Derechos de autor reservados - Prohibida su reproducción
RESOLUCIÓN 67 DE 2008
(junio 23)
Diario Oficial No. 47.072 de 5 de agosto de 2008
COMISIÓN DE REGULACIÓN DE ENERGÍA Y GAS
Por la cual se establecen metas individuales de reposición de cilindros universales utilizados en la prestación de servicio de Gas Licuado del Petróleo (GLP) y las metas individuales de recolección del Programa REPU para su reemplazo por un parque universal de cilindros marcados propiedad de los distribuidores inversionistas de los cuales trata la Resolución CREG 045 de 2008.
LA COMISIÓN DE REGULACIÓN DE ENERGÍA Y GAS,
en ejercicio de sus facultades legales, en especial las conferidas por las Leyes 142 de 1994 y 689 de 2001, y en desarrollo de los Decretos 1524 y 2253 de 1994, y
CONSIDERANDO:
Que de conformidad con lo dispuesto en la Ley 142 de 1994 corresponde a la Comisión de Regulación de Energía y Gas regular la prestación del servicio de gas combustible;
Que de acuerdo a lo establecido en el artículo 23 de la Ley 689 de 2001 corresponde a la CREG expedir la regulación relacionada con la reposición y mantenimiento de los cilindros y tanques estacionarios utilizados en la comercialización del GLP;
Que en desarrollo de lo establecido en el artículo 23 de la Ley 689 de 2001, la CREG expidió la Resolución 019 de 2002, por la cual se adopta la regulación aplicable a la reposición y mantenimiento de cilindros y tanques estacionarios utilizados en la prestación del servicio de Gas Licuado del Petróleo (GLP), disponiendo el establecimiento de metas individuales de reposición de cilindros portátiles;
Que la Resolución CREG 015 de 2007 estableció metas individuales de reposición de cilindros para ejecutar en los períodos abril-junio 2007; julio-septiembre de 2007; octubre- diciembre de 2007; enero- marzo de 2008 y abril-junio de 2008;
Que la Ley 1151 de 2007 en su artículo 62 dispuso que “Dentro del término de dieciocho (18) meses siguientes a la expedición de esta ley, la Comisión de Regulación de Energía y Gas, CREG, adoptará los cambios necesarios en la regulación para que la remuneración asociada a la reposición y el mantenimiento de los cilindros de gas licuados de petróleo y de los tanques estacionarios utilizados para el servicio público domiciliario sea incorporado en la tarifa, introduciendo además un esquema de responsabilidad de marca en cilindros de propiedad de los distribuidores que haga posible identificar el prestador del servicio público de Gas Licuado de Petróleo que deberá responder por la calidad y seguridad del combustible distribuido;
El margen de seguridad de que trata el artículo 23 de la Ley 689 de 2001 se eliminará a partir del 31 de diciembre de 2010. A partir de la entrada en vigencia de la regulación prevista en el inciso anterior, el margen de seguridad de que trata el artículo 23 de la Ley 689 de 2001 se destinará a la financiación de las actividades necesarias para la implementación del cambio de esquema, con sujeción a la reglamentación que para el efecto expida la CREG. Y su monto se integrará al margen de distribución del servicio domiciliario del gas licuado de petróleo”;
Que con fundamento en lo dispuesto en el artículo 62 de la Ley 1151 la Comisión de Regulación de Energía y Gas expidió la Resolución 023 de 2008 “Por la cual se establece el Reglamento de Distribución y Comercialización Minorista de Gas Licuado del Petróleo”;
Que con fundamento en lo señalado en el artículo 62 de la Ley 1151 de 2007 la CREG expidió la Resolución 045 de 2008 “Por la cual se establece la regulación aplicable al período de transición de un esquema de parque universal a un esquema de parque marcado de cilindros de propiedad de los distribuidores”;
Que de acuerdo con lo establecido en la Resolución CREG 045 de 2008, la CREG fijará metas individuales de recolección y destrucción del parque universal de cilindros para que sea reemplazado por un parque marcado propiedad de los distribuidores y su cumplimiento será verificado semestralmente por la SSPD, el cual se constituirá en el Programa de Recolección del Parque Universal (REPU) del cual trata la misma resolución;
Que el artículo 19 de la mencionada resolución determina la forma cómo se determinará el tamaño del parque universal con base en el cual se establecerán las metas individuales de recolección;
Que una vez fijada dichas metas individuales, los Distribuidores Inversionistas, de los cuales trata la Resolución CREG 045 de 2008, deberán declarar su intención de participar introduciendo cilindros marcados de su propiedad para reemplazar el parque universal de acuerdo con las metas individuales asignadas presentando para el efecto su Plan de Inversiones, lo cual se constituirá en el Programa de Inversión en Cilindros Marcados (ICMA) del cual trata la misma resolución;
Que para la marcación de los Cilindros Universales Adecuados a través de una placa de identificación, es necesaria la definición por parte del Ministerio de Minas y Energía mediante Resolución de las características técnicas de la placa, del sitio donde debe ser colocada y del procedimiento para hacerlo;
Que la marca con la cual los Distribuidores van a identificar los cilindros de su propiedad debe ser reportada por estos ante la Superintendencia de Servicios Públicos Domiciliarios al menos un mes antes de empezar a marcar los cilindros que utilizará en la prestación del servicio;
Que para dar inicio a las metas de recolección de cilindros se requiere el cumplimiento de las condiciones anteriormente mencionadas;
Que el Comité Fiduciario debe adelantar los procesos de convocatoria y evaluación tendientes a la celebración de los contratos para el diseño y la ejecución del programa de información, capacitación y divulgación necesario para lograr el cambio de esquema, con sujeción al régimen de contratación aplicable y como mínimo considerando los lineamientos básicos establecidos en el artículo 44 de la Resolución CREG 045 de 2008;
Que la propuesta regulatoria de determinación del cargo de distribución y comercialización minorista del servicio de GLP, fue aprobada en su sesión CREG No 376 el día 12 de junio de 2008, mediante Resolución 060 de 2008;
Que conforme a lo dispuesto por el artículo 11 del Decreto 2696 de 2004, “tres (3) meses antes de la fecha prevista para que inicie el periodo de vigencia de las fórmulas tarifarias, se deberán hacer públicos en la página Web de la Comisión correspondiente los proyectos de metodologías y de fórmulas, los estudios respectivos y los textos de los proyectos de resoluciones”; por lo cual la fórmula tarifaria propuesta en la Res. 060 de 2008 no regirá antes del mes de septiembre de 2008;
Que por razones de seguridad del parque utilizado en la prestación del servicio público domiciliario, el parque universal de cilindros que por sus condiciones operativas sea susceptible de cambio debe ser permanentemente objeto de un programa verificable de reposición y mantenimiento o de reemplazo por un parque nuevo marcado propiedad de un distribuidor;
Que de acuerdo con el artículo 62 de la Ley 1151 de 2007, el margen de seguridad de que trata el artículo 23 de la Ley 689 de 2001 se eliminará a partir del 31 de diciembre de 2010;
Que a partir de la entrada en vigencia de la regulación prevista en el inciso 1o del artículo 62 de la Ley 1151 de 2007 y una vez se inicie la recolección de cilindros universales para ser reemplazados por cilindros marcados, el margen de seguridad de que trata el artículo 23 de la Ley 689 de 2001 se destinará a la financiación de las actividades necesarias para la implementación del cambio de esquema;
Que el Capítulo 5 de la Resolución CREG 045 de 2008 determina la regulación aplicable a la ejecución del programa de mantenimiento y/o reposición de los tanques estacionarios utilizados en la prestación del servicio público domiciliario de GLP con fundamento en lo establecido en el artículo 23 de la Ley 689 de 2001;
Que la Comisión de Regulación de Energía y Gas, en la Sesión No. 377 del 23 de junio de 2008, acorde con los análisis presentados en el Documento CREG 54 de junio de 2008, acordó expedir las metas individuales de reposición de cilindros universales utilizados en la prestación del servicio de Gas Licuado del Petróleo (GLP) y las metas individuales de recolección para su reemplazo por un parque universal de cilindros marcados propiedad de los distribuidores inversionistas de los cuales trata la Resolución CREG 045 de 2008,
RESUELVE:
ARTÍCULO 1o. AMBITO DE APLICACIÓN. Las disposiciones contenidas en esta resolución aplican a todos los distribuidores que se encuentran prestando el servicio público domiciliario de GLP a la fecha de expedición de esta resolución.
Respecto de las disposiciones presupuestales aplica a los recursos provenientes del Margen de Seguridad de que trata la Ley 689 de 2001, así como a todos los demás recursos asociados que por su naturaleza deban ingresar a la fiducia, de que trata la Resolución CREG-010 de 2002, tales como penalizaciones a grandes comercializadores por mora en la transferencia de los recursos recaudados por concepto del Margen de Seguridad y multas ocasionadas por la ejecución de los contratos celebrados con cargo a los recursos del Margen de Seguridad, rendimientos financieros de los recursos del Margen de Seguridad, y demás conceptos establecidos en esta materia.
ARTÍCULO 2o. DISTRIBUCIÓN ANUAL DE LOS RECURSOS DEL MARGEN DE SEGURIDAD. Al inicio de cada vigencia presupuestal la CREG asignará los recursos del Margen de Seguridad requeridos para los efectos de esta resolución, descontando los recursos necesarios para la adecuada administración del esquema centralizado vigente.
ARTÍCULO 3o. INFORMACIÓN FINANCIERA DE LOS RECURSOS DEL MARGEN DE SEGURIDAD. El fideicomitente, a través de la entidad fiduciaria administradora de los recursos del Margen de Seguridad, deberá reportar la información financiera de utilización y disponibilidad de los recursos del Margen de Seguridad utilizando los aplicativos diseñados para tal fin en el Sistema de Información del Margen de Seguridad tal como se indica en el Artículo 41 de la Resolución CREG-045 de 2008.
ARTÍCULO 4o. VIGENCIAS PERIÓDICAS PARA LA DISTRIBUCIÓN DE LOS RECURSOS DEL MARGEN DE SEGURIDAD. Las vigencias de distribución de los recursos del Margen de Seguridad establecido en esta resolución coincidirá con el inicio y finalización de cada uno de los períodos establecidos para la ejecución de las metas de recolección del parque universal de cilindros.
PARÁGRAFO 1o. Por lo menos un mes antes de iniciar cada vigencia presupuestal y con el objeto de realizar el seguimiento periódico de revisión de metas de la cual trata el artículo 27 de la Resolución CREG 045 de 2008, así como de la ejecución del Programa de Mantenimiento y Reposición de Tanques Estacionarios de que trata el artículo 14 de esta resolución, el Comité Fiduciario deberá reportar a la CREG los recursos del Margen de Seguridad que proyecta quedarán disponibles para el inicio de la siguiente vigencia.
PARÁGRAFO 2o. Con excepción de los recursos destinados a financiar el programa de mantenimiento y reposición de tanques estacionarios, y el programa de información, capacitación y divulgación, los recursos del Margen de Seguridad de cada rubro presupuestal no ejecutados al final de cada vigencia quedarán disponibles para el pago de compensaciones, transporte y clasificación de cilindros universales.
ARTÍCULO 5o. PRESUPUESTO PARA LA ADMINISTRACIÓN DEL ESQUEMA DE MANTENIMIENTO Y REPOSICIÓN DE CILINDROS Y TANQUES ESTACIONARIOS. En cumplimento de la función establecida en el literal i) del artículo 42 de la Resolución CREG 045 de 2008, por lo menos un mes antes del inicio de cada vigencia presupuestal, el Comité Fiduciario informará a la CREG el presupuesto detallado que requerirá para la administración del esquema durante la respectiva vigencia presupuestal con sujeción a los rubros que se indican a continuación.
| CONCEPTO | Máximo % del total de la vigencia transferido a la Fiducia | |
| 1. | INTERVENTORIA CONTRATO DE FIDUCIA | 0,1% |
| 2. | PRESUPUESTO DE GASTOS COMITE FIDUCIARIO (asesorías técnicas y/o jurídicas, secretaría técnica, papelería y publicaciones, gastos de operación, etc.) | 0,5% |
| 3. | COMISION FIDUCIARIA | 0,5% |
| 4. | INTERVENTORIA ESQUEMA DE TRANSICION | 3,9% |
| TOTAL | 5,0% | |
PARÁGRAFO. El porcentaje indicado establece el máximo de recursos, del total de transferencias por concepto de Margen de Seguridad recibidas por la fiduciaria durante una vigencia, de los cuales podrá disponer el Comité Fiduciario para el efecto.
ARTÍCULO 6o. RECURSOS PARA CAPACITACIÓN DE USUARIOS. En la distribución anual de los recursos del Margen de Seguridad que realice la CREG se mantendrá una asignación equivalente al 5% del total de los recursos transferidos anualmente a la fiduciaria a efectos de ser utilizados en Capacitación a Usuarios. Los recursos de capacitación no utilizados durante una vigencia anual se mantendrán reservados para su ejecución en forma agregada en la próxima vigencia.
PARÁGRAFO. La ejecución de los recursos del rubro correspondiente a Capacitación de Usuarios es responsabilidad del Comité Fiduciario. Por lo menos un mes antes del inicio de cada vigencia presupuestal, el Comité Fiduciario deberá informar a la CREG y a la SSPD sobre el Plan de Capacitación a ejecutar durante la misma.
ARTÍCULO 7o. METAS INDIVIDUALES DE REPOSICIÓN DE CILINDROS UNIVERSALES. Durante el período comprendido entre el 1o de julio y el 30 de septiembre de 2008, los distribuidores podrán continuar reponiendo cilindros universales con cargo a los recursos del margen de seguridad, en una cantidad máxima de cilindros correspondiente a la indicada, de manera individual y por tamaño de cilindro, en el Anexo 1 de esta resolución.
PARÁGRAFO 1o. La asignación de estas metas de reposición tiene por objeto brindar a los distribuidores el mecanismo necesario para disponer de los recursos que le permitan cubrir las posibles necesidades de cambio de cilindros no aptos para continuar prestando el servicio, mientras los mismos puedan comenzar a reemplazarse por cilindros nuevos marcados, por lo tanto no son de obligatorio cumplimiento por parte del distribuidor ni de seguimiento por parte de la SSPD.
PARÁGRAFO 2o. En ningún caso, la asignación de estas metas de reposición dará lugar a metas adicionales.
PARÁGRAFO 3o. Para la ejecución de estas metas de reposición continuarán vigentes los criterios de asignación presupuestal establecida en la regulación de reposición y mantenimiento de cilindros universales, así como toda la regulación aplicable para el efecto.
1. Las metas individuales que se establecen en esta resolución son las metas mínimas que debe cumplir cada empresa distribuidora de GLP que utilice cilindros portátiles para la prestación del servicio. El incumplimiento de estas metas dará lugar a la aplicación de los correspondientes procedimientos administrativos por parte de la Superintendencia de Servicios Públicos Domiciliarios.
2. El Comité Fiduciario podrá adoptar lineamientos generales, basados en criterios de eficiencia, para coordinar con las empresas distribuidoras de GLP las programaciones que estas últimas deben realizar para el cumplimiento de sus metas de recolección.
3. Las empresas distribuidoras de GLP, que en los términos previstos en el artículo 11.8 de la Ley 142 de 1994 informen del inicio de sus operaciones a la Superintendencia de Servicios Públicos Domiciliarios y a la Comisión de Regulación de Energía y Gas, serán incluidas dentro del programa REPU con base en el Plan de Inversiones que presenten a la CREG.
4. Cuando las empresas distribuidoras a las cuales se les ha asignado metas sean sujeto de fusiones y/o adquisiciones, debidamente autorizadas por la autoridad competente, las metas individuales de la nueva sociedad corresponderán a las metas agregadas de cada una de las empresas involucradas.
ARTÍCULO 9o. PRESUPUESTO PARA LA EJECUCIÓN DEL PROGRAMA RECOLECCIÓN DE CILINDROS UNIVERSALES - REPU. El presupuesto para ejecutar las metas indicadas en los artículos 10, 11, 12 y 13 de esta resolución, así como para pagar por los transportes asociados y las revisiones y clasificaciones requeridas conforme a lo establecido en la Resolución CREG 045 de 2008 será como mínimo el 90% de los recursos transferidos a la Fiducia en cada vigencia presupuestal, una vez descontados todos los compromisos y requerimientos para la administración del esquema y del programa de capacitación de usuarios.
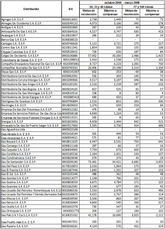
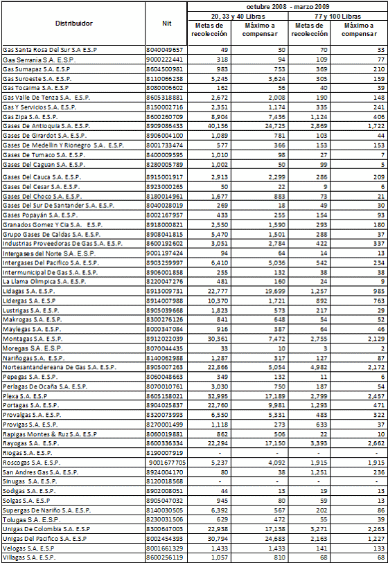
ARTÍCULO 10. Metas individuales de recolección de cilindros universales a ejecutar durante el período octubre de 2008 a marzo de 2009. Las metas individuales de recolección de cilindros universales utilizados en la prestación del servicio de GLP, que deben cumplir las empresas distribuidoras de GLP durante el período indicado en este artículo, serán las siguientes:


ARTÍCULO 11. METAS INDIVIDUALES DE RECOLECCIÓN DE CILINDROS UNIVERSALES A EJECUTAR DURANTE EL PERÍODO ABRIL A OCTUBRE DE 2009. Las metas individuales de recolección de cilindros universales utilizados en la prestación del servicio de GLP, que deben cumplir las empresas distribuidoras de GLP durante el período indicado en este artículo, serán las siguientes:


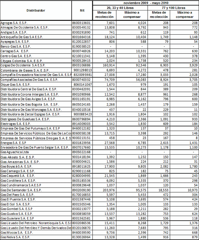
ARTÍCULO 12. METAS INDIVIDUALES DE RECOLECCIÓN DE CILINDROS UNIVERSALES A EJECUTAR DURANTE EL PERÍODO NOVIEMBRE DE 2009 A MAYO DE 2010. Las metas individuales de recolección de cilindros universales utilizados en la prestación del servicio de GLP, que deben cumplir las empresas distribuidoras de GLP durante el período indicado en este artículo, serán las siguientes:



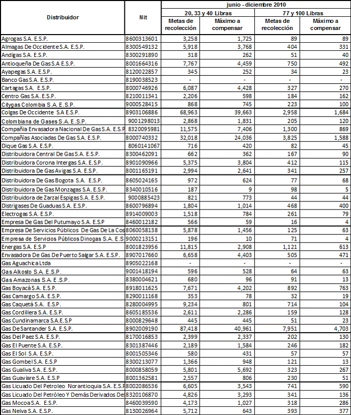
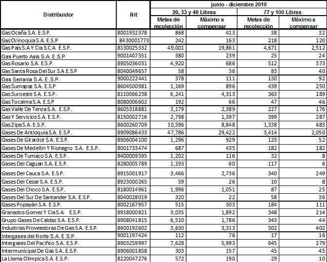
ARTÍCULO 13. METAS INDIVIDUALES DE RECOLECCIÓN DE CILINDROS UNIVERSALES A EJECUTAR DURANTE EL PERÍODO JUNIO A DICIEMBRE DE 2010. Las metas individuales de recolección de cilindros universales utilizados en la prestación del servicio de GLP, que deben cumplir las empresas distribuidoras de GLP durante el período indicado en este artículo, serán las siguientes:



ARTÍCULO 14. PRESUPUESTO PARA LA EJECUCIÓN DEL PROGRAMA DE MANTENIMIENTO Y REPOSICIÓN DE TANQUES ESTACIONARIOS. <Artículo derogado por el artículo 5 de la Resolución 164 de 2008>

ARTÍCULO 15. FUNCIONES DEL COMITÉ FIDUCIARIO. Además de las funciones establecidas en el artículo 42 de la Resolución CREG 045 de 2008, el Comité Fiduciario tendrá las siguientes responsabilidades:
a) Dentro de los cuatro meses siguientes a la entrada en vigencia de la presente resolución el Comité Fiduciario proveerá todo lo necesario para que inicie el programa de información, capacitación y divulgación del nuevo esquema de prestación del servicio público domiciliario de GLP observando los lineamientos establecidos en el artículo 44 de la Resolución CREG 045 de 2008.
b) A más tardar al finalizar el mes de octubre de 2008, deberá presentar a la CREG una programación detallada de la ejecución de los diagnósticos de cada uno de los tanques estacionarios reportados en el SUI hasta la fecha indicada en el artículo 34, literal c) de la Resolución CREG 045 de 2008 y previendo lo dispuesto en los artículos 37 y 38 de la Resolución CREG 045 de 2008.
c) Dos meses antes del inicio de cada semestre de los años 2009 y 2010 deberá presentar a la CREG el resultado de los diagnósticos realizados a los tanques estacionarios sobre los cuales los distribuidores establecerán sus metas de reposición y/o mantenimiento de tanques estacionarios a ejecutar semestralmente, para su aprobación por parte de la CREG.
ARTÍCULO 16. La presente resolución deberá notificarse a las empresas que se relacionan en los artículos 10, 11, 12 y 13 anteriores, y publicarse en el Diario Oficial. Contra las decisiones contenidas en los mismos artículos procede el Recurso de Reposición, el cual podrá interponerse ante la Dirección Ejecutiva de la CREG dentro de los cinco (5) días hábiles siguientes a la fecha de su notificación.
Notifíquese, publíquese y cúmplase.
Dada en Bogotá, D. C., a 23 de junio de 2008.
El Presidente,
MANUEL MAIGUASHCA OLANO,
Viceministro de Minas y Energía, delegado del Ministro de Minas y Energía.
El Director Ejecutivo,
HERNÁN MOLINA VALENCIA.
METAS DE REPOSICION DE CILINDROS UNIVERSALES.

