asamblea de inversionistas podrá decidir prorrogar el plazo otorgado, considerando las especiales condiciones del activo a liquidar, así como, un análisis del costo beneficio de continuar con la gestión de liquidación, y cualquier otro mecanismo que pudiera ser procedente para el pago a los inversionistas.
b) Solicitar al liquidador que los activos sean entregados en pago a los inversionistas en proporción a sus participaciones. Para realizar esta solicitud, la Asamblea de Inversionistas podrá reunirse en cualquier tiempo;
c) Tomar las decisiones que considere pertinentes para lograr la liquidación de las inversiones y la adecuada protección de los derechos de los inversionistas.
8. Una vez liquidadas todas las inversiones se procederá de inmediato a cancelar a los inversionistas las participaciones, en un término no mayor de quince (15) días hábiles siguientes al vencimiento del plazo previsto en el numeral.
9. Si vencido el período máximo de pago de las participaciones existieren sumas pendientes de retiro a favor de los inversionistas, se seguirá el siguiente procedimiento:
a) Si el inversionista ha informado a la sociedad administradora de fondos de inversión colectiva, por medio escrito, una cuenta bancaria para realizar depósitos o pagos, el liquidador deberá consignar el valor pendiente de retiro en dicha cuenta;
b) De no ser posible la consignación a que hace referencia el literal anterior, y en caso de que el inversionista haya señalado e identificado, por medio escrito, un mandatario para el pago o un beneficiario, el liquidador realizará el pago de los aportes pendientes de retiro a dicha persona, y
c) Ante la imposibilidad de realizar el pago de conformidad con alguno de los literales anteriores, se dará aplicación al artículo 249 del Código de Comercio.
PARÁGRAFO. Para los fondos de inversión colectiva cuyos documentos representativos de participación sean valores, en los términos de esta Parte del presente decreto, una vez entren en proceso de liquidación, se deberá suspender la negociación de dichos valores, para lo cual la sociedad administradora informará de manera inmediata a la Superintendencia Financiera de Colombia y a la bolsa de valores o sistemas de negociación de valores en los que se encuentren inscritos.
Una vez producido el informe de finalización de actividades que el liquidador deberá presentar a la Asamblea de Inversionistas, la Superintendencia Financiera de Colombia procederá a cancelar la inscripción de dichos valores en el Registro Nacional de Valores e Emisores (RNVE), cuando sea del caso.
Si realizadas las diligencias de convocatoria no fuere posible reunir a la asamblea de inversionistas, el liquidador deberá presentar su informe final a la Superintendencia Financiera de Colombia y en todo caso lo enviará a la última dirección registrada de los inversionistas, por los medios que establezca el reglamento.
ACTIVIDADES.
ACTIVIDAD DE ADMINISTRACIÓN DE FONDOS DE INVERSIÓN COLECTIVA.
ARTÍCULO 3.1.3.1.1. ACTIVIDADES. <Artículo modificado por el artículo 1 del Decreto 1242 de 2013. El nuevo texto es el siguiente:> En el ejercicio de la administración de los fondos de inversión colectiva, la sociedad administradora de fondos de inversión colectiva podrá contratar a terceros para que estos ejecuten las actividades de gestión y distribución de fondos de inversión colectiva en los términos de la presente parte del presente decreto.
<Inciso modificado el artículo 87 del Decreto 1745 de 2020. El nuevo texto es el siguiente:> Con respecto a la actividad de custodia de valores, esta deberá ser contratada con las entidades mencionadas en el artículo 2.37.2.1.1 del presente decreto.
ARTÍCULO 3.1.3.1.2. RESPONSABILIDAD DE LA SOCIEDAD ADMINISTRADORA DE FONDOS DE INVERSIÓN COLECTIVA. <Artículo modificado por el artículo 1 del Decreto 1242 de 2013. El nuevo texto es el siguiente:> La sociedad administradora del fondo de inversión colectiva responderá hasta de la culpa leve en el cumplimiento de sus funciones, como experto prudente y diligente.
ARTÍCULO 3.1.3.1.3. OBLIGACIONES Y RESPONSABILIDAD DE LA SOCIEDAD ADMINISTRADORA DE FONDOS DE INVERSIÓN COLECTIVA. <Artículo modificado por el artículo 1 del Decreto 1242 de 2013. El nuevo texto es el siguiente:> La sociedad administradora de fondos de inversión colectiva deberá cumplir las siguientes obligaciones:
1. Consagrar su actividad de administración exclusivamente en favor de los intereses de los inversionistas o de los beneficiarios designados por ellos.
2. <Numeral modificado el artículo 88 del Decreto 1745 de 2020. El nuevo texto es el siguiente:> Entregar la custodia de los valores que integran el portafolio de cada fondo de inversión colectiva administrado a una sociedad de las mencionadas en el artículo 2.37.2.1.1 del presente decreto, de conformidad con lo establecido en el reglamento y en la normatividad aplicable, así como suministrar al custodio la información necesaria para la correcta ejecución de las funciones de custodia.
3. Realizar la salvaguarda y el ejercicio de derechos patrimoniales de los activos diferentes a valores que hagan parte del portafolio de los fondos de inversión colectiva. Para lo cual deberá contar con los mecanismos idóneos que le permitan ejecutar de manera adecuada la presente obligación.
4. Identificar, medir, controlar, gestionar y administrar los riesgos asociados a la actividad de administración de fondos de inversión colectiva.
5. Efectuar la valoración del portafolio de los fondos de inversión colectiva administrados y de sus participaciones, de conformidad con lo previsto en la normatividad aplicable y las instrucciones impartidas por la Superintendencia Financiera de Colombia. Obligación que podrá ser cumplida por el custodio de conformidad con lo acordado entre el administrador y el custodio.
6. Ejercer oportunamente los derechos patrimoniales de los activos del fondo de inversión colectiva, cuando estos sean diferentes a valores entregados en custodia.
7. Llevar por separado la contabilidad de cada uno de los fondos de inversión colectiva administrados de acuerdo con las reglas que sobre el particular establezca la Superintendencia Financiera de Colombia. Obligación que podrá ser cumplida por parte del custodio de valores previo acuerdo entre este y el administrador.
8. Establecer y mantener actualizados los mecanismos de suministro de información de los fondos de inversión colectiva, en los términos de las normas aplicables y las instrucciones impartidas por la Superintendencia Financiera de Colombia.
9. Verificar el envío oportuno de la información que la sociedad administradora debe remitir a los inversionistas y a la Superintendencia Financiera de Colombia, y que el contenido de la misma cumpla con las condiciones establecidas en esta Parte del presente decreto y por la mencionada Superintendencia.
10. Asegurar el mantenimiento de la reserva de la información que conozca con ocasión de la actividad de administración de fondos de inversión colectiva, y adoptar políticas, procedimientos y mecanismos para evitar el uso indebido de información privilegiada o reservada relacionada con los fondos de inversión colectiva administrados, sus activos, estrategias, negocios y operaciones, sin perjuicio del cumplimiento de los deberes de información a la Superintendencia Financiera de Colombia.
11. Garantizar la independencia de funciones y del personal responsable de la actividad de administración de los fondos de inversión colectiva administrados, para lo cual deberá contar con estructuras organizacionales adecuadas para lograr este objetivo.
12. Capacitar a todas las personas vinculadas contractualmente con la entidad que participan en el funcionamiento y la distribución de los fondos de inversión colectiva administrados, sin perjuicio de las obligaciones que el distribuidor especializado tenga frente a su fuerza de ventas.
13. Vigilar que el personal vinculado a la sociedad administradora de fondos de inversión colectiva cumpla con sus obligaciones en la administración de los fondos de inversión colectiva administrados, incluyendo las reglas de gobierno corporativo, conducta y las demás establecidas en los manuales de procedimiento.
14. Informar a la Superintendencia Financiera de Colombia los hechos o situaciones que impidan el normal desarrollo de los fondos de inversión colectiva administrados o el adecuado cumplimiento de sus funciones como administrador, o cuando se den causales de liquidación de tales fondos. Dicho aviso deberá darse de manera inmediata a la ocurrencia del hecho o a la fecha en que el administrador tuvo o debió haber tenido conocimiento del hecho. Este informe deberá ser suscrito por el representante legal de la sociedad administradora.
15. Presentar a la asamblea de inversionistas, cuando haya lugar a ello, toda la información necesaria que permita establecer el estado del fondo de inversión colectiva administrado; en todo caso, como mínimo deberán presentarse los estados financieros básicos de propósito general, la descripción general del portafolio, la evolución del valor de la participación, del valor del fondo de inversión colectiva y de la participación de cada inversionista dentro del mismo.
16. Adoptar medidas de control y reglas de conducta necesarias, apropiadas y suficientes, que se orienten a evitar que los fondos de inversión colectiva administrados puedan ser utilizados como instrumentos para el ocultamiento, manejo, inversión o aprovechamiento en cualquier forma de dineros u otros bienes provenientes de actividades ilícitas, para realizar evasión tributaria o para dar apariencia de legalidad a las actividades ilícitas o a las transacciones y recursos vinculados con los mismos.
17. Contar con manuales de control interno, gobierno corporativo incluyendo el código de conducta, y los demás manuales necesarios para el cumplimiento de la normatividad aplicable.
18. Abstenerse de efectuar prácticas discriminatorias o inequitativas entre los inversionistas de un mismo fondo de inversión colectiva, sin perjuicio de lo establecido en el artículo 3.1.1.6.5.
19. Ejercer los derechos políticos inherentes a los valores administrados colectivamente, de conformidad con las políticas que defina la Junta Directiva, excepto en los casos en que se haya delegado dicha obligación en el custodio de valores.
20. Cumplir con las políticas, directrices, mecanismos y procedimientos que señale la Junta Directiva de la sociedad administradora de fondos de inversión colectiva para la actividad de administración de fondos de inversión colectiva.
21. Identificar, controlar y gestionar las situaciones generadoras de conflictos de interés en la actividad de administración de fondos de inversión colectiva, según las reglas establecidas en las normas aplicables y las directrices señaladas por la Junta Directiva de la sociedad administradora de fondos de inversión colectiva.
22. Entregar oportunamente a la Superintendencia Financiera de Colombia y al Autorregulador del Mercado de Valores la información que para el cumplimiento de sus funciones requieran acerca de la administración de fondos de inversión colectiva.
23. Establecer las condiciones de los informes periódicos que deberá rendirle el gestor externo sobre la gestión realizada y sus resultados.
24. Ejercer supervisión permanente sobre el personal vinculado a la administración de los fondos de inversión colectiva.
25. Cumplir a cabalidad con los demás aspectos necesarios para la adecuada administración de los fondos de inversión colectiva.
PARÁGRAFO. El administrador del fondo de inversión colectiva responderá ante la Superintendencia Financiera de Colombia y ante los inversionistas por la debida diligencia en la escogencia y seguimiento del gestor externo, del gestor extranjero y del custodio cuando existan.
ACTIVIDAD DE GESTIÓN DE PORTAFOLIOS DE FONDOS DE INVERSIÓN COLECTIVA.
ARTÍCULO 3.1.3.2.1. ACTIVIDAD DE GESTIÓN DE PORTAFOLIOS DE FONDOS DE INVERSIÓN COLECTIVA. <Artículo modificado por el artículo 1 del Decreto 1242 de 2013. El nuevo texto es el siguiente:> La actividad de gestión de portafolios de fondos de inversión colectiva comprende la toma de decisiones de inversión y desinversión de las operaciones del fondo, así como la identificación, medición, control y gestión de los riesgos inherentes al portafolio, y podrá ser desarrollada directamente por la sociedad administradora del fondo de inversión colectiva, o por intermedio de un gestor externo o por un gestor extranjero en los términos establecidos en la presente parte del presente decreto.
PARÁGRAFO. La contratación de un gestor externo no exime a la sociedad administradora de fondos de inversión colectiva de su responsabilidad frente a los inversionistas del fondo de inversión colectiva que administra, sin perjuicio de lo dispuesto en el inciso primero del parágrafo del artículo 3.1.3.2.5 del presente decreto.
ARTÍCULO 3.1.3.2.2. GESTIÓN DE PORTAFOLIOS EXTERNA. <Artículo modificado por el artículo 1 del Decreto 1242 de 2013. El nuevo texto es el siguiente:> Se entiende como gestión de portafolios externa la actividad de que trata el artículo precedente realizada por una sociedad administradora de fondos de inversión colectiva diferente a la sociedad administradora del respectivo fondo de inversión colectiva.
La actividad de gestión de portafolios externa únicamente podrá ser realizada por cualquiera de las sociedades administradoras de fondos de inversión colectiva de que trata el artículo 3.1.1.1.1 del presente decreto.
En el reglamento del respectivo fondo de inversión colectiva deberá establecerse el procedimiento y los criterios de selección del gestor externo, así como los estándares mínimos que se aplicarán para realizar su designación, y contratación, seguimiento y remoción.
El gestor externo en el desarrollo de su gestión deberá obrar frente a terceros en nombre y por cuenta del fondo de inversión colectiva cuyo portafolio gestiona.
PARÁGRAFO. La sociedad administradora de fondos de inversión colectiva deberá informar a la Superintendencia Financiera de Colombia, de manera inmediata, la contratación o remoción del gestor y su remplazo.
ARTÍCULO 3.1.3.2.3. GESTOR EXTRANJERO DE PORTAFOLIOS. <Artículo modificado por el artículo 1 del Decreto 1242 de 2013. El nuevo texto es el siguiente:> Las sociedades administradoras de fondos de inversión colectiva podrán contratar un gestor extranjero, caso en el cual la responsabilidad en la gestión del portafolio del fondo de inversión colectiva se mantendrá a cargo de la sociedad administradora del mismo.
El gestor extranjero deberá ser una persona jurídica constituida fuera del territorio nacional, que de conformidad con su objeto social y la regulación aplicable realice la actividad de gestión de portafolios de terceros.
Adicionalmente, deberá ser un experto en la administración del portafolio definido para el respectivo fondo de inversión colectiva según lo señalado en el reglamento, y deberá contar con los requisitos de experiencia, idoneidad y solvencia moral señalados en el respectivo reglamento.
El gestor extranjero podrá acreditar los requisitos aquí establecidos mediante la experiencia, idoneidad y solvencia moral de sus socios y de las personas naturales que vincule para el cumplimiento de la labor de gestión de portafolios de fondos de inversión colectiva, de conformidad con lo establecido por la Superintendencia Financiera de Colombia.
En el reglamento del respectivo fondo de inversión colectiva, deberá establecerse el procedimiento y los criterios de selección del gestor externo extranjero, así como los estándares mínimos que se aplicarán para realizar su designación, y contratación, seguimiento y remoción.
ARTÍCULO 3.1.3.2.4. OBLIGACIONES DEL GESTOR EN LA ACTIVIDAD DE GESTIÓN DEL PORTAFOLIO DEL FONDO DE INVERSIÓN COLECTIVA. <Artículo modificado por el artículo 1 del Decreto 1242 de 2013. El nuevo texto es el siguiente:> Quien ejerza la actividad de gestión del portafolio del fondo de inversión colectiva deberá cumplir las siguientes obligaciones:
1. Tener capacidad administrativa e infraestructura tecnológica y operativa suficiente para ejercer la actividad de gestión de portafolios de fondos de inversión colectiva, de acuerdo con la naturaleza de los activos subyacentes y de los riesgos inherentes a estos.
2. Ejecutar la política de inversión del fondo de inversión colectiva gestionado de conformidad con el reglamento y buscando la mejor ejecución de las operaciones, para lo cual deberá implementar los mecanismos adecuados de seguimiento y supervisión. El gestor deberá además observar las instrucciones impartidas por el comité de inversiones.
3. Identificar, medir, gestionar, administrar y controlar los riesgos de la actividad de gestión de portafolios de fondos de inversión colectiva, así como los riesgos inherentes a cada portafolio gestionado. Para estos efectos, el gestor externo deberá desarrollar y mantener sistemas adecuados de control interno y de identificación, medición, control y gestión de riesgos.
4. Identificar, controlar y gestionar las situaciones generadoras de conflictos de interés en el desarrollo de la actividad de gestión de portafolios de fondos de inversión colectiva, según las reglas establecidas en las normas aplicables y las directrices señaladas por la Junta Directiva del gestor de inversiones.
5. Efectuar la valoración del portafolio de los fondos de inversión colectiva gestionados y de sus participaciones si así lo establece el reglamento, de conformidad con lo previsto en las normas aplicables y las instrucciones impartidas por la Superintendencia Financiera de Colombia, siempre y cuando la sociedad administradora no haya entregado el desarrollo de esta actividad al custodio de valores del fondo de inversión colectiva.
6. Contar con políticas y procedimientos que garanticen la ejecución objetiva y transparente respecto de los fondos de inversión colectiva que gestione, sin que pueda privilegiar a ningún fondo de los que administra.
7. Verificar y garantizar la existencia y validez del negocio jurídico que da origen a los activos aceptables para invertir establecidos en el artículo 3.1.1.4.4 del presente decreto que no cuenten con mercados organizados.
8. Entregar oportunamente al administrador del fondo de inversión colectiva, a la Superintendencia Financiera de Colombia, al Autorregulador del Mercado de Valores, toda la información que para el cumplimiento de sus funciones requieran acerca de la gestión realizada para el fondo de inversión colectiva gestionado. Obligación que deberá ser cumplida por parte de la sociedad administradora cuando haya gestor extranjero.
9. Escoger intermediarios para la realización de las operaciones de los fondos de inversión colectiva gestionados basándose en criterios objetivos señalados en el reglamento, cuando tales intermediarios sean necesarios.
10 Vigilar y supervisar permanentemente que el personal vinculado al gestor cumpla con sus obligaciones en la gestión de los fondos de inversión colectiva, incluyendo las reglas de gobierno corporativo, reglas de conducta y las demás establecidas en los manuales de procedimiento.
11. Informar a la Superintendencia Financiera de Colombia los hechos o situaciones que impidan el adecuado cumplimiento de sus funciones como gestor, o cuando se presente la causal de liquidación prevista en el numeral 4 del artículo 3.1.2.2.1 del presente decreto. Dicho aviso deberá darse de manera inmediata a la ocurrencia del hecho o a la fecha en que el gestor tuvo o debió haber tenido conocimiento del hecho. Obligación que deberá ser cumplida por parte de la sociedad administradora de fondos de inversión colectiva cuando exista gestor extranjero.
12. Adoptar medidas de control y reglas de conducta necesarias, apropiadas y suficientes, que se orienten a evitar que los fondos de inversión colectiva gestionados puedan ser utilizados como instrumentos para el ocultamiento, manejo, inversión o aprovechamiento en cualquier forma de dineros u otros bienes provenientes de actividades ilícitas, para realizar evasión tributarias o para dar apariencia de legalidad a actividades ilícitas o a las transacciones y recursos vinculados con las mismas.
13. Contar con manuales de control interno, gobierno corporativo incluyendo el código de conducta, y los demás manuales necesarios para el cumplimiento de las normas aplicables.
14. Asegurar el mantenimiento de la reserva de la información que conozca con ocasión de la actividad de gestión de portafolios de fondos de inversión colectiva, y adoptar políticas, procedimientos y mecanismos para evitar el uso indebido de información privilegiada o reservada relacionada con los activos, las estrategias, negocios y operaciones del fondo respecto del cual se ejerce la actividad de gestión, sin perjuicio del cumplimiento de los deberes de información a la Superintendencia Financiera de Colombia.
15. Presentar a la sociedad administradora de fondos de inversión colectiva informes periódicos sobre la gestión realizada y sus resultados, por lo menos una vez al mes, poniendo a disposición toda la documentación e información de soporte, que podrá ser solicitada y examinada en cualquier tiempo por la sociedad administradora, la cual deberá establecer el contenido mínimo de tales informes de conformidad con los activos gestionados.
16. Acudir a la sociedad administradora de fondos de inversión colectiva en los eventos en que considere que se requiere su intervención, con la finalidad de garantizar la adecuada gestión del portafolio del fondo de inversión colectiva gestionado.
17. Abstenerse de incurrir en abusos de mercado en el manejo del portafolio del fondo de inversión colectiva respecto del cual realiza la actividad de gestión de portafolio.
18. Cumplir con las políticas, directrices, mecanismos y procedimientos que señale la Junta Directiva de quien ejerza la actividad de gestión de fondos de inversión colectiva para el ejercicio de su actividad.
19. Cumplir a cabalidad con los demás aspectos necesarios para la adecuada gestión del portafolio del fondo de inversión colectiva respecto del cual realiza dicha actividad.
20. Las demás que se establezcan en el contrato de gestión de portafolio del fondo de inversión colectiva.
PARÁGRAFO. Las disposiciones del presente artículo también le serán aplicables al gestor extranjero.
ARTÍCULO 3.1.3.2.5. RESPONSABILIDAD Y ALCANCE DE LAS OBLIGACIONES DEL GESTOR DEL PORTAFOLIO DEL FONDO DE INVERSIÓN COLECTIVA. <Artículo modificado por el artículo 1 del Decreto 1242 de 2013. El nuevo texto es el siguiente:> Quien ejerza la actividad de gestión de portafolios de fondos de inversión colectiva adquiere obligaciones de medio y no, de resultado. Esto implica una adecuada ejecución de la política de inversión del fondo de inversión colectiva gestionado.
Quien ejerza la actividad de gestión de portafolios de fondos de inversión colectiva se abstendrá de garantizar, por cualquier medio, una tasa fija para las participaciones constituidas, así como de asegurar rendimientos por valorización de los activos que integran los fondos de inversión colectiva.
Lo anterior sin perjuicio de que el fondo de inversión colectiva pueda estructurar mecanismos de cobertura que busquen asegurar la recuperación del capital o una rentabilidad mínima determinada, siempre y cuando la sociedad administradora no comprometa su propio patrimonio para el efecto.
Quien ejerza la actividad de gestión de portafolios de fondos de inversión colectiva responderá hasta de la culpa leve en el cumplimiento de su gestión, como experto prudente y diligente, y no podrá subcontratar la actividad de gestión.
PARÁGRAFO. Cuando exista un gestor externo, la responsabilidad frente a la Superintendencia Financiera de Colombia por la actividad de gestión de portafolios será asumida por este en su totalidad.
Cuando exista un gestor extranjero, la responsabilidad frente a la Superintendencia Financiera de Colombia por la actividad de gestión de portafolios será asumida por la sociedad administradora del fondo de inversión colectiva en su totalidad.
Las demás funciones a cargo de los órganos de administración del fondo de inversión colectiva continuarán en cabeza de dichos órganos.
ACTIVIDAD DE CUSTODIA DE VALORES QUE INTEGRAN EL PORTAFOLIO DEL FONDO DE INVERSIÓN COLECTIVA.
ARTÍCULO 3.1.3.3.1. CUSTODIA DE VALORES QUE INTEGRAN EL PORTAFOLIO DEL FONDO DE INVERSIÓN COLECTIVA. <Artículo modificado por el artículo 1 del Decreto 1242 de 2013. El nuevo texto es el siguiente:>
<Inciso modificado el artículo 89 del Decreto 1745 de 2020. El nuevo texto es el siguiente:> Las sociedades administradoras de fondos de inversión colectiva deberán contratar la custodia de los valores que integran el portafolio de los fondos de inversión colectiva que administren, con entidades que de conformidad con el artículo 2.37.2.1.1 del presente decreto puedan ejecutar la actividad de custodia de valores.
Las sociedades administradoras de fondos de inversión colectiva ejercerán las actividades complementarias a la custodia de valores cuando estas no sean desarrolladas por el custodio.
ACTIVIDAD DE DISTRIBUCIÓN DE FONDOS DE INVERSIÓN COLECTIVA.
GENERALIDADES DE LA ACTIVIDAD DE DISTRIBUCIÓN DE FONDOS DE INVERSIÓN COLECTIVA.
ARTÍCULO 3.1.4.1.1. DISTRIBUCIÓN DE FONDOS DE INVERSIÓN COLECTIVA. <Artículo modificado por el artículo 1 del Decreto 1242 de 2013. El nuevo texto es el siguiente:> La actividad de distribución de fondos de inversión colectiva comprende la promoción de fondos de inversión colectiva con miras a la vinculación de inversionistas a dichos fondos, y solo podrá ser desarrollada por las sociedades administradoras de fondos de inversión colectiva y los distribuidores especializados de que trata el artículo 3.1.4.2.1 del presente decreto.
ARTÍCULO 3.1.4.1.2. MEDIOS PARA REALIZAR LA DISTRIBUCIÓN DE LOS FONDOS DE INVERSIÓN COLECTIVA. <Artículo modificado por el artículo 1 del Decreto 1242 de 2013. El nuevo texto es el siguiente:> Los medios a través de los cuales es posible realizar la distribución de los fondos de inversión colectiva son:
1. Directamente a través de la fuerza de ventas de la sociedad administradora, o del distribuidor especializado de que trata el artículo 3.1.4.2.1 del presente decreto.
2. Por medio del contrato de uso de red, y
3. Por medio del contrato de corresponsalía.
PARÁGRAFO. Para el caso del medio mencionado en el numeral 3 del presente artículo, únicamente se podrán prestar los servicios establecidos en el artículo 2.36.9.1.6 del presente decreto.
ARTÍCULO 3.1.4.1.3. DEBER DE ASESORÍA. <Artículo modificado por el artículo 4 del Decreto 661 de 2018. El nuevo texto es el siguiente:> El deber de asesoría para la distribución de los fondos de inversión colectiva se deberá cumplir de conformidad con lo previsto en el Libro 40 de la Parte 2 del presente decreto. La recomendación profesional será suministrada por quien distribuya el fondo de inversión colectiva a través de cualquiera de los medios previstos en el artículo 3.1.4.1.2 del presente decreto.
La recomendación profesional deberá ser suministrada para la vinculación al fondo respectivo. Durante la permanencia del inversionista en el fondo se podrán proporcionar, de manera oficiosa o a solicitud del inversionista, recomendaciones profesionales según lo que disponga sobre el particular el reglamento respectivo. En todo caso, la sociedad administradora o el distribuidor especializado, según corresponda, deberán suministrar recomendaciones profesionales cuando el cliente inversionista lo solicite o cuando sobrevenga una circunstancia que afecte de manera sustancial la inversión.
PARÁGRAFO. En las operaciones de intermediación sobre los valores que emitan los fondos de inversión colectiva el deber de asesoría será cumplido por el intermediario que atienda al inversionista, de conformidad con las disposiciones del Libro 40 de la Parte 2 del presente decreto
ARTÍCULO 3.1.4.1.4. DEBIDA ATENCIÓN DEL INVERSIONISTA. <Artículo modificado por el artículo 5 del Decreto 661 de 2018. El nuevo texto es el siguiente:> Los inversionistas deben ser adecuadamente atendidos durante las etapas de promoción, vinculación, vigencia y redención de la participación en el fondo de inversión colectiva, en orden a lo cual deberá cumplirse por lo menos lo siguiente:
1. En la etapa de promoción, quien realiza la promoción deberá identificarse como promotor de la respectiva sociedad administradora, entregar y presentar a los potenciales inversionistas toda la información necesaria y suficiente para conocer las características y los riesgos del fondo de inversión colectiva promovido, evitar hacer afirmaciones que puedan conducir a apreciaciones falsas, engañosas o inexactas sobre el fondo de inversión colectiva, su objetivo de inversión, el riesgo asociado, gastos, o cualquier otro aspecto, así como verificar que el inversionista conozca, entienda y acepte el prospecto del fondo de inversión colectiva.
2. En la etapa de vinculación, el distribuidor deberá poner a disposición del inversionista el reglamento del fondo, remitir las órdenes de constitución de participaciones a la sociedad administradora en forma diligente y oportuna, entregar al inversionista los documentos representativos de participación en el fondo e indicar los diferentes mecanismos de información del mismo.
3. Durante la vigencia de la inversión en el fondo, el distribuidor debe contar con los recursos apropiados para atender en forma oportuna las consultas, solicitudes y quejas que sean presentadas por el inversionista.
4. En la etapa de redención de la participación en el fondo de inversión colectiva, el distribuidor deberá atender en forma oportuna las solicitudes de redención de participaciones, indicando la forma en que se realizó el cálculo para determinar el valor de los recursos a ser entregados al inversionista.
PARÁGRAFO. Lo dispuesto en el presente artículo no corresponde al desarrollo de la actividad de asesoría prevista en el Libro 40 de la Parte 2 del presente decreto
ARTÍCULO 3.1.4.1.5. PROMOCIÓN. <Artículo modificado por el artículo 1 del Decreto 1242 de 2013. El nuevo texto es el siguiente:> La promoción supone el suministro de información necesaria y suficiente para que un inversionista pueda tomar la decisión informada de invertir o no en un fondo de inversión colectiva. Sin perjuicio de lo establecido en el artículo 7.3.1.1.2 de este decreto, la información necesaria y suficiente deberá comprender como mínimo:
1. Una explicación de la estructura, los términos o condiciones y características de los fondos de inversión colectiva promovidos.
2. Información sobre los precios, comparaciones de beneficios y riesgos entre diferentes alternativas de inversión, y
3. Una explicación de los riesgos inherentes a los fondos de inversión colectiva promovidos.
ARTÍCULO 3.1.4.1.6. OBLIGACIONES DEL DISTRIBUIDOR DE FONDOS DE INVERSIÓN COLECTIVA. <Artículo modificado por el artículo 1 del Decreto 1242 de 2013. El nuevo texto es el siguiente:> Quien ejerza la actividad de distribución de fondos de inversión colectiva de que trata el artículo 3.1.4.1.1 del presente decreto deberá cumplir con las siguientes obligaciones:
1. Identificar, controlar y gestionar las situaciones generadoras de conflictos de interés en el desarrollo de la actividad de distribución de portafolios de fondos de inversión colectiva, según las reglas establecidas en las normas aplicables y las directrices señaladas por la Junta Directiva del distribuidor.
2. Vigilar que el personal vinculado al distribuidor cumpla con sus obligaciones en la distribución de los fondos de inversión colectiva, incluyendo las reglas de gobierno corporativo, conducta y las demás establecidas en los manuales de procedimiento.
3. Informar a la Superintendencia Financiera de Colombia los hechos o situaciones que impidan el adecuado cumplimiento de sus funciones como distribuidor. Dicho aviso deberá darse de manera inmediata a la ocurrencia del hecho o a la fecha en que el distribuidor tuvo o debió haber tenido conocimiento del hecho.
4. Identificar, medir, gestionar, administrar y controlar los riesgos de la actividad de distribución de fondos de inversión colectiva. Para estos efectos, el distribuidor deberá desarrollar y mantener sistemas adecuados de control interno y de identificación, medición, control y gestión de riesgos.
5. Adoptar medidas de control y reglas de conducta necesarias, apropiadas y suficientes, que se orienten a evitar que los fondos de inversión colectiva distribuidos puedan ser utilizados como instrumentos para el ocultamiento, manejo, inversión o aprovechamiento en cualquier forma de dineros u otros bienes provenientes de actividades ilícitas, para realizar evasión tributarias o para dar apariencia de legalidad a las actividades ilícitas o a las transacciones y recursos vinculados con los mismos.
6. Cumplir con las obligaciones relacionadas con el sistema de administración de riesgo de lavado de activos y financiación del terrorismo (Sarlaft) respecto de los inversionistas que vincule para invertir en los fondos de inversión colectiva distribuidos.
7. Contar con manuales de control interno, gobierno corporativo incluyendo el código de conducta, y los demás manuales necesarios para el cumplimiento de las normas aplicables.
8. Cumplir con las políticas, directrices, mecanismos y procedimientos que señale la junta directiva del distribuidor para la actividad de distribución de fondos de inversión colectiva.
9. Entregar oportunamente al administrador del fondo de inversión colectiva, a la Superintendencia Financiera de Colombia y al Autorregulador del Mercado de Valores la información que para el cumplimiento de sus funciones requieran acerca de la distribución de fondos de inversión colectiva.
10. Ejercer supervisión permanente sobre el personal vinculado a la distribución de los fondos de inversión colectiva y dar cumplimiento a las obligaciones del distribuidor respecto de la fuerza de ventas establecidas en el artículo 3.1.4.3.3 del presente decreto.
11. Cumplir con el deber de asesoría especial de que trata el artículo 3.1.4.1.3 del presente decreto.
12. Cumplir a cabalidad con los demás aspectos necesarios para la adecuada distribución de los fondos de inversión colectiva.
13. Las demás obligaciones que establezca la Superintendencia Financiera de Colombia.
PARÁGRAFO. Quien ejerza la actividad de distribución de fondos de inversión colectiva responderá hasta la culpa leve en el cumplimiento de sus funciones como experto prudente y diligente.
DISTRIBUCIÓN ESPECIALIZADA A TRAVÉS DE CUENTAS ÓMNIBUS.
ARTÍCULO 3.1.4.2.1. DISTRIBUCIÓN ESPECIALIZADA. <Artículo modificado por el artículo 1 del Decreto 1242 de 2013. El nuevo texto es el siguiente:> La distribución de fondos de inversión colectiva de que trata el artículo 3.1.4.1.1 del presente decreto podrá realizarse de manera especializada, a través de cuentas ómnibus administrada por parte de una sociedad administradora de fondos de inversión colectiva de que trata el artículo 3.1.1.1.1 del presente decreto diferente de la sociedad administradora del respectivo fondo de inversión colectiva o por parte de los establecimientos bancarios.
Los distribuidores especializados en el ejercicio de la distribución especializada deberán aplicar el principio de segregación de que trata el artículo 3.1.1.1.3 del presente decreto.
ARTÍCULO 3.1.4.2.2. CUENTA ÓMNIBUS. <Artículo modificado por el artículo 1 del Decreto 1242 de 2013. El nuevo texto es el siguiente:> Es una cuenta administrada por el distribuidor especializado de que trata el artículo precedente, bajo la cual se agrupan uno o más inversionistas registrados previamente de manera individual ante dicha entidad, con el fin de que el distribuidor especializado actúe a nombre propio y por cuenta de ellos, constituyéndose como un inversionista en un único fondo de inversión colectiva.
Un distribuidor especializado puede administrar diferentes cuentas ómnibus para hacer parte de distintos fondos de inversión colectiva, cuentas estas que a su vez no podrán incluir como inversionistas a otras cuentas ómnibus.
La identidad de los inversionistas finales únicamente será conocida por el distribuidor especializado de fondos de inversión colectiva administrador de la cuenta ómnibus, sin perjuicio de que las autoridades competentes puedan conocerla en ejercicio de sus funciones.
ARTÍCULO 3.1.4.2.3. OBLIGACIONES ESPECIALES DE LOS DISTRIBUIDORES ESPECIALIZADOS DE FONDOS DE INVERSIÓN COLECTIVA EN EL MANEJO DE LAS CUENTAS ÓMNIBUS. <Artículo modificado por el artículo 1 del Decreto 1242 de 2013. El nuevo texto es el siguiente:> Los distribuidores especializados de fondos de inversión colectiva, en el manejo de las cuentas ómnibus, además de las obligaciones establecidas en el artículo 3.1.4.1.6 del presente decreto, deberán cumplir las siguientes obligaciones especiales:
1. Expresar de manera clara que actúa en nombre propio y por cuenta de los inversionistas que hacen parte de la cuenta ómnibus.
2. Contar con la autorización previa, escrita y expresa de los inversionistas para ser parte de una cuenta ómnibus.
3. Informar debidamente a los inversionistas los riesgos y el funcionamiento de una cuenta ómnibus.
4. Mantener disponible y actualizada la información relacionada con la participación de los inversionistas de las cuentas ómnibus que administra, de conformidad con la información suministrada por la sociedad administradora del respectivo fondo de inversión colectiva.
5. Contar con mecanismos que permitan a los inversionistas de la cuenta ómnibus ejercer por medio de la del distribuidor especializado los derechos políticos inherentes a las participaciones de los fondos de inversión colectiva de los que son parte a través de la cuenta ómnibus.
6. Ejercer los derechos políticos inherentes a las participaciones de los fondos de inversión colectiva manejadas a través de la cuenta ómnibus, de conformidad con el procedimiento establecido en el reglamento de la cuenta ómnibus.
7. Entregar a los inversionistas que hacen parte de la cuenta ómnibus un extracto de cuenta individual de sus participaciones en concordancia con lo establecido en el artículo 3.1.1.9.9 y en el reglamento del respectivo fondo de inversión colectiva.
8. Realizar inversiones o desinversiones en los fondos de inversión colectiva conforme a las instrucciones impartidas por los inversionistas que hacen parte de la cuenta ómnibus.
9. Contar con un reglamento de funcionamiento de la cuenta ómnibus, el cual deberá ser aprobado por la Superintendencia Financiera de Colombia y aceptado por el inversionista.
10. Las demás obligaciones que establezca la Superintendencia Financiera de Colombia.
PARÁGRAFO. El administrador de la cuenta ómnibus responderá hasta la culpa leve en el cumplimiento de sus funciones como experto prudente y diligente.
FUERZA DE VENTAS DE LA SOCIEDAD ADMINISTRADORA O DEL DISTRIBUIDOR ESPECIALIZADO.
ARTÍCULO 3.1.4.3.1. DEFINICIÓN. <Artículo modificado por el artículo 1 del Decreto 1242 de 2013. El nuevo texto es el siguiente:> La fuerza de ventas se compone de los sujetos promotores vinculados a la sociedad administradora o al distribuidor especializado por cualquier medio, para desarrollar la distribución de los fondos de inversión colectiva distribuidos.
Las actuaciones de la fuerza de ventas en el ejercicio de su actividad obligan a la sociedad administradora del fondo de inversión colectiva o al distribuidor especializado, y cualquier infracción, error u omisión en que incurra la fuerza de ventas en el desarrollo de su actividad compromete la responsabilidad de la sociedad administradora de fondos de inversión colectiva o del distribuidor especializado.
PARÁGRAFO. Las reglas establecidas en el presente capítulo se aplicarán, en cuanto no pugnen con su naturaleza jurídica, a los contratos de uso de red de oficinas y de corresponsalía.
ARTÍCULO 3.1.4.3.2. OBLIGACIONES DE LA FUERZA DE VENTAS. <Artículo modificado por el artículo 1 del Decreto 1242 de 2013. El nuevo texto es el siguiente:> La sociedad administradora de fondos de inversión colectiva o el distribuidor especializado, según corresponda, deberá asegurarse de que los sujetos promotores cumplan las siguientes obligaciones:
1. Identificarse como sujeto promotor de la respectiva sociedad administradora de fondos de inversión colectiva o del distribuidor especializado.
2. Entregar y presentar a los potenciales inversionistas toda la información necesaria y suficiente, proporcionada por la sociedad administradora o por el distribuidor especializado, para conocer las características y los riesgos de los fondos de inversión colectiva promovidos y tomar la decisión de inversión o de no inversión en los mismos.
3. No hacer afirmaciones que puedan conducir a apreciaciones falsas, engañosas o inexactas sobre el fondo de inversión, su objetivo de inversión, el riesgo asociado, gastos, o cualquier otro aspecto.
4. Verificar que el inversionista conozca, entienda y acepte el reglamento y el prospecto del fondo de inversión colectiva.
5. Remitir las órdenes de constitución de participaciones a la sociedad administradora, de forma diligente y oportuna.
6. Las demás que sean connaturales al desarrollo profesional de la actividad de distribución de fondos de inversión colectiva.
ARTÍCULO 3.1.4.3.3. OBLIGACIONES DEL DISTRIBUIDOR RESPECTO DE LA FUERZA DE VENTAS. <Artículo modificado por el artículo 1 del Decreto 1242 de 2013. El nuevo texto es el siguiente:> El distribuidor deberá cumplir las siguientes obligaciones, en aras de permitir el adecuado ejercicio de la distribución de los fondos de inversión colectiva por parte de la fuerza de ventas:
1. Mantener una relación actualizada de los sujetos promotores vinculados.
2. Dotar a los sujetos promotores de toda la información necesaria para la distribución de los fondos de inversión colectiva distribuidos.
3. Contratar sujetos promotores calificados e idóneos, asegurar que los materiales y la información empleados para promover la constitución de participaciones reflejan la realidad económica y jurídica de los fondos de inversión colectiva distribuidos, y evitar mensajes equívocos, inexactos o engañosos o falsas ponderaciones. Para estos efectos, deberá implementar programas de capacitación y actualización permanente.
4. Implementar mecanismos para prevenir que la información recibida de los consumidores financieros pueda ser utilizada para propósitos distintos a la distribución de los fondos de inversión colectiva administrados, así como prevenir que sea compartida con terceros, salvo autorización expresa y por escrito del titular de la información.
5. Implementar políticas y mecanismos para dar cumplimiento al deber de asesoría especial de que trata el presente título.
6. Implementar programas de capacitación del personal, teniendo en cuenta el tamaño y las actividades de la entidad, de modo tal que la fuerza de ventas conozca y comprenda las normas y los procedimientos aplicables en el cumplimiento de sus funciones, y se mantenga al día con los cambios de la regulación y las prácticas de la industria. Las sociedades administradoras de fondos de inversión colectiva o los distribuidores especializados llevarán un registro de los programas anuales de capacitación del personal y de las actividades cumplidas en desarrollo de los mismos.
7. Asegurar que el personal de la fuerza de ventas cumpla con los demás requerimientos que para el mismo determine la Superintendencia Financiera de Colombia.
RÉGIMEN DE PUBLICIDAD.
ARTÍCULO 3.1.4.4.1. PROGRAMA PUBLICITARIO. <Artículo modificado por el artículo 1 del Decreto 1242 de 2013. El nuevo texto es el siguiente:> Para efectos del presente libro, se entiende por programa publicitario todo mensaje o campaña promocional orientado a promover la constitución de participaciones en un fondo de inversión colectiva o familia de fondos de inversión colectiva, comunicado de forma impresa, radiodifundida, o mediante visita personal, llamadas telefónicas, internet, medios electrónicos, redes sociales, televisión interactiva, eventos promocionales y en general a través de cualquier medio que tenga carácter representativo o declarativo.
Toda la información promocional relacionada con los fondos de inversión colectiva deberá ser:
1. Veraz: La información debe ser cierta y comprobable y en ningún momento puede estar en desacuerdo con la realidad financiera, jurídica o técnica del fondo de inversión colectiva.
2. Verificable: La información debe corresponder fielmente a hechos objetivos, reales, comprobables a la fecha de su difusión.
3. Actualizada: La información presentada debe soportarse en cifras debidamente actualizadas.
4. Exacta: La información relativa a cifras o indicadores financieros debe indicar el período al que corresponde y la fuente de donde ha sido tomada, evitando que la misma pueda conducir a equívocos de cualquier naturaleza.
5. Entendible: La información debe ofrecer claridad, fidelidad y precisión respecto al fondo de inversión colectiva, indicando el alcance legal y económico al que se encuentra sujeta la inversión.
6. Completa: La información debe ser integral razón por la cual no incluirá fragmentos o partes que puedan generar confusión o distorsión en la información.
7. Respetuosa de la preservación de la buena fe y la libre competencia: La información no puede ser contraria a la buena fe comercial ni debe tender a establecer competencia desleal.
PARÁGRAFO 1o. Las reglas enunciadas en el presente capítulo son de aplicación a la actividad promocional de la sociedad administradora, en cuanto hace referencia a la actividad de distribución de fondos de inversión colectiva, así como para el distribuidor especializado cuando este sea distinto de la sociedad administradora.
PARÁGRAFO 2o. Podrán se promovidas las cuentas ómnibus de que trata el capítulo 2 del título 4 del libro 1 de la parte 3 del presente decreto.
ARTÍCULO 3.1.4.4.2. OTROS DATOS DE LA INFORMACIÓN PROMOCIONAL. <Artículo modificado por el artículo 1 del Decreto 1242 de 2013. El nuevo texto es el siguiente:> Toda la información promocional de los fondos de inversión colectiva o familias de fondos de inversión colectiva deberá incluir la denominación comercial de la sociedad administradora de fondos de inversión colectiva y su sigla según figure en los estatutos sociales vigentes, indicando que se trata de una entidad sometida a la inspección y vigilancia de la Superintendencia Financiera de Colombia; así mismo, deberá incluir la denominación del gestor externo en caso de que exista.
La información financiera que se presente al público deberá hacerse en tasas efectivas anuales, cuando haya lugar a ello.
ARTÍCULO 3.1.4.4.3. PROHIBICIONES GENERALES. <Artículo modificado por el artículo 1 del Decreto 1242 de 2013. El nuevo texto es el siguiente:> Las sociedades administradoras de fondos de inversión colectiva, y los distribuidores especializados, en la información promocional del fondo de inversión colectiva o familia de fondos de inversión colectiva, deberán abstenerse de:
1. Asegurar un rendimiento determinado, sin perjuicio de lo establecido en el inciso segundo del artículo 3.1.3.1.2 del presente decreto.
2. Hacer pronósticos sobre el comportamiento futuro del fondo de inversión colectiva.
3. Deducir como definitivas situaciones que en realidad correspondan a fenómenos coyunturales transitorios o variables.
4. Promocionar la imagen del fondo de inversión colectiva con condiciones o características que no sean propias o predicables de los fondos de inversión colectiva de su clase.
5. No incluir todas las calificaciones realizadas al fondo de inversión colectiva o divulgar las calificaciones de manera incompleta.
6. Cualquier otra que contravenga las disposiciones que sobre la materia establezca esta Parte del presente decreto o la Superintendencia Financiera de Colombia.
ÓRGANOS DEL FONDO DE INVERSIÓN COLECTIVA.
LA JUNTA DIRECTIVA.
ARTÍCULO 3.1.5.1.1. OBLIGACIONES DE LA JUNTA DIRECTIVA DE LA SOCIEDAD ADMINISTRADORA. <Artículo modificado por el artículo 1 del Decreto 1242 de 2013. El nuevo texto es el siguiente:> La junta directiva de la sociedad administradora de fondos de inversión colectiva con respecto a la administración de fondos de inversión colectiva deberá cumplir las siguientes obligaciones:
1. Definir las políticas y procedimientos aplicables al desarrollo de la actividad de administración de fondos de inversión colectiva, y determinar los criterios o condiciones bajo los cuales la sociedad desarrollará todas o algunas de las demás actividades relacionadas con los fondos de inversión colectiva administrados.
Para el efecto, la junta directiva deberá definir para cuáles fondos de inversión colectiva o familias de fondos de inversión colectiva la sociedad ejercerá la gestión del portafolio de manera directa, y para cuáles dicha gestión será delegada a un gestor externo en los términos de la presente parte del presente decreto.
Así mismo, la junta directiva deberá realizar la designación de la entidad que prestará los servicios de custodia de valores, y de las actividades complementarias a la misma que serán prestadas por parte de la entidad designada como custodio.
2. Definir los criterios o estándares aplicables a la selección de entidades encargadas de la gestión, y de la custodia de los fondos de inversión colectiva administrados por la sociedad autorizada.
3. Definir una adecuada estructura organizacional para garantizar el cumplimiento e independencia de las funciones propias de la actividad de administración de fondos de inversión colectiva, así como del personal responsable de las mismas.
4. Fijar los procedimientos y políticas para determinar el proceso de valoración del portafolio de los fondos de inversión colectiva administrados y de sus participaciones, el cual deberá ser cumplido por la sociedad administradora o por el gestor o el custodio del respectivo fondo de inversión colectiva, según lo establezca el reglamento.
La junta directiva deberá fijar medidas de control que permitan vigilar el cumplimiento de las reglas establecidas para la valoración de los fondos de inversión colectiva administrados.
5. Determinar las políticas necesarias para adoptar medidas de control y reglas de conducta apropiadas y suficientes, que se orienten a evitar que los fondos de inversión colectiva administrados puedan ser utilizados como instrumentos para el ocultamiento, manejo, inversión o aprovechamiento en cualquier forma de dineros u otros bienes provenientes de actividades ilícitas, para realizar evasión tributaria o para dar apariencia de legalidad a actividades ilícitas o a las transacciones y recursos vinculados con las mismas.
6. Aprobar los manuales para el control y prevención del lavado de activos, de gobierno corporativo incluyendo el código de conducta, de control interno, y los demás necesarios para el cumplimiento de las normas aplicables.
7. Establecer políticas en cualquier otro aspecto que tenga relevancia con el adecuado funcionamiento y la correcta administración del fondo de inversión colectiva.
8. Diseñar políticas, directrices y procedimientos de gobierno corporativo y de control interno, orientadas a administrar los riesgos que puedan afectar a los fondos de inversión colectiva administrados.
9. Determinar políticas, directrices y procedimientos para garantizar la calidad de la información divulgada al público en general, a los inversionistas y a la Superintendencia Financiera de Colombia.
10. Establecer políticas y adoptar los mecanismos que sean necesarios para evitar el uso de información privilegiada o reservada y la manipulación de la rentabilidad o del valor de la unidad.
11. Diseñar y aprobar las políticas para la presentación a las asambleas de inversionistas de toda la información necesaria que permita establecer el estado de los fondos de inversión colectiva administrados, incluyendo como mínimo: los estados financieros básicos de propósito general, la descripción general del portafolio, y la evolución del valor de la participación, del valor del fondo de inversión colectiva y de la participación de cada inversionista dentro del mismo.
12. Definir las situaciones constitutivas de conflictos de interés, así como las políticas y los procedimientos para su prevención y administración.
13. Establecer políticas, directrices y procedimientos para el ejercicio de los derechos políticos inherentes a los valores administrados colectivamente, cuando dicha actividad no haya sido delegada voluntariamente en el custodio de dichos valores. Dichas políticas, directrices y procedimientos deberán definir expresamente los casos en que la sociedad administradora podrá abstenerse de participar en las deliberaciones y votaciones, en razón, entre otras, de la poca materialidad de la participación social o de los asuntos a ser decididos.
14. Fijar las directrices de los programas de capacitación para los funcionarios encargados de las tareas relacionadas con la administración de los fondos de inversión colectiva.
15. Definir los mecanismos que serán implementados para el seguimiento del cumplimiento de las funciones del personal vinculado contractualmente al gestor externo, en relación con la gestión del fondo de inversión colectiva.
16. Dictar las políticas y mecanismos para solucionar de manera efectiva y oportuna los problemas detectados y reportados por las áreas involucradas en la actividad de administración del fondo de inversión colectiva, y por el revisor fiscal, sobre asuntos que puedan afectar el adecuado funcionamiento y administración del fondo de inversión colectiva.
17. Determinar los mecanismos que eviten la aplicación de prácticas discriminatorias o inequitativas entre los inversionistas de un mismo fondo de inversión colectiva.
18. Determinar el contenido mínimo de los informes que deberá presentar quien ejecute la actividad de gestión de los fondos de inversión colectiva administrados por la sociedad administradora.
19. Nombrar el gerente del fondo de inversión colectiva y su suplente, cuando haya lugar.
20. Las demás establecidas a cargo de la junta directiva de la sociedad administradora de fondos de inversión colectiva en otras normas legales o reglamentarias.
PARÁGRAFO 1o. Cuando no exista gestor externo, la junta directiva de la sociedad administradora de fondos de inversión colectiva deberá cumplir con las obligaciones establecidas en el artículo 3.1.5.1.2 del presente decreto en cuanto a la gestión de fondos de inversión colectiva.
PARÁGRAFO 2o. Cuando la sociedad administradora de fondos de inversión colectiva no realice la distribución de los fondos de inversión colectiva por medio del distribuidor especializado, la junta directiva de la sociedad administradora deberá cumplir con las obligaciones establecidas en el artículo 3.1.5.1.3 del presente decreto en cuanto a la distribución de fondos de inversión colectiva.
ARTÍCULO 3.1.5.1.2. OBLIGACIONES DE LA JUNTA DIRECTIVA DEL GESTOR EXTERNO. <Artículo modificado por el artículo 1 del Decreto 1242 de 2013. El nuevo texto es el siguiente:> La junta directiva del gestor externo con respecto a la gestión de portafolios de fondos de inversión colectiva deberá cumplir las siguientes obligaciones:
1. Definir las políticas y procedimientos aplicables al desarrollo de la actividad de gestión de portafolios de fondos de inversión colectiva.
2. Elegir a los miembros del Comité de Inversiones, así como establecer los lineamientos para el ejercicio de las funciones de dicho comité y realizar un seguimiento al cumplimiento de los mismos.
En particular, la Junta directiva deberá establecer los estándares que deberán ser aplicables para la selección de intermediarios para la realización de operaciones de los fondos de inversión colectiva gestionados por la sociedad, para lo cual deberá fijar criterios objetivos, cuando tales intermediarios sean necesarios.
3. Definir una adecuada estructura organizacional para garantizar el adecuado cumplimiento e independencia de las funciones propias de la actividad de gestión de fondos de inversión colectiva, así como del personal responsable de las mismas.
4. Fijar los procedimientos y políticas para determinar el proceso de valoración del portafolio de los fondos de inversión colectiva gestionados y de sus participaciones, cuando esta haya sido delegada al gestor externo.
5. Determinar las políticas necesarias para adoptar medidas de control y reglas de conducta apropiadas y suficientes, que se orienten a evitar que los fondos de inversión colectiva gestionados puedan ser utilizados como instrumentos para el ocultamiento, manejo, inversión o aprovechamiento en cualquier forma de dineros u otros bienes provenientes de actividades delictivas, para realizar evasión tributaria o para dar apariencia de legalidad a actividades ilícitas o a las transacciones y recursos vinculados con las mismas.
6. Aprobar los manuales para el control y prevención del lavado de activos, de gobierno corporativo incluyendo el código de conducta, de control interno, y los demás necesarios para el cumplimiento de las normas aplicables.
7. Establecer políticas en cualquier otro aspecto que tenga relevancia con el adecuado funcionamiento y la correcta gestión del fondo de inversión colectiva.
8. Diseñar políticas, directrices y procedimientos de gobierno corporativo y de control interno, orientadas a administrar los riesgos que puedan afectar a los fondos de inversión colectiva gestionados.
9. Determinar políticas, directrices y procedimientos para garantizar la calidad de la información divulgada al público en general, a los inversionistas y a la Superintendencia Financiera de Colombia.
10. Establecer políticas y adoptar los mecanismos que sean necesarios para evitar el uso de información privilegiada o reservada y la manipulación de la rentabilidad o del valor de la unidad.
11. Definir las situaciones constitutivas de conflictos de interés, así como los procedimientos para su prevención y administración.
12. Diseñar los mecanismos indispensables para garantizar la independencia de actividades en el gestor externo respecto de otros fondos de inversión colectiva gestionados.
13. Fijar las directrices de los programas de capacitación para los funcionarios encargados de las tareas relacionadas con la gestión de los fondos de inversión colectiva.
14. Definir los mecanismos que serán implementados para el seguimiento del cumplimiento de las funciones del personal vinculado contractualmente al gestor externo, en relación con la gestión del fondo de inversión colectiva.
15. Dictar las políticas y mecanismos para solucionar de manera efectiva y oportuna los problemas detectados y reportados por el gestor externo del fondo de inversión colectiva, o por el revisor fiscal, sobre asuntos que puedan afectar el adecuado funcionamiento y gestión del fondo de inversión colectiva.
PARÁGRAFO. Las obligaciones establecidas en el presente artículo serán aplicables a la junta directiva de la sociedad administradora de fondos de inversión colectiva cuando esta no haya delegado la actividad de gestión de fondos de inversión colectiva en los términos de la presente Parte del presente decreto.
ARTÍCULO 3.1.5.1.3. OBLIGACIONES DE LA JUNTA DIRECTIVA DEL DISTRIBUIDOR ESPECIALIZADO. <Artículo modificado por el artículo 1 del Decreto 1242 de 2013. El nuevo texto es el siguiente:> La junta directiva del distribuidor especializado con respecto a la actividad de distribución de fondos de inversión colectiva deberá cumplir las siguientes obligaciones:
1. Definir las políticas y procedimientos aplicables al desarrollo de la actividad de distribución de fondos de inversión colectiva.
2. Determinar las políticas necesarias para adoptar medidas de control y reglas de conducta apropiadas y suficientes, que se orienten a evitar que los fondos de inversión colectiva distribuidos puedan ser utilizados como instrumentos para el ocultamiento, manejo, inversión o aprovechamiento en cualquier forma de dineros u otros bienes provenientes de actividades delictivas, para realizar evasión tributaria o para dar apariencia de legalidad a actividades ilícitas o a las transacciones y recursos vinculados con las mismas.
3. Aprobar los manuales para el control y prevención del lavado de activos, de gobierno corporativo incluyendo el código de conducta, de control interno, y los demás necesarios para el cumplimiento de las normas aplicables.
4. Establecer políticas en cualquier otro aspecto que tenga relevancia con el adecuado funcionamiento y la correcta distribución de los fondos de inversión colectiva distribuidos.
5. Diseñar políticas, directrices y procedimientos de gobierno corporativo y de control interno, orientadas a administrar los riesgos que puedan afectar a los fondos de inversión colectiva distribuidos.
6. Determinar políticas, directrices y procedimientos para garantizar la calidad de la información divulgada al público en general, a los inversionistas y a la Superintendencia Financiera de Colombia.
7. Establecer políticas y adoptar los mecanismos que sean necesarios para evitar el uso de información privilegiada o reservada.
8. Definir las situaciones constitutivas de conflictos de interés, así como los procedimientos para su prevención y administración.
9. Fijar las directrices de los programas de capacitación para los funcionarios encargados de las tareas relacionadas con la distribución de los fondos de inversión colectiva.
10. Definir los mecanismos que serán implementados para el seguimiento del cumplimiento de las funciones del personal vinculado contractualmente al distribuidor, en relación con la distribución del fondo de inversión colectiva.
11. Dictar las políticas y mecanismos para solucionar de manera efectiva y oportuna los problemas detectados y reportados por las áreas involucradas en la actividad de distribución del fondo de inversión colectiva, y por el revisor fiscal, sobre asuntos que puedan afectar el adecuado ejercicio de dicha actividad.
12. Establecer políticas en cualquier otro aspecto que tenga relevancia con el adecuado funcionamiento y la correcta distribución de los fondos de inversión colectiva distribuidos.
GERENTE DEL FONDO DE INVERSIÓN COLECTIVA.
ARTÍCULO 3.1.5.2.1. GERENTE DEL FONDO DE INVERSIÓN COLECTIVA. <Artículo modificado por el artículo 1 del Decreto 1242 de 2013. El nuevo texto es el siguiente:> Cada fondo de inversión colectiva deberá tener un gerente, persona natural de dedicación exclusiva, con su respectivo suplente, nombrado por la junta directiva del gestor externo, del gestor extranjero o de la sociedad administradora del fondo de inversión colectiva, según sea el caso.
El gerente del fondo de inversión colectiva será el encargado de la ejecución de la gestión del portafolio del fondo de inversión colectiva gestionado, por cuenta de quien realice la actividad de gestión. Dichas decisiones deberán ser tomadas de manera profesional, con la diligencia exigible a un experto prudente y diligente en la gestión de fondos de inversión colectiva, observando la política de inversión del fondo de inversión colectiva, el reglamento y las normas aplicables.
Una misma persona podrá ser gerente de múltiples fondos de inversión colectiva administrados por la sociedad administradora de fondos de inversión colectiva, o gestionados por el gestor externo, o el gestor extranjero, así como de los fondos que hagan parte de una misma familia de fondos de inversión colectiva, o de varias familias de fondos de inversión colectiva.
ARTÍCULO 3.1.5.2.2. CALIDADES PERSONALES DEL GERENTE DEL FONDO DE INVERSIÓN COLECTIVA. <Artículo modificado por el artículo 1 del Decreto 1242 de 2013. El nuevo texto es el siguiente:> El gerente y su respectivo suplente se considerarán como administradores de la sociedad que ejerza la gestión del portafolio del fondo de inversión colectiva, con funciones exclusivamente vinculadas a la gestión de los fondos de inversión colectiva gestionados, y deberán acreditar la experiencia específica en la administración y gestión de los riesgos correspondientes al fondo de inversión colectiva que van a administrar.
Igualmente, deberán contar con la inscripción vigente en el Registro Nacional de Profesionales del Mercado de Valores (RNPMV).
La designación de estos funcionarios no exonera a la junta directiva de la responsabilidad prevista en el artículo 200 del Código de Comercio, o cualquier norma que lo modifique, sustituya o derogue, ni del cumplimiento de los deberes establecidos en las normas legales y en esta Parte del presente decreto.
ARTÍCULO 3.1.5.2.3. FUNCIONES DEL GERENTE DEL FONDO DE INVERSIÓN COLECTIVA. <Artículo modificado por el artículo 1 del Decreto 1242 de 2013. El nuevo texto es el siguiente:> El gerente y, en su ausencia, el respectivo suplente deberán cumplir las siguientes obligaciones, sin perjuicio de las obligaciones propias de los demás administradores de la sociedad administradora de fondos de inversión colectiva:
1. En la toma de decisiones de inversión deberá tener en cuenta las políticas diseñadas por la junta directiva de la sociedad gestora para identificar, medir, gestionar y administrar los riesgos.
2. Documentar con detalle y precisión los problemas detectados en los envíos de información de la sociedad administradora de fondos de inversión colectiva a los inversionistas y a la Superintendencia Financiera de Colombia, categorizados por fecha de ocurrencia, frecuencia e impacto. Así mismo, deberá documentar los mecanismos implementados para evitar la reincidencia de las fallas detectadas.
3. Asegurarse de que la sociedad gestora cuente con personal idóneo para el cumplimiento de las obligaciones de información.
4. Proponer a los órganos de administración el desarrollo de programas, planes y estrategias orientadas al cumplimiento eficaz de las obligaciones de información a cargo de la sociedad gestora.
5. Cumplir con las directrices, mecanismos y procedimientos señalados por la Junta Directiva de la sociedad administradora de fondos de inversión colectiva, y vigilar su cumplimiento por las demás personas vinculadas contractualmente cuyas funciones se encuentren relacionadas con la gestión propia.
6. Informar a la Superintendencia Financiera de Colombia los hechos que imposibiliten o dificulten el cumplimiento de sus funciones, previa información a la junta directiva.
7. Presentar la información a la asamblea de inversionistas, de conformidad con lo señalado en el numeral 15 del artículo 3.1.3.1.3 del presente decreto.
8. Identificar, controlar y gestionar las situaciones generadoras de conflictos de interés, según las reglas establecidas en las normas aplicables y las directrices señaladas por la junta directiva de la sociedad gestora.
9. Acudir a la junta directiva de la sociedad administradora de fondos de inversión colectiva en los eventos en que considere que se requiere su intervención, con la finalidad de garantizar la adecuada gestión del fondo de inversión colectiva.
10. Ejercer una supervisión permanente sobre el personal vinculado a la gestión del portafolio fondo de inversión colectiva gestionado, y
11 Las demás asignadas por la junta directiva de la sociedad gestora, sin perjuicio de las responsabilidades asignadas a la misma.
PARÁGRAFO. El suplente solo actuará en caso de ausencias temporales o absolutas del principal.
COMITÉ DE INVERSIONES.
ARTÍCULO 3.1.5.3.1. COMITÉ DE INVERSIONES. <Artículo modificado por el artículo 1 del Decreto 1242 de 2013. El nuevo texto es el siguiente:> El gestor externo o el gestor extranjero, o la sociedad administradora de fondos de inversión colectiva en caso de que no haya gestor externo o extranjero, deberán constituir un comité de inversiones, responsable del análisis de las inversiones y de los emisores, así como de la definición de los cupos de inversión y las políticas para adquisición y liquidación de inversiones, teniendo en cuenta la política de riesgos de la entidad administradora y del fondo de inversión colectiva. Podrá haber un mismo comité de inversiones para todos los fondos de inversión colectiva gestionados por la correspondiente sociedad administradora o gestor externo o extranjero según corresponda.
Los miembros del comité de inversiones se considerarán administradores de acuerdo con lo dispuesto en el artículo 22 de la Ley 222 de 1995 o cualquier otra norma que lo modifique, sustituya o derogue.
La constitución del comité de inversiones no exonera a la junta directiva de la Sociedad Administradora de Fondos de Inversión Colectiva o al gestor externo, cuando exista, de la responsabilidad prevista en el artículo 200 del Código de Comercio o cualquier otra norma que lo modifique, sustituya o derogue, ni del cumplimiento de los deberes establecidos en las normas legales y en la normatividad aplicable.
REVISOR FISCAL.
ARTÍCULO 3.1.5.4.1. REVISOR FISCAL. <Artículo modificado por el artículo 1 del Decreto 1242 de 2013. El nuevo texto es el siguiente:> El Revisor Fiscal de la respectiva Sociedad Administradora de Fondos de Inversión Colectiva, del gestor externo y del distribuidor especializado ejercerá las funciones propias de su cargo respecto de cada uno de los Fondos de Inversión Colectiva que la respectiva entidad administre, gestione o distribuya. Los reportes o informes relativos al Fondo de Inversión Colectiva se deberán presentar de forma independiente a los referidos a la Sociedad Administradora, gestor externo o distribuidor especializado.
La Revisoría Fiscal está conformada por todo el equipo técnico y humano designado para tal fin. Dicha revisoría debe ser dirigida por un Revisor Fiscal, que podrá ser una persona natural o jurídica, de conformidad con las disposiciones especiales sobre el particular.
PARÁGRAFO. La existencia de la Revisoría Fiscal no impide que el respectivo Fondo de Inversión Colectiva contrate un auditor externo, con cargo a sus recursos, según las reglas que se establezcan en el reglamento en cuanto hace a sus funciones y designación.
DERECHOS DE LOS INVERSIONISTAS.
ARTÍCULO 3.1.5.5.1. DERECHOS DE LOS INVERSIONISTAS. <Artículo modificado por el artículo 1 del Decreto 1242 de 2013. El nuevo texto es el siguiente:> Además de los expresamente pactados en el reglamento y de aquellos asignados por normas especiales, por las normas de protección al consumidor financiero y por las normas de protección a los inversionistas en el mercado de valores, los inversionistas o los beneficiarios designados por ellos, tendrán los siguientes derechos:
1. Participar en los resultados económicos generados del giro ordinario de las operaciones del Fondo de Inversión Colectiva.
2. Examinar los documentos relacionados con el Fondo de Inversión Colectiva, en la forma y términos previstos en el reglamento, a excepción de aquellos que se refieran exclusivamente a los demás inversionistas, los cuales nunca podrán ser consultados por inversionistas diferentes del propio interesado.
El reglamento deberá incluir la oportunidad para ejercer dicho examen, el cual tendrá lugar, cuando menos, dentro de los quince (15) días hábiles siguientes a la terminación de cada semestre calendario.
3. Negociar sus participaciones en el Fondo de Inversión Colectiva, de conformidad con la naturaleza de los documentos representativos de dichas participaciones.
4. Solicitar la redención total o parcial de sus participaciones en el Fondo de Inversión Colectiva, de conformidad con lo establecido en el reglamento, y
5. Ejercer los derechos políticos derivados de su participación, a través de la asamblea de inversionistas.
6. Recibir un trato igualitario cuando se encuentre en igualdad de circunstancias objetivas con otros inversionistas del mismo Fondo de Inversión Colectiva.
ASAMBLEA DE INVERSIONISTAS.
ARTÍCULO 3.1.5.6.1. ASAMBLEA DE INVERSIONISTAS. <Artículo modificado por el artículo 1 del Decreto 1242 de 2013. El nuevo texto es el siguiente:> La asamblea la constituyen los inversionistas del Fondo de Inversión Colectiva, reunidos con el quórum y en las condiciones establecidas en esta Parte del presente decreto. En lo no previsto en el mismo, se aplicarán las normas del Código de Comercio previstas para la asamblea de accionistas de la sociedad anónima, cuando no sean contrarias a su naturaleza.
ARTÍCULO 3.1.5.6.2. REUNIONES DE LA ASAMBLEA DE INVERSIONISTAS. <Artículo modificado por el artículo 2 del Decreto 1984 de 2018. El nuevo texto es el siguiente:> La asamblea de inversionistas se reunirá cuando sea convocada por la sociedad administradora de fondos de inversión colectiva, por el gestor externo en caso de que exista, por el revisor fiscal, por inversionistas del fondo de inversión colectiva que representen no menos del veinticinco por ciento (25%) de las participaciones, o por la Superintendencia Financiera de Colombia.
El respectivo orden del día deberá figurar en la convocatoria, la cual deberá realizarse a través de una publicación en un diario de amplia circulación nacional señalado para el efecto en el reglamento y en el sitio web de la sociedad administradora de fondos de inversión colectiva.
La asamblea podrá deliberar con la presencia de un número plural de inversionistas que represente como mínimo el cincuenta y uno por ciento (51%) de las participaciones del respectivo fondo de inversión colectiva.
Salvo que el reglamento prevea una mayoría superior, que no podrá superar el setenta por ciento (70%) de las participaciones presentes en la respectiva reunión, las decisiones de la asamblea se tomarán mediante el voto favorable de por lo menos la mitad más una de las participaciones presentes en la respectiva reunión. Cada participación otorga un voto.
Para efectos de lo previsto en el presente artículo, la participación de la sociedad administradora de fondos de inversión colectiva como inversionista del fondo de inversión colectiva que administra, no se tendrá en cuenta para determinar el quórum deliberatorio ni le dará derecho a voto alguno.
ARTÍCULO 3.1.5.6.3. FUNCIONES DE LA ASAMBLEA DE INVERSIONISTAS. <Artículo modificado por el artículo 1 del Decreto 1242 de 2013. El nuevo texto es el siguiente:> Son funciones de la asamblea de inversionistas, además de las señaladas en el reglamento:
1. Designar, cuando lo considere conveniente, un auditor externo para el Fondo de Inversión Colectiva.
2. Disponer que la administración del Fondo de Inversión Colectiva se entregue a otra sociedad legalmente autorizada para el efecto.
3. Decretar la liquidación del Fondo de Inversión Colectiva y, cuando sea del caso, designar el liquidador.
4. Aprobar o improbar el proyecto de fusión del Fondo de Inversión Colectiva.
5. Solicitar a la Sociedad Administradora de Fondos de Inversión Colectiva realizar la remoción del gestor externo, de conformidad con las causales descritas en el reglamento.
6. Las demás expresamente asignadas por el presente decreto.
PARÁGRAFO. Cuando quiera que se opte por el sistema del voto por escrito, para las reuniones adelantadas de conformidad con el artículo 20 de la Ley 222 de 1995 o cualquier otra norma que lo modifique, sustituya o derogue, os documentos que se envíen a los inversionistas deben contener la información necesaria, a fin de que estos dispongan de elementos de juicio suficientes y adecuados para tomar la respectiva decisión.
ARTÍCULO 3.1.5.6.4. CONSULTA UNIVERSAL. <Artículo modificado por el artículo 1 del Decreto 1242 de 2013. El nuevo texto es el siguiente:> Como alternativa a la realización de asambleas de inversionistas, en el reglamento del Fondo de Inversión Colectiva se podrá establecer que se realizará una consulta escrita a todos los inversionistas del respectivo Fondo de Inversión Colectiva, de conformidad con el siguiente procedimiento:
1. La decisión de adelantar la consulta será informada a la Superintendencia Financiera de Colombia, quien podrá presentar observaciones a la misma.
2. Se elaborará una consulta, en la cual se debe detallar os temas que serán objeto de votación, incluyendo la información necesaria para adoptar una decisión consciente e informada.
3. La Sociedad Administradora de Fondos de Inversión Colectiva deberá enviar el documento contentivo de la consulta a la dirección física o electrónica registrada por cada uno de los inversionistas.
4. Una vez remitida la consulta, los inversionistas podrán solicitar a la Sociedad Administradora de Fondos de Inversión Colectiva, en un plazo que no exceda de quince (15) días, toda la información que consideren conveniente en relación con el Fondo de Inversión Colectiva. Esta información deberá ser puesta a su disposición a través de los medios más idóneos para tal fin.
5. Los inversionistas deberán responder a la consulta dirigiendo una comunicación a la dirección de la Sociedad Administradora del respectivo Fondo de Inversión Colectiva o al correo electrónico que la Sociedad Administradora de Fondos de Inversión Colectiva destine para este fin, dentro de los treinta (30) días siguientes a la recepción del documento contentivo de la consulta.
6. Para que la consulta sea válida se requiere que responda al menos el cincuenta y uno por ciento (51%) de las participaciones del Fondo de Inversión Colectiva, sin tener en cuenta la participación de la Sociedad Administradora, salvo que el reglamento prevea un porcentaje superior, que no podrá superar el setenta por ciento (70%) de las participaciones.
7. Las decisiones se tomarán de acuerdo con las mayorías establecidas en el artículo 3.1.5.6.2 del presente decreto.
8. Para el conteo de votos la Sociedad Administradora de Fondos de Inversión Colectiva deberá documentar el número de comunicaciones recibidas, así como los votos a favor y en contra de la consulta.
9. La Sociedad Administradora deberá informar a la Superintendencia Financiera de Colombia los resultados de la consulta, allegando para tal fin un escrito detallado de la misma y las decisiones adoptadas, el cual deberá ser suscrito por el gerente del respectivo Fondo de Inversión Colectiva y el Revisor Fiscal, y
10. La decisión adoptada por el mecanismo de la consulta deberá ser informada a los inversionistas a través de la página web de la Sociedad Administradora de Fondos de Inversión Colectiva.
FONDOS DE INVERSIÓN COLECTIVA DEL MERCADO MONETARIO.
ARTÍCULO 3.2.1.1.1. DEFINICIÓN DE FONDOS DE INVERSIÓN COLECTIVA DEL MERCADO MONETARIO. <Artículo modificado por el artículo 1 del Decreto 1242 de 2013. El nuevo texto es el siguiente:> Se considerarán Fondos de Inversión Colectiva del Mercado Monetario aquellos Fondos de Inversión Colectiva abiertos sin pacto de permanencia, cuyo portafolio esté constituido exclusivamente con valores denominados en moneda nacional o unidades representativas de moneda nacional, inscritos en el Registro Nacional de Valores y Emisores (RNVE), calificados por una sociedad legalmente habilitada para el efecto con mínimo de grado de inversión, salvo los títulos de deuda pública emitidos o garantizados por la Nación, por el Banco de la República o por el Fondo de Garantías de Instituciones Financieras (Fogafín), los cuales no requerirán calificación.
El plazo máximo promedio ponderado para el vencimiento de los valores en que invierta el fondo no podrá superar los trescientos sesenta y cinco (365) días.
ARTÍCULO 3.2.1.1.2. LÍMITES A LA PARTICIPACIÓN POR INVERSIONISTA. <Artículo modificado por el artículo 1 del Decreto 1242 de 2013. El nuevo texto es el siguiente:> En los Fondos de Inversión Colectiva del Mercado Monetario será aplicable la prohibición establecida en el artículo 3.1.1.6.2 del presente decreto.
ARTÍCULO 3.2.1.1.3. REDENCIÓN DE PARTICIPACIONES. <Artículo modificado por el artículo 1 del Decreto 1242 de 2013. El nuevo texto es el siguiente:> La redención de participaciones en el caso de los Fondos de Inversión Colectiva del Mercado Monetario deberá realizarse al día hábil siguiente de la solicitud.
ARTÍCULO 3.2.1.1.4. APLICACIÓN DE NORMAS DE LA PRESENTE PARTE A LOS FONDOS DE INVERSIÓN COLECTIVA DEL MERCADO MONETARIO. <Artículo modificado por el artículo 1 del Decreto 1242 de 2013. El nuevo texto es el siguiente:> A los fondos de inversión colectiva del Mercado Monetario a que se refiere el presente libro, le serán aplicables las reglas previstas en la presente parte del presente decreto, siempre que no resulten incompatibles con la naturaleza propia de tales fondos y no se opongan a las reglas especiales previstas en este libro.
FONDOS DE CAPITAL PRIVADO.
ÁMBITO DE APLICACIÓN Y PRINCIPIOS DE LOS FONDOS DE CAPITAL PRIVADO.
ARTÍCULO 3.3.1.1.1 ÁMBITO DE APLICACIÓN DEL PRESENTE LIBRO. <Artículo modificado por el artículo 1 del Decreto 1984 de 2018. El nuevo texto es el siguiente:> Los fondos de capital privado a que se refiere el presente Libro solo podrán ser administrados por sociedades comisionistas de bolsa de valores, sociedades fiduciarias y sociedades administradoras de inversión.
Las sociedades mencionadas, en relación con la administración de fondos de capital privado, únicamente estarán sujetas a lo previsto en el presente Libro, y no le serán aplicables las normas del Libro 1 de la Parte 3 del presente decreto.
ARTÍCULO 3.3.1.1.2 PROFESIONALIDAD. <Artículo modificado por el artículo 1 del Decreto 1984 de 2018. El nuevo texto es el siguiente:> Las sociedades administradoras de fondos de capital privado deberán actuar de manera profesional, con la diligencia exigible a un experto prudente y diligente en la administración de fondos de capital privado.
La administración y la gestión de los fondos de capital privado deberán realizarse en las mejores condiciones posibles para los inversionistas, teniendo en cuenta las características de las operaciones a ejecutar, la situación del mercado al momento de la ejecución, los costos asociados, la oportunidad de generar valor, las previsiones del reglamento y la política de inversión de cada fondo de capital privado y demás factores relevantes.
ARTÍCULO 3.3.1.1.3 SEGREGACIÓN. <Artículo modificado por el artículo 1 del Decreto 1984 de 2018. El nuevo texto es el siguiente:> Los activos que formen parte del fondo de capital privado constituyen un patrimonio independiente y separado de los activos propios de la sociedad administradora de fondos de capital privado, del gestor profesional y de los inversionistas, así como, de aquellos que esta administre en virtud de otros negocios.
Los activos del fondo de capital privado no hacen parte de los de la sociedad administradora de fondos de capital privado, no constituyen prenda general de los acreedores de esta y estarán excluidos de la masa de bienes que pueda conformarse para efectos de cualquier procedimiento de insolvencia o de cualquier otra acción contra la sociedad administradora.
Cuando la sociedad administradora actúe por cuenta de un fondo de capital privado se considerará que compromete únicamente los recursos del respectivo fondo.
PARÁGRAFO. Los activos que conforman cada compartimento de un fondo de capital privado, constituyen un patrimonio independiente y separado de los demás compartimentos del fondo de capital privado al que pertenecen.
ARTÍCULO 3.3.1.1.4 PREVALENCIA DE LOS INTERESES DE LOS INVERSIONISTAS. <Artículo modificado por el artículo 1 del Decreto 1984 de 2018. El nuevo texto es el siguiente:> Las sociedades administradoras de fondos de capital privado deberán administrar dichos fondos dando prevalencia a los intereses de los inversionistas sobre cualquier otro interés, incluyendo los de la sociedad administradora; sus filiales o subsidiarias, su matriz o las filiales o subsidiarias de esta; sus accionistas; sus administradores; sus funcionarios o cualquier persona vinculada o relacionada con los anteriores.
ARTÍCULO 3.3.1.1.5 PREVENCIÓN Y ADMINISTRACIÓN DE CONFLICTOS DE INTERÉS. <Artículo modificado por el artículo 1 del Decreto 1984 de 2018. El nuevo texto es el siguiente:> Las sociedades administradoras de fondos de capital privado, o el gestor profesional, en caso de existir, deberán establecer en sus normas de gobierno corporativo, las políticas y los mecanismos idóneos que les permitan identificar, prevenir y administrar los posibles conflictos de interés en los que pueda incurrir cualquiera de sus funcionarios, la sociedad administradora o el gestor profesional, de conformidad con las reglas previstas en esta Parte.
ARTÍCULO 3.3.1.1.6 TRATO EQUITATIVO ENTRE LOS INVERSIONISTAS CON CARACTERÍSTICAS SIMILARES. <Artículo modificado por el artículo 1 del Decreto 1984 de 2018. El nuevo texto es el siguiente:> En la administración de los fondos de capital privado, la sociedad administradora de fondos de capital privado está obligada a otorgar igual tratamiento a los inversionistas que se encuentren en las mismas condiciones objetivas.
ARTÍCULO 3.3.1.1.7 PRESERVACIÓN DEL BUEN FUNCIONAMIENTO DEL FONDO DE CAPITAL PRIVADO E INTEGRIDAD DE MERCADO EN GENERAL. <Artículo modificado por el artículo 1 del Decreto 1984 de 2018. El nuevo texto es el siguiente:> Las sociedades administradoras de fondos de capital privado en desarrollo de sus actividades deberán actuar evitando la ocurrencia de situaciones que pongan en riesgo la normal y adecuada continuidad de la operación de los fondos bajo su administración o la integridad del mercado.
ARTÍCULO 3.3.1.1.8 EXTENSIÓN DE LOS PRINCIPIOS. <Artículo modificado por el artículo 1 del Decreto 1984 de 2018. El nuevo texto es el siguiente:> Cuando la actividad de gestión de los fondos de capital privado sea desarrollada por parte de sujetos diferentes a la sociedad administradora de fondos de capital privado, tales sujetos en el desarrollo de dichas actividades, deberán aplicar en los mismos términos, los principios y deberes mencionados en los artículos anteriores.
DEFINICIÓN Y CONSTITUCIÓN DE LOS
FONDOS DE CAPITAL PRIVADO.
DEFINICIÓN DE FONDOS DE CAPITAL PRIVADO.
ARTÍCULO 3.3.2.1.1 DEFINICIÓN DE FONDOS DE CAPITAL PRIVADO. <Artículo modificado por el artículo 1 del Decreto 1984 de 2018. El nuevo texto es el siguiente:> Los fondos de capital privado son fondos de inversión colectiva cerrados que deben destinar al menos las dos terceras partes (2/3) de los aportes de sus inversionistas a la adquisición de activos o derechos de contenido económico diferentes a valores inscritos en el Registro Nacional de Valores y Emisores (RNVE). Para efectos de este cálculo, no computarán los activos que indirectamente impliquen inversiones en valores inscritos en el Registro Nacional de Valores y Emisores (RNVE).
Los fondos de capital privado serán cerrados, lo cual implica que la sociedad administradora de fondos de capital privado únicamente estará obligada a redimir las participaciones de los inversionistas al final del plazo previsto para la duración del fondo de capital privado. En todo caso, podrán crearse fondos de capital privado en los cuales se establezcan plazos determinados para realizar la redención de las participaciones, los cuales deberán estar previamente determinados en el reglamento. El plazo mínimo de redención de las participaciones en estos fondos de capital privado no podrá ser inferior a treinta (30) días comunes.
PARÁGRAFO 1. Los activos emitidos para la financiación de proyectos de infraestructura bajo el esquema de Asociaciones Público Privadas (APP) descrito en la Ley 1508 de 2012, computarán para el límite de las dos terceras partes (2/3) descrito en el presente artículo, incluyendo aquellos valores que se encuentren inscritos en el Registro Nacional de Valores y Emisores (RNVE). En todo caso, estos fondos podrán invertir en deuda emitida por un concesionario constituido para desarrollar proyectos de infraestructura bajo el esquema de Asociaciones Público Privadas (APP) descrito en la Ley 1508 de 2012, en forma directa o indirecta a través de un patrimonio autónomo o una universalidad. Así mismo, podrán otorgar créditos y comprar cartera, siempre que en ambos casos estén destinados a la financiación de dichos proyectos.
PARÁGRAFO 2. Los fondos de capital privado cuya política de inversión tenga como objeto los activos de que trata el artículo 3.5.1.1.2 del presente decreto, podrán destinar hasta el ciento por ciento (100%) de los aportes de sus inversionistas a la inversión en dichos activos, y se regirán por las disposiciones establecidas en el presente Libro.
PARÁGRAFO 3. Las inversiones realizadas por los fondos de capital privado cuya política de inversión principal sea invertir en valores representativos de los derechos de participación de otros fondos de capital privado inscritos en el Registro Nacional de Valores y Emisores (RNVE), no computarán dentro del límite establecido en el inciso primero del presente artículo.
En este caso el reglamento del respectivo fondo de capital privado deberá identificar los costos y comisiones que se asumen por la realización de estas inversiones, la identificación, gestión y administración de los posibles conflictos de interés generados, y determinar la estrategia y objetivo de inversión del respectivo fondo.
CONSTITUCIÓN DE LOS FONDOS DE CAPITAL PRIVADO.
ARTÍCULO 3.3.2.2.1 REQUISITOS PARA LA CONSTITUCIÓN Y FUNCIONAMIENTO DE LOS FONDOS DE CAPITAL PRIVADO. <Artículo modificado por el artículo 1 del Decreto 1984 de 2018. El nuevo texto es el siguiente:> Las sociedades administradoras, al momento de la constitución y durante la vigencia del fondo de capital privado, deberán cumplir con los siguientes requisitos:
1. Tener capacidad administrativa e infraestructura tecnológica y operativa suficiente para administrar el respectivo fondo de capital privado, o para realizar las actividades de gestión en caso de no haber sido delegada.
2. Contar con personal idóneo y de dedicación exclusiva que se encargue de la administración de fondos de inversión colectiva y/o de fondos de capital privado. La exclusividad únicamente se predicará del gerente del fondo de capital privado, en los casos que no exista un gestor profesional.
3. Tener una adecuada estructura de control interno.
4. Tener implementado un sistema integral de información del fondo de capital privado.
5. Tener y cumplir con códigos de buen gobierno corporativo, incluyendo un código de conducta para la administración de los fondos de capital privado; en este sentido, las sociedades administradoras deberán adoptar criterios éticos y de conducta encaminados a preservar los derechos de los inversionistas de los fondos de capital privado bajo su administración, incluyendo el establecimiento de reglas claras y concretas que permitan realizar un control a la gestión de los administradores de la misma, sobre el cumplimiento de las obligaciones y responsabilidades asignadas, así como sobre la gestión, administración y revelación a los inversionistas de los posibles conflictos de interés que puedan afrontar tanto la sociedad administradora como sus administradores y funcionarios.
6. Contar con planes de contingencia y continuidad de la operación, cuya finalidad primordial sea prevenir y, en caso de ser necesario, solucionar los problemas, fallas e incidentes, que se puedan presentar en cualquiera de los dispositivos de procesamiento y conservación, que conforman el sistema integral de manejo y procesamiento de la información de los fondos de capital privado bajo administración.
7. Contar con un sistema de gestión y administración de los riesgos asociados con la administración de fondos de capital privado.
8. Contratar una entidad que preste los servicios de custodia de valores en los términos establecidos en el Libro 37 de la Parte 2 del presente decreto, cuando haya lugar a ello.
No obstante lo anterior, no será necesario obtener autorización previa de la Superintendencia Financiera de Colombia para la constitución del respectivo fondo de capital privado, sino que bastará con allegar de manera previa la documentación prevista en el presente artículo, junto con el reglamento del fondo de capital privado y el perfil de la persona que actuará como gestor profesional, en caso de que se opte por su contratación.
Así mismo, no será obligatorio contar con la cobertura a que se refiere el artículo 3.1.1.3.4 del presente decreto.
La Superintendencia Financiera de Colombia instruirá la forma en que se verifique el cumplimiento de los anteriores requisitos.
ARTÍCULO 3.3.2.2.2 TIPOS DE PARTICIPACIONES. <Artículo modificado por el artículo 1 del Decreto 1984 de 2018. El nuevo texto es el siguiente:> Bajo un mismo reglamento y plan de inversiones, los fondos de capital privado podrán tener diferentes tipos de participaciones creadas de conformidad con los tipos de inversionistas que se vinculen al fondo de capital privado. Sin perjuicio de la aplicación del principio de trato equitativo a los inversionistas que se encuentren en las mismas condiciones objetivas, cada tipo de participación podrá otorgar derechos y obligaciones diferentes a los inversionistas que las adquieran, en aspectos tales como monto de las comisiones de administración y reglas para realizar los aportes y redimir las participaciones del fondo de capital privado. A su vez cada tipo de participación dará lugar a un valor de unidad independiente y a valores representativos de los derechos de participación de los inversionistas diferentes.
ARTÍCULO 3.3.2.2.3 CONSTITUCIÓN DE PARTICIPACIONES. <Artículo modificado por el artículo 1 del Decreto 1984 de 2018. El nuevo texto es el siguiente:> Las participaciones en el fondo de capital privado se constituirán una vez el inversionista realice la entrega efectiva y la plena identificación de la propiedad de los recursos correspondientes. En todo caso, los inversionistas de los fondos de capital privado podrán comprometerse a suscribir participaciones a través de una promesa en la cual se obliguen incondicionalmente a pagar una determinada suma de dinero en las condiciones y el plazo establecidos en el reglamento, de acuerdo con las necesidades de capital del respectivo fondo de capital privado. En este último caso, las participaciones respectivas se constituirán una vez se materialice dicho compromiso y se revele contablemente de conformidad con las normas aplicables.
La sociedad administradora de fondos de capital privado deberá entregar la constancia documental de la entrega de los recursos y, dentro de los dos (2) días hábiles siguientes al momento de recibir los aportes producto del llamado de capital, deberá poner a disposición del inversionista el documento representativo de su inversión con la indicación del número de unidades correspondientes a su participación en el respectivo fondo de capital privado.
<Inciso modificado por el artículo 1 del Decreto 1291 de 2020. El nuevo texto es el siguiente:> Cuando se trate de clientes inversionistas, el monto para constituir participaciones en fondos de capital privado, o para comprometerse a constituirlas, no podrá ser superior al veinte por ciento (20%) de sus ingresos anuales o de su patrimonio, el que resulte mayor. El cumplimiento de lo dispuesto en el presente inciso deberá ser verificado por la sociedad administradora de fondos de capital privado al momento de la firma del compromiso de inversión.
<Inciso adicionado por el artículo 1 del Decreto 1291 de 2020. El nuevo texto es el siguiente:> Para efectos de verificar que los clientes inversionistas cumplan con los límites establecidos en el inciso anterior, el inversionista deberá manifestar que los recursos que tenga invertidos o desee invertir, en conjunto, en fondos de capital privado no excede el límite del que trata el inciso anterior, y que se sujetará a dicho límite de manera permanente.
<Inciso adicionado por el artículo 1 del Decreto 1291 de 2020. El nuevo texto es el siguiente:> En cualquier caso, la sociedad administradora de fondos de capital privado podrá fijar montos mínimos para la constitución de participaciones en su reglamento.
PARÁGRAFO. El reglamento podrá establecer que se acepten aportes en especie, de conformidad con la política de inversiones, en cuyo caso se deberán establecer en el reglamento los criterios aplicables para la valoración de dichos aportes y, de ser el caso, la permanencia mínima o no para los inversionistas que realicen este tipo de aportes.
ARTÍCULO 3.3.2.2.4 COMERCIALIZACIÓN DE LAS PARTICIPACIONES DEL FONDO DE CAPITAL PRIVADO. <Artículo modificado por el artículo 1 del Decreto 1984 de 2018. El nuevo texto es el siguiente:> Las participaciones de los fondos de capital privado podrán ser comercializadas, por parte del gestor profesional del fondo de capital privado, la sociedad administradora del respectivo fondo, así como, por las sociedades mencionadas en el artículo 3.3.1.1.1 del presente decreto. En este último caso, la comercialización se realizará en nombre y por cuenta de la sociedad administradora del fondo de capital privado y así deberá ser informado al inversionista.
Las reglas para desarrollar la comercialización del fondo de capital privado deberán estar descritas en el reglamento del respectivo fondo, y deberán establecer como mínimo el cumplimiento de la declaración establecida en el artículo siguiente. En todo caso deberán dar cumplimiento a los requisitos de constitución de los fondos de capital privado establecidos en el presente Libro.
La comercialización descrita en el presente artículo no constituye ejercicio alguno de la actividad de distribución de los fondos de inversión colectiva, la cual no es aplicable a los fondos de capital privado, sin perjuicio de lo establecido en el parágrafo del presente artículo.
PARÁGRAFO. Las cuentas ómnibus administradas por las sociedades mencionadas en el artículo 3.3.1.1.1 del presente decreto, podrán ser inversionistas de los fondos de capital privado.
<Inciso modificado por el artículo 2 del Decreto 1291 de 2020. El nuevo texto es el siguiente:> En todo caso, el requisito establecido en el artículo 3.3.2.2.3 del presente decreto relacionado con el monto máximo para constituir participaciones, deberá ser cumplido por cada uno de los clientes inversionistas que hagan parte de la respectiva cuenta ómnibus. La entidad que actúe como sociedad administradora de la cuenta ómnibus será la encargada de dar cumplimiento al requisito previamente mencionado.
ARTÍCULO 3.3.2.2.5 DECLARACIÓN DEL INVERSIONISTA DEL FONDO DE CAPITAL PRIVADO. <Artículo modificado por el artículo 1 del Decreto 1984 de 2018. El nuevo texto es el siguiente:> Al momento de la vinculación del inversionista al fondo de capital privado, la sociedad administradora deberá realizar un procedimiento de perfilamiento del riesgo del respectivo inversionista y proceder de conformidad con el mismo, de lo cual deberá entregar una constancia al inversionista.
El inversionista de manera expresa deberá dejar constancia de la recepción de una copia del reglamento del fondo de capital privado, así como del entendimiento y aceptación de los riesgos asumidos en la inversión, así como de la naturaleza y funcionamiento del fondo de capital privado.
PARÁGRAFO. En el evento en que exista un comercializador del fondo de capital privado, el deber que trata el presente artículo deberá ser cumplido por este.
ARTÍCULO 3.3.2.2.6 NÚMERO MÍNIMO DE INVERSIONISTAS. <Artículo modificado por el artículo 1 del Decreto 1984 de 2018. El nuevo texto es el siguiente:> Los fondos de capital privado deberán tener mínimo dos inversionistas.
ARTÍCULO 3.3.2.2.7 DOCUMENTOS REPRESENTATIVOS DE LAS PARTICIPACIONES EN LOS FONDOS DE CAPITAL PRIVADO. <Artículo modificado por el artículo 1 del Decreto 1984 de 2018. El nuevo texto es el siguiente:> Los derechos de participación de los inversionistas de los fondos de capital privado estarán representados en documentos que tendrán la calidad de valores en los términos del artículo 2o de la Ley 964 de 2005 y las normas que la reglamenten, modifiquen, sustituyan o deroguen, de conformidad con lo establecido en el reglamento del fondo de capital privado.
Los valores representativos de los derechos de participación de los inversionistas de los fondos de capital privado, podrán estar inscritos o no en el Registro Nacional de Valores y Emisores (RNVE), de conformidad con lo establecido en el reglamento.
Cuando la asamblea de inversionistas del fondo de capital privado, previo análisis de conveniencia económica realizado por el gestor profesional o la sociedad administradora, decida que los valores que representen la participación del respectivo fondo de capital privado se negocien en sistemas de negociación de valores, deberán ser inscritos en el Registro Nacional de Valores y Emisores (RNVE) y establecerlo expresamente en el respectivo reglamento y dar cumplimiento a las normas establecidas para los emisores de valores señaladas en el presente decreto.
En el caso de realizarse la inscripción en el RNVE el reglamento deberá prever adicionalmente, las reglas e información asociadas a los costos y gastos de inscripción y mantenimiento que correspondan y la forma en la cual serán sufragados.
La sociedad administradora podrá modificar la condición de inscripción de los valores de que trata el presente artículo en el Registro Nacional de Valores y Emisores (RNVE) previa modificación del reglamento aprobada por la asamblea de inversionistas.
ARTÍCULO 3.3.2.2.8 NEGOCIACIÓN DE LAS PARTICIPACIONES DE LOS FONDOS DE CAPITAL PRIVADO EN EL MERCADO DE VALORES. <Artículo modificado por el artículo 1 del Decreto 1984 de 2018. El nuevo texto es el siguiente:> La negociación de los documentos representativos de las participaciones de los fondos de capital privado deberá realizarse de conformidad con las normas que regulan el funcionamiento del mercado de valores, incluyendo las condiciones de monto mínimo descritas en el artículo 3.3.2.2.3 del presente decreto. La cual deberá ser autorizada expresamente por parte de la asamblea de inversionistas.
<Inciso adicionado por el artículo 3 del Decreto 1291 de 2020. El nuevo texto es el siguiente:> Cuando las unidades de participación del fondo de capital privado se encuentren listadas en un sistema de negociación, la verificación de los requisitos establecidos en el artículo 3.3.2.2.3. del presente decreto deberá ser realizada por el intermediario que participe en el proceso de negociación, el cual tendrá como cierta la información entregada por el inversionista.
ARTÍCULO 3.3.2.2.9 COMPARTIMENTOS. <Artículo modificado por el artículo 1 del Decreto 1984 de 2018. El nuevo texto es el siguiente:> Podrán crearse fondos de capital privado con compartimentos bajo un único reglamento, para lo cual cada compartimiento deberá seguir las siguientes reglas:
1. Tener una denominación específica, la cual incluirá la denominación del fondo de capital privado.
2. Contar con planes de inversión diferentes, los cuales indicarán el tipo de empresas o proyectos económicos en los que se pretenda participar y los criterios para la selección, dentro de los cuales se incluirá información sobre los sectores económicos en que se desarrolla el proyecto y el área geográfica de su localización.
3. Establecer los mecanismos idóneos para determinar los activos que hagan parte del mismo y los que se gestionen de manera común con otros compartimentos.
4. Establecer los mecanismos idóneos para determinar los gastos de gestión de los activos que conforman el compartimento y la forma en que serán sufragados. Así como, la determinación de los costos de la gestión de los activos que son comunes con otros compartimentos.
5. Podrá iniciar operaciones en momentos diferentes.
6. Deberá ser constituido con más de un inversionista, salvo el caso de la coinversión establecido en el parágrafo 2 del presente artículo.
7. Podrá establecer comisiones de administración y gestión diferentes respecto de otros compartimentos.
Cada compartimiento dará lugar a la emisión de sus propios documentos negociables representativos de las participaciones. Estas participaciones a su vez, serán representativas de una alícuota sobre el fondo de capital privado.
La posibilidad de crear compartimentos deberá estar claramente establecida en el reglamento del fondo de capital privado, en el cual se deberán señalar los criterios para su constitución, las características que los diferencian entre sí y los procedimientos para su creación.
A los compartimentos les serán aplicables todas las previsiones del presente Libro, sin perjuicio de lo establecido en el presente artículo.
PARÁGRAFO 1. Como excepción a lo establecido en el numeral 2 del presente artículo, podrán crearse bajo un único reglamento y un mismo plan de inversiones, compartimentos en los que se definan diversas clases de inversionistas, a los cuales se les otorguen derechos y obligaciones diferentes, incluyendo la posibilidad de establecer subordinaciones para las redenciones.
PARÁGRAFO 2. Para efectos del presente Libro se entiende por coinversión cuando dos o más inversionistas comparten la titularidad de la inversión de un activo, caso en el cual los inversionistas podrán tener o no participaciones en el fondo de capital privado o sus compartimentos.
Cuando se presenten casos de coinversión dentro del fondo de capital privado, los compartimentos podrán estar constituidos por un solo inversionista.
PARÁGRAFO 3. <Parágrafo modificado el artículo 90 del Decreto 1745 de 2020. El nuevo texto es el siguiente:> Para el cumplimiento de las disposiciones establecidas en el régimen de inversiones de los fondos de pensiones obligatorias y de cesantía, así como en el de las reservas técnicas de las entidades aseguradoras, debe considerarse cada compartimento de manera independiente.
Cuando se presente coinversión en los términos del parágrafo 2o. del presente artículo, deben considerarse, a efectos del cumplimiento al que se refiere el inciso anterior, las participaciones de los compartimentos en los que es titular el inversionista y los activos subyacentes objeto de la coinversión.
POLÍTICA DE INVERSIÓN DE LOS FONDOS DE CAPITAL PRIVADO.
ARTÍCULO 3.3.2.3.1 POLÍTICA DE INVERSIÓN. <Artículo modificado por el artículo 1 del Decreto 1984 de 2018. El nuevo texto es el siguiente:> La política de inversión de los fondos de capital privado deberá estar definida de manera previa y clara en el reglamento y deberá contemplar el plan de inversiones y de desinversión, indicando el tipo de empresas o proyectos en las que se pretenda participar y los criterios para la selección, dentro de los cuales se incluirá información sobre los sectores económicos en que se desarrolla la inversión o proyecto, así como el área geográfica de su localización.
ARTÍCULO 3.3.2.3.2 CONTENIDO DE LA POLÍTICA DE INVERSIÓN. <Artículo modificado por el artículo 1 del Decreto 1984 de 2018. El nuevo texto es el siguiente:> La política de inversión del fondo de capital privado deberá contemplar, por lo menos, los siguientes aspectos:
1. Plan de inversiones del fondo de capital privado, indicando, como mínimo, lo siguiente:
a) Objeto del fondo de capital privado;
b) Relación de los activos que se consideran aceptables para invertir, de conformidad con el tipo de fondo de capital privado;
c) Información sobre la naturaleza y las características de las inversiones propuestas;
d) Determinación de la duración de las inversiones del fondo de capital privado, de conformidad con el perfil de riesgo propuesto, tratándose de títulos de renta fija;
e) Determinación del proceso de selección de las inversiones.
f) Criterios para seleccionar los segmentos de mercado en los que podrá invertir el fondo de capital privado.
2. Los parámetros para el manejo de las operaciones del mercado monetario que empleará la sociedad administradora del fondo de capital privado, teniendo en cuenta la clase de fondo de capital privado de que se trate.
3. Perfiles de riesgo del fondo de capital privado, los cuales deberán fundamentarse en la descripción y el análisis de los riesgos que puedan influir en las inversiones. Se deberán incluir mecanismos que permitan identificar los riesgos que afecten el desempeño del fondo de capital privado, así como, políticas para su mitigación;
4. Política de gestión de riesgos, en la cual se deberán describir los riesgos que pueden influir en el resultado del fondo de capital privado, y la manera de administrarlos. Se deberá establecer cuáles riesgos serán gestionados por parte de la sociedad administradora y cuáles, por parte del gestor profesional, en caso de existir.
5. Política respecto de las operaciones o transacciones, incluyendo operaciones de endeudamiento y otorgamiento de garantías, que permitirán ampliar la exposición del fondo de capital privado por encima del valor de su patrimonio. El límite máximo de la exposición y la base de cálculo se determinarán en el reglamento, el cual podrá ser modificado por la asamblea de inversionistas previo concepto del comité de inversiones.
6. Los demás aspectos que establezca la Superintendencia Financiera de Colombia.
ARTÍCULO 3.3.2.3.3 OPERACIONES DE CRÉDITO. <Artículo modificado por el artículo 1 del Decreto 1984 de 2018. El nuevo texto es el siguiente:> El fondo de capital privado podrá realizar operaciones mediante las cuales coloque créditos, siempre que lo establezca el reglamento, y que el Comité de Inversiones autorice las políticas de originación.
1. El reglamento deberá contener disposiciones que establezcan principios, mecanismos e instancias de toma de decisión para prever una administración profesional del riesgo de crédito inherente a estas operaciones, y que garanticen una efectiva valoración de la unidad del fondo considerando los riesgos propios de la actividad.
2. Cuando el fondo de capital privado capte recursos por medio de la emisión de bonos, no podrá realizar operaciones mediante las cuales coloque créditos.
ARTÍCULO 3.3.2.3.4 CALIFICACIÓN DEL FONDO DE CAPITAL PRIVADO. <Artículo modificado por el artículo 1 del Decreto 1984 de 2018. El nuevo texto es el siguiente:> La sociedad administradora del fondo de capital privado podrá establecer en el reglamento la obligación de la calificación del fondo de capital privado, así como la de la sociedad administradora, atendiendo los siguientes criterios:
1. La indicación de si el gasto de la calificación del fondo de capital privado correrá a cargo de la sociedad administradora o del respectivo fondo de capital privado. La calificación de la sociedad administradora sobre la habilidad para administrar fondos de capital privado estará a cargo de esta.
2. La sociedad calificadora deberá medir como mínimo el riesgo de administración, riesgo de gestión, riesgo operacional, riesgo de mercado y riesgo de liquidez del fondo de capital privado, así como aquellos relacionados con el apalancamiento que asume el fondo de capital privado.
3. La vigencia máxima de la calificación será de un (1) año, la cual deberá actualizarse una vez vencido dicho término. El reglamento del fondo podrá definir una vigencia inferior.
4. En todo caso, la sociedad administradora deberá revelar al público, por los medios de suministro de información previstos en el reglamento, todas las calificaciones que se contraten.
5. Para el caso de fondos de capital privado que prevén en sus reglamentos la posibilidad de emitir bonos, la calificación del fondo y de la respectiva sociedad administradora del fondo serán obligatorios y se realizará de conformidad con las metodologías propias de los fondos de capital privado.
VALORACIÓN Y REDENCIÓN DE LAS PARTICIPACIONES DEL FONDO DE CAPITAL PRIVADO.
ARTÍCULO 3.3.2.4.1 VALORACIÓN. <Artículo modificado por el artículo 1 del Decreto 1984 de 2018. El nuevo texto es el siguiente:> La valoración de los fondos de capital privado deberá realizarse de conformidad con las instrucciones que para el efecto establezca la Superintendencia Financiera de Colombia.
ARTÍCULO 3.3.2.4.2 PROCEDIMIENTO PARA LA REDENCIÓN DE PARTICIPACIONES. <Artículo modificado por el artículo 1 del Decreto 1984 de 2018. El nuevo texto es el siguiente:> En el reglamento del fondo de capital privado se deberá definir el procedimiento para la redención de las participaciones, así como el plazo máximo para su trámite, en concordancia con la política de inversión.
En todo caso, cualquier retiro o rembolso por concepto de redención de participaciones deberá calcularse con base en el valor de la participación vigente para el día en que se realice la solicitud de retiro o rembolso. Dicho valor se expresará en moneda legal con cargo al patrimonio y abono a cuentas por pagar.
PARÁGRAFO. Los fondos de capital privado podrán redimir parcial o anticipadamente participaciones en los eventos y en las condiciones en que sus reglamentos así lo prevean. Dicha redención se realizará a prorrata de los tipos de participaciones de los inversionistas en el fondo de capital privado.
ARTÍCULO 3.3.2.4.3 DISTRIBUCIÓN DEL MAYOR VALOR DE LOS APORTES EN FONDOS DE CAPITAL PRIVADO. <Artículo modificado por el artículo 1 del Decreto 1984 de 2018. El nuevo texto es el siguiente:> Los reglamentos de los fondos de capital privado podrán prever la posibilidad de distribuir el mayor valor de los aportes mediante la reducción del valor de la unidad.
En todos los casos se entenderá que la reducción del valor de los aportes no podrá conllevar la reducción del valor inicial del derecho pactado en el respectivo reglamento.
En el reglamento se determinarán las condiciones bajo las cuales se podrá realizar la distribución de que trata el presente artículo.
EMISIÓN Y OFERTA PÚBLICA DE BONOS.
ARTÍCULO 3.3.2.5.1 EMISIÓN DE BONOS. <Artículo modificado por el artículo 1 del Decreto 1984 de 2018. El nuevo texto es el siguiente:> Los fondos de capital privado podrán emitir bonos para ser colocados mediante oferta pública, previa autorización de la Superintendencia Financiera de Colombia, de conformidad con las normas vigentes sobre la materia. Estos bonos se entenderán inscritos en el Registro Nacional de Valores y Emisores (RNVE) una vez se haya efectuado dicha autorización.
Cada compartimento que haga parte de un fondo de capital privado podrá emitir bonos de manera independiente, caso en el cual el compartimento deberá cumplir de manera independiente con las disposiciones normativas requeridas para ser emisor de bonos.
El reglamento del fondo de capital privado deberá contemplar expresamente la posibilidad de emitir bonos.
El plazo de vencimiento de los bonos en ningún caso podrá ser superior al término de duración del fondo de capital privado que lo emite, sin perjuicio de lo establecido en el numeral 5 del artículo 6.4.1.1.3 del presente decreto.
El deber establecido en el artículo 6.4.1.1.5 del presente decreto, así como las normas relacionadas con la asamblea general de tenedores de bonos serán aplicables a la emisión de bonos de que trata el presente artículo.
Durante la vigencia de la emisión de bonos, el fondo de capital privado o el compartimento no podrá cambiar la política de inversión, la metodología de valoración del portafolio, redimir parcial o anticipadamente las participaciones, así como distribuir el mayor valor de los aportantes, salvo que el representante legal de los tenedores de bonos lo autorice.
El cumplimiento de la obligación de divulgación de información relevante establecida en el artículo 5.2.4.1.5 del presente decreto, deberá ser cumplida por parte de la sociedad administradora del fondo de capital privado, o por parte del gestor profesional, en caso de existir. Así mismo, deberá hacerse extensiva a los activos e inversiones que conforman el fondo de capital privado o compartimento.
PARÁGRAFO. Sin perjuicio de las disposiciones establecidas en el presente artículo, las normas aplicables a los emisores de valores le serán aplicables a los fondos de capital privado cuando estos tengan la calidad de emisores de bonos.
GASTOS Y COMISIONES.
ARTÍCULO 3.3.3.1.1 GASTOS A CARGO DEL FONDO DE CAPITAL PRIVADO. <Artículo modificado por el artículo 1 del Decreto 1984 de 2018. El nuevo texto es el siguiente:> Solo podrán imputarse al fondo de capital privado los gastos que sean necesarios para el funcionamiento y gestión del mismo o de los activos en que invierta el fondo de capital privado de forma directa o indirecta, de conformidad con lo establecido en el respectivo reglamento, tales como:
1. Los gastos de operación y mantenimiento de los activos que componen el fondo de capital privado.
2. La remuneración de la sociedad administradora del fondo de capital privado y del gestor profesional en caso de existir.
3. Los honorarios y gastos en que haya de incurrirse para la defensa de los intereses del fondo de capital privado, cuando las circunstancias así lo exijan.
4. El valor de los seguros y amparos de los activos del fondo de capital privado.
5. Los gastos bancarios que se originen en el depósito y transferencia de los recursos del fondo de capital privado.
6. Los gastos en que se incurra para la citación y celebración de las asambleas de los inversionistas.
7. Los tributos que gravan directamente los valores, los activos o los ingresos del fondo de capital privado.
8. El costo de la inscripción de los valores representativos de derechos de participación en el Registro Nacional de Valores y Emisores (RNVE), y en la bolsa de valores, si hay lugar a ello.
9. Los honorarios y gastos causados por la revisoría fiscal del fondo de capital privado.
10. Los correspondientes al pago de comisiones relacionados con la adquisición o enajenación de activos y la realización de operaciones, así como la participación en sistemas de negociación o de registro.
11. Los intereses y demás rendimientos financieros que deban cancelarse por razón de operaciones de reporto o repo pasivos, simultáneas pasivas y transferencias temporales de valores y para el cubrimiento de los costos de otras operaciones que se encuentren autorizadas.
12. Los derivados de la calificación del fondo de capital privado, sin perjuicio de lo establecido en el artículo 3.3.2.3.4 del presente decreto.
13. Los gastos en que se incurra por concepto de coberturas o derivados.
14. Las cuotas de administración de inmuebles que hacen parte del portafolio de los fondos de capital privado.
15. El costo de los servicios y de los seguros que se contraten en relación con los inmuebles y proyectos inmobiliarios que hacen parte del portafolio de los fondos de capital privado.
16. El costo del contrato de depósito de los valores que componen el portafolio del fondo de capital privado.
17. El costo del contrato de custodia de los valores que hagan parte del portafolio del fondo de capital privado.
18. Los gastos asociados al Comité de Vigilancia.
19. Los gastos asociados al Comité de Inversiones.
20. Los gastos asociados al proveedor de precios, o al valorador independiente, en caso de que se requiera.
21. Los gastos asociados a la emisión, en caso de ser emisores de valores.
22. Los gastos asociados a otros servicios prestados por proveedores de infraestructura.
23. Los gastos asociados a la designación y contratación de un auditor externo para el fondo de capital privado, cuando la asamblea de inversionistas lo considere.
PARÁGRAFO 1. En el reglamento deberán relacionarse de forma pormenorizada todos los gastos a cargo del fondo de capital privado, y determinar el procedimiento para aprobar y pagar los gastos causados por caso fortuito y que no estén establecidos en dicho reglamento.
PARÁGRAFO 2. En los fondos de capital privado en los cuales hay tipos de participación diferenciales, los gastos y obligaciones que no sean atribuibles expresamente a dicha diferenciación, serán asumidos a prorrata por la totalidad de los inversionistas del fondo de capital privado.
ARTÍCULO 3.3.3.1.2 REMUNERACIÓN DE LA SOCIEDAD ADMINISTRADORA DE FONDOS DE CAPITAL PRIVADO. <Artículo modificado por el artículo 1 del Decreto 1984 de 2018. El nuevo texto es el siguiente:> La sociedad administradora de fondos de capital privado percibirá como único beneficio por la administración del fondo de capital privado, la remuneración que se establezca en el respectivo reglamento.
REVELACIÓN DE INFORMACIÓN.
ARTÍCULO 3.3.4.1.1 MECANISMOS PARA LA REVELACIÓN DE INFORMACIÓN. <Artículo modificado por el artículo 1 del Decreto 1984 de 2018. El nuevo texto es el siguiente:> Las sociedades administradoras de fondos de capital privado deben obrar de manera transparente, asegurando el suministro de información de manera veraz, imparcial, oportuna, completa, exacta, pertinente y útil.
Toda información deberá ser presentada de forma sencilla y comprensible, y estar disponible en las mismas condiciones para todos los inversionistas. Las estipulaciones que impliquen limitaciones a los derechos de los inversionistas, deberán ser presentadas de forma resaltada y en letra fácilmente entendible.
Las sociedades administradoras de fondos de capital privado deben abstenerse de dar información ficticia, incompleta o inexacta sobre la situación de los fondos de capital privado bajo su administración, o sobre sí mismas. La misma regla se aplicará a los gestores profesionales en caso de existir.
Las sociedades administradoras de fondos de capital privado deberán mantener informados a los inversionistas sobre todos los aspectos inherentes al fondo de capital privado al menos a través de los siguientes mecanismos:
1. Reglamento.
2. Informe de rendición de cuentas.
PARÁGRAFO 1. El reglamento deberá estar disponible para los inversionistas a través de los medios que determine la sociedad administradora de fondos de capital privado.
PARÁGRAFO 2. La sociedad administradora de fondos de capital privado deberá contar con los medios idóneos para informar a los inversionistas los movimientos de la cuenta de cada uno de los inversionistas de los fondos de capital privado.
PARÁGRAFO 3. La sociedad administradora de fondos de capital privado deberá tener a disposición de los inversionistas la información correspondiente con la rentabilidad de las participaciones de los fondos de capital privado administrados con la periodicidad establecida en el reglamento.
ARTÍCULO 3.3.4.1.2 ADVERTENCIA. <Artículo modificado por el artículo 1 del Decreto 1984 de 2018. El nuevo texto es el siguiente:> En los mecanismos de información deberá figurar la siguiente advertencia de forma visible, clara y destacada: “Las obligaciones de la sociedad administradora del fondo de capital privado y del gestor profesional, en caso de existir, relacionadas con la gestión del portafolio son de medio y no de resultado. Los dineros entregados por los inversionistas a los fondos de capital privado no son depósitos, ni generan para la sociedad administradora las obligaciones propias de una institución de depósito y no están amparados por el seguro de depósito del Fondo de Garantías de Instituciones Financieras (Fogafín), ni por ningún otro esquema de dicha naturaleza. La inversión en el fondo de capital privado está sujeta a los riesgos de inversión, derivados de la evolución de los precios de los activos que componen el portafolio del respectivo fondo de capital privado”.
ARTÍCULO 3.3.4.1.3 REGLAMENTO. <Artículo modificado por el artículo 1 del Decreto 1984 de 2018. El nuevo texto es el siguiente:> Los fondos de capital privado deberán tener un reglamento que contenga, por lo menos, lo siguiente:
1. Aspectos generales:
a) Nombre completo, número de identificación y domicilio principal de la sociedad administradora;
b) La indicación de ser un fondo de capital privado;
c) Término de duración del fondo de capital privado;
d) Tamaño del fondo de capital privado;
e) Sede principal donde se administra el fondo de capital privado;
f) El procedimiento para la redención de las participaciones por vencimiento del término;
g) Naturaleza del patrimonio independiente y separado conformado por los bienes entregados o transferidos a la sociedad administradora por parte del inversionista;
h) Monto mínimo de suscriptores y de compromisos de capital requerido por el fondo de capital privado para iniciar operaciones.
2. Política de inversión del fondo de capital privado, donde se incluya las operaciones que les permitan ampliar su exposición por encima del valor de su patrimonio, tales como endeudamiento o emisión de bonos.
3. Indicación de si se contratará a un gestor profesional y, en dicho caso, los requisitos de experiencia, idoneidad y solvencia moral del mismo, así como, las condiciones y términos que regirán la relación contractual entre la sociedad administradora del fondo de capital privado y el gestor profesional, sus funciones, obligaciones, remuneración, régimen de inhabilidades e incompatibilidades, entre otros.
4. La definición de las funciones y la conformación del comité de inversiones, el número mínimo de sus reuniones, así como, las calidades y cualidades que deben acreditar sus miembros.
5. La definición de las funciones y la conformación del comité de vigilancia, el número mínimo de sus reuniones, así como, las calidades y cualidades que deben acreditar sus miembros.
6. Constitución y redención de participaciones:
a) Procedimiento para la constitución y redención de participaciones, incluyendo el monto mínimo requerido para la vinculación y permanencia en el fondo de capital privado y el plazo para los desembolsos;
b) Los casos en que se procederá a la redención parcial o anticipada de las participaciones;
c) Naturaleza y características de los documentos, registros electrónicos, comprobantes o títulos que representen las participaciones;
d) La bolsa o bolsas de valores o sistemas de negociación en las cuales se inscribirán las participaciones, cuando a ello haya lugar;
e) Explicación del procedimiento técnico mediante el cual se establecerá el valor del fondo de capital privado y el valor de las participaciones.
7. Relación pormenorizada de los gastos a cargo del fondo de capital privado, de conformidad con el artículo 3.3.3.1.1 del presente Decreto. Igualmente, dentro de la descripción del gasto por la remuneración que percibirá la sociedad administradora del fondo de capital privado y el gestor profesional en caso de que exista, deberá establecerse en forma clara y completa su metodología de cálculo y la forma de pago.
Para determinar el valor de la remuneración de la sociedad administradora y el gestor profesional se podrá establecer en el reglamento que se tendrá en cuenta el valor de los recursos que los inversionistas se hayan comprometido a entregar.
8. Facultades, derechos y obligaciones de la sociedad administradora, del gestor profesional en caso de que exista, de los comités de fondo y de los inversionistas. Así como, las causales y procedimiento para la remoción de la sociedad administradora y/o del gestor profesional.
9. Reglas aplicables a la asamblea de inversionistas, incluyendo los procedimientos para su convocatoria y las decisiones que podrá tomar.
10. Mecanismos de revelación de información del fondo de capital privado señalando los medios para su publicación.
11. Procedimiento para la fusión, escisión y/o cesión del fondo de capital privado.
12. Causales de disolución del fondo de capital privado y el procedimiento para su liquidación. En caso de que se contemple la posibilidad de emitir bonos o de realizar operaciones de endeudamiento a cargo del fondo de capital privado, deberán establecerse mecanismos e instancias que permitan la satisfacción efectiva del crédito y de los derechos de los acreedores, de conformidad con los principios de universalidad e igualdad en materia concursal.
13. El procedimiento para modificar el reglamento.
14. Política para la identificación y tratamiento de conflictos de interés del gestor profesional, sociedad administradora, miembros del comité de inversión y de vigilancia del respectivo fondo de capital privado y las instancias de la sociedad administradora y del gestor responsables del cumplimiento y monitoreo de dichas políticas.
15. Política para la Administración del Riesgo de Lavado de Activos y de la Financiación del Terrorismo de conformidad con los requisitos exigidos a la sociedad administradora.
16. Identificación de los riesgos que afectan el desempeño del fondo, canales de revelación a los inversionistas, así como, la definición de mecanismos para su monitoreo y mitigación.
17. Políticas que se deberán tener en cuenta para la emisión de bonos, la inscripción de las participaciones en el RNVE y la negociación de participaciones en bolsa de valores.
18. Reglas relativas a las condiciones de constitución, tipos, y redención de participaciones.
19. Reglas sobre el ejercicio de derechos políticos de la sociedad administradora y del gestor profesional.
20. Criterios para la asignación de costos y honorarios asociados a las transacciones realizadas por el fondo de capital privado.
21. Pronunciamiento expreso sobre los posibles conflictos en estrategias de inversión cuando el gestor profesional tenga a su cargo más de un fondo de capital privado o fondo de fondos.
22. Reglas aplicables a las operaciones de crédito que pueda adelantar el fondo de capital privado.
ARTÍCULO 3.3.4.1.4 INFORME DE RENDICIÓN DE CUENTAS. <Artículo modificado por el artículo 1 del Decreto 1984 de 2018. El nuevo texto es el siguiente:> La sociedad administradora deberá rendir cuentas de su labor en un informe detallado y pormenorizado de la gestión de los bienes entregados o transferidos, los recursos entregados y las inversiones realizadas en virtud del acuerdo celebrado entre las partes, respecto de aquello que tenga relevancia con la labor ejecutada, incluyendo el estado de situación financiera, el estado de resultados y demás información financiera del fondo de capital privado. Dicho informe deberá contener una sección específica sobre las labores realizadas por el gestor profesional, en caso de existir.
El informe de rendición de cuentas deberá hacerse por lo menos cada seis (6) meses, con cortes a 30 de junio y 31 de diciembre, salvo que en el reglamento del fondo de capital privado se disponga un periodo de tiempo inferior. El plazo para realizar este informe será de sesenta (60) días comunes, contados a partir de la fecha del respectivo corte.
PARÁGRAFO. La Superintendencia Financiera de Colombia definirá la forma y contenido mínimo del informe de rendición de cuentas.
PROHIBICIONES Y CONFLICTOS DE INTERÉS.
ARTÍCULO 3.3.5.1.1 PROHIBICIONES. <Artículo modificado por el artículo 1 del Decreto 1984 de 2018. El nuevo texto es el siguiente:> Las sociedades administradoras de fondos de capital privado y el gestor profesional en caso de existir, se abstendrán de realizar cualquiera de las siguientes actividades:
1. Desarrollar o promover operaciones que tengan como objetivo o resultado la evasión de los controles estatales o la evolución artificial del valor de la participación.
2. Ofrecer o administrar fondos de capital privado sin estar habilitado legalmente para realizar dicha actividad.
3. Delegar de cualquier manera las responsabilidades que como administrador o gestor profesional del fondo de capital privado le corresponden, según sea el caso, sin perjuicio de lo previsto en el artículo 3.3.7.2.2 del presente Decreto.
4. Aceptar las participaciones en el fondo de capital privado como garantía de créditos que hayan concedido a los inversionistas de dicho fondo de capital privado.
5. Invertir los recursos del fondo de capital privado en valores cuyo emisor, avalista, aceptante o garante, o para el caso de una titularización, el originador, sea la propia sociedad administradora de fondos de capital privado, o el gestor profesional en caso de existir.
6. Destinar recursos, de manera directa o indirecta, para el apoyo de liquidez de la sociedad administradora de fondos de capital privado, o del gestor profesional en caso de existir, las subordinadas de los mismos, su matriz o las subordinadas de esta.
7. Adquirir para los fondos de capital privado, sea directa o indirectamente, la totalidad o parte de los valores o títulos valores que se haya obligado a colocar por un contrato de colocación bajo la modalidad en firme o garantizado, antes de que hubiere finalizado dicho proceso. Lo anterior no obsta para que la sociedad administradora de fondos de capital privado adquiera para el fondo de capital privado, títulos o valores de aquellos que se ha obligado a colocar, una vez finalice el proceso de colocación.
8. Identificar un producto con la denominación “fondo de capital privado” sin el cumplimiento de las condiciones establecidas en el presente Libro.
9. Utilizar, directa o indirectamente, los activos de los fondos de capital privado para otorgar reciprocidades que faciliten la realización de otras operaciones por parte de la sociedad administradora de fondos de capital privado, del gestor profesional en caso de existir, o de personas vinculadas con estos, ya sea mediante la adquisición o enajenación de valores a cualquier título, la realización de depósitos en establecimientos de crédito, o de cualquier otra forma.
10. Ejercer, directa o indirectamente, los derechos políticos de las inversiones de un fondo de capital privado, en favor de la sociedad administradora de fondos de capital privado o de personas vinculadas a esta, o de sujetos diferentes del propio fondo de capital privado, o de uno o más inversionistas del fondo de capital privado.
11. Aparentar operaciones de compra y venta de valores o demás activos que componen el portafolio del fondo de capital privado.
12. Manipular el valor del portafolio de los fondos de capital privado o el valor de sus participaciones.
13. No respetar la priorización o prelación de órdenes de negocios en beneficio de la sociedad administradora de fondos de capital privado, del gestor profesional en caso de existir, de sus matrices, subordinadas, otros fondos de capital privado administrados por la sociedad administradora, o gestionados por el gestor profesional en caso de existir, o de terceros en general.
14. Utilizar los recursos del fondo de capital privado para otorgar créditos a otros fondos de capital privado administrados por la misma sociedad administradora. Prohibición que aplicará de igual manera para los fondos de capital privado gestionados por un mismo gestor profesional.
15. Abstenerse de asegurar un rendimiento determinado.
ARTÍCULO 3.3.5.1.2 SITUACIONES DE CONFLICTOS DE INTERÉS. <Artículo modificado por el artículo 1 del Decreto 1984 de 2018. El nuevo texto es el siguiente:> Se entenderán como situaciones generadoras de conflictos de interés, que deben ser administradas y reveladas por las sociedades administradoras de fondos de capital privado, y por el gestor profesional en caso de que exista, entre otras:
1. La celebración de operaciones donde concurran las órdenes de inversión de varios fondos de capital privado, fondos de inversión colectiva, fideicomisos o portafolios administrados por una misma sociedad, o gestionados por un mismo gestor profesional en caso de existir, sobre los mismos valores o derechos de contenido económico, caso en el cual se deberá realizar una distribución de la inversión sin favorecer ninguno de los vehículos partícipes, en detrimento de los demás, según se establezca en el código de gobierno corporativo.
2. La inversión directa o indirecta que la sociedad administradora de fondos de capital privado, o el gestor profesional en caso de existir, pretenda hacer en los fondos de capital privado que administra o gestiona, según el caso, evento en el cual, en el reglamento, deberá establecerse expresamente: a) el objetivo y justificación de la inversión; b) el porcentaje máximo de participaciones que la respectiva entidad podrá suscribir al momento de realizar la inversión; c) el plazo mínimo en el que la sociedad administradora, o el gestor profesional en caso de existir, deberá conservar las participaciones que haya adquirido; y d) las condiciones bajo las cuales la sociedad administradora o el gestor profesional podrán enajenar dichas participaciones. En todo caso deberán revelarse y administrarse las posibles situaciones de conflictos de interés que se generen con la inversión o desinversión que se realice en los términos descritos en el presente numeral.
3. La inversión directa o indirecta de los recursos del fondo de capital privado en valores cuyo emisor, avalista, aceptante, garante u originador de una titularización sea la matriz, las subordinadas de esta o las subordinadas de la sociedad administradora, o del gestor profesional en caso de existir. Esta inversión solo podrá efectuarse a través de sistemas de negociación de valores debidamente autorizados por la Superintendencia Financiera de Colombia.
4. La realización de depósitos en cuentas corrientes o de ahorros en la matriz o las subordinadas de esta. En ningún caso el monto de estos depósitos podrá exceder del diez por ciento (10%) del valor de los activos del respectivo fondo de capital privado. Prohibición que no aplicará durante los primeros seis (6) meses de operación del fondo de capital privado, en cuyo caso, el monto de los depósitos mencionados en el presente numeral, no podrá superar el treinta por ciento (30%) del valor de los activos del respectivo fondo de capital privado.
5. La celebración de operaciones de endeudamiento que impliquen apalancamiento para el fondo de capital privado, directa o indirectamente, con la matriz, las subordinadas de esta o las subordinadas de la Sociedad Administradora, o del gestor profesional en caso de existir, en cuyo caso el límite de endeudamiento deberá ser establecido como proporción de los activos administrados o compromisos de capital en el respectivo reglamento del fondo de capital privado.
6. Comprar o vender para el fondo de capital privado, directa o indirectamente, activos que pertenezcan a los socios, representantes legales o empleados de la Sociedad Administradora de Fondos de Capital Privado, o del gestor profesional en caso de existir, o a sus cónyuges, compañeros permanentes, parientes dentro del segundo grado de consanguinidad, segundo de afinidad y único civil, o a sociedades en que estos sean beneficiarios reales del veinticinco por ciento (25%), o más del capital social, salvo que el Comité de Vigilancia lo haya autorizado.
7. Actuar, directa o indirectamente, como contraparte del fondo de capital privado que administra, en desarrollo de los negocios que constituyen el giro ordinario de este, salvo que el Comité de Vigilancia lo haya autorizado. Lo establecido en el presente numeral también resulta aplicable para la realización de operaciones entre Fondos de Capital Privado, Fondos de Inversión Colectiva, fideicomisos o portafolios administrados por la misma sociedad, o gestionados por el gestor profesional en caso de existir.
8. Realizar operaciones para el fondo de capital privado con sujetos a los cuales el gestor profesional preste sus servicios profesionales.
9. La celebración de operaciones activas de crédito con la matriz, las subsidiarias de esta o sociedades vinculadas a la Sociedad Administradora, así como del gestor profesional, en caso de existir.
10. La relación directa e indirecta del gestor profesional del fondo de capital privado con la Sociedad Administradora, sus accionistas o directivos.
PARÁGRAFO. Para efectos de lo establecido en los numerales 4 y 5 del presente artículo se incluirá a las entidades vinculadas que la Superintendencia Financiera de Colombia defina para efectos de consolidación de operaciones y de estados financieros de entidades sujetas a su supervisión, con otras entidades sujetas o no a su supervisión.
FUSIÓN, CESIÓN, ESCISIÓN Y LIQUIDACIÓN DE LOS FONDOS DE CAPITAL PRIVADO.
ARTÍCULO 3.3.6.1.1. FUSIÓN, ESCISIÓN Y CESIÓN. <Artículo modificado por el artículo 1 del Decreto 1984 de 2018. El nuevo texto es el siguiente:> Los Fondos de Capital Privado o sus compartimentos podrán fusionarse con otros fondos de la misma naturaleza, escindirse en varios Fondos de Capital Privado, o cederse a otro administrador autorizado, de conformidad con el procedimiento que establezca su reglamento.
Cuando se presente alguno de los eventos descritos en el presente artículo, la Sociedad Administradora del fondo de capital privado, deberá comunicar tal situación a los inversionistas del fondo de capital privado, a sus acreedores y tenedores de bonos, a través de los diferentes medios previstos en el reglamento y dentro de los plazos relevantes allí establecidos.
ARTÍCULO 3.3.6.1.2. CAUSALES DE LIQUIDACIÓN. <Artículo modificado por el artículo 1 del Decreto 1984 de 2018. El nuevo texto es el siguiente:> Son causales de liquidación de un fondo de capital privado:
1. El vencimiento del término de duración.
2. La decisión válida de la asamblea de inversionistas de liquidar el fondo de capital privado.
3. La decisión motivada técnica y económicamente de la Junta Directiva de la Sociedad Administradora de Fondos de Capital Privado de liquidar el fondo de capital privado.
4. Cualquier hecho o situación que ponga a la Sociedad Administradora de Fondos de Capital Privado en imposibilidad definitiva de continuar desarrollando su objeto social, salvo que la asamblea de inversionistas del fondo apruebe la cesión a otra Sociedad Administradora; así como, en el caso de que exista gestor profesional y no resulte viable su reemplazo en condiciones que aseguren la normal continuidad de la marcha del fondo de capital privado gestionado.
5. La toma de posesión de la Sociedad Administradora de Fondos de Capital Privado, cuando no resulte viable su remplazo en condiciones que aseguren la normal continuidad del fondo de capital privado gestionado.
6. La apertura de un proceso de liquidación judicial o voluntaria del gestor profesional, en caso de existir, cuando no resulte viable su remplazo en condiciones que aseguren la normal continuidad del fondo de capital privado gestionado.
7. Las demás previstas en el respectivo reglamento del fondo de capital privado.
PARÁGRAFO. Cuando se presente alguna de las causales de liquidación previstas anteriormente, la Sociedad Administradora de Fondos de Capital Privado deberá comunicarla inmediatamente a la Superintendencia Financiera de Colombia, y a las bolsas de valores y a las entidades administradoras de los diferentes sistemas de negociación de valores en los que se encuentren inscritos los valores respectivos, cuando haya lugar a ello. A los inversionistas se les comunicará el acaecimiento de la causal de liquidación del fondo de capital privado por los medios previstos en el reglamento. Estas comunicaciones deberán realizarse a más tardar al día siguiente de la ocurrencia de la causal.
ARTÍCULO 3.3.6.1.3. PROCESO LIQUIDATARIO. <Artículo modificado por el artículo 1 del Decreto 1984 de 2018. El nuevo texto es el siguiente:> La liquidación del fondo de capital privado se ajustará al siguiente procedimiento:
1. A partir de la fecha del acaecimiento de la causal de liquidación y mientras ésta subsista, el fondo de capital privado no podrá constituir nuevas participaciones ni atender redenciones. Adicionalmente, cuando haya lugar, se suspenderá la negociación de los valores emitidos por el fondo de capital privado, hasta que se enerve la causal.
2. Cuando la causal de liquidación sea distinta de las previstas en los numerales 1 y 2 del artículo 3.3.6.1.2 del presente decreto, la Sociedad Administradora de Fondos de Capital Privado procederá a convocar a la asamblea de inversionistas que deberá celebrarse entre los cinco (5) y diez (10) días hábiles siguientes a la fecha de la comunicación de la noticia de liquidación.
3. En caso de que esta asamblea no se realizare por falta de quorum previsto para el efecto, se citará nuevamente para celebrarse entre los tres (3) y seis (6) días hábiles siguientes a la fecha de la asamblea fallida, pudiendo deliberar con cualquier quórum.
4. En el evento en que la liquidación haya ocurrido con base en las causales previstas en los numerales 3 y 4 del artículo 3.3.6.1.2 del presente decreto, la asamblea de inversionistas podrá decidir si entrega la administración del fondo de capital privado a otra sociedad legalmente habilitada para administrar Fondos de Capital Privado, o la gestión del fondo de capital privado a otro gestor profesional, cuando sea el caso. Eventos en los cuales, solo se considerará enervada la respectiva causal de liquidación cuando la nueva Sociedad Administradora de Fondos de Capital Privado y/o el gestor profesional designado acepten realizar la administración y/o gestión del respectivo fondo de capital privado.
En este último caso, la asamblea de inversionistas deberá establecer las fechas y condiciones en las que se realizará el traspaso del fondo de capital privado al administrador y/o gestor profesional seleccionado.
5. Acaecida la causal de liquidación, si la misma no es enervada, la asamblea de inversionistas deberá decidir si la Sociedad Administradora de Fondos de Capital Privado desarrollará el proceso de liquidación o si se designará un liquidador especial. En caso de que la asamblea no designe liquidador especial, se entenderá que la Sociedad Administradora de Fondos de Capital Privado adelantará la liquidación.
6. El liquidador deberá obrar con el mismo grado de diligencia, habilidad y cuidado razonables que los exigidos para la Sociedad Administradora de Fondos de Capital Privado en el presente decreto.
7. El liquidador procederá inmediatamente a liquidar todas las inversiones que constituyan el portafolio del fondo de capital privado, en el plazo que para tal fin se haya señalado en el reglamento.
Vencido el término mencionado, si existieren activos cuya realización no hubiese sido posible, la Asamblea de Inversionistas deberá reunirse en un lapso no mayor a cuatro (4) meses, con el fin de evaluar el informe detallado que deberá presentar el liquidador sobre las gestiones realizadas hasta la fecha, y podrá:
a) Otorgar el plazo adicional que estime conveniente para que el liquidador continúe con la gestión de liquidación de las inversiones pendientes, en cuyo caso deberá acordar las fechas en que el liquidador presentará a los inversionistas de forma individual y/o a la Asamblea de Inversionistas, informes sobre su gestión. La Asamblea de Inversionistas podrá prorrogar hasta por un (1) año el plazo adicional inicialmente otorgado en el evento en que los activos no se hayan podido liquidar en dicho plazo adicional inicial y, en todo caso, mediando informe detallado del liquidador sobre las gestiones realizadas;
b) Solicitar al liquidador que los activos sean entregados en pago a los inversionistas en proporción a sus participaciones. Para realizar esta solicitud, la Asamblea de Inversionistas podrá reunirse en cualquier tiempo;
c) Tomar las decisiones que considere pertinentes para lograr la liquidación de las inversiones y la adecuada protección de los derechos de los inversionistas.
8. En la medida que se liquiden las inversiones que constituyen el portafolio del fondo de capital privado, podrán realizarse la distribución de dicha liquidez, a través de redenciones anticipadas de las unidades de participaciones o la reducción del mayor valor de las unidades de participación. Una vez liquidadas todas las inversiones se procederá de inmediato a cancelar a los inversionistas las participaciones, en un término máximo que establezca el reglamento.
9. Si vencido el período máximo de pago de las participaciones, existieren sumas pendientes de retiro a favor de los inversionistas, se seguirá el siguiente procedimiento:
a) Si el inversionista ha informado a la Sociedad Administradora de Fondos de Capital Privado, por medio escrito, una cuenta bancaria para realizar depósitos o pagos, el liquidador deberá consignar el valor pendiente de retiro en dicha cuenta;
b) De no ser posible la consignación a que hace referencia el literal anterior, y en caso de que el inversionista haya señalado e identificado, por medio escrito, un mandatario para el pago o un beneficiario, el liquidador realizará el pago de los aportes pendientes de retiro a dicha persona; y
c) Ante la imposibilidad de realizar el pago de conformidad con alguno de los literales anteriores, se dará aplicación al artículo 249 del Código de Comercio.
PARÁGRAFO. Una vez el fondo de capital privado entre en proceso de liquidación, o se estén presentado cualquiera de las causales de liquidación antes descritas, se deberá suspender la negociación de los documentos representativos de sus participaciones, para lo cual la Sociedad Administradora informará de manera inmediata a la Superintendencia Financiera de Colombia y a la bolsa de valores o sistemas de negociación de valores en los que se encuentren inscritos.
Una vez producido el informe de finalización de actividades que el liquidador deberá presentar a la Asamblea de Inversionistas, la Superintendencia Financiera de Colombia procederá a cancelar la inscripción de dichos valores en el Registro Nacional de Valores e Emisores (RNVE), cuando sea del caso.
Si realizadas las diligencias de convocatoria no fuere posible reunir a la asamblea de inversionistas, el liquidador deberá presentar su informe final a la Superintendencia Financiera de Colombia y en todo caso lo enviará a la última dirección registrada de los inversionistas, por los medios que establezca el reglamento.
ARTÍCULO 3.3.6.1.4 CONVERSIÓN DEL FONDO DE CAPITAL PRIVADO. <Artículo modificado por el artículo 1 del Decreto 1984 de 2018. El nuevo texto es el siguiente:> Cuando un fondo de capital privado se convierta en fondo de inversión colectiva inmobiliaria, no deberá realizar el procedimiento de liquidación de Fondos de Capital Privado establecido en el presente título, únicamente deberá ajustar su reglamento en los términos que para el efecto establezca la Superintendencia Financiera de Colombia.
ACTIVIDADES.
LA ADMINISTRACIÓN DE FONDOS DE CAPITAL PRIVADO.
ARTÍCULO 3.3.7.1.1. ACTIVIDADES. <Artículo modificado por el artículo 1 del Decreto 1984 de 2018. El nuevo texto es el siguiente:> En el ejercicio de la administración de los Fondos de Capital Privado la Sociedad Administradora de Fondos de Capital Privado podrá contratar a un gestor profesional para que ejecute la actividad de gestión en los términos de presente Libro.
Con respecto a la actividad de custodia de valores, esta deberá ser contratada con las entidades mencionadas en el artículo 2.37.2.1.1 del presente Decreto.
ARTÍCULO 3.3.7.1.2. RESPONSABILIDAD DE LA SOCIEDAD ADMINISTRADORA DE FONDOS DE CAPITAL PRIVADO. <Artículo modificado por el artículo 1 del Decreto 1984 de 2018. El nuevo texto es el siguiente:> La Sociedad Administradora del fondo de capital privado responderá hasta de la culpa leve en el cumplimiento de sus funciones, como experto prudente y diligente.
ARTÍCULO 3.3.7.1.3. OBLIGACIONES DE LA SOCIEDAD ADMINISTRADORA DE FONDOS DE CAPITAL PRIVADO. <Artículo modificado por el artículo 1 del Decreto 1984 de 2018. El nuevo texto es el siguiente:> La Sociedad Administradora de Fondos de Capital Privado deberá cumplir las siguientes obligaciones:
1. Consagrar su actividad de administración exclusivamente en favor de los intereses de los inversionistas o de los beneficiarios designados por ellos.
2. Entregar la custodia de los valores que integran el portafolio de cada fondo de capital privado administrado a una sociedad de las mencionadas en el artículo 2.37.2.1.1 del presente decreto de conformidad con lo establecido en el reglamento y en la normatividad aplicable, así como, suministrar al custodio la información necesaria para la correcta ejecución de las funciones de custodia.
3. Realizar la salvaguarda y el ejercicio de derechos patrimoniales de los activos diferentes a valores que hagan parte del portafolio de los Fondos de Capital Privado. Para lo cual deberá contar con los mecanismos idóneos que le permitan ejecutar de manera adecuada la presente obligación. El ejercicio de los derechos patrimoniales podrá ser realizado por el gestor profesional cuando así lo prevea el reglamento del fondo de capital privado.
4. Identificar, medir, controlar, gestionar y administrar los riesgos asociados a la actividad de administración de Fondos de Capital Privado.
5. Efectuar la valoración del portafolio de los Fondos de Capital Privado administrados y de sus participaciones, de conformidad con lo previsto en la normatividad aplicable y las instrucciones impartidas por la Superintendencia Financiera de Colombia.
6. Llevar por separado la contabilidad de cada uno de los Fondos de Capital Privado administrados de acuerdo con las reglas que sobre el particular establezca la Superintendencia Financiera de Colombia. Obligación que podrá ser cumplida por parte del custodio de valores previo acuerdo entre éste y el administrador.
7. Establecer y mantener actualizados los mecanismos de suministro de información de los Fondos de Capital Privado, en los términos del reglamento y de las instrucciones impartidas por la Superintendencia Financiera de Colombia.
8. Realizar el envío oportuno de la información que la Sociedad Administradora debe remitir a los inversionistas y a la Superintendencia Financiera de Colombia, garantizando que el contenido de la misma cumpla con las condiciones establecidas en el presente Libro y por la mencionada Superintendencia.
9. Asegurar el mantenimiento de la reserva de la información que conozca con ocasión de la actividad de administración de Fondos de Capital Privado, y adoptar políticas, procedimientos y mecanismos para evitar el uso indebido de información privilegiada o reservada relacionada con los fondos administrados, sus activos, estrategias, negocios y operaciones, sin perjuicio del cumplimiento de los deberes de información a la Superintendencia Financiera de Colombia.
10. Garantizar la independencia de funciones y del personal responsable de la actividad de administración de los Fondos de Capital Privado administrados, para lo cual deberá contar con estructuras organizacionales adecuadas para lograr este objetivo.
11. Capacitar a todas las personas vinculadas contractualmente con la entidad que participan en el funcionamiento de los Fondos de Capital Privado administrados.
12. Vigilar que el personal vinculado a la Sociedad Administradora de Fondos de Capital Privado, cumpla con sus obligaciones en la administración de los Fondos de Capital Privado administrados, incluyendo las reglas de gobierno corporativo, conducta y las demás establecidas en los manuales de procedimiento.
13. Informar a la Superintendencia Financiera de Colombia los hechos o situaciones que impidan el normal desarrollo de los Fondos de Capital Privado administrados o el adecuado cumplimiento de sus funciones como administrador, o cuando se den causales de liquidación de tales fondos. Dicho aviso deberá darse de manera inmediata a la ocurrencia del hecho o a la fecha en que el administrador tuvo o debió haber tenido conocimiento del hecho. Este informe deberá ser suscrito por el representante legal de la Sociedad Administradora.
14. Presentar a la asamblea de inversionistas, cuando haya lugar a ello, toda la información necesaria que permita establecer el estado del fondo de capital privado administrado; en todo caso, como mínimo deberán presentarse los estados financieros básicos de propósito general, la descripción general del portafolio, la evolución del valor de la participación, del valor del fondo de capital privado y de la participación de cada inversionista dentro del mismo.
15. Adoptar medidas de control y reglas de conducta necesarias, apropiadas y suficientes, que se orienten a evitar que los Fondos de Capital Privado administrados puedan ser utilizados como instrumentos para el ocultamiento, manejo, inversión o aprovechamiento en cualquier forma de dineros u otros bienes provenientes de actividades ilícitas, para realizar evasión tributaria o para dar apariencia de legalidad a las actividades ilícitas o a las transacciones y recursos vinculados con los mismos.
16. Contar con manuales de control interno, gobierno corporativo incluyendo el código de conducta, y los demás manuales necesarios para el cumplimiento de la normatividad aplicable, en particular lo dispuesto en el presente Libro y los reglamentos de los Fondos de Capital Privado.
17. Abstenerse de efectuar prácticas discriminatorias o inequitativas entre los inversionistas de un mismo fondo de capital privado, sin perjuicio de lo establecido en el artículo 3.3.2.2.2 del presente decreto.
18. Ejercer los derechos políticos inherentes a las inversiones del fondo de capital privado, de conformidad con las políticas que defina la Junta Directiva, excepto en los casos en que se haya delegado dicha obligación en el custodio de valores. En todo caso, el ejercicio de los derechos políticos podrá ser realizado por el gestor profesional cuando así lo prevea el reglamento del fondo de capital privado.
19. Cumplir con las políticas, directrices, mecanismos y procedimientos que señale la Junta Directiva de la Sociedad Administradora de Fondos de Capital Privado para la actividad de administración de Fondos de Capital Privado.
20. Identificar, controlar y gestionar las situaciones generadoras de conflictos de interés en la actividad de administración de Fondos de Capital Privado, según las reglas establecidas en las normas aplicables y las directrices señaladas por la Junta Directiva de la Sociedad Administradora de Fondos de Capital Privado. Así como, informar de dichas situaciones al Comité de vigilancia en los términos establecidos en el reglamento.
21. Entregar oportunamente a la Superintendencia Financiera de Colombia y los organismos de autorregulación la información que para el cumplimiento de sus funciones requieran acerca de la administración de Fondos de Capital Privado.
22. Establecer las condiciones de los informes periódicos que deberá rendirle el gestor profesional sobre la gestión realizada y sus resultados.
23. Ejercer supervisión permanente sobre el personal vinculado a la administración de los Fondos de Capital Privado.
24. Contar con políticas que determinen los requisitos mínimos que debe cumplir el gestor profesional que sea designado para el respectivo fondo de capital privado, así como las políticas mínimas para su selección.
25. Cumplir a cabalidad con los demás aspectos necesarios para la adecuada administración de los Fondos de Capital Privado.
PARÁGRAFO 1. El administrador del fondo de capital privado responderá ante la Superintendencia Financiera de Colombia y ante los inversionistas por la debida diligencia en la escogencia y por la adecuada supervisión del gestor profesional y del custodio cuando existan.
PARÁGRAFO 2. No le será aplicable a la Sociedad Administradora de Fondos de Capital Privado lo establecido en el Libro 40 de la Parte 2 del presente decreto, cuando adelante la actividad de gestión de Fondos de Capital Privado.
GESTIÓN DE FONDOS DE CAPITAL PRIVADO.
ARTÍCULO 3.3.7.2.1. ACTIVIDAD DE GESTIÓN DE PORTAFOLIOS DE FONDOS DE CAPITAL PRIVADO. La actividad de gestión de portafolios de Fondos de Capital Privado comprende la toma de decisiones de inversión, desinversión y seguimiento de las operaciones del fondo de capital privado, así como la identificación, medición, control y gestión de los riesgos inherentes al portafolio, y podrá ser desarrollada directamente por la Sociedad Administradora del fondo de capital privado, o por un gestor profesional en los términos establecidos en la presente Libro.
ARTÍCULO 3.3.7.2.2. GESTOR PROFESIONAL. <Artículo modificado por el artículo 1 del Decreto 1984 de 2018. El nuevo texto es el siguiente:> Las sociedades administradoras de Fondos de Capital Privado podrán establecer en el respectivo reglamento, la contratación de un gestor profesional, quien será el responsable por las decisiones de inversión del fondo de capital privado y demás actividades descritas en el artículo 3.3.7.2.1 del presente decreto y en todo caso por el cumplimiento de las obligaciones definidas en el presente Libro. Cuando exista un gestor profesional no será necesario contar con un gerente del fondo de capital privado.
La Sociedad Administradora deberá establecer el procedimiento de selección del gestor profesional, los estándares mínimos que se deben cumplir para su designación y contratación, así como la mención de lo previsto en el parágrafo 2 del presente artículo.
El gestor profesional será una persona natural o jurídica, nacional o extranjera, experta en la gestión de los activos aceptables para invertir señalados en el reglamento, con amplia experiencia en el ámbito nacional o internacional de conformidad con lo establecido en el reglamento. Además, deberá contar con los requisitos de experiencia, idoneidad y solvencia moral señalados en el respectivo reglamento.
En el evento en que la persona jurídica esté constituida y domiciliada en el exterior, el representante legal de la misma deberá apoderar de manera especial a una persona natural para que lo represente en el territorio colombiano.
El gestor profesional en ejercicio de la actividad de gestión de portafolios del fondo de capital privado responderá hasta la culpa leve, como experto prudente y diligente.
El gestor profesional contratado no podrá subcontratar la actividad de gestión.
PARÁGRAFO 1. Las sociedades administradoras deberán informar a la Superintendencia Financiera de Colombia, de manera inmediata, la contratación o remoción del gestor profesional.
PARÁGRAFO 2. La Sociedad Administradora del fondo de capital privado será responsable por la debida diligencia en la escogencia del gestor profesional, así como, por su adecuada supervisión en el cumplimiento formal de sus funciones, sin perjuicio de las responsabilidades que están a cargo del Comité de Inversiones y del Comité de Vigilancia.
ARTÍCULO 3.3.7.2.3. CONTRATO DE VINCULACIÓN DEL GESTOR PROFESIONAL. <Artículo modificado por el artículo 1 del Decreto 1984 de 2018. El nuevo texto es el siguiente:> El contrato que se celebre con el gestor profesional deberá respetar las condiciones y términos que se señalen en el reglamento.
ARTÍCULO 3.3.7.2.4. OBLIGACIONES DEL GESTOR PROFESIONAL. <Artículo modificado por el artículo 1 del Decreto 1984 de 2018. El nuevo texto es el siguiente:> Además de las obligaciones establecidas en el reglamento, el gestor profesional del fondo de capital privado deberá:
1. Obrar de manera profesional, con la diligencia exigible a un experto prudente y diligente en la gestión de Fondos de Capital Privado, observando la política de inversión del fondo de capital privado y el reglamento.
2. Guardar la reserva de ley respecto de los negocios y de la información a la que tengan acceso en razón de sus funciones.
3. Poner en conocimiento del Comité de Vigilancia cualquier situación que pueda dar lugar a un conflicto de interés y seguir las recomendaciones efectuadas por dicho órgano sobre la prevención, manejo y revelación de tales conflictos.
4. Poner en conocimiento del Comité de Vigilancia situaciones que podrían comprometer la sostenibilidad o viabilidad, o que puedan tener una incidencia material sobre los estados e información financiera del fondo de capital privado.
5. Ejecutar la política de inversión del fondo de capital privado gestionado de conformidad con el reglamento y buscando la mejor ejecución de las operaciones, para lo cual deberá implementar los mecanismos adecuados de seguimiento y supervisión. El gestor deberá además observar las instrucciones impartidas por el Comité de Inversiones.
6. Identificar, medir, gestionar, administrar y controlar los riesgos de la actividad de gestión de portafolios de Fondos de Capital Privado.
7. Identificar, controlar y gestionar las situaciones generadoras de conflictos de interés en el desarrollo de la actividad de gestión del fondo de capital privado, según las reglas establecidas en las normas aplicables, el reglamento y las directrices señaladas por el Comité de Vigilancia del Fondo de Capital Privado. Dichas situaciones deberán ser informadas a la Sociedad Administradora y al Comité de Vigilancia del respectivo fondo.
8. Efectuar la valoración del portafolio de los Fondos de Capital Privado gestionados y de sus participaciones si así lo establece el reglamento, de conformidad con lo previsto en las normas aplicables y las instrucciones impartidas por la Superintendencia Financiera de Colombia. Las valoraciones deben contar con soportes técnicos de su estimación y estar disponibles para consulta del inversionista.
9. Asegurar el mantenimiento de la reserva de información que conozca con ocasión de la actividad de Fondos de Capital Privado, así como adoptar políticas y procedimientos para evitar el uso indebido de información privilegiada o reservada relacionada con los Fondos de Capital Privado gestionados, sin perjuicio de los deberes de información a la Superintendencia Financiera de Colombia.
10. Entregar oportunamente a la Sociedad Administradora del fondo de capital privado la información para el cumplimiento de sus funciones.
11. Vigilar y supervisar permanentemente que el personal vinculado al gestor profesional cumpla con sus obligaciones en la gestión de los Fondos de Capital Privado, incluyendo las reglas de gobierno corporativo, reglas de conducta y las demás establecidas en los manuales de procedimiento.
12. Adoptar medidas de control y reglas de conducta necesarias, apropiadas y suficientes, que se orienten a evitar que los Fondos de Capital Privado gestionados puedan ser utilizados como instrumentos para el ocultamiento, manejo, inversión o aprovechamiento en cualquier forma de dineros u otros bienes provenientes de actividades ilícitas, para realizar evasión tributaria o para dar apariencia de legalidad a actividades ilícitas o a las transacciones y recursos vinculados con las mismas.
13. Contar con manuales de gobierno corporativo y los demás necesarios para el cumplimiento de las normas aplicables y velar por su cumplimiento
14. Presentar a la asamblea de inversionistas, cuando haya lugar a ello, toda la información asociada a la gestión del fondo de capital privado, en todo caso, como mínimo deberán presentarse la descripción general del portafolio y su desempeño, así como toda información necesaria sobre la gestión de los activos del fondo de capital privado.
15. Designar a los miembros del Comité de Inversiones del Fondo de capital Privado.
16. Cumplir a cabalidad con los demás aspectos necesarios para la adecuada gestión del portafolio del fondo de capital privado respecto del cual realiza dicha actividad.
17. Ejercer los derechos patrimoniales y políticos de los activos que hagan parte del fondo de capital privado, cuando así lo establezca el reglamento.
18. Presentar la información relacionada con la gestión de riesgos del portafolio y otro tipo de información sensible sobre las inversiones realizadas por el fondo de capital privado.
19. Contar con políticas para la identificación, manejo, control y revelación de conflictos de interés asociados específicamente a la política, estrategia y objetivo de inversión del fondo de capital privado, así como su evaluación periódica.
20. Contar con políticas y procedimientos sobre la designación de personas que se desempeñan como administradores y/o directores de las empresas o proyectos en los que invierte el fondo de capital privado.
21. Las demás que se establezcan en el reglamento y en el contrato de gestión de portafolio del fondo de capital privado.
ARTÍCULO 3.3.7.2.5. CONSTITUCIÓN DE PARTICIPACIONES POR EL GESTOR PROFESIONAL. <Artículo modificado por el artículo 1 del Decreto 1984 de 2018. El nuevo texto es el siguiente:> El gestor profesional podrá ser inversionista del fondo de capital privado en las condiciones indicadas en el reglamento, sin perjuicio de lo señalado en el numeral 2 del artículo 3.3.5.1.2 del presente decreto.
GERENTE DEL FONDO DE CAPITAL PRIVADO.
ARTÍCULO 3.3.7.3.1. GERENTE DEL FONDO DE CAPITAL PRIVADO. <Artículo modificado por el artículo 1 del Decreto 1984 de 2018. El nuevo texto es el siguiente:> Cuando el fondo de capital privado no cuente con un gestor profesional, deberá tener un gerente, quien será una persona natural de dedicación exclusiva en la actividad de gestión de Fondos de Capital Privado, con su respectivo suplente, nombrado por la Junta Directiva de la Sociedad Administradora del fondo de capital privado.
El gerente del fondo de capital privado será el encargado de la ejecución de la gestión del portafolio del fondo de capital privado a su cargo, por cuenta de quien realice la actividad de gestión. Dichas decisiones deberán ser tomadas de manera profesional, con la diligencia exigible a un experto prudente y diligente en la gestión de fondos capital privado, observando la política de inversión del fondo de capital privado, el reglamento y las normas aplicables.
Una misma persona podrá ser gerente de múltiples Fondos de Capital Privado administrados por la Sociedad Administradora de Fondos de Capital Privado.
ARTÍCULO 3.3.7.3.2. CALIDADES PERSONALES DEL GERENTE DEL FONDO DE CAPITAL PRIVADO. <Artículo modificado por el artículo 1 del Decreto 1984 de 2018. El nuevo texto es el siguiente:> El gerente y su respectivo suplente se considerarán como administradores de la sociedad que ejerza la gestión de las inversiones del fondo de capital privado, con funciones exclusivamente vinculadas a la gestión de los Fondos de Capital Privado gestionados, y deberán acreditar la experiencia específica en la administración y gestión de los riesgos correspondientes al fondo de capital privado que van a gestionar.
La designación de estos funcionarios no exonera a la Junta Directiva de la responsabilidad prevista en el artículo 200 del Código de Comercio, o cualquier norma que lo modifique, sustituya o derogue, ni del cumplimiento de los deberes establecidos en las normas legales y en el presente Libro.
ARTÍCULO 3.3.7.3.3. FUNCIONES DEL GERENTE DEL FONDO DE CAPITAL PRIVADO. <Artículo modificado por el artículo 1 del Decreto 1984 de 2018. El nuevo texto es el siguiente:> El gerente y, en su ausencia, el respectivo suplente, deberán cumplir las siguientes obligaciones, sin perjuicio de las obligaciones propias de los demás administradores de la Sociedad Administradora de Fondos de Capital Privado:
1. En la toma de decisiones de inversión deberá tener en cuenta las políticas diseñadas por la Junta Directiva de la Sociedad Administradora para identificar, medir, gestionar y administrar los riesgos y realizar de su labor de manera profesional durante toda la etapa de inversión y desinversión del fondo de capital privado.
2. Documentar con detalle y precisión los problemas detectados en los envíos de información de la Sociedad Administradora de Fondos de Capital Privado a los inversionistas y a la Superintendencia Financiera de Colombia, categorizados por fecha de ocurrencia, frecuencia e impacto. Así mismo, deberá documentar los mecanismos implementados para evitar la reincidencia de las fallas detectadas.
3. Asegurarse de que la Sociedad Administradora cuente con personal idóneo para el cumplimiento de las obligaciones de información.
4. Proponer a los órganos de administración el desarrollo de programas, planes y estrategias orientadas al cumplimiento eficaz de las obligaciones de información a cargo de la Sociedad Administradora.
5. Cumplir con las directrices, mecanismos y procedimientos señaladas por la Junta Directiva de la Sociedad Administradora de Fondos de Capital Privado, y vigilar su cumplimiento por las demás personas vinculadas contractualmente cuyas funciones se encuentren relacionadas con la gestión propia.
6. Informar a la Superintendencia Financiera de Colombia los hechos que imposibiliten o dificulten el cumplimiento de sus funciones, previa información a la Junta Directiva.
7. Presentar la información a la asamblea de inversionistas, de conformidad con lo señalado en el numeral 14 del artículo 3.3.7.1.3 del presente decreto.
8. Identificar, controlar y gestionar las situaciones generadoras de conflictos de interés, según las reglas establecidas en las normas aplicables y las directrices señaladas por la Junta Directiva de la Sociedad Administradora.
9. Acudir a la Junta Directiva de la Sociedad Administradora de Fondos de Capital Privado en los eventos en que considere que se requiere de su intervención, con la finalidad de garantizar la adecuada gestión del fondo de capital privado.
10. Ejercer una supervisión permanente sobre el personal vinculado a la gestión del portafolio fondo de capital privado gestionado, y
11. Las demás asignadas por la Junta Directiva de la Sociedad Administradora, sin perjuicio de las responsabilidades asignadas a la misma.
PARÁGRAFO. El suplente solo actuará en caso de ausencias temporales o absolutas del principal.
ACTIVIDAD DE CUSTODIA.
ARTÍCULO 3.3.7.4.1. CUSTODIA DE VALORES QUE INTEGRAN EL PORTAFOLIO DEL FONDO DE CAPITAL PRIVADO. <Artículo modificado por el artículo 1 del Decreto 1984 de 2018. El nuevo texto es el siguiente:> Las sociedades administradoras de Fondos de Capital Privado deberán contratar la custodia de los valores que integran el portafolio de los Fondos de Capital Privado que administren, con entidades que de conformidad con el artículo 2.37.2.1.1 del presente decreto puedan ejecutar la actividad de custodia de valores.
Las sociedades administradoras de Fondos de Capital Privado o el gestor profesional, en caso que exista, ejercerán las actividades complementarias a la custodia de valores cuando estas no sean desarrolladas por el custodio.
ÓRGANOS DEL FONDO DE CAPITAL PRIVADO.
JUNTA DIRECTIVA DE LA SOCIEDAD ADMINISTRADORA.
ARTÍCULO 3.3.8.1.1. OBLIGACIONES DE LA JUNTA DIRECTIVA DE LA SOCIEDAD ADMINISTRADORA. <Artículo modificado por el artículo 1 del Decreto 1984 de 2018. El nuevo texto es el siguiente:> La Junta Directiva de la Sociedad Administradora de Fondos de Capital Privado con respecto a la administración de Fondos de Capital Privado deberá cumplir las siguientes obligaciones:
1. Definir las políticas y procedimientos aplicables al desarrollo de la actividad de administración de Fondos de Capital Privado, y determinar los criterios o condiciones bajo los cuales la sociedad desarrollará todas o algunas de las demás actividades relacionadas con los Fondos de Capital Privado administrados.
Para el efecto, la Junta Directiva deberá definir para cuales Fondos de Capital Privado la sociedad ejercerá la gestión del portafolio, y para cuales dicha gestión será realizada por un gestor profesional en los términos de del presente Libro.
Así mismo, la Junta Directiva deberá realizar la designación de la entidad que prestará los servicios de custodia de valores, y de las actividades complementarias a la misma que serán prestadas por parte de la entidad designada como custodio.
2. Definir los criterios o estándares aplicables a la selección de entidades encargadas de la gestión, y de la custodia de los Fondos de Capital Privado administrados por la sociedad autorizada.
3. Definir una adecuada estructura organizacional para garantizar el cumplimiento e independencia de las funciones propias de la actividad de administración de Fondos de Capital Privado, así como del personal responsable de las mismas.
4. Definir los procedimientos de control que permitan vigilar el cumplimiento de las reglas establecidas para la valoración de los Fondos de Capital Privado administrados.
5. Determinar las políticas necesarias para adoptar medidas de control y reglas de conducta apropiadas y suficientes, que se orienten a evitar que los Fondos de Capital Privado administrados puedan ser utilizados como instrumentos para el ocultamiento, manejo, inversión o aprovechamiento en cualquier forma de dineros u otros bienes provenientes de actividades ilícitas, para realizar evasión tributaria o para dar apariencia de legalidad a actividades ilícitas o a las transacciones y recursos vinculados con las mismas.
6. Aprobar los manuales para el control y prevención del lavado de activos, de gobierno corporativo incluyendo el código de conducta, de control interno, y los demás necesarios para el cumplimiento de las normas aplicables.
7. Establecer políticas en cualquier otro aspecto que tenga relevancia con el adecuado funcionamiento y la correcta administración del fondo de capital privado.
8. Diseñar políticas, directrices y procedimientos de gobierno corporativo y de control interno, orientadas a administrar los riesgos que puedan afectar la administración de los Fondos de Capital Privado.
9. Determinar políticas, directrices y procedimientos para garantizar la calidad de la información divulgada al público en general, a los inversionistas y a la Superintendencia Financiera de Colombia.
10. Establecer políticas y adoptar los mecanismos que sean necesarios para evitar el uso de información privilegiada o reservada y la manipulación de la rentabilidad o del valor de la unidad.
11. Diseñar y aprobar las políticas para la presentación a las asambleas de inversionistas de toda la información necesaria que permita establecer el estado de los Fondos de Capital Privado administrados, incluyendo como mínimo: los estados financieros básicos de propósito general, la descripción general del portafolio, y la evolución del valor de la participación, del valor del fondo de capital privado y de la participación de cada inversionista dentro del mismo.
12. Definir las situaciones constitutivas de conflictos de interés, así como las políticas y los procedimientos para su prevención, administración, y revelación a los inversionistas.
13. Establecer políticas, directrices y procedimientos para el ejercicio de los derechos políticos inherentes a los valores administrados colectivamente, cuando dicha actividad no haya sido delegada voluntariamente en el custodio de dichos valores. Dichas políticas, directrices y procedimientos deberán definir expresamente los casos en que la Sociedad Administradora podrá abstenerse de participar en las deliberaciones y votaciones, en razón, entre otras, de la poca materialidad de la participación social o de los asuntos a ser decididos.
14. Fijar las directrices de los programas de capacitación para los funcionarios encargados de las tareas relacionadas con la administración de los Fondos de Capital Privado.
15. Definir los mecanismos que serán implementados para el seguimiento del cumplimiento de las funciones del gestor profesional, en relación con la gestión del fondo de capital privado.
16. Dictar las políticas y mecanismos para solucionar de manera efectiva y oportuna los problemas detectados y reportados por las áreas involucradas en la actividad de administración del fondo de capital privado, y por el revisor fiscal, sobre asuntos que puedan afectar el adecuado funcionamiento y administración del fondo de capital privado.
17. Determinar los mecanismos que eviten la aplicación de prácticas discriminatorias o inequitativas entre los inversionistas de un mismo fondo de capital privado.
18. Determinar el contenido mínimo de los informes que deberá presentar quien ejecute la actividad de gestión de los Fondos de Capital Privado administrados por la Sociedad Administradora.
19. Nombrar el gerente del fondo de capital privado y su suplente, en caso de no existir un gestor profesional. Así como establecer los requisitos de idoneidad y experiencia requeridos para desempeñar dicho cargo.
20. Las demás establecidas a cargo de la Junta Directiva de la Sociedad Administradora de Fondos de Capital Privado en otras normas legales o reglamentarias.
COMITÉ DE INVERSIONES.
ARTÍCULO 3.3.8.2.1. COMITÉ DE INVERSIONES. <Artículo modificado por el artículo 1 del Decreto 1984 de 2018. El nuevo texto es el siguiente:> La Sociedad Administradora de Fondos de Capital Privado o el gestor profesional del fondo de capital privado, en caso de que exista, deberá constituir un Comité de Inversiones que será responsable del análisis de las inversiones, así como de la definición de las políticas para adquisición y liquidación de inversiones, teniendo en cuenta la política de riesgos del fondo de capital privado y la política de endeudamiento del mismo. El Comité de Inversiones se deberá reunir periódicamente como mínimo cada tres (3) meses, o extraordinariamente cuando las circunstancias lo requieran. De tales reuniones se deberán elaborar actas escritas sobre los temas tratados.
El Comité de Inversiones podrá ser diferente para cada compartimento, si así lo establece el reglamento del fondo de capital privado.
Para ejercer las funciones descritas anteriormente, el Comité de Inversiones de Fondos de Capital Privado deberá tener en cuenta los siguientes aspectos:
1. El cumplimiento de las directrices establecidas en la política de inversión, en cuanto a la forma cómo se invertirán los recursos del fondo de capital privado, los límites de inversión y su duración.
2. El manejo integral de la liquidez con el fin de asegurar que se cuentan con los recursos suficientes para cumplir con las obligaciones derivadas de las operaciones del fondo de capital privado.
3. Las características y condiciones bajo las cuales el fondo de capital privado asume obligaciones de endeudamiento con terceros.
La constitución del Comité de Inversiones no exonera a la Junta Directiva de la Sociedad Administradora de Fondos de Capital Privado o al gestor profesional, cuando este exista, de la responsabilidad prevista en el artículo 200 del Código de Comercio o cualquier otra norma que lo modifique, sustituya o derogue, ni del cumplimiento de los deberes establecidos en las normas legales y en la normatividad aplicable.
Cuando exista gestor profesional, corresponderá a este la elección de los miembros del Comité de inversiones. En tal caso, dichos miembros no tendrán la calidad de administradores de la Sociedad Administradora.
PARÁGRAFO 1. Podrá haber un mismo Comité de Inversiones para todos los Fondos de Capital Privado administrados por la misma Sociedad Administradora.
PARÁGRAFO 2. El Comité de Inversiones deberá elaborar un informe de su gestión para ser presentado tanto en el informe de rendición de cuentas, como en la asamblea de inversionistas del fondo de capital privado.
COMITÉ DE VIGILANCIA.
ARTÍCULO 3.3.8.3.1. COMITÉ DE VIGILANCIA. <Artículo modificado por el artículo 1 del Decreto 1984 de 2018. El nuevo texto es el siguiente:> La asamblea de inversionistas de los Fondos de Capital Privado deberá nombrar un Comité de Vigilancia. Cuando existan compartimentos al interior del fondo de capital privado, los inversionistas de los mismos deberán nombrar como mínimo un miembro del Comité de Vigilancia por compartimento, en todo caso, cada compartimento podrá tener su propio comité.
El Comité de Vigilancia será el encargado de ejercer la veeduría permanente sobre el cumplimiento de las funciones asignadas a la Sociedad Administradora y, al gestor profesional, en caso de existir. Estará conformado por personas naturales o jurídicas, en número plural impar de miembros, elegidos por la asamblea de inversionistas por períodos de dos años, pudiendo ser reelegidos. Por lo menos uno de los miembros de este comité no deberá tener relación alguna con la Sociedad Administradora o el gestor profesional, en caso de existir.
PARÁGRAFO 1. Cuando se designen personas jurídicas como miembros del Comité de Vigilancia, dichas personas deberán actuar por medio de un apoderado especial, quien deberá contar con el conocimiento técnico necesario para participar en dicho órgano y estar vinculado laboralmente a dicha persona jurídica.
PARÁGRAFO 2. Cuando la Sociedad Administradora o el gestor profesional, en caso de existir, sean inversionistas del fondo de capital privado, no podrán ser miembros del Comité de Vigilancia del respectivo fondo de capital privado.
PARÁGRAFO 3. Con anterioridad a la primera reunión de asamblea de inversionistas, la Sociedad Administradora designará provisionalmente a los miembros del Comité de Vigilancia, quienes ejercerán sus funciones hasta cuando la asamblea de inversionistas designe a los miembros en propiedad. Esta facultad no podrá ser ejercida por conducto del gestor profesional.
ARTÍCULO 3.3.8.3.2. FUNCIONES DEL COMITÉ DE VIGILANCIA. <Artículo modificado por el artículo 1 del Decreto 1984 de 2018. El nuevo texto es el siguiente:> El Comité de Vigilancia, sin perjuicio de las responsabilidades de la Sociedad Administradora y del gestor profesional, en caso de existir, tendrá las siguientes funciones, además de las que señale el respectivo reglamento:
1. Verificar que la Sociedad Administradora, el gestor profesional y el gerente cuando existan, cumplan con sus funciones.
2. Guardar la reserva de ley respecto de los negocios y de la información a la que tengan acceso en desarrollo de sus funciones.
3. Verificar que las inversiones y demás actuaciones u operaciones del fondo de capital privado se realicen de acuerdo con la normatividad aplicable y el reglamento para lo cual tendrá la facultad de solicitar cualquier información adicional, en caso de que lo requiera.
4. Conocer, evaluar y resolver aquellas situaciones que puedan dar lugar a eventuales conflictos de interés.
5. Proponer motivadamente a la asamblea de inversionistas la sustitución de la Sociedad Administradora o del gestor profesional, de conformidad con las causales de sustitución prevista en el reglamento.
6. Reportar inmediatamente a la Superintendencia Financiera de Colombia y a la Junta Directiva de la Sociedad Administradora cualquier posible violación de la normatividad aplicable a la actividad de administración de Fondos de Capital Privado, o el desconocimiento de los derechos o intereses de los inversionistas. Cuando dichas violaciones o desconocimientos impliquen un desmedro patrimonial para los inversionistas, dicho comité deberá convocar a reunión extraordinaria de inversionistas al día siguiente al cual se detectó el presunto incumplimiento.
7. Elaborar el informe de su gestión para ser presentado en el informe de rendición de cuentas y en la asamblea de inversionistas del fondo de capital privado.
8. Informar a los inversionistas los eventos que podrían comprometer la sostenibilidad o la viabilidad del fondo de capital privado, o tener una incidencia material sobre los estados e información financiera del fondo.
9. Aprobar su propio reglamento de funcionamiento.
ARTÍCULO 3.3.8.3.3. REUNIONES DEL COMITÉ DE VIGILANCIA. <Artículo modificado por el artículo 1 del Decreto 1984 de 2018. El nuevo texto es el siguiente:> El Comité de Vigilancia se deberá reunir periódicamente como mínimo cada tres (3) meses, o extraordinariamente cuando las circunstancias lo requieran. En todo caso, de tales reuniones se deberán elaborar actas escritas, con el lleno de los requisitos previstos en el Código de Comercio y demás normas aplicables para las actas de asamblea de accionistas o juntas directivas de las sociedades por acciones, las cuales deberán ser elaboradas por la Sociedad Administradora del fondo de capital privado.
ASAMBLEA DE INVERSIONISTAS.
ARTÍCULO 3.3.8.4.1. ASAMBLEA DE INVERSIONISTAS. <Artículo modificado por el artículo 1 del Decreto 1984 de 2018. El nuevo texto es el siguiente:> La asamblea la constituyen los inversionistas del fondo de capital privado, reunidos con el quorum y en las condiciones establecidas en el presente Libro. En lo no previsto en el mismo, se aplicarán las normas del Código de Comercio previstas para la asamblea de accionistas de la sociedad anónima, cuando no sean contrarias a su naturaleza.
ARTÍCULO 3.3.8.4.2. REUNIONES DE LA ASAMBLEA DE INVERSIONISTAS. <Artículo modificado por el artículo 1 del Decreto 1984 de 2018. El nuevo texto es el siguiente:> La asamblea de inversionistas se reunirá cuando sea convocada por la Sociedad Administradora de Fondos de Capital Privado, por el Comité de Vigilancia, por el gestor profesional, por el revisor fiscal, por los inversionistas del fondo de capital privado que representen no menos del veinticinco por ciento (25%) de las participaciones, o por la Superintendencia Financiera de Colombia.
La convocatoria deberá realizarse a través de los mecanismos previstos para el efecto en el reglamento y en el sitio web de la Sociedad Administradora de Fondos de Capital Privado. La asamblea podrá deliberar con la presencia de un número plural de inversionistas que represente como mínimo el cincuenta y uno por ciento (51%) de las participaciones del respectivo fondo de capital privado.
Salvo que el reglamento prevea una mayoría superior, que no podrá superar el setenta por ciento (70%) de las participaciones presentes en la respectiva reunión, las decisiones de la asamblea se tomarán mediante el voto favorable de por lo menos la mitad más una de las participaciones presentes en la respectiva reunión. Cada participación otorga un voto.
PARÁGRAFO. La participación de la Sociedad Administradora, o del gestor profesional, en caso de existir, como inversionista del fondo de capital privado que administra o gestiona respectivamente, le dará derechos de voto, lo cual se ejercerá sin perjuicio del cumplimiento de la política de conflictos de interés al respecto.
ARTÍCULO 3.3.8.4.3. FUNCIONES DE LA ASAMBLEA DE INVERSIONISTAS. <Artículo modificado por el artículo 1 del Decreto 1984 de 2018. El nuevo texto es el siguiente:> Son funciones de la asamblea de inversionistas, además de las señaladas en el reglamento:
1. Disponer que la administración del fondo de capital privado se entregue a otra sociedad legalmente autorizada para el efecto.
2. Decretar la liquidación del fondo de capital privado y, cuando sea del caso, designar el liquidador.
3. Aprobar o improbar el proyecto de fusión del fondo de capital privado.
4. Solicitar a la Sociedad Administradora de Fondos de Capital Privado realizar la remoción del gestor profesional, de conformidad con las causales descritas en el reglamento.
5. Aprobar las cuentas que presente la Sociedad Administradora de forma anual,
6. Elegir los miembros del Comité de Vigilancia.
7. Autorizar la inscripción de las participaciones en sistemas de negociación de valores o bolsas de valores.
8. Aprobar el reglamento de emisión y colocación de bonos
9. Designar, cuando lo considere conveniente, un auditor externo para el fondo de capital privado. Costo que será asumido por el fondo de capital privado.
10. Las demás expresamente asignadas en el presente Libro.
PARÁGRAFO. Cuando quiera que se opte por el sistema del voto por escrito, para las reuniones adelantadas de conformidad con el artículo 20 de la Ley 222 de 1995, o cualquier otra norma que lo modifique, sustituya o derogue, los documentos que se envíen a los inversionistas deben contener la información necesaria, a fin de que estos dispongan de elementos de juicio suficientes y adecuados para tomar la respectiva decisión.
ARTÍCULO 3.3.8.4.4. CONSULTA UNIVERSAL. <Artículo modificado por el artículo 1 del Decreto 1984 de 2018. El nuevo texto es el siguiente:> Como alternativa a la realización de asambleas de inversionistas, en el reglamento del fondo de capital privado se podrá establecer que se realizará una consulta escrita a todos los inversionistas del respectivo fondo de capital privado, de conformidad con el siguiente procedimiento:
1. La decisión de adelantar la consulta será informada a la Superintendencia Financiera de Colombia, quien podrá presentar observaciones a la misma.
2. Se elaborará una consulta, en la cual se debe detallar los temas que serán objeto de votación, incluyendo la información necesaria para adoptar una decisión consciente e informada.
3. La Sociedad Administradora de Fondos de Capital Privado deberá enviar el documento contentivo de la consulta a la dirección física o electrónica registrada por cada uno de los inversionistas.
4. Una vez remitida la consulta, los inversionistas podrán solicitar a la Sociedad Administradora de Fondos de Capital Privado, en un plazo que no exceda de quince (15) días, toda la información que consideren conveniente en relación con el fondo de capital privado. Esta información deberá ser puesta a su disposición a través de los medios más idóneos para tal fin.
5. Los inversionistas deberán responder a la consulta dirigiendo una comunicación a la dirección de la Sociedad Administradora del respectivo fondo de capital privado o al correo electrónico que la Sociedad Administradora de Fondos de Capital Privado destine para este fin, dentro de los treinta (30) días siguientes a la recepción del documento contentivo de la consulta.
6. Para que la consulta sea válida se requiere que responda al menos el cincuenta y uno por ciento (51%) de las participaciones del fondo de capital privado, sin tener en cuenta la participación de la Sociedad Administradora, salvo que el reglamento prevea un porcentaje superior, que no podrá superar el setenta por ciento (70%) de las participaciones.
7. Las decisiones se tomarán de acuerdo con las mayorías establecidas en el artículo 3.3.8.4.2 del presente decreto.
8. Para el conteo de votos la Sociedad Administradora de Fondos de Capital Privado deberá documentar el número de comunicaciones recibidas, así como los votos a favor y en contra de la consulta.
9. La Sociedad Administradora deberá informar a la Superintendencia Financiera de Colombia los resultados de la consulta, allegando para tal fin un escrito detallado de la misma y las decisiones adoptadas, el cual deberá ser suscrito por el representante legal de la Sociedad Administradora o por el gerente del respectivo fondo de capital privado, cuando exista; así como por el revisor fiscal, y
10. La decisión adoptada por el mecanismo de la consulta deberá ser informada a los inversionistas de conformidad con los mecanismos que el reglamento del fondo de capital privado defina para revelar información.
DERECHOS DE LOS INVERSIONISTAS.
ARTÍCULO 3.3.8.5.1. DERECHOS DE LOS INVERSIONISTAS. <Artículo modificado por el artículo 1 del Decreto 1984 de 2018. El nuevo texto es el siguiente:> Además de los expresamente pactados en el reglamento y de aquellos asignados por normas especiales, por las normas de protección al consumidor financiero y por las normas de protección a los inversionistas en el mercado de valores, los inversionistas o los beneficiarios designados por ellos, tendrán los siguientes derechos:
1. Participar en los resultados económicos generados del giro ordinario de las operaciones del fondo de capital privado.
2. Examinar los documentos relacionados con el fondo de capital privado, incluida la valoración, en la forma y términos previstos en el reglamento, a excepción de aquellos que se refieran exclusivamente a los demás inversionistas, los cuales nunca podrán ser consultados por inversionistas diferentes del propio interesado.
El reglamento deberá incluir la oportunidad para ejercer dicho examen, el cual tendrá lugar, cuando menos, dentro de los quince (15) días hábiles siguientes a la terminación de cada semestre calendario.
3. Negociar sus participaciones en el fondo de capital privado, de conformidad con la naturaleza de los documentos representativos de dichas participaciones.
4. Solicitar la redención total o parcial de sus participaciones en el fondo de capital privado, de conformidad con lo establecido en el reglamento.
5. Ejercer los derechos políticos derivados de su participación, a través de la asamblea de inversionistas.
6. Recibir un trato igualitario cuando se encuentre en igualdad de circunstancias objetivas con otros inversionistas del mismo fondo de capital privado.
7. Solicitar aclaración sobre la información entregada por la Sociedad Administradora y/o el gestor profesional.
ARTÍCULO 3.3.8.5.2. DEFENSOR DEL CONSUMIDOR FINANCIERO. <Artículo modificado por el artículo 1 del Decreto 1984 de 2018. El nuevo texto es el siguiente:> Las sociedades que solo administren Fondos de Capital Privado no estarán obligadas a tener defensor del consumidor financiero.
En caso que las mismas administren Fondos de Inversión Colectiva, las funciones del defensor del consumidor financiero no serán aplicables a la administración de Fondos de Capital Privado.
REVISOR FISCAL.
ARTÍCULO 3.3.8.6.1. REVISOR FISCAL. <Artículo modificado por el artículo 1 del Decreto 1984 de 2018. El nuevo texto es el siguiente:> El revisor fiscal de la respectiva Sociedad Administradora de Fondos de Capital Privado ejercerá las funciones propias de su cargo respecto de cada uno de los Fondos de Capital Privado que la respectiva entidad administre, así como, de manera independiente por cada compartimiento constituido. Los reportes o informes relativos al fondo de capital privado se deberán presentar de forma independiente a los referidos a la Sociedad Administradora.
PARÁGRAFO. La existencia de la revisoría fiscal no impide que el respectivo fondo de capital privado contrate un auditor externo, con cargo a sus recursos, según las reglas que se establezcan en el reglamento en cuanto hace a sus funciones y designación.
FONDOS BURSÁTILES.
ARTÍCULO 3.4.1.1.1. ÁMBITO DE APLICACIÓN. <Artículo modificado por el artículo 1 del Decreto 1242 de 2013. El nuevo texto es el siguiente:> Los fondos bursátiles a que se refiere el presente Libro solo podrán ser administrados por sociedades comisionistas de bolsa de valores, sociedades fiduciarias y sociedades administradoras de inversión.
Las sociedades mencionadas, en relación con la administración de fondos bursátiles, estarán sujetas a lo previsto en el presente Libro, y en lo no regulado en el mismo, se aplicarán, en lo que sea compatible con la naturaleza de dichos fondos, las normas de los Fondos de Inversión Colectiva.
ARTÍCULO 3.4.1.1.2. DEFINICIÓN DE FONDOS BURSÁTILES. <Artículo modificado por el artículo 1 del Decreto 1242 de 2013. El nuevo texto es el siguiente:> Se considerarán fondos bursátiles aquellos Fondos de Inversión Colectiva cuyo objeto consista en replicar o seguir un índice nacional o internacional, mediante la constitución de un portafolio integrado por algunos o todos los activos que hagan parte de la canasta que conforma dicho índice.
El portafolio también podrá estar conformado por derivados estandarizados cuyos subyacentes hagan parte de la canasta que conforma el índice.
PARÁGRAFO. A los fondos bursátiles no les será aplicable la clasificación de Fondos de Inversión Colectiva establecida en el artículo 3.1.1.2.2 del presente decreto.
ARTÍCULO 3.4.1.1.3 PRINCIPIOS. <Artículo modificado por el artículo 1 del Decreto 1242 de 2013. El nuevo texto es el siguiente:> Los principios previstos en el Capítulo 1 del Título 1 del Libro 1 de la Parte 3 del presente decreto serán aplicables a la administración de los fondos bursátiles.
ARTÍCULO 3.4.1.1.4. CONSTITUCIÓN Y FUNCIONAMIENTO DE LOS FONDOS BURSÁTILES. <Artículo modificado por el artículo 1 del Decreto 1242 de 2013. El nuevo texto es el siguiente:> Las sociedades administradoras de fondos bursátiles deberán cumplir con lo previsto en el artículo 3.1.1.3.1 del presente decreto.
ARTÍCULO 3.4.1.1.5. UNIDADES DE CREACIÓN Y PARTICIPACIONES. <Artículo modificado por el artículo 1 del Decreto 1242 de 2013. El nuevo texto es el siguiente:> La unidad de creación del fondo bursátil estará compuesta por algunos o todos los activos que conforman el índice objeto de réplica o seguimiento, teniendo en cuenta su peso o ponderación dentro del mismo. El reglamento del fondo bursátil deberá establecer la metodología para determinar el número de participaciones que equivale a la unidad de creación.
Los documentos representativos de las participaciones de los fondos bursátiles tendrán la calidad de valor en los términos del artículo 2o. de la Ley 964 de 2005 y demás normas que la modifiquen o sustituyan, y deberán ser negociados en un sistema de negociación de valores, según el tipo de activos autorizado a cada uno de estos.
ARTÍCULO 3.4.1.1.6. CONSTITUCIÓN Y REDENCIÓN DE UNIDADES DE CREACIÓN. <Artículo modificado por el artículo 1 del Decreto 1242 de 2013. El nuevo texto es el siguiente:> La constitución de unidades de creación se realizará cuando los inversionistas transfieran los activos que las conforman.
La constitución y redención de unidades de creación se podrá efectuar en dinero o en los activos que de manera específica establezca el reglamento del fondo bursátil. Tratándose de fondos bursátiles cuyo objeto sea replicar o seguir un índice de renta variable local, las constituciones y redenciones deberán efectuarse en valores, salvo las excepciones que expresamente se incluyan en el reglamento.
PARÁGRAFO. La constitución y redención de unidades de creación que se efectúe en valores en los fondos bursátiles no constituye una negociación de los mismos, por lo tanto, no deberá realizarse a través de sistemas de negociación y registro de operaciones sobre valores, ni requiere de autorización previa alguna.
ARTÍCULO 3.4.1.1.7. NÚMERO MÍNIMO DE INVERSIONISTAS. <Artículo modificado por el artículo 1 del Decreto 1242 de 2013. El nuevo texto es el siguiente:> Los fondos bursátiles deberán tener mínimo dos inversionistas.
PARÁGRAFO. Esta regla no se aplicará durante los primeros seis (6) meses de operación del fondo bursátil.
ARTÍCULO 3.4.1.1.8. POLÍTICA DE INVERSIÓN. <Artículo modificado por el artículo 1 del Decreto 1242 de 2013. El nuevo texto es el siguiente:> La política de inversión de los fondos bursátiles atenderá a lo previsto en el artículo 3.1.1.4.2 del presente decreto, en lo que resulte aplicable de acuerdo con su naturaleza. Adicionalmente, deberá incluir los criterios para administrar los descalces derivados de la recomposición de la unidad de creación de acuerdo con la metodología del cálculo del índice, teniendo en cuenta los límites y las posibles acciones para corregirlos.
ARTÍCULO 3.4.1.1.9. VALORACIÓN. <Artículo modificado por el artículo 1 del Decreto 1242 de 2013. El nuevo texto es el siguiente:> La Superintendencia Financiera de Colombia definirá la metodología, periodicidad y mecanismos de reporte de la valoración de los fondos bursátiles.
ARTÍCULO 3.4.1.1.10. GASTOS Y COMISIONES. <Artículo modificado por el artículo 1 del Decreto 1242 de 2013. El nuevo texto es el siguiente:> Serán aplicables a los fondos bursátiles los artículos 3.1.1.8.1 y 3.1.1.8.2 del presente decreto, en lo que no resulte contrario a sus características especiales.
ARTÍCULO 3.4.1.1.11. REVELACIÓN DE INFORMACIÓN POR PARTE DE LAS SOCIEDADES ADMINISTRADORAS. <Artículo modificado por el artículo 1 del Decreto 1242 de 2013. El nuevo texto es el siguiente:> Serán aplicables a los fondos bursátiles los artículos 3.1.1.9.1 y 3.1.1.9.2 del presente decreto. Sin perjuicio de lo anterior, las sociedades administradoras de fondos bursátiles no estarán obligadas a generar las fichas técnicas ni los extractos de cuentas, previstos en los numerales 3 y 4 del artículo 3.1.1.9.1.
En los mecanismos de información deberá figurar la siguiente advertencia de forma visible, clara y destacada: “Las obligaciones de la Sociedad Administradora del fondo bursátil relacionadas con la gestión del portafolio son de medio y no de resultado. La inversión en el fondo bursátil está sujeta a los riesgos de inversión, derivados de la evolución de los precios de los valores que componen la unidad de creación. La inscripción en el Registro Nacional de Valores y Emisores (RNVE) no implica certificación sobre la bondad del valor o la solvencia del emisor por parte de la Superintendencia Financiera de Colombia”.
ARTÍCULO 3.4.1.1.12. REGLAMENTO. <Artículo modificado por el artículo 1 del Decreto 1242 de 2013. El nuevo texto es el siguiente:> Los fondos bursátiles deberán tener un reglamento que contenga, por lo menos, lo siguiente:
1. Aspectos generales:
a) Nombre completo, número de identificación y domicilio principal de la Sociedad Administradora del fondo bursátil;
b) El nombre del fondo, indicando que se trata de un fondo bursátil;
c) El índice objeto de réplica por el fondo bursátil;
d) Término de duración del fondo bursátil;
e) Sede principal donde se gestiona el fondo bursátil;
f) Naturaleza del patrimonio independiente y separado conformado por los activos entregados o transferidos a la Sociedad Administradora del fondo bursátil por parte del inversionista;
g) Indicación sobre la existencia de mecanismos que puedan proveer información para la toma de la decisión de inversión en el fondo bursátil;
h) Monto mínimo de suscriptores y de aportes requerido por el fondo bursátil para iniciar operaciones.
2. Definición de la política de inversión y los factores de riesgo del fondo bursátil.
3. Mecanismos de seguimiento y control del fondo bursátil, incluyendo información relacionada con los órganos de administración, asesoría y control establecidos en la presente Parte.
4. Constitución y redención de unidades de creación:
a) Procedimiento para la constitución y redención de unidades de creación, incluyendo los activos y número de participaciones que conforman la unidad de creación, la permanencia en el fondo bursátil y el plazo para la redención de unidades de creación;
b) Porcentaje máximo de participación que un solo inversionista, por sí o por interpuesta persona, podrá poseer en el fondo bursátil;
c) Naturaleza y características de los valores que representan las participaciones;
d) La bolsa o bolsas de valores, o sistemas de negociación de valores en los cuales se inscribirán las participaciones;
e) Metodología o procedimiento técnico mediante el cual se establecerá las unidades de creación y las participaciones;
f) Descripción de los casos en los cuales los inversionistas pueden realizar la constitución y la redención de las unidades de creación en dinero.
5. Relación pormenorizada y precisa de los gastos a cargo del fondo bursátil, y la forma en que se cubrirán. Dentro de la descripción del gasto por la remuneración de la administración que percibirá la Sociedad Administradora del fondo bursátil y el gestor profesional, cuando a ello haya lugar, deberá establecerse en forma clara y completa la metodología de cálculo y la forma de pago. Así mismo, deberán relacionarse los criterios objetivos que la Sociedad Administradora del fondo bursátil aplicará para la escogencia y remuneración de intermediarios para la realización de operaciones del fondo bursátil, cuando resulte aplicable.
6. Tratamiento de los eventos corporativos que afecten los valores y su impacto en las unidades de creación, así como la forma en que se ejercerán los derechos políticos derivados de los mismos.
7. Facultades, derechos y obligaciones de la Sociedad Administradora del fondo bursátil y de los inversionistas.
8. Reglas aplicables a la asamblea de inversionistas, incluyendo los procedimientos para su convocatoria y las decisiones que podrá tomar.
9. Mecanismos de revelación de información del fondo bursátil, señalando los medios para su publicación.
10. Causales y procedimiento de liquidación del fondo bursátil.
11. El procedimiento para modificar el reglamento, teniendo en cuenta que las modificaciones deberán ser informadas previamente a la Superintendencia Financiera de Colombia, o aprobadas por esta en el evento que se presente modificación o afectación a los derechos económicos de los inversionistas.
ARTÍCULO 3.4.1.1.13. PROSPECTO. <Artículo modificado por el artículo 1 del Decreto 1242 de 2013. El nuevo texto es el siguiente:> La Sociedad Administradora del fondo bursátil deberá implementar la figura del prospecto, en los términos previstos en el artículo 3.1.1.9.7 del presente decreto. Cuando la distribución del fondo sea efectuada por una sociedad diferente a la administradora, será esta la responsable de cumplir con lo establecido en el inciso primero de dicho artículo.
ARTÍCULO 3.4.1.1.14. INFORME DE RENDICIÓN DE CUENTAS. <Artículo modificado por el artículo 1 del Decreto 1242 de 2013. El nuevo texto es el siguiente:> La Sociedad Administradora del fondo bursátil o, en su caso, el gestor profesional, deberá rendir cuentas de su gestión, en los términos previstos en el artículo 3.1.1.9.10 del presente decreto.
El plazo para realizar este informe será de quince (15) días comunes, contados a partir de la fecha del respectivo corte.
ARTÍCULO 3.4.1.1.15. FUSIÓN Y CESIÓN. <Artículo modificado por el artículo 1 del Decreto 1242 de 2013. El nuevo texto es el siguiente:> Los fondos bursátiles podrán fusionarse con otros fondos de la misma naturaleza o cederse a otro administrador autorizado, de conformidad con lo que prevea su reglamento.
Los proyectos de fusión o cesión de los fondos bursátiles estarán sujetos a autorización previa de la Superintendencia Financiera de Colombia.
ARTÍCULO 3.4.1.1.16. OBLIGACIONES DE LA SOCIEDAD ADMINISTRADORA DEL FONDO BURSÁTIL. <Artículo modificado por el artículo 1 del Decreto 1242 de 2013. El nuevo texto es el siguiente:> Las obligaciones de la Sociedad Administradora del fondo bursátil y de su junta directiva serán las previstas en los artículos 3.1.3.1.3 y 3.1.5.1.1 del presente decreto, teniendo en cuenta las características especiales de los fondos bursátiles. El alcance de las obligaciones de la Sociedad Administradora del fondo bursátil será el previsto en el artículo 3.1.3.1.2 del presente decreto.
ARTÍCULO 3.4.1.1.17. GERENTE DEL FONDO BURSÁTIL. <Artículo modificado por el artículo 1 del Decreto 1242 de 2013. El nuevo texto es el siguiente:> Serán aplicables a los fondos bursátiles los artículos 3.1.5.2.1, 3.1.5.2.2 y 3.1.5.2.3 del presente decreto, teniendo en cuenta las características especiales de los mismos.
ARTÍCULO 3.4.1.1.18. GESTOR PROFESIONAL. <Artículo modificado por el artículo 1 del Decreto 1242 de 2013. El nuevo texto es el siguiente:>
<Inciso modificado por el artículo 12 del Decreto 1351 de 2019. El nuevo texto es el siguiente:> Las sociedades administradoras de fondos bursátiles podrán establecer, en el respectivo reglamento, la contratación de un gestor profesional. En este evento será aplicable lo previsto en los artículos 3.3.7.2.2, 3.3.7.2.3, 3.3.7.2.4 y 3.3.7.2.5 del presente decreto, teniendo en cuenta las características especiales de los fondos bursátiles.
En el evento en que exista un gestor profesional no será necesario contar con un gerente del fondo bursátil.
En el evento en que exista un gestor profesional no será necesario contar con un gerente del fondo bursátil.
ARTÍCULO 3.4.1.1.19. REVISOR FISCAL. <Artículo modificado por el artículo 1 del Decreto 1242 de 2013. El nuevo texto es el siguiente:> Será aplicable a los fondos bursátiles el artículo 3.1.5.4.1 del presente decreto.
ARTÍCULO 3.4.1.1.20. ASAMBLEA DE INVERSIONISTAS. <Artículo modificado por el artículo 1 del Decreto 1242 de 2013. El nuevo texto es el siguiente:> Serán aplicables a los fondos bursátiles los artículos 3.1.5.6.1, 3.1.5.6.2, 3.1.5.6.3 del presente decreto, teniendo en cuenta los siguientes aspectos:
1. La asamblea también podrá ser convocada por el gestor profesional.
2. La participación de la Sociedad Administradora como inversionista del fondo bursátil que administra le dará derechos de voto.
3. Serán funciones de la asamblea, además de las previstas en el artículo 3.1.5.6.3 del presente decreto, aprobar las cuentas que presente la Sociedad Administradora del fondo bursátil de conformidad con lo establecido en el reglamento.
PARÁGRAFO. Los compromisos de adquirir participaciones no otorgarán derechos políticos, salvo que el reglamento prevea otra cosa.
ARTÍCULO 3.4.1.1.21. PROHIBICIONES. <Artículo modificado por el artículo 1 del Decreto 1242 de 2013. El nuevo texto es el siguiente:> Será aplicable a los fondos bursátiles el artículo 3.1.1.10.1 del presente decreto, salvo los numerales 7 y 11.
No serán aplicables el numeral 4, en cuanto se refiere a la contratación de un gestor profesional.
PARÁGRAFO. En la administración de los fondos bursátiles no será aplicable lo dispuesto en el parágrafo 3o. del artículo 2.9.17.1.2 del presente decreto.
ARTÍCULO 3.4.1.1.22. SITUACIONES DE CONFLICTOS DE INTERÉS. <Artículo modificado por el artículo 1 del Decreto 1242 de 2013. El nuevo texto es el siguiente:> Será aplicable a los fondos bursátiles el artículo 3.1.1.10.2 del presente decreto, excepto los requisitos y límites previstos en los numerales 2 y 3 del mencionado artículo.
PARÁGRAFO. La Sociedad Administradora deberá revelar y administrar su calidad de inversionista y/o de formador de liquidez del mercado de valores respecto de las participaciones del fondo bursátil, siempre que ostente cualquiera de estas. Dichas calidades podrán coincidir.
FONDOS DE INVERSIÓN COLECTIVA INMOBILIARIOS.
ARTÍCULO 3.5.1.1.1. DEFINICIÓN DE FONDOS DE INVERSIÓN COLECTIVA INMOBILIARIA. <Artículo modificado por el artículo 1 del Decreto 1242 de 2013. El nuevo texto es el siguiente:> Se considerarán Fondos de Inversión Colectiva inmobiliaria aquellos Fondos de Inversión Colectiva cerrados cuya política de inversión prevea una concentración mínima en los activos mencionados en el artículo 3.5.1.1.2, equivalente al setenta y cinco por ciento (75%) de los activos totales del fondo.
El cumplimiento del requisito de concentración mínima en los activos mencionados en el artículo 3.5.1.1.2., no se exigirá durante los primeros seis (6) meses de operación del Fondo de Inversión Colectiva inmobiliaria.
En lo no previsto en este libro, se aplicarán a los Fondos de Inversión Colectiva inmobiliaria las normas de esta Parte que rigen los Fondos de Inversión Colectiva cerrados, siempre que no resulten incompatibles con la naturaleza propia de tales fondos y no se opongan a las reglas especiales previstas en este libro.
Lo establecido en el inciso segundo del artículo 3.1.1.5.2 del presente decreto no será aplicable a los Fondos de Inversión Colectiva inmobiliarios.
PARÁGRAFO 1o. Lo dispuesto en el presente libro se entenderá sin perjuicio de las disposiciones que rigen a los fondos de inversión inmobiliaria conforme lo establecido en el artículo 41 de la Ley 820 de 2003 y las normas que la reglamenten, modifiquen o adicionen.
PARÁGRAFO 2o. Las sociedades administradoras de Fondos de Inversión Colectiva podrán crear familias de Fondos de Inversión Colectiva inmobiliarios, constituidas únicamente con fondos de esta clase, con arreglo a lo establecido en el artículo 3.1.1.2.5 del presente decreto. Tratándose de familias de Fondos de Inversión Colectiva inmobiliarios, los inmuebles y proyectos inmobiliarios en los que inviertan los respectivos fondos deberán estar destinados a vivienda, oficinas, centros comerciales, hoteles, parqueaderos, bodegas, locales comerciales individuales, grandes superficies, hospitales. La Superintendencia Financiera de Colombia podrá autorizar otro tipo de destinaciones.
PARÁGRAFO 3o. <Parágrafo adicionado por el artículo 1 del Decreto 1403 de 2015. El nuevo texto es el siguiente:> Los fondos de capital privado cuya política de inversión tenga como objeto los activos de que trata el artículo 3.5.1.1.2 del presente decreto, podrán destinar hasta el ciento por ciento (100%) de los aportes de sus inversionistas a la inversión en dichos activos, y se regirán por las disposiciones establecidas en el Libro 3 de la Parte 3 del presente decreto.
ARTÍCULO 3.5.1.1.2. ACTIVOS ADMISIBLES PARA LA INVERSIÓN DE LOS RECURSOS DE LOS FONDOS DE INVERSIÓN COLECTIVA INMOBILIARIA, Y REGLAS DE DIVERSIFICACIÓN. <Artículo modificado por el artículo 1 del Decreto 1242 de 2013. El nuevo texto es el siguiente:> Los Fondos de Inversión Colectiva inmobiliaria podrán invertir en las siguientes clases de activos:
1. Bienes inmuebles, ubicados en Colombia o en el exterior;
2. Títulos emitidos en procesos de titularización hipotecaria o inmobiliaria;
3. Derechos fiduciarios de patrimonios autónomos conformados por bienes inmuebles o que tengan por finalidad el desarrollo de proyectos inmobiliarios;
4. Participaciones en fondos de inversión inmobiliaria del exterior que tengan características análogas a los Fondos de Inversión Colectiva inmobiliaria, en los términos que prevea el reglamento;
5. Participaciones en otros Fondos de Inversión Colectiva inmobiliarios locales, en los términos que prevea el reglamento;
6. Proyectos inmobiliarios, ubicados en Colombia o en el exterior, consistentes en la construcción, renovación, remodelación, comercialización, o explotación a cualquier título, de bienes inmuebles, con miras a obtener para el Fondo de Inversión Colectiva inmobiliaria una rentabilidad derivada de la valorización del inmueble, de la enajenación o explotación de unidades de construcción o, en general, del beneficio obtenido en el desarrollo del proyecto inmobiliario.
7. Acciones o cuotas de interés social emitidas por compañías nacionales o extranjeras cuyo objeto exclusivo sea la inversión en bienes inmuebles o en proyectos inmobiliarios, o ambos, siempre y cuando el fondo de inversión colectiva inmobiliaria inversionista tenga la calidad de accionista o socio único o mayoritario de la compañía receptora de la inversión, salvo que esta se encuentre listada en una bolsa de valores autorizada o reconocida por la Superintendencia Financiera de Colombia, en cuyo caso la participación podrá ser minoritaria
En el reglamento del Fondo de Inversión Colectiva inmobiliaria deberán señalarse las reglas que determinarán la diversificación por tipos de activos admisibles.
ARTÍCULO 3.5.1.1.3. MANEJO DE LA LIQUIDEZ DE LOS FONDOS DE INVERSIÓN COLECTIVA INMOBILIARIA. <Artículo modificado por el artículo 1 del Decreto 1242 de 2013. El nuevo texto es el siguiente:> Sin perjuicio del requisito de concentración mínima de que trata el artículo 3.5.1.1.1 del presente decreto, los Fondos de Inversión Colectiva inmobiliaria podrán realizar depósitos en cuentas corrientes o de ahorros e invertir en Fondos de Inversión Colectiva del Mercado Monetario y en títulos de contenido crediticio inscritos en el Registro Nacional de Valores y Emisores (RNVE), con el propósito de atender sus requerimientos de liquidez, de conformidad con los límites que se establezcan en el reglamento.
En relación con las inversiones en títulos o valores, deberán seguirse las reglas de la presente Parte.
ARTÍCULO 3.5.1.1.4. OPERACIONES AUTORIZADAS A LOS FONDOS DE INVERSIÓN COLECTIVA INMOBILIARIA. <Artículo modificado por el artículo 1 del Decreto 1242 de 2013. El nuevo texto es el siguiente:> Las sociedades administradoras de Fondos de Inversión Colectiva, en desarrollo de la política de inversión de los Fondos de Inversión Colectiva inmobiliaria, podrán:
1. Hacer y aceptar ofertas, y celebrar contratos de compraventa, permuta, usufructo, promesa de compraventa y opción, y los demás actos y negocios jurídicos que se autoricen en el reglamento, con el fin de adquirir o enajenar bienes inmuebles u otros activos admisibles para el Fondo de Inversión Colectiva inmobiliaria administrado, incluso cuando el proyecto inmobiliario se encuentre en proceso de desarrollo.
Los contratos de promesa de compraventa y opción se tendrán en cuenta a efectos de calcular el porcentaje de concentración mínima requerido en el artículo 3.5.1.1.1 del presente decreto.
2. Celebrar contratos para la explotación de los bienes inmuebles de propiedad del Fondo de Inversión Colectiva inmobiliaria administrado, tales como contratos de arrendamiento o de concesión, entre otros, siempre que los contratos que se pretenda celebrar estén previstos en el reglamento.
3. Obtener para el Fondo de Inversión Colectiva inmobiliaria administrado créditos hasta por un monto equivalente a dos (2) veces el valor del patrimonio del fondo, mediante contratos de compraventa a plazo, mutuo, apertura de crédito o leasing, créditos estos que podrán ser garantizados con los bienes inmuebles adquiridos.
4. Abrir las cuentas corrientes y de ahorros, que sean necesarias para el manejo de los dineros del Fondo de Inversión Colectiva inmobiliaria administrado.
5. Celebrar los contratos de seguro que se requieran para proteger los bienes inmuebles del Fondo de Inversión Colectiva inmobiliaria administrado, así como contratos de seguro de arrendamiento para asegurar el pago de los cánones pactados en los contratos de arrendamiento celebrados sobre bienes inmuebles del fondo, y el pago de servicios públicos.
6. Contratar la prestación de los servicios que se requieran para el buen cuidado y manejo de los bienes inmuebles del Fondo de Inversión Colectiva inmobiliaria administrado, tales como los de administración y vigilancia, y el diseño, construcción, gerencia e interventoría de los proyectos inmobiliarios en los cuales invierta el fondo.
Cuando el Fondo de Inversión Colectiva inmobiliaria invierta en bienes inmuebles ubicados en el exterior, la Sociedad Administradora deberá contratar la administración de los mismos con un profesional que preste este tipo de servicios en el lugar donde se encuentren ubicados los bienes inmuebles respectivos.
ARTÍCULO 3.5.1.1.5. APORTES EN ACTIVOS ADMISIBLES AL FONDO DE INVERSIÓN COLECTIVA INMOBILIARIA. <Artículo modificado por el artículo 1 del Decreto 1242 de 2013. El nuevo texto es el siguiente:> El reglamento podrá establecer que se acepten aportes en activos admisibles de acuerdo con la política de inversión del fondo de inversión colectiva inmobiliaria.
Para la realización de aportes en activos admisibles deberán observarse las siguientes reglas:
1. El aporte en activos admisibles deberá ser previamente aprobado por el comité de inversiones del Fondo de Inversión Colectiva inmobiliaria, y por el gestor externo si lo hubiere.
2. El valor de los aportes de un mismo aportante no podrá superar el cincuenta por ciento (50%) del valor del patrimonio del Fondo de Inversión Colectiva inmobiliaria, excepto cuando se trate de aportes realizados durante los primeros seis (6) meses de operación del Fondo de Inversión Colectiva inmobiliaria
3. El aporte deberá realizarse, así:
a) En el caso de bienes inmuebles, el criterio para establecer el valor del aporte será el determinado por la Superintendencia Financiera de Colombia;
b) Tratándose de valores inscritos en el Registro Nacional de Valores y Emisores (RNVE), el valor del aporte no podrá exceder el precio de mercado de los respectivos valores, determinado con base en las reglas de valoración de esta clase de activos, para el día inmediatamente anterior a aquél en el cual se realice el aporte;
c) Tratándose de derechos fiduciarios de patrimonios autónomos conformados por bienes inmuebles, el criterio para establecer el valor del aporte será el determinado por la Superintendencia Financiera de Colombia.
4. El aportante deberá tener una permanencia mínima de un (1) año como inversionista en el Fondo de Inversión Colectiva inmobiliaria, contado a partir de la fecha en que se realice el aporte.
5. No podrán realizarse aportes en activos admisibles por parte de la Sociedad Administradora del Fondo de Inversión Colectiva inmobiliaria.
PARÁGRAFO. Si el reglamento contempla la posibilidad de que se acepten aportes en activos admisibles hechos por: i) la matriz de la Sociedad Administradora del Fondo de Inversión Colectiva inmobiliaria, o las sociedades subordinadas de aquella distintas de la Sociedad Administradora del Fondo de Inversión Colectiva inmobiliaria; ii) los accionistas de la Sociedad Administradora de Fondos de Inversión Colectiva que no tengan la calidad de matriz de esta; iii) el gestor externo del mismo fondo, si lo hubiere, sus socios o administradores, o iv) otras sociedades en las cuales las personas mencionadas en los numerales ii) y iii) precedentes sean individual o conjuntamente, de manera directa o indirecta, beneficiarios reales del veinticinco por ciento (25%) o más del capital social tal posibilidad deberá revelarse a los potenciales inversionistas en caracteres destacados tanto en el reglamento como en el prospecto, junto con las medidas que la Sociedad Administradora implementará para mitigar los potenciales conflictos de interés.
ARTÍCULO 3.5.1.1.6. VALORACIÓN DE LOS FONDOS DE INVERSIÓN COLECTIVA INMOBILIARIA. <Artículo modificado por el artículo 1 del Decreto 1242 de 2013. El nuevo texto es el siguiente:> La Superintendencia Financiera de Colombia determinará las reglas de valoración aplicables a los Fondos de Inversión Colectiva inmobiliaria.
ARTÍCULO 3.5.1.1.7. GESTOR EXTERNO DE LOS FONDOS DE INVERSIÓN COLECTIVA INMOBILIARIA. <Artículo modificado por el artículo 1 del Decreto 1242 de 2013. El nuevo texto es el siguiente:> Las sociedades administradoras de Fondos de Inversión Colectiva inmobiliaria podrán establecer, en el respectivo reglamento, la contratación de un gestor externo o extranjero, evento en el cual deberán cumplirse las normas sobre el gestor externo que se establecen en esta parte del presente decreto”.
ARTÍCULO 3.5.1.1.8. GESTOR EXTERNO NO VIGILADO POR LA SUPERINTENDENCIA FINANCIERA DE COLOMBIA. <Artículo adicionado por el artículo 2 del Decreto 2090 de 2017. El nuevo texto es el siguiente:> Las sociedades administradoras de fondos de inversión colectiva inmobiliaria podrán establecer en el respectivo reglamento, la contratación de un gestor externo no vigilado por la Superintendencia Financiera de Colombia para la gestión de los activos mencionados en el artículo 3.5.1.1.2 del presente decreto. En este caso el gestor externo deberá ser una persona jurídica, de naturaleza pública o privada, ser un experto en la administración del portafolio definido para el respectivo fondo de inversión colectiva inmobiliaria según lo señalado en el reglamento, y contar con los requisitos de experiencia y conocimiento señalados en el respectivo reglamento.
En el reglamento del respectivo fondo de inversión colectiva inmobiliaria deberá establecerse el procedimiento y los criterios de selección del gestor externo, así como los estándares mínimos que se aplicarán para realizar su designación, contratación, seguimiento y remoción.
La sociedad administradora del fondo de inversión colectiva inmobiliario será responsable por la selección y escogencia del gestor externo, por su adecuada supervisión en el cumplimiento de sus funciones y por la verificación del cumplimiento de las políticas y procedimientos para la prevención y administración de las situaciones constitutivas de conflictos de interés en el ejercicio de la función de gestión. Así mismo, será la encargada de gestionar cualquier tipo de requerimiento realizado por parte del inversionista relacionado con las funciones del gestor externo.
La responsabilidad por las decisiones de inversión será asumida por el gestor externo no vigilado por la Superintendencia Financiera de Colombia.
ARTÍCULO 3.5.1.1.9. MEDIOS PARA REALIZAR LA DISTRIBUCIÓN DE LOS FONDOS DE INVERSIÓN COLECTIVA INMOBILIARIOS. <Artículo adicionado por el artículo 3 del Decreto 2090 de 2017. El nuevo texto es el siguiente:> En adición a los medios a través de los cuales es posible realizar la distribución de los fondos de inversión colectiva establecidos en el artículo 3.1.4.1.2 del presente decreto, la distribución de los valores representativos de los derechos de participación de los fondos de inversión colectiva inmobiliarios inscritos en el Registro Nacional de Valores y Emisores (RNVE) podrá realizarse por medio de las operaciones de colocación de valores de que trata el numeral 5 del artículo 7.1.1.1.2 del presente decreto.
FONDOS DE INVERSIÓN DEL EXTERIOR.
ARTÍCULO 3.6.1.1.1. ÁMBITO DE APLICACIÓN. <Artículo adicionado por el artículo 1 del Decreto 1756 de 2017. El nuevo texto es el siguiente:> Con el presente régimen se regula el reconocimiento en Colombia de los fondos de inversión del exterior de que trata el presente Libro.
Para los efectos del presente Libro, se consideran fondos de inversión del exterior, los vehículos de inversión colectiva, cualquiera sea su estructura legal y denominación, que operan en jurisdicciones distintas de Colombia, que hayan recibido autorización previa y expresa por parte de una autoridad de supervisión, bajo el régimen legal aplicable en la respectiva jurisdicción, siempre y cuando esta autoridad de supervisión tenga suscritos acuerdos o convenios de intercambio de información y protocolos de supervisión con la Superintendencia Financiera de Colombia en los términos descritos en el parágrafo 1 del artículo 2.23.2.1.1 del presente decreto. Dicha autoridad de supervisión de la respectiva jurisdicción, también deberá ejercer supervisión sobre el administrador de los fondos de inversión del exterior.
PARÁGRAFO. La supervisión de los fondos de inversión del exterior de que trata el presente Libro y de sus administradores, continuará a cargo de la autoridad de supervisión de la jurisdicción de origen del respectivo fondo.
ARTÍCULO 3.6.1.1.2. REQUISITOS ESPECIALES. <Artículo adicionado por el artículo 1 del Decreto 1756 de 2017. El nuevo texto es el siguiente:> Además de lo previsto en el artículo 3.6.1.1.1 del presente decreto, los fondos de inversión del exterior de que trata el presente Libro deberán cumplir los siguientes requisitos especiales:
1. Contar con estándares de segregación patrimonial, en cuya virtud los activos administrados constituyan un patrimonio independiente y separado del patrimonio propio de la entidad administradora y de los patrimonios de otros fondos de inversión administrados, bajo el régimen legal aplicable en la respectiva jurisdicción.
2. Contar con estándares de suministro de información periódica a los inversionistas, que comprendan como mínimo los objetivos y la política de inversión de los fondos de inversión del exterior, el perfil de riesgo y retorno incluyendo la descripción de los riesgos a los cuales se encuentran expuestos, los costos, el desempeño histórico, y los datos de contacto de las entidades administradoras incluyendo su dirección postal y página de internet, bajo el régimen legal aplicable en la respectiva jurisdicción.
3. Tener un custodio profesional, sujeto a la supervisión de la autoridad de supervisión de la jurisdicción de origen de dicho fondo, que sea independiente del administrador del fondo de inversión del exterior; que tenga estándares de segregación patrimonial en cuya virtud los activos en custodia constituyan un patrimonio independiente del patrimonio propio del custodio y de otros activos custodiados, y que realice al menos la función de salvaguarda de los activos custodiados, bajo el régimen legal aplicable en la respectiva jurisdicción.
4. No realizar operaciones de naturaleza apalancada. Para estos efectos, se entiende por operaciones de naturaleza apalancada las contempladas en el artículo 3.1.1.5.1 del presente decreto.
ARTÍCULO 3.6.1.1.3. INVERSIONISTAS AUTORIZADOS. <Artículo adicionado por el artículo 1 del Decreto 1756 de 2017. El nuevo texto es el siguiente:> Podrán invertir en los fondos de inversión del exterior de que trata el presente Libro, quienes tengan la calidad de inversionista profesional y de cliente inversionista de conformidad con los artículos 7.2.1.1.2 y 7.2.1.1.4 del presente decreto, y en los términos establecidos en el presente Libro.
PARÁGRAFO 1. Las participaciones de los fondos de inversión del exterior de que trata el presente Libro, únicamente podrán ser adquiridas por cuenta de un cliente inversionista o de un inversionista profesional, si en los países en los cuales operan dichos fondos tales instrumentos son adquiridos o enajenados por el mismo tipo de inversionistas o su equivalente en la respectiva jurisdicción.
PARÁGRAFO 2. La Superintendencia Financiera de Colombia establecerá la equivalencia a que hace referencia el parágrafo 1 del presente artículo cuando haya lugar a ello.
PARÁGRAFO 3. Las disposiciones del presente Libro se entienden sin perjuicio del cumplimiento de las normas cambiarias y de las que regulan las inversiones de capital del exterior en Colombia y las inversiones colombianas en el exterior.
ARTÍCULO 3.6.1.1.4. DISTRIBUCIÓN ESPECIALIZADA DE FONDOS DE INVERSIÓN DEL EXTERIOR. <Artículo adicionado por el artículo 1 del Decreto 1756 de 2017. El nuevo texto es el siguiente:> La actividad de distribución de los fondos de inversión del exterior de que trata el presente Libro, comprende la promoción de este tipo de fondos con miras a la vinculación de inversionistas a los mismos.
La distribución que se menciona en el inciso anterior, deberá realizarse en los términos establecidos en el Título 4 del Libro 1 de la Parte 3 del presente decreto, pero únicamente podrá hacerse a través del distribuidor especializado de fondos de inversión colectiva de que trata el artículo 3.1.4.2.1 del presente decreto.
El distribuidor especializado en ejercicio del deber de asesoría especializada deberá informar al inversionista, que la supervisión del fondo de inversión del exterior y de su administrador se realiza por parte de la autoridad de supervisión de la jurisdicción de origen de dicho fondo.
OFRECIMIENTO DE SERVICIOS FINANCIEROS DEL EXTERIOR EN COLOMBIA.
ARTÍCULO 4.1.1.1.1 DEFINICIONES.
<Fuente original compilada: D. 2558/07 Art. 1o.> Para efectos de lo previsto en el presente decreto se entenderá por:
a) Institución del exterior: Es toda entidad constituida fuera del territorio colombiano, incluyendo las agencias en el exterior de entidades financieras establecidas en Colombia, cuyo objeto social consista en el ofrecimiento de servicios financieros, de reaseguros o del mercado de valores, que se encuentre regulada y supervisada como tal de conformidad con la ley del país en cuyo territorio esté localizada;
b) Promoción o publicidad: Es cualquier comunicación o mensaje, realizado personalmente o utilizando cualquier medio de comunicación, sea este masivo o no, que esté destinado a, o tenga por efecto, iniciar, directa o indirectamente, actividades financieras, de reaseguros o del mercado de valores.
ARTÍCULO 4.1.1.1.2 RÉGIMEN DE APERTURA.
<Fuente original compilada: D. 2558/07 Art. 2o.> La apertura de las oficinas de representación de instituciones del exterior se regirá por las siguientes reglas:
1. Instituciones financieras del exterior: Las instituciones financieras del exterior, que pretendan promover o publicitar servicios financieros en el mercado colombiano o a sus residentes, deberán establecer una oficina de representación en Colombia, con arreglo a lo dispuesto en esta Parte del presente decreto.
2. Instituciones reaseguradoras del exterior: Las instituciones reaseguradoras del exterior que pretendan promover o publicitar los productos y servicios que constituyen su objeto social en el mercado colombiano o a sus residentes, deberán utilizar una de las siguientes alternativas:
a) Inscribirse en el Registro de Reaseguradores y Corredores de Reaseguro del Exterior, REACOEX, a cargo de la Superintendencia Financiera de Colombia, o
b) <Literal modificado por el artículo 1 del Decreto 2031 de 2015. El nuevo texto es el siguiente:> Establecer una oficina de representación. Las instituciones reaseguradoras del exterior que manifiesten su intención de abrir una oficina de representación, una vez inscritas en el Registro de Reaseguradores y Corredores de Reaseguro del Exterior (Reacoex), se entenderán automáticamente autorizadas para establecer dicha oficina. La autorización implica la obligación de mantener vigente la inscripción en el Reacoex.
Sin perjuicio de lo establecido en el presente literal, la Superintendencia Financiera de Colombia podrá solicitar la documentación adicional que considere pertinente.
3. Instituciones del mercado de valores del exterior: Las instituciones del exterior que pretendan promover o publicitar productos y servicios del mercado de valores en el mercado colombiano o a sus residentes, deberán utilizar una de las siguientes alternativas:
a) Establecer una oficina de representación de conformidad con lo dispuesto en esta Parte del presente decreto, o
b) Celebrar un contrato de corresponsalía con una sociedad comisionista de bolsa de valores o con una corporación financiera. A los contratos de corresponsalía les será aplicable esta Parte del presente decreto, con excepción de los artículos 4.1.1.1.5, 4.1.1.1.6 y 4.1.1.1.11.
Lo previsto en este numeral se entenderá sin perjuicio del cumplimiento de las normas colombianas sobre oferta pública de valores.
PARÁGRAFO 1. En el evento en que una misma institución del exterior, conforme a su régimen legal, preste servicios financieros y del mercado de valores, podrá utilizar una sola oficina de representación para promover o publicitar ambos tipos de servicios en territorio colombiano o a sus residentes.
PARÁGRAFO 2. Las instituciones del exterior que no cumplan con los requisitos previstos en el presente artículo deberán abstenerse de realizar actos de promoción o de publicidad de sus servicios en territorio colombiano o a sus residentes, so pena de las sanciones que correspondan. En consecuencia, dichas instituciones no podrán, entre otras actividades:
a) Enviar empleados, contratistas, representantes o agentes a territorio colombiano o contratar personas que se encuentren residenciadas en territorio colombiano para que realicen labores de promoción o de publicidad respecto de la institución del exterior o acerca de sus servicios.
b) Realizar, directa o indirectamente, actos de promoción o de publicidad en territorio colombiano o a sus residentes, de la institución del exterior o de sus servicios.
PARÁGRAFO 3. Las oficinas de representación a que se refiere esta Parte del presente decreto deberán cumplir con los deberes de todo comerciante, atendiendo las particularidades propias de su naturaleza.
ARTÍCULO 4.1.1.1.3 EXCEPCIONES AL RÉGIMEN DE APERTURA.
<Fuente original compilada: D. 2558/07 Art. 3o.> No están obligadas a tener oficina de representación ni a celebrar contratos de corresponsalía en Colombia:
1. Las instituciones del exterior de carácter multilateral creadas con el propósito de ayudar o contribuir al desarrollo, a la productividad o al mejoramiento del nivel de vida de otros países conforme a su objeto social.
2. Las instituciones del exterior de carácter público que tengan por objeto la financiación o fomento de exportadores o microempresas de otros países.
3. Las instituciones del exterior que tengan régimen de derecho público internacional o que actúen como intermediarios de préstamos de gobierno a gobierno.
4. Las instituciones del exterior que participen en préstamos sindicados y no tengan la calidad de agente líder o administrador del préstamo sindicado, y solo cuando sus labores se limiten a las actividades propias de promoción y publicidad del préstamo sindicado.
5. La institución del exterior a la que un residente en el país le haya requerido la prestación de servicios financieros, de reaseguro o del mercado de valores, y solo para efectos de los servicios requeridos, siempre y cuando la relación se haya iniciado por iniciativa o a petición del residente y sin que haya mediado, para el efecto, algún acto de promoción o de publicidad por parte de la institución del exterior en territorio colombiano o dirigida a sus residentes.
6. Las instituciones del exterior que concedan a los intermediarios del mercado cambiario financiaciones para realizar las operaciones a ellos autorizadas en su calidad de tales, de conformidad con lo dispuesto en el régimen cambiario, siempre y cuando sus labores se limiten a las actividades propias de promoción y publicidad de la financiación ofrecida a los intermediarios del mercado cambiario.
7. Las filiales, subsidiarias o agencias establecidas en el extranjero de una institución financiera, reaseguradora o del mercado de valores establecida en el país, siempre que se cumpla lo dispuesto en esta Parte del presente decreto, en particular lo señalado en su artículo 4.1.1.1.5.
8. La institución del exterior que tenga una filial o subsidiaria establecida en el país autorizada para realizar actividad financiera, reaseguradora o del mercado de valores, siempre que se cumpla lo dispuesto en esta Parte del presente decreto, en particular lo señalado en su artículo 4.1.1.1.5.
PARÁGRAFO. Aquellas instituciones del exterior que, pese a estar cubiertas por algunas de las excepciones señaladas en el presente artículo, decidan establecer una oficina de representación en Colombia, deberán cumplir con los requisitos señalados para el efecto y obtener previamente de la Superintendencia Financiera de Colombia la respectiva autorización para su apertura.
ARTÍCULO 4.1.1.1.4 REQUISITOS PARA EL ESTABLECIMIENTO DE UNA OFICINA DE REPRESENTACIÓN.
<Fuente original compilada: D. 2558/07 Art. 4o.> Las instituciones del exterior que conforme a lo dispuesto en esta Parte del presente decreto busquen establecer una oficina de representación, deberán presentar a la Superintendencia Financiera de Colombia la correspondiente solicitud por intermedio del representante legal o del apoderado de la institución del exterior interesada, junto con los siguientes documentos en español o con su respectiva traducción oficial a este idioma:
1. Certificado expedido por las autoridades competentes del país de origen en la cual conste su existencia como institución del exterior, representación legal y el tipo de operaciones que pueden llevar a cabo, indicando la fecha desde la cual se encuentra autorizada para operar, así como la vigencia de tal autorización.
2. Los estatutos sociales vigentes de la institución del exterior.
3. La autorización o conformidad expedida por la autoridad competente del lugar de constitución de la institución del exterior para establecer una oficina de representación en el territorio nacional. Si en la legislación a la que está sujeta la institución del exterior no se requiere dicha autorización o conformidad, se deberá presentar una opinión legal emitida por un abogado idóneo, autorizado para ejercer como tal en el país donde se encuentre el domicilio principal de la institución del exterior, que no sea funcionario de esta, con destino a la Superintendencia Financiera de Colombia, en la que se señale que la institución del exterior respectiva se encuentra sujeta a supervisión y vigilancia del organismo de supervisión correspondiente y que no requiere la citada autorización.
4. La resolución o acuerdo de la asamblea de socios o accionistas, o la resolución del órgano o persona competente de la institución del exterior que apruebe el establecimiento de la oficina de representación en el territorio nacional, si fuere requerido de conformidad con sus estatutos o la ley aplicable.
5. El plan general de funcionamiento de la oficina de representación, que exprese las actividades principales que esta llevará a cabo en Colombia, incluyendo, entre otras, los planes de promoción o de publicidad que pretenda realizar en el territorio nacional o a sus residentes.
6. La resolución o acuerdo de la asamblea de socios o accionistas, o la resolución del órgano o persona competente de la institución del exterior, relativo a la designación de la persona natural que actuará como representante legal de la oficina de representación, así como su hoja de vida, en la que se deberá incluir información suficiente que le permita a la Superintendencia Financiera de Colombia hacerse a una idea clara acerca de su solvencia moral y su capacidad técnica y administrativa para cumplir con el encargo.
7. La documentación que acredite las facultades y prohibiciones otorgadas al representante legal de la institución solicitante que promueva el establecimiento de la oficina de representación, señalando un domicilio en el territorio nacional para las notificaciones, así como el nombre de la persona o personas autorizadas para tales efectos. La documentación deberá incluir expresamente la facultad para notificarse judicialmente en representación de la institución del exterior. Tratándose de instituciones reaseguradoras del exterior se deberá adjuntar el poder en el cual consten las facultades del representante legal designado para la oficina en Colombia, con indicación de la máxima capacidad de aceptación por riesgo y del máximo cúmulo que se puede reasegurar con su intervención en contratos de exceso de pérdida catastróficos.
Cualquier modificación a las facultades deberá ser informada a la Superintendencia Financiera de Colombia de manera inmediata.
8. Los estados financieros consolidados y auditados de la institución del exterior, expresados conforme a los principios contables generalmente aceptados en su país de origen, correspondientes a los tres (3) ejercicios previos a la solicitud de autorización.
9. Las medidas de control destinadas a evitar que las operaciones de la entidad del exterior puedan ser utilizadas para el ocultamiento, manejo, inversión o aprovechamiento en cualquier forma de dinero proveniente de actividades delictivas, o para dar apariencia de legalidad a las actividades delictivas o a las transacciones y fondos vinculados con la misma.
10. Toda la documentación adicional que la Superintendencia Financiera de Colombia le solicite, que le permita a dicha entidad formarse un criterio sobre la idoneidad de la institución del exterior, de sus administradores, accionistas o del plan de negocios para establecer una oficina de representación en territorio nacional.
PARÁGRAFO 1. Una misma oficina de representación o la entidad matriz, filial o subsidiaria establecida en el país, que haga sus veces, de conformidad con el artículo 4.1.1.1.5 del presente decreto podrá representar a varias instituciones del exterior, siempre y cuando las mismas se encuentren relacionadas mediante vínculos de subordinación o tengan una matriz común.
Dicha situación de subordinación deberá ser acreditada a satisfacción de la Superintendencia Financiera de Colombia por parte de las instituciones del exterior respectivas. En todo caso, cada una de las instituciones del exterior representadas deberá obtener la autorización a que se refiere el presente artículo. En el evento previsto en el presente parágrafo, se deberán implementar los mecanismos necesarios para que los clientes diferencien con perfecta claridad entre los servicios ofrecidos por cada una de las instituciones del exterior representadas.
PARÁGRAFO 2. La Superintendencia Financiera de Colombia, para efectos de autorizar o negar la autorización para la apertura de una oficina de representación en el país, deberá evaluar, entre otros, la idoneidad, responsabilidad y carácter de la institución del exterior y sus representantes en Colombia, así como el estándar de supervisión al que se encuentra sometida en el país en cuyo territorio esté localizada.
La autorización para establecer una oficina de representación se expedirá por término indefinido.
PARÁGRAFO 3. Tratándose de instituciones del mercado de valores del exterior que opten por la celebración de un contrato de corresponsalía, los trámites ante la Superintendencia Financiera de Colombia a que se refiere el presente artículo podrán llevarse a cabo por medio del futuro corresponsal, para lo cual deberá adjuntarse, además de la documentación prevista en el presente artículo, copia del contrato de corresponsalía, en español o su traducción oficial, y las modificaciones al mismo.
Pasados (15) quince días hábiles contados a partir de la radicación completa de la documentación prevista en el presente parágrafo, sin que la Superintendencia Financiera de Colombia se hubiere pronunciado, el corresponsal podrá iniciar la ejecución del respectivo contrato de corresponsalía.
<Fuente original compilada: D. 2558/07 Art. 5o.> Para efectos de lo dispuesto en los numerales 7 y 8 del artículo 4.1.1.1.3 del presente decreto, la institución del exterior deberá obtener la autorización ante la Superintendencia Financiera de Colombia para realizar actos de promoción o publicidad conforme al presente decreto, y se someterá a las siguientes reglas especiales:
1. La institución del exterior deberá designar un representante, quien se dedicará a promocionar o publicitar los productos o servicios de la institución representada, en los términos autorizados a las oficinas de representación en la presente Parte de este decreto. El representante designado deberá cumplir con las calidades y requisitos señalados en el artículo 4.1.1.1.11 del presente decreto.
2. El representante deberá presentar la documentación pertinente a que se hace referencia en el artículo 4.1.1.1.4 del presente decreto.
3. Obtenida la autorización, la institución del exterior designará los funcionarios que cumplirán las labores de promoción o publicidad en los términos autorizados a las oficinas de representación conforme los artículos 4.1.1.1.6 y 4.1.1.1.7 del presente decreto, según sea el caso.
Dichas personas podrán ser funcionarios de la entidad matriz, filial o subsidiaria, según sea el caso, establecida en el país.
4. La institución del exterior y las personas a que se refiere el presente artículo, deberán abstenerse de realizar los actos señalados en el artículo 4.1.1.1.8 del presente decreto, o actos de promoción o publicidad por conducto de funcionarios diferentes a los designados para realizar las labores de promoción o publicidad.
5. La institución del exterior podrá realizar actos de promoción o de publicidad haciendo uso de la red de oficinas de la entidad establecida en el país. Deberán adoptarse las medidas necesarias para que el público identifique claramente que la institución financiera del exterior es una persona jurídica distinta y autónoma de la institución establecida en el país cuya red se utiliza.
PARÁGRAFO. A la representación a que se refiere este artículo se le aplicarán las demás reglas previstas en esta Parte del presente decreto para las oficinas de representación.
ARTÍCULO 4.1.1.1.6 OFICINAS DE REPRESENTACIÓN DE REASEGURADORAS DEL EXTERIOR.
<Fuente original compilada: D. 2558/07 Art. 6o.> Las oficinas de representación de reaseguradoras del exterior solo podrán operar en la aceptación o cesión de responsabilidades en reaseguro en nombre y por cuenta de la reaseguradora representada.
En desarrollo de tales actividades, las oficinas de representación de las instituciones reaseguradoras del exterior podrán realizar actos de cobranza, pago, compensación o conciliación de saldos derivados de su actividad, realizados exclusivamente con sus cedentes, retrocesionarios e intermediarios de reaseguro, de acuerdo con las facultades otorgadas para tal efecto y dentro del marco de los convenios celebrados con las instituciones aseguradoras nacionales.
Las oficinas de representación de instituciones reaseguradoras del exterior no podrán actuar directa o indirectamente como compañías de seguros.
<Fuente original compilada: D. 2558/07 Art. 7o.> Las instituciones financieras y del mercado de valores del exterior que tengan establecidas oficinas de representación debidamente autorizadas por la Superintendencia Financiera de Colombia solo podrán promover o publicitar a la institución financiera o del mercado de valores del exterior o los servicios que constituyen su objeto social. En desarrollo de ello, podrán:
1. Realizar las actividades administrativas que guarden relación, exclusivamente, con la promoción o publicidad de la institución financiera o del mercado de valores del exterior, o de sus servicios.
2. Servir de enlace entre la institución financiera o del mercado de valores del exterior y los clientes y usuarios residentes en Colombia. Para tales efectos, las oficinas de representación podrán:
a) Entregar o recibir del cliente o potencial cliente la documentación que exige la institución financiera o del mercado de valores del exterior para efectos de la prestación del servicio ofrecido;
b) Asesorar a los clientes sobre los diferentes tipos de riesgos que asumirían con las operaciones;
c) Revelar toda la información necesaria para el adecuado entendimiento por parte de clientes y usuarios de las comisiones, costos y gastos, incluidos los tributarios, en que incurrirán por todo concepto relacionado con la prestación de servicios financieros por parte de la institución financiera o del mercado de valores del exterior.
La actividad a que se refiere el presente numeral, en ningún momento puede significar la asunción de obligaciones o riesgos propios de la actividad financiera o del mercado de valores, ni supone la prestación del servicio de cajilla de correo o similares.
3. Efectuar las gestiones de cobranza relacionadas con las operaciones realizadas por la institución financiera o del mercado de valores del exterior, siempre que se encuentren debidamente autorizadas para ello por la respectiva institución del exterior, de conformidad con la normativa colombiana.
Las gestiones de cobranza indicadas se limitarán a aquellas operaciones de financiamiento otorgadas por la institución representada.
Para los efectos anteriores, se entiende por gestión de cobranza los actos prejurídicos o jurídicos tendientes a generar el cumplimiento de las obligaciones adquiridas por los residentes en Colombia con la institución financiera o del mercado de valores del exterior.
Esta actividad, en ningún momento puede significar la autorización para recibir el pago de obligaciones objeto de cobranza. Los pagos resultantes de la gestión de la oficina de representación deberán ser abonados directamente por el deudor a la institución del exterior.
4. Desarrollar campañas de promoción o publicidad de la institución representada y sus servicios; y,
5. Establecer, de acuerdo con las facultades conferidas por la entidad del exterior, oficinas promotoras de negocios en lugares diferentes al de su domicilio, las cuales dependerán directamente de la oficina de representación autorizada por la Superintendencia Financiera de Colombia, y cuya actividad deberá ceñirse estrictamente a lo señalado en la ley y en esta Parte del presente decreto. Para el efecto, deberá dar previo aviso del tal hecho a dicha Superintendencia y remitir un documento donde se identifique a la persona que actuará bajo tal condición, así como la dirección y las funciones que desarrollará.
<Fuente original compilada: D. 2558/07 Art. 8o.> Las oficinas de representación de instituciones financieras y del mercado de valores del exterior, sus representantes y funcionarios, deberán abstenerse de realizar las siguientes conductas:
1. Llevar a cabo, directa o indirectamente, cualquier actividad, distintas a las autorizadas a las oficinas de representación, que requiera de autorización por parte del Gobierno Nacional o realizar cualquier acto que tenga como propósito la ejecución de dicha actividad.
2. Realizar, directamente o por interpuesta persona, operaciones que impliquen captación de recursos del público mediante valores o en moneda legal o extranjera, u operaciones propias de los intermediarios del mercado cambiario.
3. Formular ofertas sobre los servicios de la institución representada, en los términos señalados en el artículo 845 del Código de Comercio.
4. Representar a la institución del exterior para suscribir o perfeccionar los contratos celebrados con residentes en el territorio nacional.
5. Realizar cualquier actividad relacionada con el cierre, registro o autorización final de las operaciones relacionadas con la prestación de servicios por parte de la institución del exterior.
6. Efectuar o recibir, directamente o por interpuesta persona, dinero o valores en pago de operaciones realizadas por la institución del exterior, o cualquier otro acto que implique el ejercicio de actividades prohibidas por el presente decreto. No obstante, tratándose de contratos de corresponsalía, el corresponsal podrá adelantar labores de entrega y recepción de dinero, títulos y documentos complementarios.
7. Obligarse directa o indirectamente en las operaciones que promuevan.
8. Efectuar cualquier actividad mercantil diferente de aquellas indispensables para la prestación de los servicios autorizados por la ley o esta Parte del presente decreto.
9. Tomar posición propia o proveer financiación en las operaciones que promuevan.
ARTÍCULO 4.1.1.1.9 DEBER DE INFORMACIÓN DE LAS OFICINAS DE REPRESENTACIÓN.
<Fuente original compilada: D. 2558/07 Art. 9o.> Las oficinas de representación de instituciones del exterior se identificarán con un aviso expuesto al público en el cual anuncien su condición de oficina de representación de una institución financiera, reaseguradora o del mercado de valores del exterior. Tratándose de la representación a través de la entidad matriz, filial o subsidiaria establecida en el país, prevista en el artículo 4.1.1.1.5 del presente decreto y de los contratos de corresponsalía, no será necesario cumplir con lo previsto en el presente inciso, sin perjuicio del deber de informar la calidad en la cual actúe la institución establecida en el territorio colombiano.
En el desarrollo de sus actividades autorizadas, deberán dar a los clientes una asesoría profesional, en relación con los productos y servicios que promociona. A tal efecto se deberá manifestar expresamente a sus clientes y usuarios que los productos y servicios que promueven son prestados por la institución del exterior e ilustrarlos detalladamente acerca de las condiciones jurídicas, financieras, contables, comerciales y administrativas en que ésta desarrolla sus operaciones; el alcance de sus responsabilidades como oficina de representación; la responsabilidad que la institución del exterior asume frente a los servicios ofrecidos, las características principales de la supervisión que ejercen las autoridades respectivas sobre la institución del exterior representada; la existencia de garantías o seguros, incluyendo seguro de depósitos u otra garantía estatal, si es del caso, que amparen incumplimientos de la institución del exterior a los clientes y los límites con que los mismos operan, así como la jurisdicción y la ley aplicable a los productos y servicios que promociona. La oficina de representación solicitará al cliente constancia del cumplimiento del suministro de la información mencionada en este numeral.
ARTÍCULO 4.1.1.1.10 REMISIÓN DE INFORMACIÓN DE LAS OFICINAS DE REPRESENTACIÓN.
<Fuente original compilada: D. 2558/07 Art. 10> Las oficinas de representación, por medio de sus representantes, y los representantes para Colombia de instituciones del exterior, deberán remitir a la Superintendencia Financiera de Colombia la información que dicha entidad les solicite, con la periodicidad indicada y en los formatos señalados por el ente de supervisión.
ARTÍCULO 4.1.1.1.11 CALIDADES Y REQUISITOS PARA SER REPRESENTANTE.
<Fuente original compilada: D. 2558/07 Art. 11> La representación legal en Colombia de las oficinas de representación de instituciones del exterior estará a cargo de una persona natural posesionada para tal efecto ante la Superintendencia Financiera de Colombia, de conformidad con lo establecido en el literal g) del numeral 2 del artículo 326 del Estatuto Orgánico del Sistema Financiero.
No podrá desempeñarse como representante de una oficina de representación quien sea administrador de otra oficina de representación, salvo en el caso previsto en el parágrafo primero del artículo 4.1.1.1.4 del presente decreto, ni los administradores o funcionarios de instituciones financieras, aseguradoras, intermediarios de seguros o de reaseguros, o entidades del mercado de valores, establecidas en Colombia.
ARTÍCULO 4.1.1.1.12 FACULTADES DE LA SUPERINTENDENCIA FINANCIERA DE COLOMBIA.
<Fuente original compilada: D. 2558/07 Art. 12> Le corresponde a la Superintendencia Financiera de Colombia ejercer sobre las oficinas de representación de instituciones del exterior la inspección, vigilancia y control con las mismas facultades con que cuenta para supervisar a las instituciones del sector financiero, bursátil y asegurador.
En el evento del incumplimiento a lo establecido en esta Parte del presente decreto, la Superintendencia Financiera de Colombia, sin perjuicio del ejercicio de sus atribuciones, procederá a informar al organismo de regulación y de supervisión de la institución del exterior infractora el desconocimiento a las normas de promoción y publicidad de servicios financieros, aseguradores o del mercado de valores en territorio colombiano o a residentes en Colombia.
<Fuente original compilada: D. 2558/07 Art. 13> Las sociedades comisionistas de bolsa de valores establecidas en Colombia podrán promover, en el exterior, los productos y servicios que les están autorizados en Colombia, cumpliendo con los requisitos previstos para ello en la normativa del respectivo país. En todo caso se dará cumplimiento a las disposiciones que establezca la Superintendencia Financiera de Colombia con relación al deber de informar a dicha entidad sobre el inicio del ofrecimiento de dichos productos o servicios en el exterior.
SISTEMA INTEGRAL DE INFORMACIÓN DEL MERCADO DE VALORES – SIMEV.
RÉGIMEN GENERAL.
ARTÍCULO 5.1.1.1.1 DEFINICIÓN.
<Fuente original compilada: R. 400/95 Art. 1.1.1.1 adicionado por el D. 3139/06 Art. 1o.> El Sistema Integral de Información del Mercado de Valores, SIMEV, es el conjunto de recursos humanos, técnicos y de gestión que utilizará la Superintendencia Financiera de Colombia para permitir y facilitar el suministro de información al mercado.
ARTÍCULO 5.1.1.1.2 CONFORMACIÓN.
<Fuente original compilada: R. 400/95 Art. 1.1.1.2 adicionado por el D. 3139/06 Art. 1o.> El SIMEV estará conformado así:
a) El Registro Nacional de Valores y Emisores - RNVE, el cual tendrá por objeto inscribir las clases y tipos de valores, así como los emisores de los mismos y las emisiones que estos efectúen, y certificar lo relacionado con la inscripción de dichos emisores, clases y tipos de valores;
b) El Registro Nacional de Agentes del Mercado de Valores - RNAMV, el cual tendrá por objeto la inscripción de las entidades señaladas en el numeral 1 del parágrafo 3o del artículo 75 de la Ley 964 de 2005 así como las demás personas que se establecen en el artículo 5.3.1.1.1;
c) El Registro Nacional de Profesionales del Mercado de Valores - RNPMV, el cual tendrá por objeto la inscripción de las personas naturales a que se refiere el artículo 5.4.1.1.2 del presente decreto.
ARTÍCULO 5.1.1.1.3 NATURALEZA DE LA INFORMACIÓN.
<Fuente original compilada: R. 400/95 Art. 1.1.1.3 adicionado por el D. 3139/06 Art. 1o.> La información que repose en el SIMEV será pública. En consecuencia, cualquier persona podrá consultarla, observando las reglas que para el efecto se establecen en el presente decreto;
Lo anterior sin perjuicio del principio de revelación dirigida, previsto en el artículo 51 de la Ley 964 de 2005, por virtud del cual la Superintendencia Financiera de Colombia podrá determinar el momento en que divulgará al público determinada sanción, en los casos en los cuales la revelación inmediata de la misma pueda poner en riesgo la estabilidad del mercado.
PARÁGRAFO 1. La veracidad de la información que repose en el SIMEV, así como los efectos que se produzcan como consecuencia de su divulgación serán de exclusiva responsabilidad de quienes la suministren al sistema.
PARÁGRAFO 2. La información que reposa en el SIMEV se deberá manejar con las medidas técnicas necesarias para garantizar la seguridad de los registros, evitando su adulteración, pérdida o uso indebido.
ARTÍCULO 5.1.1.1.4 CERTIFICACIÓN DE LA INSCRIPCIÓN.
<Fuente original compilada: R. 400/95 Art. 1.1.1.4 adicionado por el D. 3139/06 Art. 1o.> Las inscripciones en el SIMEV serán acreditadas mediante certificado expedido por la Superintendencia Financiera de Colombia, el cual podrá igualmente ser expedido por medios electrónicos.
ARTÍCULO 5.1.1.1.5 CONTRIBUCIONES.
<Fuente original compilada: R. 400/95 Art. 1.1.1.5 adicionado por el D. 3139/06 Art. 1o.> Las personas inscritas en el SIMEV deberán pagar los emolumentos que se deriven de sus derechos de inscripción, así como las cuotas correspondientes, de conformidad con lo establecido en las Leyes 964 de 2005 y 510 de 1999.
Salvo el caso de cancelación de la inscripción, a título de sanción, previsto en el literal f) del artículo 53 de la Ley 964 de 2005, para efectos de obtener la cancelación de la inscripción en el SIMEV, las personas deberán encontrarse al día en el pago de los derechos de inscripción y cuotas referidos en el presente artículo.
ARTÍCULO 5.1.1.1.6 ADMINISTRACIÓN.
<Fuente original compilada: R. 400/95 Art. 1.1.1.6 adicionado por el D. 3139/06 Art. 1o.> El SIMEV será administrado por la Superintendencia Financiera de Colombia.
ARTÍCULO 5.1.1.1.7 SUSPENSIÓN DE LA INSCRIPCIÓN.
<Fuente original compilada: R. 400/95 Art. 1.1.1.7 adicionado por el D. 3139/06 Art. 1o.> Cuando haya operado la suspensión preventiva de que trata el literal c) del artículo 6o de la Ley 964 de 2005 o en caso de suspensión de la inscripción a título de sanción, se producirán los siguientes efectos durante el término de la suspensión:
a) En el caso del RNVE no podrá realizarse oferta pública sobre los valores respectivos y se suspenderá su inscripción y negociación en los sistemas de negociación correspondientes;
b) En el caso del RNAMV, el agente no podrá actuar en el mercado de valores respecto de las actividades a que se refiera la medida, sin perjuicio de la ejecución de contratos celebrados antes de la fecha en que esta haya sido impuesta. No obstante, y de manera excepcional, la Superintendencia Financiera de Colombia podrá ordenar al respectivo agente que realice otras operaciones diferentes a la ejecución de los contratos ya celebrados, como la liquidación de posiciones.
En el caso de los intermediarios de valores, la suspensión en el RNAMV conlleva la suspensión de la inscripción en el organismo autorregulador y en los sistemas de negociación en los que estuviere inscrito, cuando la suspensión prevenga la realización de todo tipo de actividades de intermediación;
c) En el caso del RNPMV, el profesional respectivo no podrá actuar en el mercado de valores. La persona natural o jurídica a la cual se encuentre vinculado el profesional suspendido, deberá asegurarse que este deje de desempeñar el cargo o funciones por las cuales fue objeto de registro.
ARTÍCULO 5.1.1.1.8 RESTABLECIMIENTO DE LA INSCRIPCIÓN EN EL SIMEV.
<Fuente original compilada: R. 400/95 Art. 1.1.1.8 adicionado por el D. 3139/06 Art. 1o.> Cuando haya operado la suspensión preventiva de que trata el literal c) del artículo 6o de la Ley 964 de 2005, se reestablecerá la respectiva inscripción una vez se haya acreditado ante la Superintendencia Financiera de Colombia, que se han subsanado las causas que dieron lugar a la adopción de dicha medida.
En caso de suspensión de la inscripción, a título de sanción, en algún registro de los que componen el SIMEV, una vez vencido el término de la misma, se reestablecerá la respectiva inscripción con todos sus efectos.
DEL REGISTRO NACIONAL DE VALORES Y EMISORES – RNVE.
REQUISITOS GENERALES DE INSCRIPCIÓN DE EMISORES Y EMISIONES DE VALORES.
ARTÍCULO 5.2.1.1.1 EVENTOS DE INSCRIPCIÓN.
<Fuente original compilada: R. 400/95 Art. 1.1.2.1 adicionado por el D. 3139/06 Art. 1o.> Las entidades a que se refiere el artículo siguiente que deseen realizar una oferta pública de sus valores o que los mismos se negocien en un sistema de negociación, deberán inscribirse junto con la emisión o emisiones del respectivo valor o valores en el RNVE.
PARÁGRAFO. La inscripción en el RNVE no implicará calificación ni responsabilidad alguna por parte de la Superintendencia Financiera de Colombia acerca de las personas jurídicas inscritas ni sobre el precio, la bondad o negociabilidad del valor, o de la respectiva emisión, ni sobre la solvencia del emisor. Tal advertencia deberá constar en la información que se divulgue sobre el emisor, los valores o la emisión, conforme a lo previsto en el presente decreto y a lo que establezca la Superintendencia Financiera de Colombia para el efecto.
ARTÍCULO 5.2.1.1.2 NATURALEZA JURÍDICA DE LAS ENTIDADES EMISORAS DE VALORES.
<Fuente original compilada: R. 400/95 Art. 1.1.2.2 adicionado por el D. 3139/06 Art. 1o.> Podrán ser emisores de valores:
a) Las sociedades por acciones;
b) Las sociedades de responsabilidad limitada;
c) Las entidades cooperativas;
d) Las entidades sin ánimo de lucro;
e) La Nación y las entidades públicas descentralizadas por servicios y territorialmente;
f) Los gobiernos extranjeros y las entidades públicas extranjeras;
g) Los organismos multilaterales de crédito;
h) Las entidades extranjeras;
i) Las sucursales de sociedades extranjeras;
j) <Literal modificado el artículo 91 del Decreto 1745 de 2020. El nuevo texto es el siguiente:> Los patrimonios autónomos fiduciarios, constituidos o no como fondos de inversión colectiva;
k) <Literal modificado el artículo 91 del Decreto 1745 de 2020. El nuevo texto es el siguiente:> Los fondos de inversión colectiva, cuyo régimen legal les autorice la emisión de valores;
l) Las universalidades de que trata de la Ley 546 de 1999.
ARTÍCULO 5.2.1.1.3 REQUISITOS PARA LA INSCRIPCIÓN.
<Fuente original compilada: R. 400/95 Art. 1.1.2.3 adicionado por el D. 3139/06 Art. 1o.> Para inscribir al emisor y las emisiones de valores en el RNVE deberá remitirse a la Superintendencia Financiera de Colombia una solicitud de inscripción suscrita por el representante legal de la entidad, junto con la siguiente documentación, sin perjuicio de los requisitos previstos de manera especial para cada valor o para ciertos emisores:
a) Formulario de Inscripción, según el formato establecido por la Superintendencia Financiera de Colombia;
b) Cuando se trate de títulos diferentes a las acciones, reglamento de emisión y colocación y copia del acta de la reunión del órgano competente, de acuerdo con los estatutos sociales, que los aprobó;
c) Cuando se trate de acciones, copia del acta de la asamblea general de accionistas donde conste la decisión de inscripción;
La decisión de inscripción de acciones deberá adoptarse por la asamblea general de accionistas con el quórum y las mayorías establecidas en la ley o los estatutos sociales para las reformas estatutarias;
d) <Literal modificado el artículo 92 del Decreto 1745 de 2020. El nuevo texto es el siguiente:> El prospecto de información.
e) <Literal modificado el artículo 92 del Decreto 1745 de 2020. El nuevo texto es el siguiente:> Facsímile del respectivo valor o modelo del mismo, o proyecto de macrotítulo tratándose de emisiones desmaterializadas.
f) Cuando el emisor sea una entidad pública, copia de los conceptos y autorizaciones expedidos con el fin de dar cumplimiento a lo dispuesto en el parágrafo 2o del artículo 41 de la Ley 80 de 1993 y en el artículo 22 del Decreto 2681 de 1993 o a las normas que lo modifiquen o sustituyan;
g) Certificado de existencia y representación legal de la entidad emisora, expedido por la entidad competente, el cual no deberá tener una fecha de expedición superior a tres (3) meses. No obstante, cuando se trate de entidades nacionales de creación constitucional o legal sólo será necesario acreditar su representación legal;
h) Cuando los títulos estén denominados en moneda diferente al peso colombiano, copia de los documentos que acrediten el cumplimiento del régimen cambiario y de inversiones internacionales;
i) Cuando el emisor sea una entidad que se encuentre en etapa preoperativa o que tenga menos de dos (2) años de haber iniciado operaciones, se deberá acompañar a la solicitud de inscripción el estudio de factibilidad económica, financiera y de mercado;
j) Los documentos en que conste el otorgamiento y perfeccionamiento de las garantías especiales constituidas para respaldar la emisión, si las hubiere;
k) Copia de los estatutos sociales;
l) Tratándose de procesos de privatización, copia del programa de enajenación y del acto mediante el cual se aprobó;
m) Constancia sobre las personas que ejercen la revisoría fiscal en la sociedad emisora;
n) Calificación de la emisión, cuando sea el caso;
o) Los demás que con el fin de cumplir los cometidos establecidos en la ley, resulten indispensables a juicio de la Superintendencia Financiera de Colombia.
PARÁGRAFO 1. Tratándose de la inscripción de bonos pensionales a la solicitud de inscripción sólo se deberán acompañar los documentos señalados en los literales a), d), f), i) y j) del presente artículo.
PARÁGRAFO 2. La inscripción de valores para ser negociados en el mercado secundario requiere además de los requisitos de inscripción previstos en este artículo, que cumplan con los requisitos exigidos para que la misma clase de valores puedan ser ofrecidos en oferta pública en el mercado primario.
PARÁGRAFO 3. <Paráfrafo adicionado por el artículo 4 del Decreto 2510 de 2014. El nuevo texto es el siguiente:> La Superintendencia Financiera de Colombia podrá determinar la forma y el procedimiento bajo los cuales se acreditarán los requisitos establecidos en el presente artículo, para lo cual podrá atender las particularidades de ciertos tipos de emisores y de valores, así como las condiciones específicas por las cuales se produce la inscripción.
ARTÍCULO 5.2.1.1.4 PROSPECTO DE INFORMACIÓN.
<Fuente original compilada: R. 400/95 Art. 1.1.2.4 adicionado por el D. 3139/06 Art. 1o.> El prospecto de información es el documento que contiene los datos del emisor, del valor y de la emisión, necesarios para el cabal conocimiento de los mismos por parte de los inversionistas.
<Inciso modificado por el artículo 5 del Decreto 2510 de 2014. El nuevo texto es el siguiente:> El contenido del prospecto de información será establecido por la Superintendencia Financiera de Colombia, para lo cual podrá atender las particularidades de ciertos tipos de emisores, así como las condiciones específicas por las cuales se produce la inscripción. En todo caso el prospecto deberá incluir cuando menos: las condiciones y características del valor que se ofrece; de la oferta de los valores cuando la haya; de las autorizaciones recibidas; y una descripción clara, completa, precisa, objetiva y verificable del emisor en sus aspectos de organización, reseña histórica, información financiera, expectativas, riesgos, proyectos futuros y destinación de los recursos que se reciban como consecuencia de la emisión. Adicionalmente deberá hacer referencia, en caso de que se haya pactado la estabilización de precios a los términos y condiciones en que esta se realizará. La información antes señalada y aquella adicional que considere el emisor que deba ser incluida deberá estar certificada por las personas responsables de la misma.
Cuando los títulos estén inscritos en un sistema de negociación, deberá enviarse copia del prospecto de información a dicho sistema.
El prospecto de información deberá mantenerse en la página web del emisor, de la Superintendencia Financiera de Colombia y del sistema de negociación en que los títulos se encuentren inscritos. La información general sobre el emisor deberá actualizarse, de conformidad con lo que establezca la Superintendencia Financiera de Colombia.
PARÁGRAFO. En el evento en que un emisor ya inscrito en el RNVE realice una nueva emisión de valores deberá obtener autorización para la inscripción de la misma de conformidad con lo previsto en esta Parte del presente decreto. No obstante, en relación con el prospecto de información, sólo será necesario remitir la información relativa a las condiciones y características del valor que se ofrece, de la oferta de los valores y de las autorizaciones recibidas, en la forma en que determine la Superintendencia Financiera de Colombia. La información general sobre el emisor será la que se encuentre actualizada, de conformidad con lo establecido en el presente artículo.
<Fuente original compilada: R. 400/95 Art. 1.1.2.5 adicionado por el D. 3139/06 Art. 1o.> La inscripción del emisor y la emisión en el RNVE conllevan la autorización para realizar su oferta pública. Para el efecto, además de los documentos previstos en el artículo 5.2.1.1.3 del presente decreto, las entidades que soliciten la inscripción con el propósito de adelantar una oferta pública de valores en el mercado primario, deberán remitir a la Superintendencia Financiera de Colombia los siguientes documentos:
a) Copia del acto mediante el cual el organismo estatal competente autorizó la emisión para la colocación de los valores, salvo que dicho organismo sea la Superintendencia Financiera de Colombia;
b) Justificación del precio de los valores o los mecanismos para su determinación en la oferta de títulos que no sean de contenido crediticio, y de la base de conversión, para los bonos opcional u obligatoriamente convertibles en acciones.
El precio de colocación de los valores que se vayan a ofrecer públicamente en el mercado primario no será necesario para efectos de obtener la autorización de la oferta, de tal forma que podrá ser determinado con posterioridad por la entidad emisora y los agentes colocadores con base en la labor de premercadeo y las condiciones del mercado, sin perjuicio de lo dispuesto en el numeral 4o del artículo 386 del Código de Comercio para las instituciones financieras y en el literal d) del artículo 41 de la Ley 964 de 2005 para las demás sociedades inscritas.
No obstante lo anterior, el precio deberá ser comunicado a la Superintendencia Financiera de Colombia en forma previa a la realización de la oferta pública.
c) Proyecto del aviso de oferta, en el cual deberá incluirse como mínimo: el reglamento de colocación; los destinatarios de la oferta; cuando sea del caso, la calificación otorgada a los valores objeto de la oferta con una síntesis de las razones expuestas por la sociedad calificadora para su otorgamiento; cuando se trate de emisiones avaladas, la calificación obtenida por el avalista en caso de contar con ella; la advertencia sobre cualquier autorización en caracteres destacados, de suerte que resalte visiblemente en el texto del aviso, que la inscripción en el Registro y la autorización de la oferta pública no implican calificación ni responsabilidad alguna por parte de la Superintendencia Financiera de Colombia sobre el precio, la bondad o negociabilidad del valor, o de la respectiva emisión, ni sobre la solvencia del emisor; cuando se trate de emisores de bonos ordinarios o de garantía general de las instituciones financieras, la indicación en forma clara y destacada dentro del texto de si dicha emisión se encuentra o no amparada por el seguro de depósitos; la indicación de que el prospecto de información se encuentra a disposición de los posibles inversionistas en la Superintendencia Financiera de Colombia, oficinas de la entidad emisora, agentes colocadores y bolsas en que estén inscritos los títulos objeto de oferta.
Si los destinatarios de la oferta son personas determinadas, bastará con anexar a la solicitud de autorización, el proyecto de la carta con que se enviará el prospecto de colocación, en el cual deberá expresarse de manera general las características de la oferta;
d) Copia de los folletos y otros materiales publicitarios que se vayan a utilizar para la promoción de los valores objeto de la oferta;
e) <Literal modificado el artículo 93 del Decreto 1745 de 2020. El nuevo texto es el siguiente:> Copia de los contratos suscritos entre el emisor y los intermediarios con miras a la colocación de los valores por parte de estos últimos, si fuere el caso.
f) Cuando una entidad diferente a la emisora vaya a administrar la emisión, copia del proyecto del contrato de administración;
g) Copia del proyecto de contrato suscrito entre la sociedad emisora y la sociedad que actuaría como representante legal de tenedores de bonos.
h) <Literal adicionado por el artículo 6 del Decreto 2510 de 2014. El nuevo texto es el siguiente:> Copia del contrato suscrito entre el emisor y el colocador, en el cual se establecen los términos, condiciones y obligaciones en los que se llevaría a cabo la estabilización de precios a la que se refiere el Capítulo 2 Título 2 Libro 1 de la Parte 6 del presente decreto, si fuere el caso.
PARÁGRAFO 1. Una vez se presente la solicitud de autorización de inscripción tendiente a realizar oferta pública en el mercado primario, la Superintendencia Financiera de Colombia podrá informar de este hecho al mercado, con indicación de la clase de título que se proyecta ofrecer y de las condiciones generales de colocación.
PARÁGRAFO 2. Tratándose de acciones que se encuentren inscritas en el RNVE, la autorización a que se refiere el presente artículo sólo se referirá a la oferta pública de las mismas.
PARÁGRAFO 3. <Parágrafo modificado el artículo 93 del Decreto 1745 de 2020. El nuevo texto es el siguiente:> La solicitud de inscripción para realizar oferta pública de valores en el mercado primario, podrá estar suscrita por el representante legal de la entidad emisora o el banquero de inversión a quien se le haya dado autorización para adelantar los trámites pertinentes ante la Superintendencia Financiera de Colombia.
PARÁGRAFO 4. <Parágrafo adicionado por el artículo 6 del Decreto 2510 de 2014. El nuevo texto es el siguiente:> La Superintendencia Financiera de Colombia podrá determinar la forma y procedimiento bajo las cuales se acreditarán los requisitos establecidos en el presente artículo, para lo cual podrá atender las particularidades de ciertos tipos de emisores y de valores, así como las condiciones específicas por las cuales se produce la oferta pública.
ARTÍCULO 5.2.1.1.6. <Fuente original compilada: R. 400/95 Art. 1.1.2.6 adicionado por el D. 3139/06 Art. 1o.> Requisitos de los contratos y de los prospectos de información en el caso de garantías sometidas a una ley o a una jurisdicción diferente de la colombiana, otorgadas por entidades no domiciliadas en el país.
Las garantías sometidas a una ley o a una jurisdicción diferente de la colombiana, otorgadas por entidades no domiciliadas en Colombia, deberán constar por escrito y expresar en lenguaje claro y sencillo, al menos lo siguiente:
a) La naturaleza de la garantía, precisando si se trata de una garantía personal o real; en este último caso se deberá efectuar una descripción de los respectivos bienes, señalando su ubicación geográfica;
b) El contenido y la extensión de la garantía, especificando el monto, porcentaje o parte de la emisión amparados y la cobertura de la misma;
c) El orden de prelación para el pago que tendrán los beneficiarios de la garantía en el evento de cualquier procedimiento concursal universal que se adelante judicial o extrajudicialmente contra el garante;
d) Para el caso de garantías reales, una descripción de los riesgos que afectan los correspondientes bienes, junto con la relación de las pólizas de seguros y demás instrumentos que amparen la ocurrencia de los respectivos siniestros, indicando la razón social del asegurador, su domicilio, la vigencia de la póliza y el valor asegurado, entre otros;
e) El lugar donde deba cumplirse la prestación objeto del contrato de garantía;
f) La vigencia de la garantía;
g) El señalamiento de la oportunidad para la reclamación de la garantía;
h) El señalamiento del término preciso para incoar las acciones legales para el cumplimiento forzoso de la garantía;
i) El procedimiento que deba adelantarse para su cobro extrajudicial o ejecución forzosa judicial;
j) La ley y la jurisdicción aplicables al contrato de garantía;
k) La obligación del garante domiciliado en el extranjero de suministrar al emisor oportunamente la información periódica y relevante correspondiente, con el objeto que este pueda cumplir con las normas del mercado de valores colombiano;
l) La obligación del garante de estar calificado, mientras garantice la emisión, por una sociedad calificadora que a juicio de la Superintendencia Financiera de Colombia sea de reconocida trayectoria internacional. La calificación deberá ser reportada por lo menos anualmente;
m) La obligación del garante de informar al representante legal del emisor cualquier modificación en su calificación, así como también toda circunstancia que afecte o pueda llegar a afectar en cualquier forma la garantía o la efectividad de la misma. Dicha información deberá ser comunicada por el emisor al mercado de valores, en los términos y condiciones previstos para la información relevante en el presente decreto;
n) La naturaleza de la obligación contraída por el garante, en el sentido de indicar si se trata de una obligación solidaria o subsidiaria.
PARÁGRAFO 1. Sin perjuicio de lo señalado en el artículo 5.2.1.1.4 del presente decreto, el prospecto de información deberá incluir, adicionalmente, la siguiente información sobre la entidad extranjera que otorgue la garantía:
a) Nombre del garante, señalando su domicilio y dirección, la duración de la entidad y las causales de disolución;
b) La naturaleza jurídica del garante y su régimen legal aplicable;
c) Actividad principal, breve reseña histórica de la entidad y datos sobre la conformación de la entidad;
d) En caso de que la garantía se haga efectiva en Colombia, la designación de los agentes que en Colombia recibirán en nombre del garante y en el de su patrimonio notificaciones de las actuaciones judiciales;
e) La información relativa a la calificación otorgada al garante;
f) Copia del último estado financiero de propósito general de fin de ejercicio, junto con el informe presentado por el auditor del garante sobre dicho estado financiero, acompañado de sus respectivas notas explicativas;
g) En caso de que la ley o la jurisdicción aplicables a la garantía correspondan a otra diferente a la colombiana se deberán especificar las mismas y advertir tal situación en forma destacada. Esta advertencia debe incluirse además en el aviso de oferta y en cualquier publicidad o información que se divulgue sobre el respectivo valor;
h) Opinión legal emitida por un abogado idóneo, autorizado para ejercer como tal en el país o Estado a cuyas leyes se sometan las garantías, que no tenga interés alguno en el resultado del proceso de emisión, con destino a la Superintendencia Financiera de Colombia acerca del perfeccionamiento de los respectivos contratos de garantía, de conformidad con las normas que les sean aplicables, así como de la capacidad del garante y de quien lo representa para suscribir dichos contratos.
El aviso de oferta deberá mencionar la existencia de la opinión legal;
i) El texto completo del contrato de garantía.
PARÁGRAFO 2. Cuando se trate de un organismo multilateral de crédito, no será necesario que la información a que se refieren los literales k) y m) del primer inciso del presente artículo conste en el texto del contrato de garantía, siempre que dicha entidad radique en la Superintendencia Financiera de Colombia un documento, suscrito por su representante legal, en donde conste su compromiso incondicional e irrevocable de suministrar la información a que se refieren dichos literales, en los términos que en los mismos se establece.
ARTÍCULO 5.2.1.1.7. PROSPECTO ESTANDARIZADO DE INFORMACIÓN. <Artículo adicionado por el artículo 2 del Decreto 1422 de 2017. El nuevo texto es el siguiente:> En desarrollo de lo previsto en el artículo 5.2.1.1.4 del presente decreto, la Superintendencia Financiera de Colombia podrá establecer prospectos estandarizados en los que se determine de manera previa, la información que debe ser suministrada por el emisor local a los inversionistas respecto a los valores y demás términos y condiciones de la emisión o del programa de emisión, según el caso. Estos prospectos estandarizados, deberán atender en todo caso los términos y condiciones previstos en el artículo 5.2.1.1.4 del presente decreto y demás normas que apliquen a este tipo de documentos.
La Superintendencia Financiera de Colombia establecerá el mecanismo electrónico a través del cual los emisores locales accederán a los prospectos estandarizados e incorporarán la información adicional y específica que resulte necesaria para su trámite. Así mismo, determinará mediante instrucciones, los requisitos que deben cumplir los emisores locales que utilicen prospectos estandarizados de información para la emisión de sus valores y el plazo dentro del cual la Superintendencia Financiera de Colombia deberá llevar a cabo el trámite de inscripción de la emisión o del programa de emisión y colocación respectivo.
En todo caso, los emisores locales que opten por la utilización de prospectos estandarizados de información, deberán acreditar el pleno cumplimiento de las obligaciones establecidas en el Título 4 del Libro 2 de la Parte 5 del presente decreto.
ARTÍCULO 5.2.1.1.8. USO DEL PROSPECTO ESTANDARIZADO DE INFORMACIÓN EN PROGRAMAS DE EMISIÓN Y COLOCACIÓN. <Artículo adicionado por el artículo 2 del Decreto 1422 de 2017. El nuevo texto es el siguiente:> Para el uso de este tipo de prospectos estandarizados de información en programas de emisión y colocación, los emisores locales deberán suministrar a la Superintendencia Financiera de Colombia, además del prospecto estandarizado de información marco que esta determine, la información complementaria que se requiera, a través de suplementos que deberán tramitarse utilizando el mismo mecanismo electrónico previsto para dicho prospecto.
La actualización del prospecto estandarizado de información que se utilice para la inscripción de un programa de emisión, deberá realizarse a la renovación que se efectúe del respectivo programa en los términos previstos en el artículo 6.3.1.1.4 del presente decreto, sin perjuicio de que tal actualización pueda efectuarse en cualquier momento por solicitud de la Superintendencia Financiera de Colombia o según lo determine el emisor.
ARTÍCULO 5.2.1.1.9. INCORPORACIÓN POR REFERENCIA DE INFORMACIÓN AL REGISTRO NACIONAL DE VALORES Y EMISORES. <Artículo adicionado por el artículo 2 del Decreto 1422 de 2017. El nuevo texto es el siguiente:> Para los efectos previstos en el presente Título, la Superintendencia Financiera de Colombia o el emisor podrán incorporar por referencia cualquier información de los emisores que se encuentra registrada en el Sistema Integral de Información del Mercado de Valores (SIMEV), según el procedimiento establecido para el efecto por esta Superintendencia.
OTRAS MODALIDADES DE INSCRIPCIÓN.
INSCRIPCIÓN AUTOMÁTICA.
<Fuente original compilada: R. 400/95 Art. 1.1.2.7 adicionado por el D. 3139/06 Art. 1o.> Se entenderán inscritos en el Registro Nacional de Valores y Emisores - RNVE y autorizada la oferta pública de los documentos de deuda pública emitidos, avalados o garantizados por la Nación o por el Banco de la República. Para tales efectos, se deberá enviar con destino al Registro Nacional de Valores y Emisores - RNVE y a los sistemas de negociación en que vayan a negociarse, dentro de los treinta (30) días calendario siguientes a la realización de la oferta pública, copia del acto mediante el cual se crearon los valores, facsímile o macrotítulo o modelo del título y demás documentos que permitan conocer las características de la emisión.
<Fuente original compilada: R. 400/95 Art. 1.1.2.8 adicionado por el D. 3139/06 Art. 1o.> Tratándose de los valores que emitan los establecimientos de crédito en desarrollo de sus operaciones pasivas realizadas de manera regular o esporádica se entenderán inscritos en el Registro Nacional de Valores y Emisores - RNVE y autorizada su oferta pública siempre que de manera previa a la realización de la misma, se envíe con destino al Registro Nacional de Valores y Emisores - RNVE los documentos previstos en el artículo 5.2.1.1.3 del presente decreto.
ARTÍCULO 5.2.2.1.3 INSCRIPCIÓN AUTOMÁTICA DE VALORES EMITIDOS POR FONDOS DE INVERSIÓN COLECTIVA CERRADOS, POR FONDOS DE CAPITAL PRIVADO Y FONDOS BURSÁTILES. <Artículo modificado por el artículo 2 del Decreto 1242 de 2013. El nuevo texto es el siguiente:> Se entenderán inscritos en el Registro Nacional de Valores y Emisores (RNVE) los valores que emitan los fondos bursátiles y los Fondos de Inversión Colectiva cerrados que así lo establezcan en su reglamento, así como autorizada su oferta pública, una vez la Superintendencia Financiera de Colombia autorice su constitución y el reglamento respectivo.
Igual tratamiento tendrán los documentos representativos de participaciones de los fondos de capital privado, una vez se remita a la Superintendencia Financiera de Colombia la documentación relativa a su constitución.
Estos valores podrán estar inscritos en una bolsa de valores, siempre que así lo prevea el reglamento del Fondo de Inversión Colectiva.
PARÁGRAFO. Los Fondos de Inversión Colectiva cerrados que posteriormente a su autorización pretendan inscribir en el Registro Nacional de Valores y Emisores - RNVE los valores que emitan, deberán surtir previamente el proceso de modificación del reglamento del Fondo de Inversión Colectiva de conformidad con lo establecido en la Parte 3 del presente decreto.
<Fuente original compilada: R. 400/95 Art. 1.1.2.10 adicionado por el D. 3139/06 Art. 1o.> Los bonos que emita el Fondo de Garantías de Instituciones Financieras - FOGAFÍN, se entenderán inscritos en el RNVE para todos los efectos legales y no requerirán de autorización para realizar oferta pública, siempre que de manera previa a la realización de la oferta el Fondo de Garantías de Instituciones Financieras -FOGAFÍN envíe con destino al Registro Nacional de Valores y Emisores - RNVE los documentos previstos en el artículo 5.2.1.1.3 del presente decreto.
ARTÍCULO 5.2.2.1.5 INSCRIPCIÓN DE CONTRATOS DE DERIVADOS FINANCIEROS.
<Fuente original compilada: R. 400/95 Art. 1.1.2.10.1 adicionado por el D. 2893/07 Art. 16> Los contratos de derivados financieros, tales como los contratos de futuros, de opciones y de permuta financiera, a que se refiere el parágrafo 3o del artículo 2o de la Ley 964 de 2005, quedarán inscritos automáticamente en el Registro Nacional de Valores y Emisores - RNVE una vez se apruebe por la Superintendencia Financiera de Colombia el reglamento del sistema de negociación en el cual se vayan a negociar.
Los contratos y derivados que tengan como subyacente energía eléctrica o gas combustible, a que se refiere el parágrafo 4o del artículo 2o de la Ley 964 de 2005, quedarán inscritos automáticamente en el Registro Nacional de Valores y Emisores - RNVE una vez se apruebe por la Superintendencia Financiera de Colombia el reglamento del sistema de negociación en el cual se vayan a negociar, siempre y cuando la Comisión de Regulación de Energía y Gas se haya pronunciado previamente.
PARÁGRAFO. La inscripción en el Registro Nacional de Valores y Emisores - RNVE de los contratos de derivados a que se refiere el presente artículo no dará lugar al envío de la información a que alude el Título 4 del Libro 2 de la Parte 5 del presente decreto.
<Fuente original compilada: R. 400/95 Art. 1.1.2.10.1 adicionado por el D. 1340/08 Art. 4o.> Se entenderán inscritos en el Registro Nacional de Valores y Emisores - RNVE y autorizada la oferta pública de los certificados de depósito de mercancías expedidos por un almacén general de depósito que cumplan con los siguientes requisitos:
1. Los activos que se representen en los certificados deben ser productos agropecuarios, agroindustriales u otros commodities; no deben haber sido objeto de gravámenes o medidas cautelares de ninguna naturaleza, ni de expedición de bono de prenda que los afecte.
2. Los certificados deben contener, como mínimo, la siguiente información:
a) La mención de ser “certificado de depósito”;
b) La designación del almacén general de depósito, el lugar de depósito y la fecha de expedición del documento;
c) Una descripción pormenorizada de las mercancías depositadas, con todos los datos necesarios para su identificación, o la indicación, en su caso, de que se trata de mercancías genéricamente designadas;
d) La constancia de haberse constituido el depósito;
e) Las tarifas por concepto de almacenaje y demás prestaciones a que tenga derecho al almacén;
f) El importe del seguro y el nombre del asegurador;
g) El plazo del depósito;
h) La estimación del valor de las mercancías depositadas;
i) El señalamiento de las mermas naturales de las mercancías depositadas que el almacén reconocerá, cuando sea del caso.
<Fuente original compilada: R. 400/95 Art. 1.1.2.10.2 adicionado por el D. 1340/08 Art. 4o.> Se entenderán inscritos en el Registro Nacional de Valores y Emisores - RNVE y autorizada la oferta pública de certificados fiduciarios emitidos con cargo a patrimonios autónomos conformados con productos agropecuarios, agroindustriales o de otros commodities, que se negocien a través de las bolsas de productos agropecuarios, agroindustriales o de otros commodities y que cumplan con los siguientes requisitos:
1. La mención de ser “certificado fiduciario con subyacente agropecuario, agroindustrial u otros commodities”.
2. La designación de un operador logístico, el lugar del depósito, la sociedad fiduciaria vocera del patrimonio autónomo y la fecha de expedición del documento.
3. Una descripción pormenorizada de los productos o commodities que integran el fideicomiso, con todos los datos necesarios para su identificación, o la indicación de que se trata de bienes genéricamente designados.
4. La constancia de haberse celebrado el contrato de fiducia mercantil irrevocable, la duración del mismo y la estimación del valor del patrimonio autónomo, y
5. La mención de las tarifas que por concepto de honorarios deban pagarse a la sociedad fiduciaria y de las demás comisiones y gastos a cargo del fideicomiso.
Para efectos de su inscripción en el Registro Nacional de Valores y Emisores - RNVE, la respectiva bolsa deberá informar a la Superintendencia Financiera de Colombia el cumplimiento de estos requisitos y de los demás requisitos establecidos en los reglamentos aprobados por dicho organismo, para la inscripción y negociación de los certificados en estos escenarios bursátiles.
La inscripción automática y la autorización de oferta pública se entenderán efectuadas por el plazo del respectivo contrato de fiducia mercantil.
PARÁGRAFO. Las sociedades fiduciarias administradoras de patrimonios autónomos emisores de certificados fiduciarios que se negocien por conducto de una bolsa de productos agropecuarios, agroindustriales o de otros commodities, deberán llevar un libro de registro independiente en el cual se inscriban los certificados emitidos en orden cronológico y de manera discriminada por tipos de productos o commodities representados, así como su plazo, valor del patrimonio autónomo con cargo al cual se expiden, participación representada en el certificado, los traspasos que se hayan realizado en desarrollo de la negociación en la respectiva bolsa, y los demás que se requieran de conformidad con los reglamentos de dicha bolsa.
<Fuente original compilada: R. 400/95 Art. 1.1.2.10.3 adicionado por el D. 1340/08 Art. 4o.> Los contratos estandarizados que se transen a través de las bolsas de productos agropecuarios, agroindustriales o de otros commodities, quedarán inscritos automáticamente en el Registro Nacional de Valores y Emisores - RNVE una vez la respectiva bolsa haya reglamentado cada tipo de contrato, para lo cual deberá remitir a la Superintendencia Financiera de Colombia el extracto del acta de la Junta Directiva en la cual se hubiere impartido su aprobación, así como el acta respectiva del Comité de Estándares en la cual conste la fijación de cada uno de los estándares del respectivo contrato.
PARÁGRAFO. <Parágrafo modificado el artículo 94 del Decreto 1745 de 2020. El nuevo texto es el siguiente:> La inscripción en el Registro Nacional de Valores y Emisores - RNVE de los contratos estandarizados a que se refiere el presente artículo no da lugar al envío de la información a que hace referencia el Título 4 del Libro 2 de la Parte 5 del presente decreto.
<Fuente original compilada: R. 400/95 Art. 1.1.2.10.4 adicionado por el D. 230/10 Art. 9o.> Los títulos emitidos en procesos de titularización de créditos de características homogéneas distintos de los regulados por la Ley 546 de 1999, originados por establecimientos de crédito sometidos a la vigilancia de la Superintendencia Financiera de Colombia, se entenderán inscritos de manera automática y autorizada su oferta pública siempre que de manera previa se envíen con destino al Registro Nacional de Valores y Emisores –RNVE- los documentos previstos en el artículo 5.2.1.1.3 del presente Decreto, así como la documentación adicional que defina para el efecto la Superintendencia Financiera de Colombia mediante circular de carácter general. Adicionalmente, se deberán remitir las garantías especiales constituidas como apoyo de la emisión, si las hubiere, las cuales deberán poder hacerse efectivas en Colombia si la oferta se realiza para ser colocada en el país.
PARÁGRAFO. Tratándose de procesos de titularización de activos distintos a los regulados por la Ley 546 de 1999 cuyo subyacente no sea el mencionado en el presente artículo, se deberá cumplir con el régimen general de inscripción de valores y autorización de oferta pública contenido en el presente Decreto.
<Fuente original compilada: R. 775/01 Art. 3o.> Los títulos hipotecarios que de conformidad con la Ley 546 de 1999 emitan los establecimientos de crédito y las sociedades titularizadoras de activos hipotecarios , se entenderán inscritos en el Registro Nacional de Valores y Emisores-RNVE para todos los efectos legales y autorizada su oferta pública, siempre que de manera previa se envíen con destino al Registro Nacional de Valores y Emisores – RNVE– los documentos previstos en el artículo 5.2.1.1.3 del presente Decreto, así como la documentación adicional que defina para el efecto la Superintendencia Financiera de Colombia mediante circular de carácter general. Adicionalmente, se deberán remitir las garantías especiales constituidas como apoyo de la emisión, si las hubiere, las cuales deberán poder hacerse efectivas en Colombia si la oferta se realiza para ser colocada en el país.
ARTÍCULO 5.2.2.1.11. INSCRIPCIÓN AUTOMÁTICA DE VALORES EMITIDOS EN EL SEGUNDO MERCADO. <Artículo adicionado por el artículo 2 del Decreto 1019 de 2014. El nuevo texto es el siguiente:> Los valores que se vayan a negociar en el Segundo Mercado, se entenderán inscritos en el Registro Nacional de Valores y Emisores (RNVE) para todos los efectos legales y autorizada su oferta pública, siempre que de manera previa se envíen con destino a la Superintendencia Financiera de Colombia, los documentos previstos en los artículos 5.2.3.1.8 y 5.2.3.1.12 del presente decreto, así como la documentación adicional que defina para el efecto dicha Superintendencia mediante circular de carácter general.
<Artículo adicionado por el artículo 7 del Decreto 2510 de 2014. El nuevo texto es el siguiente:> Los valores emitidos por emisores de valores que hayan sido catalogados como emisores conocidos y recurrentes por la Superintendencia Financiera de Colombia, se entenderán inscritos de manera automática en el Registro Nacional de Valores y Emisores (RNVE) y autorizada su oferta pública siempre que de manera previa a la realización de la misma, se remitan a la Superintendencia Financiera de Colombia, con destino al Registro Nacional de Valores y Emisores (RNVE), la documentación prevista en los artículos 5.2.1.1.3 y 5.2.1.1.5 del presente decreto, con carácter meramente informativo.
PARÁGRAFO 1o. La Superintendencia Financiera de Colombia definirá lo que se entiende como emisor conocido y recurrente, teniendo en cuenta para tal efecto la frecuencia con la que el emisor acude al mercado, el monto de las emisiones efectuadas y la existencia o no de sanciones por infracciones a las normas del mercado de valores. En todo caso, la Superintendencia Financiera de Colombia podrá suspender en cualquier momento la aplicación del presente régimen respecto de un emisor, cuando lo considere conveniente.
ARTÍCULO 5.2.2.1.13. REVISIÓN DOCUMENTARIA POR PARTE DE LA SUPERINTENDENCIA FINANCIERA DE COLOMBIA.
<Artículo adicionado por el artículo 7 del Decreto 2510 de 2014. El nuevo texto es el siguiente:> La Superintendencia Financiera de Colombia podrá revisar en cualquier momento posterior a la inscripción y realización de las ofertas públicas correspondientes a los regímenes de inscripción automática la documentación enviada con destino al RNVE y requerir al emisor los ajustes que considere pertinentes
INSCRIPCIÓN TEMPORAL DE VALORES.
ARTÍCULO 5.2.2.2.1 INSCRIPCIÓN TEMPORAL DE VALORES.
<Artículo modificado por el artículo 1 del Decreto 1523 de 2016. El nuevo texto es el siguiente:> Las entidades de carácter público u oficial y las entidades en procesos concursales incluyendo las que se encuentran en procesos de liquidación, que sean propietarias de acciones o bonos convertibles en acciones que no se encuentren inscritas en el Registro Nacional de Valores y Emisores (RNVE), podrán acudir ante la Superintendencia Financiera de Colombia para que se ordene su inscripción en el Registro de manera temporal, a efectos de poder enajenarlos mediante oferta pública de venta en el mercado secundario.
PARÁGRAFO 1o. Tratándose de procesos de privatización o procesos concursales incluidas las liquidaciones, la orden de inscripción en el Registro de manera temporal a que hace referencia el presente artículo, permitirá a los particulares propietarios de acciones o bonos obligatoriamente convertibles en acciones, enajenar tales valores mediante oferta pública de venta en el mercado secundario, en forma conjunta dentro del proceso de privatización o enajenación, según el caso, conforme a la regulación que para el efecto se expida.
PARÁGRAFO 2o. La inscripción temporal de valores, tendrá una vigencia máxima de seis (6) meses, salvo que verse sobre acciones o bonos convertibles en acciones de propiedad del Estado sobre las cuales se hubiere iniciado un proceso de privatización, es decir, a partir de la aprobación del programa de enajenación o del inicio del plan de venta que se establezca, caso en el cual la inscripción estará vigente hasta la finalización del mismo, o hasta la expiración del plazo que se hubiere previsto para la enajenación en el respectivo programa.
PARÁGRAFO 3o. Para los efectos de este artículo se entenderá el término privatización como la enajenación de la propiedad accionaria estatal conforme a lo regulado por la Ley 226 de 1995, así como la enajenación de acciones o bonos obligatoriamente convertibles en acciones de entidades financieras públicas, de acuerdo con los términos del Título 1 del Libro 36 de la Parte 2 del presente Decreto y, en general, se entenderá como la enajenación de acciones o bonos obligatoriamente convertibles en acciones a través de cualquier otro procedimiento legalmente autorizado.
ARTÍCULO 5.2.2.2.2 INFORMACIÓN REQUERIDA.
<Fuente original compilada: R. 400/95 Art. 1.1.2.12 adicionado por el D. 230/10 Art. 9o.> Una vez se acredite la observancia de los derechos de preferencia a que hubiere lugar y la propiedad de los valores, la Superintendencia Financiera de Colombia ordenará a la entidad emisora suministrar la información que fuere necesaria para efectos de la inscripción de los respectivos valores en el Registro Nacional de Valores y Emisores - RNVE, de conformidad con lo que establezca la Superintendencia Financiera de Colombia para la inscripción de emisiones.
ARTÍCULO 5.2.2.2.3 EFECTOS DE LA INSCRIPCIÓN.
<Artículo modificado por el artículo 2 del Decreto 1523 de 2016. El nuevo texto es el siguiente:> Cumplido el trámite previsto en el artículo anterior, la Superintendencia Financiera de Colombia ordenará la inscripción temporal de los valores en el Registro Nacional de Valores y Emisores (RNVE), la cual se entenderá efectuada única y exclusivamente para efectos de la realización de la subsiguiente oferta pública de venta. En consecuencia, transcurrido el plazo para realizar la operación de venta se extinguirá la inscripción.
La inscripción temporal de las acciones o bonos convertibles en acciones en el Registro Nacional de Valores y Emisores (RNVE), no implicará su inscripción automática en una bolsa de valores, sin perjuicio de que allí puedan ser inscritos para llevar a cabo la correspondiente oferta pública de venta a través de los mecanismos autorizados para el efecto, en condiciones de libre concurrencia, publicidad, transparencia y adecuada formación de precios.
PARÁGRAFO 1o. Excepcionalmente, los planes de venta establecidos para la enajenación de las acciones o bonos convertibles en acciones de propiedad de sociedades incursas en un proceso concursal incluyendo las que se encuentran en procesos de liquidación, ordenados por una autoridad administrativa, podrán establecer condiciones a las operaciones de venta o a sus participantes, orientadas exclusivamente a garantizar la adecuada continuidad en la prestación del servicio de la sociedad cuyas acciones o bonos convertibles en acciones se inscriben temporalmente, atendiendo en todo caso a su régimen jurídico, actividad económica y a las normas de competencia aplicables a la operación de enajenación que se pretenda desarrollar.
PARÁGRAFO 2o. Durante el tiempo que dure la inscripción en el Registro Nacional de Valores y Emisores (RNVE), la sociedad emisora de los valores deberá dar cumplimiento a las disposiciones contenidas en el Libro 2 de la Parte 5 del presente Decreto.
PARÁGRAFO 3o. No obstante lo previsto en el artículo 5.1.1.1.5 del presente Decreto, el pago de la contribución y demás emolumentos derivados de la inscripción temporal ante el Registro Nacional de Valores y Emisores (RNVE), correrán a cargo de la entidad enajenante y no de aquella cuyos valores se inscriban temporalmente.
SEGUNDO MERCADO.
DISPOSICIONES GENERALES.
ARTÍCULO 5.2.3.1.1 DEFINICIÓN.
<Fuente original compilada: R. 400/95 Art. 1.4.0.1> Créase el Segundo Mercado, entendiéndose como tal las negociaciones de títulos cuya inscripción en el Registro Nacional de Valores y Emisores – RNVE se efectúe conforme a los requisitos establecidos en el presente título y cuya adquisición sólo puede ser realizada por los inversionistas autorizados.
PARÁGRAFO 1. Para efectos del presente decreto se entiende por mercado principal las negociaciones de títulos inscritos en el Registro Nacional de Valores y Emisores – RNVE conforme a lo dispuesto en esta Parte del presente decreto.
PARÁGRAFO 2. Los títulos que pertenezcan a una misma emisión no podrán hacer parte en forma simultánea del Segundo Mercado y del mercado principal. Así mismo, las acciones de una sociedad sólo podrán formar parte de uno de los dos mercados.
ARTÍCULO 5.2.3.1.2 TRASLADO DEL SEGUNDO MERCADO AL PRINCIPAL.
<Fuente original compilada: R. 400/95 Art. 1.4.0.2> Los valores que hayan formado parte del Segundo Mercado podrán trasladarse al mercado principal, previa solicitud del emisor presentada ante la Superintendencia Financiera de Colombia, cumpliendo los requisitos previstos en la parte 5 y 6 del presente decreto que resulten aplicables. Tales valores dejarán de ser parte del Segundo Mercado una vez la Superintendencia Financiera de Colombia imparta la respectiva autorización.
ARTÍCULO 5.2.3.1.3 TRASLADO DEL MERCADO PRINCIPAL AL SEGUNDO MERCADO.
<Fuente original compilada: R. 400/95 Art. 1.4.0.3> Los valores que conformen o hayan conformado el mercado principal no podrán ingresar al Segundo Mercado.
No obstante lo anterior y siempre que el emisor adelante una oferta de compra dirigida a los propietarios de los títulos que se pretenden trasladar al Segundo Mercado que no tengan la calidad de inversionista calificado, aquel podrá solicitar a la Superintendencia Financiera de Colombia que se le autorice el traslado del valor del mercado principal al Segundo Mercado. La Superintendencia Financiera de Colombia decidirá, teniendo en cuenta para ello la protección a los inversionistas. Tales valores dejarán de ser parte del mercado principal una vez la Superintendencia Financiera de Colombia imparta la respectiva autorización.
PARÁGRAFO. En caso de que la oferta de compra de que trata este artículo corresponda a una oferta pública, para adelantar dicha oferta se requerirá la previa autorización de la Superintendencia Financiera de Colombia.
ARTÍCULO 5.2.3.1.4 INVERSIONISTAS AUTORIZADOS.
<Fuente original compilada: R. 400/95 Art. 1.4.0.4> En las adquisiciones de valores que hagan parte del Segundo Mercado sólo podrán tener el carácter de adquirentes los inversionistas calificados de que trata el artículo siguiente.
Quedan exceptuadas de lo establecido en el inciso anterior:
1. Las compraventas de acciones o bonos convertibles en acciones que efectúen entre sí los accionistas de la sociedad emisora.
2. Las suscripciones de acciones o de bonos convertibles en acciones que se efectúen en uso del derecho de preferencia.
3. Las readquisiciones de acciones que se realicen de conformidad con las disposiciones legales establecidas para el efecto.
4. <Numeral adicionado por el artículo 18 del Decreto 1235 de 2020. El nuevo texto es el siguiente:> La suscripción de bonos de riesgo que efectúen los acreedores del emisor que así lo decidan en un acuerdo de reorganización o acuerdo de recuperación.
PARÁGRAFO 1. Para los efectos del presente artículo y en forma previa a la realización de la operación, será obligación del adquirente certificar su calidad de inversionista autorizado.
PARÁGRAFO 2. En las operaciones que se efectúen sin atender lo dispuesto en el presente artículo, tanto el comprador como el vendedor serán objeto de las sanciones de que tratan las normas vigentes.
ARTÍCULO 5.2.3.1.5 INVERSIONISTAS CALIFICADOS.
<Fuente original compilada: R. 400/95 Art. 1.4.0.5> Para efectos del presente Decreto se consideran inversionistas calificados todas aquellas personas calificadas como “inversionista profesional” en los términos de la Parte 7 Libro 2 del presente Decreto.
ARTÍCULO 5.2.3.1.6 INSCRIPCIONES EN EL LIBRO DE REGISTRO DE ACCIONISTAS O DE TENEDORES. <Artículo modificado el artículo 95 del Decreto 1745 de 2020. El nuevo texto es el siguiente:>
Los administradores de las sociedades emisoras o quien tenga la administración de su libro de registro de accionistas o de tenedores, se abstendrán de inscribir en dichos libros, los traspasos originados en operaciones celebradas sin la observancia de los requisitos señalados en este Título.
ARTÍCULO 5.2.3.1.7 VALORES A NEGOCIAR.
<Fuente original compilada: R. 400/95 Art. 1.4.0.7> Podrán hacer parte del Segundo Mercado, los valores emitidos por entidades que por su naturaleza puedan realizar emisiones de títulos de contenido crediticio, de participación, o mixtos, para ser colocados y negociados en el mercado de valores.
PARÁGRAFO. Se entiende que la inscripción en el Registro Nacional de Valores y Emisores- RNVE de los títulos a los cuales se refiere el artículo 53 de la Ley 31 de 1992 y el numeral 3 del artículo 111 del Decreto 663 de 1993, se efectúa para el mercado principal, salvo que el emisor informe a la Superintendencia Financiera de Colombia y a las bolsas de valores en donde se vayan a inscribir los respectivos valores que se trata de inscripción en el segundo mercado.
ARTÍCULO 5.2.3.1.8. DOCUMENTOS REQUERIDOS PARA LA INSCRIPCIÓN DE VALORES DEL SEGUNDO MERCADO EN EL REGISTRO NACIONAL DE VALORES Y EMISORES. <Artículo modificado por el artículo 4 del Decreto 1019 de 2014. El nuevo texto es el siguiente:> Los valores que vayan a ser negociados en el Segundo Mercado se entenderán inscritos en el Registro Nacional de Valores y Emisores (RNVE) siempre que el emisor envíe de manera previa a la Superintendencia Financiera de Colombia los siguientes documentos:
1. Constancia expedida por el representante legal del emisor en la cual se certifique que se ha enviado o puesto a disposición de los inversionistas autorizados el prospecto de colocación de que trata el artículo 5.2.3.1.22 del presente decreto.
2. Formulario de Inscripción totalmente diligenciado según el formato establecido por la Superintendencia Financiera de Colombia para el Segundo Mercado.
3. Certificado de existencia y representación legal de la entidad emisora, expedido con no más de un mes de antelación respecto de la fecha de su presentación.
4. Facsímil o modelo del respectivo valor, en el cual deberá incluirse en forma destacada la mención de que el mismo solo puede ser adquirido por los inversionistas autorizados conforme a lo dispuesto en el presente título.
5. Advertencia en caracteres destacados que la inscripción en el Registro Nacional de Valores y Emisores (RNVE) no implica certificación por parte de la Superintendencia Financiera de Colombia sobre la bondad del valor o la solvencia del emisor; y
6. Cuando los valores estén denominados en una moneda diferente al peso colombiano, deberá anexarse copia de los documentos que acrediten el cumplimiento del régimen cambiario y de inversiones internacionales, cuando a ello haya lugar.
En todo caso la Superintendencia Financiera de Colombia tendrá un término de diez (10) días hábiles, contados a partir de la fecha de radicación en la entidad de todos los documentos de que trata este artículo, para verificar el envío de los mismos en forma completa, con el único fin de constatar que cumplan con lo señalado en el presente artículo. Una vez transcurrido este plazo, si la información fue allegada de manera completa, los valores se entenderán inscritos automáticamente en el Registro Nacional de Valores y Emisores (RNVE), de acuerdo con lo dispuesto en el artículo 5.2.2.1.11 del presente decreto. En caso contrario, el emisor tendrá un término de cinco (5) días hábiles para allegar la información faltante, momento a partir del cual se surtirá la verificación de que trata el presente inciso.
PARÁGRAFO 1o. Los emisores que deseen inscribir un valor para ser negociado en el Segundo Mercado y que tengan otros valores inscritos en el Registro Nacional de Valores y Emisores (RNVE), no requerirán presentar los documentos que reposen en dicho Registro para efectos del trámite de inscripción de que trata el presente artículo.
PARÁGRAFO 2o. Para efectos de lo establecido en este Título, podrán inscribir en el Registro Nacional de Valores y Emisores (RNVE), valores para ser negociados en el Segundo Mercado, las entidades de que trata el artículo 5.2.1.1.2 del presente decreto, así como los vehículos de propósito especial que emitan valores para el desarrollo de proyectos de infraestructura.
ARTÍCULO 5.2.3.1.9 ACTUALIZACIÓN DEL REGISTRO.
<Artículo modificado por el artículo 5 del Decreto 1019 de 2014. El nuevo texto es el siguiente:> Los emisores de valores que hagan parte del Segundo Mercado actualizarán el Registro Nacional de Valores y Emisores (RNVE), remitiendo a la Superintendencia Financiera de Colombia la siguiente información:
1. Estados financieros de fin de ejercicio.
2. Certificación expedida por el representante legal del emisor en la que conste que ha actualizado y enviado la información relevante de que trata el artículo 5.2.4.1.5 del presente decreto a los inversionistas autorizados que sean tenedores de los valores emitidos bajo el régimen de segundo mercado y que ha puesto a disposición dicha información a los inversionistas autorizados que hayan demostrado interés.
PARÁGRAFO 1o. La Superintendencia Financiera de Colombia determinará los plazos, condiciones y formularios que considere necesarios para el cumplimiento de lo establecido en el presente artículo.
PARÁGRAFO 2o. Para efectos de lo dispuesto en este artículo, los emisores de valores que hagan parte del Segundo Mercado estarán exentos de dar cumplimiento a lo establecido en el Título 4 del Libro 2 de la Parte 5 del presente decreto, a menos que se encuentren registrados como emisores del mercado principal y en consecuencia deban dar cumplimiento a lo dispuesto en tal título cuando haya lugar.
<Fuente original compilada: R. 400/95 Art. 1.4.0.10 Modificado por el D. 3139/06 Art. 14> Las entidades emisoras de valores que hagan parte del Segundo Mercado no podrán cancelar la inscripción de estos en las bolsas de valores, los sistemas de negociación ni en el Registro Nacional de Valores y Emisores -RNVE mientras tales documentos se encuentren en circulación, salvo en el caso de las acciones, cuya cancelación voluntaria podrá adelantarse de conformidad con las reglas generales previstas en el presente Decreto.
La cancelación de la inscripción de valores diferentes de las acciones se sujetará a lo dispuesto en el artículo 5.2.6.1.7 del presente Decreto.
PARÁGRAFO. Lo dispuesto en este artículo se entiende sin perjuicio de lo señalado en el artículo 5.2.6.2.1 del presente Decreto.
ARTÍCULO 5.2.3.1.11 OFERTA PÚBLICA.
<Fuente original compilada: R. 400/95 Art. 1.4.0.11> Las ofertas públicas de mercado primario que se efectúen sobre valores que hagan parte del Segundo Mercado se deberán sujetar a lo establecido en los artículos 5.2.3.1.12, 5.2.3.1.13 y 5.2.3.1.14 del presente Decreto.
ARTÍCULO 5.2.3.1.12. DOCUMENTOS REQUERIDOS PARA OBTENER LA AUTORIZACIÓN DE OFERTA PÚBLICA. <Artículo modificado por el artículo 6 del Decreto 1019 de 2014. El nuevo texto es el siguiente:> Las ofertas públicas de mercado primario de valores que vayan a ser negociados en el Segundo Mercado, se entenderán autorizadas siempre que se siga el procedimiento descrito en el artículo siguiente y se envíen a la Superintendencia Financiera de Colombia los siguientes documentos:
1. Comunicación suscrita por el representante legal de la entidad emisora en la cual se indique la intención de efectuar una oferta pública de valores en el Segundo Mercado.
2. El prospecto de información al que hace referencia el artículo 5.2.3.1.14 del presente decreto.
3. Certificación emitida por el representante legal del emisor en la que conste que ha dado un trato equitativo a todos los inversionistas autorizados en relación con el suministro de la información, de conformidad con lo dispuesto en el parágrafo 1o del artículo 5.2.3.1.22, y
4. Proyecto de aviso de oferta el cual deberá dirigirse a todos los inversionistas autorizados interesados que determine el emisor, en el que se indique claramente que, de acuerdo con lo dispuesto en los artículos 5.2.3.1.4, y 5.2.3.1.5, del presente decreto, los valores solo podrán ser adquiridos por inversionistas autorizados. Igualmente, el proyecto de aviso de oferta deberá incluir como mínimo: el reglamento de colocación, los destinatarios de la oferta y la advertencia en caracteres destacados, de suerte que resalte visiblemente en el texto del aviso, que la inscripción en el Registro Nacional de Valores y Emisores (RNVE) y la autorización para realizar la oferta pública, no implican certificación por parte de la Superintendencia Financiera de Colombia sobre la bondad del valor o la solvencia del emisor.
En todo caso la Superintendencia Financiera de Colombia tendrá un término de diez (10) días hábiles, contados a partir de la fecha de radicación en la entidad de todos los documentos de que trata este artículo, para verificar el envío de los mismos en forma completa con el único fin de constatar que cumplan con lo señalado en el presente artículo. Una vez transcurrido este plazo, si la información fue allegada de manera completa, se entenderá autorizada la oferta pública de acuerdo con lo dispuesto en el artículo 5.2.2.1.11 del presente decreto. En caso contrario, el emisor tendrá un término de cinco (5) días hábiles para allegar la información faltante, momento a partir del cual se surtirá la verificación de que trata el presente inciso.
ARTÍCULO 5.2.3.1.13 PROCEDIMIENTO PARA ADELANTAR LA OFERTA PÚBLICA EN MERCADO PRIMARIO.
<Artículo modificado por el artículo 7 del Decreto 1019 de 2014. El nuevo texto es el siguiente:> Surtido el proceso de inscripción automática de los valores y autorización de la oferta pública en los términos establecidos en los artículos 5.2.3.1.8 y 5.2.3.1.12 del presente decreto, el emisor deberá iniciar, en un término no superior a tres (3) meses, en forma directa o a través de una o más sociedades comisionistas de bolsa o una o más corporaciones financieras, el proceso promocional de que trata el parágrafo 1o del presente artículo, dirigido hacia los potenciales inversionistas, con el propósito de poner a disposición de éstos toda aquella información relacionada con la empresa emisora que sea requerida por el inversionista para decidir sobre la realización de la inversión.
No obstante lo anterior, las emisiones de valores que se efectúen en el Segundo Mercado también podrán realizarse mediante la estructuración de programas de emisión y colocación, en cuyo caso se deberán seguir los procedimientos que para tales efectos establece el presente decreto, con excepción de aquellas normas que sean contrarias a los procedimientos de emisión establecidos en el presente Título.
En todo caso, la estructuración de la colocación en el Segundo Mercado de un valor que haga parte de un programa de emisión y colocación implica que todos los valores contemplados en el programa respectivo deban dirigirse al Segundo Mercado.
La oferta y colocación de los valores destinados al Segundo Mercado deberá efectuarse dentro de los (6) seis meses siguientes a la autorización de la respectiva oferta pública. La Superintendencia Financiera de Colombia podrá prorrogar dicho término por una sola vez hasta por un tiempo igual, previa solicitud del emisor. Una vez vencido dicho término, o su prórroga si la hubiere, sin que se haya efectuado la colocación de los valores destinados al Segundo Mercado, la autorización de oferta pública perderá vigencia y el emisor deberá comenzar nuevamente el proceso de oferta pública.
PARÁGRAFO 1o. Una vez se hayan entregado los documentos requeridos en el artículo 5.2.3.1.12 del presente decreto, el emisor, en forma directa o a través de una o más sociedades comisionistas de bolsa o una o más corporaciones financieras, podrá empezar a promocionar los valores a los inversionistas autorizados interesados que él determine, sujeto a la información contractualmente acordada y avisándoles en todo caso, que la oferta pública se encuentra en proceso de verificación, de conformidad con lo establecido en el inciso segundo del artículo 5.2.3.1.12 del presente decreto.
Una vez la Superintendencia Financiera de Colombia haya verificado el envío completo de los documentos de que trata el artículo 5.2.3.1.12, el emisor deberá dar aviso a los inversionistas autorizados que hayan demostrado interés de tal situación.
PARÁGRAFO 2o. Dicho proceso de promoción no estará sujeto a supervisión por parte de la Superintendencia Financiera de Colombia.
PARÁGRAFO 3o. Para efectos de lo establecido en el presente Título, la promoción supone el suministro de información necesaria y suficiente para que un inversionista autorizado pueda tomar la decisión informada de invertir o no en valores que hagan parte del Segundo Mercado.
PARÁGRAFO 4o. No se podrán realizar negociaciones formales hasta tanto no hayan transcurrido el término de 10 días y las condiciones establecidas en el inciso 2o del artículo 5.2.3.1.12.
ARTÍCULO 5.2.3.1.14. MENCIONES DEL PROSPECTO DE INFORMACIÓN QUE SE ENTREGA A LA SUPERINTENDENCIA FINANCIERA DE COLOMBIA. <Artículo modificado por el artículo 8 del Decreto 1019 de 2014. El nuevo texto es el siguiente:> La oferta primaria de valores que hagan parte del Segundo Mercado requiere que el emisor envíe a la Superintendencia Financiera de Colombia un prospecto de información que deberá incluir al menos lo siguiente:
1. Nombre comercial del emisor, su domicilio principal y dirección de la oficina principal, la cual para todos los efectos se entenderá como información para notificación.
2. Clase de valor que será objeto de la oferta, valor nominal, reglas relativas a la reposición, fraccionamiento y englobe de títulos, monto total de la emisión y series en que se divide la emisión con las principales características de cada una cuando haya lugar a ello.
3. La bolsa de valores o sistema de negociación en que estarán inscritos los valores, cuando se haya optado por dicha inscripción de acuerdo con lo establecido en el artículo 5.2.3.2.1 del presente decreto.
4. La advertencia, en caracteres destacados, en cuanto a la restricción que tienen los valores para su adquisición, en el sentido de que por hacer parte del Segundo Mercado solo podrán ser adquiridos por los inversionistas autorizados.
5. La advertencia, en caracteres destacados, de que la inscripción automática en el Registro Nacional de Valores y Emisores (RNVE) y la autorización para la oferta pública no implican calificación ni responsabilidad alguna por parte de la Superintendencia Financiera de Colombia acerca de los valores inscritos ni sobre el precio, la bondad, la negociabilidad del valor, o de la respectiva emisión ni sobre la solvencia del emisor.
6. Tratándose de bonos que estén acompañados de cupones de suscripción de acciones, las condiciones en que puede realizarse dicha suscripción.
ARTÍCULO 5.2.3.1.15 REPRESENTANTE LEGAL DE TENEDORES DE BONOS.
<Fuente original compilada: R. 400/95 Art. 1.4.0.15> Las emisiones de bonos que se efectúen para hacer parte del Segundo Mercado no requerirán representante legal de los tenedores de bonos.
ARTÍCULO 5.2.3.1.16 MONTO DE EMISIÓN DE BONOS.
<Fuente original compilada: R. 400/95 Art. 1.4.0.16> Las emisiones de bonos que se efectúen para hacer parte del Segundo Mercado no estarán sujetas a los requisitos establecidos en el numeral 1. del artículo 6.4.1.1.3 del presente Decreto.
ARTÍCULO 5.2.3.1.17 MONTO DE EMISIÓN DE PAPELES COMERCIALES.
<Fuente original compilada: R. 400/95 Art. 1.4.0.17> Las emisiones de papeles comerciales que se efectúen para hacer parte del Segundo Mercado no estarán sujetas a los requisitos establecidos en el numeral 1. del artículo 6.6.1.1.1 del presente decreto.
ARTÍCULO 5.2.3.1.18 PUBLICACIÓN.
<Fuente original compilada: R. 400/95 Art. 1.4.0.18> En las operaciones de Segundo Mercado que se efectúen a través de bolsa, éstas deberán publicar en el boletín diario la información correspondiente identificando claramente tales negociaciones como operaciones realizadas en el Segundo Mercado.
ARTÍCULO 5.2.3.1.19 COMPRAVENTA DE ACCIONES DE UNA SOCIEDAD INSCRITA EN BOLSA.
<Fuente original compilada: R. 400/95 Art. 1.4.0.19> Para las acciones que hagan parte del Segundo Mercado y que se encuentren inscritas en bolsa no aplicará lo dispuesto en el artículo 6.15.1.1.2.
ARTÍCULO 5.2.3.1.20 ADQUISICIÓN DEL CONTROL ACCIONARIO.
<Fuente original compilada: R. 400/95 Art. 1.4.0.20> Tratándose de operaciones con valores que hagan parte del Segundo Mercado que impliquen la adquisición del cinco por ciento (5%) o más de los valores en circulación, no aplicará la obligatoriedad de efectuar oferta de adquisición.
En estos casos, la persona o personas que desee(n) efectuar la adquisición deberá(n) informar del hecho a la Superintendencia Financiera de Colombia y a las bolsas en que se encuentren inscritos los títulos, con al menos cinco (5) días de anterioridad a la realización de la operación.
ARTÍCULO 5.2.3.1.21 GARANTÍAS.
<Artículo derogado por el artículo 18 del Decreto 1019 de 2014>
ARTÍCULO 5.2.3.1.22. MENCIONES DEL PROSPECTO DE COLOCACIÓN PARA LOS INVERSIONISTAS.
<Artículo adicionado por el artículo 9 del Decreto 1019 de 2014. El nuevo texto es el siguiente:> Los emisores que deseen hacer parte del Segundo Mercado deberán remitir un prospecto de colocación a los inversionistas autorizados que hayan demostrado interés en la emisión. La información del prospecto de colocación de que trata este artículo podrá ser acordada de manera contractual entre el emisor y los inversionistas autorizados que hayan demostrado interés en la emisión. Sin perjuicio de dicho acuerdo, el prospecto de colocación deberá contener, adicionalmente a lo establecido en el artículo 5.2.3.1.14 del presente decreto, como mínimo lo siguiente:
1. Advertencia, en caracteres destacados, en cuanto a la restricción que tienen os valores para su adquisición, en el sentido de que por hacer parte del Segundo Mercado solo podrán ser adquiridos por los inversionistas autorizados.
2. La advertencia, en caracteres destacados, de que la inscripción automática en el Registro Nacional de Valores y Emisores (RNVE) y la autorización para la oferta pública no implican calificación ni responsabilidad alguna por parte de la Superintendencia Financiera de Colombia acerca de los valores inscritos ni sobre el precio, la bondad, la negociabilidad del valor, o de la respectiva emisión ni sobre la solvencia del emisor.
3. En caso de optarse por la inscripción voluntaria en una bolsa de valores o sistema de negociación de valores, la advertencia en caracteres destacados de que dicha inscripción no implica la calificación ni responsabilidad alguna por parte de la bolsa de valores o sistema de negociación de valores acerca de los valores inscritos ni sobre el precio, la bondad, la negociabilidad del valor, o de la respectiva emisión ni sobre la solvencia del emisor.
4. Las garantías otorgadas de conformidad con lo establecido en el artículo 5.2.3.2.4 del presente decreto, cuando se haya optado por ello.
PARÁGRAFO 1o. La información que se acuerde entre el emisor y los inversionistas autorizados que demostraron interés en la correspondiente emisión, deberá tener estándares de homogeneidad para que todos los inversionistas autorizados interesados obtengan la misma información para evaluarla en la toma de la decisión de realizar o no la inversión.
PARÁGRAFO 2o. La información acordada contractualmente con el emisor y la requerida en el artículo 5.2.3.1.14 del presente decreto, deberá estar a disposición en la página web del emisor para los inversionistas autorizados que hayan demostrado interés en la emisión, garantizando únicamente el acceso a los mismos, sin perjuicio de su envío en medio físico a dichos inversionistas cuando éstos lo soliciten.
PARÁGRAFO 3o. El deber del emisor de remitir información, y en forma homogénea, a los inversionistas autorizados que hayan demostrado interés, no implica que estén obligados a llegar a un acuerdo para realizar la inversión.
ARTÍCULO 5.2.3.1.23. INFORMACIÓN PERIÓDICA PARA EL INVERSIONISTA.
<Artículo adicionado por el artículo 10 del Decreto 1019 de 2014. El nuevo texto es el siguiente:> Los emisores que hagan parte del Segundo Mercado deberán actualizar a solicitud de al menos uno de los inversionistas tenedores de los valores, ya sea físicamente o en su página web, la información de que tratan los artículos 5.2.4.1.2 y 5.2.4.1.3 del presente decreto.
En todo caso, la información relevante de que trata el artículo 5.2.4.1.5 del presente decreto deberá ser actualizada permanentemente por parte del emisor a los inversionistas tenedores de los valores y a los inversionistas autorizados que hayan demostrado interés, ya sea físicamente o en su página web.
DISPOSICIONES ADICIONALES.
ARTÍCULO 5.2.3.2.1. INSCRIPCIÓN VOLUNTARIA.
<Artículo adicionado por el artículo 11 del Decreto 1019 de 2014. El nuevo texto es el siguiente:> Los emisores podrán optar por solicitar la autorización de inscripción de los valores que hagan parte del Segundo Mercado, en una bolsa de valores o en un sistema de negociación de valores según sea el caso. Para el efecto, será suficiente el envío de la misma información requerida en el artículo 5.2.3.1.14 del presente decreto con destino al sistema correspondiente según sea el caso.
PARÁGRAFO. Los emisores de valores que hagan parte del Segundo Mercado y que hayan inscrito los mismos, deberán actualizar la información que la bolsa de valores o el sistema de negociación correspondiente requiera para dicha inscripción, en los plazos y condiciones que éstos determinen.
ARTÍCULO 5.2.3.2.2. CALIFICACIÓN VOLUNTARIA DE LA EMISIÓN.
<Artículo adicionado por el artículo 11 del Decreto 1019 de 2014. El nuevo texto es el siguiente:> Los emisores de valores que hagan parte del Segundo Mercado, podrán optar por someterlos a una calificación de riesgo por parte de una sociedad calificadora de riesgo autorizada por la Superintendencia Financiera de Colombia.
En caso de optarse por la calificación de riesgo, el emisor deberá informar sobre dicha calificación a los inversionistas autorizados que hayan demostrado interés dentro del prospecto de colocación o información contractual acordada con los mismos. En caso de optarse por una calificación después de haber sido colocada la emisión, dicha calificación deberá ser informada a los inversionistas tenedores de los valores, en cumplimiento de lo establecido en el artículo 5.2.3.1.23 del presente decreto. En caso de que los valores se inscriban en una bolsa de valores o un sistema de negociación de valores, la información establecida en el presente artículo deberá ser pública mediante los mecanismos que determina la ley para divulgar información relevante.
ARTÍCULO 5.2.3.2.3. RESPONSABILIDAD POR LA INFORMACIÓN.
<Artículo adicionado por el artículo 11 del Decreto 1019 de 2014. El nuevo texto es el siguiente:> Los emisores de valores que hagan parte del Segundo Mercado, y sus administradores, o el representante legal del administrador del patrimonio autónomo que actúe como emisor, serán responsables por la inexactitud o falsedad en la información remitida en desarrollo de los artículos 5.2.3.1.8, 5.2.3.1.9, 5.2.3.1.14, 5.2.3.1.22, 5.2.3.1.23 y 5.2.3.2.1 del presente decreto, así como por la omisión de divulgar cualquier información que, por su importancia, pudiera afectar la colocación de los valores, su cotización en el mercado cuando haya lugar a ello o la decisión de los inversionistas de vender, comprar o mantener dichos valores. Adicionalmente, serán responsables por las infracciones que se cometan contra el mercado de valores en su calidad de emisor, particularmente con las establecidas en el artículo 50 de la Ley 964 de 2005.
Quienes asesoren profesionalmente al emisor de valores que haga parte del Segundo Mercado, en la estructuración de la emisión, en los aspectos económicos, financieros, contables, jurídicos, administrativos, técnicos y operativos, y en general cualquier aspecto relacionado con la estructuración, colocación, emisión o negociación de los valores serán responsables por la inexactitud o falsedad en la respectiva información entregada en desarrollo de lo previsto en los artículos 5.2.3.1.8, 5.2.3.1.14, 5.2.3.1.22, y en el inciso 1o del artículo 5.2.3.2.1 del presente decreto, así como por la omisión de divulgar cualquier información que, por su importancia, pudiera afectar la colocación de los valores, su cotización en el mercado cuando haya lugar a ello o la decisión de los inversionistas de vender, comprar o mantener dichos valores; cada uno de ellos en el ámbito respectivo y dentro del alcance propio de la asesoría prestada; en consecuencia, los asesores deberán verificar previamente la veracidad, razonabilidad y suficiencia de la correspondiente información del emisor que conozcan en razón de su labor de asesoría.
ARTÍCULO 5.2.3.2.4. GARANTÍAS.
<Artículo adicionado por el artículo 11 del Decreto 1019 de 2014. El nuevo texto es el siguiente:> Las emisiones de valores que se efectúen para hacer parte del Segundo Mercado podrán incorporar garantías otorgadas por entidades nacionales o extranjeras, en los términos y condiciones establecidos en el presente decreto para el mercado principal.
<Artículo adicionado por el artículo 11 del Decreto 1019 de 2014. El nuevo texto es el siguiente:> Los valores del extranjero que hagan parte de un esquema de Segundo Mercado o su equivalente en el país donde fueron inscritos, podrán ser colocados y/o negociados en un sistema de cotización de valores del extranjero mediante acuerdos o convenios de integración de bolsas de valores, únicamente en los casos en los que la regulación de las jurisdicciones miembros del acuerdo o convenio permitan la colocación y/o negociación de valores colombianos que hagan parte del segundo mercado en dichas jurisdicciones. Lo anterior, siempre y cuando dichos valores solo puedan ser adquiridos por inversionistas profesionales o su equivalente en la respectiva jurisdicción.
ACTUALIZACIÓN DEL REGISTRO NACIONAL DE VALORES Y EMISORES- RNVE.
ARTÍCULO 5.2.4.1.1 OBLIGACIONES GENERALES.
<Fuente original compilada: R. 400/95 Art. 1.1.2.14 adicionado por el D. 3139/06 Art. 1o.> Los emisores de valores deberán mantener permanentemente actualizado el Registro Nacional de Valores y Emisores - RNVE remitiendo a la Superintendencia Financiera de Colombia las informaciones periódicas y relevantes de que tratan los artículos 5.2.4.1.2, 5.2.4.1.3 y 5.2.4.1.5 del presente decreto, las cuales deberán igualmente ser enviadas a los sistemas de negociación en los cuales se negocien dichos valores, cuando a ello haya lugar, dentro de los mismos plazos establecidos para el envío a la Superintendencia Financiera de Colombia.
No obstante lo anterior, la Superintendencia Financiera de Colombia podrá establecer mecanismos de transmisión de la información con los cuales se entienda cumplida la obligación anterior sin tener que radicarla simultáneamente en los sistemas de negociación de valores y en la Superintendencia.
ARTÍCULO 5.2.4.1.2 INFORMACIONES DE FIN DE EJERCICIO.
<Fuente original compilada: R. 400/95 Art. 1.1.2.15 adicionado por el D. 3139/06 Art. 1o.> Los emisores de valores deberán presentar ante la Superintendencia Financiera de Colombia la información de fin de ejercicio que establezca dicha entidad para el efecto. Esta información deberá incluir cuando menos la documentación que debe someterse a consideración de la asamblea general de accionistas o del órgano que haga sus veces, dentro de los plazos que esa entidad señale.
Las entidades emisoras de valores que de acuerdo con sus estatutos sociales tengan períodos contables diferentes al anual, deberán dar cumplimiento a lo establecido en este artículo para cada período contable.
PARÁGRAFO 1. Las entidades emisoras de valores, en el caso de que sus emisiones estén avaladas o garantizadas por entidades que no sean emisores inscritos en el Registro Nacional de Valores y Emisores - RNVE, o que dejen de serlo, deberán enviar la información del garante, en los términos y condiciones que establezca la Superintendencia Financiera de Colombia, la cual deberá incluir cuando menos los estados financieros de fin de ejercicio del garante.
PARÁGRAFO 2. La Superintendencia Financiera de Colombia podrá establecer requerimientos y plazos de suministro de información de fin de ejercicio para las entidades públicas colombianas, las entidades extranjeras, los organismos multilaterales de crédito, los gobiernos y las entidades públicas extranjeras, y los emisores de bonos pensionales, así como en los casos de inscripción temporal, diferentes a los que señale para el resto de emisores.
PARÁGRAFO 3. <Parágrafo adicionado por el artículo 12 del Decreto 1019 de 2014. El nuevo texto es el siguiente:> Para efectos de actualización del Registro Nacional de Valores y Emisores (RNVE), los emisores que hagan parte del Segundo Mercado, solo estarán obligados a dar cumplimiento a las obligaciones establecidas en el artículo 5.2.3.1.9 de este decreto, salvo que se trate de emisores que hayan emitido valores en el mercado principal, para lo cual deberán seguir cumpliendo con las obligaciones establecidas en el presente Título, además de aquellas especiales para la emisión realizada en el Segundo Mercado.
ARTÍCULO 5.2.4.1.3 INFORMACIÓN DE PERÍODOS INTERMEDIOS.
<Fuente original compilada: R. 400/95 Art. 1.1.2.16 adicionado por el D. 3139/06 Art. 1o.> Las entidades emisoras inscritas en el RNVE deberán remitir a la Superintendencia Financiera de Colombia los estados financieros de períodos intermedios y demás información que para el efecto establezca la misma, con la periodicidad y en los términos y condiciones que ella determine.
Los estados financieros de períodos intermedios deberán elaborarse como mínimo cada tres (3) meses.
PARÁGRAFO 1. La Superintendencia Financiera de Colombia podrá establecer requerimientos y plazos de suministro de información de períodos intermedios para las entidades públicas colombianas, las entidades extranjeras, los organismos multilaterales de crédito, los gobiernos y las entidades públicas extranjeras, las entidades que hagan parte del Segundo Mercado y los emisores de bonos pensionales, así como en los casos de inscripción temporal, diferentes a los que señale para el resto de emisores, o excepcionarlos de tal obligación.
PARÁGRAFO 2. Las entidades emisoras de bonos de riesgo inscritos en el Registro Nacional de Valores y Emisores - RNVE deberán, además de cumplir con la información de períodos intermedios exigida en el presente artículo, presentar trimestralmente a la Superintendencia Financiera de Colombia un informe sobre la evolución del acuerdo de reestructuración, el cual deberá estar suscrito por el representante legal, el revisor fiscal y el promotor del acuerdo. El contenido del citado informe será el que señale la Superintendencia Financiera de Colombia.
<Fuente original compilada: R. 400/95 Art. 1.1.2.17 adicionado por el D. 3139/06 Art. 1o.> Las entidades vigiladas por la Superintendencia Financiera de Colombia estarán exceptuadas de la presentación de las informaciones de fin de ejercicio y de períodos intermedios de que tratan los dos artículos anteriores, las cuales deberán cumplir con las obligaciones propias de su actividad en la forma y con la periodicidad que se establezca para el efecto. Los estados financieros remitidos a la Superintendencia Financiera de Colombia por parte de las entidades vigiladas por esta harán parte del SIMEV y deberá estar presentada a nivel de cuenta.
ARTÍCULO 5.2.4.1.5 INFORMACIÓN RELEVANTE.
<Fuente original compilada: R. 400/95 Art. 1.1.2.18 adicionado por el D. 3139/06 Art. 1o.> Todo emisor de valores deberá divulgar, en forma veraz, clara, suficiente y oportuna al mercado, a través de la Superintendencia Financiera de Colombia, en la forma establecida en este Libro, toda situación relacionada con él o su emisión que habría sido tenida en cuenta por un experto prudente y diligente al comprar, vender o conservar los valores del emisor o al momento de ejercer los derechos políticos inherentes a tales valores.
En tal sentido, el emisor deberá divulgar al mercado los hechos que se relacionan a continuación:
a) Situación financiera y contable:
1. Operaciones o actos que originen variaciones iguales o superiores al cinco por ciento (5%) en el valor total de los activos, pasivos, ingresos operacionales, utilidad operacional o utilidad antes de impuestos.
2. Aumentos superiores al diez por ciento (10%) en el pasivo corriente.
3. Aumento o disminución de capital.
4. Variación en el número de acciones en circulación.
5. La aprobación de distribución de dividendos por parte de la asamblea general de accionistas.
6. Enajenación o adquisición a cualquier título de bienes, cuyo valor sea igual o superior al cinco por ciento (5%) del respectivo grupo del activo. Al comunicar esta información deberán especificarse los bienes que se van a enajenar o adquirir, su valor comercial y las condiciones bajo las cuales se pretende hacer la operación.
7. Cambios relevantes en las tasas de interés, plazos u otras condiciones de los créditos obtenidos o prestamos otorgados, así como la capitalización de acreencias. En todo caso, se considerará que los cambios son relevantes cuando la cuantía de las acreencias o deudas sea igual o superior al cinco por ciento (5%) del respectivo grupo del activo o pasivo, según sea el caso. Lo previsto en el presente numeral no le es aplicable a los establecimientos de crédito vigilados por la Superintendencia Financiera de Colombia.
8. Modificación de las cifras contenidas en los estados financieros trasmitidos previamente al Registro Nacional de Valores y Emisores - RNVE, ya sea por orden de autoridad competente, por decisión de la asamblea de accionistas u órgano que haga sus veces o de la administración, o porque se haya detectado que la información transmitida adolece de errores aritméticos, contables o de cualquier otro tipo. Tal hecho deberá ser comunicado en forma inmediata, indicando la naturaleza del ajuste, su cuantía, causa y principales cambios que origina en los estados financieros presentados anteriormente por el emisor. Las entidades emisoras de títulos inscritos en el Registro Nacional de Valores y Emisores - RNVE que reporten la información financiera directamente a otra autoridad, en todo caso deberán informar a la Superintendencia Financiera de Colombia las modificaciones a los estados financieros que se realicen con posterioridad al envío de dicha información, indicando la naturaleza del ajuste, su cuantía, causa y principales cambios que origina en los estados financieros presentados anteriormente por el emisor.
9. Inversiones en el capital de sociedades, nacionales o extranjeras, que conlleven a una relación de subordinación, sea que la inversión se vaya a hacer directamente, a través de sociedades filiales o subsidiarias o por medio de patrimonios autónomos. En estos casos deberá indicarse cuál es el valor de la inversión, el nombre del receptor, la actividad económica, su nacionalidad y la participación con que quedará la inversora en la sociedad receptora. Igualmente deberá informarse la enajenación de tales inversiones.
10. Inversiones en el capital de sociedades, temporales o permanentes, diferentes de aquellas que conlleven a relación de subordinación, que representen el cinco por ciento (5%) o más del grupo del activo “Inversiones”.
11. Cambios en la clasificación contable de las inversiones.
12. Cambios en las políticas contables. En este caso deberá informarse el órgano que tomó la respectiva decisión, la fecha a partir de la cual surtirá efectos el cambio, las razones tenidas en cuenta para ello y los efectos que se espera tendrán dichos cambios en los estados financieros.
13. Constitución de gravámenes hipotecarios, prendarios o cualquier otra garantía real, o limitación de dominio, sobre bienes que representen el cinco por ciento (5%) o más del respectivo grupo del activo. En este caso deberá especificarse el bien gravado, su valor comercial, la naturaleza y cuantía de la obligación garantizada, si se trata de una garantía abierta, si la misma tiene límite de cuantía y si la obligación amparada es propia o de terceros.
14. Otorgamiento o sustitución de avales, fianzas o cualquier otra garantía personal, cuyo valor sea igual o superior al uno por ciento (1%) de los activos totales. En este caso deberá indicarse la identidad de las personas avaladas, afianzadas o garantizadas, su vínculo con el emisor, el monto y propósito de las respectivas obligaciones y la relación de la garantía con el objeto social principal del avalista, fiador o garante.
15. Condonación parcial o total de deudas cuyo valor sea igual o superior al cinco por ciento (5%) del grupo respectivo del activo o pasivo, según sea el caso. En este caso deberá indicarse la cuantía de las deudas que se condonan, discriminando capital e intereses, la identidad del acreedor o deudor, su vínculo con el emisor, la razón de ser de dicha condonación y su impacto en la situación financiera.
16. Daciones en pago cuya cuantía sea igual o superior al cinco por ciento (5%) del grupo respectivo del activo o pasivo, según sea el caso. En este caso deberá indicarse la cuantía de las deudas que se pagan a través de la dación, discriminando capital e intereses, el bien que se entrega y su valor comercial, la identidad del acreedor o deudor, su vínculo con el emisor, la razón de ser de dicha dación y su impacto en la situación financiera.
17. Donaciones que representen un valor igual o superior al cinco por ciento (5%) del grupo respectivo del activo o pasivo, según sea el caso. En este caso deberá indicarse el bien objeto de la donación, su valor comercial, la identidad del donante o donatario, su vínculo con el emisor, la razón de ser de dicha donación y el efecto tributario o de cualquier otra naturaleza que la donación tendrá para el emisor.
18. Permutas de bienes que representen un valor igual o superior al cinco por ciento (5%) del respectivo grupo del activo. En este caso deberá indicarse el bien objeto de la permuta, su valor comercial, identificación del bien recibido a cambio y su valor comercial, nombre de la persona o entidad con quién se realizó la permuta, su vínculo con el emisor y el efecto que se espera tendrá la permuta sobre la situación financiera del emisor o sus negocios.
19. Aportes en especie a sociedades de bienes que representen un valor igual o superior al cinco por ciento (5%) del respectivo grupo del activo. En este caso deberá indicarse el bien o bienes objeto del aporte, su valor comercial, nombre de la sociedad receptora del aporte, su vínculo con el emisor, el número de acciones recibidas por el aporte, la participación que dichas acciones representan dentro del capital de la sociedad receptora del aporte, el valor intrínseco de las acciones de la sociedad receptora, antes y después del aporte, y el efecto que dicha operación tendrá en los estados financieros del aportante, en términos de utilidad o pérdida originada en la enajenación de los activos;
b) Situación jurídica:
1. Convocatorias a reuniones de la asamblea de accionistas u órgano equivalente.
Deberá informarse el orden del día si es del caso, la fecha, lugar y la hora en que se realizará la reunión.
2. Decisiones relevantes de la asamblea de accionistas y junta directiva u órganos equivalentes.
3. Nombramiento y remoción, así como renuncias, de los administradores o del revisor fiscal.
4. Reformas estatutarias. En estos casos deberá informarse, inmediatamente se produzcan cada uno de los siguientes hechos: la decisión de convocar al máximo órgano social tomada por la junta directiva o el órgano competente, la convocatoria al máximo órgano social, la decisión tomada por el mismo, la solemnización de la reforma y la inscripción en el registro mercantil.
5. Cancelación voluntaria de la inscripción de los valores en el Registro Nacional de Valores y Emisores - RNVE o en bolsa de valores.
6. Iniciación de procesos judiciales o administrativos relevantes, una vez la demanda o requerimiento haya sido contestada por el emisor, y las decisiones que se dicten en ellos y que puedan afectar a la entidad de manera significativa, aun cuando no se encuentren en firme.
7. Imposición de sanciones al emisor, sus administradores o revisor fiscal, por parte de organismos de control del Estado, aun cuando no se encuentren en firme.
8. Cambios en la situación de control del emisor, de conformidad con lo previsto en los artículos 26 y 27 de la Ley 222 de 1995, ya sea que se trate de control exclusivo o de control conjunto.
9. Cambios en la composición accionaria, iguales o superiores al cinco por ciento (5%) de las acciones en circulación de la sociedad, ya sea directa o indirectamente, a través de personas naturales o jurídicas con las cuales se conforme un mismo beneficiario real.
10. Adquisiciones y enajenaciones de acciones por parte de los administradores, ya sea directa o indirectamente, a través de sociedades de familia, de cónyuges, de familiares hasta el cuarto grado de consanguinidad, segundo de afinidad o único civil o, en general, a través de personas naturales o jurídicas con las cuales configuren un mismo beneficiario real. En estos casos deberá informarse si la autorización respectiva fue otorgada por la junta directiva o la asamblea de accionistas, la mayoría con que dicha decisión fue tomada y las condiciones en que fue autorizada la respectiva adquisición o enajenación, de conformidad con lo previsto en el artículo 404 del Código de Comercio.
11. Readquisición de acciones y enajenación posterior. En estos casos deberá divulgarse la autorización impartida por el órgano social competente, precisando las condiciones en que se realizará la readquisición o enajenación de acciones readquiridas, el precio de readquisición o enajenación, la reducción o aumento que como resultado del proceso se produzca en el número de acciones en circulación y, en el caso de sociedades inscritas, los supuestos, metodología y resultados del estudio realizado de conformidad con procedimientos reconocidos técnicamente para efectos de fijar el precio de readquisición, así como los mecanismos adoptados para garantizar igualdad de condiciones a todos los accionistas en la readquisición o enajenación.
12. Acuerdos entre accionistas. En estos casos, deberá informarse el contenido completo del acuerdo, tan pronto este sea depositado en la sociedad emisora. Tratándose de sociedades inscritas, se estará a lo dispuesto por el artículo 43 de la Ley 964 de 2005.
13. Celebración, modificación o terminación de contratos que establezcan restricciones relevantes para el emisor, como la prohibición de distribuir utilidades, o cuyo incumplimiento constituya causal de aceleración de créditos o un evento de incumplimiento del respectivo contrato.
14. Otorgamiento o cancelación de concesiones o licencias relevantes por parte de entidades estatales, así como su terminación.
15. Ejercicio, por parte de entidades estatales, de facultades concedidas por cláusulas excepcionales o exorbitantes, así como la imposición de sanciones en el marco de la celebración, ejecución o liquidación de contratos estatales, aún cuando las respectivas decisiones administrativas no se encuentren en firme.
c) Situación comercial y laboral:
1. Cambios en la actividad principal actual, aunque no se produzca una reforma estatutaria que modifique el objeto social. Para el efecto, se considerará que se presentó un cambio en la actividad principal cuando la mayor cantidad de ingresos en un ejercicio determinado corresponda a una cuenta diferente a aquella en la cual se registró el mayor valor de ingresos de la sociedad durante el ejercicio inmediatamente anterior, según el catálogo de cuentas establecido en el artículo 14 del Decreto 2650 de 1993, o las normas que lo sustituyan o adicionen, para la clase 4, cuentas 4105 a 4170.
2. Reorganizaciones empresariales tales como fusiones, transformaciones, adquisiciones, escisiones, cesión de activos pasivos y contratos, o segregaciones. En estos casos deberá informarse cada uno de los hechos relevantes para la realización del respectivo proceso, desde el momento en que se presentan a consideración de la junta directiva hasta su culminación, inmediatamente se produzcan.
3. Celebración, modificación o terminación de contratos relevantes. En este caso deberá informarse el órgano que autorizó el contrato, las partes, el objeto, la cuantía, los plazos, los efectos financieros de la operación y demás información relevante. En todo caso, se entenderá que un contrato es relevante cuando su cuantía sea igual o superior al cinco por ciento (5%) de los ingresos operacionales, costo de ventas o gastos de administración y ventas, según corresponda, obtenidos en el ejercicio inmediatamente anterior a la celebración, modificación o terminación del contrato.
4. Celebración, modificación o terminación de contratos en los que sea parte el emisor, en forma directa o indirecta, con su matriz, sus subordinadas o las subordinadas de la matriz, cuando el monto sea igual o superior al uno por ciento (1%) de los ingresos operacionales, costo de ventas o gastos de administración y ventas, según corresponda, obtenidos en el ejercicio inmediatamente anterior a la celebración, modificación o terminación del contrato. En este caso deberá informarse el órgano que autorizó el contrato, las partes y su vínculo con el emisor, el objeto, la cuantía, los plazos, los efectos financieros de la operación, la relación del contrato con el objeto social principal del emisor y demás información relevante.
5. Introducción de nuevos productos y servicios o su retiro del mercado cuando ello resulte relevante en la estrategia comercial del emisor.
6. Cierre temporal o permanente de plantas de producción o de uno o varios establecimientos de comercio que en su conjunto representen más del diez por ciento (10%) de la producción o las ventas de la sociedad, según corresponda.
7. Otorgamiento, cancelación u oposición a derechos de propiedad industrial tales como marcas, patentes, licencias o permisos de explotación u otros desarrollos, cuando ello resulte relevante.
8. Celebración o denuncia de convenciones y pactos colectivos de trabajo, iniciación o terminación de huelgas, expedición de laudos arbitrales para dirimir un conflicto colectivo de trabajo, despidos colectivos o, en general, cualquier situación laboral relevante.
d) Situaciones de crisis empresarial:
1. Incumplimiento por un período igual o superior a sesenta (60) días de dos (2) o más obligaciones o el temor razonable de llegar a dicho incumplimiento, siempre y cuando tales obligaciones representen no menos del cinco por ciento (5%) del pasivo corriente de la entidad.
2. Procesos concursales tales como reestructuración empresarial, concordato, liquidación forzosa administrativa, liquidación obligatoria o voluntaria o cualquier evento que pueda conducir a alterar la continuidad de la entidad o llevarla a su disolución y liquidación.
3. Tomas de posesión.
e) Emisión de valores:
1. La emisión de valores en Colombia y en el extranjero, y los hechos relacionados con las emisiones de valores en circulación, incluyendo, entre otros: la autorización del órgano competente; cambios en el valor nominal de las acciones; división de acciones; prepagos o redenciones anticipadas; cambios en los derechos de los tenedores de los valores; modificaciones a las calificaciones de riesgo del respectivo valor; modificaciones en los plazos u otras condiciones de los títulos; cancelación de la inscripción de los valores en bolsa o en el Registro Nacional de Valores y Emisores - RNVE y demás eventos relevantes relacionados con la emisión respectiva.
2. Cualquier atraso en el cumplimiento de las obligaciones resultantes de la emisión de títulos de deuda inscritos en el Registro Nacional de Valores y Emisores - RNVE indicando el valor en mora, si corresponde a capital o a intereses, el vencimiento del plazo para el pago oportuno, la causa del retraso, las medidas adoptadas para atender dichos compromisos y la fecha en que se realizará el pago correspondiente.
3. Convocatoria a asambleas de tenedores de títulos. Cuando el emisor no haya participado en la asamblea, las decisiones deberán ser informadas como información relevante por el representante legal de los tenedores.
4. Decisiones tomadas por la asamblea de tenedores de títulos.
5. Renuncia o remoción del representante legal de tenedores de títulos, así como la designación de su sustituto.
f) Procesos de titularización: Adicionalmente a las situaciones relacionadas en los numerales anteriores que les sean aplicables, los agentes de manejo de procesos de titularización deberán divulgar al mercado como información relevante lo siguiente:
1. Disminución o aumento del valor del patrimonio autónomo en forma relevante, por razones como el detrimento o valorización de los bienes que lo integran, modificaciones en su valor de mercado, hechos que puedan afectar las condiciones de su comercialización, hurto, entre otros.
2. Incumplimientos contractuales de cualquiera de los intervinientes en el proceso de titularización. En estos casos deberá informarse las acciones que se adelantarán para afrontar el incumplimiento, tales como la utilización de garantías o el inicio de acciones legales.
3. Celebración, modificación, terminación o no renovación de contratos relacionados con el proceso de titularización.
4. Modificaciones en las condiciones de los títulos.
5. En los casos de titularización de cartera, deberá informarse cuando el índice de la cartera vencida que integre el patrimonio se incremente de manera relevante con relación al último dato que se haya suministrado.
PARÁGRAFO 1. El emisor estará obligado a revelar las situaciones materiales que se refieran al garante de la emisión, previstas en los numerales 1 y 2 del literal a); 2 y 8 del literal b); 1, 2, 6 y 8 del literal c); el literal d) y los numerales 1 y 2 del literal e) del presente artículo. La garantía deberá prever la obligación del garante de suministrar al emisor oportunamente la información correspondiente.
PARÁGRAFO 2. Para efectos de medir las variaciones o participaciones en las cuentas del balance general a que se refiere el presente artículo, se tomará como base el saldo que presentó la clase, grupo o cuenta correspondiente, según la clasificación establecida en el Plan Único de Cuentas que rige para cada sector económico, en los estados financieros más recientes que se hayan enviado al Registro Nacional de Valores y Emisores - RNVE. Para efectos de medir las variaciones o participaciones en las cuentas del estado de resultados a que se refiere el presente artículo, se tomará como base el saldo que presentó la clase, grupo o cuenta correspondiente, en el estado de resultados al cierre del ejercicio social inmediatamente anterior.
PARÁGRAFO 3. El controlante del emisor estará obligado a divulgar, en los términos del presente Libro, y por medio de la entidad emisora subordinada, cualquier información relevante que afecte o pueda afectar los valores emitidos por ésta.
Para los efectos previstos en el presente artículo se entenderá que existe control cuando la situación de subordinación haya sido inscrita en el registro mercantil correspondiente.
PARÁGRAFO 4. Cuando el controlante, las subordinadas o los garantes del emisor sean, a su turno, emisores de valores inscritos en el Registro Nacional de Valores y Emisores - RNVE, cada uno de los emisores deberá cumplir la obligación de divulgar información relevante en los términos señalados en el presente artículo.
PARÁGRAFO 5. En todo caso, la Superintendencia Financiera de Colombia podrá requerir a cualquier persona la información que estime pertinente para asegurar la transparencia en el mercado y preservar los derechos de los inversionistas y ordenar su divulgación.
PARÁGRAFO 6. Para el caso de los fondos o carteras colectivas<1> deberá tenerse en cuenta la naturaleza jurídica de las mismas, a efectos de evaluar la obligación de revelar la información relevante de que trata el presente artículo.
ARTÍCULO 5.2.4.1.6 FORMA Y OPORTUNIDAD DE DIVULGAR LA INFORMACIÓN RELEVANTE.
<Fuente original compilada: R. 400/95 Art. 1.1.2.19 adicionado por el D. 3139/06 Art. 1o.> La información relevante deberá ser divulgada a través de la página web de la Superintendencia Financiera de Colombia, de conformidad con el procedimiento que establezca esta entidad, inmediatamente se haya producido la situación o una vez el emisor haya tenido conocimiento de esta, cuando esta se hubiere originado en un tercero.
En todo caso, la información deberá contener una descripción detallada de la situación relevante.
PARÁGRAFO. Ningún emisor podrá divulgar a través de medios masivos de comunicación información sobre situaciones objeto de información relevante, sin que previa o concomitantemente tal información se haya revelado al mercado por los mecanismos propios de divulgación de la información relevante.
Así mismo, de ser dado a conocer cualquier hecho susceptible de ser comunicado como relevante por un medio masivo de comunicación, el emisor deberá informar al mercado sobre su veracidad por los medios dispuestos para el suministro de información relevante.
ARTÍCULO 5.2.4.1.7 AUTORIZACIÓN ESPECIAL PARA NO DIVULGAR INFORMACIÓN RELEVANTE.
<Fuente original compilada: R. 400/95 Art. 1.1.2.20 adicionado por el D. 3139/06 Art. 1o.> En la oportunidad prevista en el artículo anterior, el responsable del envío de la información relevante podrá solicitar a la Superintendencia Financiera de Colombia autorización para que un evento de información relevante no sea revelado, por considerar que su divulgación puede causarle un perjuicio al emisor o puede poner en peligro la estabilidad del mercado de valores.
La solicitud deberá cumplir con los siguientes requisitos:
a) Una descripción clara y detallada del hecho respecto del cual se solicita la no publicación;
b) Justificación de las razones por las cuales se solicita la no publicación;
c) Lista completa de las personas que conocen la información que se pretende no publicar, incluyendo también a personas no vinculadas al emisor. La lista deberá estar permanente actualizada y deberá contener, como mínimo, el nombre completo y documento de identificación de cada persona, la fecha en que cada una de ellas tuvo conocimiento de la información, así como la constancia sobre que las personas relacionadas conocen su inclusión en la lista y las consecuencias legales derivadas de la violación del deber de confidencialidad;
d) Plazo durante el cual se solicita la no publicación de la información;
e) Medidas adoptadas por el emisor para garantizar que la información respecto de la cual se solicita la no publicación sea conocida exclusivamente por las personas incluidas en la lista a que se refiere el literal 3 del presente artículo, así como aquellas medidas tendientes a evitar su divulgación y uso indebido.
La Superintendencia Financiera de Colombia evaluará la razonabilidad de la solicitud y, en caso de autorizar la no divulgación de la información, fijará un plazo máximo para ello. Cuando la solicitud sea negada, el emisor deberá divulgar la información de forma inmediata, en los términos del presente capítulo.
Antes del vencimiento del plazo concedido, el emisor podrá solicitar prórroga del mismo, en caso de subsistir los supuestos de hecho que dieron lugar a la autorización. El plazo podrá prorrogarse, cuantas veces sea necesario, por los términos que en cada caso fije la Superintendencia Financiera de Colombia.
Se entenderá obligatoria la publicación de la información cuando haya transcurrido el plazo concedido sin que se haya solicitado una prórroga, o cuando la misma haya sido solicitada pero no haya sido otorgada, o cuando la respectiva información, o cualquier aspecto relevante de la misma, se haga pública por cualquier medio. En estos casos el emisor deberá divulgarla al mercado, en los términos previstos en el presente decreto.
Si antes del vencimiento del plazo otorgado desaparecieren las razones que justifican la no divulgación de la información, el emisor deberá proceder a la divulgación de la misma en los términos señalados en el presente Libre.
PARÁGRAFO 1. La información respecto de la cual se solicita su no divulgación se considerará privilegiada.
PARÁGRAFO 2. La Superintendencia Financiera de Colombia deberá establecer un procedimiento interno para garantizar el mantenimiento del carácter confidencial de la información por parte de los funcionarios de la entidad.
PARÁGRAFO 3. Los eventos relevantes de negociaciones en curso no tendrán que divulgarse al mercado, cuando el desarrollo normal de esas negociaciones pueda verse afectado por la revelación pública de dicha información, siempre y cuando el emisor pueda garantizar la confidencialidad de la misma. En todo caso, esta información deberá revelarse de manera inmediata a la Superintendencia Financiera de Colombia, en los términos del presente artículo, la cual podrá ordenar la publicación de aquella información que resulte necesaria para asegurar el funcionamiento ordenado del mercado, cuando el comportamiento del valor sea inusual o no pueda explicarse razonablemente con la información pública disponible.
ARTÍCULO 5.2.4.1.8 RESPONSABILIDAD POR EL ENVÍO DE INFORMACIÓN.
<Fuente original compilada: R. 400/95 Art. 1.1.2.21 adicionado por el D. 3139/06 Art. 1o.> La responsabilidad por el envío de la información de que trata el presente Libro corresponde al representante legal de la entidad emisora. En el evento de procesos de titularización, dicha obligación recaerá en el representante legal del agente de manejo o de la sociedad titularizadora. Así mismo, en el caso de las carteras colectivas<1> que sean emisores de valores, la obligación estará en cabeza del representante legal del administrador.
En los casos en los que exista pluralidad de representantes legales, deberá designarse a uno de estos como funcionario responsable por el suministro de la información. Dicha designación, así como cualquier modificación temporal o definitiva de la misma, deberá ser comunicada al Registro Nacional de Valores y Emisores - RNVE, en la forma establecida para la divulgación de información relevante.
El representante legal de la entidad emisora o del agente de manejo, o de la sociedad titularizadora o del administrador de la cartera colectiva, deberá nombrar un agente de cumplimiento quien será el encargado de transmitir la información relevante. Corresponde al representante legal tomar las medidas necesarias para que el agente de cumplimiento pueda cumplir cabalmente su función. Lo previsto en este inciso se entenderá sin perjuicio de la responsabilidad que asiste al representante legal de la entidad emisora de conformidad con lo dispuesto en el presente artículo.
ACTUALIZACIÓN DE INFORMACIÓN AL REGISTRO NACIONAL DE VALORES Y EMISORES.
<Fuente original compilada: R. 400/95 Art. 1.1.2.14.1 adicionado por el D. 1340/08 Art. 5o.> Con el objeto de dar cumplimiento a las obligaciones de actualizar la información prevista en el artículo 5.2.4.1.3 del presente decreto y de divulgar la información de carácter relevante prevista en el artículo 5.2.4.1.5 también del presente decreto, tratándose de certificados de depósito de mercancías y de certificados fiduciarios transados en las bolsas de productos agropecuarios, agroindustriales o de otros commodities, se aplicará el siguiente régimen:
1. Actualización de Información. Anualmente las bolsas en que se encuentren inscritos certificados de depósito de mercancías y certificados fiduciarios enviarán a la Superintendencia Financiera de Colombia la siguiente información:
a) El monto total de certificados de depósito de mercancías y certificados fiduciarios que hayan sido negociados en el mercado en el año inmediatamente anterior;
b) Una relación pormenorizada de los productos y commodities con cargo a los cuales se expidieron los certificados de depósito de mercancías y certificados fiduciarios, así como las calidades de los mismos;
c) El estado actual de los productos y commodities con cargo a los cuales se expidieron los certificados de depósito de mercancías y los certificados fiduciarios.
2. Información Relevante. Las sociedades fiduciarias voceras de los patrimonios autónomos con cargo a los cuales se emiten los certificados fiduciarios, deberán reportar a la bolsa y al administrador del sistema de compensación y liquidación respectivos, toda la información de carácter relevante acerca de cualquier hecho o acto que afecte a los citados patrimonios autónomos, o a los seguros que amparen los productos subyacentes.
El mencionado reporte será efectuado en un término no superior a 2 días comunes contados a partir de la fecha de la ocurrencia del hecho o acto o de que se tuvo conocimiento de los mismos.
Tratándose de certificados de depósito de mercancías, en cumplimiento del deber de informar a los tenedores de tales títulos respecto de los riesgos que puedan afectar a las mercancías depositadas, previsto en el artículo 1189 del Código de Comercio, el almacén general de depósito deberá informar a la bolsa y al administrador del sistema de compensación y liquidación respectivos, cuando las mercancías corran el riesgo de deterioro o de causar daños a otros efectos depositados.
Los reportes a que se refiere el presente artículo tienen el carácter de información relevante, por lo cual, inmediatamente sean recibidos, deberán ser divulgados en la página web y en el boletín de las bolsas de productos agropecuarios, agroindustriales o de otros commodities.
CANCELACIÓN DE LA INSCRIPCIÓN EN EL REGISTRO NACIONAL DE VALORES Y EMISORES-RNVE.
CANCELACIÓN VOLUNTARIA.
ARTÍCULO 5.2.6.1.1 REGLA GENERAL.
<Fuente original compilada: R. 400/95 Art. 1.1.2.22 adicionado por el D. 3139/06 Art. 1o.> Las entidades emisoras de valores no podrán cancelar voluntariamente en los sistemas de negociación ni en el RNVE los títulos de renta fija, mientras tales valores se encuentren en circulación.
PARÁGRAFO. La cancelación de la inscripción del emisor procederá junto con la cancelación de todas las emisiones en el RNVE. Para efectos de la cancelación de los valores en el RNVE será necesaria su previa cancelación en los sistemas de negociación en los cuales se encuentren inscritos.
<Fuente original compilada: R. 400/95 Art. 1.1.2.23 adicionado por el D. 3139/06 Art. 1o.> Los emisores que tengan sus acciones inscritas en bolsa de valores podrán cancelar dicha inscripción por decisión de la asamblea general de accionistas, tomada por mayoría de los votos presentes en la respectiva reunión.
En tal caso, los accionistas que aprobaron la cancelación deberán promover una oferta pública de adquisición sobre las acciones de propiedad de los accionistas ausentes o disidentes de dicha reunión, o sus causahabientes, y sobre los bonos convertibles en acciones en circulación de la sociedad.
La oferta pública de adquisición deberá formularse dentro de los tres (3) meses siguientes a la fecha de la asamblea en la cual se tomó la decisión de cancelación. En el evento en que la oferta no sea formulada en dicho término quedará sin efecto la decisión tomada por la asamblea general de accionistas.
PARÁGRAFO 1. Para efectos de adelantar la oferta pública de adquisición de que trata el presente artículo deberá darse cumplimiento, en todo aquello que resulte pertinente, a lo establecido en las normas generales sobre ofertas públicas de adquisición.
PARÁGRAFO 2. También deberá darse cumplimiento a las disposiciones sobre oferta pública de adquisición cuando, de conformidad con los reglamentos de las bolsas de valores o de los sistemas de negociación, deba adelantarse dicha oferta por el incumplimiento de los requisitos de listado previstos en tales reglamentos.
PARÁGRAFO 3. Las acciones pertenecientes a los accionistas que votaron a favor de la cancelación, en caso de ser enajenadas, no transmitirán al adquirente el derecho de concurrir a la oferta pública de adquisición a que se refiere el presente artículo. Los accionistas que votaron a favor de la cancelación no podrán negociar sus acciones en la bolsa y, en caso de realizarlo por fuera de ella, en los supuestos permitidos por la regulación, deberán informar de dicha circunstancia a los potenciales adquirentes. En todo caso, los accionistas que votaron a favor de la cancelación serán responsables por los perjuicios que causen a los adquirentes de buena fe que no puedan concurrir a la oferta pública de adquisición.
PARÁGRAFO 4. Para efectos de la cancelación prevista en este artículo, las entidades emisoras deberán observar además de lo previsto en este decreto, los requerimientos exigidos por la bolsa de valores.
PARÁGRAFO 5. <Parágrafo adicionado por el artículo 1 del Decreto 2826 de 2010. El nuevo texto es el siguiente:> Cuando se trate de la cancelación de la inscripción de las acciones o bonos obligatoriamente convertibles en acciones de un emisor extranjero en el RNVE y en una bolsa de valores, no será necesaria la realización de la oferta pública de adquisición de que trata el inciso 2o del presente artículo, siempre que dichos valores se encuentren, al momento de la cancelación, listados en una bolsa de valores o un sistema de negociación de valores internacionalmente reconocido, a juicio de la Superintendencia Financiera de Colombia.
Tal forma de cancelación deberá ser autorizada por la Superintendencia Financiera de Colombia, lo cual será divulgado por el emisor al público local, con la periodicidad y contenido que defina dicha Superintendencia. En todo caso, la inscripción se deberá mantener vigente en el Registro Nacional de Valores y Emisores – RNVE, y la bolsa de valores o en el sistema de negociación de valores colombiano, por lo menos, durante los seis (6) meses siguientes a la fecha en que suceda la referida divulgación.
Como requisito para la autorización mencionada, el emisor deberá comprometerse a mantener al menos por seis (6) meses, contados a partir del vencimiento del término anterior, un mecanismo que permita a los inversionistas locales enajenar sus valores en la bolsa de valores o sistema de negociación de valores internacionalmente reconocido en el cual se encuentre listado.
ARTÍCULO 5.2.6.1.3 PUBLICIDAD DE LA INTENCIÓN DE CANCELACIÓN DE LA INSCRIPCIÓN DE ACCIONES INSCRITAS EN BOLSA. <Fuente original compilada: R. 400/95 Art. 1.1.2.24 adicionado por el D. 3139/06 Art. 1o.>
<Inciso modificado por el artículo 13 del Decreto 1351 de 2019. El nuevo texto es el siguiente:> La sociedad que pretenda cancelar la inscripción de sus acciones en el Registro Nacional de Valores y Emisores (RNVE) y en bolsa de valores deberá informarlo mediante aviso destacado en las páginas económicas de dos (2) diarios impresos o electrónicos de amplia circulación nacional, en el cual se deberá indicar la fecha, hora y lugar de la asamblea de accionistas que decidirá sobre la misma. El aviso deberá publicarse con una antelación no menor a quince (15) días a la fecha de celebración de la asamblea.
En la convocatoria de la asamblea de accionistas deberá expresarse claramente como orden del día la decisión sobre cancelación de la inscripción de las acciones en el Registro Nacional de Valores y Emisores - RNVE y en bolsa de valores. Así mismo deberá indicarse la advertencia sobre el derecho de retiro que pueden ejercer los socios ausentes o disidentes y sobre la obligación que tienen los accionistas que voten a favor de la cancelación de realizar una oferta pública de adquisición, en los términos del presente decreto. Cuando la convocatoria se realice mediante aviso publicado en las páginas económicas de un diario de amplia circulación nacional no será necesario publicar el aviso de intención que trata el inciso anterior del presente artículo.
ARTÍCULO 5.2.6.1.4 PRECIO DE LA OFERTA PÚBLICA DE ADQUISICIÓN.
<Fuente original compilada: R. 400/95 Art. 1.1.2.25 adicionado por el D. 3139/06 Art. 1o.> El precio de la oferta pública de adquisición que deberán formular los accionistas que votaron a favor de la cancelación de la inscripción en el Registro Nacional de Valores y Emisores - RNVE y en bolsa de valores deberá ser determinado por una entidad avaluadora independiente cuya idoneidad e independencia serán calificadas previamente y en cada oportunidad por la Superintendencia Financiera de Colombia. El costo del avalúo estará a cargo de la sociedad emisora.
Cualquier accionista que hubiere votado a favor de la cancelación, y que tenga la intención de realizar la oferta pública de adquisición deberá, dentro de los treinta (30) días calendario siguientes a la fecha de la asamblea en la cual se tomó la decisión de cancelación, someter a consideración de la Superintendencia Financiera de Colombia la entidad avaluadora que determinará el precio.
En el evento en que varios accionistas manifiesten su interés en realizar la oferta dentro del plazo mencionado, todos ellos estarán obligados a efectuarla a prorrata de su participación. Si se llegaren a someter a consideración de la Superintendencia Financiera de Colombia varios avaluadores, se concederá un plazo de cinco (5) días hábiles para que los accionistas interesados sometan a consideración de la Superintendencia Financiera de Colombia una sola entidad avaluadora. En caso que los accionistas no logren proponer un solo avaluador, la Superintendencia Financiera de Colombia lo designará de los postulados por aquellos.
En caso que la Superintendencia objete el o los avaluadores presentados, los accionistas tendrán un plazo de diez (10) días calendario para presentar un nuevo avaluador. La objeción deberá ser motivada.
Si vencidos los treinta (30) días calendario a que se refiere el presente artículo ningún accionista hubiere manifestado su intención de realizar la oferta, todos los accionistas que votaron a favor de la cancelación estarán obligados a realizarla a prorrata de su participación, para lo cual tendrán un plazo de diez (10) días calendario para someter a consideración de la Superintendencia Financiera de Colombia un avaluador.
ARTÍCULO 5.2.6.1.5 PUBLICACIONES.
<Artículo modificado por el artículo 14 del Decreto 1351 de 2019. El nuevo texto es el siguiente:> Dentro de los cinco (5) días siguientes a la notificación de la decisión de la bolsa de valores de cancelar la inscripción de una acción, el emisor deberá publicar un aviso destacado en dos (2) diarios impresos o electrónicos de amplia circulación nacional, informando al público sobre tal decisión. Copia del mismo deberá presentarse a la Superintendencia Financiera de Colombia el día siguiente a su publicación.
<Fuente original compilada: R. 400/95 Art. 1.1.2.27 adicionado por el D. 3139/06 Art. 1o.> Las sociedades cuyas acciones se encuentren inscritas en el Registro Nacional de Valores y Emisores - RNVE pero no lo estén en una bolsa de valores, podrán obtener la cancelación voluntaria de su inscripción en dicho Registro mediante solicitud dirigida a la Superintendencia Financiera de Colombia, a la cual deberá acompañarse una copia de la parte pertinente del acta de la asamblea de accionistas donde conste que dicho organismo social autorizó la cancelación de la inscripción en el Registro Nacional de Valores y Emisores - RNVE y la demás documentación que para el efecto establezca la Superintendencia Financiera de Colombia.
ARTÍCULO 5.2.6.1.7 CANCELACIÓN DE LA INSCRIPCIÓN DE VALORES DIFERENTES DE LAS ACCIONES.
<Fuente original compilada: R. 400/95 Art. 1.1.2.28 adicionado por el D. 3139/06 Art. 1o.> Una vez se rediman los valores inscritos en el Registro Nacional de Valores y Emisores - RNVE, el emisor deberá informar de este hecho a la Superintendencia Financiera de Colombia dentro de los treinta (30) días siguientes a su ocurrencia, anexando la certificación del representante legal y del revisor fiscal de la entidad emisora sobre la redención de los títulos y la constancia de la cancelación de la inscripción de los mismos en los sistemas de negociación correspondientes. Cuando se trate de bonos será indispensable además la certificación del representante legal de los tenedores de bonos.
Con posterioridad al cumplimiento de lo dispuesto en el presente artículo, la Superintendencia Financiera de Colombia procederá a cancelar la inscripción en el Registro Nacional de Valores y Emisores - RNVE de los valores redimidos, sin que se requiera para ello solicitud por parte de la entidad emisora, salvo que por circunstancias derivadas del cumplimiento de las obligaciones del emisor, la Superintendencia Financiera de Colombia considere la cancelación de la inscripción inconveniente.
ARTÍCULO 5.2.6.1.8 CANCELACIÓN DE LA INSCRIPCIÓN EN CASO DE INACTIVIDAD DE UNO O VARIOS TENEDORES.
<Fuente original compilada: R. 400/95 Art. 1.1.2.29 adicionado por el D. 3139/06 Art. 1o.> Las entidades emisoras de valores podrán obtener la cancelación de la inscripción en el Registro Nacional de Valores y Emisores - RNVE de valores diferentes de las acciones, inclusive si no ha sido posible la redención de uno o varios valores de la emisión por inactividad del tenedor en el ejercicio de sus derechos, para lo cual deberán dar cumplimiento a los siguientes requisitos:
1. <Numeral modificado por el artículo 15 del Decreto 1351 de 2019. El nuevo texto es el siguiente:> La sociedad deberá manifestar la intención de cancelar la inscripción de los valores distintos de las acciones en el Registro Nacional de Valores y Emisores (RNVE), transcurridos dos (2) meses calendario contados desde la fecha del vencimiento de la emisión, mediante dos (2) avisos publicados con un intervalo de ocho (8) días calendario. Cada uno de los avisos deberá publicarse en las páginas económicas de al menos dos (2) diarios impresos o electrónicos de amplia circulación nacional, en los cuales se deberá indicar la fecha de vencimiento de los valores, el monto y forma de circulación.
2. Transcurrido un (1) mes desde la publicación del último de los dos (2) avisos a que se refiere el numeral anterior, podrá iniciarse el pago por consignación de los montos debidos previsto en el artículo 696 del Código de Comercio o constituirse patrimonio autónomo mediante fiducia mercantil irrevocable cuyos beneficiarios serán los tenedores de los referidos valores. Tratándose de títulos de contenido crediticio, el depósito o la fiducia comprenderán el capital y los intereses que hubieren sido pagados al tenedor, de haberse presentado oportunamente para su cobro.
3. Una vez efectuado el procedimiento especificado en los numerales 1 y 2 del presente artículo, el representante legal de la sociedad emisora o su apoderado, presentará solicitud de cancelación de la inscripción en el RNVE a la Superintendencia Financiera de Colombia, en la que deberá especificar los valores que fueron redimidos siguiendo el procedimiento de pago por consignación o constitución de fiducia mercantil irrevocable, y el porcentaje que el monto que dichos valores representa respecto del total de la emisión. Adicionalmente a dicha solicitud se deberán anexar los documentos que establezca la Superintendencia Financiera de Colombia.
PARÁGRAFO. Cuando se haya constituido una fiducia mercantil, esta deberá mantenerse durante el término necesario para que se cumpla la prescripción de las acciones para el cobro de intereses y capital de los valores garantizados.
ARTÍCULO 5.2.6.1.9 CANCELACIÓN VOLUNTARIA PARA LOS FONDOS O CARTERAS COLECTIVAS<1>.
<Fuente original compilada: R. 400/95 Art. 1.1.2.30 adicionado por el D. 3139/06 Art. 1o.> Las reglas señaladas en el presente Capítulo no serán aplicables a los fondos o carteras colectivas<1> que se encuentren autorizadas para emitir valores, las cuales deberán adelantar el procedimiento liquidatorio establecido en las normas especiales que regulen la materia.
CANCELACIÓN OFICIOSA.
ARTÍCULO 5.2.6.2.1 CANCELACIÓN OFICIOSA DE LA INSCRIPCIÓN DE UNA EMISIÓN DE VALORES.
<Fuente original compilada: R. 400/95 Art. 1.1.2.31 adicionado por el D. 3139/06 Art. 1o.> La cancelación oficiosa de una emisión de valores en el Registro Nacional de Valores y Emisores - RNVE procederá cuando:
1. Dentro del año siguiente a la fecha de la ejecutoria del acto administrativo por medio del cual se inscribió la emisión, no se efectúe la oferta pública en el mercado primario, cuando la inscripción se haya ordenado para tales efectos. Igual plazo operará para las inscripciones automáticas que requieran envío previo de documentación, en cuyo caso, el término se contará a partir de la radicación de la documentación completa debidamente diligenciada. El plazo previsto en este numeral será de tres (3) años tratándose de programas de emisión y colocación.
2. Dentro de los tres (3) meses siguientes a la fecha de la ejecutoria del acto administrativo por medio del cual se inscribió la emisión, no se efectúe la oferta pública en el mercado secundario o la inscripción de la emisión en un sistema de negociación, cuando la inscripción se haya ordenado para tales efectos.
3. <Numeral modificado el artículo 96 del Decreto 1745 de 2020. El nuevo texto es el siguiente:> Quede en firme una causal de liquidación respecto del fondo de inversión colectiva emisor del valor.
4. La inscripción verse sobre acciones que no se encuentren inscritas en una bolsa de valores y durante los últimos dos (2) años no hayan sido objeto de oferta pública.
5. La entidad emisora de los valores entre en proceso de liquidación o, estando en proceso concursal o acuerdo de reestructuración, el acuerdo que se adopte prevea la liquidación de la sociedad.
ARTÍCULO 5.2.6.2.2 ENERVACIÓN DE LA CAUSAL DE CANCELACIÓN POR FALTA DE OFERTA PÚBLICA.
<Fuente original compilada: R. 400/95 Art. 1.1.2.32 adicionado por el D. 3139/06 Art. 1o.> La causal de cancelación de la inscripción de las acciones en el Registro Nacional de Valores y Emisores - RNVE prevista en el numeral 4 del artículo anterior, podrá enervarse cuando:
1. La entidad emisora realice una oferta pública de acciones en el mercado primario.
2. Al menos un accionista realice una oferta pública de acciones en el mercado secundario.
Para tal efecto, la Superintendencia Financiera de Colombia le requerirá al emisor en forma previa a la cancelación que informe si proyecta adelantar dicha oferta en el mercado primario o si uno de los accionistas ha informado que proyecta realizar una oferta pública en el mercado secundario.
En todo caso, la oferta pública deberá ser por lo menos equivalente al cinco por ciento (5%) de las acciones en circulación del emisor y realizarse dentro de los tres (3) meses siguientes al envío del mencionado requerimiento. Transcurrido este plazo sin que se hubiera efectuado la oferta, se procederá a la cancelación de la respectiva inscripción.
ARTÍCULO 5.2.6.2.3 PLAZO PARA VOLVER A SOLICITAR LA INSCRIPCIÓN DE ACCIONES.
<Fuente original compilada: R. 400/95 Art. 1.1.2.33 adicionado por el D. 3139/06 Art. 1o.> Cuando se cancele la inscripción de acciones en el Registro Nacional de Valores y Emisores - RNVE por la causal establecida en el numeral 4 del artículo 5.2.6.2.1 del presente Decreto, no podrá volverse a realizar su inscripción en el Registro antes de dos (2) años, salvo que se solicite para efectos de adelantar una oferta pública de acciones en el mercado primario o secundario, en los términos del artículo anterior.
ARTÍCULO 5.2.6.2.4 CANCELACIÓN PREVISTA EN OTRAS NORMAS.
<Fuente original compilada: R. 400/95 Art. 1.1.2.34 adicionado por el D. 3139/06 Art. 1o.> Lo establecido en este Libro se entiende sin perjuicio de lo establecido en materia de cancelación de la inscripción en el Registro Nacional de Valores y Emisores - RNVE de conformidad con el literal f) del artículo 53 de la Ley 964 de 2005.
OTROS VALORES OBJETO DE INSCRIPCIÓN EN EL REGISTRO NACIONAL DE VALORES Y EMISORES-RNVE.
CONTRATOS SOBRE ÍNDICES.
ARTÍCULO 5.2.7.1.1 OFRECIMIENTO AL PÚBLICO. <Artículo reubicado por el artículo 97 del Decreto 1745 de 2020. El nuevo texto es el siguiente:> Los contratos sobre índices bursátiles, índices de divisas o índices de rentabilidad, que se estructuren y negocien en las bolsas de valores o en otros sistemas de negociación de valores, sólo podrán ser ofrecidos al público previa su inscripción en el Registro Nacional de Valores y Emisores-RNVE.
ARTÍCULO 5.2.7.1.2 DEFINICIÓN. <Artículo reubicado por el artículo 97 del Decreto 1745 de 2020. El nuevo texto es el siguiente:> Se entiende por contrato sobre un índice aquel en el cual las partes se comprometen a pagar en moneda legal, en una fecha futura previamente establecida, la diferencia entre el valor pactado y el valor registrado en esa fecha futura para el mismo índice sobre la cantidad estándar previamente definida para cada contrato.
El pago se hará por el vendedor o el comprador según el valor del índice sea superior o inferior, respectivamente, al pactado a la celebración del contrato.
La negociación de dichos contratos se sujetará a las normas sobre operaciones con instrumentos financieros derivados.
ARTÍCULO 5.2.7.1.3 CARACTERÍSTICAS. <Artículo reubicado por el artículo 97 del Decreto 1745 de 2020. El nuevo texto es el siguiente:> Las características de los contratos de que trata el artículo anterior, deberán estar determinadas en los reglamentos de las bolsas de valores o de los sistemas de negociación, los cuales incluirán como mínimo lo siguiente:
a) Cantidad estándar que represente cada contrato.
b) índice sobre el cual se estructure el contrato.
c) Plazos de cumplimiento uniformes de acuerdo con cada tipo de contrato.
d) Cantidad mínima de contratos a negociar.
Los reglamentos de que trata el presente artículo deberán ser autorizados por la Superintendencia Financiera de Colombia, previamente a la celebración de dichas operaciones.
ARTÍCULO 5.2.7.1.4 COMPRAVENTA DE CONTRATOS SOBRE ÍNDICES. <Artículo reubicado por el artículo 97 del Decreto 1745 de 2020. El nuevo texto es el siguiente:> También podrán celebrarse contratos en los cuales se otorgue al comprador, el derecho a comprar o vender un determinado contrato sobre un índice, dentro de un plazo y a un precio previamente fijados.
La negociación de dichos contratos se sujeta a las normas sobre operaciones con instrumentos financieros derivados.
ARTÍCULO 5.2.7.1.5 CARACTERÍSTICAS DE LOS CONTRATOS DE COMPRAVENTA SOBRE ÍNDICES. <Artículo reubicado por el artículo 97 del Decreto 1745 de 2020. El nuevo texto es el siguiente:> Las características de los contratos de que trata el artículo anterior deberán estar determinadas en los reglamentos de las bolsas de valores o de los sistemas de negociación, los cuales incluirán como mínimo las siguientes: .
a) El contrato de índice sobre el cual se ejercerá la opción.
b) Plazos de cumplimiento uniformes de acuerdo con cada tipo de contrato.
ARTÍCULO 5.2.7.1.6 INSCRIPCIÓN AUTOMÁTICA. <Artículo reubicado por el artículo 97 del Decreto 1745 de 2020. El nuevo texto es el siguiente:> En la fecha en que la Superintendencia Financiera de Colombia haya impartido la autorización al reglamento que establezca las características de los contratos sobre índices, estos se entenderán inscritos automáticamente en el Registro Nacional de Valores y Emisores-RNVE.
PARÁGRAFO. La inscripción en el Registro Nacional de Valores y Emisores-RNVE de los contratos referidos en los artículos 5.2.7.1.2 y 5.2.7.1.4 del presente decreto, no da lugar al envío de la información a que alude el Título 4 del Libro 2 de la Parte 5 del presente decreto.
RECONOCIMIENTO DE LA CALIDAD DE VALOR.
ARTÍCULO 5.2.7.2.1 CERTIFICADOS FIDUCIARIOS CON SUBYACENTE AGROPECUARIO, AGROINDUSTRIAL O DE OTROS COMMODITIES. <Artículo reubicado por el artículo 97 del Decreto 1745 de 2020. El nuevo texto es el siguiente:> Los certificados fiduciarios emitidos con cargo a patrimonios autónomos conformados con productos agropecuarios, agroindustriales u otros commodities de conformidad con lo previsto en el presente decreto, podrán ser negociados por conducto de los intermediarios que actúen en las bolsas de productos agropecuarios, agroindustriales o de otros commodities, y tendrán la calidad de valor.
ARTÍCULO 5.2.7.2.2 CERTIFICADOS DE DEPÓSITOS DE PRODUCTOS AGROPECUARIOS, AGROINDUSTRIALES U OTROS COMMODITIES. <Artículo reubicado por el artículo 97 del Decreto 1745 de 2020. El nuevo texto es el siguiente:> La inscripción de los certificados de depósito de mercancías en el Registro Nacional de Valores y Emisores -RNVE- se regirá por lo establecido en el presente decreto.
ARTÍCULO 5.2.7.2.3 CONTRATOS ESTANDARIZADOS SOBRE PRODUCTOS AGROPECUARIOS, AGROINDUSTRIALES U OTROS COMMODITIES. <Artículo reubicado por el artículo 97 del Decreto 1745 de 2020. El nuevo texto es el siguiente:> Los contratos estandarizados sobre productos agropecuarios, agroindustriales u otros commodities que cumplan con lo previsto en el presente decreto, podrán inscribirse en el Registro Nacional de Valores y Emisores -RNVE- con el único propósito de ser inscritos en una bolsa de productos agropecuarios, agroindustriales o de otros commodities, en cuyo caso tendrán la calidad de valor.
Sólo podrán inscribirse contratos que sean estandarizados respecto de su especie, tamaño, calidad del subyacente, fechas de vencimiento o plazo de recompra, según sea el caso, y de conformidad con los demás elementos señalados por el reglamento de la respectiva bolsa y su comité de estándares de conformidad con los artículos 2.11.1.1.6 y 2.11.1.1.7 del presente decreto.
Para estos efectos, y sin perjuicio de lo que complemente la respectiva bolsa y su comité de estándares, los siguientes elementos de estandarización se entenderán así:
1. Especie: se refiere a uno o más productos agropecuarios, agroindustriales u otros commodities susceptibles de ser transados a través de una bolsa de productos agropecuarios, agroindustriales o de otros commodities.
2. Tamaño: se refiere a la cantidad de la especie objeto del contrato y que deberá permitir establecer claramente el peso, volumen, masa o cualquier otra modalidad de medida de estándar nacional o internacional para el sector que produzca o comercialice la respectiva especie.
3. Calidad del subyacente: se refiere a las normas de individualización de un género específico de la especie objeto del contrato, las cuales son usualmente utilizadas en el mercado nacional o internacional en el sector que produzca o comercialice la respectiva especie.
4. Fechas de vencimiento: se refiere a las fechas de vencimiento de los contratos que deberán corresponder a los ciclos productivos o de consumo, de la respectiva especie subyacente del contrato.
5. Plazo de recompra: se refiere al plazo en el que se debe ejercer la recompra del contrato a término y la terminación del servicio de custodia y engorde, extracción o cosecha, según proceda, de conformidad con el ciclo biológico, productivo o de extracción de la especie objeto del contrato a término.
PARÁGRAFO. Estos contratos sólo serán negociables en la bolsa de productos agropecuarios, agroindustriales o de otros commodities en la cual se encuentren inscritos.
REGISTRO NACIONAL DE AGENTES DEL MERCADO DE VALORES -RNAMV.
INSCRIPCIÓN EN EL REGISTRO NACIONAL DE AGENTES DEL MERCADO DE VALORES.
ARTÍCULO 5.3.1.1.1 OBLIGACIÓN DE INSCRIBIRSE EN EL RNAMV.
<Artículo modificado por el artículo 4 del Decreto 1243 de 2013. El nuevo texto es el siguiente:> Deberán inscribirse en el RNAMV, las entidades señaladas en el numeral 1 del parágrafo 3o del artículo 75 de la Ley 964 de 2005, las entidades que sean autorizadas para ejercer la actividad de custodia de valores, las personas que realicen actividades de intermediación en el mercado de valores, los fondos mutuos de inversión sometidos al control de la Superintendencia Financiera de Colombia, así como quienes desarrollen la actividad de suministro de información al mercado de valores, los organismos de autorregulación y las entidades que administren sistemas de registro de operaciones sobre valores.
ARTÍCULO 5.3.1.1.2 AUTORIZACIÓN DE LA INSCRIPCIÓN.
<Artículo modificado por el artículo 5 del Decreto 1243 de 2013. El nuevo texto es el siguiente:> La autorización de la inscripción de las entidades que sean autorizadas para ejercer la actividad de custodia de valores y de las entidades señaladas en el numeral 1 del parágrafo 3o del artículo 75 de la Ley 964 de 2005, en el RNAMV, se impartirá en el mismo acto administrativo en el que se expida el certificado de autorización de que trata el numeral 7 del artículo 53 del Estatuto Orgánico del Sistema Financiero o de las normas que lo modifiquen, sustituyan o adicionen.
Los requisitos acreditados en las actuaciones de constitución y expedición del certificado de autorización por parte de las entidades señaladas en el numeral 1 del parágrafo 3o del artículo 75 de la Ley 964 de 2005, se entenderán cumplidos automáticamente como requisitos generales para su inscripción en el RNAMV
<Fuente original compilada: R. 400/95 Art. 1.1.3.3 adicionado por el D. 3139/06 Art. 1o.> Además de los requisitos exigidos para su constitución en el artículo 53 del Estatuto Orgánico del Sistema Financiero, quien pretenda inscribirse como proveedor de infraestructura o fondo de garantías en el mercado de valores deberá cumplir los siguientes requisitos de carácter especial:
1. Enviar los reglamentos generales y operativos, de acuerdo con el tipo de actividad que se pretenda desarrollar, los cuales deberán ser aprobados por la Superintendencia Financiera de Colombia.
2. Informar los nombres y apellidos del oficial de cumplimiento en materia de prevención y control de actividades delictivas nombrado por su junta directiva o el órgano que haga sus veces.
3. Informar la política general establecida por la entidad en materia de cobro de tarifas y en relación con su divulgación al público, cuando haya lugar a ello.
PARÁGRAFO. Para los efectos del presente artículo se entienden por proveedores de infraestructura las bolsas de valores, las bolsas de bienes y productos agropecuarios, agroindustriales y de otros commodities, las bolsas de futuros y opciones, las sociedades administradoras de sistemas de negociación de valores y divisas, las entidades administradoras de sistemas de registro, las sociedades administradoras de depósitos centralizados de valores, las sociedades administradoras de sistemas de compensación y liquidación de valores, de divisas, contratos de futuros, opciones y otros, y las cámaras de riesgo central de contraparte.
<Fuente original compilada: R. 400/95 Art. 1.1.3.4 adicionado por el D. 3139/06 Art. 1o.> Además de los requisitos exigidos para su constitución en el artículo 53 del Estatuto Orgánico del Sistema Financiero, quien pretenda inscribirse como sociedad calificadora de valores deberá cumplir los siguientes requisitos de carácter especial:
1. Acreditar la infraestructura administrativa y técnica adecuada para desarrollar la actividad de calificación de valores en forma objetiva, profesional e independiente.
2. Prever en sus estatutos sociales la existencia de un comité técnico el cual será el encargado de estudiar y aprobar las calificaciones, sin perjuicio de que pueda contar con la opinión técnica especializada de personal asesor en determinados temas. Dicho comité deberá estar conformado por personal idóneo e independiente, para lo cual deberá estarse a lo establecido en el parágrafo segundo del artículo 44 de la Ley 964 de 2005.
Para efectos de la responsabilidad de los miembros del comité técnico deberán aplicarse las normas que sobre el particular son exigibles a los administradores de la sociedad.
3. Enviar la relación de empleados, funcionarios o personas vinculados al agente dedicados y/o responsables del desarrollo de la actividad de calificación, con indicación de nombres y apellidos, documento de identidad, cargos que ocupan, domicilio, títulos profesionales y experiencia laboral, así como vínculos de dichas personas con otras entidades que actúen en el mercado de valores y desarrollen las actividades a que se refiere el artículo 3o de la Ley 964 de 2005, en especial los intermediarios de valores inscritos en el RNAMV y las sociedades emisoras de valores inscritas en el Registro Nacional de Valores y Emisores - RNVE o cuyas emisiones se hayan registrado en el mismo.
4. Acreditar que la sociedad, sus administradores, representantes legales, empleados o sus accionistas no se encuentren en alguna de las situaciones previstas por el artículo siguiente del presente decreto.
5. Indicar los vínculos que los beneficiarios reales de su capital social tienen con entidades que actúen en el mercado de valores y desarrollen las actividades a que se refiere el artículo 3o de la Ley 964 de 2005, en especial los intermediarios de valores y las sociedades emisoras de valores inscritas en el Registro Nacional de Valores y Emisores - RNVE o cuyas emisiones se hayan registrado en el mismo.
6. Enviar el reglamento de funcionamiento de la sociedad, en el cual se establezca por lo menos los siguientes aspectos:
6.1. Las fuentes de información que se utilizarán para los distintos tipos de calificación.
6.2. Las reglas que se aplicarán en materia de incompatibilidades e impedimentos para asegurar la imparcialidad de la sociedad calificadora.
6.3. Los procedimientos que se seguirán para evitar que se divulgue información que debe mantenerse reservada.
7. Enviar las metodologías o procedimientos técnicos de calificación, los cuales no se incluirán en el RNAMV.
8. Informar la política general establecida por la entidad en materia de cobro de tarifas y en relación con su divulgación al público, cuando haya lugar a ello.
ARTÍCULO 5.3.1.1.5 ENTIDADES QUE NO PUEDEN SER INSCRITAS COMO SOCIEDADES CALIFICADORAS DE VALORES.
<Fuente original compilada: R. 400/95 Art. 1.1.3.5 adicionado por el D. 3139/06 Art. 1o.> No podrá ser inscrita como sociedad calificadora de valores la entidad que sea beneficiaria real de cualquier parte del capital de alguna de las siguientes sociedades: un emisor de valores inscritos en el Registro Nacional de Valores y Emisores - RNVE o cuyas emisiones se hayan registrado en el mismo, una sociedad comisionista de bolsa, un comisionista independiente de valores, un corredor de valores, un establecimiento de crédito, una sociedad fiduciaria, una administradora de fondos de inversión, una administradora de fondos de cesantía, una administradora de fondos de pensiones o que tenga el carácter de revisor fiscal de una o varias de las sociedades inscritas en el RNVE y en el RNAMV.
Tampoco podrá ser inscrita como sociedad calificadora de valores la entidad en la cual alguna de las entidades a que hace referencia el inciso anterior sea beneficiaria real de cualquier parte de su capital.
De la misma manera, no podrá inscribirse como sociedad calificadora de valores la entidad cuyos representantes legales, administradores, empleados o los beneficiarios reales de cualquier parte de su capital tengan el carácter de administradores, representantes legales, empleados o beneficiarios reales del tres por ciento (3%) o más del capital de alguna de las sociedades a que hace referencia el primer inciso del presente artículo.
ARTÍCULO 5.3.1.1.6 INSCRIPCIÓN DE LOS FONDOS MUTUOS DE INVERSIÓN.
<Fuente original compilada: R. 400/95 Art. 1.1.3.6 adicionado por el D. 3139/06 Art. 1o.> La autorización de inscripción de los fondos mutuos de inversión en el RNAMV se impartirá en el mismo acto administrativo en el que se expida el certificado de autorización de que trata el decreto mediante el cual se reglamentan los fondos mutuos de inversión o las normas que lo modifiquen, sustituyan o adicionen.
Los requisitos acreditados en las actuaciones de constitución y expedición del certificado de autorización por parte de los fondos mutuos de inversión, se entenderán cumplidos automáticamente como requisitos generales para su inscripción en el RNAMV.
ARTÍCULO 5.3.1.1.7 REQUISITOS ESPECIALES DE INSCRIPCIÓN PARA LOS ORGANISMOS DE AUTORREGULACIÓN.
<Fuente original compilada: R. 400/95 Art. 1.1.3.7 adicionado por el D. 3139/06 Art. 1o.> La autorización de la inscripción de los organismos de autorregulación en el RNAMV, se impartirá en el mismo acto administrativo en el que se expida el certificado de autorización correspondiente.
Los requisitos acreditados en las actuaciones de constitución y expedición del certificado de autorización por parte de los organismos de autorregulación se entenderán cumplidos automáticamente como requisitos generales para su inscripción en el RNAMV.
ARTÍCULO 5.3.1.1.8 REQUISITOS ESPECIALES PARA LOS SISTEMAS DE REGISTRO DE OPERACIONES.
<Fuente original compilada: R. 400/95 Art. 1.1.3.8 adicionado por el D. 3139/06 Art. 1o.> Para la inscripción de los sistemas de registro de operaciones deberá darse cumplimiento a lo establecido en el artículo 5.3.1.1.3 del presente decreto.
<Fuente original compilada: R. 400/95 Art. 1.1.3.9 adicionado por el D. 3139/06 Art. 1o.> Quien pretenda inscribirse como proveedor de información del mercado de valores, deberá cumplir los siguientes requisitos:
1. En el caso de los agentes que se constituyan en el país, con excepción de las entidades sometidas a la inspección y vigilancia permanente de la Superintendencia Financiera de Colombia, deberán:
1.1. Informar su denominación o razón social, domicilio principal, sucursales y/o agencias.
1.2. Enviar a la Superintendencia Financiera de Colombia:
a) Certificado de constitución y representación legal expedido por la entidad competente, según sea el caso, cuya fecha de expedición no supere treinta (30) días calendario;
b) Reglamento de funcionamiento de la entidad o el documento equivalente, el cual no se incluirá en el Registro.
2. En el caso de los agentes que se constituyan fuera del país, deberán:
2.1. Informar su nombre, denominación o razón social, domicilio principal, teléfono y personas a quienes se puede contactar junto con sus respectivos correos electrónicos.
2.2. Enviar a la Superintendencia Financiera de Colombia el reglamento de funcionamiento de la entidad o el documento equivalente, el cual no se incluirá en el Registro.
PARÁGRAFO 1. Para los efectos del presente decreto se entenderá por actividad de suministro de información al mercado de valores aquella desarrollada por entidades cuyo objeto principal o exclusivo es suministrar información especializada sobre el comportamiento del mercado de valores de forma detallada y con carácter permanente. Se entenderá que la información es detallada cuando incluya aspectos tales como precios, posturas, cálculo de rentabilidades, comparación de opciones de inversión, evoluciones y prospectiva de mercado, evoluciones y comportamiento de índices, rentabilidades, precios, entre otros.
PARÁGRAFO 2. <Parágrafo derogado por el artículo 10 del Decreto 4802 de 2010>
ARTÍCULO 5.3.1.1.10 INSCRIPCIÓN DE LOS CUSTODIOS DE VALORES. <Artículo adicionado por el artículo 6 del Decreto 1243 de 2013. El nuevo texto es el siguiente:>
<Inciso modificado el artículo 98 del Decreto 1745 de 2020. El nuevo texto es el siguiente:> Las sociedades fiduciarias que previo a la entrada en vigencia del presente artículo ya cuenten con el certificado de autorización de que trata el numeral 7 del artículo 53 del Estatuto Orgánico del Sistema Financiero o de las normas que lo sustituyan o modifiquen, y deseen ejercer la actividad de custodia de valores de que trata el Libro 37 de la Parte 2 del presente decreto, deberán ser autorizadas por la Superintendencia Financiera de Colombia, previo cumplimiento de los requisitos establecidos en el artículo 2.37.2.1.3 del presente decreto para ejercer dicha actividad.
Los requisitos acreditados para la referida autorización se entenderán cumplidos automáticamente como requisitos generales para su inscripción en el Registro Nacional de Agentes del Mercado de Valores (RNAMV).
RÉGIMEN DE INSCRIPCIÓN PARA LOS INTERMEDIARIOS DEL MERCADO DE VALORES.
REQUISITOS COMUNES.
ARTÍCULO 5.3.2.1.1 REQUISITOS PARA LA INSCRIPCIÓN DE LOS INTERMEDIARIOS DE VALORES.
<Fuente original compilada: R. 400/95 Art. 1.1.3.10 adicionado por el D. 3139/06 Art. 1o.> Todo aquel que pretenda inscribirse como intermediario del mercado de valores deberá cumplir los siguientes requisitos:
1. Informar el o los organismos de autorregulación de los cuales sea miembro.
2. Informar acerca de las bolsas, los sistemas de negociación de valores y registro de operaciones de los cuales sea miembro o afiliado, cuando a ello hubiere lugar.
3. Enviar la relación de empleados, funcionarios o personas vinculadas al agente, dedicados y/o responsables del desarrollo de la actividad de intermediación, así como de las obligaciones de reporte de información al RNAMV.
4. Informar los nombres y apellidos del revisor fiscal de la entidad, cuando a ello haya lugar.
5. Informar los nombres y apellidos del oficial de cumplimiento en materia de prevención y control de actividades delictivas nombrado por su junta directiva o el órgano que haga sus veces.
6. Informar la política general establecida por la entidad en materia de cobro de tarifas y en relación con su divulgación al público, cuando haya lugar a ello.
7. Enviar certificación suscrita por el representante legal y revisor fiscal de la entidad o por la persona natural que actúe como intermediario, en la cual se haga constar que cuenta con:
7.1. Mecanismos apropiados, seguros y eficientes que garanticen:
a) La grabación de la totalidad de las comunicaciones telefónicas que tengan lugar para la realización de operaciones de intermediación de valores, incluyendo las propuestas, celebración y cierre de las mismas;
b) La advertencia previa a los clientes de que sus conversaciones serán grabadas, sin perjuicio del cumplimiento de los requisitos establecidos para el efecto por la normatividad vigente;
c) El cumplimiento efectivo de la prohibición conforme a la cual en las mesas de negociación no se podrán utilizar ningún tipo de teléfonos móviles, celulares, satelitales, radio teléfonos, beepers y cualquier otro mecanismo que sirva para el envío de mensajes de voz o de datos, que no permita su grabación o registro.
7.2. Procedimientos y mecanismos seguros y eficientes que permitan tomar copias de respaldo de la información manejada en los equipos de computación (servidores, computadores de escritorio, equipos móviles o portátiles) y en general cualquier dispositivo que se utilice en las mesas de negociación de los intermediarios, a través de los cuales se pueda enviar o recibir datos.
PARÁGRAFO. Los procedimientos y mecanismos internos de que tratan los numerales 7.1 y 7.2 deberán:
1. Permitir identificar como mínimo el día y la hora de la negociación (año, mes, día, hora, minutos y segundos), la contraparte, los valores objeto del negocio, el monto, la tasa, el plazo y toda otra circunstancia relacionada con la negociación.
2. Permitir la conservación de la información en forma fidedigna y verificable por un periodo equivalente al previsto en la legislación comercial para los libros y documentos del comerciante y la identificación del equipo o dispositivo y del usuario del mismo de donde proviene el registro o grabación respectiva.
3. Constar en un reglamento de operación, que establezca como mínimo los siguientes aspectos:
a) Los cargos que ocupan o las actividades que desarrollan las personas cuyas conversaciones telefónicas estarán sujetas a grabación;
b) La organización y funcionamiento de las mesas de negociación;
c) Los requisitos operativos para el funcionamiento de los mecanismos previstos en los numerales 7.1 y 7.2;
d) Los procedimientos de control y revisión de la información registrada mediante los mecanismos previstos en los numerales 7.1 y 7.2;
e) Los procedimientos de conservación de la información;
f) La persona encargada de velar por el cumplimiento del reglamento de operación.
g) Los procedimientos para la divulgación del reglamento entre sus funcionarios y para el reporte del cumplimiento del mismo a la administración y la junta directiva de la entidad o el órgano que haga sus veces.
Así mismo, deberá informarse el nombre de la persona designada para verificar el cumplimiento del reglamento de operación de las mesas de negociación.
INSCRIPCIÓN DE LOS INTERMEDIARIOS SOMETIDOS A INSPECCIÓN Y VIGILANCIA PERMANENTE DE LA SUPERINTENDENCIA FINANCIERA DE COLOMBIA.
ARTÍCULO 5.3.2.2.1 REQUISITOS ESPECIALES.
<Fuente original compilada: R. 400/95 Art. 1.1.3.11 adicionado por el D. 3139/06 Art. 1o.> Además de los requisitos exigidos para su constitución en el artículo 53 del Estatuto Orgánico del Sistema Financiero, los intermediarios del mercado de valores sometidos a la inspección y vigilancia permanente de la Superintendencia Financiera de Colombia deberán cumplir con los requisitos exigidos en el artículo anterior.
PARÁGRAFO. En el caso de las sociedades comisionistas de bolsa además deberán informar los nombres y apellidos del contralor normativo nombrado por su junta directiva o el órgano que haga sus veces. Igual obligación tendrán todas aquellas entidades que, de conformidad con lo establecido por el Gobierno Nacional, estén obligadas a contar con un contralor normativo.
INTERMEDIARIOS NO VIGILADOS POR LA SUPERINTENDENCIA FINANCIERA DE COLOMBIA.
<Fuente original compilada: R. 400/95 Art. 1.1.3.12 subrogado por el D. 1121/08> Las entidades de naturaleza pública, que de conformidad con su régimen normativo, puedan realizar sus operaciones sobre valores directamente a través de sistemas de negociación de valores y no se encuentren sometidas a inspección y vigilancia de la Superintendencia Financiera de Colombia, serán consideradas intermediarios de valores no sometidos a la inspección y vigilancia permanente de la Superintendencia Financiera de Colombia. Estos intermediarios deberán ser miembros de un organismo de autorregulación autorizado por la Superintendencia Financiera de Colombia y tendrán que cumplir las obligaciones propias de tal membresía, de sus respectivos regímenes normativos y aquellas derivadas de su inscripción en el Registro Nacional de Agentes del Mercado de Valores –RNAMV.
ARTÍCULO 5.3.2.3.2 RÉGIMEN DE AUTORIZACIÓN.
<Fuente original compilada: R. 400/95 Art. 1.1.3.13 subrogado por el D. 1121/08> La inscripción de los intermediarios de valores que no se encuentren sometidos a la inspección y vigilancia permanente de la Superintendencia Financiera de Colombia se sujetará al régimen de autorización general o individual, así:
1. Régimen de autorización general. Se entenderá autorizada de manera general la inscripción cuando el representante legal y el revisor fiscal de la respectiva entidad de naturaleza pública que actúe como intermediario certifiquen el cumplimiento de los requisitos exigidos en el artículo 5.3.2.1.1 del presente decreto y, adicionalmente, cumpla los siguientes requisitos de carácter particular:
Enviar a la Superintendencia Financiera de Colombia la siguiente información general:
a. Denominación, domicilio principal, sucursales y/o agencias.
b. Certificado de representación legal.
c. Conformación de su capital social, cuando haya lugar a ello.
d. <Inciso 1 modificado el artículo 99 del Decreto 1745 de 2020. El nuevo texto es el siguiente:> Copia de las normas o manuales internos de procedimiento y organización que tengan para efectos de realizar labores de intermediación en el mercado de valores, desarrollados en cumplimiento de la Ley 87 de 1993 y/o el Título 3 de la Parte 3 del Libro 2 del Decreto 1068 de 2015, o las normas que los modifiquen, deroguen o sustituyan.
Los manuales internos a que se refiere el presente literal deberán incluir todos los elementos necesarios para garantizar el cumplimiento de los criterios de transparencia, rentabilidad, solidez, seguridad y condiciones de mercado, y en todo caso los siguientes:
Factores objetivos que se tienen en cuenta para la asignación de cupos o montos máximos de exposición al riesgo de cada contraparte, y su ponderación para dicho efecto.
Monto de los cupos asignados a cada una de sus contrapartes, así como sus cambios o modificaciones.
Medidas para garantizar la participación efectiva de todas las contrapartes que cumplan con los factores objetivos previamente fijados, de manera tal que cada operación expuesta pueda ser cumplida por cualquiera de tales entidades.
Mecanismos permanentes de seguimiento del cumplimiento de los factores objetivos previamente definidos.
2. Régimen de autorización individual. Se someterán al régimen de autorización individual los intermediarios de valores a que se refiere el artículo anterior que no reúnan los requisitos del régimen de autorización general o cuando dichas entidades o alguno de sus administradores o quienes desempeñen funciones equivalentes, hayan sido sancionados por violación a las normas que regulan el mercado de valores.
NFORMACIÓN DEL REGISTRO NACIONAL DE AGENTES DEL MERCADO DE VALORES.
ARTÍCULO 5.3.3.1.1 INFORMACIÓN QUE FORMARÁ PARTE DEL RNAMV.
<Fuente original compilada: R. 400/95 Art. 1.1.3.15 adicionado por el D. 3139/06 Art. 1o.> Hará parte del RNAMV la siguiente información:
1. Identificación del agente, indicando nombre o razón social, NIT, domicilio, sitio web, dirección y teléfonos.
2. Los estatutos sociales y sus reformas.
3. Los estados financieros intermedios y de fin de ejercicio, los cuales deberán ser presentados a nivel de cuenta.
4. El proyecto de distribución de utilidades que se presentará a consideración de la asamblea general de accionistas o al órgano que haga sus veces, así como las decisiones adoptadas por dicho órgano al respecto.
5. Los representantes legales, miembros de junta directiva, revisores fiscales, contralores normativos, oficiales de cumplimiento en materia de prevención y control de actividades delictivas, según sea el caso.
6. Las actividades autorizadas.
7. Las sucursales, agencias y oficinas, cuando se trate de agentes sometidos a la inspección y vigilancia permanente de la Superintendencia Financiera de Colombia.
8. Los reglamentos generales y operativos autorizados por la Superintendencia Financiera de Colombia y sus modificaciones.
9. Las sanciones impuestas por la Superintendencia Financiera de Colombia y los organismos de autorregulación, una vez se encuentren en firme.
10. Las bolsas de valores o de bienes y productos agropecuarios, agroindustriales o de otros commodities y los sistemas de negociación o registro de los cuales sea miembro o afiliado.
11. Las personas naturales a su servicio que se encuentren inscritos en el RNPMV y el tipo de certificación.
12. El organismo u organismos de autorregulación de los cuales sea miembro.
PARÁGRAFO. La Superintendencia Financiera de Colombia podrá exceptuar de algunos de los requisitos de información previstos en este artículo a los organismos de autorregulación, las sociedades calificadoras de riesgo o los proveedores de información al mercado de valores, para lo cual evaluará en cada caso la pertinencia del requisito respectivo.
ARTÍCULO 5.3.3.1.2 OBLIGATORIEDAD DE ACTUALIZACIÓN.
<Fuente original compilada: R. 400/95 Art. 1.1.3.16 adicionado por el D. 3139/06 Art. 1o.> La Superintendencia Financiera de Colombia establecerá los términos y condiciones para que los agentes inscritos en el RNAMV mantengan permanentemente actualizado dicho registro. De la misma manera, determinará si la información formará o no parte del RNAMV.
DISPOSICIONES FINALES RELATIVAS AL REGISTRO NACIONAL DE AGENTES DEL MERCADO DE VALORES.
ARTÍCULO 5.3.4.1.1 CANCELACIÓN OFICIOSA.
<Fuente original compilada: R. 400/95 Art. 1.1.3.17 adicionado por el D. 3139/06 Art. 1o.> La Superintendencia Financiera de Colombia podrá cancelar de manera oficiosa la inscripción de cualquier persona inscrita en el RNAMV, cuando las mismas hayan dejado de cumplir los requisitos previstos para el efecto.
ARTÍCULO 5.3.4.1.2 CANCELACIÓN VOLUNTARIA.
<Fuente original compilada: R. 400/95 Art. 1.1.3.18 adicionado por el D. 3139/06 Art. 1o.> Las personas inscritas en el RNAMV podrán voluntariamente solicitar la cancelación de su inscripción, para lo cual deberán allegar a la Superintendencia Financiera de Colombia petición en tal sentido, suscrita por el representante legal, explicando el motivo de la misma.
<Fuente original compilada: R. 400/95 Art. 1.1.3.19 adicionado por el D. 3139/06 Art. 1o.> Las disposiciones previstas en el artículo 5.3.2.1.1 del presente decreto, serán aplicables a los intermediarios del mercado de bienes y productos agropecuarios, agroindustriales y de otros commodities, cuando los mismos pretendan realizar actividades de intermediación de valores.
<Fuente original compilada: R. 400/95 Art. 1.1.3.20> La Superintendencia Financiera de Colombia podrá establecer a quienes se encuentren obligados a inscribirse en el RNAMV, el deber de remitir información adicional a la establecida en el presente decreto o la norma que lo modifique, sustituya o adicione, con el propósito de desarrollar y cumplir de manera adecuada sus funciones de supervisión. De la misma manera, deberá determinar si dicha información formará o no parte del RNAMV.
ARTÍCULO 5.3.4.1.5 AUTORIZACIÓN ESPECIAL PARA NO DIVULGAR INFORMACIÓN.
<Fuente original compilada: R. 400/95 Art. 1.1.3.21 adicionado por el D. 3139/06 Art. 1o.> Los obligados a inscribirse en el RNAMV podrán solicitar a la Superintendencia Financiera de Colombia autorización para que no sea divulgada alguna de la información de la que deben remitir, cuando a juicio de la Superintendencia existan motivos que justifiquen dicha medida.
REGISTRO NACIONAL DE PROFESIONALES DEL MERCADO DE VALORES.
ORGANIZACIÓN Y FUNCIONAMIENTO DEL REGISTRO NACIONAL DE PROFESIONALES DEL MERCADO DE VALORES, RNPMV.
ARTÍCULO 5.4.1.1.1 NATURALEZA Y OBJETO DEL RNPMV.
<Fuente original compilada: R. 400/95 Art. 1.1.4.1 adicionado por el D. 3139/06 Art. 1o.> El RNPMV hace parte del SIMEV y será utilizado por la Superintendencia Financiera de Colombia como instrumento para elevar y controlar los estándares de los profesionales que se encuentran obligados a inscribirse de conformidad con el artículo siguiente del presente decreto, así como para facilitar y agilizar el suministro de información al mercado acerca de dichos profesionales.
ARTÍCULO 5.4.1.1.2 SUJETOS DEL RNPMV.
<Fuente original compilada: R. 400/95 Art. 1.1.4.2 adicionado por el D. 3139/06 Art. 1o.> En el RNPMV deberán inscribirse las siguientes personas:
1. Las personas naturales que al servicio de un intermediario del mercado de valores se encarguen de estructurar directamente operaciones de intermediación, cualquiera que sea la
modalidad de vinculación.
2. Las personas naturales que dirijan o ejecuten directamente operaciones de intermediación en el mercado de valores.
3. <Numeral modificado el artículo 100 del Decreto 1745 de 2020. El nuevo texto es el siguiente:> Las personas naturales que administren o gestionen directamente fondos de inversión colectiva administrados por sociedades comisionistas de bolsa, sociedades fiduciarias, o sociedades administradoras de inversión.
4. Las personas naturales que administren o gestionen directamente fondos mutuos de inversión sometidos a la inspección y vigilancia permanente de la Superintendencia Financiera de Colombia.
5. Las personas naturales que promuevan o promocionen la realización de operaciones de intermediación en el mercado de valores.
PARÁGRAFO 1. La Superintendencia Financiera de Colombia podrá ordenar a cualquier persona natural, que realice alguna de las actividades descritas en el presente artículo, su inscripción en el RNPMV. En tal caso, la Superintendencia Financiera de Colombia establecerá un plazo prudencial para que se haga efectiva dicha medida, sin perjuicio de las sanciones a que hubiere lugar.
PARÁGRAFO 2. Las personas naturales que pretendan inscribirse en el RNPMV deberán estar previamente certificadas.
PARÁGRAFO 3. La inscripción o actualización de dicha inscripción en el RNPMV es condición para actuar en el mercado de valores.
PARÁGRAFO 4. Las personas naturales que al interior de las sociedades comisionistas estructuren, dirijan y ejecuten operaciones de comisión, corretaje o cuenta propia sobre bienes y productos agropecuarios, agroindustriales o de otros commodities deberán inscribirse en el RNPMV, así como las personas naturales que asesoren o promocionen los servicios de registro que ofrecen los miembros de las bolsas de bienes y productos agropecuarios, agroindustriales o de otros commodities.
ARTÍCULO 5.4.1.1.3 INFORMACIÓN DEL RNPMV.
<Fuente original compilada: R. 400/95 Art. 1.1.4.3 adicionado por el D. 3139/06 Art. 1o.> La información contenida en el RNPMV será de carácter público.
La persona a la cual se encuentre vinculado el profesional certificado o la persona natural que desarrolle operaciones de corretaje deberán suministrar al RNPMV por lo menos la siguiente información, en los términos y condiciones que establezca la Superintendencia Financiera de Colombia:
1. Nombres y apellidos.
2. Número del documento de identificación.
3. Nacionalidad.
4. Profesión.
5. Permiso de trabajo, en caso de ser extranjero.
6. Fecha y lugar de nacimiento.
7. Domicilio, dirección y número de teléfono.
8. Dirección de correo electrónico (institucional y personal).
9. Nivel de escolaridad y títulos académicos obtenidos.
10. Antigüedad y experiencia en el mercado de valores, así como las funciones desempeñadas y motivos del retiro de las dos (2) últimas vinculaciones, cuando a ello hubiere lugar, debidamente certificadas por el nominador.
11. Código y nombre de la persona a la que se encuentra vinculado.
12. Tipo de vinculación.
13. Descripción de funciones que desempeña.
14. Entidad de certificación que lo acredita.
15. Modalidad o modalidades de certificación con las que cuenta.
16. Las sanciones en firme de que haya sido sujeto por parte de alguna autoridad por los aspectos contemplados en los numerales 1 a 5 del artículo 5.4.2.1.4 del presente decreto.
PARÁGRAFO. La persona a la cual se encuentre vinculado el profesional certificado o la persona natural que desarrolle operaciones de corretaje deberán actualizar la información a que se refiere el presente artículo cuando menos cada año y, en todo caso, siempre que se presenten modificaciones a la misma. En caso de desvinculación de la persona inscrita en el RNPMV, la persona a la cual se encontraba vinculado el profesional deberá informar inmediatamente la fecha y el motivo de la desvinculación.
ARTÍCULO 5.4.1.1.4 VIGENCIA DE LA INSCRIPCIÓN EN EL RNPMV.
<Fuente original compilada: R. 400/95 Art. 1.1.4.4 adicionado por el D. 3139/06 Art. 1o.> La persona natural permanecerá inscrita en el RNPMV siempre que cuente con la respectiva certificación vigente y siempre que permanezca vinculado a la persona para la cual trabaje o preste sus servicios.
Una vez informada la desvinculación del profesional de conformidad con lo dispuesto en el parágrafo 1 del artículo anterior, la Superintendencia Financiera de Colombia procederá a inactivar la inscripción del profesional del respectivo registro por un lapso de un (1) mes, plazo dentro del cual deberá acreditarse que se encuentra en alguno de los supuestos del artículo 5.4.1.1.2 del presente decreto, con el propósito de que la Superintendencia proceda a reactivar su inscripción sin que resulte necesario surtir ningún trámite adicional. Cuando la desvinculación se deba a una nueva vinculación que ponga al profesional respectivo en uno de los supuestos del referido artículo 5.4.1.1.2, la inscripción se mantendrá sin solución de continuidad.
Para el caso de las personas naturales dedicadas a la actividad de corretaje, se mantendrán inscritas en el RNPMV siempre que cuenten con la respectiva certificación vigente y hasta tanto no informen la decisión de no continuar con el desarrollo de dicha actividad.
DEL PROCESO DE CERTIFICACIÓN.
ARTÍCULO 5.4.2.1.1 CERTIFICACIÓN.
<Fuente original compilada: R. 400/95 Art. 1.1.4.5 adicionado por el D. 3139/06 Art. 1o. Modificado por el D. 4668/07> Se entiende por certificación el procedimiento mediante el cual las personas naturales descritas en el artículo 5.4.1.1.2 del presente decreto, acreditan la capacidad técnica y profesional ante un organismo certificador. Dicho esquema comprenderá, por lo menos, la verificación de los antecedentes personales, y la aprobación y la vigencia del examen de idoneidad profesional. De igual manera, podrá comprender la formación académica y la trayectoria profesional.
ARTÍCULO 5.4.2.1.2 ENTIDAD CERTIFICADORA.
<Fuente original compilada: R. 400/95 Art. 1.1.4.6 adicionado por el D. 3139/06 Art. 1o.> Podrán cumplir la función de certificación los organismos de autorregulación autorizados por la Superintendencia Financiera de Colombia para el efecto.
PARÁGRAFO 1. Exclusivamente podrán ser certificados los profesionales que de manera previa sean presentados por la persona a la cual se encuentren vinculados, salvo en el caso de las personas naturales que desarrollen operaciones de corretaje quienes lo harán de manera directa.
PARÁGRAFO 2. En el evento que un organismo de autorregulación adelante funciones de certificación, deberá establecer mecanismos para que las mismas se ejerzan de forma separada a las labores correspondientes a la función disciplinaria.
PARÁGRAFO 3. Las funciones de certificación de las personas a que se refiere el parágrafo 4o del artículo 5.4.1.1.2 del presente decreto podrán ser cumplidas también por las bolsas de bienes y productos agropecuarios, agroindustriales o de otros commodities.
ARTÍCULO 5.4.2.1.3 REGLAMENTOS DE CERTIFICACIÓN.
<Fuente original compilada: R. 400/95 Art. 1.1.4.7 adicionado por el D. 3139/06 Art. 1o. Modificado por el D. 4668/07> Para el ejercicio de la actividad de certificación, las entidades certificadoras deberán contar con un reglamento en el cual se establezca la forma, procedimientos y requisitos para el ejercicio de dicha función.
El reglamento deberá prever las políticas generales sobre fijación de las tarifas que cobrarán las entidades certificadoras por la labor de certificación.
El reglamento deberá contar con la autorización previa de la Superintendencia Financiera de Colombia
ARTÍCULO 5.4.2.1.4 OBLIGACIONES DE LA ENTIDAD CERTIFICADORA.
<Fuente original compilada: R. 400/95 Art. 1.1.4.8 adicionado por el D. 3139/06 Art. 1o. Modificado por el D. 4668/07> Corresponde a las entidades certificadoras verificar los antecedentes personales de las personas naturales obligadas a inscribirse en el RNPMV. Las entidades certificadoras deberán negar la respectiva certificación, cuando en el proceso de acreditación de antecedentes verifiquen la ocurrencia de cualquiera de las siguientes situaciones:
1. Cuando la Superintendencia Financiera de Colombia hubiere impuesto al aspirante la sanción consistente en remoción del cargo, dentro de los cinco (5) años anteriores al momento de la solicitud de certificación, contados a partir del momento de la ejecutoria del acto que impuso la sanción.
2. Cuando el aspirante se encuentre suspendido o inhabilitado por la Superintendencia Financiera de Colombia para el ejercicio de aquellos cargos que requieran para su desempeño la posesión ante dicha entidad, o para realizar funciones de administración, dirección o control de las entidades sometidas a su inspección y vigilancia.
3. Cuando el aspirante hubiere sido objeto de cancelación o suspensión de la inscripción a título de sanción, en el Registro Nacional de Agentes del Mercado de Valores, RNAMV, o en el Registro Nacional de Profesionales del Mercado de Valores, RNPMV, y dicha sanción se encuentre vigente.
4. Cuando el aspirante hubiere sido sancionado por las autoridades administrativas u organismos de control y vigilancia en los casos que establezca la Superintendencia Financiera de Colombia.
5. Cuando el aspirante haya sido condenado dentro de los últimos veinte (20) años contados a partir del momento de la ejecutoria de la providencia que impuso la condena, o cuando la condena se encuentre vigente, por un delito doloso, contra el sistema financiero, contra el patrimonio económico, contra la administración pública, por lavado de activos, por enriquecimiento ilícito, por tráfico de estupefacientes, o por aquellas conductas que se tipifiquen en modificación o sustitución de los delitos antes señalados.
6. Cuando el aspirante se encuentre suspendido o expulsado, o se encuentre sancionado con una medida equivalente a la suspensión o a la expulsión, por decisión de un organismo de autorregulación, de una bolsa de valores, de una bolsa de bienes y productos agropecuarios, agroindustriales o de otros commodities, o de cualquier otro administrador de sistemas de negociación o de registro de operaciones, y la sanción se encuentre vigente.
7. <Numeral modificado el artículo 101 del Decreto 1745 de 2020. El nuevo texto es el siguiente:> Cuando al aspirante se le hubiere declarado la extinción del dominio de conformidad con la Ley 1708 de 2014 o las normas que la modifiquen o sustituyan, dentro de los últimos veinte (20) años contados a partir del momento de la ejecutoria de la providencia que impuso la medida, y con sujeción a lo previsto en los artículos 16 y 217 de dicha ley.
8. Cuando al aspirante le hubieren sido impuestas sanciones administrativas o penales relacionadas con conductas de lavado de activos y narcotráfico, por parte de las autoridades de otros países, en los casos que establezca la Superintendencia Financiera de Colombia.
9. Cuando el aspirante se encuentre reportado en listas de personas y entidades asociadas con organizaciones terroristas, que sean vinculantes para Colombia conforme al Derecho Internacional, de conformidad con el artículo 20 de la Ley 1121 de 2006 las normas que la modifiquen o sustituyan.
PARÁGRAFO 1. La Superintendencia podrá ordenar incluir, en todos los reglamentos de certificación, requisitos objetivos relacionados con la formación académica, la trayectoria profesional, el comportamiento financiero, crediticio, comercial y de servicios de los aspirantes.
PARÁGRAFO 2. La certificación deberá ser revocada en cualquier tiempo por las entidades certificadoras cuando tengan conocimiento y verifiquen que se ha presentado cualquiera de las situaciones descritas en el presente artículo y por las cuales se deba rechazar la respectiva certificación.
PARÁGRAFO 3. Las entidades certificadoras podrán suscribir convenios o memorandos de entendimiento con diferentes entidades o autoridades, tendientes a la obtención de la información que se requiera para adelantar las labores de verificación.
ARTÍCULO 5.4.2.1.5 ALCANCE DE LA CERTIFICACIÓN.
<Fuente original compilada: R. 400/95 Art. 1.1.4.9 adicionado por el D. 3139/06 Art. 1o.> La obtención de la certificación no supone la inscripción en el RNPMV como tampoco la autorización para actuar en el mercado de valores. La entidad certificadora deberá informar a los profesionales que pretenda certificar sobre dicha circunstancia.
De igual manera, la obtención de la certificación no reemplaza los trámites de admisión previstos en los reglamentos de las bolsas y de los sistemas de negociación y de registro.
PARÁGRAFO 1. El organismo certificador deberá informar a la Superintendencia Financiera de Colombia y a las demás entidades certificadoras sobre los procesos de certificación denegados, junto con las causales que motivaron el rechazo.
PARÁGRAFO 2. En el evento que un organismo de autorregulación haya previsto en sus estatutos o reglamentos la inscripción de personas naturales vinculadas a los intermediarios de valores, el trámite de certificación valdrá para los propósitos de admisión al organismo autorregulador.
ARTÍCULO 5.4.2.1.6 VIGENCIA DE LA CERTIFICACIÓN.
<Artículo modificado por el artículo 1 del Decreto 4869 de 2011. El nuevo texto es el siguiente:> La certificación tendrá validez por un periodo de tres (3) años, contados a partir de la fecha de la aprobación del examen de idoneidad profesional.
Antes del vencimiento de dicho término, el profesional deberá adelantar el proceso de renovación de la certificación, a efectos de mantener su inscripción en el RNPMV.
ARTÍCULO 5.4.2.1.7 COMITÉ ACADÉMICO.
<Fuente original compilada: R. 400/95 Art. 1.1.4.11 adicionado por el D. 3139/06 Art. 1o. Modificado por el D. 4668/07> Las entidades certificadoras deberán contar con un comité académico que tendrá como función formular las recomendaciones necesarias para la estructuración, administración y actualización del banco de preguntas, y para el diseño de la metodología que se utilizará en la aplicación y calificación del examen de idoneidad profesional. El reglamento de la entidad certificadora regulará su estructura, periodicidad de reuniones, convocatorias, reglas de quórum, mayorías, funciones, y los mecanismos tendientes a evitar los conflictos de interés de sus miembros.
Las entidades certificadoras deberán proveer lo necesario para el normal funcionamiento del comité académico.
PARÁGRAFO 1. Existirá un comité académico y un banco de preguntas por cada entidad certificadora.
PARÁGRAFO 2. La Superintendencia Financiera de Colombia podrá establecer mecanismos que propendan por mantener estándares mínimos en las funciones que desarrollen los diferentes comités académicos.
ARTÍCULO 5.4.2.1.8 INTEGRACIÓN DEL COMITÉ ACADÉMICO.
<Fuente original compilada: R. 400/95 Art. 1.1.4.12 adicionado por el D. 3139/06 Art. 1o.> El reglamento de funcionamiento que se establezca regulará la integración del comité académico. En todo caso, el mismo deberá estar conformado por un número impar de miembros principales con sus correspondientes suplentes, e incluirá por lo menos miembros representantes de la academia, de la industria y de las entidades certificadoras.
PARÁGRAFO. Sin perjuicio del ejercicio de la facultad de inspección y vigilancia sobre la actividad de las entidades certificadoras, la Superintendencia Financiera de Colombia podrá participar en las sesiones del comité académico.
ARTÍCULO 5.4.2.1.9 PERÍODO DEL COMITÉ ACADÉMICO.
<Artículo derogado por el artículo 4 del Decreto 4869 de 2011>
ARTÍCULO 5.4.2.1.10 PROHIBICIÓN.
<Fuente original compilada: R. 400/95 Art. 1.1.4.14 adicionado por el D. 3139/06 Art. 1o.> Ninguna persona designada como miembro del comité académico podrá participar directa ni indirectamente en el ofrecimiento de cursos de preparación o de capacitación para presentar el examen de idoneidad profesional.
ARTÍCULO 5.4.2.1.11 BANCO DE PREGUNTAS.
<Fuente original compilada: R. 400/95 Art. 1.1.4.15 adicionado por el D. 3139/06 Art. 1o. Modificado por el D. 4668/07> Las entidades certificadoras deberán administrar un banco de preguntas que se utilizarán en la aplicación del examen, así como sus respectivas respuestas, y deberán adoptar los requerimientos técnicos y de seguridad necesarios para evitar la utilización indebida del banco de preguntas, así como los mecanismos necesarios de actualización y de asignación aleatorio de preguntas para generar los exámenes de idoneidad profesional.
DEL EXAMEN DE IDONEIDAD PROFESIONAL.
ARTÍCULO 5.4.3.1.1 DEFINICIÓN.
<Fuente original compilada: R. 400/95 Art. 1.1.4.16 adicionado por el D. 3139/06 Art. 1o.> El examen de idoneidad profesional es una prueba académica que tendrá como objetivo principal la verificación del grado de desarrollo de competencias y habilidades de los profesionales a que se refiere el artículo 5.4.1.1.2 del presente decreto.
ARTÍCULO 5.4.3.1.2 FINALIDAD DEL EXAMEN.
<Fuente original compilada: R. 400/95 Art. 1.1.4.17 adicionado por el D. 3139/06 Art. 1o.> Todas las personas naturales que se encuentren obligadas a inscribirse en el RNPMV deberán aprobar un examen de idoneidad con el propósito de obtener la certificación correspondiente para inscribirse o para permanecer inscrito en dicho registro.
PARÁGRAFO. Cualquier persona natural podrá presentar exámenes de idoneidad profesional, sin que para el efecto se exija algún tipo de relación laboral o de servicios con un agente o intermediario del mercado de valores.
ARTÍCULO 5.4.3.1.3 VIGENCIA DEL EXAMEN.
<Artículo modificado por el artículo 2 del Decreto 4869 de 2011. El nuevo texto es el siguiente:> El examen de idoneidad profesional tendrá una vigencia de tres (3) años contados partir de su fecha de aprobación. Sin embargo, cuando a juicio de la Superintendencia Financiera de Colombia exista un cambio en la regulación, cuando al profesional inscrito en el registro le sean modificadas o asignadas nuevas funciones que requieran de un examen adicional o cuando sea designado para desempeñar un cargo distinto que requiera de inscripción en el mencionado registro, el profesional deberá presentar el examen de idoneidad que corresponda a su nueva situación jurídica, fáctica o funciona según corresponda.
La Superintendencia Financiera de Colombia podrá extender la vigencia del examen de idoneidad y de la certificación de los profesionales que ella determine, hasta por un periodo de cuatro (4) años, siempre que las funciones o responsabilidades asumidas por tales profesionales así lo permitan.
PARÁGRAFO 1. La Superintendencia Financiera de Colombia podrá extender la vigencia del examen a tres (3) años siempre que la entidad certificadora implemente un esquema de actualización periódico que fomente los estándares mínimos requeridos para desarrollar dichas actividades en el mercado de valores.
PARÁGRAFO 2. La Superintendencia Financiera de Colombia podrá extender la vigencia del examen de idoneidad y de la certificación de los profesionales que ella determine, hasta por un periodo de cuatro (4) años, siempre que las funciones o responsabilidades asumidas por tales profesionales así lo permitan.
ARTÍCULO 5.4.3.1.4 APROBACIÓN DEL EXAMEN.
<Fuente original compilada: R. 400/95 Art. 1.1.4.19 adicionado por el D. 3139/06 Art. 1o. Modificado por el D. 4668/07> El organismo certificador determinará en sus reglamentos los niveles mínimos aprobatorios del examen, pero en todo caso, el examinado deberá aprobar por lo menos el setenta por ciento (70%) de cada uno de los componentes básico y especializado del examen.
Las personas que no obtengan el mínimo aprobatorio requerido podrán presentar el examen de idoneidad las veces que considere necesario y en todo caso deberá ajustarse al cronograma de exámenes que establezca la entidad que lo aplica.
ARTÍCULO 5.4.3.1.5 CONFORMACIÓN DEL EXAMEN DE IDONEIDAD.
<Fuente original compilada: R. 400/95 Art. 1.1.4.20 adicionado por el D. 3139/06 Art. 1o.> El examen de idoneidad estará conformado por una parte básica y una parte especializada, cuyo contenido dependerá de la actividad o actividades de intermediación en el mercado de valores que pretenda desempeñar el aspirante.
ARTÍCULO 5.4.3.1.6 COMPONENTE BÁSICO DEL EXAMEN.
<Fuente original compilada: R. 400/95 Art. 1.1.4.21 adicionado por el D. 3139/06 Art. 1o. Modificado por el D. 4668/07> El componente básico del examen de idoneidad podrá contener, entre otras, las siguientes áreas temáticas:
1. Marco regulatorio del mercado de valores.
2. Marco general de autorregulación.
3. Análisis económico y financiero.
4. Administración y control de riesgos financieros.
5. Matemáticas financieras, y
6. Contabilidad.
En todo caso, los exámenes de idoneidad deberán contener las áreas temáticas definidas en los numerales 1 y 2 del presente artículo.
Sin perjuicio de lo anterior, se podrán diseñar diferentes categorías de componentes básicos según las modalidades de certificación que se pretendan obtener, de acuerdo con las funciones que desempeñen los profesionales, de conformidad con lo definido en el reglamento de certificación.
ARTÍCULO 5.4.3.1.7 COMPONENTE ESPECIALIZADO DEL EXAMEN.
<Fuente original compilada: R. 400/95 Art. 1.1.4.22 adicionado por el D. 3139/06 Art. 1o.> El componente especializado del examen estará determinado por la actividad o actividades de intermediación en el mercado de valores que pretenda desempeñar el aspirante. Sin embargo se deberán estructurar exámenes por lo menos en las siguientes áreas de especialización:
1. Negociación de instrumentos de renta fija.
2. Negociación de instrumentos de renta variable.
3. Negociación de instrumentos de derivados con subyacente financiero.
4. <Numeral modificado el artículo 102 del Decreto 1745 de 2020. El nuevo texto es el siguiente:> Administración de fondos.
5. Administración de fondos mutuos de inversión.
PARÁGRAFO 1. Tanto las personas con inscripción vigente como los aspirantes a inscripción podrán presentar exámenes y certificarse en una o varias áreas de especialización.
PARÁGRAFO 2. Las personas naturales que al interior de las sociedades comisionistas estructuren, dirijan y ejecuten operaciones de comisión, corretaje o cuenta propia sobre bienes y productos agropecuarios, agroindustriales y otros commodities, así como las personas naturales que asesoren o promocionen los servicios de registro que ofrecen los miembros de las bolsas de bienes y productos agropecuarios, agroindustriales o de otros commodities deberán presentar un examen de idoneidad acorde a las especificidades del mercado en el cual actúan, para lo cual el comité académico establecerá una modalidad de examen que atienda tales particularidades.
DE LA ENTIDAD APLICANTE DEL EXAMEN.
ARTÍCULO 5.4.4.1.1 DEFINICIÓN.
<Fuente original compilada: R. 400/95 Art. 1.1.4.23 adicionado por el D. 3139/06 Art. 1o.> Se entiende por entidades aplicantes las personas jurídicas que ejerzan funciones de autorregulación, las bolsas de valores, las organizaciones gremiales o profesionales y las instituciones de educación superior debidamente constituidas, que hayan sido autorizadas previamente por la Superintendencia Financiera de Colombia para proveer el examen en cualquiera de sus especialidades.
ARTÍCULO 5.4.4.1.2 APLICACIÓN DIRECTA DEL EXAMEN.
<Fuente original compilada: R. 400/95 Art. 1.1.4.24 adicionado por el D. 3139/06 Art. 1o.> La entidad certificadora que opte por aplicar directamente los exámenes de idoneidad deberá manifestar tal situación en los reglamentos de certificación y no requerirá adelantar una autorización adicional para el efecto. En tal caso deberá anexar junto con el reglamento de certificación el reglamento de aplicación del examen.
En todo caso, la Superintendencia Financiera de Colombia aprobará cualquier modificación que se pretenda efectuar en el reglamento de certificación así como en el reglamento de aplicación del examen.
ARTÍCULO 5.4.4.1.3 APLICACIÓN DEL EXAMEN POR UN TERCERO.
<Fuente original compilada: R. 400/95 Art. 1.1.4.25 adicionado por el D. 3139/06 Art. 1o.> El examen de idoneidad profesional podrá ser aplicado por una institución diferente a la entidad certificadora, siempre que sea una de las organizaciones descritas en el artículo 5.4.4.1.1 del presente decreto.
En este evento, requerirá de autorización previa por la Superintendencia Financiera de Colombia, sin perjuicio de las eventuales autorizaciones a que haya lugar por parte de otras autoridades competentes.
ARTÍCULO 5.4.4.1.4 REGLAMENTO DE APLICACIÓN DEL EXAMEN.
<Fuente original compilada: R. 400/95 Art. 1.1.4.26 adicionado por el D. 3139/06 Art. 1o.> Todo reglamento de aplicación del examen deberá contar con la aprobación previa de la Superintendencia Financiera de Colombia, y deberá contener por lo menos los siguientes aspectos:
1. Los recursos humanos, administrativos, financieros y tecnológicos que se utilizarán para la aplicación del examen de idoneidad.
2. Proceso de inscripción y citación que garantice el cubrimiento nacional.
3. Periodicidad de los exámenes, la cual en todo caso deberá ser por lo menos trimestral.
4. Esquema de verificación de la identidad del tomador del examen.
5. Estrategia de seguridad sobre los cuestionarios, preguntas y respuestas.
6. Sistema y proceso de calificación.
7. Estrategia para divulgar los resultados de las evaluaciones.
8. Política de tarifas, y
9. Modelo del examen.
ARTÍCULO 5.4.4.1.5 CURSOS DE PREPARACIÓN.
<Fuente original compilada: R. 400/95 Art. 1.1.4.27> En ningún caso se podrá condicionar la presentación del examen de idoneidad a la aprobación o asistencia obligatoria del curso preparatorio o cualquier otro curso relacionado con dicho examen.
ARTÍCULO 5.4.4.1.6 RÉGIMEN DE TRANSICIÓN DEL RNPMV.
<Fuente original compilada: D. 3139/06 Art. 27 modificado por el D. 4668/07 Art. 9o.> Las personas naturales descritas en el artículo 5.4.1.1.2 del presente decreto que se indican en la columna 1 deberán haber obtenido la certificación a más tardar en las fechas definidas en la columna 2 para poder actuar en el mercado con posterioridad a dichas fechas, y deberán estar inscritas en el RNPMV a más tardar en las fechas indicadas en la columna 3 para poder actuar en el mercado de valores con posterioridad a dichas fechas.
| Profesionales | Certificación | Inscripción RNPMV |
| Operadores del mercado de renta fija y de renta variable | 30 de junio de 2008 | 31 de agosto de 2008 |
| Los demás operadores, incluyendo los del mercado de las bolsas de bienes y productos agropecuarios, agroindustriales o de otros commodities | 31 de agosto de 2008 | 31 de octubre de 2008 |
| Los demás profesionales obligados a certificarse | 31 de diciembre de 2008 | 31 de enero de 2009 |
PARÁGRAFO. Siempre que las normas vigentes exijan la inscripción de un profesional en el Registro Nacional de Profesionales del Mercado de Valores, RNPMV, se entenderá que tal exigencia rige teniendo en cuenta los plazos establecidos en este artículo.
OTROS VALORES OBJETO DE INSCRIPCIÓN EN EL REGISTRO NACIONAL DE VALORES Y EMISORES-RNVE.
<Título reubicado como Título 7 por el artículo 97 del Decreto 1745 de 2020>
CONTRATOS SOBRE ÍNDICES.
ARTÍCULO 5.4.5.1.1 OFRECIMIENTO AL PÚBLICO. <Artículo reubicado como artículo 5.2.7.1.1 por el artículo 97 del Decreto 1745 de 2020>
ARTÍCULO 5.4.5.1.2 DEFINICIÓN. <Artículo reubicado como artículo 5.2.7.1.2 por el artículo 97 del Decreto 1745 de 2020>
ARTÍCULO 5.4.5.1.3 CARACTERÍSTICAS. <Artículo reubicado como artículo 5.2.7.1.3 por el artículo 97 del Decreto 1745 de 2020>
ARTÍCULO 5.4.5.1.4 COMPRAVENTA DE CONTRATOS SOBRE ÍNDICES. <Artículo reubicado como artículo 5.2.7.1.4 por el artículo 97 del Decreto 1745 de 2020>
ARTÍCULO 5.4.5.1.5 CARACTERÍSTICAS DE LOS CONTRATOS DE COMPRAVENTA SOBRE ÍNDICES. <Artículo reubicado como artículo 5.2.7.1.5 por el artículo 97 del Decreto 1745 de 2020>
ARTÍCULO 5.4.5.1.6 INSCRIPCIÓN AUTOMÁTICA. <Artículo reubicado como artículo 5.2.7.1.6 por el artículo 97 del Decreto 1745 de 2020>
RECONOCIMIENTO DE LA CALIDAD DE VALOR.
ARTÍCULO 5.4.5.2.1 CERTIFICADOS FIDUCIARIOS CON SUBYACENTE AGROPECUARIO, AGROINDUSTRIAL O DE OTROS COMMODITIES. <Artículo reubicado como artículo 5.2.7.2.1 por el artículo 97 del Decreto 1745 de 2020>
ARTÍCULO 5.4.5.2.2 CERTIFICADOS DE DEPÓSITOS DE PRODUCTOS AGROPECUARIOS, AGROINDUSTRIALES U OTROS COMMODITIES. <Artículo reubicado como artículo 5.2.7.2.2 por el artículo 97 del Decreto 1745 de 2020>
ARTÍCULO 5.4.5.2.3 CONTRATOS ESTANDARIZADOS SOBRE PRODUCTOS AGROPECUARIOS, AGROINDUSTRIALES U OTROS COMMODITIES. <Artículo reubicado como artículo 5.2.7.2.3 por el artículo 97 del Decreto 1745 de 2020>
AGENCIA NUMERADORA NACIONAL.
ARTÍCULO 5.5.1.1.1 DEFINICIÓN.
<Fuente original compilada: R. 400/95 Art. 1.1.5.1 modificado por el D. 3139/06> La función de agencia numeradora nacional consiste en el proceso de generación, asignación y divulgación de códigos a todas las emisiones de valores que se encuentren inscritas o que pretendan inscribirse en el RNVE.
ARTÍCULO 5.5.1.1.2 EJERCICIO DE LA FUNCIÓN.
<Fuente original compilada: R. 400/95 Art. 1.1.5.2 modificado por el D. 3139/06> La Superintendencia Financiera de Colombia será la Agencia Numeradora Nacional de Valores. No obstante, dicha entidad podrá autorizar el ejercicio de la función de agencia numeradora nacional a un depósito centralizado de valores, cuando se acrediten, de manera previa, los requerimientos establecidos en el artículo siguiente.
ARTÍCULO 5.5.1.1.3 REQUISITOS.
<Fuente original compilada: R. 400/95 Art. 1.1.5.3 modificado por el D. 3139/06> El depósito centralizado de valores deberá acreditar y mantener durante todo el tiempo en que permanezca en el ejercicio de la función de agencia numeradora nacional los siguientes requisitos:
1. Inscripción vigente en el RNAMV.
2. <Numeral modificado el artículo 103 del Decreto 1745 de 2020. El nuevo texto es el siguiente:> La adopción de estándares internacionales en la expedición de los códigos de la emisión, para lo cual deberá afiliarse a la Asociación Internacional de Agencias Numeradoras (Association of National Numbering Agencies "ANNA") o al organismo que haga sus veces.
3. El pago de las cuotas de afiliación a la Asociación Internacional de Agencias Numeradoras “ANNA”, cuando ello sea decretado por el órgano competente de dicha Asociación.
4. La infraestructura tecnológica necesaria para asignar los códigos de la emisión así como para su divulgación, en tiempo real, a la Superintendencia Financiera de Colombia, a las bolsas, a los otros depósitos y a los sistemas de negociación.
PARÁGRAFO. La Superintendencia Financiera de Colombia determinará la forma y procedimientos para el correcto funcionamiento de la función de agencia numeradora nacional en cabeza de un depósito centralizado de valores.
ARTÍCULO 5.5.1.1.4 COSTO. <Artículo modificado el artículo 104 del Decreto 1745 de 2020. El nuevo texto es el siguiente:>
La asignación del código por parte de la Agencia Numeradora Nacional no deberá generar ningún costo adicional para los emisores de valores, los sistemas de negociación, las bolsas de valores, las bolsas de bienes y productos agropecuarios, agroindustriales o de otros commodities, ni los depósitos centralizados de valores, siempre y cuando aquella no se encuentre obligada a pagar una cuota de afiliación a la Asociación Internacional de Agencias Numeradoras (Association of National Numbering Agencies "ANNA") o al organismo que haga sus veces.
ARTÍCULO 5.5.1.1.5 CANCELACIÓN DE LA DESIGNACIÓN.
<Fuente original compilada: R. 400/95 Art. 1.1.5.5 modificado por el D. 3139/06> La Superintendencia Financiera de Colombia podrá reasumir las funciones de agencia numeradora cuando a su juicio considere que no se esté prestando dicha función de conformidad con los requerimientos del mercado o cuando se deje de cumplir cualquiera de los requisitos establecidos en el artículo 5.5.1.1.3 del presente decreto. Así mismo, por las mismas causales podrá ordenar que dicha función sea asumida por otro depósito centralizado de valores.
PARÁGRAFO. <Parágrafo modificado el artículo 105 del Decreto 1745 de 2020. El nuevo texto es el siguiente:> En el evento en que la Superintendencia Financiera de Colombia reasuma las funciones de agencia numeradora, de manera previa a la afiliación a la Asociación Internacional de Agencias Numeradoras (Association of National Numbering Agencies "ANNA") o al organismo que haga sus veces, se deberá dar cumplimiento a lo dispuesto en el parágrafo del artículo 72 de la Ley 964 de 2005.
ARTÍCULO 5.5.1.1.6 CONFIDENCIALIDAD DE LA INFORMACIÓN.
<Fuente original compilada: R. 400/95 Art. 1.1.5.6 modificado por el D. 3139/06> La información entregada por el emisor para la asignación del código respectivo estará sometida a la protección y confidencialidad del depósito.
PROCESOS DE TITULARIZACIÓN.
DISPOSICIONES GENERALES.
ARTÍCULO 5.6.1.1.1 CREACIÓN DE VALORES A PARTIR DEL MECANISMO DE TITULARIZACIÓN.
<Fuente original compilada: R. 400/95 Art. 1.3.1.1> Sólo podrá realizarse oferta pública sobre valores con sujeción a las disposiciones contempladas sobre la materia en el presente Decreto o a través de los mecanismos especiales previstos en el presente Libro para la creación de nuevos valores.
La inscripción en el Registro Nacional de Valores y Emisores-RNVE y la oferta pública de dichos valores se ceñirá a las disposiciones contenidas en este decreto y en las normas que la modifiquen o reformen.
PARÁGRAFO. No podrá realizarse oferta pública de títulos valores u otros instrumentos sin la previa autorización de la Superintendencia Financiera de Colombia.
ARTÍCULO 5.6.1.1.2 VÍAS JURÍDICAS.
<Fuente original compilada: R. 400/95 Art. 1.3.1.2> De conformidad con lo dispuesto en el presente artículo, la titularización puede llevarse a efecto a partir de las siguientes vías:
1. <Numeral modificado el artículo 106 del Decreto 1745 de 2020. El nuevo texto es el siguiente:> Contratos de fiducia mercantil irrevocables, utilizando o no el mecanismo de fondos de inversión colectiva. En el caso de entidades sometidas al Estatuto General de Contratación de la Administración Pública, los procesos se sujetarán al mecanismo de fiducia previsto en las normas pertinentes.
2. <Numeral modificado el artículo 106 del Decreto 1745 de 2020. El nuevo texto es el siguiente:> Constitución de un fondo de inversión colectiva.
ARTÍCULO 5.6.1.1.3 AGENTES DE MANEJO DE LA TITULARIZACIÓN.
<Fuente original compilada: R. 400/95 Art. 1.3.1.3> Las sociedades fiduciarias, con sujeción a la normativa que regula su actividad, podrán ser agentes de manejo de la titularización.
Así mismo, y con sujeción a lo establecido en el presente decretopara las sociedades fiduciarias, podrán ser agentes de manejo las instituciones financieras de creación legal que la ley autoriza para celebrar contratos de fiducia.
PARÁGRAFO. La actuación de los agentes de manejo de la titularización se sujetará a las regulaciones sobre conflictos de interés expedidas por la respectiva entidad estatal de vigilancia.
ARTÍCULO 5.6.1.1.4 BIENES O ACTIVOS OBJETO DE LA TITULARIZACIÓN.
<Fuente original compilada: R. 400/95 Art. 1.3.1.4 Modificado por el D. 1340/08 Art. 6o.> Podrán estructurarse procesos de titularización a partir de los siguientes activos o bienes: títulos de deuda pública, títulos inscritos en el Registro Nacional de Valores y Emisores, cartera de crédito, documentos de crédito, activos inmobiliarios, productos agropecuarios, agroindustriales u otros commodities, y rentas y flujos de caja determinables con base en estadísticas de los últimos tres años o en proyecciones de por lo menos tres años continuos.
No obstante lo anterior, la Superintendencia Financiera de Colombia podrá autorizar la estructuración de procesos con bienes o activos diferentes de los anteriormente señalados, así como abstenerse de autorizar procesos de titularización, esto último en los siguientes casos:
1. Cuando existan circunstancias de las cuales se derive un temor fundado de causar un daño al mercado.
2. Tratándose de entidades emisoras de valores o de establecimientos de crédito que actúen como originadores, cuando la operación afecte la solvencia o estabilidad financiera de la entidad.
3. Cuando la Superintendencia Financiera de Colombia abrigue dudas fundadas sobre el impacto negativo que la operación pueda tener sobre el establecimiento de crédito originador.
4. Cuando las condiciones financieras y económicas del mercado así lo ameriten.
PARÁGRAFO 1. Los procesos de titularización podrán iniciarse a partir de la conformación de fondos o patrimonios con sumas de dinero destinadas a la adquisición de cualesquiera de los bienes arriba enunciados.
PARÁGRAFO 2. Sólo en los procesos de titularización efectuados para el desarrollo actividad energética, obras públicas de infraestructura, prestación de servicios públicos y productos agropecuarios, agroindustriales u otros commodities, adelantados por entidades públicas o privadas, se podrán utilizar proyecciones de flujos futuros como base de la estructuración del proceso.
ARTÍCULO 5.6.1.1.5 NUEVOS INSTRUMENTOS FINANCIEROS.
<Fuente original compilada: R. 400/95 Art. 1.3.1.5> Los valores emitidos como resultado de procesos de titularización podrán adoptar las siguientes modalidades:
1. Títulos corporativos o de participación: En los cuales el inversionista adquiere un derecho o alícuota en el patrimonio conformado por los activos objeto de movilización. El inversionista no adquiere un título de rendimiento fijo sino que participa en las utilidades o pérdidas que genere el negocio objeto del contrato.
<Inciso modificado el artículo 107 del Decreto 1745 de 2020. El nuevo texto es el siguiente:> Los títulos de participación podrán prever su redención parcial o total con antelación a la extinción del patrimonio o fondo de inversión colectiva, por razón de la liquidación de parte de sus activos.
2. Títulos de contenido crediticio: los cuales incorporan el derecho a percibir la cancelación del capital y de los rendimientos financieros en los términos y condiciones señalados en el título. Los activos que integran el patrimonio autónomo respaldan el pasivo adquirido con los inversionistas, correspondiendo al agente de manejo adoptar las medidas necesarias para obtener el recaudo de los flujos requeridos para la atención oportuna de las obligaciones contenidas en los valores emitidos.
3. Títulos mixtos: Son aquellos que de manera adicional a los derechos que confiere un título de participación pueden ser amortizables o pueden tener una rentabilidad mínima o un límite máximo de participación.
ARTÍCULO 5.6.1.1.6 NEGOCIACIÓN DE LOS NUEVOS VALORES.
<Fuente original compilada: R. 400/95 Art. 1.3.1.6> Los documentos emitidos como resultado de procesos de titularización tendrán el carácter y prerrogativas propias de los títulos valores y se sujetarán a las reglas previstas para la negociación de los mismos, siempre que, además de contener los requisitos esenciales de los títulos valores, esto es, la mención del derecho que incorporan y la firma de quien los crea, reúnan los siguientes:
1. Se inscriban en el Registro Nacional de Valores y Emisores-RNVE;
2. Sean susceptibles de ser colocados mediante oferta pública;
3. Incorporen derechos de participación o de contenido crediticio, o sean de naturaleza mixta.
PARÁGRAFO. No habrá lugar a la acción cambiaria de regreso respecto de los nuevos valores emitidos en procesos de titularización.
ARTÍCULO 5.6.1.1.7 LEY DE CIRCULACIÓN.
<Fuente original compilada: R. 400/95 Art. 1.3.1.7> Los valores emitidos en desarrollo de procesos de titularización podrán ser nominativos o a la orden.
<Fuente original compilada: R. 400/95 Art. 1.3.1.8> El plazo de redención final de los títulos no será inferior a un (1) año. No obstante, podrán efectuarse amortizaciones parciales a término inferior a un (1) año, siempre que la sumatoria de las mismas no supere el treinta por ciento (30%) del valor del capital del título. La Superintendencia Financiera de Colombia podrá autorizar títulos con redención inferior o con amortizaciones parciales que superen el porcentaje mencionado, cuando las condiciones particulares del proceso así lo requieran.
<Inciso modificado el artículo 108 del Decreto 1745 de 2020. El nuevo texto es el siguiente:> El plazo máximo de redención de los títulos no podrá superar el plazo del contrato que dio origen a la conformación del patrimonio o del fondo de inversión colectiva.
ARTÍCULO 5.6.1.1.9 VALUACIÓN DEL PATRIMONIO O FONDO. <Fuente original compilada: R. 400/95 Art. 1.3.1.9>
<Inciso modificado el artículo 109 del Decreto 1745 de 2020. El nuevo texto es el siguiente:> El agente de manejo de la titularización presentará a la Superintendencia Financiera de Colombia el método o procedimiento de valuación del patrimonio autónomo o del fondo de inversión colectiva con cargo al cual se emiten los valores.
La periodicidad de la valuación, expresada en pesos y en unidades, se sujetará a las instrucciones particulares impartidas por la Superintendencia Financiera de Colombia, en atención a la naturaleza de los activos objeto de la titularización.
MECANISMOS DE ESTRUCTURACIÓN.
ARTÍCULO 5.6.2.1.1 CONTRATOS DE FIDUCIA MERCANTIL IRREVOCABLES.
<Fuente original compilada: R. 400/95 Art. 1.3.2.1> A través de este mecanismo los fideicomitentes transfieren los bienes que constituirán la base del proceso, o las sumas de dinero destinadas a la adquisición de bienes que harán parte del patrimonio autónomo. En desarrollo del contrato, la fiduciaria, actuando en representación del patrimonio autónomo, emitirá los títulos movilizadores, recaudará los fondos provenientes de la emisión y se vinculará jurídicamente en virtud de tal representación con los inversionistas conforme a los derechos incorporados en los títulos.
De manera adicional a las cláusulas propias del contrato de fiducia mercantil, se incluirán las relativas a los mecanismos de seguridad del proceso consagrados en el presente decreto.
qweArtículo 5.6.2.1.2 Constitución de fondos de inversión colectiva. <Artículo modificado el artículo 110 del Decreto 1745 de 2020. El nuevo texto es el siguiente:>
La titularización se podrá instrumentar por la vía de fondos de inversión colectiva constituidos con el objeto de hacer oferta pública de valores o mediante la inscripción en el Registro Nacional de Valores y Emisores - RNVE de las constancias de vinculación a un fondo de inversión colectiva en operación, a fin de otorgarles liquidez en el mercado secundario.
La utilización de este mecanismo se entiende sin perjuicio del cumplimiento de las disposiciones de la Superintendencia Financiera de Colombia en lo concerniente a los reglamentos de tales fondos.
PARTES EN EL PROCESO.
ARTÍCULO 5.6.3.1.1 PARTES EN EL PROCESO DE TITULARIZACIÓN.
<Fuente original compilada: R. 400/95 Art. 1.3.3.1> En un proceso de titularización participan las siguientes partes:
1. <Inciso 1 modificado el artículo 111 del Decreto 1745 de 2020. El nuevo texto es el siguiente:> La originadora: se considera como tal una o más personas que transfieren los bienes o activos base del proceso de titularización, cuya presencia no resulta esencial en los procesos estructurados a partir de la conformación de fondos de inversión colectiva.
Así mismo, pueden tener la calidad de originador entidades financieras del exterior, al igual que entidades públicas y privadas extranjeras.
2. El agente de manejo: que es quien como vocero del patrimonio autónomo emisor de los valores, recauda los recursos provenientes de dicha emisión y se relaciona jurídicamente con los inversionistas en virtud de tal vocería, conforme a los derechos incorporados en los títulos. Previa verificación del cumplimiento de los requisitos contenidos en este Libro, el agente solicitará la autorización respectiva ante la Superintendencia Financiera de Colombia.
<Inciso modificado el artículo 111 del Decreto 1745 de 2020. El nuevo texto es el siguiente:> El agente propenderá por el manejo seguro y eficiente de los recursos que ingresen al patrimonio o fondo, como producto de la colocación de los títulos o procedentes de flujos generados por los activos.
PARÁGRAFO. (Adicionado R. 155/03 Art. 6o.) En las emisiones de valores garantizadas el agente de manejo deberá además realizar todas las gestiones, judiciales o extrajudiciales, encaminadas a la defensa de los intereses de los tenedores.
3. La administradora: es la entidad encargada de la conservación, custodia y administración de los bienes o activos objeto de la titularización, así como del recaudo y transferencia al agente de los flujos provenientes de los activos. Puede tener esta calidad la originadora misma, el agente de manejo o una entidad diferente. En cualquier caso, la actuación de la administradora no exonera de responsabilidad al agente en la realización diligente de los actos necesarios para la consecución de la finalidad del proceso de titularización.
4. La colocadora: es la entidad que, facultada por su objeto social, puede actuar como suscriptor profesional o underwriter, conforme al régimen legal pertinente. La existencia de esta entidad no es esencial en los procesos de titularización, toda vez que la emisión puede ser colocada directamente por el agente de manejo o celebrando al efecto un contrato de comisión.
TITULARIZACIÓN DE CARTERA DE CRÉDITOS Y OTROS ACTIVOS GENERADORES DE UN FLUJO DE CAJA.
ARTÍCULO 5.6.4.1.1 CARACTERÍSTICAS DE LOS ACTIVOS O BIENES.
<Fuente original compilada: R. 400/95 Art. 1.3.4.1> Los procesos de titularización de cartera de créditos se ceñirán a las siguientes reglas especiales, además de las generales establecidas en el Título 1 del presente Libro, cuyo cumplimiento será previamente verificado por el agente de manejo de la titularización:
1. Debe establecerse matemática o estadísticamente el flujo de caja generado por los bienes o activos titularizables.
2. Tratándose de cartera de crédito deberá especificarse la categoría o combinación de categorías a la que corresponden los créditos, conforme a las normas sobre evaluación de cartera expedidas por la Superintendencia Financiera de Colombia. El cumplimiento del requisito se acreditará mediante certificación del revisor fiscal de la respectiva entidad financiera.
Tratándose de cartera de entidades no vigiladas por la Superintendencia Financiera de Colombia, la calidad de los créditos deberá corresponder a las condiciones de dichas categorías, según certificación del revisor fiscal de la empresa.
ARTÍCULO 5.6.4.1.2 ÍNDICES DE SINIESTRALIDAD.
<Fuente original compilada: R. 400/95 Art. 1.3.4.2> Para efecto de la autorización del proceso de títularización se deberán adjuntar los análisis que permitan establecer el índice de siniestralidad general de la cartera a la cual corresponden los créditos objeto de movilización. Al efecto se considerarán las variables que puedan incidir en eventuales pérdidas del patrimonio constituido para efecto de la titularización, como en la desviación del flujo financiero esperado.
Dentro de tales variables se considerarán parámetros tales como:
1. Porcentaje de cartera castigada durante los últimos tres (3) años, excluyendo la cartera recuperada.
2. Porcentaje de cartera no castigada que haya presentado morosidades de 30, 60 y 90 o más días a partir de su vencimiento, durante los últimos tres (3) años.
3. Consideración de la existencia de garantías y coberturas que amparen los bienes objeto de la titularización e idoneidad de las mismas.
4. Ponderación de otros factores indicativos de riesgo dependiendo de la clase específica de cartera, tales como el tiempo de vinculación del cliente con la entidad.
5. La metodología ponderará tanto el comportamiento promedio de la cartera como los casos extremos de siniestro.
6. Consideración de riesgos previsibles en el futuro, tales como máxima pérdida posible en escenarios de depresión económica.
PARÁGRAFO. Las variables señaladas en los numerales 1 y 2 deberán considerarse necesariamente en todo proceso de titularización de cartera de créditos.
ARTÍCULO 5.6.4.1.3 DETERMINACIÓN DE LOS ÍNDICES DE SINIESTRALIDAD.
<Fuente original compilada: R. 400/95 Art. 1.3.4.3> Para la aplicación de los mecanismos internos o externos de seguridad previstos en el artículo siguiente, el índice de siniestralidad de la cartera se tomará con referencia a:
1. Tratándose de cartera nueva -aquella cuya historia es inferior a tres (3) años- se tomará como índice el factor de siniestralidad de la cartera general del originador, referido a la clase de cartera a la que pertenecen los créditos objeto de la titularización.
2. <Numeral modificado el artículo 112 del Decreto 1745 de 2020. El nuevo texto es el siguiente:> Tratándose de cartera de historia superior a tres (3) años, se tomará el mayor de los valores resultantes de determinar el índice de siniestralidad general de la cartera en la clase correspondiente y el especial, referido concretamente a la cartera que se va a titularizar. En todo caso, el factor resultante no podrá exceder el cien por ciento (100%) del valor de los créditos transferidos al patrimonio o fondo de inversión colectiva, junto con el de sus correspondientes intereses.
ARTÍCULO 5.6.4.1.4 MECANISMOS DE SEGURIDAD O DE APOYO CREDITICIO.
<Fuente original compilada: R. 400/95 Art. 1.3.4.4> En los esquemas de titularización de cartera o de otros activos generadores de un flujo deberán incorporarse mecanismos de seguridad o de apoyo crediticio, a través de los cuales se cubra como mínimo en una vez y medio el índice de siniestralidad o coeficiente de desviación del flujo de caja esperado.
PARÁGRAFO. <Parágrafo modificado por el artículo 13 del Decreto 1019 de 2014. El nuevo texto es el siguiente:> Los procesos de titularización cuyos títulos se negocien en el Segundo Mercado no tendrán que incorporar mecanismos de cobertura, pudiendo en todo caso ser calificados por una entidad autorizada de conformidad con lo establecido en el artículo 5.2.3.2.2 del presente decreto o avalados o garantizados por una entidad autorizada de conformidad 5.2.3.2.4 del presente decreto.
ARTÍCULO 5.6.4.1.5 MECANISMOS INTERNOS DE SEGURIDAD O DE APOYO CREDITICIO.
<Fuente original compilada: R. 400/95 Art. 1.3.4.5> Dentro de los mecanismos de seguridad o apoyo crediticio internos se podrán utilizar alternativamente o en forma combinada los siguientes:
1. Subordinación de la emisión: Implica que el originador o una tercera entidad asuma, mediante la suscripción de una porción de los valores emitidos, el cubrimiento mínimo de una vez y media veces el índice de siniestralidad. A dicha porción se imputarán hasta agotarla, los siniestros o faltantes de activos, mientras que a la porción no subordinada se destinarán en primer término, los flujos requeridos para la atención de capital e intereses incorporados en tales títulos.
Los títulos que conforman la porción subordinada, sin que por ello pierdan el carácter de subordinados, podrán ser colocados en el mercado, siempre que previamente hayan sido objeto de calificación y que esta considere el riesgo derivado de su condición de subordinados.
2. Sobrecolateralización de la cartera: Consiste en que el monto de los activos fideicometidos o entregados a la sociedad que obra como agente de manejo de la titularización, exceda el valor de los títulos emitidos en forma tal que cubra como mínimo en una vez y medio el índice de siniestralidad. A la porción excedente se imputarán los siniestros o faltantes en cartera.
3. Exceso de flujo de caja: Este mecanismo es factible cuando existe un margen diferencial o excedente entre el rendimiento generado por la cartera y la tasa de interés pagada al inversionista.
Con dicho exceso se constituirá un fondo que cubrirá el índice de siniestralidad en el cubrimiento mínimo establecido.
4. Sustitución de cartera: Es el mecanismo de sustitución de créditos que en el curso del proceso varíen de categoría en forma tal que se incremente el riesgo de su normal recaudo. La obligación de sustitución que asume el originador deberá cubrir el índice de siniestralidad en el mínimo señalado.
5. Contratos de apertura de crédito a través de los cuales se disponga, por cuenta del originador y a favor del patrimonio autónomo, de líneas de crédito para atender necesidades de liquidez de dicho patrimonio, las cuales deberán ser atendidas por el establecimiento de crédito a solicitud del agente de manejo, quien en representación del patrimonio autónomo tomará la decisión de reconstituir el flujo con base en el crédito.
6. Aval del originador: Las entidades originadoras de procesos de titularización podrán avalar las emisiones de nuevos valores emitidos en desarrollo de tales procesos, cuando se acredite capacidad patrimonial para ello. Esta se determinará estableciendo el excedente sobre los siguientes factores: la sumatoria del capital, la prima en colocación de acciones y las reservas, menos las pérdidas y el valor de las emisiones de bonos y de papeles comerciales en circulación, cuando sea del caso.
Tratándose de entidades financieras tal aval se conferirá conforme a la normativa que regula dichas operaciones.
ARTÍCULO 5.6.4.1.6 MECANISMOS EXTERNOS DE SEGURIDAD.
<Fuente original compilada: R. 400/95 Art. 1.3.4.6> Dentro de los mecanismos externos se podrán utilizar los siguientes, siempre y cuando tengan permanentemente la cobertura señalada en el artículo 5.6.4.1.4 del presente decreto.
1. Avales o garantías otorgados por instituciones financieras y aseguradoras, en los casos en que procedan conforme a las disposiciones de la autoridad competente.
2. Seguro de crédito.
3. Depósitos de dinero a que se refiere el artículo 1173 del Código de Comercio.
4. Contratos irrevocables de fiducia mercantil de garantía en los cuales el patrimonio autónomo a cuyo cargo se emiten los títulos tenga la calidad de beneficiario y siempre que:
4.1.Los bienes fideicomitidos sean títulos de deuda, emitidos, aceptados, avalados o garantizados en cualquier otra forma por la Nación, el Banco de la República, los establecimientos de crédito vigilados por la Superintendencia Financiera de Colombia; o bonos o papeles comerciales inscritos en bolsa. La Superintendencia Financiera de Colombia podrá autorizar en cada caso otros títulos que reúnan similares características de seguridad y liquidez a los anteriormente enunciados.
4.2. El valor de los bienes transferidos no sea inferior al cubrimiento de una vez y media veces el índice de siniestralidad establecido.
4.3 Se prevean en forma inequívoca y objetiva las condiciones para la enajenación del bien en caso de incumplimiento de las obligaciones incorporadas en los títulos emitidos en el proceso de titularización.
TITULARIZACIÓN INMOBILIARIA.
ARTÍCULO 5.6.5.1.1 TITULARIZACIÓN DE UN INMUEBLE. <Artículo modificado por el artículo 4 del Decreto 2090 de 2017. El nuevo texto es el siguiente:>
Consiste en la transferencia de un activo inmobiliario con el propósito de efectuar su transformación en valores mobiliarios. El patrimonio autónomo así constituido puede emitir títulos de participación, de contenido crediticio o mixtos.
En ningún caso el valor de la emisión excederá del ciento diez por ciento (110%) del avalúo del inmueble.
El patrimonio autónomo a que se refiere el inciso primero del presente artículo, también podrá constituirse con derechos fiduciarios de otros patrimonios autónomos conformados por bienes inmuebles, caso en el cual el valor de la emisión se determinará de acuerdo con la siguiente fórmula:

Donde:
VT = Valor total de la emisión
Ai = Valor del avalúo de los bienes inmuebles del patrimonio autónomo i
DFi = Valor de los derechos fiduciarios del patrimonio autónomo i que se van a titularizar
DFTi = Valor total de los derechos fiduciarios del patrimonio autónomo i.
ARTÍCULO 5.6.5.1.2 TITULARIZACIÓN DE UN PROYECTO DE CONSTRUCCIÓN.
<Fuente original compilada: R. 400/95 Art. 1.3.5.2> Podrán emitirse títulos mixtos o títulos de participación que incorporen derechos alícuotas o porcentuales sobre un patrimonio autónomo constituido con un lote y los diseños, estudios técnicos y de prefactibilidad económica, programación de obra y presupuestos necesarios para adelantar la construcción del inmueble o inmuebles que contemple el proyecto inmobiliario objeto de la titularización.
El inversionista es partícipe del proyecto en su conjunto, obteniendo una rentabilidad derivada de la valorización del inmueble, de la enajenación de unidades de construcción o, en general, del beneficio obtenido en el desarrollo del proyecto.
El patrimonio autónomo también puede constituirse con sumas de dinero destinadas a la adquisición del lote o a la ejecución del proyecto.
ARTÍCULO 5.6.5.1.3 AGENTES DE MANEJO.
<Fuente original compilada: R. 400/95 Art. 1.3.5.3> Solamente podrán ser agentes de manejo de procesos de titularización inmobiliaria las sociedades fiduciarias y las instituciones financieras de creación legal a que se refiere el artículo 5.6.1.1.3 del presente decreto.
<Fuente original compilada: R. 400/95 Art. 1.3.5.4> Los valores que en forma serial o masiva se emitan en desarrollo de procesos de titularización inmobiliaria para efectuar oferta pública de los mismos, deberán inscribirse en el Registro Nacional de Valores Emisores-RNVE.
Los citados valores podrán ser inscritos en las bolsas de valores.
TITULARIZACIÓN DE INMUEBLE.
ARTÍCULO 5.6.6.1.1 REGLAS PARTICULARES.
<Fuente original compilada: R. 400/95 Art. 1.3.6.1> La realización de esta clase de procesos se sujetará especialmente al cumplimiento de los siguientes requisitos, además de las disposiciones generales contenidas en el Título 1 del presente Libro.
1. Existencia de un avalúo, cuando menos, elaborado de acuerdo con métodos de reconocido valor técnico, expedido por un miembro de una lonja de propiedad raíz o certificado por tal agremiación, o efectuado por un avaluador inscrito en el Registro Nacional de Avaluadores.
Se entenderá como avalúo actualizado aquel que no tenga más de seis meses de antelación a la fecha de radicación de la solicitud ante la Superintendencia Financiera de Colombia.
El avalúo deberá ser efectuado por avaluadores independientes del originador y del agente de manejo.
2. El activo inmobiliario objeto de titularización deberá estar libre de gravámenes, condiciones resolutorias o limitaciones de dominio diversas a las derivadas del régimen de propiedad horizontal. Lo anterior se acreditará mediante el certificado de matrícula inmobiliaria, acompañado del estudio del título respectivo.
3. Tratándose de esquemas en los cuales el flujo de caja constituya factor preponderante en la rentabilidad ofrecida al inversionista deberán incorporarse mecanismos de cobertura internos o externos que permitan cubrir en una vez y medio el coeficiente de desviación del flujo ofrecido.
4. Los inmuebles objeto de la titularización deberán permanecer asegurados contra riesgos de incendio y terremoto, durante la vigencia del contrato de fiducia mercantil.
5. El monto de la emisión de títulos de participación, mixtos o de contenido crediticio se sujetará a los respectivos límites establecidos en el artículo 5.6.5.1.1 del presente decreto.
PARÁGRAFO. <Parágrafo adicionado por el artículo 5 del Decreto 2090 de 2017. El nuevo texto es el siguiente:> Cuando el patrimonio autónomo esté conformado con derechos fiduciarios en los términos del artículo 5.6.5.1.1 del presente decreto, únicamente serán aplicables los numerales 1, 3, 4 y 5 anteriores. Los numerales 1 y 4 deberán cumplirse respecto de los activos que conforman el patrimonio autónomo que originan los derechos fiduciarios.
ARTÍCULO 5.6.6.1.2 TÍTULOS DE DEUDA CON GARANTÍA INMOBILIARIA.
<Fuente original compilada: R. 400/95 Art. 1.3.6.2> Podrán emitirse títulos de contenido crediticio a partir de la conformación de patrimonios autónomos con bienes inmuebles. Los recursos para atender oportunamente el pago de los intereses y el capital de los títulos podrán originarse de las siguientes formas:
1. Flujo externo - La fuente de pago proviene directamente del originador.
2. Flujo interno - El flujo de caja se origina en un contrato mediante el cual se explota comercialmente el inmueble que conforma el patrimonio autónomo.
La atención de los derechos de crédito se respaldará mediante cualquiera de los mecanismos externos de seguridad contemplados en el presente Libro, pudiéndose prever la liquidación del patrimonio para atender con su producto a la redención de los títulos.
TITULARIZACIÓN DE PROYECTOS DE CONSTRUCCIÓN.
ARTÍCULO 5.6.7.1.1 MONTOS MÍNIMOS DE INVERSIÓN.
<Fuente original compilada: R. 400/95 Art. 1.3.7.1> La inversión mínima en títulos emitidos en desarrollo de procesos de titularización de proyectos de construcción debe ser, cuando menos, equivalente a 60 salarios mínimos por inversionista.
ARTÍCULO 5.6.7.1.2 VALOR DE LA EMISIÓN.
<Fuente original compilada: R. 400/95 Art. 1.3.7.2> En ningún caso el monto de la emisión podrá exceder el cien por ciento (100%) del presupuesto total de costos del proyecto inmobiliario, incluidos los costos inherentes al proceso de titularización.
ARTÍCULO 5.6.7.1.3 REGLAS PARTICULARES.
<Fuente original compilada: R. 400/95 Art. 1.3.7.3> La realización de esta clase de procesos se sujetará especialmente al cumplimiento de los siguientes requisitos, cuya existencia será verificada por el agente de manejo:
1. Existencia de un avalúo actualizado sobre el lote de terreno en el cual se realizará la construcción.
Dicho avalúo deberá ser emitido por un miembro de una lonja de propiedad raíz, o certificado por ésta, o efectuado por un avaluador inscrito en el Registro Nacional de Avaluadores.
Se entenderá como avalúo actualizado aquel que no tenga más de seis (6) meses de antelación a la fecha de radicación de la solicitud ante la Superintendencia Financiera de Colombia. El avalúo deberá ser efectuado por avaluadores independientes del originador y del agente de manejo.
2. El lote deberá estar libre de gravámenes o limitaciones de dominio.
3. Estudio técnico económico detallado que concluya razonablemente la viabilidad financiera del proyecto.
4. En el presupuesto total del proyecto deberá incluirse el valor del terreno y el costo de los diseños, estudios técnicos y de factibilidad económica, programación de obras y presupuestos, así como los valores correspondientes a administración, imprevistos y utilidades.
5. El costo de los diseños, estudios técnicos y de factibilidad económica, programación de obras y presupuestos o de los estudios que sean equivalentes se valorarán hasta por el veinte por ciento (20%) del presupuesto total del proyecto.
6. La sociedad constructora deberá acreditar trayectoria superior a cinco (5) años en el sector de la construcción y experiencia en obras de similar envergadura.
7. Se requerirá de la vinculación de una sociedad interventora, cuya trayectoria, experiencia y objetividad deberá verificarse por parte del agente de manejo.
8. El constructor deberá constituir pólizas de cumplimiento y de manejo del anticipo.
9. Se determinará claramente el punto de equilibrio para acometer la ejecución del proyecto. En la determinación de este factor no se considerarán las ventas o enajenaciones proyectadas, pero sí las promesas de compraventa formalmente celebradas.
10. El contrato de fiducia mercantil que da origen al proceso de titularización deberá incluir cláusulas de condición resolutoria a través de las cuales se prevea el reembolso del dinero a los inversionistas en el evento de no alcanzarse el punto de equilibrio establecido para iniciar la ejecución del proyecto.
11. Se presentará el método o procedimiento de valuación del patrimonio autónomo con cargo al cual se emiten los valores.
PARÁGRAFO. No obstante los requisitos señalados en el presente artículo, la Superintendencia Financiera de Colombia podrá autorizar esquemas en los cuales se contemple la obtención de recursos de crédito como vía de financiación complementaria a la titularización. Se requerirá en todo caso, que el reglamento de emisión y colocación de los títulos contemple claramente las condiciones del endeudamiento.
ARTÍCULO 5.6.7.1.4 MECANISMO DE COBERTURA.
<Fuente original compilada: R. 400/95 Art. 1.3.7.4> El desarrollo de proyectos de construcción mediante procesos de titularización requerirá la incorporación del mecanismo de subordinación, a través del cual la participación de los fideicomitentes iniciales u originadores del proceso se representará en títulos de participación correspondientes al valor de sus derechos en el fideicomiso, los cuales constituirán la porción subordinada. La liberación de los títulos subordinados se efectuará por la sociedad fiduciaria al originador en proporción directa al porcentaje de avance de obra.
Sólo podrá sustituirse este mecanismo mediante el otorgamiento de cualquiera de los mecanismos de cobertura externos contemplados en el artículo 5.6.4.1.6 del presente decreto.
ARTÍCULO 5.6.7.1.5 REPRESENTANTE DE LOS TENEDORES DE TÍTULOS. <Artículo modificado por el artículo 19 del Decreto 1235 de 2020. El nuevo texto es el siguiente:> En los procesos de titularización de proyectos de construcción, la sociedad fiduciaria que actúe como agente de manejo de la titularización ejercerá la representación de los intereses de los tenedores de los títulos de participación. caso en el cual le serán aplicables las disposiciones contenidas en los artículos 6.4.1.1.5 a 6.4.1.1.23 del presente decreto relacionadas con la figura de representante de tenedores de bonos.
ARTÍCULO 5.6.7.1.6 MANEJO DE TESORERÍA.
<Fuente original compilada: R. 400/95 Art. 1.3.7.6> El agente del proceso propenderá por el manejo eficiente de los recursos provenientes de la emisión, disponiendo los desembolsos al constructor conforme con la programación de la obra y administrando los excedentes temporales en títulos de adecuada liquidez, rentabilidad y seguridad.
OBRAS DE INFRAESTRUCTURA Y SERVICIOS PÚBLICOS.
ARTÍCULO 5.6.8.1.1 FINANCIACIÓN DE OBRAS DE INFRAESTRUCTURA Y PRESTACIÓN DE SERVICIOS PÚBLICOS.
<Fuente original compilada: R. 400/95 Art. 1.3.9.1> A partir de la existencia de flujos futuros de fondos determinados con base en estadísticas de los tres (3) años anteriores a la fecha de solicitud de autorización de la respectiva titularización, o determinables con apoyo en proyecciones de tres (3) años, podrán emitirse títulos de participación, de contenido crediticio o mixtos para la financiación de obras públicas de infraestructura y de prestación de servicios públicos. Se observarán los siguientes requisitos mínimos:
1. Estudios de factibilidad financiera de retorno de la inversión.
2. Determinación de costos del proyecto.
3. Plazo de retorno de la inversión a los potenciales adquirentes de títulos.
4. Inscripción de la sociedad constructora en el registro que determine el Estatuto de Contratación de la Nación, cuando sea del caso.
5. Presencia de una firma interventora inscrita como tal en el registro que determine el Estatuto de Contratación de la Nación.
6. La existencia del flujo proyectado debe ser respaldada por cualquiera de los mecanismos de cobertura previstos en este libro. Para el cálculo del índice de desviación del flujo esperado se considerará la eventual existencia de garantías otorgadas por el Estado y su cubrimiento.
7. La inversión mínima en esta clase de títulos será el equivalente a 60 salarios mínimos por inversionista, salvo tratándose de inversiones realizadas por los fondos de obras contemplados en el artículo 5.6.8.1.3 o por inversionistas institucionales, conforme con la normativa que para el efecto imparta el Gobierno Nacional.
ARTÍCULO 5.6.8.1.2 FINANCIACIÓN DE OBRAS PÚBLICAS DE INFRAESTRUCTURA VIAL.
<Fuente original compilada: R. 400/95 Art. 1.3.9.2> La emisión de títulos de participación, de contenido crediticio o mixtos para coadyuvar a la financiación de obras públicas de infraestructura vial se sujetará a los requisitos dispuestos en el artículo anterior y, adicionalmente, requerirá:
1. Estudios de proyección de demanda del tráfico vehicular para la vía objeto de la obra.
2. Estudio de tarifas de peaje proyectadas para la vía objeto de la obra.
ARTÍCULO 5.6.8.1.3 FONDOS DE OBRAS DE INFRAESTRUCTURA Y DE SERVICIOS PÚBLICOS. <Fuente original compilada: R. 400/95 Art. 1.3.9.3>
<Inciso modificado el artículo 113 del Decreto 1745 de 2020. El nuevo texto es el siguiente:> Podrán desarrollarse procesos de titularización de obras de infraestructura y de servicios públicos a través de la constitución de fondos de inversión colectiva, con las siguientes características:
1. <Numeral modificado el artículo 113 del Decreto 1745 de 2020. El nuevo texto es el siguiente:> Los recursos del fondo de inversión colectiva se destinarán a la inversión en obras de infraestructura y de prestación de servicios públicos, títulos provenientes de procesos de titularización de obras de esa naturaleza y otros activos que autorice el Gobierno Nacional.
2. Las inversiones a que se refiere el numeral anterior, por parte de los fondos de obras de infraestructura y de servicios públicos, deberán realizarse previa su evaluación por el agente de manejo, siguiendo para ello los parámetros que sobre el particular se señalen.
3. <Numeral modificado el artículo 113 del Decreto 1745 de 2020. El nuevo texto es el siguiente:> Los fondos de inversión colectiva podrán determinar la garantía interna o externa necesaria para proteger los activos adquiridos, previo estudio técnico.
4. Los excedentes de liquidez y el manejo temporal de recursos se invertirán en activos de alta seguridad y liquidez.
5. Sólo podrán emitir títulos de participación.
TITULARIZACIÓN SOBRE OTROS BIENES.
ARTÍCULO 5.6.9.1.1 PROCESOS ESTRUCTURADOS SOBRE FLUJOS DE CAJA.
<Fuente original compilada: R. 400/95 Art. 1.3.10.1> Cuando un proceso de titularización se estructure con base en flujos de caja destinados a la cancelación de los títulos emitidos, deberán incorporarse mecanismos de seguridad a través de los cuales se cubra el riesgo de certeza del flujo, matemática o estadísticamente determinable. Tal cubrimiento se efectuará como mínimo sobre una vez y media veces el índice de siniestralidad o desviación del flujo proyectado.
PARÁGRAFO. Para los casos de estructuración de procesos de titularización con base en proyecciones de flujos futuros de que trata el parágrafo 2o. del artículo 5.6.1.1.4, la Superintendencia Financiera de Colombia, podrá autorizar mecanismos de seguridad y coberturas diversas de los contemplados en este decreto.
ARTÍCULO 5.6.9.1.2 PROCESOS ESTRUCTURADOS SOBRE FLUJOS PROVENIENTES DE CONTRATOS DE LEASING.
<Fuente original compilada: R. 400/95 Art. 1.3.10.2> En los procesos de titularización estructurados a partir de flujos de caja provenientes de contratos de leasing, se incorporarán mecanismos de seguridad conforme con lo previsto en los artículos 5.6.4.1.5. y 5.6.4.1.6 del presente decreto a efecto de cubrir como mínimo en una vez y media veces el índice de riesgo del flujo esperado.
Adicionalmente, el originador deberá respaldar por cualquier medio idóneo el cumplimiento de las obligaciones que le corresponden en desarrollo del contrato respecto del cual transfiere los derechos de percepción del flujo al patrimonio autónomo.
ARTÍCULO 5.6.9.1.3 PROCESOS ESTRUCTURADOS SOBRE ACCIONES.
<Fuente original compilada: R. 400/95 Art. 1.3.10.3> En los procesos estructurados sobre acciones inscritas en el Registro Nacional de Valores y Emisores-RNVE sólo podrán emitirse títulos de participación, en los cuales el inversionista conoce y asume el riesgo de mercado. Estos procesos no requerirán de mecanismos de apoyo crediticio ni de calificación previa.
ARTÍCULO 5.6.9.1.4 TÍTULOS DE DEUDA PÚBLICA.
<Fuente original compilada: R. 400/95 Art. 1.3.10.4> Los procesos de titularización estructurados a partir de títulos de deuda pública emitidos o garantizados por la Nación o por el Banco de la República no requerirán de la presencia de mecanismos de garantía, ni de la previa calificación de los nuevos valores.
<Fuente original compilada: R. 400/95 Art. 1.3.10.5 Modificado por el D. 1340/08 Art. 8o.> Consiste en la transferencia a un patrimonio autónomo de productos agropecuarios, agroindustriales u otros commodities con el propósito de efectuar su transformación en valores mobiliarios. El patrimonio así constituido puede emitir títulos de participación, de contenido crediticio o mixtos.
ARTÍCULO 5.6.9.1.6 REGLAS PARTICULARES.
<Fuente original compilada: R. 400/95 Art. 1.3.10.5.1 Modificado por el D. 1340/08 Art. 8o.> La titularización de productos agropecuarios, agroindustriales o de otros commodities se sujetará especialmente al cumplimiento de los siguientes requisitos, además de las disposiciones generales contenidas en el Título 1 Libro 6 Parte 5 de este Decreto.
1. Existencia de una valoración de los productos agropecuarios, agroindustriales u otros commodities, elaborada con métodos de reconocido valor técnico. Esta valoración debe ser efectuada por avaluadores independientes del originador y del agente de manejo.
2. Los productos agropecuarios, agroindustriales u otros commodities deberán estar libres de gravámenes, condiciones resolutorias o limitaciones de dominio.
3. Tratándose de esquemas en los cuales el flujo de caja constituya factor preponderante en la rentabilidad ofrecida al inversionista deberán incorporarse mecanismos de cobertura internos o externos que permitan cubrir en una vez y media el coeficiente de desviación del flujo ofrecido.
ARTÍCULO 5.6.9.1.7 NEGOCIACIÓN DE LOS VALORES.
<Fuente original compilada: R. 400/95 Art. 1.3.10.5.2 Modificado por el D. 1340/08 Art. 9o.> Los valores emitidos en procesos de titularización cuyo subyacente sea un producto agropecuario, agroindustrial u otro commodity, deberán inscribirse para su negociación en una bolsa de valores o en una bolsa de productos agropecuarios, agroindustriales o de otros commodities.
DE LAS EMISIONES DE TÍTULOS HIPOTECARIOS.
ASPECTOS GENERALES.
ARTÍCULO 5.6.10.1.1 ÁMBITO DE APLICACIÓN.
<Fuente original compilada: R. 775/01 Art. 1o.> Los títulos hipotecarios a que se refiere el presente Título serán aquellos que se emitan en desarrollo de los procesos de titularización de activos hipotecarios, en los términos previstos en la Ley 546 de 1999 y en las demás normas pertinentes.
ARTÍCULO 5.6.10.1.2 ACTIVOS HIPOTECARIOS.
<Fuente original compilada: R. 775/01 Art. 2o.> Para efectos del régimen de titularización de activos hipotecarios se consideran activos hipotecarios:
a) Cartera hipotecaria correspondiente a créditos hipotecarios desembolsados de los que trata la Ley 546 de 1999. incluyendo las garantías o los derechos sobre los mismos y sus respectivas garantías;
b) Cartera hipotecaria correspondiente a créditos hipotecarios futuros en desarrollo de contratos de compraventa de créditos hipotecarios futuros, incluyendo las garantías o los derechos sobre los mismos y sus respectivas garantías;
c) Bonos Hipotecarios
d.) Los contratos de leasing habitacional, para financiar la construcción y adquisición de vivienda incluyendo los bienes inmuebles que constituyen su objeto y las garantías o los derechos sobre los mismos así como sus respectivas garantías, y
e) Títulos emitidos en desarrollo de procesos de titularización hipotecaria de que trata la Ley 546 de 1999; o mediante la transferencia de los mencionados activos a sociedades fiduciarias en su calidad de administradoras de patrimonios autónomos.
PARÁGRAFO. El capital, los intereses y los demás pagos que se reciban de los activos hipotecarios titularizados estarán destinados al pago de los títulos emitidos y de los demás gastos y garantías previstos, en la forma en que se establezca en el correspondiente reglamento de emisión.
ARTÍCULO 5.6.10.1.3 INSCRIPCIÓN DE PROGRAMAS DE EMISIÓN Y ESQUEMAS DE ACRECENTAMIENTO.
<Fuente original compilada: R. 775/01 Art. 4o.> Los emisores especializados podrán inscribir programas de emisión de títulos hipotecarios en el Registro Nacional de Valores y Emisores –RNVE–. La inscripción de un programa de emisión permitirá al respectivo emisor la realización de emisiones múltiples y sucesivas de títulos hipotecarios hasta por un período determinado de tres (3) años, con sujeción a un plan de emisión previamente establecido.
Para la inscripción de programas de emisión de títulos hipotecarios en el Registro Nacional de Valores y Emisores –RNVE–, se requerirá la autorización previa de la Superintendencia Financiera de Colombia. Para el efecto el emisor deberá presentar los documentos a que se refiere el artículo 5.2.1.1.3 del presente Decreto, así como la documentación adicional que defina para el efecto la Superintendencia Financiera de Colombia mediante circular de carácter general. Tanto el reglamento de emisión como el respectivo prospecto de colocación del programa, deberán contener las características a las cuales deberán sujetarse las emisiones individuales, incluyendo las condiciones legales y contractuales definidas para su ejecución, ya sea a través de universalidades distintas e independientes dentro de un mismo programa de emisión, o mediante una sola universalidad cuando el proceso de titularización objeto del programa de emisión incorpore el esquema de acrecentamiento.
PARÁGRAFO. Para los efectos previstos en el presente Decreto, se entenderán como emisores especializados en la emisión de títulos hipotecarios, aquellos emisores que hayan mantenido por lo menos cinco (5) emisiones de títulos hipotecarios inscritas en el Registro Nacional de Valores y Emisores –RNVE– durante los dos (2) años inmediatamente anteriores a la respectiva emisión y no hayan sido objeto de sanciones por parte de la Superintendencia Financiera de Colombia durante el año inmediatamente anterior como consecuencia de infracciones administrativas relacionadas con el incumplimiento de sus obligaciones de revelación de información, de acuerdo con lo previsto en las normas aplicables.
ARTÍCULO 5.6.10.1.4 PROSPECTO ESPECIAL DE LA EMISIÓN.
<Fuente original compilada: R. 775/01 Art. 21> Cuando se trate de programas de emisión a los que hace referencia el artículo 5.6.10.1.3 de este Decreto, en adición al prospecto de colocación del programa, también se deberá elaborar un prospecto especial para cada una de las emisiones individuales, cuyo contenido atenderá lo previsto en el artículo 5.2.1.1.3 del presente Decreto, así como la documentación adicional que defina para el efecto la Superintendencia Financiera de Colombia, únicamente en aquellos aspectos relacionados específicamente con la emisión individual que se realiza y con la descripción de los activos que componen la universalidad única o las distintas universalidades según sea el caso, incluyendo las características particulares de los títulos hipotecarios y la emisión de que se trate.
ARTÍCULO 5.6.10.1.5 DENOMINACIÓN DEL MONTO DE LA EMISIÓN.
<Fuente original compilada: R. 775/01 Art. 5o.> Los títulos hipotecarios deberán denominarse en moneda legal colombiana o en unidades UVR según corresponda a la unidad en que se encuentren denominados los activos subyacentes.
Sin perjuicio de lo anterior, el respectivo emisor, cuando lo juzgue conveniente, podrá emplear para los títulos una segunda denominación que corresponda a una moneda extranjera o a una distinta de la señalada en el inciso anterior.
ESTRUCTURACIÓN Y CARACTERÍSTICAS DE LOS
TÍTULOS HIPOTECARIOS.
ARTÍCULO 5.6.10.2.1 REGLAMENTO DE EMISIÓN.
<Fuente original compilada: R. 775/01 Art. 6o.> Los derechos sobre los activos representados mediante títulos hipotecarios se ejercerán atendiendo a las reglas que se preverán para el efecto en el correspondiente reglamento de emisión. Dichas reglas contemplarán todos los aspectos necesarios para el adecuado funcionamiento de las relaciones entre los distintos adquirentes de los títulos hipotecarios que correspondan a determinada emisión y, en todo caso, lo relacionado con la distribución de los recursos que se perciban a favor de la universalidad de activos hipotecarios, correspondiente a la totalidad de los títulos emitidos.
También se preverán en el reglamento de emisión las reglas que regirán las relaciones entre los adquirentes de los títulos hipotecarios y el emisor de los mismos, y entre éstos y el originador de los respectivos activos hipotecarios.
PARÁGRAFO. Tratándose de emisiones realizadas mediante la transferencia de activos hipotecarios a sociedades fiduciarias, el reglamento de emisión deberá formar parte del respectivo contrato de fiducia mercantil.
ARTÍCULO 5.6.10.2.2 CONTENIDO DEL REGLAMENTO DE EMISIÓN.
<Fuente original compilada: R. 775/01 Art. 7o.> Además de lo previsto en el artículo anterior, el reglamento de emisión deberá contener las siguientes previsiones:
1. Identificación completa de la entidad emisora.
2. Identificación de la universalidad de activos hipotecarios a partir de la cual se emiten los títulos que corresponden a la respectiva emisión, describiendo las características de los activos que la conforman, así como el procedimiento de valuación de dichos activos.
3. Identificación de las partes que intervienen en el proceso, sus derechos y obligaciones, así como las previsiones respecto de la cesión de contratos y sustitución de las partes intervinientes.
4. Los derechos y obligaciones que correspondan a los tenedores de los títulos, al emisor y a las demás partes que intervienen en el proceso, respecto de la universalidad o masa de activos titularizados.
5. Condiciones de administración de los activos hipotecarios, señalando la forma en que se administrarán y asignarán los flujos de caja generados por dichos activos.
6. Los gastos a cargo de la universalidad y su prelación para el pago.
7. Causales de terminación de la universalidad y procedimiento de liquidación.
8. Naturaleza y características de los títulos emitidos.
9. Mecanismos de cobertura y garantías.
10. Una advertencia clara y destacada de que se ha elaborado, además del reglamento de emisión, un prospecto de colocación que contiene información de importancia para los inversionistas, así como los sitios donde estará disponible, incluyendo el sitio web donde podrá ser consultado.
ARTÍCULO 5.6.10.2.3 ADMINISTRADOR DEL PROCESO DE TITULARIZACIÓN DE ACTIVOS HIPOTECARIOS.
Las sociedades titularizadoras de activos hipotecarios tendrán la condición de administradores de los procesos de titularización que desarrollen. En tal calidad estarán obligadas a velar por el cumplimiento de las disposiciones del reglamento de emisión y colocación correspondiente y propender por el ejercicio de los derechos a favor de los tenedores de los títulos emitidos y de aquellas personas que tengan derechos exigibles en desarrollo del proceso de titularización. Para el efecto estarán facultadas directamente o a través de terceros que se designe para (i) administrar la universalidad correspondiente, (ii) administrar los activos subyacentes del proceso titularización y (iii) ejercitar las acciones extrajudiciales o judiciales que sean convenientes, necesarias o requeridas para la adecuada protección de los activos hipotecarios y de los derechos de los tenedores y demás terceros interesados o con derechos de conformidad con la normativa aplicable.
ARTÍCULO 5.6.10.2.4 ADMINISTRADOR DE LOS ACTIVOS HIPOTECARIOS.
<Fuente original compilada: R. 775/01 Art. 8o.> Todo proceso de titularización de activos hipotecarios contará con un administrador de tales activos, el cual será designado por el administrador del proceso de titularización. El administrador de los activos hipotecarios, podrá ser el originador de los activos titularizados o un tercero y se encargará de la administración de la totalidad o parte de tales activos hipotecarios.
Dicha función implica entre otras cosas la conservación, guarda y administración de los activos hipotecarios, el recaudo y transferencia de los flujos provenientes de dichos activos, la generación y reporte de información relativa a los mismos y cualquier otro deber que le imponga el respectivo contrato de administración y el reglamento de emisión y colocación correspondiente.
En el contrato de administración deberán establecerse las condiciones, obligaciones y derechos relacionados con la administración de los activos hipotecarios y, como mínimo, lo siguiente:
1. Las condiciones y requerimientos que se deben acreditar y mantener durante la vigencia del contrato para poder desarrollar la gestión de administración de activos hipotecarios;
2. Las condiciones de remuneración del administrador de activos hipotecarios incluyendo la forma de liquidación y pago de dicha remuneración;
3. Las obligaciones del administrador frente a la custodia de los activos hipotecarios que correspondan a cada proceso de titularización, incluyendo lo relativo a la custodia de los documentos relacionados con dichos activos y sus garantías, así como la obligación de velar por su actualización. Deberá especificarse si la custodia se realizará de manera directa o a través de terceros especializados en procesos de custodia documental;
4. Las obligaciones específicas de administración de los activos hipotecarios de acuerdo con su naturaleza y condiciones;
5. El régimen de responsabilidad del administrador de activos hipotecarios incluyendo el esquema de garantías definido para el desarrollo de su gestión, si fuere aplicable;
6. Las causales de terminación del contrato de administración de activos hipotecarios, eventos y procedimiento de sustitución del administrador de los activos hipotecarios subyacentes y las reglas relativas a la cesión del contrato de administración.
ARTÍCULO 5.6.10.2.5 REPRESENTANTE LEGAL DE TENEDORES DE TÍTULOS.
<Fuente original compilada: R. 775/01 Art. 9o.> Las emisiones de títulos hipotecarios deberán contar con un representante legal de los tenedores de los títulos.
La función de representante de los tenedores de títulos hipotecarios deberá ser ejercida por entidades técnica y administrativamente idóneas que tengan capacidad legal para ejercer la representación legal de tenedores de valores. El representante de tenedores de títulos deberá ser independiente del emisor y consecuentemente no podrá existir ninguna relación de subordinación entre ellos.
El contrato de representación legal de tenedores de títulos deberá contener la totalidad de las condiciones, obligaciones y derechos que se derivan de dicha actividad y en especial las siguientes obligaciones y facultades:
1. Ejercer la representación judicial de los tenedores de títulos hipotecarios;
2. Intervenir con voz, pero sin voto, en todas las reuniones de la asamblea de accionistas de la sociedad emisora, así como convocar y presidir la asamblea de tenedores de títulos;
3. Informar a los tenedores de títulos hipotecarios, a la mayor brevedad posible, sobre cualquier incumplimiento de las obligaciones de la sociedad emisora, del administrador de la emisión o de los demás agentes que participan en la emisión.
La asamblea general de los tenedores de títulos hipotecarios podrá en cualquier tiempo remover a su representante y designar su reemplazo. El representante legal de los tenedores de títulos sólo podrá renunciar al cargo por motivos graves, que deberán ser justificados de acuerdo con lo que se establezca en el contrato de representación legal de tenedores de títulos hipotecarios.
PARÁGRAFO. Las condiciones, requisitos y reglas de funcionamiento de la asamblea de tenedores de títulos, se sujetarán a lo dispuesto expresamente para el efecto en el reglamento de emisión y colocación. Lo anterior, sin perjuicio de que la entidad emisora o un grupo de tenedores que represente no menos del 10% del monto de los títulos en circulación de la respectiva emisión pueda exigir al representante legal de los tenedores de los títulos que convoque a la asamblea, y si éste no lo hiciere, solicitar a la Superintendencia Financiera de Colombia que haga la convocatoria.
ARTÍCULO 5.6.10.2.6 ESTRUCTURA DE LOS TÍTULOS HIPOTECARIOS.
<Fuente original compilada: R. 775/01 Art. 10> Los pagos de capital de los títulos hipotecarios, podrán efectuarse durante la vida de los títulos o al final de su vigencia.
Así mismo, los flujos provenientes de los activos que conforman la universalidad y que se recauden en un determinado período, se distribuirán en la forma, cuantía y condiciones de amortización, tasa, plazo y riesgo preestablecidos en el reglamento de emisión y colocación, y en el respectivo prospecto de información.
En todo caso los títulos hipotecarios deberán presentar características homogéneas, pudiendo incorporar diversas series de condiciones uniformes, según lo establecido en el reglamento de emisión y colocación, y en el respectivo prospecto de información.
<Fuente original compilada: R. 775/01 Art. 12> En el prospecto correspondiente se incluirá una evaluación técnica del riesgo de prepago. El correspondiente reglamento de emisión deberá describir claramente las reglas aplicables a los prepagos y su asignación a los títulos en circulación.
<Fuente original compilada: R. 775/01 Art. 13> Los títulos hipotecarios podrán dividirse en cupones, los cuales darán derecho a los pagos por capital y/o rendimientos que se causen durante el respectivo periodo. Los cupones podrán ser negociados independientemente y conferirán a sus tenedores legítimos los derechos que se deriven del título hipotecario.
<Fuente original compilada: R. 775/01 Art. 14> El plazo de los títulos no podrá ser inferior a un (1) año contado a partir de la fecha de emisión.
ARTÍCULO 5.6.10.2.10 GARANTÍAS.
<Fuente original compilada: R. 775/01 Art. 15 modificada por la R. 869/02> El emisor de títulos hipotecarios podrá prever o incorporar en sus procesos de titularización, los mecanismos de cobertura que se consideren necesarios para mitigar los riesgos propios de las emisiones que realicen, en los términos y condiciones que se definan para el efecto en el respectivo reglamento de emisión y colocación.
Tratándose de garantías especiales constituidas como apoyo de la emisión otorgadas por entidades extranjeras, se deberá:
1. Dar cumplimiento a las normas del régimen de cambios internacionales;
2. Durante la vigencia de la garantía el garante deberá estar calificado por una sociedad calificadora que, a juicio de la Superintendencia Financiera de Colombia, sea de reconocida trayectoria internacional.
Cualquier modificación en la calificación deberá ser comunicada, a título de información eventual por el representante legal del emisor de los valores, en los términos y condiciones previstos en este decreto, las normas que lo aclaren, complementen, modifiquen o sustituyan;
3. El emisor deberá actualizar por lo menos una vez al año la información financiera del garante.
4. Indicar en el contrato de garantía el lugar donde deba cumplirse la prestación del objeto del contrato e igualmente indicar el lugar donde en caso de incumplimiento se ejecutará la garantía y la jurisdicción aplicable a la misma.
5. Incluir en el reglamento de emisión y el prospecto de colocación la siguiente información:
a) La información relativa al garante extranjero y a su calificación, en los mismos términos y condiciones que las normas le exigen al emisor de los valores. Cuando el garante extranjero sea un organismo multilateral de crédito de los contemplados en el artículo 6.14.1.1.1 del presente decreto, la documentación que se deberá incluir en el prospecto se reducirá a la establecida en el artículo 6.14.1.1.4 del presente decreto, en lo que sea pertinente.
b) La información relacionada con la garantía, sus límites, las condiciones para su ejecución y cumplimiento, la oportunidad para su cobro, el orden de prelación de la misma, sus riesgos y la jurisdicción ante la cual se podrá hacer efectiva, y
c) La advertencia, debidamente destacada, de que la interpretación y la ejecución de la garantía corresponden a otra jurisdicción, especificando la misma. Esta advertencia debe incluirse además en el aviso de oferta y en cualquier publicidad o información que se divulgue sobre el respectivo valor.
ARTÍCULO 5.6.10.2.11 DESMATERIALIZACIÓN DE LOS TÍTULOS HIPOTECARIOS.
<Fuente original compilada: R. 775/01 Art. 16> Los títulos hipotecarios que se emitan en desarrollo de procesos de titularización de activos hipotecarios, deberán ser desmaterializados. En el prospecto de información y en el reglamento de emisión y colocación deberá expresarse claramente quién asumirá el costo por este servicio.
ARTÍCULO 5.6.10.2.12 CALIFICACIÓN.
<Fuente original compilada: R. 775/01 Art. 17> Los títulos hipotecarios que se emitan en desarrollo de un proceso de titularización hipotecaria, deberán ser objeto de por lo menos una calificación otorgada por una sociedad calificadora de riesgo autorizada por la Superintendencia Financiera de Colombia, salvo que se trate de emisiones avaladas o garantizadas en su totalidad por un tercero que haya sido objeto de calificación.
La calificación deberá ser revisada periódicamente, y, en todo caso, por lo menos una vez al año. Sin embargo, la sociedad calificadora deberá revisar la calificación cuando se hayan divulgado o tenga conocimiento de hechos que puedan alterar el comportamiento financiero de los activos titularizados, los mecanismos de garantía y apoyo crediticio otorgados o las probabilidades de pago de capital o rendimiento de los títulos emitidos.
Las sociedades calificadoras deberán informar a la Superintendencia Financiera de Colombia todas las calificaciones otorgadas a la respectiva emisión, indicando la información que se tuvo en cuenta para ello. También deberán informar sobre moras en la entrega de la información por parte del emisor o administrador de la emisión.
Para el caso de los programas de emisión de títulos hipotecarios, se podrá otorgar una calificación de riesgo común para todos los títulos que se emitan en desarrollo de dicho programa, siempre que las características de los mismos correspondan a lo allí previsto.
PARÁGRAFO. <Parágrafo modificado por el artículo 14 del Decreto 1019 de 2014. El nuevo texto es el siguiente:> En el caso de títulos garantizados por la Nación o por el Fondo de Garantías de Instituciones Financieras (Fogafín) y en títulos que sean emitidos en un proceso de titularización a través del Segundo Mercado no será obligatoria la calificación de riesgo.
ARTÍCULO 5.6.10.2.13 PLAZO DE COLOCACIÓN Y VIGENCIA DE LA OFERTA.
<Fuente original compilada: R. 775/01 Art. 18> El plazo de colocación de los títulos hipotecarios y la vigencia de la oferta será establecido por el emisor en el aviso de oferta correspondiente.
ARTÍCULO 5.6.10.2.14 RETITULARIZACIÓN.
<Fuente original compilada: R. 775/01 Art. 3o. Paragrafo 3 adicionado por la R. 223/02 Art. 1o.> Las sociedades titularizadoras podrán emitir títulos hipotecarios con la finalidad exclusiva de ser retitularizados. Para tal efecto, en el respectivo reglamento de emisión y colocación deberá preverse que dichos títulos no serán objeto de oferta pública, ni serán negociables en el mercado secundario. Los títulos así emitidos: (i) No se inscribirán en el Registro Nacional de Valores y Emisores-RNVE-; (ii) No requerirán de representante legal de tenedores de títulos; (iii) No serán objeto de calificación y, (iv) La información relativa a sus características, la estructura de la emisión, sus condiciones y de las del emisor, podrá formar parte y proporcionarse simultáneamente con la de la emisión que los retitularice.
INFORMACIÓN Y REVELACIÓN.
ARTÍCULO 5.6.10.3.1 REVELACIÓN.
<Fuente original compilada: D. 1719/01 Art. 7o.> Cada sociedad titularizadora de activos hipotecarios deberá suministrar completa y oportuna información al mercado sobre los riesgos que asumen los inversionistas en sus emisiones y sus políticas de gestión de riesgo, lo cual incluye su nivel de suficiencia de capital frente a su exposición, todo ello con el fin de propender por una adecuada transparencia y revelación al mercado. Para tales efectos, las sociedades titularizadoras de activos hipotecarios estarán sujetas a las normas generales que determine la Superintendencia Financiera de Colombia, en desarrollo de sus facultades legales, a través de las cuales se establecerán las condiciones y requisitos para las distintas emisiones, el régimen de oferta pública y las condiciones de calidad, oportunidad y suficiencia de la información que debe suministrarse de acuerdo con las operaciones que se desarrollen.
En igual sentido, la Superintendencia Financiera de Colombia determinará la forma en que el público tendrá acceso a la información financiera y contable de las sociedades titularizadoras, así como las obligaciones a cargo de éstas en materia de elaboración, presentación y divulgación de información financiera, incluyendo la posibilidad de requerir información periódica y eventual con destino a la entidad del control y al mercado.
ARTÍCULO 5.6.10.3.2 INFORMACIÓN Y REVELACIÓN PLENA.
<Fuente original compilada: R. 775/01 Art. 19> Se deberá suministrar al inversionista, de manera previa a la suscripción del título, toda la información necesaria para el adecuado entendimiento de sus características, de la estructura de la emisión y sus condiciones y de las del emisor.
Adicionalmente, el emisor, de manera permanente y simultánea, deberá mantener a disposición del mercado la siguiente información:
1. El prospecto de colocación, actualizado de conformidad con lo dispuesto en el presente Capítulo.
2. El reglamento de emisión.
3. Un reporte mensual por cada universalidad, que contenga indicadores que revelen el estado actualizado de dichos activos.
4. Cualquiera otra información relativa al proceso de titularización, necesaria para ilustrar al inversionista respecto de la inversión, el emisor, la estructura de la emisión y el servicio de administración y recaudo de los activos titularizados.
PARÁGRAFO 1. El suministro de la información de que trata el presente artículo se deberá efectuar simultáneamente a través del sitio web que para el efecto deberá habilitar la sociedad emisora, y por medio de impresos que deberán estar disponibles en las oficinas de servicio al público que indique el respectivo emisor, cuando así lo soliciten los inversionistas.
El emisor comunicará de manera suficiente y adecuada al suscriptor sobre la disponibilidad de la respectiva información y sobre los mecanismos para acceder a la misma.
Todo cambio en la dirección del sitio web en la que se deban publicar las informaciones relativas a la emisión, deberá ser previamente comunicado a los inversionistas.
PARÁGRAFO 2. Cualquier informe, publicidad o promoción que se realice sobre determinada emisión, deberá ser consistente con el contenido del prospecto de colocación y el reglamento de emisión. En todo caso, en dichos mensajes se deberá advertir de manera clara y destacada que en relación con cada titularización existe un prospecto de colocación y un reglamento de emisión que contiene información relevante para su consulta, con indicación del sitio web y demás sitios en los cuales tal información puede ser consultada.
ARTÍCULO 5.6.10.3.3 PROSPECTO DE COLOCACIÓN.
<Fuente original compilada: R. 775/01 Art. 20> Cada emisión de títulos hipotecarios deberá contar con un prospecto de colocación, el cual deberá suministrar de manera clara, concreta y detallada, información sobre todos aquellos aspectos que resulten relevantes para una adecuada evaluación de la inversión.
Con el objeto de propender por la homogeneidad y liquidez de los títulos hipotecarios emitidos en desarrollo de la Ley 546 de 1999 y generar transparencia para el mercado, el prospecto de colocación deberá constituirse como un documento organizado que revele de manera adecuada la información correspondiente al emisor, a la emisión y a los activos subyacentes. Para tal efecto, el prospecto será dividido en las siguientes secciones, las cuales siempre deberán seguir el mismo orden y contenido que se presenta a continuación:
I.- Portada.- La portada o cobertura del prospecto deberá, en una hoja, expresar de manera clara y muy concreta, en un lenguaje sencillo para que sea de fácil comprensión, las principales características de la emisión, las cuales se describen a continuación:
1. Identificación del emisor, de los agentes que intervienen en la emisión, como son: Originador, emisor, administrador de los activos titularizados, asesor de banca de inversión, colocadores, bolsa de valores, representante de los tenedores de los títulos y otros agentes que intervengan, si es del caso. Para todos ellos, se deberá indicar el domicilio, dirección principal, dirección del sitio web, y la calidad en que actúa en relación con la emisión.
2. Descripción general de la emisión, en donde se señalen las principales características de los títulos, como son: La clase de título que se emite, series, plazos, cupones, monto, valor nominal, cantidad de títulos que la conforman, inversión mínima, precio de suscripción, rentabilidad de los títulos y modalidad de pago, señalando las páginas del prospecto en las que se encuentra el tema en su totalidad.
3. La calificación y la entidad calificadora que la otorgó, cuando sea del caso.
4. Tipo de activos hipotecarios utilizados como subyacente.
5. Las coberturas o garantías con que cuenta la emisión.
6. La dirección del sitio web habilitado por la sociedad emisora, señalando que en ella se encuentra información relevante para la consulta de los inversionistas.
7. Incluir la advertencia en caracteres destacados de que la inscripción en el Registro Nacional de Valores y Emisores-RNVE y la autorización para realizar la oferta pública no implica certificación sobre la bondad del valor o sobre la solvencia del emisor o de los activos hipotecarios que lo respaldan.
8. Incluir la última fecha de actualización de la información contenida en el prospecto, así como el mes y año en que se empieza a realizar la oferta pública.
II.- Tabla de contenido. A manera de guía para la consulta y la rápida ubicación de la información requerida por los inversionistas, el prospecto deberá incluir una relación de su contenido, indicando el número de la página en la cual se encuentra ubicado cada uno de los temas.
III.- Información adicional. Esta sección deberá establecer toda aquella información y documentos que se consideren relevantes y que por su extensión y/o contenido particular no forman parte del prospecto. Para estos efectos se deberá indicar al inversionista de la existencia de dicha información, de los documentos que la componen y el lugar donde puede obtenerse. En cualquier caso, en esta sección deberá hacerse mención a lo siguiente:
1. Reglamento de emisión.
2. Contrato de administración de los activos subyacentes.
3. Contrato de representación legal de los tenedores de títulos.
4. Contratos de colocación.
5. Contrato para el manejo y desmaterialización de los títulos.
6. Información financiera y contable del emisor y/o garantes de la respectiva emisión que no deba figurar en el prospecto. Cuando el garante sea la Nación o Fondo de Garantías de Instituciones Financieras- FOGAFÍN, bastará la mención respectiva a los contratos de garantía establecidos y el lugar donde se encuentran disponibles.
7. Dirección del sitio de Internet y otros lugares donde puede ser obtenida la información.
8. Toda otra información que sea relevante para los inversionistas.
IV.- Resumen de los principales aspectos de la emisión.- Esta sección deberá resumir y resaltar de manera clara y concreta, en lenguaje sencillo y comprensible, aquella información relevante para los inversionistas y que se encuentra contenida en otros lugares del prospecto. En todo caso, esta sección deberá hacer referencia a lo siguiente:
1. Resumen de las características de los títulos que se emiten y condiciones de la emisión.
2. Resumen de los aspectos relacionados con pago de rendimientos y capital.
3. Resumen de las características generales de los activos subyacentes.
4. Resumen de las características de las garantías y demás mecanismos de cobertura que amparan la emisión.
5. Resumen de las actividades que desarrollan las diferentes partes y agentes que participan en el proceso.
6. Resumen de los aspectos relacionados con la desmaterialización de los títulos emitidos.
7. Resumen de los aspectos generales relacionados con la calificación de los títulos y/o sus avalistas, cuando sea del caso.
8. Resumen de los aspectos más relevantes en materia de impuestos.
9. Descripción de los aspectos más importantes en materia de mecanismos de revelación de información por parte del emisor y otros agentes.
V.- Factores de riesgo.- Esta sección deberá identificar y explicar de manera clara y concreta, en lenguaje sencillo y comprensible, los riesgos, tanto específicos como generales, que deban ser considerados por el inversionista, y que puedan afectar el rendimiento esperado de su inversión.
VI.- Descripción de la estructura legal de la emisión.- Se debe incluir una explicación detallada de la estructura legal de la emisión así como la descripción de los diferentes agentes que intervienen en el proceso, sus principales funciones y la identificación de los contratos que se suscriban con dichos agentes indicando sus principales aspectos.
VII.- Descripción de los activos hipotecarios que componen la universalidad.-
Esta sección deberá contener una síntesis de la totalidad de las características de los activos hipotecarios en el proceso de titularización, así como información estadística y resumida relacionada con el paquete de créditos hipotecarios en su conjunto.
Adicionalmente, deberán elaborarse tablas y/o gráficos que faciliten la comprensión de la información y resuman los aspectos relevantes de los activos titularizados. En todo caso, esta sección deberá incluir la siguiente información:
1. Criterios de selección de los activos hipotecarios titularizados, incluyendo en caso de créditos hipotecarios o contratos de leasing habitacional según sea el caso, la relación inicial del valor de la cuota mensual frente a los ingresos del deudor hipotecario.
2. Valor actualizado de los activos hipotecarios titularizados y metodología aplicada para su valoración.
3. Tipo de vivienda financiada en caso de créditos hipotecarios o cuando se trate de contratos de leasing habitacional titularizados.
4. Plazo inicial de los activos hipotecarios y plazo remanente hasta su vencimiento.
5. Descripción de los sistemas de amortización de los activos hipotecarios titularizados y metodología de cálculo de los intereses.
6. Descripción de la tasa de interés reconocida a los activos hipotecarios titularizados y señalar si se encuentran denominados en UVR o en moneda legal
7. Existencia de seguros o garantías sobre las propiedades que garantizan los activos hipotecarios titularizados y sobre las obligaciones contraídas por los deudores hipotecarios.
8. Edad de los activos hipotecarios titularizados, señalando fecha mínima de originación y máxima en relación con su maduración.
9. Información sintética sobre la evolución y estado de morosidad de los activos hipotecarios titularizados.
10. Información sintética en relación con las refinanciaciones efectuadas sobre los activos hipotecarios titularizados y políticas de refinanciación aplicables a los mismos.
11. Síntesis de la relación inicial del valor de los activos hipotecarios frente al valor de la propiedad que garantiza los mismos.
12. Distribución geográfica de los activos hipotecarios titularizados, indicadores de los niveles de concentración por ciudades y por estrato socioeconómico.
13. Índice de prepago aplicable a los activos hipotecarios titularizados y su incidencia en la proyección del flujo de fondos.
14. Flujo de fondos proyectado de los activos hipotecarios titularizados.
En adición, esta sección incluirá aspectos pertinentes en relación con el administrador del proceso de titularización y el administrador de los activos hipotecarios titularizados y en todo caso lo siguiente:
1. Identificación y datos generales del administrador del proceso de titularización y el administrador de los activos hipotecarios titularizados.
2. Experiencia acreditable por el administrador del proceso de titularización y el administrador de los activos hipotecarios titularizados en relación con sus funciones.
3. Responsabilidades que asumirá el administrador del proceso de titularización y el administrador de los activos hipotecarios titularizados en desarrollo de sus funciones.
4. Contraprestación que será reconocida al administrador del proceso de titularización y el administrador de los activos hipotecarios titularizados por sus servicios.
5. Vínculos del administrador de los activos hipotecarios titularizados con el emisor y otros agentes del proceso
VIII.- Descripción de los títulos y la emisión.- Esta sección deberá incorporar todas las características inherentes al título y a las condiciones generales de la emisión y la colocación, de tal manera que el inversionista pueda obtener los elementos básicos para la evaluación de su inversión. Se deberá señalar en todo caso lo siguiente:
1. Clase de título que se emite, series, cupones, plazo, monto, valor nominal, cantidad de títulos que la conforman, inversión mínima, precio de suscripción, ley de circulación.
2. Características financieras de las respectivas series, indicando los derechos de los tenedores de cada una de ellas respecto del flujo de caja generado por los activos.
3. La forma en que se distribuirán los prepagos de los activos hipotecarios titularizados y la descripción de aquellos eventos que para estos efectos se entenderán como prepagos.
4. Rentabilidad de los títulos, periodicidad y forma de pago del capital y sus rendimientos, señalando la metodología de liquidación así como el lugar donde estos pagos se llevarán a cabo.
5. El plan de amortización de los títulos o de las diferentes series, según el caso, y su duración bajo determinados escenarios de prepago y otras variables que la afecten. Para estos efectos, deberá llevarse a cabo una adecuada revelación de los supuestos que se emplean para la estructuración de los escenarios y en todo caso suministrar la información necesaria para que los inversionistas estén en capacidad de generar sus propios modelos de análisis.
6. Régimen impositivo aplicable, precisar los beneficios, exenciones y/o tasas impositivas aplicables al rendimiento que devengarán los títulos emitidos.
7. Condiciones y procedimiento operativo del depósito centralizado de valores para el manejo de los títulos desmaterializados y condiciones relativas a los registros de propiedad de los mismos.
8. Garantías y coberturas. Deberán señalarse las diferentes garantías y coberturas que amparan la emisión, indicando el monto de cobertura, el alcance en términos de capital y rendimientos, la forma de hacerla efectiva y el lugar al cual se deben dirigir para su exigencia.
9. Las condiciones y características de cualquier emisión subordinada si la hubiere.
10. Condiciones de colocación de la emisión, precisando los mecanismos a emplear para llevar los títulos al mercado, los destinatarios de la oferta, vigencia de la misma y plazo de colocación; mecanismos de colocación y los agentes que participarán en ella, señalando el lugar donde se podrán adquirir los títulos, así como el medio a emplear para comunicar la oferta.
11. Cualquier otra información relevante para el inversionista en relación con los títulos emitidos.
IX.- Calificación. En esta sección deberá exponerse la calificación vigente de la emisión o del avalista o garante, según el caso, información general respecto de la sociedad calificadora, el significado de la respectiva calificación y una síntesis de las razones expuesta por la sociedad calificadora para su otorgamiento.
X.- Información general sobre el emisor. Esta sección deberá presentar una descripción general de la sociedad emisora y de la administradora del patrimonio autónomo fiduciario, si es del caso, indicando la dirección principal, razón social y dirección de su sitio web. En todo caso, se deberá incluir la siguiente información:
1. Estructura administrativa.- Incluir aspectos como: La razón social, constitución, duración, estructura organizacional, composición accionaria y situación de subordinación, actividad principal de la matriz, relaciones laborales y equipo de dirección y manejo.
2. Evolución de su actividad comercial.- Deberán incluirse resúmenes que ilustren su actual plan de negocios, evolución de los mismos durante los últimos tres años, operaciones con vinculados, protecciones y beneficios gubernamentales.
3. Información financiera.- Deberá incluir la información financiera que le permita al inversionista evaluar su actual capacidad financiera, operativa y de gestión del emisor. Para empresas con un periodo de operación inferior a tres años se deberá incluir un resumen del estudio de factibilidad, que ilustre sobre las expectativas de desempeño de la sociedad.
4. Informe trimestral: Balance y estados de resultados en los formatos establecidos por la Superintendencia Financiera de Colombia, para el trimestre calendario inmediatamente anterior a la fecha de realización de la oferta pública. Los estados financieros deben estar certificados de conformidad con lo establecido en el artículo 37 de la Ley 222 de 1995.
5. Indicadores del sector: Deberá incluir los indicadores financieros de solvencia, rentabilidad, eficiencia financiera y eficiencia administrativa.
6. Estados financieros consolidados al corte del ejercicio anual inmediatamente anterior a la fecha de realización de la oferta pública.
7. Información relacionada con el avalista o garante cuando sea del caso, en los mismos términos previstos para el emisor.
8. Los mecanismos y prácticas de gobierno corporativo del emisor o del administrador del patrimonio autónomo fiduciario, si es del caso, relacionados con la protección de los derechos de los inversionistas y la información y el control de las decisiones adoptadas.
XI.- Glosario de términos.- Se debe incluir una relación de los términos técnicos empleados con una acepción particular para la emisión, con su correspondiente definición.
XII.- Requisitos formales. Esta sección deberá incluir las menciones de las autorizaciones que recibió el emisor para realizar la emisión y se debe incluir la constancia del representante legal del emisor, de su revisor fiscal y del asesor en banca de inversión, éste último cuando sea el caso, debidamente suscritas, de que emplearon la debida diligencia en la verificación del contenido del prospecto, en forma tal que certifican la veracidad del mismo y que en éste no se presentan omisiones de información que revistan materialidad y puedan afectar la decisión de los futuros inversionistas.
Adicionalmente, deberá incluirse un listado de las personas que participaron en la estructuración de la emisión y elaboración de los documentos legales que forman parte de ella, señalando en cada caso, el nombre, cargo o área de asesoría, entidad a la que se encuentra vinculado y actividades concretas que desarrolló en dicha estructuración.
ARTÍCULO 5.6.10.3.4 ACTUALIZACIÓN DEL PROSPECTO.
<Fuente original compilada: R. 775/01 Art. 22> Los prospectos de colocación deberán ser actualizados por la sociedad emisora en la medida en que su contenido deba ser objeto de modificaciones posteriores. En todo caso, la información financiera relativa al emisor y al desempeño de los activos subyacentes deberá actualizarse por lo menos en forma mensual. La actualización del prospecto podrá llevarse a cabo mediante la integración por referencia de que trata el artículo siguiente.
ARTÍCULO 5.6.10.3.5 INTEGRACIÓN POR REFERENCIA.
<Fuente original compilada: R. 775/01 Art. 23> El contenido del prospecto podrá integrar, por referencia, información revelada previamente al mercado y que se encuentre disponible de manera permanente en el Registro Nacional de Valores y Emisores-RNVE, en el sitio de Internet y en los sitios indicados para el efecto, siempre y cuando mantenga su validez y vigencia, lo cual debe ser declarado por el emisor.
PARÁGRAFO. Se entenderá incorporado por referencia cuando el contenido total o parcial de determinado documento forma parte, para todos los efectos, del prospecto respectivo, sin que se requiera repetir su texto.
Los documentos incorporados por referencia deberán ser entregados a los inversionistas, cuando estos así lo soliciten.
ARTÍCULO 5.6.10.3.6 NORMAS APLICABLES A LOS EMISORES DE TÍTULOS HIPOTECARIOS.
<Fuente original compilada: R. 775/01 Art. 24 modificada por la R. 223/02> A los emisores de títulos hipotecarios, a las emisiones que efectúen, y a los valores que las conformen, les serán aplicables, en aquello que no se encuentre expresamente regulado en el presente Título:
(i) las normas vigentes que se refieran a los participantes del mercado de valores;
(ii) las normas vigentes que se refieran a los demás emisores de valores; y,
(iii) las normas vigentes que se refieran a los valores que sean ofrecidos o negociados en el mercado colombiano.
DE LA EMISIÓN DE TÍTULOS EN DESARROLLO DE PROCESOS DE TITULARIZACIÓN DE ACTIVOS NO HIPOTECARIOS.
ASPECTOS GENERALES.
ARTÍCULO 5.6.11.1.1 DENOMINACIÓN DEL MONTO DE LA EMISIÓN.
<Fuente original compilada: D. 230/10 Art. 10> Los títulos emitidos en desarrollo de procesos de titularización de activos no hipotecarios deberán denominarse en moneda legal colombiana. Sin perjuicio de lo anterior, el respectivo emisor, cuando lo juzgue conveniente, podrá emplear una segunda denominación que corresponda a una moneda extranjera o a una que tome como referencia las condiciones particulares del activo subyacente.
ARTÍCULO 5.6.11.1.2 TRANSFERENCIA DE LOS ACTIVOS.
<Fuente original compilada: D. 230/10 Art. 13> La transferencia de activos no hipotecarios y sus garantías, o de los documentos que soporten las obligaciones que dan origen a tales activos, que se realice en desarrollo de procesos de titularización de activos no hipotecarios, no producirá efectos de novación y se entenderá perfeccionada exclusivamente con la transferencia del título representativo del derecho sobre el activo o mediante la cesión del contrato que le da origen.
PARÁGRAFO. En los procesos de titularización de activos no hipotecarios derivados de contratos de arrendamiento financiero bajo cualquiera de sus modalidades, la transferencia de la propiedad de los bienes muebles o inmuebles objeto de dichos contratos, se perfeccionará en cabeza de las sociedades titularizadoras de activos no hipotecarios mediante la cesión del contrato de arrendamiento financiero correspondiente. Para tal efecto, en el documento de cesión correspondiente se deberá dejar constancia de que la misma tiene por fundamento exclusivo el desarrollo de un proceso de titularización de activos no hipotecarios. En ningún caso dicha transferencia generará derechos de registro, gastos notariales o impuesto de timbre.
En todo caso, la transferencia de la propiedad de los bienes objeto del contrato de arrendamiento financiero que realicen las sociedades titularizadoras de activos no hipotecarios de que trata el presente Título a favor del locatario, o de quien ejerza la opción de compra a la finalización del contrato de arrendamiento financiero, seguirá sujeta al régimen aplicable para dicha transferencia de acuerdo con la naturaleza del bien a transferir.
ESTRUCTURACIÓN Y CARACTERÍSTICAS DE LOS TÍTULOS EMITIDOS EN DESARROLLO DE TITULARIZACIÓN DE ACTIVOS NO HIPOTECARIOS.
ARTÍCULO 5.6.11.2.1 AMINISTRADOR DEL PROCESO DE TITULARIZACIÓN DE ACTIVOS NO HIPOTECARIOS.
<Fuente original compilada: D. 230/10 Art. 14> Las sociedades titularizadoras de activos no hipotecarios tendrán la condición de administradores del proceso de titularización de activos no hipotecarios que desarrollen. En tal calidad estarán obligadas a velar por el cumplimiento de las disposiciones del reglamento de emisión y colocación correspondiente y propender por el ejercicio de los derechos a favor de los tenedores de los títulos emitidos y de aquellas personas que tengan derechos exigibles en desarrollo del proceso de titularización. Para el efecto estarán facultadas directamente o a través de terceros que se designe para (i) administrar la universalidad correspondiente, (ii) obrar simultáneamente como administradoras de los activos subyacentes del proceso titularización en los casos en que realicen dicha actividad directamente, de manera parcial o total y (iii) ejercitar las acciones extrajudiciales o judiciales que sean convenientes, necesarias o requeridas para la adecuada protección de los activos subyacentes y de los derechos de los tenedores y demás terceros interesados o con derechos de conformidad con la normativa aplicable.
ARTÍCULO 5.6.11.2.2 ADMINISTRADOR DE LOS ACTIVOS SUBYACENTES.
<Fuente original compilada: D. 230/10 Art. 15> Todo proceso de titularización de activos no hipotecarios contará con un administrador de tales activos, el cual será designado por el administrador del proceso de titularización. El administrador de los activos subyacentes podrá ser el originador de los activos titularizados o un tercero y se encargará de la administración de la totalidad o parte de los activos subyacentes.
Dicha función implica entre otras cosas la conservación, guarda y administración de los bienes o activos subyacentes, el recaudo y transferencia de los flujos provenientes de dichos activos, la generación y reporte de información relativa a los mismos y cualquier otro deber que le imponga el respectivo contrato de administración y el reglamento de emisión y colocación correspondiente.
En el contrato de administración deberán establecerse las condiciones, obligaciones y derechos relacionados con la administración de los activos subyacentes y, como mínimo, lo siguiente:
1. Las condiciones y requerimientos que se deben acreditar y mantener durante la vigencia del contrato para poder desarrollar la gestión de administración;
2. Las condiciones de remuneración del administrador incluyendo la forma de liquidación y pago de dicha remuneración;
3. Las obligaciones del administrador frente a la custodia de los activos que correspondan a cada proceso de titularización, de acuerdo con la naturaleza y condiciones de los activos no hipotecarios de que se trate, incluyendo lo relativo a la custodia de los documentos relacionados con esos activos y sus garantías, así como la obligación de velar por su actualización. Deberá especificarse si la custodia se realizará de manera directa o a través de terceros especializados en procesos de custodia documental;
4. Las obligaciones específicas de administración de activos subyacentes, teniendo en cuenta la naturaleza y condiciones del activo no hipotecario de que se trate;
5. El régimen de responsabilidad del administrador incluyendo el esquema de garantías definido para el desarrollo de su gestión, si fuere aplicable;
6. Las causales de terminación del contrato de administración, eventos y procedimiento de sustitución del administrador de activos subyacentes y las reglas relativas a la cesión del contrato de administración.
ARTÍCULO 5.6.11.2.3 REPRESENTANTE LEGAL DE LOS TENEDORES DE TÍTULOS.
<Fuente original compilada: D. 230/10 Art. 16> Las emisiones de títulos producto de procesos de titularización de activos no hipotecarios deberán contar con un representante legal de los tenedores de los títulos.
La función de representante de los tenedores de títulos deberá ser ejercida por entidades técnica y administrativamente idóneas que tengan capacidad legal para ejercer la representación legal de tenedores de valores. El representante de tenedores de títulos deberá ser independiente del emisor y consecuentemente no podrá existir ninguna relación de subordinación entre ellos.
El contrato de representación legal de tenedores de títulos deberá contener la totalidad de las condiciones, obligaciones y derechos que se derivan de dicha actividad y en especial las siguientes obligaciones y facultades:
1. Ejercer la representación judicial de los tenedores de títulos;
2. Intervenir con voz, pero sin voto, en todas las reuniones de la asamblea de accionistas de la sociedad emisora, así como convocar y presidir la asamblea de tenedores de títulos;
3. Informar a los tenedores de títulos, a la mayor brevedad posible, sobre cualquier incumplimiento de las obligaciones de la sociedad emisora, del administrador de la emisión o de los demás agentes que participan en la emisión.
La asamblea general de los tenedores de títulos podrá en cualquier tiempo remover a su representante y designar su reemplazo. El representante legal de los tenedores de títulos sólo podrá renunciar al cargo por motivos graves, que deberán ser justificados de acuerdo con lo que se establezca en el contrato de representación legal de tenedores de títulos.
PARÁGRAFO. Las condiciones, requisitos y reglas de funcionamiento de la asamblea de tenedores de títulos, se sujetarán a lo dispuesto expresamente para el efecto en el reglamento de emisión y colocación. Lo anterior, sin perjuicio de que la entidad emisora o un grupo de tenedores que represente no menos del 10% del monto de los títulos en circulación de la respectiva emisión pueda exigir al representante legal de los tenedores de los títulos que convoque a la asamblea, y si éste no lo hiciere, solicitar a la Superintendencia Financiera de Colombia que haga la convocatoria.
ARTÍCULO 5.6.11.2.4 ESTRUCTURA DE LOS TÍTULOS.
<Fuente original compilada: D. 230/10 Art. 17> Los pagos de capital de los títulos que se emitan en desarrollo de los procesos de titularización de activos no hipotecarios previstos en este Título, podrán efectuarse durante la vida de los títulos o al final de su vigencia.
Así mismo, los flujos provenientes de los activos que conforman la universalidad y que se recauden en un determinado período, se distribuirán en la forma, cuantía y condiciones de amortización, tasa, plazo y riesgo preestablecidos en el reglamento de emisión y colocación, y en el respectivo prospecto de información.
En todo caso los títulos deberán presentar características homogéneas, pudiendo incorporar diversas series de condiciones uniformes, según lo establecido en el reglamento de emisión y colocación, y en el respectivo prospecto de información.
ARTÍCULO 5.6.11.2.5 GARANTÍAS.
<Fuente original compilada: D. 230/10 Art. 18> Las sociedades titularizadoras de activos no hipotecarios podrán prever o incorporar en sus procesos de titularización, los mecanismos de cobertura que se consideren necesarios para mitigar los riesgos propios de las emisiones que realicen, en los términos y condiciones que se definan para el efecto en el respectivo reglamento de emisión y colocación.
Tratándose de garantías o apoyos de liquidez otorgados por entidades extranjeras, el régimen aplicable a tales mecanismos de cobertura se sujetará a las condiciones que para el efecto establezca la Superintendencia Financiera de Colombia.
ARTÍCULO 5.6.11.2.6 DESMATERIALIZACIÓN DE LOS TÍTULOS.
<Fuente original compilada: D. 230/10 Art. 19> Los títulos que se emitan en desarrollo de procesos de titularización de activos no hipotecarios, deberán ser desmaterializados. En el prospecto de información y en el reglamento de emisión y colocación deberá expresarse claramente quién asumirá el costo por este servicio.
ARTÍCULO 5.6.11.2.7 CALIFICACIÓN.
<Fuente original compilada: D. 230/10 Art. 20> Los títulos que se emitan en desarrollo de procesos de titularización de activos no hipotecarios, deberán ser objeto de calificación otorgada por una sociedad calificadora de riesgo en los términos que para el efecto establezca la Superintendencia Financiera de Colombia.
PARÁGRAFO. <Parágrafo modificado por el artículo 15 del Decreto 1019 de 2014. El nuevo texto es el siguiente:> En el caso de títulos garantizados por la Nación o por Fogafín y títulos que sean emitidos en un proceso de titularización a través del Segundo Mercado no será obligatoria la calificación de riesgo
ARTÍCULO 5.6.11.2.8 PLAZO DE COLOCACIÓN Y VIGENCIA DE LA OFERTA.
<Fuente original compilada: D. 230/10 Art. 21> El plazo de colocación de los títulos y la vigencia de la oferta será establecido por el emisor en el aviso de oferta correspondiente.
ARTÍCULO 5.6.11.2.9 RETITULARIZACIÓN.
<Fuente original compilada: D. 230/10 Art. 22> Las sociedades titularizadoras de activos no hipotecarios podrán emitir títulos con la finalidad exclusiva de ser retitularizados. Para tal efecto, en el respectivo reglamento de emisión y colocación deberá preverse que dichos títulos no serán objeto de oferta pública, ni serán negociables en el mercado secundario. Los títulos así emitidos: (i) No se inscribirán en el Registro Nacional de Valores y Emisores; (ii) No requerirán de representante legal de tenedores de títulos; iii) No serán objeto de calificación y, (iv) La información relativa a sus características, la estructura de la emisión, sus condiciones y de las del emisor, podrá formar parte y proporcionarse simultáneamente con la de la emisión que los retitularice.
INFORMACIÓN Y REVELACIÓN.
ARTÍCULO 5.6.11.3.1 INFORMACIÓN Y REVELACIÓN PLENA.
<Fuente original compilada: D. 230/10 Art. 11> Las sociedades titularizadoras de activos no hipotecarios deberán suministrar a los inversionistas, previamente a la suscripción del título, toda la información necesaria para el adecuado entendimiento de las características, estructura y condiciones de los procesos de titularización que realicen y de los valores emitidos en tales procesos. Así mismo, deberán mantener a disposición del mercado la siguiente información de manera permanente y simultánea:
1. El prospecto de información;
2. El reglamento de emisión y colocación;
3. Un reporte mensual por cada universalidad, que contenga información clara, oportuna y suficiente sobre el comportamiento de las emisiones y los riesgos inherentes a los activos que conforman tales universalidades, así como indicadores que revelen el estado actualizado de dichos activos.
4. Cualquier otra información relativa al proceso de titularización, necesaria para ilustrar al inversionista respecto de la inversión, el emisor, la estructura, desarrollo y riesgos de la emisión y el servicio de administración y recaudo de los activos titularizados.
PARÁGRAFO 1. El contenido del prospecto de información y del reglamento de emisión y colocación deberá ser actualizado por el emisor, en la medida en que se presenten modificaciones a la información y datos en ellos contenidos. En cualquier caso, la información financiera relativa al emisor y al desempeño de los activos subyacentes que conforman las universalidades deberá actualizarse con periodicidad mínima mensual.
PARÁGRAFO 2. Los prospectos de información y los reglamentos de emisión y colocación a que se hace mención en este artículo podrán integrar por referencia la información revelada previamente al mercado y que se encuentre disponible de manera permanente en el Registro Nacional de Valores y Emisores –RNVE-, en el sitio de Internet del emisor y en los sitios indicados para el efecto, siempre y cuando la información integrada por referencia, mantenga su validez y vigencia, lo cual debe ser declarado por el emisor.
ARTÍCULO 5.6.11.3.2 PUBLICIDAD.
<Fuente original compilada: D. 230/10 Art. 12> Cualquier informe, publicidad o promoción que se realice sobre determinada emisión, deberá ser consistente con el contenido del prospecto de información y el reglamento de emisión y colocación. En todo caso, corresponderá a la Superintendencia Financiera de Colombia fijar las condiciones para el cumplimiento de la presente obligación.
OFERTA PÚBLICA DE VALORES.
DISPOSICIONES GENERALES.
DEFINICIONES Y REQUISITOS.
ARTÍCULO 6.1.1.1.1 DEFINICIÓN DE OFERTA PÚBLICA. <Artículo modificado por el artículo 1 del Decreto 767 de 2016. El nuevo texto es el siguiente:> Se considera como oferta pública de valores, aquella que se dirija a personas no determinadas o a cien o más personas determinadas, con el fin de suscribir, enajenar o adquirir documentos emitidos en serie o en masa, que otorguen a sus titulares derechos de crédito, de participación y de tradición o representativos de mercancías.
No se considerarán públicas las siguientes ofertas:
1. La de acciones o de bonos obligatoriamente convertibles en acciones que esté dirigida a los accionistas de la sociedad emisora, siempre que sean menos de quinientos (500) los destinatarios de la misma.
2. La de acciones resultante de una orden de capitalización impartida por autoridad estatal competente, dirigida exclusivamente a accionistas de la sociedad, o la que tenga por objeto capitalizar obligaciones de la misma, siempre y cuando se encuentren reconocidas dentro de un proceso concursal en el que se haya tomado tal decisión, en ambos casos sin importar el número de personas a quienes se encuentre dirigida.
3. <Numeral modificado por el artículo 16 del Decreto 1351 de 2019. El nuevo texto es el siguiente:> La que realice una sociedad colombiana, su matriz, sus filiales y/o subordinadas domiciliadas en Colombia o en el exterior y sea ofrecida a aquellos sujetos con los que la sociedad colombiana tiene contrato de trabajo vigente y/o a sus miembros de junta directiva. Esta oferta deberá hacer parte de un programa de compensación o de beneficios para empleados, el cual deberá constar por escrito en el respectivo contrato de trabajo
Las ofertas que a la vez tengan por destinatarios a las personas indicadas en el numeral uno (1) del presente artículo y a cien o más personas determinadas serán públicas.
PARÁGRAFO. Cuando los destinatarios de una oferta se vayan a determinar con base en una labor de premercadeo realizada entre personas no determinadas o cien o más personas determinadas, la respectiva oferta tendrá el carácter de pública y en tal sentido, su realización solo podrá efectuarse con observancia de las normas que al efecto se establecen en este decreto.
ARTÍCULO 6.1.1.1.2 INSCRIPCIÓN EN BOLSA.
<Fuente original compilada: R. 400/95 Art. 1.2.1.2> Cuando los títulos objeto de la oferta pública vayan a ser inscritos en bolsas de valores de acuerdo con el prospecto de colocación, la misma deberá surtirse de manera previa a la realización de la oferta.
ARTÍCULO 6.1.1.1.3 DEFINICIÓN DE BENEFICIARIO REAL.
<Fuente original compilada: R. 400/95 Art. 1.2.1.3> Se entiende por beneficiario real cualquier persona o grupo de personas que, directa o indirectamente, por sí misma o a través de interpuesta persona, por virtud de contrato, convenio o de cualquier otra manera, tenga respecto de una acción de una sociedad, o pueda llegar a tener, por ser propietario de bonos obligatoriamente convertibles en acciones, capacidad decisoria; esto es, la facultad o el poder de votar en la elección de directivas o representantes o de dirigir, orientar y controlar dicho voto, así como la facultad o el poder de enajenar y ordenar la enajenación o gravamen de la acción.
Para los efectos del presente decreto, conforman un mismo beneficiario real los cónyuges o compañeros permanentes y los parientes dentro del segundo grado de consanguinidad, segundo de afinidad y único civil, salvo que se demuestre que actúan con intereses económicos independientes, circunstancia que podrá ser declarada mediante la gravedad de juramento ante la Superintendencia Financiera de Colombia con fines exclusivamente probatorios.
Igualmente, constituyen un mismo beneficiario real las sociedades matrices y sus subordinadas.
PARÁGRAFO. Una persona o grupo de personas se considera beneficiaria real de una acción si tiene derecho para hacerse a su propiedad con ocasión del ejercicio de un derecho proveniente de una garantía o de un pacto de recompra o de un negocio fiduciario o cualquier otro pacto que produzca efectos similares, salvo que los mismos no confieran derechos políticos.
ARTÍCULO 6.1.1.1.4 INVITACIÓN PARA PARTICIPAR EN SOCIEDADES POR ACCIONES EN PROCESO DE CONSTITUCIÓN.
<Fuente original compilada: R. 400/95 Art. 1.2.1.4> Cuando se efectúe una oferta para participar como accionista en una sociedad que se encuentre en proceso de constitución y que de acuerdo con las personas a quienes esté dirigida pueda ser considerada como pública, según lo dispuesto en el artículo 6.1.1.1.1 del presente decreto, tal oferta deberá ser autorizada previamente por la Superintendencia Financiera de Colombia.
ARTÍCULO 6.1.1.1.5 REGLAS DE TRANSPARENCIA Y HOMOGENEIZACIÓN.
<Artículo modificado por el artículo 3 del Decreto 1178 de 2017. El nuevo texto es el siguiente:> Los valores de contenido crediticio o mixto que sean objeto de oferta pública deberán cumplir con reglas que atiendan a una modalidad estandarizada o no estandarizada, conforme lo siguiente:
1. Modalidad Estandarizada
Los valores que se emitan bajo esta modalidad, deberán atender las siguientes reglas:
1.1. Reglas para el pago de intereses. Los intereses solo podrán ser pagados al vencimiento del período objeto de remuneración. Tales períodos serán mensuales, trimestrales, semestrales o anuales y se contarán a partir de la fecha de emisión y hasta el mismo día del mes, trimestre, semestre o año siguiente. En caso de que dicho día no exista en el respectivo mes de vencimiento, se tendrá como tal el último día calendario del mes correspondiente.
Para los efectos del inciso anterior, se entiende por fecha de emisión el día hábil siguiente a la fecha de publicación del primer aviso de la oferta pública de la respectiva emisión. En el caso de titularizaciones estructuradas a partir de una universalidad, se tendrá por fecha de emisión la de la creación de la misma.
Para los títulos de una titularización cuyo pago esté subordinado por la estructura de la misma, el pago de intereses se efectuará de conformidad con las reglas previstas en el respectivo reglamento, las cuales deberán ser homogéneas para cada una de las series.
Cuando sea necesario ajustar los periodos de pago de intereses de una emisión a los flujos de caja del activo subyacente de la misma, los periodos para el primer y/o el último pago de intereses podrán ser diferentes a los previstos para los demás periodos de la emisión, que deberán ser todos mensuales, trimestrales, semestrales o anuales según lo dispuesto en el inciso primero.
La tasa cupón deberá ser la misma para cada uno de los títulos que conforman una serie en una emisión y se deberá expresar con dos (2) decimales en una notación porcentual, es decir de la siguiente manera (0.00%).
En caso de que el día del último pago de intereses corresponda a un día no hábil, el emisor deberá pagar los intereses el día hábil siguiente y reconocer los intereses hasta ese día.
1.2. Reglas para el cálculo de los intereses. En cada emisión, los intereses se calcularán desde el inicio del respectivo período empleando una cualquiera de las siguientes convenciones:
a) 360/360. Corresponde a años de 360 días, de doce (12) meses, con duración de treinta (30) días cada mes;
b) 365/365. Corresponde a años de 365 días, de doce (12) meses, con la duración mensual calendario que corresponda a cada uno de estos, excepto para la duración del mes de febrero, que corresponderá a veintiocho (28) días;
c) Real/real. Corresponde a años de 365 o 366 días, de doce (12) meses, con la duración mensual calendario que corresponda a cada uno de estos;
d) Real/360. El numerador corresponde a años de 365 o 366 días, de doce (12) meses, con la duración mensual calendario que corresponda a cada uno de estos. El denominador corresponde a años de 360 días, de doce (12) meses, con duración de treinta (30) días cada mes.
En ningún caso se podrán emplear convenciones distintas de las anteriormente enunciadas, ni crear nuevas a partir de combinaciones de los factores que correspondan a cada una de estas, de manera tal que la convención que se emplee sea consistente. Estas convenciones resultarán aplicables aún para años bisiestos.
1.3. Factor de cálculo y liquidación de intereses. En el factor para el cálculo y la liquidación de los intereses se deberán emplear seis (6) decimales aproximados por el método de redondeo, ya sea que se exprese como una fracción decimal (0,000000) o como una expresión porcentual (0.0000%).
Cuando en las condiciones de emisión se ofrezcan tasas de interés expresadas en términos nominales, compuestas por un indicador de referencia nominal más un margen, se entiende que la tasa a emplear para la determinación del factor de liquidación corresponderá al total que resulte de adicionar al valor del respectivo indicador el margen ofrecido.
Así mismo, cuando en las condiciones de emisión se ofrezcan tasas de interés expresadas en términos efectivos, compuestas por un indicador de referencia efectivo más un margen, se entiende que la tasa a emplear para la determinación del factor de liquidación corresponderá al total que resulte de multiplicar uno (1) más el valor del respectivo indicador por uno (1) más el margen ofrecido y a este resultado se le restará uno (1).
1.4. Valor nominal. El valor nominal de los valores se deberá expresar en múltiplos de cien mil pesos ($100.000), o de mil (1.000) unidades básicas cuando esta sea diferente al peso colombiano.
El valor nominal es aquel que se expresa en el título al momento de su emisión, el cual no varía por efecto de las amortizaciones periódicas del mismo.
1.5. Revelación de información. Se deberá informar a los inversionistas, en el momento en que se liquiden y paguen los respectivos intereses, la tasa de interés liquidada y pagada expresada en términos efectivos o nominales anuales y la convención utilizada para el cálculo de los intereses de la respectiva emisión.
1.6. Reglas particulares. Las reglas previstas para la modalidad estandarizada se aplicarán considerando además las siguientes condiciones particulares:
1.6.1. Tratándose de papeles comerciales no se aplicará lo previsto en el numeral 1.1., del presente artículo, respecto de los períodos mensuales, trimestrales, semestrales o anuales contados a partir de la fecha de la emisión.
1.6.2. Tratándose de certificados de depósito a término, no será aplicable el requisito de establecer períodos mensuales, trimestrales, semestrales o anuales a que hace referencia el numeral 1.1., del presente artículo, ni tampoco será aplicable el numeral 1.4., de este mismo artículo.
1.6.3. Tratándose de títulos de deuda pública de la Nación no será aplicable lo previsto en los numerales 1.1., y 1.4., del presente artículo.
1.6.4. Cuando se trate de títulos con plazo de hasta un (1) año que prevean un único pago a la fecha de redención y no sean renovables, los mismos podrán colocarse a descuento como una forma de reconocimiento anticipado de los intereses.
1.6.5. Tratándose de los instrumentos de deuda de los que tratan los artículos 2.1.1.1.12., y 2.1.1.1.13., del presente decreto y siempre que el emisor opte por no realizar el pago del cupón, no será aplicable lo previsto en los numerales 1.1., 1.2., y 1.3., del presente artículo.
2. Modalidad no estandarizada
Bajo esta modalidad, el emisor deberá tener en cuenta las siguientes condiciones mínimas, que además indicará en el prospecto y reglamento de emisión de los valores de contenido crediticio o mixto que oferte públicamente:
2.1. Indicación de la tasa de interés de los títulos o procedimiento para su determinación.
Los intereses podrán ser pagados al vencimiento del título objeto de remuneración. El pago de estos intereses y el periodo de remuneración se efectuará de conformidad con las reglas que expresamente determine el emisor.
En el evento de programas de emisión, las reglas de pago de intereses y el periodo de remuneración deberán ser las mismas para cada una de las series, sin que ello implique que deba existir homogeneidad entre las reglas establecidas para las diferentes series.
2.2. Fecha desde la cual el título comienza a generar intereses y fechas en las que se realizarán reajustes a dichos intereses, si esto último aplica.
2.3. Cuando se trate de títulos que prevean un único pago a la fecha de redención y no sean renovables, los mismos podrán colocarse a descuento como una forma de reconocimiento anticipado de los intereses.
2.4. Base en días a que la tasa de interés está referida, expresándola en términos del periodo en que se pagarán los intereses. No obstante, la referida tasa de interés deberá expresarse en términos efectivos o nominales anuales para efectos informativos y comparativos.
2.5. Las condiciones previstas en los numerales 1.3., 1.4., y 1.5., del presente artículo, serán igualmente aplicables a las emisiones realizadas bajo la modalidad no estandarizada.
2.6. Los valores emitidos bajo la modalidad no estandarizada, solo podrán ser adquiridos por inversionistas calificados como “inversionista profesional”, en los términos de la Parte 7 del Libro 2 del presente decreto.
<Inciso adicionado por el artículo 4 del Decreto 1291 de 2020. El nuevo texto es el siguiente:> Aquellos inversionistas profesionales que no cumplan con lo dispuesto en el numeral 2 del artículo 7.2.1.1.2. del presente decreto no podrán celebrar las operaciones de las que trata este numeral.
2.7. En todo caso, la valoración, colocación, negociación, registro, compensación o liquidación de las operaciones que se realicen sobre los valores que se prevén emitir bajo la modalidad no estandarizada, dependerá de la capacidad de los proveedores de infraestructura para el efecto.
3. Reglas comunes a las modalidades estandarizada y no estandarizada
3.1. El emisor deberá indicar de manera expresa en el prospecto y reglamento de emisión, la modalidad utilizada para la emisión de los valores, conforme las modalidades descritas en el presente artículo.
3.2 <Numeral modificado el artículo 114 del Decreto 1745 de 2020. El nuevo texto es el siguiente:> En cualquier evento, el emisor deberá incluir en el prospecto y el reglamento de emisión las condiciones generales del plan de amortización bajo el cual se realizarán pagos de capital al vencimiento, amortizaciones o pagos anticipados de capital, según el caso.
En escenarios en los que se presenten pagos anticipados de capital o cualquier otra circunstancia que afecte el plan de amortización de los títulos o de las diferentes series, deberá llevarse a cabo una adecuada revelación de los supuestos que se empleen para la estructuración de tales circunstancias o escenarios y en todo caso, en cumplimiento del presente numeral, se deberá proporcionar la información necesaria para que los inversionistas estén en capacidad de generar sus propios modelos de análisis.
En caso de existir más de una serie en una emisión, deberán presentarse las condiciones generales del plan de amortización para cada serie. Si se trata de una tasa de interés variable o esta sea determinada al momento de la colocación, deberá quedar claramente establecida la forma de su determinación y el modo en que se informará al respecto, a los tenedores de bonos.
3.3. La tasa de interés o rentabilidad para valores de contenido crediticio o mixto inscritos para su negociación en una bolsa de valores o sistema de negociación de valores, podrá ser publicada de forma separada al aviso de oferta, el día de la emisión de los valores, en los boletines que para el efecto se tengan establecidos en la respectiva bolsa de valores o sistema de negociación. El aviso de oferta deberá contener una mención expresa de tal circunstancia.
ARTÍCULO 6.1.1.1.6 OFERTAS PÚBLICAS SIMULTÁNEAS EN LOS MERCADOS PRIMARIO Y SECUNDARIO.
<Fuente original compilada: R. 400/95 Art. 1.2.1.6 adicionado por el D. 3780/07>
<Inciso modificado por el artículo 8 del Decreto 2510 de 2014. El nuevo texto es el siguiente:> En las ofertas públicas de acciones y bonos convertibles en acciones en el mercado primario, se podrá integrar la posibilidad de adicionar como parte de la oferta valores ya emitidos de la misma especie inscritos en el Registro Nacional de Valores y Emisores (RNVE). Dicha posibilidad debe quedar claramente expresada y determinada en el prospecto de información y en ningún caso podrán constituir un porcentaje superior al ciento por ciento (100%) del total de la emisión de que se trate.
Cuando existan titulares de los valores interesados en vender que superen el porcentaje previsto en el inciso anterior, se definirá a prorrata la porción que cada accionista puede llegar a vender. Los accionistas podrán optar por no participar en la oferta, evento en el cual se incrementará proporcionalmente la porción que pueden llegar a vender los demás titulares interesados.
Lo dispuesto en el presente artículo se aplicará sin perjuicio del cumplimiento del régimen de ofertas públicas de adquisición por parte de los inversionistas
DE LA ESTABILIZACIÓN DE PRECIOS EN OFERTAS PÚBLICAS.
DEFINICIONES.
ARTÍCULO 6.1.2.1.1 DEFINICIONES.
<Artículo adicionado por el artículo 10 del Decreto 2510 de 2014. El nuevo texto es el siguiente:> Para efectos del presente Título, los términos a continuación tendrán el siguiente significado:
1. Estabilizador: Corresponde a la Sociedad Comisionista, contratada por el emisor, que haya participado en el proceso de estructuración y/o colocación de oferta pública del respectivo valor, quien podrá realizar, por cuenta propia o por cuenta ajena, operaciones de compra de valores, la colocación de ofertas de compra (puntas de demanda), así como ejercer el objeto del contrato de suscripción adicional y de readquisición según sea el caso, con el propósito de prevenir o retardar la disminución del precio del valor emitido.
2. Sindicato de Colocadores: Corresponde al conjunto de Corporaciones Financieras y Sociedades Comisionistas que hayan participado en el proceso de estructuración y/o colocación y/o distribución de la oferta pública del respectivo valor.
3. Contrato de estabilización: Es el acuerdo suscrito entre el emisor y el estabilizador mediante el cual se regulan los derechos y obligaciones de cada una de las partes, a efectos de prevenir o retardar la disminución del precio del valor emitido.
4. Periodo de estabilización: Corresponde a un máximo de treinta (30) días calendario, contados a partir del día en el que inicia la negociación secundaria del respectivo valor. Cuando se trate de valores que al momento de la respectiva emisión son negociados en el mercado secundario, el periodo de estabilización comenzará a contarse a partir del día en el que se revele la información concerniente al monto y precio al que se adjudicará la correspondiente oferta pública.
5. Precio independiente: Corresponde al último precio formado por la realización efectiva (calce) de una operación sobre el valor respectivo.
En caso que exista un sindicato de colocadores, aquellos colocadores diferentes al estabilizador no podrán realizar operaciones por cuenta propia con el valor respectivo durante el periodo establecido para la estabilización de precios. De igual forma, las operaciones que el estabilizador podrá realizar en cuenta propia sobre el respectivo valor serán únicamente aquellas concernientes al desarrollo del mecanismo de estabilización implementado.
6. Contrato de suscripción adicional: Corresponde al acuerdo suscrito entre el estabilizador y el emisor, mediante el cual el estabilizador tiene el derecho, pero no la obligación, de solicitar al emisor hasta un quince por ciento (15%) de los valores objeto de estabilización, a efectos de cubrir, en caso de ser necesario, la Transferencia Temporal de Valores a la que se refiere el capítulo 2 del presente Título.
7. Contrato de readquisición: Corresponde al acuerdo suscrito entre el estabilizador y el emisor, mediante el cual el estabilizador tiene el derecho pero no la obligación de vender al emisor hasta un quince por ciento (15%) de los valores objeto de estabilización.
8. Transferencia Temporal de Valores: Para los efectos del presente Título cada vez que se haga referencia al término Transferencia Temporal de Valores este corresponderá a la operación definida en el artículo 2.36.3.1.3 del Decreto número 2555 de 2010, con la característica de que esta Transferencia Temporal de Valores es realizada por fuera de bolsa de valores o de sistema de negociación de valores y que se encuentra exceptuada del cumplimiento de los Capítulos 2, 3 y el artículo 2.36.3.4.1, todos de la Parte 2 Libro 36 Título 3 del Decreto número 2555 de 2010.
No obstante ser realizadas por fuera de bolsa de valores o sistema de negociación de valores, las Transferencias Temporales de Valores aquí definidas deberán ser compensadas y liquidadas a través de un sistema de compensación y liquidación de conformidad con lo establecido en sus reglamentos.
9. Inversionista profesional: Corresponde a la definición establecida en los artículos 7.2.1.1.2 y 7.2.1.1.3 del Decreto número 2555 de 2010 o en la norma que lo modifique o adicione.
MECANISMOS DE ESTABILIZACIÓN.
ARTÍCULO 6.1.2.2.1 MECANISMOS DE ESTABILIZACIÓN.
<Artículo adicionado por el artículo 10 del Decreto 2510 de 2014. El nuevo texto es el siguiente:> La estabilización de precios se podrá realizar únicamente a través de alguno de los mecanismos señalados en los artículos 6.1.2.2.2 y 6.1.2.2.3 del presente decreto.
ARTÍCULO 6.1.2.2.2 ADJUDICACIÓN ADICIONAL CON TRANSFERENCIA TEMPORAL DE VALORES.
<Artículo adicionado por el artículo 10 del Decreto 2510 de 2014. El nuevo texto es el siguiente:>La adjudicación adicional de valores mediante la realización de Transferencias Temporales de Valores se realizará de la siguiente manera:
1. El estabilizador podrá realizar una adjudicación adicional de hasta un quince por ciento (15%) del monto total de la emisión si encuentra que hay demanda suficiente.
2. La adjudicación adicional requerirá que el estabilizador realice durante el periodo de estabilización una o varias Transferencias Temporales de Valores que en ningún momento sobrepasen un quince por ciento (15%) de los valores respectivos, con aquella(s) persona(s) que tengan la calidad de inversionista(s) profesional(es) o con aquellas personas que tengan una participación igual o superior al veinticinco por ciento (25%) del capital con derecho a voto del respectivo emisor. Los valores recibidos en la Transferencia Temporal de Valores se utilizarán para cubrir la adjudicación adicional. Los recursos recibidos por la adjudicación adicional podrán ser utilizados como garantía de la Transferencia Temporal de Valores o para la compra del respectivo valor, en caso de que esto último sea necesario.
<Inciso adicionado por el artículo 5 del Decreto 1291 de 2020. El nuevo texto es el siguiente:> Aquellos inversionistas profesionales que no cumplan con lo dispuesto en el numeral 2 del artículo 7.2.1.1.2. del presente decreto no podrán celebrar las operaciones de las que trata este numeral.
3. Durante el periodo de estabilización, el estabilizador podrá efectuar posturas de compra a un precio no inferior al último precio independiente.
4. Si el monto de recursos destinado a comprar valores en el mercado secundario se agota antes de la finalización del periodo de estabilización, el estabilizador dejará que el precio flote libremente. Si por el contrario el precio de negociación se mantiene por encima del precio de emisión no será necesario que el estabilizador compre valores.
5. Una vez finalizado el periodo de estabilización, en caso que dichas compras no sean suficientes para cubrir la(s) Transferencia(s) Temporal(es) de Valores, el estabilizador deberá ejercer el objeto del contrato de suscripción adicional hasta por el monto necesario para cubrir dicha(s) operación(es), el cual, en todo caso, no podrá ser superior a un quince por ciento (15%) del monto total de la emisión. El precio al cual se ejercerá el referido contrato será igual al precio de oferta, salvo en el caso de colocaciones en firme o garantizadas en las cuales el precio podrá ser inferior.
ARTÍCULO 6.1.2.2.3 ADJUDICACIÓN ADICIONAL CON POSIBILIDAD DE READQUISICIÓN DE ACCIONES.
<Artículo adicionado por el artículo 10 del Decreto 2510 de 2014. El nuevo texto es el siguiente:>
1. El estabilizador podrá realizar una adjudicación adicional de hasta un quince por ciento (15%) del monto original de la emisión, si encuentra que hay demanda suficiente.
2. Los recursos recibidos por la adjudicación adicional serán entregados por el emisor al estabilizador exclusivamente para realizar compra de acciones en el mercado secundario.
3. Durante el periodo de estabilización, el estabilizador podrá efectuar posturas de compra a un precio no inferior al último precio independiente.
4. Si el monto de recursos destinado a comprar valores en el mercado secundario se agota antes de la finalización del periodo de estabilización, el estabilizador dejará que el precio flote libremente. Si por el contrario el precio de negociación se mantiene por encima del precio de emisión no será necesario que el estabilizador compre valores.
5. Una vez finalizado el periodo de estabilización, el estabilizador ejercerá el objeto del contrato de readquisición de acciones respecto de las acciones compradas en el mercado secundario. El precio al cual se ejercerá el referido contrato será igual al precio de oferta. Adicionalmente deberá devolver al emisor los recursos a los que se refiere el numeral 2 del presente artículo.
6. Para poder cumplir con el contrato de readquisición, el emisor deberá, previamente, dar cumplimiento a lo establecido por el artículo 396 del Código de Comercio.
7. A efectos del cumplimiento de lo establecido por el artículo 42 de la Ley 964 de 2005, el prospecto de información deberá señalar que la readquisición de acciones se realizará mediante compras en el mercado secundario, así como la forma mediante la que se garantizará la igualdad de condiciones de los accionistas.
ARTÍCULO 6.1.2.2.4 INFORMACIÓN DEL MECANISMO DE ESTABILIZACIÓN.
<Artículo adicionado por el artículo 10 del Decreto 2510 de 2014. El nuevo texto es el siguiente:> De manera independiente al mecanismo de estabilización que se utilice, durante el periodo de estabilización, el Estabilizador deberá presentar a la Superintendencia Financiera de Colombia, al Organismo de Autorregulación y a las Bolsas de Valores un reporte semanal, el cual deberá contener el precio y el número de valores de cada operación realizada en virtud del mecanismo de estabilización.
ARTÍCULO 6.1.2.2.5 APLICACIÓN DE LAS NORMAS SOBRE EL EJERCICIO DEL DERECHO DE PREFERENCIA.
<Artículo adicionado por el artículo 10 del Decreto 2510 de 2014. El nuevo texto es el siguiente:> De manera independiente al mecanismo de estabilización que se utilice, se deberán aplicar las normas establecidas para el ejercicio del derecho de preferencia, de acuerdo con la modalidad de oferta pública utilizada
PROMOCIÓN PRELIMINAR DE VALORES.
ASPECTOS GENERALES.
ARTÍCULO 6.2.1.1.1 PROMOCIÓN PRELIMINAR DE VALORES.
<Fuente original compilada: R. 400/95 Art. 1.2.2.3 modificado por la R. 396/04 Art. 1o.> Una vez se haya presentado ante la Superintendencia Financiera de Colombia la solicitud de autorización para realizar una oferta pública de valores y se haya radicado ante ésta el prospecto preliminar a que se refiere el presente artículo, la entidad emisora podrá promocionar los valores antes de obtener la citada autorización, siempre que cumpla con lo siguiente:
1. La promoción deberá realizarse con base en los datos más relevantes sobre el valor, la emisión, la oferta y el emisor, contenidos en el prospecto preliminar radicado ante la Superintendencia Financiera de Colombia para efecto de la autorización.
2. En todos los casos, las promociones preliminares deberán efectuarse de manera que permitan a los futuros inversionistas tener una descripción clara, completa y sustentada sobre la inversión, el emisor y los riesgos asociados.
3. En las promociones preliminares de valores deberá indicarse que los datos presentados están contenidos en el prospecto preliminar y que el mismo debe ser consultado por los futuros inversionistas.
4. Durante el curso de la promoción preliminar así como en el prospecto preliminar, deberá indicarse expresamente que (i) el proceso sobre el cual versa la promoción preliminar se encuentra en trámite de aprobación; (ii) que la presentación y el prospecto preliminar no constituyen una oferta pública vinculante, por lo cual, tanto la presentación como el prospecto preliminar pueden ser complementados o corregidos, y (iii) que no se pueden realizar negociaciones hasta que la oferta pública sea autorizada y oficialmente comunicado a sus destinatarios.
5. El emisor y/o sus asesores deberán entregar a los destinatarios de la promoción preliminar durante el curso de ésta, copia del prospecto preliminar radicado ante la Superintendencia Financiera de Colombia, el cual deberá indicar en caracteres destacados en todas las páginas, incluida la portada, que se trata de un prospecto preliminar. Adicionalmente, en la primera página deberá incluirse en mayúscula fija o en un color diferente al del resto del texto, de forma que aparezca resaltada, la siguiente advertencia: “Este documento no constituye una oferta pública vinculante, por lo cual, puede ser complementado o corregido. En consecuencia, no se pueden realizar negociaciones hasta que la oferta pública sea autorizada y oficialmente comunicada a sus destinatarios.”
6. Las promociones preliminares solamente podrán realizarse mediante la celebración de reuniones presenciales o no presenciales en las cuales se podrá hacer uso de medios tecnológicos de ayuda. En ningún caso el emisor y/o sus asesores podrán utilizar medios masivos de comunicación para promocionar preliminarmente los valores.
7. En caso que se utilicen medios tecnológicos de ayuda, deberá incluirse en la respectiva presentación, suficientemente destacadas, las indicaciones a que se refiere el numeral 4 del presente artículo. Copia de la respectiva presentación deberá ser enviada a la Superintendencia Financiera de Colombia por el representante legal del emisor, dentro de los cinco (5) días hábiles siguientes a la fecha de su divulgación.
8. <Numeral adicionado por el artículo 11 del Decreto 2510 de 2014. El nuevo texto es el siguiente:> En caso que se haya contemplado la existencia de un mecanismo de estabilización de precios, en las promociones preliminares deberán indicarse los términos y condiciones en los que se realizará dicha estabilización.
PARÁGRAFO 1. Cuando la presentación que se elabore para la promoción preliminar de los valores vaya a contener datos o información que no haga parte del prospecto de colocación, el emisor deberá radicar ante la Superintendencia Financiera de Colombia, con no menos de cinco (5) días hábiles de antelación a la realización de la promoción preliminar, los documentos que contiene la información o los datos que se van a difundir. La Superintendencia Financiera de Colombia divulgará esta información a través del Registro Nacional de Valores y Emisores-RNVE.
PARÁGRAFO 2. No se podrán realizar negociaciones sobre los valores mientras no haya sido autorizada su oferta pública y oficialmente comunicada a sus destinatarios.
PARÁGRAFO 3. El emisor y los asesores del proceso, serán responsables de dar cumplimiento a lo dispuesto en el presente artículo.
OFERTA PÚBLICA DE VALORES MEDIANTE CONSTRUCCIÓN DEL LIBRO DE OFERTAS.
ARTÍCULO 6.2.2.1.1 DEFINICIÓN.
<Fuente original compilada: R. 400/95 Art. 1.2.2.5 adicionado por el D. 3780/07> La oferta pública de valores mediante la construcción del libro de ofertas consiste en el procedimiento según el cual un emisor puede determinar el precio, la distribución y asignación de los valores a emitir y el tamaño de la emisión, ya sea directamente o por intermedio de un tercero, a través del mercadeo, la promoción preliminar de los valores y la recepción y registro de órdenes de demanda en un libro de ofertas, en los términos y condiciones del presente Título.
<Fuente original compilada: R. 400/95 Art. 1.2.2.6 adicionado por el D. 3780/07> Todos los valores inscritos en el Registro Nacional de Valores y Emisores- RNVE, podrán ser objeto de oferta mediante el procedimiento señalado en el presente Título.
ARTÍCULO 6.2.2.1.3 PROCEDIMIENTO.
<Fuente original compilada: R. 400/95 Art. 1.2.2.7 adicionado por el D. 3780/07> El proceso de oferta pública de valores mediante la construcción del libro de oferta se inicia desde el registro del prospecto de información preliminar ante la Superintendencia Financiera de Colombia y se extiende hasta la etapa de distribución y asignación de los valores objeto de la oferta, en los siguientes términos:
1) Una vez se haya presentado ante la Superintendencia Financiera de Colombia la solicitud de autorización para realizar una oferta pública de valores y se haya radicado ante ésta el prospecto de información preliminar, la entidad emisora podrá mercadear y promocionar los valores antes de obtener la citada autorización. Para el efecto se aplicará lo previsto en el artículo 6.2.1.1.1 del presente decreto, en sus numerales 1, 2, 3, 4 subliterales (i) y (ii) y 5.
PARÁGRAFO. Para los casos de valores emitidos en procesos de titularización con inscripción automática, el agente de manejo podrá utilizar el mecanismo de construcción del libro de ofertas y deberá presentar el prospecto de información utilizado para el mercadeo y promoción de dichos valores y la demás información necesaria para que se dé la autorización automática de la oferta pública, dentro de los cinco (5) días hábiles anteriores al proceso de asignación y distribución de que trata el numeral 5 del presente artículo.
2) El prospecto preliminar deberá incluir:
a) El período durante el cual estará abierto el libro de ofertas, indicando la forma como se determinará e informará la fecha y hora de su apertura y cierre;
b) Los destinatarios de la oferta;
c) Los responsables de la administración, de la colocación, de la construcción del libro de ofertas, de la determinación del precio o de la tasa, y de la asignación y de la distribución de los valores;
d) Las vueltas, lotes o tramos en los cuales se dividirá la emisión, cuando a ello haya lugar o la forma de su determinación;
e) Las reglas de organización y funcionamiento del libro de ofertas de los valores objeto de la emisión;
f) La mención de que el precio o la tasa de colocación y el tamaño de la emisión se determinarán de acuerdo con el libro de ofertas, lo cual se entenderá como un procedimiento reconocido técnicamente para los efectos previstos en el literal d) del artículo 41 de la Ley 964 de 2005.
Si el emisor podrá ejercer la opción de aumentar el monto de valores a emitir o a colocar, en los casos en que la demanda exceda la cantidad de valores que se hubiere proyectado emitir;
h) <Literal modificado por el artículo 1 del Decreto 4870 de 2011. El nuevo texto es el siguiente:> Señalar si existe derecho de preferencia en la suscripción de acciones o bonos convertibles en acciones
La Superintendencia Financiera de Colombia podrá solicitar la corrección y complementación de la información contenida en el prospecto de información preliminar, en cualquier momento.
3) Periodo para la construcción del libro: corresponderá al periodo definido por el emisor que comprende desde la fecha y hora en que se abre el libro de ofertas para la recepción de las mismas y se extiende hasta la fecha y hora fijadas para su cierre. Este periodo se surtirá con posterioridad a la respectiva autorización de la oferta pública. En el evento contemplado en el parágrafo del numeral 1 del presente artículo, el agente de manejo podrá iniciar la construcción del libro un (1) mes antes de la presentación de la información necesaria para que se dé la autorización automática. Durante esta etapa, el emisor deberá verificar que:
a) El administrador del libro reciba todas las posturas de demanda de los valores que cumplan con los criterios definidos por el emisor en el prospecto de información preliminar. Cualquier inversionista podrá incluir, excluir, modificar o agregar sus demandas directamente o a través de los intermediarios de valores que se indiquen en el prospecto de información;
b) La promoción preliminar, el mercadeo y la construcción del libro podrán adelantarse mediante la utilización de cualquier medio de difusión, la celebración de reuniones, presenciales o no, en las cuales se podrá hacer uso de medios tecnológicos de ayuda. En el evento en que el emisor disponga utilizar medios masivos de comunicación para mercadear y promocionar preliminarmente los valores y cuando se utilicen medios tecnológicos de ayuda, deberá incluirse en la respectiva presentación o medio, suficientemente destacadas, las indicaciones a que se refiere el numeral 4 subliterales (i) y (ii) del artículo 6.2.1.1.1 del presente decreto. Copia de la respectiva presentación deberá ser enviada a la Superintendencia Financiera de Colombia por el representante legal del emisor, dentro de los cinco (5) días hábiles siguientes a la fecha de su divulgación. Cuando la presentación o medio que se elabore para la promoción de la construcción del libro vaya a contener datos o información que no haga parte del prospecto de información preliminar, el emisor deberá radicar ante la Superintendencia Financiera de Colombia, dentro de los dos (2) días hábiles siguientes a su utilización, los documentos que contienen la información o los datos difundidos. La Superintendencia Financiera de Colombia podrá divulgar esta información a través del Registro Nacional de Valores y Emisores - RNVE;
c) <Literal modificado por el artículo 12 del Decreto 2510 de 2014. El nuevo texto es el siguiente:> El sistema o mecanismo que se utilice para la construcción del libro garantice condiciones de igualdad en el acceso y transparencia a este, sin perjuicio de la discrecionalidad que el emisor o colocador de los valores podrá emplear en la asignación y distribución de los valores emitidos;
d) El libro cuente con un registro diario de las demandas de los valores objeto de la emisión, en el cual se especificará por lo menos la cantidad y el precio o tasa. Los destinatarios de la oferta que participen en la construcción del libro, a través de los intermediarios de valores autorizados que se indiquen en el prospecto de información, sólo podrán conocer información general sobre los montos de las otras demandas, y en ningún caso detalles sobre el nombre de los intermediarios y demandantes que participen en la construcción del libro;
e) El libro de ofertas se cierre simultáneamente para todos los destinatarios de la oferta.
4) Inclusión del precio o la tasa y la cantidad de los valores a colocar en el prospecto de información:
a) El precio o la tasa de colocación de los valores que se vayan a ofrecer públicamente en el mercado primario y el tamaño de la emisión no serán necesarios para efectos de obtener la autorización de la oferta, de tal forma que podrá ser determinado con posterioridad con base en la labor de mercadeo y promoción preliminar de valores y la demanda de valores registrada en el libro de ofertas, de acuerdo con lo previsto en este Título;
b) El emisor deberá incorporar el precio o la tasa de colocación y la cantidad de los valores ofrecidos en el prospecto de información definitivo. La anterior información deberá remitirse por el emisor al Registro Nacional de Valores y Emisores - RNVE, y a los sistemas de negociación respectivos, con lo cual se entenderá formalizada la oferta pública.
c) La oferta pública se realizará observando las normas que para el efecto se establecen en el presente Título;
5) Asignación y distribución de los valores emitidos:
a) <Literal modificado por el artículo 2 del Decreto 4870 de 2011. El nuevo texto es el siguiente:> A partir de la fecha de fijación del precio o de la tasa de la oferta pública se adelantará el proceso de asignación y distribución de los valores emitidos de acuerdo con las órdenes de demanda que hayan quedado registradas en el libro de ofertas, y de las que se puedan presentar con posterioridad a la fecha en que quede formalizada la oferta, si así se estableció dentro del prospecto de información.
En los casos en que exista derecho de preferencia en la suscripción de acciones y bonos convertibles en acciones, siempre que estatutariamente resulte compatible, este se ejercerá en relación con los accionistas que hayan registrado sus órdenes en el libro de ofertas a un precio igual o superior al que se fije para el caso de acciones o a una tasa igual o inferior a la que se fije para el caso de bonos convertibles en acciones, a quienes se les asignará de manera preferente y proporcional a la cantidad de acciones o bonos convertibles en acciones que posean a la fecha de formalización de la oferta pública en los términos del literal b) del numeral 4 del presente artículo.
b) El proceso de asignación y distribución corresponderá al emisor o al colocador de los valores;
c) El emisor del libro deberá cumplir con la obligación establecida en el artículo 6.16.1.1.1 del presente decreto, incluyendo información consolidada sobre la manera como quedaron adjudicados los valores. Esta información deberá ser publicada en la página web del emisor y en el Registro Nacional de Valores y Emisores - RNVE.
ARTÍCULO 6.2.2.1.4. SIMULTANEIDAD DE PLAZOS PARA LA CONSTRUCCIÓN DEL LIBRO DE OFERTAS Y PARA EL EJERCICIO DEL DERECHO DE PREFERENCIA. <Artículo adicionado por el artículo 3 del Decreto 4870 de 2011. El nuevo texto es el siguiente:> Siempre que estatutariamente resulte compatible, los plazos establecidos para la construcción del libro de ofertas y para el ejercicio del derecho de preferencia en la suscripción de acciones y bonos convertibles en acciones podrán transcurrir simultáneamente respecto de los accionistas y los demás destinatarios de la oferta. En todo caso, los accionistas que pretendan ejercer este derecho, deberán registrar sus ofertas en el libro de ofertas y la adjudicación se realizará de conformidad con el inciso segundo del literal a) del numeral 5 del artículo 6.2.2.1.3 del presente decreto.
AUTORIZACIÓN DE OFERTA PÚBLICA DE VALORES QUE HACEN PARTE DE UN PROGRAMA DE EMISIÓN Y COLOCACIÓN.
ARTÍCULO 6.3.1.1.1 DEFINICIÓN DE PROGRAMA DE EMISIÓN Y COLOCACIÓN.
<Fuente original compilada: R. 400/95 Art. 1.2.3.1> Para efectos del presente decreto se entenderá por programa de emisión y colocación el plan mediante el cual una misma entidad, estructura con cargo a un cupo global, la realización de varias emisiones, de uno o más valores, mediante oferta pública, durante un término establecido.
PARÁGRAFO. También podrán estructurarse bajo programas de emisión y colocación, emisiones de bonos, para ser colocadas mediante oferta pública, a cargo de un grupo de entidades vinculadas bajo un acuerdo de sindicación, siempre que dichas entidades cumplan con los requisitos señalados en el presente Libro.
<Fuente original compilada: R. 400/95 Art. 1.2.3.2 Modificado por la R. 352/02 Art. 2o. Modificado por la R. 397/04 Art. 1o. Modificado por la R. 493/05 Art. 1o. Modificado por el D. 3139/06 Art. 3o.> El valor o los valores que hagan parte de un programa de emisión y colocación deberán inscribirse en el Registro Nacional de Valores y Emisores-RNVE conforme a las normas generales previstas en este decreto, sin perjuicio de lo establecido en el artículo 6.3.1.1.3 del presente decreto.
Para tales efectos, el emisor de los valores, deberá haber tenido cuando menos tres (3) emisiones de valores inscritas en el Registro Nacional de Valores y Emisores-RNVE durante los dos (2) años inmediatamente anteriores a la fecha de la solicitud, de las cuales al menos una debe estar vigente a esa fecha, y no haber sido objeto de sanciones por parte de la Superintendencia Financiera de Colombia durante el año inmediatamente anterior, como consecuencia de infracciones administrativas relacionadas con el incumplimiento de sus obligaciones de revelación de información, de acuerdo con lo previsto en este decreto.
PARÁGRAFO. Para efecto de la inscripción en el Registro Nacional de Valores y Emisores-RNVE y la autorización de la oferta pública de programas de emisión y colocación de procesos de titularización, sólo será necesario que se cumpla con uno de los siguientes requisitos:
a) Que el originador del proceso haya tenido tres (3) o más emisiones de valores inscritas en el Registro Nacional de Valores y Emisores -RNVE en los dos (2) años inmediatamente anteriores a la fecha de la solicitud, de las cuales por lo menos una debe estar vigente a esa fecha, y que éste y el agente de manejo del proceso no hayan sido objeto de sanciones por parte de la Superintendencia Financiera de Colombia durante el año inmediatamente anterior, como consecuencia de infracciones administrativas relacionadas con el incumplimiento de sus obligaciones de revelación de información, de acuerdo con lo previsto en este decreto;
b) Que el agente de manejo obre como tal en por lo menos tres (3) emisiones de valores producto de procesos de titularización inscritas en el Registro Nacional de Valores y Emisores- RNVE en los dos (2) años inmediatamente anteriores a la fecha de la solicitud, de las cuales por lo menos una debe estar vigente a esa fecha, y que no haya sido objeto de sanciones por parte de la Superintendencia Financiera de Colombia durante el año inmediatamente anterior, como consecuencia de infracciones administrativas relacionadas con el incumplimiento de sus obligaciones de revelación de información, de acuerdo con lo previsto en este decreto.
ARTÍCULO 6.3.1.1.3 EFECTOS DE LA AUTORIZACIÓN DE LA OFERTA PÚBLICA DE LOS VALORES QUE CONFORMEN UN PROGRAMA DE EMISIÓN Y COLOCACIÓN. <Fuente original compilada: R. 400/95 Art. 1.2.3.3 Modificado por la R. 352/02 Art. 2o. Modificado por el D. 3139/06 Art. 4o.>
<Inciso modificado por el artículo 20 del Decreto 1235 de 2020. El nuevo texto es el siguiente:> Las emisiones del valor o valores comprendidos dentro de un programa de emisión y colocación podrán ser ofertadas públicamente, en forma individual o simultánea, siempre que el régimen legal de los valores a ofrecer lo permita, durante un plazo de cinco (5) años contados a partir de la ejecutoria del acto que haya ordenado la inscripción.
No obstante, el emisor podrá solicitar por escrito la renovación del plazo, por períodos iguales, antes del vencimiento del mismo.
Para la colocación de los valores, se podrán efectuar ofertas por el monto total del cupo global autorizado o por montos parciales del mismo, sin llegar a excederlo.
El monto total del cupo global del respectivo programa de emisión y colocación se disminuirá en el monto de los valores que se oferten con cargo a este.
ARTÍCULO 6.3.1.1.4 RENOVACIÓN DEL PLAZO DE LA VIGENCIA DE LA AUTORIZACIÓN DE LA OFERTA PÚBLICA.
<Fuente original compilada: R. 400/95 Art. 1.2.3.4 Modificado por la R. 352/02 Art. 2o. Modificado por el D. 3139/06 Art. 4o.> Previa solicitud escrita del emisor, la Superintendencia Financiera de Colombia podrá renovar el plazo de vigencia de la autorización de la oferta pública de los valores que hagan parte de un programa de emisión y colocación, comprendiendo los mismos valores, la inclusión de otros, o el aumento del cupo global.
Para renovar la vigencia de la autorización de la oferta pública y/o para incluir nuevos valores y/o para el aumento del cupo global, la Superintendencia Financiera de Colombia tomará en consideración, además, el cumplimiento de las obligaciones de información por parte del emisor.
<Inciso modificado por el artículo 13 del Decreto 2510 de 2014. El nuevo texto es el siguiente:> Cuando se incluyan nuevos valores, deberá remitirse la información necesaria para la inscripción de los mismos en el Registro Nacional de Valores y Emisores (RNVE) y la autorización de su oferta pública, sin que se deba iniciar de nuevo un proceso de autorización respecto de dichos valores.
PARÁGRAFO. El aumento del cupo global podrá ser solicitado cuando el mismo haya sido colocado en forma total o en cuando menos el cincuenta por ciento (50%) del cupo global autorizado, siempre que se encuentre vigente el plazo de la autorización de la oferta.
ARTÍCULO 6.3.1.1.5 PROGRAMAS DE EMISIÓN Y COLOCACIÓN PARA ACCIONES Y TITULARIZACIONES.
<Fuente original compilada: R. 400/95 Art. 1.2.3.5 Modificado por la R. 352/02 Art. 2o. Modificado por la R. 397/04 Art. 2o.> Tratándose de programas de emisión y colocación de acciones, el emisor deberá radicar en la Superintendencia Financiera de Colombia con una antelación no inferior a cinco (5) días hábiles a la publicación del aviso de oferta, copia de la parte pertinente del acta del órgano competente que autorizó el reglamento de emisión y colocación, así como la documentación que actualiza el prospecto de constitución del programa en estos apartes. La documentación allegada deberá cumplir con los requisitos legales en cuanto a presentación y contenido.
(Modificado por la R. 397/04 Art. 2o.) Cuando se trate de valores producto de procesos de titularización, en los cuales la emisión es el resultado de un acrecentamiento del patrimonio autónomo, el agente de manejo del proceso deberá enviar a la Superintendencia Financiera de Colombia con una antelación no inferior a cinco (5) días hábiles a la publicación del aviso de oferta, la documentación que acredite el acrecentamiento, junto con la nueva actualización del prospecto de constitución del programa referente al acrecentamiento y a la nueva emisión.
En todo caso, el acrecentamiento deberá cumplir con los requisitos legales y contractuales establecidos para el proceso y la actualización del prospecto de constitución del programa se efectuará de conformidad con los términos previstos en la presente resolución.
PARÁGRAFO. (Modificado por la R. 352/02 Art. 2o.) En los eventos previstos en el presente artículo, el emisor de los valores podrá publicar el aviso de oferta, siempre que la Superintendencia Financiera de Colombia no haya manifestado objeción alguna dentro de los términos establecidos en el presente artículo.
ARTÍCULO 6.3.1.1.6 PROGRAMAS DE EMISIÓN Y COLOCACIÓN PARA PAPELES COMERCIALES.
<Fuente original compilada: R. 400/95 Art. 1.2.3.6 Modificado por la R. 352/02 Art. 2o.> Podrá estructurarse la emisión y colocación de papeles comerciales a través de programas de emisión y colocación, siempre que no se emplee la modalidad de cupo rotativo a que se refiere el numeral 2 del artículo 6.6.1.1.2 del presente decreto.
ARTÍCULO 6.3.1.1.7 INFORMACIÓN AL MERCADO.
<Fuente original compilada: R. 400/95 Art. 1.2.3.7 Modificado por la R. 352/02 Art. 2o.> El emisor de los valores que conformen un programa de emisión y colocación deberá elaborar un prospecto de constitución del programa conforme a lo establecido en este decreto, el cual deberá incluir un capítulo especial para cada uno de los valores.
Cuando se presenten modificaciones que afecten el contenido del prospecto de constitución del programa, el emisor deberá actualizarlo de manera inmediata, conforme a las instrucciones que para el efecto imparta la Superintendencia Financiera de Colombia.
En el prospecto de constitución del programa y en el aviso de oferta, así como, en cualquier publicidad o información que se suministre al mercado sobre los valores comprendidos dentro de un programa de emisión y colocación, deberá señalarse que los mismos hacen parte de un programa de emisión y colocación, así como, el monto del cupo global del mismo.
ARTÍCULO 6.3.1.1.8 DERECHOS DE OFERTA PÚBLICA.
<Fuente original compilada: R. 400/95 Art. 1.2.3.8 Modificado por la R. 352/02 Art. 2o.> Los derechos por la realización de ofertas públicas, para cada uno de los valores comprendidos en un programa de emisión y colocación, se sujetarán a las normas generales que para el efecto expida la Superintendencia Financiera de Colombia.
EMISIÓN Y OFERTA PÚBLICA DE BONOS.
ASPECTOS GENERALES.
ARTÍCULO 6.4.1.1.1 ENTIDADES EMISORAS Y AUTORIZACIONES ESTATALES.
<Fuente original compilada: R. 400/95 Art. 1.2.4.1 Modificado por la R. 135/01 Art. 1o.> Podrá emitir bonos para ser colocados mediante oferta pública, previa autorización de la oferta por parte de la Superintendencia Financiera de Colombia, toda entidad que de conformidad con su régimen legal tenga capacidad para hacerlo.
PARÁGRAFO. No obstante lo dispuesto en el presente artículo, las ofertas públicas de bonos no convertibles en acciones que realicen las entidades con régimen de inscripción automática en el Registro Nacional de Valores y Emisores- RNVE no requerirán ser autorizadas.
ARTÍCULO 6.4.1.1.2 EMISIONES SINDICADAS.
<Fuente original compilada: R. 400/95 Art. 1.2.4.1.1 Modificado por la R. 135/01 Art. 2o.> Podrán realizarse emisiones sindicadas de bonos, por un número plural de entidades, siempre y cuando:
1. Se constituya aval sobre la totalidad del capital e intereses que hayan de pagarse para atender la emisión sindicada, o alternativamente, todos los emisores agrupados en la emisión sindicada se constituyan en deudores solidarios de la misma;
2. Se establezca un acuerdo escrito entre los emisores sindicados, donde se prevea, como mínimo:
a) La identificación de las entidades que realizarán la emisión sindicada;
b) Las reglas necesarias para la sindicación;
c) El monto total de la emisión sindicada y sus características;
d) El monto que aspira a recibir cada una de ellas del total de la colocación;
e) Las reglas que se establezcan para la distribución de dichos recursos entre los participantes de la sindicación;
f) El monto por el cual cada una de las entidades sindicadas responderá, de pactarse la sindicación a través de aval;
g) La obligación de pago de los bonos por cada una de las entidades que participan en la sindicación, la cual es de carácter personal, directo e incondicional;
h) El procedimiento a seguir cuando los emisores sindicados se constituyen en deudores solidarios de la emisión sindicada;
i) Los procedimientos específicos que deberán poner en práctica cada una de las entidades sindicadas, con el objeto de asegurar el cumplimiento de las obligaciones que se adquieran con los suscriptores de los valores emitidos;
j) La representación legal única de sus participantes, para todos los efectos de la emisión;
k) La relación entre dicha sindicación y el representante de tenedores de bonos;
l) Las demás que con el fin de cumplir los cometidos establecidos en la ley, resulten indispensables a juicio de la Superintendencia Financiera de Colombia;
3. Se confiera la administración de la emisión sindicada a una sola sociedad fiduciaria o a un depósito centralizado de valores.
ARTÍCULO 6.4.1.1.3 REQUISITOS PARA LA EMISIÓN DE BONOS.
<Fuente original compilada: R. 400/95 Art. 1.2.4.2 Modificado por la R. 334/00 Art. 2o.> Son requisitos para la emisión de bonos los siguientes:
1. El monto de la emisión de bonos objeto de inscripción en el Registro Nacional de Valores y Emisores- RNVE para realización de oferta pública o para inscripción en bolsa, no debe ser inferior a dos mil (2000) salarios mínimos legales mensuales vigentes, salvo que se trate de emisiones de bonos de riesgo, para las cuales no aplicará esta limitante.
2. Cuando se trate de realizar la emisión de bonos convertibles en acciones o de bonos con cupones para la suscripción de acciones, con el objeto de realizar oferta pública, o con el de posterior inscripción en bolsa, se requerirá que las acciones se encuentren inscritas en bolsa de valores. En tal caso, estos bonos deberán inscribirse en bolsa.
No obstante lo dispuesto en el inciso anterior, no se requerirá que las acciones estén inscritas en una bolsa de valores cuando se cumpla una cualquiera de las siguientes condiciones:
2.1. Que los bonos vayan a ser colocados exclusivamente entre los accionistas;
2.2. Que los bonos vayan a ser colocados exclusivamente entre acreedores con el objeto de capitalizar obligaciones de la sociedad emisora, siempre y cuando se trate de créditos ciertos debidamente comprobados y adquiridos con anterioridad a la emisión de bonos, y
2.3. Que se trate de bonos de riesgo.
3. <Numeral modificado por el artículo 16 del Decreto 1019 de 2014. El nuevo texto es el siguiente:> Los bonos ordinarios que se vayan a colocar por oferta pública deberán ser inscritos en una bolsa de valores con anterioridad a la misma. Estarán exceptuados de esta obligación los bonos que hagan parte de una emisión de Segundo Mercado, cuya inscripción será voluntaria de conformidad con lo establecido en el artículo 5.2.3.2.1 del presente decreto.
4. Ninguna entidad podrá efectuar una nueva emisión de bonos cuando:
4.1. Haya incumplido las obligaciones de una emisión anterior, salvo que se trate de entidades en proceso de reestructuración;
4.2. Haya colocado los bonos en condiciones distintas a las autorizadas;
4.3. Se encuentre pendiente el plazo de suscripción de una emisión, y
4.4. Tratándose de bonos convertibles que deban colocarse con sujeción al derecho de preferencia, se encuentre pendiente una suscripción de acciones.
5. No podrán emitirse bonos con vencimientos inferiores a un (1) año. Sin embargo, cuando se trate de bonos convertibles en acciones, en el prospecto de emisión podrá preverse que la conversión puede realizarse antes de que haya transcurrido un año contado a partir de la suscripción del respectivo bono.
PARÁGRAFO 1. Cuando la totalidad o parte de la emisión de bonos se vaya a ofrecer públicamente en el exterior, la calificación de los mismos podrá ser otorgada por una sociedad calificadora de valores extranjera de reconocida trayectoria a juicio de la Superintendencia Financiera de Colombia.
PARÁGRAFO 2. (Adicionado por la R. 352/02 Art. 4o.) Lo establecido en el numeral 4.3 del presente artículo no será aplicable a las emisiones de bonos comprendidas en un programa de emisión y colocación. Por consiguiente, el emisor podrá efectuar ofertas simultáneas de las emisiones de bonos que hagan parte del programa de emisión y colocación.
La entidad emisora deberá indicar en cada aviso de oferta, que los bonos hacen parte de un programa de emisión y colocación, señalando el monto máximo del cupo global y los montos de las emisiones de bonos que se encuentren con plazo de colocación vigente.
ARTÍCULO 6.4.1.1.4 CONTENIDO DE LOS TÍTULOS.
<Fuente original compilada: R. 400/95 Art. 1.2.4.3 Modificado por la R. 334/00 Art. 3o.> Los títulos de los bonos contendrán por lo menos las siguientes enunciaciones:
1. La palabra “Bono” y tratándose de bonos de riesgo, se enunciará como “Bono de Riesgo”; la fecha de expedición y la indicación de su ley de circulación. Los bonos convertibles en acciones serán nominativos;
2. El nombre de la entidad emisora y su domicilio principal;
3. La serie, número, valor nominal y primas, si las hubiere;
4. El rendimiento del bono;
5. El monto de la emisión, la forma, lugar y plazo para amortizar el capital y los intereses;
6. El número de cupones que lleva adheridos;
7. En cada cupón deberá indicarse el título al cual pertenece, su número, valor y la fecha en que puede hacerse efectivo, además los cupones deberán tener la misma ley de circulación del bono;
8. La firma del representante legal de la entidad emisora y de la entidad avalista con indicación del monto del aval, o de las personas autorizadas para el efecto;
9. Si los bonos son convertibles en acciones y las condiciones de conversión respectivas;
10. Tratándose de bonos de riesgo, las normas especiales que les sean aplicables y las condiciones que se pacten en el acuerdo de reestructuración de conformidad con las normas legales vigentes;
11. La advertencia en caracteres destacados de que la inscripción en el Registro Nacional de Valores y Emisores - RNVE y la autorización para realizar la oferta pública, no implican certificación sobre la bondad del valor o la solvencia del emisor, y
12. Las demás indicaciones que, en concepto de la Superintendencia Financiera de Colombia sean convenientes.
ARTÍCULO 6.4.1.1.5 REPRESENTANTE DE LOS TENEDORES. <Artículo modificado por el artículo 21 del Decreto 1235 de 2020. El nuevo texto es el siguiente:> Los bonos emitidos para su colocación o negociación en el mercado de valores deberán contar con un representante de tenedores de los bonos. Tratándose de bonos de riesgo podrá nombrarse un representante de dichos tenedores.
Serán representantes de los tenedores de bonos las entidades autorizadas legalmente para ello:
PARÁGRAFO 1o. No obstante lo anterior, no podrá ser representante de los tenedores de bonos de una emisión la persona que se encuentre en cualquiera de las siguientes circunstancias:
1. Que haya incumplido sus obligaciones como representante legal de tenedores de bonos en otra emisión;
2. Que sea beneficiario real de más del diez por ciento (10%) del capital social de la entidad emisora o que esta sea beneficiaria real del diez por ciento (10%) o más dé su capital;
3. Que los beneficiarios reales de más de diez por ciento (10%) de su capital social, lo sean también de más del diez por ciento (10%) del capital de la sociedad emisora;
4. Que el representante legal de la entidad sea cónyuge o familiar hasta en segundo grado de consanguinidad, primero de afinidad o único civil con algún miembro de la junta directiva o funcionario de nivel directivo de la entidad emisora, o de cualquier otra persona natural que se encuentre en alguno de los supuestos a que se refiere el numeral 2 del presente parágrafo.
5. Que tenga la calidad de gestor profesional o de sociedad administradora del fondo de capital privado que emite bonos.
PARÁGRAFO 2o. Se entenderán como situaciones generadoras de conflictos de interés, que deben ser administradas y reveladas por el representante legal de los tenedores de bonos, entre otras;
1. Que ejerza funciones de asesoría de la entidad emisora en materias relacionadas con la emisión;
2. Que sea garante de una o más obligaciones de la sociedad emisora;
3. Que haya suscrito un contrato donde garantice colocar la totalidad o parte de la emisión.
4. Que sea beneficiario real de más del veinticinco por ciento (25%) del capital de una persona jurídica que se encuentre en uno de los supuestos a que se refieren los numerales 2 y 3 del presente parágrafo;
5. Que en forma individual o conjunta con su matriz y/o entidades vinculadas, sea titular de acreencias que representen más del diez por ciento (10%) del total de los pasivos de la entidad emisora de los bonos;
6. Que los beneficiarios reales de más del veinticinco por ciento (25%) del capital social lo sean también en la misma proporción de una persona jurídica que se encuentre bajo alguno de los supuestos previstos por los numerales 2, 3 o 5 del presente parágrafo;
7. Que tenga la calidad de inversionista de la emisión;
8. Las demás que puedan constituir una situación de conflicto de interés con los tenedores de bonos, a juicio de la Superintendencia Financiera de Colombia.
PARÁGRAFO 3o. Los emisores de bonos cuyo monto ofrecido de emisión sea inferior a doscientos cincuenta mil salarios mínimos mensuales legales vigentes (250.000 smmlv) no deberán tener un representante de tenedores de bonos. En este caso el emisor deberá contar con mecanismos que garanticen en forma adecuada los intereses de los tenedores de bonos y el cumplimiento de las obligaciones contraídas con los mismos por parte de la sociedad emisora. En el caso de programas de emisión, este monto deberá cumplirse de manera individual por cada emisión que haga parte del respectivo programa.
ARTÍCULO 6.4.1.1.6 EMISIONES DE BONOS QUE VAYAN A CIRCULAR EN COLOMBIA Y EN EL EXTRANJERO.
<Fuente original compilada: R. 400/95 Art. 1.2.4.5> Cuando se trate de emisiones de bonos que vayan a circular en Colombia y en el exterior, la Superintendencia Financiera de Colombia podrá autorizar que el nombramiento del representante legal de tenedores de los bonos se sustituya por alguna otra figura jurídica que, a su criterio, vele en forma adecuada por los intereses de los tenedores de los bonos y el cumplimiento de las obligaciones contraídas con los mismos por parte de la sociedad emisora.
<Fuente original compilada: R. 400/95 Art. 1.2.4.6 Modificado por la R. 1210/95 Art. 3o.> La entidad emisora y el representante legal de los tenedores de bonos deberán suscribir un contrato de representación de tenedores de bonos, el cual contendrá, cuando menos, lo siguiente:
1. Las cláusulas que hayan de regir las relaciones jurídicas entre la entidad emisora y el representante legal de los tenedores de bonos;
2. Las obligaciones del representante legal de los tenedores de bonos, y
3. La obligación para la entidad emisora de suministrar al representante de los tenedores todas las informaciones que éste requiera para el desempeño de sus funciones, y de permitirle inspeccionar, en la medida que sea necesario para el mismo fin, sus libros, documentos y demás bienes. Igualmente en dicho contrato la entidad emisora ordenará a su revisor fiscal suministrar al representante de los tenedores todas las informaciones que éste requiera para el desempeño de sus funciones.
Cuando la asamblea de tenedores de bonos designe un nuevo representante legal, el respectivo contrato entre la entidad emisora y la persona designada como nuevo representante legal de los tenedores de bonos deberá suscribirse e inscribirse en el registro mercantil dentro de los diez (10) días hábiles siguientes a la realización de la asamblea, salvo justa causa que deberá acreditarse plenamente ante la Superintendencia Financiera de Colombia.
ARTÍCULO 6.4.1.1.8 GARANTÍAS Y OTROS ASPECTOS.
<Fuente original compilada: R. 400/95 Art. 1.2.4.7> Una vez ejecutoriada la resolución mediante la cual se haya autorizado la emisión, el representante legal de la entidad emisora constituirá las respectivas garantías, si fuere el caso, y suscribirá el correspondiente contrato con el representante de los futuros tenedores de bonos.
Copia de la resolución por la cual se autoriza la emisión será inscrita en el registro mercantil de la Cámara de Comercio del domicilio principal de la entidad emisora.
En dicho registro se inscribirá también el nombramiento del representante de los tenedores de conformidad con lo dispuesto por el artículo 6.4.1.1.11 del presente decreto.
La entidad deberá acreditar ante la Superintendencia Financiera de Colombia el cumplimiento de lo dispuesto en el presente artículo en la forma y términos que ésta señale.
PARÁGRAFO. <Parágrafo adicionado por el artículo 5 del Decreto 1984 de 2018. El nuevo texto es el siguiente:> Las obligaciones establecidas en el presente artículo en el caso de la emisión de bonos por parte del fondo de capital privado, deberán ser cumplidas por parte de la sociedad administradora del fondo de capital privado o el gestor profesional, en caso de existir.
ARTÍCULO 6.4.1.1.9 FUNCIONES DEL REPRESENTANTE.
<Fuente original compilada: R. 400/95 Art. 1.2.4.8 Modificado por la R. 1210/95 Art. 4o.> El representante legal de los tenedores de bonos colocados o negociados en el mercado de valores tendrá las siguientes funciones:
1. Realizar todos los actos de administración y conservación que sean necesarios para el ejercicio de los derechos y la defensa de los intereses comunes de los tenedores;
2. Llevar a cabo los actos de disposición para los cuales lo faculte la asamblea de tenedores en los términos del presente decreto;
3. Actuar en nombre de los tenedores de bonos en los procesos judiciales y en los de quiebra o concordato, así como también en los que se adelanten como consecuencia de la toma de posesión de los bienes y haberes o la intervención administrativa de que sea objeto la entidad emisora. Para tal efecto, el representante de los tenedores deberá hacerse parte en el respectivo proceso dentro del término legal, para lo cual acompañará a su solicitud como prueba del crédito copia auténtica del contrato de emisión y una constancia con base en sus registros sobre el monto insoluto del empréstito y sus intereses;
4. Representar a los tenedores en todo lo concerniente a su interés común o colectivo;
5. Intervenir con voz pero sin voto en todas las reuniones de la asamblea de accionistas o junta de socios de la entidad emisora;
6. Convocar y presidir la asamblea de tenedores de bonos;
7. Solicitar a la Superintendencia Financiera de Colombia los informes que considere del caso y las revisiones indispensables de los libros de contabilidad y demás documentos de la sociedad emisora;
8. <Numeral modificado por el artículo 6 del Decreto 1984 de 2018. El nuevo texto es el siguiente:> Informar a los tenedores de bonos y a la Superintendencia Financiera de Colombia, a la mayor brevedad posible y por medios idóneos, sobre cualquier incumplimiento de sus obligaciones por parte de la entidad emisora y/o la sociedad administradora del fondo de capital privado.
9. Las demás funciones que se establezcan en el contrato o que le asigne la de tenedores de bonos.
PARÁGRAFO. Salvo en lo que concierne a la información a que se refiere el numeral 8 del presente artículo, el representante legal de los tenedores de bonos deberá guardar reserva sobre los informes que reciba respecto de la entidad emisora y le está prohibido revelar o divulgar las circunstancias o detalles que hubiere conocido sobre los negocios de ésta, en cuanto no fuere estrictamente indispensable para el resguardo de los intereses de los tenedores de bonos.
ARTÍCULO 6.4.1.1.10 DESIGNACIÓN DEL REPRESENTANTE.
<Fuente original compilada: R. 400/95 Art. 1.2.4.9> El representante de los tenedores será inicialmente designado por la sociedad emisora.
La asamblea general de los tenedores de bonos podrá en cualquier tiempo remover el representante y designar su reemplazo.
PARÁGRAFO. El representante de los tenedores deberá convocar inmediatamente a la asamblea de tenedores para que decida sobre su reemplazo, cuando en el curso de la emisión se encuentre en una situación que lo inhabilite para continuar actuando en tal calidad.
ARTÍCULO 6.4.1.1.11 INSCRIPCIÓN DEL NOMBRAMIENTO.
<Fuente original compilada: R. 400/95 Art. 1.2.4.10> El nombramiento del representante legal de los tenedores de bonos deberá inscribirse en la Cámara de Comercio del domicilio principal del emisor, con la copia del acto administrativo proferido por la autoridad pública que haya autorizado la emisión, en el cual conste que la entidad fue designada como representante de los tenedores y que no se encuentra inhabilitada para desarrollar dichas funciones. Efectuada la inscripción, la persona nombrada conservará tal carácter hasta cuando se inscriba el nuevo representante.
ARTÍCULO 6.4.1.1.12 EJERCICIO DEL CARGO.
<Fuente original compilada: R. 400/95 Art. 1.2.4.11> El representante no podrá ejercer las funciones de su cargo mientras su nombramiento no se haya inscrito conforme a lo dispuesto en el artículo anterior, salvo en lo que se refiere a las actuaciones que cumpla durante el trámite de la solicitud de autorización de la emisión, para lo cual será suficiente la designación por parte del emisor.
ARTÍCULO 6.4.1.1.13 PRUEBA DE LA CALIDAD DEL REPRESENTANTE DE LOS TENEDORES.
<Fuente original compilada: R. 400/95 Art. 1.2.4.12> La certificación expedida por la Cámara de Comercio respecto de la persona que tenga la representación legal de los tenedores de bonos, constituirá prueba única de su personería.
<Fuente original compilada: R. 400/95 Art. 1.2.4.13> El representante legal de los tenedores de bonos sólo podrá renunciar al cargo por motivos graves que calificará la entidad estatal que haya autorizado la emisión de los bonos o por las justas causas previstas en el contrato de emisión.
ARTÍCULO 6.4.1.1.15 REMUNERACIÓN.
<Fuente original compilada: R. 400/95 Art. 1.2.4.14> La remuneración del representante legal de los tenedores de bonos será pagada por la entidad emisora.
<Fuente original compilada: R. 400/95 Art. 1.2.4.15> Los tenedores de bonos y de cupones podrán ejercitar individualmente las acciones que les correspondan, cuando no contradigan las decisiones de la asamblea general de los tenedores de bonos, o cuando el representante no las haya instaurado.
ARTÍCULO 6.4.1.1.17 ASAMBLEA GENERAL DE TENEDORES.
<Fuente original compilada: R. 400/95 Art. 1.2.4.16> Los tenedores de bonos se reunirán en asamblea general en virtud de convocatoria de su representante legal, cuando éste lo considere conveniente. La entidad emisora o un grupo de tenedores, que represente no menos del diez por ciento (10%) del monto insoluto del empréstito, podrá exigir al representante legal que convoque la asamblea, y si éste no lo hiciere, solicitará a la Superintendencia Financiera de Colombia que haga la convocatoria.
Igualmente la Superintendencia Financiera de Colombia podrá convocar a la asamblea de tenedores u ordenar al representante de tenedores que lo haga, cuando existan hechos graves que deban ser conocidos por los tenedores y que puedan determinar que se le impartan instrucciones al representante o que se revoque su nombramiento.
ARTÍCULO 6.4.1.1.18 CONVOCATORIA DE LA ASAMBLEA GENERAL DE TENEDORES.<Fuente original compilada: R. 400/95 Art. 1.2.4.17 Modificado por la R. 1210/95 Art. 5o.>
<Inciso modificado por el artículo 17 del Decreto 1351 de 2019. El nuevo texto es el siguiente:> La convocatoria se hará mediante avisos publicados en forma destacada en diarios impresos o electrónicos de amplia circulación nacional, o por cualquier otro medio idóneo a criterio de la Superintendencia Financiera de Colombia que garantice igualmente la más amplia difusión de la citación; con la antelación prevista en el contrato de representación legal de tenedores o en el prospecto o, en silencio de éstos, con ocho (8) días hábiles de anticipación a la fecha prevista para la realización de la reunión, informando a los tenedores de bonos si se trata de una reunión de primera, segunda o tercera convocatoria; el lugar, la fecha, la hora y el orden del día de la asamblea y cualquier otra información o advertencia a que haya lugar de acuerdo con lo previsto en este decreto.
PARÁGRAFO 1. Con por lo menos cinco (5) días hábiles de antelación a la fecha prevista para realizar la convocatoria de la asamblea, deberá enviarse a la Superintendencia Financiera de Colombia el proyecto del aviso de convocatoria, indicando los medios que se utilizarán para su divulgación, y el informe preparado para ilustrar a los tenedores sobre los temas a tratar, cuando sea del caso, a efectos de que esta entidad los apruebe y adopte las medidas que considere del caso para la protección de los inversionistas. Si después de haber transcurrido cinco (5) días hábiles desde la fecha de radicación de la mencionada documentación en la Superintendencia Financiera de Colombia la entidad no se ha pronunciado, se entenderá que no existe ninguna objeción al respecto y que puede procederse a la realización de la convocatoria.
PARÁGRAFO 2. Siempre que se convoque a los tenedores a una reunión con el objeto de decidir acerca de fusiones, escisiones y demás temas que requieren una mayoría especial, de conformidad con lo dispuesto en el artículo 6.4.1.1.22 del presente decreto, la entidad emisora deberá elaborar un informe, con el propósito de ilustrar a la asamblea de tenedores en forma amplia y suficiente sobre el tema que se somete a su consideración y los efectos del mismo sobre sus intereses.
<Inciso modificado el artículo 115 del Decreto 1745 de 2020. El nuevo texto es el siguiente:> Una vez aprobado por la Superintendencia Financiera de Colombia, dicho informe deberá colocarse a disposición de los tenedores en las páginas web de la entidad emisora, del representante legal de los tenedores, del administrador de la emisión, de las bolsas de valores en las cuales se encuentren inscritos los títulos y de la Superintendencia Financiera de Colombia, desde la fecha de la realización de la convocatoria a la asamblea y hasta la fecha de realización de la misma. El informe citado será presentado a la asamblea de tenedores por un representante de la entidad emisora debidamente calificado con respecto al tema en cuestión.
ARTÍCULO 6.4.1.1.19 QUÓRUM DE LA ASAMBLEA GENERAL DE TENEDORES.
<Fuente original compilada: R. 400/95 Art. 1.2.4.18 Modificado por la R. 1210/95 Art. 6o.> La asamblea podrá deliberar validamente con la presencia de cualquier número plural de tenedores que represente no menos del cincuenta y uno por ciento (51%) del monto insoluto del empréstito. Las decisiones de la asamblea de tenedores se adoptarán por la mayoría absoluta de los votos presentes.
Si no hubiera quórum para deliberar y decidir en la reunión de la primera convocatoria, podrá citarse a una nueva reunión, con arreglo a lo previsto en el artículo anterior; en dicha reunión bastará la presencia de cualquier número plural de tenedores de bonos para deliberar y decidir validamente, hecho sobre el cual deberá advertirse claramente en el aviso. En el caso de esta segunda convocatoria, el proyecto de aviso y la indicación de los medios que se utilizarán para su divulgación deberán ser sometidos a consideración de la Superintendencia Financiera de Colombia con una antelación de por lo menos tres (3) días hábiles respecto a la fecha prevista para la publicación o realización del aviso de convocatoria Si después de haber transcurrido tres (3) días hábiles desde la fecha de radicación de la mencionada documentación en la Superintendencia Financiera de Colombia la entidad no se ha pronunciado, se entenderá que no existe ninguna objeción al respecto y que puede procederse a la realización de la convocatoria.
Lo anterior debe entenderse sin perjuicio de aquellos casos en que de acuerdo con lo dispuesto en la presente resolución se exija un quórum decisorio superior.
ARTÍCULO 6.4.1.1.20 PRUEBA DE LA CALIDAD DE TENEDOR Y TOMA DE DECISIONES.
<Fuente original compilada: R. 400/95 Art. 1.2.4.19 Modificado por la R. 1210/95 Art. 7o.> Para participar en la asamblea los tenedores de los bonos deberán exhibir los títulos o enviar el día de la reunión copia del mismo vía fax al representante de los tenedores o presentar cualquier otra prueba idónea de la titularidad de los bonos; salvo que los títulos sean nominativos, caso en el cual la inscripción en el libro correspondiente constituirá prueba suficiente de tal carácter.
Los tenedores tendrán tantos votos cuantas veces se contenga en su título el valor nominal de los bonos y las decisiones de la asamblea se tomarán por mayoría de votos presentes, salvo lo dispuesto en el artículo 6.4.1.1.22 del presente decreto.
ARTÍCULO 6.4.1.1.21 REMISIÓN DE NORMAS.
<Fuente original compilada: R. 400/95 Art. 1.2.4.20> En cuanto a la representación en la asamblea, sistemas de votación y elaboración de actas, se aplicarán las normas vigentes para la asamblea general de accionistas de sociedades anónimas.
ARTÍCULO 6.4.1.1.22 MAYORÍAS DECISORIAS ESPECIALES.
<Fuente original compilada: R. 400/95 Art. 1.2.4.21 Modificado por la R. 1210/95 Art. 8o.> La asamblea de tenedores podrá tomar decisiones de carácter general con miras a la protección común y colectiva de los tenedores de bonos.
La asamblea de tenedores, con el voto favorable de un número plural que represente la mayoría numérica de los tenedores presentes y el ochenta por ciento (80%) del empréstito insoluto, podrá consentir en las modificaciones a las condiciones del empréstito y, en especial, autorizar al representante de los tenedores para celebrar en su nombre y representación un contrato de transacción o para votar favorablemente una fórmula concordataria.
Si no hubiera quórum para deliberar y decidir en la reunión de la primera convocatoria respecto a los temas citados en el inciso anterior, podrá citarse a una segunda reunión, en la cual se podrá decidir validamente con el voto favorable de un número plural que represente la mayoría numérica de los tenedores presentes y el cuarenta por ciento (40%) del empréstito insoluto. Sobre este hecho deberá advertirse expresamente a los tenedores en la convocatoria.
Si no hubiera quórum para deliberar y decidir en la reunión de la segunda convocatoria, podrá citarse a una nueva reunión, en la cual bastará la presencia de cualquier número plural de tenedores de bonos para deliberar y decidir validamente, hecho sobre el cual deberá advertirse claramente en el aviso.
Las convocatorias y los avisos a la Superintendencia Financiera de Colombia deberán realizarse de conformidad con lo previsto en los artículos 6.4.1.1.18 y 6.4.1.1.19 del presente decreto. Respecto a la tercera convocatoria se aplicará lo dispuesto para la segunda.
Las modificaciones a las condiciones del empréstito también deberán ser autorizadas por la asamblea general de accionistas o la junta directiva o el órgano equivalente de la entidad emisora o la junta de socios, según sea el caso.
Las decisiones adoptadas por la asamblea de tenedores con sujeción a la ley serán obligatorias aún para los ausentes o disidentes.
PARÁGRAFO 1. Ninguna disposición de la asamblea de tenedores podrá establecer discriminaciones entre los tenedores de bonos de una misma emisión, imponerles nuevas obligaciones o disponer la conversión obligatoria de los bonos en acciones.
PARÁGRAFO 2. Las decisiones a que se refiere el presente artículo, incluyendo las modificaciones a la base de conversión de los bonos, en todo caso deberán ser autorizadas por la Superintendencia Financiera de Colombia.
ARTÍCULO 6.4.1.1.23 GASTOS DE LA ASAMBLEA.
<Fuente original compilada: R. 400/95 Art. 1.2.4.22> La entidad emisora sufragará los gastos que ocasionen la convocatoria y el funcionamiento de la asamblea general de tenedores de bonos.
ARTÍCULO 6.4.1.1.24 LIBRO DE REGISTRO DE TÍTULOS.
<Fuente original compilada: R. 400/95 Art. 1.2.4.23> Si la sociedad emitiere bonos nominativos, deberá llevar un libro inscrito en el registro mercantil, en el cual se anotarán la fecha de suscripción de los títulos y el nombre, apellido y domicilio de los adquirentes.
La enajenación, gravámenes y embargos relativos a los bonos nominativos no surtirán efectos respecto de la sociedad emisora y de terceros, sino mediante la inscripción en el libro de registro de que trata el presente artículo.
ARTÍCULO 6.4.1.1.25 INTEGRACIÓN DE NORMAS.
<Fuente original compilada: R. 400/95 Art. 1.2.4.24> Los artículos 402, 409, 411, 412 y 413 del Código de Comercio serán aplicables a los bonos, en cuanto sean compatibles con la naturaleza y clase de bonos.
ARTÍCULO 6.4.1.1.26 CONDICIONES ESPECIALES PARA EL REEMBOLSO.
<Fuente original compilada: R. 400/95 Art. 1.2.4.25> La sociedad emisora no podrá repartir ni pagar dividendos si estuviese en mora de pagar los bonos o sus intereses.
En los casos de proceso concursal o disolución de la sociedad antes de la expiración del plazo fijado para el pago total de los bonos emitidos, éstos se harán exigibles por su valor nominal más los intereses que se causen hasta el día en que se produzca su pago.
En caso de disolución anticipada, los tenedores de bonos convertibles en acciones podrán solicitar la conversión anticipada de los bonos en acciones.
ARTÍCULO 6.4.1.1.27 BONOS CONVERTIBLES EN ACCIONES.
<Fuente original compilada: R. 400/95 Art. 1.2.4.26> Podrán emitirse bonos que confieran a sus tenedores el derecho de convertirlos en todo o en parte en acciones de la sociedad o cuyo pago deba efectuarse por la sociedad emisora mediante la entrega de un número determinado o determinable de acciones liberadas de la misma.
Los bonos convertibles en acciones podrán además otorgar a sus titulares el derecho de convertirlos en acciones antes de su vencimiento en los períodos y bajo las condiciones que se determinen.
Igualmente las sociedades cuyas asambleas de accionistas renuncien al derecho de preferencia en favor de los respectivos tenedores, podrán emitir bonos acompañados de cupones que confieran a sus tenedores el derecho de suscribir acciones de la sociedad emisora, en la época y condiciones que se fijen en el prospecto de emisión. Dichos cupones podrán negociarse independientemente de los bonos.
ARTÍCULO 6.4.1.1.28 REQUISITOS DE LOS BONOS CONVERTIBLES Y DE LOS CUPONES DE SUSCRIPCIÓN.
<Fuente original compilada: R. 400/95 Art. 1.2.4.27> Los bonos convertibles en acciones, además de los requisitos generales, deberán indicar el plazo durante el cual los tenedores pueden ejercitar el derecho de conversión y las bases de la misma.
Los cupones de suscripción de acciones, además de los otros requisitos legales, deberán contener:
1. El número de acciones que podrán ser suscritas o la forma de establecerlo, el precio de suscripción o los criterios para determinarlo, y
2. El momento a partir del cual se podrá ejercer el derecho de suscripción y el plazo para tal efecto.
ARTÍCULO 6.4.1.1.29 MODIFICACIÓN DE LAS CONDICIONES DEL EMPRÉSTITO.
<Fuente original compilada: R. 400/95 Art. 1.2.4.28> Durante el plazo de maduración de los bonos convertibles o de los bonos con cupones de suscripción de acciones, la sociedad emisora no podrá realizar, sin el consentimiento de la asamblea de tenedores con la mayoría necesaria para modificar las condiciones del empréstito, los siguientes actos: emitir las acciones privilegiadas a que se refiere el artículo 381 del Código de Comercio, modificar los derechos que corresponden a los accionistas o distribuir las reservas acumuladas.
ARTÍCULO 6.4.1.1.30 PROTECCIÓN A LOS TENEDORES.
<Fuente original compilada: R. 400/95 Art. 1.2.4.29> Las sociedades que tengan en circulación bonos convertibles en acciones y deseen colocar acciones en reserva o bonos convertibles en acciones, deberán hacerlo sin perjuicio de los derechos de los tenedores.
Para tal efecto se considera que cualquiera de las anteriores operaciones causa perjuicio a los tenedores de bonos, según sea el caso, cuando por ellas se reduzca el valor patrimonial de las acciones a que tendrían derechos los tenedores si pudiesen convertir los bonos en dicho momento.
Con el fin de evitar el perjuicio a los tenedores de bonos, la junta directiva de la sociedad podrá ofrecer acciones o bonos a los tenedores, en condiciones equivalentes a las de los accionistas.
ARTÍCULO 6.4.1.1.31 PRECIO DE COLOCACIÓN DE LOS BONOS CONVERTIBLES EN ACCIONES.
<Fuente original compilada: R. 400/95 Art. 1.2.4.30 Modificado por la R. 334/00 Art. 5o.> Los bonos convertibles en acciones no podrán colocarse a un precio inferior a su valor nominal.
ARTÍCULO 6.4.1.1.32 ACCIONES EN RESERVA.
<Fuente original compilada: R. 400/95 Art. 1.2.4.31> La sociedad deberá tener en reserva las acciones necesarias para la conversión de los bonos. Hecha la conversión, la sociedad emisora deberá comunicar a la Superintendencia Financiera de Colombia, el número de acciones entregadas en pago de los bonos convertibles así como la correspondiente variación en el monto de su capital suscrito.
ARTÍCULO 6.4.1.1.33 REMISIÓN A LAS NORMAS DE LAS ACCIONES.
<Fuente original compilada: R. 400/95 Art. 1.2.4.32> Salvo disposición en contrario, a los bonos convertibles en acciones se aplicarán, en cuanto no pugnen con su naturaleza, todas las normas legales, reglamentarias, administrativas o estatutarias que restrinjan la adquisición o negociación de las acciones o que exijan el cumplimiento de determinados requisitos para el efecto.
Cuando dicha limitación se establezca para cierto número de acciones o un porcentaje de las mismas, para determinar si la restricción a la adquisición o negociación se aplica a los bonos convertibles, se tomará el número de acciones a que tendrían derecho los tenedores de bonos si pudieran convertir en ese momento.
Salvo los casos en que de acuerdo con la ley o los estatutos sociales no exista derecho de preferencia o de aquellos en que la asamblea general de accionistas renuncie al mismo, la colocación de los bonos convertibles en acciones deberá hacerse con sujeción a dicho derecho.
ARTÍCULO 6.4.1.1.34 REQUISITOS ESPECIALES DE LOS BONOS CONVERTIBLES EN ACCIONES.
<Fuente original compilada: R. 400/95 Art. 1.2.4.33 Modificado por la R. 2061/00> Además de los requisitos generales, los bonos convertibles en acciones deberán cumplir los siguientes:
1. Ser nominativos, y
2. No podrán ser adquiridos por la sociedad emisora en ningún caso, por sí ni por interpuesta persona, ni aun cuando la operación se realice a través de una bolsa de valores, salvo cuando al momento de efectuar la readquisición se dé uno cualquiera de los siguientes eventos:
a) Los acreedores sociales hayan expresado por escrito su aceptación para la readquisición, cualquiera que fuere el monto de activos sociales.
b) La sociedad tenga constituida una reserva para el efecto, autorizada por la asamblea general de accionistas.
c) Todos los pasivos externos de la sociedad cuenten con la garantía de la Nación.
ARTÍCULO 6.4.1.1.35 VENCIMIENTO DEL PLAZO.
<Fuente original compilada: R. 400/95 Art. 1.2.4.34> Vencido el plazo de los bonos convertibles, la sociedad emisora anotará tal circunstancia en el libro correspondiente y procederá a expedir los títulos definitivos de las acciones respectivas, dentro de los treinta (30) días siguientes.
<Fuente original compilada: R. 400/95 Art. 1.2.4.35> Las emisiones de bonos obligatoriamente convertibles en acciones que realicen las sociedades emisoras, en la medida en que vayan siendo efectivamente colocados, servirán para enervar la causal de disolución por pérdidas consagrada en el ordinal 2. del artículo 457 del Código de Comercio, siempre que en el respectivo prospecto de colocación se determine que en los eventos de liquidación, el importe del valor de los bonos obligatoriamente convertibles en acciones queda subordinado al pago del pasivo externo y que su rendimiento financiero no sea superior al setenta por ciento (70%) del DTF.
Lo dispuesto en este artículo no se aplicará a las instituciones financieras ni a las entidades aseguradoras, sujetas a la inspección y vigilancia de la Superintendencia Financiera de Colombia, las cuales continuarán sometidas al régimen dispuesto para ellas en el Estatuto Orgánico del Sistema Financiero.
PARÁGRAFO 1. Si se acuerda pagar los intereses correspondientes a los bonos obligatoriamente convertibles en acciones con una anticipación superior a un trimestre, sólo se computará para los efectos a que se refiere el presente artículo, la suma que resulte de deducir del valor total de la emisión los intereses pagados por anticipado y los demás rendimientos financieros. Esta suma será incrementada periódicamente en un monto igual al de la amortización con cargo al estado de pérdidas y ganancias de los rendimientos financieros reconocidos por anticipado, con sujeción a las normas que establezca la respectiva entidad de vigilancia y control. La deducción a que se refiere este parágrafo se efectuará en cada oportunidad en que se paguen o abonen en cuenta, con el carácter de exigibles, rendimientos financieros reconocidos por anticipado.
PARÁGRAFO 2. Para efectos de lo dispuesto en el presente artículo se entiende por rendimientos financieros de los bonos, además de la tasa de interés reconocida, toda remuneración que tenga derecho a recibir el tenedor del bono, originada en la suscripción del mismo, cualquiera que sea su denominación.
ARTÍCULO 6.4.1.1.37 RESPONSABILIDAD DEL REPRESENTANTE DE LOS TENEDORES.
<Fuente original compilada: R. 400/95 Art. 1.2.4.36> El representante legal de los tenedores de bonos responderá hasta de la culpa leve.
ARTÍCULO 6.4.1.1.38 RESPONSABILIDAD DE LOS ADMINISTRADORES.
<Fuente original compilada: R. 400/95 Art. 1.2.4.37> Sin perjuicio de la acción penal, los administradores de la entidad emisora serán ilimitada y solidariamente responsables por los perjuicios que causen a los tenedores de bonos o a terceros:
1. Cuando emitan bonos sin sujeción a las disposiciones legales;
2. Cuando hagan declaraciones o enunciaciones falsas en el prospecto, en el contrato de emisión, en los títulos o en los avisos y publicaciones;
3. Cuando infrinjan la prohibición contenida en el inciso primero del artículo 6.4.1.1.26 del presente decreto, y
4. Cuando se emitan o coloquen bonos en condiciones distintas a las contenidas en el prospecto o en el contrato de emisión.
Los administradores de la entidad emisora que se hayan abstenido de participar en los actos anteriores o que se hayan opuesto a los mismos quedan exonerados de esta responsabilidad, sin perjuicio de la responsabilidad civil en que puedan incurrir por razón de los otros hechos ilícitos que hayan cometido.
ARTÍCULO 6.4.1.1.39 PRESCRIPCIÓN DE LAS ACCIONES PARA EL COBRO DE INTERESES Y CAPITAL.
<Fuente original compilada: R. 400/95 Art. 1.2.4.38> Las acciones para el cobro de los intereses y del capital de los bonos prescribirán en cuatro (4) años contados desde la fecha de su exigibilidad.
ARTÍCULO 6.4.1.1.40 PRESCRIPCIÓN DE LAS ACCIONES DE RESPONSABILIDAD.
<Fuente original compilada: R. 400/95 Art. 1.2.4.39> Las acciones que tengan por objeto hacer efectivas las responsabilidades establecidas en los artículos 6.4.1.1.37 y 6.4.1.1.38 del presente decreto, prescribirán en cuatro (4) años.
<Fuente original compilada: R. 400/95 Art. 1.2.4.40> La entidad emisora está en la obligación de llevar en libros auxiliares especiales la contabilización de la inversión de los dineros provenientes del empréstito.
ARTÍCULO 6.4.1.1.42 PROHIBICIONES ESPECIALES A LA SOCIEDAD EMISORA.
<Fuente original compilada: R. 400/95 Art. 1.2.4.41 Modificado por la R. 398/04 Art. 1o.> Durante la vigencia de la emisión la entidad emisora no podrá cambiar su objeto social, escindirse, fusionarse, transformarse o disminuir su capital con reembolso efectivo de aportes, a menos que lo autorice la asamblea de tenedores con la mayoría necesaria para aprobar la modificación de las condiciones del empréstito. No obstante lo anterior, la entidad podrá realizar la modificación de su objeto social, fusionarse, escindirse, transformarse o disminuir su capital con reembolso efectivo de aportes, sin que haya lugar a obtener la autorización de los tenedores de bonos, cuando previamente ofrezca a los tenedores de bonos ordinarios una cualquiera de las siguientes opciones:
1. El reembolso del empréstito;
2. El reemplazo de los bonos originales por otros con características idénticas emitidos por la nueva sociedad, siempre y cuando las condiciones financieras de ésta sean similares o superen las de la sociedad emisora, aspecto éste que deberá ser evaluado por la Superintendencia Financiera de Colombia.
3. Una garantía satisfactoria a juicio de la Superintendencia Financiera de Colombia, la cual deberá cubrir el monto del capital e intereses proyectados para la vigencia del empréstito.
Cuando se trate de bonos convertibles en acciones o con cupones de suscripción, la entidad deberá ofrecer a opción del tenedor, la conversión anticipada de los bonos, la suscripción de las acciones o el reembolso del empréstito, salvo que la decisión haya sido aprobada por el ochenta por ciento (80%) de los tenedores.
Los tenedores que no consientan en el reembolso, suscripción o en la conversión anticipada, según sea el caso, conservarán sus derechos contra la entidad emisora, la absorbente o la nueva sociedad, según sea el caso. Si se trata de bonos convertibles en acciones las condiciones de la conversión deberán ajustarse de manera que se eviten perjuicios a los tenedores, previa autorización de la Superintendencia Financiera de Colombia.
PARÁGRAFO 1. (Adicionado por la R. 335/00 Art. 1o.) Los emisores a los cuales la Superintendencia Financiera de Colombia no objete procesos de fusión o adquisición, no estarán sujetos al cumplimiento de lo establecido en el presente artículo.
PARÁGRAFO 2. (Adicionado por la R. 335/00 Art. 1o.) Bastará que el emisor a quien la Superintendencia Financiera de Colombia autorice a ceder activos, pasivos y contratos, inmediatamente reciba la respectiva autorización, comunique, a través de un medio idóneo para el efecto, a los tenedores de sus bonos, la información pertinente sobre el emisor cesionario, sin necesidad de convocar a asamblea de tenedores.
PARÁGRAFO 3. Lo previsto en el inciso segundo del presente artículo se entiende sin perjuicio del cumplimiento de los requisitos establecidos en el Código de Comercio y demás normas aplicables para efectos de la respectiva reforma estatutaria.
ARTÍCULO 6.4.1.1.43 PROSPECTO DE INFORMACIÓN DE BONOS.
<Fuente original compilada: R. 400/95 Art. 1.2.4.42 Modificado por la R. 334/00 Art. 6o. Modificado por el D. 3139/06 Art. 6o.> Además del contenido que establece el artículo 5.2.1.1.4 del presente decreto, tratándose de bonos el prospecto de información deberá expresar:
1. Si los bonos están acompañados de cupones de suscripción de acciones, las condiciones en que puede realizarse dicha suscripción.
2. Si los bonos son convertibles en acciones, las condiciones de conversión respectivas.
3. Si se trata de bonos de riesgo, se deben incluir las condiciones del acuerdo de reestructuración.
4. Tratándose de bonos de riesgo, se debe advertir de manera destacada si las acciones a que hacen referencia estarán inscritas en una bolsa de valores y si estos bonos tienen o no calificación de riesgo otorgada por una sociedad calificadora de valores debidamente autorizada por la Superintendencia Financiera de Colombia.
5. El o los diarios en los cuales se publiquen los avisos e informaciones que deban comunicarse a los tenedores por tales medios. La entidad emisora podrá cambiar dicho medio de información cuando lo autorice la Superintendencia Financiera de Colombia o cuando previamente se informe de tal circunstancia a los tenedores por medio de un aviso destacado en el diario identificado en el respectivo prospecto.
<Artículo modificado por el artículo 4 del Decreto 1178 de 2017. El nuevo texto es el siguiente:> El valor de cada bono deberá ser pagado íntegramente en el momento de la suscripción.
Lo anterior no impide que puedan colocarse bonos ordinarios por los cuales el adquirente pague al momento de la suscripción una prima sobre su valor nominal o cuyo rendimiento se liquide en la forma de un descuento sobre dicho valor, siempre y cuando dichas condiciones se establezcan claramente en el proceso de emisión.
Sin embargo para las colocaciones efectuadas bajo la modalidad no estandarizada de que trata el numeral 2 del artículo 6.1.1.1.5., del presente decreto, el pago de los títulos podrá efectuarse de conformidad con las reglas que se establezcan en el respectivo reglamento y prospecto de información.
<Fuente original compilada: R. 400/95 Art. 1.2.4.44> La Superintendencia Financiera de Colombia tendrá en relación con la emisión de bonos las siguientes facultades:
1. Exigir la constitución de garantías especiales o adicionales cuando durante la vigencia de los bonos se deterioren las garantías otorgadas o la situación financiera del avalista;
2. Remover al representante de los tenedores cuando exista causa grave, designar la entidad que haya de reemplazarlo transitoriamente y convocar a la asamblea general de tenedores para que designe su reemplazo definitivo, y
3. Convocar la asamblea general de tenedores de bonos cuando lo considere conveniente.
PARÁGRAFO. La Superintendencia de Sociedades tendrá las facultades de que trata el presente artículo respecto a las emisiones de bonos que hayan autorizado.
ARTÍCULO 6.4.1.1.46 APLICABILIDAD.
<Fuente original compilada: R. 400/95 Art. 1.2.4.45 Modificado por la R. 334/00 Art. 7o.> Las emisiones de bonos que realicen las entidades públicas sujetas a las normas que regulan la contratación administrativa, deberán contar con representante legal de tenedores de bonos y se sujetarán a las demás normas para la emisión de bonos contenidas en el presente decreto, en cuanto no pugnen con dicho régimen.
ARTÍCULO 6.4.1.1.47. REAPERTURA DE EMISIONES DE BONOS. <Artículo adicionado por el artículo 3 del Decreto 767 de 2016. El nuevo texto es el siguiente:> La reapertura de una emisión de bonos colocada en su totalidad podrá ser autorizada por la Superintendencia Financiera de Colombia previa solicitud escrita del emisor y siempre que su finalidad sea la de adicionar el monto de la misma y que no sea posterior a la fecha de vencimiento del título.
Los bonos a colocarse deberán contener las mismas condiciones faciales que tienen los emitidos de manera inicial con excepción del monto.
Los emisores que soliciten la reapertura de la que trata el presente artículo, deberán cumplir con las mismas disposiciones establecidas para la emisión y la oferta pública de bonos contenidas en el presente título.
PARÁGRAFO. La reapertura de una serie que hace parte de un programa de emisión y colocación procederá siempre y cuando la respectiva serie haya sido colocada en su totalidad y no sea posterior a la fecha de vencimiento de la serie. Cuando la reapertura se efectúe durante la vigencia de la autorización de la oferta, el monto de la misma podrá realizarse con cargo al monto global. Agotado el monto global, el emisor solicitará a la Superintendencia Financiera de Colombia la reapertura de la respectiva serie.
DE LA EMISIÓN Y COLOCACIÓN DE BONOS HIPOTECARIOS PARA LA FINANCIACIÓN DE VIVIENDA A LARGO PLAZO.
RÉGIMEN APLICABLE.
ARTÍCULO 6.5.1.1.1 RÉGIMEN APLICABLE.
<Fuente original compilada: R. 542/02 Art. 1o.> Los bonos hipotecarios están sujetos al régimen establecido para bonos, en tanto no sea contrario a las disposiciones especiales que los rigen de conformidad con la Ley 546 de 1999 y las normas que la reglamenten.
<Inciso modificado por el artículo 1 del Decreto 353 de 2016. El nuevo texto es el siguiente:> Los bonos hipotecarios son títulos valores de contenido crediticio, que estarán respaldados por créditos hipotecarios otorgados bajo cualquiera de los sistemas de amortización en UVR o en pesos aprobados por la Superintendencia Financiera de Colombia.
PARÁGRAFO. En aquello que no se encuentre expresamente regulado en las normas anteriores, a toda emisión de bonos hipotecarios les serán aplicables: (i) las normas vigentes que se refieran a los participantes del mercado de valores; (ii) las normas vigentes que se refieran a los demás emisores de valores; y, (iii) las normas vigentes que se refieran a los valores que sean ofrecidos o negociados en el mercado colombiano.
REQUISITOS Y CONDICIONES PARA LA EMISIÓN DE BONOS HIPOTECARIOS.
ARTÍCULO 6.5.1.2.1 DEL MONTO DE EMISIÓN.
<Artículo modificado por el artículo 2 del Decreto 353 de 2016. El nuevo texto es el siguiente:> El monto de la emisión de bonos hipotecarios deberá estar expresado en unidades de valor real UVR y/o en pesos. Se entiende por UVR lo establecido en el artículo 3o de la Ley 546 de 1999.
ARTÍCULO 6.5.1.2.2 ESTRUCTURA DE LOS BONOS.
<Fuente original compilada: R. 542/02 Art. 3o.> Los bonos hipotecarios se deberán emitir con características homogéneas, pudiendo incorporar series con condiciones uniformes. La ley de circulación de los bonos hipotecarios será a la orden.
ARTÍCULO 6.5.1.2.3 DEL PLAZO DE LOS BONOS HIPOTECARIOS.
<Fuente original compilada: R. 542/02 Art. 4o.> El plazo de los bonos hipotecarios será inferior o igual al plazo de los créditos financiados con estos y se contará a partir de la fecha de emisión.
En todo caso, el plazo de los bonos hipotecarios no podrá ser inferior a cinco (5) años contados a partir de la fecha de suscripción.
ARTÍCULO 6.5.1.2.4 VALOR NOMINAL, INVERSIÓN MÍNIMA Y FRACCIONAMIENTO.
<Artículo modificado por el artículo 3 del Decreto 353 de 2016. El nuevo texto es el siguiente:> El valor nominal de los bonos hipotecarios será de 10.000 UVR o su equivalente en pesos. La inversión mínima inicial de los bonos hipotecarios corresponderá a su valor nominal. Los bonos hipotecarios serán fraccionables en cupones anuales.
ARTÍCULO 6.5.1.2.5 DE LOS CUPONES DE LOS BONOS HIPOTECARIOS.
<Fuente original compilada: R. 542/02 Art. 6o.> Los bonos hipotecarios podrán tener cupones anuales, que darán derecho a los pagos por capital e intereses que se causen durante el respectivo año. Los cupones podrán ser negociados independientemente y conferirán a sus tenedores legítimos los derechos que se derivan del título.
ARTÍCULO 6.5.1.2.6 INTERESES DE LOS BONOS HIPOTECARIOS.
<Artículo modificado por el artículo 4 del Decreto 353 de 2016. El nuevo texto es el siguiente:> Los bonos hipotecarios pagarán a su tenedor intereses calculados a la tasa fija pactada sobre el valor nominal expresado en UVR o en pesos, de acuerdo con la periodicidad establecida en el prospecto de emisión.
ARTÍCULO 6.5.1.2.7 PAGO DE CAPITAL E INTERESES.
<Fuente original compilada: R. 542/02 Art. 8o.> Las condiciones de pago de capital e intereses y en general las condiciones de emisión de los títulos hipotecarios serán estandarizadas. Para el efecto, su emisión se sujetará a las normas que se expidan sobre estandarización de valores.
ARTÍCULO 6.5.1.2.8 DE LA DESMATERIALIZACIÓN.
<Fuente original compilada: R. 542/02 Art. 9o.> De conformidad con lo establecido en el numeral 7 del artículo 9o de la ley 546 de 1999, los bonos hipotecarios serán desmaterializados.
Deberá pactarse que el depósito centralizado de valores donde se inscriba la emisión, actuará como administrador de la misma, de conformidad con lo establecido en su respectivo reglamento. El costo de dicho servicio será asumido por el emisor.
ARTÍCULO 6.5.1.2.9 DE LAS GARANTÍAS.
<Fuente original compilada: R. 542/02 Art. 10 Modificada por la R. 909/02> El emisor deberá consignar, en el respectivo prospecto de colocación, que la correspondiente emisión de bonos hipotecarios constituye su obligación personal, directa e incondicional, y que por lo tanto será responsable por el cumplimiento de las obligaciones a su cargo que consten en los bonos hipotecarios, de suerte que no podrá eximirse de su responsabilidad invocando el incumplimiento de los deudores en los contratos de crédito hipotecario.
En desarrollo de lo previsto en el numeral 3 del artículo 9o de la ley 546 de 1999, los créditos financiados con bonos hipotecarios de determinada emisión, identificada con su serie y año, constituirán la garantía específica de dichos bonos, sin perjuicio de que se constituyan garantías adicionales.
PARÁGRAFO 1. El deterioro de la garantía específica de determinada emisión de bonos hipotecarios, será objeto de información relevante a la Superintendencia Financiera de Colombia por parte del administrador de la cartera.
PARÁGRAFO 2. El emisor de bonos hipotecarios podrá prever las garantías adicionales de la emisión a fin de asegurar el cumplimiento de la misma.
Tratándose de garantías adicionales constituidas como apoyo de la emisión otorgadas por entidades extranjeras, se deberá:
1. Dar cumplimiento a las normas del régimen de cambios internacionales;
2. Durante la vigencia de la garantía el garante deberá estar calificado por una sociedad calificadora que, a juicio de la Superintendencia Financiera de Colombia, sea de reconocida trayectoria internacional, mientras garantice la emisión. Cualquier modificación en la calificación deberá ser comunicada, a título de información eventual por el representante legal del emisor de los valores, en los términos y condiciones previstos en este decreto, las normas que la aclaren, complementen, modifiquen o sustituyan;
3. El emisor deberá actualizar ante la Superintendencia Financiera de Colombia, por lo menos una vez al año, la información financiera del garante;
4. Indicar en el contrato de garantía el lugar donde deba cumplirse la prestación del objeto del mismo;
5. Indicar el contrato de garantía la ley y la jurisdicción aplicable al mismo;
6. Incluir en el prospecto de colocación la siguiente información:
a) La información relativa al garante extranjero y a su calificación, en los mismos términos y condiciones que las normas le exigen al emisor de los valores. Cuando el garante extranjero sea un organismo multilateral de crédito de los contemplados en el artículo 6.14.1.1.1 del presente decreto, la documentación que se deberá incluir en el prospecto se reducirá a la establecida en el artículo 6.14.1.1.4 del presente decreto, en lo que sea pertinente.
b) La información relacionada con la garantía, sus límites, las condiciones para su ejecución y cumplimiento, la oportunidad para su cobro, el orden de prelación de la misma, sus riesgos y la jurisdicción ante la cual se podrá hacer efectiva, y
c) En caso de que la ley o la jurisdicción aplicable a la garantía correspondan a otra diferente a la colombiana se deberán especificar las mismas y advertir tal situación en forma destacada. Esta advertencia debe incluirse además en el aviso de oferta y en cualquier publicidad o información que se divulgue sobre el respectivo valor.
ARTÍCULO 6.5.1.2.10 DENOMINACIÓN DE LOS BONOS HIPOTECARIOS.
<Fuente original compilada: R. 542/02 Art. 11> Los bonos hipotecarios que tengan como finalidad financiar nuevos créditos de vivienda se denominarán, para todos los efectos, "Bonos Hipotecarios". De conformidad con lo previsto más adelante en este Libro, aquellos bonos hipotecarios que se emitan con respaldo en créditos previamente creados, se denominarán "Bonos Hipotecarios Estructurados".
PARÁGRAFO. Además de la denominación, en todo informe, publicidad o promoción que se realice sobre determinada emisión de bonos hipotecarios, deberá indicarse, en forma destacada, si se trata de bonos hipotecarios emitidos con base en cartera previamente creada o si por el contrario, se emiten con garantía en nueva cartera financiada con los respectivos bonos hipotecarios. El nombre del emisor siempre deberá señalarse después del nombre de los bonos.
REQUISITOS Y CONDICIONES PARA LA COLOCACIÓN.
ARTÍCULO 6.5.1.3.1 DE LA AUTORIZACIÓN PARA LA COLOCACIÓN.
<Fuente original compilada: R. 542/02 Art. 12> Como requisito para la colocación de los bonos hipotecarios, el emisor deberá presentar ante el Registro Nacional de Valores y Emisores -RNVE los documentos de que trata Libro 2 de la Parte 5 del presente decreto, o cualquier otra norma que lo modifique, reemplace o adicione, así como dos ejemplares del prospecto de colocación elaborado de acuerdo con los parámetros señalados en el presente decreto.
Una vez recibida esta información por la Superintendencia Financiera de Colombia, los bonos hipotecarios se entenderán inscritos en el Registro Nacional de Valores y Emisores- RNVE para todos los efectos legales y podrán ser objeto de oferta pública sin que se requiera autorización de dicha entidad. No obstante lo anterior, la Superintendencia Financiera de Colombia podrá suspender o cancelar la inscripción en los casos previstos por la ley.
ARTÍCULO 6.5.1.3.2 INSCRIPCIÓN EN BOLSA DE LOS BONOS HIPOTECARIOS.
<Fuente original compilada: R. 542/02 Art. 13> Los bonos hipotecarios deberán inscribirse en una bolsa de valores o en un sistema transaccional autorizado por la Superintendencia Financiera de Colombia, que cumpla con condiciones adecuadas de seguridad, transparencia y formación de precios.
ARTÍCULO 6.5.1.3.3 CALIFICACIÓN DE LOS BONOS HIPOTECARIOS.
<Fuente original compilada: R. 542/02 Art. 14> Los bonos hipotecarios, deberán ser objeto de por lo menos una calificación otorgada por una sociedad calificadora de valores debidamente autorizada por la Superintendencia Financiera de Colombia.
Cuando los bonos hipotecarios cuenten con la garantía del Fondo de Garantías de Instituciones Financieras- FOGAFIN, la calificación no será obligatoria.
ARTÍCULO 6.5.1.3.4 DEL PLAZO DE COLOCACIÓN Y LA VIGENCIA DE LA OFERTA.
<Fuente original compilada: R. 542/02 Art. 15> El plazo de colocación de los bonos hipotecarios no podrá ser superior a un (1) año, contado a partir de la fecha de emisión. La vigencia de la oferta será establecida en el respectivo aviso, de conformidad con lo que para el efecto determine el emisor.
AMORTIZACIÓN DE LOS BONOS HIPOTECARIOS.
ARTÍCULO 6.5.1.4.1 FORMAS DE AMORTIZACIÓN DE LOS BONOS HIPOTECARIOS.
<Fuente original compilada: R. 542/02 Art. 16> La amortización de los bonos hipotecarios podrá ser ordinaria o extraordinaria.
ARTÍCULO 6.5.1.4.2 AMORTIZACIÓN ORDINARIA DE LOS BONOS HIPOTECARIOS.
<Fuente original compilada: R. 542/02 Art. 17> La amortización ordinaria de los bonos hipotecarios ocurrirá periódicamente, en la medida en que el emisor pague los importes de capital expresados en el respectivo cupón.
ARTÍCULO 6.5.1.4.3 AMORTIZACIÓN EXTRAORDINARIA DE LOS BONOS HIPOTECARIOS.
<Fuente original compilada: R. 542/02 Art. 18> <Inciso modificado por el artículo 5 del Decreto 353 de 2016. El nuevo texto es el siguiente:> Los bonos hipotecarios que correspondan a determinada emisión, identificada con su serie y año, se amortizarán extraordinariamente, en forma total o parcial, por el valor en términos de UVR o pesos que reciba el administrador de la cartera, únicamente cuando:
a. Se presente el pago anticipado, del total o de una parte, del valor de aquellos créditos que obren como garantía específica de una misma emisión, identificada con su serie y año, todo de conformidad con lo previsto en el artículo 9o de la Ley 546 de 1999, siempre que el valor pagado corresponda a una cifra de capital que según la programación original del respectivo crédito, hubiere tenido que pagarse en fecha posterior al trimestre en que se reciba.
b. Se produzca el pago del seguro que ampara un inmueble, cuya adquisición se realizó a través de créditos financiados con bonos hipotecarios, de la misma emisión, identificada con su serie y año, de conformidad con lo previsto en el artículo 9o de la ley 546 de 1999.
c. Se produzca un pago como consecuencia de la ejecución de la garantía judicial, de créditos que obren como garantía específica de una misma emisión, identificada con su serie y año.
El emisor sólo deberá tener en cuenta, para efectos de la amortización extraordinaria de los bonos hipotecarios, los prepagos realizados, por los conceptos descritos en el presente artículo, con cinco (5) días hábiles de antelación a la fecha de vencimiento del periodo respectivo. Los prepagos realizados después de la fecha de corte prevista, serán distribuidos en el periodo inmediatamente siguiente.
La amortización extraordinaria de los bonos hipotecarios se efectuará a prorrata o por sorteo, según lo disponga el respectivo emisor en el prospecto de emisión correspondiente. Los procedimientos de amortización extraordinaria serán realizados por el depósito centralizado de valores donde se encuentren inscritos los bonos hipotecarios y se ajustarán a lo establecido en los artículos siguientes.
PARÁGRAFO. Con base en lo dispuesto en este Libro, el depósito centralizado de valores elaborará un reglamento para la aplicación del sistema de amortización extraordinaria, el cual deberá propender por la transparencia, igualdad, imparcialidad y seguridad debidas. En el reglamento se preverá que la Superintendencia Financiera de Colombia podrá exigir las modificaciones que considere pertinentes en aras de la protección de los inversionistas.
ARTÍCULO 6.5.1.4.4 AMORTIZACIÓN A PRORRATA.
<Fuente original compilada: R. 542/02 Art. 19> Para la amortización a prorrata se tendrá en cuenta lo siguiente:
1. <Numeral modificado por el artículo 6 del Decreto 353 de 2016. El nuevo texto es el siguiente:> El emisor informará mediante acta de prorrateo al depósito centralizado de valores donde estén depositados los bonos hipotecarios, respecto del valor de los pagos recibidos de los deudores hipotecarios, identificando a qué emisión y serie pertenecen los bonos hipotecarios cuyo subyacente fue objeto de prepago. Para ello tendrá en cuenta los prepagos recibidos en el respectivo periodo por los deudores de vivienda y las fechas de aplicación del prorrateo
2. En la respectiva acta se identificarán los inversionistas que tienen en su poder los bonos emitidos que correspondan a dicha emisión y serie, así como su participación sobre el total de la misma.
3. El emisor pondrá a disposición del depósito la suma a prorratear. La asignación de la suma a distribuir se iniciará por el inversionista que posea la mayor cantidad de valores de la respectiva emisión y serie a prorratear y continuará hasta agotar la suma correspondiente.
4. La fecha de aplicación de los prorrateos deberá corresponder a la fecha de pago de los respectivos cupones. Los emisores mantendrán las sumas correspondientes a los prepagos, de modo que se garantice la equivalencia financiera hasta el día de pago.
PARÁGRAFO. <Parágrafo modificado por el artículo 6 del Decreto 353 de 2016. El nuevo texto es el siguiente:> Para el caso de los bonos hipotecarios en UVR la amortización extraordinaria a prorrata sólo se podrá hacer sobre unidades de UVR enteras. El emisor acumulará los valores resultantes de prepagos, cuando la cantidad de los mismos no alcance a completar una unidad entera de UVR, y los trasladará a los inversionistas, de acuerdo con el procedimiento previsto en este artículo, en los procesos de prorrateo subsiguientes.
ARTÍCULO 6.5.1.4.5 AMORTIZACIÓN POR SORTEO.
<Fuente original compilada: R. 542/02 Art. 20> Para la amortización por sorteo se tendrá en cuenta lo siguiente:
1. <Numeral modificado por el artículo 7 del Decreto 353 de 2016. El nuevo texto es el siguiente:> El emisor informará mediante acta de sorteo al depósito centralizado de valores donde estén depositados los bonos hipotecarios, respecto del valor de los pagos recibidos de los deudores hipotecarios, identificando a qué emisión y serie pertenecen los bonos hipotecarios cuyo subyacente fue objeto de prepago. Para ello tendrá en cuenta los prepagos recibidos en el respectivo periodo por los deudores de vivienda y la fecha de aplicación del sorteo.
2. En la respectiva acta se identificarán los inversionistas que tienen en su poder los bonos emitidos que correspondan a dicha emisión y serie, así como su participación sobre el total de la misma.
3. <Numeral modificado por el artículo 7 del Decreto 353 de 2016. El nuevo texto es el siguiente:> El depósito centralizado de valores procederá a sortear, entre los bonos hipotecarios que correspondan a la misma emisión, serie y año de los créditos, el número de unidades enteras de UVR o el valor en pesos informado por el emisor.
4. <Numeral modificado por el artículo 7 del Decreto 353 de 2016. El nuevo texto es el siguiente:> Inmediatamente concluya el sorteo, el emisor pondrá a disposición del depósito centralizado de valores el monto en pesos o el equivalente en dinero de las UVR sorteadas, para que este lo entregue al tenedor favorecido por el sorteo, con lo que se entenderá que el emisor ha amortizado los bonos hipotecarios correspondientes.
5. La fecha de aplicación del sorteo deberá corresponder a la fecha de pago de los respectivos cupones. El emisor mantendrá las sumas correspondientes a los prepagos, de modo que se garantice la equivalencia financiera hasta el día de pago.
PARÁGRAFO. <Parágrafo modificado por el artículo 7 del Decreto 353 de 2016. El nuevo texto es el siguiente:> Para el caso de los bonos hipotecarios en UVR los sorteos sólo podrán realizarse sobre unidades enteras de UVR. El emisor acumulará los valores resultantes de prepagos, cuando la cantidad de los mismos no alcance a completar una unidad entera de UVR, y los trasladará a los inversionistas, de acuerdo con lo previsto en este artículo, en los sorteos subsiguientes.
ARTÍCULO 6.5.1.4.6 INFORMACIÓN SOBRE EL SISTEMA DE AMORTIZACIÓN.
<Fuente original compilada: R. 542/02 Art. 21> En el respectivo prospecto de colocación deberá informarse, de manera destacada, el sistema de amortización elegido para la emisión y se advertirá que toda amortización extraordinaria que se realice, según lo previsto en el presente artículo, será obligatoria para los tenedores de los bonos hipotecarios.
ARTÍCULO 6.5.1.4.7 READQUISICIÓN DE BONOS HIPOTECARIOS.
<Fuente original compilada: R. 542/02 Art. 22> El emisor podrá comprar los bonos hipotecarios que haya emitido, siempre que la operación se realice a través de una bolsa de valores, y que se hubiere estipulado en el prospecto de colocación tal evento. Dicha readquisición implicará la amortización extraordinaria de los bonos hipotecarios y su consiguiente cancelación.
PARÁGRAFO. No podrá haber desmejora de la garantía específica de la emisión en los eventos de readquisición de bonos hipotecarios.
DE LAS PARTES INTERVINIENTES.
ARTÍCULO 6.5.1.5.1 ADMINISTRADOR DE CARTERA.
<Artículo modificado por el artículo 8 del Decreto 353 de 2016. El nuevo texto es el siguiente:> En desarrollo de lo previsto en el numeral 5 del artículo 9o de la Ley 546 de 1999, el emisor, o quien haya asumido la obligación de pagar los bonos hipotecarios, deberá suscribir un contrato de administración de los créditos financiados a través de estos, a favor de los tenedores, el cual deberá estar contenido en el prospecto de colocación.
ARTÍCULO 6.5.1.5.2 CONTENIDO DEL CONTRATO DE ADMINISTRACIÓN DE CARTERA.
<Fuente original compilada: R. 542/02 Art. 24> El contrato de administración de cartera deberá contemplar como mínimo las siguientes obligaciones a cargo del administrador:
a. Custodiar los títulos que incorporan los créditos, las garantías que los respaldan y demás documentos relacionados con ellos, y mantenerlos de una parte, debidamente individualizados por cada emisión, y de otra parte, separados físicamente de los demás activos de que sea titular. El administrador responderá hasta por la culpa leve por el deterioro, la destrucción ó la pérdida de estos documentos.
b. Liquidar las cuotas a pagar por razón de los créditos, generar y enviar a los deudores extractos relacionados con sus obligaciones, de conformidad con lo previsto en el artículo 21o de la ley 546 de 1999 y demás normas que para el efecto dicte la Superintendencia Financiera de Colombia.
c. Recibir los pagos que por razón de sus obligaciones efectúen los deudores, así como efectuar su aplicación y actualización.
d. Realizar los registros contables de los movimientos de los créditos al igual que su calificación.
e. Efectuar los reportes y la actualización oportuna de la información sobre los deudores en las bases de datos de las centrales de riesgo que se elijan.
f. Realizar las gestiones judiciales y extrajudiciales de cobro, directamente o a través de abogados externos designados por el emisor, cuando se presente mora en el pago de los créditos, en los mismos términos y plazos definidos para los demás créditos de características similares que figuren en sus activos.
g. Realizar la recepción y venta de los bienes que se reciban por adjudicación o a título de dación en pago por cuenta de los créditos. Igualmente para estos eventos, administrar el inmueble hasta que se efectúe su venta.
h. Informar al administrador de la emisión y a la Superintendencia Financiera de Colombia, mediante el sistema de información relevante, sobre el comportamiento consolidado de los créditos que constituyen garantía de la respectiva emisión, serie y año de los bonos hipotecarios incluyendo las amortizaciones que se hayan presentado, los prepagos efectuados y, en general, cualquier otra información que resulte de interés para efectos del cumplimiento de las obligaciones de la emisión.
i. Cuando se presente el pago anticipado, total o parcial, que efectúe un deudor de crédito de vivienda financiado con bonos hipotecarios de determinada emisión, serie y año, el administrador de la cartera deberá informar al administrador de la emisión para que éste proceda a realizar el prorrateo o sorteo, según el caso, y el pago consecuente, de conformidad con lo previsto en el presente Libro.
<Inciso modificado el artículo 116 del Decreto 1745 de 2020. El nuevo texto es el siguiente:> Para el efecto, el administrador de la cartera informará a los tenedores de bonos hipotecarios a través de la página de Internet o mediante aviso publicado en un diario de amplia circulación nacional, con una antelación no inferior a tres (3) días hábiles a la fecha prevista para el sorteo, (I) que se va a realizar una amortización extraordinaria de determinada cantidad de UVR y/o pesos de los bonos hipotecarios en circulación, (ii) la respectiva emisión, serie y año afectada con el prepago, (iii) que la amortización extraordinaria es obligatoria para los Tenedores de Bonos hipotecarios, (iv) fecha, lugar y hora en que se realizará el sorteo, o si es el caso, la forma en que se realizará el procedimiento de prorrateo, (v) período en el cual se pagará el valor resultante de la amortización extraordinaria.
j. Rendir a los tenedores de bonos hipotecarios un informe anual, debidamente certificado por el revisor fiscal del administrador de cartera, sobre el estado de los créditos hipotecarios que constituyen la garantía específica de los bonos hipotecarios emitidos. Este informe será remitido a la Superintendencia Financiera de Colombia y deberá contener como mínimo la identificación de los créditos que fueron financiados con los bonos hipotecarios, el comportamiento que han presentado los mismos y la categoría de calificación en la que se encuentran de conformidad con las normas de dicha entidad.
k. Verificar que los créditos tengan los seguros debidamente constituidos y trasladar mensualmente a la respectiva compañía de seguros las sumas recibidas por concepto de primas de seguros.
l. Atender oportunamente solicitudes y requerimientos de los deudores en relación con sus créditos, incluidas las solicitudes para la cancelación de las hipotecas, y las demás necesarias para el cumplimiento del objeto de este contrato.
m. Mantener actualizado de forma permanente el Registro Nacional de Valores y Emisores -RNVE, bajo el mecanismo de informes trimestrales e información relevante, respecto de la evolución, desarrollo y cumplimiento de las funciones de administración de la cartera.
n. En general, realizar todas las gestiones conducentes y necesarias para la administración de los créditos que constituyen la garantía específica.
o. Todos los demás, relacionados con la información que debe reportar, con el cumplimiento de su labor, como la posibilidad de terminación del contrato de administración, y demás temas pertinentes.
PARÁGRAFO. El contenido mínimo del contrato de administración de cartera será el señalado en el presente artículo. Cuando la administración de la cartera la realice una entidad diversa al emisor, en virtud de cesión de la misma, de conformidad con el numeral 5 del artículo 9o y el numeral 3 del artículo 7o de la ley 546 de 1999, se entenderá que asumirá las obligaciones de administración estipuladas originalmente.
En todo evento, en el contrato de administración de la cartera deberá pactarse que ni el emisor ni el administrador, en caso de que fuere diferente al emisor, podrán proponer operaciones que impliquen el prepago de aquellos créditos que sirven de garantía para la emisión, identificado por su serie y año, de los correspondientes bonos hipotecarios.
ARTÍCULO 6.5.1.5.3 INTERVENTOR.
<Fuente original compilada: R. 542/02 Art. 25> Con el objeto de propender por una información adecuada, veraz y suficiente al mercado de valores, el emisor deberá designar un interventor cuyas funciones se incluirán en el respectivo prospecto de colocación y consistirán en:
i) Verificar el cumplimiento de las obligaciones de información del emisor de los bonos y la veracidad de dicha información.
ii) Mantener actualizado en forma permanente el Registro Nacional de Valores y Emisores -RNVE, bajo el mecanismo de informes trimestrales e información relevante acerca de la evolución, desarrollo y cumplimiento de las funciones de administración de la cartera y de las demás responsabilidades que le corresponden al emisor por ley y según lo previsto en este Libro. Para tal efecto, el Interventor practicará las inspecciones y solicitará los informes que sean necesarios para ejercer una vigilancia permanente sobre las funciones desarrolladas por el administrador de la cartera.
Para el cumplimiento de las obligaciones precedentes el emisor podrá designar a su propio revisor fiscal, de permitirlo el régimen aplicable. La designación deberá ser informada a la Superintendencia Financiera de Colombia.
La función de interventor deberá ser ejercida por entidades técnica y administrativamente idóneas que tengan capacidad legal para ello. El interventor deberá mantener una completa independencia del emisor y consiguientemente no podrá existir ninguna relación de subordinación entre ellos. El emisor dejará constancia en el respectivo reglamento de emisión del cumplimiento de lo previsto en el presente inciso.
El interventor sólo podrá ser removido por la asamblea general de tenedores de bonos hipotecarios, la cual designará su reemplazo. El interventor sólo podrá renunciar al cargo por motivos graves que calificará la entidad estatal que ejerza control, inspección y vigilancia sobre él, o por las justas causas previstas en el contrato de interventoría.
El interventor deberá requerir por escrito al representante de tenedores de bonos hipotecarios, al que se refiere el artículo siguiente, cuando se requiera que éste ejerza la función consagrada en su contrato. Copia del requerimiento efectuado por el interventor deberá enviarse a la Superintendencia Financiera de Colombia.
En todo caso, el valor del servicio del interventor será de cargo de la sociedad emisora.
PARÁGRAFO. Como requisito para que el emisor pueda acceder al régimen de autorización automática previsto en este Libro, el Interventor declarará bajo la gravedad de juramento, para fines eminentemente probatorios, ante la Superintendencia Financiera de Colombia que cumple con los requisitos de independencia e idoneidad técnica y administrativa consagrados en el presente Libro.
ARTÍCULO 6.5.1.5.4 REPRESENTANTE DE TENEDORES DE BONOS HIPOTECARIOS.
<Fuente original compilada: R. 542/02 Art. 26> Con el objeto de adoptar las medidas y ejecutar las acciones pertinentes para la defensa de los intereses de los tenedores de los bonos hipotecarios, el emisor incluirá en el respectivo prospecto de colocación la designación de un representante de los tenedores de bonos hipotecarios, cuya función exclusiva será la representación judicial de los mismos. El texto del correspondiente contrato se transcribirá en el mencionado prospecto.
La remuneración del representante de los tenedores de bonos hipotecarios estará a cargo del emisor.
En todo caso se preverá que la asamblea general de los tenedores de bonos hipotecarios podrá en cualquier tiempo remover al representante y designar su reemplazo y que el representante legal de los tenedores de bonos hipotecarios sólo podrá renunciar al cargo por motivos graves que calificará la entidad estatal que ejerza control, inspección y vigilancia sobre él o por las justas causas previstas en el contrato de representación legal de tenedores de bonos hipotecarios.
PARÁGRAFO 1. La función de representante de los tenedores de bonos hipotecarios deberá ser ejercida por entidades técnica y administrativamente idóneas que tengan capacidad legal para ello. El emisor dejará constancia en el respectivo reglamento de emisión del cumplimiento de lo previsto en el presente inciso. El representante de tenedores de bonos hipotecarios deberá mantener una completa independencia del emisor y consiguientemente no podrá existir ninguna relación de subordinación entre ellos.
PARÁGRAFO 2. Como requisito para que el emisor pueda acceder al régimen de autorización automática previsto en este Libro, el representante de tenedores de bonos hipotecarios deberá declarar bajo la gravedad de juramento, para fines eminentemente probatorios, ante la Superintendencia Financiera de Colombia que cumple con los requisitos de independencia e idoneidad técnica y administrativa consagrados en este Libro.
INFORMACIÓN AL MERCADO.
ARTÍCULO 6.5.1.6.1 PROSPECTO DE COLOCACIÓN.
<Fuente original compilada: R. 542/02 Art. 27> Con el objeto de brindar la información que requiere el mercado sobre los bonos hipotecarios que se ofrecen, el emisor deberá elaborar un prospecto de colocación, con sujeción a los requisitos establecidos para la emisión y colocación de los mismos en este Libro. Para tal efecto, el prospecto será dividido en las siguientes secciones, las cuales siempre deberán seguir el mismo orden y contenido mínimo que se presenta a continuación:
I. Portada, en la cual se identifican, las características principales de la emisión a saber:
a. Título "Prospecto de Colocación".
b. Identificación del emisor, con su domicilio, dirección y actividad principal
c. Clase de títulos de que trata la emisión, con sus series y plazo de redención.
d. Cantidad de bonos hipotecarios de que consta la emisión.
e. <Literal modificado por el artículo 10 del Decreto 353 de 2016. El nuevo texto es el siguiente:> Valor nominal e inversión mínima de los bonos hipotecarios, expresado en UVR y/o en pesos.
f. <Literal modificado por el artículo 10 del Decreto 353 de 2016. El nuevo texto es el siguiente:> Monto total de la emisión, expresado en UVR y/o en pesos
g. Precio de suscripción.
h. Tasa de interés.
i. Razón social del administrador de la cartera.
j. Identificación del interventor.
k. Identificación del representante de tenedores de bonos.
l. Identificación del depósito centralizado de valores que administra la emisión, con la advertencia que la misma es totalmente desmaterializada y que los tenedores renuncian a la materialización posterior de los bonos hipotecarios.
m. Bolsas en las que están inscritos los bonos hipotecarios.
n. Garantías de la emisión. Enunciación, de conformidad con lo establecido en este Libro.
o. Calificación de la emisión, con indicación del lugar del prospecto en el cual constan las razones de la sociedad calificadora para el otorgamiento de la calificación.
p. Fecha a la cual se encuentra actualizada la información financiera del prospecto, con la indicación de que para fechas posteriores la misma se consulte en la Superintendencia Financiera de Colombia y en las bolsas en las cuales se encuentren inscritos los bonos hipotecarios.
q. Advertencia de que la suscripción de los bonos hipotecarios implica la adhesión a los contratos de i) administración de la cartera, ii) administración de la emisión, iii) interventoría, y iv) representante de tenedores de bonos hipotecarios.
r. Advertencia: "La autorización automática para la inscripción en el Registro Nacional de Valores y Emisores -RNVE de los bonos hipotecarios y para la realización de su oferta pública, no implica certificación sobre la solvencia del emisor o sobre la bondad del valor o de la garantía específica de la emisión".
s. Mes y año en que se empieza a realizar la oferta pública.
II. Definición de términos utilizados en el prospecto, donde como mínimo se deben contemplar las definiciones de bono hipotecario, fecha de emisión, fecha de suscripción, fecha de expedición, UVR, IPC, inversionista, administrador de la cartera, administrador de la emisión, interventor y representante de los tenedores de bonos hipotecarios.
III. Índice que relacione el contenido del prospecto, indicando el número de la página en que se encuentre cada tema.
VI. Capítulo I - De los bonos hipotecarios
a. Contenido del título del bono hipotecario, donde se señale:
1. Que su contenido se ciñe a lo establecido en el artículo 6.4.1.1.4 del presente Decreto. Debe incluirse el macrotítulo que se depositó en el depósito centralizado de valores.
2. Que los bonos hipotecarios están conformados por cupones anuales, con sus características
b. Ley de circulación y negociación secundaria, donde se describe el procedimiento operativo del depósito centralizado de valores para el manejo de los bonos hipotecarios y de las operaciones que con ellos se celebren.
c. Tasa de interés de los bonos hipotecarios, lugar, fecha y forma de pago de capital e intereses.
d. Estructura financiera del plan de amortización de los bonos hipotecarios, indicando, de conformidad con lo establecido en este Libro, que la amortización extraordinaria es obligatoria para los tenedores de los bonos hipotecarios.
e. Garantías de la emisión, en lo relacionado con la garantía del emisor.
f. Condiciones de la oferta y de la colocación, señalando plazo de colocación y vigencia de la oferta.
g. Destinatarios de la oferta.
h. Modalidad y medios para adelantar la oferta
V. Capítulo II, De la garantía específica
a. Monto de la garantía, que incluirá información global sobre las condiciones que reunirán los créditos hipotecarios que se vayan a financiar con los bonos hipotecarios y que se constituirán en garantía específica de la emisión. Para efecto de la realización de la colocación de los bonos hipotecarios, el emisor deberá incorporar al prospecto las características específicas de los créditos financiados con los bonos hipotecarios que se ofrecen. Dicha información deberá ser remitida a la Superintendencia Financiera de Colombia, a las bolsas de valores y a las demás entidades donde se haya puesto a disposición de los inversionistas el prospecto de colocación.
b. Características de los créditos hipotecarios, detallando las características de los créditos, tanto las contempladas para su otorgamiento, como la relacionada con su calificación, sus garantías, incluyendo un estudio estadístico sobre el riesgo de prepago de la entidad. Este ítem se enuncia en la documentación que se presente a la Superintendencia Financiera de Colombia por efectos de la inscripción automática de los bonos hipotecarios, y se debe desarrollar en la medida en que se van a realizar las respectivas ofertas, teniendo como base los créditos aprobados y que se van a financiar con los bonos hipotecarios. Dicha información deberá ser remitida a la Superintendencia Financiera de Colombia, a las bolsas de valores y a las demás entidades donde se haya puesto a disposición de los inversionistas el prospecto de colocación.
c. Tabla de desarrollo de los créditos. Corresponde al desarrollo del plan de amortización de los créditos hipotecarios con su debida proyección. Este ítem se enuncia en la documentación que se presente a la Superintendencia Financiera de Colombia por efectos de la inscripción automática de los bonos hipotecarios, y se debe desarrollar en la medida en que se van a realizar las respectivas ofertas, teniendo como base los créditos aprobados y que se van a financiar con los bonos hipotecarios.
Dicha información deberá ser remitida a la Superintendencia Financiera de Colombia, a las bolsas de valores y a las demás entidades donde se haya puesto a disposición de los inversionistas el prospecto de colocación.
VI. Capítulo III, Del administrador de la cartera
a. Razón social, domicilio y dirección principal del administrador de la cartera.
b. Contrato de administración de la cartera.
VII. Capítulo IV, Del administrador de la emisión
a. Razón social, domicilio y dirección principal.
b. Contrato de administración de la emisión.
VIII. Capítulo V, Del interventor
a. Razón social, domicilio y dirección principal.
b. Contrato de interventoría.
IX. Capítulo VI, Del representante de los tenedores de bonos hipotecarios
a. Razón social, domicilio y dirección principal.
b. Contrato de representación legal de tenedores de bonos hipotecarios.
X. Capítulo VII, De los tenedores de bonos hipotecarios
Derechos y obligaciones de los tenedores de bonos hipotecarios.
XI. Capítulo VIII, Del emisor
a. Razón social, constitución y duración.
b. Destinación de los recursos.
c. Estructura organizacional de la sociedad.
d. Accionistas y composición accionaria.
e. Provisiones y reservas para readquisición de acciones.
f. Operaciones con vinculados, accionistas y/o administradores, con cuantía y condiciones de dichas operaciones.
g. Emisiones de deuda en circulación.
h. Garantías reales otorgadas a favor de terceros. En el caso de garantías abiertas, expresar el cupo o valor máximo, subordinación para reclamar y derechos de los acreedores.
i. Procesos pendientes, presentados en forma consolidada, por tipo de proceso, con valor, bienes afectados y provisiones efectuadas para ellos.
j. Situación de relaciones laborales, estado de las relaciones laborales de la entidad, señalando sindicatos existentes, vigencia de la última convención, número de empleados y turnos de trabajo subordinación, indicar si la sociedad emisora está controlada, directamente o a través de sociedades filiales y/o subsidiarias por otra sociedad, señalando el nombre, nacionalidad, NIT y actividad principal de la matriz y clase de subordinación.
k. Riesgos de la sociedad, descripción y análisis de los principales riesgos, que en razón del objeto social tiene el emisor, destacando aquellos que en caso de concretarse puedan llegar a afectar seriamente la situación financiera de la entidad. En este punto se deben considerar factores políticos, macroeconómicos y de competencia o situaciones de mercado.
l. Aspectos de producción y ventas (productos y servicios financieros).
m. Evolución de la sociedad durante los últimos tres (3) años en términos de activos, ventas, producción y utilidades, señalando su posición dentro del sector y la fuente de la información suministrada.
n. Descripción de activos de la sociedad, separados por propios, en leasing, rentados y otros.
o. Marcas y patentes que están siendo usados bajo convenios con terceras personas, indicando regalías ganadas y pagadas.
p. Protecciones gubernamentales, descripción de estas y los grados de inversión de fomento que afecten la sociedad.
q. Perspectivas de la entidad, planes de inversiones futuras, de diversificación de sus productos y e incremento de la capacidad instalada, para un período de tres (3) a cinco (5) años, indicando su objeto y las fuentes para su financiamiento.
r. Información financiera:
1. <Numeral modificado por el artículo 11 del Decreto 353 de 2016. El nuevo texto es el siguiente:> Estado de Situación Financiera o Balance General, Estado de Resultados, Estado de Cambios en el Patrimonio y Estado de Flujos de Efectivo, para los tres (3) últimos años.
2. Notas a los estados financieros, informe de gestión y dictamen del revisor fiscal, correspondientes al último ejercicio presentado.
3. <Numeral modificado por el artículo 11 del Decreto 353 de 2016. El nuevo texto es el siguiente:> Estado de Situación Financiera o Balance General y Estado de Resultados a corte del trimestre calendario inmediatamente anterior a la fecha de presentación de la documentación completa debidamente diligenciada, presentado en forma comparativa con el correspondiente al mismo corte del año anterior, y anexos de información financiera de acuerdo con los formatos establecidos por la Superintendencia Financiera de Colombia.
4. Indicadores del sector financiero: inclusión de los indicadores financieros de solvencia, rentabilidad, eficiencia financiera, eficiencia administrativa y de riesgo que para el efecto ha establecido la Superintendencia Financiera de Colombia.
5. Cuando el emisor sea una entidad que tenga menos de dos (2) años de haber iniciado operaciones, se deberá incluir el estudio de factibilidad económica, financiera y de mercado.
6. <Numeral modificado por el artículo 11 del Decreto 353 de 2016. El nuevo texto es el siguiente:> Estados financieros consolidados a corte del último ejercicio anual aprobado con sus correspondientes notas, para aquellas entidades que posean más del cincuenta por ciento (50%) del capital de otros entes económicos.
7. <Numeral modificado por el artículo 11 del Decreto 353 de 2016. El nuevo texto es el siguiente:> Certificación de todos los estados financieros incluidos en el prospecto, de conformidad con lo establecido en el artículo 37 de la Ley 222 de 1995, según el cual el representante legal y contador público bajo cuya responsabilidad se hubieren preparado los estados financieros, deberán certificar aquellos que se pongan a disposición de los asociados o de terceros. La certificación consiste en declarar que se han verificado previamente las afirmaciones contenidas en ellos, conforme al reglamento y que las mismas se han tomado fielmente de los libros, incluyendo además las respectivas firmas.
XII. Capítulo IX, Del avalista o garante
a. Razón social, domicilio y dirección principal.
b. Objeto social y actividad económica.
c. Clase de garantía otorgada, cobertura y operatividad.
d. Información financiera:
1. Informe trimestral: <Numeral modificado por el artículo 12 del Decreto 353 de 2016. El nuevo texto es el siguiente:> Estado de Situación Financiera o Balance General y Estados de Resultados en los formatos establecidos por la Superintendencia Financiera de Colombia para el trimestre calendario inmediatamente anterior a la fecha de presentación de la documentación completa debidamente diligenciada, comparado con el correspondiente al mismo corte del año anterior. Los estados financieros deben estar certificados de conformidad con lo establecido en el artículo 37 de la Ley 222 de 1995.
2. Indicadores del sector financiero: inclusión de los indicadores financieros de solvencia, rentabilidad, eficiencia financiera, eficiencia administrativa y de riesgo que para el efecto ha establecido la Superintendencia Financiera de Colombia.
3. Cuadros resumen, a corte del último trimestre, de:
_ Información sobre los veinte (20) principales accionistas.
_ Información general sobre acciones y accionistas.
_ Información económica general sobre patrimonio y otros rubros.
XIII. Capítulo X, De la calificación de los bonos hipotecarios
Se debe incluir la calificación otorgada por una sociedad calificadora a la emisión, con las razones por las cuales fue concedida.
XIV. Capítulo XI, Requisitos formales del prospecto, donde se deben mencionar las autorizaciones que recibió el emisor para realizar la emisión y se debe incluir la constancia del representante legal del emisor, de su revisor fiscal y del asesor en banca de inversión, debidamente suscritas, de que emplearon la debida diligencia en la verificación del contenido del prospecto, en forma tal que certifican la veracidad del mismo y que en este no se presentan omisiones de información que revistan materialidad y puedan afectar la decisión de los futuros inversionistas.
ARTÍCULO 6.5.1.6.2 INFORMACIÓN Y REVELACIÓN PLENA.
<Fuente original compilada: R. 542/02 Art. 28> A todo inversionista en bonos hipotecarios se le deberá suministrar, de manera previa a la suscripción del título, toda la información necesaria para el adecuado entendimiento de sus características, de la estructura de la emisión y sus condiciones y de las del emisor conforme a lo establecido en la Ley 546 de 1999.
Adicionalmente, todo emisor de bonos hipotecarios deberá, de manera permanente y simultánea, mantener a disposición del mercado la siguiente información:
1. El prospecto de colocación.
2. Un reporte mensual de los créditos que sirven de respaldo a la emisión que contenga indicadores que revelen el estado actualizado de dichos activos. En dicho reporte, los créditos se individualizarán con todos los datos que permitan su identificación y en todo caso los siguientes:
a. Sistema de amortización
b. Fecha desembolso
c. Valor desembolso
d. Plazo del crédito
e. Fecha del avalúo
f. Plazo restante
g. Valor original del avalúo
h. Saldo vigente capital
i. Ciudad ubicación garantía
j. Número de veces en mora de 30, 60 o 90 días.
k. Valor de la garantía actual
3. Cualquiera otra información relativa a la emisión de bonos hipotecarios, necesaria para ilustrar al inversionista respecto de la inversión, el emisor, la estructura de la emisión y el servicio de administración y gestión de los activos que respaldan la emisión.
PARÁGRAFO. <Parágrafo modificado el artículo 117 del Decreto 1745 de 2020. El nuevo texto es el siguiente:> El suministro de la información de que trata el numeral anterior se deberá efectuar simultáneamente a través del sitio web que para el efecto deberá habilitar la sociedad emisora, y por cualquier otro medio, cuando así lo soliciten los inversionistas.
El emisor comunicará de manera suficiente y adecuada al suscriptor sobre la disponibilidad de la respectiva información y sobre los mecanismos para acceder a la misma.
Todo cambio en la dirección del sitio web en la que se deban publicar las informaciones relativas a la emisión, deberá ser previamente comunicado a los inversionistas.
DE LA EMISIÓN Y COLOCACIÓN DE BONOS HIPOTECARIOS RESPALDADOS CON CRÉDITOS HIPOTECARIOS PREVIAMENTE CREADOS.
ARTÍCULO 6.5.2.1.1 DEFINICIÓN.
<Fuente original compilada: R. 542/02 Art. 29> Para efectos de lo previsto en este Libro, se entenderá que los créditos hipotecarios han sido previamente creados, cuando formen parte del activo del emisor y su desembolso se hubiere efectuado en fecha anterior a la de la emisión de los respectivos bonos hipotecarios.
ARTÍCULO 6.5.2.1.2 RÉGIMEN APLICABLE.
<Fuente original compilada: R. 542/02 Art. 30> A las emisiones de bonos hipotecarios respaldadas con créditos hipotecarios previamente creados, les serán aplicables, además de las normas previstas en la Ley 546 de 1999, las establecidas en este Libro para toda emisión de bonos hipotecarios y específicamente las previstas en este Título.
ARTÍCULO 6.5.2.1.3 INDIVIDUALIZACIÓN DEL PORTAFOLIO QUE RESPALDA LA EMISIÓN.
<Fuente original compilada: R. 542/02 Art. 31> El portafolio de créditos previamente creados que respalde una determinada emisión de bonos hipotecarios estructurados será individualizado y los créditos que lo componen, así como los derechos asociados a los mismos y las garantías correspondientes, se identificarán con todos aquellos datos que permitan su particularización. En todo caso, no obstante figurar en el balance del emisor, no constituirán parte de la prenda general de los acreedores del emisor o de quien haya asumido la obligación de pagarlos en caso de liquidación y, por lo tanto, estarán excluidos de la masa de bienes de los mismos para cualquier efecto legal, conforme a lo establecido en el artículo 10 de la Ley 546 de 1999.
ARTÍCULO 6.5.2.1.4 INFORMACIÓN ADICIONAL EN EL PROSPECTO DE EMISIÓN.
<Fuente original compilada: R. 542/02 Art. 32> Adicionalmente a lo expresamente requerido en el presente Libro, los prospectos de emisión de bonos hipotecarios estructurados a los que se refiere este Título, incluirán las siguientes secciones adicionales:
1. En el capítulo relativo a la garantía específica una sección especial denominada "Descripción de los activos que respaldan la emisión." Esta sección deberá contener una síntesis de la totalidad de las características de los activos hipotecarios que sirven de base a la emisión, así como información estadística relacionada con el paquete de créditos hipotecarios en su conjunto. En todo caso, esta sección deberá incluir la siguiente información:
a. Criterios de selección de los créditos hipotecarios, incluyendo relación inicial del valor de la cuota mensual frente a los ingresos del deudor hipotecario, cuando los créditos hayan sido otorgados a partir de la entrada en vigencia de la Ley 546 de 1999.
b. Valor actualizado de la cartera y metodología aplicada para su valoración.
c. Tipo de vivienda financiada con los créditos que forman parte de la garantía.
d. Plazo inicial de los créditos y plazo remanente hasta su vencimiento.
e. Descripción de los sistemas de amortización de los créditos y metodología de cálculo de los intereses.
f. Descripción de la tasa de interés reconocida a los créditos.
g. Existencia de seguros o garantías sobre las propiedades que garantizan los créditos y sobre las obligaciones contraídas por los deudores hipotecarios.
h. Edad de la cartera, señalando fecha mínima de creación de los créditos y máxima en relación con su maduración.
i. Información sintética sobre la evolución y estado de morosidad de la cartera.
j. Información sintética en relación con las refinanciaciones y reestructuraciones efectuadas sobre los créditos y políticas de refinanciación y reestructuración aplicables a dicha cartera.
k. Síntesis de la relación inicial del valor de los créditos frente al valor de la propiedad que garantiza los mismos.
l. Distribución geográfica de los créditos, indicadores de los niveles de concentración por ciudades y por estrato socioeconómico, cuando los créditos hayan sido otorgados a partir de la entrada en vigencia de la Ley 546 de 1999.
m. Índice de prepago aplicable a la cartera que sirve de garantía a la emisión.
n. Flujo de fondos proyectado de los créditos base de la emisión.
o. Mecanismos de cobertura que respaldan la emisión.
p. Otros derechos asociados al paquete de créditos hipotecarios que componen los activos que respalden la emisión de bonos.
2. En la sección relativa a la estructura financiera del plan de amortización de los bonos hipotecarios estructurados, que forma parte del capítulo denominado "De los Bonos Hipotecarios" se deberán incorporar todas las características inherentes a los bonos y a las condiciones generales de la emisión y la colocación, de tal manera que el inversionista pueda obtener los elementos básicos para la evaluación de su inversión.
Se deberá señalar en todo caso lo siguiente:
a. Clase de bonos que se emiten, series, cupones, plazo, monto, valor nominal, cantidad de bonos que la conforman, inversión mínima, precio de suscripción, ley de circulación.
b. Características financieras de las respectivas series, indicando los derechos de los tenedores de cada una de ellas respecto del flujo de caja generado por los activos.
c. La forma en que se distribuirán los prepagos de los créditos base de la emisión.
d. Rentabilidad de los bonos, periodicidad y forma de pago del capital y sus rendimientos, señalando la metodología de liquidación así como el lugar donde estos pagos se llevarán a cabo.
e. El plan de amortización de los bonos o de las diferentes series, según el caso, y su duración bajo determinados escenarios de prepago y otras variables que la afecten. Para estos efectos, deberá llevarse a cabo una adecuada revelación de los supuestos que se emplean para la estructuración de los escenarios y en todo caso suministrar la información necesaria para que los inversionistas estén en capacidad de generar sus propios modelos de análisis.
f. Garantías y coberturas. Deberán señalarse las condiciones de las diferentes garantías y coberturas que amparan la emisión, indicando el monto de cobertura, el alcance en términos de capital y rendimientos, la forma de hacerla efectiva y el lugar al cual se deben dirigir para su exigencia.
ARTÍCULO 6.5.2.1.5 AMORTIZACIÓN DE LOS BONOS HIPOTECARIOS ESTRUCTURADOS.
<Fuente original compilada: R. 542/02 Art. 33> Cuando se trate de emisiones de bonos hipotecarios estructurados, no se entenderán obligatorios los procedimientos de amortización extraordinaria previstos en los artículos 6.5.1.4.3, 6.5.1.4.4 y 6.5.1.4.5 del presente decreto. En consecuencia, los pagos de capital de los bonos hipotecarios estructurados que se emitan en desarrollo de lo previsto en este Libro, podrán efectuarse durante la vida de los títulos, de acuerdo con lo que se establezca en el correspondiente prospecto de emisión. En dicho prospecto deberá incluirse, en todo caso, una evaluación técnica del riesgo de prepago atribuible a la cartera que sirva de respaldo a los bonos emitidos y una descripción de la forma en que los flujos de caja correspondientes a prepagos se asignarán a los bonos en circulación.
OFERTA PÚBLICA DE PAPELES COMERCIALES.
ARTÍCULO 6.6.1.1.1 DEFINICIÓN Y CONDICIONES PARA ADELANTAR LA OFERTA. <Artículo modificado por el artículo 5 del Decreto 1178 de 2017. El nuevo texto es el siguiente:>
<Inciso modificado por el artículo 7 del Decreto 1984 de 2018. El nuevo texto es el siguiente:> Son papeles comerciales los pagarés ofrecidos públicamente en el mercado de valores, emitidos masiva o serialmente. Podrán emitir papeles comerciales para ser colocados mediante oferta pública, previa autorización de la oferta por parte de la Superintendencia Financiera de Colombia, toda entidad que de conformidad con su régimen legal tenga capacidad para hacerlo.
El plazo de los papeles comerciales deberá ser superior a quince (15) días e inferior a un (1) año, contado a partir de la fecha de emisión. Para efectos de determinar la fecha de emisión, debe tenerse en cuenta lo previsto en el inciso segundo del numeral 1.1., de las reglas de modalidad estandarizada establecidas en el artículo 6.1.1.1.5., del presente decreto.
Para adelantar la oferta pública de papeles comerciales, deberán observarse las siguientes reglas:
1. El monto de la emisión de papeles comerciales objeto de oferta pública no debe ser inferior a dos mil (2.000) salarios mínimos legales mensuales vigentes.
2. Los recursos obtenidos a través de la colocación de papeles comerciales no podrán destinarse a la realización de actividades propias de los establecimientos de crédito ni a la adquisición de acciones o bonos convertibles en acciones, y
3. Previamente a la publicación del respectivo aviso de oferta pública y con el fin de dar liquidez secundaria a los papeles comerciales, la sociedad emisora deberá inscribir dichos títulos en una bolsa de valores. Estarán exceptuados de esta obligación los papeles comerciales que hagan parte de una emisión de Segundo Mercado, cuya inscripción será voluntaria de conformidad con lo establecido en el artículo 5.2.3.2.1., del presente decreto.
La inscripción en bolsa de los papeles comerciales cuando sea obligatoria su inscripción, deberá mantenerse mientras existan títulos en circulación.
PARÁGRAFO. Cuando la totalidad o parte de la emisión de papeles comerciales se vaya a ofrecer públicamente en el exterior, la calificación de los papeles comerciales podrá ser otorgada por una sociedad calificadora de valores extranjera de reconocida trayectoria a juicio de la Superintendencia Financiera de Colombia
ARTÍCULO 6.6.1.1.2 MODALIDADES PARA ADELANTAR LA OFERTA.
<Fuente original compilada: R. 400/95 Art. 1.2.4.48 Modificado por la R. 71/01 Art. 1o. Adicionado por la R. 512/03 Art. 1o.> La oferta de los papeles comerciales podrá adelantarse bajo cualquiera de las siguientes modalidades:
1. Emisión única
Ofreciendo y colocando una única emisión sin posibilidad de prórroga del plazo de los papeles comerciales. En este caso, el emisor deberá indicar en el respectivo aviso de oferta que se trata de una emisión de papeles comerciales sin posibilidades de rotación ni de prórroga al vencimiento de los valores.
2. Emisión rotativa
Ofreciendo y colocando de forma rotativa los papeles comerciales con o sin posibilidad de prórroga de los mismos, utilizando cualquiera de los siguientes mecanismos:
2.1. Emisión rotativa con posibilidad de prórroga
Se podrán emitir y colocar papeles comerciales en forma rotativa con la posibilidad de prórroga de su plazo por un término igual al inicial, evento en el cual la prórroga no implicará una nueva emisión. En estos casos se podrán variar las condiciones de la tasa de rentabilidad durante dicha prórroga.
En todo caso, el emisor deberá indicar en el aviso de oferta que los papeles ofrecidos tienen posibilidad de prórroga de su plazo y la forma y medio que empleará para informar sobre la efectividad de tal condición.
Esta modalidad de oferta se regirá por los siguientes parámetros:
a. Al cumplimiento del plazo inicial pactado, en silencio del emisor y del inversionista, se entenderá prorrogado automáticamente el plazo por un término igual al inicialmente pactado en las mismas condiciones financieras.
b. Si a la fecha de vencimiento respectiva, el emisor guarda silencio y el inversionista solicita la redención, el emisor deberá proceder a la redención del título.
c. Si el emisor propone modificar la tasa de rentabilidad inicial, y el inversionista guarda silencio, el plazo del título se prorrogará por un término igual al pactado inicialmente con las nuevas condiciones financieras ofrecidas por el emisor.
d. Si el emisor propone modificar la tasa de rentabilidad y el inversionista manifiesta su no aceptación, el emisor deberá proceder a redimir el título.
e. Si el emisor decide redimir los títulos a su vencimiento comunicará este hecho al inversionista, el cual se encuentra obligado a aceptar tal redención.
En el caso de que el emisor opte por lo previsto en los literales c), d) y e) del presente artículo, deberá comunicar su decisión de redención o de cambio de la tasa de rentabilidad el segundo día hábil anterior a la fecha de vencimiento de los títulos.
En caso de que el inversionista opte por la redención a que se refieren los literales b) y d) del presente artículo deberá manifestar su voluntad al emisor el día hábil anterior a la fecha de vencimiento de los títulos.
En todo caso, la sumatoria de las prórrogas de los papeles comerciales no podrá exceder el plazo máximo contemplado para éstos en el presente decreto.
2.2. Emisión rotativa sin posibilidad de prórroga
Se podrán emitir y colocar papeles comerciales en forma rotativa sin posibilidad de prórroga de su plazo. En este evento, el emisor deberá establecer en el aviso de oferta que el plazo de los títulos no es objeto de prórroga y que por lo tanto se redimirán a su vencimiento.
PARÁGRAFO 1. En los eventos de redención del título contemplados en los numerales 2.1 y 2.2 del presente artículo, el emisor podrá colocar el monto redimido mediante una nueva emisión, para cuya oferta podrá utilizar cualquiera de los mecanismos descritos en el numeral 2.
La oferta rotativa de papeles comerciales no podrá superar en ningún evento el monto total autorizado para los mismos.
PARÁGRAFO 2. La autorización de oferta pública de papeles comerciales se otorgará con vigencia máxima de dos (2) años; tratándose de emisiones ofertadas mediante la modalidad de emisión rotativa, esta autorización tendrá carácter global respecto del total de emisiones que se realicen durante ese lapso. Por consiguiente, el vencimiento de los papeles comerciales no podrá ser en ningún caso posterior a los dos (2) años contados a partir de la fecha de publicación del primer aviso de oferta.
<Fuente original compilada: R. 400/95 Art. 1.2.4.49 adicionado por la R. 155/03 derogado por la R. 838/98 Art. 3o.> En las emisiones de papeles comerciales garantizadas por una entidad extranjera, en donde la garantía se someta a una ley o a una jurisdicción diferentes a las de Colombia, el emisor deberá contratar quien actúe como representante legal de los tenedores de títulos para que éste asuma, respecto de la emisión, las funciones contempladas en el artículo 6.4.1.1.9 del presente decreto.
OFERTA PÚBLICA DE LOS BONOS DE PRENDA.
ARTÍCULO 6.7.1.1.1 REQUISITOS Y MODALIDADES PARA ADELANTAR LA OFERTA PÚBLICA.
<Fuente original compilada: R. 400/95 Art. 1.2.4.59 modificado por el D. 3139/06 Art. 7o.> Para adelantar una oferta pública de bonos de prenda, deberá cumplirse los siguientes requisitos:
1. Ser emitidos por sociedades por acciones o limitadas o por asociaciones gremiales de primer o segundo grado que acrediten niveles adecuados de solvencia, a juicio de la Superintendencia Financiera de Colombia, sujetas a la vigilancia del Ministerio de Agricultura y Desarrollo Rural.
2. El gravamen prendario debe versar sobre mercancías y productos individualmente especificados o genéricamente designados, que sean de una calidad homogénea aceptada y usada en el comercio.
3. La vigencia del bono no podrá ser superior al término del depósito, debiendo guardar esta relación con el lapso promedio durante el cual puede permanecer depositada la mercancía sin deterioro de sus condiciones, de acuerdo con las reglas técnicas, según constancia que al efecto expida el almacén.
4. La suma del capital y del rendimiento del crédito incorporado en los bonos de prenda no podrá ser superior al setenta por ciento (70%) del valor del certificado de depósito.
La oferta pública de los bonos de prenda podrá adelantarse bajo cualquiera de las siguientes modalidades:
1. Ofreciendo y colocando los respectivos bonos de prenda por una sola vez, y
2. Ofreciendo y colocando bonos de prenda cuantas veces lo requieran las necesidades de la empresa, durante un período máximo de un año, siempre que el monto de los bonos en circulación no sobrepase en ningún momento la cuantía que se haya fijado al autorizar la oferta.
ARTÍCULO 6.7.1.1.2 PROSPECTO DE INFORMACIÓN.
<Fuente original compilada: R. 400/95 Art. 1.2.4.60 modificado por el D. 3139/06 Art. 8o.> Además del contenido que se establece en el artículo 5.2.1.1.4 del presente decreto, en el prospecto de información de bonos de prenda deberá expresarse lo siguiente:
1. La forma, el término y los requisitos conforme a los cuales debe proceder el tenedor del título para obtener el pago del mismo y, en caso de no pago, el remate de la mercancía gravada.
2. El valor comercial de la mercancía de acuerdo con la estimación que se realice en desarrollo de las normas aplicables, y
3. Tratándose de títulos nominativos la dirección donde se encuentra el libro en el cual se inscribirán las transferencias del título.
ARTÍCULO 6.7.1.1.3 INSCRIPCIÓN DE LOS TÍTULOS EN BOLSA.
<Fuente original compilada: R. 400/95 Art. 1.2.4.61 modificado por el D. 3139/06 Art. 9o.> Previamente a la publicación el respectivo aviso de oferta pública y con el fin de dar liquidez secundaria a los bonos de prenda, la entidad emisora de los bonos de prenda deberá inscribir dichos títulos en una bolsa de valores.
La inscripción en bolsa de los bonos de prenda deberá mantenerse mientras existan títulos en circulación.
OFERTA PÚBLICA DE LOS CERTIFICADOS DE DEPÓSITO DE MERCANCÍAS.
ARTÍCULO 6.8.1.1.1 CARACTERÍSTICAS Y PROSPECTO DE INFORMACIÓN.
<Fuente original compilada: R. 400/95 Art. 1.2.4.62 modificado por el D. 3139/06 Art. 9o.> Los certificados deberán representar mercancías y productos individualmente especificados o genéricamente designados, que sean de una calidad homogénea aceptada y usada en el comercio.
Además del contenido que se establece en el artículo 5.2.1.1.4 del presente decreto, en el prospecto de información de los certificados de depósito de mercancías deberá expresarse lo siguiente:
1. El valor comercial de las mercancías de acuerdo con la estimación que se realice según las normas aplicables.
2. Una descripción pormenorizada de las mercancías depositadas.
3. El plazo del depósito, y
4. Tratándose de títulos nominativos la dirección donde se encuentra el libro en el cual se inscribirán las transferencias del título.
OFERTA PÚBLICA DE VALORES EMITIDOS EN DESARROLLO DE PROCESOS DE TITULARIZACIÓN.
ARTÍCULO 6.9.1.1.1 PROSPECTO DE INFORMACIÓN.
<Fuente original compilada: R. 400/95 Art. 1.2.4.63 modificado por el D. 3139/06 Art. 10> Además de la información señalada en el artículo 5.2.1.1.4 del presente decreto, en cuanto sean pertinentes, el prospecto de información de nuevos valores emitidos en desarrollo de procesos de titularización deberá contener:
1. Una descripción de la naturaleza del patrimonio a cuyo cargo se emitirán los nuevos valores, especificando las características de los activos que lo conforman, el valor de los mismos y el método o procedimiento seguido para su valuación.
2. Los flujos de fondos proyectados por el agente de titularización en relación con el fondo o patrimonio que administra.
3. Mención de las garantías o seguridades que amparen los activos movilizados, cuando ellas existan.
4. La proporción o margen de reserva existente entre el valor de los activos objeto de movilización y el valor de los títulos emitidos, cuando sea del caso.
5. La advertencia conforme a la cual el agente de manejo de la titularización adquiere obligaciones de medio y no de resultado.
6. Características, condiciones y reglas de la emisión, y
7. Información general del agente de manejo del proceso de titularización.
OFERTA PÚBLICA DE VALORES EMITIDOS POR GOBIERNOS EXTRANJEROS O POR ENTIDADES PÚBLICAS EXTRANJERAS.
ARTÍCULO 6.10.1.1.1 AUTORIZACIÓN DE LA OFERTA PÚBLICA.
<Fuente original compilada: R. 400/95 Art. 1.2.4.64 modificado por el D. 3140/06 Art. 1o.> Podrá autorizarse la oferta pública de los valores emitidos por gobiernos extranjeros o por entidades públicas extranjeras, siempre y cuando se cumplan los siguientes requisitos:
1. Cuando se trate de títulos de contenido crediticio, los mismos deberán ser a la orden o nominativos y designarse en Colombia una institución con domicilio en el país que actúe como administrador de la emisión.
2. En el mercado de valores del país del emisor, los valores emitidos o garantizados por el gobierno colombiano o por entidades públicas colombianas deben ser susceptibles de ser ofrecidos públicamente.
3. El emisor, en el caso de gobiernos extranjeros, o los valores a ser ofrecidos en Colombia, en el caso de entidades públicas extranjeras, deberán estar calificados por una o más agencias calificadoras de riesgo o valores internacionalmente reconocidas a juicio de la Superintendencia Financiera de Colombia o por una sociedad calificadora sometida a la inspección y vigilancia de dicha entidad.
4. Cuando se vayan a inscribir acciones, deberá informarse los derechos societarios que tendrían los inversionistas residentes en Colombia, así como los que tienen los inversionistas del país del emisor, acreditando además, a satisfacción de la Superintendencia Financiera de Colombia, la forma en que los accionistas residentes en Colombia podrán ejercer sus derechos.
5. La entidad emisora deberá tener inscritos valores en una o más bolsas de valores internacionalmente reconocidas, a juicio de la Superintendencia Financiera de Colombia, de manera previa a la realización de la oferta.
6. Cuando ello sea requerido por la ley del país donde se encuentra el domicilio principal del emisor, deberá acreditarse que la inscripción o la oferta de los valores a ser ofrecidos en Colombia fue debidamente autorizada por el organismo de control competente en dicha jurisdicción.
7. Los valores de contenido crediticio deberán inscribirse en una bolsa de valores colombiana.
ARTÍCULO 6.10.1.1.2 MENCIONES DEL PROSPECTO.
<Fuente original compilada: R. 400/95 Art. 1.2.4.65 modificado por el D. 3140/06 Art. 1o.> Además de los requisitos generales previstos para el prospecto en el presente decreto, o en las normas que lo modifiquen o sustituyan, tratándose de emisiones realizadas por gobiernos extranjeros o por entidades públicas extranjeras, el mismo deberá contener lo siguiente:
1. La información sobre el país del emisor, la cual deberá contener:
1.1 Un capítulo sobre información general, y
1.2 Un resumen sobre el desempeño económico reciente, destacando al menos la estructura y evolución del producto interno bruto, el comercio exterior y la balanza de pagos, el endeudamiento externo, las finanzas públicas y los documentos de contenido crediticio que tenga en circulación, especificando plazo, condiciones, calificación de los títulos y estado actual de cumplimiento.
2. Una descripción detallada del sistema o procedimiento de colocación de la emisión, indicando los mercados en que vaya a negociarse, las entidades colocadoras, los sitios en los cuales se puede hacer la suscripción y las bolsas de valores en que estarán inscritos los títulos. Cuando la emisión vaya a ser colocada en diferentes mercados, se especificará dicha información respecto de cada uno de ellos.
3. La definición del régimen jurídico de los valores con indicación de los tribunales competentes para el ejercicio de cualquier acción legal o procedimiento relativo al cumplimiento y ejecución forzosa de las obligaciones que de ellos se originen.
4. Una descripción sucinta del régimen fiscal aplicable a los valores, así como del régimen cambiario y de inversiones internacionales del respectivo país.
5. La designación de los agentes que en Colombia recibirán en nombre del emisor notificaciones de actuaciones judiciales, en el caso que la jurisdicción establecida sea la colombiana.
6. Las siguientes cláusulas de salvaguardia:
6.1 Por la cual se renuncia de manera irrevocable a la inmunidad soberana con respecto a cualquier acción, pleito, procedimientos o notificaciones que surjan de la colocación de los valores, cuando la jurisdicción convenida sea diferente a la del emisor.
6.2 Aquella por la cual los derechos del tenedor y las obligaciones del emisor se equiparan por lo menos “pari passu” en prioridad de pago con toda la demás deuda externa directa del emisor no garantizada y no subordinada, y
6.3 La que establece el vencimiento acelerado de los valores al presentarse un incumplimiento en su pago, en el de otras emisiones realizadas o garantizadas por el gobierno extranjero o por la entidad pública extranjera, o en el de la deuda externa no representada en valores; lo anterior sin perjuicio de que se establezcan otros eventos de aceleración.
7. La demás información que la Superintendencia Financiera de Colombia estime indispensable para los fines que la ley haya dispuesto.
PARÁGRAFO. En caso que la emisión vaya a ser colocada en diferentes mercados, el prospecto que deba circular en Colombia deberá allegarse en castellano; cuando el idioma original del mismo no sea el español, deberá allegarse su traducción oficial.
<Inciso adicionado el artículo 118 del Decreto 1745 de 2020. El nuevo texto es el siguiente:> En caso de que la emisión vaya a ser colocada en el mercado colombiano y sea dirigida únicamente a inversionistas profesionales de los que tratan los artículos 7.2.1.1.2 y 7.2.1.1.3 del presente decreto, podrá aplicarse lo previsto en el parágrafo 2 del artículo 6.14.1.1.3 del presente decreto.
OFERTA DE VALORES EMITIDOS POR ENTIDADES EXTRANJERAS.
ARTÍCULO 6.11.1.1.1 AUTORIZACIÓN DE LA OFERTA PÚBLICA.
<Fuente original compilada: R. 400/95 Art. 1.2.4.64 modificado por el D. 3140/06 Art. 1o.> Podrá autorizarse la oferta pública de valores emitidos por entidades extranjeras, siempre y cuando se cumpla con los siguientes requisitos:
1. Cuando se trate de títulos de contenido crediticio, los mismos deberán ser a la orden o nominativos y designarse en Colombia una institución con domicilio en el país que actúe como administrador de la emisión;
2. Los valores a ser ofrecidos en Colombia deben ser susceptibles de ser ofrecidos públicamente en el país donde se encuentre el domicilio principal del emisor;
3. Los valores a ser ofrecidos en Colombia deberán estar calificados por una o más agencias calificadoras de riesgo o valores internacionalmente reconocidas a juicio de la Superintendencia Financiera de Colombia o por una sociedad calificadora sometida a la inspección y vigilancia de dicha entidad;
4. Cuando se vayan a inscribir acciones, deberá informarse los derechos societarios que tendrán los inversionistas residentes en Colombia, así como los que tienen los inversionistas del país del emisor, acreditando además, a satisfacción de la Superintendencia Financiera de Colombia, la forma en que los accionistas residentes en Colombia podrán ejercer sus derechos;
5. <Numeral modificado por el artículo 1 del Decreto 4804 de 2010. El nuevo texto es el siguiente:> La entidad extranjera deberá tener inscritos valores en una o más bolsas de valores internacionalmente reconocidas, a juicio de la Superintendencia Financiera de Colombia, de manera previa a la realización de la oferta.
El cumplimiento del anterior requisito podrá sustituirse, acreditando todos los siguientes requisitos:
i) Que la entidad extranjera se encuentre domiciliada en una jurisdicción aceptable, a juicio de la Superintendencia Financiera de Colombia.
ii) Que la matriz, filial o subsidiaria de la entidad extranjera cuente con domicilio en Colombia, desarrolle actividades económicas en el país y tenga valores inscritos en el Registro Nacional de Valores y Emisores (RNVE).
Para todos los efectos, tanto la entidad extranjera como su matriz, filial o subsidiaria con domicilio en Colombia serán responsables solidariamente del cumplimiento de los deberes legales y reglamentarios exigibles a la primera, derivados de su condición de emisor de valores en el mercado local.
iii) Que la entidad domiciliada en Colombia cuente con un poder irrevocable otorgado por la entidad extranjera para que la represente en las actuaciones administrativas o judiciales que se deriven de la condición de emisor de valores en el mercado local.
iv) Copia del acta o del documento en el que se manifieste el sometimiento de la entidad extranjera a la legislación y competencia de las autoridades administrativas y judiciales colombianas, en lo que tiene que ver con el cumplimiento de todas las obligaciones legales y reglamentarias que se deriven de su condición de emisor de valores en el mercado local.
Tal manifestación deberá adoptarse por parte de la asamblea general de accionistas o del órgano que sea competente para tal efecto en la jurisdicción de la entidad extranjera.
v) Copia del acta o del documento en el que el órgano competente de la entidad domiciliada en Colombia manifieste su voluntad de responder solidariamente por todas las obligaciones legales y reglamentarias de la entidad extranjera, derivadas de la condición de emisor de valores de esta en el mercado local”.
vi) Un documento suscrito por todos los representantes legales y miembros de la junta directiva o del órgano que haga sus veces de la entidad extranjera, en la cual manifiesten su sometimiento a la legislación y a la competencia de las autoridades administrativas y judiciales colombianas, en lo que tiene que ver con el cumplimiento de las obligaciones legales y reglamentarias derivadas de la condición de emisor de valores en el mercado local.
6. Cuando ello sea requerido por la ley del país donde se encuentre el domicilio principal de la entidad extranjera, deberá acreditarse que la inscripción o la oferta de los valores a ser emitidos en Colombia fue debidamente autorizada por el organismo de control competente en dicha jurisdicción.
PARÁGRAFO. Las sucursales de entidades extranjeras que desarrollen actividades permanentes en Colombia podrán actuar como emisores y realizar oferta pública de valores que otorguen a sus titulares derechos de crédito, siempre que las mismas cumplan con los siguientes requisitos:
1. Que el período de operación de la sucursal en el país no sea inferior a tres (3) años. En caso que la sucursal se encuentre en etapa preoperativa o tenga menos de tres (3) años de haber iniciado operaciones en el país, deberá presentar a la Superintendencia Financiera de Colombia un estudio de factibilidad económica, financiera y de mercado o, en el evento que la emisión cuente con el respaldo de la entidad extranjera, demostrar que ésta tiene inscritos valores, en una o más bolsas de valores internacional mente reconocidas, a juicio de la Superintendencia Financiera de Colombia;
2. Que el plazo de los valores objeto de oferta pública no supere el plazo establecido para la duración de sus negocios en el país;
3. El prospecto y demás documentación soporte de la emisión deberá precisar de manera inequívoca si la emisión cuenta con el respaldo de la entidad extranjera.
En tal caso, deberá indicarse cuando menos:
3.1. El alcance de la obligación de la entidad extranjera, en particular, si se respalda total o parcialmente la emisión de la sucursal y si la obligación de la entidad extranjera es solidaria o subsidiaria.
3.2. El orden de prelación para el pago que tendrán los tenedores de los valores emitidos por la sucursal, en el evento de cualquier procedimiento concursal universal que se adelante judicial o extrajudicialmente contra la entidad extranjera.
3.3. La ley y la jurisdicción aplicables a la obligación de la entidad extranjera, incluyendo una descripción del procedimiento que deba adelantarse para su cobro extrajudicial o ejecución forzosa judicial.
Para efectos de verificar la información a que se refiere el numeral 3 del presente parágrafo, deberá presentarse una opinión legal emitida por un abogado idóneo, autorizado para ejercer como tal en el país donde se encuentre el domicilio principal de la entidad extranjera, que no tenga interés alguno en el resultado del proceso de emisión, con destino a la Superintendencia Financiera de Colombia. Así mismo, deberán presentarse las autorizaciones correspondientes, emitidas por el órgano competente de la entidad extranjera.
Además de los requisitos generales previstos para el prospecto en la presente resolución, en caso que la emisión cuente con el respaldo de la entidad extranjera, el prospecto deberá contener el nombre comercial de la entidad extranjera, su objeto social, su domicilio principal, la dirección de la oficina principal y la información financiera de la entidad extranjera, necesaria para el cabal conocimiento por parte de los inversionistas de los riesgos que asumen.
La sucursal estará sometida a las obligaciones de actualización del Registro Nacional de Valores y Emisores RNVE previstas para las entidades colombianas. En caso de que la emisión cuente con el respaldo de la entidad extranjera, ésta deberá cumplir, por medio de la sucursal, con los deberes de información eventual previstos en la presente resolución, para todos los emisores, y con los deberes de información periódica previstos para las entidades extranjeras.
La emisión de bonos pensionales por parte de sucursales de entidades extranjeras se sujetará al régimen aplicable a los mismos y, en consecuencia, no estará sujeta a lo previsto en este parágrafo.
ARTÍCULO 6.11.1.1.2 MENCIONES DEL PROSPECTO DE COLOCACIÓN.
<Fuente original compilada: R. 400/95 Art. 1.2.4.66 modificado por la R. 933/01 Art. 1o. modificado por el D. 1564/06> Además de los requisitos generales previstos para el prospecto en el presente decreto, tratándose de emisiones realizadas por entidades extranjeras, el mismo deberá contener lo siguiente:
1. Una descripción detallada del sistema o procedimiento que se utilizará para la colocación de la emisión, indicando las entidades colocadoras, los sitios en los cuales se puede hacer la suscripción y las bolsas de valores en que estarán inscritos los títulos. Cuando la emisión vaya a ser colocada en diferentes mercados, se especificará dicha información respecto de cada uno de ellos;
2. La definición del régimen jurídico de los valores con indicación de los tribunales competentes para el ejercicio de cualquier acción legal o procedimiento relativo al cumplimiento y ejecución forzosa de las obligaciones que de ellos se originen;
3. Una descripción sucinta del régimen fiscal aplicable a los valores, así como del régimen cambiario y de inversiones internacionales del país en que tenga su domicilio principal el emisor;
4. <Numeral modificado por el artículo 2 del Decreto 4804 de 2010. El nuevo texto es el siguiente:> La designación de los agentes que en Colombia recibirán en nombre del emisor y en el de su patrimonio, notificaciones de actuaciones judiciales, en el caso que la jurisdicción establecida sea la colombiana. Teniendo en cuenta que las entidades extranjeras que acrediten los requisitos señalados en los ordinales i, ii, iii, iv, v y vi del numeral 5 del artículo 6.11.1.1.1. del presente decreto se encuentran sujetas a la jurisdicción colombiana, el referido agente será la matriz, filial o subsidiaria de la entidad extranjera que esté domiciliada en Colombia;
5. La cláusula de salvaguardia por la cual los derechos del tenedor y las obligaciones del emisor se equiparan por lo menos "pari passu" en prioridad de pago y de garantía con toda la demás deuda directa del emisor representada en valores, no garantizada y no subordinada, y
6. <Numeral adicionado por el artículo 2 del Decreto 2826 de 2010. El nuevo texto es el siguiente:> Las implicaciones que para los inversionistas locales conllevaría la cancelación voluntaria de la inscripción en el Registro Nacional de Valores y Emisores - RNVE, cuando esta se realice en los términos dispuestos por el parágrafo 5o del artículo 5.2.6.1.2 del Decreto 2555 de 2010. Tales implicaciones deberán aparecer de manera visible y destacada.
7. <Numeral adicionado por el artículo 2 del Decreto 4804 de 2010. El nuevo texto es el siguiente:> El orden de prelación para el pago que tendrán los tenedores de los valores emitidos por la entidad extranjera, en el evento de cualquier procedimiento concursal universal que se adelante judicial o extrajudicialmente contra la entidad extranjera;
8. <Numeral adicionado por el artículo 3 del Decreto 4804 de 2010. El nuevo texto es el siguiente:> Cuando se vaya a inscribir acciones, deberá incluirse una descripción sobre los derechos societarios que tendrían los inversionistas residentes en Colombia, así como los que tienen los inversionistas del país del emisor, acreditando la forma en que los accionistas residentes en Colombia podrán ejercer sus derechos. Dicha información deberá mantenerse actualizada;
9. <Numeral adicionado por el artículo 3 del Decreto 4804 de 2010. El nuevo texto es el siguiente:> Los mecanismos que establecerá para dar atención e información a los inversionistas residentes en Colombia. La matriz de la entidad extranjera o sus filiales o subsidiarias, de que trata el numeral 5 del artículo 6.11.1.1.1. del presente decreto, podrán servir como canal para efectos de lo dispuesto en este numeral;
10. <Numeral adicionado por el artículo 3 del Decreto 4804 de 2010. El nuevo texto es el siguiente:> Una descripción del procedimiento concursal universal que de acuerdo con la legislación local debería adelantar la entidad extranjera en caso de liquidación;
11. <reenumerado, corresponde al numeral 6 original> La demás información que la Superintendencia Financiera de Colombia estime indispensable para los fines que la ley ha dispuesto.
PARÁGRAFO 1. En caso de que la emisión vaya a ser colocada en diferentes mercados, el prospecto que deba circular en Colombia deberá allegarse en castellano; cuando el idioma original del mismo no sea el español, deberá allegarse su traducción oficial.
PARÁGRAFO 2. Los estados financieros del emisor incluidos en el prospecto deberán ser auditados por una firma de reconocido prestigio, a juicio de la Superintendencia Financiera de Colombia.
OFERTA PÚBLICA DE VALORES EXCLUSIVA EN EL EXTERIOR.
ARTÍCULO 6.12.1.1.1 OFERTA DE VALORES EXCLUSIVA EN EL EXTERIOR.
<Fuente original compilada: R. 400/95 Art. 1.2.4.68 modificado por la R. 489/98 modificado por el D. 2177/07 Art. 1o.> Las entidades constituidas en el país podrán emitir valores para ser ofrecidos en los mercados de valores del exterior o inscribir valores emitidos en Colombia en bolsas internacionales sin que medie una oferta, en cuyo caso sólo estarán sujetas a la normativa externa aplicable, sin perjuicio del cumplimiento de las normas colombianas que resulten aplicables en materia tributaria, cambiaria y de inversiones de capital del exterior.
PARÁGRAFO. Mientras el Gobierno desarrolla la facultad prevista en el parágrafo 2o del literal a) del artículo 7o de la Ley 964 de 2005, los valores distintos de las acciones que se ofrezcan de acuerdo con las disposiciones de este Libro no serán susceptibles de ser negociados en Colombia.
OFERTA PÚBLICA SIMULTÁNEA EN LOS MERCADOS INTERNACIONALES Y EN EL MERCADO LOCAL.
<Fuente original compilada: R. 400/95 Art. 1.2.4.72 modificado por la R. 489/98 Art. 1o. modificado por el D. 2177/07> Las entidades constituidas en Colombia que estén habilitadas para ser emisores de valores, podrán ofrecerlos de forma simultánea en los mercados internacionales y en el mercado local, previa autorización de la Superintendencia Financiera de Colombia en lo que se refiere a la oferta local.
En el caso de oferta simultánea en los mercados internacionales y en el mercado local, de acciones y bonos obligatoriamente convertibles en acciones, se requerirá que la sociedad emisora tenga sus acciones inscritas en una bolsa de valores colombiana.
Para efectos de conceder la autorización, la Superintendencia Financiera de Colombia podrá aceptar las prácticas internacionales que faciliten la colocación de los títulos, incluyendo el proceso de formación de precios y el plazo de la oferta. El proceso de formación de precios se entenderá como un procedimiento reconocido técnicamente para los efectos previstos en el literal d) del artículo 41 de la Ley 964 de 2005 y se podrá adelantar de manera exclusiva en aquella jurisdicción en la cual se vaya a ofrecer la mayor parte de los valores.
ARTÍCULO 6.13.1.1.2 PROSPECTO DE INFORMACIÓN.
<Fuente original compilada: R. 400/95 Art. 1.2.4.73 modificado por el D. 3139/06 Art. 11> Las entidades que deseen adelantar una oferta pública de valores simultánea en los mercados internacionales y en el mercado local, podrán elaborar el prospecto de información en el idioma en el que las prácticas comerciales lo exijan y de conformidad con la legislación de los países en cuyo mercado se vaya a realizar. Sin embargo, los ejemplares del mismo que vayan a circular en Colombia, así como aquellos que deban reposar en el Registro Nacional de Valores y Emisores- RNVE deberán contener en español la información de que trata el artículo 5.2.1.1.4 del presente decreto, las menciones especiales que exigen las disposiciones colombianas en el prospecto según la clase de valor y demás aspectos que sean relevantes para los inversionistas nacionales, sin perjuicio de lo dispuesto en el artículo anterior.
No obstante, en todos los prospectos de información deberá incluirse la advertencia, en caracteres destacados, de que la inscripción en el Registro Nacional de Valores y Emisores- RNVE y la autorización de la oferta pública por parte de la Superintendencia Financiera de Colombia no implican certificación sobre la bondad del valor o la solvencia del emisor.
PARÁGRAFO. En los ejemplares del prospecto de información destinados a circular en los mercados internacionales, la información financiera del emisor no requerirá ser ajustada a la proforma elaborada para el efecto por la Superintendencia Financiera de Colombia.
OFERTA PÚBLICA DE VALORES EMITIDOS POR ORGANISMOS MULTILATERALES DE CRÉDITO.
ARTÍCULO 6.14.1.1.1 AUTORIZACIÓN DE LA OFERTA PÚBLICA.
<Fuente original compilada: R. 400/95 Art. 1.2.4.75 adicionado por la R. 933/01 Art. 4o. Modificado por la R. 511/03 Inc.1o. Modificado por el D. 3140/06 Art. 2o.> Podrá autorizarse la oferta pública de los valores emitidos por organismos multilaterales de crédito, siempre y cuando se cumplan los siguientes requisitos:
1. Que se trate de un organismo creado en virtud de un tratado o acuerdo internacional del cual sea parte la República de Colombia.
2. Los valores deberán ser a la orden o nominativos y designarse en Colombia una institución con domicilio en el país que actúe como administrador de la emisión.
3. Que haya obtenido en el curso de los doce (12) meses inmediatamente anteriores a la fecha de realización de la oferta una calificación que corresponda por lo menos a grado de inversión, de parte de una o más agencias calificadoras de riesgo o valores internacionalmente reconocidas a juicio de la Superintendencia Financiera de Colombia. La calificación deberá mantenerse actualizada hasta que se redima la emisión. La emisión a ser ofrecida en Colombia no requerirá de ninguna calificación.
4. Los valores deberán inscribirse en una bolsa de valores colombiana.
PARÁGRAFO 1. La emisión de valores de contenido crediticio por los organismos multilaterales de crédito a que se refiere este artículo también podrá realizarse bajo el esquema de programa de emisión y colocación, caso en el cual no les será aplicable el requisito de haber tenido cuando menos tres (3) emisiones de valores inscritas en el Registro Nacional de Valores y Emisores - RNVE durante los dos (2) años inmediatamente anteriores a la fecha de la solicitud.
PARÁGRAFO 2. En la emisión de títulos realizada por los organismos multilaterales a que se refiere este artículo no será necesario que el emisor cuente con un representante legal de tenedores de los mismos.
ARTÍCULO 6.14.1.1.2 NO PAGO DE CONTRIBUCIONES.
<Fuente original compilada: R. 400/95 Art. 1.2.4.76 adicionado por la R. 933/01 Art. 4o. Modificado por el D. 3140/06 Art. 2o.> La inscripción del emisor y la emisión de valores emitidos por los organismos multilaterales de crédito a que se refiere el artículo anterior en el Registro Nacional de Valores y Emisores- RNVE conllevan la autorización para realizar su oferta pública, sin que haya lugar al pago de contribuciones por derechos de inscripción, oferta pública ni cuotas de sostenimiento.
ARTÍCULO 6.14.1.1.3 MENCIONES DEL PROSPECTO.
<Fuente original compilada: R. 400/95 Art. 1.2.4.77 adicionado por la R. 933/01 Art. 4o. Modificado por el D. 3140/06 Art. 2o.> En adición a los requisitos generales del prospecto, tratándose de emisiones realizadas por los organismos multilaterales de crédito a que se refiere el artículo anterior, el mismo deberá contener lo siguiente:
1. Identificación del emisor, señalando su sede y dirección principal, conformación del organismo, así como una descripción sucinta del régimen legal que le sea aplicable.
2. Copia de los estatutos del emisor o del tratado que haga sus veces.
3. Una descripción detallada del sistema o procedimiento de colocación de la emisión, indicando los mercados en que vaya a negociarse, las entidades colocadoras, los sitios en los cuales se puede hacer la suscripción y las bolsas de valores en que estarán inscritos los títulos. Cuando la emisión vaya a ser colocada en diferentes mercados, se especificará dicha información respecto de cada uno de ellos.
4. La definición del régimen jurídico de los valores con indicación de los tribunales competentes para el ejercicio de cualquier acción legal o procedimiento relativo al cumplimiento y ejecución forzosa de las obligaciones que de ellos se originen.
5. Una descripción sucinta del régimen fiscal aplicable a los valores.
8. La designación de los agentes que en Colombia recibirán en nombre del emisor notificaciones de actuaciones judiciales, en el caso que la jurisdicción establecida sea la colombiana.
9. La cláusula de salvaguarda por la cual los derechos del tenedor y las obligaciones del emisor se equiparan por lo menos “pari passu” en prioridad de pago con toda la demás deuda directa del emisor representada en valores, no garantizada y no subordinada.
10. La demás información que la Superintendencia Financiera de Colombia estime indispensable para los fines que la ley haya dispuesto.
PARÁGRAFO. En caso de que la emisión vaya a ser colocada en diferentes mercados, el prospecto que deba circular en Colombia deberá allegarse en español; cuando el idioma original del mismo no sea el español, deberá allegarse su traducción oficial.
PARÁGRAFO 2o. <Parágrafo adicionado por el artículo 4 del Decreto 767 de 2016. El nuevo texto es el siguiente:> En caso de que la emisión vaya a ser colocada en el mercado colombiano y sea dirigida únicamente a inversionistas profesionales de los que trata el artículo 7.2.1.1.2 del presente decreto, el prospecto podrá allegarse en un idioma diferente al español.
ARTÍCULO 6.14.1.1.4 ACTUALIZACIÓN DEL REGISTRO NACIONAL DE VALORES Y EMISORES.
<Fuente original compilada: R. 400/95 Art. 1.2.4.78 Modificado por el D. 3140/06 Art. 2o. adicionado por la R. 933/01 Art. 4o.> Los organismos multilaterales de crédito deberán remitir a la Superintendencia Financiera de Colombia, con destino al Registro Nacional de Valores y Emisores - RNVE la información de fin de ejercicio y de períodos intermedios que se establezca de conformidad con lo previsto en las normas respectivas del presente Decreto.
Los organismos multilaterales de crédito no estarán sometidos al régimen general de información relevante previsto en este Decreto. No obstante, deberán reportar en forma veraz y clara, de manera inmediata, la información relacionada con aquellos cambios en la situación financiera o en las operaciones del correspondiente organismo emisor que sea susceptible de afectar de manera significativa su capacidad para pagar el capital y los intereses de los valores que haya colocado en Colombia
ARTÍCULO 6.14.1.1.5 REPRESENTANTE LEGAL DE TENEDORES DE TÍTULOS.
<Fuente original compilada: R. 400/95 Art. 1.2.4.79 adicionado por la R. 933/01 Art. 4o.> La emisión debe contar con una persona jurídica que vele por los intereses de los tenedores de títulos, quien será la única facultada para ejercer los derechos consagrados en favor de los tenedores y para tomar las acciones judiciales y extrajudiciales en contra del emisor derivadas de tales derechos. Para el efecto dicha persona deberá suscribir con el organismo emisor un acuerdo que contendrá como mínimo las siguientes estipulaciones:
a) Las reglas y procedimientos que permitan una adecuada comunicación entre los tenedores y el emisor.
b) Las reglas y mecanismos para la celebración de las asambleas de los tenedores de bonos en los casos en que sea necesario.
c) Régimen de quórum y mayorías en las asambleas de tenedores y obligación del representante legal de los tenedores de bonos de certificar al emisor que las decisiones de las asambleas fueron tomadas con sujeción al mismo.
d) Procedimiento para la remoción y reemplazo del representante legal, para lo cual deberá contar con la aprobación del emisor.
ARTÍCULO 6.14.1.1.6 INFORMACIÓN PARA EL REGISTRO NACIONAL DE VALORES Y EMISORES-- RNVE.
<Fuente original compilada: R. 400/95 Art. 1.2.4.80 adicionado por la R. 933/01 Art. 4o.> El emisor o el agente colocador de la emisión deberá enviar con destino al Registro Nacional de Valores y Emisores- RNVE a efecto de mantenerlo actualizado, las informaciones periódicas y relevantes que se señalan a continuación, las cuales deberán igualmente ser enviadas a las bolsas de valores en que se encuentren inscritos sus valores, así:
1. Dentro de los quince (15) primeros días de cada mes, y con referencia a lo colocado en el mes anterior, la sociedad emisora deberá enviar la siguiente información a la Superintendencia Financiera de Colombia:
a) Cuantía colocada y condiciones de plazo y rendimiento de los valores emitidos en el mes;
b) Valor total de los documentos en circulación al corte del mes;
c) Información consolidada sobre los compradores de los documentos, clasificados por grupos, con indicación del monto adquirido por cada grupo, así:
i. Personas naturales;
ii. Establecimientos de crédito;
iii. Sociedades de servicios financieros;
iv. Sociedades de capitalización;
v. Entidades aseguradoras e intermediarios de seguros y reaseguradoras;
vi. Fondos de pensiones y cesantía;
vii. <Ordinal modificado el artículo 119 del Decreto 1745 de 2020. El nuevo texto es el siguiente:> Fondos de inversión colectiva;
viii. Carteras colectivas<1>
ix. Demás personas jurídicas;
d) Información sobre mecanismos y agentes de colocación, discriminando en forma consolidada los montos colocados por el organismo emisor directamente y por cada una de las clases de intermediarios utilizados, y
e) La información a que hace alusión este numeral se reducirá a lo dispuesto en el literal b) a partir del segundo mes en que finalice el plazo para la suscripción de los valores objeto de la oferta.
2. El emisor deberá enviar con destino al Registro Nacional de Valores y Emisores - RNVE a efecto de mantenerlo actualizado, las informaciones periódicas y relevantes que se señalan a continuación, las cuales deberán igualmente ser enviadas a las bolsas de valores en que se encuentren inscritos sus valores, así:
a) Informe anual y estados financieros anuales auditados, dentro de los treinta (30) días siguientes a la fecha en que ellos sean aprobados por el directorio u otro órgano competente para tal efecto, de acuerdo con sus reglamentos internos.
b) Estados financieros trimestrales no auditados, dentro de los cuarenta y cinco (45) días siguientes a la finalización del correspondiente trimestre.
c) Información relevante: Información relacionada con aquellos cambios en la situación financiera o en las operaciones del correspondiente organismo emisor que sea susceptible de afectar de manera significativa su capacidad para pagar el capital y los intereses de los valores que haya colocado en Colombia, información que deberá presentarse con razonable prontitud y en cualquier caso dentro de los quince (15) días siguientes a aquél en que el organismo emisor tenga conocimiento de la ocurrencia del respectivo evento.
OFERTA PÚBLICA DE VALORES EN EL MERCADO SECUNDARIO.
DISPOSICIONES GENERALES.
ARTÍCULO 6.15.1.1.1 REGLA GENERAL.
<Fuente original compilada: R. 400/95 Art. 1.2.5.1> Se entiende autorizada la oferta pública de valores en el mercado secundario que se realice con sujeción a lo dispuesto en el presente Libro.
Las ofertas públicas en el mercado secundario deberán dirigirse a personas no determinadas y no podrán formularse estableciendo condiciones adicionales para su aceptación diferentes de las usuales del negocio jurídico que se pretende celebrar. En tal sentido no se podrá establecer la exigencia para quien acepte la oferta de que lo haga por una cantidad mínima o máxima de valores.
ARTÍCULO 6.15.1.1.2 COMPRAVENTA DE ACCIONES DE UNA SOCIEDAD INSCRITA EN BOLSA.
<Fuente original compilada: R. 400/95 Art. 1.2.5.3 Inc. 1o. R. 207-1/00 Art. 1o. Modificado por la R. 134/02 Art. 1o.> Toda compraventa de acciones inscritas en una bolsa de valores, que represente un valor igual o superior al equivalente en pesos de sesenta y seis mil (66.000) unidades de valor real UVR, se deberá realizar obligatoriamente a través de los módulos o sistemas transaccionales de ésta.
Las siguientes compraventas quedan exceptuadas de la obligación establecida en el inciso anterior:
1. Las compraventas de acciones entre un mismo beneficiario real;
2. Las compraventas de acciones de propiedad de las instituciones financieras sometidas al control y vigilancia de la Superintendencia Financiera de Colombia, que se encuentren en proceso de liquidación;
3. La readquisición de acciones que se realice de conformidad con las disposiciones legales establecidas para el efecto;
4. Las enajenaciones de acciones que realicen la Nación o el Fondo de Garantías de Instituciones Financieras- FOGAFIN;
5. Las compraventas de acciones emitidas por empresas colombianas que hayan sido ofrecidas públicamente en el exterior y que se realicen en el extranjero;
6. Las compraventas de acciones emitidas por empresas extranjeras que hayan sido ofrecidas públicamente en Colombia y que se realicen en el extranjero, y
7. <Literal adicionado por el artículo 11 del Decreto 2219 de 2017. El nuevo texto es el siguiente:> Las realizadas por una cámara de riesgo central de contraparte, conforme a lo previsto en el parágrafo 2o del artículo 2.13.1.1.1. del presente decreto.
8. Las demás que autorice la Superintendencia Financiera de Colombia mediante acto administrativo de carácter particular o general.
PARÁGRAFO 1. Para los efectos de lo dispuesto en el presente artículo, se considerarán como una sola operación de compraventa, aquellas que por debajo del valor establecido en este artículo, se realicen dentro de un plazo de ciento veinte (120) días comunes, entre las mismas partes, sobre acciones del mismo emisor y en condiciones similares.
PARÁGRAFO 2. No obstante que se consideran exceptuadas de lo dispuesto en el presente artículo las transacciones de acciones inscritas en bolsa originadas en daciones en pago, se deberá acreditar plenamente ante la Superintendencia Financiera de Colombia la preexistencia de la respectiva obligación, de manera previa a la realización de la transacción.
ARTÍCULO 6.15.1.1.3 TRASPASO DE CAPITAL CON DERECHO A VOTO ENTRE UN MISMO BENEFICIARIO REAL.
<Fuente original compilada: R. 400/95 Art. 1.2.5.4 Modificado por el D. 1941/06 Art. 2o.> Cuando se vayan a traspasar acciones u otra modalidad de capital con derecho a voto entre personas que constituyen un mismo beneficiario real no será necesario observar lo dispuesto en el Título 2 del presente Libro. No obstante deberá informarse a la Superintendencia Financiera de Colombia sobre la transacción que se proyecta efectuar y acreditar ante dicha entidad que las personas entre quienes se va a realizar el traspaso constituyen un mismo beneficiario real.
PARÁGRAFO 1. Para efectos de este artículo se entenderá por capital con derecho a voto lo dispuesto en el parágrafo segundo del artículo 6.15.2.1.1 del presente decreto.
PARÁGRAFO 2. La operación podrá realizarse después del 5o día siguiente a aquél en que se de cumplimiento a los deberes de informar y acreditar a que se refiere el presente artículo, siempre y cuando la Superintendencia no hubiere formulado observaciones. En el caso que esta última hubiere formulado observaciones, el término para realizar la operación deberá contarse a partir de la fecha en que se haya suministrado a la Superintendencia Financiera de Colombia todos los informes, datos y aclaraciones que al respecto solicite.
ARTÍCULO 6.15.1.1.4 INSCRIPCIONES EN EL LIBRO DE REGISTRO DE ACCIONISTAS.
<Fuente original compilada: R. 400/95 Art. 1.2.5.5> Los administradores de las sociedades emisoras se abstendrán de inscribir en el libro de registro de accionistas los traspasos originados en operaciones celebradas sin la observancia de los requisitos señalados en este título.
OFERTA PÚBLICA DE ADQUISICIÓN.
ARTÍCULO 6.15.2.1.1 OBLIGATORIEDAD DE ADQUIRIR A TRAVÉS DE UNA OFERTA PÚBLICA DE ADQUISICIÓN.
<Fuente original compilada: R. 400/95 Art. 1.2.5.6 Subrogado por el D. 1941/06 Art. 1o.> Toda persona o grupo de personas que conformen un mismo beneficiario real, directamente o por interpuesta persona, sólo podrá convertirse en beneficiario real de una participación igual o superior al veinticinco por ciento (25%) del capital con derecho a voto de una sociedad cuyas acciones se encuentren inscritas en bolsa de valores, adquiriendo los valores con las cuales se llegue a dicho porcentaje a través de una oferta pública de adquisición conforme a lo establecido en el presente decreto.
De igual forma, toda persona o grupo de personas que sea beneficiario real de una participación igual o superior al veinticinco por ciento (25%) del capital con derecho a voto de la sociedad, sólo podrá incrementar dicha participación en un porcentaje superior al cinco por ciento (5%), a través de una oferta pública de adquisición conforme a lo establecido en el presente decreto.
PARÁGRAFO 1. Cuando se adelante una oferta pública de adquisición, la misma deberá realizarse sobre un número de valores que represente como mínimo el cinco por ciento (5%) del capital con derecho a voto de la sociedad.
PARÁGRAFO 2. Para efectos de el presente decreto se entiende por capital con derecho a voto el conformado por acciones en circulación con derecho a voto, valores convertibles en acciones con derecho a voto o que den derecho a su suscripción, valores o derechos cuyo subyacente sean acciones con derecho a voto y títulos representativos de acciones con derecho a voto.
Para la determinación de los porcentajes señalados en este artículo, se tendrá en cuenta el número de acciones con derecho a voto a que tendría derecho el titular de los valores, si se convirtieran en ese momento en acciones con derecho a voto.
PARÁGRAFO 3. <Parágrafo adicionado por el artículo 3 del Decreto 4805 de 2010. El nuevo texto es el siguiente:> La obligación de adquirir a través de oferta pública de adquisición, en los términos previstos en el presente artículo, no es aplicable a los fondos bursátiles. No obstante, en el evento que sus inversionistas puedan ejercer los derechos políticos que derivan de los valores que hacen parte de la unidad de creación, de acuerdo con lo previsto en el reglamento o en cualquier otro convenio entre la sociedad administradora y los inversionistas, dichas participaciones computarán para efectos del límite señalado en el presente artículo.
ARTÍCULO 6.15.2.1.2 EVENTOS EN QUE NO SE DEBE REALIZAR LA OFERTA PÚBLICA DE ADQUISICIÓN.
<Fuente original compilada: R. 400/95 Art. 1.2.5.7 Subrogado por el D. 1941/06 Art. 1o. Modificado por el D. 2938/07> No se efectuará una oferta pública de adquisición en los siguientes eventos:
1. Cuando medie aceptación expresa y por escrito del cien por ciento (100%) de los tenedores del capital con derecho a voto de la sociedad cuyas acciones se van a adquirir, en el sentido de que la operación de venta o intercambio de los valores se realice directamente entre el adquirente o adquirentes y enajenante o enajenantes interesados.
2. (Modificado por el D. 2938/07) Cuando la calidad de beneficiario real se obtenga mediante la participación en una oferta que se haga a raíz de un proceso de privatización.
3. Cuando la sociedad readquiera sus propias acciones.
4. Cuando la sociedad emita capital con derecho a voto
5. Cuando se capitalicen acreencias.
6. Cuando la persona se convierta en beneficiario real del capital con derecho a voto de la sociedad, en virtud de cualquiera de los siguientes actos:
a. Donación
b. Adjudicación por sucesión
c. Adjudicación por orden judicial
d. Adjudicación por liquidación de persona jurídica
e. Adjudicación por liquidación de sociedad conyugal
f. Dación en pago, siempre y cuando verse sobre obligaciones que hayan nacido con por lo menos un año de anticipación, las mismas se encuentren vencidas y se acredite ante la Superintendencia Financiera de Colombia la incapacidad del deudor para cumplir con tales obligaciones en los términos inicialmente convenidos.
PARÁGRAFO. Para los eventos descritos en el presente artículo, se deberá informar a la Superintendencia Financiera de Colombia, de conformidad con las disposiciones sobre información relevante, la afectación de la posición de beneficiario real como resultado de los actos o hechos mencionados en el presente artículo, sin perjuicio de la información que se deba reportar a la Superintendencia Financiera de Colombia para la realización de los mismos.
<Fuente original compilada: R. 400/95 Art. 1.2.5.7.1 Adicionado por el D. 1796/08 Art. 1o.> El régimen de ofertas públicas de adquisición no será aplicable a las cámaras de riesgo central de contraparte cuando estas, en desarrollo de su objeto social, acepten interponerse como contraparte de las operaciones.
ARTÍCULO 6.15.2.1.4 DESTINATARIOS DE LA OFERTA PÚBLICA DE ADQUISICIÓN.
<Fuente original compilada: R. 400/95 Art. 1.2.5.8 Subrogado por el D. 1941/06 Art. 1o.> La oferta pública de adquisición debe dirigirse a todos los titulares de los valores señalados en el parágrafo segundo del artículo 6.15.2.1.1 del presente decreto.
ARTÍCULO 6.15.2.1.5 CARÁCTER IRREVOCABLE DE LA OFERTA PÚBLICA DE ADQUISICIÓN.
<Fuente original compilada: R. 400/95 Art. 1.2.5.9 Subrogado por el D. 1941/06 Art. 1o.> Las ofertas públicas de adquisición son irrevocables, sin que haya lugar a su modificación, desistimiento o cesación de efectos, salvo lo previsto en el presente decreto.
ARTÍCULO 6.15.2.1.6 AUTORIZACIÓN.
<Fuente original compilada: R. 400/95 Art. 1.2.5.10 Subrogado por el D. 1941/06 Art. 1o.> De forma previa a la realización de la oferta pública de adquisición, el oferente deberá solicitar la autorización de la operación a la Superintendencia Financiera de Colombia, anexando los siguientes documentos:
1. Cuadernillo de oferta, en los términos establecidos en el presente decreto.
2. Proyecto de aviso de oferta, con el cumplimiento de los requisitos establecidos para el mismo en la presente resolución.
3. Autorizaciones de los órganos competentes del oferente, requeridas para realizar la operación, si es del caso.
4. Cuando se trate de una persona jurídica, certificado de existencia y representación legal del oferente, con una antigüedad no superior a tres (3) meses o, en el caso de personas jurídicas extranjeras, el documento equivalente.
5. En el evento que se trate de negociaciones sometidas a alguna autorización o concepto de una autoridad administrativa, incluyendo el pronunciamiento de la Superintendencia de Industria y Comercio sobre el proyecto de adquisición, de acuerdo con la normativa sobre prácticas comerciales restrictivas, copia del documento mediante el cual se solicitó dicha autorización o concepto y, cuando sea el caso, copia de la escritura pública mediante la cual se formalizó el acaecimiento del silencio administrativo positivo, conforme a los artículos 41 y 42 del Código Contencioso Administrativo.
6. Manifestación del oferente sobre la inexistencia de acuerdos relacionados con la operación, diferentes a los contenidos en el cuadernillo de oferta, bajo la gravedad del juramento, el cual se considerará prestado por la presentación de la solicitud de autorización.
7. Los demás que la Superintendencia Financiera de Colombia considere pertinente solicitar para verificar el cumplimiento de los cometidos establecidos en la ley.
La Superintendencia Financiera de Colombia tendrá un plazo de cinco (5) días hábiles, contados a partir de la fecha de radicación de los documentos de que trata el presente artículo, para efectuar las observaciones que considere pertinentes. La publicación del aviso de oferta deberá realizarse dentro de los cinco (5) días siguientes a aquél en que venza el plazo referido, siempre y cuando la Superintendencia no hubiere formulado objeciones. En el evento en que se formulen objeciones el término para la publicación del aviso deberá contarse a partir de la fecha en que la Superintendencia manifieste su conformidad con la información, datos y aclaraciones que al respecto haya solicitado.
PARÁGRAFO 1. Cuando para la realización de la oferta pública de adquisición exista un preacuerdo, se deberá cumplir con las normas sobre sanos usos y prácticas y se deberá enviar copia del contrato celebrado o, si éste no consta por escrito, un documento que describa con precisión todo lo acordado.
El preacuerdo no podrá contener cláusulas que contraríen las disposiciones de el presente decreto, incluyendo aquellas que impidan, obstaculicen o hagan más gravosa la participación de los accionistas de la sociedad afectada en ofertas competidoras.
PARÁGRAFO 2. Una vez el oferente radique en la Superintendencia Financiera de Colombia la información sobre la oferta pública de adquisición, esta entidad comunicará tal hecho a la bolsa de valores para que suspenda la cotización bursátil de los títulos objeto de la oferta. Dicha suspensión quedará sin efecto el día hábil siguiente a la fecha de publicación del aviso de oferta.
ARTÍCULO 6.15.2.1.7 COMUNICACIÓN DE LA OFERTA PÚBLICA DE ADQUISICIÓN Y PLAZO PARA LA ACEPTACIÓN. <Fuente original compilada: R. 400/95 Art. 1.2.5.11 Subrogado por el D. 1941/06 Art. 1o.>
<Inciso modificado por el artículo 18 del Decreto 1351 de 2019. El nuevo texto es el siguiente:> El oferente deberá publicar el aviso de oferta pública de adquisición por lo menos tres (3) veces, con intervalos no mayores de cinco (5) días comunes, en forma destacada en las páginas económicas de un diario impreso o electrónico de amplia circulación nacional. La publicación del aviso de oferta deberá realizarse dentro de los cinco (5) días comunes contados a partir de la fecha en que la Superintendencia Financiera de Colombia haya autorizado la oferta o de la fecha en que venza el plazo para la formulación de las observaciones, sin que las mismas hayan sido formuladas. Así mismo, el aviso deberá publicarse diariamente en el boletín oficial de la bolsa de valores hasta el día en que finalice la etapa de recepción de aceptaciones. Dicha información también deberá ser publicada como información relevante del emisor de las acciones objeto de oferta.
La fecha en la cual se inicie el plazo para la recepción de las aceptaciones no deberá ser inferior a cinco (5) días hábiles, contados a partir de la fecha en que se publique el primer aviso de oferta.
El plazo para la aceptación de la oferta pública de adquisición será determinado por el oferente.
Este plazo no podrá ser inferior a diez (10) días hábiles, ni superior a treinta (30) días hábiles, contados a partir de la fecha en la cual se inicie el plazo para la recepción de las aceptaciones.
El oferente podrá prorrogar el plazo inicialmente establecido para la aceptación de la oferta, por una sola vez, y con antelación de al menos tres (3) días hábiles al vencimiento del plazo inicial, previa información a la Superintendencia Financiera de Colombia, siempre que el plazo inicial y su prórroga no superen el plazo máximo señalado en este artículo y las garantías otorgadas amparen el cumplimiento de la obligación del oferente por el plazo adicional. La prórroga se deberá comunicar a los interesados mediante aviso publicado en el mismo medio en el que se publicó el aviso de oferta inicial.
ARTÍCULO 6.15.2.1.8 CONTRAPRESTACIÓN DE LOS VALORES OBJETO DE OFERTA PÚBLICA DE ADQUISICIÓN.
<Fuente original compilada: R. 400/95 Art. 1.2.5.12 Subrogado por el D. 1941/06 Art. 1o.> El pago de los valores que se ofrece comprar podrá ser realizado en moneda legal colombiana, en divisas, de conformidad con lo previsto en el régimen cambiario, o en valores.
Cuando la realización de la oferta pública de adquisición obedezca a lo establecido en los artículos 6.15.2.1.22 y 6.15.2.1.23 del presente decreto, la contraprestación sólo podrá ser en dinero.
ARTÍCULO 6.15.2.1.9 VALORES ADMITIDOS COMO CONTRAPRESTACIÓN.
<Fuente original compilada: R. 400/95 Art. 1.2.5.13 Subrogado por el D. 1941/06 Art. 1o.> Cuando la contraprestación consista en valores, éstos deberán estar inscritos en una bolsa de valores de Colombia o cotizar en una bolsa de valores internacionalmente reconocida, a juicio de la Superintendencia Financiera de Colombia.
En el evento en que los valores ofrecidos como contraprestación coticen en varias bolsas internacionales, el oferente deberá determinar una bolsa de referencia.
Los valores que pueden servir de contraprestación son:
1. Acciones, valores convertibles en acciones o que den derecho a su suscripción, valores cuyo subyacente sean acciones o títulos representativos de acciones.
2. Títulos de deuda emitidos o garantizados por la Nación.
3. Títulos de deuda emitidos o garantizados por gobierno extranjero.
4. Títulos de deuda emitidos por organismo multilateral.
Cuando los valores ofrecidos como contraprestación hayan sido emitidos en el extranjero deberán estar inscritos en una bolsa de valores internacionalmente reconocida, a juicio de la Superintendencia Financiera de Colombia. Tratándose de títulos de deuda diferentes de los emitidos o garantizados por la Nación deberá, además, acreditarse que el emisor o la emisión han obtenido calificación de una sociedad calificadora de riesgo, reconocida internacionalmente a juicio de la Superintendencia Financiera de Colombia.
PARÁGRAFO 1. Quien formule una oferta pública de adquisición en la que la contraprestación sean valores, deberá ofrecer pagar en dinero mínimo el treinta por ciento (30%) de las acciones que pretende comprar. Dicho treinta por ciento (30%) se destinará para el pago de las adjudicaciones de menor monto hasta agotarlo.
PARÁGRAFO 2. Cuando la contraprestación consista en capital con derecho a voto de una sociedad cuyas acciones se encuentren inscritas en una bolsa de valores colombiana, los destinatarios de la oferta sólo podrán aceptarla respecto de un número de valores que implique que su posición de beneficiario real frente a dicha sociedad equivaldría a menos del veinticinco por ciento (25%) del capital con derecho a voto de dicha sociedad, o, de poseer una participación igual o superior al veinticinco por ciento (25%), hasta por un porcentaje menor al cinco por ciento (5%).
PARÁGRAFO 3. El oferente deberá informar a la Superintendencia Financiera de Colombia y a la bolsa de valores en que se encuentren inscritos los valores objeto de oferta pública, para su divulgación, a partir del momento en que se publique el aviso de oferta, la cotización diaria que registren los valores que servirán como fuente de pago en las bolsas internacionales respectivas.
Así mismo deberá comunicar, respecto del emisor de dichos valores, cualquier hecho relevante que sea de su conocimiento, de conformidad con las disposiciones vigentes sobre información relevante.
ARTÍCULO 6.15.2.1.10 PRECIO DE LOS VALORES OBJETO DE OFERTA PÚBLICA DE ADQUISICIÓN.
<Fuente original compilada: R. 400/95 Art. 1.2.5.14 Subrogado por el D. 1941/06 Art. 1o.> Salvo lo previsto en el parágrafo 1o del presente artículo, el precio de los valores objeto de oferta pública de adquisición será determinado por el oferente, para lo cual deberá observar lo siguiente:
1. Si el oferente ha realizado adquisiciones del valor en los tres (3) últimos meses, contados a partir de la presentación de la solicitud en la Superintendencia Financiera de Colombia, el precio no podrá ser inferior al más alto que hubiere pagado.
2. En el evento en que exista preacuerdo para la oferta, el precio no podrá ser inferior al mayor fijado en dicho preacuerdo.
PARÁGRAFO 1. En los supuestos previstos en los artículos 6.15.2.1.22 y 6.15.2.1.23 del presente decreto, el precio deberá ser determinado por una entidad avaluadora independiente cuya idoneidad e independencia serán calificadas previamente y en cada oportunidad por la Superintendencia Financiera de Colombia.
En todo caso, en el supuesto del artículo 6.15.2.1.22 del presente decreto, el precio no podrá ser inferior al monto establecido para los valores en la respectiva operación de fusión.
El costo del avalúo estará a cargo del oferente, en el caso del artículo 6.15.2.1.22 del presente decreto, y a cargo de la sociedad emisora, en el caso del artículo 6.15.2.1.23 del presente decreto
PARÁGRAFO 2. Cuando el capital con derecho a voto esté conformado por distintos tipos de valores, el oferente podrá determinar precios diferentes para cada instrumento y realizar ofertas separadas, sin perjuicio de lo establecido en el artículo 6.15.2.1.4 del presente decreto. En todo caso, la determinación del precio deberá guardar relación de equivalencia y respetar lo establecido en la presente resolución.
PARÁGRAFO 3. Cuando la contraprestación sea en valores, la determinación de su importe deberá realizarse de conformidad con procedimientos reconocidos técnicamente.
ARTÍCULO 6.15.2.1.11 GARANTÍAS DE LA OFERTA PÚBLICA DE ADQUISICIÓN.
<Fuente original compilada: R. 400/95 Art. 1.2.5.15 Subrogado por el D. 1941/06 Art. 1o. modificado y Adicionado por el D. 2938/07 Num. 6o.> De forma previa a la formulación de la oferta, el oferente deberá acreditar ante la bolsa de valores la constitución de la garantía que respalde el cumplimiento de las obligaciones resultantes de la misma, de conformidad con la reglamentación que para el efecto ésta establezca.
La bolsa de valores deberá hacer pública la acreditación de las garantías e informar a la Superintendencia Financiera de Colombia en el momento de su constitución.
Cuando la contraprestación sea en dinero, la garantía podrá ser:
1. Depósito en moneda legal colombiana en un establecimiento bancario legalmente autorizado para funcionar en Colombia, cuyo titular sea la bolsa de valores por cuyo conducto se realiza la oferta pública de adquisición.
2. Garantía bancaria o carta de crédito stand-by, cuyo beneficiario sea la bolsa de valores por cuyo conducto se realiza la oferta pública de adquisición, expedida por un banco local o extranjero, con una calificación no inferior a la de la deuda soberana externa de Colombia y pagaderas a su primer requerimiento.
3. Póliza de seguro emitida por compañía de seguros legalmente autorizada para funcionar en Colombia, en la cual sea designado como beneficiario la bolsa de valores por cuyo conducto se realiza la oferta pública de adquisición.
4. Títulos de deuda emitidos o garantizados por la Nación, los cuales deberán ser entregados en garantía a la bolsa de valores por cuyo conducto se realiza la oferta pública de adquisición.
5. <Numeral modificado el artículo 120 del Decreto 1745 de 2020. El nuevo texto es el siguiente:> Cesión a la bolsa de valores de derechos en fondos.
6. (Adicionado por el D. 2938/07) Depósito en garantía en moneda extranjera, por virtud del cual el control de los fondos esté a cargo de un establecimiento bancario legalmente autorizado para funcionar en el extranjero, con una calificación no inferior a la de la deuda soberana externa de Colombia, cuyo único beneficiario sea la respectiva bolsa, siendo transferible inmediatamente al primer requerimiento de la misma bolsa en la cuantía pertinente.
Cuando la contraprestación consista en valores, deberá acreditarse que los mismos se encuentran libres de gravámenes, su disponibilidad y su afectación al resultado de la oferta, mediante su entrega en custodia u otro medio que garantice tal disponibilidad.
ARTÍCULO 6.15.2.1.12 CONTENIDO DEL AVISO DE OFERTA PÚBLICA DE ADQUISICIÓN.
<Fuente original compilada: R. 400/95 Art. 1.2.5.16 Subrogado por el D. 1941/06 Art. 1o.> El aviso de oferta deberá contener como mínimo:
1. Identificación del oferente.
2. Número mínimo y máximo de valores que se propone adquirir.
La diferencia entre el número máximo y mínimo debe ser igual o superior al veinte por ciento (20%) del referido número máximo.
Lo anterior no obsta para que el oferente pueda establecer un número mínimo de valores superior al ochenta por ciento (80%) del capital con derecho a voto de la sociedad afectada, pudiendo alcanzar tal mínimo inclusive el cien por ciento (100%) de dicho capital. Cuando el número mínimo sea superior al ochenta por ciento (80%) pero inferior al cien por ciento (100%) del capital con derecho a voto, el número máximo será de cien por ciento (100%).
3. Porcentaje del capital con derecho a voto del cual es beneficiario real el oferente.
4. Contraprestación ofrecida por los valores.
Cuando la contraprestación consista en valores, se deberá especificar:
a. Emisor
b. Clase de valor
c. Bolsas de valores en que se encuentra inscrito y de ser del caso, bolsa de referencia.
5. Precio al cual se ofrece comprar. Cuando la contraprestación consista en valores, el importe y proporción en que se entregarán los valores.
6. Plazo de liquidación, modalidad de pago y garantías. La modalidad de pago podrá ser de contado o a plazo, siguiendo los lineamientos bursátiles.
7. Nombre de la sociedad o sociedades comisionistas por cuyo conducto se realizará la oferta.
8. Fecha y hora de inicio y de finalización para la presentación de las aceptaciones a la oferta.
9. Bolsa de valores en la cual se realizará la operación.
10. Indicación de la existencia o no de preacuerdos para la realización de la operación, con indicación de la parte del cuadernillo en la cual se da información sobre los mismos.
11. La mención a que el cuadernillo de oferta se encuentra disponible en la Superintendencia Financiera de Colombia, en las oficinas del oferente, en las oficinas de las sociedades comisionistas por cuyo conducto se realiza la oferta, y en las bolsas de valores donde están inscritos los valores.
12. Información sobre las autorizaciones de que fue objeto la oferta.
ARTÍCULO 6.15.2.1.13 CUADERNILLO DE OFERTA.
<Fuente original compilada: R. 400/95 Art. 1.2.5.17 Subrogado por el D. 1941/06 Art. 1o.> El oferente deberá elaborar un cuadernillo de oferta, cuyo contenido será como mínimo el siguiente:
1. Identificación de la sociedad afectada y datos del oferente:
a. Denominación y domicilio de la sociedad afectada.
b. Nombre y domicilio del oferente o, cuando sea una persona jurídica, razón social, domicilio y objeto social.
c. Personas que hagan parte de una situación de subordinación o formen un grupo empresarial con el oferente, indicando la estructura correspondiente.
d. Personas responsables de la información del cuadernillo.
e. Relación de los valores de la sociedad afectada de que son titulares directa o indirectamente el oferente, las personas que hagan parte de una situación de subordinación o de grupo empresarial con el oferente, otras personas que actúen por cuenta del oferente o concertadamente con él y miembros de los órganos de administración; derechos de voto correspondientes a los valores; y fecha y precio de los valores de la sociedad afectada adquiridos en los últimos doce (12) meses.
f. Eventuales acuerdos, expresos o no, entre el oferente y los miembros del órgano de administración de la sociedad afectada, ventajas específicas que el oferente haya reservado a dichos miembros y, de darse cualquiera de las anteriores circunstancias, referencia a los valores de la sociedad oferente poseídos por dichos miembros.
g. Información sobre los preacuerdos celebrados para la realización de la operación. Se debe incluir copia de los preacuerdos suscritos o, si éstos no constan por escrito, una descripción precisa de todo lo acordado.
h. Manifestación del oferente, bajo la gravedad del juramento, el cual se considerará prestado por la simple presentación de la solicitud de autorización ante la Superintendencia Financiera de Colombia, sobre la inexistencia de acuerdos relacionados con la operación, diferentes a los contenidos en el cuadernillo de oferta.
i. Información sobre la actividad y situación económico-financiera del oferente, incluyendo los estados financieros del último ejercicio y el dictamen del revisor fiscal o informes de auditoría en relación con ellos. Cuando el oferente haga parte de una situación de subordinación o forme parte de un grupo empresarial, la citada información deberá referirse, no sólo al oferente, sino también a las demás personas correspondientes, incluyendo los estados financieros consolidados.
j. Finalidad perseguida con la adquisición, mencionando expresamente las intenciones del oferente sobre la actividad futura de la sociedad afectada. Se incluirán, en su caso, eventuales planes relativos a la utilización de los activos de dicha sociedad, a los órganos de administración y a modificaciones a los estatutos de la misma, así como las iniciativas con respecto a la cotización de sus títulos.
2. Datos de la oferta:
a. Valores que comprende.
b. Contraprestación ofrecida, señalando el precio ofrecido.
c. Cuando la contraprestación consista en valores emitidos por una entidad distinta de la oferente, se incluirá en el cuadernillo de oferta:
i. La información financiera de la sociedad emisora de los valores que se ofrecen como pago, que hubiese sido suministrada a las bolsas de valores en que se coticen durante los doce (12) meses anteriores.
ii. Naturaleza y características de los valores que se ofrecen como pago y el importe y proporción a los cuales se entregarán.
iii. Derechos y obligaciones que incorporen los valores, con expresa referencia a las condiciones y a la fecha a partir de la cual dan derecho a participar en beneficios, así como mención expresa de si gozan o no de derecho de voto.
iv. Cuando se ofrezca como pago valores emitidos por entidades extranjeras u organismos multilaterales deberá indicarse los derechos que confiere el título, así como una descripción del régimen jurídico que les es aplicable, informando la ley sustancial aplicable y los tribunales competentes para el ejercicio de cualquier acción legal o procedimiento relativo al cumplimiento y ejecución forzosa de las obligaciones que de ellos se originen.
Así mismo, deberá incluirse una descripción sucinta del régimen fiscal aplicable a los valores, así como del régimen cambiario y de inversiones internacionales del respectivo país.
Cuando se trate acciones, valores convertibles en acciones o que den derecho a su suscripción, valores cuyo subyacente sean acciones o títulos representativos de acciones, que coticen en bolsas de valores internacionales deberá indicarse, en caso de existir, las diferencias que presenten en relación con los derechos que otorgan los valores correspondientes emitidos por sociedades colombianas.
v. Cuando se ofrezca como pago títulos de deuda emitidos o garantizados por gobierno extranjero u organismo multilateral, calificación, con una síntesis del concepto emitido por la sociedad calificadora de valores para asignar la calificación al emisor o a la emisión, según sea el caso.
vi. Metodología de valoración, de conformidad con procedimientos reconocidos técnicamente.
vii. Bolsas de valores en que se encuentren inscritos los valores. De tratarse de valores que coticen en varias bolsas, además deberá indicarse la bolsa que se toma como referencia.
viii. La cotización promedio y al cierre de los últimos doce (12) meses inmediatamente anteriores, de los valores ofrecidos en cada una de las bolsas en que se negocien; el volumen transado en dicho período, así como los demás indicadores bursátiles que resulten relevantes para los inversionistas.
ix. Un resumen de los hechos objeto de información relevante que, respecto del emisor de los valores ofrecidos como pago, se hubieren presentado en los últimos doce (12) meses.
x. Una certificación en donde conste que sobre los valores que se ofrecen como pago no existe ningún gravamen o limitación del dominio expedida por el oferente y, cuando sea el caso, por el revisor fiscal.
d. Modalidad de pago, la cual podrá ser de contado o a plazo, conforme a los lineamientos bursátiles.
e. Número máximo de valores objeto de la oferta y número mínimo a cuya adquisición se condicione la efectividad de la oferta.
f. Tipo de garantías constituidas por el oferente para la liquidación de su oferta e identidad de las entidades financieras con las que hayan sido constituidas, si es del caso, y su importe.
g. Declaración relativa a un posible endeudamiento del oferente o de la sociedad sobre la cual se realiza la oferta, para la financiación de la adquisición.
h. Plazo de aceptación de la oferta.
i. Formalidades que deben cumplir los destinatarios de la oferta para manifestar su aceptación, así como la forma y plazo en el que recibirán la contraprestación.
j. Gastos de aceptación y liquidación de la oferta que sean de cuenta de los destinatarios, o distribución de los mismos entre el oferente y aquellos.
k. Designación de las sociedades comisionistas de bolsa que actúen por cuenta del oferente.
3. Autorizaciones y certificaciones:
a. Constancia del oferente y del asesor en banca de inversión, si es del caso, en la cual certifique la veracidad del contenido del cuadernillo de oferta y que en éste no se presentan omisiones, vacíos, imprecisiones o errores de información que revistan materialidad o puedan afectar la decisión de los futuros aceptantes de la oferta.
Tratándose de una persona jurídica, dicha certificación debe ser suscrita por el representante legal y el revisor fiscal, dentro de lo de su competencia.
b. Información sobre las autorizaciones de que fue objeto la oferta.
La Superintendencia Financiera de Colombia podrá exigir al oferente la inclusión en el cuadernillo de oferta de toda aquella información adicional que estime necesaria, así como la presentación de aquella documentación complementaria que estime conveniente.
La Superintendencia Financiera de Colombia, a solicitud del oferente, podrá eximirlo de la obligación de incluir en el cuadernillo de oferta alguna de las informaciones antes señaladas, siempre que las mismas no estén a disposición del oferente y no se refieran a hechos o circunstancias esenciales para que los destinatarios puedan formular un juicio fundado sobre la oferta.
ARTÍCULO 6.15.2.1.14 OFERTAS COMPETIDORAS.
<Fuente original compilada: R. 400/95 Art. 1.2.5.18 Subrogado por el D. 1941/06 Art. 1o. Parágrafo primero modificado y Parágrafo segundo derogado por el D. 2938/07> Son ofertas competidoras aquellas que se formulan sobre valores respecto de los cuales se ha autorizado una oferta pública de adquisición.
Las ofertas competidoras deben surtir el procedimiento de autorización previsto en el presente decreto para las ofertas de adquisición y se rigen por las mismas condiciones, además de las específicas, señaladas en el presente artículo.
Las ofertas competidoras deben reunir los siguientes requisitos:
1. Quien formule la oferta competidora no podrá conformar un mismo beneficiario real con el oferente precedente.
2. El primer aviso de oferta deberá ser publicado a más tardar dos (2) días hábiles antes del vencimiento del plazo para la recepción de las aceptaciones de la oferta precedente. El plazo para la recepción de aceptaciones de la oferta competidora empieza a contarse a partir del día siguiente a la fecha de publicación del primer aviso.
3. La oferta competidora no podrá realizarse por un número de valores y un precio inferior al de la oferta precedente.
4. La oferta competidora deberá ser mejor que la oferta precedente.
Se entiende que la oferta competidora es mejor que la oferta precedente cuando:
a. El precio de la contraprestación ofrecida sea superior en al menos un cinco por ciento (5%) al de la oferta precedente.
b. El número de valores que se pretende adquirir sea superior en al menos un cinco por ciento (5%) con respecto al de aquella.
c. Siendo el precio de la contraprestación ofrecida y el número de valores que se pretende adquirir igual a los de la oferta precedente, el número mínimo de valores a que se condiciona la oferta sea inferior al de la oferta precedente.
5. Si la oferta precedente ha previsto como contraprestación valores, la oferta competidora podrá presentar como contraprestación dinero o valores. Si la oferta precedente ha previsto como contraprestación dinero, la oferta competidora sólo podrá ofrecer dinero como contraprestación.
6. Si la oferta precedente ha establecido el pago de contado, la oferta competidora deberá establecer la misma forma de pago. Si la oferta precedente ha establecido el pago a plazo, la competidora debe establecer el pago en el mismo plazo o en un plazo menor.
PARÁGRAFO. (Modificado por el D. 2938/07 Art. 4o.) Una vez publicado el primer aviso de la oferta competidora, las aceptaciones a la oferta precedente se entenderán realizadas automáticamente respecto de la oferta competidora.
ARTÍCULO 6.15.2.1.15 CONCURRENCIA DE OFERTAS.
<Fuente original compilada: R. 400/95 Art. 1.2.5.19 Subrogado por el D. 1941/06 Art. 1o.> En el evento en que, estando en trámite de autorización una solicitud de oferta, se reciba otra solicitud en relación con los mismos valores, prevalece y se da trámite a aquella cuyo precio ofrecido sea mayor. En caso de coincidir el precio ofrecido, prevalece la que se formule por un número mayor de valores. De ser iguales las características señaladas, prevalece y se da trámite a aquella que hubiere sido presentada primero en el tiempo.
ARTÍCULO 6.15.2.1.16 MEJORA DE LA OFERTA PÚBLICA DE ADQUISICIÓN.
<Fuente original compilada: R. 400/95 Art. 1.2.5.20 Subrogado por el D. 1941/06 Art. 1o.> Cualquier persona puede mejorar la oferta que haya formulado en tanto se sujete a los requisitos establecidos en el presente decreto para las ofertas competidoras.
Para el efecto, el oferente sólo deberá comunicar a la Superintendencia Financiera de Colombia y a la bolsa de valores, de forma previa a la publicación del primer aviso, las nuevas condiciones de la oferta y acreditar ante la bolsa de valores que las garantías amparan el cumplimiento de las obligaciones del oferente.
Los avisos de oferta deberán ser publicados en el mismo medio en que fueron publicados los avisos de la oferta precedente.
Cuando una oferta vigente sea mejorada, los destinatarios de la oferta que ya la hubieren aceptado se beneficiarán automáticamente de las condiciones de la modificación.
ARTÍCULO 6.15.2.1.17 PROCEDIMIENTO PARA LA OFERTA PÚBLICA DE ADQUISICIÓN.
<Fuente original compilada: R. 400/95 Art. 1.2.5.21 Subrogado por el D. 1941/06 Art. 1o.> La bolsa de valores deberá establecer la reglamentación de las garantías y el mecanismo especial para el desarrollo, compensación y liquidación de las ofertas públicas de adquisición, conforme a lo previsto en el presente decreto, el cual deberá ser independiente al de la rueda electrónica.
Si el número de valores comprendidos en las aceptaciones de la oferta supera la cantidad de valores que se ha ofrecido adquirir, el oferente deberá comprarlos a prorrata a cada uno de los aceptantes.
Las aceptaciones no podrán estar sometidas a ninguna condición, excepto que los valores sean enajenados bajo la modalidad “Todo o Nada”. La modalidad “Todo o Nada” significa que solamente en caso de que sea posible adjudicar la totalidad de los valores objeto de la aceptación, el aceptante está dispuesto a efectuar la enajenación.
Las aceptaciones a la oferta se deben realizar a través de las sociedades comisionistas de bolsa dentro del plazo establecido para ello.
ARTÍCULO 6.15.2.1.18 OTRAS OBLIGACIONES DEL OFERENTE.
<Fuente original compilada: R. 400/95 Art. 1.2.5.22 Subrogado por el D. 1941/06 Art. 1o.> Durante el período de vigencia de la oferta, el oferente no podrá adquirir, directa o indirectamente, valores que conformen el capital con derecho a voto de la sociedad afectada, a través de transacciones privadas o en bolsas de valores nacionales o extranjeras.
<Fuente original compilada: R. 400/95 Art. 1.2.5.23 Subrogado por el D. 1941/06 Art. 1o.> A partir de la publicación de suspensión de la negociación de los valores objeto de la oferta pública de adquisición y hasta la publicación del resultado de la oferta, el emisor de los valores afectados con la oferta deberá abstenerse de realizar los siguientes actos, salvo cuando se trate de ejecutar decisiones tomadas previamente por los órganos sociales competentes:
1. La emisión de acciones o valores convertibles.
2. Efectuar directa o indirectamente operaciones sobre los valores afectados con la oferta cuando la puedan perturbar.
3. Enajenar, gravar o realizar cualquier tipo de acto que implique una disposición definitiva de cualquier bien o conjunto de bienes que representen un porcentaje igual o superior al cinco por ciento (5%) del total del activo del emisor, así como arrendar inmuebles u otros bienes que perturben el normal desarrollo de la oferta.
4. Realizar operaciones que tengan por objeto o por efecto generar una variación sustancial en el precio de los valores objeto de la oferta.
5. Cualquier otro acto que no sea propio del giro ordinario de los negocios de la sociedad o que tenga por objeto o efecto perturbar la oferta.
En el evento en que la sociedad afectada con la oferta haga parte de una situación de subordinación o de un grupo empresarial, o conforme con otras personas un mismo beneficiario real, las demás personas vinculadas por la situación de subordinación o grupo empresarial y los integrantes de dicho beneficiario real, deberán abstenerse de efectuar, directa o indirectamente, operaciones que puedan perturbar la oferta.
ARTÍCULO 6.15.2.1.20 OBLIGACIONES DE LA BOLSA DE VALORES.
<Fuente original compilada: R. 400/95 Art. 1.2.5.24 Subrogado por el D. 1941/06 Art. 1o.> Durante el plazo establecido para recibir las aceptaciones, la bolsa de valores donde estén inscritos los valores objeto de la oferta, deberán informar diariamente a la Superintendencia Financiera de Colombia y al mercado el número de aceptaciones recibidas para la oferta, indicando aquellas que se han efectuado bajo la modalidad “Todo o Nada”.
Transcurrido el plazo establecido para recibir las aceptaciones a la oferta, o el que resulte de su prórroga o modificación, y en un plazo no superior a cinco (5) días comunes, la bolsa de valores informará a la Superintendencia Financiera de Colombia el resultado de la oferta. Dicho resultado deberá ser publicado en el boletín diario de la bolsa de valores.
ARTÍCULO 6.15.2.1.21 PROMOCIÓN PRELIMINAR.
<Fuente original compilada: R. 400/95 Art. 1.2.5.25 Subrogado por el D. 1941/06 Art. 1o.> Cualquier publicidad o campaña de promoción que se pretenda realizar para motivar a los propietarios de los valores a participar en la oferta pública de adquisición, deberá realizarse una vez se haya radicado en la Superintendencia Financiera de Colombia la solicitud de autorización a que hace referencia el presente decreto.
En todo caso, la información que se suministre debe estar documentada en la información reportada a la Superintendencia Financiera de Colombia y debe corresponder a la realidad de la operación.
ARTÍCULO 6.15.2.1.22 ADQUISICIONES INDIRECTAS O SOBREVINIENTES.
<Fuente original compilada: R. 400/95 Art. 1.2.5.26 Subrogado por el D. 1941/06 Art. 1o.> Cuando como consecuencia de un proceso de fusión –independientemente del lugar donde se realice y aún en el evento en que estén involucradas sociedades cuyas acciones no se encuentren inscritas en la bolsa de valores - cualquier beneficiario real adquiera o incremente su participación en el capital con derecho a voto de una sociedad cuyas acciones se encuentren inscritas en la bolsa de valores, en los porcentajes que obligan a realizar una oferta pública de adquisición, deberá seguirse el procedimiento previsto en el presente artículo.
El adquirente deberá formular una oferta pública de adquisición, dentro de los tres (3) meses siguientes a la fecha en que se perfeccione la fusión, por una cantidad de valores igual a la adquirida en el mencionado proceso, en los términos previstos en el presente decreto.
No obstante, no será obligatoria la formulación de la oferta pública de adquisición cuando dentro de los tres (3) meses siguientes a la fecha en que se perfeccione la fusión, se enajene el exceso de participación sobre los porcentajes señalados en el artículo 6.15.2.1.1 del presente decreto, adquirido con el proceso de fusión, mediante oferta pública de venta, lo cual deberá ser acreditado ante la Superintendencia Financiera de Colombia dentro de los diez (10) días hábiles siguientes a la enajenación.
ARTÍCULO 6.15.2.1.23 DERECHO DE VENTA.
<Fuente original compilada: R. 400/95 Art. 1.2.5.27 Subrogado por el D. 1941/06 Art. 1o.> Cuando un mismo beneficiario real adquiera más del noventa por ciento (90%) del capital con derecho a voto de una sociedad cuyas acciones se encuentran inscritas en bolsa de valores, uno o varios tenedores de valores que posean al menos el uno por ciento (1%) del capital con derecho a voto de la respectiva sociedad, podrán exigir que el adquirente realice, por una sola vez, una oferta pública de adquisición por el saldo de capital con derecho a voto en circulación, dentro de los tres (3) meses siguientes a la adquisición por medio de la cual se supere dicho porcentaje.
Para el efecto, el adquirente estará obligado a informar al mercado y a la Superintendencia Financiera de Colombia por el mecanismo de información relevante cuando supere el porcentaje señalado en el presente artículo.
Los tenedores de valores que soliciten la realización de la oferta pública de adquisición prevista en este artículo deberán presentar la solicitud al adquirente por medio de la sociedad emisora e informar de manera inmediata a la Superintendencia Financiera de Colombia sobre tal circunstancia.
El adquirente tendrá un plazo máximo de tres (3) meses para realizar la oferta, contado a partir de la fecha de radicación de la primera solicitud en las oficinas del domicilio principal de la sociedad emisora.
PARÁGRAFO 1. Cuando se supere el porcentaje indicado en este artículo como consecuencia de haber realizado una oferta pública de adquisición en virtud de lo previsto en el artículo 6.15.2.1.22 del presente decreto, el precio será el mismo fijado para la realización de dicha oferta.
PARÁGRAFO 2. El adquirente no tendrá obligación de realizar la oferta señalada en el presente artículo, cuando el porcentaje indicado en el mismo se supere como consecuencia de haber realizado una oferta pública de adquisición por un número de valores que le hubiera permitido al adquirente alcanzar el cien por ciento (100%) del capital con derecho a voto de la sociedad afectada.
ARTÍCULO 6.15.2.1.24 OFERTA PÚBLICA DE ADQUISICIÓN VOLUNTARIA.
<Fuente original compilada: R. 400/95 Art. 1.2.5.28 Subrogado por el D. 1941/06 Art. 1o.> Aún cuando no resulten obligatorias, podrán formularse ofertas públicas de adquisición sobre valores inscritos en bolsa de valores. Tales ofertas públicas de adquisición deberán ser autorizadas por la Superintendencia Financiera de Colombia y dirigirse a todos los titulares de dichos valores, quedando sujetas a las mismas reglas y procedimientos establecidos para las ofertas públicas de adquisición obligatorias, exceptuando lo establecido en el artículo 6.15.2.1.19 del presente decreto.
<Fuente original compilada: R. 400/95 Art. 1.2.5.29 Subrogado por el D. 1941/06 Art. 1o.> Quien adquiera capital con derecho a voto de una sociedad cuyas acciones se encuentren inscritas en bolsa de valores, por encima de los porcentajes previstos en el artículo 6.15.2.1.1 del presente decreto, sin haber promovido una oferta pública de adquisición en los términos del presente decreto, incurrirá en la infracción prevista en el literal k) del artículo 50 de la Ley 964 de 2005.
En este evento, y sin perjuicio de las sanciones a que hubiere lugar, se suspenderán los derechos políticos y económicos inherentes a los valores adquiridos mediante el negocio o negocios que requerían la formulación de una oferta pública de adquisición y deberá acreditarse ante la Superintendencia Financiera de Colombia que los efectos de tales negocios se han retrotraído plenamente.
Así mismo, y sin perjuicio de las sanciones a que hubiere lugar, cuando en virtud de un proceso de fusión, cualquier beneficiario real adquiera o incremente su participación en los porcentajes que obligan a realizar una oferta pública de adquisición en el capital con derecho a voto de una sociedad cuyos valores se encuentren inscritos en bolsa, sin seguir el procedimiento descrito para el efecto, el accionista que se constituya en beneficiario real con el adquirente, no podrá ejercer los derechos políticos y económicos inherentes a los valores adquiridos como consecuencia del respectivo proceso de fusión, a partir del momento en que se venza el plazo para la realización de la oferta en los términos señalados en le presente decreto, y hasta tanto el adquirente formule la respectiva oferta.
PARÁGRAFO. El capital con derecho a voto que tenga suspendidos los derechos políticos y económicos, de conformidad con lo previsto en el presente artículo, no computará para efectos de quórum y mayorías decisorias de la respectiva sociedad.
OFERTAS PÚBLICAS PARA DEMOCRATIZACIÓN.
ARTÍCULO 6.15.3.1.1 AUTORIZACIÓN.
<Fuente original compilada: R. 400/95 Art. 1.2.5.17 Adicionado por la R. 704/99 Art. 1o.> La Superintendencia Financiera de Colombia autorizará la realización de ofertas públicas para democratización que cumplan lo dispuesto en el presente Titulo.
ARTÍCULO 6.15.3.1.2 DEFINICIÓN.
<Fuente original compilada: R. 400/95 Art. 1.2.5.18 Adicionado por la R. 704/99 Art. 1o.> Se entenderá que son ofertas públicas para democratización aquellas en las que el controlante ofrece, en condiciones que propendan por la masiva participación en la propiedad accionaria, una parte o la totalidad de las acciones que posee, utilizando procedimientos para la venta que garanticen amplia publicidad y libre concurrencia, tales como campañas publicitarias a través de medios masivos de comunicación que incorporen el concepto de democratización de la propiedad accionaria, así como el uso de la red de los establecimientos de crédito.
PARÁGRAFO 1. Las acciones que se ofrezcan en desarrollo del presente artículo deberán estar inscritas en una bolsa de valores con una antelación no inferior de seis (6) meses a la fecha de la operación y estar libres de gravámenes, limitaciones de dominio y de cualquier demanda o pleito pendiente que pueda afectar la propiedad o su negociabilidad.
PARÁGRAFO 2. La adquisición de acciones en procesos de oferta pública para democratización se sujetará a las normas señaladas en el Título 2 del presente Libro.
PARÁGRAFO 3. Para efectos de lo dispuesto en el presente artículo se aplicará el concepto de controlante contenido en la ley 222 de 1995.
ARTÍCULO 6.15.3.1.3 MECANISMO DE NEGOCIACIÓN.
<Fuente original compilada: R. 400/95 Art. 1.2.5.19 Adicionado por la R. 704/99 Art. 1o.> Para efectos de lo previsto en el presente Título, la Superintendencia Financiera de Colombia podrá autorizar la realización, a través de las bolsas de valores del país, de ruedas especiales distintas de la rueda ordinaria, cuando las condiciones de adquisición sean fijas y uniformes para todos los inversionistas o se prevea un mecanismo de prorrateo para la asignación. Las bolsas de valores deberán elaborar el reglamento correspondiente.
ARTÍCULO 6.15.3.1.4 SOLICITUD.
<Fuente original compilada: R. 400/95 Art. 1.2.5.20 Adicionado por la R. 704/99 Art. 1o.> Para efectos de la autorización de la oferta pública a que hace referencia el presente Título, deberá remitirse a la Superintendencia Financiera de Colombia la siguiente información:
1. Carta de solicitud suscrita por el enajenante, la cual debe contener una descripción del mecanismo a través del cual se pondrá en conocimiento del público en general los documentos a que se refiere el numeral siguiente.
2. Folleto informativo, cuadernillo de ventas y proyecto de aviso de oferta.
ARTÍCULO 6.15.3.1.5 AVISO DE OFERTA. <Fuente original compilada: R. 400/95 Art. 1.2.5.21 Adicionado por la R. 704/99 Art. 1o.>
<Inciso modificado por el artículo 19 del Decreto 1351 de 2019. El nuevo texto es el siguiente:> El enajenante deberá informar sobre la celebración de la oferta pública para democratización por medio de avisos que se publicarán por lo menos tres (3) veces, con intervalos no menores de cinco (5) días comunes, en las páginas económicas de uno o más diarios impresos o electrónicos de amplia circulación nacional y en el boletín diario de las bolsas, sin perjuicio de que los interesados ordenen la misma publicación por otros medios. La operación no podrá celebrarse antes de ocho (8) días comunes contados a partir de la fecha de publicación del último aviso.
En los avisos deberá incluirse como mínimo:
1. Nombre del enajenante y del emisor de las acciones objeto de enajenación;
2. Condiciones específicas que van a regir la operación;
3. Cantidad de valores a enajenar, sus características y el porcentaje que representan sobre el número de acciones en circulación;
4. Precio de venta;
5. Forma de pago;
6. Bolsas en las cuales se encuentren inscritas las acciones;
7. Día, lugar y hora de la operación;
8. <Numeral modificado el artículo 121 del Decreto 1745 de 2020. El nuevo texto es el siguiente:> Canales o medios a través de los cuales el folleto informativo y el cuadernillo de ventas serán entregados, su función y la importancia de su lectura.
9. <Numeral modificado el artículo 121 del Decreto 1745 de 2020. El nuevo texto es el siguiente:> Indicación que el cuadernillo de ventas se encuentra disponible para consulta de los posibles inversionistas, en la página web de la Superintendencia Financiera de Colombia, y en las páginas web de la entidad emisora, en las de los comisionistas y de las bolsas de valores.
10. La advertencia en caracteres destacados, de suerte que resalte visiblemente en el texto del aviso, que la inscripción en el Registro Nacional de Valores y Emisores -RNVE y la autorización de la oferta pública no implican certificación sobre la bondad del valor o la solvencia del emisor; y
11. Las demás advertencias que deban hacerse de conformidad con el régimen legal del emisor.
ARTÍCULO 6.15.3.1.6 VIGENCIA DE LA OFERTA.
<Fuente original compilada: R. 400/95 Art. 1.2.5.22 Adicionado por la R. 704/99 Art. 1o.> El plazo de validez de la oferta no podrá exceder de tres (3) meses.
ARTÍCULO 6.15.3.1.7 PUBLICACIÓN DEL AVISO DE OFERTA.
<Fuente original compilada: R. 400/95 Art. 1.2.5.23 Adicionado por la R. 704/99 Art. 1o.> La Superintendencia Financiera de Colombia tendrá un plazo de cinco (5) días hábiles, contados a partir del día hábil siguiente a la fecha de radicación en la entidad de los documentos de que trata el artículo 6.15.3.1.4 del presente decreto, para efectuar las observaciones a los mismos o solicitar las aclaraciones que considere pertinentes.
La publicación del aviso de oferta deberá realizarse dentro de los cinco (5) días siguientes a aquél en que venza el plazo referido. En el evento en que la Superintendencia haya formulado objeciones o solicitudes de aclaración, el término para la publicación del aviso deberá contarse a partir de la fecha en que la Superintendencia manifieste su autorización al proceso.
ARTÍCULO 6.15.3.1.8 FOLLETO INFORMATIVO.
<Fuente original compilada: R. 400/95 Art. 1.2.5.24 Adicionado por la R. 704/99 Art. 1o.> El enajenante deberá elaborar un documento en el que, empleando un lenguaje sencillo e inteligible para cualquier persona no especializada en temas financieros, se incluyan de manera precisa, como mínimo, los siguientes aspectos:
1. Descripción general de la bolsa de valores, sus comisionistas y las responsabilidades que recaen sobre ellos al realizar transacciones de compra y venta de acciones;
2. Definición y características de los valores ofrecidos, indicando los derechos y obligaciones que conlleva ser propietario de los mismos;
3. Descripción clara y concisa en caracteres destacados, de los riesgos a que se exponen quienes invierten en acciones, con expresa mención de la posibilidad de pérdida del capital invertido;
4. Criterios que debe evaluar un inversionista para definir la composición de su portafolio y para determinar la proporción de títulos de renta variable que pueden hacer parte de su portafolio de acuerdo con su capacidad económica y una asunción razonable de riesgo;
5. Actividad o actividades económicas y negocios a los que se dedica la entidad respecto de la cual se desea adelantar la operación de democratización, con la indicación de aquellas que constituyen sus principales fuentes de ingresos;
6. Precio de las acciones ofrecidas;
7. Explicación del procedimiento y condiciones para la adquisición y pago de las acciones;
8. Número de acciones que se ofrecen dentro del proceso de democratización y el porcentaje que representan sobre el total de acciones en circulación;
9. Valor patrimonial de la acción para los dos (2) últimos cortes de ejercicio y para el trimestre inmediatamente anterior a la fecha de la oferta;
10. Cotización promedio y volumen transado de las acciones para cada uno de los últimos doce (12) meses, en las bolsas en que se encuentren inscritas;
11. Utilidades o pérdidas obtenidas por la entidad respecto de la cual se desea adelantar la operación de democratización, en cada uno de los tres (3) años anteriores a la oferta.;
12. La advertencia en caracteres destacados, de suerte que resalte visiblemente en el texto, que la inscripción en el Registro Nacional de Valores y Emisores- RNVE y la autorización de la oferta pública no implican certificación sobre la bondad del valor o la solvencia del emisor, así como las demás advertencias que deban hacerse de conformidad con el régimen legal del emisor;
13. Indicación de que los temas contenidos en este folleto junto con el detalle del proceso y de la entidad objeto de la operación de democratización, se encuentran desarrollados de manera amplia en el cuadernillo;
14. Advertencia destacada en la primera página del folleto con el siguiente texto "se considera indispensable la lectura tanto de este folleto como del cuadernillo de ventas, para que los potenciales inversionistas puedan evaluar adecuadamente la conveniencia de la inversión". y
15. Glosario de los términos técnicos empleados en el folleto informativo.
PARÁGRAFO. Cuando la empresa cuyas acciones se vayan a ofrecer sea una holding, debe incluirse un resumen de las políticas de manejo de los activos que conforman su portafolio de inversiones, especificando si existen restricciones a la venta de los que actualmente posee o si, por el contrario, dichas inversiones pueden ser vendidas libremente.
ARTÍCULO 6.15.3.1.9 CUADERNILLO DE VENTAS.
<Fuente original compilada: R. 400/95 Art. 1.2.5.25 Adicionado por la R. 704/99 Art. 1o.> El enajenante deberá elaborar un cuadernillo de ventas que contenga, además de la información relacionada en el artículo anterior, como mínimo la siguiente:
1. Precio de venta, incluyendo una descripción detallada del modelo que se usó para calcularlo.
En este acápite deben incluirse, para efectos de comparación, dos cálculos adicionales del valor patrimonial de la acción de la sociedad que se va a democratizar, teniendo en cuenta lo siguiente:
1.1. Cuando dicha sociedad posea participaciones en otras sociedades, el valor de tales participaciones corresponderá al porcentaje que representen las mismas en el valor patrimonial total de la sociedad receptora de la respectiva inversión,
1.2. Cuando la sociedad posea acciones que se coticen en bolsa de valores incluirá, para efectos de comparación, un segundo cálculo en el que el valor de esas inversiones corresponda al valor promedio de sus cotizaciones en bolsa durante los últimos seis meses.
2. Nombre de la sociedad avaluadora que hizo el estudio para determinar el precio de venta de la acción.
3. Información general de la entidad emisora, que deberá incluir como mínimo:
_ Razón social, duración y causales de disolución.
_ Objeto social.
_ Breve reseña histórica de la sociedad.
_ Número de acciones en circulación.
_ Composición accionaria e información sobre los socios.
_ Forma de negociación de las acciones y si las mismas se encuentran desmaterializadas o no, así como las implicaciones y consecuencias de la desmaterialización.
_ Administrador de las acciones con sus respectivas funciones.
_ Capital y reservas de la entidad.
_ Principales activos de la entidad. Tratándose de inversiones, información discriminada sobre las mismas, indicando el porcentaje que representa cada una sobre el activo de la entidad, su monto actual, valor patrimonial y las políticas de manejo de las mismas.
_ Situación general del mercado y posición en el mismo.
_ Descripción de activos fijos, patentes, marcas y otros derechos.
_ Protecciones gubernamentales.
_ Situación laboral de la entidad.
_ Política de distribución de dividendos.
_ Operaciones realizadas durante los últimos doce (12) meses con socios, administradores, filiales y subordinadas, así como las condiciones de las mismas.
_ Garantías otorgadas a terceros.
_ Procesos pendientes contra la sociedad emisora.
_ Obligaciones financieras de la entidad.
_ Riesgos futuros que puede enfrentar la entidad.
_ Situación de subordinación e información sobre matriz y subordinadas, que incluya al menos para cada una: objeto social principal, composición accionaria, principales inversiones y riesgos de la entidad.
_ Información financiera del emisor: Los estados financieros al corte del trimestre calendario inmediatamente anterior a la fecha de radicación en la Superintendencia Financiera de Colombia de la documentación completa debidamente diligenciada y los informes presentados por el representante legal y el revisor fiscal en las asambleas de los tres (3) años anteriores donde se hayan considerado estados de fin de ejercicio junto con los correspondientes estados financieros o en las asambleas de iguales características que se hayan producido desde la constitución de la entidad, cuando su existencia sea inferior a tres (3) años.
_ Información financiera de matriz y subordinadas: Los estados financieros al corte del trimestre calendario inmediatamente anterior a la fecha de radicación en la Superintendencia Financiera de Colombia de la información completa debidamente diligenciada y el informe presentado por el representante legal y el revisor fiscal en la asamblea del año inmediatamente anterior, donde se hayan considerado estados de fin de ejercicio junto con los correspondientes estados financieros.
4. La advertencia en caracteres destacados, de suerte que resalte visiblemente en el texto del aviso, que la inscripción en el Registro Nacional de Valores y Emisores- RNVE y la autorización de la oferta pública no implican certificación sobre la bondad del valor o la solvencia del emisor, así como las demás advertencias que deban hacerse de conformidad con el régimen legal del emisor.
5. Advertencia destacada en la primera página del cuadernillo con el siguiente texto: "se considera indispensable la lectura del folleto informativo y del cuadernillo de ventas, para que los potenciales inversionistas puedan evaluar adecuadamente la conveniencia de la inversión".
6. Las demás que con el fin de cumplir los cometidos establecidos en la ley, resulten indispensables a juicio de la Superintendencia Financiera de Colombia.
ARTÍCULO 6.15.3.1.10 INFORMACIÓN DEL FOLLETO Y DEL CUADERNILLO.
<Fuente original compilada: R. 400/95 Art. 1.2.5.26 Adicionado por la R. 704/99 Art. 1o.> La información que conste en el cuadernillo de ventas debe suministrarse en idioma español y debe estar certificada en cuanto a su veracidad y contenido por el oferente vendedor.
<Inciso modificado el artículo 122 del Decreto 1745 de 2020. El nuevo texto es el siguiente:> El vendedor de los valores objeto de la oferta pública para democratización, deberá entregar a cada uno de los potenciales inversionistas, por cualquier medio físico o electrónico, el folleto informativo y el cuadernillo de ventas, de lo cual deberá dejar constancia suscrita el potencial inversionista.
ARTÍCULO 6.15.3.1.11 REMISIÓN A LA SUPERINTENDENCIA.
<Fuente original compilada: R. 400/95 Art. 1.2.5.27 Adicionado por la R. 704/99 Art. 1o.> El folleto informativo y el cuadernillo de ventas deben enviarse a la Superintendencia Financiera de Colombia por lo menos cinco (5) días antes de la fecha prevista para la publicación del primer aviso de oferta.
INFORMES DE COLOCACIÓN.
ARTÍCULO 6.16.1.1.1 INFORMACIÓN SOBRE COLOCACIÓN DE ACCIONES EN MERCADO PRIMARIO.
<Fuente original compilada: R. 400/95 Art. 1.2.6.1> Mientras se encuentre vigente la oferta y en el mes siguiente a su expiración, siempre dentro de los diez (10) primeros días de cada mes, la sociedad emisora deberá remitir a la Superintendencia Financiera de Colombia un listado de los suscriptores de la colocación, señalando su nombre completo o razón social. En tal listado se indicará si con anterioridad el suscriptor era accionista de la sociedad, el número de acciones suscritas por cada uno, el valor unitario de las acciones adquiridas y el valor total de las mismas.
Así mismo, dentro de los diez (10) días siguientes a la expiración de la oferta, la sociedad emisora deberá enviar a la Superintendencia Financiera de Colombia un cuadro resumen de la siguiente información:
1. Número total de antiguos accionistas que suscribieron acciones de la última emisión, número total de acciones suscritas por ellos y valor total de las mismas;
2. Número de terceros que suscribieron acciones de la última emisión, número total de acciones suscritas por ellos y valor total de las mismas;
3. Número total de accionistas y valor del capital suscrito de la sociedad al finalizar la oferta, e
4. Información sobre mecanismos y agentes de colocación, discriminando en forma consolidada los montos colocados por la sociedad emisora y directamente y por cada una de las clases de intermediarios utilizados.
ARTÍCULO 6.16.1.1.2 INFORMACIÓN SOBRE LA COLOCACIÓN DE DOCUMENTOS EN EL MERCADO PRIMARIO.
<Fuente original compilada: R. 400/95 Art. 1.2.6.2 Modificado por la R. 459/01 Art. 1o.> Mientras se encuentre vigente la oferta de documentos de contenido crediticio, corporativos o de participación, mixtos y representativos de mercancías, dentro de los primeros diez (10) días de cada mes y con referencia a lo colocado en el mes anterior, la sociedad emisora deberá enviar la siguiente información a la Superintendencia Financiera de Colombia:
1. Cuantía colocada y condiciones de plazo y rendimiento de los títulos emitidos en el mes;
2. Valor total de los documentos en circulación al corte del mes;
3. Información consolidada sobre los compradores de los documentos, clasificados por grupos, con indicación del monto adquirido por cada grupo, así:
3.1. Personas naturales;
3.2. Establecimientos de crédito;
3.3. Sociedades de servicios financieros;
3.4 Sociedades de capitalización;
3.5. Entidades aseguradoras e intermediarios de seguros y reaseguradoras;
3.6. Fondos de pensiones y cesantía;
3.7. Fondos mutuos de inversión;
3.8 <Numeral modificado el artículo 123 del Decreto 1745 de 2020. El nuevo texto es el siguiente:> Fondos de inversión colectiva;
3.9. Demás personas jurídicas;
4. Información sobre mecanismos y agentes de colocación, discriminando en forma consolidada los montos colocados por la sociedad emisora directamente y por cada una de las clases de intermediarios utilizados, y
5. Certificación sobre los recursos captados, suscrita por el representante legal y el revisor fiscal.
PARÁGRAFO 1. La información a que hace alusión este artículo se reducirá a lo dispuesto en el numeral 2o a partir del segundo mes en que finalice el plazo para la suscripción de los valores objeto de la oferta.
PARÁGRAFO 2. La información a que hace alusión éste artículo se reducirá a lo dispuesto en el numeral 2o a partir del segundo mes en que finalice el plazo para la suscripción de los valores objeto de la oferta.
<Fuente original compilada: R. 400/95 Art. 1.2.6.3> Dentro de los diez (10) días siguientes a la expiración de la oferta, el oferente deberá informar a la Superintendencia Financiera de Colombia la cantidad de acciones o bonos obligatoriamente convertibles en acciones comprados y el precio de negociación.
OTRAS DISPOSICIONES.
ARTÍCULO 6.17.1.1.1 DOCUMENTOS OTORGADOS EN EL EXTERIOR.
<Fuente original compilada: R. 400/95 Art. 1.2.7.2 Modificado por el D. 3139/06 Art. 12> Los documentos suscritos en el exterior, que deban aportarse a la Superintendencia Financiera de Colombia de conformidad con lo dispuesto en el presenteDecreto, deberán presentarse debidamente autenticados por el respectivo agente consular de la República y en su defecto por el de una Nación amiga. La firma del agente consular se abonará por el Ministerio de Relaciones Exteriores en Colombia, y si se trata de agentes consulares de un país amigo se autenticará previamente por el funcionario competente del mismo, todo sin perjuicio de lo dispuesto en los tratados internacionales.
Así mismo, cuando se encuentren elaborados en idioma distinto al español, deberá acompañarse una versión de los mismos traducida oficialmente a este idioma.
DE LA INTERMEDIACIÓN EN EL MERCADO DE VALORES.
DEFINICIÓN Y OPERACIONES DE INTERMEDIACIÓN.
ARTÍCULO 7.1.1.1.1 DEFINICIÓN DE LA ACTIVIDAD DE INTERMEDIACIÓN EN EL MERCADO DE VALORES.
<Fuente original compilada: R. 400/95 Art. 1.5.1.1 subrogado por el D. 1121/08> Constituye actividad de intermediación en el mercado de valores la realización de operaciones que tengan por finalidad o efecto el acercamiento de demandantes y oferentes en los sistemas de negociación de valores o en el mercado mostrador, sea por cuenta propia o ajena, en los términos y condiciones de la presente Parte, para:
1. La adquisición o enajenación en el mercado primario o secundario de valores inscritos en el Registro Nacional de Valores y Emisores – RNVE;
2. <Numeral modificado por el artículo 7 del Decreto 2241 de 2015. El nuevo texto es el siguiente:> La adquisición o enajenación en el mercado secundario de valores listados en un sistema local de cotizaciones de valores extranjeros por medio de las sociedades comisionistas de bolsa, así como la adquisición o enajenación en el mercado primario o secundario de valores listados en sistemas de cotización de valores del extranjero mediante acuerdos o convenios de integración de bolsas de valores o de acuerdos o convenios de sistemas de negociación de valores o de registro de operaciones sobre valores.
3. La realización de operaciones con derivados y productos estructurados que sean valores en los términos de los parágrafos 3o y 4 o del artículo 2 de la Ley 964 de 2005.
4. <Numeral adicionado por el artículo 7 del Decreto 2241 de 2015. El nuevo texto es el siguiente:> La adquisición o enajenación de valores extranjeros cuya oferta pública autorizada en el exterior haya sido reconocida en los términos del Título 2 del Libro 23 de la Parte 2 del presente decreto.
PARÁGRAFO. Serán intermediarios de valores las entidades vigiladas por la Superintendencia Financiera de Colombia con acceso directo a un sistema de negociación de valores o a un sistema de registro de operaciones sobre valores para la realización o registro de cualquier operación de intermediación de valores.
ARTÍCULO 7.1.1.1.2 OPERACIONES DE INTERMEDIACIÓN EN EL MERCADO DE VALORES.
<Fuente original compilada: R. 400/95 Art. 1.5.1.2 subrogado por el D. 1121/08> Son operaciones de intermediación en el mercado de valores las siguientes:
1. Las operaciones ejecutadas en desarrollo del contrato de comisión para la adquisición o enajenación de valores inscritos en el Registro Nacional de Valores y Emisores – RNVE o de valores extranjeros listados en un sistema local de cotizaciones de valores extranjeros; así como, las operaciones de adquisición y enajenación de tales valores ejecutadas en desarrollo de contratos de administración de portafolios de terceros y de administración de valores.
Estas operaciones sólo podrán ser desarrolladas por las sociedades comisionistas de bolsa de valores, sociedades comisionistas independientes de valores y las sociedades comisionistas de bolsas de bienes y productos agropecuarios, agroindustriales o de otros commodities, cuando estas últimas realicen dichas operaciones sobre valores de conformidad con su régimen de autorizaciones especiales;
2. Las operaciones de corretaje sobre valores inscritos en el Registro Nacional de Valores y Emisores – RNVE o de valores extranjeros listados en un sistema local de cotizaciones de valores extranjeros.
Estas operaciones sólo podrán ser desarrolladas por las sociedades comisionistas de bolsa de valores, sociedades comisionistas independientes de valores y las sociedades comisionistas de bolsas de bienes y productos agropecuarios, agroindustriales o de otros commodities, cuando estas últimas realicen dichas operaciones sobre valores;
3. <Inciso 1 modificado el artículo 124 del Decreto 1745 de 2020. El nuevo texto es el siguiente:> Las operaciones de adquisición y enajenación de valores inscritos en el Registro Nacional de Valores y Emisores - RNVE o listados en un sistema local de cotización de valores extranjeros, ejecutadas en desarrollo de contratos de fiducia mercantil o encargo fiduciario, que no den lugar a la vinculación del fideicomitente o del constituyente respectivo a un fondo de inversión colectiva administrado por una sociedad fiduciaria.
Las operaciones señaladas en este numeral solamente podrán ser desarrolladas por las sociedades fiduciarias;
4. Las operaciones de adquisición y enajenación de valores inscritos en el Registro Nacional de Valores y Emisores – RNVE o de valores extranjeros listados en un sistema local de cotizaciones de valores extranjero, ejecutadas por:
a. <Literal modificado el artículo 124 del Decreto 1745 de 2020. El nuevo texto es el siguiente:> Las sociedades comisionistas de bolsa de valores en su calidad de administradoras de fondos de inversión colectiva y de fondos de inversión de capital extranjero.
b. <Literal modificado el artículo 124 del Decreto 1745 de 2020. El nuevo texto es el siguiente:> Las sociedades fiduciarias en su calidad de administradoras de fondos de inversión colectiva, de Fondos Voluntarios de Pensión y de fondos de inversión de capital extranjero.
c. Las sociedades administradoras de fondos de pensiones y cesantías en su calidad de administradoras de fondos de pensiones obligatorios, de fondos de pensiones voluntarias <Fondos Voluntarios de Pensión><3> y de fondos de cesantía.
d. Las compañías de seguros en su calidad de administradoras de fondos de pensiones voluntarias <Fondos Voluntarios de Pensión><3>, y
e. <Literal modificado el artículo 124 del Decreto 1745 de 2020. El nuevo texto es el siguiente:> Las sociedades administradoras de inversión en su calidad de administradoras de fondos de inversión colectiva.
5. <Numeral modificado por el artículo 3 del Decreto 1850 de 2013. El nuevo texto es el siguiente:> Las operaciones de colocación de valores inscritos en el Registro Nacional de Valores (RNVE) o valores extranjeros listados en sistemas de cotización de valores del extranjero mediante acuerdos o convenios de integración de bolsas de valores, en las cuales el intermediario colocador garantice la totalidad o parte de la emisión o adquiera la totalidad o parte de los valores de la misma por cuenta propia, para colocarlos posteriormente en el mercado según sea el caso; así como, las operaciones de colocación de valores al mejor esfuerzo.
Estas operaciones podrán ser realizadas por las sociedades comisionistas de bolsa de valores, sociedades comisionistas independientes de valores y corporaciones financieras, de conformidad con su respectivo régimen normativo.
Igualmente, en adición a las demás operaciones sobre valores autorizadas, los establecimientos bancarios, las corporaciones financieras y las sociedades comisionistas de bolsa de valores, obrando como creadores de mercado y conforme a su respectivo régimen legal, podrán colocar títulos de deuda pública emitidos por la Nación, pudiendo o no garantizar la colocación del total o de una parte de tales emisiones, o tomando la totalidad o una parte de la emisión para colocarla por su cuenta y riesgo, en los términos del Título 1 del Libro 29 de la Parte 2 del presente decreto, la Ley 448 de 1998 y demás normas que los modifiquen o sustituyan, y”.
6. Las operaciones de adquisición y enajenación de valores inscritos en el Registro Nacional de Valores y Emisores – RNVE o listados en un sistema local de cotización de valores extranjeros, efectuadas por cuenta propia y directamente por los afiliados a un sistema de negociación de valores o a un sistema de registro de operaciones sobre valores.
PARÁGRAFO. <Inciso 1 modificado el artículo 124 del Decreto 1745 de 2020. El nuevo texto es el siguiente:> Sólo podrán ser afiliados a un sistema de negociación de valores las entidades vigiladas por la Superintendencia Financiera de Colombia y las entidades de naturaleza pública que puedan acceder directamente a dichos sistemas de conformidad con el Título 3 de la Parte 3 del Libro 2 del Decreto 1068 de 2015.
Adicionalmente, sólo podrán ser afiliados a un sistema de registro de operaciones sobre valores las entidades vigiladas por la Superintendencia Financiera de Colombia.
ARTÍCULO 7.1.1.1.3. SERVICIOS PARA LA INTERMEDIACIÓN DE VALORES. <Artículo modificado por el artículo 6 del Decreto 661 de 2018. El nuevo texto es el siguiente:> También se considera operación de intermediación en el mercado de valores el ofrecimiento de servicios de cualquier naturaleza para la realización de las operaciones a que se refiere el artículo 7.1.1.1.2 del presente decreto, así como el ofrecimiento de servicios orientados a negociar, tramitar, gestionar, administrar u ordenar la realización de cualquier tipo de operación con valores, instrumentos financieros derivados, productos estructurados, fondos de inversión colectiva, fondos de capital privado u otros activos financieros que generen expectativas de beneficios económicos.
Los servicios para la intermediación de valores solo podrán ser prestados por personas naturales inscritas en el Registro Nacional de Profesionales del Mercado de Valores (RNPMV), que cuenten además con la modalidad de certificación que les permita realizar esta actividad.
Lo establecido en el presente artículo no se aplicará a las actividades de ofrecimiento que, sin tipificarse como operaciones de intermediación, realicen de manera exclusiva las entidades sometidas a la inspección y vigilancia de la Superintendencia Financiera de Colombia en desarrollo de su respectivo objeto legal.
<Fuente original compilada: R. 400/95 Art. 1.5.1.4 Sustituido por el D. 4939/09 Art. 1o.> El presente Título no aplica a la Nación ni al Banco de la República.
DEFINICIÓN DE INVERSIONISTA PROFESIONAL Y CLIENTE INVERSIONISTA.
<Fuente original compilada: R. 400/95 Art. 1.5.2.1 Subrogado por el D. 1121/08> Se denomina genéricamente cliente quien intervenga en cualquier operación de intermediación en la que a su vez participe un intermediario de valores.
PARÁGRAFO. Sólo se considerará que un intermediario es cliente de otro intermediario cuando éste último actúe en desarrollo del contrato de comisión para la adquisición o enajenación de valores inscritos en el Registro Nacional de Valores y Emisores – RNVE o de valores extranjeros listados en un sistema local de cotizaciones de valores extranjeros o en desarrollo del contrato de corretaje sobre valores inscritos en el Registro Nacional de Valores y Emisores – RNVE o de valores extranjeros listados en un sistema local de cotizaciones de valores extranjeros.
ARTÍCULO 7.2.1.1.2 DEFINICIÓN DE INVERSIONISTA PROFESIONAL. <Artículo modificado por el artículo 6 del Decreto 1291 de 2020. El nuevo texto es el siguiente:> Podrá tener la calidad de “inversionista profesional” todo cliente que cuente con la experiencia y conocimientos necesarios para comprender, evaluar y gestionar adecuadamente los riesgos inherentes a cualquier decisión de inversión.
Para efectos de ser categorizado como “inversionista profesional”, el cliente deberá acreditar al intermediario, al momento de la clasificación, un patrimonio igual o superior a seis mil (6.000) SMMLV y al menos una de las siguientes condiciones:
1. Ser titular de un portafolio de inversión de valores igual o superior a tres mil (3.000) SMMLV, o
2. Haber realizado directa o indirectamente quince (15) o más operaciones de enajenación o de adquisición, durante un período de sesenta (60) días calendario, en un tiempo que no supere los dos años anteriores al momento en que se vaya a realizar la clasificación del cliente. El valor agregado de estas operaciones debe ser igual o superior al equivalente a veintiún mil (21.000) SMMLV.
PARÁGRAFO 1o. Para determinar el valor del portafolio a que hace mención el numeral 1 del presente artículo, se deberán tener en cuenta los valores que estén a nombre del cliente en un depósito de valores debidamente autorizado por la Superintendencia Financiera de Colombia o en un custodio extranjero.
Para determinar el valor del portafolio a que hace mención el numeral 1 del presente artículo, también serán tenidas en cuenta las inversiones realizadas por medio de contratos de fiducia de inversión, administración de portafolios de terceros, las participaciones que el inversionista tenga en fondos de inversión y, demás vehículos que administren recursos del inversionista, distintos a los de seguridad social.
PARÁGRAFO 2o. Para determinar el período de sesenta (60) días calendario a que hace mención el numeral 2 del presente artículo, se tendrá como fecha inicial la que corresponda a cualquiera de las operaciones de adquisición o enajenación de valores realizadas.
PARÁGRAFO 3o. Los intermediarios deberán adoptar políticas y procedimientos que les permitan establecer la experiencia y conocimientos del inversionista.
ARTÍCULO 7.2.1.1.3 OTROS CLIENTES CATEGORIZADOS COMO “INVERSIONISTA PROFESIONAL”.
<Fuente original compilada: R. 400/95 Art. 1.5.2.3 Subrogado por el D. 1121/08>En adición a los clientes que cumplan las condiciones previstas en el artículo anterior, podrán ser categorizados como “inversionista profesional”:
1. Las personas que tengan vigente la certificación de profesional del mercado como operador otorgada por un organismo autorregulador del mercado de valores;
2. Los organismos financieros extranjeros y multilaterales, y
3. Las entidades vigiladas por la Superintendencia Financiera de Colombia.
4. <Numeral adicionado por el artículo 7 del Decreto 1291 de 2020. El nuevo texto es el siguiente:> Aquellos inversionistas clasificados como inversionista profesional, o su equivalente, en las jurisdicciones que hacen parte de la Alianza del Pacífico.
ARTÍCULO 7.2.1.1.4 DEFINICIÓN DE “CLIENTE INVERSIONISTA”.
<Fuente original compilada: R. 400/95 Art. 1.5.2.4 Subrogado por el D. 1121/08>Tendrán la categoría de “cliente inversionista” aquellos clientes que no tengan la calidad de “inversionista profesional”.
ARTÍCULO 7.2.1.1.5 OBLIGATORIEDAD DE CATEGORIZACIÓN DE CLIENTES.
<Fuente original compilada: R. 400/95 Art. 1.5.2.5 Subrogado por el D. 1121/08>Los intermediarios de valores deberán clasificar a sus clientes en alguna de las dos (2) categorías previstas en este Libro e informarles oportunamente la categoría a la cual pertenecen y el régimen de protección que les aplica.
ARTÍCULO 7.2.1.1.6 SOLICITUD DE PROTECCIÓN COMO “CLIENTE INVERSIONISTA”. <Fuente original compilada: R. 400/95 Art. 1.5.2.6 Subrogado por el D. 1121/08>
<Inciso modificado el artículo 125 del Decreto 1745 de 2020. El nuevo texto es el siguiente:> Al momento de clasificar a un cliente como "inversionista profesional", los intermediarios de valores deberán informarle que tiene derecho a solicitar el tratamiento de "cliente inversionista", de manera general o de manera particular respecto de un tipo de operaciones en el mercado de valores. En este último evento, el "inversionista profesional" podrá solicitar tal protección cada vez que se inicie la realización del nuevo tipo de operaciones. El cambio de categoría deberá constar en cualquier medio verificable.
<Inciso adicionado por el artículo 8 del Decreto 1291 de 2020. El nuevo texto es el siguiente:> El “inversionista profesional” también podrá solicitar ser tratado como “cliente inversionista” únicamente para efectos de la aplicación del Libro 40 de la Parte 2 del presente decreto, incluso en aquellos mercados o productos que sólo están habilitados para los inversionistas profesionales.
ARTÍCULO 7.2.1.1.7. ÓRDENES IMPARTIDAS POR TERCEROS. <Artículo modificado por el artículo 7 del Decreto 661 de 2018. El nuevo texto es el siguiente:> Siempre que en una operación de intermediación de valores se asuma la función de impartir las órdenes que le correspondan al respectivo cliente y dicha función no sea ejercida por una entidad sometida a la inspección y vigilancia de la Superintendencia Financiera de Colombia en desarrollo de su respectivo objeto legal, tal gestión en ningún caso podrá implicar la prestación al cliente de asesoría de cualquier naturaleza por parte del tercero. Dicho tercero, tampoco podrá comprometer o representar en forma alguna al intermediario de valores.
En el evento previsto en el inciso anterior, los deberes y obligaciones del intermediario de valores deberán ser cumplidos con la persona que impartió la orden, de la misma forma como tales deberes y obligaciones existen respecto del cliente. En todo caso, el suministro de la recomendación profesional deberá fundamentarse en el perfil del cliente y respecto del ordenante solo se tendrá en cuenta su conocimiento y experiencia para validar el correcto entendimiento de las órdenes impartidas.
La función de impartir órdenes que le corresponden a los clientes en las operaciones de intermediación de valores, como profesión u oficio, cuando no sea ejercida por personas sometidas a la inspección y vigilancia de la Superintendencia Financiera de Colombia en desarrollo de su respectivo objeto legal, constituye ejercicio ilegal de la actividad de intermediación de valores.
DEBERES DE LOS INTERMEDIARIOS DEL MERCADO DE VALORES.
ARTÍCULO 7.3.1.1.1 DEBERES GENERALES DE LOS INTERMEDIARIOS DE VALORES.
<Fuente original compilada: R. 400/95 Art. 1.5.3.1 Subrogado por el D. 1121/08> Los intermediarios de valores deben proceder como expertos prudentes y diligentes, actuar con transparencia, honestidad, lealtad, imparcialidad, idoneidad y profesionalismo, cumpliendo las obligaciones normativas y contractuales inherentes a la actividad que desarrollan.
ARTÍCULO 7.3.1.1.2 DEBERES ESPECIALES DE LOS INTERMEDIARIOS DE VALORES. LOS INTERMEDIARIOS DE VALORES DEBERÁN CUMPLIR CON LOS SIGUIENTES DEBERES ESPECIALES: <Fuente original compilada: R. 400/95 Art. 1.5.3.2 Subrogado por el D. 1121/08>
1. <Numeral modificado por el artículo 8 del Decreto 661 de 2018. El nuevo texto es el siguiente:> Deber de información. Todo intermediario deberá adoptar políticas y procedimientos para que la información dirigida a sus clientes o posibles clientes en operaciones de intermediación sea objetiva, oportuna, completa, imparcial y clara. De manera previa a la realización de la primera operación, el intermediario deberá informar a su cliente por lo menos lo siguiente:
a) Su naturaleza jurídica y las características de las operaciones de intermediación que se están contratando, y
b) Las características generales de los valores, productos o instrumentos financieros ofrecidos o promovidos; así como los riesgos inherentes a los mismos.
Adicionalmente, los intermediarios en desarrollo de cualquier operación de las previstas en los numerales 1, 2 y 5 del artículo 7.1.1.1.2 del presente decreto, deberán suministrar al cliente la tarifa de dichas operaciones de intermediación.
La Superintendencia Financiera de Colombia establecerá los criterios y directrices que los intermediarios deben tener en cuenta para suministrar a los clientes inversionistas la información correspondiente a los productos complejos de que trata el artículo 2.40.2.1.2. del presente decreto.
2. Deberes frente a los conflictos de interés. Sin perjuicio de lo dispuesto en normas de naturaleza especial, los intermediarios de valores deberán establecer y aplicar consistentemente principios, políticas y procedimientos aprobados por su junta directiva, o el órgano que desarrolle funciones equivalentes, para la detección, prevención, manejo de conflictos de interés en la realización de operaciones de intermediación. Dichos principios, políticas y procedimientos deberán incorporarse en el respectivo código de buen gobierno corporativo de la entidad, serán aplicables a sus administradores, empleados o funcionarios que desempeñan actividades relacionadas con la intermediación y deberán contener como mínimo lo siguiente:
a) Los mecanismos para que las áreas, funciones y sistemas de toma de decisiones susceptibles de entrar en conflicto de interés, estén separadas decisoria, física y operativamente;
b) Reglas y límites sobre operaciones con vinculados en los sistemas de negociación de valores;
En adición de lo establecido para cada intermediario de valores en sus normas de gobierno corporativo, para efectos de la presente Parte, se entiende por “vinculado” a cualquier participante que sea:
(i) Él o los accionistas o beneficiarios reales del diez por ciento (10%) o más de la participación accionaria en el intermediario.
(ii) Las personas jurídicas en las cuales, el intermediario sea beneficiario real del diez por ciento (10%) o más de la participación societaria. Se entiende por beneficiario real el definido en el artículo 6.1.1.1.3 del presente decreto.
(iii) La matriz del intermediario de valores y sus filiales y subordinadas.
(iv) Los administradores del intermediario, de su matriz y de las filiales o subordinadas de ésta.
Los intermediarios de valores no podrán realizar operaciones en el mercado mostrador con los vinculados señalados en el presente literal, y
c) Los mecanismos y procedimientos para que la realización de operaciones por cuenta propia esté separada de cualquier otro tipo de actividad que pueda generar conflicto de interés, observando las instrucciones que para el efecto imparta la Superintendencia Financiera de Colombia.
3. Deber de documentación. Los intermediarios de valores autorizados legalmente para recibir órdenes de clientes, deberán documentar oportuna y adecuadamente dichas órdenes y las operaciones sobre valores que realicen en virtud de éstas.
Los intermediarios pondrán a disposición de sus clientes, de la Superintendencia Financiera de Colombia y de los organismos de autorregulación, cuando éstos lo soliciten, los soportes, comprobantes y demás registros de las órdenes y operaciones realizadas en desarrollo de la relación contractual.
4. Deber de reserva. Salvo las excepciones expresas de las normas vigentes, los intermediarios de valores, así como sus administradores, funcionarios y cualquier persona a ellos vinculada, estarán obligados a guardar reserva de las operaciones sobre valores ejecutadas en desarrollo de la relación contractual y sus resultados; así como, cualquier información que, de acuerdo con las normas que rigen el mercado de valores, tenga carácter confidencial.
En desarrollo de lo anterior, los intermediarios de valores deberán adoptar procedimientos y mecanismos para proteger la información confidencial de sus clientes, los cuales deberán ser incorporados en el código de buen gobierno.
5. Deber de separación de activos. Los intermediarios de valores deberán mantener separados los activos administrados o recibidos de sus clientes de los propios y de los que correspondan a otros clientes.
Los recursos o valores que sean de propiedad de terceros o que hayan sido adquiridos a nombre y por cuenta de terceros, no hacen parte de los activos del intermediario ni tampoco constituyen garantía ni prenda general de sus acreedores. El intermediario en ningún caso podrá utilizar tales recursos para el cumplimiento de sus operaciones por cuenta propia.
6. Deber de valoración. Los intermediarios de valores que realizan las operaciones previstas en el numeral 1o del artículo 7.1.1.1.2 del presente decreto deberán valorar con la periodicidad que establezca la Superintendencia Financiera de Colombia, a precios de mercado, todos los activos de sus clientes. Este deber también es predicable de los valores entregados en operaciones repo, simultáneas o de transferencia temporal de valores que efectúe el intermediario en nombre y con los activos de su cliente.
Además, los intermediarios de valores deberán proveer mecanismos que permitan al cliente consultar su portafolio con la última valoración, en los términos que establezca la Superintendencia Financiera de Colombia.
7. Deber de mejor ejecución de las operaciones. Los intermediarios que realizan las operaciones previstas en el numeral 1 del artículo 7.1.1.1.2 del presente decreto, deberán adoptar políticas y procedimientos para la ejecución de sus operaciones. En esta ejecución se deberá propender por el mejor resultado posible para el cliente de conformidad con sus instrucciones.
Las políticas deberán ser informadas previamente al cliente y corresponder al tipo de cliente, el volumen de las órdenes y demás elementos que el intermediario considere pertinentes.
Siempre que se trate de ejecución de operaciones por cuenta de terceros se deberá anteponer el interés del cliente sobre el interés del intermediario.
Cuando se trate de “clientes inversionistas”, el mejor resultado posible se evaluará principalmente con base en el precio o tasa de la operación, en las condiciones de mercado al momento de su realización, obtenido después de restarle todos los costos asociados a la respectiva operación, cuando haya lugar a éstos. Para los demás clientes, se deberá tener en cuenta, el precio o tasa, los costos, el tiempo de ejecución, la probabilidad de la ejecución y el volumen, entre otros.
No obstante, cuando exista una instrucción específica de un “inversionista profesional”, previa a la realización de la operación, el intermediario podrá ejecutar la orden siguiendo tal instrucción, la cual se debe conservar por cualquier medio.
El intermediario de valores deberá contar con los mecanismos idóneos que le permitan acreditar que las órdenes y operaciones encomendadas fueron ejecutadas de conformidad con la política de ejecución de la entidad y en cumplimiento del deber de mejor ejecución, cuando el cliente, la Superintendencia Financiera de Colombia, los organismos de autorregulación en desarrollo de sus funciones y las autoridades competentes, se lo soliciten.
ARTÍCULO 7.3.1.1.3. DEBER DE ASESORÍA FRENTE A LOS CLIENTES INVERSIONISTAS. <Artículo modificado por el artículo 9 del Decreto 661 de 2018. El nuevo texto es el siguiente:> En adición a los deberes consagrados en el artículo anterior, los intermediarios de valores en desarrollo de las actividades de intermediación previstas en los numerales 1 y 2 del artículo 7.1.1.1.2 del presente decreto tendrán que cumplir con el deber de asesoría para con sus clientes inversionistas. Para el efecto, deberán aplicar lo dispuesto en el Libro 40 de la Parte 2 del presente decreto.
ARTÍCULO 7.3.1.1.4. APLICACIÓN DE REGLAS. <Artículo modificado por el artículo 10 del Decreto 661 de 2018. El nuevo texto es el siguiente:> Los intermediarios de valores para las actividades descritas en el numeral 4 del artículo 7.1.1.1.2 del presente decreto, estarán sometidos, en el desarrollo de la administración de los recursos de sus afiliados, inversionistas o suscriptores, al régimen normativo aplicable a la respectiva actividad.
Lo dispuesto en el Libro 40 de la Parte 2 del presente decreto complementa el régimen normativo de la intermediación en el mercado de valores, está referido a las relaciones de los intermediarios con sus clientes y por tanto los intermediarios que realicen las actividades previstas en el artículo 7.1.1.1.2 del presente decreto deberán cumplir dichas reglas en la medida que les resulten aplicables.
<Fuente original compilada: R. 400/95 Art. 1.5.3.5> Los intermediarios de valores también deberán cumplir con los deberes previstos en el presente Libro en la realización de operaciones con derivados financieros no estandarizados.
DE LA INTERMEDIACIÓN EN EL MERCADO MOSTRADOR.
ARTÍCULO 7.4.1.1.1 DEFINICIÓN DE MERCADO MOSTRADOR.
<Fuente original compilada: R. 400/95 Art. 1.5.4.1 Subrogado por el D. 1121/08> Se entiende por “mercado mostrador” aquél que se desarrolla fuera de los sistemas de negociación de valores.
ARTÍCULO 7.4.1.1.2 AUTORIZACIÓN PARA ACTUAR EN EL MERCADO MOSTRADOR.
<Fuente original compilada: R. 400/95 Art. 1.5.4.2 Subrogado por el D. 1121/08> Los intermediarios de valores podrán actuar en el mercado mostrador por cuenta propia o con recursos de terceros, según sea el caso, con cualquier contraparte, sea intermediario de valores, entidad vigilada por la Superintendencia Financiera de Colombia, “cliente inversionista” o “inversionista profesional”.
PARÁGRAFO 1. <Parágrafo modificado el artículo 126 del Decreto 1745 de 2020. El nuevo texto es el siguiente:> Las entidades de naturaleza pública deberán cumplir con las reglas y condiciones establecidas en el Título 3 de la Parte 3 del Libro 2 del Decreto 1068 de 2015 y demás normas que lo modifiquen o sustituyan.
PARÁGRAFO 2. <Parágrafo modificado por el artículo 20 del Decreto 1351 de 2019. El nuevo texto es el siguiente:> En el mercado mostrador no se podrán realizar operaciones de compra, venta, repo o simultáneas, sobre acciones o bonos convertibles en acciones de una sociedad inscrita en bolsa de valores. Lo anterior sin perjuicio de lo previsto en el parágrafo 2 del artículo 2.13.1.1.1 y el artículo 6.15.1.1.2 del presente decreto.
ARTÍCULO 7.4.1.1.3 CONTRATO DE COMISIÓN SOBRE VALORES EN EL MERCADO MOSTRADOR.
<Fuente original compilada: R. 400/95 Art. 1.5.4.3 Subrogado por el D. 1121/08> Sólo las sociedades comisionistas de bolsa de valores, las sociedades comisionistas independientes de valores y las sociedades comisionistas de bolsas de bienes y productos agropecuarios, agroindustriales o de otros commodities, cuando éstas últimas realicen dichas operaciones sobre valores, podrán actuar en nombre propio pero por cuenta ajena como intermediario de valores inscritos en el Registro Nacional de Valores y Emisores – RNVE o de valores extranjeros listados en un sistema local de cotizaciones de valores extranjeros en el mercado mostrador.
ARTÍCULO 7.4.1.1.4. REALIZACIÓN DE OPERACIONES EN EL MERCADO MOSTRADOR CON CLIENTES INVERSIONISTAS ACTUANDO COMO CONTRAPARTES. <Artículo modificado por el artículo 11 del Decreto 661 de 2018. El nuevo texto es el siguiente:> Cuando los intermediarios de valores actúen como contrapartes de clientes inversionistas en el mercado mostrador, las operaciones se deberán realizar de conformidad con las siguientes reglas:
1. Se debe efectuar un análisis de conveniencia de la operación para el cliente inversionista en los términos del artículo 2.40.1.1.7 del presente decreto. El presente numeral no será aplicable cuando el intermediario de valores preste servicios de solo ejecución conforme a lo previsto en el artículo 7.8.1.1.1 del presente decreto.
2. Se debe explicar al cliente inversionista que cuando es tratado como contraparte el intermediario actúa en posición propia y no tiene la obligación de ofrecer y suministrar recomendaciones profesionales, según lo dispuesto en el artículo 2.40.1.1.2 del presente decreto.
3. Se le debe informar al cliente inversionista los elementos y características de la operación que pretende realizar de forma oportuna, transparente y completa.
4. Las instrucciones que se reciban de los clientes inversionistas para realizar operaciones y que vayan a ser cruzadas contra la posición propia deben ser registradas en un libro de instrucciones internas que debe llevar el intermediario de valores, de conformidad con los términos y condiciones que para su funcionamiento establezca la Superintendencia Financiera de Colombia con el propósito de lograr un trato justo y transparente a los clientes inversionistas.
5. Las operaciones deben realizarse en condiciones de mercado que sean razonables para el cliente inversionista. La Superintendencia Financiera de Colombia establecerá los criterios para el cumplimiento del presente numeral, para lo cual podrá utilizar márgenes, promedios y cualquier otra referencia de mercado que considere pertinente.
6. El personal del intermediario de valores que recibe y tramita las instrucciones de los clientes inversionistas que actúan como contrapartes no deben tener responsabilidad en la fijación de las políticas y directrices del manejo de la posición propia de la entidad.
7. Cuando la operación involucre productos complejos de que trata el artículo 2.40.2.1.2. del presente decreto, el cliente inversionista debe acreditar, ante el intermediario de valores que actúa como contraparte, que de forma previa a su realización recibió una recomendación profesional, según lo dispuesto en el artículo 2.40.1.1.2 del presente decreto, por parte de un asesor autorizado y debidamente inscrito en el Registro Nacional de Profesionales del Mercado de Valores (RNPMV), que cuente además con la certificación en la modalidad de certificación que le permita esta actividad.
Los intermediarios deberán conservar por cualquier medio verificable la constancia de haber dado debido cumplimiento a lo previsto en el presente artículo.
ARTÍCULO 7.4.1.1.5. DISTRIBUCIÓN DE VALORES EMITIDOS O DE PRODUCTOS DISEÑADOS POR LOS MISMOS INTERMEDIARIOS DE VALORES EN EL MERCADO MOSTRADOR A LOS CLIENTES INVERSIONISTAS. <Artículo modificado por el artículo 12 del Decreto 661 de 2018. El nuevo texto es el siguiente:> Cuando los intermediarios de valores distribuyan directamente a clientes inversionistas los valores que emiten o los productos que estructuran o diseñen deberán contar con políticas y procedimientos que aseguren un trato transparente a los clientes. Así mismo, deberán cumplir con los criterios que establezca la Superintendencia Financiera de Colombia para el efecto y con los siguientes requerimientos mínimos:
a) Se debe realizar un análisis de conveniencia para el cliente inversionista en los términos del artículo 2.40.1.1.7 del presente decreto y de forma previa a la distribución.
b) Se debe contar con mecanismos para la prevención y administración de los conflictos de interés, incluyendo la separación entre el personal que maneja la posición propia de la entidad y el que distribuye los valores o productos a los clientes inversionistas.
c) Se debe revelar al cliente inversionista los potenciales conflictos de interés y los mecanismos utilizados para su prevención y administración.
d) Las estrategias de distribución deben ser diseñadas teniendo en cuenta que es necesario privilegiar el interés del cliente.
e) Las políticas de remuneración al personal que distribuye los valores o productos no deben generar incentivos que puedan afectar los intereses de los clientes inversionistas.
ARTÍCULO 7.4.1.1.6 OBLIGACIÓN DE REGISTRO.
<Fuente original compilada: R. 400/95 Art. 1.5.4.6 Subrogado por el D. 1121/08 Art. 3o.> Los intermediarios de valores están obligados a registrar todas las operaciones realizadas en el mercado mostrador en un sistema de registro de operaciones sobre valores autorizado por la Superintendencia Financiera de Colombia. Dicho organismo impartirá las instrucciones relativas al tiempo máximo, forma y condiciones en las cuales se deberá efectuar el registro.
PARÁGRAFO. Las colocaciones primarias de Certificados de Depósitos a Término (CDT) y sus renovaciones no deberán ser registradas en los términos del presente artículo, a menos que se trate de operaciones entre intermediarios de valores.
<Fuente original compilada: R. 400/95 Art. 1.5.4.7 Subrogado por el D. 1121/08 Art. 3o.> Las operaciones sobre valores en las que participen los intermediarios de valores en el mercado mostrador deberán ser compensadas y liquidadas por el mecanismo de entrega contra pago en los sistemas de compensación y liquidación autorizados, salvo las excepciones expresas contenidas en los reglamentos de estos sistemas autorizados por la Superintendencia Financiera de Colombia.
LIBRE CONCURRENCIA AL MERCADO.
ARTÍCULO 7.5.1.1.1 INFORMACIÓN PREVIA A LA REALIZACIÓN DE OPERACIONES.
<Fuente original compilada: D. 1802/07 Art. 1o. Modificado por el D. 1121/08 Art. 7o.> Para los efectos previstos en el literal b) del artículo 50 de la Ley 9642005, no se considera que se afecte la libre concurrencia y la interferencia de otros, cuando los participantes en los sistemas de negociación de valores de renta fija, de forma previa a la celebración de una operación sobre valores, compartan información relativa a los elementos de la misma.
<Fuente original compilada: D. 1802/07 Art. 2o.> No se considera que se obstaculice la libre concurrencia y la interferencia de otros participantes, acordar previamente los elementos esenciales de una operación sobre acciones o bonos obligatoriamente convertibles en acciones, siempre que se informe, mediante comunicación escrita dirigida a la Superintendencia Financiera de Colombia, a la bolsa de valores o sistema de negociación en el que haya de efectuarse la respectiva operación, de todas las condiciones del acuerdo previo, incluyendo la bolsa o sistema de negociación, fecha y hora en que va a ser ejecutado, cuando menos con un (1) mes de anterioridad.
Cuando se proyecte adelantar operaciones sobre acciones o bonos obligatoriamente convertibles en acciones entre un mismo beneficiario real, bastará con que la información de que trata el inciso anterior se proporcione con cinco (5) días comunes de antelación y que sea entregada, con el mismo plazo mediante comunicación escrita dirigida a la Superintendencia Financiera de Colombia, a la bolsa de valores o sistema de negociación en el que haya de efectuarse la respectiva operación. A la Superintendencia Financiera de Colombia se informarán, además, en la misma oportunidad, las circunstancias o hechos que demuestren que se trata de una transacción entre un mismo beneficiario real.
Será deber de la bolsa de valores o sistema de negociación en el que haya de efectuarse la respectiva operación hacer pública la información relativa al valor objeto de la operación, cantidad, precio, fecha de celebración y si se trata o no del mismo beneficiario real, a través de sus sitios web y boletines informativos.
Lo establecido en el presente artículo se entenderá sin perjuicio de las obligaciones de suministro de información relevante que resulten aplicables de acuerdo con la normativa vigente.
ARTÍCULO 7.5.1.1.3 OPERACIONES DE CRÉDITO PÚBLICO Y DE MANEJO DE DEUDA REALIZADAS CON LA NACIÓN.
<Fuente original compilada: D. 1802/07 Art. 3o. Modificado por el D. 1121/08 Art. 8o.> Los intermediarios de valores que hagan parte del programa de creadores de mercado de los títulos de deuda de la Nación, obrando como agentes de transferencia y registro de valores o por virtud del contrato de comisión, podrán realizar acuerdos con sus clientes tratándose de subastas en el mercado primario o de operaciones de manejo de deuda.
Los precios resultantes de las operaciones a que hace referencia el presente artículo computarán como registro válido para efectos de formación de precios sin que sea necesario acudir a un sistema de registro de operaciones sobre valores.
ARTÍCULO 7.5.1.1.4 ACUERDOS PREVIOS EN OPERACIONES DE MARTILLO.
<Fuente original compilada: D. 1802/07 Art. 4o.> Sin perjuicio de lo previsto en el artículo 7.5.1.1.2 del presente decreto, se considera que se obstaculiza la libre concurrencia y la interferencia de otros, participar en cualquier forma en compraventas de valores en las que los elementos esenciales de la operación sean acordados previamente, o en las que una o varias personas hayan asumido una obligación previa de hacer postura por todos o por parte de los valores ofrecidos o demandados, cuando las respectivas compraventas se realicen a través de los remates, martillos o subastas que se efectúen en las bolsas de valores.
ARTÍCULO 7.5.1.1.5 CONTRATOS DE LIQUIDEZ.
<Fuente original compilada: D. 1802/07 Art. 6o.> No se considera que se obstaculice la libre concurrencia y la interferencia de otros participantes, cuando se ejecuten contratos de liquidez siempre que los respectivos acuerdos previos no contemplen contrapartes individualizadas.
<Fuente original compilada: D. 1802/07 Art. 7o.> Las entidades vigiladas por la Superintendencia Financiera de Colombia, así como los intermediarios de valores no vigilados por dicha Superintendencia, deberán implementar mecanismos y controles internos adecuados para asegurar el cumplimiento de lo previsto en este Libro.
DEFINICIONES Y PRINCIPIOS ORIENTADORES.
ARTÍCULO 7.6.1.1.1 INFORMACIÓN PRIVILEGIADA. <Artículo modificado el artículo 127 del Decreto 1745 de 2020. El nuevo texto es el siguiente:>
Se considera información privilegiada aquella que está sujeta a reserva, así como la que no ha sido dada a conocer al público existiendo deber para ello. Así mismo, de conformidad con el artículo 75 de la Ley 45 de 1990 y sin perjuicio de lo dispuesto en el artículo 258 de la Ley 599 de 2000, se entenderá que es privilegiada aquella información de carácter concreto que no ha sido dada a conocer del público y que de haberlo sido la habría tenido en cuenta un inversionista medianamente diligente y prudente al negociar los respectivos valores.
ARTÍCULO 7.6.1.1.2 CONFLICTO DE INTERÉS.
<Fuente original compilada: R. 1200/95 Art. 1.1.1.1> Se entiende por conflicto de interés la situación en virtud de la cual una persona en razón de su actividad se enfrenta a distintas alternativas de conducta con relación a intereses incompatibles, ninguno de los cuales puede privilegiar en atención a sus obligaciones legales o contractuales.
Entre otras conductas, se considera que hay conflicto de interés cuando la situación llevaría a la escogencia entre (i) la utilidad propia y la de un cliente, o (ii) la de un tercero vinculado al agente y un cliente, o (iii) la utilidad del fondo (de valores) que administra y la de otro cliente o la propia, o (iv) la utilidad de una operación y la transparencia del mercado.
ARTÍCULO 7.6.1.1.3 PRINCIPIOS ORIENTADORES.
<Fuente original compilada: R. 1200/95 Art. 1.1.1.2> Para los efectos del presente decreto se consideran principios orientadores en relación con los conflictos de interés y el manejo de información privilegiada los siguientes:
a) Transparencia: Un mercado transparente es aquel en el cual es posible una apropiada formación de precios y toma de decisiones, como consecuencia de niveles adecuados de eficiencia, de competitividad y de flujos de información oportunos, suficientes y claros, entre los agentes que en el intervienen.
b) Reserva: Se entiende por tal el deber de abstenerse de revelar aquella información.
c) Utilización adecuada de la información: Los agentes que intervienen en el mercado deben abstenerse de utilizar información privilegiada para si o para un tercero.
d) Lealtad: Se entiende por tal la obligación que tienen los agentes de obrar simultáneamente de manera íntegra, franca, fiel y objetiva, con relación a todas las personas que intervienen de cualquier manera en el mercado.
Entre otras conductas, son expresión del principio de lealtad: (i) abstenerse de obrar frente a conflictos de interés; (ii) abstenerse de dar información ficticia, incompleta o inexacta; (iii) omitir conductas que puedan provocar por error la compra o venta de valores y (iv) evitar participar bajo cualquier forma en operaciones no representativas del mercado.
e) Profesionalismo: Los intermediarios en el mercado de valores siempre con fundamento en información "seria, completa y objetiva", en los términos que para el efecto este Despacho dispuso en la circular externa No. 010 de 1991 deben, en función de las necesidades del cliente, suministrar su consejo para la mejor ejecución del encargo.
f) Adecuación a la ley: Señala la exigencia de dar apropiado cumplimiento a todas las disposiciones legales, en especial a los deberes de información en ellas contenidos, subrayándose la importancia de comunicar al cliente cualquier circunstancia sobreviniente que pudiera modificar su voluntad contractual.
REGISTRO DE ÓRDENES DE OPERACIONES SOBRE VALORES.
ARTÍCULO 7.7.1.1.1 CONDICIONES Y TÉRMINOS PARA EL REGISTRO DE ÓRDENES DE OPERACIONES SOBRE VALORES.
<Fuente original compilada: D. 1121/08 Art. 9o.> La Superintendencia Financiera de Colombia establecerá las condiciones y términos para el registro de órdenes de operaciones sobre valores.
SERVICIOS DE SOLO EJECUCIÓN.
ARTÍCULO 7.8.1.1.1. SERVICIOS DE SOLO EJECUCIÓN. <Artículo adicionado por el artículo 13 del Decreto 661 de 2018. El nuevo texto es el siguiente:> Los clientes pueden solicitar que las operaciones de intermediación previstas en los numerales 1 y 2 del artículo 7.1.1.1.2 se realicen a través de servicios de solo ejecución de acuerdo con lo previsto en el presente artículo. El servicio de solo ejecución puede ser utilizado por los inversionistas profesionales para productos complejos y simples y por los clientes inversionistas únicamente para productos simples.
Cuando se utilicen los servicios de solo ejecución los intermediarios de valores no estarán obligados a suministrar a los clientes recomendaciones profesionales en los términos del artículo 2.40.1.1.2 y tampoco deberán realizar el análisis de conveniencia previsto en el artículo 2.40.1.1.7 del presente decreto.
Los clientes inversionistas pueden acceder a servicios de solo ejecución cuando se cumplan las siguientes condiciones: (i) el cliente inversionista debe solicitar el servicio de solo ejecución a través de medio verificable, (ii) la entidad debe informar al cliente inversionista, de forma previa y por medio verificable, que no tiene la obligación de suministrar una recomendación profesional en los términos del artículo 2.40.1.1.2 y tampoco la de realizar el análisis de conveniencia previsto en el artículo 2.40.1.1.7 del presente decreto, y (iii) la entidad debe certificar al cliente que está cumpliendo las políticas y procedimientos establecidos para la administración de los conflictos de interés.
PARÁGRAFO 1. La solicitud para utilizar los servicios de solo ejecución debe constar en un formato físico o electrónico, especialmente diseñado para este propósito y que acredite el cumplimiento de las condiciones mencionadas en el presente artículo. En consecuencia, la solicitud no podrá implementarse mediante una cláusula contenida en un contrato de adhesión que el cliente no tiene la posibilidad de rechazar.
PARÁGRAFO 2. Cuando se utilicen servicios de solo ejecución se deberán tener en cuenta las siguientes previsiones:
1. No será exigible lo dispuesto en el numeral 5 del literal e) del artículo 2.9.20.1.1 y en el literal e) del numeral 19 del artículo 2.11.1.8.1 del presente decreto.
2. Por ser una decisión del cliente se considera no aplicable lo previsto en el artículo 2175 del Código Civil Colombiano.
3. No es aplicable el deber de mejor ejecución previsto en el numeral 7 del artículo 7.3.1.1.2 del presente decreto.
PARÁGRAFO 3. Los productos simples y complejos de que trata el presente artículo, corresponden a los previstos en el artículo 2.40.2.1.2. del presente decreto.
INSTITUTOS DE SALVAMENTO Y PROTECCIÓN A LA CONFIANZA PÚBLICA.
PROGRAMA DE DESMONTE PROGRESIVO DE OPERACIONES DE ENTIDADES SOMETIDAS A LA VIGILANCIA DE LA SUPERINTENDENCIA FINANCIERA DE COLOMBIA.
ARTÍCULO 8.1.1.1.1 PROGRAMA DE DESMONTE PROGRESIVO.
<Fuente original compilada: D. 1335/03 Art. 1o.> De conformidad con el numeral 12 del artículo 113 del Estatuto Orgánico del Sistema Financiero, el programa de desmonte progresivo de operaciones es una medida cautelar que procede para la protección de los ahorradores e inversionistas y que busca evitar que las entidades sometidas al control y vigilancia de la Superintendencia Financiera de Colombia incurran en causal de toma de posesión o para prevenirla.
El programa de desmonte progresivo es una decisión voluntaria adoptada por el máximo órgano decisorio de la entidad vigilada que deberá ser sometido, a través de su representante legal, a la aprobación de la Superintendencia Financiera de Colombia.
El anotado Programa podrá consistir en la reducción gradual del pasivo, en la cesión de activos, pasivos y contratos, en la condonación o renuncia, por parte de accionistas o sus vinculados, a la reclamación de acreencias a favor de aquellos, o en la aceptación por dichos accionistas o vinculados a la subordinación del pago de las mencionadas acreencias al pago del resto del pasivo externo; así mismo, podrá consistir en una combinación de todas o algunas de las anteriores acciones, o en general, en la realización de actos y negocios jurídicos que conduzcan al pago del pasivo externo, teniendo en cuenta en todo caso que con la medida se busca la protección de ahorradores e inversionistas.
PARÁGRAFO. Para los efectos del presente Libro, se entiende por entidades vigiladas los establecimientos de crédito, las sociedades de servicios financieros, las entidades aseguradoras, y las sociedades capitalizadoras.
ARTÍCULO 8.1.1.1.2 SOLICITUD DE APROBACIÓN DEL PROGRAMA DE DESMONTE PROGRESIVO.
<Fuente original compilada: D. 1335/03 Art. 2o.> La solicitud de aprobación del programa de desmonte progresivo de operaciones de la entidad vigilada deberá cumplir con los siguientes requisitos:
1. Las razones en que se basa el solicitante para considerar que en el mediano plazo no podrá continuar cumpliendo con los requerimientos legales para funcionar en condiciones adecuadas.
2. Acta del máximo órgano decisorio de la entidad vigilada en la cual fue adoptada la decisión de solicitar la aprobación del programa de desmonte progresivo.
3. Presentar un programa de desmonte progresivo el cual contendrá, como mínimo, lo siguiente:
a) Estados financieros certificados que correspondan al mes inmediatamente anterior a la fecha de presentación le la solicitud;
b) La discriminación de activos y pasivos registrados por la entidad vigilada con accionistas que posean, directa o indirectamente, el cinco por ciento (5%) o más de las acciones de la misma, precisando las condiciones financieras en que los mismos fueron adquiridos y cualquier diferencia de trato favorable que se haya aplicado durante los doce meses anteriores a la presentación de la solicitud se pretenda aplicar durante la ejecución del programa de desmonte frente a otros activos o pasivos de su misma clase;
c) Plan de atención para el pago de pasivos generados por captación de recursos del público, especialmente;
d) Plan de actividades a través de las cuales será adelantado el programa;
e) Los requerimientos legales exigibles a una entidad en marcha respecto de los cuales solicita que la Superintendencia Financiera de Colombia exceptúe de su cumplimiento;
f) Provisión para el pago de las acreencias laborales, prestaciones sociales y/o indemnizaciones legales o convencionales existentes con el fin de garantizar el pago de los mismos efectuada con base en los activos que posea la institución vigilada al momento de la aprobación del programa de desmonte por parte de la Superintendencia Financiera de Colombia;
g) Plazo estimado para la ejecución del programa, el cual en ningún caso podrá ser superior a cuatro años, contados a partir de la fecha en que la Superintendencia Financiera de Colombia imparta su aprobación;
h) Tratándose de compañías aseguradoras, además, deberá incluir el plan de cumplimiento de contratos de seguro en curso, así como el manejo de las reservas técnicas destinadas para su adecuada atención, y
i) <Literal modificado el artículo 128 del Decreto 1745 de 2020. El nuevo texto es el siguiente:> En cuanto a las sociedades fiduciarias, adicionalmente, deberá incluir el programa de desmonte de los fondos de inversión colectiva administrados por tal entidad.
ARTÍCULO 8.1.1.1.3 TRÁMITE DE LA SOLICITUD.
<Fuente original compilada: D. 1335/03 Art. 3o.> La solicitud de aprobación del programa de desmonte progresivo tendrá el siguiente trámite:
a) La Superintendencia Financiera de Colombia dentro de los diez (10) días hábiles siguientes a la fecha en que le sea presentada la solicitud deberá aprobarla, formularle observaciones, solicitar la información que considere pertinente o rechazarla, por considerar que no es viable;
b) En el evento en que al programa de desmonte progresivo le hayan sido formuladas observaciones o la Superintendencia Financiera de Colombia haya solicitado información a la entidad vigilada, dentro de los diez días hábiles siguientes a la fecha en que le haya sido efectuado el requerimiento, deberá presentar una nueva propuesta en la cual hayan sido atendidas de manera completa y suficiente las observaciones formuladas o dé cumplimiento a los requerimientos de información;
c) La Superintendencia Financiera de Colombia, dentro de los cinco (5) días hábiles siguientes a la presentación del programa de desmonte progresivo con las observaciones requeridas o a la entrega del requerimiento de información, lo aprobará o rechazará, a través del acto administrativo correspondiente;
ARTÍCULO 8.1.1.1.4 APROBACIÓN DEL PROGRAMA DE DESMONTE PROGRESIVO.
<Fuente original compilada: D. 1335/03 Art. 4o.> En el caso que la Superintendencia Financiera de Colombia apruebe el programa de desmonte progresivo establecerá en el acto administrativo que así lo disponga los controles de ley y demás requerimientos legales de cuyo cumplimiento estará exceptuada la entidad, excepción cuyos efectos estarán condicionados al efectivo cumplimiento del programa de desmonte establecido, sin perjuicio de los ajustes que en relación con el mismo determine la Superintendencia.
Así mismo, la Superintendencia Financiera de Colombia, con posterioridad a la iniciación del programa de desmonte podrá modificar la excepción a controles de ley o exceptuar de nuevos controles a la entidad que adelante un programa de desmonte progresivo.
ARTÍCULO 8.1.1.1.5 VALOR DE LOS ACTIVOS DENTRO DEL PROGRAMA DE DESMONTE PROGRESIVO.
<Fuente original compilada: D. 1335/03 Art. 5o.> En el evento en que la Superintendencia Financiera de Colombia, dentro del marco de sus facultades legales, establezca que algunos o la totalidad de los activos con los cuales fue aprobado el programa de desmonte progresivo estaban sobrevaluados o que alguno o algunos de los pasivos estaban subvaluados, procederá a determinar su valor adecuado mediante un avalúo o valoración, a costa de la entidad vigilada, ordenará registrar el valor ajustado de los bienes y requerirá a la entidad para que efectúe los ajustes al programa de desmonte que llegaren a resultar como efecto del cambio en el valor de los mencionados bienes.
ARTÍCULO 8.1.1.1.6 VIGILANCIA POR LA SUPERINTENDENCIA FINANCIERA DE COLOMBIA.
<Fuente original compilada: D. 1335/03 Art. 6o.> La ejecución de un programa de desmonte progresivo por parte de la entidad que lo haya adoptado constituye una forma de ejecución del objeto social de la misma y, por lo tanto, continuará sujeta a la vigilancia de la Superintendencia Financiera de Colombia.
ARTÍCULO 8.1.1.1.7 TERMINACIÓN PROGRAMA DE DESMONTE PROGRESIVO. <Fuente original compilada: D. 1335/03 Art. 7o.>
<Inciso modificado el artículo 129 del Decreto 1745 de 2020. El nuevo texto es el siguiente:> Siempre que se haya pagado la totalidad del pasivo a favor de ahorradores e inversionistas, acreencias de las entidades aseguradoras, acreencias laborales, prestaciones sociales y/o indemnizaciones legales o convencionales la entidad vigilada podrá solicitar a la Superintendencia Financiera de Colombia la terminación del programa de desmonte progresivo para darle paso a: (i) la disolución y liquidación voluntaria de la entidad sujeto de la medida, o (ii) a la modificación del objeto social de la entidad para el desarrollo de nuevos negocios que no impliquen la realización de actividades financieras, aseguradora o de cualquier otra actividad desarrollada por entidades sujetas a la vigilancia de la Superintendencia Financiera de Colombia. La solicitud a que se refiere el numeral (ii) solo podrá ser presentada por entidades vigiladas de naturaleza privada.
La solicitud mencionada en el inciso anterior también podrá ser presentada conjuntamente por la entidad con los ahorradores, inversionistas y acreedores que voluntariamente consientan en que sus acreencias sean pagadas dentro de un proceso de liquidación voluntaria o que sean pagadas por una entidad que ya no esté sujeta a la vigilancia de la Superintendencia Financiera de Colombia, caso en el cual el pago del pasivo externo de los acreedores que expresamente consintieron en ello se dará, según corresponda, en el marco del desarrollo de los negocios de la sociedad no vigilada o dentro del proceso de liquidación, para cuyo efecto se deberá tener en cuenta que los pasivos a favor de los ahorradores y depositantes y las acreencias laborales, prestaciones sociales y/o indemnizaciones legales o convencionales deberán ser pagados con activos excluidos de la masa de la liquidación.
ARTÍCULO 8.1.1.1.8 INCUMPLIMIENTO DEL PROGRAMA DE DESMONTE PROGRESIVO.
<Fuente original compilada: D. 1335/03 Art. 8o.> El incumplimiento por parte de la entidad que lo haya adoptado podrá dar lugar a la adopción de la medida de toma de posesión de sus bienes, haberes y negocios, en los términos del literal l) del artículo 114 del Estatuto Orgánico del Sistema Financiero, adicionado por el artículo 33 de la Ley 795 de 2003.
MEDIDA DE EXCLUSIÓN DE ACTIVOS Y PASIVOS DE ESTABLECIMIENTOS DE CRÉDITO.
ARTÍCULO 8.2.1.1.1 PROCEDENCIA Y ALCANCE DE LA MEDIDA.
<Fuente original compilada: D. 2588/04 Art. 1o.> De conformidad con el numeral 11 del artículo 113 del Estatuto Orgánico del Sistema Financiero, la exclusión de activos y pasivos es una medida cautelar que procede, a juicio del Superintendente Financiero y previo concepto del Consejo Asesor de la Superintendencia Financiera de Colombia, para prevenir que un establecimiento de crédito incurra en causal de toma de posesión o para subsanarla, o que se adopta para complementar una medida de toma de posesión, y que tiene por objeto la transferencia de bienes de propiedad de la entidad sobre la que recae la medida, así como la cesión de pasivos a cargo de la misma.
ARTÍCULO 8.2.1.1.2 COORDINACIÓN INTERINSTITUCIONAL.
<Fuente original compilada: D. 2588/04 Art. 2o.> Con el fin de garantizar la coordinación interinstitucional entre la Superintendencia Financiera de Colombia y el Fondo de Garantías de Instituciones Financieras- FOGAFIN, que debe preceder a la adopción de la medida de exclusión de activos y pasivos, y establecer las implicaciones financieras que se pueden derivar para el Fondo por la implementación de la misma, así como para determinar las acciones que sería necesario desplegar en forma previa y los estimativos de tiempo requeridos para el efecto, se adelantarán las actuaciones que sean necesarias entre la Superintendencia Financiera de Colombia y el Fondo de Garantías de Instituciones Financieras-FOGAFIN. El Fondo de Garantías de Instituciones Financieras-FOGAFIN previo a la adopción de la medida de exclusión de activos y pasivos, debe producir un informe con destino a la Superintendencia Financiera de Colombia que contenga el concepto del Fondo sobre la procedencia de la medida, desde el punto de vista de las implicaciones financieras de la misma respecto del patrimonio del Fondo y respecto de la viabilidad de su implementación, en lo relacionado con la adjudicación de los pasivos que serían objeto de exclusión y la relación de correspondencia entre estos y los activos materia de exclusión, conforme a la información disponible. La Superintendencia Financiera de Colombia considerará el informe enviado por el Fondo de Garantías de Instituciones Financieras-FOGAFIN, con base en este y a su juicio determinará la procedencia de la medida.
La Superintendencia Financiera de Colombia pondrá a disposición del Fondo de Garantías de Instituciones Financieras-FOGAFIN la información de que disponga y que pueda ser relevante para el cumplimiento de las actuaciones a cargo del Fondo, sin perjuicio de la que este le solicite para el efecto.
PARÁGRAFO 1. Teniendo en cuenta su carácter de medida cautelar, la resolución mediante la cual la Superintendencia Financiera de Colombia ordene a un establecimiento de crédito adelantar la medida de exclusión de activos y pasivos será de cumplimiento inmediato y se notificará personalmente al representante legal o, si no fuere posible, mediante aviso que se fijará en las oficinas de la administración del domicilio social de la entidad. En consecuencia, el recurso de reposición no suspenderá la ejecución de la medida
PARÁGRAFO 2. Los administradores de la entidad sujeto de la medida de exclusión de activos y pasivos deberán prestar la más amplia colaboración a las autoridades para la ejecución de las decisiones adoptadas y ningún acto dispositivo sobre los activos o pasivos excluidos, diferente a la transferencia que de los mismos debe hacerse conforme a la orden impartida, podrá realizarse válidamente a partir de la notificación de la decisión que la ordena, sin la autorización expresa y escrita del Fondo de Garantías de Instituciones Financieras-FOGAFIN. Cualquier información de que dispongan los administradores y que corresponda a situaciones que puedan afectar en cualquier sentido el cumplimiento de la medida, deberá ser puesta de inmediato en conocimiento del Fondo de Garantías de Instituciones Financieras-FOGAFIN.
ARTÍCULO 8.2.1.1.3 REGLAS POR LAS CUALES SE RIGE LA EXCLUSIÓN DE ACTIVOS Y PASIVOS.
<Fuente original compilada: D. 2588/04 Art. 3o.> La medida de exclusión de activos y pasivos se adelantará dando cumplimiento a las siguientes reglas:
1. Pasivos a excluir: De conformidad con el artículo 113, numeral 11, literal a) del Estatuto Orgánico del Sistema Financiero son objeto de exclusión los pasivos originados en la captación de depósitos del público a la vista o a término, que son aquellos cubiertos por el seguro de depósitos que administra el Fondo de Garantías de Instituciones Financieras-FOGAFIN.
En caso de que la Superintendencia Financiera de Colombia, dentro del marco de sus facultades legales, establezca la existencia de pasivos subvaluados o sobrevaluados, procederá a ordenar los ajustes contables a que haya lugar, con anterioridad a la adopción de la misma.
La transferencia de los pasivos resultantes de la exclusión se producirá de pleno derecho, sin perjuicio del aviso que se dará a los titulares de los pasivos objeto de exclusión respecto de la medida adoptada. La publicación del mencionado aviso la efectuará el Fondo de Garantías de Instituciones Financieras-FOGAFIN en un diario de amplia circulación nacional, dentro de los tres (3) días hábiles siguientes a la adopción de la medida de exclusión de activos y pasivos, en el cual se indicará el alcance de la misma respecto de los pasivos, de acuerdo con lo dispuesto por la Superintendencia Financiera de Colombia, y el o los puntos de atención establecidos para informar a los titulares de los pasivos excluidos sobre la entidad o entidades a las cuales fueron transferidos los mismos, así como el período en que dichos puntos de atención estarán operando, que no será inferior a quince (15) días hábiles.
Además de lo anterior, la entidad que haya adquirido un pasivo excluido enviará al titular del mismo una comunicación a la última dirección que tuviere registrada en la entidad sujeto de la medida, tan pronto como le sea posible, en la que le informará sobre la medida adoptada, la transferencia realizada, los cambios que se hayan dispuesto por el Fondo de Garantías de Instituciones Financieras- FOGAFIN en cuanto a las condiciones del depósito, la oficina en la que en principio se radicará el mismo y los demás aspectos que se consideren necesarios, todo con el fin de procurar que se preserve de la mejor manera la prestación del servicio al respectivo usuario.
2. Para la exclusión de los pasivos a los establecimientos de crédito de que trata el numeral primero del presente artículo, en cumplimiento de lo dispuesto en el artículo 113, numeral 11, literal b) del Estatuto Orgánico del Sistema Financiero, se procederá de la siguiente forma:
Una vez adoptada la medida de exclusión, el Fondo de Garantías de Instituciones Financieras-FOGAFIN convocará a una subasta a los demás establecimientos de crédito diferentes al sujeto de la medida, la cual se deberá realizar tan pronto como sea posible, a juicio del Fondo, con el objeto de que dichos establecimientos de crédito presenten posturas de adjudicación de los pasivos excluidos. Al hacer la convocatoria, que se surtirá mediante comunicación dirigida a todos los establecimientos de crédito con aptitud legal de participar, el Fondo dispondrá la forma bajo la cual se realizará la subasta que podrá efectuarse en cualquier día hábil o no hábil.
Tendrán aptitud legal para participar en la subasta los establecimientos de crédito que, de acuerdo con el último reporte remitido a la Superintendencia Financiera de Colombia para el momento de la adopción de la medida de exclusión de activos y pasivos, se encuentren cumpliendo las normas de capital adecuado.
3. El establecimiento de crédito que es sujeto de la medida de exclusión de activos y pasivos tendrá a su cargo el manejo de los pasivos excluidos mientras se perfecciona la transferencia, para cuyo efecto deberá atender las directrices e instrucciones que imparta el Fondo de Garantías de Instituciones Financieras- FOGAFIN.
4. La junta directiva del Fondo de Garantías de Instituciones Financieras- FOGAFIN, determinará en cada caso, el procedimiento, y los destinatarios de las transferencias de los pasivos objeto de exclusión.
La Superintendencia Financiera de Colombia a solicitud del Fondo de Garantías de Instituciones Financieras-FOGAFIN, suministrará la información de la que disponga o pueda disponer y que a juicio de aquel sea necesaria para el ejercicio de la facultad prevista en este numeral.
5. La junta directiva del Fondo de Garantías de Instituciones Financieras- FOGAFIN definirá, en cada caso, las condiciones en las cuales podrá ordenarse la reprogramación de plazos y/o la reducción de tasas, según corresponda, de conformidad con lo previsto en el artículo 320, numeral 10 literales a) y b) del Estatuto Orgánico del Sistema Financiero. Teniendo en cuenta la naturaleza cautelar de la medida de exclusión de activos y pasivos, las decisiones adoptadas, que tienen carácter obligatorio para las partes, serán de cumplimiento inmediato, sin perjuicio de los recursos que se lleguen a formular contra la decisión.
Para la adopción de las decisiones sobre reprogramación de vencimientos, sobre determinación de plazos o sobre reducción obligatoria de tasas de interés, la Superintendencia Financiera de Colombia le suministrará al Fondo de Garantías de Instituciones Financieras-FOGAFIN la información requerida por esta entidad para el cumplimiento de ese objetivo.
6. Activos a excluir: La Superintendencia Financiera de Colombia, en el acto administrativo mediante el cual se adopte la medida de exclusión de activos y pasivos, determinará los activos a excluir conforme a la selección que de ellos haya efectuado previamente el Fondo de Garantías de Instituciones Financieras- FOGAFIN. Asimismo, ordenará al establecimiento de crédito cumplir las siguientes reglas u obligaciones:
a) La constitución de la provisión de que trata el numeral 13 del artículo 113 del Estatuto Orgánico del Sistema Financiero; y
b) La realización de todos aquellos ajustes contables que la Superintendencia Financiera de Colombia considere necesarios, dentro del marco legal de sus facultades.
PARÁGRAFO. Con el objeto de disponer de la información que permita determinar con la oportunidad requerida el monto de la provisión que, en el evento de adopción de una medida de exclusión de activos y pasivos, debe constituirse por la entidad que es sujeto de la misma para el pago de las acreencias laborales, prestaciones sociales y/o indemnizaciones legales o convencionales existentes, para garantizar el pago de los mismos, la Superintendencia Financiera de Colombia adoptará las medidas para que los establecimientos de crédito dispongan, dentro de los plazos que para el efecto se establezcan, de programas de computador que permitan hacer en forma automática los cálculos necesarios, así como también las medidas en orden a que las entidades mantengan en todo tiempo bases de datos actualizadas con la información del personal necesaria para hacer los referidos cálculos.
7. Con cargo al patrimonio que se conforme con los activos excluidos se emitirán títulos representativos de derechos sobre dichos activos, por un monto equivalente al de los pasivos excluidos, cuyas clases y condiciones serán fijadas por la junta directiva del Fondo de Garantías de Instituciones Financieras-FOGAFIN, conforme a las siguientes reglas:
a) Plazo: El plazo de vencimiento de los títulos emitidos no puede exceder la duración del patrimonio constituido en desarrollo de la medida de exclusión;
b) Tasa: La tasa promedio de los títulos a emitir no será superior a la tasa promedio ponderada a la que rentan los activos excluidos, descontados los costos de administración del patrimonio y el efecto estimado de los activos improductivos en el flujo de caja del patrimonio, todo según la estimación que con la información disponible haga el Fondo de Garantías de Instituciones Financieras-FOGAFIN al momento de establecer las condiciones de los títulos.
En todo caso, la determinación que al respecto adopte el Fondo no constituye garantía de pago del capital o de los intereses de los títulos que emita el patrimonio constituido con los activos excluidos, siendo entendido que el administrador del mismo asume obligaciones de medio y no de resultado en relación con la gestión a su cargo;
c) Condiciones equivalentes: La junta establecerá que los títulos a entregar al Banco de la República tendrán condiciones equivalentes a aquellos a entregar a los establecimientos de crédito.
8. Los títulos de que trata el artículo 113, numeral 11, literal g) del Estatuto Orgánico del Sistema Financiero, emitidos por el patrimonio constituido conforme a lo establecido en el literal c) del mismo artículo, podrán ser pagados a los receptores de tales títulos en bienes que hayan sido transferidos a dicho patrimonio o que se hayan generado por el mismo, incluso antes de su vencimiento:
a) Cuando la decisión sea adoptada por un número plural de acreedores que represente la mitad más uno del valor insoluto de los títulos emitidos en la fecha en que se adopte la decisión. Para el efecto, el administrador del patrimonio constituido con los activos excluidos hará la citación a solicitud de tenedores de títulos que representen el veinte por ciento (20%) o más del valor insoluto de dichos títulos en circulación, citación que se hará en la forma que se indique en el contrato que se celebre con dicho administrador; y
b) Cuando quiera que los recursos disponibles sean insuficientes para cubrir los gastos de administración de los bienes existentes en el patrimonio constituido con los activos excluidos y los tenedores de los títulos no provean los recursos necesarios para cubrir dichos gastos a requerimiento del administrador del patrimonio constituido con los activos excluidos.
9. Al patrimonio constituido en desarrollo de la medida de exclusión de activos y pasivos deben ser transferidos activos por un valor equivalente al de los pasivos excluidos, cuando esto sea posible. En cuanto a los activos deberán descontarse las especies identificables que perteneciendo a otras personas se encuentren en poder de la entidad sujeto de la medida y estén registradas en el balance, así como descontando también el efecto de la provisión a que se refiere el literal a) del numeral 6 del presente artículo. Adicionalmente, serán transferidos a dicho patrimonio activos por la diferencia positiva, si la hay, entre los activos restantes y el pasivo externo, cuyo pago quedará a cargo del establecimiento de crédito que es sujeto de la medida. Para tal efecto, deberá tenerse en cuenta el último balance disponible, con inclusión de los ajustes contables que haya ordenado la Superintendencia Financiera de Colombia, cuando fuere del caso.
10. Los activos que equivalgan al valor de la provisión constituida con arreglo al numeral 13 del artículo 113 del Estatuto Orgánico del Sistema Financiero y a lo previsto en el literal a) del numeral 6 del presente artículo, se destinarán preferentemente al pago de las obligaciones a que la primera disposición mencionada se refiere y el remanente, si lo hubiere, podrá destinarse al pago de otras acreencias de las que conforman el pasivo externo a cargo de la entidad sujeto de la medida de exclusión de activos y pasivos.
ARTÍCULO 8.2.1.1.4 IMPLICACIÓN DE LA TRANSFERENCIA DE ACTIVOS Y PASIVOS OBJETO DE EXCLUSIÓN.
<Fuente original compilada: D. 2588/04 Art. 4o.> La transferencia de los activos objeto de la medida de exclusión supone la transferencia de las garantías, privilegios o derechos asociados con los mismos, así como también conlleva la asunción de las obligaciones conexas o derivadas de dichos créditos.
ARTÍCULO 8.2.1.1.5 PROGRAMA DE AJUSTE.
<Fuente original compilada: D. 2588/04 Art. 5o.> Los establecimientos de crédito a los cuales se transfieran los pasivos a que se refiere el literal b), numeral 11 del artículo 113 del Estatuto Orgánico del Sistema Financiero podrán, por separado, convenir con la Superintendencia Financiera de Colombia programas de ajuste en los cuales cuando sea del caso se determinarán reglas especiales para el cumplimiento de normas relacionadas con contribuciones a la Superintendencia Financiera de Colombia, límites a la concentración de inversiones, normas de regulación prudencial en cuyo respectivo régimen legal se contemple expresamente esta posibilidad, considerando para el efecto, la implicación que para el establecimiento de crédito solicitante tenga la recepción de los títulos que se entregan como contrapartida de los pasivos asumidos en virtud de la transferencia que se deriva de la exclusión.
El Superintendente Financiero establecerá las condiciones en las que se deberá suscribir cada programa de ajuste, los cuales en cada caso podrán tener una duración de un (1) año, prorrogable por uno más.
Vencido el término de duración del programa de ajuste convenido, el respectivo establecimiento de crédito deberá dar cumplimiento a las disposiciones a que se refiere el presente artículo en la forma ordinaria.
<Fuente original compilada: D. 2588/04 Art. 6o.> Las obligaciones que asuma el Fondo de Garantías de Instituciones Financieras- FOGAFIN por concepto de la suscripción de títulos de deuda subordinada y por el otorgamiento de otros apoyos para darle liquidez a los activos excluidos, con arreglo a lo previsto en los literales f) y h) del numeral 11 del artículo 113 del Estatuto Orgánico del Sistema Financiero, no podrán superar el valor del pago que el Fondo haría por concepto de seguro de depósitos en caso de que la entidad entrara en un proceso de liquidación, sin perjuicio de lo establecido en el numeral 6 del artículo 320 del mismo Estatuto.
ARTÍCULO 8.2.1.1.7 LIQUIDACIÓN DEL ESTABLECIMIENTO DE CRÉDITO OBJETO DE LA MEDIDA.
<Fuente original compilada: D. 2588/04 Art. 7o.> El establecimiento de crédito que sea sujeto de la medida de exclusión de activos y pasivos podrá ser sujeto de toma de posesión para liquidar en los términos del Estatuto Orgánico del Sistema Financiero.
<Fuente original compilada: D. 2588/04 Art. 8o.> Dentro de los activos excluidos deberán quedar comprendidos aquellos que eventualmente pudieran quedar en el balance del establecimiento de crédito sujeto de la medida de exclusión de activos y pasivos, una vez cancelado el pasivo externo, caso en el cual los activos deberán ser transferidos tan pronto como sea posible, previa autorización del Fondo de Garantías de Instituciones Financieras-FOGAFIN, la cual podrá ser negada cuando, a juicio de quien se determine en el contrato que se celebre para la administración del patrimonio constituido con los activos excluidos, la capacidad de generación de efectivo de los activos a transferir no sea positiva, teniendo en cuenta los gastos en que se deba incurrir para cumplir con ese cometido o cuando la calidad o el eventual valor de realización de los activos a transferir o su situación jurídica no lo justifiquen.
<Fuente original compilada: D. 2588/04 Art. 9o.> De conformidad con el parágrafo del artículo 113 del Estatuto Orgánico del Sistema Financiero, la exclusión de activos y pasivos será también aplicable dentro del marco de un proceso de reorganización o de un proceso de desmonte total o parcial de una institución financiera que tenga el carácter de establecimiento de crédito y en cuyo capital participe mayoritariamente la Nación, el Fondo de Garantías de Instituciones Financieras-FOGAFIN u otras entidades de derecho público.
Para el efecto, el Fondo de Garantías de Instituciones Financieras-FOGAFIN, siempre que a su juicio la medida pueda ser aplicada, elaborará un documento que contenga las bases sobre las cuales se podrá realizar la exclusión de activos y pasivos, de acuerdo a la información que le provea la Superintendencia Financiera de Colombia y la que le suministre la entidad que sería destinataria de la medida, el cual deberá ser aprobado por el máximo órgano social de la entidad financiera pública que vaya a ser sujeto de dicha medida. En el mencionado documento se indicará cuáles son los pasivos que, en adición a los previstos en el artículo 113, numeral 11, literal a) del Estatuto Orgánico del Sistema Financiero pueden ser excluidos del proceso a seguir para la exclusión y, en el evento en que se haya previsto, los términos bajo los cuales se otorgaría garantía para respaldar los activos transferidos, con cargo a recursos del presupuesto nacional que se asignen para tal fin.
ARTÍCULO 8.2.1.1.10 NORMAS APLICABLES AL FONDO DE GARANTÍAS DE ENTIDADES COOPERATIVAS-FOGACOOP.
<Fuente original compilada: D. 2588/04 Art. 10> Para los efectos previstos en el Estatuto Orgánico del Sistema Financiero, artículo 113, numeral 11, las menciones al Fondo de Garantías de Instituciones Financieras -FOGAFIN que se hagan en el presente Libro, se entenderán también efectuadas al Fondo de Garantías de Entidades Cooperativas- FOGACOOP, siempre que se trate de operaciones realizadas con entidades cooperativas inscritas en dicho Fondo.
PROCEDIMIENTOS DE LIQUIDACIÓN.
DISPOSICIONES GENERALES DE PROCEDIMIENTOS DE TOMA DE POSESIÓN Y DE LIQUIDACIÓN FORZOSA ADMINISTRATIVA.
NORMAS GENERALES SOBRE TOMA DE POSESIÓN.
MEDIDAS Y EFECTOS.
ARTÍCULO 9.1.1.1.1 TOMA DE POSESIÓN Y MEDIDAS PREVENTIVAS.
<Fuente original compilada: D. 2211/04 Art. 1o.> De conformidad con el artículo 115 del Estatuto Orgánico del Sistema Financiero, modificado por el artículo 21 de la Ley 510 de 1999, la toma de posesión tendrá por objeto establecer si la entidad vigilada debe ser objeto de liquidación; si es posible colocarla en condiciones de desarrollar adecuadamente su objeto social, o si se pueden realizar otras operaciones que permitan lograr mejores condiciones para que los depositantes, ahorradores e inversionistas puedan obtener el pago total o parcial de sus acreencias. La decisión correspondiente deberá adoptarse por la Superintendencia Financiera de Colombia en un término no mayor de dos (2) meses contados a partir de la fecha de la toma de posesión, prorrogables por un término igual por dicha entidad, previo concepto del Fondo de Garantías de Instituciones Financieras-FOGAFIN.
Para el efecto, la Superintendencia Financiera de Colombia y el Fondo de Garantías de Instituciones Financieras-FOGAFIN durante dicho plazo, mantendrán mecanismos de coordinación e intercambio de información sobre los antecedentes, situación de la entidad, posibles medidas a adoptar y demás acciones necesarias, para lo cual designarán a los funcionarios encargados de las distintas labores derivadas del proceso.
Lo anterior no impedirá que la Superintendencia Financiera de Colombia adopte las medidas previstas en el inciso tercero del artículo 115 del Estatuto Orgánico del Sistema Financiero, modificado por el artículo 21 de la Ley 510 de 1999.
El acto administrativo que ordene la toma de posesión de los bienes, haberes y negocios de una institución vigilada por la Superintendencia Financiera de Colombia dispondrá las siguientes medidas preventivas:
1. Medidas preventivas obligatorias.
a) <Literal modificado el artículo 130 del Decreto 1745 de 2020. El nuevo texto es el siguiente:> La separación de los administradores, directores, y de los órganos de administración y dirección, así como del revisor fiscal, salvo en los casos que la Superintendencia Financiera de Colombia determine lo contrario, de conformidad con el artículo 116 del Estatuto Orgánico del Sistema Financiero, sin perjuicio de la facultad de removerlos con posterioridad. En caso de remoción del Revisor Fiscal, su reemplazo será designado por el Fondo de Garantías de Instituciones Financieras- FOGAFIN.
b) La orden de registro del acto administrativo que dispone la toma de posesión en la cámara de comercio del domicilio de la intervenida y en las del domicilio de sus sucursales; y, si es del caso, la de los nombramientos de los administradores y del revisor fiscal;
c) La comunicación al Fondo de Garantías de Instituciones Financieras-FOGAFIN para que proceda a nombrar el agente especial;
d) La comunicación a los jueces de la República y a las autoridades que adelanten procesos de jurisdicción coactiva, sobre la suspensión de los procesos de la ejecución en curso y la imposibilidad de admitir nuevos procesos de esta clase contra la entidad objeto de toma de posesión con ocasión de obligaciones anteriores a dicha medida, y la obligación de dar aplicación a las reglas previstas por los artículos 20 y 70 de la Ley 1116 de 2006;
e) La advertencia que, en adelante, no se podrá iniciar ni continuar procesos o actuación alguna contra la intervenida sin que se notifique personalmente al agente especial, so pena de nulidad;
f) La comunicación a la Superintendencia de Notariado y Registro, para que dicha entidad mediante circular ordene a todos los registradores de instrumentos públicos que dentro de los treinta días siguientes a la toma de posesión, realicen las siguientes actividades y se abstengan de adelantar las que se mencionan a continuación:
Informar al agente especial sobre la existencia de folios de matrícula en los cuales figure la entidad intervenida como titular de bienes o cualquier clase de derechos; disponer el registro de la toma de posesión en los folios de matrícula de los bienes inmuebles de la institución financiera intervenida; cancelar los embargos decretados con anterioridad a la fecha de la adopción de la medida de toma de posesión que afecten los bienes de la intervenida; y cancelar los gravámenes que recaigan sobre los bienes de la institución financiera intervenida a solicitud elevada sólo por el agente especial mediante oficio.
Se deberá advertir además a los registradores para que se abstengan de cancelar los gravámenes constituidos a favor de la intervenida sobre cualquier bien cuya mutación esté sujeta a registro, salvo expresa autorización del agente especial; así como de registrar cualquier acto que afecte el dominio de bienes de propiedad de la intervenida a menos que dicho acto haya sido realizado por la persona mencionada, caso en el cual deben cancelar la respectiva anotación sobre el registro de toma de posesión;
g) La comunicación al Ministerio de Transporte, para que dicha entidad directamente o mediante solicitud a todas las secretarias de tránsito y transporte proceda a realizar la inscripción de la medida de toma de posesión en el registro de automotores correspondiente o en el registro único nacional de tránsito; para que cancelen los embargos decretados con anterioridad a la fecha de la adopción de la medida de toma de posesión que afecten los vehículos de la intervenida; para que cancelen los gravámenes que recaigan sobre los vehículos de la institución financiera intervenida a solicitud unilateral del agente especial mediante oficio; para que se abstengan de cancelar los gravámenes constituidos sobre vehículos a favor de la institución financiera intervenida, cuya mutación esté sujeta a registro, salvo expresa autorización del agente especial; y para que se abstengan de registrar cualquier acto que afecte el dominio de vehículos de propiedad de la intervenida a menos que dicho acto haya sido realizado por la persona mencionada;
h) La prevención a todo acreedor, y en general a cualquier persona que tenga en su poder activos de propiedad de la institución financiera intervenida, para que proceda de manera inmediata a entregar dichos activos al agente especial;
i) La advertencia de que el agente especial está facultado para poner fin a cualquier clase de contrato existentes al momento de la toma de posesión, si los mismos no son necesarios. Si se decide la liquidación, los derechos causados hasta la fecha de la intervención serán reconocidos y pagados de conformidad con las reglas que rigen el proceso de liquidación forzosa administrativa, especialmente las previstas en el presente Libro;
j) La prevención a los deudores de la intervenida de que sólo podrán pagar al agente especial, advirtiendo la inoponibilidad del pago hecho a persona distinta, así como el aviso a las entidades sometidas al control y vigilancia de la Superintendencia Financiera de Colombia sobre la adopción de la medida, para que procedan de conformidad;
k) La prevención a todos los que tengan negocios con la intervenida, de que deben entenderse exclusivamente con el agente especial, para todos los efectos legales;
l) La designación del funcionario comisionado para ejecutar la medida, quien podrá solicitar que se decreten y practiquen las medidas necesarias para dar cumplimiento a la toma de posesión.
2. Medidas preventivas facultativas. El acto administrativo podrá disponer también las siguientes medidas:
a) La separación de los administradores, directores, y de los órganos de administración y dirección así como del revisor fiscal, salvo en los casos que la Superintendencia Financiera de Colombia determine lo contrario, de conformidad con el artículo 116 del Estatuto Orgánico del Sistema Financiero, sin perjuicio de la facultad de removerlos con posterioridad. En caso de remoción del Revisor Fiscal, su reemplazo será de signado por el Fondo de Garantías de Instituciones Financieras-FOGAFIN;
b) La orden de suspensión de pagos de las obligaciones causadas hasta el momento de la toma de posesión, cuando sea del caso, sin perjuicio de la facultad de ordenar esta medida posteriormente.
PARÁGRAFO 1. Para todos los efectos y especialmente para los previstos en el literal n) del numeral 9 del artículo 295 del Estatuto Orgánico del Sistema Financiero, la Superintendencia Financiera de Colombia deberá poner a disposición del representante legal de la entidad intervenida, los documentos que dieron origen a la toma de posesión.
PARÁGRAFO 2. (Modificado por el D. 1456/07 Art. 11) En desarrollo de la facultad de suspender los pagos, la Superintendencia Financiera de Colombia, de acuerdo con la situación de la entidad y las causas que originaron la toma de posesión, podrá disponer, entre otras condiciones, que esta sea general, o bien que opere respecto de determinado tipo de obligaciones en particular y/o hasta por determinado monto, en todo caso, deberán cumplirse las operaciones realizadas por la entidad o por cuenta de ella en el mercado de valores antes de la toma de posesión, cuyas órdenes de transferencia hubieren sido aceptadas por el respectivo sistema de compensación y liquidación, con anterioridad a la notificación de la medida a dicho sistema. Así mismo, podrán cumplirse las operaciones realizadas en el mercado de valores cuyas órdenes de transferencia no hubieren sido aceptadas por un sistema de compensación y liquidación de operaciones sobre valores, cuando, a juicio de la Superintendencia Financiera de Colombia, ello sea conveniente para la entidad intervenida, La Superintendencia Financiera de Colombia deberá notificar personalmente la medida de toma de posesión, de manera inmediata, a los representantes legales de las entidades administradoras de sistemas de compensación y liquidación de valores en los cuales actúe como participante la entidad intervenida.
<Inciso modificado el artículo 130 del Decreto 1745 de 2020. El nuevo texto es el siguiente:> En todo caso, el representante legal de la entidad objeto de toma de posesión podrá realizar los gastos administrativos de que trata el artículo 9.1.3.5.2 del presente decreto.
PARÁGRAFO 3. Cuando quiera que al decretar la toma de posesión de una entidad la Superintendencia Financiera de Colombia encuentre acreditado que la misma debe ser liquidada, podrá disponer la liquidación en el mismo acto.
ARTÍCULO 9.1.1.1.2 MEDIDAS DURANTE LA POSESIÓN.
<Fuente original compilada: D. 2211/04 Art. 2o.> Durante la posesión, incluyendo la liquidación, se podrán adoptar, además de las medidas previstas en el artículo anterior, las siguientes, sin perjuicio de aquellas dispuestas por el Estatuto Orgánico del Sistema Financiero y normas complementarias:
1. De acuerdo con el numeral 10 del artículo 291 del Estatuto Orgánico del Sistema Financiero, modificado por el artículo 24 de la Ley 510 de 1999, las medidas que adopte la Superintendencia Financiera de Colombia para colocar a la entidad en condiciones de desarrollar adecuadamente su objeto social, u otras operaciones dirigidas a lograr mejores condiciones para que los depositantes, ahorradores e inversionistas puedan obtener el pago total o parcial de sus acreencias podrá incluir además de las previstas en dicho numeral, otros institutos de salvamento de la confianza pública consagrados en el Estatuto Orgánico del Sistema Financiero y normas complementarias, así como la entrega de la entidad a los accionistas previa suscripción de compromisos específicos, y/o aquellas que determine la entidad de vigilancia y control.
2. Durante todo el proceso, incluyendo la administración de la entidad o su liquidación, podrán celebrarse acuerdos entre los acreedores y la entidad intervenida, los cuales se sujetarán a las siguientes reglas:
a) <Literal modificado el artículo 131 del Decreto 1745 de 2020. El nuevo texto es el siguiente:> Podrán ser aprobados por el voto favorable del cincuenta y uno por ciento (51%) de las acreencias y como mínimo de la mitad más uno de los acreedores, incluyendo en este cómputo el valor de los depósitos en que el Fondo de Garantías de Instituciones Financieras- FOGAFIN- se haya subrogado. En los demás aspectos dichos acuerdos se sujetarán en lo pertinente a las normas del régimen de insolvencia empresarial.
b) Los acuerdos serán aplicables a todos los acreedores cuando hayan sido aprobados con la mayoría prevista en el literal anterior;
c) Para la aceptación de fórmulas de adjudicación, los acreedores podrán votar en asambleas presenciales o mediante voto escrito enviado por correo o por cualquier otro mecanismo. Para tal efecto el liquidador remitirá las propuestas de pago o fórmulas de adjudicación a la última dirección registrada por los acreedores;
d) La entrega de bienes a título de dación en pago podrá ser objeto de los acuerdos de acreedores.
3. Las operaciones realizadas antes de la toma de posesión por la entidad o por cuenta de ella en el mercado de valores deberán ser cumplidas en el plazo acordado, siempre que se trate de operaciones cuyas respectivas órdenes hayan sido aceptadas para su compensación y liquidación.
Las garantías que respaldan estas operaciones se harán efectivas conforme a las reglas previstas para la compensación y liquidación o para el depósito de valores, así como a las disposiciones aplicables al acto jurídico mediante el cual se constituyeron, por lo que para hacerse efectivas no deberán sujetarse a procedimientos de reconocimiento de créditos o a cualquier otro acto jurídico de naturaleza similar.
Si de la ejecución del negocio jurídico para asegurar las obligaciones y cumplidas éstas en su totalidad queda algún remanente, este deberá ponerse a disposición de la entidad objeto de la toma de posesión.
En el caso de títulos depositados en depósitos de valores, las anotaciones en cuenta correspondientes a derechos y garantías, así como los bienes sobre los cuales recaen tales derechos no formarán parte de la masa de la liquidación, en caso que esta se decida.
4. El Fondo de Garantías de Instituciones Financieras-FOGAFIN en desarrollo de la facultad consagrada en el numeral 11 del artículo 295 del Estatuto Orgánico del Sistema Financiero, modificado por el artículo 59 de la Ley 795 de 2003, designará en los mismos términos en que efectúa la designación y posesión del representante legal principal, al funcionario de la entidad intervenida que tendrá la representación legal frente a las ausencias temporales o definitivas del principal. Para dichos efectos, el Fondo evaluará previamente tanto la idoneidad profesional como personal del respectivo funcionario, cuya remuneración no será modificada como consecuencia del ejercicio de la representación legal o de la designación, la cual deberá registrarse ante la cámara de comercio del domicilio de la intervenida.
5. Ante la necesidad de proteger los activos y evitar su pérdida de valor, se podrá proceder a la enajenación de los mismos, para cuyo efecto, se seguirá el procedimiento previsto en el presente Libro para la enajenación de activos en caso de urgencia.
ARTÍCULO 9.1.1.1.3 CUMPLIMIENTO Y NOTIFICACIÓN DE LA DECISIÓN DE TOMA DE POSESIÓN.
<Fuente original compilada: D. 2211/04 Art. 3o.> De conformidad con el artículo 291 del Estatuto Orgánico del Sistema Financiero, la decisión de toma de posesión será de cumplimiento inmediato a través del funcionario comisionado para el efecto por el Superintendente Financiero de Colombia y si la misma no se puede notificar personalmente al representante legal, se notificará por un aviso que se fijará por un día en lugar público de las oficinas de la administración del domicilio social.
Las medidas cautelares y la toma de posesión que en ejercicio de sus funciones adopte la Superintendencia Financiera de Colombia, serán de aplicación inmediata.
Sin perjuicio de su cumplimiento inmediato, dentro de los tres (3) días siguientes a la fecha en que se haga efectiva la medida, la resolución por la cual se adopte se publicará por una sola vez en un diario de circulación nacional y en el boletín del Ministerio de Hacienda y Crédito Público, capítulo de la Superintendencia Financiera de Colombia y se divulgará a través de los mecanismos de información electrónica de que disponga la Superintendencia.
ARTÍCULO 9.1.1.1.4 INVENTARIO EN LA TOMA DE POSESIÓN.
<Fuente original compilada: D. 2211/04 Art. 4o.> Dentro del mes siguiente a la fecha en que el Superintendente Financiero de Colombia haya tomado posesión de una entidad vigilada, el agente hará un inventario preliminar de los activos y pasivos de la misma. Dicho plazo podrá ser prorrogado por la Superintendencia Financiera de Colombia.
DEL AGENTE ESPECIAL.
ARTÍCULO 9.1.1.2.1 COMPETENCIA DEL AGENTE ESPECIAL.
<Fuente original compilada: D. 2211/04 Art. 5o.> Mientras no se disponga la liquidación, la representación legal de la entidad estará en cabeza del agente especial. El agente especial podrá actuar como liquidador.
ARTÍCULO 9.1.1.2.2 NATURALEZA DE LAS FUNCIONES DEL AGENTE ESPECIAL.
<Fuente original compilada: D. 2211/04 Art. 6o.> De conformidad con el artículo 291 del Estatuto Orgánico del Sistema Financiero, modificado por el artículo 24 de la Ley 510 de 1999, los agentes especiales ejercen funciones públicas transitorias, sin perjuicio de la aplicabilidad, cuando sea el caso, de las reglas de derecho privado a los actos que ejecuten en nombre de la entidad objeto de la toma de posesión.
El agente especial deberá tomar posesión ante el Fondo de Garantías de Instituciones Financieras-FOGAFIN y la Superintendencia Financiera de Colombia. Para efectos de dar la publicidad correspondiente la designación y las posesiones deberán inscribirse en la cámara de comercio del domicilio principal de la entidad y en las demás ciudades en las cuales la misma tenga sucursales. Sin perjuicio del deber de cumplir con la inscripción en la cámara de comercio, tanto el agente especial como el revisor fiscal asumirán las respectivas funciones a partir de la posesión de los respectivos cargos.
En la medida en que los agentes especiales deben posesionarse ante la Superintendencia Financiera de Colombia, el Fondo de Garantías de Instituciones Financieras-FOGAFIN deberá designar como agente especial, personas que se encuentren en posibilidad de cumplir con los requisitos exigidos por la entidad de vigilancia y control, para dar posesión a los administradores de entidades financieras sometidas a su vigilancia.
ARTÍCULO 9.1.1.2.3 SEGUIMIENTO DE LA ACTIVIDAD DEL AGENTE ESPECIAL.
<Fuente original compilada: D. 2211/04 Art. 7o.> De conformidad con el artículo 291 numeral 7 del Estatuto Orgánico del Sistema Financiero modificado por el artículo 24 de la Ley 510 de 1999, corresponde al Fondo de Garantías de Instituciones Financieras-FOGAFIN realizar el seguimiento de la actividad del agente especial, sin perjuicio de la vigilancia de la Superintendencia Financiera de Colombia sobre la entidad intervenida, mientras no se disponga su liquidación.
ARTÍCULO 9.1.1.2.4 FUNCIONES DEL AGENTE ESPECIAL.
<Fuente original compilada: D. 2211/04 Art. 8o.> Corresponde al agente especial la administración general de los negocios de la entidad intervenida. Las actividades del agente especial están orientadas por la defensa del interés público, la estabilidad del sector financiero, y la protección de los acreedores y depositantes de la entidad intervenida. El agente especial tendrá los siguientes deberes y facultades:
1. Actuar como representante legal de la intervenida y en tal calidad desarrollar todas las actividades necesarias para la administración de la sociedad y ejecutar todos los actos pertinentes para el desarrollo del objeto social.
2. Si es del caso, separar en cualquier momento los administradores y directores de la intervenida que no hayan sido separados por la Superintendencia Financiera de Colombia en el acto que ordenó la toma de posesión.
3. Promover la celebración de acuerdos de acreedores, de conformidad con lo señalado en el numeral 19 del artículo 291 del Estatuto Orgánico del Sistema Financiero, modificado por el Artículo 24 de la Ley 510 de 1999.
4. Adelantar el recaudo de los dineros y la recuperación de los activos que por cualquier concepto deban ingresar a la entidad intervenida, para lo cual podrá ofrecer incentivos por la denuncia de la existencia y entrega de tales activos.
5. Administrar los activos de la intervenida.
6. Velar por la adecuada conservación de los bienes de la entidad, adoptando las medidas necesarias para mantener los activos en adecuadas condiciones de seguridad física y ejerciendo las acciones judiciales y administrativas requeridas para el efecto.
7. Continuar con la contabilidad de la entidad.
8. Ejecutar todos los actos y efectuar todos los gastos que a su juicio sean necesarios para la conservación de los activos y archivos de la entidad.
9. Bajo su responsabilidad promover las acciones de responsabilidad civil o penales que correspondan contra los administradores, revisor fiscal y funcionarios de la intervenida.
10. Suministrar a la Superintendencia Financiera de Colombia y al Fondo de Garantías de Instituciones Financieras-FOGAFIN la información que las entidades requieran.
11. Si es el caso, impetrar las acciones revocatorias de que trata el numeral 7 del artículo 301 del Estatuto Orgánico del Sistema Financiero, modificado por el inciso primero del artículo 27 de la Ley 510 de 1999, y
12. Las demás derivadas de su carácter de administrador y representante legal de la entidad.
PARÁGRAFO. El agente especial deberá contar con la autorización previa de la Superintendencia Financiera de Colombia para la adopción de las medidas en las que la ley específicamente exige tal autorización.
ARTÍCULO 9.1.1.2.5 CONTRATACIÓN.
<Fuente original compilada: D. 2211/04 Art. 9o.> Para el cumplimiento de las finalidades de la toma de posesión, las entidades intervenidas podrán contratar entre sí la prestación de servicios administrativos relacionados con la gestión de la intervención, así como celebrar convenios con el mismo fin o contratos de mandato con terceros.
DE LA JUNTA ASESORA DEL AGENTE ESPECIAL.
ARTÍCULO 9.1.1.3.1 INTEGRACIÓN DE LA JUNTA ASESORA DEL AGENTE ESPECIAL.
<Fuente original compilada: D. 2211/04 Art. 10> De conformidad con el artículo 291, numeral 5 del Estatuto Orgánico del Sistema Financiero, modificado por el artículo 24 de la Ley 510 de 1999, el Agente Especial podrá contar con una junta asesora con representación de los acreedores, si así lo determina la Superintendencia Financiera de Colombia.
Dicha junta, de acuerdo con la información que reposa en los estados financieros de la intervenida, estará integrada por los cinco (5) mayores acreedores de la entidad. El nombramiento de los miembros de la junta asesora corresponde al Fondo de Garantías de Instituciones Financieras-FOGAFIN de acuerdo con la información que para tal propósito ha de proporcionarle el agente especial.
Si alguno de los acreedores a quienes correspondía integrar la junta asesora de acuerdo a los criterios anteriormente señalados declina su nombramiento, se procederá a nombrar el acreedor que siga en orden dentro de los criterios anteriormente establecidos.
ARTÍCULO 9.1.1.3.2 REUNIONES DE LA JUNTA ASESORA DEL AGENTE ESPECIAL.
<Fuente original compilada: D. 2211/04 Art. 11> La junta asesora del agente especial se reunirá al menos una vez al mes por convocación de este último. La junta podrá sesionar y decidir válidamente con la participación de mínimo tres de sus integrantes. Cuando uno de los integrantes de la junta asesora deje de asistir a tres (3) sesiones convocadas por el agente especial, se procederá a reemplazarlo de acuerdo con los criterios establecidos en el artículo anterior.
ARTÍCULO 9.1.1.3.3 FUNCIONES DE LA JUNTA ASESORA DEL AGENTE ESPECIAL.
<Fuente original compilada: D. 2211/04 Art. 12> La junta asesora del agente especial tiene la función básica de asesorar al agente especial en todos los asuntos concernientes a la marcha de la entidad financiera. En especial la junta asesora cumplirá las siguientes funciones:
a) Revisar con anterioridad al traslado a los acreedores, las cuentas comprobadas presentadas por el agente especial;
b) Dar concepto sobre los estados financieros;
c) Asesorar al agente especial, cuando este se los solicite, en cuestiones relacionadas con su gestión, y
d) Requerir al agente especial para que presente las cuentas comprobadas de su gestión cuando este se abstenga de hacerlo.
PARÁGRAFO 1. Los conceptos de la Junta Asesora no son de obligatorio cumplimiento para el Agente Especial.
PARÁGRAFO 2. Los miembros de la Junta Asesora están obligados a guardar reserva sobre los diferentes asuntos que conozcan en razón de su función.
POSESIÓN PARA ADMINISTRAR.
ARTÍCULO 9.1.2.1.1 POSESIÓN PARA ADMINISTRAR.
<Fuente original compilada: D. 2211/04 Art. 13> En el evento en que la Superintendencia Financiera de Colombia, previo concepto del Fondo de Garantías de Instituciones Financieras-FOGAFIN, dentro del término de dos (2) meses contados a partir de la toma de posesión, prorrogables por el mismo plazo, determine que la entidad puede desarrollar su objeto social conforme a las reglas que lo rigen, o pueden adoptarse otras medidas que permitan a los depositantes, ahorradores o inversionistas obtener el pago total o un pago parcial de sus créditos, expedirá la resolución disponiendo la administración de la entidad, en la cual también se ordenará dar aviso al público mediante publicación en un lugar visible en las oficinas de la institución intervenida por un término de siete (7) días hábiles, así como la publicación por una (1) vez en un diario de amplia circulación nacional, de un aviso informando sobre la expedición de la medida. Si la misma no se puede notificar personalmente al representante legal, se notificará por aviso que se fijará por un (1) día en lugar público de las oficinas de la administración del domicilio social de la intervenida.
Sin perjuicio del momento en que se decida la posesión para administrar, se deberá dar cumplimiento a lo previsto en el artículo 9.1.1.1.1 del presente decreto. Las medidas previstas en el artículo 9.1.1.1.2 de este decreto podrán ser aplicadas inclusive mientras la entidad permanezca en posesión para administrar.
Deberán tenerse en cuenta los siguientes aspectos:
1. Para la elaboración del concepto de que trata el presente artículo, el Fondo de Garantías de Instituciones Financieras-FOGAFIN solicitará al agente especial, un plan sobre las medidas que resulten procedentes y demás información necesaria para la elaboración del concepto.
2. La Superintendencia Financiera de Colombia solicitará al Fondo de Garantías de Instituciones Financieras-FOGAFIN la presentación del programa que se seguirá con el fin de lograr el cumplimiento de la medida y en el cual se señalarán los plazos para el pago de los créditos. Dicho programa podrá ser modificado cuando las circunstancias lo requieran, evento que se comunicará a la Superintendencia Financiera de Colombia y a los interesados. Lo anterior sin perjuicio de que pueda haber acuerdos entre los acreedores y la entidad objeto de toma de posesión.
El Fondo de Garantías de Instituciones Financieras -FOGAFIN deberá presentar el programa de que trata el presente artículo, máximo dentro de un término de dos (2) meses contados a partir de la fecha en que entre en vigencia la resolución de la Superintendencia Financiera de Colombia disponiendo la administración de la entidad.
En todo caso, si en el plazo de un (1) año, prorrogable por un término igual no se subsanaren las dificultades que dieron origen a la toma de posesión, la entidad de vigilancia y control dispondrá la disolución y liquidación de la entidad, Lo anterior sin perjuicio de que el Gobierno Nacional por resolución ejecutiva autorice una prórroga mayor cuando así se requiera en razón de las características de la institución.
ARTÍCULO 9.1.2.1.2 LEVANTAMIENTO DE LA MEDIDA DE TOMA DE POSESIÓN. <Artículo modificado el artículo 132 del Decreto 1745 de 2020. El nuevo texto es el siguiente:>
La medida de toma de posesión podrá ser levantada, previo concepto del Fondo de Garantías de Instituciones Financieras-FOGAFIN, por la Superintendencia Financiera de Colombia mediante acto administrativo, cuya notificación se sujetará a las normas del Código de Procedimiento Administrativo y de lo Contencioso Administrativo, o las normas que lo modifiquen, sustituyan o adicionen.
ARTÍCULO 9.1.2.1.3 RENDICIÓN DE CUENTAS POR PARTE DEL AGENTE ESPECIAL.
<Fuente original compilada: D. 2211/04 Art. 15> Si la Superintendencia Financiera de Colombia decide levantar la medida de toma de posesión, el agente especial convocará a la asamblea general de accionistas de la Intervenida, a fin de que procedan a nombrar los nuevos directivos y al revisor fiscal.
El agente especial rendirá informe a la asamblea general que para el efecto convoque, en los términos previstos en el Artículo 45 de la Ley 222 de 1995. La entidad permanecerá bajo la administración del agente especial hasta que el nuevo representante legal se posesione debidamente ante la Superintendencia Financiera de Colombia
LIQUIDACIÓN FORZOSA ADMINISTRATIVA.
MEDIDAS Y EFECTOS DERIVADOS DE LA LIQUIDACIÓN FORZOSA ADMINISTRATIVA.
ARTÍCULO 9.1.3.1.1 CONTENIDO DEL ACTO QUE ORDENE LA LIQUIDACIÓN FORZOSA ADMINISTRATIVA.
<Fuente original compilada: D. 2211/04 Art. 16> El acto administrativo por el cual la Superintendencia Financiera de Colombia ordene la liquidación forzosa administrativa de una institución financiera vigilada, tendrá los efectos previstos en el artículo 117 del Estatuto Orgánico del Sistema Financiero y deberá disponer, además de las medidas previstas en el artículo 9.1.1.1.1 del presente decreto, las siguientes:
a) La advertencia de que todas las obligaciones a plazo a cargo de la intervenida son exigibles a partir de la fecha en que se adoptó la medida de liquidación forzosa administrativa, sin perjuicio de lo que dispongan las normas que regulan las operaciones de futuros, opciones y otros derivados, de acuerdo con lo previsto en el literal b) del artículo 117 del Estatuto Orgánico del Sistema Financiero;
b) En el caso de aseguradoras, la advertencia acerca de la terminación automática al vencimiento de un plazo de dos (2) meses contados a partir de la ejecutoria del acto administrativo, de los contratos de seguros vigentes, cualquiera que sea su clase, salvo cuando se trate de seguros de cumplimiento o de vida, evento en el cual el plazo podrá ser ampliado hasta en seis (6) meses;
c) La advertencia de que el pago efectivo de las condenas provenientes de sentencias en firme contra la entidad intervenida proferidas durante la toma de posesión se hará atendiendo la prelación de créditos establecidos en la ley y de acuerdo con las disponibilidades de la entidad;
d) La comunicación a la Dirección de Impuestos y Aduanas Nacionales, DIAN, para que retire las calidades de agentes retenedores y autorretenedores de los impuestos administrados por dicha entidad.
PARÁGRAFO. Cuando en el mismo acto de toma de posesión se disponga la liquidación, se deberá dar cumplimiento a lo previsto en el artículo 9.1.1.1.1 del presente decreto y las menciones hechas al agente especial en dicho artículo, se entenderán hechas al liquidador.
ARTÍCULO 9.1.3.1.2 EJECUCIÓN Y NOTIFICACIÓN DE LA MEDIDA DE LIQUIDACIÓN FORZOSA ADMINISTRATIVA.
<Fuente original compilada: D. 2211/04 Art. 17> De conformidad con el artículo 291 del Estatuto Orgánico del Sistema Financiero, modificado por el artículo 24 de la Ley 510 de 1999, la decisión de liquidación forzosa administrativa será de cumplimiento inmediato a través del funcionario comisionado para el efecto por el Superintendente Financiero y se notificará por un aviso que se fijará por un día en lugar público de las oficinas de la administración del domicilio social de la intervenida.
Sin perjuicio de su cumplimiento inmediato, dentro de los tres (3) días siguientes a la fecha en que se haga efectiva la medida, la resolución por la cual se adopte se publicará por una sola vez en un diario de circulación nacional y en el boletín del Ministerio de Hacienda y Crédito Público, capítulo de la Superintendencia Financiera de Colombia, así como a través de los mecanismos de información electrónica de que disponga la Superintendencia.
ARTÍCULO 9.1.3.1.3 CESIÓN DE CONTRATOS DE SEGUROS.
<Fuente original compilada: D. 2211/04 Art. 18> Para la terminación o cesión de los contratos de seguro en el evento de toma de posesión para liquidar una entidad aseguradora, de acuerdo con lo establecido en el artículo 117 del Estatuto Orgánico del Sistema Financiero, se seguirán las siguientes reglas:
a) En virtud de lo dispuesto en el artículo 117 del Estatuto Orgánico del Sistema Financiero los contratos de seguro se darán por terminados en un plazo de dos (2) meses contados a partir de la ejecutoria del acto administrativo correspondiente. La terminación dará lugar a la devolución de la prima no devengada al tomador, si a ello hubiere lugar, de conformidad con las reglas que para el efecto establece el Código de Comercio;
b) La Superintendencia Financiera de Colombia está facultada para ampliar el mencionado plazo a un máximo de seis (6) meses para el caso de contratos de seguro de vida o cumplimiento. Vencido este término, el contrato se terminará y dará lugar a la devolución de la prima no devengada, si a ello hubiere lugar, de conformidad con las reglas que para el efecto establece el Código de Comercio;
c) El liquidador deberá ceder dentro del plazo mencionado en el literal a) del presente artículo a otra compañía de seguros legalmente facultada para explotar el ramo correspondiente, los contratos de seguros que otorguen las coberturas de la seguridad social previstas en la Ley 100 de 1993 y en el Decreto ley 1295 de 1994 y los contratos de Seguro Obligatorio contra Accidentes de Tránsito, SOAT. La cesión deberá contemplar las reservas técnicas constituidas como respaldo de las mencionadas coberturas, en especial la reserva matemática;
d) El Liquidador tiene la facultad de ceder contratos de seguros diferentes a los previstos en el literal anterior a otra compañía de seguros legalmente facultada para explotar los ramos correspondientes. El plazo para esta cesión será el contemplado en los literales a) y b) del presente artículo según el tipo de contrato de seguro que se trate. En todo caso la cesión deberá contemplar las reservas técnicas constituidas como respaldo de las mencionadas coberturas.
ARTÍCULO 9.1.3.1.4 CESIÓN DE CONTRATOS DE LEASING.
<Fuente original compilada: D. 2211/04 Art. 19> De conformidad con lo establecido en el literal h) del numeral 2 del artículo 299 del Estatuto Orgánico del Sistema Financiero, modificado por el artículo 61 del la Ley 795 de 2003, no forman parte de la masa de la liquidación los bienes dados en leasing, los cuales se transferirán al locatario cuando ejerza la opción y pague el valor respectivo.
Si está pendiente el plazo de ejecución del contrato, el liquidador dará la opción al locatario de cancelar el valor presente correspondiente, con lo cual se terminará el contrato y se efectuará la respectiva transferencia del bien, si fuere el caso.
Para estos efectos, el liquidador contará con un plazo que no podrá exceder de ciento veinte (120) días contados a partir de la toma de posesión para liquidar. El locatario deberá manifestar su aceptación a la propuesta del liquidador dentro de los cuarenta y cinco (45) días siguientes a la correspondiente comunicación del liquidador.
Si vencido el plazo anterior, el locatario no manifiesta su voluntad de pagar el valor presente correspondiente, el contrato y el bien serán cedidos a otra entidad legalmente facultada para desarrollar operaciones de leasing, o a la entidad de redescuento que hubiese proporcionado recursos para realizar la operación.
Para la cesión de los contratos, el Liquidador deberá formular una invitación a las instituciones financieras legalmente facultadas para desarrollar operaciones de leasing, para que presenten sus ofertas dentro del término que fije para tal efecto. El Liquidador realizará la cesión a la institución o instituciones que ofrezcan las mejores condiciones y la cesión incluirá los bienes dados en Leasing.
ARTÍCULO 9.1.3.1.5 ADMINISTRACIÓN DE CARTERA DE CRÉDITOS DE REDESCUENTO.
<Fuente original compilada: D. 2211/04 Art. 21> Las instituciones financieras cuya liquidación haya sido dispuesta podrán continuar administrando la cartera de créditos que hubiere sido objeto de descuento o redescuento, cuando el descontante o redescontante así lo requiera y lo solicite al liquidador. Para el efecto, podrán suscribirse convenios o contratos entre la institución financiera en liquidación y la entidad de redescuento en los cuales se acordará la remuneración que cubra los costos que implica tal gestión.
En todo caso, la administración de esta cartera por parte de la entidad en liquidación se realizará únicamente hasta el momento en el cual el Liquidador estime que la entidad cuenta con el soporte operativo, administrativo y de personal necesario para cumplir adecuadamente con esta gestión. Cuando la liquidación no disponga del soporte operativo, administrativo y de personal necesario, deberá comunicar dicha circunstancia a la entidad descontante o redescontante con treinta (30) días de antelación a la fecha en que pretenda entregar la cartera a la entidad de redescuento. Una vez transferida a otra entidad financiera, el diferencial de intereses será percibido por esta última, a partir de la fecha en que asuma dicha administración.
ARTÍCULO 9.1.3.1.6 TERMINACIÓN DE CONTRATOS.
<Fuente original compilada: D. 2211/04 Art. 22> En desarrollo de la facultad prevista en el numeral 14 del artículo 291 del Estatuto Orgánico del Sistema Financiero, desde el inicio del proceso liquidatorio el liquidador podrá poner fin unilateralmente a los contratos de cualquier índole existentes al momento de la adopción de la medida que no sean necesarios para la liquidación de la institución financiera intervenida.
PARÁGRAFO. De conformidad con lo establecido en los literales f) del artículo 116 y e) del artículo 117 del Estatuto Orgánico del Sistema Financiero, modificados respectivamente por los artículos 22 y 23 de la Ley 510 de 1999, en el proceso de toma de posesión y liquidación, los derechos laborales de los trabajadores gozan de la correspondiente protección legal y la nómina continuará pagándose normalmente, en la medida en que los recursos de la entidad lo permitan.
DETERMINACIÓN DEL PASIVO A CARGO DE LA INSTITUCIÓN FINANCIERA EN LIQUIDACIÓN.
ARTÍCULO 9.1.3.2.1 EMPLAZAMIENTO.
<Fuente original compilada: D. 2211/04 Art. 23> Dentro de los cinco (5) días siguientes a la fecha en que se disponga la liquidación de la institución, se emplazará a quienes tengan reclamaciones de cualquier índole contra la intervenida y a quienes tengan en su poder, a cualquier título, activos de la intervenida, para los fines de su devolución y cancelación.
Para tal efecto, se publicarán por lo menos dos (2) avisos en un diario de amplia circulación nacional y en otro del domicilio principal de la intervenida, el primero dentro de los primeros cinco (5) días posteriores a la fecha de la toma de posesión para liquidar y el segundo dentro de los diez (10) días siguientes a la publicación del primer aviso. Adicionalmente se divulgará, por lo menos una vez, a través de una cadena de televisión nacional o de un canal regional o en una emisora nacional o regional de radio, en horas de amplia audiencia y sintonía dentro de los diez (10) días siguientes a la fecha en que se dispuso la liquidación. Sin perjuicio de lo anterior, el liquidador cuando lo considere conveniente, podrá utilizar además cualquier otro medio que en su concepto contribuya a cumplir la finalidad del emplazamiento.
Copia del texto del aviso deberá fijarse además tanto en las oficinas principales como en las agencias y sucursales de la intervenida, en sitios a los cuales tenga fácil acceso el público, así como en la Secretaría General de la Superintendencia Financiera de Colombia y en el Fondo de Garantías de Instituciones Financieras- FOGAFIN.
Cuando la liquidación se decida en el mismo acto que dispuso la toma de posesión, se deberá dar cumplimiento a lo previsto en el artículo 9.1.1.1.1 del presente decreto y las menciones hechas al agente especial en dicho artículo, se entenderán hechas al liquidador.
El aviso de emplazamiento contendrá lo siguiente:
a) La citación a todas las personas naturales o jurídicas de carácter público o privado que se consideren con derecho a formular reclamaciones de cualquier índole contra la institución financiera en liquidación, a fin de que se presenten con prueba siquiera sumaria de sus créditos, en el lugar que para el efecto se señale. Cuando se trate de derechos incorporados en títulos valores deberá presentarse el original del título. Sin embargo, cuando sea necesaria la presentación de un título valor en varios procesos liquidatorios a la vez, el original del título valor se aportará en uno de los procesos liquidatorios y en los demás se aportará copia del mismo con certificación del liquidador del proceso en que se haya aportado el original, sobre la existencia del mismo. Si los créditos constan en títulos valores que hayan sido depositados en depósitos centralizados de valores la existencia del crédito se probará con los documentos a que se refiere el artículo 26 de la Ley 27 de 1990. El depositante en el depósito centralizado de valores podrá autorizar al liquidador para solicitar el certificado a que se refiere dicho artículo;
b) El término para presentar las reclamaciones oportunamente, con la advertencia de que una vez vencido este, el liquidador no tendrá facultad para aceptar ninguna reclamación, y que las obligaciones no reclamadas y las reclamaciones presentadas en forma extemporánea, que aparezcan debidamente comprobadas en los libros de contabilidad oficiales de la intervenida, serán calificadas como pasivo cierto no reclamado;
c) La advertencia sobre la cesión y terminación de los contratos de seguro, de conformidad con el artículo 117 del Estatuto Orgánico del Sistema Financiero;
d) La advertencia sobre la suspensión de los procesos de ejecución en curso y la imposibilidad de admitir nuevos procesos de esta clase, así como la obligación de los secuestres, auxiliares de la justicia y demás funcionarios que tengan activos de la intervenida para que procedan de manera inmediata a entregarlos al liquidador, de acuerdo con lo dispuesto en el artículo 9.1.1.1.1 del presente decreto.
ARTÍCULO 9.1.3.2.2 TÉRMINO PARA PRESENTAR RECLAMACIONES.
<Fuente original compilada: D. 2211/04 Art. 24> El término que se establezca para presentar las reclamaciones no podrá ser superior a un (1) mes contado a partir de la fecha de publicación del último aviso de emplazamiento.
Para las reclamaciones que se señalan a continuación se tendrá en cuenta los siguientes aspectos particulares:
1. Reclamaciones en la liquidación forzosa de entidades aseguradoras. En la liquidación forzosa administrativa de entidades aseguradoras las reclamaciones de tomadores, asegurados y beneficiarios que no hubieren podido ser presentadas dentro del término previsto en el presente artículo, que correspondan a siniestros ocurridos con posterioridad a la fecha de toma de posesión de los bienes, haberes y negocios por parte de la Superintendencia Financiera de Colombia, o por devolución de primas no devengadas correspondientes a contratos de seguros revocados a partir de la fecha antes señalada, para todos los efectos del proceso liquidatorio se entenderán presentadas en la oportunidad legal siempre y cuando dentro del mes siguiente a la ocurrencia del siniestro o a la revocatoria de la póliza, tales reclamaciones sean entregadas a la institución aseguradora con los comprobantes que, según las condiciones de la correspondiente póliza, sean indispensables para acreditar los requisitos del artículo 1077 del Código de Comercio, cuando sea el caso.
El liquidador decidirá sobre dichas reclamaciones en las oportunidades a que haya lugar, una vez la entidad aseguradora haya determinado los siniestros liquidados por pagar o haya objetado de manera seria y fundada las reclamaciones. En caso de ser aceptadas entrarán al concurso para efectos de la distribución del activo o se reconocerán como sumas excluidas de la masa, según corresponda.
La presentación de las reclamaciones a las que se refiere este numeral no afectará los actos administrativos en firme que hubieren reconocido o rechazado acreencias dentro del proceso, ni suspenderá su ejecutoriedad.
2. Reclamaciones en la liquidación forzosa de compañías de leasing. En los contratos de leasing vigentes a la fecha en que se ordena la liquidación, los arrendatarios o locatarios, por no ser acreedores sino deudores de la compañía de Leasing, no están en la obligación de presentar reclamaciones.
3. Reclamaciones por parte de las entidades de redescuento. Durante el término fijado para presentar reclamaciones, el Banco de la República, cuando intermedie líneas de crédito externo, el Fondo para el Financiamiento del Sector Agropecuario, Finagro, el Banco de Comercio Exterior S. A., Bancoldex y la Financiera de Desarrollo Territorial S. A. Findeter presentarán su reclamación dentro del proceso de liquidación forzosa administrativa por concepto de operaciones de redescuento. No obstante, en su carácter de titulares de los créditos redescontados, podrán obtener directamente el pago de dichas obligaciones, previa comunicación de dicha decisión a la institución financiera intervenida. A las operaciones de apoyo de liquidez celebradas por el Banco de la República con la entidad en liquidación se les aplicarán las mismas reglas.
4. Reclamación del Fondo de Garantías de Instituciones Financieras (Fogafín) asociada al reconocimiento del seguro de depósitos. <Numeral adicionado por el artículo 1 del Decreto 1535 de 2016. El nuevo texto es el siguiente:> El Fondo presentará reclamación hasta por un monto equivalente al valor total calculado del seguro de depósitos, de acuerdo con la información contenida en la base de datos de los depositantes de la entidad intervenida con corte al día de la toma de posesión para liquidar, la cual será reconocida por el liquidador hasta por dicho monto. Por lo tanto, los depositantes de la institución en liquidación que cuenten con acreencias cubiertas por el seguro de depósitos administrado por el Fondo de Garantías de Instituciones Financieras (Fogafín) no podrán formular reclamaciones por los montos cubiertos de dichas acreencias.
Los depositantes podrán presentar reclamación ante la liquidación por los montos que excedan la cobertura del seguro de depósitos
ARTÍCULO 9.1.3.2.3 TRASLADO DE LAS RECLAMACIONES.
<Fuente original compilada: D. 2211/04 Art. 25> Vencido el término para presentar reclamaciones, el expediente se mantendrá en la oficina principal de la entidad en liquidación en traslado común a todos los interesados por un término de cinco (5) días hábiles. Durante el término del traslado cualquiera de los interesados podrá objetar las reclamaciones presentadas, acompañando las pruebas que tuviere en su poder.
ARTÍCULO 9.1.3.2.4 PASIVO A CARGO DE LA ENTIDAD EN LIQUIDACIÓN.
<Fuente original compilada: D. 2211/04 Art. 26> Para la determinación de las sumas a cargo de la entidad en liquidación se tendrá en cuenta lo siguiente:
1. Determinación de las sumas y bienes excluidos de la masa y de los créditos a cargo de la masa de la liquidación. Dentro de los treinta (30) días hábiles siguientes al vencimiento del término para presentar reclamaciones, el liquidador decidirá sobre las reclamaciones presentadas oportunamente mediante resolución motivada o mediante actos administrativos independientes en los que además de resolver las objeciones presentadas se señalará lo siguiente:
a) Las reclamaciones oportunamente presentadas aceptadas y rechazadas en relación con bienes y sumas de dinero excluidos de la masa de la liquidación, señalando la cuantía y el orden de restitución de conformidad con el numeral 2 del artículo 299 del Estatuto Orgánico del Sistema Financiero modificado por el artículo 26 de la Ley 510 de 1999 y por el artículo 61 de la Ley 795 de 2003; los numerales 1, 5 y 6 del artículo 300 del Estatuto Orgánico del Sistema Financiero modificado por el artículo 25 de la Ley 510 de 1999; el artículo 51 de la Ley 454 de 1998; los artículos 9 y 10 de la Ley 546 de 1999 y las demás normas que expresamente reconozcan este privilegio;
b) Las reclamaciones oportunamente presentadas, aceptadas y rechazadas contra la masa de la liquidación, señalando la naturaleza de las mismas, su cuantía y la 163 prelación para el pago y las preferencias que la ley establece, de conformidad con el numeral 1 del artículo 300 del Estatuto Orgánico del Sistema Financiero, las reglas generales del Código Civil y demás disposiciones legales aplicables.
2. Obligaciones en moneda extranjera. Cuando se trate de obligaciones en moneda extranjera, las mismas se reconocerán a la Tasa de Cambio Representativa del Mercado del día en que se haya ordenado la liquidación de la institución financiera, certificada por la autoridad competente.
3. Obligaciones a favor del Fondo de Garantías de Instituciones Financieras. Cuando el Fondo de Garantías de Instituciones Financieras –FOGAFIN pague el seguro de depósito, en las resoluciones de reconocimiento de acreencias a cargo de la institución financiera en liquidación, el Liquidador dejará expresa constancia que de conformidad con el artículo 300 del Estatuto Orgánico del Sistema Financiero, modificado por el artículo 25 de la Ley 510 de 1999, el fondo se subroga parcialmente, por lo cual tendrá derecho a obtener el pago de las sumas que haya cancelado, con la misma prelación y en las mismas condiciones que los depositantes o ahorradores. En el mismo sentido se procederá cuando el Fondo de Garantías de Instituciones Financieras –FOGAFIN pague las garantías otorgadas por conceptos diferentes al del seguro de depósito, de conformidad con las normas que regulan la materia.
4. Obligaciones a favor de entidades de redescuento. En el evento en que el Banco de la República, cuando intermedie líneas de crédito externo, el Fondo para el Financiamiento del Sector Agropecuario, Finagro, el Banco de Comercio Exterior S. A., Bancoldex y la Financiera de Desarrollo Territorial S. A., Findeter opten por presentar sus reclamaciones dentro del proceso de liquidación forzosa administrativa, y siempre y cuando la respectiva reclamación haya sido presentada oportunamente, las sumas recibidas por la cancelación de créditos redescontados, antes o después de la intervención, incluyendo las que se reciban al hacer efectivas las garantías correspondientes, estarán excluidas de la masa de la liquidación y con las mismas se pagarán las obligaciones derivadas de las respectivas operaciones de redescuento. El saldo insoluto de las operaciones de redescuento constituirá una obligación a cargo de la masa de la liquidación y su pago estará sujeto a las prelaciones establecidas en la ley.
Las sumas que hubiere recaudado la entidad intervenida antes de la ejecutoria del acto administrativo que reconozca la respectiva reclamación, se entregarán una vez este se encuentre en firme. Las sumas que se recauden con posterioridad, se entregarán a la entidad de redescuento correspondiente dentro de los cinco (5) días hábiles siguientes a su recaudo.
En todo caso, cuando la cartera de redescuento sea transferida a otra entidad financiera, el diferencial de intereses será percibido por esta última, a partir de la fecha en que asuma dicha administración,
5. Obligaciones derivadas de operaciones de apoyo de liquidez. De acuerdo con el numeral 5 del artículo 300 del Estatuto Orgánico del Sistema Financiero, modificado por el artículo 25 de la Ley 510 de 1999, las obligaciones a favor del Banco de la República por concepto de cupos de liquidez u otras operaciones gozarán del privilegio de ser cubiertas con sumas excluidas de la masa de la liquidación. El mismo tratamiento se dará cuando la entidad en liquidación haya sido la emisora de un título que respalda operaciones de apoyo de liquidez celebradas por el Banco de la República por concepto de cupos de liquidez u otras operaciones. En todo caso, el Banco de la República informará a la entidad respectiva los pagos que reciba por parte de cualquiera de las liquidaciones.
PARÁGRAFO. Si el liquidador dudare de la procedencia o validez de cualquier reclamación prevista en el presente Libro, la rechazará.
ARTÍCULO 9.1.3.2.5 NOTIFICACIÓN DE LA RESOLUCIÓN. <Artículo modificado el artículo 133 del Decreto 1745 de 2020. El nuevo texto es el siguiente:>
La resolución que determine las sumas y bienes excluidos de la masa y los créditos a cargo de la masa de la institución financiera intervenida se notificará en la forma prevista en el artículo 69 del Código de Procedimiento Administrativo y de lo Contencioso Administrativo o las normas que lo modifiquen, sustituyan o adicionen.
Adicionalmente, dentro de los primeros tres (3) días de expedición de la resolución se publicará un aviso en un diario de amplia circulación nacional, informando: la expedición de dicha resolución, el término para presentar el recurso de reposición y el lugar o lugares en los cuales podrá consultarse el texto completo de la resolución.
ARTÍCULO 9.1.3.2.6 RECURSO CONTRA LA RESOLUCIÓN QUE DETERMINA LAS SUMAS Y BIENES EXCLUIDOS DE LA MASA Y LOS CRÉDITOS A CARGO DE LA MASA DE LA INSTITUCIÓN FINANCIERA EN LIQUIDACIÓN. <Fuente original compilada: D. 2211/04 Art. 28>
<Inciso modificado el artículo 134 del Decreto 1745 de 2020. El nuevo texto es el siguiente:> Contra la resolución que determina las sumas y bienes excluidos de la masa y los créditos a cargo de la masa de la institución financiera en liquidación, procederá el recurso de reposición, el cual deberá presentarse ante el liquidador acreditando la calidad en que se actúa, dentro de los cinco (5) días siguientes a la notificación de dicha resolución y con el lleno de los requisitos señalados en el artículo 77 del Código de Procedimiento Administrativo y de lo Contencioso Administrativo, o las normas que lo modifiquen, sustituyan o adicionen.
De los recursos presentados se correrá traslado en las oficinas de la institución financiera intervenida durante los cinco (5) días siguientes al vencimiento del término para su presentación.
<Inciso modificado el artículo 134 del Decreto 1745 de 2020. El nuevo texto es el siguiente:> Las resoluciones que decidan los recursos se notificarán personalmente al titular de la acreencia sobre la que se decida y a quien hubiera interpuesto el recurso, en la forma prevista en los artículos 67, 68, 69 y 71 del Código de Procedimiento Administrativo y de lo Contencioso Administrativo, o las normas que lo modifiquen, sustituyan o adicionen.
Una vez vencido el término para interponer los recursos de reposición, la resolución mediante la cual se adopta la decisión sobre las sumas y bienes excluidos de la masa y los créditos a cargo de la masa de la institución financiera en liquidación quedará ejecutoriada y en firme respecto de las reclamaciones sobre las cuales no se haya interpuesto recursos, y en consecuencia el cumplimiento de este acto administrativo procederá de forma inmediata.
PARÁGRAFO 1. En cualquier momento del proceso liquidatorio y antes de la adjudicación, los titulares de acreencias podrán ceder los derechos en el respectivo proceso, con sujeción a las normas sobre la materia. En el caso de entidades públicas, la cesión podrá adelantarse con otras entidades de la misma naturaleza.
PARÁGRAFO 2. Siempre y cuando se garantice el principio de igualdad entre los acreedores, en cualquier momento del proceso liquidatorio, el liquidador previo consentimiento del respectivo acreedor, puede realizar pagos parciales o totales en especie, quedando facultado para perfeccionar las correspondientes daciones en pago.
ARTÍCULO 9.1.3.2.7 PASIVO CIERTO NO RECLAMADO.
<Fuente original compilada: D. 2211/04 Art. 29> Si atendidas las obligaciones excluidas de la masa y aquellas a cargo de ella, de acuerdo con las reglas previstas en el presente Libro, subsisten recursos, el liquidador mediante acto administrativo, determinará el pasivo cierto no reclamado a cargo de la institución financiera intervenida señalando su naturaleza, prelación de acuerdo con la ley y cuantía. Para el efecto, se tendrán en cuenta los pasivos que no fueron reclamados oportunamente pero que aparezcan debidamente registrados en los libros oficiales de contabilidad de la intervenida, así como las reclamaciones presentadas extemporáneamente que estén debidamente comprobadas.
Para efectos de la notificación de la resolución que determine el pago del pasivo cierto no reclamado, así como de los recursos interpuestos contra la misma se atenderá el procedimiento previsto en los artículos 9.1.3.2.5 y 9.1.3.2.6 de este decreto.
PARÁGRAFO. Dentro del pasivo cierto no reclamado a cargo de la institución financiera no se incluirán las obligaciones respecto de las cuales se hayan cumplido los términos de prescripción o caducidad.
ARTÍCULO 9.1.3.2.8 PÉRDIDA DEL PODER ADQUISITIVO.
<Fuente original compilada: D. 2211/04 Art. 30> Con el fin de compensar la pérdida de poder adquisitivo sufrida por la falta de pago oportuno, una vez atendidas las obligaciones excluidas de la masa y a cargo de ella, así como el pasivo cierto no reclamado, si hay lugar a él, si quedare un remanente se reconocerá y pagará desvalorización monetaria a los titulares de los créditos que sean atendidos por la liquidación, cualquiera sea la naturaleza, prelación o calificación de los mismos, con excepción de los créditos que correspondan a gastos de administración. La cuantía por este concepto y su exigibilidad se determinará según las reglas dispuestas en el artículo 9.1.3.5.8 del presente decreto.
Para efectos de la notificación de la resolución que reconozca la pérdida de poder adquisitivo, así como de los recursos interpuestos contra la misma, se atenderá el procedimiento previsto en los artículos 9.1.3.2.5 y 9.1.3.2.6 del presente decreto.
DETERMINACIÓN Y VALORACIÓN DEL ACTIVO DE LA INSTITUCIÓN FINANCIERA EN LIQUIDACIÓN.
ARTÍCULO 9.1.3.3.1 INVENTARIO.
<Fuente original compilada: D. 2211/04 Art. 31> Dentro de los seis (6) meses siguientes a la fecha en que se adoptó la medida de liquidación forzosa administrativa, el liquidador hará un inventario detallado de los activos de propiedad de la institución financiera. Este plazo podrá ser prorrogado por el Fondo de Garantías de Instituciones Financieras –FOGAFIN ante circunstancias excepcionales.
ARTÍCULO 9.1.3.3.2 VALORACIÓN DEL INVENTARIO. <Fuente original compilada: D. 2211/04 Art. 32>
<Inciso modificado por el artículo 2 del Decreto 1535 de 2016. El nuevo texto es el siguiente:> Dentro de los tres meses siguientes a la fecha en que haya vencido el término para la elaboración del inventario, el liquidador, con base en avalúos técnicos, mediante resolución aceptará la valoración de los activos del inventario. Este plazo podrá ser prorrogado por el Fondo de Garantías de Instituciones Financieras (Fogafín).
Para efectos de la valoración de los bienes incorporados en el inventario, incluida la cartera, el liquidador acudirá a personas o firmas avaluadoras, respecto de las cuales se solicitará el concepto previo del Fondo de Garantías de Instituciones Financieras –FOGAFIN.
<Inciso modificado el artículo 135 del Decreto 1745 de 2020. El nuevo texto es el siguiente:> En todo caso, de acuerdo con lo dispuesto por el artículo 291 del Estatuto Orgánico del Sistema Financiero, modificado por el artículo 24 de la Ley 510 de 1999, la enajenación de los activos se hará a través de mecanismos de mercado y en condiciones que permitan obtener el valor en el mismo de dichos activos.
ARTÍCULO 9.1.3.3.3 NOTIFICACIÓN DEL ACTO ADMINISTRATIVO QUE ACEPTA EL INVENTARIO VALORADO. <Fuente original compilada: D. 2211/04 Art. 33>
<Inciso modificado el artículo 136 del Decreto 1745 de 2020. El nuevo texto es el siguiente:> El acto administrativo que acepte el inventario valorado se notificará en la forma prevista en el artículo 69 del Código de Procedimiento Administrativo y de lo Contencioso Administrativo. Adicionalmente, dentro de los primeros tres (3) días de expedición del acto administrativo se publicará un aviso en un diario de amplia circulación nacional, informando: la expedición de dicha resolución, el término para presentar el recurso de reposición y el lugar o lugares en los cuales podrá consultarse el texto completo de la resolución y el inventario valorado.
<Inciso modificado el artículo 136 del Decreto 1745 de 2020. El nuevo texto es el siguiente:> Contra el acto administrativo que acepte el inventario valorado procede el recurso de reposición, que deberá presentarse ante el liquidador acreditando la calidad en que se actúa, dentro de los cinco (5) días siguientes a la notificación de dicha resolución y con el lleno de los requisitos señalados en el artículo 77 del Código de Procedimiento Administrativo y de lo Contencioso Administrativo, o las normas que lo modifiquen, sustituyan o adicionen.
En lo no objetado o impugnado, el inventario valorado quedará en firme para todos los efectos legales y se podrá adelantar inmediatamente la realización de tales activos en los términos previstos en el artículo 9.1.3.4.1 del presente decreto.
De los recursos presentados se correrá traslado en las oficinas de la institución financiera intervenida durante los cinco (5) días siguientes al vencimiento del término para la presentación de recursos.
Dentro del mes siguiente a la fecha en que venció el término del traslado de los recursos presentados contra el acto administrativo que acepte el inventario valorado, el liquidador decidirá sobre las impugnaciones presentadas a través de acto administrativo, para lo cual podrá disponer la elaboración de un nuevo avalúo.
<Inciso modificado el artículo 136 del Decreto 1745 de 2020. El nuevo texto es el siguiente:> Las resoluciones que decidan los recursos se notificarán al recurrente y a los demás interesados, en la forma prevista en los artículos 67, 68, 69 y 71 del Código de Procedimiento Administrativo y de lo Contencioso Administrativo.
ARTÍCULO 9.1.3.3.4 ACTUALIZACIÓN DEL INVENTARIO DE ACTIVOS Y DE SU VALORACIÓN.
<Fuente original compilada: D. 2211/04 Art. 34> Cuando concurran circunstancias que a juicio del liquidador incidan notoriamente en los avalúos inicialmente determinados, se deberá actualizar la valoración de los activos contenidos en el inventario siguiendo el procedimiento establecido en los dos (2) artículos precedentes, actualización que deberá notificarse mediante edicto fijado en la sede de la entidad.
Los ajustes a que haya lugar con ocasión de los nuevos avalúos se contabilizarán dentro del mes siguiente a la fecha de su elaboración y deberán ser informados a la junta asesora o a los acreedores según sea el caso.
<Inciso modificado el artículo 137 del Decreto 1745 de 2020. El nuevo texto es el siguiente:> Igualmente, cuando aparezcan nuevos activos de propiedad de la institución financiera en liquidación que no se encuentren incorporados en el inventario inicial, se procederá a actualizar el inventario siguiendo el procedimiento indicado en los artículos 9.1.3.3.2 y 9.1.3.3.3 del presente decreto.
Para los efectos previstos en este artículo los bienes recibidos en pago, producto de la cartera o de las obligaciones a favor de la institución financiera en liquidación, incorporadas en el inventario inicial no se considerarán activos nuevos y en consecuencia sólo habrá lugar a registrar los respectivos ajustes en los libros de contabilidad oficiales de la intervenida e informar al Fondo de Garantías de Instituciones Financieras –FOGAFIN y/o a la junta asesora dentro del mes siguiente a la fecha en que se haga el correspondiente registro contable, con base en el avalúo realizado por una firma inscrita en el registro de avaluadores, avalúo que se deberá realizar con antelación al recibo del bien en dación en pago.
PARÁGRAFO. En los casos de bienes en los que la liquidación posea una parte que no justifique un avalúo, el liquidador, bajo su responsabilidad, podrá tomar como referencia el último avalúo existente en poder del copropietario mayoritario.
REGLAS PARA LA ENAJENACIÓN DE LOS ACTIVOS.
ARTÍCULO 9.1.3.4.1 ENAJENACIÓN DE ACTIVOS.
<Fuente original compilada: D. 2211/04 Art. 35> La enajenación de los activos de la institución financiera sometida al proceso de liquidación forzosa administrativa se deberá realizar siguiendo las reglas que se señalan a continuación.
De conformidad con el numeral 11 del artículo 291 del Estatuto Orgánico del Sistema Financiero modificado por el artículo 24 de la Ley 510 de 1999 la liquidación, realización o enajenación de los activos de la institución financiera se hará a través de mecanismos que permitan obtener el valor de mercado de dichos activos.
Para tal efecto, el liquidador tomará como referencia el avalúo de los activos que se encuentra en firme. Cuando las ofertas obtenidas directamente por el liquidador difieran sustancialmente del avalúo, es decir, cuando el valor de dichas ofertas sea inferior en más del diez por ciento (10%) de los avalúos realizados, el liquidador podrá enajenar los activos a través de una invitación pública para presentar propuestas o mediante martillos.
Para este efecto la invitación para presentar ofertas o para participar en el martillo deberá publicarse mediante aviso en un diario de amplia circulación nacional.
En todo caso, el liquidador podrá enajenar por un valor inferior al avalúo, cuando la relación costo-beneficio de cada operación, calculada de acuerdo con la metodología que expida el Fondo de Garantías de Instituciones Financieras –FOGAFIN, sea favorable. En todo caso, dentro del mes siguiente a la fecha en que se perfeccione la venta, se hará un informe detallado con destino a los acreedores y al Fondo de Garantías de Instituciones Financieras –FOGAFIN, sin perjuicio de que el Fondo solicite mayor información en desarrollo de las facultades con que cuenta para ejercer la labor de seguimiento.
PARÁGRAFO. Cuando se trate de la venta de acciones o de títulos inscritos en bolsa, el liquidador podrá acudir a cualquier mecanismo que establezca el valor de mercado de los mismos o, en su defecto, al mecanismo de martillo ofrecido por entidades autorizadas.
ARTÍCULO 9.1.3.4.2 PROCEDIMIENTO DE ENAJENACIÓN EN CASO DE URGENCIA.
<Fuente original compilada: D. 2211/04 Art. 36> De considerarse necesario para evitar el deterioro o pérdida de valor, el liquidador podrá enajenar los activos de la institución financiera por el medio que se considere más expedito sin previo traslado del avalúo.
Igualmente, en situaciones de iliquidez y con el único fin de atender los gastos administrativos básicos de la liquidación, sin que sea necesario que se corra previamente traslado del avalúo, el cual podrá ser realizado por una de las firmas avaluadoras que se encuentren registradas en cualquiera de las entidades en liquidación, se podrán enajenar activos de la institución financiera a través de la invitación pública a todos los posibles interesados para que presenten sus ofertas.
Cuando se prevea que el valor de los activos puede exceder los quinientos (500) salarios mínimos legales mensuales vigentes, la invitación se efectuará, a través de un aviso publicado en un diario de amplia circulación nacional, además de un aviso fijado en las instalaciones de la institución financiera objeto de liquidación.
En todo caso, el liquidador podrá enajenar por un valor inferior al avalúo, cuando la relación costo-beneficio de cada operación, calculada de acuerdo con la metodología que expida el Fondo de Garantías de Instituciones Financieras – FOGAFIN, sea favorable.
Dentro del mes siguiente a la fecha en que se perfeccione la venta a través del procedimiento de enajenación para casos de urgencias, se hará un informe detallado con destino a los acreedores y al Fondo de Garantías de Instituciones Financieras –FOGAFIN, en el que se justifique las razones por las cuales se acudió a este procedimiento excepcional, y los resultados del mismo.
REGLAS Y PROCEDIMIENTOS PARA EL PAGO DEL PASIVO A CARGO DE LA INSTITUCIÓN FINANCIERA EN LIQUIDACIÓN.
ARTÍCULO 9.1.3.5.1 PAGO DEL SEGURO DE DEPÓSITOS.
<Artículo modificado por el artículo 3 del Decreto 1535 de 2016. El nuevo texto es el siguiente:> En los casos de liquidación forzosa administrativa de las instituciones financieras inscritas en el Fondo de Garantías de Instituciones Financieras (Fogafín), el Fondo procederá al pago del seguro de depósitos en las condiciones descritas en el artículo 323 del Estatuto Orgánico del Sistema Financiero, de acuerdo con la información contenida en la base de datos de los depositantes de la entidad intervenida con corte al día de la toma de posesión para liquidar.
El Fondo de Garantías de Instituciones Financieras (Fogafín) tendrá derecho a obtener el pago de los montos cancelados por concepto del seguro de depósitos por parte del liquidador de acuerdo con lo dispuesto en el numeral 3 del artículo 9.1.3.2.4., del presente decreto.
PARÁGRAFO. Si con posterioridad al vencimiento del plazo para que Fogafín presente reclamación ante la liquidación se hace necesario reajustar el monto equivalente al valor total calculado del seguro de depósitos, Fogafín podrá presentar la respectiva reclamación ante la liquidación, acogiéndose a las condiciones en que se encuentre la liquidación en dicho momento.
ARTÍCULO 9.1.3.5.2 PAGO DE LOS GASTOS DE ADMINISTRACIÓN DE LA LIQUIDACIÓN.
<Fuente original compilada: D. 2211/04 Art. 38> Los créditos que se causen durante el curso de la liquidación por concepto de salarios, prestaciones sociales y aquellos en los que se incurra para la realización o recuperación de activos y aquellos derivados del artículo 9.1.3.10.1 del presente decreto, se pagarán de preferencia respecto de cualquier otro crédito, como gastos de administración de la liquidación. Igual tratamiento recibirán las obligaciones por concepto de impuestos, tasas y contribuciones siempre y cuando estos afecten la enajenación de los bienes de la liquidación, los honorarios profesionales que se causen con ocasión del proceso, los pagos a los auxiliares de la justicia y de conformidad con lo dispuesto por el literal h) del numeral 9 del artículo 295 del Estatuto Orgánico del Sistema Financiero todas las obligaciones que a juicio del Liquidador sean necesarias para la conservación de los activos de la entidad intervenida.
En todo caso, el Fondo de Garantías de Instituciones Financieras –FOGAFIN podrá señalar mediante instructivos de carácter general todos aquellos gastos administrativos que por su naturaleza constituyen gastos de funcionamiento.
ARTÍCULO 9.1.3.5.3 CONDICIONES PARA LA REALIZACIÓN DE LOS PAGOS.
<Fuente original compilada: D. 2211/04 Art. 39> Las restituciones de sumas excluidas de la masa de la liquidación, los pagos a cargo de la masa de la liquidación y del pasivo cierto no reclamado y el pago de la compensación por la pérdida de poder adquisitivo, se efectuarán en la medida en que las disponibilidades de la intervenida lo permitan y siguiendo estrictamente el orden que se señala en los siguientes artículos del presente capítulo.
ARTÍCULO 9.1.3.5.4 RESTITUCIÓN DE BIENES EXCLUIDOS DE LA MASA DE LA LIQUIDACIÓN.
<Fuente original compilada: D. 2211/04 Art. 40> Los bienes diferentes a sumas de dinero, excluidos de la masa de la liquidación, se entregarán una vez en firme la providencia que acepte las reclamaciones.
Pasados seis (6) meses contados a partir de la ejecutoria de la mencionada providencia, sin que los interesados se presentaren a recoger los bienes, el liquidador podrá optar por entregarlos en depósito a empresas especializadas o en el caso de los bienes depositados en las cajillas a una institución financiera que tenga autorizada esta operación, en espera de que sus dueños se presenten a reclamarlos; o bien disponer que a dichos bienes se les dé el siguiente trámite:
El liquidador avaluará y enajenará dichos bienes de acuerdo con el procedimiento establecido en el presente Libro y con el producto de la venta, deducidos los gastos de la misma, se constituirá una provisión por el término de seis (6) meses para que los recursos de la venta sean entregados a sus dueños, y en el evento en que durante este término tampoco se presentaren a recibir dichos recursos, estos se destinarán a efectuar restituciones o pagos a cargo de la liquidación y las acreencias a favor de los titulares de dichos bienes se incluirán en el pasivo cierto no reclamado a cargo de la intervenida.
En caso de que dentro del mismo término no se presentaren los titulares de cajillas de seguridad, para su apertura se seguirá el procedimiento establecido en el artículo 1421 del Código de Comercio.
ARTÍCULO 9.1.3.5.5 RESTITUCIÓN DE SUMAS DE DINERO EXCLUIDAS DE LA MASA DE LA LIQUIDACIÓN.
<Fuente original compilada: D. 2211/04 Art. 41> En la medida en que las disponibilidades de la intervenida lo permitan y cuantas veces sea necesario, el liquidador señalará períodos para adelantar total o parcialmente la restitución de las sumas de dinero excluidas de la masa de la liquidación.
Las sumas disponibles que deban distribuirse entre personas que de acuerdo con la ley tengan derecho a ser pagadas con bienes excluidos de la masa, pero que no tengan derechos sobre un bien determinado, se dividirán a prorrata del valor de los respectivos créditos.
1. Operaciones de apoyo. Las sumas pagadas por concepto de seguro de depósito, las obligaciones a favor del Banco de la República por concepto de cupos de liquidez u otras operaciones del Fondo de Garantías de Instituciones Financieras –FOGAFIN y el Fondo de Garantías de Entidades Cooperativas, gozarán del derecho a ser cubiertas con sumas excluidas de la masa de la liquidación, de acuerdo con lo dispuesto por el numeral 5 del artículo 300 del Estatuto Orgánico del Sistema Financiero.
2. Redescuento. Sin perjuicio de lo previsto en el numeral anterior, con las sumas recibidas por la cancelación de créditos redescontados, antes o después de la intervención, incluyendo las que se reciban al hacer efectivas las garantías correspondientes, se pagarán las obligaciones derivadas de las respectivas operaciones de redescuento celebradas por el Banco de la República, cuando este intermedie líneas de crédito externo, el Fondo para el Financiamiento del Sector Agropecuario, Finagro; el Banco de Comercio Exterior S. A., Bancoldex y la Financiera de Desarrollo Territorial S. A., Findeter siempre y cuando dichas instituciones financieras hayan presentado oportunamente la correspondiente reclamación en la liquidación.
Las sumas recaudadas con anterioridad a la ejecutoria del acto administrativo que reconozca la respectiva reclamación se entregarán una vez este se encuentre en firme y las sumas que se recauden con posterioridad a dicha fecha se entregarán a la institución financiera correspondiente dentro de los cinco días hábiles siguientes a su recaudo.
<Inciso modificado el artículo 138 del Decreto 1745 de 2020. El nuevo texto es el siguiente:> La entrega de la cartera de redescuento se hará hasta la concurrencia del saldo que le adeuda la institución en liquidación a la fecha en la que se ordena esa medida y sin perjuicio de los derechos de la institución intervenida derivados del margen de redescuento y el diferencial de tasa de interés siempre que esta última asuma proporcionalmente los gastos derivados de la administración de la cartera.
ARTÍCULO 9.1.3.5.6 PAGO DE LOS CRÉDITOS A CARGO DE LA MASA DE LA LIQUIDACIÓN.
<Fuente original compilada: D. 2211/04 Art. 42> Una vez restituidas las sumas de dinero excluidas de la masa de la liquidación, en la medida en que las disponibilidades de la intervenida lo permitan y cuantas veces sea necesario el liquidador señalará períodos para realizar el pago parcial o total de los créditos a cargo de la masa de la liquidación, con sujeción a la prelación de pagos establecida.
ARTÍCULO 9.1.3.5.7 PAGO DEL PASIVO CIERTO NO RECLAMADO.
<Fuente original compilada: D. 2211/04 Art. 43> Si después de cancelados los créditos a cargo de la masa de la liquidación subsistieren recursos, se procederá a cancelar el pasivo cierto no reclamado respetando la prelación de créditos prevista en la ley, para lo cual el liquidador señalará un período que no podrá exceder de tres (3) meses.
<Fuente original compilada: D. 2211/04 Art. 44> Si después de cancelados los créditos a cargo del pasivo cierto no reclamado subsistieren recursos, de conformidad con lo establecido en el numeral 17 del artículo 291 del Estatuto Orgánico del Sistema Financiero, modificado por el 24 de la Ley 510 de 1999, se procederá a cancelar la compensación por la pérdida de poder adquisitivo sufrida por los titulares de los créditos atendidos en la liquidación debido a la falta de pago oportuno cualquiera sea la naturaleza, prelación o calificación de los mismos, con excepción de los créditos que conforme al presente decreto correspondan a gastos de administración.
Para liquidar la compensación por desvalorización monetaria se procederá así:
a) Se utilizará el índice mensual de precios al consumidor certificado por el Departamento Administrativo Nacional de Estadística, DANE, del mes calendario siguiente a aquel en el cual la Superintendencia Financiera de Colombia haya dispuesto la toma de posesión.
Se actualizará cada crédito reconocido en la liquidación en moneda legal o el saldo del mismo, según el caso, con el índice antes señalado, certificado desde el mes indicado en el inciso anterior hasta la fecha que se fije para el inicio del período de pagos por compensación monetaria.
En todo caso, las sumas se actualizarán hasta la fecha en que el respectivo pago haya sido puesto a disposición de los acreedores;
b) Una vez descontadas las provisiones a que haya lugar conforme a la ley, la desvalorización monetaria será reconocida y pagada con cargo a los activos que quedaren de la institución financiera intervenida y hasta concurrencia del remanente de estos, a prorrata del valor de cada crédito. El pago se efectuará con sujeción al orden que corresponda a cada clase de acreencias, según su naturaleza y prelación legal, de acuerdo con lo indicado en el Estatuto Orgánico del Sistema Financiero y en las normas civiles y comerciales;
c) Para el pago de la desvalorización monetaria se señalará un período de pagos que no podrá exceder de cuatro (4) meses contados a partir de la fecha de su iniciación.
Las sumas por desvalorización que por cualquier causa no sean reclamadas dentro de ese plazo se destinarán a completar el pago de quienes recibieron compensación parcial en un término máximo de dos (2) meses, si a ello hubiere lugar. Vencido este último término, las sumas no reclamadas en cualquier etapa del proceso se entregarán al Fondo de Garantías de Instituciones Financieras – FOGAFIN con destino a la reserva correspondiente;
d) Al Fondo de Garantías de Instituciones Financieras –FOGAFIN le corresponderá la desvalorización monetaria a que haya lugar sobre cada acreencia en forma proporcional a los pagos efectivamente realizados por concepto del seguro de depósito, calculada desde la fecha en que el Fondo realice el pago respectivo y hasta la fecha en que proceda el pago de la desvalorización.
<Fuente original compilada: D. 2211/04 Art. 45> A la terminación del último período establecido para la restitución de créditos excluidos de la masa de la liquidación y, si es el caso, de los de la masa, que correspondan a reclamaciones oportunamente presentadas y aceptadas, con las sumas correspondientes a los titulares que no se hubieren presentado para el pago, el liquidador constituirá por el término de tres (3) meses una reserva representada en activos de alta seguridad, rentabilidad y liquidez para efectuar el pago a aquellos acreedores que se presenten.
En cualquier tiempo desde el inicio del primer período para adelantar la restitución de las correspondientes sumas, hasta el vencimiento del término de la respectiva reserva, el reclamante aceptado que no se haya presentado oportunamente a recibir tendrá derecho a la restitución en la misma proporción en que se haya efectuado a los demás reclamantes aceptados, salvo que se trate de aquellas sumas cuya restitución procede una vez hayan sido recaudadas.
En caso de que con el último pago ordenado, la entidad no alcance a cancelar la totalidad de los créditos excluidos de la masa de la liquidación en razón al agotamiento de sus activos, vencido el plazo de la provisión de que trata el primer inciso de este artículo, los dineros no cobrados se distribuirán a prorrata entre los acreedores que hubiesen cobrado oportunamente su acreencia debidamente reconocida, siempre y cuando el valor cancelado no exceda el total de la acreencia.
Cuando con el último pago ordenado, la entidad cubra la totalidad del valor de las acreencias de la no masa, una vez vencido el término de la provisión, los remanentes se destinarán a realizar pagos a cargo de la masa de la liquidación y los valores de los créditos cuyos titulares no se hayan presentado a recibirlos, se incorporarán como pasivo a cargo del pasivo cierto no reclamado.
Para el caso de la masa, se aplicará el mismo procedimiento descrito anteriormente, sobre los créditos de esa categoría. Cuando se trate del pago total de los créditos de esta categoría, los remanentes se destinarán al pago del pasivo cierto no reclamado.
ARTÍCULO 9.1.3.5.10 REGLAS PARA EL PAGO DE OBLIGACIONES POR PROCESOS EN CURSO.
<Fuente original compilada: D. 2211/04 Art. 46> Cuando durante el proceso liquidatorio se produzcan sentencias judiciales en contra de la intervenida y las mismas estén en firme, se les dará el siguiente tratamiento para su pago:
a) Procesos iniciados antes de la toma de posesión: El liquidador deberá constituir una reserva razonable con las sumas de dinero o bienes que proporcionalmente corresponderían respecto de obligaciones condicionales o litigiosas cuya reclamación se presentó oportunamente pero fueron rechazadas total o parcialmente, teniendo en cuenta los siguientes criterios: La prelación que le correspondería a la respectiva acreencia, en caso de ser fallada en contra de la liquidación y la evaluación sobre la posibilidad de un fallo favorable o adverso.
En caso de un fallo favorable para el demandante, este deberá proceder a solicitar la revocatoria de la resolución a que se refiere el artículo 9.1.3.2.4 de este decreto, en la parte correspondiente a su reclamación y en la cuantía en la cual fue rechazada, para proceder a su inclusión entre las aceptadas y a su pago en igualdad de condiciones a los demás reclamantes de la misma naturaleza y condición, sin que en ningún caso se afecten los pagos realizados con anterioridad.
Las condenas que correspondan a reclamaciones que no fueron presentadas oportunamente serán pagadas como pasivo cierto no reclamado;
b) Procesos iniciados con posterioridad a la toma de posesión: Cuando haya obligaciones condicionales o litigiosas originadas durante el proceso liquidatorio, se hará una reserva adecuada en poder del liquidador para atender dichas obligaciones si llegaren a hacerse exigibles, o mientras termina el juicio respectivo, según el caso. Terminada la liquidación sin que se haya hecho exigible la obligación condicional o litigiosa, la reserva se entregará al Fondo de Garantías de Instituciones Financieras –FOGAFIN en calidad de mandato, o a una sociedad fiduciaria encargada de su pago.
ARTÍCULO 9.1.3.5.11 RESTITUCIÓN A HEREDEROS.
<Fuente original compilada: D. 2211/04 Art. 47> En los casos y en las cuantías previstos en el Estatuto Orgánico del Sistema Financiero se podrá restituir las sumas reconocidas directamente a los herederos y al cónyuge de los depositantes y demás acreedores que fallezcan, sin necesidad de adelantar previamente juicio de sucesión.
REGLAS SOBRE LA CULMINACIÓN DEL PROCESO DE LIQUIDACIÓN FORZOSA ADMINISTRATIVA.
ARTÍCULO 9.1.3.6.1 TÉRMINO MÁXIMO PARA CULMINAR EL PROCESO DE LIQUIDACIÓN FORZOSA ADMINISTRATIVA.
<Fuente original compilada: D. 2211/04 Art. 48> De conformidad con el numeral 2 del artículo 117 del Estatuto Orgánico del Sistema Financiero, modificado por el artículo 23 de la Ley 510 de 1999, cuando se disponga la liquidación forzosa administrativa de una institución financiera, la misma no podrá prolongarse por más de cuatro (4) años.
PARÁGRAFO. Previa solicitud del liquidador debidamente sustentada y presentada con una antelación no menor a tres (3) meses antes de que culmine el término para adelantar el proceso de liquidación forzosa administrativa, el Gobierno Nacional, mediante resolución ejecutiva, podrá prorrogar el término para adelantar el proceso de liquidación forzosa administrativa, en razón del tamaño de la entidad y las condiciones de la liquidación.
<Fuente original compilada: D. 2211/04 Art. 49> El liquidador realizará cada seis (6) meses a partir del segundo año de la liquidación, o en cualquier momento del proceso a solicitud del Fondo de Garantías de Instituciones Financieras –FOGAFIN, una evaluación objetiva que permita establecer si la relación entre la venta de activos y los gastos administrativos justifica continuar con el esfuerzo de realización de los activos para el pago de acreencias. En el evento en que el liquidador determine que la relación no justifica la continuidad del proceso de realización de los activos y el pago de acreencias, deberá proceder de manera inmediata a aplicar las reglas sobre activos remanentes y situaciones jurídicas no definidas previstas en los siguientes artículos.
ARTÍCULO 9.1.3.6.3 REGLAS SOBRE ACTIVOS REMANENTES.
<Fuente original compilada: D. 2211/04 Art. 50> Cuando la relación entre los activos comparados con los gastos administrativos no sea suficiente para continuar con la realización de los activos y el pago de las acreencias, se procederá así:
a) Adjudicación por consenso de los acreedores. El liquidador requerirá a los acreedores que de acuerdo con la prelación legal tienen derecho a recibir el siguiente pago de su acreencia, para que propongan fórmulas de pagos mediante la adjudicación de los bienes remanentes hasta por el monto de los créditos. Los bienes podrán ser entregados directamente a los acreedores o a una entidad que sea elegida por los mismos y que se encuentre autorizada para administrar activos, a efectos de que esta realice dicha labor por cuenta de los acreedores.
Las propuestas o fórmulas de pago que se reciban serán sometidas a la aprobación de los acreedores que, de acuerdo con la ley y la resolución de reconocimiento de acreencias, tienen derecho a recibir el correspondiente pago.
El Liquidador aceptará las fórmulas de adjudicación que sean aprobadas por el voto favorable del cincuenta y uno por ciento (51%) de las acreencias y como mínimo la mitad más uno de los acreedores que tienen derecho a recibir el siguiente pago.
Si no se pudiere lograr la aceptación de las fórmulas de pago a que se refiere el presente literal, el liquidador podrá acudir a cualquiera de los siguientes mecanismos, según estime conveniente;
b) Celebración de contratos. En concordancia con lo previsto en el numeral 11 del artículo 301 del Estatuto Orgánico del Sistema Financiero, el Liquidador podrá suscribir directamente convenios o contratos de mandato con otras instituciones financieras intervenidas, con terceros e incluso con el Fondo de Garantías de Instituciones Financieras –FOGAFIN, mediante los cuales contrate la realización de actividades relacionadas con la liquidación.
Igualmente, el Liquidador podrá constituir patrimonios autónomos y encargos fiduciarios o celebrar todo tipo de contratos para la administración y enajenación de los activos remanentes y para el pago de las obligaciones a cargo de la institución financiera en liquidación. En todo caso, deberá obtener la autorización del Fondo de Garantías de Instituciones Financieras –FOGAFIN en los casos previstos en el literal n) del numeral 1 del artículo 320 del Estatuto Orgánico del Sistema Financiero y demás previstos en la ley.
Para el cumplimiento del propósito señalado en este literal, atendiendo a circunstancias particulares como el tamaño de la institución, el número de acreedores, la naturaleza de los activos remanentes, los costos, entre otros factores, el liquidador podrá contratar personas naturales o jurídicas de derecho público o privado que de conformidad con su objeto social puedan actuar como colectores de instituciones financieras intervenidas, o prestar servicios especializados en administración, gestión y enajenación de los activos para la cancelación de los pasivos a cargo de instituciones financieras en liquidación.
Cuando el objeto del contrato recaiga sobre labores de administración, gestión y enajenación de activos y de cancelación o pago de los pasivos a cargo de la respectiva institución financiera en liquidación, con independencia de la modalidad contractual que se adopte, el respectivo contrato se sujetará a las reglas previstas en el Estatuto Orgánico del Sistema Financiero, en la Ley 510 de 1999, en el presente decreto, en los instructivos del Fondo de Garantías de Instituciones Financieras –FOGAFIN y a lo dispuesto en los actos administrativos expedidos por el liquidador.
Antes de suscribir y perfeccionar estos contratos, el Liquidador elaborará un informe detallado con destino a la junta asesora o a los acreedores, según el caso, en el que se justifique las razones por las cuales se estima conveniente suscribir estos contratos. Dicho informe deberá trasladarse a los acreedores por diez (10) días mediante la publicación de un aviso en un diario de amplia circulación nacional, con el fin de que presenten objeciones si hay lugar a ello. Las objeciones serán resueltas por el liquidador, en un plazo máximo de diez (10) días, contados a partir del vencimiento del plazo para su presentación.
El Fondo de Garantías de Instituciones Financieras –FOGAFIN en ejercicio de la labor de seguimiento señalada en la ley, podrá pronunciarse sobre el desarrollo y ejecución de los contratos de que trata el presente artículo;
c) Adjudicación forzosa. El liquidador podrá, mediante resolución debidamente motivada, adjudicar los activos remanentes entre los acreedores que tienen derecho a recibir el siguiente pago, a título de dación en pago, a prorrata y teniendo en cuenta las reglas de prelación de créditos reconocida dentro del proceso liquidatorio, siempre y cuando el monto, la naturaleza divisible y las condiciones de los activos remanentes permitan que la dación en pago se realice sin vulnerar el derecho de igualdad de los acreedores.
La adjudicación forzosa y las daciones en pago a los acreedores se harán sobre el cien por ciento (100%) del último avalúo.
ARTÍCULO 9.1.3.6.4 REGLAS SOBRE SITUACIONES NO DEFINIDAS.
<Fuente original compilada: D. 2211/04 Art. 51> Cuando subsistan procesos o situaciones jurídicas no definidas, el liquidador previa información a los acreedores o a la junta asesora, según el caso, y siguiendo las reglas previstas en el inciso segundo del literal b) del artículo 9.1.3.6.3 del presente decreto, deberá encomendar la atención de dichas situaciones a otra institución financiera intervenida o a un tercero especializado, previa constitución de una reserva adecuada. El Fondo de Garantías de Instituciones Financieras –FOGAFIN podrá pronunciarse sobre el desarrollo y ejecución de estos contratos en desarrollo de la labor de seguimiento señalada en la ley.
ARTÍCULO 9.1.3.6.5 TERMINACIÓN DE LA EXISTENCIA LEGAL.
<Fuente original compilada: D. 2211/04 Art. 52 Adicionado por el D. 331/08 Art. 1o.> El liquidador declarará terminada la existencia legal de la institución financiera en liquidación, previa acreditación del cumplimiento de las condiciones que a continuación se señalan:
a) Que se encuentran plenamente determinadas las sumas y bienes excluidos de la masa, los créditos a cargo de la masa de la liquidación, el pasivo cierto no reclamado y la desvalorización monetaria, de conformidad con lo señalado en el presente Libro;
b) Que se encuentra plenamente determinado el activo a cargo de la institución financiera en liquidación, de acuerdo con lo señalado en los artículos 9.1.3.3.1 y 9.1.3.3.2 del presente decreto;
c) Que el pasivo externo a cargo de la institución financiera en liquidación se encuentra total y debidamente cancelado o que la totalidad de los activos de dicha institución se han distribuido entre los acreedores;
d) Que en el evento en que se establezca que el proceso de liquidación forzosa administrativa se encuentra en desequilibrio financiero, el Liquidador haya adoptado y perfeccionado los esquemas previstos en los artículos 9.1.3.6.3 y 9.1.3.6.4 del presente decreto;
e) Que las reservas previstas en el artículo 9.1.3.5.10 del presente decreto se encuentran debidamente constituidas;
f) Que la provisión para el mantenimiento y conservación del archivo de la institución financiera en liquidación se encuentra debidamente constituida, y que el archivo haya sido entregado a quien tendrá la custodia del mismo;
g) Que el cierre contable se haya realizado;
h) Que una copia impresa y en medio digital del directorio de acreedores debidamente actualizado haya sido recibido en el Fondo de Garantías de Instituciones Financieras –FOGAFIN;
i) Que la rendición final de cuentas presentada por el liquidador se encuentre en firme y protocolizada y una copia de la respectiva escritura pública se haya recibido en el Fondo de Garantías de Instituciones Financieras –FOGAFIN;
j) (Adicionado por el D. 331/08 Art. 1o.) Que se haya entregado al Fondo de Garantías de Instituciones Financieras- FOGAFIN una copia de la escritura pública o del documento privado contentivo del contrato de mandato que la entidad intervenida haya celebrado con un tercero o con el Fondo de Garantías de Instituciones Financieras- FOGAFIN, a través del cual otorga facultad al mandatario para que, en ejercicio del mencionado contrato pueda cancelar a nombre de la institución financiera en liquidación, losgravámenes constituidos a su favor, y pueda expedir certificados de paz y salvo, siempre y cuando esté comprobado que el deudor no tiene obligaciones con la entidad intervenida.
PARÁGRAFO. <Parágrafo adicionado por el artículo 4 del Decreto 1535 de 2016. El nuevo texto es el siguiente:> El plazo previsto para que los acreedores inicien acción judicial de responsabilidad contra el liquidador, según lo establecido en el artículo 297 del Estatuto Orgánico del Sistema Financiero, no impide la terminación de la existencia legal de la entidad. En todo caso deberá atenderse lo previsto en el numeral 10 del artículo 295 del Estatuto Orgánico del Sistema Financiero.
ARTÍCULO 9.1.3.6.6 TERMINACIÓN DEL PROCESO.
<Fuente original compilada: D. 2211/04 Art. 53> El proceso de liquidación forzosa administrativa terminará cuando la resolución por la cual se declare terminada la existencia legal de una institución financiera en liquidación, luego de publicarse por una sola vez en un diario de amplia circulación nacional, quede en firme y sea inscrita en el registro mercantil.
SUSPENSIÓN Y REAPERTURA DEL PROCESO DE LIQUIDACIÓN FORZOSA ADMINISTRATIVA.
ARTÍCULO 9.1.3.7.1 SUSPENSIÓN DEL PROCESO LIQUIDATORIO.
<Fuente original compilada: D. 2211/04 Art. 54> Cuando no puedan continuarse las etapas propias del proceso liquidatorio, por existir circunstancias tales como iliquidez transitoria o procesos judiciales pendientes de resolver, se podrá suspender el proceso por decisión del Director del Fondo de Garantías de Instituciones Financieras –FOGAFIN mediante acto administrativo, previo concepto del Liquidador, quien junto con el contralor cesará en sus funciones temporalmente hasta tanto se reinicie la liquidación, sin perjuicio del deber de cuidado y custodia sobre los asuntos de la liquidación.
En el acto que ordene la suspensión se adoptarán las medidas a que haya lugar para atender los gastos que se causen durante la suspensión de la liquidación.
La suspensión del proceso liquidatorio tendrá las siguientes consecuencias:
a) Durante el periodo de suspensión la entidad no tendrá la obligación de presentar declaraciones tributarias. Las declaraciones que deberían presentarse durante dicho periodo se presentarán dentro de los dos meses siguientes a la terminación de la suspensión;
b) La contabilidad de la entidad se cortará a la fecha de la resolución de suspensión y se continuará una vez se reinicie el proceso liquidatorio;
Una vez terminen los motivos de la suspensión, el director del Fondo de Garantías de Instituciones Financieras –FOGAFIN dispondrá la continuación de la liquidación.
ARTÍCULO 9.1.3.7.2 REAPERTURA DEL PROCESO LIQUIDATORIO.
<Fuente original compilada: D. 2211/04 Art. 55 Modificado por el D. 331/08 Art. 2o.> Si con posterioridad a la terminación del proceso, se tiene conocimiento de la existencia de bienes o derechos de propiedad de la institución financiera, el Fondo de Garantías de Instituciones Financieras- FOGAFIN podrá ordenar la reapertura del proceso liquidatorio respectivo con el fin de que se adelante la realización de tales activos y el pago de los pasivos insolutos a cargo de la respectiva institución financiera, hasta concurrencia de tales activos.
En estos eventos el Director del Fondo de Garantías de Instituciones Financieras- FOGAFIN designará un liquidador para que lleve a cabo el proceso de liquidación en lo que sea pertinente, conforme a las normas previstas en el Estatuto Orgánico del Sistema Financiero y en este decreto.
El liquidador dará a conocer esa decisión mediante la publicación de dos avisos sucesivos en periódicos de amplia circulación nacional, con un intervalo no menor a tres (3) días hábiles.
Cuando el valor de los nuevos derechos o activos sea inferior a los costos en que se incurriría en la reapertura del proceso o los valores a repartir entre cada uno de los acreedores sea inferior al diez por ciento (10%) del promedio de los saldos insolutos, no procederá la reapertura del proceso y los activos remanentes se entregarán en administración directamente al Fondo de Garantías de Instituciones Financieras- FOGAFIN.
Para efectos de la administración de activos remanentes, a que se refiere el inciso anterior, el Fondo de Garantías de Instituciones Financieras- FOGAFIN podrá:
a) Realizar las gestiones de administración y saneamiento de los activos remanentes, directamente o a través de un tercero facultado para el efecto;
b) Enajenar directamente o a través de un tercero dichos activos remanentes, a nombre y por cuenta de las entidades en liquidación forzosa administrativa a las cuales se les declaró la terminación de la existencia legal, aplicando para tales efectos, lo dispuesto en el parágrafo 1o del artículo 2.36.1.1.1 de presente decreto;
c) Deducir del valor del activo correspondiente, los gastos en que haya incurrido por concepto de administración, saneamiento y/o enajenación del mismo. Por lo anterior, el patrimonio del Fondo de Garantías de Instituciones Financieras- FOGAFIN, no podrá verse afectado por concepto de tales gastos o por cualquier otro relacionado con las gestiones de administración, saneamiento y/o enajenación previstas en el presente artículo;
d) Conformar una reserva a nombre de la respectiva entidad, con los recursos obtenidos mediante la administración y/o venta de los referidos activos remanentes, la cual deberá mantener y administrar, hasta que se cumplan los requisitos previstos en el presente artículo para la reapertura del proceso liquidatorio.
PARÁGRAFO 1. También se podrá ordenar la reapertura del proceso liquidatorio después de que se haya declarado su terminación, cuando surjan situaciones que hubieran quedado pendientes, siempre y cuando el solicitante sufrague los gastos a que haya lugar.
PARÁGRAFO 2. Así mismo, el Fondo de Garantías de Instituciones Financieras- FOGAFIN, podrá ordenar la reapertura del respectivo proceso liquidatorio, cuando (i) el valor de los nuevos derechos o activos sea superior a los costos en que se incurriría en la reapertura del proceso; (ii) los valores a repartir entre cada uno de los acreedores sea inferior al diez por ciento (10%) del promedio de los saldos insolutos, y (iii) existan fundados criterios de razonabilidad y proporcionalidad que así lo aconsejen.
RENDICIÓN DE CUENTAS.
ARTÍCULO 9.1.3.8.1 FECHA PARA LA RENDICIÓN DE CUENTAS.
<Fuente original compilada: D. 2211/04 Art. 56> El liquidador rendirá cuentas comprobadas de su gestión en las oportunidades y en la forma prevista en el literal g) del numeral 9 del artículo 295 y en el artículo 297 del Estatuto Orgánico del Sistema Financiero.
Para tal efecto, salvo que el liquidador señale otra fecha, de lo cual deberá avisar a los acreedores por medio de un oficio remitido a cada uno de ellos o por aviso publicado en un medio masivo de comunicación, para efectos de la rendición de cuentas se dará traslado de las mismas dentro del mes siguiente a la fecha en la cual el liquidador se separe del cargo y anualmente a partir del quince (15) de abril de cada año calendario o el día siguiente hábil, si dicho día no lo fuera, y en todo caso comprenderán únicamente la gestión realizada entre la última rendición de cuentas y la que presenta.
ARTÍCULO 9.1.3.8.2 RENDICIÓN DE CUENTAS A LOS ACCIONISTAS.
<Fuente original compilada: D. 2211/04 Art. 57> Cuando se haya cancelado la totalidad del pasivo externo a cargo de la institución financiera intervenida, constituido las provisiones requeridas y cubierto los gastos de la liquidación, el liquidador convocará a los accionistas de la institución financiera liquidada, mediante aviso que se publicará en diario de amplia circulación, para hacerles entrega de la rendición final de cuentas y del remanente de activos en el evento que subsistieran.
Rendidas las cuentas y entregado el remanente si a ello hay lugar, a partir de este momento cesarán las obligaciones del Fondo y del liquidador por él designado.
Si hecha debidamente la convocatoria no se integra el quórum, a más tardar dentro de los cinco (5) días siguientes se convocarán en la misma forma a una segunda asamblea en la cual se podrá decidir válidamente con cualquier número de accionistas. Si a dicha reunión no concurre ningún accionista se tendrá por presentada y aprobada la rendición de cuentas, se constituirá con recursos provenientes de la liquidación un fondo para el mantenimiento y conservación del archivo de la institución y se hará entrega de los activos remanentes al Fondo de Garantías de Instituciones Financieras –FOGAFIN.
LA JUNTA DE ACREEDORES.
ARTÍCULO 9.1.3.9.1. INTEGRACIÓN DE LA JUNTA DE ACREEDORES. <Artículo modificado por el artículo 5 del Decreto 1535 de 2016. El nuevo texto es el siguiente:> En los procesos de liquidación habrá una junta de acreedores la cual se reunirá en cualquier tiempo cuando sea convocada por el liquidador o por el contralor y, en todo caso, en reunión ordinaria, el 1o de abril de cada año a las 10 a. m. en la oficina principal de la entidad en liquidación.
La Junta estará integrada por cinco miembros, de los cuales tres serán los acreedores cuyos créditos vigentes sean los de mayor cuantía y dos serán designados periódicamente por el Fondo de Garantías de Instituciones Financieras (Fogafín). Cuando no acepten alguno o algunos de los acreedores cuyos créditos son los de mayor cuantía, se designará a los acreedores que por el valor de los créditos siguen en turno.
Para la designación de los dos miembros restantes el Fondo, por conducto de la liquidación, hará una invitación pública a todos los acreedores minoritarios para que por escrito manifiesten su intención y aceptación para integrar la Junta, la cual quedará conformada por los dos (2) primeros acreedores minoritarios que hagan llegar su aceptación, circunstancia esta que el Liquidador deberá informar al Fondo de Garantías de Instituciones Financieras (Fogafín). El liquidador publicará y comunicará la integración de la Junta.
La Junta deliberará con la mitad más uno de sus integrantes y decidirá al menos con el voto favorable de igual número de miembros. Cuando la Junta no pueda sesionar por falta de quórum el liquidador la citará nuevamente y por una sola vez para los diez días siguientes, convocando directamente a los acreedores que según el valor de sus créditos deban reemplazar a quienes no concurrieron, si dentro de los tres (3) días siguientes los mismos no han justificado su inasistencia. En este caso la Junta deliberará y decidirá con cualquier número plural de miembros que asistan. Cuando se trate de la reunión ordinaria, en el evento de que no sesione la Junta, el liquidador dará traslado de las cuentas a los acreedores a partir de la fecha de la segunda y última convocatoria.
La Junta tendrá las funciones previstas en el presente Libro para la junta asesora del agente especial.
PARÁGRAFO 1o. Durante su proceso de constitución la junta podrá sesionar, deliberar y decidir con tres (3) de sus miembros.
PARÁGRAFO 2o. Desde el reconocimiento de los créditos y hasta cuando se concluyan los pagos por concepto de restitución de sumas excluidas de la masa de la liquidación, la Junta solo podrá estar integrada por acreedores de tales sumas. Una vez éstas hayan sido canceladas la Junta se integrará con acreedores de la masa de la liquidación.
PARÁGRAFO 3o. En caso de que por alguna circunstancia no pueda sesionar la Junta, el liquidador no podrá suspender las decisiones a adoptar, sino seguir con el procedimiento dando publicidad mediante medios idóneos e informando a la Junta en la sesión siguiente.
DISPOSICIONES FINALES.
<Fuente original compilada: D. 2211/04 Art. 60> De acuerdo con el artículo 96 del Estatuto Orgánico del Sistema Financiero, modificado por el artículo 22 de la Ley 795 de 2003, los libros y papeles anteriores a la toma de posesión de las instituciones financieras sometidas al proceso de liquidación forzosa administrativa, deberán conservarse por cinco (5) años, contados a partir de la fecha del respectivo asiento, sin perjuicio de los términos establecidos en normas especiales. Transcurrido este lapso podrán ser destruidos siempre que, por cualquier medio técnico adecuado, se garantice su reproducción exacta. El liquidador, antes de entregar el archivo a la entidad contratada para su custodia, deberá realizar la depuración y consecuente destrucción de aquellos documentos que no se encuentre obligado a conservar.
Los libros y papeles de la liquidación se someterán a lo dispuesto en el artículo 134 del Decreto 2649 de 1993 para las sociedades comerciales en liquidación. Las entidades financieras públicas en liquidación se regirán en esta materia por lo previsto en el parágrafo del artículo 96 del Estatuto Orgánico del Sistema Financiero, modificado por el artículo 22 de la Ley 795 de 2003.
El liquidador podrá adoptar medidas especiales para la conservación de los documentos en materia fiscal y laboral de las entidades financieras privadas en liquidación, para lo cual, antes de proceder a la entrega del archivo, deberá remitir una copia auténtica de la carpeta laboral a la última Administradora de Fondos de Pensiones (AFP) y a los respectivos trabajadores a la última dirección registrada por ellos en la entidad.
La organización del archivo de las entidades financieras públicas en liquidación se sujetará a las normas especiales y a los Acuerdos expedidos por el Archivo General de la Nación.
En el caso de estas entidades el plazo de cinco (5) años a que se refiere el parágrafo del artículo 96 del Estatuto Orgánico del Sistema Financiero, modificado por el artículo 22 de la Ley 795 de 2003, se contará a partir del día siguiente a aquel en que quede en firme el respectivo acto administrativo que declare la terminación del proceso de liquidación por parte del liquidador.
De acuerdo con el artículo 2o de la Ley 80 de 1989 y en desarrollo de los principios consagrados en la Ley 594 de 2000, durante el plazo contemplado en el inciso anterior la administración integral de los archivos de las entidades financieras públicas en liquidación podrá estar a cargo del Archivo General de la Nación, previa celebración de los respectivos convenios interadministrativos en los términos del literal c) del artículo 24 de la Ley 80 de 1993.
Para los efectos de esta disposición, se entiende por administración integral de archivos la realización de las labores propias de custodia, conservación, acceso, manejo y en general, las actividades que garanticen la funcionalidad y transferencia definitiva de los archivos al Archivo General de la Nación, en los términos del parágrafo del artículo 96 del Estatuto Orgánico del Sistema Financiero, modificado por el artículo 22 de la Ley 795 de 2003.
ARTÍCULO 9.1.3.10.2 DIRECTORIO DE ACREEDORES.
<Fuente original compilada: D. 2211/04 Art. 61> El liquidador de cada institución financiera en liquidación deberá conformar y mantener actualizado el respectivo directorio de los acreedores y accionistas con la indicación del nombre, domicilio, dirección, teléfono, documento de identificación, número de reclamación, la cuantía y la prelación en el pago reconocido o la participación en el capital social respectivamente.
PARÁGRAFO. Los acreedores están obligados a notificar al liquidador todo cambio en su dirección o teléfonos en los cuales pueden ser contactados.
ARTÍCULO 9.1.3.10.3 INSTRUCTIVOS.
<Fuente original compilada: D. 2211/04 Art. 62> Sin perjuicio de la competencia y responsabilidad que les corresponde a los liquidadores, el Fondo de Garantías de Instituciones Financieras –FOGAFIN podrá expedir instructivos de carácter general en relación con los diferentes aspectos del proceso de liquidación forzosa administrativa.
ARTÍCULO 9.1.3.10.4 NORMAS DE APLICACIÓN EN EL TIEMPO DE LAS REGLAS DE PROCEDIMIENTO.
<Fuente original compilada: D. 2211/04 Art. 63> Lo dispuesto en el presente Libro se aplicará a los procesos en curso, sin perjuicio de que los recursos interpuestos, los términos que hubiesen comenzado a correr y las notificaciones o citaciones que se estén surtiendo se rijan por la ley vigente cuando se interpuso el recurso, empezó a correr el término o a surtirse la notificación.
COMPRA DE ACTIVOS Y ASUNCIÓN DE PASIVOS.
ARTÍCULO 9.1.4.1.1. ALCANCE. <Artículo adicionado por el artículo 1 del Decreto 521 de 2018. El nuevo texto es el siguiente:>
De acuerdo con el artículo 295A del Estatuto Orgánico del Sistema Financiero, en el evento que la Superintendencia Financiera de Colombia ordene la liquidación forzosa administrativa de un establecimiento de crédito, la Junta Directiva del Fondo de Garantías de Instituciones Financieras, Fogafín, podrá ordenar como alternativa al pago de seguro de depósitos, la compra de activos y asunción de pasivos. Este mecanismo de resolución tiene por objeto la transferencia de activos y pasivos del establecimiento de crédito en liquidación, a uno o más establecimientos de crédito y/o bancos puente.
Para la adopción de la compra de activos y asunción de pasivos Fogafín tendrá en cuenta su costo frente al valor del pago del seguro de depósitos, prefiriendo aquella operación que, de acuerdo con el estudio realizado, le permita cumplir de manera adecuada su objeto al menor costo, con sujeción a lo dispuesto en el literal b) del numeral 6 del artículo 320 del Estatuto Orgánico del Sistema Financiero.
ARTÍCULO 9.1.4.1.2. OBJETIVOS. <Artículo adicionado por el artículo 1 del Decreto 521 de 2018. El nuevo texto es el siguiente:>
Las disposiciones contenidas en el presente título, y en general, las condiciones, requisitos y procedimientos que se fijen para la compra de activos y asunción de pasivos, tendrán los siguientes objetivos:
1. Preservar la estabilidad del sistema financiero garantizando la continuidad de las funciones críticas del establecimiento de crédito objeto de liquidación.
2. Mantener la disciplina de mercado, dado que la operación debe evitar beneficios económicos injustificados para los accionistas y acreedores no amparados por el seguro de depósitos del establecimiento de crédito objeto de liquidación.
3. Garantizar la oportunidad en la adopción del mecanismo dado que su viabilidad depende, entre otros elementos, de que se cuente con procesos operativos eficientes y con preparación previa suficiente.
PARÁGRAFO. Para el cumplimiento de lo previsto en el presente artículo, se entenderá por función crítica de un establecimiento de crédito, aquella cuya interrupción súbita genera un impacto negativo importante, susceptible de causar contagio o minar la confianza general del público y de los participantes en el sistema financiero.
ARTÍCULO 9.1.4.1.3 ADOPCIÓN DE LA COMPRA DE ACTIVOS Y ASUNCIÓN DE PASIVOS. <Artículo adicionado por el artículo 1 del Decreto 521 de 2018. El nuevo texto es el siguiente:>
Con sujeción a lo previsto en el presente título, la Junta Directiva de Fogafín podrá ordenar la compra de activos y asunción de pasivos de un establecimiento de crédito en liquidación como alternativa al pago del seguro de depósitos y, en consecuencia, optar por alguna de las siguientes formas de transferencia:
1. Transferencia de activos y pasivos a uno o más establecimientos de crédito, o
2. Transferencia de activos y pasivos a uno o más bancos puentes, o
3. Transferencia de activos y pasivos a uno o más establecimientos de crédito y uno o más bancos puentes.
PARÁGRAFO 1. Contra el acto administrativo mediante el cual la Junta Directiva de Fogafín ordena la compra de activos y asunción de pasivos solo procede recurso de reposición y su interposición no suspende ni interrumpe el mecanismo. Para el efecto, se seguirá el procedimiento previsto en los artículos 74 a 81 de la Ley 1437 de 2011.
PARÁGRAFO 2. De acuerdo con lo previsto en el literal a) del artículo 295A del Estatuto Orgánico del Sistema Financiero, la transferencia de activos y pasivos produce efectos de pleno derecho, sin perjuicio del aviso que de la misma se dé a los titulares.
PARÁGRAFO 3. Dentro de la compra de activos y asunción de pasivos, Fogafín podrá ordenar la transferencia o cesión de los contratos que sean necesarios para el adecuado desarrollo del mecanismo de resolución. Para el efecto, no se requerirá el consentimiento o aceptación de los contratantes y la cesión en ningún caso producirá efectos de novación.
ARTÍCULO 9.1.4.1.4. ELEMENTOS A EVALUAR PARA LA ADOPCIÓN DE LA COMPRA DE ACTIVOS Y ASUNCIÓN DE PASIVOS. <Artículo adicionado por el artículo 1 del Decreto 521 de 2018. El nuevo texto es el siguiente:>
Para ordenar la compra de activos y asunción de pasivos, Fogafín evaluará como mínimo los siguientes elementos:
1. El tipo y el valor de los activos y los pasivos que serían objeto de transferencia.
2. Análisis de funciones críticas de la entidad en liquidación forzosa administrativa.
3. Evaluación de mínimo costo.
4. Monto del aporte de Fogafín de que trata el artículo 9.1.4.1.8. del presente decreto, cuando se requiera.
5. Requisitos que deben cumplir él o los establecimientos de crédito o bancos puentes para recibir los activos y pasivos.
6. Las garantías que se otorgarán sobre los activos y pasivos a transferir, en los eventos que se determine su otorgamiento.
7. Las condiciones en las cuales podrá ordenarse la reprogramación de plazos y/o la reducción de tasas, en caso que así se disponga.
ARTÍCULO 9.1.4.1.5. PROCEDIMIENTOS. <Artículo adicionado por el artículo 1 del Decreto 521 de 2018. El nuevo texto es el siguiente:>
Fogafín determinará los procedimientos mediante los cuales se adoptará el mecanismo de compra de activos y asunción de pasivos y las formas de transferencia de los mismos, considerando como mínimo los siguientes aspectos:
1. Valoración previa de los activos y pasivos del establecimiento de crédito en liquidación, con base en la metodología que establezca Fogafín.
2. Cálculo del valor de los aportes que realizaría Fogafín a la entidad en liquidación, de que trata el artículo 9.1.4.1.8. del presente decreto.
3. Evaluación previa de mínimo costo.
4. Evaluación del interés de los establecimientos de crédito por adquirir los activos y pasivos de la entidad en liquidación.
5. El proceso y procedimientos con el que se ofrecerán a la venta los activos y pasivos, en caso de que se haya dispuesto la transferencia de activos y pasivos a uno o más establecimientos de crédito.
6. Los mecanismos de publicidad, información y contacto que se utilizarán durante el proceso de compra de activos y asunción de pasivos.
ARTÍCULO 9.1.4.1.6. PASIVOS SUSCEPTIBLES DE TRANSFERENCIA. <Artículo adicionado por el artículo 1 del Decreto 521 de 2018. El nuevo texto es el siguiente:>
Fogafín seleccionará para su transferencia la totalidad de las acreencias amparadas por el seguro de depósitos. No obstante, Fogafín podrá seleccionar otros pasivos cuando considere que su transferencia es importante para mantener la estabilidad del sistema financiero.
En ningún caso se transferirán las acreencias laborales, fiscales, prestaciones sociales y/o indemnizaciones legales o convencionales.
ARTÍCULO 9.1.4.1.7. ACTIVOS SUSCEPTIBLES DE TRANSFERENCIA. <Artículo adicionado por el artículo 1 del Decreto 521 de 2018. El nuevo texto es el siguiente:>
Fogafín definirá los activos que serán transferidos procurando que exista interés de los establecimientos de crédito por adquirir los activos y pasivos de la entidad en liquidación y procurando obtener la equivalencia entre activos y pasivos a transferir, de acuerdo con la valoración que se haya realizado de los mismos.
Fogafín evaluará los activos líquidos que deben permanecer en el establecimiento de crédito en liquidación para el pago de las acreencias de que trata el último inciso del artículo 9.1.4.1.6. del presente decreto. En ningún caso el aporte de Fogafín será destinado para cubrir los mencionados pasivos.
No serán objeto de transferencia los activos a que hace referencia el literal b) del artículo 295A del Estatuto Orgánico del Sistema Financiero.
PARÁGRAFO. La transferencia de los activos conlleva también la de las garantías, privilegios o derechos asociados con los mismos.
ARTÍCULO 9.1.4.1.8. APORTE DE RECURSOS. <Artículo adicionado por el artículo 1 del Decreto 521 de 2018. El nuevo texto es el siguiente:>
De conformidad con el literal d) del artículo 295A del Estatuto Orgánico del Sistema Financiero, Fogafín podrá realizar aportes de recursos al establecimiento de crédito en liquidación con cargo a la reserva del seguro de depósitos, con el fin de que se procure equivalencia entre los activos y pasivos objeto del mecanismo de resolución. Fogafín establecerá, en cada caso, la operatividad y los activos con los que se realizará dicho aporte.
Estos aportes realizados por Fogafín, podrán ser transferidos al establecimiento receptor de activos y pasivos, en cuyo caso se considerarán como un gasto de administración del establecimiento de crédito en liquidación.
ARTÍCULO 9.1.4.1.9. AUTORIZACIÓN PARA LA ADJUDICACIÓN DE ACTIVOS Y PASIVOS. <Artículo adicionado por el artículo 1 del Decreto 521 de 2018. El nuevo texto es el siguiente:>
Los establecimientos de crédito que se postulen a la compra de activos y asunción de pasivos de una entidad en liquidación requerirán autorización previa de la Superintendencia Financiera de Colombia.
El Superintendente Financiero se abstendrá de autorizar la participación en la compra de activos y asunción de pasivos cuando el establecimiento de crédito postulante presente alguna de las siguientes condiciones:
1. No cumpla con las disposiciones del artículo 71 del Estatuto Orgánico del Sistema Financiero.
2. Sea objeto de las medidas a que se refieren los artículos 113 y 114 del Estatuto Orgánico del Sistema Financiero.
3. No cumpla las normas de solvencia vigentes y/o no las cumpliera una vez se produzca la transferencia.
ARTÍCULO 9.1.4.1.10. ADJUDICACIÓN DE ACTIVOS Y PASIVOS. <Artículo adicionado por el artículo 1 del Decreto 521 de 2018. El nuevo texto es el siguiente:>
La adjudicación de activos y pasivos a uno o más establecimientos de crédito, será efectuada por Fogafín mediante el procedimiento que establezca para tales efectos.
En caso de que ningún establecimiento de crédito haya ofrecido comprar los activos y asumir los pasivos, Fogafín evaluará si dispondrá la transferencia de los activos y pasivos a un banco puente o si procederá al pago del seguro de depósitos. Fogafín adoptará aquella medida que represente un menor costo para la reserva del seguro de depósitos.
ARTÍCULO 9.1.4.1.11. DESTINACIÓN DE RECURSOS. <Artículo adicionado por el artículo 1 del Decreto 521 de 2018. El nuevo texto es el siguiente:>
El producto de lo pagado por él o los establecimientos de crédito que resulten adjudicatarios de los activos y pasivos de la entidad en liquidación, se destinará a cubrir en primer lugar el pago del aporte efectuado por Fogafín a que se refiere el artículo 9.1.4.1.8. del presente decreto, y el excedente, en caso de existir, deberá ser destinado a cubrir las demás acreencias del establecimiento de crédito en liquidación.
ARTÍCULO 9.1.4.1.12. PUBLICIDAD. <Artículo adicionado por el artículo 1 del Decreto 521 de 2018. El nuevo texto es el siguiente:>
A más tardar dentro de los tres (3) días hábiles siguientes a la adjudicación de los activos y pasivos, Fogafín dará aviso, en un medio de amplia circulación nacional, a los titulares de los pasivos objeto de transferencia sobre el alcance de la medida y los canales o medios de comunicación con que cuentan para recibir mayor información sobre la operación de compra de activos y asunción de pasivos adelantada.
Por su parte, él o los establecimientos de crédito receptores deberán enviar a los titulares de las acreencias transferidas, con la mayor brevedad posible, una comunicación a la última dirección que tuviere registrada la entidad en liquidación, en la que se le informe sobre el mecanismo adoptado, la transferencia realizada y, en general, las condiciones o el estado actual de su acreencia, sin perjuicio de que dentro de la misma oportunidad se utilicen adicionalmente otros medios o canales de comunicación.
ARTÍCULO 9.1.4.1.13. GARANTÍA DE LA CONTINUIDAD DE LA PRESTACIÓN DE SERVICIOS. <Artículo adicionado por el artículo 1 del Decreto 521 de 2018. El nuevo texto es el siguiente:>
La entidad objeto del mecanismo de compra de activos y asunción de pasivos prestará los servicios de infraestructura, tecnología, procesos y/o recursos humanos a las entidades receptoras, necesarios para garantizar la continuidad de la prestación de los servicios asociados con los activos transferidos y la atención inmediata por parte de la entidad receptora de las obligaciones con el público de los pasivos transferidos, mientras que se perfecciona la medida. La entidad receptora realizará el pago que se convenga con la entidad en liquidación por la prestación de estos servicios.
ARTÍCULO 9.1.4.1.14. OBJETIVO DEL BANCO PUENTE. <Artículo adicionado por el artículo 1 del Decreto 521 de 2018. El nuevo texto es el siguiente:>
La constitución y funcionamiento de un banco puente tiene como objetivo recibir los activos y pasivos de uno o más establecimientos de crédito en liquidación, con el fin de administrarlos y venderlos en el menor tiempo posible, propendiendo por mantener el valor de sus activos.
ARTÍCULO 9.1.4.1.15. DEFINICIÓN Y CONDICIÓN ESPECIAL DE BANCO PUENTE. <Artículo adicionado por el artículo 1 del Decreto 521 de 2018. El nuevo texto es el siguiente:>
El banco puente es un establecimiento de crédito especial que mientras mantenga esta condición no estará sujeto a disposiciones que le exijan requerimientos mínimos de capital, solvencia, regímenes de reserva legal, inversiones forzosas ni encaje.
PARÁGRAFO. Cuando un banco puente reciba como activo la propiedad o participación accionaria en otra persona jurídica, esta adquisición no modifica la denominación, tipo, régimen legal y naturaleza de dicha persona jurídica.
ARTÍCULO 9.1.4.1.16. CONSTITUCIÓN DEL BANCO PUENTE. <Artículo adicionado por el artículo 1 del Decreto 521 de 2018. El nuevo texto es el siguiente:>
En virtud de su condición especial, a la constitución del banco puente no le son aplicables las disposiciones del artículo 53 del Estatuto Orgánico del Sistema Financiero. La Superintendencia Financiera de Colombia impartirá instrucciones del procedimiento requerido para la constitución del banco puente, las cuales deben garantizar la oportunidad en la adopción del mecanismo de compra de activos y asunción de pasivos.
Para la constitución de un banco puente se requiere la autorización previa de la Superintendencia Financiera de Colombia. Fogafín presentará solicitud de constitución ante dicha Superintendencia acompañada de la siguiente documentación e información:
1. Documento expedido por Fogafín en el que se expongan los motivos para la creación del banco puente.
2. El tipo de establecimiento de crédito.
3. Las operaciones e inversiones que podrá desarrollar el banco puente.
4. Proyecto de estatutos sociales.
5. La identificación de las personas que conforman el gobierno corporativo de dicha entidad.
PARÁGRAFO. El acto administrativo con el que el Superintendente Financiero autoriza la constitución del banco puente es de cumplimiento inmediato y contra este solo procede el recurso de reposición; su interposición no suspende ni interrumpe los efectos del acto.
ARTÍCULO 9.1.4.1.17. OPERACIONES E INVERSIONES. <Artículo adicionado por el artículo 1 del Decreto 521 de 2018. El nuevo texto es el siguiente:>
El banco puente está facultado para desarrollar las operaciones e inversiones autorizadas para los establecimientos de crédito y autorizadas por su Junta Directiva, con sujeción a las instrucciones que al respecto imparta Fogafín.
ARTÍCULO 9.1.4.1.18. SUPERVISIÓN. <Artículo adicionado por el artículo 1 del Decreto 521 de 2018. El nuevo texto es el siguiente:>
Atendiendo la calidad de establecimiento de crédito especial denominado banco puente, estas entidades se encuentran sujetas a la inspección y vigilancia de la Superintendencia Financiera de Colombia.
La Superintendencia Financiera de Colombia impartirá instrucciones sobre la forma en que se ejercerá su supervisión, con sujeción a las disposiciones contenidas en el presente título.
ARTÍCULO 9.1.4.1.19. DURACIÓN. <Artículo adicionado por el artículo 1 del Decreto 521 de 2018. El nuevo texto es el siguiente:>
La condición de banco puente podrá ser mantenida por un término máximo de dos años. La Junta Directiva de Fogafín podrá prorrogar el término por un (1) año adicional, por un máximo de tres (3) veces.
En caso de que se constituya un banco puente con capacidad de recibir la transferencia de activos y pasivos de más de un establecimiento de crédito, el término previsto en el inciso anterior contará a partir de la fecha de expedición de la resolución de decisión de compra de activos y asunción de pasivos del último establecimiento de crédito al que se le haya ordenado la transferencia de activos y pasivos a ese banco puente.
ARTÍCULO 9.1.4.1.20. TERMINACIÓN DE LA CONDICIÓN DE BANCO PUENTE. <Artículo adicionado por el artículo 1 del Decreto 521 de 2018. El nuevo texto es el siguiente:>
La condición de banco puente terminará en los siguientes casos:
1. Cuando haya sido adquirido o fusionado con otro establecimiento de crédito que no tenga la condición banco puente.
2. Cuando Fogafín venda o transfiera a otra persona su participación accionaria en el banco puente.
3. Cuando Fogafín así lo decida como consecuencia de la venta o cesión total o parcial de los activos y pasivos del banco puente.
4. Cuando haya culminado el término de duración de su condición de banco puente.
5. Cuando se decida la liquidación del banco puente.
PARÁGRAFO 1. Fogafín dispondrá la venta o fusión del banco puente o la cesión total o parcial de los activos y pasivos del banco puente, cuando a su juicio estime la pertinencia de la operación. Para el efecto, propenderá por obtener el mayor beneficio económico y la mayor recuperación posible de los recursos aportados por Fogafín.
PARÁGRAFO 2. En los casos a que hace referencia los numerales 1 y 3 del presente artículo, a la fusión, adquisición o cesión de activos y pasivos del banco puente le serán aplicables las disposiciones del numeral 9 del artículo 113 del Estatuto Orgánico del Sistema Financiero.
PARÁGRAFO 3. En los casos a que hacen referencia los numerales 2 y 4 del presente artículo, terminada la condición de banco puente, para que se predique su continuidad como establecimiento de crédito, este deberá cumplir con todos los requisitos que le son aplicables a los establecimientos de crédito.
PARÁGRAFO 4. En los casos a que hacen referencia los numerales 3 y 5 del presente artículo, se procederá a la disolución del banco puente de acuerdo con lo previsto en la normatividad vigente.
ARTÍCULO 9.1.4.1.21. RECURSOS DE LA VENTA. <Artículo adicionado por el artículo 1 del Decreto 521 de 2018. El nuevo texto es el siguiente:>
En caso de venta del banco puente, de la proporción de recursos que corresponda a Fogafín se reembolsarán, en primer lugar, los recursos de que trata el artículo 9.1.4.1.8 del presente decreto y aquellos provenientes de la reserva del seguro de depósitos que se hayan destinado a la constitución y funcionamiento del banco puente; el excedente deberá destinarse a la liquidación de la entidad intervenida.
ARTÍCULO 9.1.4.1.22. APLICACIÓN PARA LAS COOPERATIVAS FINANCIERAS. <Artículo adicionado por el artículo 1 del Decreto 521 de 2018. El nuevo texto es el siguiente:>
Para la aplicación de lo previsto en el presente título a cooperativas financieras a las que se les haya ordenado la liquidación forzosa administrativa, las menciones realizadas a Fogafín se entenderán efectuadas al Fondo de Garantías de Entidades Cooperativas, Fogacoop.
REGLAS ESPECIALES PARA LA LIQUIDACIÓN DE NEGOCIOS FIDUCIARIOS DE ENTIDADES FIDUCIARIAS.
ARTÍCULO 9.2.1.1.1 ÁMBITO DE APLICACIÓN.
<Fuente original compilada: D. 2894/07 Art. 1o.> Lo previsto en el presente Libro será aplicable a la liquidación de cada negocio fiduciario de las sociedades fiduciarias que hayan sido objeto de toma de posesión para liquidar, así como a aquellas cuya liquidación haya sido dispuesta por el Gobierno Nacional en desarrollo de lo señalado en el artículo 52 de la Ley 489 de 1998.
ARTÍCULO 9.2.1.1.2 CESIÓN DE NEGOCIOS FIDUCIARIOS.
<Fuente original compilada: D. 2894/07 Art. 2o.> <Inciso modificado por el artículo 1 del Decreto 1104 de 2014. El nuevo texto es el siguiente:> Dentro de los seis (6) meses siguientes a la fecha de entrada en vigencia del acto que ordene la liquidación de la sociedad fiduciaria respectiva, el liquidador deberá realizar gestiones encaminadas a ceder todos los negocios fiduciarios que aún tengan pendiente el plazo de ejecución, cualquiera que sea su clase, sin perjuicio del régimen propio de los contratos estatales. El Fondo de Garantías de Instituciones Financieras podrá prorrogar hasta por tres (3) meses más el plazo establecido en este inciso.
La orden de liquidación de una sociedad fiduciaria generará la terminación y liquidación de cada negocio fiduciario celebrado por dicha entidad, que no haya podido cederse dentro del plazo previsto en el presente artículo, de conformidad con lo dispuesto en el artículo 290 del Estatuto Orgánico del Sistema Financiero.
Para la cesión de los negocios, el liquidador deberá formular dentro de los diez (10) días siguientes a la fecha de entrada en vigencia del acto que ordene la liquidación de la sociedad fiduciaria, una invitación a las instituciones legalmente facultadas para desarrollar operaciones de fiducia para que presenten sus ofertas dentro del término que fije el liquidador. El liquidador realizará la cesión de los negocios a la compañía que ofrezca las mejores condiciones, previa aceptación de los fideicomitentes y beneficiarios respectivos, manifestada por escrito dentro de los diez (10) días hábiles siguientes a la fecha del envío de la comunicación del liquidador, en la cual se proponga la cesión del contrato, en la que se advertirá que en caso de que la decisión sea negativa el contrato se terminará y se procederá a su liquidación aplicando el procedimiento general establecido en el presente Libro.
PARÁGRAFO 1. En los casos en que no se haya pactado la aceptación expresa de la cesión, si vencido el plazo para que los fideicomitentes y beneficiarios se pronuncien sobre la solicitud de aceptación de la cesión contractual propuesta, no hay manifestación alguna al respecto, se entenderá aceptada la cesión.
PARÁGRAFO 2. <Ver Notas del Editor> En caso de negocios fiduciarios con fideicomitentes plurales, la cesión del contrato deberá ser aceptada por quienes representen por lo menos el cincuenta y uno por ciento (51%) de los derechos en el contrato y como mínimo la mitad más uno de los fideicomitentes. En caso de que no se reúna este porcentaje se entenderá que la decisión es negativa.
En caso de existir pluralidad de beneficiarios, la cesión del contrato deberá ser aceptada por quienes representen por lo menos la mitad más uno de los beneficiarios registrados contablemente en el negocio fiduciario y como mínimo el cincuenta y uno por ciento (51%) de los derechos correspondientes.
En caso de que no se reúna este porcentaje se entenderá que la decisión es negativa.
PARÁGRAFO 3. Aceptada la cesión, el liquidador procederá a realizar las gestiones y pagos necesarios para adelantar dicha cesión con cargo a los recursos disponibles en cada negocio.
En el evento en que no existan recursos, el fideicomitente, o la parte que contractualmente esté obligada a ello, deberá proporcionar dichos recursos dentro de los diez (10) días hábiles siguientes a la fecha del envío de la comunicación del liquidador en la cual le solicite los recursos. Vencido este término, el liquidador requerirá al beneficiario del negocio para que provea los recursos dentro de los quince (15) días hábiles siguientes a la fecha en que se efectúe el requerimiento. En caso de que vencido este segundo término no se reúnan los recursos necesarios para perfeccionar la cesión del negocio, se entenderá que la decisión es negativa y se procederá a su liquidación aplicando el procedimiento establecido en el presente Libro.
ARTÍCULO 9.2.1.1.3 MEDIDAS PREVENTIVAS.
<Fuente original compilada: D. 2894/07 Art. 3o.> Las medidas previstas en los literales a), e), j) y k) del numeral 1 del artículo 9.1.1.1.1 del presente decreto, tendrán efecto respecto de todos los negocios fiduciarios, a partir de la fecha de entrada en vigencia del acto administrativo que ordena la liquidación de la sociedad fiduciaria.
Vencido el término señalado en el inciso primero del artículo 9.2.1.1.2 del presente decreto, entrarán a regir, además, las siguientes medidas administrativas respecto de los negocios fiduciarios que no se hayan podido ceder, para lo cual el liquidador deberá:
a) <Literal modificado el artículo 139 del Decreto 1745 de 2020. El nuevo texto es el siguiente:> Dar aviso a los jueces de la República, a los jueces de ejecuciones fiscales y a las autoridades administrativas de todo orden respecto del proceso de liquidación de los negocios fiduciarios correspondientes, con el fin de que procedan a remitir al liquidador de la sociedad fiduciaria los expedientes relativos a los procesos ejecutivos o cobros coactivos en curso contra dichos negocios fiduciarios y a aplicar las reglas previstas por los artículos 20 y 70 de la Ley 1116 de 2006, advirtiendo que deben acumularse al proceso de liquidación de cada negocio fiduciario y que no se podrá continuar ninguna otra clase de proceso Contra los negocios fiduciarios de la entidad sin que se notifique personalmente al liquidador.
b) Comunicar a la Superintendencia de Notariado y Registro para que dicha entidad, mediante circular, ordene a todos los registradores de instrumentos públicos que dentro de los treinta (30) días siguientes al vencimiento del término previsto en el inciso primero del artículo 9.2.1.1.2 del presente decreto, realice las siguientes actividades:
Informar al liquidador de la sociedad fiduciaria sobre la existencia de folios de matrícula en los cuales figuren los correspondientes negocios fiduciarios como titulares de bienes o cualquier clase de derechos; disponer el registro de la liquidación de los negocios fiduciarios respectivos en los folios de matrícula de los bienes inmuebles de los negocios fiduciarios respectivos; cancelar los embargos decretados con anterioridad al vencimiento del término previsto en el inciso primero del artículo 9.2.1.1.2 del presente decreto, que afecten los activos de los negocios fiduciarios de la sociedad fiduciaria en liquidación; y cancelar los gravámenes que recaigan sobre los bienes de los negocios fiduciarios respectivos a solicitud elevada sólo por el liquidador de la sociedad fiduciaria.
Se deberá advertir además a los registradores que se abstengan de cancelar los gravámenes constituidos a favor de los negocios fiduciarios respectivos sobre cualquier bien cuya mutación de dominio esté sujeta a registro, salvo expresa autorización del liquidador de la sociedad fiduciaria; así como registrar cualquier acto que afecte el dominio de bienes de propiedad de los negocios fiduciarios respectivos, a menos que dicho acto haya sido realizado por el liquidador, caso en el cual deben cancelar la respectiva anotación sobre la liquidación;
c) Comunicar al Ministerio de Transporte para que dicha entidad directamente o mediante solicitud a todas las secretarías de tránsito y transporte proceda a realizar la inscripción de la liquidación de los negocios fiduciarios respectivos en el registro de automotores correspondiente o en el registro único nacional de tránsito; para que cancelen los embargos registrados con anterioridad al vencimiento del término previsto en el inciso primero del artículo 9.2.1.1.2 del presente decreto que afecten los vehículos de tales negocios; para que cancelen los gravámenes que recaigan sobre los vehículos de los negocios fiduciarios a solicitud unilateral del liquidador mediante oficio; para que se abstengan de cancelar los gravámenes constituidos sobre vehículos a favor de los negocios fiduciarios, cuya mutación de dominio esté sujeta a registro, salvo expresa autorización del liquidador; y para que se abstengan de registrar cualquier acto que afecte el dominio de vehículos de propiedad de los negocios fiduciarios a menos que dicho acto haya sido realizado por el liquidador;
d) Advertir que todas las obligaciones a plazo a cargo de los respectivos negocios fiduciarios son exigibles a partir de la fecha en que se venza el término previsto en el inciso primero del artículo 9.2.1.1.2 del presente decreto, sin perjuicio de lo que dispongan las normas que regulan las operaciones de futuros, opciones y otros derivados, de acuerdo con lo previsto en el literal b) del artículo 117 del Estatuto Orgánico del Sistema Financiero;
e) Advertir que el pago efectivo de las condenas provenientes de sentencias en firme contra el respectivo negocio fiduciario proferidas con posterioridad al vencimiento del plazo previsto en el inciso primero del artículo 9.2.1.1.2 del presente decreto, se hará atendiendo la prelación de créditos establecidos en la ley y de acuerdo con las disponibilidades del respectivo negocio fiduciario;
f) Advertir a cualquier persona que tenga en su poder activos de propiedad de los respectivos negocios fiduciarios, para que proceda de manera inmediata a entregar dichos activos al liquidador.
PARÁGRAFO 1. Las advertencias a que se refieren los literales d), e) y f) del presente artículo se realizarán mediante la inclusión correspondiente en el aviso de emplazamiento a que se refiere el numeral 1 del artículo 9.2.1.1.4 del presente decreto.
PARÁGRAFO 2. <Ver Notas del Editor> Durante todo el proceso liquidatorio de los negocios fiduciarios se podrán celebrar acuerdos entre los acreedores del respectivo negocio fiduciario y la entidad en liquidación, en su condición de vocera del respectivo negocio, en los términos señalados en el numeral 2 del artículo 9.1.1.1.2 del presente decreto.
PARÁGRAFO 3. Las medidas preventivas previstas en el presente artículo respecto de todos los negocios fiduciarios, se entienden sin perjuicio de la aplicación a la respectiva sociedad fiduciaria, de las medidas preventivas previstas en los artículos 9.1.1.1.1 y 9.1.3.1.1 del presente decreto.
PARÁGRAFO 4 TRANSITORIO. En el evento en que una sociedad fiduciaria que se encuentre en liquidación al 31 de julio de 2007 y hubiere iniciado procesos judiciales o arbitrales en los que se haya solicitado que se decrete la liquidación o terminación de los negocios fiduciarios a su cargo, deberá dar aviso a los jueces de la República y a los tribunales de arbitramento respectivos para que remitan al liquidador tales procesos, los cuales se entenderán subsumidos en el proceso de liquidación de cada negocio fiduciario.
ARTÍCULO 9.2.1.1.4 LIQUIDACIÓN DE LOS NEGOCIOS FIDUCIARIOS.
<Fuente original compilada: D. 2894/07 Art. 4o.> Una vez cumplido el término previsto en el inciso primero del artículo 9.2.1.1.2 del presente decreto, las sociedades fiduciarias en liquidación deberán adelantar la liquidación de los negocios fiduciarios a través del siguiente procedimiento:
1. Emplazamiento. Dentro de los cinco (5) días siguientes a la fecha de vencimiento del respectivo plazo para la cesión de negocios fiduciarios, se emplazará a quienes tengan reclamaciones de cualquier índole contra los negocios fiduciarios en liquidación.
Para tal efecto, se publicará por lo menos un (1) aviso en un diario de amplia circulación nacional, copia del cual permanecerá fijado en la sede principal de la sociedad fiduciaria en liquidación y sus sucursales, si las hubiere, en sitios a los cuales tenga fácil acceso el público, por un término de diez (10) días hábiles.
El aviso de emplazamiento contendrá lo siguiente:
a) La citación a todas las personas naturales o jurídicas de carácter público o privado que se consideren con derecho a formular reclamaciones de cualquier índole contra los negocios fiduciarios en liquidación, a fin de que se presenten con prueba siquiera sumaria de sus créditos, en el lugar que para el efecto se señale. Cuando se trate de derechos incorporados en títulos valores deberá presentarse el original del título;
b) El término para presentar las reclamaciones oportunamente, con la advertencia de que una vez vencido este, el liquidador no tendrá facultad para aceptar ninguna reclamación, y que las obligaciones no reclamadas y las reclamaciones presentadas en forma extemporánea, que aparezcan debidamente comprobadas en los libros de contabilidad oficiales de los negocios fiduciarios, serán calificadas como pasivo cierto no reclamado;
c) La advertencia sobre la terminación de los procesos de ejecución o de jurisdicción coactiva en curso y la imposibilidad de admitir nuevos procesos de esta clase, así como la obligación de los secuestres, auxiliares de la justicia y demás funcionarios que tengan activos de los negocios fiduciarios en liquidación para que procedan de manera inmediata a entregarlos al liquidador;
d) Las advertencias a que se refieren los literales d) y e) del artículo 9.2.1.1.3 del presente decreto.
2. Término para presentar reclamaciones. El término que se establezca para presentar las reclamaciones no podrá ser superior a un (1) mes contado a partir de la fecha de publicación del aviso de emplazamiento.
3. Traslado de las reclamaciones. Vencido el término para presentar reclamaciones, el expediente se mantendrá en traslado común a todos los interesados por un término de cinco (5) días hábiles. Durante el término del traslado cualquiera de los interesados podrá objetar las reclamaciones presentadas, acompañando las pruebas que tuviere en su poder.
4. Determinación de los pasivos a cargo de los negocios fiduciarios. Dentro de los treinta (30) días hábiles siguientes al vencimiento del término para el traslado de las reclamaciones, el liquidador decidirá sobre las reclamaciones presentadas oportunamente mediante resolución motivada o mediante actos administrativos independientes en los que además de resolver las objeciones presentadas se señalarán las reclamaciones oportunamente presentadas y aceptadas o rechazadas contra cada uno de los negocios fiduciarios en liquidación, señalando la naturaleza de las mismas, su cuantía y la prelación para el pago que la ley establece de conformidad con las reglas generales del Código Civil y demás disposiciones legales aplicables.
Los beneficiarios y fideicomitentes se tendrán como acreedores internos del negocio fiduciario en la cuantía de los respectivos beneficios o de los remanentes. Los acreedores garantizados fiduciariamente se tendrán como beneficiarios del respectivo negocio, sin perjuicio de que sean tenidos como acreedores con garantía real en un eventual proceso de insolvencia del respectivo fideicomitente.
Las obligaciones por concepto de impuestos, tasas, contribuciones, y cualquier otra obligación derivada de la tenencia, posesión o propiedad de los activos fideicomitidos se considerarán y graduarán como obligaciones del negocio fiduciario. Los gastos en que haya incurrido e incurra la sociedad fiduciaria por concepto de la administración de los negocios fiduciarios se deberán atender como gastos de administración de la liquidación del respectivo negocio fiduciario.
Cuando se trate de obligaciones en moneda extranjera, se liquidarán en los términos previstos en el numeral 2 del artículo 9.1.3.2.4 del presente decreto.
5. <Numeral modificado el artículo 140 del Decreto 1745 de 2020. El nuevo texto es el siguiente:> Notificación de la resolución que determina los pasivos. La resolución se notificará en la forma prevista en el artículo 69 del Código de Procedimiento Administrativo y de lo Contencioso Administrativo, o las normas que lo modifiquen, sustituyan o adicionen.
6. <Inciso modificado el artículo 140 del Decreto 1745 de 2020. El nuevo texto es el siguiente:> Recursos. Contra la resolución que determina los pasivos a cargo de los negocios fiduciarios en liquidación, procederá el recurso de reposición, el cual deberá presentarse ante el liquidador acreditando la calidad en que se actúa, dentro de los cinco (5) días siguientes a la notificación de dicha resolución y con el lleno de los requisitos señalados en el artículo 77 del Código de Procedimiento Administrativo y de lo Contencioso Administrativo, o las normas que lo modifiquen, sustituyan o adicionen.
De los recursos presentados se correrá traslado en las oficinas de la fiduciaria en liquidación durante los cinco (5) días siguientes al vencimiento del término para su presentación.
<Inciso modificado el artículo 140 del Decreto 1745 de 2020. El nuevo texto es el siguiente:> Las resoluciones que decidan los recursos se notificarán personalmente al titular de la acreencia sobre la que se decida y a quien hubiera interpuesto el recurso, en la forma prevista en los artículos 67, 68, 69 y 71 del Código de Procedimiento Administrativo y de lo Contencioso Administrativo, o las normas que lo modifiquen, sustituyan o adicionen. Una vez vencido el término para interponer los recursos de reposición, la resolución mediante la cual se determinan los pasivos a cargo de los negocios fiduciarios quedará ejecutoriada y en firme respecto de las reclamaciones sobre las cuales no se haya interpuesto recurso y, en consecuencia, el cumplimiento de este acto administrativo procederá de forma inmediata.
7. Inventario. Dentro de los veinte (20) días hábiles siguientes a la finalización del término previsto en el inciso primero del artículo 9.2.1.1.2 del presente decreto, el liquidador hará un inventario detallado de los activos de cada negocio fiduciario, incluyendo el valor de cada uno de los bienes.
El valor de los inmuebles corresponderá al avalúo comercial o al catastral, este último incrementado en un cincuenta por ciento (50%). De existir tanto el avalúo comercial como el catastral, el valor del inmueble corresponderá a aquel, siempre y cuando no supere un (1) año de realización. En caso contrario, se tomará en cuenta el valor del avalúo catastral vigente incrementado en un cincuenta por ciento (50%).
El valor de los vehículos automotores corresponderá al avalúo comercial o al valor fijado oficialmente para calcular el impuesto de rodamiento incrementado en un cincuenta por ciento (50%). De existir tanto el avalúo comercial como el valor fijado para calcular el impuesto, el valor del vehículo automotor corresponderá a aquel, siempre y cuando no supere un (1) año de realización. En caso contrario, se tomará en cuenta el valor fijado para calcular el impuesto vigente incrementado en un cincuenta por ciento (50%).
El valor de los demás activos corresponderá al último avalúo comercial, o a la información contable más reciente que la sociedad fiduciaria en liquidación tenga de cada activo o a cualquier otra metodología que el liquidador considere idónea para determinar el valor de mercado de tales activos.
8. <Inciso modificado el artículo 140 del Decreto 1745 de 2020. El nuevo texto es el siguiente:> Notificación del inventario. El acto administrativo que contenga el inventario se notificará en la forma prevista en el artículo 69 del Código de Procedimiento Administrativo y de lo Contencioso Administrativo, o las normas que lo modifiquen, sustituyan o adicionen.
<Inciso modificado el artículo 140 del Decreto 1745 de 2020. El nuevo texto es el siguiente:> Contra el acto administrativo que contenga el inventario procede el recurso de reposición, que deberá presentarse ante el liquidador acreditando la calidad en que se actúa, dentro de los cinco (5) días siguientes a la notificación de dicha resolución y con el lleno de los requisitos señalados en el artículo 77 del Código de Procedimiento Administrativo y de lo Contencioso Administrativo, o las normas que lo modifiquen, sustituyan o adicionen.
Cuando el recurso interpuesto se refiera a la necesidad de actualizar el valor del activo presentado, el recurrente podrá presentar dentro de los quince (15) días hábiles siguientes a la expedición del acto administrativo, un avalúo realizado por una de las firmas avaluadoras que se encuentren registradas en cualquiera de las entidades financieras en liquidación.
En el caso de vehículos automotores, podrá acompañarse al recurso como avalúo, el precio que figure en publicación especializada, adjuntando una copia informal de la página respectiva.
En lo no objetado o impugnado, el inventario quedará en firme para todos los efectos legales y se podrá adelantar inmediatamente la realización de tales activos en los términos previstos en el numeral 9 del presente artículo.
De los recursos presentados se correrá traslado en las oficinas de la sociedad fiduciaria en liquidación durante los cinco (5) días hábiles siguientes al vencimiento del término para la presentación de recursos.
Dentro de los quince (15) días hábiles siguientes a la fecha en que vence el término del traslado de los recursos presentados contra el acto administrativo que presente el inventario, el liquidador decidirá sobre las impugnaciones presentadas, a través de acto administrativo.
Los recursos que conlleven la presentación de un avalúo de actualización serán decididos dentro los cinco (5) días hábiles siguientes al vencimiento del plazo para presentar dicho avalúo.
<Inciso modificado el artículo 140 del Decreto 1745 de 2020. El nuevo texto es el siguiente:> Las resoluciones que decidan los recursos se notificarán al recurrente y a los demás interesados, en la forma prevista en los artículos 67, 68, 69 y 71 del Código de Procedimiento Administrativo y de lo Contencioso Administrativo, o las normas que lo modifiquen, sustituyan o adicionen.
9. Enajenación de activos. La enajenación de los activos deberá estar orientada a obtener, por cualquier mecanismo de mercado, por lo menos el noventa por ciento (90%) del valor del inventario en firme de cada uno de los bienes a que se refiere el numeral 7 del presente artículo.
Sin perjuicio de lo anterior, el liquidador podrá enajenar por un valor inferior al inventario, aplicando la metodología expedida por el Fondo de Garantías de Instituciones Financieras-FOGAFIN, en relación con el costo-beneficio de cada operación.
El proceso de venta se llevará a cabo en un plazo máximo de seis (6) meses contados a partir de la ejecutoria de la resolución que presente el inventario.
10. Pago de los pasivos a cargo de los negocios fiduciarios. En la medida en que las disponibilidades lo permitan, el liquidador procederá al pago parcial o total, en primera instancia, de los pasivos externos a cargo del negocio fiduciario, con sujeción a la prelación de pagos prevista en la ley. Los pagos de las obligaciones por procesos judiciales en curso seguirán las reglas previstas en el artículo 9.1.3.5.10 del presente decreto.
A la terminación del último período de pagos de los pasivos a cargo de los negocios fiduciarios, que correspondan a reclamaciones oportunamente presentadas y aceptadas, con las sumas correspondientes a los titulares que no se hubieren presentado para el pago, el liquidador constituirá por el término de tres (3) meses una reserva representada en activos de alta seguridad, rentabilidad y liquidez para efectuar el pago a aquellos acreedores que se presenten.
En cualquier tiempo desde el inicio del primer período para adelantar la restitución de las correspondientes sumas, hasta el vencimiento del término de la respectiva reserva, el reclamante aceptado que no se haya presentado oportunamente a recibir tendrá derecho a la restitución en la misma proporción en que se haya efectuado a los demás reclamantes aceptados, salvo que se trate de aquellas sumas cuya restitución procede una vez hayan sido recaudadas.
En el evento en que los acreedores reconocidos no se presentaren a recibir el pago, una vez finalizado el término de la provisión, en las oportunidades señaladas por el liquidador, los recursos correspondientes se distribuirán aprorrata entre los acreedores que hubiesen cobrado oportunamente siempre y cuando el valor cancelado no exceda el total de la acreencia.
Cuando con el último pago ordenado por el liquidador se cubra la totalidad del valor de las acreencias reconocidas, los remanentes se destinarán al pago del pasivo cierto no reclamado. Los valores de los créditos cuyos titulares no se hayan presentado a recibirlos, una vez finalizado el término de la provisión, se incorporarán como pasivo a cargo del pasivo cierto no reclamado.
11. Pago del pasivo cierto no reclamado. Si después de cancelados los pasivos externos a cargo de los negocios fiduciarios subsistieren recursos, se procederá a cancelar el pasivo externo cierto no reclamado de cada negocio respetando la prelación de créditos prevista en la ley, para lo cual el liquidador señalará un período que no podrá exceder de veinte (20) días hábiles.
12. <Inciso 1 modificado el artículo 140 del Decreto 1745 de 2020. El nuevo texto es el siguiente:> Reglas para determinar y pagar la compensación por la pérdida de poder adquisitivo. Si vencido el término para pagar el pasivo externo cierto no reclamado o antes sí se han cancelado la totalidad de los créditos a cargo del pasivo externo cierto no reclamado, subsistieren recursos, de conformidad con lo establecido en el numeral 17 del artículo 291 del Estatuto Orgánico del Sistema Financiero, modificado por el artículo 24 de la Ley 510 de 1999, se procederá a cancelar la compensación por la pérdida de poder adquisitivo sufrida por los titulares de los créditos atendidos en la liquidación debido a la falta de pago oportuno cualquiera sea la naturaleza, prelación o calificación de los mismos con excepción de los créditos que conforme al presente Libro correspondan a gastos de administración.
Para liquidar la compensación por desvalorización monetaria se procederá así:
a) Se utilizará el índice mensual de precios al consumidor certificado por el Departamento Administrativo Nacional de Estadística, DANE, correspondiente a los meses calendario siguientes a aquel en que venza el término previsto en el inciso primero del artículo 9.2.1.1.2 de este decreto;
Las sumas se actualizarán hasta la fecha en que el respectivo pago haya sido puesto a disposición de los acreedores;
b) Una vez descontadas las provisiones a que haya lugar conforme a la ley, la desvalorización monetaria será reconocida y pagada con cargo a los activos que quedaren de los negocios fiduciarios respectivos y hasta concurrencia del remanente de estos, a prorrata del valor de cada crédito. El pago se efectuará con sujeción al orden que corresponda a cada clase de acreencias, según su naturaleza y prelación legal, de acuerdo con lo indicado en el Estatuto Orgánico del Sistema Financiero y en las normas civiles y comerciales;
Para el pago de la desvalorización monetaria se señalará un período de pagos que no podrá exceder de diez (10) días hábiles contados a partir de la fecha de su iniciación;
c) Las sumas por desvalorización que por cualquier causa no sean reclamadas dentro de ese plazo se destinarán a completar el pago de quienes recibieron compensación parcial en un término máximo de diez (10) días hábiles, si a ello hubiere lugar. Vencido este último término, las sumas no reclamadas en cualquier etapa del proceso se destinarán a pagar el pasivo interno de cada negocio fiduciario.
13. Pago del pasivo interno. Una vez cancelado el pasivo externo de cada negocio fiduciario incluida la compensación por pérdida de poder adquisitivo, el liquidador procederá al pago parcial o total de los pasivos internos a cargo del negocio fiduciario, con sujeción a la prelación de pagos prevista en la ley y en los términos del presente Libro.
Las sumas que por cualquier causa no sean reclamadas dentro del plazo estipulado, se destinarán a completar el pago de quienes recibieron compensación parcial en un término máximo de diez (10) días hábiles, si a ello hubiere lugar. Vencido este último término, las sumas no reclamadas en cualquier etapa del proceso se entregarán como remanente al fideicomitente.
14. Entrega de remanentes. Una vez cancelado el pasivo externo e interno decada negocio fiduciario o de no existir los mismos, se identificará el remanente con destino al fideicomitente y se procederá, dentro de los diez (10) días hábiles siguientes a su adjudicación forzosa, mediante resolución motivada, la cual se deberá inscribir en la respectiva oficina de registro de instrumentos públicos en el caso de adjudicación forzosa de inmuebles, siempre y cuando sobre los derechos fiduciarios o de créditos que corresponda a los fideicomitentes no recaiga medida cautelar ordenada por autoridad competente.
Una vez cancelados total o parcialmente los pasivos y agotada la totalidad de los activos del respectivo negocio fiduciario, este se entenderá liquidado, para lo cual el liquidador expedirá una resolución de terminación, contra la cual no procede recurso alguno.
15. Adjudicación forzosa. En todas las etapas del proceso liquidatorio, y sin perjuicio de la entrega de los recursos líquidos disponibles, el liquidador podrá adjudicar los activos existentes entre los acreedores que tienen derecho a recibir el siguiente pago, a título de dación en pago, a prorrata y teniendo en cuenta las reglas de prelación de créditos reconocida dentro del proceso liquidatorio de los negocios fiduciarios, siempre y cuando el monto, la naturaleza divisible y las condiciones de los activos remanentes permitan que la adjudicación se realice sin vulnerar el derecho de igualdad de los acreedores.
La adjudicación forzosa se hará sobre el cien por ciento (100%) del valor del inventario en firme de cada uno de los bienes a que se refiere el numeral 7o del presente artículo, mediante resolución motivada, la cual se deberá inscribir en las respectivas oficinas de registro de instrumentos públicos, en el caso de adjudicación forzosa de inmuebles.
ARTÍCULO 9.2.1.1.5 RESTITUCIONES ESPECIALES POR ACTO ADMINISTRATIVO. <Artículo modificado el artículo 141 del Decreto 1745 de 2020. El nuevo texto es el siguiente:>
Los bienes fideicomitidos cuyos fideicomitentes se encuentren en proceso de insolvencia empresarial, proceso de reestructuración empresarial de que trata la Ley 550 de 1999 y liquidación, serán restituidos a la masa de la liquidación, al ente que se pretende reestructurar o a la sociedad que se liquida, según el caso, mediante resolución motivada, la cual se deberá inscribir en la respectiva oficina de registro de instrumentos públicos en el caso de restituciones de inmuebles. Dicha resolución se notificará a los interesados en los términos de los artículos 67, 68, 69 y 71 del Código de Procedimiento Administrativo y de lo Contencioso Administrativo, o las demás normas que lo modifiquen, sustituyan o adicionen.
Una vez realizada la respectiva transferencia y en virtud de que el bien fideicomitido entra a formar parte de la masa de liquidación o de los activos de la liquidación, según el caso, se cancelarán los certificados de garantía expedidos, debiendo los acreedores garantizados cobrar sus acreencias en los respectivos procesos concúrsales con sujeción a las reglas de los mismos.
ARTÍCULO 9.2.1.1.6 RENDICIÓN DE CUENTAS.
<Fuente original compilada: D. 2894/07 Art. 6o.> La rendición de cuentas a los acreedores de los respectivos negocios fiduciarios se realizará en las fechas y en los mismos términos establecidos en el artículo 9.1.3.8.1 del presente decreto.
La rendición de cuentas a los fideicomitentes y beneficiarios de los respectivos negocios fiduciarios se realizará en la fecha y en los mismos términos establecidos en el artículo 9.1.3.8.2 del presente decreto.
ARTÍCULO 9.2.1.1.7 GASTOS INHERENTES A LA LIQUIDACIÓN DE LOS NEGOCIOS FIDUCIARIOS.
<Fuente original compilada: D. 2894/07 Art. 7o.> Ante la carencia o agotamiento de los recursos económicos líquidos del negocio fiduciario a liquidar, los gastos que se requieran en la aplicación del procedimiento previsto en el presente Libro serán asumidos por las sociedades fiduciarias con cargo a la enajenación de los activos del negocio fiduciario, en cuyo caso se considerarán como gastos de administración de la liquidación del respectivo negocio fiduciario.
Cuando no sea posible la obtención de recursos mediante el mecanismo previsto en el inciso anterior, estos podrán ser asumidos por las sociedades fiduciarias en liquidación con cargo a su propio patrimonio, como gastos de administración del proceso liquidatorio.
PARÁGRAFO. En todo caso, dentro del mes siguiente a la fecha en que se perfeccione la operación, se hará un informe detallado con destino al Fondo de Garantías de Instituciones Financieras –FOGAFIN, sin perjuicio de que el Fondo solicite mayor información en desarrollo de las facultades con que cuenta para ejercer la labor de seguimiento.
ARTÍCULO 9.2.1.1.8 ENTREGA DE NEGOCIOS FIDUCIARIOS EN LIQUIDACIÓN. <Ver Notas del Editor>
<Fuente original compilada: D. 2894/07 Art. 8o.> Previa acreditación del agotamiento del procedimiento previsto en el presente Libro, cuando subsistan procesos o situaciones jurídicas no definidas, en razón de las cuales la liquidación del negocio fiduciario respectivo no se pueda realizar, este deberá ser entregado al Fondo de Garantías de Instituciones Financieras – FOGAFIN.
El Fondo de Garantías de Instituciones Financieras –FOGAFIN podrá contratar con sociedades fiduciarias en funcionamiento la administración de los negocios fiduciarios que reciba en desarrollo de lo previsto en el presente artículo.
PARÁGRAFO 1. La entrega de los negocios fiduciarios no requerirá de aceptación por parte de quienes actuaron como fideicomitentes, beneficiarios o terceros interesados.
PARÁGRAFO 2. La entidad receptora de los negocios fiduciarios no liquidados será la única vocera legal y judicial y en ningún caso estará obligada a comprometer sus propios recursos en el cumplimiento de las gestiones a que haya lugar.
ARTÍCULO 9.2.1.1.9 RÉGIMEN DE TRANSICIÓN.
<Fuente original compilada: D. 2894/07 Art. 9o.> Las reglas establecidas en el presente Libro aplicará a los procesos liquidatorios en curso al 31 de julio de 2007, sin perjuicio que los recursos interpuestos, los términos que hubiesen comenzado a correr y las notificaciones o citaciones que se estén surtiendo continúen rigiéndose por la normatividad vigente cuando se interpuso el recurso, empezó a correr el término o a surtirse la notificación.
PAGO DE PENSIONES LEGALES POR PARTE DE ENTIDADES ASEGURADORAS.
ARTÍCULO 9.3.1.1.1 PAGO DE PENSIONES LEGALES.
<Fuente original compilada: D. 606/98 Art. 1o.> Con el fin de garantizar el derecho al pago oportuno de las pensiones legales, las entidades aseguradoras que sean objeto de toma de posesión para liquidar y que tengan a su cargo el pago de pensiones legales por razón de contratos de renta vitalicia, continuarán pagando las respectivas mesadas pensionales con cargo a las reservas matemáticas correspondientes.
De igual manera, para garantizar el derecho a la salud y asegurar la prestación eficiente del mismo, la entidad podrá continuar pagando las prestaciones correspondientes a riesgos profesionales, con cargo a las reservas respectivas, de conformidad con el régimen de seguridad social.
Para tal efecto, el liquidador procederá con base en la información de la entidad y la que considere pertinente recaudar.
Los pagos se harán con carácter provisional hasta la fecha en que quede en firme el acto de reconocimiento de la reclamación correspondiente.
En el evento en que al decidir sobre el reconocimiento la entidad intervenida establezca que no había lugar al pago, procederá a repetir lo pagado.
ARTÍCULO 9.3.1.1.2 DESTINACIÓN DE RECURSOS.
<Fuente original compilada: D. 606/98 Art. 2o.> De conformidad con el artículo 48 de la Constitución Política de Colombia, las reservas para pensiones y riesgos profesionales, más sus rendimientos, sólo podrán destinarse a atender los pagos correspondientes a tales riesgos y por ello estarán excluidas de la masa de liquidación.
ENAJENACIÓN DE ACTIVOS A LA CENTRAL DE INVERSIONES S.A. - CISA.
ARTÍCULO 9.4.1.1.1 ENAJENACIÓN DE ACTIVOS.
<Fuente original compilada: D. 770/06 Art. 1o.> Los establecimientos de crédito de naturaleza pública que hayan cumplido un año en estado de liquidación, deberán proceder a ofrecer en venta sus activos a la Central de Inversiones S.A., para lo cual deberán cumplir las condiciones que se señalan a continuación:
a) Que la valoración del inventario se encuentre en firme;
b) Que a la fecha en que se cumpla el año a que se refiere el presente artículo no se hayan enajenado los activos por no haber sido ofrecidos por el liquidador o, porque habiendo sido ofrecidos no se hubieren recibido posturas o, cuando el valor de dichas ofertas sea inferior en más del diez por ciento (10%) de la valoración del respectivo activo.
PARÁGRAFO. Lo previsto en el presente artículo, no será aplicable a las acciones, bonos, obras de arte y participaciones en fundaciones.
ARTÍCULO 9.4.1.1.2 METODOLOGÍA.
<Fuente original compilada: D. 770/06 Art. 2o.> La metodología que se deberá aplicar para la enajenación de los activos a que se refiere el presente Libro será establecida conforme a lo dispuesto en el inciso quinto del artículo 9.1.3.4.1 del presente decreto.
ARTÍCULO 9.4.1.1.3 PLAN DE TRABAJO.
<Fuente original compilada: D. 770/06 Art. 3o.> Dentro del mes siguiente a la fecha en que se cumpla el año a que se refiere el artículo 9.4.1.1.1 del presente decreto, el respectivo establecimiento de crédito público en liquidación deberá presentar ante el Fondo de Garantías de Instituciones Financieras-FOGAFIN un plan de trabajo para la realización de la enajenación contemplada en el presente decreto.
Este Plan deberá incluir un cronograma concertado conjuntamente con la Central de Inversiones S. A., en el cual se indique la fecha final de enajenación, la cual no podrá exceder de un plazo de seis (6) meses, contados a partir de la entrega del respectivo plan de trabajo.
ARTÍCULO 9.4.1.1.4 APLICACIÓN.
<Fuente original compilada: D. 770/06 Art. 4o.> Lo previsto en el presente Libro será aplicable a todos los establecimientos de crédito de naturaleza pública que se encuentren en proceso de liquidación forzosa administrativa, así como a aquellos establecimientos de crédito de naturaleza pública cuya liquidación haya sido o sea dispuesta por el Gobierno Nacional en desarrollo de lo señalado en el artículo 52 de la Ley 489 de 1998
LIQUIDACIÓN DE ESTABLECIMIENTOS DE CRÉDITO DE NATURALEZA PÚBLICA.
ARTÍCULO 9.5.1.1.1 OPERACIONES PENDIENTES.
<Fuente original compilada: D. 2785/01 Art. 1o.> En el caso de liquidación de establecimientos de crédito de naturaleza pública que hayan realizado cesión de activos, pasivos y contratos con otras entidades de la misma naturaleza, se aplicará lo previsto en el numeral 1 del artículo 238 del Código de Comercio, por lo cual deberán culminarse y cancelarse las operaciones pendientes relacionadas con la cesión, de acuerdo con las disponibilidades de la entidad en liquidación.
ENTIDADES CON REGÍMENES ESPECIALES.
DISPOSICIONES COMUNES.
ARTÍCULO 10.1.1.1.1 AUTORIZACIÓN.
<Artículo modificado por el artículo 1 del Decreto 4611 de 2010. El nuevo texto es el siguiente:> De acuerdo con el artículo 94 de la Ley 795 de 2003, el Fondo para el Financiamiento del Sector Agropecuario (Finagro), la Financiera de Desarrollo Territorial S. A. (Findeter), la Financiera Energética Nacional (FEN) y el Banco de Comercio Exterior S. A. (Bancoldex) se encuentran autorizados para realizar operaciones de redescuento de contratos de leasing.
PARÁGRAFO. Estas operaciones se redescontarán a través de las compañías de financiamiento o de establecimientos bancarios.
ARTÍCULO 10.1.1.1.2 DEFINICIÓN.
<Artículo modificado por el artículo 1 del Decreto 4611 de 2010. El nuevo texto es el siguiente:> Se entiende por redescuento de contratos de leasing toda operación en virtud de la cual una de las entidades de redescuento señaladas en el artículo anterior, entrega recursos a una compañía de financiamiento o a un establecimiento bancario para que estos financien operaciones de leasing.
Lo anterior, a cambio de la suscripción de pagarés en blanco con carta de instrucciones o a través de la cesión condicionada de los cánones de arrendamiento derivados de los contratos de leasing redescontados.
ARTÍCULO 10.1.1.1.3 PROHIBICIÓN.
<Artículo modificado por el artículo 1 del Decreto 4611 de 2010. El nuevo texto es el siguiente:> En ningún caso, la suscripción de pagarés en blanco con carta de instrucciones o la cesión condicionada de los cánones de arrendamiento derivados de los contratos de leasing redescontados, podrá implicar para la entidad de redescuento, la asunción de la calidad de arrendador de los bienes objeto del contrato de leasing, a menos que la compañía de financiamiento o el establecimiento bancario sean objeto de toma de posesión para liquidar, cuando esté pendiente el plazo de ejecución del contrato y el locatario no acceda a pagar el valor presente correspondiente.
ARTÍCULO 10.1.1.1.4 OPERACIONES AUTORIZADAS.
<Artículo modificado por el artículo 1 del Decreto 4611 de 2010. El nuevo texto es el siguiente:> Las entidades de redescuento únicamente podrán redescontar contratos de leasing que correspondan a actividades propias de su objeto social, en los términos de sus regímenes particulares contenidos en el Estatuto Orgánico del Sistema Financiero y demás disposiciones legales.
<Artículo modificado por el artículo 1 del Decreto 4611 de 2010. El nuevo texto es el siguiente:> Las obligaciones a cargo de las compañías de financiamiento o de establecimientos bancarios por concepto de operaciones de redescuento de contratos de leasing con las entidades de redescuento, no estarán sujetas a los límites individuales de crédito ni a los límites de concentración de riesgos previstos en las normas sobre la materia.
ARTÍCULO 10.1.1.1.6 CARACTERÍSTICAS FINANCIERAS.
<Artículo modificado por el artículo 1 del Decreto 4611 de 2010. El nuevo texto es el siguiente:> La tasa y margen de redescuento, las garantías para el desembolso de los recursos, el cupo autorizado a cada una de las compañías de financiamiento o establecimientos bancarios según sea el caso y las condiciones financieras de las operaciones de redescuento, serán establecidas por las instancias competentes en cada entidad de redescuento.
FONDO NACIONAL DE GARANTÍAS- FNG.
RELACIÓN DE SOLVENCIA Y PATRIMONIO TÉCNICO.
ARTÍCULO 10.2.1.1.1 DEFINICIONES.
<Fuente original compilada: D. 1324/05 Art. 1o.> Para efectos del presente Título se adoptan las siguientes definiciones:
a) Sistema de administración del riesgo de garantías. Corresponde al conjunto de políticas, procedimientos y metodologías técnicas orientadas a la identificación, medición, evaluación, seguimiento y control de los riesgos que asume el Fondo Nacional de Garantías S.A.-FNG, en desarrollo de su objeto social, cuya gestión le permite calcular su nivel de reservas técnicas;
b) Patrimonio técnico. Corresponde al respaldo efectivo con que cuenta el Fondo Nacional de Garantías S. A., para apalancar la emisión de garantías y la inversión de sus activos;
c) Relación de solvencia. <Literal modificado por el artículo 1 del Decreto 466 de 2020. El nuevo texto es el siguiente:> El Fondo Nacional de Garantías S.A.-FNG deberá cumplir y acreditar en forma permanente una relación de solvencia, la cual se calculará con base en el patrimonio técnico, el cual debe tener una relación directa con el riesgo asumido en su calidad de garante, en las diversas modalidades. Se entiende por relación de solvencia el valor del patrimonio técnico, dividido por la suma del valor de los activos y contingencias ponderados por nivel de riesgo más el saldo de la exposición a riesgo de mercado, todo ello calculado en los términos establecidos en el presente título. Esta relación se expresa en términos porcentuales.
La relación mínima de solvencia del Fondo Nacional de Garantías S. A.-FNG será del nueve por ciento (9%).
d) Reservas técnicas. Corresponde al monto de recursos con los cuales debe contar el Fondo Nacional de Garantías S. A.-FNG para honrar en forma adecuada y oportuna los compromisos adquiridos en desarrollo de su objeto social;
e) Riesgo de mercado. Corresponde a la probabilidad de que el Fondo Nacional de Garantías S. A.-FNG, incurra en pérdidas y se disminuya el valor de su patrimonio técnico como consecuencia de cambios en el precio de los instrumentos financieros en los que la entidad mantenga posiciones dentro o fuera del balance. Estos cambios en el precio de los instrumentos se pueden presentar como resultado de las fluctuaciones en las tasas de interés, tipos de cambio y otros índices.
ARTÍCULO 10.2.1.1.2 PATRIMONIO TÉCNICO. <Artículo modificado por el artículo 2 del Decreto 466 de 2020. El nuevo texto es el siguiente:>
El cumplimiento de la relación de solvencia se efectuará con base en el patrimonio técnico, el cual comprenderá:
1. El capital suscrito y pagado en acciones.
2. El valor de los dividendos decretados en acciones.
3. La prima en colocación de las acciones,
4. La reserva legal constituida por apropiaciones de utilidades liquidas.
5. Las utilidades retenidas y otras reservas.
6. Las utilidades del ejercicio en curso.
7. El valor total de otros resultados integrales (ORI).
ARTÍCULO 10.2.1.1.3 DEDUCCIONES DEL PATRIMONIO TÉCNICO. <Artículo modificado por el artículo 3 del Decreto 466 de 2020. El nuevo texto es el siguiente:>
Se deducirán del patrimonio técnico, los siguientes conceptos:
1. Las pérdidas acumuladas de ejercicios anteriores y las del ejercicio en curso
2. El valor de las inversiones de capital, así como de las inversiones en bonos obligatoriamente convertibles en acciones, en bonos subordinados opcionalmente convertibles en acciones o, en general, en instrumentos de deuda subordinada, efectuadas en forma directa o indirecta en entidades sometidas al control y vigilancia de la Superintendencia Financiera de Colombia, que supere el diez por ciento (10%) del Patrimonio Técnico una vez realizadas las demás deducciones contenidas en el presente artículo excepto la descrita en este literal.
3. El impuesto de renta diferido neto cuando sea positivo. Para el efecto, no se tendrán en cuenta los provenientes de los otros conceptos deducidos en virtud del presente artículo.
4. El valor de! crédito mercantil o plusvalía y de los activos intangibles;
5. El valor no amortizado del cálculo actuarial del pasivo pensional.
6. El valor de la revalorización de activos
ARTÍCULO 10.2.1.1.4 SISTEMA DE ADMINISTRACIÓN DEL RIESGO DE GARANTÍAS.
<Fuente original compilada: D. 1324/05 Art. 4o.> La Superintendencia Financiera de Colombia determinará la metodología a través de la cual será desarrollado el Sistema de administración de riesgo de garantías, dicho sistema deberá constituirse con una metodología técnica que permita establecer la probabilidad de pérdida frente al nivel de siniestralidad de las garantías expedidas, con el objeto de obtener una apropiada ponderación y cuantificación de los riesgos implícitos en las operaciones propias del objeto social del Fondo.
ARTÍCULO 10.2.1.1.5 RESERVAS TÉCNICAS.
<Fuente original compilada: D. 1324/05 Art. 5o.> El Fondo Nacional de Garantías S. A.-FNG debe calcular y acreditar ante la Superintendencia Financiera de Colombia las reservas técnicas, de conformidad con la metodología establecida a continuación:
a) Reserva por administración del riesgo de garantías. Se encuentra definida por un sistema de administración del riesgo de garantías que permita establecer con base en un sustento técnico, la probabilidad de pérdida frente al nivel estadístico de siniestralidad de las garantías expedidas, el cual debe permitir la cuantificación de las reservas técnicas considerando el nivel de riesgo implícito en cada producto ofrecido por el Fondo;
b) Reserva de estabilización. Reserva que se constituirá con el veinte por ciento (20%) de las utilidades de ejercicio del Fondo, recursos que podrán ser destinados a cubrir desviaciones en el cálculo de las reservas como producto de situaciones no previsibles.
ARTÍCULO 10.2.1.1.6 CLASIFICACIÓN Y PONDERACIÓN DE ACTIVOS Y CONTINGENCIAS. <Artículo modificado por el artículo 4 del Decreto 466 de 2020. El nuevo texto es el siguiente:> Para efectos de determinar el valor total de activos y contingencias ponderados por nivel de riesgo, los mismos se deben clasificar dentro de una de las siguientes categorías dependiendo de su naturaleza, así:
Categoría Uno. Activos con riesgo bajo, tales como caja, depósitos a la vista en entidades sometidas a la Inspección y vigilancia de ia Superintendencia Financiera de Colombia, inversiones en títulos o valores de la Nación, del Banco de la República, o emitidos para el cumplimiento de inversiones obligatorias.
En esta categoría también se debe incluir la exposición neta en las operaciones de reporto o repo, operaciones simultáneas y operaciones de transferencia temporal de valores, siempre que la contraparte sea la Nación, el Banco de la República o una cámara de riesgo central de contraparte.
Así mismo, en esta categoría se debe incluir la exposición crediticia en operaciones con instrumentos financieros derivados siempre que la contraparte sea la Nación, el Banco de la República o una cámara de riesgo central de contraparte.
Cualquiera de las anteriores operaciones computará por el cero por ciento (0%).
Categoría Dos. Activos con riesgo medio, tales como los títulos o valores emitidos por entidades públicas del orden nacional, los depósitos a término en otros establecimientos de crédito y las operaciones relacionadas con fondos ínterbancarios vendidos.
En esta categoría también se debe incluir la exposición neta en las operaciones de reporto o repo, operaciones simultáneas y operaciones de transferencia temporal de valores siempre que la contraparte sea una entidad vigilada por la Superintendencia Financiera de Colombia distinta del Banco de la República, una entidad pública de orden nacional o un fondo mutuo de inversión controlado.
Asi mismo, en esta categoría se debe incluir la exposición crediticia en las operaciones con instrumentos financieros derivados siempre que la contraparte sea una entidad vigilada por la Superintendencia Financiera de Colombia distinta del Banco de la República, una entidad pública de orden nacional o un fondo mutuo de inversión controlado.
Cualquiera de las anteriores operaciones computará por el veinte por ciento (20%).
Categoría Tres. Contingencias. <Inciso modificado por el artículo 7 del Decreto 1286 de 2020. El nuevo texto es el siguiente:> Las contingencias netas por emisión de garantías computarán por el setenta y cinco por ciento (75%) cuando estén sujetas a riesgo de crédito frente a pequeñas y medianas empresas, microempresas o personas naturales. Para el efecto, entiéndase por micro, pequeña y mediana empresa las definidas en el artículo 2o de la Ley 590 de 2000, modificado por el artículo 43 de la Ley 1450 de 2011 o las normas que la reglamenten, modifiquen, sustituyan o adicionen. En los demás casos se utilizarán las ponderaciones de la siguiente tabla:

El cálculo de las contingencias netas por emisión de garantías se debe realizar agregando los siguientes valores:
a) El valor del riesgo de las garantías emitidas por el Fondo Nacional de Garantías de acuerdo con el literal b) del artículo 241 del Estatuto Orgánico del Sistema Financiero, cuando el riesgo de las mismas esté exclusivamente a su cargo;
b) El valor del riesgo de las garantías emitidas por el Fondo Nacional de Garantías S.
A. que hayan sido retrogarantizadas, descontando e! valor del riesgo cedido a retrogarantes, de acuerdo con lo establecido en el literal c) del artículo 241 del Estatuto Orgánico del Sistema Financiero;
c) El valor del riesgo derivado de las garantías aceptadas por el Fondo Nacional de Garantías en calidad de retrogarante de entidades que obren como garantes de primer piso, conforme lo autoriza el literal o) del artículo 241 del Estatuto Orgánico del Sistema Financiero;
d) El valor correspondiente al Fondo Nacional de Garantías de las garantías emitidas resultado de la celebración de contratos de coafianzamiento, de acuerdo con lo establecido en el literal d) del artículo 241 del Estatuto Orgánico del Sistema Financiero;
e) El valor del riesgo derivado de las garantías emitidas por el Fondo Nacional de Garantías con cargo a los recursos administrados por el Fondo en desarrollo de programas específicos de fomento, de acuerdo con lo establecido en el literal e) del artículo 241 del Estatuto Orgánico del Sistema Financiero, descontando la porción de dichas garantías cuyo riesgo sea asumido con cargo a dichos recursos.
Categoría Cuatro. Activos con riesgo alto y demás activos de riesgo, tales como cartera de crédito, cuentas por cobrar, otras Inversiones voluntarias, inversiones en activos fijos, inclusive su valorización, bienes muebles o inmuebles realizables recibidos en dación en pago y, activos diferidos y otros.
En esta categoría también se debe incluir la exposición neta en las operaciones de reporto o repo, operaciones simultáneas y operaciones de transferencia temporal de valores, siempre que la contraparte sea una entidad no contemplada en ninguna de las categorías anteriores.
Así mismo, en esta categoría se debe incluir la exposición crediticia en las operaciones con instrumentos financieros derivados siempre que la contraparte sea una entidad no contemplada en ninguna de las categorías anteriores.
Cualquiera de las anteriores operaciones computará por el ciento por ciento (100%).
PARÁGRAFO 1. Los activos que en desarrollo del artículo 10.2.1.1.3 del presente Decreto, se deduzcan para efectos de calcular el patrimonio técnico, no computarán para determinar el valor total de los activos y contingencias ponderadas por nivel de riesgo.
PARÁGRAFO 2. Para los efectos del presente artículo se entiende como exposición neta en operaciones de reporto o repo, operaciones simultáneas y operaciones de transferencia temporal de valores, el monto que resulte de restar ia posición deudora de la posición acreedora que ostenta la entidad en cada operación, siempre que este monto sea positivo. Para el cálculo de dichas posiciones deberán tenerse en cuenta el precio justo de intercambio de los valores cuya propiedad se transfiera y/o la suma de dinero entregada como parte de la operación, así como los intereses o rendimientos causados asociados a la misma.
PARÁGRAFO 3. Los valores transferidos en desarrollo de las operaciones repo o reporto, simultáneas o de transferencia temporal de valores deberán ser tenidos en cuenta para los efectos previstos en este artículo, mientras permanezcan en el balance del enajenante, originador o receptor, según sea el caso, conforme a las disposiciones contables que rigen dichas operaciones.
PARÁGRAFO 4. Para los efectos del presente articulo para determinar la exposición crediticia en instrumentos financieros derivados, serán aplicables las definiciones contenidas en el artículo 2.35.1.1.1 del presente Decreto.
PARÁGRAFO 5. Productos estructurados. Computarán por su precio justo de intercambio multiplicado por el factor de ponderación que corresponda según la categoría de riesgo del emisor del respectivo producto.
Cuando se realicen inversiones en un producto estructurado cuyos componentes provengan de distintas contrapartes, pero se haya adquirido el mismo a otra entidad que obra como vendedor de este y no es responsable de su pago, dicho producto estructurado computará por la suma de los siguientes dos (2) factores:
i) La multiplicación del precio justo de intercambio del componente no derivado por el factor de ponderación que aplique al respectivo emisor de conformidad con lo previsto en el presente artículo;
ii) La multiplicación de la exposición crediticia de los componentes derivados por el factor de ponderación que aplique a la respectiva contraparte, de conformidad con lo previsto en el presente artículo.
PARÁGRAFO 6o. <Parágrafo adicionado por el artículo 7 del Decreto 1286 de 2020. El nuevo texto es el siguiente:> Para el uso de las calificaciones de riesgo a que hace referencia el presente artículo se aplicará lo previsto en el artículo 2.1.1.3.7 del presente decreto.
ARTÍCULO 10.2.1.1.7 DETERMINACIÓN DEL RIESGO DE MERCADO.
<Fuente original compilada: D. 1324/05 Art. 8o.> Para determinar el valor de exposición al Riesgo de Mercado, el Fondo Nacional de Garantías S.A.-FNG deberá utilizar las metodologías que para el efecto determine la Superintendencia Financiera de Colombia, una vez determinado el valor de la exposición a riesgo de mercado, este se multiplicará por cien oncenos (100/11) y el valor se adicionará al valor de los activos ponderados y contingencias por nivel de riesgo. De esta manera, se obtiene el valor total de los activos, contingencias por nivel de riesgo y de mercado que se utiliza para el cálculo de la relación de solvencia.
ARTÍCULO 10.2.1.1.8 VALORACIONES Y PROVISIONES.
<Fuente original compilada: D. 1324/05 Art. 9o.> Los activos se valorarán por su costo ajustado pero se computarán netos de su respectiva provisión. De otra parte, las inversiones de capital y en bonos convertibles en acciones de entidades sometidas a la vigilancia de la Superintendencia Financiera de Colombia se computarán sin deducir las provisiones efectuadas sobre las mismas.
ARTÍCULO 10.2.1.1.9 SANCIONES.
<Fuente original compilada: D. 1324/05 Art. 10> Por los defectos en que incurra el Fondo Nacional de Garantías S. A-FNG en el patrimonio técnico necesario para el cumplimiento de la relación de solvencia, la Superintendencia Financiera de Colombia impondrá las sanciones o medidas administrativas conforme a sus facultades legales.
ARTÍCULO 10.2.1.1.10 PROGRAMA DE AJUSTE A LA RELACIÓN.
<Fuente original compilada: D. 1324/05 Art. 11> El Fondo Nacional de Garantías S. A.-FNG podrá convenir con el Superintendente Financiero un programa de ajuste orientado a restablecer el cumplimiento de la relación de solvencia en el plazo más breve posible. Este mismo programa podrá convenirse, previa solicitud del Fondo, cuando este prevea que va a incurrir o ha incurrido en incumplimiento de la relación de solvencia, siempre que a juicio de la Superintendencia Financiera de Colombia tal incumplimiento no pueda ser resuelto por medios ordinarios en el corto plazo y afecte en forma significativa su capacidad operativa.
En el programa, la Superintendencia Financiera de Colombia podrá establecer metas específicas en materia financiera y administrativa que conduzcan al restablecimiento del margen de solvencia, el programa no podrá alcanzar periodos superiores a un (1) año, contado desde la celebración del mismo.
La Superintendencia Financiera de Colombia podrá reducir o abstenerse de imponer las sanciones pecuniarias en que pudiere incurrir durante el período que cubra el acuerdo. Lo anterior, sin perjuicio de las sanciones o medidas administrativas que pueda aplicar el ente de control como producto del incumplimiento parcial o incompleto del programa.
ARTÍCULO 10.2.1.1.11 RESERVA DE SINIESTRALIDAD.
<Fuente original compilada: D. 1324/05 Art. 12> El Fondo Nacional de Garantías S. A. deberá mantener una reserva de carácter transitorio hasta la no objeción del Sistema de Administración del Riesgo de Garantías por parte de la Superintendencia Financiera de Colombia, la cual debe ser constituida como mínimo por el resultado de aplicar la siguiente fórmula:
Reserva a constituir en el mes N =
Reserva al final del mes N-Saldo de la reserva al inicio del mes, donde:
Reserva al final del mes N =
Pagos de garantías del Fondo Nacional de Garantías de los últimos doce meses/Saldo de las garantías vigentes un año atrás] x Saldo de las garantías vigentes al corte del mes N
ARTÍCULO 10.2.1.1.12 REGLAMENTACIÓN.
<Fuente original compilada: D. 1324/05 Art. 13> La Superintendencia Bancaria expedirá las medidas necesarias para la aplicación de lo dispuesto en este decreto.
OTRAS OPERACIONES AUTORIZADAS.
ARTÍCULO 10.2.2.1.1 ADQUISICIÓN DE CARTERA.
<Fuente original compilada: D. 2075/10 Art. 1o.> Autorizar al Fondo Nacional de Garantías S.A. - FNG, para que en desarrollo de su objeto social y previa autorización de su Junta Directiva, adquiera a título de compraventa, cartera de instituciones financieras o de cuaiquier <sic> otro intermediario de crédito que sean clientes del FNG, siempre que dichas adquisiciones se encuentren condicionadas a su posterior venta, de acuerdo con los siguientes parámetros:
a) Cuando se trate de cartera garantizada por el Fondo Nacional de Garantías S.A.- FNG, cuya garantía se hizo efectiva por el incumplimiento del deudor, se autoriza la compra del saldo de la obligación no cubierto por el pago de la garantía.
b) Cuando se trate de cartera no garantizada por el Fondo Nacional de Garantías S.A. FNG, se autoriza la compra siempre que el acreedor adelante, en un mismo proceso ejecutivo o concursal, el cobro de dichas obligaciones y de obligaciones garantizadas por eI FNG.
c) Cuando se trate de obligaciones garantizadas por el Fondo Nacional de Garantías SA -FNG Y otra entidad con la cual el Fondo haya suscrito mandatos para compartir el riesgo de las garantías, se autoriza la compra de la cartera derivada del pago de la garantía por parte de dicha entidad.
FOCALIZACIÓN DE LAS GARANTÍAS.
ARTÍCULO 10.2.3.1.1 FOCALIZACIÓN DE LAS GARANTÍAS OTORGADAS POR EL FONDO. <Título derogado por el artículo 8 del Decreto 1286 de 2020>
FINANCIERA DE DESARROLLO TERRITORIAL FINDETER.
ARTÍCULO 10.3.1.1.1 DESCUENTO DE CRÉDITOS EN MONEDA EXTRANJERA.
<Fuente original compilada: D. 1577/96 Art. 1o.> Con el fin de promover el desarrollo regional y urbano, la Financiera de Desarrollo Territorial S.A., Findeter, podrá descontar créditos en moneda extranjera otorgados a las entidades territoriales, con cargo a recursos de crédito externo que cuenten con la garantía de la Nación, para adelantar procesos de reestructuración administrativa y saneamiento fiscal realizados de conformidad con los planes de desempeño que para ese efecto acuerde la entidad territorial beneficiaria, con el Ministerio de Hacienda y Crédito Público y Findeter.
ARTÍCULO 10.3.1.1.2 REGLAMENTOS DE CRÉDITO.
<Fuente original compilada: D. 1315/98 Art. 1o.> Las condiciones financieras de las operaciones que redescuente la Financiera de Desarrollo Territorial S.A., Findeter, a los establecimientos de crédito y las entidades descentralizadas de los entes territoriales cuyo objeto sea la financiación de las obras y actividades señaladas en el numeral 2o del artículo 268 del Estatuto Orgánico del Sistema Financiero y demás normas que adicionen el objeto social de la Financiera, se determinará de acuerdo con los reglamentos de crédito que dicte su junta directiva, y en todo caso, con sujeción a las normas legales vigentes.
ARTÍCULO 10.3.1.1.3 CONDICIONES FINANCIERAS DE LAS OPERACIONES DE REDESCUENTO.
<Fuente original compilada: D. 1315/98 Art. 2o.> Las condiciones financieras de las operaciones de redescuento, que por la facultad otorgada en el artículo anterior, sean expedidas por la junta directiva de la Financiera de Desarrollo Territorial S. A., Findeter, deberán ser motivadas y justificadas, así como realizadas en condiciones de mercado, sin perjuicio de lo establecido en el parágrafo del literal b) del numeral 3o del artículo 270 del Estatuto Orgánico del Sistema Financiero.
ARTÍCULO 10.3.1.1.4 ADQUISICIÓN DE ACCIONES.
<Fuente original compilada: D. 4806/08 Art. 1o.> Autorízase a la Financiera de Desarrollo Territorial S.A., Findeter, para invertir en el Fondo Nacional de Garantías S.A. FNG, en las condiciones establecidas en el correspondiente reglamento de emisión y colocación de acciones.
ARTÍCULO 10.3.1.1.5 ADMINISTRACIÓN NO FIDUCIARIA.
<Fuente original compilada: D. 4806/08 Art. 2o.> Autorízase a la Financiera de Desarrollo Territorial S.A., Findeter, para celebrar contratos de administración no fiduciaria de la cartera enajenada a cualquier título a terceros.
ARTÍCULO 10.3.1.1.6 INVERSIÓN EN FONDOS DE CAPITAL PRIVADO.
<Fuente original compilada: D. 1070/10 Art. 1o.> Autorízase a la Financiera de Desarrollo Territorial S.A, Findeter, para invertir en los Fondos de Capital Privado cuya política de inversión se encuentre relacionada con el objeto social desarrollado por FINDETER.
Dichas inversiones se realizarán en los términos que señale la junta directiva de la Financiera de Desarrollo Territorial S.A, Findeter.
BANCO DE COMERCIO EXTERIOR - BANCOLDEX.
REDESCUENTO DE CRÉDITOS A LAS VÍCTIMAS DE LA VIOLENCIA.
ARTÍCULO 10.4.1.1.1 CONDICIONES.
<Fuente original compilada: D. 3741/03 Art. 1o.> El Banco de Comercio Exterior de Colombia S. A., Bancóldex, redescontará los préstamos que, a partir de la vigencia de este decreto, otorguen los distintos establecimientos de crédito a las víctimas de los actos a que se refiere el artículo 15 de la Ley 418 de 1997, modificado por el artículo 6o de la Ley 782 de 2002, para financiar la reposición o reparación de vehículos, maquinaria, equipo, equipamiento, muebles y enseres, capital de trabajo de personas naturales o jurídicas que tengan la calidad de comerciantes, y la reparación o reconstrucción de inmuebles destinados a locales comerciales, previa su disponibilidad de recursos.
Todos estos muebles, enseres e inmuebles, deben ser afectados en los hechos descritos en el artículo 15 de la Ley 418 de 1997, modificado por el artículo 6o de la Ley 782 de 2002.
ARTÍCULO 10.4.1.1.2 FUNCIONES DE LA RED DE SOLIDARIDAD SOCIAL.
<Fuente original compilada: D. 3741/03 Art. 2o.> En desarrollo de sus funciones, la Red de Solidaridad Social, en lo que hace referencia a la línea de crédito para atención a víctimas de la violencia, contribuirá a la realización de las operaciones contempladas en el artículo anterior, de la siguiente manera: la diferencia entre el costo de captación del Banco de Comercio Exterior de Colombia S. A., Bancoldex, y la tasa a la que se haga el redescuento de los créditos que otorguen los establecimientos de crédito, será cubierta con cargo a los recursos de la Red de Solidaridad Social, conforme a los términos que para el efecto se estipulen en el convenio que al efecto suscriban estas dos entidades.
En dicho convenio se precisarán las condiciones y montos que podrán tener los créditos redescontables por el Banco de Comercio Exterior de Colombia S.A., Bancoldex, en desarrollo del presente Título, para lo cual se tendrá en cuenta el principio de solidaridad y el deber de proteger a las personas que se encuentran en circunstancias de debilidad manifiesta. En ningún caso estos créditos podrán exceder el cero punto cinco por ciento (0.5%) de interés mensual para el deudor final.
PARÁGRAFO. Los recursos que hayan sido entregados por la Red de Solidaridad al Instituto de Fomento Industrial, IFI, para la compensación del diferencial de tasa de interés en la línea de crédito para atención a víctimas de la violencia, deberán ser entregados a Bancóldex sin necesidad de formalidad alguna.
BANCA DE LAS OPORTUNIDADES.
ARTÍCULO 10.4.2.1.1 PROGRAMA DE INVERSIÓN “BANCA DE LAS OPORTUNIDADES”.
<Fuente original compilada: D. 3078/06 Art. 1o.> Créase el programa de inversión denominado “Banca de las Oportunidades”, con el objeto de promover el acceso al crédito y los demás servicios financieros a las familias de menores ingresos, micro, pequeñas y medianas empresas y emprendedores. El Ministerio de Hacienda y Crédito Público podrá suscribir un contrato con el Banco de Comercio Exterior de Colombia S. A., Bancoldex, para la administración de los recursos que se destinen para el financiamiento del programa de inversión Banca de las Oportunidades. La ejecución de dicho contrato, respecto de las funciones señaladas expresamente en el presente Título, no generará comisión alguna en favor del Banco de Comercio Exterior de Colombia S. A., Bancoldex, quien con cargo a los recursos a administrar cubrirá la totalidad de los costos en que incurra.
PARÁGRAFO. Los recursos que se destinen para estos efectos, se mantendrán en una cuenta de orden, separada del patrimonio del Banco de Comercio Exterior de Colombia S. A., Bancoldex.
ARTÍCULO 10.4.2.1.2 RÉGIMEN LEGAL Y CONTRACTUAL.
<Fuente original compilada: D. 3078/06 Art. 2o.> Las actividades, los actos y contratos celebrados por el Banco de Comercio Exterior de Colombia S. A., Bancoldex, con recursos del programa de inversión Banca de las Oportunidades, se regirán por el derecho privado, y se someterán a los procedimientos y requerimientos internos establecidos para los actos y contratos del Banco de Comercio Exterior de Colombia S. A., Bancoldex.
ARTÍCULO 10.4.2.1.3 COMISIÓN INTERSECTORIAL PARA LA BANCA DE LAS OPORTUNIDADES.
<Fuente original compilada: D. 3078/06 Art. 3o. modificado por el D. 4389/06 Art. 1o.> Créase una Comisión Intersectorial encargada de ejercer la coordinación y seguimiento de las actividades que se pretendan financiar con los recursos del Programa de Inversión Banca de las Oportunidades, así como de formular las recomendaciones a que haya lugar a las distintas entidades públicas en relación con temas vinculados a dicho programa. La Comisión estará conformada de la siguiente manera:
El Ministro Consejero de la Presidencia de la República, el Ministro de Hacienda y Crédito Público, el Ministro de Comercio, Industria y Turismo, un delegado del Presidente de la República, el Director del Departamento Administrativo de la Economía Solidaria, Dansocial, y el Director del Departamento Nacional de Planeación. El Presidente del Banco de Comercio Exterior de Colombia S. A., Bancóldex, asistirá a las sesiones y contará con voz pero sin voto en las deliberaciones. Los miembros de la Comisión Intersectorial podrán delegar su asistencia exclusivamente en funcionarios del nivel directivo o asesor.
PARÁGRAFO 1. La Comisión Intersectorial será presidida por el Ministro Consejero de la Presidencia de la República o su delegado y la secretaría estará a cargo del funcionario del Banco de Comercio Exterior de Colombia S. A., Bancóldex, designado para el efecto.
PARÁGRAFO 2. La Comisión Intersectorial podrá invitar a expertos en las materias relacionadas con microfinanzas y en general, en materias afines al programa Banca de las Oportunidades, a funcionarios del sector financiero, y en general, a personas vinculadas a los proyectos que se pretenda adelantar para el desarrollo del programa de inversión Banca de las Oportunidades.
ARTÍCULO 10.4.2.1.4 CONSEJO ASESOR PARA EL PROGRAMA BANCA DE LAS OPORTUNIDADES.
<Artículo modificado por el artículo 1 del Decreto 4810 de 2011. El nuevo texto es el siguiente:> Créase un Consejo Asesor como instancia participativa que formula recomendaciones a la Comisión Intersectorial del Programa de inversión Banca de las Oportunidades.
El Consejo Asesor estará conformado por siete (7) miembros, designados mediante resolución del Ministerio de Hacienda y Crédito Público y propuestos por la Comisión Intersectorial previo el proceso de selección que para el efecto esta determine. Dichos miembros deberán representar a los segmentos de la población a los cuales está dirigido el Programa de inversión Banca de las Oportunidades, entidades especializadas en microfinanzas, entidades del sector financiero y de la economía solidaria, ONG, Universidades o Entidades Territoriales que desarrollen programas de microfinanzas.
El Consejo Asesor se reunirá, previa convocatoria de la Comisión Intersectorial de manera ordinaria una (1) vez al año y de manera extraordinaria cuando se requiera. La Secretaría Técnica del Consejo Asesor la ejercerá quien ejerza la de la Comisión Intersectorial.
<Fuente original compilada: D. 3078/06 Art. 5o.> Los recursos del programa de inversión Banca de las Oportunidades se podrán destinar para la financiación de las siguientes actividades:
1. Estudios de reformas al marco regulatorio en los temas que se identifiquen como barreras de acceso al sistema financiero y de financiamiento en general.
2. Celebración de convenios con entidades que realizan actividades de microfinanzas para apoyar e incentivar la ampliación de cobertura, el diseño e introducción de nuevos productos financieros para los segmentos de la población a los cuales está dirigido el programa de inversión Banca de las Oportunidades.
En desarrollo de dichos convenios se podrá prever la compensación de costos y gastos asociados a la actividad microfinanciera y otras actividades que sean definidas por la Comisión Intersectorial. Para el efecto, se deberá diseñar un sistema de asignación y ejecución de los apoyos e incentivos que permita el uso eficiente de los recursos. En ningún caso, tales apoyos e incentivos podrán tener carácter permanente. El monto total de los apoyos e incentivos no podrá superar anualmente el cincuenta (50%) del total del presupuesto a ejecutar en el respectivo año.
3. Promoción de estrategias e instrumentos adecuados para el suministro suficiente, oportuno y pertinente de información a las autoridades y al público en general en los temas de microfinanzas.
4. Promoción de programas de educación financiera a la oferta y a la demanda.
5. Diseño de estrategias para hacer efectivo el acceso a garantías a los segmentos de la población a quienes va dirigido el programa de inversión Banca de Oportunidades, sin perjuicio de lo previsto en el parágrafo 2 del artículo 10.4.2.1.8 del presente decreto.
6. Apoyo a instituciones que tengan como objeto prestar servicios de soporte técnico, tecnológico y operativo a entidades que adelanten actividades relacionadas con microfinanzas.
7. Promoción del diseño de nuevos productos financieros masivos para los segmentos de la población a quienes va dirigido el programa de inversión Banca de las Oportunidades.
8. Promoción y diseño de instrumentos que faciliten el acceso a recursos de capital de riesgo.
9. Promoción y diseño de instrumentos para emprendedores que faciliten el acceso a recursos de tal forma que complemente y no duplique las actividades realizadas por el Fondo Emprender del Sena y otros instrumentos públicos.
10. Promoción de la celebración de acuerdos con entidades dedicadas a las microfinanzas, que establezcan objetivos y metas relacionados con la mencionada política y seguimiento a los acuerdos que se celebren.
11. Las demás que determine la Comisión Intersectorial y que guarden relación con la política del programa de inversión Banca de las Oportunidades.
PARÁGRAFO. Para todas las actividades del programa de inversión Banca de las Oportunidades y, en especial, aquellas que impliquen la asignación y entrega de recursos, se observarán los principios de transparencia, equidad y libre concurrencia de los beneficiarios.
ARTÍCULO 10.4.2.1.6 ACTIVIDADES DE LA COMISIÓN INTERSECTORIAL.
<Fuente original compilada: D. 3078/06 Art. 6o.> La Comisión Intersectorial prevista en el presente Título, tendrá a su cargo las siguientes actividades:
1. Aprobar la política general, los instrumentos y las metodologías que rijan las actividades del programa de inversión Banca de las Oportunidades.
2. Aprobar las propuestas relacionadas con la financiación de las actividades previstas en el artículo 10.4.2.1.5 del presente decreto.
3. Dar concepto sobre los convenios que vayan a celebrarse con entidades públicas del orden nacional o territorial, organismos multilaterales, organismos de cooperación y donantes nacionales e internacionales, para la realización de aportes al programa de inversión Banca de las Oportunidades.
4. Velar por el cumplimiento de las actividades, actos y contratos del programa de inversión Banca de las Oportunidades.
5. Dictarse su propio reglamento de funcionamiento.
6. Aprobar el presupuesto anual del programa de inversión Banca de las Oportunidades y hacer el seguimiento de su ejecución.
7. Recibir al menos una vez al año la rendición de cuentas presentada por el Banco de Comercio Exterior de Colombia S. A., Bancoldex. Lo anterior, sin perjuicio de las obligaciones de control de ejecución contractual a cargo del Ministerio de Hacienda y Crédito Público.
8. Establecer el procedimiento para la selección de los miembros del Consejo Asesor previsto en este Título, adelantar la convocatoria correspondiente y dictar las pautas para su funcionamiento.
9. Las demás que le sean propias para el funcionamiento del programa de inversión Banca de las Oportunidades.
PARÁGRAFO. La junta directiva del Banco de Comercio Exterior de Colombia S. A., Bancoldex, en lo de su competencia, tendrá a su cargo la supervisión de la gestión del Banco como administrador de los recursos.
ARTÍCULO 10.4.2.1.7 RECURSOS DEL PROGRAMA DE INVERSIÓN BANCA DE LAS OPORTUNIDADES.
<Fuente original compilada: D. 3078/06 Art. 7o.> El programa de inversión Banca de las Oportunidades se financiará con los siguientes recursos:
1. Recursos del Presupuesto Nacional, de conformidad con lo previsto en el artículo siguiente.
2. Recursos obtenidos de entidades públicas del orden nacional o territorial, organismos multilaterales, organismos de cooperación y donantes nacionales e internacionales.
3. Los rendimientos producidos por la inversión de los recursos aportados.
PARÁGRAFO. Los recursos del programa de inversión Banca de las Oportunidades se invertirán de conformidad con la política de inversiones definida para los recursos del Banco de Comercio Exterior de Colombia S. A., Bancoldex, y tendrá en cuenta las condiciones de liquidez necesarias para la adecuada y oportuna financiación de las actividades a realizar con dichos recursos.
ARTÍCULO 10.4.2.1.8 RESTRICCIONES.
<Fuente original compilada: D. 3078/06 Art. 8o.> Para la ejecución de las actividades del programa de inversión Banca de las Oportunidades, únicamente se podrán emplear los rendimientos financieros reales de la inversión de los aportes efectuados por el Gobierno Nacional. Excepcionalmente, previa aprobación del Ministro de Hacienda y Crédito Público, podrán utilizarse partidas correspondientes a tales aportes.
PARÁGRAFO 1. (Modificado por el D. 1695/07 Art. 1o.) Con los recursos aportados por el Gobierno Nacional o sus rendimientos no se podrán otorgar créditos, ni emitir garantías, salvo que estas últimas se expidan en desarrollo de programas adelantados con el Fondo Nacional de Garantías S.A., FNG en cuyo caso será aplicable la restricción prevista en la parte final del inciso segundo del numeral segundo del artículo 10.4.2.1.5 de este decreto. En estos casos se deberá pactar que no existirá obligación de entregar recursos del programa de inversión Banca de las Oportunidades, en exceso de los previstos en el respectivo convenio, aún si dichos recursos, junto con sus rendimientos, comisiones y demás ingresos que llegaren a percibirse, resultaren insuficientes para responder por los créditos garantizados. Lo anterior, sin perjuicio de la responsabilidad del Fondo Nacional de Garantías S.A., FNG ante los acreedores garantizados.
Con cargo a dichos recursos tampoco se podrán hacer inversiones en proyectos de capital de riesgo, asumir gastos de la Nación u otras entidades públicas o hacer inversiones de capital en empresas. Excepcionalmente, con el cumplimiento de los requisitos de ley y previa autorización de la Comisión Intersectorial, podrán destinarse recursos a la compra o suscripción de títulos subordinados emitidos por la Sociedad Integral de Apoyo a las Microfinanzas S. A.
PARÁGRAFO 2. Los rendimientos que produzcan los recursos asignados al programa de inversión Banca de las Oportunidades serán reinvertidos para el desarrollo de las actividades y actos del Programa.
ARTÍCULO 10.4.2.1.9 SEGUIMIENTO.
<Fuente original compilada: D. 3078/06 Art. 9o.> El Ministerio de Hacienda y Crédito Público, siguiendo las metodologías y lineamientos definidos por el Sistema Nacional de Evaluación de la Gestión y los Resultados, Sinergía, hará seguimiento a los resultados de la implementación del programa de inversión Banca de las Oportunidades. Para ello deberá definir, junto con la Dirección de Evaluación de Políticas Públicas del Departamento Nacional de Planeación, indicadores de resultado en materia de bancarización y profundización financiera, entre otros.
RÉGIMEN DE ENCAJE DE BANCOLDEX.
ARTÍCULO 10.4.3.1.1 RÉGIMEN DE ENCAJE.
<Fuente original compilada: D. 1178/10 Art. 10> Se someterán al régimen de encaje fijado y reglamentado por la Junta Directiva del Banco de la República todas aquellas captaciones realizadas por el Banco de Comercio Exterior de Colombia S.A., Bancóldex que tengan idénticas condiciones respecto de los depósitos y exigibilidades definidos de materia general como objeto de encaje para los establecimientos de crédito, por la mencionada Junta Directiva.
FONDO NACIONAL DE AHORRO.
RÉGIMEN JURÍDICO, PRESUPUESTAL Y
TRIBUTARIO.
ARTÍCULO 10.5.1.1.1 RÉGIMEN JURÍDICO.
<Fuente original compilada: D. 1453/98 Art. 6o.> En su condición de Empresa Industrial y Comercial del Estado de carácter financiero, el Fondo Nacional de Ahorro es un establecimiento de crédito de naturaleza especial, con régimen legal propio.
Los actos que la empresa realice para el desarrollo y cumplimiento de sus actividades industriales y comerciales, están sujetos a las reglas del derecho privado y a la jurisdicción ordinaria, conforme a las normas de competencia sobre la materia.
Por tal virtud, el Fondo ejercerá sus funciones de acuerdo con las disposiciones contenidas en la Ley 432 de 1998, el Estatuto Orgánico del Sistema Financiero, el presente decreto y demás disposiciones que la reglamenten, así como las que rigen para las Empresas Industriales y Comerciales del Estado.
Dada su condición de establecimiento de crédito de naturaleza especial, al Fondo Nacional de Ahorro no le resultan aplicables, por remisión, las normas de que trata el artículo 213 del Estatuto Orgánico del Sistema Financiero.
De conformidad con lo dispuesto en el parágrafo del artículo 4o de la Ley 432 de 1998, al Fondo Nacional de Ahorro le son inaplicables las disposiciones de que tratan las Leyes 50 de 1990 y 100 de 1993, salvo lo dispuesto expresamente en la Ley 432 de 1998.
ARTÍCULO 10.5.1.1.2 CONTRATOS DE SEGUROS.
<Fuente original compilada: D. 1453/98 Art. 9o.> Además de los seguros obligatorios establecidos por ley para la protección de la cartera hipotecaria, de los bienes e intereses patrimoniales de la empresa y de otros riesgos, el Fondo Nacional de Ahorro podrá contratar las pólizas de seguro que considere necesarias cuyo amparo se estime social y económicamente provechoso para sus afiliados.
En todo caso, la contratación de los seguros del Fondo Nacional de Ahorro debe adecuarse a lo establecido por el artículo 101 del Estatuto Orgánico del Sistema Financiero.
RÉGIMEN PATRIMONIAL Y FINANCIERO.
ARTÍCULO 10.5.2.1.1 PATRIMONIO ADECUADO Y RELACIÓN DE SOLVENCIA. <Fuente original compilada: D. 1453/98 Art. 11 Modificado por el D. 1200/07 Art. 11> El Fondo Nacional de Ahorro deberá cumplir con las disposiciones sobre niveles de patrimonio adecuado y relación mínima de solvencia previstas para los establecimientos de crédito.
De conformidad con el parágrafo del artículo 4o de la Ley 432 de 1998, los excedentes financieros del Fondo Nacional de Ahorro se computarán como patrimonio básico para estos efectos.
El Fondo Nacional de Ahorro deberá cumplir con las instrucciones impartidas por la Superintendencia Financiera de Colombia sobre la manera como se deberán administrar los riesgos implícitos en sus actividades.
ARTÍCULO 10.5.2.1.2 ENCAJES E INVERSIONES FORZOSAS.
<Fuente original compilada: D. 1453/98 Art. 14> En cumplimiento de la Ley 432 de 1998, el Fondo Nacional de Ahorro no estará sometido al régimen de encaje ni de inversiones forzosas.
ARTÍCULO 10.5.2.1.3 INVERSIONES DE LIQUIDEZ.
<Fuente original compilada: D. 1453/98 Art. 15> El Fondo Nacional de Ahorro podrá realizar las operaciones de tesorería autorizadas a los establecimientos de crédito, con cargo a sus recursos propios y recursos en administración.
AHORRO VOLUNTARIO DE LOS AFILIADOS.
ARTÍCULO 10.5.3.1.1 INEMBARGABILIDAD.
<Fuente original compilada: D. 1453/98 Art. 39> Las sumas depositadas por los afiliados a título de ahorro voluntario no serán embargables de conformidad con el numeral 4o del artículo 126 del Estatuto Orgánico del Sistema Financiero.
ÓRGANOS DE ADMINISTRACIÓN.
ARTÍCULO 10.5.4.1.1 RÉGIMEN DE INCOMPATIBILIDADES, INHABILIDADES Y POSESIONES.
<Fuente original compilada: D. 1453/98 Art. 49> A los miembros de la junta directiva, al Director General, al Secretario General, a los Subdirectores y demás funcionarios que, de acuerdo con las normas vigentes cumplan funciones propias de los administradores de las entidades financieras, se les aplicará el régimen general de inhabilidades, incompatibilidades y posesiones previsto en el Estatuto Orgánico del Sistema Financiero y demás disposiciones emanadas de la Superintendencia Financiera de Colombia.
ÓRGANO DE FISCALIZACIÓN.
ARTÍCULO 10.5.5.1.1 REVISORÍA FISCAL.
<Fuente original compilada: D. 1453/98 Art. 52> De acuerdo con el artículo 79 del Estatuto Orgánico del Sistema Financiero, el Fondo Nacional de Ahorro deberá tener un revisor fiscal, con su respectivo suplente, designado para un período de dos (2) años.
ARTÍCULO 10.5.5.1.2 DESIGNACIÓN Y POSESIÓN.
<Fuente original compilada: D. 1453/98 Art. 54> El Revisor Fiscal será designado por el Gobierno Nacional, a través del Presidente de la República y el Ministro de Hacienda y Crédito Público. Tomará posesión ante la Superintendencia Financiera de Colombia de conformidad con lo dispuesto en el literal g), numeral 2 del artículo 326 del Estatuto Orgánico del Sistema Financiero.
INSPECCIÓN, VIGILANCIA Y CONTROL.
ARTÍCULO 10.5.6.1.1 INSPECCIÓN, VIGILANCIA Y CONTROL.
<Fuente original compilada: D. 1453/98 Art. 55> La Superintendencia Financiera de Colombia tendrá respecto al Fondo las mismas facultades de inspección, control y vigilancia con que cuenta frente a los demás establecimientos de crédito, en todo lo que no riña con las normas especiales contenidas en la Ley 432 de 1998.
Para poder ejercer su objeto como establecimiento de crédito de naturaleza especial, el Fondo Nacional de Ahorro deberá obtener certificado de autorización expedido por el Superintendente Financiero de Colombia.
INSCRIPCIÓN EN EL FONDO DE GARANTÍAS DE INSTITUCIONES FINANCIERAS.
ARTÍCULO 10.5.7.1.1 INSCRIPCIÓN EN EL FONDO DE GARANTÍAS DE INSTITUCIONES FINANCIERAS- FOGAFIN.
<Fuente original compilada: D. 1453/98 Art. 56> Las cesantías que se depositen en el Fondo Nacional de Ahorro tendrán la garantía del Fondo de Garantías de Instituciones Financieras-FOGAFIN. Para tal efecto el Fondo Nacional de Ahorro deberá adelantar ante Fogafin las diligencias necesarias para lograr la inscripción respectiva, de conformidad con las normas vigentes.
ARTÍCULO 10.5.7.1.2 SEGURO DE DEPÓSITO.
<Fuente original compilada: D. 1453/98 Art. 57> Los dineros que depositen los afiliados del Fondo Nacional de Ahorro por virtud de convenios de ahorro contractual estarán respaldados por el seguro de depósitos del Fondo de Garantías de Instituciones Financieras- FOGAFIN, en los términos que determine la junta directiva de FOGAFIN.
ARTÍCULO 10.5.7.1.3 COSTO DE LA COBERTURA.
<Fuente original compilada: D. 1453/98 Art. 58> La determinación del costo de la cobertura otorgada por el Fondo de Garantías de Instituciones Financieras–FOGAFIN a que se refieren los artículos anteriores será determinada por su junta directiva.
CONVENIOS INTERADMINISTRATIVOS CON EL ICETEX PARA EL OTORGAMIENTO DE CRÉDITOS EDUCATIVOS.
ARTÍCULO 10.5.8.1.1 ÁMBITO DE APLICACIÓN.
<Fuente original compilada: D. 982/00 Art. 1o.> Los créditos educativos que conceda el Fondo Nacional de Ahorro a sus afiliados, mediante convenios interadministrativos a través del Instituto Colombiano de Crédito Educativo y de Estudios Técnicos Mariano Ospina Pérez en el Exterior, Icetex, para adelantar estudios en programas de la educación superior de pregrado o postgrado en instituciones nacionales, oficiales o privadas, debidamente reconocidas, o para adelantar estudios de postgrado en el exterior, se harán de conformidad con los criterios, las reglas y las modalidades que señala el presente Título.
ARTÍCULO 10.5.8.1.2 BENEFICIARIOS Y USUARIOS.
<Fuente original compilada: D. 982/00 Art. 2o.> El beneficiario directo del crédito educativo de que trata el artículo 10.5.8.1.1 de este decreto, será el afiliado y los usuarios del crédito podrán ser el mismo afiliado, su cónyuge, compañero, o compañera permanente y los hijos que dependan económicamente del primero.
No obstante, podrán ser usuarios del crédito, los hijos no dependientes económicamente del afiliado, en los términos y condiciones que disponga el reglamento de crédito del Fondo Nacional de Ahorro.
ARTÍCULO 10.5.8.1.3 CRITERIOS ORIENTADORES.
<Fuente original compilada: D. 982/00 Art. 3o.> Los créditos educativos que otorgue el Fondo Nacional de Ahorro en desarrollo de los convenios interadministrativos con el Icetex, se concederán atendiendo los criterios de distribución regional de los recursos de acuerdo con el número de afiliados por departamento, composición salarial de los afiliados y sistema de asignación por puntaje, establecidos en el parágrafo del artículo 2o de la Ley 432 de 1998.
También atenderán el logro de los objetivos de la educación superior, sus campos de acción, los programas académicos y la calidad del servicio educativo formal.
PARÁGRAFO. El Fondo Nacional de Ahorro aprobará las solicitudes de crédito educativo de acuerdo con la disponibilidad presupuestal asignada para tal fin.
ARTÍCULO 10.5.8.1.4 REGLAS GENERALES.
<Fuente original compilada: D. 982/00 Art. 4o.> El crédito educativo otorgado por el Fondo Nacional de Ahorro a sus afiliados, a través de convenios interadministrativos con el Instituto Colombiano de Crédito Educativo y de Estudios Técnicos en el Exterior Mariano Ospina Pérez, Icetex, deberá atender lo dispuesto en el reglamento de crédito educativo que para el efecto expida la junta directiva del Fondo Nacional de Ahorro.
ARTÍCULO 10.5.8.1.5 CONDICIONES.
<Fuente original compilada: D. 982/00 Art. 5o.> En los convenios interadministrativos que se celebren en desarrollo del presente Título, se pactarán, como mínimo, las cláusulas de obligaciones a cargo de las partes, costos de administración si a ello hubiere lugar, modalidades de los créditos que se otorgarán al amparo del convenio, sistema para el manejo de los recursos, causales de suspensión y de terminación, cláusula compromisoria para la solución de los conflictos que se susciten entre las partes y composición y funciones del Comité Operativo Interinstitucional para su seguimiento y evaluación.
ARTÍCULO 10.5.8.1.6 RECUPERACIÓN DE CARTERA.
<Fuente original compilada: D. 982/00 Art. 7o.> El manejo y recuperación de la cartera del crédito educativo otorgado a través de los convenios interadministrativos que se reglamentan por el presente Título, estarán a cargo del Fondo Nacional de Ahorro.
OTORGAMIENTO DE CRÉDITO EDUCATIVO.
ARTÍCULO 10.5.9.1.1 DE LOS CRÉDITOS EDUCATIVOS.
<Fuente original compilada: D. 2843/05 Art. 1o.> El Fondo Nacional de Ahorro podrá otorgar crédito educativo a sus afiliados, directamente o a través de convenios con entidades de derecho público o privado, nacionales o internacionales, de acuerdo con las reglas que se señalan en el presente Título. Estos créditos estarán dirigidos a fomentarlos estudios de pregrado y postgrado, en instituciones de educación superior, estos últimos en Colombia o en el exterior.
ARTÍCULO 10.5.9.1.2 CRITERIOS.
<Fuente original compilada: D. 2843/05 Art. 2o.> Los créditos educativos que otorgue el Fondo Nacional de Ahorro, se concederán atendiendo los criterios de distribución regional de los recursos, de conformidad con el número de afiliados por departamento, la composición salarial de los afiliados y el sistema de adjudicación del crédito individual por puntaje, previstos en el parágrafo del artículo 2o de la Ley 432 de 1998.
ARTÍCULO 10.5.9.1.3 OTORGAMIENTO, CONDICIONES Y MODALIDADES.
<Fuente original compilada: D. 2843/05 Art. 3o.> El otorgamiento, las condiciones y modalidades para acceder al crédito educativo que conceda el Fondo Nacional de Ahorro se efectuarán de acuerdo con el reglamento de crédito que para tal fin expida la junta directiva del Fondo Nacional de Ahorro.
PARÁGRAFO 1. El otorgamiento, el manejo y la administración de los recursos del crédito educativo estarán a cargo del Fondo Nacional de Ahorro.
PARÁGRAFO 2. El Fondo Nacional de Ahorro aprobará las solicitudes de crédito educativo de conformidad con la disponibilidad presupuestal asignada para tal fin.
ARTÍCULO 10.5.9.1.4 GARANTÍAS.
<Fuente original compilada: D. 2843/05 Art. 4o.> En los créditos educativos que otorgue el Fondo Nacional de Ahorro, se requerirá al menos una de las siguientes garantías, de conformidad con el reglamento que sobre el particular expida la junta directiva del Fondo Nacional de Ahorro:
1. Hipoteca abierta en primer o segundo grado.
2. Pignoración o prenda sobre las cesantías, y
3. Codeudor.
PARÁGRAFO. En concordancia con el parágrafo del artículo octavo (8o) de la Ley 432 de 1998, la garantía a la que se refiere el numeral segundo del presente artículo no podrá ser ofrecida por los afiliados del sector privado.
AHORRO VOLUNTARIO CONTRACTUAL.
ARTÍCULO 10.5.10.1.1 AHORRO VOLUNTARIO CONTRACTUAL.
<Fuente original compilada: D. 1200/07 Art. 1o.> Los afiliados al Fondo Nacional de Ahorro a través de cesantías, de conformidad con lo previsto en la Ley 432 de 1998 y demás normas concordantes, así como las personas señaladas en el parágrafo 2o del artículo 1o de la Ley 1114 de 2006, podrán celebrar contratos de ahorro voluntario contractual con dicha entidad, en los términos del presente decreto. No obstante, estos últimos sólo adquirirán la calidad de afiliados una vez se haya hecho efectivo el primer pago pactado en el contrato.
Para efectos del presente Título, se entiende por ahorro voluntario contractual, el contrato por el cual las personas mencionadas en el inciso anterior se comprometen a realizar depósitos de dinero en el Fondo Nacional de Ahorro, en las cuantías acordadas y a intervalos regulares, hasta cumplir la meta de ahorro en el plazo convenido, con el reconocimiento de intereses remuneratorios a la tasa que libremente determine la junta directiva del Fondo Nacional de Ahorro.
ARTÍCULO 10.5.10.1.2 CONDICIONES DEL AHORRO VOLUNTARIO CONTRACTUAL.
<Fuente original compilada: D. 1200/07 Art. 2o.> La junta directiva del Fondo Nacional de Ahorro definirá las condiciones de los contratos de ahorro voluntario contractual, con base en los siguientes criterios:
1 No podrá estipularse pérdida alguna de las sumas depositadas en caso de que no se realicen los pagos regulares convenidos, pero pueden obligar al depositante, en tal evento, a perder en todo o en parte, los intereses acreditados o devengados con anterioridad a tal incumplimiento; así mismo, dicho evento podrá constituir causal de terminación del contrato en cuyo caso, podrá establecerse que los recursos respectivos quedarán a disposición del afiliado, sin que se reconozcan rendimientos sobre los saldos disponibles a la terminación del contrato.
2 Podrá establecer el pago de gastos de administración o de manejo a cargo de las personas vinculadas mediante ahorro voluntario contractual.
3 Deberá establecer la tasa de interés remuneratorio que el Fondo Nacional de Ahorro reconocerá por los depósitos a quienes suscriban contratos de ahorro voluntario contractual, así como su forma y periodicidad de liquidación, la cual no podrá ser modificada durante el período de liquidación del respectivo depósito.
4 El plazo del ahorro voluntario contractual en ningún caso podrá ser inferior a doce (12) meses. No obstante, respecto de las personas cuyos ingresos provengan de un contrato de trabajo o de una relación laboral de derecho público o privado, la junta directiva podrá diseñar un programa de ahorro voluntario contractual con plazos inferiores a doce (12) meses, que en todo caso no podrán ser inferiores a nueve (9) meses.
5 Podrán definirse planes de ahorro con un plazo superior a doce (12) meses, en términos de periodos semestrales adicionales, hasta el plazo máximo que defina la junta directiva del Fondo Nacional de Ahorro.
6 El monto total del ahorro voluntario contractual, como mínimo, deberá corresponder a una suma equivalente al ingreso promedio mensual del afiliado en el caso en que se defina un plazo de ahorro de doce (12) meses. Si se define un plazo total de ahorro voluntario contractual superior a doce (12) meses, el monto total del ahorro para dicho período adicional equivaldrá como mínimo a la fracción del ingreso mensual del afiliado que correspondiere al plazo adicional acordado. La forma de acreditar ante el Fondo Nacional de Ahorro el ingreso mensual de que aquí se trata será definida por la junta directiva de la entidad.
7 El monto total y la periodicidad del ahorro voluntario contractual deberá considerar la estructura de ingresos y gastos del afiliado, la actividad económica de este y, con base en ellas, las preferencias en cuanto a la estructura del ahorro que prevé desarrollar.
8 El afiliado podrá depositar sumas de dinero en montos superiores a los acordados en el ahorro voluntario contractual. Tales depósitos no modificarán las condiciones del contrato de ahorro voluntario contractual, salvo modificación pactada del mismo y no podrán corresponder, individual o conjuntamente, aun valor superior al monto total del ahorro acordado durante la vigencia del contrato.
9 El afiliado podrá retirar las sumas depositadas junto con los rendimientos devengados por estos al vencimiento del término del contrato, salvo el evento previsto en el numeral 1 del presente artículo.
10 Los demás que determine la junta directiva.
PARÁGRAFO 1. La junta directiva del Fondo establecerá en el reglamento del ahorro voluntario contractual los mecanismos específicos para que el afiliado efectúe los depósitos acordados y realice el retiro total de los mismos en la fecha de cumplimiento del ahorro, o en fecha anterior a la misma, esto último en los términos que se establecen en el presente Título. Tales mecanismos podrán corresponder a medios impresos o electrónicos que aseguren la adecuada contabilización de los depósitos y de los retiros totales a nombre del afiliado correspondiente.
PARÁGRAFO 2. La terminación del contrato de ahorro voluntario contractual por las causales previstas en el numeral 1 del presente artículo, será causal de la pérdida de la calidad de afiliado de quienes se hayan vinculado al Fondo Nacional del Ahorro a través del ahorro voluntario.
ARTÍCULO 10.5.10.1.3 RETIRO DEL AHORRO VOLUNTARIO CONTRACTUAL.
<Artículo modificado por el artículo 1 del Decreto 1102 de 2014. El nuevo texto es el siguiente:> Con anterioridad al vencimiento del plazo total acordado, el titular del ahorro voluntario contractual no podrá realizar retiros parciales de las sumas que haya depositado. Será procedente el retiro de la totalidad de las sumas depositadas en los siguientes eventos:
a) La aprobación del crédito hipotecario para vivienda o del crédito educativo. En tal caso, los recursos deberán ser destinados a la adquisición de la vivienda, o al pago de la matrícula o pensión.
b) La suscripción de un contrato de leasing habitacional, caso en el cual los recursos serán destinados al pago de sus cánones.
c) La decisión del afiliado mediante comunicación escrita dirigida al Fondo en la que manifieste inequívocamente su decisión en este sentido. En el caso de personas que se hayan vinculado al Fondo Nacional del Ahorro a través de ahorro voluntario contractual, dicho retiro implicará la pérdida de su condición de afiliado, sin perjuicio de lo previsto en el numeral 1 del artículo 10.5.10.1.2 del presente decreto.
d) La muerte del afiliado.
e) La decisión unilateral del Fondo Nacional del Ahorro, cuando detecte la inconsistencia, inexactitud, o insuficiencia de la información suministrada por el afiliado con base en la cual se celebró y ejecutó el ahorro voluntario contractual, o cuando ella no haya sido actualizada con la periodicidad exigida por el Fondo Nacional del Ahorro. Dicha facultad de terminación unilateral igualmente será procedente cuando el Fondo Nacional del Ahorro encuentre que el origen de los recursos utilizados por el afiliado puede estar relacionado con las conductas mencionadas en el artículo 102 del Estatuto Orgánico del Sistema Financiero, modificado por el artículo 1o de la Ley 1121 de 2006. Esta terminación implicará la pérdida de su condición de afiliado, además de lo previsto en el numeral 1 del artículo 10.5.10.1.2 del presente decreto.
f) Las demás que señale el reglamento del programa de ahorro voluntario contractual que expida el Fondo Nacional del Ahorro.
ARTÍCULO 10.5.10.1.4 ADMINISTRACIÓN DE LOS DEPÓSITOS DE AHORRO VOLUNTARIO CONTRACTUAL.
<Fuente original compilada: D. 1200/07 Art. 4o.> Los dineros provenientes del ahorro voluntario contractual se manejarán en cuentas independientes para cada afiliado y harán parte de los recursos financieros del Fondo Nacional de Ahorro, por lo cual este los podrá emplear para el cumplimiento de su objeto.
ARTÍCULO 10.5.10.1.5 RELACIÓN DEL AHORRO VOLUNTARIO CONTRACTUAL CON LOS PROGRAMAS DE CRÉDITO HIPOTECARIO, LEASING HABITACIONAL Y CRÉDITO EDUCATIVO ADMINISTRADOS POR EL FONDO NACIONAL DEL AHORRO. <Artículo modificado por el artículo 2 del Decreto 1102 de 2014. El nuevo texto es el siguiente:> La celebración del contrato de ahorro voluntario así como el cumplimiento del mismo por parte del afiliado no supone obligación alguna en cabeza del Fondo Nacional del Ahorro de otorgar crédito o suscribir contrato de leasing habitacional.
Dicha advertencia deberá incluirse con caracteres destacados en el texto del contrato.
No obstante lo anterior, el Fondo Nacional del Ahorro podrá otorgar crédito hipotecario para vivienda y educativo al afiliado, de conformidad con las condiciones, modalidades y requisitos establecidos en el reglamento de crédito que para tal fin específico expida su junta directiva. Así mismo, podrá suscribir contratos de leasing habitacional con sus afiliados en los términos y condiciones fijados en el reglamento correspondiente.
En dichos reglamentos deberá tenerse en cuenta, que sólo podrán presentar solicitud de crédito o de suscribir contrato de leasing habitacional, quienes hayan cumplido los términos del contrato de ahorro voluntario contractual dentro de los criterios que establezca la junta directiva. La forma de cumplimiento, así como los depósitos extraordinarios realizados por el afiliado, deberán ser tenidos en cuenta por la junta en la metodología de evaluación y asignación de crédito o leasing habitacional.
El afiliado que resulte beneficiario de un crédito de vivienda o educativo otorgado por el Fondo Nacional del Ahorro, con base en un contrato de ahorro voluntario contractual, podrá suscribir un nuevo contrato bajo las condiciones que determine la junta directiva de la entidad, la cual podrá diseñar estímulos para los afiliados que cumplan a cabalidad con este ahorro contractual acordado.
El monto total anual del nuevo contrato de ahorro deberá corresponder, como mínimo, al valor de la cuota mensual del crédito que se otorga al afiliado y podrá ser destinado al final del período por este, al pago del capital del crédito, o al pago parcial o total de la cuota del crédito del mes inmediatamente siguiente a la fecha en que cumplió con el ahorro anual acordado.
Sin perjuicio de lo anterior, los afiliados podrán incrementar el valor mensual del saldo del ahorro contractual, con las sumas que deba destinar para el pago de las cuotas mensuales del crédito otorgado al afiliado, con el fin de que este les sea debitad.
ARTÍCULO 10.5.10.1.6 CONVENIOS.
<Artículo modificado por el artículo 3 del Decreto 1102 de 2014. El nuevo texto es el siguiente:> El Fondo Nacional del Ahorro podrá celebrar convenios con entidades públicas y privadas, a efectos de desarrollar todas las actividades tendientes a la suscripción de los contratos de ahorro voluntario contractual y a la ejecución de los mismos.
Dichos convenios igualmente podrán tener por objeto la ejecución de las actividades asociadas al proceso de otorgamiento de crédito o suscripción del contrato de leasing habitacional a las personas vinculadas a través del ahorro voluntario contractual, en los términos y condiciones que determine la junta directiva de la entidad.
En todo caso, las decisiones sobre afiliación de los interesados y el otorgamiento de crédito o suscripción de contratos de leasing habitacional corresponderán exclusivamente al Fondo Nacional del Ahorro
ARTÍCULO 10.5.10.1.7 LIBRANZAS.
<Artículo modificado por el artículo 4 del Decreto 1102 de 2014. El nuevo texto es el siguiente:> Podrá convenirse el sistema de libranzas para el ahorro o el pago de créditos o cánones del contrato de leasing habitacional, cuando los afiliados o deudores así lo acepten voluntaria y expresamente, para cuyo efecto, el Fondo Nacional del Ahorro deberá adelantar las gestiones necesarias.
ARTÍCULO 10.5.10.1.8 SUBSIDIOS DE VIVIENDA DE INTERÉS SOCIAL.
<Fuente original compilada: D. 1200/07 Art. 8o.> El cumplimiento del ahorro voluntario contractual podrá surtir los efectos del requisito del ahorro previo a que se refiere el Decreto 975 de 2004, así como las normas que lo modifiquen o complementen, para acceder al subsidio familiar de vivienda, siempre y cuando las condiciones de dicho ahorro voluntario cumplan con las exigencias previstas por las disposiciones para el ahorro previo para el acceso al subsidio de vivienda de interés social.
ARTÍCULO 10.5.10.1.9 BENEFICIOS TRIBUTARIOS.
<Artículo modificado por el artículo 5 del Decreto 1102 de 2014. El nuevo texto es el siguiente:> Conforme a lo dispuesto en el artículo 2o de la Ley 1114 de 2006, el ahorro voluntario contractual de que trata el presente Título recibirá los mismos beneficios tributarios concedidos a la cuenta de ahorro para el Fomento de la Construcción AFC previstos en las Leyes 488 de 1998 y 633 de 2000, y conforme a las condiciones establecidas en el artículo 126-4 del Estatuto Tributario en lo pertinente.
En consecuencia, las sumas que el afiliado retire para fines distintos al pago del valor de la vivienda o de las cuotas originadas en el crédito hipotecario para adquisición de vivienda o educativo o de los cánones en el contrato de leasing habitacional que le otorgue el Fondo Nacional del Ahorro, serán objeto de la retención en la fuente contingente.
ARTÍCULO 10.5.10.1.10 PROMOCIÓN DE PLANES DE AHORRO VOLUNTARIO CONTRACTUAL.
<Fuente original compilada: D. 1200/07 Art. 10> El Fondo Nacional de Ahorro podrá promover sus programas de ahorro voluntario contractual mediante la realización de sorteos y el establecimiento de planes de seguros de vida en beneficio de sus afiliados, de conformidad con el numeral 3 del artículo 126 del Estatuto Orgánico del Sistema Financiero. En todo caso, tales incentivos deberán sujetarse a lo dispuesto en el Título 1 del Libro 24 de la Parte 2 del presente decreto, y demás normas aplicables, así como a las normas que las adicionen o modifiquen.
FONDO FINANCIERO DE PROYECTOS DE DESARROLLO - FONADE.
PROYECTOS DE DESARROLLO TURÍSTICO.
ARTÍCULO 10.6.1.1.1 AUTORIZACIÓN.
<Fuente original compilada: D. 961/05 Art. 1o.> Con el fin de promover, fomentar y ejecutar proyectos de desarrollo turístico con beneficios económicos y sociales, en adelante el Fondo Financiero de Proyectos de Desarrollo, Fonade, podrá asociarse con personas privadas o constituir cualquier tipo societario para el efecto, bajo las condiciones previstas en el presente Título.
ARTÍCULO 10.6.1.1.2 LÍMITE DE INVERSIÓN.
<Artículo modificado por el artículo 1 del Decreto 47 de 2016. El nuevo texto es el siguiente:> El límite máximo de recursos que el Fondo Financiero de Proyectos de Desarrollo (Fonade), podrá destinar como aporte de capital en empresas no podrá ser superior al veinticinco por ciento (25%) de su patrimonio total sin tener en cuenta el superávit por inflación.
El límite máximo a que se refiere el inciso anterior podrá elevarse hasta sesenta por ciento (60%), con aprobación unánime de los miembros de la Junta Directiva y siempre que Fonade no presente en sus balances operaciones de captación de recursos del público, tales como la emisión de bonos.
Para la aprobación de aportes de capital de que trata el presente artículo, la Junta Directiva de Fonade deberá evaluar la viabilidad e impacto de la operación en la sostenibilidad financiera de la entidad y la capacidad de desarrollar satisfactoriamente su objeto social. En todo caso, cuando dichos aportes superen el 50% del mencionado patrimonio, se requerirá adicionalmente concepto previo favorable del Confis.
ARTÍCULO 10.6.1.1.3 LÍMITE INDIVIDUAL.
<Fuente original compilada: D. 961/05 Art. 3o.> El monto máximo de recursos que el Fondo Financiero de Proyectos de Desarrollo, Fonade, podrá destinar a cada uno de los aportes de capital en empresas no podrá exceder del cincuenta por ciento (50%) del límite señalado en el artículo anterior, salvo que la Junta Directiva del Fondo, por unanimidad de sus miembros, apruebe una participación superior.
ARTÍCULO 10.6.1.1.4 LÍMITE POR EMPRESA.
<Fuente original compilada: D. 961/05 Art. 4o.> La participación máxima del Fondo Financiero de Proyectos de Desarrollo, Fonade, no podrá exceder del cuarenta y nueve por ciento (49%) del valor patrimonial de las empresas beneficiarias de aporte de capital, salvo que la Junta Directiva del Fondo, por unanimidad de sus miembros, apruebe una participación superior.
PARÁGRAFO. Para efectos del presente Título, el valor patrimonial de las empresas se establecerá deduciendo el cincuenta por ciento (50%) de la cuenta de valorización de propiedades y equipos o su equivalente, registrado el mes inmediatamente anterior a la realización del aporte de capital, de acuerdo con las normas que establezca la Junta Directiva del Fondo Financiero de Proyectos de Desarrollo, Fonade, en materia de presentación y revelación de estados financieros.
ARTÍCULO 10.6.1.1.5 CRITERIOS DE SELECCIÓN.
<Fuente original compilada: D. 961/05 Art. 5o.> Para efectos de la constitución o selección de las empresas beneficiarias de aportes de capital, el Fondo Financiero de Proyectos de Desarrollo, Fonade, deberá tener en cuenta los siguientes criterios de evaluación:
a) Justificación de la viabilidad técnica, financiera, ambiental y social de la empresa;
b) Definición de las operaciones de disposición o enajenación de las inversionesdel Fondo Financiero de Proyectos de Desarrollo, Fonade, en las empresas y la continuidad de los mismos.
ARTÍCULO 10.6.1.1.6 FINALIZACIÓN DE LAS OPERACIONES DE INVERSIÓN.
<Fuente original compilada: D. 961/05 Art. 6o.> La participación del Fondo Financiero de Proyectos de Desarrollo, Fonade, en las mpresas beneficiarias de aporte de capital, cesará una vez estas logren, a juicio del Fondo, niveles aceptables de competitividad y solidez patrimonial.
ARTÍCULO 10.6.1.1.7 PROHIBICIÓN.
<Fuente original compilada: D. 961/05 Art. 7o.> Las empresas beneficiarias de aportes de capital no podrán recibir recursos de crédito provenientes del Fondo Financiero de Proyectos de Desarrollo, Fonade, mientras se mantenga su participación en el capital de la empresa.
ARTÍCULO 10.6.1.1.8 MODALIDADES DE INVERSIÓN.
<Fuente original compilada: D. 961/05 Art. 8o.> Las inversiones que en desarrollo del presente Título realice el Fondo Financiero de Proyectos de Desarrollo, Fonade, se podrán adelantar a través de cualquier figura societaria que no implique responsabilidad superior al aporte o inversión realizado por el Fondo.
INSTITUTO COLOMBIANO DE CRÉDITO EDUCATIVO Y ESTUDIOS TÉCNICOS EN EL EXTERIOR - ICETEX.
EJERCICIO DE LA INSPECCIÓN, VIGILANCIA Y CONTROL DE LAS OPERACIONES AUTORIZADAS DEL ICETEX.
ARTÍCULO 10.7.1.1.1 OBJETO DE LA INSPECCIÓN, VIGILANCIA Y CONTROL.
<Fuente original compilada: D. 2792/09 Art. 1o.> De acuerdo con lo dispuesto en el artículo 6 de la Ley 1002 de 2005, las operaciones financieras autorizadas en el artículo 10.7.1.1.2 del presente Decreto que realice el ICETEX, constituyen el objeto exclusivo de la inspección, vigilancia y control de la Superintendencia Financiera de Colombia, en los términos del presente decreto.
ARTÍCULO 10.7.1.1.2 OPERACIONES FINANCIERA OBJETO DE SUPERVISIÓN.
<Fuente original compilada: D. 2792/09 Art. 2o.> Son operaciones financieras objeto de supervisión, para efectos del presente Decreto:
a. Descuento o redescuento directamente relacionado con su objeto legal.
b. Emisión y colocación de títulos de ahorro educativo, TAE. El ICETEX está autorizado para que, directamente o a través de fideicomiso, emita, coloque y mantenga en circulación, Títulos de Ahorro Educativo TAE, en los términos de las disposiciones legales aplicables a esta operación financiera autorizada.
c. Captación de fondos provenientes del ahorro privado y reconocimiento de intereses sobre los mismos, de acuerdo con el literal a) del numeral 1 del artículo 277 del Estatuto Orgánico del Sistema Financiero. Para llevar a cabo esta operación pasiva, se requerirá la expedición previa de las reglas prudenciales de la Superintendencia Financiera de Colombia que le sean aplicables.
d. Las demás actividades financieras que sean necesarias para el cumplimiento de su objeto de conformidad con lo dispuesto en el numeral 2 del artículo 4o de la Ley 1002 de 2005. Para llevar a cabo estas operaciones, se requerirá la expedición previa de las reglas prudenciales de la Superintendencia Financiera de Colombia que le sean aplicables.
ARTÍCULO 10.7.1.1.3 REGLAS APLICABLES A LA SUPERVISIÓN DE LA ADMINISTRACIÓN DE RIESGOS.
<Fuente original compilada: D. 2792/09 Art. 3o.> La Superintendencia Financiera de Colombia vigilará la adecuada administración de los riesgos por parte del ICETEX en sus operaciones financieras autorizadas, con sujeción a las reglas aplicables a dicha materia, sin perjuicio de que el ICETEX, en cumplimiento de las mismas, presente a consideración de la Superintendencia Financiera de Colombia modelos propios que se ajusten a la naturaleza especial de su actividad financiera.
PARÁGRAFO. Para el desarrollo de modelos de otorgamiento, administración y gestión del riesgo de crédito en aquellos préstamos llevados a cabo con cargo a recursos captados del público y provenientes de operaciones financieras, el ICETEX contará con un plazo no inferior a cinco (5) años contados a partir del 27 de Julio de 2009; y para desarrollar y poner en marcha sus sistemas de información, contará con un plazo no inferior a tres (3) años contados a partir del 27 de Julio de 2009.
El ICETEX realizará la constitución gradual de provisiones, de conformidad con un plan de transición aprobado por la Superintendencia Financiera de Colombia.
ARTÍCULO 10.7.1.1.4 RÉGIMEN CONTABLE.
<Fuente original compilada: D. 2792/09 Art. 4o.> La contabilidad del ICETEX se llevará conforme a las normas aplicables a las instituciones financieras sujetas a la inspección, vigilancia y control de la Superintendencia Financiera de Colombia. En atención a que la Superintendencia Financiera de Colombia sólo ejerce vigilancia sobre las operaciones financieras autorizadas del ICETEX a que se refiere el presente decreto, para efectos de dicha vigilancia esta entidad de control podrá señalar, de conformidad con lo dispuesto en el artículo 24 del decreto 2649 de 1993, los estados financieros de propósito especial que le deban ser presentados por el ICETEX.
La Superintendencia Financiera de Colombia instruirá al ICETEX acerca de la forma de contabilizar su capital; y de ser necesario, expedirá reglas especiales contables para el registro del crédito de fomento educativo, para el Fondo de Garantías y la cobertura de riesgos de crédito a que se refiere el artículo 5o de la Ley 1002 de 2005, y para los subsidios al fomento a la educación superior, sin perjuicio de que el otorgamiento de tales subsidios no constituye una operación financiera autorizada para los efectos del presente Decreto.
Los libros de contabilidad del ICETEX y sus papeles de comercio, deberán conservarse en los términos previstos para las instituciones financieras vigiladas por la Superintendencia Financiera de Colombia.
PARÁGRAFO. Mediante un proceso de homologación de cuentas, el ICETEX preparará los reportes que debe transmitir y entregar, tanto a la Contaduría General de la Nación como a la Contraloría General de la República, para efectos de sus respectivas funciones respecto de la contabilidad y los estados financieros del ICETEX.
ARTÍCULO 10.7.1.1.5 DEBERES DEL ICETEX Y DE SUS ADMINISTRADORES.
<Fuente original compilada: D. 2792/09 Art. 5o.> En cuanto a la realización de las operaciones financieras autorizadas, el ICETEX y sus administradores son sujetos pasivos del régimen sancionatorio previsto en el Estatuto Orgánico del Sistema Financiero, tienen la obligación de observar los preceptos del artículo 72 del mismo y de abstenerse de las conductas señaladas en él, sin perjuicio de sus demás deberes legales y estatutarios.
PARÁGRAFO: El Presidente, los miembros de la Junta Directiva y el Oficial de Cumplimiento del ICETEX tomarán posesión ante la Superintendencia Financiera de Colombia.
ARTÍCULO 10.7.1.1.6 ADOPCIÓN DE REGLAS ESPECIALES DE INSPECCIÓN, VIGILANCIA Y CONTROL.
<Fuente original compilada: D. 2792/09 Art. 6o.> Para el ejercicio de las funciones de inspección, vigilancia y control sobre las operaciones financieras autorizadas que realice el ICETEX, de acuerdo con su condición de entidad financiera de naturaleza especial, la Superintendencia Financiera de Colombia adoptará las regulaciones especiales correspondientes, y adicionará la Circular Básica Contable y Financiera y la Circular Básica Jurídica en lo que sea pertinente.
Las funciones de inspección, vigilancia y control serán ejercidas por la Superintendencia Financiera de Colombia sin perjuicio de las funciones propias de la Contraloría General de la República y de la Contaduría General de la Nación.
<Fuente original compilada: D. 2792/09 Art. 7o.> La financiación del fomento de la educación superior busca hacer posible el acceso de las personas aptas a la educación superior, su permanencia y la culminación de los programas académicos, según lo previsto en el inciso final del artículo 69 de la Constitución Política de Colombia.
ARTÍCULO 10.7.1.1.8 CONCEPTO DE CRÉDITO EDUCATIVO DE FOMENTO.
<Fuente original compilada: D. 2792/09 Art. 8o.> El crédito educativo del ICETEX es un mecanismo de fomento social de la educación, el cual se otorga con el objeto de financiar el acceso, la permanencia y la culminación de los programas de los diferentes ciclos de la educación superior. El mismo puede otorgarse a favor de los estudiantes o de las personas jurídicas que tengan el carácter de instituciones de educación superior.
El crédito educativo del ICETEX no comprende el otorgamiento de financiación, avales o garantías a las instituciones de educación superior con el objeto de resolver problemas patrimoniales o de liquidez.
ARTÍCULO 10.7.1.1.9 ADMINISTRACIÓN DE FONDOS DESTINADOS A LA FINANCIACIÓN EDUCATIVA.
<Fuente original compilada: D. 2792/09 Art. 9o.> De conformidad con la autorización del literal f del artículo 2 del decreto extraordinario 3155 de 1968, y con los convenios de mandato respectivos, el ICETEX administrará los recursos representados en dinero que se le confíen con el objeto de financiar los costos directamente relacionados con educación, tanto dentro del país como en el exterior. Dicha administración se hará por cuenta y riesgo del respectivo mandante, de conformidad con las disposiciones del mandante, de la junta administradora, cuando la haya, y del reglamento operativo respectivo.
Para la inversión temporal de los mismos, al igual que para la de los recursos fiscales que le sean girados para administrarlos de conformidad con lo dispuesto en el artículo 113 de la Ley 30 de 1992, el ICETEX observará las disposiciones referentes a la prevención de lavado de activos y de actividades delictivas en general, así como las disposiciones pertinentes de la Superintendencia Financiera de Colombia sobre riesgos operativos, de mercado y liquidez, éstas últimas sin perjuicio de las instrucciones particulares de cada mandante cuya ejecución llegara a implicar decisiones de asunción de riesgos de mercado y de liquidez bajo otros parámetros.
ARTÍCULO 10.7.1.1.10 ADMINISTRACIÓN CONJUNTA DE FONDOS DESTINADOS A LA FINANCIACIÓN EDUCATIVA.
<Fuente original compilada: D. 2792/09 Art. 10> Cuando así lo prevean las instrucciones recibidas en los respectivos mandatos, tanto para efectos de su inversión temporal como en relación con la financiación de estudiantes, el ICETEX podrá administrar en forma conjunta los recursos confiados por varios mandantes. Igualmente, el ICETEX podrá administrar conjuntamente con los fondos de esta clase de mandatos los recursos fiscales que le sean girados de conformidad con lo dispuesto en el artículo 113 de la Ley 30 de 1992.
PARÁGRAFO. En cada mandato de administración de fondos destinados a la financiación educativa se estipulará libremente la remuneración a favor del ICETEX y su forma de pago.
ARTÍCULO 10.7.1.1.11 CARACTERÍSTICAS DE LOS CRÉDITOS EDUCATIVOS DE FOMENTO.
<Artículo modificado por el artículo 1 del Decreto 3322 de 2011. El nuevo texto es el siguiente:> En atención a que el crédito educativo de fomento es un crédito de proyecto que da acceso a los estudiantes a una formación académica que les haga posible adquirir la capacidad de generación de ingresos para atender el pago de sus obligaciones con el ICETEX, dicho crédito tendrá, entre otras, las siguientes características:
a) Sistemas de amortización, de subsidios, causales de condonación y períodos de gracia.
b) Mecanismos de capitalización de intereses u otros sistemas especiales para la cancelación de intereses causados.
c) Mecanismos y causales de refinanciación.
d) Sistemas de Garantías adecuadas a los créditos educativos de fomento.
e) Posibilidad de prórrogas y de suspensión de desembolsos en casos de aplazamiento o suspensión de estudios.
PARÁGRAFO 1o. Con el fin de promover la cultura de pago de los beneficiarios de los créditos educativos, el ICETEX podrá exigir una cuota durante la época de estudios. Igualmente el beneficiario del crédito educativo podrá hacer voluntariamente dicho pago durante la época de estudios.
PARÁGRAFO 2o. En las líneas de crédito especiales aprobadas por ley o Decreto del Gobierno Nacional y en la administración de los fondos destinados a la financiación educativa, el ICETEX se ajustará, en cada caso, a las políticas, finalidades y especificaciones normativas propias de cada programa del Gobierno Nacional, o a las disposiciones del mandante, de la junta administradora, cuando la haya, y al reglamento operativo del fondo. Los beneficiarios deberán cumplir con los requisitos fijados para la amortización del crédito y, cuando corresponda, para su condonación, de acuerdo con lo establecido en la respectiva línea de crédito o mandato.
CUENTA DE AHORRO EDUCATIVO VOLUNTARIO.
<CAPÍTULO 1.>
ARTÍCULO 10.7.2.1.1 CUENTA DE AHORRO EDUCATIVO VOLUNTARIO. <Artículo adicionado por el artículo 1 del Decreto 375 de 2018. El nuevo texto es el siguiente:> El Icetex podrá ofrecer al público contratos de cuenta de ahorro educativo voluntario, en los términos del presente decreto.
Se entiende por cuenta de ahorro educativo voluntario el contrato por el cual el titular se compromete a realizar depósitos de dinero en el Icetex, en las cuantías acordadas hasta cumplir una meta de ahorro en un plazo convenido, con el reconocimiento de intereses remuneratorios a la tasa que determine la Junta Directiva del Icetex.
El cumplimiento de las condiciones contractuales de la cuenta de ahorro educativo voluntario por parte del titular o del beneficiario, se tendrá en cuenta dentro de la metodología de evaluación y asignación de crédito vigente en el reglamento de crédito expedido por la Junta Directiva del Icetex
PARÁGRAFO. El reglamento de la cuenta de ahorro educativo voluntario que establezca la Junta Directiva del Icetex deberá ser aprobado por la Superintendencia Financiera de Colombia con anterioridad a su ofrecimiento.
ARTÍCULO 10.7.2.1.2 CONDICIONES DE LA CUENTA DE AHORRO EDUCATIVO VOLUNTARIO. <Artículo adicionado por el artículo 1 del Decreto 375 de 2018. El nuevo texto es el siguiente:> La Junta Directiva del Icetex definirá las condiciones de los contratos de la cuenta de ahorro educativo voluntario, de acuerdo con los siguientes parámetros:
1. No podrá estipularse pérdida alguna de las sumas depositadas.
2. Determinará el monto de los gastos de administración y de manejo de los recursos, incluyendo la comisión que cobrará el Icetex por su gestión. Estos gastos deberán ser informados previamente a la suscripción del contrato, a través de los canales que disponga para el efecto el Icetex y solo podrán asumirse con cargo a los rendimientos generados por el producto.
3. Deberá establecer la tasa de interés remuneratorio que el Icetex reconocerá por los depósitos a quienes suscriban contratos de cuenta de ahorro educativo voluntario, así como su forma y periodicidad de liquidación.
4. El monto total y la periodicidad de la cuenta de ahorro educativo voluntario deberá considerar la información suministrada a través del formulario de conocimiento del cliente diseñado para tal fin.
5. El titular podrá depositar sumas de dinero en montos superiores a los acordados en la cuenta de ahorro educativo voluntario.
6. Solo podrán estipularse condiciones para el retiro de los recursos mientras no se haya alcanzado la meta de ahorro o el plazo estipulado en el contrato, lo que ocurra primero.
7. Terminado el plazo pactado en el contrato, el titular podrá suscribir un nuevo contrato de cuenta de ahorro educativo voluntario destinado a cubrir las obligaciones que se generen en el evento de ser beneficiario de un crédito educativo.
8. De los rendimientos generados por las inversiones de los recursos de acuerdo con el régimen previsto en el artículo 10.7.2.1.5 del presente decreto, se descontará la tasa de interés remuneratoria del producto y los gastos señalados en el numeral 2 del presente artículo, el excedente resultante deberá ser abonado a la cuenta del titular del contrato.
9. En el evento que los rendimientos generados por las inversiones de los recursos de acuerdo con el régimen previsto en el artículo 10.7.2.1.5 del presente decreto, no sean suficientes para cubrir la tasa de interés remuneratoria y los gastos señalados en el numeral 2 del presente artículo, dicha diferencia deberá ser asumida por el Icetex.
10. Los demás que determine la Junta Directiva del Icetex.
PARÁGRAFO. El Icetex deberá suministrar al titular del producto de manera previa a su suscripción, toda la información concerniente con las condiciones del contrato, en particular la ausencia de cobertura por parte del seguro de depósito de Fogafín.
ARTÍCULO 10.7.2.1.3 ADMINISTRACIÓN DE LOS RECURSOS DE LA CUENTA DE AHORRO EDUCATIVO VOLUNTARIO. <Artículo adicionado por el artículo 1 del Decreto 375 de 2018. El nuevo texto es el siguiente:> Los recursos provenientes de la cuenta de ahorro educativo voluntario serán registrados en cuentas independientes para cada titular y no harán parte de los recursos financieros del Icetex, por lo cual estos no podrán ser utilizados para otorgar crédito.
ARTÍCULO 10.7.2.1.4. GESTIÓN, ADMINISTRACIÓN Y CONTROL DE LA CUENTA DE AHORRO EDUCATIVO VOLUNTARIO. <Artículo adicionado por el artículo 1 del Decreto 375 de 2018. El nuevo texto es el siguiente:> El Icetex deberá adecuar los sistemas de administración de riesgos y de atención al consumidor financiero, así como la estructura contable independiente, necesarios para el funcionamiento de la cuenta de ahorro educativo voluntario, lo cual será presentado a la Superintendencia Financiera de Colombia para su aprobación, de manera previa a su implementación.
ARTÍCULO 10.7.2.1.5 RÉGIMEN DE INVERSIÓN DE LOS RECURSOS DE LA CUENTA DE AHORRO EDUCATIVO VOLUNTARIO. <Artículo adicionado por el artículo 1 del Decreto 375 de 2018. El nuevo texto es el siguiente:> Los recursos provenientes de las cuentas de ahorro educativo voluntario se invertirán en los siguientes activos:
1. Títulos de Tesorería emitidos por la Nación.
2. Depósitos a la vista en establecimientos de crédito autorizados legalmente, los cuales deben contar con una calificación de riesgo crediticio de largo plazo igual o superior a AA+, o su equivalente, otorgada por una sociedad calificadora de riesgo vigilada por la Superintendencia Financiera de Colombia.
3. Certificados de depósito a término emitidos por establecimientos de crédito autorizados legalmente, los cuales deben contar con una calificación de riesgo crediticio de largo plazo igual o superior a AA+, o su equivalente, otorgada por una sociedad calificadora de riesgo vigilada por la Superintendencia Financiera de Colombia.
4. Emisiones de bonos o papeles comerciales que deben contar con una calificación de riesgo de largo plazo de emisor y de emisión igual o superior a AA+, o su equivalente, otorgada por una sociedad calificadora de riesgo vigilada por la Superintendencia Financiera de Colombia.
ARTÍCULO 10.7.2.1.6 RELACIÓN DE LA CUENTA DE AHORRO EDUCATIVO VOLUNTARIO CON LOS PROGRAMAS DE CRÉDITO EDUCATIVO ADMINISTRADOS POR EL ICETEX. <Artículo adicionado por el artículo 1 del Decreto 375 de 2018. El nuevo texto es el siguiente:> La celebración del contrato de cuenta de ahorro educativo voluntario, así como el cumplimiento del mismo por parte del titular, no supone obligación alguna en cabeza del Icetex de otorgar crédito educativo. Dicha advertencia deberá incluirse con caracteres destacados en el texto del contrato.
Sin perjuicio de lo anterior, tanto la forma de cumplimiento del contrato por parte del titular, así como los depósitos extraordinarios realizados por el mismo, deberán ser tenidos en cuenta por la Junta Directiva del Icetex en la metodología de evaluación y asignación de crédito.
FONDO PARA EL FINANCIAMIENTO DEL SECTOR AGROPECUARIO (FINAGRO).
OPERACIONES DE REDESCUENTO CON COOPERATIVAS DE AHORRO Y CRÉDITO, Y COOPERATIVAS MULTIACTIVAS E INTEGRALES CON SECCIÓN DE AHORRO Y CRÉDITO SOMETIDAS A LA VIGILANCIA Y CONTROL DE LA SUPERINTENDENCIA DE LA ECONOMÍA SOLIDARIA.
ARTÍCULO 10.8.1.1.1. REDESCUENTO PARA FINANCIACIÓN DE OPERACIONES AUTORIZADAS AL FONDO PARA EL FINANCIAMIENTO DEL SECTOR AGROPECUARIO FINAGRO. <Artículo adicionado por el artículo 1 del Decreto 47 de 2016. El nuevo texto es el siguiente:> El Fondo para el Financiamiento del Sector Agropecuario (Finagro), podrá celebrar las operaciones de redescuento que tenga autorizadas con cooperativas de ahorro y crédito, y cooperativas multiactivas e integrales con sección de ahorro y crédito sometidas a la vigilancia y control de la Superintendencia de la Economía Solidaria e inscritas en el Fondo de Garantías para Entidades Cooperativas -Fogacoop, dentro de las condiciones y límites que se establecen en el presente artículo:
1. Condiciones: Las operaciones deberán destinarse única y exclusivamente a la financiación de actividades autorizadas al Fondo para el Financiamiento del Sector Agropecuario (Finagro).
2. Límites: El Fondo para el Financiamiento del Sector Agropecuario (Finagro), podrá celebrar operaciones con las cooperativas de que trata el presente artículo, sujetándose a los siguientes límites:
a) Finagro podrá celebrar operaciones de redescuento con las cooperativas de que trata el presente artículo, hasta por un porcentaje máximo equivalente al cuarenta por ciento (40%) de su patrimonio técnico, ampliable hasta el setenta por ciento (70%) por decisión de su Junta Directiva.
b) Sin perjuicio de lo establecido en el Libro 1 de la Parte 2 del presente decreto para establecimientos de crédito, Finagro podrá celebrar operaciones de redescuento con cada cooperativa de las que trata el presente artículo, hasta por un porcentaje máximo equivalente al diez por ciento (10%) del patrimonio técnico de Finagro.
3. Requisitos: La Junta Directiva del Fondo para el Financiamiento del Sector Agropecuario (Finagro) fijará las condiciones de solvencia, liquidez, solidez, calidad de cartera y demás requisitos que deberán cumplir las cooperativas mencionadas en el presente artículo, para efectos del acceso a la línea de redescuento y la aprobación de los créditos redescontables, reservándose en todo caso la facultad de aprobar o denegar la solicitud de crédito.
AUTORIDADES.
COMITÉ DE COORDINACIÓN PARA EL SEGUIMIENTO AL SISTEMA FINANCIERO.
ARTÍCULO 11.1.1.1.1 CONFORMACIÓN DEL COMITÉ.
<Artículo modificado por el artículo 1 del Decreto 1954 de 2014. El nuevo texto es el siguiente:> El Comité de Coordinación para el Seguimiento al Sistema Financiero estará integrado por los siguientes funcionarios:
a) El Ministro de Hacienda y Crédito Público o su delegado, quien lo presidirá;
b) El Gerente General del Banco de la República o su delegado;
c) El Superintendente Financiero de Colombia o su delegado;
d) El Director del Fondo de Garantías de Instituciones Financieras (Fogafín), o su delegado.
El Director de la Unidad Administrativa Especial Unidad de Proyección Normativa y Estudios de Regulación Financiera será un invitado permanente al Comité. Así mismo, a las reuniones del Comité podrán ser invitadas otras entidades u otros funcionarios que este considere conveniente para el cumplimiento de sus objetivos.
Los delegados de las diferentes entidades deberán pertenecer al nivel directivo de las mismas.
ARTÍCULO 11.1.1.1.2 ACTIVIDADES DEL COMITÉ.
<Artículo modificado por el artículo 2 del Decreto 1954 de 2014. El nuevo texto es el siguiente:> Para el cumplimiento de los objetivos señalados en el artículo 92 de la Ley 795 de 2003, el Comité de Coordinación para el Seguimiento al Sistema Financiero y las entidades que lo conforman realizarán las siguientes actividades:
a) Compartir información relevante sobre riesgos que puedan afectar la estabilidad financiera, así como documentos relacionados, que contribuyan al cumplimiento de los objetivos del Comité;
b) Promover, sin perjuicio de un grado razonable de diversidad, la homogeneidad de la información del sistema financiero, la adopción de sistemas de indicadores y la implementación de señales de alerta, para identificar riesgos a los que está expuesto el sistema financiero;
c) Compartir las propuestas normativas de regulación e instrucción para las instituciones financieras, si la entidad encargada lo considera pertinente;
d) Promover el intercambio de información de las instituciones financieras, entre las entidades que lo conforman, siempre que se requiera para el cumplimiento de los objetivos del Comité y no constituya violación a la obligación de reserva establecida por la ley;
e) Promover mecanismos de resolución y comunicación entre las entidades que integran el Comité, para ser implementados en tiempos de estrés o crisis financiera, los cuales se actualizarán cuando el surgimiento de nuevos eventos o características del sistema así lo requieran;
f) Solicitar a entidades del Estado diferentes a las que son miembros de este Comité, la información que considere necesaria para el cumplimiento de sus objetivos;
g) Solicitar a las entidades miembros del Comité que de manera individual, o de ser necesario a través de grupos de trabajo interinstitucionales, desarrollen estudios o análisis de temas que son de interés para el Comité o que contribuyan al cumplimiento de sus objetivos.
h) Dictar su propio reglamento.
ARTÍCULO 11.1.1.1.3 SECRETARÍA TÉCNICA DEL COMITÉ.
<Artículo modificado por el artículo 3 del Decreto 1954 de 2014. El nuevo texto es el siguiente:> El Secretario Técnico del Comité será el Viceministro Técnico del Ministerio de Hacienda y Crédito Público, quien se encargará de los siguientes asuntos:
a) Elaborar la agenda y las actas de cada reunión del Comité y citar a las reuniones ordinarias y extraordinarias a los representantes de las entidades que lo conforman, y a aquellas personas que el Comité acuerde invitar para que contribuyan al cabal cumplimiento de sus funciones;
b) Suministrar a los miembros del Comité, el orden del día, los documentos y la información que se requiera para el desarrollo de las reuniones;
c) Realizar seguimiento al cumplimiento de las actividades acordadas, y
d) Las demás que le sean asignadas por el Comité.
ARTÍCULO 11.1.1.1.4 PERIODICIDAD DE SUS REUNIONES.
<Fuente original compilada: D. 1044/03 Art. 4o.> El Comité se reunirá de manera ordinaria trimestralmente y en forma extraordinaria a solicitud de cualquiera de sus integrantes.
SUPERINTENDENCIA FINANCIERA DE COLOMBIA.
ASPECTOS GENERALES.
NATURALEZA JURÍDICA.
ARTÍCULO 11.2.1.1.1 NATURALEZA JURÍDICA.
<Fuente original compilada: D. 4327/05 Art. 2o.> La Superintendencia Financiera de Colombia es un organismo técnico adscrito al Ministerio de Hacienda y Crédito Público, con personería jurídica, autonomía administrativa y financiera y patrimonio propio.
ARTÍCULO 11.2.1.1.2 DIRECCIÓN.
<Fuente original compilada: D. 4327/05 Art. 3o.> La dirección de la Superintendencia Financiera de Colombia está a cargo del Superintendente Financiero, quien la ejerce con la colaboración de los superintendentes delegados.
ARTÍCULO 11.2.1.1.3 DOMICILIO.
<Fuente original compilada: D. 4327/05 Art. 4o.> La Superintendencia Financiera de Colombia tiene como domicilio principal la ciudad de Bogotá, y desarrolla sus competencias en el ámbito nacional.
ÓRGANOS AUXILIARES DE CARÁCTER CONSULTIVO.
ARTÍCULO 11.2.1.2.1 ÓRGANOS AUXILIARES DE CARÁCTER CONSULTIVO.
<Artículo modificado por el artículo 1 del Decreto 1848 de 2016. El nuevo texto es el siguiente:> Forma parte de la estructura de la Superintendencia Financiera de Colombia, el Consejo Asesor.
OBJETO Y FUNCIONES GENERALES.
<Fuente original compilada: D. 4327/05 Art. 8o.> El Presidente de la República, de acuerdo con la ley, ejerce a través de la Superintendencia Financiera de Colombia, la inspección, vigilancia y control sobre las personas que realicen actividades financiera, bursátil, aseguradora y cualquier otra relacionada con el manejo, aprovechamiento o inversión de recursos captados del público.
La Superintendencia Financiera de Colombia tiene por objetivo supervisar el sistema financiero colombiano con el fin de preservar su estabilidad, seguridad y confianza, así como promover, organizar y desarrollar el mercado de valores colombiano y la protección de los inversionistas, ahorradores y asegurados.
ARTÍCULO 11.2.1.3.2 FUNCIONES GENERALES.
<Fuente original compilada: D. 4327/05 Art. 9o.> La Superintendencia Financiera de Colombia ejerce las funciones establecidas en el Decreto 2739 de 1991 y demás normas que la modifiquen o adicionen, el Estatuto Orgánico del Sistema Financiero y demás normas que lo modifiquen o adicionen, la Ley 964 de 2005 y demás normas que la modifiquen o adicionen, las demás que señalen las normas vigentes y las que le delegue el Presidente de la República.
ESTRUCTURA Y FUNCIONES.
ARTÍCULO 11.2.1.4.1 ESTRUCTURA DE LA SUPERINTENDENCIA FINANCIERA DE COLOMBIA. <Artículo modificado por el artículo 1 del Decreto 2399 de 2019. El nuevo texto es el siguiente:> La Superintendencia Financiera de Colombia tiene la siguiente estructura:
1. Órgano Auxiliar de Carácter Consultivo
1.1. Consejo Asesor
2. Despacho del Superintendente Financiero
2.1. Oficina Asesora de Planeación
2.2. Oficina de Control Interno
2.3. Oficina de Control Disciplinario
2.4. Dirección Jurídica
2.4.1. Subdirección de Defensa Jurídica
2.4.2. Subdirección de Apelaciones
2.4.3. Subdirección de Doctrina
2.5. Despacho del Superintendente Delegado para el Consumidor Financiero
2.5.1. Dirección de Conductas Uno
2.5.2. Dirección de Conductas Dos
2.5.3. Dirección de Control del Ejercicio Ilegal de la Actividad Financiera
2.6. Despacho del Superintendente Delegado para Funciones Jurisdiccionales
2.7. Dirección de Investigación, Innovación y Desarrollo
2.7.1. Subdirección de Analítica
2.7.2. Subdirección de Investigación y Análisis
2.7.3. Subdirección de Regulación
2.7.4. Subdirección de Metodologías de Supervisión y Gobierno Corporativo
2.8. Despacho del Superintendente Delegado Adjunto para Riesgos
2.8.1. Despacho del Superintendente Delegado para Riesgos de Crédito y de Contraparte
2.8.1.1. Dirección de Riesgo de Crédito y de Contraparte Uno
2.8.1.2. Dirección de Riesgo de Crédito y de Contraparte Dos
2.8.2. Despacho del Superintendente Delegado para Riesgos de Mercado y Liquidez
2.8.2.1. Dirección de Riesgo de Mercado y Liquidez Uno
2.8.2.2. Dirección de Riesgo de Mercado y Liquidez Dos
2.8.3 Despacho del Superintendente Delegado para Riesgo Operacional y Ciberseguridad
2.8.3.1. Dirección de Riesgo Operacional y Ciberseguridad Uno
2.8.3.2. Dirección de Riesgo Operacional y Ciberseguridad Dos
2.8.4. Despacho del Superintendente Delegado para Riesgo de Lavado de Activos y Financiación del Terrorismo
2.8.4.1. Dirección de Riesgo de Lavado de Activos y Financiación del Terrorismo Uno
2.8.4.2. Dirección de Riesgo de Lavado de Activos y Financiación del Terrorismo Dos
2.8.4.3. Dirección Legal de Riesgo de Lavado de Activos y Financiación del Terrorismo
2.9 Despacho del Superintendente Delegado Adjunto para Intermediarios Financieros y Seguros
2.9.1. Despacho del Superintendente Delegado para Seguros
2.9.1.1. Dirección de Seguros Uno
2.9.1.2. Dirección de Seguros Dos
2.9.1.3. Dirección Legal de Seguros
2.9.2. Despacho del Superintendente Delegado para Conglomerados Financieros
2.9.2.1. Dirección de Conglomerados Financieros Uno
2.9.2.2. Dirección de Conglomerados Financieros Dos
2.9.2.3. Dirección de Conglomerados Financieros Tres
2.9.2.4. Dirección Legal de Conglomerados Financieros
2.9.3. Despacho del Superintendente Delegado para Intermediarios Financieros
2.9.3.1. Dirección de Intermediarios Financieros Uno
2.9.3.2. Dirección de Intermediarios Financieros Dos
2.9.3.3. Dirección Legal de Intermediarios Financieros
2.10. Despacho del Superintendente Delegado Adjunto para Mercado de Capitales
2.10.1. Despacho del Superintendente Delegado para Intermediarios de Valores
2.10.1.1. Dirección de Intermediarios de Valores
2.10.1.2. Dirección de Proveedores de Infraestructura
2.10.1.3. Dirección Legal de Intermediarios de Valores
2.10.2. Despacho del Superintendente Delegado para Emisores
2.10.2.1. Dirección de Acceso al Mercado de Valores
2.10.2.2. Dirección de Emisores
2.10.3. Despacho del Superintendente Delegado para Fiduciarias
2.10.3.1. Dirección de Fiduciarias
2.10.3.2. Dirección Legal de Fiduciarias
2.10.4. Despacho del Superintendente Delegado para Pensiones
2.10.4.1. Dirección de Pensiones Uno
2.10.4.2. Dirección de Pensiones Dos
2.11. Secretaría General
2.11.1. Dirección de Tecnologías de la Información
2.11.1.1. Subdirección de Desarrollo Digital
2.11.1.2. Subdirección de Operaciones
2.11.2. Subdirección de Talento Humano
2.11.3. Subdirección Administrativa
2.11.4. Subdirección Financiera
3. Órganos de Coordinación
3.1. Comité de Coordinación del Sistema de Control Interno
3.2. Comisión de Personal
3.3 Comité de Posesiones
ARTÍCULO 11.2.1.4.2 DESPACHO DEL SUPERINTENDENTE FINANCIERO. <Artículo modificado por el artículo 2 del Decreto 2399 de 2019. El nuevo texto es el siguiente:> Son funciones del Despacho del Superintendente Financiero, las siguientes:
1. Liderar la estrategia de la Superintendencia y aprobar los lineamientos que le sean presentados para el cumplimiento de la misma.
2. Aprobar las políticas, metodologías y procedimientos para ejercer la supervisión de las entidades sometidas a la inspección, vigilancia y control; y la supervisión comprensiva y consolidada de los conglomerados financieros.
3. Proponer a las autoridades competentes, la regulación de interés para la Superintendencia y sus entidades vigiladas, así como las políticas y mecanismos que propendan por el desarrollo y el fortalecimiento del mercado de activos financieros y la protección al consumidor financiero.
4. Instruir a las entidades vigiladas y controladas sobre la manera como deben cumplirse las disposiciones que regulan su actividad, fijar los criterios técnicos y jurídicos que faciliten el cumplimiento de tales normas y señalar los procedimientos para su cabal aplicación.
5. Instruir a las entidades vigiladas sobre la manera como deben administrar los riesgos implícitos en sus actividades.
6. Dictar las normas generales que deben observar las entidades supervisadas en su contabilidad sin perjuicio de la autonomía reconocida a estas últimas para escoger y utilizar métodos accesorios.
7. Ejercer las funciones de naturaleza jurisdiccional conferidas por la ley a la entidad.
8. Resolver los recursos de apelación interpuestos contra las sanciones impuestas por los Superintendentes Delegados Adjuntos y los Superintendentes Delegados.
9. Ordenar la consolidación de operaciones y de estados financieros de las entidades vigiladas, con otras entidades sujetas o no a la supervisión de la Superintendencia, con el fin de realizar una supervisión comprensiva y consolidada.
10. Declarar la situación de control o la existencia de grupo empresarial y ordenar de oficio o a solicitud de cualquier interesado, la inscripción de tales situaciones en el registro mercantil, cuando a ello haya lugar.
11. Autorizar, respecto de las entidades vigiladas, su constitución y funcionamiento, las adquisiciones de sus acciones, bonos convertibles en acciones y de los aportes en entidades cooperativas, aprobar su conversión, transformación, escisión, cesión de activos, pasivos y contratos y objetar su fusión y adquisición.
12. Autorizar toda transacción que tenga por objeto o como efecto que una persona o grupo de personas, adquiera la calidad de beneficiario real respecto del diez por ciento (10%) o más de las acciones en circulación de una entidad vigilada, así como el incremento de dicho porcentaje.
13. Suspender o revocar el certificado de autorización de las entidades aseguradoras, en los casos previstos por la ley.
14. Adoptar cualquiera de los institutos de salvamento o la toma de posesión de las entidades vigiladas; revocar la autorización de funcionamiento de una entidad vigilada que conforme un conglomerado financiero; y requerir a los holdings financieros cambios en la estructura del conglomerado financiero, en los términos establecidos en la ley.
15. Autorizar el establecimiento en el país de oficinas de representación de organismos financieros, reaseguradores e instituciones del mercado de valores del exterior, así como el cierre de dichas oficinas.
16. Autorizar las inversiones de capital realizadas por las entidades vigiladas, de manera directa o a través de sus filiales y subsidiarias, en entidades financieras, del mercado de valores, compañías de seguros, de reaseguros y en sucursales y agencias domiciliadas en el exterior, así como el incremento de dichas inversiones que, conforme a la naturaleza y características de la operación, deban ser presentadas al Consejo Asesor.
17. Identificar los conglomerados financieros, su holding y las demás entidades que lo conforman.
18. Decidir respecto de la acreditación de equivalencias de estándares de regulación y supervisión de los holdings financieros del exterior.
19. Designar las dependencias que estarán a cargo de ejercer la supervisión de las entidades vigiladas y la supervisión comprensiva y consolidada de los conglomerados financieros.
20. Autorizar las inversiones de capital realizadas por los holdings financieros, de manera directa o indirecta a través de una entidad no vigilada por la Superintendencia, en entidades financieras, de seguros y del mercado de valores del exterior.
21. Actuar como representante legal de la Entidad.
22. Nombrar, remover y distribuir a los servidores de la Superintendencia, de conformidad con las disposiciones legales.
23. Organizar grupos internos de trabajo, comités, comisiones e instancias de coordinación internas para el mejor desempeño de las funciones de la Entidad.
24. Aprobar el anteproyecto de presupuesto anual de la Superintendencia para su posterior incorporación al proyecto de Presupuesto General de la Nación.
25. Adelantar y resolver en segunda instancia los procesos disciplinarios respecto de aquellas conductas en que incurran los servidores y exservidores de la Superintendencia.
26. Fijar las tarifas de las contribuciones que deban pagar las entidades vigiladas y controladas, de conformidad con la ley.
27. Las demás inherentes a la naturaleza del Despacho y que no correspondan a otras dependencias.
ARTÍCULO 11.2.1.4.3. OFICINA ASESORA DE PLANEACIÓN. <Artículo modificado por el artículo 3 del Decreto 1848 de 2016. El nuevo texto es el siguiente:> Son funciones de la Oficina Asesora de Planeación, las siguientes:
1. Administrar y promover el desarrollo, implementación y sostenibilidad del Sistema Integrado de Planeación y Gestión de la Superintendencia.
2. Asesorar al Superintendente y a las demás dependencias en la formulación, ejecución, seguimiento y evaluación de las políticas, planes, programas y proyectos orientados al cumplimiento de los objetivos institucionales.
3. Definir directrices, metodologías, instrumentos y cronogramas para la formulación, ejecución, seguimiento y evaluación de los planes, programas y proyectos de la Superintendencia.
4. Elaborar, en coordinación con las dependencias de la Superintendencia y con sujeción al Plan Nacional de Desarrollo, el Plan Desarrollo Institucional, los planes estratégicos y de acción, el Plan Operativo Anual y Plurianual de Inversiones.
5. Hacer el seguimiento a la ejecución de la política y al cumplimiento de las metas de los planes, programas y proyectos de la Superintendencia.
6. Presentar al Banco de Proyectos de Inversión Pública del Departamento Nacional de Planeación los proyectos a incluir en el Plan Operativo Anual de Inversiones de la Superintendencia.
7. Preparar, en coordinación con la Secretaría General, y de acuerdo con las directrices que impartan el Ministerio de Hacienda y Crédito Público, Departamento Nacional Planeación y el Superintendente, el anteproyecto presupuesto de inversión, así como la programación presupuestal plurianual de la Superintendencia.
8. Desarrollar y validar los indicadores de gestión, de producto y de impacto de la Superintendencia y hacer seguimiento a través de los sistemas establecidos.
9. Realizar seguimiento a la ejecución presupuestal y viabilizar las modificaciones presupuestales de la Superintendencia en materia de inversión, de conformidad con el Estatuto Orgánico del Presupuesto y las normas que lo reglamentan.
10. Hacer el seguimiento y evaluación a la gestión institucional y sectorial, consolidar el informe de resultados y preparar los informes para las instancias competentes.
11. Liderar la implementación de procesos de evaluación de la Superintendencia que comprenda, entre otros, la evaluación de los procesos, resultados e impacto.
12. Estructurar, conjuntamente con las demás dependencias de la Superintendencia, los informes de gestión y rendición de cuentas a la ciudadanía.
13. Ejercer la Secretaría Técnica del Comité Institucional de Desarrollo Administrativo, de conformidad con las normas que regulan la materia.
14. Diseñar, en coordinación con las dependencias competentes, el Plan Anticorrupción de la Entidad y liderar su implementación.
15. Definir criterios para la realización de estudios organizacionales y planes de mejoramiento continuo.
16. Orientar a las dependencias en la implementación del Sistema de Gestión de Calidad.
17. Participar en los procesos del Sistema de Gestión Integrado de la Superintendencia en los que sea parte.
18. Las demás que se le asignen y que correspondan a la naturaleza de la dependencia.
ARTÍCULO 11.2.1.4.4. OFICINA DE CONTROL INTERNO. <Artículo modificado por el artículo 3 del Decreto 1848 de 2016. El nuevo texto es el siguiente:> Son funciones de la Oficina de Control Interno, las siguientes:
1. Planear, dirigir y organizar la verificación y evaluación del Sistema de Control Interno de la Superintendencia.
2. Verificar que el Sistema de Control Interno esté formalmente establecido en la Superintendencia y que su ejercicio logre ser intrínseco al desarrollo de las funciones de todos los cargos y, en particular, de los que tengan responsabilidad de mando.
3. Constatar que los controles definidos para los procesos y actividades de la Superintendencia se cumplan por parte de los responsables de su ejecución.
4. Verificar que los controles asociados a las actividades de la Superintendencia, estén definidos, sean apropiados y se mejoren permanentemente.
5. Velar por el cumplimiento de las normas, políticas, procedimientos, planes, programas, proyectos y metas de la Superintendencia y recomendar los ajustes necesarios.
6. Servir de apoyo a los servidores de la entidad en el proceso de toma de decisiones para obtener los resultados esperados.
7. Verificar los procesos relacionados con el manejo de los recursos, bienes y sistemas de información de la Superintendencia y recomendar los correctivos a que haya lugar.
8. Fomentar la cultura del autocontrol que contribuya al mejoramiento continuo en el cumplimiento de la misión institucional.
9. Evaluar y verificar la aplicación de los mecanismos de participación ciudadana que adopte la Superintendencia.
10. Mantener permanentemente informados a los directivos acerca del estado del control interno dentro de la Superintendencia, dando cuenta de las debilidades detectadas y de las fallas en su cumplimiento.
11. Publicar un informe del estado del control interno de la Superintendencia en su página web.
12. Asesorar a las dependencias de la Superintendencia en la adopción de acciones de mejoramiento recomendadas por los entes de control.
13. Evaluar la gestión de las dependencias encargadas de recibir, tramitar y resolver las quejas, sugerencias, reclamos y denuncias y rendir al Superintendente un informe semestral.
14. Poner en conocimiento de los organismos competentes, la comisión de hechos presuntamente irregulares que conozca en desarrollo de sus funciones.
15. Actuar como interlocutor de los organismos de control en desarrollo de las auditorías que practiquen en la Entidad, y en la recepción, coordinación, preparación y entrega de la información requerida.
16. Asesorar a las dependencias de la Entidad en la identificación y prevención de los riesgos que puedan afectar el logro de sus objetivos.
17. Desarrollar programas de auditoría y formular las observaciones y recomendaciones pertinentes.
18. Participar en los procesos del Sistema de Gestión Integrado de la Superintendencia en los que sea parte.
19. Las demás que se le asignen y que correspondan a la naturaleza de la dependencia.
ARTÍCULO 11.2.1.4.5. OFICINA DE CONTROL DISCIPLINARIO. <Artículo modificado por el artículo 3 del Decreto 1848 de 2016. El nuevo texto es el siguiente:> Son funciones de la Oficina de Control Disciplinario, las siguientes:
1. Ejercer el control disciplinario y adelantar e instruir los procesos respecto de los servidores y ex servidores de la entidad, conforme al Código Disciplinario Único y demás normas que la modifiquen o adicionen.
2. Adelantar y resolver en primera instancia los procesos disciplinarios respecto de aquellas conductas en que incurran los servidores y ex servidores de la Superintendencia.
3. Coordinar las políticas, planes y programas de prevención y orientación que minimicen la ocurrencia de conductas disciplinables.
4. Llevar los archivos y registros de los procesos disciplinarios adelantados contra los servidores públicos de competencia de la Oficina.
5. Adelantar los procesos disciplinarios bajo los principios legales de economía, celeridad, eficacia, imparcialidad y publicidad, buscando así salvaguardar el derecho a la defensa y el debido proceso.
6. Poner en conocimiento de los organismos competentes, la comisión de hechos presuntamente irregulares de los que se tenga conocimiento dentro del proceso disciplinario.
7. Trasladar oportunamente el expediente al Despacho del Superintendente para el trámite de segunda instancia, cuando se hayan interpuesto los recursos de apelación o de queja.
8. Informar oportunamente a la Oficina de Registro y Control de la Procuraduría General de la Nación, sobre la apertura de la investigación disciplinaria y la imposición de sanciones a los servidores públicos.
9. Rendir informes sobre el estado de los procesos disciplinarios a las autoridades competentes, cuando así lo requieran.
10. Participar en los procesos del Sistema de Gestión Integrado de la Superintendencia en los que sea parte.
11. Las demás que se le asignen y que correspondan a la naturaleza de la dependencia.
ARTÍCULO 11.2.1.4.6. DIRECCIÓN JURÍDICA. <Artículo modificado por el artículo 3 del Decreto 1848 de 2016. El nuevo texto es el siguiente:> Son funciones de la Dirección Jurídica, las siguientes:
1. Dirigir la defensa jurídica de la Superintendencia.
2. Dirigir las labores de cobro persuasivo y coactivo de las sumas que le adeudan a la Superintendencia por todo concepto.
3. Impartir directrices para el trámite de los recursos de apelación y las solicitudes de revocatoria directa de competencia del Superintendente.
4. Impartir la unidad de criterio jurídico en los asuntos de competencia de la Superintendencia.
5. Asesorar y conceptuar en los asuntos jurídicos que no sean de competencia de las Direcciones Legales o instancias legales de la Superintendencia.
6. Dirigir la elaboración de los estudios jurídicos especiales solicitados por las demás dependencias de la Superintendencia para el desarrollo de sus funciones.
7. Designar, en coordinación con las dependencias competentes, los servidores de la Superintendencia que deberán atender las solicitudes efectuadas por las autoridades de la rama Judicial para la elaboración de peritazgos, asesorías, informes técnicos y desarrollo de funciones de policía judicial.
8. Participar en los procesos del Sistema de Gestión Integrado de la Superintendencia en los que sea parte.
9. Las demás que se le asignen y que correspondan a la naturaleza de la dependencia.
ARTÍCULO 11.2.1.4.7. SUBDIRECCIÓN DE DEFENSA JURÍDICA. <Artículo modificado por el artículo 3 del Decreto 1848 de 2016. El nuevo texto es el siguiente:> Son funciones de la Subdirección de Defensa Jurídica, las siguientes:
1. Representar judicial y extrajudicialmente a la Superintendencia en los procesos judiciales y procedimientos administrativos en los cuales sea parte, previo otorgamiento de poder o delegación del servidor competente.
2. Proponer estrategias de prevención del daño antijurídico y participar en la definición de riesgos jurídicos de la Superintendencia.
3. Atender y controlar el trámite de los procesos judiciales en los que sea parte o tenga interés la Superintendencia y presentar los informes al Director Jurídico sobre el desarrollo de los mismos.
4. Llevar a cabo las actuaciones encaminadas a lograr el cobro efectivo de las sumas que le adeudan a la Superintendencia por todo concepto, desarrollando las labores de cobro persuasivo, y adelantando los procesos ejecutivos por jurisdicción coactiva.
5. Participar en los procesos del Sistema de Gestión Integrado de la Superintendencia en los que sea parte.
6. Las demás que se le asignen y que correspondan a la naturaleza de la dependencia.
ARTÍCULO 11.2.1.4.8. SUBDIRECCIÓN DE APELACIONES. <Artículo modificado por el artículo 3 del Decreto 1848 de 2016. El nuevo texto es el siguiente:> Son funciones de la Subdirección de Apelaciones, las siguientes:
1. Proyectar las providencias mediante las cuales se tramitan y deciden los recursos de apelación interpuestos contra las sanciones impuestas por los Superintendentes Delegados y los Superintendentes Delegados Adjuntos y contra las decisiones de la Oficina de Control Disciplinario que deba resolver el Superintendente, e impulsar las respectivas actuaciones.
2. Proyectar los actos administrativos por medio de los cuales se resuelvan los recursos de reposición interpuestos contra los actos que fijen las contribuciones a las personas o entidades supervisadas.
3. Proyectar para la firma del Superintendente las providencias mediante las cuales se tramitan y deciden los recursos de queja.
4. Proyectar las providencias mediante las cuales se tramitan y deciden las solicitudes de revocatoria directa que deba resolver el Superintendente.
5. Participar en los procesos del Sistema de Gestión Integrado de la Superintendencia en los que sea parte.
6. Las demás que se le asignen y que correspondan a la naturaleza de la dependencia.
ARTÍCULO 11.2.1.4.9. SUBDIRECCIÓN DE DOCTRINA. <Artículo modificado por el artículo 3 del Decreto 1848 de 2016. El nuevo texto es el siguiente:> Son funciones de la Subdirección de Doctrina, las siguientes:
1. Atender los derechos de petición de carácter general, relacionados con las entidades supervisadas y los de carácter general que presenten los particulares.
2. Adelantar los estudios necesarios para que el Director Jurídico adopte la posición jurídica de la Superintendencia.
3. Verificar el cumplimiento de las directrices impartidas por el Director Jurídico para garantizar la unidad de criterio en la Superintendencia.
4. Elaborar los estudios jurídicos especiales solicitados por el Director Jurídico.
5. Absolver las consultas internas de orden administrativo relacionadas con el funcionamiento de la Superintendencia.
6. Recopilar las disposiciones normativas, la jurisprudencia y la doctrina relacionadas con los asuntos de competencia de la entidad.
7. Participar en los procesos del Sistema de Gestión Integrado de la Superintendencia en los que sea parte.
8. Las demás que se le asignen y que correspondan a la naturaleza de la dependencia.
ARTÍCULO 11.2.1.4.10. DESPACHO DEL SUPERINTENDENTE DELEGADO PARA EL CONSUMIDOR FINANCIERO. <Artículo modificado por el artículo 3 del Decreto 2399 de 2019. El nuevo texto es el siguiente:> Son funciones del Despacho del Superintendente Delegado para el Consumidor Financiero, las siguientes:
1. Dirigir la supervisión de las entidades vigiladas con el objeto de identificar conductas que atenten contra el consumidor financiero y/o la integridad y transparencia de los mercados.
2. Dirigir la supervisión de las entidades vigiladas respecto del cumplimiento del Régimen de Protección al Consumidor Financiero y las obligaciones legales en materia de Habeas Data.
3. Dirigir el trámite de las reclamaciones o quejas que se presenten contra las entidades vigiladas por parte de los consumidores financieros ante la Superintendencia Financiera.
4. Dirigir la supervisión de los mecanismos para la atención y resolución de las reclamaciones y quejas por parte de las entidades vigiladas, conforme a los criterios definidos por la Superintendencia.
5. Proponer al Superintendente políticas y programas de educación financiera y dirigir su implementación.
6. Aprobar y dirigir el seguimiento de los programas publicitarios de las entidades vigiladas conforme a las normas vigentes.
7. Ordenar y dirigir la práctica de visitas con el fin de obtener conocimiento sobre los asuntos de su competencia.
8. Ordenar, dentro del ámbito de su competencia, las investigaciones administrativas, la práctica de pruebas, los traslados a los interesados y adoptar las decisiones y medidas que resulten necesarias.
9. Ejecutar la facultad sancionatoria de la Superintendencia, dentro del ámbito de su competencia.
10. Desplegar las medidas a su alcance para prevenir el ejercicio ilegal de la actividad financiera, aseguradora y del mercado de valores.
11. Adoptar las medidas cautelares y ejecutar las medidas de intervención administrativa previstas por las normas vigentes, para los casos de ejercicio ilegal de actividades propias de las entidades supervisadas.
12. Coordinar las medidas de intervención administrativa y las medidas cautelares que se profieran en las investigaciones relacionadas con el desarrollo de actividades, negocios y operaciones propias de las entidades supervisadas, sin la debida autorización estatal.
13. Emitir los conceptos o dictámenes solicitados por la Fiscalía General de la Nación o las autoridades judiciales o administrativas, dentro del ámbito de su competencia.
14. Proponer al Superintendente Delegado Adjunto correspondiente a título de sanción la suspensión o cancelación de la inscripción en cualquiera de los registros que conforman el Sistema Integral de Información del Mercado de Valores (SIMEV).
15. Adoptar, dentro del ámbito de su competencia, las medidas previstas en los literales c) y d) del artículo 6o de la Ley 964 de 2005 o las normas que la modifiquen, adicionen o sustituyan.
16. Informar sus decisiones con la debida oportunidad a las demás dependencias con interés en los asuntos objeto de pronunciamiento y en especial el inicio de actuaciones administrativas sancionatorias y las decisiones finales adoptadas en las mismas.
17. Atender y resolver, dentro del ámbito de su competencia los derechos de petición, conservando la unidad de criterio de la Superintendencia.
18. Participar en los procesos del Sistema de Gestión Integrado de la Superintendencia, en los que sea parte.
19. Las demás que se le asignen y que correspondan a la naturaleza de la dependencia.
ARTÍCULO 11.2.1.4.11. FUNCIONES COMUNES DE LAS DIRECCIONES DE CONDUCTAS. <Artículo modificado por el artículo 4 del Decreto 2399 de 2019. El nuevo texto es el siguiente:> Son funciones comunes de la Dirección de Conductas Uno y de la Dirección de Conductas Dos, respecto de las entidades a su cargo, las siguientes:
1. Ejecutar la supervisión de las entidades vigiladas con el objeto de identificar conductas que atenten contra el consumidor financiero y/o la integridad y transparencia de los mercados.
2. Ejecutar la supervisión de las entidades vigiladas respecto del cumplimiento del Régimen de Protección al Consumidor Financiero y las obligaciones legales en materia de Rabeas Data.
3. Tramitar las reclamaciones o quejas que se presenten contra las entidades vigiladas por parte de los consumidores financieros ante la Superintendencia Financiera.
4. Supervisar los mecanismos para la atención y resolución de las reclamaciones y quejas por parte de las entidades vigiladas, conforme a los criterios definidos por la Superintendencia.
5. Proponer al Superintendente Delegado la autorización de las campañas publicitarias de las entidades vigiladas por la Superintendencia, cuando ello sea necesario conforme a la normatividad vigente; y hacer seguimiento a dichas campañas publicitarias con el propósito de tutelar los derechos de los consumidores financieros.
6. Practicar visitas con el fin de obtener un conocimiento sobre los asuntos de su competencia, adelantar averiguaciones y obtener la información probatoria que requiera de personas, instituciones o empresas, incluyendo aquellas ajenas al sector financiero.
7. Dirigir y coordinar la elaboración de los informes de visita y proponer al Superintendente Delegado la adopción de las medidas a que haya lugar.
8. Adelantar las investigaciones administrativas, dentro del ámbito de su competencia, y proponer al Superintendente Delegado los actos administrativos a que haya lugar.
9. Dar trámite, dentro del ámbito de su competencia, a aquellos asuntos en relación con las conductas de quienes actúen en los mercados en los que participan las entidades vigiladas por la Superintendencia, que requieran concepto, pronunciamiento o decisión del Superintendente Delegado.
10. Interrogar bajo juramento para los fines propios de sus competencias, a cualquier persona, para lo cual podrá exigir su comparecencia, haciendo uso de las medidas coercitivas previstas en la normatividad vigente.
11. Proponer al Superintendente Delegado, dentro del ámbito de su competencia, la adopción de cualquiera de las medidas previstas en los literales c) y d) del artículo 6o de la Ley 964 de 2005 o las normas que la modifiquen, adicionen o sustituyan.
12. Ejercer, dentro del ámbito de su competencia, las funciones de policía judicial, en los términos previstos por la ley y bajo la dirección funcional del Fiscal General de la Nación.
13. Proyectar los conceptos o dictámenes solicitados por la Fiscalía General de la Nación o las autoridades judiciales o administrativas, dentro del ámbito de su competencia.
14. Atender y resolver, dentro del ámbito de su competencia los derechos de petición y consultas en materia de protección al consumidor financiero, conservando la unidad de criterio de la Superintendencia.
15. Proponer y proyectar los actos administrativos que se requieran para el cumplimiento de las funciones de la Delegatura y asesorar al Superintendente Delegado en los temas de su competencia.
16. Proyectar las decisiones mediante las cuales se resuelven los recursos de reposición y las solicitudes de revocatoria directa presentados contra los actos del Superintendente Delegado.
17. Participar en los procesos del Sistema de Gestión Integrado de la Superintendencia en los que sea parte.
18. Las demás que se le asignen y que correspondan a la naturaleza de la dependencia.
ARTÍCULO 11.2.1.4.12. DIRECCIÓN DE PROTECCIÓN AL CONSUMIDOR FINANCIERO. <Artículo derogado por el artículo 38 del Decreto 2399 de 2019>
ARTÍCULO 11.2.1.4.13. DIRECCIÓN DE CONTROL DEL EJERCICIO ILEGAL DE LA ACTIVIDAD FINANCIERA. <Denominación modificada por el artículo 5 del Decreto 2399 de 2019>
<Artículo modificado por el artículo 3 del Decreto 1848 de 2016. El nuevo texto es el siguiente:>
<Inciso modificado por el artículo 5 del Decreto 2399 de 2019. El nuevo texto es el siguiente:> Son funciones de la Dirección de Control del Ejercicio Ilegal de la Actividad Financiera, las siguientes:
1. <Numeral modificado por el artículo 5 del Decreto 2399 de 2019. El nuevo texto es el siguiente:> Practicar visitas de inspección y solicitar la información que se requiera mediante el uso de los medios probatorios establecidos por la ley, para establecer el desarrollo de actividades, negocios y operaciones propias de las entidades supervisadas sin la debida autorización estatal, que ejerzan personas o grupos de personas, naturales o jurídicas, nacionales o extranjeras directamente o a través de cualquier esquema. Dirigir y coordinar la elaboración de los informes de visita y proponer al Superintendente Delegado, la adopción de las medidas, incluidas las cautelares previstas por las normas vigentes, para los casos de ejercicio ilegal de actividades propias de las entidades supervisadas.
2. Proponer al Superintendente Delegado, la adopción de medidas de protección a los inversionistas en los casos de realización de ofertas públicas sin la debida autorización estatal, por parte de personas naturales o jurídicas distintas de aquellas que tengan la calidad de emisores de valores inscritos en el RNVE o cualquier registro autorizado por la Superintendencia.
3. Interrogar bajo juramento para los fines propios de sus competencias, a cualquier persona, para lo cual podrá exigir su comparecencia, haciendo uso de las medidas coercitivas previstas en la normatividad vigente.
4. Proyectar para firma del Superintendente Delegado, las decisiones mediante las cuales se adoptan o ejecutan las medidas de intervención administrativa y las medidas cautelares que se profieran en las investigaciones relacionadas con el desarrollo de actividades, negocios y operaciones propias de las entidades supervisadas, sin la debida autorización estatal.
5. Proyectar los conceptos o dictámenes solicitados por la Fiscalía General de la Nación o las autoridades judiciales o administrativas, dentro del ámbito de su competencia.
6. Proponer al Superintendente y/o al Superintendente Delegado para Protección al Consumidor Financiero y Transparencia estrategias para fortalecer el control de actividades, negocios y operaciones propias de las entidades supervisadas que sean desarrolladas sin la debida autorización estatal.
7. Proyectar las decisiones mediante las cuales se resuelven los recursos de reposición y las solicitudes de revocatoria directa presentados contra los actos de la Delegatura para Protección al Consumidor Financiero y Transparencia, relacionados con el desarrollo de actividades, negocios y operaciones propias de las entidades supervisadas, sin la debida autorización estatal.
8. Ejercer las funciones de policía judicial, en los términos previstos por la ley y bajo la dirección funcional del Fiscal General de la Nación.
9. Atender y resolver, dentro del ámbito de su competencia los derechos de petición, conservando la unidad de criterio de la Superintendencia.
10. Proyectar el auto de formulación de cargos a cualquier persona para la imposición de sanciones administrativas, en los casos de renuencia a la entrega de información, obstrucción e impedimento del desarrollo de las actuaciones dirigidas a establecer el ejercicio ilegal de la actividad financiera.
11. Participar en los procesos del Sistema de Gestión Integrado de la Superintendencia en los que sea parte.
12. Las demás que se le asignen y que correspondan a la naturaleza de la dependencia
ARTÍCULO 11.2.1.4.14. DESPACHO DEL SUPERINTENDENTE DELEGADO PARA FUNCIONES JURISDICCIONALES. <Artículo modificado por el artículo 3 del Decreto 1848 de 2016. El nuevo texto es el siguiente:> Son funciones del Superintendente Delegado para Funciones Jurisdiccionales, las siguientes:
1. Dirigir, coordinar y controlar las funciones jurisdiccionales asignadas por la ley a la Superintendencia, e implementar los mecanismos necesarios para su ejercicio.
2. Adelantar, instruir y fallar en primera o única instancia los procesos de su competencia, de acuerdo con las normas que la rigen; adelantar las acciones para el cumplimiento de las providencias e imponer las sanciones legales por su incumplimiento.
3. Adoptar las políticas y procedimientos relacionados con su dependencia, e informar al Superintendente de su ejecución.
4. Proponer al Superintendente la celebración de convenios interadministrativos y acuerdos de cooperación interinstitucional, para la realización de actuaciones, práctica de pruebas y apoyo logístico dentro de los procesos a su cargo.
5. Dirigir y asignar las funciones de la Delegatura para Funciones Jurisdiccionales, en los servidores asignados a su Despacho.
6. Dirigir y controlar la generación de las estadísticas y presentar los informes que le sean requeridos por las autoridades competentes.
7. Participar en los procesos del Sistema de Gestión Integrado de la Superintendencia en los que sea parte.
8. Las demás que se le asignen y que correspondan a la naturaleza de la dependencia.
PARÁGRAFO. En el cumplimiento de las funciones asignadas, el Superintendente Delegado para Funciones Jurisdiccionales mantendrá en todo momento la independencia tanto de las entidades vigiladas como de las diferentes dependencias de inspección, vigilancia y control de la Superintendencia, y contará con las facultades y atribuciones que confiere la ley a los jueces, entre ellas la de delegar la realización de actuaciones a su cargo.
ARTÍCULO 11.2.1.4.14.1. DESPACHO DEL SUPERINTENDENTE DELEGADO PARA FUNCIONES JURISDICCIONALES. <Artículo eliminado por el artículo 3 del Decreto 1848 de 2016. El nuevo texto es el siguiente:>
ARTÍCULO 11.2.1.4.15. DIRECCIÓN DE INVESTIGACIÓN, INNOVACIÓN Y DESARROLLO. <Artículo modificado por el artículo 6 del Decreto 2399 de 2019. El nuevo texto es el siguiente:> Son funciones de la Dirección de Investigación, Innovación y Desarrollo, las siguientes:
1. Proponer al Superintendente los lineamientos estratégicos respecto de innovación; gobierno de los datos; estándares prudenciales y de gestión de riesgos; y prácticas de supervisión para el desarrollo de la industria.
2. Coordinar el desarrollo de soluciones normativas, metodologías de supervisión, análisis y estudios de interés para la industria y la Superintendencia.
3. Proponer al Superintendente para su aprobación las políticas y metodologías para ejercer la supervisión de las entidades vigiladas.
4. Coordinar el desarrollo de investigaciones, estudios, indicadores y reportes sobre aspectos económicos y financieros, análisis de riesgos y estándares internacionales aplicables a las industrias supervisadas, identificando retos y necesidades de cada sector.
5. Coordinar el desarrollo de productos de analítica para la Superintendencia y el suministro de información de interés al mercado y a los consumidores financieros.
6. Proponer al Superintendente para su aprobación, las políticas de gobernabilidad de los datos en la Superintendencia.
7. Proponer y presentar para aprobación del Superintendente los proyectos de normatividad aplicables a las entidades supervisadas y a los conglomerados financieros.
8. Proponer al Superintendente la regulación de interés para la Superintendencia y sus entidades vigiladas, con el fin de presentar a consideración de las autoridades competentes y coordinar su seguimiento cuando a ello hay lugar.
9. Coordinar las actividades tendientes a promover la innovación financiera y tecnológica.
10. Coordinar las actividades de relacionamiento interinstitucional de la Superintendencia con entidades nacionales, del exterior y Congreso de la República, relacionadas con las funciones a cargo de la dependencia, y proponer políticas en la materia, en conjunto con las demás dependencias de la Entidad.
11. Expedir las certificaciones de índole financiero o económico de competencia de la Superintendencia.
12. Participar en los procesos del Sistema de Gestión Integrado de la Superintendencia en los que sea parte.
13. Las demás que se le asignen y que correspondan a la naturaleza de la dependencia.
ARTÍCULO 11.2.1.4.16. SUBDIRECCIÓN DE ANALÍTICA. <Artículo modificado por el artículo 7 del Decreto 2399 de 2019. El nuevo texto es el siguiente:> Son funciones de la Subdirección de Analítica, las siguientes:
1. Diseñar los lineamientos estratégicos respecto de estándares y mejores prácticas en materia de analítica y gobierno de los datos para la Superintendencia, en coordinación con las dependencias correspondientes.
2. Diseñar las políticas de gobernabilidad de datos de la Superintendencia.
3. Formular controles de estructura para validar la consistencia y homogeneidad de la información de las entidades supervisadas, recibida o capturada por la Superintendencia.
4. Diseñar los productos de analítica de interés trasversal para las dependencias de la Superintendencia y definir los parámetros generales para el desarrollo de los mismos en las áreas misionales.
5. Producir y procesar información para la elaboración de las certificaciones de índole financiero o económico que deba expedir la Superintendencia.
6. Diseñar las estructuras de captura de información que deben atender las entidades supervisadas por la Superintendencia, en coordinación con las dependencias correspondientes.
7. Diseñar los reportes estadísticos de interés para los clientes externos de la Superintendencia.
8. Participar en los procesos del Sistema de Gestión Integrado de la Superintendencia en los que sea parte.
9. Las demás que se le asignen y que correspondan a la naturaleza de la dependencia.
ARTÍCULO 11.2.1.4.17. SUBDIRECCIÓN DE INVESTIGACIÓN Y ANÁLISIS. <Artículo modificado por el artículo 8 del Decreto 2399 de 2019. El nuevo texto es el siguiente:> Son funciones de la Subdirección de Investigación y Análisis, las siguientes:
1. Adelantar estudios, investigaciones, publicaciones de carácter periódico y demás documentos sobre aspectos económicos y financieros relacionados con las industrias supervisadas y los conglomerados financieros.
2. Diseñar los lineamientos estratégicos respecto de estándares y mejores prácticas en temas prudenciales, gestión de riesgos, desarrollo de mercado y demás de interés de la Superintendencia, en línea con los avances internacionales y las necesidades locales.
3. Diseñar periódicamente los ejercicios de pruebas de resistencia sobre la exposición agregada de las entidades supervisadas frente a los principales riesgos que enfrentan.
4. Evaluar el impacto económico de la regulación vigente y de los nuevos proyectos normativos y demás soluciones en coordinación con las dependencias correspondientes.
5. Diseñar y elaborar los reportes de riesgos macroeconómicos y/o de riesgos específicos a los cuales se encuentran expuestas las entidades vigiladas por la Superintendencia y los conglomerados financieros, para apoyar o procesos de supervisión.
6. Actualizar, según corresponda, los parámetros prudenciales y/o de gestión de riesgos que aplican las entidades vigiladas por la Superintendencia y los conglomerados financieros.
7. Participar en los procesos del Sistema de Gestión Integrado de la Superintendencia en los que sea parte.
8. Las demás que se le asignen y que correspondan a la naturaleza de la dependencia.
ARTÍCULO 11.2.1.4.18. SUBDIRECCIÓN DE REGULACIÓN. <Artículo modificado por el artículo 9 del Decreto 2399 de 2019. El nuevo texto es el siguiente:> Son funciones de la Subdirección de Regulación, las siguientes:
1. Elaborar los proyectos de normas de interés de la Superintendencia, así como los documentos que los justifiquen; y rendir concepto previo sobre su legalidad o constitucionalidad, atendiendo la unidad de criterio fijada por la Dirección Jurídica.
2. Coordinar la evaluación del impacto de las normas, políticas o directrices impartidas por el Ministerio de Hacienda y Crédito Público, la Unidad de Proyección Normativa y Estudios de Regulación Financiera, el Banco de la República u otras autoridades relacionadas con las competencias de la Superintendencia.
3. Apoyar los estudios de impacto de la Subdirección de Investigación y Análisis ante eventuales modificaciones de los parámetros prudenciales para la medición y cobertura de riesgos.
4. Realizar seguimiento a la actividad regulatoria en asuntos de interés de la Superintendencia y apoyar las actividades de relacionamiento institucional con el Congreso de la República.
5. Participar en los procesos del Sistema de Gestión Integrado de la Superintendencia en los que sea parte.
6. Las demás que se le asignen y que correspondan a la naturaleza de la dependencia.
ARTÍCULO 11.2.1.4.19. SUBDIRECCIÓN DE METODOLOGÍAS DE SUPERVISIÓN Y GOBIERNO CORPORATIVO. <Artículo modificado por el artículo 10 del Decreto 2399 de 2019. El nuevo texto es el siguiente:> Son funciones de la Subdirección de Metodologías de Supervisión y Gobierno Corporativo, las siguientes:
1. Diseñar los lineamientos estratégicos respecto de estándares y mejores prácticas en materia de supervisión, en línea con los desarrollos internacionales y las necesidades locales
2. Diseñar y promover la implementación de políticas, mecanismos y metodologías para la supervisión de las entidades supervisadas por la Superintendencia y los conglomerados financieros.
3. Diseñar y actualizar la estructura y características del marco metodológico para el ejercicio de la supervisión basada en riesgos.
4. Diseñar e implementar, en coordinación con las dependencias correspondientes, la documentación necesaria para el desarrollo del marco metodológico de supervisión.
5. Proponer mejores prácticas en materia de Gobierno Corporativo para las entidades supervisadas y los conglomerados financieros.
6. Participar en los procesos del Sistema de Gestión Integrado de la Superintendencia en los que sea parte.
7. Las demás que se le asignen y que correspondan a la naturaleza de la dependencia.
ARTÍCULO 11.2.1.4.20. DESPACHO DEL SUPERINTENDENTE DELEGADO ADJUNTO PARA RIESGOS. <Artículo modificado por el artículo 11 del Decreto 2399 de 2019. El nuevo texto es el siguiente:> Son funciones del Despacho del Superintendente Delegado Adjunto para Riesgos, las siguientes:
1. Dirigir la supervisión de las entidades vigiladas respecto de la gestión de riesgos de su competencia, a nivel individual y consolidado.
2. Dirigir la supervisión de las entidades vigiladas respecto de la adopción de mecanismos para la administración y control de los riesgos a los que se encuentran expuestas en el desarrollo de sus actividades.
3. Dirigir la supervisión de las entidades vigiladas respecto del riesgo de lavado de activos y financiación del terrorismo inherente a las operaciones financieras conforme a las políticas, procedimientos y metodologías establecidos por el Superintendente.
4. Dirigir la participación de las delegaturas a su cargo en los procesos de supervisión de los holdings financieros, en la supervisión comprensiva y consolidada de los conglomerados financieros y en la construcción de su perfil de riesgos, en coordinación con las dependencias competentes.
5. Cumplir e impartir directrices para el cumplimiento de las políticas, procedimientos y metodologías establecidas por el Superintendente en materia de supervisión, respecto de los riesgos que le sean asignados a las Delegaturas a su cargo en el presente decreto o por el Superintendente.
6. Promover la unidad de criterio de los resultados de los procesos de supervisión en los que participan las Delegaturas a su cargo.
7. Coordinar y dirigir la participación de las Delegaturas a su cargo en los planes de supervisión aprobados por el Superintendente.
8. Coordinar el soporte técnico a las Delegaturas correspondientes, con el fin de apoyarla adopción de medidas a las que haya lugar en el marco de las facultades asignadas a estas.
9. Resolver, en coordinación con los Superintendentes Delegados Adjuntos, las controversias suscitadas entre los Superintendentes Delegados por la adopción de decisiones, en especial aquellas relacionadas con la estabilidad de las entidades supervisadas y los conglomerados financieros.
10. Apoyar el ejercicio de la facultad de declarar prácticas inseguras por parte de las Delegaturas Institucionales a través de la coordinación de las Delegaturas a su cargo.
11. Participar en los procesos del Sistema de Gestión Integrado de la Superintendencia en los que sea parte.
12. Las demás que se le asignen y que correspondan a la naturaleza de la dependencia.
PARÁGRAFO. Para efectos de lo establecido en el presente decreto se entenderán por Delegaturas Institucionales, aquellas Delegaturas adscritas a la Delegatura Adjunta para Intermediarios Financieros y Seguros o a la Delegatura Adjunta para Mercado de Capitales.
ARTÍCULO 11.2.1.4.21. FUNCIONES COMUNES DE LOS SUPERINTENDENTES DELEGADOS PARA SUPERVISIÓN POR RIESGOS. <Artículo modificado por el artículo 12 del Decreto 2399 de 2019. El nuevo texto es el siguiente:> Son funciones comunes del Despacho del Superintendente Delegado para Riesgo de Crédito y de Contraparte, del Superintendente Delegado para Riesgos de Mercado y Liquidez, del Superintendente Delegado para Riesgo Operacional y Ciberseguridad y del Superintendente Delegado para Riesgo de Lavado de Activos y Financiación del Terrorismo, respecto de los riesgos a su cargo, las siguientes:
1. Dar cumplimiento a las políticas, procedimientos y metodologías establecidos por el Superintendente, en materia de supervisión respecto de los riesgos cuya supervisión les corresponde ejecutar a nivel individual y consolidado.
2. Coordinar y dirigir la participación de las Direcciones a su cargo en los planes de supervisión aprobados por el Superintendente, en relación con los riesgos asignados a su Delegatura.
3. Coordinar y evaluar la gestión de las dependencias a su cargo respecto al seguimiento de los niveles de exposición de las entidades vigiladas a los riesgos de su competencia.
4. Dirigir el análisis de las tendencias emergentes y nuevas prácticas respecto de los riesgos a su cargo.
5. Participar en la práctica de visitas con el fin de obtener un conocimiento sobre los asuntos de su competencia, en coordinación con las Delegaturas Institucionales.
6. Promover la unidad de criterio de los resultados de los procesos de supervisión en los que participan las Direcciones a su cargo.
7. Suministrar el soporte técnico a las Delegaturas Institucionales, con el fin de apoyar la adopción de medidas a las que haya lugar en el marco de las facultades asignadas a estas.
8. Coordinar la participación de las dependencias a su cargo en el desarrollo y administración de productos de analítica de uso específico y dar cumplimiento a la política de gobernabilidad de datos de la Superintendencia.
9. Atender y resolver, dentro del ámbito de su competencia los derechos de petición que se presenten, conservando la unidad de criterio de la Superintendencia.
10. Emitir concepto técnico previo a las Delegaturas que lo requieran, respecto de los temas de su competencia.
11. Participaren los procesos de supervisión de los holdings financieros, en la supervisión comprensiva y consolidada de los conglomerados financieros y en la construcción de su perfil de riesgos, en coordinación con las dependencias competentes.
ARTÍCULO 11.2.1.4.22. FUNCIONES COMUNES DE LAS DIRECCIONES DE RIESGOS. <Artículo modificado por el artículo 3 del Decreto 1848 de 2016. El nuevo texto es el siguiente:> Son funciones comunes de las Direcciones de Riesgo de Crédito y de Contraparte Uno y Dos, de las Direcciones de Riesgo de Mercado y Liquidez Uno y Dos, de las Direcciones de Riesgos Operativos Uno y Dos y de la Dirección de Prevención y Control de Lavado de Activos y Financiación del Terrorismo, respecto de los riesgos a su cargo, las siguientes:
1. Efectuar el seguimiento a los resultados de las evaluaciones de los riesgos.
2. Promover la unidad de criterio de los resultados de los procesos de supervisión en los que participa.
3. Realizar las labores tendientes a identificar las situaciones de concentración de los riesgos de su competencia a las que estén expuestas las entidades supervisadas, a nivel individual y consolidado.
4. Atender y resolver, dentro del ámbito de su competencia los derechos de petición.
5. Ejercer las funciones de policía judicial, en los términos previstos por la ley y bajo la dirección funcional del Fiscal General de la Nación.
6. Ejecutar las demás funciones que le correspondan a la Superintendencia en relación con los riesgos que le han sido asignados, que corresponda cumplir al Superintendente Delegado.
7. <Numeral adicionado por el artículo 13 del Decreto 2399 de 2019. El nuevo texto es el siguiente:> Ejecutar los procesos y planes de supervisión aprobados por el Superintendente en relación con los riesgos asignados a su Dirección, así como los procesos de supervisión de los holdings financieros, la supervisión comprensiva y consolidada de los conglomerados financieros y la construcción de su perfil de riesgos, en coordinación con las dependencias competentes.
ARTÍCULO 11.2.1.4.23. DESPACHO DEL SUPERINTENDENTE DELEGADO PARA RIESGO DE CRÉDITO Y DE CONTRAPARTE. <Artículo modificado por el artículo 3 del Decreto 1848 de 2016. El nuevo texto es el siguiente:> Además de las funciones comunes previstas en el artículo 11.2.1.4.21 del presente decreto, respecto de los riesgos de crédito y de contraparte, son funciones del Superintendente Delegado para Riesgo de Crédito y de Contraparte las siguientes:
1. Dirigir el seguimiento de los niveles de exposición a los riesgos de crédito y contraparte, así como evaluar la gestión que de los mismos realizan las entidades vigiladas, a nivel individual y consolidado, cuando corresponda.
2. Supervisar que las entidades vigiladas cumplan las normas sobre límites de cupos de crédito.
3. Supervisar que las entidades vigiladas cuenten con sistemas y procesos adecuados para clasificar, valorar y contabilizar la cartera de créditos y las titularizaciones.
4. Identificar las situaciones de concentración de riesgo de crédito o de riesgo de contraparte, a las que estén expuestas las entidades supervisadas, a nivel individual y consolidado.
5. Proveer el soporte técnico a la Delegatura para Supervisión de Riesgo de Mercado y Liquidez, respecto de la valoración del riesgo de crédito o contraparte de los instrumentos financieros, en los casos que corresponda.
6. Realizar la liquidación de los créditos de vivienda individual a largo plazo cuando exista controversia sobre las liquidaciones de los mismos y sea solicitado previamente a la Superintendencia, así como emitir concepto en el que se determine si las reliquidaciones de los créditos fueron realizadas correctamente por los establecimientos de crédito, y efectuar la reliquidación cuando haya lugar, todo atendiendo lo dispuesto en la Ley 1564 de 2012.
7. Participar en los procesos del Sistema de Gestión Integrado de la Superintendencia en los que sea parte.
8. Las demás que se le asignen y que correspondan a la naturaleza de la dependencia.
ARTÍCULO 11.2.1.4.24 DIRECCIONES DE RIESGO DE CRÉDITO Y DE CONTRAPARTE UNO Y DOS. <Artículo modificado por el artículo 3 del Decreto 1848 de 2016. El nuevo texto es el siguiente:> Además de las funciones comunes previstas en el artículo 11.2.1.4.22 del presente decreto, respecto de los riesgos de crédito y de contraparte, son funciones de las Direcciones de Riesgo de Crédito y de Contraparte Uno y Dos, las siguientes:
1. Ejecutar la supervisión de los riesgos de crédito y de contraparte, de acuerdo con las políticas, metodologías y procedimientos aprobados por el Superintendente.
2. Realizar el seguimiento, monitoreo y evaluación de los riesgos de crédito y de contraparte.
3. Participar en la práctica de visitas con el fin de obtener un conocimiento sobre los asuntos de su competencia, en coordinación con las Delegaturas Institucionales.
4. Verificar que las entidades vigiladas cumplan las normas sobre límites de cupos de crédito.
5. Verificar que las entidades vigiladas cuenten con sistemas y procesos adecuados para clasificar, valorar y contabilizar la cartera de créditos y las titularizaciones.
6. Participar en los procesos del Sistema de Gestión Integrado de la Superintendencia en los que sea parte.
7. Las demás que se le asignen y que correspondan a la naturaleza de la dependencia.
ARTÍCULO 11.2.1.4.25. DESPACHO DEL SUPERINTENDENTE DELEGADO PARA RIESGO DE MERCADO Y LIQUIDEZ. <Denominación modificada por el artículo 36 del Decreto 2399 de 2019>
<Artículo modificado por el artículo 3 del Decreto 1848 de 2016. El nuevo texto es el siguiente:> Además de las funciones comunes previstas en el artículo 11.2.1.4.21 del presente decreto, respecto de los riesgos de mercado y liquidez, son funciones del Superintendente Delegado para Supervisión de Riesgos de Mercado y Liquidez, las siguientes:
1. Dirigir el seguimiento de los niveles de exposición a los riesgos de mercado y de liquidez, así como evaluar la gestión que de los mismos realizan las entidades vigiladas, a nivel individual y consolidado, cuando corresponda.
2. Supervisar que los administradores de fondos de inversión colectiva, portafolios de inversiones y portafolios de terceros, cuenten con sistemas y procesos adecuados para clasificar, valorar y contabilizar las inversiones que hacen parte de los mismos, dando cumplimiento a las normas aplicables, para lo cual podrán solicitar el insumo técnico a la Delegatura para Supervisión de Riesgo de Crédito y Contraparte respecto de la valoración del riesgo de crédito/contraparte.
3. Identificar las situaciones de concentración de riesgo de mercado y de riesgo de liquidez, a las que estén expuestas las entidades supervisadas, a nivel individual y consolidado.
4. Participar en los procesos del Sistema de Gestión Integrado de la Superintendencia en los que sea parte.
5. Las demás que se le asignen y que correspondan a la naturaleza de la dependencia.
ARTÍCULO 11.2.1.4.26. DIRECCIONES DE RIESGO DE MERCADO Y LIQUIDEZ UNO Y DOS. <Artículo modificado por el artículo 3 del Decreto 1848 de 2016. El nuevo texto es el siguiente:> Además de las funciones comunes previstas en el artículo 11.2.1.4.22 del presente decreto, respecto de los riesgos de Mercado y Liquidez, son funciones de las Direcciones de Riesgo de Mercado y Liquidez Uno y Dos, las siguientes:
1. Ejecutar la supervisión de los riesgos de mercado y de liquidez, de conformidad con las políticas, metodologías y procedimientos aprobados por el Superintendente.
2. Promover la unidad de criterio de los resultados de los procesos de supervisión en los que participa.
3. Realizar el seguimiento, monitoreo y evaluación de los riesgos de mercado y de liquidez.
4. Participar en la práctica de visitas con el fin de obtener un conocimiento sobre los asuntos de su competencia, en coordinación con las Delegaturas Institucionales.
5. Verificar que los administradores de fondos de inversión colectiva, portafolios de inversiones y portafolios de terceros, cuenten con sistemas y procesos adecuados para clasificar, valorar y contabilizar las inversiones que hacen parte de los mismos, dando cumplimiento a las normas aplicables.
6. Participar en los procesos del Sistema de Gestión Integrado de la Superintendencia en los que sea parte.
7. Las demás que se le asignen y que correspondan a la naturaleza de la dependencia.
ARTÍCULO 11.2.1.4.27. DESPACHO DEL SUPERINTENDENTE DELEGADO PARA RIESGO OPERACIONAL Y CIBERSEGURIDAD. <Artículo modificado por el artículo 14 del Decreto 2399 de 2019. El nuevo texto es el siguiente:> Además de las funciones comunes previstas en el artículo 11.2.1.4.21 del presente decreto, respecto del riesgo operacional de las entidades vigiladas, son funciones del Despacho del Superintendente Delegado para Riesgo Operacional y Ciberseguridad, las siguientes:
1. Dirigir el seguimiento de los niveles de exposición al riesgo operacional, así como evaluar la gestión que de los mismos realizan las entidades vigiladas, a nivel individual y consolidado, cuando corresponda.
2. Identificar las situaciones de concentración de riesgo operacional, a las que estén expuestas las entidades supervisadas, a nivel individual y consolidado.
3. Coordinar la supervisión de la resiliencia operacional de las entidades vigiladas.
4. Coordinar la supervisión respecto de los riesgos operacionales derivados de la innovación.
5. Evaluar la gestión de la seguridad de la información y la ciberseguridad en las entidades vigiladas.
6. Participar en los procesos del Sistema de Gestión Integrado de la Superintendencia en los que sea parte.
7. Las demás que se le asignen y que correspondan a la naturaleza de la dependencia.
ARTÍCULO 11.2.1.4.28. DIRECCIONES DE RIESGO OPERACIONAL Y CIBERSEGURIDAD UNO Y DOS. <Artículo modificado por el artículo 15 del Decreto 2399 de 2019. El nuevo texto es el siguiente:> Además de las funciones comunes previstas en el artículo 11.2.1.4.22 del presente decreto, respecto del riesgo operacional, son funciones de las Direcciones de Riesgo Operacional y Ciberseguridad Uno y Dos, las siguientes:
1. Ejecutar la supervisión de los riesgos operacionales, de acuerdo con las políticas, metodologías y procedimientos aprobados por el Superintendente.
2. Participar en la práctica de visitas con el fin de obtener un conocimiento sobre los asuntos de su competencia, en coordinación con las Delegaturas Institucionales.
3. Realizar el seguimiento, monitoreo y evaluación de los riesgos operacionales.
4. Verificar la existencia y la calidad en los sistemas de registro, tratamiento, almacenamiento, transmisión, producción, seguridad y control de los flujos de información en las entidades vigiladas.
5. Evaluar la resiliencia operacional de las entidades vigiladas.
6. Verificar que las entidades vigiladas gestionen los riesgos operacionales derivados de la innovación.
7. Verificar la gestión de la seguridad de la información y la ciberseguridad en las entidades vigiladas.
8. Participar en los procesos del Sistema de Gestión Integrado de la Superintendencia en los que sea parte.
9. Las demás que se le asignen y que correspondan a la naturaleza de la dependencia.
ARTÍCULO 11.2.1.4.29. DESPACHO DEL SUPERINTENDENTE DELEGADO PARA RIESGO DE LAVADO DE ACTIVOS Y FINANCIACIÓN DEL TERRORISMO. <Artículo modificado por el artículo 16 del Decreto 2399 de 2019. El nuevo texto es el siguiente:> Además de las funciones comunes previstas en el artículo 11.2.1.4.21 del presente decreto, respecto del riesgo de lavado de activos, financiación del terrorismo, son funciones del Despacho del Superintendente Delegado para Riesgo de Lavado de Activos y Financiación del Terrorismo, las siguientes:
1. Dirigir el seguimiento de los niveles de exposición a los riesgos de lavado de activos, financiación del terrorismo y proliferación de armas de destrucción masiva y su financiamiento, así como evaluar la gestión que de los mismos realizan las entidades vigiladas, a nivel individual y consolidado, cuando corresponda.
2. Ordenar y dirigir la práctica de visitas con el fin de obtener conocimiento sobre los asuntos de su competencia, en coordinación con las Delegaturas Institucionales.
3. Ejecutar la facultad sancionatoria de la Superintendencia, dentro del ámbito de su competencia. Ordenar, dentro del ámbito de su competencia, las investigaciones administrativas, la práctica de pruebas, los traslados a los interesados y adoptar las decisiones a que hubiere lugar, incluida la imposición de sanciones.
4. Emitir las órdenes necesarias para que las entidades vigiladas suspendan de inmediato las prácticas ilegales, no autorizadas o inseguras, y para que se adopten las correspondientes medidas correctivas y de saneamiento.
5. Adoptar las decisiones y medidas administrativas de su competencia; y expedir, en conjunto con los Superintendentes Delegados que corresponda, actos administrativos necesarios para el cumplimiento de sus funciones.
6. Informar sus decisiones con la debida oportunidad a las demás dependencias con interés en los asuntos objeto de pronunciamiento, en especial el inicio de actuaciones administrativas sancionatorias y las decisiones finales adoptadas en las mismas.
7. Presentar los conceptos o dictámenes solicitados por la Fiscalía General de la Nación o las autoridades judiciales o administrativas, dentro del ámbito de su competencia.
8. Dar aviso inmediato a las autoridades competentes sobre las medidas adoptadas en ejercicio de sus funciones, remitiendo copia de las actuaciones adelantadas.
9. Supervisar el cumplimiento de las disposiciones que dicte la Junta Directiva del Banco de la República, en el ámbito de su competencia.
10. Participar en los procesos del Sistema de Gestión Integrado de la Superintendencia en los que sea parte.
11. Las demás que se le asignen y que correspondan a la naturaleza de la dependencia.
ARTÍCULO 11.2.1.4.30. DIRECCIONES DE RIESGO DE LAVADO DE ACTIVOS Y FINANCIACIÓN DEL TERRORISMO UNO Y DOS. <Artículo modificado por el artículo 17 del Decreto 2399 de 2019. El nuevo texto es el siguiente:> Además de las funciones comunes previstas en el artículo 11.2.1.4.22 del presente decreto, respecto del riesgo de lavado de activos, financiación del terrorismo y proliferación de armas de destrucción masivas y su financiamiento, son funciones de la Dirección de Riesgos de Lavado de Activos y Financiación del Terrorismo Uno y Dos, las siguientes:
1. Ejecutar la supervisión de los riesgos de lavado de activos, financiación del terrorismo y proliferación de armas de destrucción masiva y su financiamiento, de acuerdo con las políticas, metodologías y procedimientos aprobados por el Superintendente.
2. Recomendar al superior inmediato las decisiones que a este correspondan dentro del ámbito de su competencia.
3. Practicar visitas con el fin de obtener un conocimiento sobre los asuntos de su competencia, adelantar averiguaciones y obtenerla información probatoria que requiera de personas, instituciones o empresas, incluyendo las ajenas al sector financiero, en coordinación con las Delegaturas Institucionales.
4. Dar traslado a la Dirección Legal de los informes de visita y los hechos susceptibles de investigación.
5. Verificar el cumplimiento de las disposiciones que dicte la Junta Directiva del Banco de la República, en el ámbito de su competencia.
6. Participar en los procesos del Sistema de Gestión Integrado de la Superintendencia en los que sea parte.
7. Las demás que se le asignen y que correspondan a la naturaleza de la dependencia.
ARTÍCULO 11.2.1.4.31. DIRECCIÓN LEGAL DE RIESGO LAVADO DE ACTIVOS Y FINANCIACIÓN DEL TERRORISMO. <Denominación modificada por el artículo 36 del Decreto 2399 de 2019>
<Artículo modificado por el artículo 3 del Decreto 1848 de 2016. El nuevo texto es el siguiente:> Son funciones de la Dirección Legal de Prevención y Control de Lavado de Activos y Financiación del Terrorismo, las siguientes:
1. Participar en las actividades de supervisión desarrolladas por la Delegatura y las dependencias que hacen parte de esta.
2. Promover la unidad de criterio de los resultados de los procesos de supervisión en los que participa.
3. Evaluar los informes de visita y los hechos susceptibles de investigación que le sean trasladados o informados.
4. Desarrollar e implementar las actividades, adelantar las actuaciones y adoptar las medidas necesarias o conducentes al ejercicio de la facultad sancionatoria de la Superintendencia dentro del ámbito de su competencia, en cumplimiento de las políticas institucionales.
5. Evaluar las explicaciones rendidas por los investigados, proyectar los actos administrativos relacionados con el ejercicio de la facultad sancionatoria y coordinar e impulsar la actuación administrativa respectiva.
6. Adelantar las investigaciones administrativas, dentro del ámbito de su competencia, y proponer las medidas administrativas al Superintendente Delegado.
7. Asesorar al Superintendente Delegado y a las demás dependencias que conforman la Delegatura, en los temas legales de sus dependencias.
8. Proyectar para firma del Superintendente Delegado para Riesgo de Lavado de Activos y Financiación del Terrorismo, las decisiones mediante las cuales se resuelven los recursos de reposición y las solicitudes de revocatoria directa presentados contra los actos de la Delegatura.
9. Atender y resolver, dentro del ámbito de su competencia, los derechos de petición que se presenten, conservando la unidad de criterio de la Superintendencia.
10. Participar en los procesos del Sistema de Gestión Integrado de la Superintendencia en los que sea parte.
11. Las demás que se le asignen y que correspondan a la naturaleza de la dependencia.
ARTÍCULO 11.2.1.4.32. DESPACHO DEL SUPERINTENDENTE DELEGADO ADJUNTO PARA INTERMEDIARIOS FINANCIEROS Y SEGUROS. <Artículo modificado por el artículo 18 del Decreto 2399 de 2019. El nuevo texto es el siguiente:> Son funciones del Despacho del Delegado Adjunto para Intermediarios Financieros y Seguros, las siguientes:
1. Dirigir la supervisión de los establecimientos de crédito, entidades aseguradoras, sociedades de capitalización, sucursales de bancos y compañías de seguros del exterior, intermediarios de seguros y reaseguros, oficinas de representación de entidades financieras y reaseguradoras del exterior, y otras entidades vigiladas que sean asignadas a las Delegaturas a su cargo por el Superintendente, conforme a las políticas, procedimientos y metodologías establecidos por este.
2. Proponer al Superintendente la suspensión o revocatoria del certificado de autorización de una entidad aseguradora.
3. Proponer al Superintendente la autorización del establecimiento en el país de oficinas de representación de organismos financieros y de reaseguradores del exterior; así como el cierre de dichas oficinas.
4. Dirigir la supervisión de los holdings financieros, la supervisión comprensiva y consolidada de los conglomerados financieros y la definición de su perfil de riesgos, de acuerdo con la designación que efectúe el Superintendente.
5. Dar cumplimiento a las políticas, procedimientos y metodologías establecidas por el Superintendente en materia de supervisión, respecto de las entidades vigiladas por las Delegaturas a su cargo y los conglomerados financieros.
6. Promover la unidad de criterio de los resultados de los procesos de supervisión en los que participan las Delegaturas a su cargo.
7. Proponer al Superintendente la declaratoria de la situación de control o la existencia de grupo empresarial, así como la inscripción de tales situaciones en el registro mercantil, respecto de las entidades vigiladas por las Delegaturas a su cargo.
8. Proponer al Superintendente los casos en que procede la consolidación de operaciones y de estados financieros de entidades vigiladas por las Delegaturas a su cargo, con otras entidades sujetas o no a la supervisión de la Superintendencia, con el fin de realizar una supervisión comprensiva y consolidada.
9. Adoptar cualquiera de las medidas previstas en los literales c) y d) del artículo 6o de la Ley 964 de 2005 o las normas que la modifiquen, adicionen o sustituyan, respecto de las entidades vigiladas por las Delegaturas a su cargo.
10. Proponer al Superintendente las autorizaciones de constitución y funcionamiento de las entidades vigiladas, la adquisición de sus acciones, bonos convertibles en acciones y de los aportes en entidades cooperativas; así como su conversión, transformación, escisión, cesión de activos, pasivos y contratos y objetar su fusión y adquisición.
11. Proponer al Superintendente la adopción de cualquiera de los institutos de salvamento o la toma de posesión de las entidades vigiladas; así como la revocatoria de la autorización de funcionamiento de una entidad vigilada que conforme un conglomerado financiero y los cambios en la estructura de un conglomerado financiero, en los términos establecidos en la ley.
12. Proponer al Superintendente la autorización de toda transacción que tenga por objeto o como efecto que una persona, o grupo de personas, adquiera la calidad de beneficiario real respecto del diez por ciento (10%) o más de las acciones en circulación de una entidad vigilada por las Delegaturas a su cargo, así como el incremento de dicho porcentaje.
13. Autorizar las inversiones de capital realizadas por las entidades vigiladas por las Delegaturas a su cargo, de manera directa o a través de sus filiales y subsidiarias, en entidades financieras, del mercado de valores, compañías de seguros, de reaseguros y en sucursales y agencias domiciliadas en el exterior, así como el incremento de dichas inversiones; y proponer al Superintendente aquellas que deban ser presentadas al Consejo Asesor, conforme a la naturaleza y características de la operación.
14. Dirigir el ejercicio de las demás funciones que correspondan a la Superintendencia en relación con las entidades vigiladas por las Delegaturas a su cargo, así como de las entidades que conforman los conglomerados financieros a los cuales estas pertenecen, cuya vigilancia le haya sido asignada por el Superintendente.
15. Ordenar a título de sanción la suspensión o cancelación de la inscripción en cualquiera de los registros que conforman el Sistema Integral de Información del Mercado de Valores (SIMEV).
16. Resolver en coordinación con los Superintendentes Delegados Adjuntos, las controversias suscitadas entre los Superintendentes Delegados, por la adopción de decisiones, en especial aquellas relacionadas con la estabilidad de las entidades supervisadas y los conglomerados financieros.
17. Proponer al Superintendente la identificación de los conglomerados financieros, su holding y las demás entidades que lo conforman; así como la decisión respecto de la acreditación de equivalencias de estándares de regulación y supervisión de los holdings financieros del exterior.
18. Proponer al Superintendente, la autorización de las inversiones de capital, directas o indirectas a través de entidades no vigiladas, que pretenda realizar el holding financiero en entidades financieras, de seguros y del mercado de valores del exterior.
19. Coordinar la participación de las dependencias a su cargo en el desarrollo y administración de productos de analítica de uso específico y dar cumplimiento a la política de gobernabilidad de datos de la Superintendencia.
20. Participar en los procesos del Sistema de Gestión Integrado de la Superintendencia en los que sea parte.
21. Las demás que se le asignen y que correspondan a la naturaleza de la dependencia.
ARTÍCULO 11.2.1.4.33. FUNCIONES COMUNES DE LOS DESPACHOS DE LOS SUPERINTENDENTES DELEGADOS PARA SEGUROS, PARA CONGLOMERADOS FINANCIEROS Y PARA INTERMEDIARIOS FINANCIEROS. <Artículo modificado por el artículo 19 del Decreto 2399 de 2019. El nuevo texto es el siguiente:> Son funciones comunes del Despacho del Superintendente Delegado para Seguros; del Despacho del Superintendente Delegado para Conglomerados Financieros y del Despacho del Superintendente Delegado para Intermediarios Financieros, respecto de las entidades a su cargo, las siguientes:
1. Dar cumplimiento a las políticas, procedimientos y metodologías establecidos por el Superintendente, en materia de supervisión respecto de las entidades cuya supervisión le corresponde ejecutar.
2. Proponer al Superintendente Delegado Adjunto para Intermediarios Financieros y Seguros, a título de sanción la suspensión o cancelación de la inscripción en cualquiera de los registros que conforman el Sistema Integral de Información del Mercado de Valores (SIMEV).
3. Ordenar y dirigir la práctica de visitas con el fin de obtener conocimiento sobre los asuntos de su competencia y adoptar las medidas y órdenes de carácter prudencial o correctivo a que haya lugar.
4. Ordenar, dentro del ámbito de su competencia, las investigaciones administrativas, la práctica de pruebas, los traslados a los interesados y adoptar las decisiones a que hubiere lugar, incluida la imposición de sanciones.
5. Promover la unidad de criterio de los resultados de los procesos de supervisión en los que participan las Direcciones a su cargo.
6. Ordenar, en el ámbito de su competencia, la constitución de provisiones o de reservas.
7. Emitirlas órdenes necesarias para que las entidades vigiladas suspendan de inmediato las prácticas ilegales, no autorizadas o inseguras, y para que se adopten las correspondientes medidas correctivas y de saneamiento, para lo cual podrá requerir apoyo de las Delegaturas de Riesgo.
8. Ejercer respecto de las entidades vigiladas, que no sean sociedades inscritas en el Registro Nacional de Valores y Emisores (RNVE), las funciones previstas en el artículo 423 del Código de Comercio; los incisos 3 del artículo 14, 2 y 3 del artículo 16, 2 y 3 del 48 y 1 del artículo 64 de la Ley 222 de 1995 y las normas que los modifiquen o adicionen.
9. Ejecutar la facultad sancionatoria de la Superintendencia, dentro del ámbito de su competencia.
10. Proponer al Superintendente Delegado Adjunto para Intermediarios Financieros y Seguros, adoptar cualquiera de las medidas previstas en el literal c) del artículo 6o de la Ley 964 de 2005 o las normas que la modifiquen, adicionen o sustituyan, respecto de las entidades vigiladas por las Delegaturas a su cargo.
11. Adoptar cualquiera de las medidas cautelares previstas en el literal d) del artículo 6o de la Ley 964 de 2005 o las normas que la modifiquen, adicionen o sustituyan.
12. Recomendar al Superintendente Delegado Adjunto para Intermediarios Financieros y Seguros la adopción de cualquiera de los institutos de salvamento o la toma de posesión de las entidades vigiladas.
13. Expedir, en conjunto con los Superintendentes Delegados que corresponda, actos administrativos necesarios para el cumplimiento de sus funciones.
14. Emitir concepto sobre las solicitudes de posesión de los servidores o funcionarios de las entidades vigiladas.
15. Evaluar los estados financieros y demás información financiera de las entidades a su cargo y ordenar los ajustes que conduzcan a la correcta revelación de información, cuando corresponda.
16. Decidir sobre las solicitudes de autorización de entidades vigiladas dentro del ámbito de su competencia, respecto de los reglamentos de emisión y suscripción de acciones; la apertura, traslado y cierre de oficinas; la promoción de servicios mediante incentivos cuando fuere pertinente; los horarios mínimos de atención al público y sus excepciones; la liquidación voluntaria y las inversiones de capital o en activos fijos, que no hayan sido asignadas a otra dependencia.
17. Dar trámite y recomendar al Delegado Adjunto para Intermediarios Financieros y Seguros la decisión respecto de las autorizaciones de constitución y funcionamiento de las entidades vigiladas, la adquisición de sus acciones, bonos convertibles en acciones y de los aportes en entidades cooperativas; así como su conversión, transformación, escisión, cesión de activos, pasivos y contratos y objetar su fusión y adquisición.
18. Recomendar al Superintendente Delegado Adjunto para Intermediarios Financieros y Seguros toda transacción que tenga por objeto o como efecto que una persona, o grupo de personas, adquiera la calidad de beneficiario real respecto del diez por ciento (10%) o más de las acciones en circulación de una entidad supervisada por las Delegaturas a su cargo, así como el incremento de dicho porcentaje.
19. Proponer al Superintendente Delegado Adjunto para Intermediarios Financieros y Seguros la autorización de las inversiones de capital realizadas por las entidades vigiladas por las Delegaturas a su cargo, efectuadas de manera directa o a través de sus filiales y subsidiarias, en entidades financieras del mercado de valores, compañías de seguros, de reaseguros y en sucursales y agencias domiciliadas en el exterior, así como el incremento de dichas inversiones.
20. Atender y resolver, dentro del ámbito de su competencia los derechos de petición, conservando la unidad de criterio de la Superintendencia.
21. Coordinar la participación de las dependencias a su cargo en el desarrollo y administración de productos de analítica de uso específico y dar cumplimiento a la política de gobernabilidad de datos de la Superintendencia.
22. Supervisar la condición financiera de las entidades y el cumplimiento del patrimonio, margen de solvencia, capital mínimo, límites de concentración de riesgo y demás controles de ley, según corresponda y adoptar las medidas a que haya lugar.
23. Supervisar el cumplimiento de las disposiciones que dicte la Junta Directiva del Banco de la República, en el ámbito de su competencia.
ARTÍCULO 11.2.1.4.34. FUNCIONES COMUNES DE LAS DIRECCIONES DE SEGUROS, DE CONGLOMERADOS FINANCIEROS Y DE INTERMEDIARIOS FINANCIEROS. <Artículo modificado por el artículo 20 del Decreto 2399 de 2019. El nuevo texto es el siguiente:> Son funciones comunes de las Direcciones de Seguros Uno y Dos; de las Direcciones de Conglomerados Financieros Uno, Dos y Tres; y de las Direcciones de Intermediarios Financieros Uno y Dos, respecto de las entidades a su cargo, las siguientes:
1. Desarrollar las actividades necesarias o conducentes a la aplicación del marco de supervisión de la Superintendencia, asegurando consistencia en la aplicación de las políticas, metodologías y procedimientos aprobados por el Superintendente.
2. Adelantar las investigaciones administrativas, dentro del ámbito de su competencia, y proponer las medidas administrativas al Superintendente Delegado.
3. Practicar visitas con el fin de obtener un conocimiento sobre los asuntos de su competencia, adelantar averiguaciones y obtener la información probatoria que requiera de personas, instituciones o empresas, incluyendo las ajenas al sector financiero.
4. Promover la unidad de criterio de los resultados de los procesos de supervisión en los que participa.
5. Recomendar al Superintendente Delegado las decisiones que a este correspondan dentro del ámbito de su competencia.
6. Pronunciarse, según corresponda, sobre los estados financieros e impartir autorización para su presentación a la asamblea de accionistas o quien haga sus veces.
7. Dar trámite, dentro del ámbito de su competencia, a aquellos asuntos que requieran concepto, pronunciamiento o decisión del Superintendente Delegado y dar apoyo a este último en las funciones que le sean asignadas.
8. Ejercer las funciones de policía judicial, en los términos previstos por la ley y bajo la dirección funcional del Fiscal General de la Nación.
9. Atender y resolver, dentro del ámbito de su competencia los derechos de petición, conservando la unidad de criterio de la Superintendencia.
10. Interrogar bajo juramento para los fines propios de sus competencias, a cualquier persona, para lo cual podrá exigir su comparecencia, haciendo uso de las medidas coercitivas previstas en la normatividad vigente.
11. Ejecutar, en el ámbito de su competencia, las demás funciones que le correspondan a la Superintendencia en relación con las entidades vigiladas a cargo de la Delegatura.
12. Verificar el cumplimiento de las disposiciones que dicte la Junta Directiva del Banco de la República, en el ámbito de su competencia.
ARTÍCULO 11.2.1.4.35 FUNCIONES COMUNES DE LAS DIRECCIONES LEGALES DE SEGUROS, DE CONGLOMERADOS FINANCIEROS Y DE INTERMEDIARIOS FINANCIEROS. <Artículo modificado por el artículo 21 del Decreto 2399 de 2019. El nuevo texto es el siguiente:> Son funciones comunes de la Dirección Legal de Seguros, de la Dirección Legal de Conglomerados Financieros y de la Dirección Legal de Intermediarios Financieros, respecto de las entidades a su cargo, las siguientes:
1. Participar en las actividades de supervisión desarrolladas por la Delegatura y las dependencias que hacen parte de esta.
2. Promover la unidad de criterio de los resultados de los procesos de supervisión en los que participa.
3. Evaluar los informes de visita y los hechos susceptibles de investigación que le sean trasladados o informados.
4. Desarrollar e implementar las actividades, adelantar las actuaciones y adoptar las medidas necesarias o conducentes al ejercicio de la facultad sancionatoria de la Superintendencia dentro del ámbito de su competencia, en cumplimiento de las políticas institucionales.
5. Evaluar las explicaciones rendidas por los investigados, proyectar los actos administrativos relacionados con el ejercicio de la facultad sancionatoria, y coordinar e impulsar la actuación administrativa respectiva.
6. Emitir concepto acerca de las reformas estatutarias y disponer las modificaciones que resulten pertinentes, dentro del ámbito de competencia de la Delegatura.
7. Recomendar al Superintendente Delegado las decisiones que a este correspondan, dentro del ámbito de su competencia.
8. Adelantar las investigaciones administrativas, dentro del ámbito de su competencia, y proponer las medidas administrativas al Superintendente Delegado.
9. Asesorar al Superintendente Delegado y a las demás dependencias que conforman la Delegatura, en los temas legales de competencia de sus dependencias.
10. Proyectar las decisiones mediante las cuales se resuelven los recursos de reposición y las solicitudes de revocatoria directa presentados contra los actos de la Delegatura.
11. Atender y resolver, dentro del ámbito de su competencia los derechos de petición, conservando la unidad de criterio de la Superintendencia.
12. Ejecutar, en el ámbito de su competencia, las demás funciones que le correspondan a la Superintendencia en relación con las entidades vigiladas a cargo de la Delegatura, y de las entidades que conforman conglomerados financieros de los que estas hagan parte, que corresponda cumplir al Superintendente Delegado.
ARTÍCULO 11.2.1.4.36. DESPACHO DEL SUPERINTENDENTE DELEGADO PARA SEGUROS. <Artículo modificado por el artículo 22 del Decreto 2399 de 2019. El nuevo texto es el siguiente:> En adición a las funciones comunes previstas en el artículo 11.2.1.4.33 del presente decreto, respecto de las entidades a su cargo, son funciones del Despacho del Superintendente Delegado para Seguros, las siguientes:
1. Supervisar las entidades aseguradoras, sociedades de capitalización, sucursales de entidades aseguradoras del exterior, intermediarios de seguros y reaseguros, las oficinas de representación de entidades reaseguradoras del exterior, y de las demás entidades que le sean asignadas por el Superintendente, conforme a las políticas, procedimientos y metodologías establecidos por este.
2. Dirigir la evaluación de la gestión que las entidades vigiladas realizan de los riesgos técnicos de seguros, conforme a las políticas, metodologías y procedimientos adoptados por el Superintendente.
3. Autorizar los ramos, los títulos de capitalización y los modelos de pólizas y tarifas, cuando a ello haya lugar.
4. Coordinar la administración del depósito de pólizas de seguros y de sus anexos.
5. Coordinar la administración del Registro de Reaseguradores y Corredores de Reaseguro del Exterior (REACOEX), el Registro de Entidades Aseguradoras e Intermediarios de Seguro Agropecuario del Exterior (RAISAX), el Registro de Aseguradoras del Exterior que ofrezcan seguros asociados al transporte marítimo internacional, la aviación comercial internacional y el lanzamiento y transporte espacial (incluyendo satélites) (RAIMAT) y cualquier otro registro que en materia de seguros deba administrar la Superintendencia.
6. Recomendar al Superintendente Delegado Adjunto para Intermediarios Financieros y Seguros, la suspensión o revocatoria del certificado de autorización de una entidad aseguradora.
7. Proponer al Superintendente Delegado Adjunto para Intermediarios Financieros y Seguros la autorización del establecimiento en el país de representantes u oficinas de representación de reaseguradores del exterior; así como el cierre de dichas oficinas.
8. Revocar el certificado de autorización de los ramos en los casos previstos en la ley.
9. Supervisar los cálculos actuariales efectuados por las entidades aseguradoras para la constitución de sus reservas técnicas y matemáticas, así como los resultados técnicos de los diversos ramos de seguros.
10. Recomendar al Superintendente Delegado Adjunto la identificación de los conglomerados financieros, su holding y las demás entidades que lo conforman; así como la decisión respecto de la acreditación de equivalencias de estándares de regulación y supervisión de los holdings financieros del exterior.
11. Supervisar los holdings financieros y liderar la supervisión comprensiva y consolidada de los conglomerados financieros y la definición de su perfil de riesgos, de acuerdo con la designación que efectúe el Superintendente.
12. Recomendar al Superintendente Delegado Adjunto para Intermediarios Financieros y Seguros la autorización de las inversiones de capital, directas o indirectas a través de entidades no vigiladas, que pretenda realizar el holding financiero en entidades financieras, de seguros y del mercado de valores del exterior.
13. Recomendar al Superintendente Delegado Adjunto para Intermediarios Financieros y Seguros la revocatoria de la autorización de funcionamiento de una entidad vigilada que conforme un conglomerado financiero y los cambios en la estructura de un conglomerado financiero, en los términos establecidos en la ley.
14. Participar en los procesos del Sistema de Gestión Integrado de la Superintendencia en los que sea parte.
15. Las demás que se le asignen y que correspondan a la naturaleza de la dependencia.
ARTÍCULO 11.2.1.4.37. DIRECCIONES DE SEGUROS UNO Y DOS. <Artículo modificado por el artículo 23 del Decreto 2399 de 2019. El nuevo texto es el siguiente:> En adición a las funciones comunes previstas en el artículo 11.2.1.4.34 del presente decreto, respecto de las entidades a su cargo, son funciones de las Direcciones de Seguros Uno y Dos, las siguientes:
1. Ejecutar la supervisión de las entidades aseguradoras, entidades reaseguradoras, sociedades de capitalización, las sucursales de entidades aseguradoras del exterior, intermediarios de seguros y reaseguros y las oficinas de representación de las entidades reaseguradoras del exterior, y cualquier otra entidad cuya vigilancia le sea asignada por el Superintendente, conforme a las políticas, metodologías y procedimientos aprobados por el Superintendente.
2. Evaluar la existencia de conglomerados financieros, su conformación y ámbito de supervisión.
3. Evaluar la gestión que las entidades vigiladas realizan de los riesgos técnicos de seguros, conforme a las políticas, metodologías y procedimientos adoptados por el Superintendente.
4. Dar traslado a la Dirección Legal de los informes de visita y los hechos susceptibles de investigación.
5. Verificar que las pólizas de seguros y las tarifas cumplan con los requisitos técnicos previstos en la ley.
6. Ejecutar la supervisión de los holdings financieros y coordinar la supervisión comprensiva y consolidada de los conglomerados financieros y la definición de su perfil de riesgos, de acuerdo con la designación que efectúe el Superintendente.
7. Evaluar la solicitud de acreditación de equivalencias de estándares de supervisión y regulación de los holdings financieros del exterior y proyectarla decisión respectiva.
8. Participar en los procesos del Sistema de Gestión Integrado de la Superintendencia en los que sea parte.
9. Las demás que se le asignen y que correspondan a la naturaleza de la dependencia.
ARTÍCULO 11.2.1.4.38. DIRECCIÓN LEGAL DE SEGUROS. <Artículo modificado por el artículo 3 del Decreto 1848 de 2016. El nuevo texto es el siguiente:> En adición a las funciones comunes previstas en el artículo 11.2.1.4.35 del presente decreto, respecto de las entidades a su cargo, son funciones de la Dirección Legal de Seguros, las siguientes:
1. Llevar el depósito de pólizas de seguros y sus anexos.
2. Llevar los registros que corresponda administrar a la Delegatura.
3. Verificar que las pólizas de seguros y las tarifas cumplan con los requisitos legales previstos en la ley.
4. Participar en los procesos del Sistema de Gestión Integrado de la Superintendencia en los que sea parte.
5. Las demás que se le asignen y que correspondan a la naturaleza de la dependencia.
ARTÍCULO 11.2.1.4.39. DESPACHO DEL SUPERINTENDENTE DELEGADO PARA CONGLOMERADOS FINANCIEROS Y DESPACHO DEL SUPERINTENDENTE DELEGADO PARA INTERMEDIARIOS FINANCIEROS. <Artículo modificado por el artículo 24 del Decreto 2399 de 2019. El nuevo texto es el siguiente:> El Despacho del Superintendente Delegado para Conglomerados Financieros tiene las funciones previstas en los numerales 10 a 13 del artículo 11.2.1.4.36 del presente decreto, y tanto el Despacho del Superintendente Delegado para Conglomerados Financieros como el Despacho del Superintendente Delegado para Intermediarios Financieros, además de las funciones comunes previstas en el artículo 11.2.1.4.33 del presente decreto respecto de las entidades a su cargo, tienen las siguientes funciones:
1. Supervisar los intermediarios financieros y a cualquier otra entidad cuya supervisión le sea asignada por el Superintendente, conforme a las políticas, procedimientos y metodologías establecidas.
2. Proponer al Superintendente Delegado Adjunto para Intermediarios Financieros y Seguros la autorización del establecimiento en el país de representantes u oficinas de representación de instituciones financieras del exterior; así como el cierre de dichas oficinas.
3. Participar en los procesos del Sistema de Gestión Integrado de la Superintendencia en los que sea parte.
4. Las demás que se le asignen y que correspondan a la naturaleza de la dependencia.
ARTÍCULO 11.2.1.4.40. DIRECCIONES DE CONGLOMERADOS FINANCIEROS Y DE INTERMEDIARIOS FINANCIEROS. <Artículo modificado por el artículo 25 del Decreto 2399 de 2019. El nuevo texto es el siguiente:> La Delegatura para Conglomerados Financieros contará con tres direcciones de supervisión: Uno, Dos y Tres, las cuales además de las funciones comunes previstas en el artículo 11.2.1.4.34 del presente decreto, respecto de las entidades a su cargo, tienen las funciones previstas en los numerales 2, 6 y 7 del artículo 11.2.1.4.37 del presente decreto; así como las que se incluyen en el presente artículo. Por su parte, la Delegatura para Intermediarios Financieros contará con dos Direcciones de Supervisión: Uno y Dos, que en adición a las funciones comunes previstas en el artículo 11.2.1.4.34 del presente decreto, respecto de las entidades a su cargo, tienen las siguientes funciones:
1. Ejecutar la supervisión de los Intermediarios Financieros y de cualquier otra entidad cuya supervisión le sea asignada por el Superintendente, conforme a las políticas, procedimientos y metodologías establecidas.
2. Dar traslado a la Dirección Legal de los informes de visita y los hechos susceptibles de investigación.
3. Participar en los procesos del Sistema de Gestión Integrado de la Superintendencia en los que sea parte.
4. Las demás que se le asignen y que correspondan a la naturaleza de la dependencia.
ARTÍCULO 11.2.1.4.41. DIRECCIONES LEGALES DE CONGLOMERADOS FINANCIEROS Y DE INTERMEDIARIOS FINANCIEROS. <Artículo modificado por el artículo 26 del Decreto 2399 de 2019. El nuevo texto es el siguiente:> La Delegatura para Conglomerados Financieros y la Delegatura para Intermediarios Financieros, tendrán una Dirección Legal, quienes en adición a las funciones comunes previstas en el artículo 11.2.1.4.35 del presente decreto, respecto de las entidades a su cargo, tienen las siguientes funciones:
1. Aprobar los reglamentos de los depósitos de las secciones de ahorro de los establecimientos de crédito y de las cajas de compensación familiar.
2. Participar en los procesos del Sistema de Gestión Integrado de la Superintendencia en los que sea parte.
3. Las demás que se le asignen y que correspondan a la naturaleza de la dependencia.
ARTÍCULO 11.2.1.4.42. DESPACHO DEL SUPERINTENDENTE DELEGADO ADJUNTO PARA MERCADO DE CAPITALES. <Artículo modificado por el artículo 27 del Decreto 2399 de 2019. El nuevo texto es el siguiente:> Son funciones del Despacho del Delegado Adjunto para Mercado de Capitales, las siguientes:
1. Dirigir la supervisión de las sociedades comisionistas de bolsa, las sociedades comisionistas independientes, sociedades comisionistas de la bolsa agropecuaria y de otros activos financieros, las sociedades administradoras de inversión, los proveedores de infraestructura cuya supervisión no se encuentra a cargo de otra dependencia, los organismos de autorregulación, las sociedades fiduciarias, las sociedades administradoras de fondos de pensiones y cesantías, fondos de reservas pensiónales administrados por las entidades de prima media, las oficinas de representación de entidades del mercado de valores del exterior, y de otras que sean asignadas a las Delegaturas a su cargo por el Superintendente, conforme a las políticas, procedimientos y metodologías establecidos por este.
2. Dirigir el ejercicio de las funciones de control respecto de los emisores de valores.
3. Proponer al Superintendente la autorización del establecimiento en el país de oficinas de representación de instituciones del mercado de valores del exterior; así como el cierre de dichas oficinas.
4. Dirigir la supervisión de los holdings financieros, la supervisión comprensiva y consolidada de los conglomerados financieros y la definición de su perfil de riesgos, de acuerdo con la designación que efectúe el Superintendente.
5. Dar cumplimiento a las políticas, procedimientos y metodologías establecidas por el Superintendente en materia de supervisión, respecto de las entidades vigiladas por las Delegaturas a su cargo, los emisores de valores y los conglomerados financieros.
6. Promover la unidad de criterio de los resultados de los procesos de supervisión en los que participan las Delegaturas a su cargo.
7. Proponer al Superintendente la declaratoria de la situación de control o la existencia de grupo empresarial, así como la inscripción de tales situaciones en el registro mercantil, respecto de las entidades vigiladas por las Delegaturas a su cargo.
8. Proponer al Superintendente los casos en que procede la consolidación de operaciones y de estados financieros de entidades vigiladas por las Delegaturas a su cargo, con otras entidades sujetas o no a la supervisión de la Superintendencia, con el fin de realizar una supervisión comprensiva y consolidada.
9. Adoptar cualquiera de las medidas previstas en los literales c) y d) del artículo 6o de la Ley 964 de 2005 o las normas que la modifiquen, adicionen o sustituyan.
10. Proponer al Superintendente las autorizaciones de constitución y funcionamiento de las entidades vigiladas, la adquisición de sus acciones, bonos convertibles en acciones y de los aportes en entidades cooperativas; así como su conversión, transformación, escisión, cesión de activos, pasivos y contratos y objetar su fusión y adquisición.
11. Proponer al Superintendente la adopción de cualquiera de los institutos de salvamento o la toma de posesión de las entidades vigiladas; así como la revocatoria de la autorización de funcionamiento de una entidad vigilada que conforme un conglomerado financiero y los cambios en la estructura de un conglomerado financiero, en los términos establecidos en la ley.
12. Proponer al Superintendente, la autorización de toda transacción que tenga por objeto o como efecto que una persona, o grupo de personas, adquiera la calidad de beneficiario real respecto del diez por ciento (10%) o más de las acciones en circulación de una entidad vigilada por las Delegaturas a su cargo, así como el incremento de dicho porcentaje.
13. Autorizar las inversiones de capital realizadas por las entidades vigiladas por las Delegaturas a su cargo, de manera directa o a través de sus filiales y subsidiarias, en entidades financieras, del mercado de valores, compañías de seguros, de reaseguros y en sucursales y agencias domiciliadas en el exterior, así como el incremento de dichas inversiones; y proponer al Superintendente aquellas que deban ser presentadas al Consejo Asesor, conforme a la naturaleza y características de la operación.
14. Dirigir el ejercicio de las demás funciones que correspondan a la Superintendencia, en relación con las entidades vigiladas y los emisores controlados por las Delegaturas a su cargo, así como de las entidades que conforman los conglomerados financieros a los cuáles aquellas pertenecen, cuya vigilancia le haya sido asignada por el Superintendente.
15. Velar por la adecuada administración del Sistema Integral de Información del Mercado de Valores (SIMEV) y sus correspondientes registros.
16. Ordenar a título de sanción la suspensión o cancelación de la inscripción en cualquiera de los registros que conforman el Sistema Integral de Información del Mercado de Valores (SIMEV).
17. Resolver en coordinación con los Superintendentes Delegados Adjuntos, las controversias suscitadas entre los Superintendentes Delegados, por la adopción de decisiones, en especial aquellas relacionadas con la estabilidad de las entidades supervisadas y los conglomerados financieros.
18. Proponer al Superintendente la identificación de los conglomerados financieros, su holding y las demás entidades que lo conforman; así como la decisión respecto de la acreditación de equivalencias de estándares de regulación y supervisión de los holdings financieros del exterior.
19. Proponer al Superintendente, la autorización de las inversiones de capital, directas o indirectas a través de entidades no vigiladas, que pretenda realizar el holding financiero en entidades financieras, de seguros y del mercado de valores del exterior.
20. Coordinar la participación de las dependencias a su cargo en el desarrollo y administración de productos de analítica de uso específico y dar cumplimiento a la política de gobernabilidad de datos de la Superintendencia.
21. Participaren los procesos del Sistema de Gestión Integrado de la Superintendencia en los que sea parte.
22. Las demás que se le asignen y que correspondan a la naturaleza de la dependencia.
ARTÍCULO 11.2.1.4.43. FUNCIONES COMUNES DE LOS DESPACHOS DE LOS SUPERINTENDENTES DELEGADOS PARA INTERMEDIARIOS DE VALORES, FIDUCIARIAS Y PENSIONES. <Artículo modificado por el artículo 28 del Decreto 2399 de 2019. El nuevo texto es el siguiente:> Son funciones comunes del Despacho del Superintendente Delegado para Intermediarios de Valores, del Despacho del Superintendente Delegado para Fiduciarias y del Despacho del Superintendente Delegado para Pensiones, respecto de las entidades a su cargo, aquellas señaladas en el artículo 11.2.1.4.33. y en los numerales 10 a 13 del artículo 11.2.1.4.36. del presente decreto.
PARÁGRAFO. En los casos en que los artículos 11.2.1.4.33. y 11.2.1.4.36. se hagan referencia al Superintendente Delegado Adjunto para Intermediarios Financieros y Seguros, tal referencia se entenderá efectuada al Superintendente Delegado Adjunto para Mercado de Capitales.
ARTÍCULO 11.2.1.4.44. FUNCIONES DE LAS DIRECCIONES DE INTERMEDIARIOS DE VALORES, DE PROVEEDORES DE INFRAESTRUCTURA, DE ACCESO AL MERCADO DE VALORES, DE EMISORES, DE FIDUCIARIAS Y DE PENSIONES UNO Y DOS. <Artículo modificado por el artículo 29 del Decreto 2399 de 2019. El nuevo texto es el siguiente:> Son funciones comunes de la Dirección de Intermediarios de Valores, de la Dirección de Proveedores de Infraestructura, de la Dirección de Acceso al Mercado de Valores, de la Dirección de Emisores, de la Dirección de Fiduciarias y de las Direcciones de Pensiones Uno y Dos, respecto de las entidades a su cargo, aquellas señaladas en el artículo 11.2.1.4.34. y en los numerales 2, 6 y 7 del artículo 11.2.1.4.37. del presente decreto; y son funciones comunes de la Dirección de Emisores y la Dirección de Acceso al Mercado de Valores, respecto de las entidades a su cargo, aquellas señaladas en el artículo 11.2.1.4.34. del presente decreto.
PARÁGRAFO. En los casos en que los artículos 11.2.1.4.34. y 11.2.1.4.37. hagan referencia al Superintendente Delegado Adjunto para Intermediarios y Seguros, tal referencia se entenderá efectuada al Superintendente Delegado Adjunto para Mercado de Capitales.
ARTÍCULO 11.2.1.4.45. FUNCIONES COMUNES DE LAS DIRECCIONES LEGALES PARA SUPERVISIÓN DE EMISORES, ADMINISTRADORES DE ACTIVOS E INTERMEDIARIOS DE VALORES. <Artículo modificado por el artículo 3 del Decreto 1848 de 2016. El nuevo texto es el siguiente:> Son funciones comunes de la Dirección Legal de Intermediarios de Valores y Otros Agentes, y de la Dirección Legal de Fiduciarias, respecto de las entidades a su cargo, aquellas señaladas en el artículo 11.2.1.4.35. del presente decreto.
PARÁGRAFO. En los casos en que el artículo 11.2.1.4.35. hace referencia al Superintendente Delegado Adjunto para Supervisión de Intermediarios Financieros y Seguros, la referencia se entenderá efectuada al Superintendente Delegado Adjunto para Supervisión de Emisores, Administradores de Activos e Intermediarios de Valores.
ARTÍCULO 11.2.1.4.46. DESPACHO DEL SUPERINTENDENTE DELEGADO PARA INTERMEDIARIOS DE VALORES. <Denominación modificada por el artículo 36 del Decreto 2399 de 2019>
<Artículo modificado por el artículo 3 del Decreto 1848 de 2016. El nuevo texto es el siguiente:> Además de las funciones comunes previstas en el artículo 11.2.1.4.43. del presente decreto, son funciones del Superintendente Delegado para Intermediarios de Valores y Otros Agentes, las siguientes:
1. Supervisar las sociedades comisionistas de bolsa, las sociedades comisionistas independientes, las sociedades comisionistas de bolsas agropecuarias y otros productos, las sociedades administradoras de inversión, los proveedores de infraestructura cuya supervisión no se encuentre a cargo de otra dependencia, los organismos de autorregulación, las oficinas de representación de las instituciones del mercado de valores del exterior y de las demás entidades que le sean asignadas por el Superintendente, conforme a las políticas, procedimientos y metodologías establecidos por este.
2. Aprobar los reglamentos generales y operativos de los proveedores de infraestructura cuya supervisión no se encuentre a cargo de otra dependencia, de los fondos de garantía que se constituyan en los mercados de valores y de bienes y productos agropecuarios y agroindustriales y de otros commodities.
3. Proponer al Superintendente Delegado Adjunto para Supervisión de Emisores, Administradores de Activos e Intermediarios de Valores la autorización para el establecimiento en el país de representantes u oficinas de representación de instituciones del mercado de valores del exterior.
4. Aprobar los reglamentos, modelos de contratos de suscripción, los prospectos de inversión, o los documentos que hagan sus veces y sus modificaciones, respecto de las entidades sometidas a su supervisión.
5. Autorizar a las sociedades comisionistas de bolsa y sociedades comisionistas independientes de valores, a intermediar en la colocación de títulos garantizando la totalidad o parte de la misma o adquiriendo dichos valores por cuenta propia.
6. Autorizar la inscripción en el Registro Nacional de Agentes del Mercado de Valores (RNAMV) y en el Registro Nacional de Profesionales del Mercado de Valores (RNPMV) y ordenar la cancelación voluntaria o de oficio de dichas inscripciones.
7. Administrar el Registro Nacional de Agentes del Mercado de Valores (RNAMV), y el Registro Nacional de Profesionales del Mercado de Valores (RNPMV).
8. Ejercer las funciones que las normas otorguen a la Superintendencia en relación con la calidad de administrador de recursos de inversión de capital de portafolio del exterior, que detente una sociedad comisionista de bolsa o una sociedad administradora de inversión.
9. Ejercer las funciones que las normas otorguen a la Superintendencia en relación con la constitución, administración, gestión, distribución, fusión, cesión, liquidación, actividades y demás aspectos, de los fondos de inversión colectiva y los fondos de capital privado administrados por sociedades comisionistas de bolsa y sociedades administradoras de inversión.
10. Participar en los procesos del Sistema de Gestión Integrado de la Superintendencia en los que sea parte.
11. Las demás que se le asignen y que correspondan a la naturaleza de la dependencia.
ARTÍCULO 11.2.1.4.47. DIRECCIÓN DE INTERMEDIARIOS DE VALORES. <Denominación modificada por el artículo 36 del Decreto 2399 de 2019>
<Artículo modificado por el artículo 3 del Decreto 1848 de 2016. El nuevo texto es el siguiente:> Además de las funciones comunes previstas en el artículo 11.2.1.4.44 del presente decreto, son funciones de la Dirección de Intermediarios de Valores y Organismos de Autorregulación, las siguientes:
1. Ejecutar la supervisión de las sociedades comisionistas de bolsa, las sociedades comisionistas independientes, las sociedades comisionistas de bolsas agropecuarias y otros productos, las sociedades administradoras de inversión, los organismos de autorregulación y las oficinas de representación de las instituciones del mercado de valores del exterior, y cualquier otra entidad cuya vigilancia le sea asignada por el Superintendente, conforme a las políticas, procedimientos y metodologías establecidos por este.
2. Ejecutar la supervisión de los fondos de inversión colectiva y fondos de capital privado administrados por las entidades bajo su supervisión.
3. Ejecutar la supervisión a los organismos de autorregulación.
4. Dar traslado a la Dirección Legal de los informes de visita y los hechos susceptibles de investigación.
5. Ejecutar la supervisión comprensiva y consolidada de las entidades que conformen un conglomerado financiero del que hagan parte entidades vigiladas a su cargo, cuya vigilancia le haya sido asignada a la Delegatura de Intermediarios de Valores y Otros Agentes por el Superintendente.
6. Someter a aprobación del Superintendente Delegado los reglamentos, modelos de contratos de suscripción, los prospectos de inversión, o los documentos que hagan sus veces y sus modificaciones, respecto de las entidades sometidas a su supervisión.
7. Ejecutar las demás funciones que las normas otorguen a la Superintendencia respecto de entidades vigiladas a su cargo, los portafolios de inversión colectiva o fondos de capital privado que estas administren, así como respecto de las entidades que conforman conglomerados financieros de los que estas hagan parte, que corresponda cumplir al Superintendente Delegado.
8. Participar en los procesos del Sistema de Gestión Integrado de la Superintendencia en los que sea parte.
9. Las demás que se le asignen y que correspondan a la naturaleza de la dependencia.
ARTÍCULO 11.2.1.4.48. DIRECCIÓN DE PROVEEDORES DE INFRAESTRUCTURA. <Denominación modificada por el artículo 36 del Decreto 2399 de 2019>
<Artículo modificado por el artículo 3 del Decreto 1848 de 2016. El nuevo texto es el siguiente:> Además de las funciones comunes previstas en el artículo 11.2.1.4.44 del presente decreto, son funciones de la Dirección Proveedores de Infraestructura y Otros Agentes, las siguientes:
1. Ejecutar la supervisión de los proveedores de infraestructura cuya supervisión no se encuentre a cargo de otra dependencia, y cualquier otra entidad cuya vigilancia le sea asignada por el Superintendente, conforme a las políticas, procedimientos y metodologías establecidos por este.
2. Ejecutar la supervisión comprensiva y consolidada las entidades que conformen un conglomerado financiero del que hagan parte proveedores de infraestructura, cuya vigilancia le haya sido asignada a la Delegatura de Intermediarios de Valores y Otros Agentes.
3. Dar traslado a la Dirección Legal de los informes de visita y los hechos susceptibles de investigación.
4. Participar en los procesos del Sistema de Gestión Integrado de la Superintendencia en los que sea parte.
5. Las demás que se le asignen y que correspondan a la naturaleza de la dependencia.
ARTÍCULO 11.2.1.4.49. DIRECCIÓN LEGAL DE INTERMEDIARIOS DE VALORES. <Denominación modificada por el artículo 36 del Decreto 2399 de 2019>
<Artículo modificado por el artículo 3 del Decreto 1848 de 2016. El nuevo texto es el siguiente:> Además de las funciones comunes previstas en el artículo 11.2.1.4.45 del presente decreto, son funciones de la Dirección Legal de Intermediarios de Valores y Otros Agentes las siguientes:
1. Adelantar las gestiones necesarias para el manejo y administración del Registro Nacional de Agentes del Mercado de Valores (RNAMV), el Registro Nacional de Profesionales del Mercado de Valores (RNPMV) y los demás registros que corresponda administrar a la Delegatura.
2. Inscribir en el Registro Nacional de Agentes del Mercado de Valores (RNAMV) y en el Registro Nacional de Profesionales del Mercado de Valores (RNPMV) las sanciones en los términos del artículo 54 de la Ley 964 de 2005 o las normas que lo modifiquen, adicionen o sustituyan.
3. Verificar, dentro del ámbito de su competencia, el cumplimiento de los requisitos para la inscripción en el Registro Nacional de Agentes del Mercado de Valores (RNAMV) y en el Registro Nacional de Profesionales del Mercado de Valores (RNPMV), según corresponda.
4. Expedir las certificaciones de las inscripciones en el Registro Nacional de Agentes del Mercado (RNAMV) de Valores y en el Registro Nacional de Profesionales del Mercado de Valores (RNPMV).
5. Participar en los procesos del Sistema de Gestión Integrado de la Superintendencia en los que sea parte.
6. Las demás que se le asignen y que correspondan a la naturaleza de la dependencia.
ARTÍCULO 11.2.1.4.50. DESPACHO DEL SUPERINTENDENTE DELEGADO PARA EMISORES. <Denominación modificada por el artículo 30 del Decreto 2399 de 2019>
<Artículo modificado por el artículo 3 del Decreto 1848 de 2016. El nuevo texto es el siguiente:>
<Inciso modificado por el artículo 30 del Decreto 2399 de 2019. El nuevo texto es el siguiente:> Además de las funciones comunes previstas en los numerales 1 a 5, 7, 9 a 11, 14 y 21 del 11.2.1.4.33. del presente decreto, son funciones del Despacho del Superintendente Delegado para Emisores, respecto de los emisores de valores, las siguientes:
A. Funciones Generales:
1. Ejecutar la supervisión de los emisores de valores, las sociedades titularizadoras, las sociedades calificadoras de riesgos y/o valores, y los fondos mutuos de inversión, así como otorgar las autorizaciones requeridas para que una entidad adquiera la calidad de emisor.
2. Administrar el Registro Nacional de Valores y Emisores (RNVE), y propender por su manejo y actualización.
3. Autorizar la inscripción en el Registro Nacional de Valores y Emisores (RNVE).
4. Ordenar la cancelación voluntaria o de oficio de la inscripción en el Registro Nacional de Valores y Emisores (RNVE).
5. Ordenar la inscripción en el Registro Nacional de Valores y Emisores (RNVE), de las sanciones en los términos del artículo 54 de la Ley 964 de 2005 o las normas que lo modifiquen, adicionen o sustituyan.
6. <Numeral modificado por el artículo 30 del Decreto 2399 de 2019. El nuevo texto es el siguiente:> Resolver sobre las solicitudes de autorización de ofertas públicas de valores en el país.
7. Adelantar las acciones necesarias para el cumplimiento de las normas sobre la forma y contenido de los informes que deban suministrar al mercado los emisores de valores.
8. Propender por la calidad, oportunidad y suficiencia de la información que los emisores suministran al mercado de valores. En el caso de los emisores que, por virtud del interés público involucrado en el servicio que presten o en la actividad económica que desarrollen, se encuentren sometidos a la vigilancia de la Superintendencia o de otra entidad de supervisión, la verificación de la calidad de la información contable corresponderá al supervisor institucional o a la respectiva entidad de supervisión, según sea el caso.
9. Propender por la protección de los derechos de los inversionistas e impartir las órdenes pertinentes para la preservación de sus derechos.
10. Solicitar a los emisores, a sus accionistas, administradores, revisores fiscales, servidores, apoderados o cualquier otra persona relacionada, la información que considere pertinente, dentro del marco de sus atribuciones legales, sobre la situación de dichas entidades o sobre operaciones relacionadas con los valores, pudiendo ordenar su publicación cuando lo considere necesario para efectos de la transparencia y seguridad del mercado.
11. Certificar la calidad de sociedad anónima abierta en los casos señalados por la ley.
12. Autorizar, respecto de vigilados y controlados exclusivos de la Superintendencia, los reglamentos de emisión de títulos que se vayan a colocar mediante oferta pública.
13. Ejercer, respecto de las sociedades inscritas vigiladas por la Superintendencia y aquellas sometidas a control exclusivo, las funciones administrativas que el Código de Comercio, la Ley 222 de 1995 y otras normas legales asignen a las entidades de supervisión en temas relacionados con la protección de los accionistas.
14. Ejercer las facultades relacionadas con los emisores de valores que le sean asignadas a la Superintendencia respecto de aquellos asuntos inherentes a la calidad de emisor en los mercados de valores, sin perjuicio de las competencias asignadas a las demás Delegaturas de la entidad.
15. <Numeral modificado por el artículo 30 del Decreto 2399 de 2019. El nuevo texto es el siguiente:> Participaren el desarrollo y administración de productos de analítica de uso específico y dar cumplimiento a la política de gobernabilidad de datos de la Superintendencia.
16. Cumplir con las demás funciones que le correspondan a la Superintendencia en relación con los emisores de valores.
17. Participar en los procesos del Sistema de Gestión Integrado de la Superintendencia en los que sea parte.
18. Las demás que se le asignen y que correspondan a la naturaleza de la dependencia.
B. Funciones sobre emisores sometidos al control exclusivo de la Superintendencia Financiera y no vigilados por esta, y sobre emisores sometidos a la inspección y vigilancia de la Superintendencia en su calidad de holdings financieros en los términos de la Ley 1870 de 2017. <Denominación modificada por el artículo 30 del Decreto 2399 de 2019>
1. Exigir, cuando lo considere necesario, los estados financieros de fin de ejercicio y sus anexos antes de ser considerados por la asamblea, por la junta de socios o quien haga sus veces, pudiendo formular observaciones y ordenar correcciones a los mismos.
2. Propender por el cumplimiento de las normas en materia financiera, formular observaciones, ordenar las rectificaciones y la constitución de provisiones o de reservas.
3. Aprobar los avalúos de los aportes en especie que reciban los emisores de valores.
4. Ordenar la convocatoria o convocar las asambleas o juntas de socios a reuniones extraordinarias, en los casos previstos por la ley.
5. Ordenar, a título de sanción y dentro del ámbito de su competencia, la remoción de los administradores o de los empleados de los emisores de valores, cuando por causas atribuibles a los mismos ocurran irregularidades graves que afecten el mercado de valores.
6. Exigir la preparación y presentación de estados financieros de períodos intermedios.
7. Autorizar los reglamentos de suscripción de acciones que se vayan a colocar mediante oferta privada.
8. Propender por el cumplimiento de las políticas y normas de gobierno corporativo aplicables a los emisores de valores.
9. Autorizar la reorganización de la sociedad, lo cual incluye procesos tales como la fusión, la escisión y la segregación o escisión impropia.
10. Autorizar la transformación, la conversión de acciones, la disolución anticipada y la reducción del capital social cuando implique reembolso efectivo de aportes.
11. Ordenar la inscripción de acciones en el libro correspondiente, cuando el emisor de los valores se niegue a realizarla sin fundamento legal.
12. Decidir sobre la improcedencia del ejercicio del derecho de retiro cuando establezca que el reembolso afecte sustancialmente la prenda común de los acreedores, o conceder plazo adicional para su ejercicio.
13. Autorizar los cálculos actuariales de las provisiones para pensiones de jubilación y bonos pensionales.
14. Cumplir las demás funciones de supervisión que se otorguen a la Superintendencia en relación con este tipo de emisores.
15. Participar en los procesos del Sistema de Gestión Integrado de la Superintendencia en los que sea parte.
16. Las demás que se le asignen y que correspondan a la naturaleza de la dependencia.
PARÁGRAFO. En los casos en que el artículo 11.2.1.4.33, hace referencia al Superintendente Delegado Adjunto para Supervisión de Intermediarios Financieros y Seguros, la referencia se entenderá efectuada al Superintendente Delegado Adjunto para Supervisión de Emisores, Administradores de Activos e Intermediarios de Valores.
ARTÍCULO 11.2.1.4.51. DESPACHO DEL SUPERINTENDENTE DELEGADO PARA EMISORES. <Denominación modificada por el artículo 36 del Decreto 2399 de 2019>
<Artículo modificado por el artículo 3 del Decreto 1848 de 2016. El nuevo texto es el siguiente:> Para realizar la supervisión de las sociedades calificadoras de valores y titularizadoras, el Superintendente Delegado para Emisores y Otros Agentes tendrá las funciones de los Superintendentes Delegados previstas en el artículo 11.2.1.4.33 y, el artículo 11.2.1.4.46 del presente decreto, en lo que resulte pertinente.
ARTÍCULO 11.2.1.4.52. DIRECCIÓN DE ACCESO AL MERCADO DE VALORES. <Artículo modificado por el artículo 3 del Decreto 1848 de 2016. El nuevo texto es el siguiente:> Son funciones de la Dirección de Acceso al Mercado de Valores, las siguientes:
1. Elaborar los estudios para decidir sobre las solicitudes de inscripción y cancelación en el Registro Nacional de Valores y Emisores (RNVE), y sobre la autorización de las ofertas públicas de valores y las modificaciones respectivas.
2. Adelantar las gestiones necesarias para el manejo y administración del Registro Nacional de Valores y Emisores (RNVE).
3. Expedir las certificaciones de las inscripciones en el Registro Nacional de Valores y Emisores (RNVE).
4. Verificar el cumplimiento de las normas del mercado de valores en relación con las ofertas públicas y hacer seguimiento al cumplimiento de las condiciones establecidas en las autorizaciones respectivas.
5. Verificar el cumplimiento de las normas del mercado de valores en relación con los traspasos de acciones y bonos convertibles en acciones que se pretendan realizar.
6. Elaborar los estudios necesarios para la autorización de la convocatoria a las asambleas de tenedores de bonos u otros títulos.
7. Ejercer respecto de las sociedades calificadoras las funciones previstas en los artículos 11.2.1.4.47 del presente decreto, en lo que resulte pertinente.
8. Ejercer, dentro del ámbito de su competencia, las funciones señaladas en el artículo 11.2.1.4.45 del presente decreto.
9. Participar en los procesos del Sistema de Gestión Integrado de la Superintendencia en los que sea parte.
10. Las demás que se le asignen y que correspondan a la naturaleza de la dependencia.
ARTÍCULO 11.2.1.4.53. DIRECCIÓN DE EMISORES. <Denominación modificada por el artículo 36 del Decreto 2399 de 2019>
<Artículo modificado por el artículo 3 del Decreto 1848 de 2016. El nuevo texto es el siguiente:> Son funciones de la Dirección de Supervisión a Emisores y Otros Agentes, las siguientes:
1. Ejercer, respecto de los emisores sometidos al control exclusivo, las facultades que le otorguen las normas en materia contable a la Superintendencia.
2. Verificar que los emisores de valores cumplan con sus deberes de suministro de información al mercado de valores, en condiciones de calidad, oportunidad y suficiencia, y hacerles seguimiento permanente y monitorear su evolución.
3. Verificar el cumplimiento de las políticas y normas de gobierno corporativo por parte de los emisores de valores.
4. Ejercer la supervisión de las sociedades titularizadoras.
5. Ejercer respecto de los fondos mutuos de inversión las facultades que se otorguen a la Superintendencia.
6. Ejercer respecto de las titularizadoras las funciones previstas en los artículos 11.2.1.4.47 del presente decreto, en lo que resulte pertinente.
7. Ejercer, dentro del ámbito de su competencia, las funciones señaladas en el artículo 11.2.1.4.45 del presente decreto.
8. Participar en los procesos del Sistema de Gestión Integrado de la Superintendencia en los que sea parte.
9. Las demás que se le asignen y que correspondan a la naturaleza de la dependencia.
ARTÍCULO 11.2.1.4.54. DESPACHO DEL SUPERINTENDENTE DELEGADO PARA FIDUCIARIAS. <Artículo modificado por el artículo 3 del Decreto 1848 de 2016. El nuevo texto es el siguiente:> En adición a las funciones comunes establecidas en el artículo 11.2.1.4.43 del presente decreto, son funciones del Superintendente Delegado para Fiduciarias, las siguientes:
1. Supervisar a las sociedades fiduciarias, los fondos de inversión colectiva y fondos de capital privado administrados por estas, y las demás entidades que les sean asignadas por el Superintendente, conforme a las políticas, procedimientos y metodologías establecidos por este.
2. Aprobar los modelos de contratos que celebren las sociedades fiduciarias por adhesión o para la prestación masiva del servicio, y las modificaciones a estos.
3. Aprobar los reglamentos, modelos de contratos de suscripción, los prospectos de inversión, o los documentos que hagan sus veces, y sus modificaciones.
4. Resolver las solicitudes de instrucciones que presenten las fiduciarias, así como sobre la remoción y renuncia del fiduciario.
5. Cumplir las funciones que las normas otorguen a la Superintendencia en relación con la constitución, administración, gestión, distribución, fusión, cesión, liquidación, actividades y demás aspectos, de los fondos de inversión colectiva y los fondos de capital privado que administren las sociedades fiduciarias.
6. Ejercer las funciones que las normas otorguen a la Superintendencia en relación con la calidad de administrador de recursos de inversión de capital de portafolio del exterior que detente una sociedad fiduciaria.
7. Participar en los procesos del Sistema de Gestión Integrado de la Superintendencia en los que sea parte.
8. Las demás que se le asignen y que correspondan a la naturaleza de la dependencia.
ARTÍCULO 11.2.1.4.55. DIRECCIÓN DE FIDUCIARIAS. <Artículo modificado por el artículo 31 del Decreto 2399 de 2019. El nuevo texto es el siguiente:> Además de las funciones comunes previstas en el artículo 11.2.1.4.44. del presente decreto, son funciones la Dirección de Fiduciarias, las siguientes:
1. Ejecutar la supervisión de las sociedades fiduciarias, y cualquier otra entidad cuya vigilancia le sea asignada por el Superintendente, conforme a las políticas, procedimientos y metodologías establecidos por este.
2. Ejecutar la supervisión de los fondos de inversión colectiva y fondos de capital privado administrados por las entidades bajo su supervisión.
3. Dar traslado a la Dirección Legal de los informes de visita y los hechos susceptibles de investigación.
4. Someter a aprobación del Superintendente Delegado los reglamentos, modelos de contratos de suscripción, los prospectos de inversión, o los documentos que hagan sus veces, y sus modificaciones.
5. Ejecutar las demás funciones que las normas otorguen a la Superintendencia respecto de las sociedades fiduciarias, los portafolios de inversión colectiva o fondos de capital privado que estas administren, así como respecto de las entidades que conforman conglomerados financieros de los que estas hagan parte, que corresponda cumplir al Superintendente Delegado para Fiduciarias, a menos que sean asignadas expresamente a otra dependencia de la entidad.
6. Participar en los procesos del Sistema de Gestión Integrado de la Superintendencia en los que sea parte.
7. Las demás que se le asignen y que correspondan a la naturaleza de la dependencia.
ARTÍCULO 11.2.1.4.56. DIRECCIÓN LEGAL DE FIDUCIARIAS. <Artículo modificado por el artículo 3 del Decreto 1848 de 2016. El nuevo texto es el siguiente:> Además de las funciones comunes previstas en el artículo 11.2.1.4.45 del presente decreto, son funciones de la Dirección Legal de Fiduciarias las siguientes:
1. <Numeral modificado por el artículo 32 del Decreto 2399 de 2019. El nuevo texto es el siguiente:> Evaluar y someter a aprobación del Superintendente Delegado, los modelos de contratos que celebren las sociedades fiduciarias por adhesión o para la prestación masiva del servicio.
2. Participar en los procesos del Sistema de Gestión Integrado de la Superintendencia en los que sea parte.
3. Las demás que se le asignen y que correspondan a la naturaleza de la dependencia.
ARTÍCULO 11.2.1.4.57. DESPACHO DEL SUPERINTENDENTE DELEGADO PARA PENSIONES. <Artículo modificado por el artículo 3 del Decreto 1848 de 2016. El nuevo texto es el siguiente:> En adición a las funciones comunes establecidas en el artículo 11.2.1.4.43 del presente decreto, son funciones del Superintendente Delegado para Pensiones, las siguientes:
1. Supervisar a las sociedades administradoras de fondos de pensiones y de fondos de cesantías, las entidades del régimen de prima media, los operadores de la Planilla Integrada de Liquidación de Aportes (PILA), en los términos del Decreto-ley 019 de 2012, los fondos voluntarios de pensiones, los fondos de reservas pensionales, administrados por las entidades de prima media y de las demás entidades que le sean asignadas por el Superintendente.
2. Aprobar los reglamentos de los fondos obligatorios y voluntarios de pensiones y de cesantías y las modificaciones a estos.
3. Cumplir con las demás funciones que le correspondan a la Superintendencia en relación con las entidades vigiladas a su cargo, a menos que sean asignadas expresamente a otra dependencia.
4. Participar en los procesos del Sistema de Gestión Integrado de la Superintendencia en los que sea parte.
5. Las demás que se le asignen y que correspondan a la naturaleza de la dependencia.
ARTÍCULO 11.2.1.4.58. DIRECCIONES DE PENSIONES UNO Y DOS. <Denominación modificada por el artículo 36 del Decreto 2399 de 2019>
<Artículo modificado por el artículo 3 del Decreto 1848 de 2016. El nuevo texto es el siguiente:> En adición a las funciones comunes establecidas en el artículo 11.2.1.4.44, y el artículo 11.2.1.4.45 del presente decreto, son funciones de las Direcciones de Ahorro Individual y Prima Media Uno y Dos, las siguientes:
1. Ejecutar la supervisión de las sociedades administradoras de fondos de pensiones y de fondos de cesantías, los fondos voluntarios de pensiones y los fondos de reservas pensionales, administrados por las entidades de prima media, cuya vigilancia le sea asignada por el Superintendente.
2. Ejecutar las demás funciones que le correspondan a la Superintendencia en relación con las entidades vigiladas a su cargo, que corresponda ejercer al Superintendente Delegado.
3. Apoyar los trámites de autorización de cálculos de las provisiones para pensiones de jubilación y bonos pensionales de las Delegaturas que los requieran.
4. Calcular y verificar el cumplimiento de la rentabilidad mínima que por ley deben garantizar las sociedades administradoras de fondos de pensiones y de cesantía y los patrimonios autónomos de recursos pensionales, administrados por sociedades fiduciarias y entidades aseguradoras.
5. Verificar el cumplimiento de los límites establecidos a las inversiones de los fondos o patrimonios autónomos que administren recursos pensionales y de cesantías y de la calificación mínima exigida.
6. Participar en los procesos del Sistema de Gestión Integrado de la Superintendencia en los que sea parte.
7. Las demás que se le asignen y que correspondan a la naturaleza de la dependencia.
ARTÍCULO 11.2.1.4.59. SECRETARÍA GENERAL. <Artículo modificado por el artículo 3 del Decreto 1848 de 2016. El nuevo texto es el siguiente:> Son funciones de la Secretaría General, las siguientes:
1. Asistir al Superintendente en la determinación de las políticas, objetivos y estrategias relacionadas con la administración de la Superintendencia.
2. Dirigir la ejecución de los programas y actividades relacionadas con los asuntos financieros, servicios administrativos, gestión documental, de Recursos Humanos, de contratación y notificaciones de la entidad.
3. Dirigir y coordinar la gestión de tecnología de la entidad.
4. Implementar la política de empleo público e impartir los lineamientos para la adecuada administración del talento humano de la Superintendencia.
5. Dirigir y coordinar los estudios técnicos requeridos para modificar la estructura interna y la planta de personal de la Superintendencia.
6. Preparar en coordinación con la Oficina Asesora de Planeación, el Anteproyecto Anual de Presupuesto, de acuerdo con las directrices que impartan el Ministerio de Hacienda y Crédito Público, el Departamento Nacional de Planeación y el Superintendente, velando por su correcta y oportuna presentación.
7. Coordinar la elaboración del Programa Anual de Caja de conformidad con las obligaciones adquiridas y presentarlo al Ministerio de Hacienda y Crédito Público.
8. Dirigir la programación, elaboración y ejecución de los planes de contratación y de adquisición de bienes, servicios y de obra pública de la Entidad, así como la elaboración de contratos y su correspondiente liquidación, de manera articulada con los instrumentos de planeación y presupuesto.
9. Impartir las directrices para la ejecución de las actividades relacionadas con la adquisición, almacenamiento, custodia, distribución de bienes muebles e inmuebles necesarios para el normal funcionamiento de la Superintendencia.
10. Administrar las bases de datos que contengan la información necesaria para expedir los certificados de existencia y representación legal de las entidades vigiladas y expedir los mismos.
11. Apoyar la orientación, coordinación y el ejercicio del control administrativo de las dependencias de la entidad.
12. Notificar los actos administrativos de la Superintendencia y designar los notificadores a que haya lugar.
13. Certificar los actos de la Superintendencia y expedir las copias a que haya lugar de conformidad con la ley.
14. Participar en los procesos del Sistema de Gestión Integrado de la Superintendencia en los que sea parte.
15. Las demás que se le asignen y que correspondan a la naturaleza de la dependencia.
ARTÍCULO 11.2.1.4.60. SUBDIRECCIÓN DE TALENTO HUMANO. <Artículo adicionado por el artículo 3 del Decreto 1848 de 2016. El nuevo texto es el siguiente:> Son funciones de la Subdirección de Talento Humano, las siguientes:
1. Dirigir el proceso gerencial del talento humano, en sus componentes de planeación, gestión y desarrollo.
2. Apoyar a la Secretaría General en los elementos conceptuales y técnicos necesarios para la formulación de las políticas, planes, programas y estrategias de gestión y proyección del talento humano de la Superintendencia.
3. Dirigir y ejecutar los programas de selección, inducción, capacitación y hacer seguimiento al desempeño laboral de los servidores de la Superintendencia, de acuerdo con las normas legales vigentes.
4. Formular, ejecutar y evaluar los planes estratégicos y programas para la gestión del talento humano en sus fases de ingreso, permanencia y retiro de los servidores de la Superintendencia, de conformidad con las normas legales vigentes.
5. Dirigir, programar, coordinar y ejecutar las actividades de administración de personal, seguridad industrial y relaciones laborales del personal, de acuerdo con las políticas de la Superintendencia y las normas legales vigentes establecidas sobre la materia.
6. Diseñar, dirigir, administrar y evaluar los programas de formación, capacitación, incentivos, bienestar, seguridad y salud en el trabajo y desarrollo de los servidores públicos de la Superintendencia, de acuerdo con lo previsto en la ley y en el Plan Nacional de Formación y Capacitación.
7. Elaborar, en coordinación con las demás dependencias de la Superintendencia, los estudios técnicos requeridos para modificar la estructura interna y la planta de personal de la Superintendencia.
8. Mantener actualizado el manual de funciones, requisitos y competencias de la Superintendencia.
9. Coordinar y apoyar, en conjunto con la Oficina Asesora de Planeación, el procedimiento relacionado con los acuerdos de gestión que suscriban los gerentes públicos de la Entidad, de acuerdo con lo previsto en la ley y los procedimientos internos.
10. Custodiar, sistematizar y actualizar las historias laborales de todos los servidores de la Entidad.
11. Diseñar e implantar el plan anual de vacantes de la Superintendencia con destino al Departamento Administrativo de la Función Pública.
12. Asesorar al Superintendente en el ejercicio del control administrativo en relación con el talento humano.
13. Ejercer la Secretaría Técnica de la Comisión de Personal de la Superintendencia con fundamento en las disposiciones legales.
14. Realizar las actividades relacionadas con la liquidación de cuotas partes, en el ámbito de su competencia.
15. Apoyar el desarrollo y sostenimiento del Sistema Integrado de Gestión Institucional.
16. Participar en los procesos del Sistema de Gestión Integrado de la Superintendencia en los que sea parte.
17. Las demás que se le asignen y que correspondan a la naturaleza de la dependencia.
ARTÍCULO 11.2.1.4.61. SUBDIRECCIÓN ADMINISTRATIVA. <Artículo adicionado por el artículo 3 del Decreto 1848 de 2016. El nuevo texto es el siguiente:> Son funciones de la Subdirección Administrativa, las siguientes:
1. Adelantar las operaciones administrativas para la prestación de los servicios generales, de archivo y correspondencia y la gestión de los recursos físicos de la Superintendencia.
2. Proponer a la Secretaría General la adopción de políticas, objetivos y estrategias relacionadas con la administración de recursos físicos de la Superintendencia.
3. Ejecutar y supervisar los procedimientos de adquisición, almacenamiento, custodia, mantenimiento y distribución de los bienes y servicios necesarios para el buen funcionamiento de la Superintendencia.
4. Desarrollar y administrar los servicios y operaciones administrativas de servicios generales, almacén e inventarios de la Superintendencia.
5. Garantizar el aseguramiento y protección de los bienes patrimoniales de la Superintendencia.
6. Hacer seguimiento a la ejecución del Plan Anual de Adquisiciones, informando sus resultados para el ajuste o toma de acciones requeridas.
7. Coordinar la prestación de los servicios de apoyo logístico a las diferentes dependencias de la Superintendencia.
8. Realizar el inventario de bienes inmuebles, muebles y vehículos, y mantenerlo actualizado.
9. Contabilizar los ingresos y egresos de bienes devolutivos y de consumo.
10. Dirigir y coordinar la planeación, ejecución, control y seguimiento de la gestión documental de la Superintendencia, garantizando la correcta prestación de los servicios de correspondencia y archivo, de conformidad con las normas vigentes y los lineamientos impartidos por el Archivo General de la Nación.
11. Dirigir y coordinar los procedimientos para la recepción, conservación, clasificación y análisis de la documentación y demás actividades relacionadas con los documentos, biblioteca y fondos documentales de la Superintendencia.
12. Participar en los procesos del Sistema de Gestión Integrado de la Superintendencia en los que sea parte.
13. Las demás que se le asignen y que correspondan a la naturaleza de la dependencia.
ARTÍCULO 11.2.1.4.62. SUBDIRECCIÓN FINANCIERA. <Artículo adicionado por el artículo 3 del Decreto 1848 de 2016. El nuevo texto es el siguiente:> Son funciones de la Subdirección Financiera, las siguientes:
1. Planear, ejecutar y controlar las políticas que se deban tomar en asuntos financieros.
2. Desarrollar y administrar las operaciones contables, de tesorería, financieras y presupuestales.
3. Elaborar, en coordinación con las diferentes dependencias, el anteproyecto anual de presupuesto de la entidad.
4. Desarrollar los procesos de programación, formulación, ejecución y control del presupuesto.
5. Dirigir y ejecutar los trámites para presentar a la Dirección General del Presupuesto Nacional del Ministerio de Hacienda y Crédito Público la constitución de la reserva presupuestal y de las cuentas por pagar en cada vigencia fiscal y los demás trámites a que hubiere lugar.
6. Efectuar los registros contables de las operaciones financieras de la Superintendencia y elaborar sus estados financieros, así como elaborar y presentar oportunamente las diferentes declaraciones tributarias.
7. Coordinar la preparación y la rendición de cuentas a la Contraloría General de la República, en los aspectos financieros.
8. Elaborar el proyecto de acto administrativo que periódicamente fije las contribuciones que deben pagar las entidades supervisadas por la entidad y controlar el recaudo por concepto de contribuciones y multas.
9. Entregar mensualmente a la dependencia de cobro coactivo los saldos de las obligaciones pendientes de pago que terceros tengan con la entidad.
10. Efectuar las operaciones relacionadas con el manejo de los recursos financieros, velando por que se inviertan en condiciones que garanticen liquidez, seguridad y rentabilidad.
11. Dirigir y coordinar la conciliación mensual de los valores causados y pagados con los registros contables, presupuestales y de tesorería.
12. Participar en los procesos del Sistema de Gestión Integrado de la Superintendencia en los que sea parte.
13. Las demás que se le asignen y que correspondan a la naturaleza de la dependencia.
ARTÍCULO 11.2.1.4.63. DIRECCIÓN DE TECNOLOGÍAS DE LA INFORMACIÓN. <Artículo modificado por el artículo 33 del Decreto 2399 de 2019. El nuevo texto es el siguiente:> Son funciones de la Dirección de Tecnologías de la Información, las siguientes:
1. Impartir los lineamientos en materia tecnológica para definir políticas, estrategias y prácticas que soporten la gestión de la Superintendencia.
2. Aplicar los estándares, buenas prácticas y principios para el suministro de la información a cargo de la Superintendencia.
3. Elaborar, actualizar e implementar el plan estratégico de tecnología y sistemas de la información de la Superintendencia.
4. Aplicar los lineamientos y procesos de arquitectura tecnológica de la Superintendencia en materia de software, hardware, redes y telecomunicaciones, acorde con los parámetros gubernamentales para su adquisición, operación, soporte especializado y mantenimiento.
5. Asesorar al Superintendente en la definición de los estándares de datos de los sistemas de información, de seguridad informática y de ciberseguridad de la Superintendencia.
6. Impartir lineamientos tecnológicos para el cumplimiento de estándares de seguridad, privacidad, calidad y oportunidad de la información de la Superintendencia y la interoperabilidad de los sistemas que la soportan, así como el intercambio permanente de información.
7. Elaborar el mapa de información sectorial e institucional que permita contar de manera actualizada y completa con los procesos de producción de información de la Superintendencia, en coordinación con las dependencias de la Entidad.
8. Promover aplicaciones, servicios y trámites en línea para el uso de los servidores públicos, ciudadanos y otras entidades, como herramientas para una mejor gestión.
9. Proponer e implementar las políticas de seguridad informática y de la plataforma tecnológica de la Superintendencia, definiendo los planes de contingencia y supervisando su adecuada y efectiva aplicación.
10. Diseñar estrategias, instrumentos y herramientas con aplicación de tecnologías de la información y las comunicaciones para brindar un buen servicio al ciudadano.
11. Participar en el seguimiento y evaluación de las políticas, programas e instrumentos relacionados con la información pública.
12. Dirigir y orientar el desarrollo de los contenidos y ambientes virtuales requeridos para el cumplimiento de las funciones y objetivos de la Superintendencia.
13. Definir las características técnicas de los bienes informáticos necesarios para la sistematización de la Superintendencia y hacer la evaluación técnica de las ofertas.
14. Participar en los procesos del Sistema de Gestión Integrado de la Superintendencia en los que sea parte.
15. Las demás que se le asignen y que correspondan a la naturaleza de la dependencia.
ARTÍCULO 11.2.1.4.64. SUBDIRECCIÓN DE DESARROLLO DIGITAL. <Artículo modificado por el artículo 34 del Decreto 2399 de 2019. El nuevo texto es el siguiente:> Son funciones de la Subdirección de Desarrollo Digital, las siguientes:”
1. Realizar el análisis, diseño, programación, documentación, implementación y mantenimiento de los sistemas de información de la entidad.
2. Evaluar la calidad de los sistemas de información de la entidad y asegurar el seguimiento de metodologías de desarrollo de los sistemas de información y diseñarlos correctivos pertinentes.
3. Apoyar a las demás dependencias en la definición de los sistemas de información necesarios para el ejercicio de sus funciones.
4. Diseñar y proponer los mecanismos necesarios para que los sistemas de información de la Superintendencia se encuentren actualizados y documentados y diseñar los correctivos a que haya lugar.
5. Evaluar las propuestas y emitir conceptos en los procesos de adquisición de los bienes informáticos.
6. Participar en los procesos del Sistema de Gestión Integrado de la Superintendencia en los que sea parte.
7. Las demás que se le asignen y que correspondan a la naturaleza de la dependencia.
8. Implementar las políticas de gobernabilidad de datos de la Superintendencia respecto de la información de las entidades supervisadas y demás fuentes que se determinen.
ARTÍCULO 11.2.1.4.65. SUBDIRECCIÓN DE OPERACIONES. <Artículo adicionado por el artículo 3 del Decreto 1848 de 2016. El nuevo texto es el siguiente:> Son funciones de la Subdirección de Operaciones, las siguientes:
1. Coordinar la producción y operación de los sistemas de información de la entidad y la transmisión de información a la misma.
2. Diseñar y asegurar el funcionamiento de los planes de contingencias, continuidad de tecnología y seguridad informática de la entidad y propender por la confidencialidad de la información que manejan sus sistemas de información.
3. Diseñar e implementar las redes de comunicación de datos de la entidad.
4. Definir y mantener actualizada la plataforma tecnológica de la entidad.
5. Proponer las políticas de manejo de los sistemas de información y equipos de cómputo de la entidad.
6. Propender por la consistencia de la información reportada a la entidad.
7. Controlar la ejecución de los contratos relacionados con la plataforma tecnológica de la entidad.
8. Desarrollar el mantenimiento al hardware y el software que soportan los sistemas de información de la entidad.
9. Prestar el soporte técnico básico o de primer nivel a los usuarios internos de la Superintendencia, garantizando el adecuado funcionamiento de la infraestructura tecnológica base, en coordinación con las dependencias competentes.
10. Participar en los procesos del Sistema de Gestión Integrado de la Superintendencia en los que sea parte.
11. Las demás que se le asignen y que correspondan a la naturaleza de la dependencia.
12. <Numeral adicionado por el artículo 35 del Decreto 2399 de 2019. El nuevo texto es el siguiente:> Implementar las políticas y estándares en materia de seguridad informática, seguridad de la información y ciberseguridad de la Superintendencia.
ÓRGANOS DE COORDINACIÓN.
ARTÍCULO 11.2.1.5.1 COMITÉ DE POSESIONES.
<Artículo modificado por el artículo 1 del Decreto 329 de 2017. El nuevo texto es el siguiente:> El Comité de Posesiones estará integrado por el Superintendente Financiero o su representante, el Superintendente Delegado Adjunto para Supervisión de Intermediarios Financieros y Seguros, el Superintendente Delegado Adjunto para Supervisión de Emisores, Administradores de Activos e Intermediarios de Valores, y los Superintendentes Delegados a cargo de estos últimos.
El Comité de Posesiones decidirá sobre las solicitudes de posesión y revocatorias de posesión de quienes deban surtir este trámite en la entidad.
El Superintendente Financiero señalará el reglamento al cual deberá sujetarse el Comité de Posesiones.
ARTÍCULO 11.2.1.5.2 COMITÉ DE COORDINACIÓN DEL NÚCLEO DE SUPERVISIÓN.
<Artículo eliminado por el artículo 4 del Decreto 1848 de 2016>
<Artículo eliminado por el artículo 4 del Decreto 1848 de 2016>
DISPOSICIONES COMUNES.
ARTÍCULO 11.2.1.6.1 ENTIDADES VIGILADAS.
<Fuente original compilada: D. 4327/05 Art. 72> Corresponde a la Superintendencia Financiera de Colombia, ejercer la inspección y vigilancia de las entidades previstas en el numeral 2 del artículo 325 del Decreto 663 de 1993, y las normas que lo modifiquen o adicionen, las entidades y actividades previstas en el numeral primero del parágrafo tercero del artículo 75 de la Ley 964 de 2005 y las normas que modifiquen o adicionen dichas disposiciones.
En todo caso, la Superintendencia Financiera de Colombia, ejerce inspección y vigilancia respecto de todos aquellos que al 25 de noviembre de 2005, se encontraran sujetos a la inspección y vigilancia de la Superintendencia de Valores o de la Superintendencia Bancaria, así como respecto de quienes determine la ley o el Gobierno Nacional.
ARTÍCULO 11.2.1.6.2 EMISORES DE VALORES.
<Fuente original compilada: D. 4327/05 Art. 73> Para los efectos del presente Título son emisores de valores las entidades que tengan valores inscritos en el Registro Nacional de Valores y Emisores- RNVE.
La Superintendencia Financiera de Colombia ejercerá control exclusivo respecto de los emisores de valores, excepto cuando se trate de las entidades a las que se refiere el inciso siguiente.
En el caso de los emisores de valores que, por virtud del interés público involucrado en el servicio que presten o en la actividad económica que desarrollen, se encuentren sometidos por ley a la inspección y vigilancia de otra entidad del Estado, la función de control de la Superintendencia Financiera se orientará a verificar que ajusten sus operaciones a las normas que regulan el mercado de valores y a velar por la oportunidad y suficiencia de la información que dichos emisores deben suministrar al mercado de valores, para lo cual podrá imponer las sanciones a que hubiere lugar.
ARTÍCULO 11.2.1.6.3 MERCADOS DE ACTIVOS FINANCIEROS.
<Fuente original compilada: D. 4327/05 Art. 74> Para efectos del presente Título se entiende por mercados de activos financieros los mercados de valores, mercados agropecuarios, agroindustriales y de otros commodities, los mercados de futuros, opciones y otros derivados financieros y la participación en el mercado cambiario de las entidades sujetas a inspección y vigilancia de la Superintendencia Financiera.
ARTÍCULO 11.2.1.6.4 PROVEEDORES DE INFRAESTRUCTURA.
<Fuente original compilada: D. 4327/05 Art. 75> Para los efectos del presente Título, se entiende por proveedores de infraestructura las bolsas de valores, las bolsas de bienes y productos agropecuarios, agroindustriales o de otros commodities, las bolsas de futuros y opciones, los almacenes generales de deposito, los administradores de sistemas de compensación y liquidación de valores, contratos de futuros, opciones y otros, los administradores de depósitos centralizados de valores, las cámaras de riesgo central de contraparte, los administradores de sistemas de negociación de valores y de registro de operaciones, los administradores de sistemas de pago de bajo valor, los administradores de sistemas de negociación y de registro de divisas y los administradores de sistemas de compensación y liquidación de divisas y los demás sistemas o mecanismos por medio de los cuales se facilite la negociación o registro de valores, contratos de futuros, opciones, divisas y demás instrumentos financieros.
ARTÍCULO 11.2.1.6.5 PORTAFOLIOS DE INVERSIÓN. <Artículo modificado el artículo 142 del Decreto 1745 de 2020. El nuevo texto es el siguiente:>
Para los efectos del presente Título se consideran Portafolios de Inversión los fondos de inversión colectiva administrados por sociedades comisionistas de bolsa, sociedades fiduciarias o sociedades administradoras de inversión; los portafolios de valores de terceros administrados por las sociedades comisionistas de bolsa; los fondos mutuos de inversión y los fondos de inversión de capital extranjero administrados por sociedades fiduciarias o por sociedades comisionistas de bolsa.
ARTÍCULO 11.2.1.6.6 INTERMEDIARIOS FINANCIEROS.
<Fuente original compilada: D. 4327/05 Art. 77> Para los efectos del presente Título son intermediarios financieros los bancos, las corporaciones financieras, las compañías de financiamiento, las cooperativas financieras, las secciones de ahorro y crédito de las cajas de compensación, las oficinas de Representación de entidades financieras del exterior, y las entidades públicas de carácter especial como el Banco de la República, FINAGRO, FOGACOOP, FOGAFIN, FONADE, FINDETER, Fondo Nacional de Garantías- FNG y Fondo Nacional del Ahorro.
ARTÍCULO 11.2.1.6.7 RIESGO DE CRÉDITO.
<Fuente original compilada: D. 4327/05 Art. 78> Para los efectos del presente Título se entenderá por riesgo de crédito, la posibilidad de que quienes realicen actividades de intermediación financiera incurran en pérdidas o disminuyan el valor de sus activos como consecuencia de que un deudor incumpla sus obligaciones.
ARTÍCULO 11.2.1.6.8 CONGLOMERADOS.
<Fuente original compilada: D. 4327/05 Art. 79> Para los efectos del presente Título se entiende por conglomerados quienes se encuentren en las situaciones previstas en los artículos 260 del Código de Comercio y el 28 de la Ley 222 de 1995 y las normas que los modifiquen o adicionen, aquellos respecto de los cuales la Superintendencia Financiera de Colombia, en uso de sus atribuciones legales, ordene la consolidación de estados financieros, y los demás que determinen las normas pertinentes.
APROBACIÓN DE LIQUIDACIONES VOLUNTARIAS DE INSTITUCIONES FINANCIERAS POR PARTE DE LA SUPERINTENDENCIA FINANCIERA DE COLOMBIA.
ARTÍCULO 11.2.2.1.1 APROBACIÓN.
<Fuente original compilada: D. 3530/07 Art. 1o.> Para que la Superintendencia Financiera de Colombia apruebe la liquidación voluntaria de las instituciones financieras sometidas a su inspección y vigilancia, de conformidad con lo previsto en el literal j) del numeral 2 del artículo 326 del Estatuto Orgánico del Sistema Financiero, deberá previamente haber comprobado que la correspondiente institución no posee obligaciones para con el público por los conceptos definidos en el numeral 2 del artículo 299 del mencionado Estatuto.
SOCIEDADES CALIFICADORAS DE VALORES.
ARTÍCULO 11.2.3.1.1 FACULTADES.
<Fuente original compilada: D. 1743/91 Art. 1o.> Sin perjuicio de las demás atribuciones que le otorgan las leyes, corresponderá aSuperintendencia Financiera de Colombia en relación con las sociedades cuyo objeto sea la calificación de valores:
1. Señalar los requisitos para su inscripción en el Registro Nacional de Agentes del Mercado de Valores, RNAMV y ordenar dicha inscripción.
2. Otorgar el correspondiente permiso de funcionamiento.
3. Posesionar a sus representantes legales, a los miembros de su junta directiva, así como también a sus revisores fiscales.
4. Fijar los límites de las comisiones o emolumentos que cobren por sus servicios.
5. Aprobar sus reglamentos y tarifas.
6. Adoptar las medidas de carácter general que se requieran para proteger los sanos usos y prácticas que deben observar en el mercado de valores.
7. Autorizarlas para desarrollar otras actividades análogas a la de calificación de valores, con el fin de promover el desarrollo del mercado.
8. Impartir instrucciones sobre las garantías que deben constituir.
PRONUNCIAMIENTO SOBRE ESTADOS FINANCIEROS.
ARTÍCULO 11.2.4.1.1 PRONUNCIAMIENTO SOBRE ESTADOS FINANCIEROS.
<Fuente original compilada: D. 89/08 Art. 1o.> Las entidades que se encuentren sometidas a la inspección y vigilancia de la Superintendencia Financiera de Colombia, con excepción de las previstas en artículo 11.2.4.1.2 del presente decreto, no deberán someter sus estados financieros a dicho organismo para que este imparta la autorización para su aprobación por parte de las respectivas asambleas de socios o asociados y su posterior publicación.
ARTÍCULO 11.2.4.1.2 REGLAS Y CRITERIOS SOBRE EL PRONUNCIAMIENTO DE LA SUPERINTENDENCIA FINANCIERA DE COLOMBIA SOBRE LOS ESTADOS FINANCIEROS. <Fuente original compilada: D. 89/08 Art. 2o.> Las entidades sometidas a la inspección y vigilancia de la Superintendencia Financiera de Colombia que se encuentren en cualquiera de las siguientes situaciones, deberán someter a esta sus estados financieros para que dicho organismo imparta la autorización para su aprobación por parte de las respectivas asambleas de socios o asociados y su posterior publicación:
a) En los casos en que la Superintendencia Financiera de Colombia les haya decretado la medida de toma de posesión o hayan estado sometidas a dicha medida, en parte del respectivo ejercicio contable. Lo anterior no aplica en el caso de una toma de posesión para liquidar, dado el régimen especial que rige ese proceso;
b) Las que durante el período correspondiente a los estados financieros hayan sido objeto o hayan estado sometidas a alguna de las medidas preventivas consagradas en el artículo 113 del Estatuto Orgánico del Sistema Financiero;
c) Aquellas que durante el último año, en consideración a las glosas de la Superintendencia Financiera de Colombia o de la revisoría fiscal, hayan debido suspender o modificar la fecha de la asamblea en que debían aprobarse los estados financieros de fin de ejercicio;
d) Las entidades en las cuales las respectivas asambleas de socios o asociados no hayan podido considerar durante el último año los estados financieros de fin de ejercicio, independientemente de la causa que haya dado origen a esa circunstancia;
e) Entidades con menos de tres (3) años de constituidas;
f) Entidades que durante el período correspondiente a los estados financieros hayan realizado fusiones, escisiones, adquisiciones, cesiones totales o parciales de activos, pasivos y contratos y enajenación de establecimientos de comercio a otra institución, y en general la organización de las instituciones financieras prevista en el artículo 71 numeral 3 del Estatuto Orgánico del Sistema Financiero;
g) Entidades respecto de las cuales la Superintendencia Financiera de Colombia, por medio de decisiones particulares y en consideración a las condiciones que a continuación se señalan, así lo disponga: i) Cuando circunstancias especiales sugieran un eventual deterioro de los activos de la entidad o de los administrados por esta; ii) Cuando en el transcurso del respectivo ejercicio contable la Superintendencia Financiera de Colombia haya ordenado correcciones o ajustes a los estados financieros o la constitución de provisiones sin que a la fecha de corte del respectivo ejercicio se hayan efectuado; iii) Cuando la entidad no haya reportado oportunamente la información que está obligada a enviar a la Superintendencia Financiera de Colombia o existan inconsistencias o serias dudas sobre su razonabilidad; iv) Cuando la entidad no haya dado solución satisfactoria a las observaciones y glosas formuladas por la Superintendencia Financiera de Colombia respecto de los estados financieros intermedios del respectivo ejercicio; v) Cuando las circunstancias del mercado puedan incidir desfavorablemente en una o varias áreas de negocios de las instituciones vigiladas.
CERTIFICACIÓN DEL INTERÉS BANCARIO CORRIENTE.
ARTÍCULO 11.2.5.1.1 CERTIFICACIÓN DEL INTERÉS BANCARIO CORRIENTE.
<Fuente original compilada: D. 519/07 Art. 1o. Modificado por el D. 919/08 Art. 1o.> La Superintendencia Financiera de Colombia certificará el interés bancario corriente correspondiente a las modalidades de crédito señaladas en el artículo 11.2.5.1.2 del presente decreto.
Para el desarrollo de dicha función, la Superintendencia Financiera de Colombia contará con la información financiera y contable que le sea suministrada por los establecimientos de crédito. La tasa de las operaciones activas se analizará mediante técnicas adecuadas de ponderación, pudiendo ser exceptuadas aquellas operaciones que por sus condiciones particulares no resulten representativas del conjunto de créditos correspondientes a cada modalidad.
La metodología para el cálculo del interés bancario corriente, así como cualquier modificación que se haga a la misma, deberá ser publicada por la Superintendencia Financiera de Colombia, de manera previa a su aplicación.
Las tasas certificadas se expresarán en términos efectivos anuales y regirán por el periodo que determine la Superintendencia Financiera de Colombia, previa publicación del acto administrativo.
ARTÍCULO 11.2.5.1.2 MODALIDADES DE CRÉDITO CUYAS TASAS DEBEN SER CERTIFICADAS. <Fuente original compilada: D. 519/07 Art. 2o. Modificado por el D. 919/08 Art. 2o.>
1. Microcrédito: <Numeral modificado por el artículo 12 del Decreto 222 de 2020. El nuevo texto es el siguiente:> es el constituido por las operaciones activas de crédito a las cuales se refiere el artículo 39 de la Ley 590 de 2000, o las normas que la modifiquen, sustituyan o adicionen, así como las realizadas con microempresas en las cuales la principal fuente de pago de la obligación provenga de los ingresos derivados de su actividad.
Para los efectos previstos en este numeral el saldo de endeudamiento del deudor no podrá exceder de ciento veinte (120) salarios mínimos legales mensuales vigentes al momento de la aprobación de la respectiva operación activa de crédito.
Se entiende por saldo de endeudamiento el monto de las obligaciones vigentes a cargo de la correspondiente microempresa con el sector financiero y otros sectores, que se encuentren en los registros con que cuenten los operadores de bancos de datos consultados por el respectivo acreedor, excluyendo los créditos hipotecarios para financiación de vivienda y adicionando el valor de la nueva obligación.
Por microempresa se entenderá lo establecido en el Artículo 2.2.1.13.2.2 del Decreto número 1074 de 2015, o las normas que lo modifiquen, sustituyan o adicionen.
2. Crédito de consumo y ordinario:
a) El crédito de consumo es el constituido por las operaciones activas de crédito realizadas con personas naturales para financiar la adquisición de bienes de consumo o el pago de servicios para fines no comerciales o empresariales, incluyendo las efectuadas por medio de sistemas de tarjetas de crédito, en ambos casos, independientemente de su monto;
b) El crédito ordinario es el constituido por las operaciones activas de crédito realizadas con personas naturales o jurídicas para el desarrollo de cualquier actividad económica y que no esté definido expresamente en ninguna de las modalidades señaladas en este artículo, con excepción del crédito de vivienda a que se refiere la Ley 546 de 1999.
3. <Numeral adicionado por el artículo 2 del Decreto 2654 de 2014. El nuevo texto es el siguiente:> Crédito de consumo de bajo monto: Es el constituido por las operaciones activas de crédito realizadas en los términos del Título 16 del Libro 1 de la Parte 2 del presente decreto
PARÁGRAFO 1. Para los efectos previstos en el inciso segundo del artículo 11.2.5.1.1 del presente decreto, se entiende que no es representativo del conjunto de créditos correspondientes a la modalidad del crédito ordinario, entre otros, el crédito preferencial, esto es, el constituido por las operaciones activas de crédito que, por sus características particulares o especiales, se pactan en condiciones diferentes a las que generalmente utiliza la entidad para con el público.
PARÁGRAFO 2. Para los efectos previstos en este decreto, la clasificación de una operación activa de crédito en una modalidad particular se hará por parte del acreedor al momento de la aprobación y permanecerá así hasta su cancelación con base en los criterios establecidos en el presente decreto. El acreedor deberá informar al deudor la modalidad en la que fue clasificado el crédito en el momento de la aprobación.
PARÁGRAFO 3o. (Adicionado por el D. 519/07 Art. 3o.) Sin perjuicio de lo señalado en el numeral primero del presente artículo, el cobro de los honorarios y comisiones por parte de los intermediarios financieros y las organizaciones especializadas en crédito microempresarial, autorizado por el artículo 39 de la Ley 590 de 2000, será procedente únicamente en los eventos previstos en dicha disposición.
ARTÍCULO 11.2.5.1.3 EFECTOS DE LAS CERTIFICACIONES DEL INTERÉS BANCARIO CORRIENTE.
<Fuente original compilada: D. 519/07 Art. 3o.> En las operaciones activas de crédito, para todos los efectos legales relativos a los intereses e independientemente de la naturaleza jurídica del acreedor, deberá tenerse en cuenta el interés bancario corriente certificado por la Superintendencia Financiera de Colombia para el respectivo período, que corresponda a la modalidad de la operación activa de crédito de que se trate, de conformidad con lo dispuesto en el artículo 11.2.5.1.2 del presente decreto. Así mismo, estarán sometidas a lo previsto en este inciso las ventas a plazo en cuanto al precio pendiente de pago, las operaciones de leasing operativo y financiero, el descuento de derechos personales o créditos de carácter dinerario y de valores o títulos valores y las operaciones de reporto o repo, simultáneas y de transferencia temporal de valores.
En todos los demás casos en que se deban pagar intereses de plazo o de mora, así como en los eventos en que los intereses se encuentren definidos en la ley o el contrato en función del interés bancario corriente, tales como los intereses de mora que se deban por concepto de tributos, obligaciones parafiscales u obligaciones mercantiles de carácter dinerario diferentes de las provenientes de las operaciones activas de crédito y demás operaciones mencionadas en el inciso anterior, únicamente deberá tenerse en cuenta el interés bancario corriente certificado para el crédito de consumo y ordinario.
PARÁGRAFO 1. Para los efectos previstos en este decreto, se entiende por operación activa de crédito aquella por la cual una de las partes entrega o se obliga a entregar una cantidad de dinero y la otra a pagarla en un momento distinto de aquel en que se celebra la convención.
PARÁGRAFO 2. Los límites para la fijación del interés remuneratorio en el crédito de vivienda a que se refiere la Ley 546 de 1999, serán los que determine la Junta Directiva del Banco de la República, de conformidad con las decisiones de la Corte Constitucional en la materia. El límite para la fijación del interés de mora será el previsto en el artículo 19 de dicha ley.
ARTÍCULO 11.2.5.1.4 RÉGIMEN DE TRANSICIÓN.
<Artículo modificado por el artículo 1 del Decreto 3590 de 2010. El nuevo texto es el siguiente:> La Superintendencia Financiera de Colombia certificará, a partir del 1o de octubre de 2010, el interés bancario corriente aplicable a la modalidad de microcrédito de acuerdo con la definición contemplada en el numeral 1 del artículo 11.2.5.1.2 del Decreto 2555 de 2010, adoptando para el efecto una metodología que permita ajustar la tasa de esta modalidad crediticia a las tasas de interés del mercado, a lo largo de un período de doce (12) meses contados a partir del momento de la certificación.
Transcurrido el plazo mencionado la certificación se efectuará de conformidad con establecido en el artículo 11.2.5.1.1 del presente decreto.
AUDITORÍAS EXTERNAS.
ARTÍCULO 11.2.6.1.1. OBJETIVO DE LAS AUDITORÍAS EXTERNAS.
<Artículo adicionado por el artículo 1 del Decreto 3593 de 2010. El nuevo texto es el siguiente:> Las auditorías externas que se adelanten en desarrollo de la facultad prevista en el artículo 84 de la Ley 1328 de 2009 tendrán como objetivo la consecución de un concepto técnico y especializado sobre los hechos o circunstancias específicas que se definan en el acto administrativo que las ordena.
ARTÍCULO 11.2.6.1.2. PRINCIPIOS.
<Artículo adicionado por el artículo 1 del Decreto 3593 de 2010. El nuevo texto es el siguiente:> Las auditorías externas previstas en el artículo 84 de la Ley 1328 de 2009 se regirán por los siguientes principios:
a) Excepcionalidad: Las auditorías externas se ordenarán de manera excepcional cuando existan hechos o circunstancias que requieran la emisión de un concepto técnico y especializado. En desarrollo de este principio, la Superintendencia Financiera de Colombia, al momento de ordenar la contratación de las auditorías externas, evaluará las competencias y disponibilidad de su recurso humano, de lo cual deberá quedar expresa justificación en el acto que la ordena, procurando evitar la duplicidad innecesaria de funciones;
b) Especificidad: Las auditorías externas versarán sobre los aspectos delimitados por la Superintendencia Financiera de Colombia en el acto administrativo que ordene su contratación, y en ningún caso podrán referirse a aspectos indeterminados;
c) Independencia: Las auditorías externas deberán realizarse por personas que no tengan vínculos con la entidad auditada, sus filiales o subsidiarias, su matriz o las subordinadas de esta, que puedan afectar el desarrollo y el resultado de las mismas;
d) Eficacia: Las auditorías externas deberán lograr su finalidad y cumplir los objetivos para los cuales hayan sido ordenadas;
e) Confidencialidad: Tanto las auditorías externas que se realicen en desarrollo de lo dispuesto en el presente Decreto como los informes que de ellas se deriven, serán confidenciales.
ARTÍCULO 11.2.6.1.3. EVENTOS DE AUDITORÍA EXTERNA.
<Artículo adicionado por el artículo 1 del Decreto 3593 de 2010. El nuevo texto es el siguiente:> La Superintendencia Financiera de Colombia podrá ordenar, con cargo a la respectiva entidad auditada y mediante acto administrativo debidamente motivado, la contratación de auditorías externas en cualquiera de los siguientes eventos:
a) Cuando por razones técnicas de la operación de la entidad se haga necesario un análisis especializado sobre un asunto particular.
b) Cuando se presenten situaciones que permitan inferir riesgos o circunstancias que puedan afectar el interés público, atentar contra la estabilidad, seguridad y confianza en el sistema financiero, asegurador y bursátil, y/o los intereses de los consumidores financieros, que merezcan un estudio especializado.
c) Cuando se presenten situaciones que permitan inferir riesgos o circunstancias que puedan atentar contra la estabilidad, seguridad y confianza del público respecto de una entidad en particular, que merezcan un estudio especializado.
ARTÍCULO 11.2.6.1.4. SELECCIÓN DEL AUDITOR EXTERNO.
<Artículo adicionado por el artículo 1 del Decreto 3593 de 2010. El nuevo texto es el siguiente:> La entidad vigilada deberá seleccionar al auditor externo con base en las calidades y criterios definidos en el acto administrativo que ordena su contratación dentro del término que allí señale la Superintendencia Financiera de Colombia. La entidad vigilada procederá a contratar al auditor externo, previo pronunciamiento de la Superintendencia Financiera de Colombia sobre su independencia e idoneidad.
ARTÍCULO 11.2.6.1.5. CONTENIDO DEL INFORME DE AUDITORÍA.
<Artículo adicionado por el artículo 1 del Decreto 3593 de 2010. El nuevo texto es el siguiente:> El informe de auditoría deberá cumplir todos y cada uno de los objetivos establecidos en el acto administrativo que ordene la contratación de la auditoría externa. En todo caso, el Informe deberá señalar si se ha obtenido la información necesaria para el desarrollo de la auditoría externa.
El informe de auditoría deberá ser entregado a la Superintendencia Financiera de Colombia, adjuntando la copia de todos los documentos revisados por el auditor externo que soporten el informe, así como la demás información que se considere relevante para su cabal comprensión.
Cuando lo considere necesario, la Superintendencia Financiera de Colombia podrá solicitar al auditor externo la complementación o aclaración del informe de auditoría, siempre que lo solicitado no implique la ampliación de los objetivos inicialmente contemplados en el acto administrativo que haya ordenado la contratación de la auditoría externa.
ARTÍCULO 11.2.6.1.6. EFECTOS DE LOS INFORMES DE AUDITORÍA.
<Artículo adicionado por el artículo 1 del Decreto 3593 de 2010. El nuevo texto es el siguiente:> Los informes de las auditorías de que trata el presente decreto serán rendidos por los auditores en las mismas condiciones y tendrán el alcance de los informes de los inspectores nombrados por la Superintendencia Financiera de Colombia, serán comunicados confidencialmente a dicha Superintendencia y servirán como fundamento para que dicho ente de supervisión adelante los procedimientos administrativos que resulten de las conclusiones de los mismos.
ARTÍCULO 11.2.6.1.7. TÉRMINO DE LAS AUDITORÍAS EXTERNAS.
<Artículo adicionado por el artículo 1 del Decreto 3593 de 2010. El nuevo texto es el siguiente:> Las auditorías externas ordenadas por la Superintendencia Financiera de Colombia no podrán tener una duración mayor a tres (3) meses, contados a partir de la fecha en que el auditor inicie sus labores. No obstante, por solicitud del auditor externo, la Superintendencia Financiera de Colombia podrá prorrogar dicha duración hasta por tres (3) meses adicionales.
En ningún caso se podrán ordenar sobre una misma entidad vigilada más de dos (2) auditorías externas en un término de doce (12) meses, contados a partir de la fecha en que inicie la primera auditoría externa.
ARTÍCULO 11.2.6.1.8. OBLIGACIONES DEL AUDITOR EXTERNO.
<Artículo adicionado por el artículo 1 del Decreto 3593 de 2010. El nuevo texto es el siguiente:> Los auditores externos deberán cumplir sus labores de acuerdo con las normas que rigen su actividad, las disposiciones del presente Decreto y el acto administrativo de la Superintendencia Financiera de Colombia que ordene la contratación de la auditoría externa.
ARTÍCULO 11.2.6.1.9. RESPONSABILIDAD DEL AUDITADO.
<Artículo adicionado por el artículo 1 del Decreto 3593 de 2010. El nuevo texto es el siguiente:> Las instituciones vigiladas que sean objeto de las auditorías externas, a las que se refiere el presente decreto, estarán obligadas a colaborar ampliamente con los auditores en el suministro de la información requerida, facilitando el acceso a la misma mediante la disposición de los documentos que se le soliciten y demás mecanismos que sean necesarios para el cabal cumplimiento de las obligaciones del auditor externo.
FONDO DE GARANTÍAS DE INSTITUCIONES FINANCIERAS- FOGAFIN.
SEGUIMIENTO DE LA ACTIVIDAD DE LOS LIQUIDADORES.
ARTÍCULO 11.3.1.1.1 ÁMBITO DE APLICACIÓN.
<Fuente original compilada: D. 281/06 Art. 1o.> Las disposiciones del presente Título serán aplicables a los procesos liquidatorios de entidades financieras y aseguradoras, cuyo liquidador esté sometido al seguimiento del Fondo de Garantías de Instituciones Financieras-FOGAFIN, con independencia de la modalidad bajo la cual se desarrolle el respectivo proceso.
ARTÍCULO 11.3.1.1.2 DEFINICIÓN.
<Artículo modificado por el artículo 6 del Decreto 1535 de 2016. El nuevo texto es el siguiente:> Para efectos de lo previsto en el literal e) del numeral 2 del artículo 316 del Estatuto Orgánico del Sistema Financiero, se entiende por seguimiento, la facultad que tiene el Fondo de Garantías de Instituciones Financieras (Fogafín) de evaluar la gestión y eficacia del liquidador de la respectiva entidad, teniendo en cuenta principalmente los criterios que se señalan en el presente Título.
Para el ejercicio de sus funciones, el Fondo de Garantías de Instituciones Financieras (Fogafín) podrá solicitar aquella información que estime necesaria para examinar la gestión y eficacia de la actividad del liquidador, que le permita identificar el cumplimiento de los objetivos estratégicos del proceso liquidatorio definidos por el Fondo, de acuerdo con la naturaleza y complejidad de la entidad objeto de la liquidación, y adoptar las medidas a que haya lugar para que el liquidador logre cumplir los objetivos de acuerdo con las normas que rigen el proceso liquidatorio.
De acuerdo con lo previsto en el numeral 2 del artículo 296 del Estatuto Orgánico del Sistema Financiero, el Fondo de Garantías de Instituciones Financieras (Fogafín) podrá tener acceso en todo tiempo a los libros y papeles de la sociedad y a los documentos y actuaciones de la liquidación, sin que le sea oponible reserva alguna.
En el caso de liquidaciones voluntarias, el Fondo de Garantías de Instituciones Financieras (Fogafín) podrá además convocar y poner en conocimiento de la asamblea de accionistas de la entidad en liquidación, aquellas situaciones que considere pertinentes.
El seguimiento efectuado por el Fondo de Garantías de Instituciones Financieras (Fogafín) no exonera al liquidador de responsabilidad alguna derivada del cumplimiento de sus funciones, ni implica participación o intervención en la administración por parte del Fondo de Garantías de Instituciones Financieras (Fogafín) en sus actividades.
ARTÍCULO 11.3.1.1.3 PARÁMETROS.
<Artículo modificado por el artículo 7 del Decreto 1535 de 2016. El nuevo texto es el siguiente:> La función de seguimiento del Fondo de Garantías de Instituciones Financieras (Fogafín) de las actividades del liquidador se adelantará observando principalmente los siguientes parámetros:
1. La gestión se medirá teniendo en cuenta el cumplimiento de los principios y normas que rigen los procesos liquidatorios, incluyendo los instructivos expedidos por el Fondo de Garantías de Instituciones Financieras (Fogafín), y el logro de los objetivos estratégicos de la liquidación.
2. El Fondo de Garantías de Instituciones Financieras (Fogafín) podrá verificar que los actos del liquidador se sujetan a los principios que rigen las actuaciones administrativas, previstos en el artículo 3o de la Ley 489 de 1998.
3. Se podrá exigir la presentación de planes de trabajo, presupuestos, informes de ejecución, y demás documentación que el Fondo de Garantías de Instituciones Financieras (Fogafín) considere pertinente, cuyo cumplimiento se podrá tener en cuenta en la evaluación.
4. El Fondo de Garantías de Instituciones Financieras (Fogafín) podrá iniciar las acciones que de acuerdo con lo previsto en el numeral 10 del artículo 295 del Estatuto Orgánico del Sistema Financiero, y demás normas aplicables se deriven de las actuaciones del liquidador.
ARTÍCULO 11.3.1.1.4 RENDICIÓN DE CUENTAS.
<Fuente original compilada: D. 281/06 Art. 4o.> Sin perjuicio de otra información que solicite el Fondo de Garantías de Instituciones Financieras-FOGAFIN, el liquidador, en el caso de liquidación forzosa administrativa deberá presentar la rendición de cuentas prevista en el artículo 297 del Estatuto Orgánico del Sistema Financiero, la cual deberá entregarse al contralor para su respectiva revisión, con la antelación que señale el Fondo de Garantías de Instituciones Financieras-FOGAFIN.
El contenido de la rendición de cuentas, se debe sujetar a lo dispuesto en el numeral 3 del artículo 297 del citado Estatuto y demás normas complementarias.
En el caso de procesos de liquidación voluntaria, el liquidador deberá rendir cuentas comprobadas de su gestión, en las oportunidades y términos previstos en la ley, y en forma extraordinaria, cuando así lo exijan las circunstancias, especialmente por requerimientos de los accionistas, de los acreedores, de unos y otros conjuntamente, o del Fondo de Garantías de Instituciones Financieras- FOGAFIN.
ARTÍCULO 11.3.1.1.5 PREVENCIÓN Y CONTROL DE ACTIVIDADES DELICTIVAS.
<Fuente original compilada: D. 281/06 Art. 5o.> En desarrollo de las funciones asignadas en el proceso de liquidación, el liquidador y el contralor deben adoptar los mecanismos orientados al control y prevención de actividades delictivas, a efectos de evitar que la entidad en liquidación pueda ser usada para transferir, manejar, aprovechar o invertir dineros o recursos provenientes de esta clase de actividades.
ARTÍCULO 11.3.1.1.6 ALCANCE DEL SEGUIMIENTO EN LIQUIDACIONES VOLUNTARIAS.
<Aparte tachado NULO> <Fuente original compilada: D. 2312/10 Art. 1o.> El seguimiento a la actividad de los liquidadores que realice el Fondo de Garantías de Instituciones Financieras, en las liquidaciones voluntarias de entidades sometidas a la inspección y vigilancia de la Superintendencia Financiera de Colombia, se extenderá única y exclusivamente hasta el pago del pasivo para con el público.
En consecuencia, una vez se cumpla dicho propósito, y con el fin de dar por terminado el seguimiento de que trata el inciso anterior, el Fondo de Garantías de Instituciones Financieras solicitará un informe de rendición de cuentas al liquidador, respecto de su gestión hasta ese momento. Lo anterior, sin perjuicio de la gestión subsiguiente del liquidador dentro de los procesos de liquidación voluntaria y la correspondiente aplicación de las normas contenidas en el Código de Comercio y sus disposiciones complementarias.
APORTES DE CAPITAL EN SOCIEDADES ANÓNIMAS CUYO OBJETO PRINCIPAL SEA LA ADQUISICIÓN, LA ADMINISTRACIÓN Y LA ENAJENACIÓN DE ACTIVOS IMPRODUCTIVOS Y EN SOCIEDADES ANÓNIMAS DE SERVICIOS TÉCNICOS O ADMINISTRATIVOS.
ARTÍCULO 11.3.2.1.1 APORTES DE CAPITAL EN SOCIEDADES ANÓNIMAS DE NATURALEZA PÚBLICA.
<Fuente original compilada: D. 1814/00 Art. 1o. modificado por el D. 2374/04 Art. 1o.> El Fondo de Garantías de Instituciones Financieras-FOGAFIN está autorizado para realizar aportes de capital en sociedades anónimas de naturaleza pública, cuyo objeto principal sea la adquisición, la administración y la enajenación de activos improductivos, incluidos los derechos en procesos liquidatorios, cuyos propietarios sean dicho fondo, los establecimientos de crédito de naturaleza pública y el Ministerio de Hacienda y Crédito Público.
<Fuente original compilada: D. 2084/06 Art. 1o.> El Fondo de Garantías de Instituciones Financieras-FOGAFIN podrá realizar aportes de capital en sociedades anónimas de servicios técnicos o administrativos que tengan como objeto prestar servicios de soporte técnico, tecnológico y operativo a entidades que adelanten actividades relacionadas con microfinanzas. Para efectos del presente decreto se entiende por microfinanzas todos los servicios financieros dirigidos a las Pymes, microempresas y a los hogares de bajos recursos económicos. Tales sociedades deberán surgir como resultado de procesos de escisión de establecimientos de crédito en los que el Fondo haya participado como accionista.
En todo caso el Fondo de Garantías de Instituciones Financieras-FOGAFIN no podrá invertir más de ciento veintidós (122) salarios mínimos legales mensuales vigentes en las sociedades de servicios técnicos o administrativos a que se refiere este artículo, ni tampoco podrá poseer un número de acciones que represente más del diez por ciento (10%) de las acciones en circulación de dichas sociedades, excepto durante los primeros dieciocho (18) meses de funcionamiento de las mismas. Este plazo se contará a partir de la fecha de su constitución.
La Superintendencia Financiera de Colombia podrá ampliar el plazo de fijado en el presente artículo, pero tal ampliación no podrá exceder de un (1) año.
COBERTURA DE LOS CRÉDITOS INDIVIDUALES DE VIVIENDA A LARGO PLAZO.
ARTÍCULO 11.3.3.1.1 DEFINICIONES.
<Fuente original compilada: D. 66/03 Art. 1o.> Los términos que se definen a continuación tendrán el significado que aquí se les atribuye:
1. Contratos. Serán los contratos de administración de la cobertura de que trata el artículo 11.3.3.1.7 del presente decreto.
2. Créditos elegibles. Serán elegibles para las operaciones de cobertura los créditos individuales de vivienda de largo plazo denominados en UVR que se encuentren dentro del límite de la cobertura y cumplan con las condiciones que establece el artículo 96 de la Ley 795 de 2003 y el artículo 11.3.3.1.4 del presente decreto.
3. Créditos objeto de la cobertura. Serán los créditos elegibles que accedan a la cobertura.
4. Diferencia de tasas. Será la diferencia registrada durante un período de liquidación entre la tasa de variación de la UVR y la tasa de referencia.
5. (Numeral modificado por el D. 341/05 Art. 1o.) Límite de la cobertura. Serán los primeros cuarenta mil (40.000) créditos que se desembolsen entre el 1o de septiembre de 2002 y el 31 de diciembre de 2005 y que de acuerdo con el presente decreto sean créditos elegibles.
6. Operaciones de cobertura. Serán las operaciones con derivados de que trata el artículo 96 de la Ley 795 de 2003.
7. Período de facturación. Será el período de facturación de cada uno de los créditos objeto de la cobertura.
8. Período de liquidación. Será igual a un (1) mes calendario.
9. Reserva. Será la reserva de que trata el artículo 11.3.3.1.8 del presente decreto.
10. Tasa de referencia. Será la tasa que establece el Gobierno Nacional.
11. Tasa de variación de la UVR. Será la variación observada en la UVR durante un período de liquidación.
<Fuente original compilada: D. 66/03 Art. 2o.> La Nación-Ministerio de Hacienda y Crédito Público, a través del Fondo de Garantías de Instituciones Financieras-FOGAFIN, podrá realizar operaciones de cobertura frente al riesgo de variación de la unidad de valor real (UVR) respecto de una tasa de referencia con los deudores de créditos elegibles, conforme a las reglas que se establecen en el presente decreto. Para tal efecto, el Fondo podrá contratar con los establecimientos de crédito para que actúen como mandatarios en la administración y ejecución de las operaciones de cobertura que se realicen con los deudores respectivos.
PARÁGRAFO. El Fondo Nacional de Ahorro se encuentra facultado para realizar con el Fondo de Garantías de Instituciones Financieras-FOGAFIN, las operaciones previstas en el presente Título.
ARTÍCULO 11.3.3.1.3 DETERMINACIÓN DE LA TASA DE REFERENCIA.
<Fuente original compilada: D. 66/03 Art. 3o.> La tasa de referencia será del seis por ciento (6%) efectivo anual para los créditos objeto de la cobertura otorgados en los años 2002 y 2003. Para los créditos objeto de la cobertura otorgados en los años 2004 y 2005 la tasa de referencia será del seis por ciento (6%) efectivo anual, salvo que el Gobierno Nacional establezca una tasa diferente.
ARTÍCULO 11.3.3.1.4 CRÉDITOS ELEGIBLES.
<Fuente original compilada: D. 66/03 Art. 4o.> Los créditos elegibles serán aquellos que cumplan las siguientes condiciones:
1. (Modificado por el D. 341/05 Art. 2o.) Fecha de desembolso. Los créditos deberán haberse desembolsado entre el 1o de septiembre de 2002 y el 31 de diciembre de 2005.
2. Destino de los créditos. Para ser elegibles para la cobertura, los créditos deberán haber sido otorgados por establecimientos de crédito a una o varias personas naturales para financiar la construcción de vivienda propia, o la compra de vivienda nueva o usada.
No serán elegibles para la cobertura los siguientes créditos:
a) Los otorgados para la reparación, subdivisión o ampliación de vivienda;
b) Los otorgados a constructores;
c) Los microcréditos, salvo los microcréditos inmobiliarios que se destinen a la adquisición de vivienda que cumplan las condiciones para ser créditos elegibles;
d) Las novaciones totales o parciales, salvo:
i) Los créditos resultantes de la novación que hayan sido desembolsados dentro del período a que se refiere el numeral 1 del presente artículo;
ii) Los subrogaciones individuales de créditos, y
iii) Los nuevos créditos individuales para la financiación de vivienda cuyo producto se destine al pago de un crédito previamente concedido al constructor para financiar la construcción del inmueble respectivo; cuando, en todos estos casos se cumplan las demás condiciones para ser créditos elegibles;
e) Los que con anterioridad hayan contado con cobertura y la hayan perdido por mora de los deudores o por haber estos solicitado su terminación;
f) Aquellos en que alguno de los deudores ya fuera, o haya sido, beneficiario de la cobertura, cuando dicho deudor sea, o haya sido, propietario o copropietario del inmueble hipotecado, y
g) Los créditos originados en las reestructuraciones, o refinanciaciones de créditos a deudores individuales para la financiación de vivienda, salvo aquellos créditos que hayan sido desembolsados dentro del período a que se refiere el numeral 1 del presente artículo.
h) (Adicionado por el D. 253/03 Art. 1o.) Los créditos de los deudores que hayan sido beneficiarios del subsidio familiar de vivienda de que tratan las Leyes 49 de 1990, 3ª de 1991 y 546 de 1999.
3. Valor del crédito y del inmueble destinado a vivienda. Los créditos no podrán exceder de ciento treinta (130) salarios mínimos legales mensuales vigentes y el inmueble respectivo no podrá tener un valor superior a trescientos veintitrés (323) salarios mínimos legales mensuales vigentes. El valor del crédito se determinará en la fecha de su desembolso, y el valor del inmueble será el que aparezca en el avalúo que hubiere sido realizado como parte del proceso de aprobación del crédito respectivo por el establecimiento de crédito.
4. Estado del crédito. Los deudores no deberán estar en mora en el pago de los respectivos créditos en el momento de la presentación de las solicitudes de acceso a la cobertura.
ARTÍCULO 11.3.3.1.5 ACCESO, EJECUCIÓN Y TERMINACIÓN DE LA COBERTURA.
<Fuente original compilada: D. 66/03 Art. 5o.> Los deudores de créditos elegibles podrán solicitar el acceso a la cobertura por intermedio de los establecimientos de crédito respectivos que hubieren suscrito contratos, con arreglo a los siguientes lineamientos:
1. Solicitudes de acceso a la cobertura. Para acceder a la cobertura el deudor de un crédito elegible deberá presentar una solicitud de acceso al Fondo de Garantías de Instituciones Financieras-FOGAFIN, por intermedio del establecimiento de crédito respectivo. Los establecimientos de crédito remitirán al Fondo de Garantías de Instituciones Financieras-FOGAFIN, las listas de solicitudes para acceso a la cobertura.
2. Prohibición de costos y recargos. La solicitud, acceso, ejecución, terminación y liquidación de la cobertura no generarán costos ni recargos para los deudores salvo los montos que deban pagar en los eventos previstos en el numeral 9 del presente artículo, y en el artículo 11.3.3.1.6, y los intereses que les correspondan en caso de mora. En tal evento, estos se liquidarán a la misma tasa estipulada para la mora del respectivo crédito hipotecario.
3. Pagaré. Todo deudor que desee acceder a la cobertura deberá anexar a su solicitud de acceso, un pagaré con su correspondiente carta de instrucciones. Tanto el pagaré como la carta de instrucciones deberán estar debidamente suscritos a favor del Fondo de Garantías de Instituciones Financieras-FOGAFIN. Los establecimientos de crédito custodiarán estos pagarés, los diligenciarán de acuerdo con las instrucciones, cuando a ello haya lugar, y en tal caso cobrarán y girarán los montos efectivamente recaudados al Fondo, con destino a la reserva.
4. Inicio y duración de la cobertura. La cobertura para los créditos elegibles cuyas solicitudes de acceso hubieran sido debidamente presentadas, comenzará en el período de facturación que determine el Fondo de Garantías de Instituciones Financieras-FOGAFÍN. La cobertura durará hasta que se cumpla su objeto o termine anticipadamente, sin que en ningún caso supere quince (15) años contados a partir de su otorgamiento, ni se prolongue más allá de la vida del crédito objeto de la cobertura.
5. Proyección de los créditos objeto de la cobertura. Los establecimientos de crédito efectuarán la proyección de los valores que deben ser pagados mensualmente por los deudores y la proyección de los saldos de los créditos objeto de la Cobertura, incluyendo el efecto de la cobertura. Estas proyecciones se efectuarán con base en la Tasa de Referencia, atendiendo la metodología que señale el Fondo de Garantías de Instituciones Financieras- FOGAFÍN. Los valores a pagar mensualmente incluirán los pagos que correspondan a los deudores como consecuencia de la cobertura.
6. Fechas de pago de los deudores. Las sumas que corresponda pagar a los deudores en desarrollo de la cobertura se pagarán en las fechas de las cuotas mensuales de los créditos objeto de la cobertura.
7. Terminación de la cobertura a petición de los deudores. Los deudores beneficiarios de la cobertura podrán darla por terminada en cualquier tiempo durante su vigencia, previa notificación escrita al Fondo de Garantías de Instituciones Financieras -FOGAFIN, por intermedio del establecimiento de crédito respectivo sin perjuicio de la liquidación y pago de las sumas que resulten a cargo de los deudores por concepto de la misma. La terminación se hará efectiva en el período de facturación que determine el Fondo. En este caso el deudor respectivo perderá el derecho a la cobertura por el saldo del crédito correspondiente, el crédito y el deudor no podrán volver a acceder a la misma.
8. Terminación de la cobertura por mora del deudor. La mora del deudor que exceda de sesenta (60) días calendario en el pago de los montos que le corresponda por concepto de alguna cuota del crédito objeto de la cobertura y de la cobertura, ocasionará la terminación de la cobertura. La terminación se hará efectiva en el período de facturación que determine el Fondo de Garantías de Instituciones Financieras -FOGAFÍN. En este caso, el deudor respectivo perderá el derecho a la cobertura por el saldo del crédito correspondiente, el crédito y el deudor no podrán volver a acceder a la misma.
9. Pago del saldo a cargo del deudor en caso de terminación anticipada de la cobertura. El deudor deberá pagar al establecimiento de crédito, para que este gire al Fondo de Garantías de Instituciones Financieras-FOGAFÍN, con destino a la reserva, el saldo que resulte a su cargo en caso de terminación anticipada de la cobertura. Dicho saldo será liquidado por el establecimiento de crédito con arreglo a lo dispuesto en el artículo 11.3.3.1.6 de este decreto y de acuerdo con la metodología que señale el Fondo. Cuando la terminación anticipada se produzca a iniciativa del deudor, este podrá solicitar al Fondo, a través del establecimiento de crédito respectivo, el otorgamiento de un plazo para el pago de las sumas adeudadas que no podrá superar el plazo restante del crédito objeto de cobertura. Dichas sumas generarán intereses a una tasa equivalente a la del crédito objeto de cobertura.
ARTÍCULO 11.3.3.1.6 FUNCIONAMIENTO DE LA COBERTURA.
<Fuente original compilada: D. 66/03 Art. 6o.> Durante la vigencia de la cobertura los beneficiarios de la misma estarán cubiertos contra el riesgo de variación de la UVR respecto de la tasa de referencia, con sujeción a las siguientes reglas:
1. Pagos cuando la tasa de variación de la UVR sea mayor que la tasa de referencia. El Fondo de Garantías de Instituciones Financieras -FOGAFÍN, pagará a cada establecimiento de crédito, en la forma y oportunidad que señale el Fondo, como en lo estipulado en los contratos, el monto resultante de aplicar la diferencia de tasas a:
a) El capital e intereses comprendidos en las cuotas correspondientes al período de liquidación del crédito objeto de la cobertura, y
b) El saldo del crédito objeto de la cobertura en la fecha de liquidación, cuando la tasa de variación de la UVR sea mayor que la tasa de referencia.
Los montos que el Fondo pague se aplicarán a las cuotas del período de liquidación respectivo y/o al saldo del crédito objeto de la cobertura, de conformidad con la metodología que señale el Fondo.
2. Pagos cuando la tasa de referencia sea mayor que la tasa de variación de la UVR. Los deudores deberán pagar al Fondo de Garantías de Instituciones Financieras- FOGAFÍN, en las fechas que corresponda, los montos resultantes de aplicar la diferencia de tasas a:
a) El capital e intereses comprendidos en las cuotas correspondientes al período de liquidación del crédito objeto de la cobertura, y
b) El saldo del crédito objeto de la cobertura en la fecha de liquidación, cuando la tasa de referencia sea mayor que la tasa de variación de la UVR. El establecimiento de crédito transferirá al Fondo el monto resultante de aplicar la diferencia de tasas a las cuotas y/o al saldo del crédito objeto de la cobertura.
Tales transferencias provendrán de los valores pagados por los deudores.
3. Cuentas por cobrar. Los establecimientos de crédito generarán cuentas por cobrar a cargo de los deudores, las cuales devengarán intereses a la tasa equivalente a la del crédito objeto de la cobertura, cuando a ello haya lugar de acuerdo con la aplicación de la diferencia de tasas a:
a) El capital e intereses comprendidos en las cuotas correspondientes al período de liquidación del crédito objeto de la cobertura, y
b) El saldo de los créditos objeto de la cobertura en la fecha de liquidación, de acuerdo con la metodología que señale el Fondo de Garantías de Instituciones Financieras- FOGAFÍN.
4. Pagos parciales de cuotas o abonos extraordinarios. En caso de pago parcial de los montos que correspondan o de abonos extraordinarios, el establecimiento de crédito abonará dicha suma proporcionalmente al crédito objeto de la cobertura y a la cobertura misma.
5. Liquidaciones y pagos bajo la cobertura. los montos que deban pagarse en desarrollo de las operaciones de cobertura, se liquidarán y/o pagarán en la oportunidad que señale el Fondo de Garantías de Instituciones Financieras- FOGAFÍN, y de acuerdo con lo pactado en los contratos.
ARTÍCULO 11.3.3.1.7 CONTRATOS DE ADMINISTRACIÓN DE LA COBERTURA.
<Fuente original compilada: D. 66/03 Art. 7o.> Los establecimientos de crédito podrán suscribir contratos con el Fondo de Garantías de Instituciones Financieras-FOGAFÍN, para administrar las operaciones de cobertura.
ARTÍCULO 11.3.3.1.8 RECURSOS Y EROGACIONES DE LA RESERVA ESPECIAL Y SEPARADA.
<Fuente original compilada: D. 66/03 Art. 8o.> Para realizar las operaciones de cobertura y para atender los gastos y los costos de administración respectivos se conformará una reserva especial y separada hasta la terminación de la totalidad de tales operaciones. La reserva está bajo la administración del Fondo de Garantías de Instituciones Financieras-FOGAFÍN, no forma parte del patrimonio de esta entidad y se conforma de la siguiente manera:
1. Recursos de la reserva:
a) Las partidas que sean incluidas en el presupuesto general de la Nación;
b) Los pagos que efectúen los deudores de créditos objeto de la cobertura por intermedio de los establecimientos de crédito;
c) Los rendimientos financieros de los recursos que hagan parte de la reserva;
d) Los demás recursos que por cualquier concepto puedan alimentar la reserva.
2. Erogaciones con cargo a la reserva:
a) Los pagos que efectúe el Fondo de Garantías de Instituciones Financieras- FOGAFÍN, en desarrollo de las operaciones de cobertura;
b) Los costos de cubrir el riesgo en que se incurra por concepto de las operaciones de cobertura;
c) Los demás gastos y costos en que pueda incurrir el Fondo de Garantías de Instituciones Financieras-FOGAFÍN, por concepto de la administración de las operaciones de cobertura.
La Nación-Ministerio de Hacienda y Crédito Público, previo el cumplimiento de los trámites presupuestales correspondientes, dispondrá de los recursos necesarios para honrar las coberturas y atender los demás gastos y costos a que se refiere el presente artículo. Las relaciones entre la Nación-Ministerio de Hacienda y Crédito Público y el Fondo de Garantías de Instituciones Financieras- FOGAFÍN, se definen en un convenio.
El Fondo de Garantías de Instituciones Financieras- FOGAFÍN, no tendrá responsabilidad pecuniaria alguna por encima del saldo que en cada momento exista en la reserva.
PARÁGRAFO 1 Conforme lo dispone el Parágrafo del artículo 96 de la Ley 795 de 2003, se mantendrá en el Fondo de Reserva para la Estabilización de la Cartera Hipotecaria, FRECH., creado por el artículo 48 de la Ley 546 de 1999 una subcuenta por valor de cincuenta mil millones de pesos ($50.000.000.000) del año 2003 para los fines del presente Título.
PARÁGRAFO 2. (Adicionado por el D. 3456/04 Art. 1o.) Los recursos previstos en el parágrafo anterior, podrán ser utilizados por el Fondo de Garantías de Instituciones Financieras-FOGAFÍN, para cubrir la totalidad de las erogaciones a que se refiere el numeral 2 del presente artículo, requeridas para el cumplimiento de las finalidades previstas en el artículo 96 de la Ley 795 de 2003.
CONTRATOS DE PERMUTA FINANCIERA O SWAPS DE TASAS DE INTERÉS CELEBRADOS POR FOGAFIN.
ARTÍCULO 11.3.4.1.1 AUTORIZACIÓN.
<Fuente original compilada: D. 415/99 Art. 1o.> Autorízase al Fondo de Garantías de Instituciones Financieras-FOGAFIN para celebrar con los establecimientos de crédito que cuenten con cartera individual hipotecaria para vivienda, contratos de permuta financiera o swaps de tasas de interés.
ARTÍCULO 11.3.4.1.2 PARÁMETROS Y CONDICIONES.
<Fuente original compilada: D. 415/99 Art. 2o.> Autorízase a la junta directiva del Fondo de Garantías de Instituciones Financieras-FOGAFIN para establecer los parámetros para limitar los riesgos que asuma esta entidad, así como para determinar el monto de los recursos que se comprometan, el tipo de obligaciones sobre las cuales se aplicarán los contratos de permuta financiera de tasas de interés, los términos, las tasas de referencia, las garantías, los mecanismos para la instrumentación y, en general, todas las condiciones inherentes a la operación prevista en el artículo 11.3.4.1.1 del presente decreto.
PARÁGRAFO 1. En todo caso, la celebración del contrato swap o permuta financiera de tasas de interés estará sujeta a la redenominación y a la disminución de las tasas de interés de colocación por parte de los establecimientos de créditos de los préstamos individuales hipotecarios para vivienda, en los términos y condiciones que establezcan la junta directiva del Fondo de Garantías de Instituciones Financieras-FOGAFIN y los contratos correspondientes.
PARÁGRAFO 2. Los contratos de permuta financiera o swap de tasas de interés incluirán, dentro de los compromisos que asuman los establecimientos de crédito, la obligación de ofrecer a sus deudores individuales de préstamos hipotecarios para vivienda, la ampliación del plazo de sus créditos hasta por cinco (5) años.
LÍNEAS DE CRÉDITO DE FOGAFIN DESTINADAS AL FORTALECIMIENTO PATRIMONIAL DE LOS ESTABLECIMIENTOS DE CRÉDITO.
ARTÍCULO 11.3.5.1.1 AUTORIZACIÓN.
<Fuente original compilada: D. 836/99 Art. 1o. Modificado por el D. 1574/01 Art. 1o.> Facúltase al Fondo de Garantías de Instituciones Financieras para que establezca líneas de crédito destinadas a otorgar préstamos a los accionistas de los establecimientos de crédito y a terceros interesados en participar en el capital de los mismos, cuyo producto se destinará al fortalecimiento patrimonial de dichos establecimientos.
ARTÍCULO 11.3.5.1.2 REQUISITOS.
<Fuente original compilada: D. 836/99 Art. 2o. Modificado por el D. 1574/01 Art. 2o.> Para el desarrollo de la directiva del Fondo de Garantías de Instituciones Financieras-FOGAFIN establecerá los requisitos para acceder a las líneas de crédito de que trata el artículo anterior, el monto de los préstamos, sus condiciones financieras, las características o tipo de establecimiento destinatario del fortalecimiento patrimonial, las garantías, los mecanismos para instrumentarlos y los compromisos que deban adquirir los beneficiarios de los préstamos y los establecimientos de crédito.
OFICIALIZACIÓN O PARTICIPACIÓN EN EL CAPITAL DE UNA ENTIDAD FINANCIERA POR PARTE DE FOGAFIN.
<Fuente original compilada: D. 910/00 Art. 1o.> La oficialización o la participación en el capital de una entidad financiera, por parte del Fondo de Garantías de Instituciones Financieras-FOGAFIN, no modifica la denominación, tipo, régimen legal y naturaleza de las personas jurídicas en cuyo capital participe dicha entidad financiera, en el momento de su oficialización o de su capitalización por el Fondo.
Lo anterior, sin perjuicio de dar cumplimiento, cuando ello corresponda, a aquellas disposiciones legales cuya aplicación a la entidad en la cual participen entidades públicas, oficiales o estatales, resulte del mero hecho de dicha participación.
ARTÍCULO 11.3.6.1.2 INVERSIONES FINANCIERAS.
<Fuente original compilada: D. 910/00 Art. 2o.> En las inversiones financieras que con la debida autorización y con posterioridad a su oficialización, realice la entidad financiera, deberá tenerse en cuenta que, si se trata de inversiones temporales, las mismas no afectan la naturaleza jurídica ni el régimen de la entidad, de conformidad con lo dispuesto en el artículo 97 de la Ley 489 de 1998 y demás disposiciones complementarias.
PARÁGRAFO. Constituyen inversiones financiera temporales, entre otras, las acciones que hayan adquirido los establecimientos de crédito, en virtud de daciones en pago y que deban enajenar dentro de los plazos previstos por el Estatuto Orgánico del Sistema Financiero.
CAPITAL GARANTÍA DE FOGAFIN EN BANCOS COOPERATIVOS INSCRITOS.
ARTÍCULO 11.3.7.1.1 CAPITAL GARANTÍA EN BANCOS COOPERATIVOS INSCRITOS.
<Fuente original compilada: D. 1027/98 Art. 1o.> Cuando el Fondo de Garantías de Instituciones Financieras-FOGAFIN otorgue capital garantía en Bancos Cooperativos inscritos, se aplicarán las reglas establecidas en el numeral 3o del artículo 320 del Estatuto Orgánico del Sistema Financiero.
En relación con los Bancos Cooperativos, y para los efectos de la norma citada en el inciso anterior, cuando se haga referencia a acciones se entenderá que se trata de aportes sociales.
ARTÍCULO 11.3.7.1.2 PARTICIPACIÓN EN LOS ÓRGANOS DE ADMINISTRACIÓN Y DIRECCIÓN.
<Fuente original compilada: D. 1027/98 Art. 2o.> El Fondo de Garantías de Instituciones Financieras-FOGAFIN tendrá derecho a participar en las deliberaciones de los órganos de administración y dirección de los bancos cooperativos y votar las decisiones que se adopten. Los derechos del Fondo en tales órganos se determinarán según la proporción que represente la garantía sobre la suma de ésta y los aportes sociales del respectivo banco.
El número y designación de los miembros de los órganos de dirección que corresponda al Fondo de Garantías de Instituciones Financieras-FOGAFIN, se regirá por lo dispuesto en el Titulo 8 del Libro 3 de la Parte 11 y los demás que lo modifiquen.
JUNTAS DIRECTIVAS DE LAS ENTIDADES EN LAS QUE FOGAFIN CONSTITUYA CAPITAL GARANTÍA.
<Fuente original compilada: D. 1552/93 Art. 1o.> El número de miembros que corresponda al Fondo de Garantías de Instituciones Financieras-FOGAFIN en las juntas directivas de las entidades en que éste haya constituido capital garantía, se determinará de acuerdo con las siguientes reglas:
a) En las entidades en las cuales el número de los miembros de la junta directiva haya sido fijado por norma legal, el Fondo de Garantías de Instituciones Financieras-FOGAFIN estará representado por uno o dos miembros adicionales, según se requiera para que dicho órgano social tenga un número impar de miembros.
b) En las entidades distintas a las descritas en el literal anterior, la participación del Fondo de Garantías de Instituciones Financieras-FOGAFIN en la junta directiva estará determinada por la proporción que represente la garantía constituida sobre la suma de ésta y el capital suscrito y pagado de la entidad. Para tal efecto, dentro de los diez (10) días siguientes a la constitución del capital garantía, los órganos sociales competentes convocarán a una asamblea general extraordinaria de accionistas que se ocupará exclusivamente de la elección de los miembros de la junta directiva que correspondan a la asamblea. Si la convocatoria no se hiciere en el término indicado, el Superintendente Financiero la realizará de oficio dentro de los cinco (5) días siguientes.
<Fuente original compilada: D. 1552/93 Art. 2o. Modificado por el D. 1361/96 Art. 1o.> La representación del Fondo de Garantías de Instituciones Financieras-FOGAFIN en las juntas directivas de las entidades en las cuales aquél haya constituido capital garantía corresponderá al Director, o a las personas que este funcionario designe que tengan experiencia en el sector financiero.
ARTÍCULO 11.3.8.1.3 EFECTOS DE LA DESIGNACIÓN.
<Fuente original compilada: D. 1552/93 Art. 3o.> En los casos que un funcionario del Fondo de Garantías de Instituciones Financieras-FOGAFIN haga parte en cualquier calidad, de la junta directiva de una entidad donde éste haya constituido capital garantía se considerará que dicho funcionario representa al Fondo en los términos del numeral 3o literal d) del artículo 320 del Estatuto Orgánico del Sistema Financiero y, en consecuencia, no se aplicará lo previsto en el literal a) del artículo 11.3.8.1.1 del presente decreto. No obstante, la representación del Fondo por funcionarios distintos a su director deberá ser expresamente autorizada por este último.
ADQUISICIÓN POR PARTE DE FOGAFIN DE TÍTULOS REPRESENTATIVOS DE DEUDA SUBORDINADA EMITIDOS POR ESTABLECIMIENTOS DE CRÉDITO.
ARTÍCULO 11.3.9.1.1 AUTORIZACIÓN.
<Fuente original compilada: D. 1574/01 Art. 3o.> El Fondo de Garantías de Instituciones Financieras-FOGAFIN está autorizado, en los términos del numeral 7o del artículo 320 del Estatuto Orgánico del Sistema Financiero, para adquirir títulos representativos de deuda subordinada emitidos por establecimientos de crédito, cuyo propósito sea el fortalecimiento patrimonial de los mismos.
Los términos y condiciones de los títulos de deuda subordinada que pueden ser adquiridos por el Fondo de Garantías de Instituciones Financieras-FOGAFIN serán
determinadas por su junta directiva.
OPERACIONES DE DERIVADOS CON FINES DE COBERTURA.
ARTÍCULO 11.3.10.1.1 COBERTURA FRENTE AL RIESGO DE VARIACIÓN DE LA UVR.
<Fuente original compilada: D. 2380/02 Art. 1o.> Autorízase al Fondo de Garantías de Instituciones Financieras- FOGAFÍN, para realizar operaciones de derivados con los establecimientos de crédito, en su calidad de propietarios o administradores de cartera originada por establecimientos de crédito, con la finalidad exclusiva de otorgar cobertura frente al riesgo de variación de la UVR respecto de una tasa determinada, a los deudores de créditos de vivienda individual a largo plazo.
La Junta Directiva del Fondo de Garantías de Instituciones Financieras, Fogafín, establecerá las condiciones que deben cumplir estas operaciones, así como las de los créditos respecto de los cuales se otorgue la cobertura, teniendo en cuenta la política general que para el efecto señale el Gobierno Nacional.
ARTÍCULO 11.3.10.1.2 CONSTITUCIÓN DE RESERVA.
<Fuente original compilada: D. 1552/93 Art. 2o.> El Fondo constituirá una reserva separada con los recursos destinados a otorgar la cobertura de que trata el artículo 11.3.10.1.1 del presente decreto.
TRANSFERENCIA DE LOS ACTIVOS OBJETO DE SANEAMIENTO A UN PATRIMONIO AUTÓNOMO.
ARTÍCULO 11.3.11.1.1 MEDIDA COMPLEMENTARIA DEL PROCESO DE SANEAMIENTO PATRIMONIAL.
<Fuente original compilada: D. 2691/99 Art. 1o.> Por decisión de la asamblea general de accionistas o del órgano que haga sus veces, las entidades financieras en cuyo capital participe el Fondo de Garantías de Instituciones Financieras-FOGAFIN podrán disponer, como medida complementaria del proceso de saneamiento patrimonial que se vaya a efectuar, la transferencia de los activos objeto de saneamiento a un patrimonio autónomo constituido en una sociedad fiduciaria, como parte del proceso de capitalización del establecimiento de crédito, el cual se orientará a la recuperación de su solvencia.
Como beneficiarios de la fiducia serán designados los accionistas del establecimiento de crédito que es sujeto del saneamiento patrimonial, a prorrata de la participación que tengan en el capital de la misma al momento en que adopte la determinación de constituir el patrimonio autónomo, cualquiera que sea la clase de acciones de las que sean titulares. La asamblea general de accionistas adoptará los mecanismos de protección necesarios para evitar que se vulneren los derechos de los accionistas minoritarios del respectivo establecimiento de crédito.
ADQUISICIÓN DE ACREENCIAS Y ASUNCIÓN DE OBLIGACIONES PROVENIENTES DE PROCESOS DE LIQUIDACIÓN DE ESTABLECIMIENTOS DE CRÉDITO PÚBLICOS POR PARTE DE FOGAFIN.
<Fuente original compilada: D. 2809/01 Art. 1o.> El Fondo de Garantías de Instituciones Financieras-FOGAFIN está autorizado, previo el concepto favorable de su junta directiva, para adquirir acreencias o asumir obligaciones provenientes de procesos de liquidación de establecimientos de crédito públicos que se desarrollen bajo cualquiera de las modalidades previstas en la legislación, siempre y cuando el Fondo haya tenido participación mayoritaria en el capital de los mismos al momento de iniciarse dicho proceso.
PARÁGRAFO. Se exceptúa de la anterior autorización la adquisición de acreencias o asunción de obligaciones provenientes de establecimientos de crédito que hayan sido nacionalizados.
ASUNCIÓN DE CONTINGENCIAS PASIVAS Y DE PASIVOS OCULTOS.
ARTÍCULO 11.3.13.1.1 ASUNCIÓN DE CONTINGENCIAS PASIVAS Y DE PASIVOS OCULTOS.
<Fuente original compilada: D. 3051/03 Art. 1o. modificado por el D. 310/04 Art. 1o.> El Fondo de Garantías de Instituciones Financieras-FOGAFIN está autorizado para, en desarrollo de su objeto, asumir en forma total o parcial las obligaciones pecuniarias que surjan como consecuencia de contingencias pasivas o de pasivos ocultos que llegaren a afectar a establecimientos bancarios de carácter público no nacionalizados a los cuales el Fondo haya otorgado capital garantía, o a sus filiales, cuando a juicio de su junta directiva la medida sea necesaria para el fortalecimiento patrimonial del respectivo establecimiento bancario mediante la vinculación de nuevos accionistas mayoritarios de carácter privado. En contrapartida, la junta directiva del Fondo podrá exigir al establecimiento bancario el reconocimiento de contraprestaciones o la entrega de activos.
En desarrollo de dicha operación el Fondo podrá asumir, entre otros, las siguientes contingencias pasivas o pasivos ocultos:
(i) procesos ordinarios de carácter civil, comercial, laboral y de seguridad social, así como los costos asociados al manejo de los mismos;
(ii) controversias administrativas;
(iii) procesos contencioso administrativos;
(iv) pasivos pensionales del respectivo establecimiento bancario que, debiendo estar registrados en sus estados financieros a la fecha de vinculación de nuevos accionistas mayoritarios de carácter privado, no lo estuvieren;
(v) otros pasivos existentes que no estén registrados en los respectivos estados financieros a la fecha de vinculación de nuevos accionistas mayoritarios de carácter privado;
(vi) obligaciones pensionales del respectivo establecimiento bancario reconocidas con anterioridad a la fecha de vinculación de nuevos accionistas mayoritarios de carácter privado, no incluidas íntegramente en el cálculo actuarial. En todo caso, la asunción de contingencias por parte del Fondo no incluye los beneficios convencionales que se extiendan a los pensionados por virtud de la ley;
(vii) las obligaciones originadas en los aportes que el establecimiento bancario deba efectuar al Instituto de Seguros Sociales para efecto del reconocimiento de la pensión compartida de pensiones reconocidas con anterioridad a la fecha de vinculación de nuevos accionistas mayoritarios de carácter privado, o que habiéndose causado antes de dicha fecha, sean reconocidas por orden judicial, en la suma en que exceda la reserva que con tal fin haya efectuado el Banco;
(viii) incremento de las obligaciones pensionales reconocidas antes de la fecha de vinculación de nuevos accionistas mayoritarios de carácter privado, que surjan de modificaciones legales o de sentencias dictadas dentro de procesos que decidan sobre la constitucionalidad o legalidad de normas aplicables a dichas obligaciones con posterioridad a la mencionada vinculación.
Con excepción de lo previsto en el numeral (viii) precedente, para asumir las mencionadas obligaciones pecuniarias, los hechos, acciones u omisiones que den lugar a las contingencias pasivas o a los pasivos ocultos a los que se refiere el presente decreto, deben ser anteriores a la fecha de vinculación de nuevos accionistas mayoritarios de carácter privado. En consecuencia, las obligaciones que se asuman no deben estar cumplidas, satisfechas o pagadas a la fecha de vinculación de nuevos accionistas mayoritarios de carácter privado, directamente por el establecimiento bancario, las filiales o a través de un tercero. Tratándose de obligaciones pensionales solo podrán ser asumidas en cuanto no estén reconocidas o no lo estén íntegramente en el cálculo actuarial del establecimiento bancario a dicha fecha de vinculación.
PARÁGRAFO 1. Los establecimientos bancarios de carácter público no nacionalizados a que se refiere el presente artículo, serán aquellos cuyas acciones pertenezcan al Fondo en un porcentaje no inferior al noventa por ciento (90%) del total en circulación y que cuenten con capital garantía otorgado por dicha entidad con anterioridad a la fecha de vinculación de nuevos accionistas mayoritarios de carácter privado.
PARÁGRAFO 2. La junta directiva del Fondo establecerá la forma como el capital garantía del establecimiento bancario deberá ser sustituido por los recursos originados en la suscripción de las nuevas acciones que se emitan para el fortalecimiento patrimonial mediante la vinculación de los nuevos accionistas mayoritarios de carácter privado, como condición para la asunción de las obligaciones de las que trata el presente artículo.
ARTÍCULO 11.3.13.1.2 CONDICIONES DE LA OPERACIÓN.
<Fuente original compilada: D. 3051/03 Art. 2o.> La junta directiva del Fondo de Garantías de Instituciones Financieras- FOGAFÍN establecerá la forma como se debe instrumentar la operación de asunción en forma total o parcial de las obligaciones pecuniarias que surjan como consecuencia de contingencias pasivas o de pasivos ocultos al igual que su alcance y sus características especiales, tales como la fijación de plazos, condiciones de exigibilidad, límites y demás términos bajo los cuales se asumen las obligaciones pecuniarias, el origen de los recursos que se emplearán para cubrir las obligaciones, así como las contraprestaciones o costos que eventualmente se puedan cobrar o los activos que podría recibir Fogafín como contrapartida, entre otros.
REDUCCIÓN NOMINAL DE CAPITAL SOCIAL DE LAS INSTITUCIONES FINANCIERAS INSCRITAS A FOGAFIN.
ARTÍCULO 11.3.14.1.1 REDUCCIÓN NOMINAL.
<Fuente original compilada: D. 32/86 Art. 1o.> La reducción simplemente nominal del capital social de una institución financiera inscrita en el Fondo de Garantías de Instituciones Financieras-FOGAFIN, que puede ordenar la junta directiva de dicho Fondo, deberá mostrar la situación patrimonial real de la entidad respectiva de acuerdo con el informe que presente la Superintendencia Financiera de Colombia.
ARTÍCULO 11.3.14.1.2 CONTENIDO DEL INFORME A LA SUPERINTENDENCIA FINANCIERA DE COLOMBIA.
<Fuente original compilada: D. 32/86 Art. 2o.> Para que la junta directiva del Fondo de Garantías de Instituciones Financieras- FOGAFIN pueda ordenar la reducción simplemente nominal del capital social de una institución financiera inscrita, deberá solicitarse a la Superintendencia Financiera de Colombia un informe de la entidad respectiva que contenga, entre otros datos, los siguientes:
a) Capital autorizado;
b) Capital suscrito;
c) Capital pagado, número de acciones y su valor nominal;
d) Reserva legal, reservas eventuales y demás reservas;
e) Valor de los bonos efectivamente suscritos y convertibles en acciones;
f) Valorizaciones;
g) Ajuste de cambios;
h) Utilidades o pérdidas conocidas;
i) Provisiones ordenadas por la Superintendencia Financiera de Colombia;
j) Órdenes de capitalización vigentes y su cumplimiento;
k) Cálculo de los activos improductivos.
ARTÍCULO 11.3.14.1.3 ORDEN DE REDUCCIÓN.
<Fuente original compilada: D. 32/86 Art. 3o.> Una vez conocidas las pérdidas de capital y la situación financiera de la entidad por la junta directiva del Fondo, de acuerdo con el informe rendido por la Superintendencia Financiera de Colombia, el Fondo podrá ordenar al representante legal de la institución financiera la reducción simplemente nominal del capital social.
El representante legal dará inmediato cumplimiento a esta orden.
Si del informe de la Superintendencia Financiera de Colombia resultare que la institución financiera respectiva ha perdido el cien por ciento (100%) o más de su capital, la reducción del valor nominal del mismo se hará de manera que tenga como valor nominal para cada acción la suma de un centavo.
ARTÍCULO 11.3.14.1.4 ACTUACIONES ADMINISTRATIVAS. <Artículo modificado el artículo 143 del Decreto 1745 de 2020. El nuevo texto es el siguiente:>
Las actuaciones administrativas del Fondo de Garantías de Instituciones Financieras-FOGAFIN se sujetarán a las normas especiales de procedimiento previstas en el Estatuto Orgánico del Sistema Financiero, en el Código de Procedimiento Administrativo y de lo Contencioso Administrativo y demás normas concordantes.
FACULTADES EN LOS PROCESOS DE TOMA DE POSESIÓN Y LIQUIDACIÓN FORZOSA ADMINISTRATIVA SOBRE CIERTAS ENTIDADES.
ARTÍCULO 11.3.15.1.1 FACULTADES
<Fuente original compilada: D. 2555/08 Art. 1o.> En los procesos de toma de posesión y liquidación forzosa administrativa adoptados sobre las entidades enunciadas en el numeral 1 del parágrafo 3o del artículo 75 de la Ley 964 de 2005, los organismos de autorregulación y las entidades que administren sistemas de registro de operaciones sobre valores, el Fondo de Garantías de Instituciones Financieras, en adelante el Fondo, ejercerá las funciones consagradas en el Estatuto Orgánico del Sistema Financiero para estos efectos, así como las previstas en el Libro 1 de la Parte 9 del presente decreto y demás normas que lo modifiquen, sustituyan o complementen en lo que sea compatible con su naturaleza, en particular las siguientes:
1. Designar al agente especial y al liquidador, quienes podrán ser personas naturales o jurídicas que podrán actuar tanto durante la etapa de administración como de la liquidación, y
2. Realizar el seguimiento de la actividad del agente especial y del liquidador, sin perjuicio de la vigilancia que ejerza la Superintendencia Financiera de Colombia sobre la entidad objeto de administración mientras no se decida su liquidación.
ARTÍCULO 11.3.15.1.2 LIMITACIONES.
<Fuente original compilada: D. 2555/08 Art. 2o.> En ningún caso deberá entenderse que la facultad de seguimiento del Fondo prevista en el artículo anterior se extiende al otorgamiento o celebración de operaciones de apoyo que impliquen desembolso de recursos por parte del Fondo especto de las entidades a que se refiere el artículo precedente.
ARTÍCULO 11.3.15.1.3 MONTOS A PAGAR.
<Fuente original compilada: D. 2555/08 Art. 3o.> Las entidades respecto de las cuales el Fondo deba realizar seguimiento en virtud de lo dispuesto en el presente Título, deberán pagar a favor del Fondo los montos que para el efecto establezca la Junta Directiva de este. Dichos recursos deberán ser pagados por la entidad respectiva con cargo a los gastos de administración.
ARTÍCULO 11.3.15.1.4 REMISIÓN NORMATIVA.
<Fuente original compilada: D. 2555/08 Art. 4o.> El régimen aplicable para la toma de posesión y la liquidación forzosa administrativa de las entidades señaladas en el presente Título será el previsto por el Estatuto Orgánico del Sistema Financiero, así como en el Libro 1 de la Parte 9 del presente decreto y demás normas que lo modifiquen, sustituyan o complementen en lo que sea compatible con la naturaleza de dichos procesos.
GARANTÍA DE REEMBOLSO DEL SALDO DE LAS CUENTAS INDIVIDUALES DE AHORRO PENSIONAL Y EN CASO DE DEFECTO EN LA RENTABILIDAD MÍNIMA.
ARTÍCULO 11.3.16.1.1 ALCANCE DE LA GARANTÍA DE FOGAFÍN.
<Fuente original compilada: D. 2765/07 Art. 1o.> La garantía del Fondo de Garantías de Instituciones Financieras establecida en el inciso 2o del artículo 99 de la Ley 100 de 1993 se limita a asegurar el reembolso del saldo de las cuentas individuales de ahorro pensional en caso de disolución o liquidación de la respectiva administradora.
La garantía ampara el reconocimiento de la rentabilidad mínima determinada por la Superintendencia Financiera de Colombia, cuando quiera que dicha rentabilidad no haya sido obtenida y la administradora respectiva no haya suplido la deficiencia con sus propios recursos.
ARTÍCULO 11.3.16.1.2 PROCEDIMIENTO EN CASO DE DEFECTO EN LA RENTABILIDAD MÍNIMA GARANTIZADA.
<Fuente original compilada: D. 2765/07 Art. 2o.> En caso de defecto en la rentabilidad mínima que, de conformidad con lo establecido en el artículo 101 de la Ley 100 de 1993, deben garantizar las entidades administradoras de fondos de pensiones, se procederá de la siguiente manera:
1. <Numeral modificado el artículo 144 del Decreto 1745 de 2020. El nuevo texto es el siguiente:> La Superintendencia Financiera de Colombia determinará en las fechas y de acuerdo con el procedimiento establecido en el artículo 2.6.5.1.5 del presente decreto, o las normas que lo modifiquen, adicionen o sustituyan, los casos en que exista un defecto en la rentabilidad mínima obligatoria que deben garantizar las entidades administradoras de fondos de pensiones. La fecha que se tomará para efectos de determinar la existencia de un defecto en la rentabilidad mínima obligatoria de un fondo de pensiones, será aquella en la que la Superintendencia Financiera de Colombia realice la verificación del cumplimiento de la rentabilidad mínima obligatoria.
2. Dentro de los cinco (5) días comunes siguientes a la fecha en que la Superintendencia Financiera de Colombia divulgue la rentabilidad mínima obligatoria, una vez realizada la verificación del cumplimiento de la misma, la entidad administradora del fondo de pensiones que haya tenido un defecto en la rentabilidad mínima obligatoria, deberá cubrir la diferencia entre dicha rentabilidad mínima y la del fondo administrado, afectando inicialmente la reserva de estabilización de rendimientos de que trata el Título 4 del Libro 6 de la Parte 2 del presente decreto.
3. Si la reserva de estabilización de rendimientos es suficiente para cubrir el defecto en la rentabilidad mínima obligatoria presentado por el fondo, la administradora deberá restituir con cargo a su patrimonio dentro del mes inmediatamente siguiente al del cálculo de la rentabilidad mínima, el valor necesario para ajustarse al porcentaje mínimo de reserva de estabilización de rendimientos establecido en el Título 4 del Libro 6 de la Parte 2 del presente decreto.
4. En el evento en que el valor de la reserva de estabilización de rendimientos no sea suficiente para cubrir el defecto en la rentabilidad mínima obligatoria divulgada por la Superintendencia Financiera de Colombia, la entidad administradora deberá, dentro del mismo plazo establecido en el numeral 2 del presente artículo, proceder a afectar la parte restante de su patrimonio con el fin de cubrir el respectivo defecto, de acuerdo con el procedimiento establecido en el parágrafo 2 del presente artículo. En tal evento, la Superintendencia Financiera de Colombia podrá impartir orden de capitalización hasta por un monto igual a la cuantía respectiva y fijar los términos para su cumplimiento, a fin de que se cubra íntegramente el defecto y se recomponga el patrimonio de la administradora, para dar cumplimiento a las normas de margen de solvencia y de capital mínimo que rigen a la correspondiente sociedad.
5. En el evento en que una entidad administradora no cubra el defecto en la rentabilidad mínima que se encuentra obligada a garantizar o no cumpla con la orden de capitalización respectiva, la Superintendencia Financiera de Colombia podrá tomar posesión de dicha entidad, de conformidad con lo previsto en el artículo 43 del Decreto ley 656 de 1994, sin perjuicio de la adopción de las medidas preventivas previstas en el artículo 113 del Estatuto Orgánico del Sistema Financiero, con miras a evitar que el defecto en la rentabilidad mínima se aumente, y dé la imposición de las multas previstas en el mencionado artículo 43 del Decreto ley 656 de 1994.
6. La garantía del Fondo de Garantías de Instituciones Financieras establecida en el inciso 2o del artículo 99 de la Ley 100 de 1993, solo se hará efectiva en el caso en que se decida la toma de posesión para liquidar de la entidad administradora de fondos de pensiones respectiva.
PARÁGRAFO 1. Decretada la toma de posesión para liquidar una entidad administradora de fondos de pensiones, los recursos correspondientes a la reserva de estabilización de rendimientos se destinarán inicialmente a cubrir el defecto de la rentabilidad mínima obligatoria del respectivo fondo, así como cualquier otro faltante que existiera.
Así mismo, cuando el Fondo de Garantías de Instituciones Financieras, en desarrollo de la garantía prevista en el presente decreto, hubiere cubierto el defecto de rentabilidad mínima del fondo administrado por la entidad objeto de toma de posesión para liquidar, dicho Fondo tendrá derecho a obtener el pago de las sumas que haya cancelado con cargo a los activos de la entidad objeto de la toma de posesión.
Para tal efecto, la acreencia a favor del Fondo de Garantías de Instituciones Financieras se pagará por fuera de la masa de la liquidación.
PARÁGRAFO 2. En el evento descrito en el numeral 4 del presente artículo, la afectación del patrimonio de la entidad administradora de fondos de pensiones y cesantías se efectuará mediante el aporte al fondo de pensiones administrado, en un monto que permita cubrir el defecto de la rentabilidad mínima, de recursos líquidos de la administradora que podrán provenir, entre otros, de la realización de sus activos, de la capitalización de la misma por parte de sus accionistas o de operaciones de endeudamiento. Igualmente, dicho defecto podrá cubrirse mediante la transferencia, a precios de mercado, de títulos o valores de propiedad de la administradora que hagan parte de las inversiones admisibles de los fondos de pensiones del régimen de ahorro individual.
ARTÍCULO 11.3.16.1.3 CESIÓN DEL FONDO O DE LOS FONDOS DE PENSIONES ADMINISTRADOS.
<Fuente original compilada: D. 2765/07 Art. 3o.> La Superintendencia Financiera de Colombia, previo concepto del Consejo Asesor de la misma, y como consecuencia de la toma de posesión para liquidar de una entidad administradora de fondos de pensiones del régimen de ahorro individual con solidaridad, podrá ordenar la cesión del o de los fondos de pensiones administrados a la entidad que designe el Fondo de Garantías de Instituciones Financieras con base en criterios de capacidad patrimonial y rentabilidad.
Tanto la Superintendencia Financiera de Colombia como el Fondo de Garantías de Instituciones Financieras, con base en los criterios establecidos en el literal d) del numeral 2 del artículo 58 del Estatuto Orgánico del Sistema Financiero, deberán tener en cuenta, al momento de aprobar la cesión o de determinar la entidad cesionaria, respectivamente, que esta última no quede en capacidad de mantener o determinar precios inequitativos, limitar servicios o impedir, restringir o falsear la libre competencia del mercado, sin que se adopten las medidas necesarias para prevenirlo.
PARÁGRAFO 1. Los criterios de capacidad patrimonial y rentabilidad de que trata el inciso 1o del presente artículo, corresponderán a la evaluación que en su momento y con base en la información suministrada por la Superintendencia Financiera de Colombia se efectúe respecto del margen de solvencia de las entidades administradoras de fondos de pensiones y la rentabilidad de los fondos de pensiones obligatorias al último período verificado y certificado por la Superintendencia Financiera de Colombia a la fecha de la cesión.
El Fondo de Garantías de Instituciones Financieras podrá, en cada caso, diseñar un procedimiento de selección de la entidad administradora a la cual se le efectuará la cesión del fondo de pensiones. Dicho proceso permitirá la participación de todas las entidades autorizadas para administrar fondos de pensiones del régimen de ahorro individual.
Los criterios de selección contemplarán la capacidad patrimonial de la administradora, la rentabilidad del fondo de pensiones obligatorias administrado, así como el valor de la comisión que la administradora ofrezca cobrar por la gestión del fondo cedido. Esta comisión será sufragada con cargo a los activos de la entidad administradora objeto de la toma de posesión para liquidar.
En todo caso, en el evento en que por alguna razón el proceso de selección de la entidad administradora cesionaria resulte fallido, el Fondo de Garantías de Instituciones Financieras mantendrá la posibilidad de designarla directamente.
La entidad administradora de fondos de pensiones cesionaria deberá acordar un programa de ajuste con la Superintendencia Financiera de Colombia que le permita cumplir con las normas de margen de solvencia y con los requerimientos de reserva de estabilización de rendimientos, una vez recibido el fondo cedido.
PARÁGRAFO 2. El fondo de pensiones será recibido como fondo independiente de los administrados por la sociedad cesionaria, salvo que las reglas aplicables sean compatibles con la de otro fondo administrado por esta última, caso en el cual el fondo cedido podrá incorporarse a este.
PARÁGRAFO 3. La cesión será informada por la sociedad cedente que lo administre a todos sus afiliados, mediante la publicación, en un diario de amplia circulación nacional, de un aviso en el cual se indique, a lo menos, la sociedad a la cual se efectuará la cesión, la fecha prevista para la misma y la fecha de la orden impartida por la Superintendencia Financiera de Colombia.
Las personas afiliadas al fondo de pensiones objeto de cesión no podrán oponerse a la medida. Sin perjuicio de lo anterior, los afiliados mantienen su facultad de solicitar el traslado del valor de sus unidades a otro fondo de pensiones; dichos traslados podrán realizarse tan pronto se haya efectuado la cesión. Los traslados que se soliciten dentro del mes siguiente a la publicación del aviso de cesión no serán tomados en consideración para efectos de dar aplicación a los plazos mínimos de traslado autorizados por la ley. Los plazos mínimos para solicitar traslados entre regímenes o entre administradoras se seguirán contando a partir del último traslado anterior a la cesión.
<Fuente original compilada: D. 2765/07 Art. 4o.> Cuando proceda el reconocimiento de la garantía del Fondo de Garantías de Instituciones Financieras, como consecuencia de la toma de posesión para liquidar una entidad administradora de fondos de pensiones, la Superintendencia Financiera de Colombia, dentro de los primeros cinco (5) días hábiles del mes siguiente a aquel en que se produzca la cesión efectiva del fondo de pensiones, informará al Fondo de Garantías de Instituciones Financieras el monto de los recursos necesarios para cubrir la diferencia entre i) el valor que por concepto de cotizaciones obligatorias junto con sus rendimientos debería tener el fondo cedido, incluida la rentabilidad mínima garantizada calculada por dicha Superintendencia para el mes en que se produzca la toma de posesión para liquidar, independientemente de que corresponda o no a un corte para verificar el cumplimiento de la rentabilidad mínima, y ii) el valor del fondo al último día del mes en que se produce la cesión del fondo, incluidos los recursos que de la reserva de estabilización de rendimientos y del patrimonio de la entidad objeto de toma de posesión para liquidar se hayan destinado a cubrir el defecto en la rentabilidad mínima.
A dicho valor se le adicionará el monto necesario para cubrir un monto equivalente al momento de la cesión de hasta ciento cincuenta (150) salarios mínimos legales mensuales vigentes por afiliado, por concepto de cotizaciones voluntarias.
Determinado e informado el valor de la garantía, el Fondo de Garantías de Instituciones Financieras procederá a su pago dentro del término y en las condiciones establecidas en el artículo 11.3.16.1.5 del presente decreto.
El mismo procedimiento antes descrito, se aplicará para determinar el monto de la garantía a cargo del Fondo de Garantías de Instituciones Financieras en el caso de planes de pensiones alternativos de capitalización o de pensiones, administrados por entidades administradoras de fondos de pensiones del régimen de ahorro individual con solidaridad, que cuenten con garantía de rentabilidad mínima.
ARTÍCULO 11.3.16.1.5 PAGO DE LA GARANTÍA.
<Fuente original compilada: D. 2765/07 Art. 5o.> Una vez determinado el derecho a la garantía del Fondo de Garantías de Instituciones Financieras y el valor a pagar por la misma, dicho Fondo deberá efectuar el giro de los recursos respectivos a la entidad administradora de fondos de pensiones cesionaria, dentro de los cinco (5) días hábiles siguientes a la fecha en la cual la Superintendencia Financiera de Colombia informe el monto de los recursos a transferir por concepto de la garantía.
El pago de la garantía podrá efectuarse mediante la entrega de inversiones admisibles para el fondo de pensiones obligatorias, valoradas a precios de mercado de acuerdo con las normas establecidas para estos. En el evento en que con ocasión del pago de la garantía se excedan los límites de inversión aplicables al fondo, la sociedad administradora cesionaria podrá acordar un plan de ajuste con la Superintendencia Financiera.
ARTÍCULO 11.3.16.1.6 GARANTÍA DE UN PLAN ALTERNATIVO DE CAPITALIZACIÓN O DE PENSIONES. <Artículo modificado el artículo 145 del Decreto 1745 de 2020. El nuevo texto es el siguiente:>
La garantía a que tengan derecho los afiliados a un plan alternativo de capitalización o de pensiones administrado por una entidad aseguradora de vida o por una entidad administradora de fondos de pensiones se regirá por lo dispuesto en el artículo 109 de la Ley 100 de 1993 y en el Capítulo 4 del Título 6 de la Parte 2 del Libro 2 del Decreto 1833 de 2016.
ARTÍCULO 11.3.16.1.7 COSTO DE LA GARANTÍA DEL FONDO DE GARANTÍAS DE INSTITUCIONES FINANCIERAS.
<Fuente original compilada: D. 2765/07 Art. 7o.> Los valores que por concepto de primas cobre el Fondo de Garantías de Instituciones Financieras, deberán estar fijados con base en criterios técnicos de proporcionalidad respecto del riesgo asumido.
<Fuente original compilada: D. 2765/07 Art. 8o.> La Nación, por medio del Fondo de Garantías de Instituciones Financieras, garantizará para efecto de lo que señala el artículo 11.3.16.1.1 de este decreto, que el saldo a que se refiere dicho artículo no podrá ser inferior al valor histórico de tales aportes ajustado con la variación del índice de poder adquisitivo de la moneda desde la fecha en que se realizaron cada uno de ellos hasta la fecha que se toma en cuenta para el cálculo.
Para verificar si el valor de los aportes es inferior a su valor ajustado con la variación del índice de poder adquisitivo de la moneda se tomarán en cuenta la totalidad de los realizados desde la afiliación hasta la edad prevista para la garantía de pensión mínima.
Si al momento de la disolución de la administradora el afiliado no ha cumplido la edad prevista para la garantía de pensión mínima, las sumas existentes al momento de la disolución se trasladarán a la administradora que corresponda de acuerdo con este decreto y en tal caso en el momento en que el mismo cumpla la edad prevista para la garantía de pensión mínima se hará el cálculo correspondiente para determinar si hay lugar o no a la garantía.
AUTORREGULADOR DEL MERCADO DE VALORES.
ASPECTOS GENERALES DE LA AUTORREGULACIÓN DEL MERCADO DE VALORES.
ARTÍCULO 11.4.1.1.1 OBLIGACIÓN DE AUTORREGULACIÓN.
<Fuente original compilada: D. 1565/06 Art. 1o.> Están en la obligación de autorregularse en los términos del presente Libro quienes realicen actividades de intermediación de valores. Esta obligación se entenderá cumplida siempre y cuando sobre la actividad de intermediación de valores se surtan en todo momento las funciones normativa, de supervisión y disciplinaria por parte de uno o más organismos de autorregulación de los cuales sea miembro el intermediario de valores.
La membresía en un organismo de autorregulación será necesaria para poder actuar en el mercado de valores.
PARÁGRAFO 1. Los miembros de las bolsas de bienes y productos agropecuarios, agroindustriales o de otros commodities no estarán sujetos a lo previsto en el presente Libro.
PARÁGRAFO 2. Tampoco estarán sujetos a lo previsto en el presente decreto los fondos mutuos de inversión en la medida en que realicen sus actividades de intermediación exclusivamente por conducto de otros intermediarios. En caso que las actividades de intermediación de los fondos mutuos de inversión se realicen directamente, estarán sujetos a las normas del presente decreto.
ARTÍCULO 11.4.1.1.2 SUJETOS DE AUTORREGULACIÓN.
<Fuente original compilada: D. 1565/06 Art. 2o.> Los organismos de autorregulación ejercerán sus funciones respecto de los intermediarios de valores que sean miembros de los mismos, ya sean personas naturales o jurídicas, quienes estarán sujetos a los reglamentos de autorregulación.
Adicionalmente, las funciones del organismo de autorregulación se ejercerán respecto de las personas naturales vinculadas a cualquier intermediario de valores que sea miembro del organismo de autorregulación correspondiente, aún cuando tales personas no se encuentren inscritas previamente en el Registro Nacional de Profesionales del Mercado de Valores, RPMV ni hayan sido inscritas en el organismo autorregulador, de conformidad con lo previsto en el artículo 11.4.6.1.3 del presente decreto.
La vinculación de una persona natural a un intermediario de valores que sea miembro de un organismo de autorregulación implica que este podrá ejercer sus funciones en relación con dicha persona, así como la aceptación de los reglamentos de autorregulación y de los reglamentos de las bolsas de valores, de los sistemas de negociación y de los sistemas de registro donde opera el respectivo intermediario.
<Inciso adicionado por el artículo 9 del Decreto 1291 de 2020. El nuevo texto es el siguiente:> El organismo de autorregulación también podrá ejercer la función de certificación respecto de personas no vinculadas a intermediarios de valores para efectos de acreditar la experiencia o conocimientos de los inversionistas de los que trata el artículo 7.2.1.1.2 del presente decreto.
PARÁGRAFO. Para los efectos del presente Libro, se entiende por personas naturales vinculadas a cualquier intermediario de valores a los administradores y demás funcionarios del respectivo intermediario, independientemente del tipo de relación contractual, en cuanto participen, directa o indirectamente, en la realización de actividades propias de la intermediación de valores.
ARTÍCULO 11.4.1.1.3 ALCANCE DE LA AUTORREGULACIÓN.
<Fuente original compilada: D. 1565/06 Art. 3o.> Los organismos de autorregulación desarrollarán las actividades previstas en el Título 3 del presente Libro en relación con las actuaciones de los intermediarios de valores, tanto en los sistemas de negociación como en el mercado mostrador, así como en relación con las demás actuaciones propias de la actividad de intermediación, incluyendo las relaciones de los intermediarios con sus clientes.
Los reglamentos de los organismos de autorregulación deberán establecer las actividades y operaciones que estarán a cargo del mismo.
PARÁGRAFO 1. (Modificado por el D. 39/09 Art. 1o.) Los organismos de autorregulación ejercerán funciones sobre los intermediarios de valores en asuntos relacionados con el desarrollo de la actividad de intermediación de valores, sin perjuicio de lo establecido en los parágrafos siguientes.
PARÁGRAFO 2. (Adicionado por el D. 39/09 Art. 2o.) Los organismos autorreguladores podrán adelantar las funciones normativa, de supervisión, disciplinaria y de certificación con relación a cualquieractividad, operación, servicio, producto o participación en mercados que realicen las entidades sujetas a la inspección, vigilancia y control de la Superintendencia Financiera de Colombia o entidades que desarrollen actividades afines el mercado financiero, asegurador y de valores, cuando estas lo soliciten voluntariamente, de manera individual o colectiva, o cuando la normatividad vigente así lo exija.
PARÁGRAFO 3 (Adicionado por el D. 39/09 Art. 2o.) La Superintendencia Financiera de Colombia no ejercerá funciones de supervisión sobre la actividad de autorregulación voluntaria ni aprobará los reglamentos que correspondan a tal actividad.
<Fuente original compilada: D. 1565/06 Art. 4o.> Sin perjuicio de las funciones normativas que pueden realizar los organismos autorreguladores, las bolsas de valores y las sociedades administradoras de sistemas de negociación podrán expedir reglamentos en relación con la inscripción de valores, la admisión, desvinculación y actuaciones de sus miembros y de las personas vinculadas a ellos, así como las normas que rigen el funcionamiento de los mercados que administran y la negociación y operaciones que se celebren a través de ellos.
En tales reglamentos también se establecerán las medidas y los mecanismos tendientes a mantener el funcionamiento de un mercado organizado, la forma de hacer cumplir las disposiciones previstas en dichos reglamentos, al igual que las consecuencias derivadas del incumplimiento de los mismos.
En todo caso, el cumplimiento de tales reglamentos, en lo que tiene que ver con la actividad de intermediación de valores, será objeto de las funciones de supervisión y disciplina del organismo de autorregulación al que esté vinculado el respectivo intermediario.
CONSTITUCIÓN Y FUNCIONAMIENTO DE LOS ORGANISMOS DE AUTORREGULACIÓN.
ARTÍCULO 11.4.2.1.1 FORMA DEL ORGANISMO DE AUTORREGULACIÓN. <Fuente original compilada: D. 1565/06 Art. 5o.> Pueden actuar como organismos de autorregulación las siguientes entidades:
a) Organizaciones constituidas exclusivamente para tal fin;
b) Organizaciones gremiales o profesionales;
c) Las bolsas de valores;
d) Las sociedades administradoras de sistemas de negociación.
PARÁGRAFO 1. Cuando las funciones de autorregulación se realicen a través de las entidades a que se refieren los literales b), c) y d) del presente artículo, deberá existir un área interna especializada en dichas funciones.
PARÁGRAFO 2. Los intermediarios de valores, las bolsas de valores, las organizaciones gremiales o profesionales, las asociaciones, las sociedades administradoras de sistemas de negociación y las entidades que administran sistemas de registro podrán realizar contribuciones o aportes de capital en organismos de autorregulación.
Ninguna persona podrá ser beneficiario real de más del diez por ciento (10%) del capital de un organismo de autorregulación.
PARÁGRAFO 3. Las bolsas de bienes y productos agropecuarios, agroindustriales o de otros commodities continuarán ejerciendo la función de autorregulación respecto de sus miembros, de conformidad con las normas vigentes.
<Fuente original compilada: D. 1565/06 Art. 6o.> La Superintendencia Financiera de Colombia podrá otorgar permiso a un organismo autorregulador cuando cumpla con los siguientes requisitos:
a) Contar con por lo menos diez (10) miembros. Dicho número de miembros debe mantenerse de forma permanente por el organismo autorregulador;
b) Disponer de los mecanismos adecuados para hacer cumplir por sus miembros y por las personas vinculadas con ellos las leyes y normas del mercado de valores, los reglamentos que la misma entidad expida y los reglamentos que expidan las bolsas de valores, las sociedades administradoras de sistemas de negociación y las entidades que administran sistemas de registro;
c) Contar con un mecanismo de registro de las personas jurídicas y naturales que sean intermediarios de valores para que sean miembros del organismo autorregulador;
d) Que sus reglamentos, en materia de administración y gobierno corporativo, se ajusten a lo previsto en el presente Libro;
e) Que los reglamentos del organismo autorregulador provean una adecuada distribución de los cobros, tarifas y otros pagos entre sus miembros;
f) Que los reglamentos del organismo autorregulador estén diseñados para prevenir la manipulación y el fraude en el mercado, promover la coordinación y la cooperación con los organismos encargados de regular, hacer posible los procesos de compensación y liquidación, procesamiento de información y facilitar las transacciones, así como eliminar las barreras y crear las condiciones para la operación de mercados libres y abiertos a nivel nacional e internacional y, en general, proteger a los inversionistas y el interés público;
g) Que se prevenga la discriminación entre los miembros, así como establecer reglas que eviten acuerdos y actuaciones que vulneren el espíritu y propósitos de la normativa del mercado de valores;
h) En el caso de aquellos organismos autorreguladores que adelanten la función disciplinaria, que los reglamentos del organismo autorregulador provean la posibilidad de disciplinar y sancionar a sus miembros y personas naturales vinculados a estos, de acuerdo con la normatividad del mercado de valores y sus propios reglamentos.
Para obtener el certificado de autorización, se observará el procedimiento establecido en el artículo 53 del Estatuto Orgánico del Sistema Financiero, con excepción del numeral 1, el cual deberá aplicarse atendiendo la naturaleza de este tipo de entidades.
<Fuente original compilada: D. 1565/06 Art. 7o.> Los organismos de autorregulación constituidos exclusivamente para tal fin deberán tener una organización que contemple una asamblea de miembros, un consejo directivo y un presidente. Tratándose de las entidades que decidan desarrollar funciones disciplinarias, deberán contar, además, con un órgano disciplinario.
ARTÍCULO 11.4.2.1.4 ASAMBLEA DE MIEMBROS.
<Fuente original compilada: D. 1565/06 Art. 8o.> La asamblea de miembros estará integrada por los intermediarios de valores miembros del organismo autorregulador y tendrá, además de las funciones que prevean los estatutos o reglamentos, la de establecer la forma como deben elegirse los directores del consejo directivo, así como la de recibir los informes del consejo directivo y del presidente sobre la gestión del organismo autorregulador.
Los estatutos o reglamentos de los organismos de autorregulación deberán establecer las reglas de convocatoria, quórum y mayorías decisorias de la asamblea de miembros, así como el sistema para calcular los votos de cada miembro, todo lo cual deberá asegurar una adecuada representación de los miembros. En el caso de entidades que hubieren condicionado la membresía a la participación en el capital, de conformidad con lo previsto en el artículo 11.4.6.1.2 del presente decreto, el número de votos de cada miembro podrá corresponder al número de unidades en que se halle dividido el capital social, pertenecientes a cada miembro.
ARTÍCULO 11.4.2.1.5 INTEGRACIÓN DEL CONSEJO DIRECTIVO DE LOS ORGANISMOS DE AUTORREGULACIÓN.
<Fuente original compilada: D. 1565/06 Art. 9o.> La integración de los consejos directivos de los organismos de autorregulación se sujetará a las siguientes reglas:
a) Con el objetivo de asegurar la independencia y la apropiada administración de los conflictos de interés, así como la representación de los miembros del organismo de autorregulación, el consejo directivo deberá estar conformado por directores representantes de los miembros y por directores independientes. El número de directores independientes debe ser igual o mayor al número de aquellos no independientes;
b) Todos los directores deben ser elegidos para períodos fijos escalonados, de tal manera que no se modifique en ningún caso la totalidad del consejo directivo en un solo momento;
c) El presidente del organismo de autorregulación hará parte del consejo directivo, el cual asistirá con voz pero sin voto.
ARTÍCULO 11.4.2.1.6 FUNCIONAMIENTO DEL CONSEJO DIRECTIVO DEL ORGANISMO DE AUTORREGULACIÓN.
<Fuente original compilada: D. 1565/06 Art. 10> El consejo directivo tendrá en cuenta para su funcionamiento lo siguiente:
a) Será responsable de la estrategia, del planeamiento, del presupuesto y de las políticas del organismo de autorregulación;
b) Deberá sujetarse a las reglas y procedimientos establecidos en los estatutos o reglamentos del organismo autorregulador;
c) Deberá presentar un informe de gestión a la asamblea de miembros, con la periodicidad y contenido que señalen los estatutos o reglamentos;
d) Deberá supervisar las finanzas, la estrategia de comunicación y las políticas de administración de riesgos;
e) Deberá abstenerse de intervenir en casos específicos, especialmente en las investigaciones en curso, y en los procedimientos disciplinarios;
f) Podrá establecer los comités que estime necesarios, conformados por miembros del consejo directivo, para el estudio de los diversos temas que implique el desarrollo de las funciones del organismo de autorregulación.
PARÁGRAFO. Tanto los directores representantes de los miembros como los independientes deberán actuar en los mejores intereses de los inversionistas y en la integridad del mercado de valores.
ARTÍCULO 11.4.2.1.7 PRESIDENTE DEL ORGANISMO DE AUTORREGULACIÓN.
<Fuente original compilada: D. 1565/06 Art. 11> Los organismos de autorregulación tendrán un presidente nombrado por el consejo directivo por el período que señalen los estatutos. El presidente de los organismos de autorregulación ejercerá la representación legal de los mismos y, además de las facultades que por le ley o los estatutos le corresponden, será responsable de ejecutar las políticas aprobadas por el consejo directivo. El presidente de los organismos de autorregulación tendrá los suplentes que determine el consejo directivo. Los suplentes ejercerán sus funciones en las faltas absolutas o temporales del presidente de la forma como se determine en los estatutos.
ARTÍCULO 11.4.2.1.8 INDEPENDENCIA DE LOS DIRECTORES.
<Fuente original compilada: D. 1565/06 Art. 12> Para los efectos del presente Libro, se entenderá como director independiente cualquier persona natural que se encuentre en las siguientes situaciones:
a) No sea funcionario o directivo del organismo autorregulador o de alguna de sus filiales, subsidiarias o controlantes, ni haya tenido tal calidad durante el año inmediatamente anterior a la designación, salvo que se trate de la reelección de una persona independiente;
b) No sea funcionario o directivo de algún intermediario de valores, de una bolsa de valores, de una sociedad administradora de sistemas de negociación o de una entidad administradora de un sistema de registro, ni haya tenido tal calidad durante el año inmediatamente anterior a su elección;
c) No sea beneficiario real de más del cinco por ciento (5%) del capital de algún intermediario de valores, de una bolsa de valores, de una sociedad administradora de sistemas de negociación o de una entidad administradora de un sistema de registro, ni haya tenido tal calidad durante el año inmediatamente anterior a su elección;
d) No sea socio o empleado de asociaciones o sociedades que presten servicios a los intermediarios de valores, a sus matrices o subordinadas, cuando los ingresos por dicho concepto representen para aquellos el veinte por ciento (20%) o más de sus ingresos operacionales;
e) No sea funcionario o directivo de una fundación, asociación o sociedad que reciba donativos de los intermediarios de valores que representen más del veinte por ciento (20%) del total de donativos recibidos por la respectiva institución;
f) No se encuentre prestando, personalmente o por medio de una persona jurídica, asesoría a un intermediario de valores o una persona natural vinculada con este en un proceso disciplinario ante el organismo autorregulador ni lo haya hecho durante el año inmediatamente anterior a su elección;
g) No sea administrador de una entidad en cuya junta directiva participe un representante legal del organismo autorregulador;
h) No sea cónyuge, compañero permanente o pariente hasta el segundo grado de consanguinidad o primero de afinidad de algunas de las personas mencionadas en los literales anteriores del presente artículo.
ARTÍCULO 11.4.2.1.9 EJERCICIO DE LA AUTORREGULACIÓN POR UN ÁREA INTERNA DE UNA ENTIDAD AUTORIZADA.
<Fuente original compilada: D. 1565/06 Art. 13> En el caso de entidades a que se refieren los literales b), c) y d) del artículo 11.4.2.1.1 del presente decreto, los estatutos o reglamentos de la entidad de la cual haga parte la respectiva área de autorregulación, deberán contener las siguientes previsiones:
a) Deberá existir una asamblea de miembros en los términos del presente Libro. Cuando la membresía de los intermediarios del organismo de autorregulación no esté atada a la participación en el capital, deberá en todo caso preverse la existencia de la asamblea de miembros establecida en este Libro, sin perjuicio de la existencia de la asamblea que los estatutos de la entidad o la ley tengan previstos para la actividad de la entidad, diferente de la de autorregulación;
b) El área de autorregulación de la entidad deberá contar con un cuerpo colegiado que estará sometido a las disposiciones previstas en este Libro para los consejos directivos de los organismos de autorregulación constituidos exclusivamente para tal fin, cuyos directores serán elegidos por la asamblea de miembros. Dicho cuerpo colegiado será el máximo estamento de dirección del área de autorregulación;
c) En caso que se vayan a realizar funciones disciplinarias, el área de autorregulación debe prever un órgano disciplinario en los términos del presente Libro;
d) El área interna deberá contar con un administrador designado por el órgano colegiado a que se refiere el literal b) del presente artículo, quien tendrá las mismas responsabilidades y funciones que se establecen en este Libro para el presidente de un organismo de autorregulación especialmente constituido para tal fin y contará con la representación legal de la entidad para los efectos de la actividad de autorregulación. Dicho administrador debe tener el nivel jerárquico adecuado dentro de la organización que garantice la efectividad de sus decisiones y el cumplimiento cabal de sus funciones;
e) Deberá garantizarse la total independencia del área de autorregulación de las actividades propias de la entidad de la cual hace parte. En tal sentido, se deberán establecer mecanismos para independizar física y presupuestalmente el área interna encargada de las actividades de autorregulación.
Tratándose de las bolsas de valores y las sociedades administradoras de sistemas de negociación, deberá garantizarse la separación de funciones de autorregulación de la gestión de administración de los mercados.
ARTÍCULO 11.4.2.1.10 POSESIÓN.
<Fuente original compilada: D. 1565/06 Art. 14> La Superintendencia Financiera de Colombia dará posesión a los directores, representantes legales y revisor fiscal de los organismos de autorregulación constituidos exclusivamente para tal fin, de conformidad con el artículo 73 numeral 3 y el artículo 74 numeral 4 del Estatuto Orgánico del Sistema Financiero.
Tratándose de áreas internas de una entidad autorizada para actuar como organismo de autorregulación, los miembros del órgano colegiado que hará las veces de consejo directivo y el administrador deberán posesionarse ante la Superintendencia Financiera de Colombia en los términos del inciso anterior.
<Fuente original compilada: D. 1565/06 Art. 15> Los estatutos o reglamentos de los organismos de autorregulación deberán velar por una adecuada distribución de los cobros o tarifas entre sus miembros, tanto con ocasión de la admisión, como en relación con los pagos periódicos a que haya lugar. El organismo de autorregulación podrá establecer en sus estatutos o reglamentos que dichos importes no serán reembolsables.
Las cuotas de afiliación y sostenimiento deberán determinarse con base en criterios objetivos y podrán tasarse a partir de componentes fijos y variables, para lo cual se podrán utilizar criterios tales como el número y el volumen de las transacciones realizadas en el mercado de valores, el número de sucursales o pantallas de negociación del miembro, entre otros.
Los organismos de autorregulación que establezcan mecanismos de inscripción de personas naturales vinculadas a los intermediarios de valores miembros, de conformidad con lo previsto en el artículo 11.4.6.1.3 del presente decreto, podrán cobrar un importe por la inscripción de aquellas y una cuota periódica para el sostenimiento del mismo.
Las cuotas de afiliación y sostenimiento contempladas en el presente artículo se considerarán aportes de capital para los efectos previstos en el artículo 7o del Decreto 1372 de 1992.
De igual forma, los organismos de autorregulación deberán establecer en sus estatutos o reglamentos los servicios adicionales que prestarán a sus miembros, a las personas naturales vinculadas con estos y al público en general, el valor de los derechos que estos causan, así como el factor de ajuste periódico de los mismos, incluyendo el correspondiente a la labor de certificación a que se refiere el artículo 11.4.6.1.6 del presente decreto.
Las bolsas de valores y las sociedades administradoras de sistemas de negociación podrán acordar el pago de una contribución o cuota de sostenimiento a los organismos de autorregulación por la supervisión del cumplimiento de los reglamentos de la respectiva bolsa o sistema de negociación y la función disciplinaria correspondiente.
PARÁGRAFO 1. Los organismos de autorregulación podrán convenir total o parcialmente el recaudo de las cuotas originadas en el volumen de operaciones con las bolsas de valores, las sociedades administradoras de sistemas de negociación y las entidades administradoras de sistemas de registro.
PARÁGRAFO 2. Los recursos del organismo de autorregulación provenientes de las multas serán destinados a los conceptos que determine el consejo directivo. En ningún caso, el producto de las multas impuestas por el organismo de autorregulación podrá ser utilizado para financiar gastos de funcionamiento. Estos recursos deberán ser manejados en cuentas independientes.
ARTÍCULO 11.4.2.1.12 REGLAMENTOS DE LOS ORGANISMOS DE AUTORREGULACIÓN.
<Fuente original compilada: D. 1565/06 Art. 16> Sin perjuicio de las disposiciones que por su naturaleza deban ser incorporadas en los estatutos, los reglamentos de los organismos de autorregulación deberán tratar, por lo menos, los siguientes aspectos:
a) Los mecanismos para la aprobación y modificación de los reglamentos;
b) El mecanismo, criterios y proceso de admisión y retiro de los miembros, así como la obligación de informar a la Superintendencia Financiera sobre las admisiones y retiros;
c) El mecanismo, criterios y proceso de registro de los miembros y de las personas naturales vinculadas a estos, así como aquellos relativos a su cancelación y readmisión;
d) La estructura de financiamiento;
e) Los mecanismos que garanticen que se dará trato a una adecuada distribución de los cobros, tarifas y otros pagos entre sus miembros, así como una adecuada representación de sus miembros en sus diferentes órganos;
f) Los derechos y obligaciones de los miembros;
g) Los derechos y obligaciones de los organismos de autorregulación, así como los límites y exclusiones de responsabilidad del mismo;
h) Los mecanismos previstos para eliminar o mitigar los conflictos de interés existentes en el ejercicio de la actividad de autorregulación;
i) El funcionamiento e integración de la asamblea de miembros, consejo directivo y presidencia del organismo, así como las condiciones que deben reunir las personas que pretendan hacer parte de tales órganos;
j) El proceso disciplinario en el que se establezcan, como mínimo, los aspectos señalados en el artículo 11.4.3.1.5 del presente decreto.
FUNCIONES DE LOS ORGANISMOS DE AUTORREGULACIÓN.
ARTÍCULO 11.4.3.1.1 FUNCIONES DE AUTORREGULACIÓN.
<Fuente original compilada: D. 1565/06 Art. 17> Los organismos de autorregulación podrán ejercer las funciones normativa, de supervisión y disciplinaria de conformidad con los artículos 24 y 25 de la Ley 964 de 2005.
PARÁGRAFO. (Adicionado por el D. 39/09 Art. 3o.) En adición a las funciones enunciadas en este artículo, los organismos de autorregulación podrán realizar la actividad de consolidación de la información del mercado de valores obtenida de los sistemas de negociación de valores, de los sistemas de registro de operaciones sobre valores y de los intermediarios de valores, según corresponda, en los términos técnicos que definan dichos organismos de autorregulación y de conformidad con las instrucciones que para el efecto establezca la Superintendencia de Financiera de Colombia. Dicha función consistirá, entre otros, en la recopilación y difusión de la mencionada información.
ARTÍCULO 11.4.3.1.2 CRITERIOS DE LA AUTORREGULACIÓN.
<Fuente original compilada: D. 1565/06 Art. 18> En el desarrollo de sus funciones, los organismos de autorregulación deberán tener en cuenta los siguientes criterios:
a) Propenderán por el establecimiento de normas uniformes, así como por su consistente interpretación y aplicación;
b) Las labores de autorregulación deberán estar encaminadas a la protección del inversionista y al mantenimiento de la transparencia e integridad del mercado;
c) Propenderán por no realizar una gestión que conlleve duplicidad de funciones con la de la Superintendencia Financiera de Colombia;
d) Promoverán el profesionalismo de los miembros y personas naturales vinculados a estos, sujetos a su competencia;
e) Velarán por la sana competencia entre los diversos miembros sujetos a su competencia;
f) Publicarán las normas, actos y decisiones que adopten por medios que garanticen su adecuada difusión;
g) Evitarán la imposición de cargas innecesarias para el desarrollo competitivo del mercado de valores.
ARTÍCULO 11.4.3.1.3 FUNCIÓN NORMATIVA DE LOS ORGANISMOS DE AUTORREGULACIÓN.
<Fuente original compilada: D. 1565/06 Art. 19> La función normativa de los organismos de autorregulación consiste en la adopción de reglamentos que deben ser observados por los miembros sometidos a su competencia, así como por las personas naturales vinculadas a estos, para asegurar el correcto funcionamiento de la actividad de intermediación de valores.
De conformidad con el artículo 28 de la Ley 964 de 2005, estos reglamentos, así como los reglamentos de las bolsas de valores, de los sistemas de negociación y de los sistemas de registro en donde actúen, se presumen conocidos y aceptados por los miembros del organismo de autorregulación, así como por las personas naturales vinculadas a estos.
Así mismo, los reglamentos de los organismos autorreguladores deben ser autorizados previamente por la Superintendencia Financiera de Colombia. De igual manera, las modificaciones que se realicen a estos reglamentos deberán ser dadas a conocer a la Superintendencia Financiera de Colombia para su autorización de forma previa a su entrada en vigencia.
En desarrollo de esta función, los organismos autorreguladores establecerán normas acerca de la conducta de los intermediarios del mercado de valores y de las personas vinculadas a estos, definición de prácticas, usos, aspectos éticos y, en general, todas aquellas reglas dirigidas a la protección del inversionista y a la integridad del mercado, relacionadas con la actividad de intermediación de valores.
La aprobación de los reglamentos de autorregulación, así como de las modificaciones o adiciones a los mismos es una función normativa propia del consejo directivo.
Con el objeto de permitir el acceso del público en general al proceso normativo de los organismos autorreguladores, de forma previa a la expedición de cualquier reglamento de autorregulación o modificación, estos deberán publicar por un período de tiempo razonable, a través de medios idóneos que permitan su difusión entre el público en general, los proyectos de normatividad para los respectivos comentarios. De la misma forma, los reglamentos aprobados o sus modificaciones deberán ser oportunamente publicados.
PARÁGRAFO 1. (Modificado por el D. 39/09 Art. 4o.) Los reglamentos de autorregulación deberán prever expresamente la posibilidad de imponer sanciones por el incumplimiento de sus disposiciones.
PARÁGRAFO 2 (Adicionado por el D. 39/09 Art. 4o.) Los organismos de autorregulación podrán expedir cartas circulares mediante las cuales se instruya a las personas y entidades sujetas a su competencia, sobre la forma como se deban aplicar los reglamentos de autorregulación, y sobre el alcance de los deberes y normas de conducta aplicables a las actividades que sean objeto de autorregulación. Dichas cartas circulares no requerirán aprobación por parte de la Superintendencia Financiera de Colombia.
ARTÍCULO 11.4.3.1.4 FUNCIÓN DE SUPERVISIÓN DE LOS ORGANISMOS DE AUTORREGULACIÓN.
<Fuente original compilada: D. 1565/06 Art. 20> La función de supervisión de los organismos de autorregulación consiste en la verificación del cumplimiento de las normas del mercado de valores relativas a la actividad de intermediación, los reglamentos expedidos por los organismos de autorregulación respectivos y los reglamentos de las bolsas de valores, los sistemas de negociación y los sistemas de registro, a través de metodologías y procedimientos de reconocido valor técnico.
La labor de supervisión del autorregulador puede ser desarrollada, por lo menos, a través de las siguientes herramientas:
a) Monitoreo del mercado cuyas operaciones se realizan por medio de sistemas y plataformas de negociación de las bolsas de valores y sistemas de negociación, así como de las operaciones realizadas en el mercado mostrador que sean objeto de registro;
b) Establecimiento y cumplimiento de un plan periódico de visitas selectivas a los miembros;
c) Evaluación de la información y documentos remitidos por sus miembros según lo dispuesto en los reglamentos del organismo de autorregulación, y
d) Planes de ajuste y actividades de gestión preventiva.
PARÁGRAFO. La función de supervisión debe desarrollarse de forma coordinada con las labores de la Superintendencia Financiera de Colombia, para lo cual podrán suscribirse los memorandos de entendimiento previstos en el artículo 11.4.5.1.2 del presente decreto
ARTÍCULO 11.4.3.1.5 FUNCIÓN DISCIPLINARIA DE LOS ORGANISMOS AUTORREGULADORES.
<Fuente original compilada: D. 1565/06 Art. 21> La función disciplinaria de los organismos de autorregulación consiste en la investigación de hechos y conductas con el fin de determinar la responsabilidad por el incumplimiento de las normas del mercado de valores, de los reglamentos de autorregulación y de los reglamentos de las bolsas de valores, de los sistemas de negociación y de los sistemas de registro, iniciar procesos e imponer las sanciones a que haya lugar.
Los procesos disciplinarios se podrán referir tanto a los intermediarios de valores como a las personas naturales vinculadas a estos.
En desarrollo de esta función, los organismos autorreguladores deben establecer en sus reglamentos, como mínimo, los siguientes aspectos:
a) Que las labores de investigación se encuentren separadas de las labores de decisión;
b) Las medidas tendientes a asegurar la eficacia de los resultados del procedimiento disciplinario;
c) Las etapas de iniciación, desarrollo y finalización del proceso disciplinario, garantizando en todo momento el derecho de defensa y el debido proceso;
d) Los mecanismos para la terminación anticipada de los procesos disciplinarios;
e) El procedimiento para el decreto, práctica y traslado de pruebas;
f) El procedimiento para tramitar impedimentos y recusaciones de los miembros del órgano disciplinario;
g) Las clases de sanciones aplicables y criterios de graduación;
h) La forma de notificar las decisiones así como los recursos que caben contra las mismas;
i) Mecanismos para garantizar el cumplimiento de la sanción impuesta, y
j) Forma en que se certificarán los antecedentes disciplinarios de los miembros.
ARTÍCULO 11.4.3.1.6 ÓRGANO DISCIPLINARIO DEL ORGANISMO DE AUTORREGULACIÓN.
<Fuente original compilada: D. 1565/06 Art. 22> Los organismos de autorregulación que adelanten la función disciplinaria deberán contar con un órgano disciplinario, el cual será encargado de las funciones de decisión.
Para la conformación de dicho órgano, se tendrán en cuenta por lo menos las siguientes reglas:
a) Todos los miembros del órgano disciplinario deberán ser nombrados por el consejo directivo, y tendrán un período fijo;
b) Por lo menos la mitad de los miembros del órgano disciplinario deberán ser independientes. Para estos efectos, se entenderá que una persona natural es independiente si no es funcionario de un intermediario de valores que participa directamente en actividades de intermediación o se encuentre en los supuestos del artículo 11.4.2.1.8 del presente decreto, excepto el previsto en el literal b);
c) Los miembros del órgano disciplinario deberán contar con un alto nivel de integridad moral credibilidad en el sector financiero o bursátil;
d) Los miembros del órgano disciplinario deberán contar con una experiencia mínima de cinco (5) años en el mercado financiero o bursátil.
ASPECTOS PARTICULARES DEL PROCESO DISCIPLINARIO DE LOS ORGANISMOS AUTORREGULADORES.
ARTÍCULO 11.4.4.1.1 PRINCIPIOS.
<Fuente original compilada: D. 1565/06 Art. 23> Los organismos de autorregulación que desarrollen la función disciplinaria deberán observar en los procedimientos disciplinarios que adelanten los principios de proporcionalidad, revelación dirigida, contradicción, efecto disuasorio, oportunidad, economía y celeridad, respetando en todo momento el debido proceso y el derecho de defensa del investigado.
Los principios de proporcionalidad, revelación dirigida, contradicción y efecto disuasorio tendrán el significado señalado en el artículo 51 de la Ley 964 de 2005.
En desarrollo del principio de oportunidad, los organismos de autorregulación evaluarán el costo y beneficio de la iniciación de procesos disciplinarios y podrá optar por no iniciar actuaciones de índole disciplinaria, si la infracción no lo amerita. Para tal efecto, se tendrá en cuenta que la autorregulación busca el correcto funcionamiento de la actividad de intermediación de valores, así como los costos asociados al despliegue de la actividad disciplinaria frente a los posibles resultados y a la materialidad y efectos de la conducta reprochable, entre otros aspectos. Lo anterior, sin perjuicio de la posibilidad de la utilización de mecanismos para prevenir la reiteración de infracciones, como la suscripción de planes de ajuste o la remisión de comunicaciones formales de advertencia.
En virtud del principio de economía los organismos de autorregulación adoptarán, interpretarán y aplicarán normas de procedimiento de tal forma que las actuaciones se adelanten de manera eficaz y sin incurrir en costos innecesarios.
En desarrollo del principio de celeridad los organismos de autorregulación impulsarán los procesos de manera ágil, evitando dilaciones injustificadas.
Los procesos disciplinarios que adelanten los organismos de autorregulación se regirán únicamente por los principios señalados en este artículo y el procedimiento será el establecido en los reglamentos.
ARTÍCULO 11.4.4.1.2 ACTUACIONES EN EL PROCESO DISCIPLINARIO.
<Fuente original compilada: D. 1565/06 Art. 24> El proceso disciplinario que se prevea en los reglamentos de autorregulación, deberá observar, por lo menos, las siguientes actuaciones:
a) La comunicación formal de la apertura del proceso disciplinario;
b) La oportunidad para que la persona investigada de respuesta a la comunicación formal de apertura del proceso disciplinario, la cual podrá ser verbal o escrita. En esta misma oportunidad podrá allegar y solicitar las pruebas que desee hacer valer en el proceso;
c) El traslado al investigado de todas y cada una de las pruebas y su posibilidad de contradicción;
d) Cuando a ello haya lugar, la formulación de los cargos imputados, que puede ser verbal o escrita, en la cual consten, de manera clara y precisa, las infracciones disciplinarias en que presuntamente se incurrió por los hechos o conductas objeto de investigación;
e) La indicación de un término durante el cual el imputado pueda formular sus
descargos y controvertir las pruebas en su contra y solicitar aquellas que considere aplicables;
f) El pronunciamiento verbal o escrito que impone la sanción o exonera al imputado, el cual debe ser motivado y congruente con los cargos formulados;
g) La posibilidad de controvertir, mediante los recursos previstos en el respectivo reglamento, las decisiones adoptadas;
h) Los mecanismos que permitan la resolución anticipada del procedimiento.
PARÁGRAFO 1. Los reglamentos de los organismos de autorregulación podrán prever un procedimiento sancionatorio abreviado, mediante el cual la formulación de cargos coincida con la apertura del procedimiento disciplinario, para los casos en los cuales la naturaleza objetiva de la infracción así lo justifique.
PARÁGRAFO 2. Las actuaciones verbales en los procesos disciplinarios deberán ser registradas mediante mecanismos técnicos que permitan su consulta oportuna.
PARÁGRAFO 3. Para los efectos del literal g) del presente artículo debe entenderse que la Superintendencia Financiera de Colombia no constituye instancia de ningún tipo contra las decisiones del organismo de autorregulación. En tal sentido, la Superintendencia Financiera de Colombia no podrá revisar las decisiones disciplinarias de los organismos de autorregulación, sin perjuicio de la posibilidad de iniciar actuaciones administrativas en relación con los mismos hechos.
<Fuente original compilada: D. 1565/06 Art. 25> Los procesos disciplinarios tendrán libertad probatoria. En tal sentido, en los procedimientos disciplinarios podrá emplearse cualquier medio de prueba legalmente recaudado.
En el desarrollo del proceso disciplinario, los miembros del organismo autorregulador, las personas naturales vinculados con estos, aquellos con quienes dichos miembros celebren operaciones, los clientes de unos y otros, las bolsas de valores, los administradores de sistemas de negociación y los administradores de sistemas de registro, así como los terceros que pueda contar con información relevante, podrán ser requeridos para el suministro de información en su poder.
Las pruebas recaudadas por la Superintendencia Financiera de Colombia en ejercicio de sus funciones podrán ser trasladadas a los organismos de autorregulación, cuando estos últimos lo requieran para el cumplimiento de su función disciplinaria, garantizando el derecho de contradicción respecto de las mismas. En este evento, los organismos de autorregulación deberán mantener la reserva sobre el contenido de la prueba trasladada. Igualmente, las pruebas recaudadas por los organismos de autorregulación deberán trasladarse a la Superintendencia Financiera de Colombia cuando esta lo requiera.
ARTÍCULO 11.4.4.1.4 RESPONSABILIDAD POR LA INFORMACIÓN.
<Fuente original compilada: D. 1565/06 Art. 26> Los representantes legales de los miembros son responsables de verificar, en todo caso, que la información que se suministre al organismo autorregulador sea confiable, oportuna, verificable, suficiente y veraz.
ARTÍCULO 11.4.4.1.5 PUBLICIDAD DE LAS DECISIONES DE LOS ORGANISMOS DE AUTORREGULACIÓN.
<Fuente original compilada: D. 1565/06 Art. 27> Las decisiones sancionatorias, una vez en firme, y los acuerdos de terminación anticipada, se enviarán a la Superintendencia Financiera de Colombia con destino al Sistema de Información del Mercado de Valores, SIMEV, y deberán publicarse por un medio idóneo que permita su difusión entre los miembros del organismo autorregulador y el público en general. Los organismos de autorregulación establecerán en su reglamento el mecanismo para responder ágil y oportunamente al público las solicitudes de información sobre sanciones disciplinarias que se encuentren en firme y que hayan sido impuestas a sus miembros, así como sobre los acuerdos de terminación anticipada. Por esta labor los organismos de autorregulación podrán realizar un cobro.
ARTÍCULO 11.4.4.1.6 SANCIONES.
<Fuente original compilada: D. 1565/06 Art. 28> Las sanciones de carácter disciplinario que pueden ser impuestas por parte de los organismos de autorregulación podrán tener la forma de expulsión, suspensión, limitación de actividades, funciones y operaciones, multas, censuras, amonestaciones y otras que se consideren apropiadas y que no riñan con el ordenamiento jurídico. Dichas sanciones deberán estar previstas con anterioridad a su imposición en el reglamento del organismo de autorregulación.
PARÁGRAFO. La expulsión de un organismo de autorregulación conlleva la pérdida de todos los derechos como miembro del mismo. Cuando la membresía esté asociada a la participación en el capital del organismo de autorregulación, de conformidad con lo previsto en el artículo 11.4.6.1.2 del presente decreto, los estatutos deberán prever la obligación de enajenar las participaciones y los mecanismos para definir el precio, en caso de controversia.
SUPERVISIÓN DE LOS ORGANISMOS DE AUTORREGULACIÓN.
ARTÍCULO 11.4.5.1.1 SUPERVISIÓN DE LOS ORGANISMOS DE AUTORREGULACIÓN.
<Fuente original compilada: D. 1565/06 Art. 29> Los organismos de autorregulación estarán sometidos a la inspección y vigilancia permanente de la Superintendencia Financiera de Colombia. Cuando la actividad de autorregulación se lleve a cabo por un área interna de una entidad autorizada que no sea vigilada por la Superintendencia Financiera de Colombia, la supervisión se circunscribirá a las labores de dicha área.
La Superintendencia Financiera de Colombia velará porque los organismos autorreguladores lleven a cabo sus funciones de forma coordinada y cumplan con los criterios de autorregulación.
Así mismo, en desarrollo de sus funciones de supervisión de los intermediarios de valores, la Superintendencia Financiera de Colombia propenderá por la utilización eficiente de los recursos respecto de las funciones que desarrollen los organismos de autorregulación.
En todo caso, con independencia de las labores de supervisión que desarrollan los organismos de autorregulación de forma coordinada con la Superintendencia Financiera de Colombia, esta última no pierde competencia en materia de supervisión y sanción de los miembros de dicho organismo.
La Superintendencia Financiera de Colombia ejercerá facultades de inspección, control y vigilancia respecto de los organismos de autorregulación y podrá sancionarlos por incumplimiento a la normatividad que rige su actividad conforme al régimen sancionatorio aplicable a las entidades vigiladas.
<Fuente original compilada: D. 1565/06 Art. 30> Los memorandos de entendimiento son mecanismos que permiten la coordinación entre la Superintendencia Financiera de Colombia y los organismos de autorregulación en materia disciplinaria, de supervisión y de investigación. Sin perjuicio de los demás aspectos que pueda ser incluidos en los memorandos de entendimiento, los mismos:
a) Podrán determinar las actividades de supervisión sobre la actividad en las bolsas de valores y en los sistemas de negociación, respecto de las cuales el organismo autorregulador será el encargado de surtir su labor de control y monitoreo permanente, sin perjuicio de que en cualquier tiempo dicha Superintendencia pueda entrar a verificar que estas actividades se desarrollan dentro de marco legal aplicable;
b) Podrán definir criterios objetivos que permitan establecer los casos en los cuales, atendiendo los principios de economía y oportunidad, los organismos de autorregulación podrán abstenerse de adelantar determinadas actividades de supervisión o abstenerse de iniciar los procesos disciplinarios por hechos irregulares que lo ameriten y que sean de su conocimiento, cuando dichas actividades de supervisión o los procesos administrativos correspondientes hayan sido iniciados por la Superintendencia Financiera de Colombia;
c) Podrán establecer los eventos y el procedimiento para la realización de traslados de procesos disciplinarios que iniciados por los organismos de autorregulación, por su contenido y temas, deban ser conocidos por la Superintendencia Financiera de Colombia.
PARÁGRAFO. La Superintendencia Financiera de Colombia y los organismos de autorregulación promoverán la conformación de comités conjuntos con el organismo autorregulador con el fin de verificar el desarrollo de sus actividades y coordinar investigaciones conjuntas.
MIEMBROS DE LOS ORGANISMOS DE AUTORREGULACIÓN.
ARTÍCULO 11.4.6.1.1 INSCRIPCIÓN EN LOS ORGANISMOS DE AUTORREGULACIÓN.
<Fuente original compilada: D. 1565/06 Art. 31> En adición a los intermediarios de valores que se encuentran inscritos en el registro Nacional de Agentes del Mercado de Valores- RNAMV, los organismos de autorregulación podrán aceptar como entidades autorreguladas, en la categoría de miembros o en cualquier otra que se establezca para el efecto, a las personas que estén sujetas a una o varias de las funciones normativa, de supervisión, disciplinaria o certificación, en desarrollo de lo establecido en el parágrafo 2 del artículo 11.4.1.1.3 de este Decreto. En tal caso, dichas entidades y sus personas naturales vinculadas estarán sujetas a los derechos y obligaciones que se establezcan en las normas de autorregulación.
ARTÍCULO 11.4.6.1.2 ADMISIÓN DE INTERMEDIARIOS DEL MERCADO DE VALORES.
<Fuente original compilada: D. 1565/06 Art. 32> Los intermediarios de valores serán considerados miembros del organismo de autorregulación, siempre y cuando sean admitidos por este, previo el cumplimiento de los requisitos señalados en los estatutos o reglamentos, los cuales podrán establecer, entre otras, las siguientes condiciones:
a) Que participen en el capital o patrimonio del organismo de autorregulación en la proporción que señalen los estatutos;
b) Que paguen el valor de la inscripción o de la membresía del organismo de autorregulación.
Para uno y otro caso, procederá la inscripción en el registro que para el efecto lleve el organismo de autorregulación.
ARTÍCULO 11.4.6.1.3 TRÁMITE DE ADMISIÓN.
<Fuente original compilada: D. 1565/06 Art. 33> Los organismos de autorregulación establecerán en sus reglamentos el trámite de admisión de los intermediarios y, cuando así lo determinen los reglamentos, de las personas naturales vinculadas a estos, los requisitos para la misma, así como el órgano interno encargado del estudio y decisión acerca de las solicitudes que se presenten.
Los organismos de autorregulación podrán negar la solicitud de admisión a quienes no reúnan los estándares de idoneidad financiera, técnica o moral, capacidad para operar o los estándares de experiencia, entrenamiento y los demás requisitos que hayan sido debidamente establecidos en el reglamento de dicho organismo.
Los organismos de autorregulación también podrán negar la admisión de personas que se encuentren suspendidas o hayan sido expulsadas de alguna bolsa de valores o de otros organismos de autorregulación dentro de los veinte (20) años anteriores a la solicitud o de un postulante que realice o haya realizado prácticas que pongan en peligro la seguridad de los inversionistas, de otros agentes o profesionales del mercado o del mismo organismo de autorregulación. En estos eventos, el organismo de autorregulación deberá informar a la Superintendencia Financiera de Colombia.
De igual forma podrán negar la admisión cuando el solicitante figure en listas, registros internacionales o cualquier otro tipo de informe de organismos oficiales nacionales o internacionales que puedan implicar un riesgo reputacional para el organismo autorregulador, aun cuando dicho solicitante figure inscrito en Registro Nacional de Agentes del Mercado de Valores, RNAMV en el Registro Nacional de Profesionales del Mercado de Valores, RNPMV o en un sistema de negociación.
PARÁGRAFO. Las personas naturales vinculadas a los intermediarios de valores, aun cuando se inscriban en los organismos autorreguladores, de conformidad con lo previsto en el presente artículo, no se considerarán miembros de los mismos.
ARTÍCULO 11.4.6.1.4 CANCELACIÓN DE LA INSCRIPCIÓN DE MIEMBROS DEL ORGANISMO DE AUTORREGULACIÓN.
<Fuente original compilada: D. 1565/06 Art. 34> Los organismos de autorregulación podrán en cualquier tiempo cancelar la inscripción de cualquiera de sus miembros o, cuando sea el caso, de las personas naturales vinculadas a estos, cuando se verifique que incumple con cualquiera de los requisitos que se tuvieron en cuenta para su admisión o incumpla reiteradamente las obligaciones, entre ellas las patrimoniales, derivadas de la inscripción como miembro.
No obstante, si se subsana la causal de cancelación de la inscripción con el cumplimiento de los requisitos, la persona respectiva podrá ser readmitida nuevamente en el organismo de autorregulación.
La cancelación de la inscripción de un miembro o, cuando sea el caso, de una persona natural vinculada a este, deberá informarse al público en general y a la Superintendencia Financiera de Colombia en particular, entidad que evaluará las razones que se tuvieron en cuenta para la adopción de dicha medida, con el objeto de que esta entidad adopte las decisiones que le corresponden en lo referente al Registro Nacional de Agentes del Mercado de Valores, RNAMV y al Registro Nacional de Profesionales del Mercado de Valores, RNPMV.
ARTÍCULO 11.4.6.1.5 MOTIVACIÓN DE LAS DECISIONES.
<Fuente original compilada: D. 1565/06 Art. 35> Para los casos en que se niegue la inscripción de un intermediario de valores o de una persona natural vinculada con este, o se decida la cancelación de la inscripción, el organismo de autorregulación deberá notificar a la persona sobre las razones de esta decisión y darle la oportunidad para que presente sus explicaciones y las pruebas que considera pertinentes. Estas explicaciones serán evaluadas por el consejo directivo del organismo de autorregulación por una sola vez y servirán de fundamento para ratificar o modificar la decisión adoptada. La oportunidad para presentar las explicaciones no suspende los efectos de la medida adoptada por el organismo autorregulador.
ARTÍCULO 11.4.6.1.6 CERTIFICACIONES DE INSCRIPCIÓN EN ORGANISMO AUTORREGULADOR.
<Fuente original compilada: D. 1565/06 Art. 36> Los organismos de autorregulación están en la obligación de certificar la vinculación de sus miembros o de las personas naturales vinculados a estos, en cualquier tiempo. No obstante, la certificación que expida el organismo de autorregulación que ejerza funciones disciplinarias no se referirá a la idoneidad o solvencia moral del miembro o persona vinculada que la solicita.
OTRAS DISPOSICIONES RELACIONADAS CON LOS ORGANISMOS DE AUTORREGULACIÓN.
ARTÍCULO 11.4.7.1.1 RESPONSABILIDAD DE LOS ORGANISMOS DE AUTORREGULACIÓN.
<Fuente original compilada: D. 1565/06 Art. 37> De conformidad con el parágrafo 3o del artículo 25 de la Ley 964 de 2005, las decisiones de los organismos de autorregulación podrán impugnarse ante la jurisdicción ordinaria cuando exista culpa grave o dolo. Para estos casos, los procesos de impugnación se tramitarán por el procedimiento establecido en el artículo 421 del Código de Procedimiento Civil y solo podrán proponerse dentro del mes siguiente a la fecha de la decisión de última instancia que resuelva el respectivo proceso.
ARTÍCULO 11.4.7.1.2 INFORMACIÓN COMPARTIDA CON OTRAS ENTIDADES.
<Fuente original compilada: D. 1565/06 Art. 38> Los organismos autorreguladores podrán compartir cualquier tipo de información, documentación o pruebas que conozcan o adquieran en desarrollo de sus funciones, con organismos de autorregulación, defensorías del cliente, entidades supervisoras de mercados de valores y autoridades estatales, nacionales o extranjeras, previa suscripción de acuerdos o memorandos de entendimiento con dichos organismos o entidades, con el fin de proteger la integridad del mercado de valores y al público inversionista.
Los memorandos de entendimiento que se suscriban, deberán establecer que la información reservada que sea objeto de traslado, mantendrá tal carácter.
ARTÍCULO 11.4.7.1.3 TRANSICIÓN.
<Fuente original compilada: D. 1565/06 Art. 39> Para efectos del cumplimiento de la obligación de autorregulación de los intermediarios de valores que ordena la Ley 964 de 2005, se tendrán en cuenta los siguientes lineamientos:
a) Salvo que decidan adoptar el carácter de organismo de autorregulación en los términos y condiciones previstos en el presente decreto, las bolsas de valores deberán desmontar las funciones normativa, de supervisión y disciplinaria relacionadas con la intermediación de valores, a más tardar el 8 de julio de 2006.
Sin embargo, las bolsas de valores mantendrán su facultad respecto de los procesos disciplinarios iniciados con anterioridad a la inscripción del respectivo intermediario en un organismo autorregulador, los cuales continuarán rigiéndose por lo establecido en los reglamentos vigentes al 19 de mayo de 2006. En todo caso, las bolsas podrán acordar con el organismo autorregulador para que continúe instruyendo los procesos ante la Cámara Disciplinaria de la respectiva bolsa.
Lo anterior sin perjuicio de las funciones de autorregulación de las bolsas de valores en asuntos relacionados con la inscripción de valores, la admisión, desvinculación y actuaciones de sus miembros y de las personas vinculadas a ellos, así como las normas que rigen el funcionamiento de los mercados que administran y la negociación y operaciones que se celebren a través de ellos;
b) Los organismos de autorregulación sólo podrán ejercerse sus funciones sobre sus miembros y las personas naturales vinculadas a estos respecto de hechos ocurridos con posterioridad a la respectiva inscripción de los miembros;
c) La inscripción en el organismo de autorregulación de los intermediarios de valores se entenderá realizada de forma transitoria con la solicitud escrita que tales intermediarios realicen a dicho organismo.
Los intermediarios contarán con un año (1) para obtener su admisión definitiva al organismo de autorregulación mediante la acreditación de los requisitos exigidos en el reglamento de dicho organismo;
d) Las personas naturales vinculadas a los intermediarios podrán inscribirse en el organismo de autorregulación de forma transitoria. Para tal efecto, la solicitud prevista en el literal anterior deberá contener la relación de las personas vinculadas que serán inscritos por el respectivo intermediario. El intermediario tendrá la responsabilidad de actualizar dicha información y notificar cualquier modificación que tenga la misma.
ARTÍCULO 11.4.7.1.4 ARTÍCULO TRANSITORIO.
<Fuente original compilada: D. 1121/08 Art. 11> Las entidades de naturaleza pública que de conformidad con lo previsto en el nuevo artículo 5.3.2.3.1 del presente decreto, deban ser miembros de un organismo de autorregulación autorizado por la Superintendencia Financiera de Colombia y que actualmente sean afiliados a un sistema de negociación de valores, tendrán un plazo de seis (6) meses contados a partir de la fecha de publicación del presente Decreto para obtener la afiliación a dicho organismo.
DISPOSICIONES FINALES.
AUTORIZACIÓN LEGAL PARA UTILIZAR O FACILITAR RECURSOS CAPTADOS DEL PÚBLICO EN OPERACIONES CUYO OBJETO SEA LA ADQUISICIÓN DEL CONTROL DE OTRAS SOCIEDADES O ASOCIACIONES.
<Fuente original compilada: D. 1099/07 Art. 1o.> Se considera que existe autorización legal para utilizar o facilitar recursos captados del público en operaciones cuyo objeto sea la adquisición del control de otras sociedades o asociaciones, cuando el régimen legal de operaciones de la respectiva entidad vigilada por la Superintendencia Financiera de Colombia expresamente prevea el otorgamiento de créditos para financiar la adquisición de acciones, bonos convertibles en acciones, cuotas o partes de interés, o cuando su régimen de adquisiciones así lo permita.
Existirá también autorización cuando el régimen legal de inversiones de la respectiva entidad vigilada permita la inversión, por cuenta propia o de terceros, en acciones, bonos convertibles en acciones o títulos de deuda, incluso cuando los recursos que reciba el emisor respectivo pretendan ser empleados para la adquisición del control de otras sociedades o asociaciones.
<Fuente original compilada: D. 1099/07 Art. 2o.> Sin perjuicio de lo previsto en el artículo anterior, las entidades vigiladas por la Superintendencia Financiera de Colombia podrán realizar operaciones para facilitar la adquisición del control de otras sociedades o asociaciones cuando no empleen recursos captados del público.
Para estos efectos, se entenderá que no son recursos captados del público los previstos en el literal b) del numeral 1 del artículo 119 del Estatuto Orgánico del Sistema Financiero.
ARTÍCULO 12.1.1.1.3 PROHIBICIÓN.
<Fuente original compilada: D. 1099/07 Art. 3o.> Lo previsto en el presente Libro se entenderá sin perjuicio de la prohibición establecida en el literal c) del artículo 10 del Estatuto Orgánico del Sistema Financiero.
NOMBRE COMERCIAL.
ARTÍCULO 12.2.1.1.1 NOMBRE COMERCIAL.
<Fuente original compilada: D. 1997/88 Art. 1o.> Sólo podrán utilizar en su nombre comercial sustantivos que indiquen genérica o específicamente el ejercicio de una actividad financiera, aseguradora o del mercado de valores o adjetivos y abreviaturas que la costumbre mercantil reserve a instituciones financieras, aseguradoras o del mercado de valores las entidades que, debidamente autorizadas por la Superintendencia Financiera de Colombia, tengan por objeto realizar actividades financieras, aseguradoras y del mercado de valores.
En caso de duda, el Superintendente Financiero determinará si un nombre comercial incluye los sustantivos, adjetivos o abreviaturas señalados en el inciso anterior.
ARTÍCULO 12.2.1.1.2 DEBERES DE LAS AUTORIDADES ENCARGADAS DE EJERCER INSPECCIÓN Y VIGILANCIA.
<Fuente original compilada: D. 1997/88 Art. 2o.> Las autoridades encargadas de ejercer inspección y vigilancia sobre las actividades de personas jurídicas, velarán por el cumplimiento de lo establecido en el artículo anterior e impartirán las órdenes que se requieran para que personas no autorizadas suspendan tal práctica. Cuando se trate de sociedades que no se encuentren sometidas a la inspección permanente del Estado, corresponderá a la Superintendencia de Sociedades el ejercicio de las funciones previstas en el presente artículo.
ARTÍCULO 12.2.1.1.3 OBLIGACIÓN DE LAS CÁMARAS DE COMERCIO.
<Fuente original compilada: D. 1997/88 Art. 3o.> Las Cámaras de Comercio y demás autoridades se abstendrán de registrar personas jurídicas diferentes a las señaladas en el artículo 12.2.1.1.1 de este decreto que empleen en su nombre distintivos propios de las instituciones financieras o que indiquen genérica o específicamente el ejercicio de una actividad financiera, aseguradora o del mercado de valores.
ARTÍCULO 12.2.1.1.4 DEROGATORIAS.
El presente decreto deroga todas las disposiciones que le sean contrarias y en especial las siguientes: Decreto 32 de 1986, Decreto 1997 de 1988, Decreto 2769 de 1991, Decreto 2821 de 1991, Decreto 839 de 1991, Decreto 1743 de 1991, Decreto 437 de 1992, Decreto 464 de 1992, Decreto 1866 de 1992, Decreto 545 de 1993, Decreto 2360 de 1993, Decreto 2423 de 1993, Decreto 847 de 1993, Decreto 2605 de 1993, Decreto 2271 de 1993, Decreto 384 de 1993, Decreto 1552 de 1993, Decreto 1886 de 1994, Decreto 1799 de 1994, Decreto 1727 de 1994, Decreto 717 de 1994, Decreto 1798 de 1994, Decreto 721 de 1994, Decreto 1801 de 1994, Decreto 2800 de 1994, Decreto 876 de 1994, Decreto 1157 de 1995, Decreto 2347 de 1995, Resolución 400 de 1995, Resolución 1200 de 1995, Resolución 1210 de 1995, Decreto 1936 de 1995, Decreto 2314 de 1995, Decreto 1638 de 1996, Decreto 1361 de 1996, Decreto 1577 de 1996, Decreto 2304 de 1996, Decreto 2805 de 1997, Decreto 2187 de 1997, Decreto 3086 de 1997, Decreto 1316 de 1998, Decreto 1367 de 1998, Decreto 2204 de 1998, Decreto 1356 de 1998, Decreto 1516 de 1998, Decreto 606 de 1998, Decreto 1315 de 1998, Decreto 1453 de 1998, Decreto 1027 de 1998, Decreto 2656 de 1998, Decreto 686 de 1999, 1862 de 1999 Decreto 2582 de 1999, Decreto 415 de 1999, Decreto 1797 de 1999, Decreto 268 de 1999, Decreto 836 de 1999, Decreto 2691 de 1999, Decreto 982 de 2000, Decreto 2817 de 2000, Decreto 1814 de 2000, Decreto 910 de 2000, Artículo 1 del Decreto 2396 de 2000, Decreto 1720 de 2001, Decreto 2540 de 2001, Decreto 1379 de 2001, Decreto 2779 de 2001, Decreto 21 de 2001, Decreto 611 de 2001, Decreto 332 de 2001, Decreto 2539 de 2001, Decreto 2785 de 2001, Decreto 1574 de 2001, Decreto 1719 de 2001, Decreto 2809 de 2001, Resolución 775 de 2001, Decreto 814 de 2002, Decreto 2380 de 2002, Resolución 542 de 2002, Decreto 710 de 2003, Decreto 867 de 2003, Decreto 1222 de 2003, Decreto 3377 de 2003, Decreto 1335 de 2003, Decreto 1145 de 2003, Decreto 3741, 2003, Decreto 1044 de 2003, Artículos 10 y 11 del Decreto 777 de 2003, Decreto 66 de 2003, Decreto 3051 de 2003, Decreto 310 de 2004, Decreto 1592 de 2004, Decreto 1787 de 2004, Decreto 2588 de 2004, Decreto 2211 de 2004, Decreto 4310 de 2004, Resolución 690 de 2004, Decreto 3767 de 2005, Decreto 1400 de 2005, Decreto 2222 de 2005, Decreto 1324 de 2005, Decreto 2843 de 2005, Decreto 961 de 2005, artículos 2, 3, 4 y del 7 al 80 del Decreto 4327 de 2005, Decreto 34 de 2006, Decreto 2230 de 2006, Decreto 2233 de 2006, Decreto 1049 de 2006, Decreto 1511 de 2006, Decreto 700 de 2006, Decreto 4432 de 2006, Decreto 3139 de 2006, Decreto 3140 de 2006, Decreto 1941 de 2006, Decreto 770 de 2006, Decreto 3078 de 2006, Decreto 4389 de 2006, Decreto 281 de 2006, Decreto 2084 de 2006, Decreto 1565 de 2006, Decreto 3032 de 2007, Decreto 2558 de 2007, Decreto 666 de 2007, Decreto 1456 de 2007, Decreto 1802 de 2007, Decreto 2893 de 2007, Decreto 2175 de 2007, Decreto 4668 de 2007, Decreto 3530 de 2007, Decreto 3780 de 2007, Decreto 2765 de 2007, Decreto 2894 de 2007, Decreto 1200 de 2007, Decreto 519 de 2007, Decreto 1099 de 2007, Decreto 3530 de 2007, Decreto 331 de 2008, Decreto 89 de 2008, Decreto 919 de 2008, Artículos 9 y 10 del Decreto 1121 de 2008, Decreto 1796 de 2008, Decreto 2555 de 2008, Decreto 1340 de 2008, Decreto 3473 de 2003, Decreto 3819 de 2008, Decreto 39 de 2009, Decreto 450 de 2009, Decreto 1098 de 2009, Decreto 1349 de 2009, Decreto 1713 de 2009, Decreto 2792 de 2009, Decreto 3340 de 2009, Decreto 3750 de 2009, Decreto 3885 de 2009, Decreto 3886 de 2009, Decreto 4600 de 2009, Decreto 4601 de 2009, Decreto 4935 de 2009, Decreto 4936 de 2009, Decreto 4938 de 2009, Decreto 4939 de 2009, Decreto 70 de 2010, Decreto 230 de 2010, Decreto 985 de 2010, Decreto 1000 de 2010, Decreto 1070 de 2010, Decreto 1178 de 2010, Decreto 2075 de 2010, Decreto 2241 de 2010, Decreto 2279 de 2010, Decreto 2281 de 2010, Decreto 2312 de 2010, Decreto 2373 de 2010, Decreto 4806 de 2008, Decreto 4808 de 2008, Decreto 4590 de 2008, Artículo 17 del Decreto 1161 de 1994.
ARTÍCULO 12.2.1.1.5 VIGENCIA. El presente decreto rige a partir de la fecha de su publicación.
PUBLÍQUESE Y CÚMPLASE
Dado en Bogotá D.C., a los 15 días d julio de 2010.
ÁLVARO URIBE VÉLEZ
El Ministro de Hacienda y Crédito Público,
ÓSCAR IVÁN ZULUAGA ESCOBAR
<Notas de Pie de Página incluidas por Avance Jurídico:>
1. A partir de la expedición del Decreto 1242 de 2013, "por el cual se sustituye la Parte 3 del Decreto número 2555 de 2010 en lo relacionado con la administración y gestión de los Fondos de Inversión Colectiva", publicado en el Diario Oficial No. 48.821 de 14 de junio de 2013, las referencias normativas que se realicen a carteras colectivas se entenderán hechas a los Fondos de Inversión Colectiva de que trata este decreto.
2. Según lo dispuesto en el artículo 4 del Decreto 4805 de 2010, publicado en el Diario Oficial No. 47.937 de 29 de diciembre de 2010, "... las referencias normativas realizadas a las carteras colectivas bursátiles se entenderán hechas a los fondos bursátiles, excepto las realizadas en la Parte Tercera del Decreto 2555 de 2010". Las cuales a su vez fueron derogadas por el artículo 6 del mismo decreto.
3. En general, en los casos que la Ley o el reglamento hagan referencia a los “fondos de pensiones de jubilación e invalidez” o “fondos de pensiones voluntarias”, se entenderá que estos corresponden a los “Fondos Voluntarios de Pensión” de que trata el Decreto 1207 de 2020 (DUR 2555; Libro 42) , según lo ordena el artículo 1 del Decreto 1207 de 2020, "por el cual se modifica el Decreto 2555 de 2010 en lo relacionado con el régimen jurídico de los Fondos Voluntarios de Pensión", publicado en el Diario Oficial No. 51.424 de 01 de septiembre de 2020.
Las notas de vigencia, concordancias, notas del editor, forma de presentación y disposición de la compilación están protegidas por las normas sobre derecho de autor. En relación con estos valores jurídicos agregados, se encuentra prohibido por la normativa vigente su aprovechamiento en publicaciones similares y con fines comerciales, incluidas -pero no únicamente- la copia, adaptación, transformación, reproducción, utilización y divulgación masiva, así como todo otro uso prohibido expresamente por la normativa sobre derechos de autor, que sea contrario a la normativa sobre promoción de la competencia o que requiera autorización expresa y escrita de los autores y/o de los titulares de los derechos de autor. En caso de duda o solicitud de autorización puede comunicarse al teléfono 617-0729 en Bogotá, extensión 101. El ingreso a la página supone la aceptación sobre las normas de uso de la información aquí contenida.