Derechos de autor reservados - Prohibida su reproducción
RESOLUCIÓN 3158 DE 2007
(septiembre 10)
Diario Oficial No. 46.751 de 14 de septiembre de 2007
MINISTERIO DE LA PROTECCIÓN SOCIAL
Por la cual se expide el reglamento técnico de emergencia para los juguetes, sus componentes y accesorios, que se comercialicen en Colombia.
EL MINISTRO DE LA PROTECCIÓN SOCIAL,
en ejercicio de sus atribuciones legales, en especial las conferidas en el artículo 551 de la Ley 9ª de 1979, la Ley 170 de 1994 y el numeral 17 del artículo 2o del Decreto 205 de 2003, y
CONSIDERANDO:
Que de acuerdo con lo previsto en el artículo 78 de la Constitución Política de Colombia, serán responsables, de acuerdo con la ley, quienes en la producción y en la comercialización de bienes y servicios, atenten contra la salud, la seguridad y el adecuado aprovisionamiento a consumidores y usuarios;
Que el Acuerdo sobre Obstáculos Técnicos al Comercio de la Organización Mundial del Comercio, al cual adhirió Colombia a través de la Ley 170 de 1994 y la Decisión 419 de la Comisión de la Comunidad Andina, establecen que los países tienen derecho a adoptar las medidas necesarias para asegurar la calidad de sus exportaciones, o para la protección de la salud y la vida de las personas, para la protección del medio ambiente, o para la prevención de prácticas que pueden inducir a error, para lo cual pueden adoptar reglamentos técnicos que incluyan prescripciones en materia de terminología, símbolos, embalaje, marcado o etiquetado aplicable a productos;
Que tal como se contempla en el numeral 2.2 del artículo 2o del Acuerdo sobre Obstáculos Técnicos al Comercio de la Organización Mundial del Comercio; en el artículo 14-01 del Tratado de Libre Comercio con los Estados Unidos Mexicanos y la República de Venezuela; y, en el artículo 26 de la Decisión Andina 376 de 1995, los Reglamentos Técnicos se establecen para garantizar, entre otros, los siguientes objetivos legítimos: los imperativos de la seguridad nacional; la protección de la salud o seguridad humanas, de la vida o la salud animal o vegetal, o del medio ambiente y la prevención de prácticas que puedan inducir a error a los consumidores;
Que la Decisión 506 de 2001 expedida por la Comisión de la Comunidad Andina decidió sobre el reconocimiento y aceptación de certificados de productos a ser comercializados en la Comunidad Andina y que la Decisión 562 del 25 de junio de 2003 de la Comisión de la Comunidad Andina, aprobó directrices para la elaboración, adopción y aplicación de Reglamentos Técnicos en los países miembros de la Comunidad Andina y a Nivel Comunitario;
Que en el artículo 3o de la Ley 155 de 1959 se establece que le corresponde al Gobierno Nacional intervenir en la fijación de normas sobre calidad de los productos, con miras a defender el interés de los consumidores y de los productores de materias primas;
Que conforme se dispone en los artículos 7o y 8o del Decreto 2269 de 1993, en correspondencia con el Decreto 300 de 1995, se deberá demostrar la conformidad de un bien o servicio con norma obligatoria o reglamento técnico a que se encuentre sujeto antes de su comercialización, independientemente que se produzcan en Colombia o que se importen, de acuerdo con el procedimiento establecido para el efecto;
Que mediante el Decreto 300 de febrero 10 de 1995, el Gobierno Nacional estableció el procedimiento para verificar el cumplimiento de las normas técnicas colombianas oficiales y los Reglamentos Técnicos en los productos importados;
Que la Decisión 562 de la Comunidad Andina señala las directrices para la elaboración, adopción y aplicación de Reglamentos Técnicos en los Países Miembros de la Comunidad Andina y en el nivel comunitario, estableciendo en el artículo 4o que el reglamento técnico de emergencia, “es un documento adoptado para hacer frente a problemas o amenazas de problemas que pudieran afectar la seguridad, sanidad, protección del medio ambiente o seguridad nacional”;
Que de conformidad con lo dispuesto en los artículos 550 y 551 de la Ley 9ª de 1979, los juguetes son considerados artículos de uso doméstico y le corresponde a la autoridad sanitaria, la inspección, vigilancia y control, de estos productos, determinados como factores de riesgo del consumo;
Que es competencia de la Superintendencia Nacional de Industria y Comercio, velar por el derecho que tiene el consumidor a que el productor, el proveedor o el expendedor del bien, o quien prestó el servicio, respecto del cual se predica la falla de calidad o de idoneidad, responda por la garantía que tienen todos los bienes y servicios puestos en el mercado, con el fin de que no representen riesgos para la salud de la comunidad;
Que de conformidad con lo anterior, se hace necesario establecer un reglamento técnico de emergencia que garantice el cumplimiento de los requisitos sanitarios que deben cumplir los juguetes, como una medida necesaria para garantizar la calidad e inocuidad de estos productos de uso doméstico, destinados en gran mayoría para los niños, con el fin de proteger la salud humana y prevenir posibles daños a la misma;
En mérito de lo expuesto, este Despacho,
RESUELVE:
OBJETO Y CAMPO DE APLICACIÓN.
ARTÍCULO 1o. OBJETO. <Artículo modificado por el artículo 1 de la Resolución 3669 de 2007. El nuevo texto es el siguiente:> La presente resolución tiene por objeto establecer el reglamento técnico de emergencia, a través del cual se señalan los requisitos sanitarios que deben cumplir los juguetes, sus componentes y accesorios que se fabriquen e importen para su comercialización en el territorio nacional, con el fin de proteger la vida y la salud humana.
ARTÍCULO 2o. CAMPO DE APLICACIÓN.
<Inciso modificado por el artículo 2 de la Resolución 3669 de 2007. El nuevo texto es el siguiente:> Las disposiciones contenidas en el reglamento técnico de emergencia que se establece mediante la presente resolución, se aplican a todos los juguetes destinados al uso humano que se fabriquen o importen para su comercialización en el territorio nacional.
Los mencionados artículos se encuentran clasificados en las siguientes Subpartidas arancelarias:
| SUBPARTIDAS ARANCELARIAS | DESCRIPCIÓN TEXTO ARANCEL |
| 9503001000 | Triciclos, patinetes, coches de pedal y juguetes similares con ruedas; coches y sillas de ruedas para muñecas o muñecos. |
| 9503002920 | Muñecas o muñecos, incluso vestidos. |
| 9503003000 | Modelos reducidos y modelos similares, para entretenimiento, incluso animados. |
| 9503004000 | Rompecabezas de cualquier clase. |
| 9503009100 | Trenes eléctricos, incluidos los carriles (rieles), señales y demás accesorios |
| 9503009200 | Los demás juguetes, de construcción. |
| 9503009300 | Los demás juguetes que representen animales o seres no humanos. |
| 9503009400 | Instrumentos y aparatos, de música, de juguete. |
| 9503009500 | Los demás juguetes presentados en juegos o surtidos o en panoplias. |
| 9503009600 | Los demás juguetes, con motor. |
| 9503009900 | Los demás. |
| 9503009910 | Globos de látex de caucho natural. |
| 9503009990 | Los demás juguetes. |
ARTÍCULO 3o. EXCEPCIONES. Para efectos del reglamento técnico de emergencia que se establece en la presente resolución, no se consideran juguetes, los siguientes artículos:
a) Adornos para Navidad;
b) Modelos a escala reducida para coleccionistas adultos;
c) Equipos destinados a uso colectivo en terrenos de juegos;
d) Equipos deportivos;
e) Equipos náuticos para uso en aguas profundas;
f) Muñecas folclóricas y decorativas y, otros artículos similares, para coleccionistas adultos;
g) Juguetes “Profesionales”, instalados en lugares públicos (centros comerciales, estaciones, etc.);
h) Rompecabezas con más de 500 fichas, o sin modelo, destinados a los especialistas;
i) Armas de aire comprimido;
j) Fuegos artificiales, incluidos los fulminantes específicos, concebidos para los juguetes;
k) Hondas y tirachinas;
l) Juegos de dardos con puntas metálicas;
m) Hornos eléctricos, plantas u otros productos funcionales alimentados por una tensión nominal superior a 24 voltios;
n) Productos que contiene elementos calentadores destinados a ser utilizados bajo la vigilancia de un adulto en prácticas pedagógicas;
o) Vehículos con motor de combustión;
p) Máquinas de vapor de juguete;
q) Bicicletas, salvo las que posean un sillín cuya altura máxima regulable sea de 635 mm;
r) Juegos de video que puedan conectarse a un monitor de video, alimentados por una corriente nominal superior a 24 voltios;
s) Chupete de puericultura;
t) Imitación fiel de armas de fuego;
u) Bisutería de niños;
v) Los fuegos artificiales, incluidos los fulminantes de percusión;
w) Las máquinas de vapor de juguete.
CONTENIDO TÉCNICO.
ARTÍCULO 4o. DEFINICIONES. Para los efectos de la aplicación del reglamento técnico de emergencia que se establece a través de la presente resolución, se adoptan las siguientes definiciones:
Biodisponibilidad: Es la concentración del metal pesado libre y lábil, presente en una muestra del extracto soluble.
Borde confinado: Aquel en el cual la parte de una lámina adyacente al borde se repliega sobre sí misma, en un ángulo de aproximadamente 180o, de manera que quede aproximadamente paralela a la lámina principal.
Borde enrollado: Aquel en el cual la parte de la lámina adyacente al borde se dobla en un arco y forma un ángulo entre 90o y 120o con la lámina principal.
Comercialización: Comprende las actividades de venta y distribución gratuita de juguetes de fabricación nacional e importados.
Embalaje: Todos los materiales, procedimientos y métodos que sirven para acondicionar, presentar, manipular, almacenar, conservar y transportar los juguetes.
Empaque: Cualquier material que encierra un juguete con o sin envase, con el fin de preservarlo y facilitar su entrega al consumidor y el cual no se requiere para el funcionamiento del juguete.
Juguete: Todo producto concebido o manifiestamente destinado a ser utilizado con fines de juego por niños de edad inferior a 14 años.
Juguete funcional: Es aquel usado con fines de juego que suele ser un modelo a escala de cierto producto, artefacto o instalación destinada para uso por parte de adultos.
Peligro: Riesgo inminente de que suceda algún daño.
Uso normal: Modos de juego que cumplen las instrucciones suministradas con el juguete, establecidas por tradición o costumbre o que son evidentes al examinar el juguete.
<Inciso modificado por el artículo 2 de la Resolución 3669 de 2007. El nuevo texto es el siguiente:> Todos los juguetes destinados al uso humano, que se fabriquen e importen para su comercialización en el territorio nacional, además de cumplir con los requisitos señalados en los literales a) y b) del artículo 551 de la Ley 9ª de 1979, deberán cumplir con lo siguiente:
a) Los juguetes y sus partes, así como sus uniones, para el caso de juguetes desmontables, deberán tener la resistencia mecánica y la estabilidad suficiente para soportar las tensiones debidas al uso, sin roturas o deformaciones que puedan causar heridas;
b) Los bordes accesibles, salientes, cuerdas, cables y fijaciones de los juguetes deben diseñarse y construirse de manera que el contacto con ellos no presente riesgos de lesiones corporales;
c) Los juguetes deberán concebirse y fabricarse de forma que se reduzcan al mínimo los riesgos de heridas que puedan ser provocados por el movimiento de sus partes;
d) Los juguetes, sus componentes y sus partes removibles, destinados a niños de edad inferior a treinta y seis meses, deberán ser de dimensiones suficientes para que no puedan ser tragados y/o inhalados;
e) Los juguetes, sus partes y los embalajes en que se presenten para su venta al por menor, no deberán presentar riesgo de estrangulamiento o asfixia;
f) Los juguetes para uso en el agua o para llevar un niño a través del agua, deberán concebirse y fabricarse de forma que se reduzca al mínimo, el riesgo de hundimiento del juguete y la pérdida de apoyo para el niño;
g) Los juguetes en lo que se pueda entrar y que constituyan por lo tanto un espacio cerrado, deberán contar con un sistema de salida fácil de abrir desde el interior;
h) Los juguetes que confieran movilidad a sus usuarios deberán en la medida de lo posible, llevar incorporado un sistema de freno adaptado al tipo de juguete y que esté en relación con la energía cinética desarrollada por el mismo. Dicho sistema deberá ser de fácil utilización por sus usuarios, sin peligro de proyección o de heridas para los mismos o para terceros;
i) Los juguetes deberán ser diseñados y fabricados de forma que su ingestión inhalación, contacto con la piel, las mucosas o los ojos, no presenten riesgo para la salud o peligros de heridas, en caso de su utilización;
j) La biodisponibilidad diaria resultante del uso de los juguetes no deberá exceder de:
0.2 í g de antimonio.
0.1í g de arsénico.
25 í g de bario.
0.6 í g de cadmio.
0.3 í g de cromo.
0.7 í g de plomo.
0.5 í g de mercurio.
5.0 í g de selenio;
k) Los juguetes no deberán ser explosivos o contener elementos o sustancias que puedan explotar;
l) Los juguetes que por razón de su uso, a que se destinen, contengan sustancias o preparados peligrosos (modelado plástico o cerámico, esmaltado, fotografía u otras actividades similares), no deben contener sustancias o preparados que puedan llegar a ser inflamables como consecuencia de la pérdida de componentes volátiles no inflamables;
m) Los juguetes que contengan elementos que produzcan calor deberán construirse de tal forma que la temperatura máxima que alcance cualquier superficie de contacto, no pueda provocar quemadura al tocarlas.
PARÁGRAFO. Los juguetes que contengan ftalatos, destinados a ser introducidos en la boca por niños menores de tres años, no podrán ser fabricados, importados ni comercializados en el territorio nacional.
ARTÍCULO 6o. INFLAMABILIDAD. Los juguetes no deben constituir un peligroso elemento inflamable en el medio ambiente del niño, por lo tanto, deben estar hechos con materiales que cumplan las siguientes condiciones:
a) No se quemen al quedar expuestos a una llama o chispa u otra fuente potencial de fuego;
b) No sean fácilmente inflamables (la llama se apaga tan pronto como se retiren del foco del fuego);
c) Si arden, lo hagan lentamente y con poca velocidad de propagación de la llama;
d) Cualquiera que sea la composición química del juguete, hayan sufrido un tratamiento tendiente a retrasar el proceso de combustión;
e) Los juguetes no deben ser explosivos o contener elementos o sustancias que puedan explotar.
ARTÍCULO 7o. PROPIEDADES ELÉCTRICAS. La tensión eléctrica de los juguetes y de sus piezas, que funcionan con electricidad no podrá exceder de 24 voltios; las partes del juguete en contacto, o que puedan entrar en contacto con una fuente de electricidad, capaz de provocar una descarga eléctrica, así como los cables u otros conductores por los que se lleve la electricidad a tales partes, deberán estar suficientemente aislados y protegidos mecánicamente para evitar el riesgo de descarga.
ARTÍCULO 8o. HIGIENE. Los juguetes deberán concebirse y fabricarse de manera que satisfagan las condiciones de higiene y limpieza necesarias con el fin de evitar los riesgos de infección, enfermedad y contagio.
ARTÍCULO 9o. RIESGO. El grado de riesgo presente en el uso de un juguete, debe ser proporcional a la capacidad de los usuarios, o de las personas que los cuidan, especialmente para los juguetes, que por sus funciones, dimensiones y características se destinen al uso de niños menores de 36 meses.
ARTÍCULO 10. ETIQUETADO. Los juguetes deberán ir acompañados de las indicaciones en caracteres legibles y visibles que permitan reducir los riesgos que puedan ocasionar su uso, y deberán proporcionar la siguiente información al consumidor:
a) Identificación del fabricante;
b) Identificación de Importador o distribuidor autorizado;
c) Advertencias e indicaciones de uso en idioma español;
d) Precauciones de empleo (para el caso de juguetes que así lo requieran), en idioma español;
e) Fecha de fabricación;
f) Identificación del lote de producción;
g) La edad mínima del usuario de los juguetes, y/o la necesidad de que se usen solamente bajo la vigilancia de un adulto;
h) En la etiqueta, embalaje o inserto de los juguetes, se deben dar las instrucciones, a los usuarios y/o cuidadores, en forma eficaz y completa de los cuidados y los riesgos que pueden ocasionar su uso, así como la forma de evitarlos;
i) Los juguetes funcionales deberán llevar la leyenda “Atención utilizar bajo la vigilancia de un adulto” j) Los patines de ruedas para niños, deberán llevar la leyenda “Atención usar con equipo de protección”.
PROCEDIMIENTOS ADMINISTRATIVOS.
ARTÍCULO 11. ENTIDADES DE VIGILANCIA Y CONTROL. Previa a la comercialización y al levante aduanero de los juguetes, la Dirección de Impuestos y Aduanas Nacionales, DIAN, de acuerdo con lo estipulado en los Decretos 300 de 1995 y 2685 de 1999, exigirá el registro o licencia de importación, el cual debe haber sido conceptuado favorablemente por la Superintendencia de Industria y Comercio.
La Superintendencia de Industria y Comercio, SIC, en ejercicio de las facultades de vigilancia y control establecidas en los Decretos 3466 de 1982 y 2153 de 1992, es la Entidad competente para inspeccionar la información del Etiquetado suministrada por los fabricantes y/o importadores, verificando que esta sea veraz y completa, conforme a los requisitos establecidos en el reglamento técnico de emergencia que se establece en la presente resolución, así como para supervisar y hacer cumplir los demás requisitos contenidos en este Reglamento Técnico.
Sin perjuicio de las competencias de la Superintendencia de Industria y Comercio, corresponde a las Entidades Territoriales de Salud, ejercer las funciones de inspección, vigilancia y control, durante el almacenamiento y comercialización de los juguetes, conforme a lo dispuesto en la Ley 715 de 2001 y demás disposiciones que la reglamenten, modifiquen, adicionen o sustituyan, en desarrollo de lo cual podrán aplicar las medidas de seguridad, adelantar los procedimientos e imponer las sanciones correspondientes previstas en la Ley 9ª de 1979.
ARTÍCULO 12. CERTIFICADOS PARA DEMOSTRAR LA CONFORMIDAD. <Artículo modificado por el artículo 4 de la Resolución 3669 de 2007. El nuevo texto es el siguiente:> Previamente a la comercialización de los productos sometidos al presente reglamento técnico de emergencia, en consideración a los riesgos que se pretenden prevenir o mitigar, los fabricantes e importadores, deberán poder demostrar la veracidad de la información suministrada y, el cumplimiento de los demás requisitos aquí exigidos, a través de cualquiera de los siguientes Certificados de Conformidad, expedidos de acuerdo con el artículo 13 de la presente resolución:
1. Certificado inicial de lote, válido únicamente para el lote muestreado.
2. Marca o sello de conformidad, que permitirá ingresar al país los productos mientras el sello o marca esté vigente, de acuerdo con las condiciones de su expedición, cualquiera que sea su cantidad y frecuencia.
3. Certificado de tipo, válido desde su expedición y hasta la expiración de la vigencia del presente reglamento técnico de emergencia.
El organismo de certificación acreditado por la Superintendencia de Industria y Comercio SIC, en este reglamento técnico de emergencia, deberá soportar dicho certificado en resultados de ensayos realizados en laboratorios acreditados ante la SIC, salvo que para un requisito en particular, no exista por lo menos un (1) laboratorio acreditado, caso en el cual el organismo certificador podrá soportarse en ensayos realizados en laboratorios evaluados por dicho organismo certificador, de acuerdo con las instrucciones que sobre el particular haya emitido la Superintendencia de Industria y Comercio.
PARÁGRAFO 1o. Para dar cumplimiento a lo aquí dispuesto y, para verificar la conformidad con los requisitos establecidos en el artículo 5o del presente reglamento técnico de emergencia, los laboratorios acreditados por la SIC deberán realizar los ensayos que se estipulen en las Normas NTC EN 71-2; NTC 4894 Parte 1; NTC EN- 71-3, mencionados en los Anexos 1, 2 y 3 del presente reglamento técnico de emergencia, o también realizar otros ensayos basados en Normas Técnicas, para las cuales se haya expedido el respectivo Concepto de Equivalencia, según los procedimientos señalados sobre el particular, por la Superintendencia de Industria y Comercio.
PARÁGRAFO 2o. Si no existe en Colombia al menos un (1) organismo de certificación acreditado por la SIC, cuyo alcance contemple el presente reglamento técnico de emergencia, serán válidos los certificados de conformidad expedidos por organismos de certificación de producto, acreditados bajo normas voluntarias con alcance específico para juguetes.
ARTÍCULO 13. PROCEDIMIENTO PARA EVALUAR LA CONFORMIDAD. Previa a su comercialización, los fabricantes nacionales, así como los importadores de los productos contemplados en el presente Reglamento Técnico, deberán, según sea su caso, obtener para estos productos el respectivo certificado de conformidad de producto que cubra los requisitos técnicos establecidos en el presente reglamento técnico, expedido por uno de los siguientes organismos:
a) Un organismo de certificación acreditado por la Superintendencia de Industria y Comercio, SIC, para los efectos de certificación aquí considerados.
El organismo de certificación acreditado que expida el certificado de conformidad requerido en el reglamento técnico de emergencia que se establece en la presente resolución, deberá soportar dicho certificado en resultados de ensayos realizados en laboratorio acreditado ante la Superintendencia de Industria y Comercio. También podrá apoyarse en un organismo de inspección acreditado por esta misma Superintendencia;
b) Un organismo de certificación acreditado por la entidad acreditadora del país de origen de estos productos, siempre y cuando dicho país mantenga vigente con Colombia Acuerdo de Reconocimiento Mutuo, para los efectos de certificación aquí considerados;
c) Un organismo de certificación acreditado por la entidad acreditadora del país de origen de estos productos, siempre y cuando exista Acuerdo de Reconocimiento Mutuo vigente entre el acreditador colombiano y el acreditador del país de origen de dichos productos;
d) Un organismo de certificación acreditado por la entidad acreditadora del país de origen de estos productos, siempre y cuando el certificado de conformidad que expidió el organismo extranjero, sea avalado por el organismo certificador acreditado en Colombia.
PARÁGRAFO 1o. El organismo de certificación extranjero de que tratan los literales b), c) y d) de este artículo, deberá demostrar que el certificado que expidió se soportó en resultados de ensayos realizados en laboratorios acreditados ante el organismo de acreditación del país de origen de los productos importados, no será exigible este requisito si el organismo de certificación extranjero se soportó en laboratorios acreditados o designados en Colombia, conforme lo señalado en este artículo.
El laboratorio acreditado por la SIC, deberá realizar los ensayos descritos en el presente Reglamento, contenidos en las Normas Técnicas Colombianas NTC-EN 71-2, NTC 4894, parte 1 y NTC EN-71-3, que corresponden a los Anexos 1, 2 y 3, del presente reglamento técnico, o también realizar otros ensayos basados en Normas Técnicas, para las cuales se haya expedido el respectivo concepto de equivalencia.
PARÁGRAFO 2o. Si para un requisito en particular exigido en este Reglamento Técnico no existe en Colombia por lo menos dos (2) laboratorios acreditados o designados por la Superintendencia de Industria y Comercio, SIC, el organismo de certificación que certifica la conformidad podrá soportarse en ensayos realizados en laboratorios de la Conferencia Internacional sobre Acreditación de Laboratorios de Ensayo (ILAC).
Si no existen en Colombia laboratorios acreditados que se requieran para soportar la certificación de conformidad establecida por el presente Reglamento Técnico, el regulador podrá designar uno o más laboratorios, en los cuales se pueda soportar el organismo de certificación.
Si no existen en Colombia organismos de inspección acreditados y que se requieran para soportar la certificación de conformidad establecida por el presente Reglamento Técnico, el regulador podrá designar uno o más organismos de inspección.
Las condiciones y el alcance de la designación del laboratorio o del organismo de inspección se establecerán en el respectivo documento de designación.
ARTÍCULO 14. REVISIÓN Y ACTUALIZACIÓN. El presente reglamento técnico se revisará y actualizará de acuerdo con los avances científicos y tecnológicos nacionales e internacionales, en un término no mayor de un año.
ARTÍCULO 15. NOTIFICACIÓN. De conformidad con el artículo 16 de la Decisión Andina 562 notifíquese el contenido del reglamento técnico de emergencia que se establece a través de la presente resolución a la Secretaría General de la Comunidad Andina dentro de las veinticuatro (24) horas siguientes a su expedición y comuníquese a la Organización Mundial del Comercio, trámites que se efectuarán a través del Ministerio de Comercio, Industria y Turismo.
ARTÍCULO 16. TRANSITORIO. Para dar cumplimiento a lo establecido en el artículo 10 de la presente resolución, los fabricantes e importadores contarán con seis (6) meses, contados a partir de la entrada en vigencia de la presente resolución, para adecuarse a los requisitos de etiquetado establecidos en la presente norma; razón por la cual podrán utilizar un stiker o adhesivo que incluya la información solicitada para el etiquetado.
ARTÍCULO 17. VIGENCIA Y DEROGATORIAS. El reglamento técnico de emergencia que se establece a través de la presente resolución, rige a partir de la fecha de su publicación en el Diario Oficial por un término de doce meses y deroga las disposiciones que le sean contrarias, y en especial la Resolución 2816 de 2007.
Notifíquese, comuníquese, publíquese y cúmplase.
Dada en Bogotá, D. C., a 10 de septiembre de 2007.
El Ministro de la Protección Social,
DIEGO PALACIO BETANCOURT.
NORMA TÉCNICA NTC EN 71-2 SEGURIDAD DE LOS JUGUETES INFLAMABILIDAD.
1. Objeto Esta norma específica las categorías de los materiales inflamables prohibidos en la fabricación de todos los juguetes, y los requisitos relativos a la inflamabilidad de ciertos juguetes, cuando se les someta a una pequeña fuente de inflamación.
Los métodos de ensayos descritos en el Capítulo 6 se utilizan para determinar la inflamabilidad de los juguetes en las condiciones particulares de ensayo especificadas. Los resultados de los ensayos así obtenidos no deben considerarse como una información general sobre el riesgo potencial al fuego de los juguetes o de los materiales, cuando se les someta a otras fuentes de inflamación.
2. Campo de aplicación Esta norma trata de los requisitos generales relativos a todos los juguetes, y de los requisitos especiales y métodos de ensayo relativos a los siguientes juguetes, que se considera presentan los riesgos mayores: Barbas, bigotes, pelucas y máscaras.
– Trajes de disfraces (ejemplos: trajes de vaqueros, uniformes de enfermeras).
– Juguetes concebidos para que un niño pueda penetrar en ellos (ejemplos: tiendas de juguete, teatros de marionetas, tiendas de indios).
– Juguetes flexibles rellenos con superficie pilosa o superficie textil.
3. Referencias NTC-EN 71-1 Seguridad de los juguetes. Parte 1. Propiedades mecánicas y físicas.
4. Definición Para el propósito de esta norma, se aplica la siguiente definición:
Inflamabilidad: capacidad de un material o de un producto para arder produciendo llama, en las condiciones de ensayo especificadas.
5. Requisitos 5.1 Generalidades Los siguientes materiales no deberán ser utilizados en la fabricación de juguetes:
– El celuloide (nitrato de celulosa) y los materiales que presenten un comportamiento similar al fuego (con la excepción de su utilización en barnices o pinturas).
– Los materiales de superficie pilosa que presenten un efecto relámpago ante la proximidad de una llama.
Nota. El efecto relámpago es una propagación de una llama sobre la superficie del artículo.
Además, los juguetes no deberán contener gases, líquidos y sólidos inflamables, con la excepción de:
– Los líquidos inflamables presentados en envases individuales cerrados, cuyo volumen máximo de cada envase sea de 15 ml.
– Las partes fácilmente inflamables destinadas a ser inflamadas, a entrar en combustión, o bien a emitir humo, salvo si son estrictamente indispensables para la función del juguete;
en este caso, el juguete ha de fabricarse de manera que no se inflame más que en el lugar previsto, y no en otras partes.
5.2 Barbas, bigotes, pelucas y máscaras
5.2.1 Las barbas, bigotes, pelucas y máscaras a las que se fijen elementos pilosos de longitud libre aparente superior a 50 mm, después del ensayo descrito en el numeral 6.1, deberán tener una persistencia de llama inferior o igual a 2 s.
Además, si hay inflamación, la mayor longitud de pelo o de superficie pilosa restante deberá ser:
– Igual o superior al 50% de la mayor longitud inicial, si esta última es igual o superior a 150 mm.
– Igual o superior al 25% de la mayor longitud inicial, si esta última es inferior a 150 mm.
Para los pelos rizados, se considerará la longitud como la del pelo estirado. El artículo se someterá a ensayo tal cual y en las condiciones menos favorables, por ejemplo trenzas deshechas.
5.2.2 Las máscaras y máscaras parciales que incluyan o no pelo o elementos pilosos, cuando se les someta al ensayo descrito en el numeral 6.2, deberán tener una persistencia de llama (véase el numeral 5.2.1) igual o menor a 2 s, y una altura vertical máxima de la superficie quemada, medida a partir del punto de aplicación de la llama, inferior o igual a 70 mm como máximo.
5.3 Trajes de disfraces
Las muestras representativas de los trajes de disfraces, tras el ensayo descrito en el numeral 6.3, deberán tener una velocidad de propagación de la llama inferior o igual a 30 mm/s (es decir, que el tiempo empleado por la llama para recorrer 500 mm de la extensión de la probeta, no debe ser inferior a 17 s). Además, durante el ensayo no deberán caer fragmentos inflamados de la probeta.
Si la velocidad de propagación de la llama se sitúa entre 10 mm/s y 30 mm/s, los juguetes deberán llevar la advertencia siguiente:
“¡Atención! mantener lejos del fuego”
5.4 Juguetes concebidos para que un niño pueda introducirse en ellos
Las muestras representativas de los juguetes concebidos para que un niño pueda entrar en ellos, tras el ensayo descrito en el numeral 6.3, deberán tener una velocidad de propagación de la llama inferior o igual a 30 mm/s (es decir, que el tiempo empleado por la llama para recorrer 500 mm de la extensión de la probeta no debe ser inferior a 17 s). Además, durante el ensayo no deberán caer fragmentos inflamados de la probeta.
Si la velocidad de propagación de la llama se sitúa entre 10 mm/s y 30 mm/s, los juguetes deberán llevar la advertencia siguiente:
“¡Atención! mantener lejos del fuego”
5.5 Juguetes flexibles rellenos o no, con superficie pilosa o textil
Los juguetes flexibles rellenos, (ejemplos: animales, muñecas, etc.) con superficie pilosa (ejemplo: terciopelo, peluche, imitación de piel) o con superficies textiles no deben tener una velocidad de propagación de la llama, en la superficie, superior a 30 mm/s durante la realización del ensayo descrito en el numeral 6.4.
Los requisitos de este párrafo no se aplican a los juguetes de dimensiones máximas inferiores o iguales a 150 mm.
6. Métodos de ensayos
Las siguientes disposiciones se aplican a los métodos de ensayo descritos del numeral 6.1 al numeral 6.4.
Cada ensayo se realizará sobre tres juguetes o probetas representativas, salvo en el caso en que los ensayos puedan ser efectuados sobre un único juguete, si tiene el tamaño suficiente y si las partes destruidas son suficientemente pequeñas.
Si solamente dos juguetes o probetas responden a los requisitos, se repetirá el ensayo sobre tres nuevos juguetes o probetas; si estos tres últimos responden a los requisitos fijados, los juguetes se consideran conformes con los requisitos de esta parte de la norma.
Cada ensayo se realizará sobre juguetes nuevos tal como se comercializan o sobre probetas obtenidas a partir de los juguetes nuevos. Si el fabricante:
– Indica que el juguete no ha sido concebido para ser lavado, no se realizará ningún lavado o remojo antes del ensayo.
– Recomienda un modo de lavado o de limpieza, el juguete será tratado de acuerdo con estas indicaciones.
– No da ninguna indicación relativa al lavado o limpieza, el juguete será tratado antes del ensayo, de acuerdo con las instrucciones dadas en el numeral 6.5.
Los juguetes utilizados para los ensayos deben ser representativos de un mismo lote de juguetes. Las probetas se deben obtener de manera que sean representativas de la totalidad del juguete.
Antes de cada ensayo, los juguetes o las probetas se deben acondicionar al menos durante 7 h a una temperatura de 20 oC a 25 oC, y a una humedad relativa del 50% al 65%.
Los ensayos deben efectuarse, si es posible, en un recinto de ensayo que permita su buena realización y la seguridad del personal [1*].
La llama de ensayo se obtendrá con un quemador, (véase la Figura 1), utilizando gas butano o propano. La altura de la llama se medirá con el quemador en posición vertical.
6.1 Ensayo relativo a las barbas, bigotes, pelucas y máscaras que incluyen elementos pilosos de longitud libre superior a 50 mm
Se mide la longitud de los elementos pilosos. Se coloca el juguete de tal modo que la mayor dimensión del elemento piloso quede vertical o en una posición tan próxima a la vertical como sea posible.
Con el quemador en posición vertical, se aplica una llama de altura 20±2 mm durante 2 s sobre el borde inferior de la parte pilosa del juguete, de manera que la llama penetre en el artículo alrededor de 10 mm.
Después de retirar la llama, se examina si ha habido inflamación y en este caso se mide el tiempo de persistencia de la llama y la menor longitud no destruida de los elementos pilosos.
6.2 Ensayo relativo a las barbas, bigotes, pelucas, máscaras que incluyan o no elementos pilosos de longitud libre inferior a 50 mm
Se coloca el juguete en posición vertical.
Se coloca el quemador en posición vertical para obtener una altura de llama de 20 mm ± 2 mm. Se coloca el quemador a 45o y se aplica la llama contra el juguete durante 5 s de tal manera que se realice el contacto al menos 20 mm por encima del borde inferior del juguete, y que la distancia entre la extremidad del quemador y la superficie del juguete sea alrededor de 5 mm. Después de retirar la llama, se examina si hay inflamación, y en este caso se mide el tiempo de persistencia de la llama y la distancia vertical máxima entre el borde superior de la superficie quemada y el punto de aplicación de la llama.
6.3 Ensayo relativo a los trajes de disfraces y a los juguetes concebidos para que un niño pueda entrar en ellos
Se obtienen del juguete tres probetas de aproximadamente 600 mm x 80 mm y se colocan sobre cada probeta dos hilos de algodón de referencia, distantes entre sí 500 mm, de tal manera que el primer hilo de referencia esté, al menos, a 50 mm de la parte inferior de la probeta.
Se coloca la probeta en un marco en U, a 45o en relación con la horizontal.
Con el quemador en posición vertical, se aplica una llama de 40 mm ± 2 mm de altura sobre la probeta durante 2 s, de tal manera que la distancia entre la parte inferior de la probeta y el borde superior del quemador sea de 30 mm.
Se mide el tiempo de propagación de la llama entre las dos referencias. Si la llama no alcanza la segunda referencia, el ensayo habrá sido superado.
6.4 Ensayo relativo a los juguetes flexibles rellenos o no, con superficie pilosa o superficie textil
Se coloca el juguete en vertical, es decir, con la cabeza en la parte superior.
Nota. Si es posible más de una orientación, se optará por la posición más favorable.
Con un quemador a 45o, se aplica una llama de 20 mm ± 2 mm de altura contra el juguete durante 3 s, de tal manera que la distancia entre la extremidad del tubo del quemador y el juguete sea de alrededor de 5 mm, y que se realice el contacto de la llama al menos a 20 mm, por encima del borde inferior del juguete.
Después de retirar la llama, se mide el tiempo empleado por la llama para recorrer, en la superficie del juguete, la distancia comprendida entre el punto de aplicación de la llama y la extremidad superior del juguete.
6.5 Tratamiento previo de los juguetes susceptibles de ser lavados
Se sumerge el juguete en el agua (a 20 ºC aproximadamente), en una relación de al menos 1:20, y se deja en remojo durante 10 min. Se escurre y se repite dos veces el proceso.
Se enjuaga por inmersión durante 2 min en agua desmineralizada. Se escurre y se seca con ayuda de un método apropiado al juguete y, cuando sea conveniente, se coloca el pelo en las condiciones más parecidas a su presentación original.
7. Apéndice DOCUMENTO DE REFERENCIA. COMITE EUROPEO DE NORMALIZACION.
Seguridad de los Juguetes. Parte 2. Inflamabilidad. (EN 71/2).
Figura 1 Quemador



NORMA TECNICA NTC- EN-71-3 SEGURIDAD DE LOS JUGUETES. MIGRACION DE CIERTOS ELEMENTOS.
0. Introducción
Esta norma sobre seguridad de juguetes consta de las partes siguientes:
Parte 1: Propiedades físicas y mecánicas.
Parte 2: Inflamabilidad 000Parte 3: Migración de ciertos elementos.
Parte 4: Juegos de experimentos químicos y actividades relacionadas.
Parte 5: Juguetes químicos distintos de los juegos de experimentos.
Parte 6: Símbolo gráfico para el etiquetado de advertencia sobre la edad.
Esta norma es la Parte 3 de la norma sobre seguridad de los juguetes norma NTC-EN 71.
Los requisitos de esta norma se basan en la biodisponibilidad resultante de la utilización de los juguetes, siendo el objetivo recomendado no superar los niveles diarios mencionados a continuación:
– 0,2 g para el antimonio.
– 0,1 g para el arsénico.
– 25,0 g para el bario.
– 0,6 g para el cadmio.
– 0,3 g para el cromo.
– 0,7 g para el plomo.
– 0,5 g para el mercurio.
– 5,0 g para el selenio.
Para la interpretación de estos valores ha sido necesario determinar un límite superior para la ingestión de material del juguete. Para fijar este límite superior se ha dispuesto de muy pocos datos. Se eligió como hipótesis de trabajo una ingestión media de 8 mg por día de material del juguete, teniendo en cuenta que en algunos casos particulares este valor podría ser más elevado.
Combinando la ingestión diaria de 8 mg con los valores de biodisponibilidad anteriormente indicados, se obtuvieron los límites para los diferentes elementos tóxicos en microgramos por gramo (miligramo por kilogramo) que se detallan en la Tabla 1. Los valores obtenidos se determinaron para minimizar la exposición de los niños a los elementos tóxicos y para garantizar la viabilidad analítica, teniendo en cuenta los límites alcanzables en condiciones normales de fabricación (véase el numeral D.1).
1. Objeto y campo de aplicación
Esta parte de la norma especifica los requisitos y los métodos de ensayo para la migración a partir de los materiales de los juguetes y de las partes de los juguetes, con excepción de los materiales no accesibles (véase la Parte 1 de esta norma) de los elementos siguientes: antimonio, arsénico, bario, cadmio, cromo, plomo, mercurio y selenio.
No se incluyen los materiales de embalaje, salvo que formen parte del juguete o estén dotados de un valor lúdico (véase el Anexo D).
Cuando sea necesario, se someterá al juguete a los ensayos apropiados, especificados en la Parte 1 de esta norma antes de considerar la accesibilidad de las partes.
Los requisitos son relativos a la migración a partir de los materiales de los juguetes siguientes:
– Recubrimientos de pinturas, barnices, lacas, tintas de impresión, polímeros y recubrimientos similares (véase el numeral 8.1).
– Polímeros y sustancias similares, incluidos los laminados, se trate de textiles reforzados o no, con exclusión de otros textiles (véase el numeral 8.2).
– Papel y cartón (véase el numeral 8.3).
– Textiles, naturales o sintéticos (véase el numeral 8.4).
– Cristal, cerámica, materiales metálicos (véase el numeral 8.5).
– Otros materiales, coloreados en la masa o no (por ejemplo, madera, cartón duro, tablero duro, hueso y cuero) (véase el numeral 8.6).
– Materiales destinados a dejar una marca (por ejemplo, mina de grafito de los lápices y tinta líquida de los bolígrafos) (véase el numeral 8.7).
– Materiales para modelar, incluidas las pastas de modelado y geles (véase el numeral 8.8).
– Pinturas, incluidas las pinturas para dedos, barnices, lacas, polvos de esmaltar y sustancias similares, en forma sólida o líquida, presentes como tales en el juguete (véase el numeral 8.9).
Los juguetes y las partes de juguetes que, por el hecho de su accesibilidad, función, peso, tamaño u otras características excluyan manifiestamente cualquier riesgo debido a la succión, el lamido o la ingestión, habida cuenta del comportamiento habitual y previsible de los niños, no están cubiertos por esta parte de la NTC-EN 71.
Nota. Para los fines de esta norma, los criterios siguientes son los apropiados para clasificar la succión, lamido o ingestión:
– Todos los juguetes destinados a entrar en contacto con la comida o la vía oral, incluyéndose en categoría de los juguetes los cosméticos de juguete y los instrumentos para escribir.
– Los juguetes destinados a los niños menores de seis años, es decir, todos los componentes y partes accesibles para los que exista una probabilidad de que dichos componentes o partes entren en contacto con la boca (véase el Anexo D).
2. Normas para consulta
Esta norma incorpora disposiciones de otras publicaciones por su referencia, con o sin fecha. Estas referencias normativas se citan en los lugares apropiados del texto de la norma y se relacionan a continuación. Las revisiones o modificaciones de cualquiera de las publicaciones referenciadas con fecha sólo se aplican a esta norma cuando se incorporan mediante revisión o modificación. Para las referencias sin fecha, se aplica la última edición de esa publicación.
NTC EN 71-1, Juguetes. Seguridad de los juguetes. Propiedades mecánicas y físicas.
ISO 3696, Agua para laboratorio para usos analíticos. Especificación y métodos de ensayo.
3. Definiciones
Para los fines de esta norma, se aplican las definiciones siguientes:
3.1 Material base: material sobre el cuál se pueden formar o depositar los recubrimientos.
3.2 Recubrimiento: todas las capas de material formadas o depositadas sobre el material base o el juguete, incluidas las pinturas, barnices, lacas, tintas, polímeros o cualquier otra sustancia similar, contengan o no partículas metálicas, independientemente de la forma en que se hayan aplicado sobre el juguete y que se puedan retirar raspándolas con una cuchilla.
3.3 Límite de detección de un método: tres veces la desviación estándar del valor del blanco.
4.4<sic> Otros materiales, coloreados en la masa o no: materiales como madera, cuero y otras sustancias porosas que se puedan impregnar de elementos colorantes sin que estos últimos formen un recubrimiento.
3.5 Papel y cartón: se ha establecido una masa por unidad de superficie máxima de 400 g/m2 para clasificar los materiales en esta categoría. Por encima de este límite, los materiales se clasifican en la categoría “otros materiales” y puede tratarse de cartón duro o de tableros duros.
3.6 Raspado: retirada mecánica del recubrimiento del material base.
3.7 Material del juguete: todos los materiales accesibles presentes en el juguete.
4. Requisitos
4.1 Requisitos específicos
La migración de elementos de los juguetes y partes de juguetes especificada en el numeral 1 no debe superar los límites que figuran en la Tabla 1 tras los ensayos efectuados conforme a los numerales 7, 8 y 9. Este requisito no se aplica a las soldaduras con plomo realizadas para los conectores eléctricos (véase el Anexo D).
Tabla 1
Límites de migración de elementos a partir de materiales del juguete
| Elemento | Sb | As | Ba | Cd | Cr | Pb | Hg | Se | |
| Migración máxima de elemento en mg/kg a partir del material del juguete | Cualquier material del juguete previsto en el numeral 1 excepto: | 60 | 25 | 1 000 | 75 | 60 | 90 | 60 | 500 |
| - pastas de moldear - pintura para dedos Pasta de modelar y pintura para dedos | 60 | 25 | 250 | 50 | 25 | 90 | 25 | 500 | |
Tabla 2
Coeficiente de corrección analítica
| Elemento | Sb | As | Ba | Cd | Cr | Pb | Hg | Se |
| Coeficiente de corrección analítica (en%) | 60 | 60 | 30 | 30 | 30 | 30 | 50 | 60 |
4.2 Interpretación de los resultados
Los resultados analíticos obtenidos para los materiales citados en los numerales 7, 8 y 9 deben corregirse restando el coeficiente de corrección analítica indicado en la Tabla 2, con el fin de obtener unos resultados analíticos corregidos.
Los materiales se considerarán satisfactorios con respecto a los requisitos de esta norma si los resultados analíticos corregidos son inferiores o iguales a los límites indicados en la Tabla 1 (véase el Anexo D).
Nota. Dada la exactitud de los métodos especificados en esta norma, es necesario utilizar los resultados analíticos corregidos para tener en cuenta los resultados de los ensayos interlaboratorios (véase el Anexo D).
EJEMPLO.
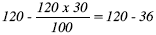
Resultados analíticos para el plomo 120 mglkg.
Corrección analítica correspondiente en la Tabla 2: 30%.
Resultados analíticos corregidos ![]()
Resultados analíticos corregidos = 84 mg/kg.
Se consideran dentro de los requisitos de la norma (plomo: 90 mg/kg).
5. Fundamento Los elementos solubles se extraen de los materiales de los juguetes en condiciones que simulen el material cuando está en contacto con el ácido gástrico durante un cierto tiempo después de la ingestión. Las concentraciones de elementos solubles se determinan cuantitativamente.
6. Reactivos y aparatos Nota. No se realiza recomendación alguna para los reactivos, materiales y aparatos necesarios para realizar los ensayos especificados en el numeral 9.
6.1 Reactivos Durante los análisis, utilizar únicamente reactivos de calidad analítica reconocida (véase el Anexo D).
6.1.1 Solución de ácido clorhídrico c(HCI) de (0,07 ± 0,005) mol/I.
6.1.2 Solución de ácido clorhídrico c(HCI) de (0,14 ± 0,010) mol/I.
6.1.3 Solución de ácido clorhídrico c(HCI) de aproximadamente 1 mol/I.
6.1.4 Solución de ácido clorhídrico c(HCI) de aproximadamente 2 mol/I.
6.1.5 Solución de ácido clorhídrico c(HCI) de aproximadamente 6 mol/I.
6.1.6 1, 1, 1 - tricloroetano con un máximo de 10 mg/kg de ácido clorhídrico cuando se realiza el ensayo de acuerdo con el Anexo A, o cualquier otro disolvente adecuado (véase el Anexo D).
6.1.7 Agua de grado 3 de pureza como mínimo, de acuerdo con la norma ISO 3696.
6.2 Aparatos Material básico de laboratorio y
6.2.1 Tamices metálicos de acero inoxidable de un tejido simple de 0,5 mm de abertura nominal de malla y tolerancias de acuerdo con las indicaciones de la Tabla B.1 del Anexo B.
6.2.2 Un medio para medir el pH con una precisión de ± 0,2 unidades de pH. Deben evitarse las contaminaciones (véase el Anexo D).
6.2.3 Un filtro de porosidad 0,45 ím.
6.2.4 Una centrífuga que pueda operar a 5 000 g ± 500 g[1] (véase el Anexo D).
6.2.5 Un medio para agitar la mezcla a una temperatura de 37oC ± 2 ºC.
6.2.6 Un conjunto de recipientes de un volumen aproximado de 1,6 veces a 5,0 veces el del ácido clorhídrico de extracción.
7. Elección de las muestras de ensayo Una muestra de laboratorio para ensayo consiste en un juguete, tal y como se comercializa o bien tal y como está destinado a comercializarse. Las muestras de ensayo deben tomarse en las partes accesibles (véase la norma NTC EN 71-1) de un solo juguete muestra, es decir, que está admitido combinar los materiales idénticos de un juguete y considerarlos como una sola y misma muestra de ensayo, pero no utilizar otros juguetes de muestra. No está permitido componer muestras de ensayo con más de un material o color, salvo que la separación física o una masa demasiado limitada impida la formación de muestras discretas (por ejemplo: impresión por puntos, tejidos impresos) (véase el Anexo D).
Nota. Este requisito no impide que las muestras de ensayo se puedan tomar en materiales de modo que sean representativas del material en cuestión especificado y del sustrato sobre el que están depositadas (véase el Anexo D).
No se realizará el ensayo con muestras de ensayo en las que haya menos de 10 mg de material disponible.
8. Preparación y análisis de las muestras de ensayo
8.1 Recubrimientos de pinturas, barnices, lacas, tintas de impresión, polímeros y recubrimientos similares
8.1.1 Toma y preparación de la muestra
Se separa el revestimiento de la muestra de laboratorio mediante una acción mecánica a la temperatura ambiente y se pulveriza a continuación a una temperatura que no exceda la temperatura ambiente. La muestra de ensayo así obtenida debe ser de al menos 100 mg y debe pasar a través de un tamiz metálico de 0,5 mm de abertura de malla (véase el numeral 6.2.1).
Cuando sólo estén disponibles entre 10 mg a 100 mg de masa de revestimiento uniforme pulverizada, esta deberá ensayarse conforme al numeral 8.1.2 y la cantidad de elementos correspondientes se calculará como si se hubieran utilizado 100 mg de muestra de ensayo, debiendo indicarse la masa de la muestra de ensayo en el numeral 10 e).
En caso de recubrimientos que, por su naturaleza, no se puedan pulverizar (por ejemplo, pinturas elásticas/plásticas), se toma una muestra de ensayo de la muestra de laboratorio, sin pulverizar.
8.1.2 Método de ensayo
En un recipiente de tamaño adecuado (véase el numeral 6.2.6) se mezcla la muestra de ensayo así preparada con 50 veces su masa de una solución acuosa de ácido clorhídrico c(HCI) de 0,07 mol/l (véase el numeral 6.1.1) a 37 ºC ± 2 ºC. Si la masa de la muestra de ensayo estuviera comprendida entre los 10 mg y los 100 mg, debería mezclarse la muestra de ensayo con 5,0 ml de dicha solución a 37 ºC ± 2 ºC.
Se agita durante 1 min y se verifica la acidez de la mezcla. Si el pH fuera superior a 1,5 se añadiría, gota a gota, sin dejar de agitar la mezcla, una solución acuosa de ácido clorhídrico c(HCI) de unos 2 mol/l (véase el numeral 6.1.4) hasta que el pH esté comprendido entre 1,0 y 1,5. Se protege la mezcla de la luz. Se agita (véase el numeral 6.2.5) la mezcla a 37 ºC ± 2 ºC continuamente durante 1 h, dejándola reposar a continuación durante 1 h a 37 ºC ± 2 ºC.
Se separan a continuación las partes sólidas de la mezcla, primero mediante filtrado con un filtro (véase el numeral 6.2.3) y, si es necesario, mediante centrifugado a 5 000 g[2] máximo (véase el numeral 6.2.4). La separación se debe efectuar lo antes posible tras el período de reposo. El centrifugado no debe superar los 10 min y debe mencionarse en el numeral 10 e).
Si las soluciones resultantes deben conservarse durante más de una jornada de trabajo antes de ser analizadas, deben estabilizarse añadiendo ácido clorhídrico hasta que la concentración de la solución que se vaya a conservar sea aproximadamente de c(HCI) = 1 mol/I.
8.2 Polímeros y materiales similares, incluidos los laminados, tanto si se trata de textiles reforzados como si no, pero con exclusión del resto de los textiles
8.2.1 Toma y preparación de la muestra
Obtener una muestra de ensayo de, al menos, 100 mg del polímero o del material similar, evitando el calentamiento de los materiales, con arreglo a las indicaciones siguientes:
Se cortan las probetas a partir de las superficies con menor sección transversal, para obtener una muestra de ensayo con la mayor superficie posible para una masa dada. En reposo, la probeta no debe tener ninguna dimensión superior a 6 mm.
Si la muestra de laboratorio no es uniforme en su material, deberá obtenerse una muestra de ensayo a partir de cada material diferente cuya masa sea superior a 10 mg. Si hay entre 10 mg y 100 mg de material uniforme pulverizado, la masa de la muestra de ensayo debe mencionarse en 10 e) y la cantidad de elementos correspondientes debe calcularse como si se hubieran utilizado 100 mg de muestra de ensayo.
8.2.2 Método de ensayo
Se sigue el método de acuerdo con el numeral 8.1.2.
8.3 Papel y cartón
8.3.1 Toma y preparación de la muestra
Se obtiene una muestra de ensayo de, al menos, 100 mg de papel o de cartón.
Si la muestra de laboratorio no fuera uniforme en su material, debe obtenerse una muestra de ensayo a partir de cada material diferente cuya masa sea de, al menos, 100 mg. Cuando la masa del material uniforme esté comprendida entre 10 mg y 100 mg, debe mencionarse la masa de la muestra de ensayo en el numeral 10 e) y se calculará la cantidad de elementos adecuados como si se hubieran utilizado 100 mg de muestra de ensayo.
Si el papel o el cartón que se vayan a ensayar estuvieran recubiertos de pintura, barniz, laca, tinta de imprenta, adhesivo o recubrimiento similar, las muestras de ensayo no deben tomarse por separado. En este caso, deben tomarse del material de acuerdo con este numeral, de modo que incluyan también partes representativas de la superficie recubierta.
Las muestras de ensayo así obtenidas deben ensayarse de acuerdo con los métodos apropiados que se especifican en este numeral, lo que deberá hacerse constar en el numeral 10 e) (véase el Anexo D).
8.3.2 Método de ensayo
Se macerará la muestra de ensayo así preparada en 25 veces su masa de agua (véase el numeral 6.1.7) a 37 ºC ± 2 ºC, de modo que la mezcla resultante sea homogénea. Se traslada cuantitativamente la mezcla a un recipiente de tamaño adecuado (véase el numeral 6.2.6).
Se añade a la mezcla 25 veces la masa de la muestra de ensayo de una solución acuosa de ácido clorhídrico c(HCI) de 0, 14 mol/l (véase el numeral 6.1.2) a 37 ºC ± 2 ºC.
Se agita durante 1 min y se verifica la acidez de la mezcla. Si el pH es superior a 1,5 se añade, gota a gota, agitando la mezcla, una solución acuosa de ácido clorhídrico c(HCI) de 2 mol/l (véase el numeral 6.1.4) hasta que el pH esté comprendido entre 1,0 y 1,5. Se protege la mezcla de la luz. Se agita (véase el numeral 6.2.5) la mezcla a 37 ºC ± 2 ºC continuamente durante 1 h, dejándola reposar a continuación durante 1 h a 37 ºC ± 2 ºC.
Se separan después las partes sólidas de la mezcla, en primer lugar mediante filtrado con un filtro (véase el numeral 6.2.3) y, si es necesario, mediante centrifugado a 5 000 g[3] como máximo (véase el numeral 6.2.4). La separación se debe efectuar lo antes posible tras el período de reposo y el centrifugado no debe superar los 10 min y debe mencionarse en el numeral 10 e).
Si las soluciones resultantes deben conservarse durante más de una jornada de trabajo antes de ser analizadas, deberán estabilizarse añadiendo ácido clorhídrico hasta que la concentración de la solución que se vaya a conservar sea de aproximadamente c(HCI) = 1 mol/l.
8.4 Textiles, naturales o sintéticos
8.4.1 Toma y preparación de la muestra
Se obtiene una muestra de ensayo de, al menos, 100 mg de los materiales textiles cortando trozos que en reposo no deben tener dimensiones superiores a 6 mm (véase el Anexo D).
Si la muestra no es uniforme en su material o en su color, deberá obtenerse una muestra de ensayo a partir de cada material diferente cuya masa sea superior a 100 mg. Una muestra con una masa comprendida entre 10 mg y 100 mg deberá formar parte de la muestra de ensayo obtenida a partir del material principal.
Las muestras tomadas de textiles impresos deberán ser representativas del material de conjunto (véase el Anexo D).
8.4.2 Método de ensayo
Se sigue el método que se describe en el numeral 8.1.2.
8.5 Cristal, cerámica, materiales metálicos
8.5.1 Toma y preparación de la muestra
Los juguetes y sus componentes deben someterse en primer lugar a los ensayos apropiados con arreglo a la norma NTC EN 71-1. Si el juguete o uno de sus componentes entra totalmente en el cilindro para partes pequeñas y contiene cristal, cerámica o materiales metálicos accesibles, deberá someterse a ensayo de acuerdo con el numeral 8.5.2 tras retirar cualquier recubrimiento de acuerdo con el numeral 8.1.1 (véase el Anexo D).
Nota. Los juguetes y sus componentes que no tengan cristal, cerámica o materiales metálicos accesibles no se someterán a ensayo de acuerdo con el numeral 8.5.2 (véase el Anexo D).
8.5.2 Método de ensayo
Se coloca el juguete o el componente en un recipiente de cristal de 50 ml y de dimensiones nominales: 60 mm de alto, 40 mm de diámetro. Se añade un volumen suficiente de solución acuosa de ácido clorhídrico c(HCI) de 0,07 mol/l (véase el numeral 6.1.1) a 37 ºC ± 2 ºC para cubrir el juguete o el componente. Se tapa el recipiente, se protege su contenido de la luz y se deja reposar 2 h a 37 ºC ± 2 ºC.
Nota. Este tipo de recipiente puede contener todos los juguetes o componentes que entren en el cilindro para partes pequeñas.
con un filtro (véase el numeral 6.2.3) y, si es necesario, mediante centrifugado a Se separan a continuación las partes sólidas de la mezcla, primero por decantación, a continuación por filtrado con un filtro (véase el numeral 6.2.3) y, si es necesario, por centrifugado a 5 000 g[4] como máximo (véase el numeral 6.2.4). La separación se debe efectuar lo antes posible tras el período de reposo y el centrifugado no debe superar los 10 min. y debe mencionarse en el numeral 10 e).
Si las soluciones resultantes deben conservarse durante más de 24 h antes de ser analizadas deben estabilizarse añadiendo ácido clorhídrico hasta que la concentración de la solución que se vaya a conservar sea de aproximadamente c(HCI) 1 mol/l.
8.6 Otros materiales, coloreados en la masa o no (véase el Anexo D)
8.6.1 Toma y preparación de la muestra
Se obtiene una muestra de ensayo de al menos 100 mg del material, con arreglo a los numerales 8.2.1, 8.3.1, 8.4.1 u 8.5.1, siendo apropiado cualquiera de ellos.
Si la muestra de laboratorio no es uniforme en su material, deberá obtenerse una muestra de ensayo a partir de cada material diferente cuya masa sea superior a 10 mg. Cuando la masa de material uniforme esté comprendida entre 10 mg y 100 mg, la masa de la muestra de ensayo deberá mencionarse en el numeral 10 e) y la cantidad de elementos apropiados deberá calcularse como si se hubieran utilizado 100 mg de muestra de ensayo.
Si el material que se vaya a someter al ensayo está recubierto con una capa de pintura, barniz, laca, tinta de imprenta o revestimiento similar, se sigue el método del numeral 8.1.1.
8.6.2 Métodos de ensayo
Los materiales deben someterse al ensayo de acuerdo con el más apropiado de los métodos de los numerales 8.2.2, 8.3.2, 8.4.2 u 8.5.2 (véase el Anexo D). El método utilizado debe mencionarse en el numeral 10 e).
8.7 Materiales destinados a dejar una traza
8.7.1 Toma y preparación de la muestra para los materiales en forma sólida
Se obtiene una muestra de ensayo de, al menos, 100 mg de material, cortando fragmentos que en reposo no deben tener dimensiones superiores a 6 mm.
Debe obtenerse una muestra de ensayo a partir de cada uno de los diferentes materiales destinados a dejar una traza, presentes en la muestra de laboratorio, cuya masa sea superior a 10 mg. Cuando la masa de material esté comprendida entre 10 mg y 100 mg, la masa de la muestra de ensayo deberá mencionarse en el numeral 10 e) y la cantidad de elementos correspondientes deberá calcularse como si se hubieran utilizado 100 mg de muestra de ensayo. Si el material contiene grasa, aceite, cera o sustancias similares, la muestra de ensayo deberá colocarse en un filtro o papel endurecido y dichas sustancias deberán extraerse con 1, 1, 1-tricloroetano o cualquier otro disolvente adecuado para la extracción con disolvente (véase el numeral 6.1.6). Deben realizarse mediciones analíticas para garantizar que la extracción de estas sustancias es cuantitativa. La naturaleza del disolvente utilizado debe mencionarse en el numeral 10 e).
8.7.2 Toma y preparación de la muestra para los materiales en forma líquida
Se obtiene una muestra de ensayo de, al menos, 100 mg del material a partir de la muestra de laboratorio. Se autoriza la utilización de un disolvente adecuado para facilitar la obtención de la muestra de ensayo. Se debe obtener una muestra de ensayo a partir de cada uno de los diferentes materiales destinados a dejar una traza, presentes en la muestra de laboratorio, cuya masa sea superior a 10 mg. Cuando la masa del material esté comprendida entre 10 mg y 100 mg, la masa de la muestra de ensayo deberá mencionarse en el numeral 10 e) y la cantidad de elementos correspondientes deberá calcularse como si se hubieran utilizado 100 mg de muestra de ensayo. Si el material está destinado a solidificarse durante su uso normal y si contiene grasa, aceite, cera o sustancias similares, debemos dejar que la muestra de ensayo se solidifique en las condiciones de uso normal. El material resultante deberá colocarse en un papel de filtro endurecido y la grasa, el aceite, la cera o las sustancias similares deberán extraerse con 1, 1, 1 -tricloroetano o cualquier otro disolvente adecuado (véase el numeral 6.1.6) para la extracción. Deben realizarse mediciones analíticas para garantizar que la extracción de estas sustancias es cuantitativa. La naturaleza del disolvente utilizado debe mencionarse en el numeral 10 e).
8.7.3 Método de ensayo para muestras que no contengan grasa, aceite, cera o sustancias similares
En un recipiente de tamaño adecuado (véase el numeral 6.2.6), se mezcla la muestra de ensayo así preparada con 50 veces su masa de una solución acuosa de ácido clorhídrico c(HCI) de 0,07 mol/l (véase el numeral 6.1.1) a 37 ºC ± 2 ºC. Si la masa de la muestra de ensayo está comprendida ente 10 mg y 100 mg, se mezcla la muestra de ensayo con 5,0 ml de esta solución a 37 ºC ± 2 ºC. Se agita durante 1 min. Se verifica la acidez de la mezcla.
Si la muestra de ensayo contiene importantes cantidades de derivados alcalinos, generalmente en forma de carbonatos de calcio, se ajusta el pH entre 1,0 y 1,5 con ácido clorhídrico c(HCI) de 6 mol/l (véase el numeral 6.1.5) para evitar una dilución excesiva. El volumen de ácido clorhídrico utilizado y su relación con el volumen de la solución deben mencionarse en el numeral 10 e). Si la cantidad de derivados alcalinos contenida en la mezcla es despreciable y si el pH de la mezcla es superior a 1,5 se añade, gota a gota, sin dejar de agitar la mezcla, una solución acuosa de ácido clorhídrico c(HCI) de unos 2 mol/l (véase el numeral 6.4.1) hasta que el pH esté comprendido entre 1,0 y 1,5. Se protege la mezcla de la luz. Se agita (véase el numeral 6.2.5) la mezcla continuamente durante 1 h a 37 ºC ± 2 ºC y se deja a continuación que repose durante 1 h a 37 ºC ± 2 ºC.
8.7.4 Método de ensayo para las muestras que contengan grasa, aceite, cera o sustancias similares
Se utiliza la muestra de ensayo que haya quedado en el papel de filtro endurecido. Se deja macerar la muestra de ensayo así preparada en una masa de agua (véase el numeral 6.1.7) a 37 ºC ± 2 ºC que corresponda a 25 veces la masa del material inicial, de modo que la mezcla resultante sea homogénea. Se traslada cuantitativamente la mezcla a un recipiente de tamaño adecuado (véase el numeral 6.2.6). Se añade a la mezcla una solución acuosa de ácido clorhídrico c(HCI) de 0,14 mol/l (véase el numeral 6.1.2) a 37 ºC ± 2 ºC en la proporción de 25 veces la masa de la muestra de ensayo inicial. Si la masa de la muestra de ensayo está comprendida entre 10 mg y 100 mg, se deja macerar la muestra de ensayo en 2,5 ml de agua (véase el numeral 6.1.7). Se traslada cuantitativamente la mezcla a un recipiente de tamaño adecuado (véase el numeral 6.2.6). Se añaden 2,5 ml de ácido clorhídrico c(HCI) de 0,14 mol/l (véase el numeral 6.1.2) a 37 ºC ± 2 ºC a la mezcla. Se agita durante 1 min.
Se verifica la acidez de la mezcla. Si la muestra de ensayo contiene importantes cantidades de derivados alcalinos, generalmente en forma de carbonatos de calcio, se ajusta el pH entre 1,0 y 1,5 con ácido clorhídrico c(HCI) de aproximadamente 6 mol/l (véase el numeral 6.5.1) para evitar una dilución demasiado importante. El volumen de ácido clorhídrico utilizado y su relación con el volumen de la solución deben mencionarse en el numeral 10 e).
Si la cantidad de derivados alcalinos contenida en la mezcla es despreciable y si el pH de la mezcla es superior a 1,5 se añade, gota a gota, sin dejar de agitar la mezcla, una solución acuosa de ácido clorhídrico c(HCI) de aproximadamente 2 mol/l (véase el numeral 6.1.4) hasta que el pH esté comprendido entre 1,0 y 1,5. Se protege la mezcla de la luz. Se agita (véase el numeral 6.2.5) la mezcla continuamente durante 1 h a 37 ºC ± 2 ºC y se deja reposar a continuación durante 1 h a 37 ºC ± 2 ºC.
Nota. El volumen de la solución de ácido clorhídrico c(HCI) de 0,07 mol/l o de 1,14 mol/l, dependiendo de los casos, se calcula en función de la masa de la muestra de ensayo antes del desengrasado.Se separan inmediatamente los sólidos de la mezcla, en primer lugar por filtrado, con un filtro (véase el numeral 6.2.3) y, si es necesario, por centrifugado a 5 000 g[5] como máximo (véase el numeral 6.2.4). La separación se debe efectuar lo antes posible después del período de reposo. El centrifugado no debe superar los 10 min y debe mencionarse en el numeral 10 e). Si las soluciones resultantes deben conservarse durante más de una jornada de trabajo antes de ser analizadas, deberán estabilizarse añadiendo ácido clorhídrico hasta que la concentración de la solución que haya que conservar sea de aproximadamente c(HCI) = 1 mol/l.
8.8 Materiales para modelar, incluidas las pastas para modelar y geles
8.8.1 Toma y preparación de la muestra
Se obtiene una muestra de ensayo de, al menos, 100 mg de material a partir de la muestra de laboratorio. Debe obtenerse una muestra de ensayo a partir de cada uno de los diferentes materiales presentes en la muestra de laboratorio. Si el material contiene grasa, aceite, cera o sustancias similares, la muestra de ensayo deberá colocarse en un papel de filtro endurecido y estas sustancias deberán extraerse con 1, 1, 1 -tricloroetano o cualquier otro disolvente adecuado (véase el numeral 6.1.6). Deben realizarse mediciones analíticas con el fin de asegurarse de que la extracción de las sustancias en cuestión es cuantitativa.
La naturaleza del disolvente utilizado debe mencionarse en el numeral 10 e).
8.8.2 Métodos de ensayo para las muestras que no contengan grasa, aceite, cera o sustancias similares
En un recipiente de tamaño adecuado (véase el numeral 6.2.6), después de haber desmenuzado, si es necesario, la arcilla y los materiales terrosos, se mezcla la muestra de ensayo así preparada con 50 veces su masa de una solución acuosa de ácido clorhídrico c(HCI) de 0,07 mol/l (véase el numeral 6.1.1) a 37 ºC ± 2 ºC. Se agita la mezcla durante 1 min. Se verifica la acidez de la muestra. Si la muestra de ensayo contiene importantes cantidades de derivados alcalinos, generalmente en forma de carbonatos de calcio, se ajusta el pH entre 1,0 y 1,5 con ácido clorhídrico c(HCI) de aproximadamente 6 mol/l (véase el numeral 6.1.5) para evitar una dilución excesiva. El volumen de ácido clorhídrico utilizado y su relación con el volumen de la solución deben mencionarse en el numeral 10 e). Si la cantidad de derivados alcalinos contenida en la mezcla es despreciable y si el pH de la mezcla es superior a 1,5 se añade, gota a gota, sin dejar de agitar la mezcla, una solución acuosa de ácido clorhídrico c(HCI) de aproximadamente 2 mol/l (véase el numeral 6.1.4) hasta que el pH esté comprendido entre 1,0 y 1,5. Se protege la mezcla de la luz. Se agita (véase el numeral 6.2.5) la mezcla continuamente durante 1 h a 37 ºC ± 2 ºC y se deja reposar a continuación durante 1 h a 37 ºC ± 2 ºC.
8.8.3 Método de ensayo para las muestras que contengan grasa, aceite, cera o sustancias similares
Se utiliza la muestra de ensayo que haya quedado en el papel de filtro endurecido. Se deja macerar la muestra de ensayo así preparada en una masa de agua (véase el numeral 6.1.7) a 37 ºC ± 2 ºC que corresponda a 25 veces la masa del material inicial, de modo que la mezcla resultante sea homogénea. Se traslada cuantitativamente la mezcla a un recipiente de tamaño adecuado (véase el numeral 6.2.6). Se añade a la mezcla una solución acuosa de ácido clorhídrico c(HCI) de 0,14 mol/l (véase el numeral 6.1.2) a 37 ºC ± 2 ºC en la proporción de 25 veces la masa de la muestra de ensayo inicial. Se agita durante 1 min. Se verifica la acidez de la mezcla. Si la muestra de ensayo contiene importantes cantidades de derivados alcalinos, generalmente en forma de carbonatos de calcio, se ajusta el pH entre 1,0 y 1,5 con ácido clorhídrico c(HCI) de aproximadamente 6 mol/l (véase el numeral 6.5.1) para evitar una dilución excesiva. El volumen de ácido clorhídrico utilizado y su relación con el volumen de la solución deben mencionarse en el numeral 10 e).
Si la cantidad de derivados alcalinos contenida en la mezcla es despreciable y si el pH de la mezcla es superior a 1,5 se añade, gota a gota, sin dejar de agitar la mezcla, una solución acuosa de ácido clorhídrico c(HCI) de aproximadamente 2 mol/l (véase el numeral 6.1.4) hasta que el pH esté comprendido entre 1,0 y 1,5. Se protege la mezcla de la luz. Se agita (véase el numeral 6.2.5) la mezcla continuamente durante 1 h a 37 ºC ± 2 ºC y se deja reposar a continuación durante 1 h a 37 ºC ± 2 ºC.
Nota. El volumen de la solución de ácido clorhídrico c(HCI) de 0,07 mol/l o de 1,14 mol/l, dependiendo de los casos, se calcula en función de la masa de la muestra de ensayo antes del desengrasado. Se separan inmediatamente los sólidos de la mezcla, en prime lugar por filtrado, con un filtro (véase el numeral 6.2.3) y, si es necesario, por centrifugado a 5 000 g[6] como máximo (véase el numeral 6.2.4). La separación se debe efectuar lo antes posible después del período de reposo. El centrifugado no debe superar los 10 min y debe mencionarse en el numeral 10 e). Si las soluciones resultantes deben conservarse durante más de una jornada de trabajo antes de ser analizadas, deberán estabilizarse añadiendo ácido clorhídrico hasta que la concentración de la solución que haya que conservar sea de aproximadamente c(HCI) = 1 mol/l.
8.9 Pinturas, incluidas las pinturas para dedos, barnices, lacas, polvos de esmaltar y sustancias similares en forma sólida o líquida
8.9.1 Toma y preparación de la muestra para los materiales en forma sólida
Se obtiene una muestra de ensayo de, al menos, 100 mg del material por rascado o cortando fragmentos que, en reposo, no deben tener dimensiones superiores a 6 mm.
Debe obtenerse una muestra de ensayo para cada uno de los diferentes materiales, presentes en la muestra de laboratorio, cuya masa sea superior a 10 mg. Cuando la masa de material esté comprendida entre 10 mg y 100 mg, la masa de la muestra de ensayo deberá mencionarse en el numeral 10 e) y la cantidad de elementos apropiados deberá calcularse como si se hubieran utilizado 100 mg de muestra de ensayo. Si el material contiene grasa, aceite, cera o sustancias similares, la muestra de ensayo deberá colocarse en un papel de filtro endurecido y dichas sustancias deberán extraerse con 1, 1, 1 -tricloroetano o cualquier otro disolvente adecuado (véase el numeral 6.1.6).
Deben realizarse mediciones analíticas para garantizar que la extracción de estas sustancias es cuantitativa. La naturaleza del disolvente utilizado debe mencionarse en el numeral 10 e).
Si la muestra de ensayo se obtiene por rascado, se pulveriza la muestra de ensayo de modo que el material pueda pasar a través de un tamiz metálico (véase el numeral 6.2.1) de 0,5 mm de abertura de malla.
8.9.2 Toma y preparación de la muestra para los materiales en forma líquida a partir de la muestra de laboratorio
Se obtiene a partir de la muestra de laboratorio una muestra de ensayo de al menos 100 mg del material. Se autoriza la utilización de un disolvente adecuado para facilitar la obtención de la muestra de ensayo.
Se obtiene una muestra de ensayo a partir de cada uno de los diferentes materiales, presentes en la muestra de laboratorio, cuya masa sea superior a 10 mg. Cuando la masa de material esté comprendida entre 10 mg y 100 mg, la masa de la muestra de ensayo deberá mencionarse en el numeral 10 e) y la cantidad de elementos apropiados deberá calcularse como si se hubieran utilizado 100 mg de muestra de ensayo. Si el material está destinado a solidificarse con un uso normal y si contiene grasa, aceite, cera o sustancias similares, se dejará solidificar la muestra de ensayo en condiciones de uso normal, el material resultante se colocará en un filtro de papel y la grasa, el aceite, la cera o las sustancias similares deberán extraerse con 1, 1, 1 -tricloroetano o cualquier otro disolvente adecuado (véase el numeral 6.1.6). Deben realizarse mediciones analíticas para garantizar que la extracción de las sustancias en cuestión es cuantitativa. Debe mencionarse en el numeral 10 e) la naturaleza del disolvente utilizado.
8.9.3 Método de ensayo para las muestras que no contengan grasa, aceite, cera o sustancias similares
Se sigue el método de acuerdo con el numeral 8.7.3.
8.9.4 Método de ensayo para las muestras que contengan grasa, aceite, cera o sustancias similares
Se utiliza la muestra de ensayo que haya quedado en el papel de filtro endurecido. Se deja macerar la muestra de ensayo así preparada en una masa de agua (véase el numeral 6.1.7) a 37 ºC ± 2 ºC que corresponda a 25 veces la masa del material inicial, de modo que la mezcla resultante sea homogénea. Se traslada cuantitativamente la mezcla a un recipiente de tamaño adecuado (véase el numeral 6.2.6). Se añade a la mezcla una solución acuosa de ácido clorhídrico c(HCI) de 0, 14 mol/l (véase el numeral 6.1.2) a 37 ºC ± 2 ºC en la proporción de 25 veces la masa de la muestra de ensayo inicial. Se agita durante 1 min. Se verifica la acidez de la mezcla. Si la muestra de ensayo contiene importantes cantidades de derivados alcalinos, generalmente en forma de carbonatos de calcio, se ajusta el pH entre 1,0 y 1,5 con ácido clorhídrico c(HCI) de aproximadamente 6 mol/l (véase el numeral 6.5.1) para evitar una dilución excesiva. El volumen de ácido clorhídrico utilizado y su relación con el volumen de la solución deben mencionarse en el numeral 10 e).
Si la cantidad de derivados alcalinos contenida en la mezcla es despreciable y si el pH de la mezcla es superior a 1,5 se añade, gota a gota, sin dejar de agitar la mezcla, una solución acuosa de ácido clorhídrico c(HCI) de aproximadamente 2 mol/l (véase el numeral 6.1.4) hasta que el pH esté comprendido entre 1,0 y 1,5. Se protege la mezcla de la luz. Se agita (véase el numeral 6.2.5) la mezcla continuamente durante 1 h a 37 ºC ± 2 ºC y se deja reposar a continuación durante 1 h a 37 ºC ± 2 ºC.
Nota. El volumen de la solución de ácido clorhídrico c(HCI) de 0,07 mol/l o de 1, 14 mol/l, dependiendo de los casos, se calcula en función de la masa de la muestra de ensayo antes del desengrasado. Se separan inmediatamente los sólidos de la mezcla, en primer lugar por filtrado, con un filtro (véase el numeral 6.2.3) y, si es necesario, por centrifugado a 5 000 g[7] como máximo (véase el numeral 6.2.4). La separación se debe efectuar lo antes posible después del período de reposo. El centrifugado no debe superar los 10 min y debe mencionarse en el numeral 10 e). Si las soluciones resultantes deben conservarse durante más de una jornada de trabajo antes de ser analizadas, deberán estabilizarse añadiendo ácido clorhídrico hasta que la concentración de la solución que haya que conservar sea de aproximadamente c(HCI) = 1 mol/I.
9. Determinación del contenido de elementos
Para determinar los contenidos de los elementos que figuran en el numeral 1 deben utilizarse métodos que tengan un límite de detección menor o igual a 1/10 de los valores que haya que determinar (véase el numeral 4.1, Tabla 1). El límite de detección (de un método) se estima en tres veces la desviación estándar del valor del blanco, tal y como lo mide el laboratorio que procede a los análisis de los materiales de los juguetes.
Los laboratorios que se aparten de esta exigencia deberán mencionar el límite de detección en el numeral 10 e).
10. Informe de ensayo
El informe del ensayo debe contener, como mínimo, las informaciones siguientes:
a) El tipo y la identificación del producto y/o del material ensayado;
b) La referencia de esta norma (NTC EN 71-3);
c) Los métodos utilizados para determinar el contenido de cada elemento y el límite de detección si dicho límite se aparta de las exigencias del numeral 9;
d) Los resultados de los ensayos expresados en miligramos de elemento por kilogramo de material, indicando que el resultado se refiere al elemento soluble;
e) Los detalles del método utilizado (a partir del numeral 8) para preparar la muestra de ensayo (incluido, por ejemplo, si se han incorporado elementos del material base, si ha habido que recurrir a un centrifugado para separar las partes sólidas de la solución antes del análisis, si ha habido que añadir ácido para bajar el pH, si la relación sólido/disolvente de extracción superaba l/50 y el disolvente utilizado para extraer cualquier grasa, aceite, cera u otras sustancias similares en el material del juguete) y si la muestra se había ajustado a 1 mol/l para una conservación más allá de una jornada de trabajo;
f) Cualquier desviación, por acuerdo o no, del método de ensayo especificado;
g) La fecha del ensayo.
DOCUMENTO DE REFERENCIA
EUROPEAN STANDARD. Safety of Toys. Part 3.Migration of Certain Elements. (EN 71-3: 1994).
MÉTODO DE ENSAYO PARA DETERMINAR LA ACIDEZ DEL 1,1,1 –TRICLOROETANO A.1 REACTIVOS.
A.1.1 Hidróxido de sodio estándar (0,1 mol/l ± 0,000 5 mol/l).
A.1.2 Indicador de fenolftaleína 0,5 g en 100 ml de etanol del 95% (V/V) que vira a rosa pálido por adición de una cantidad mínima de solución acuosa diluida con ácido clorhídrico o hidróxido de sodio.
A.1.3 Agua neutralizada mediante la adición de una solución acuosa diluida de hidróxido de sodio o de HCl y dependiendo del pH en presencia de algunas gotas del indicador de fenolftaleína.
A.2 Método de ensayo Se vierten 100 cm3 de agua en un frasco de 250 cm3, se añaden 100 cm' de una muestra de 1, 1, 1-tricloroetano, se tapa el frasco y se agita vigorosamente. Se deja que las capas se separen, se añaden 0,5 cm3 del indicador de fenolftaleína y se determina la graduación con una solución acuosa de hidróxido de sodio de 0,1 mol/l con ayuda de una microbureta, hasta que la capa superior vire a rosa pálido.
A.3 Cálculo La acidez en partes por millón por masa de ácido clorhídrico se calcula con la siguiente ecuación:

Donde:
T1 es el volumen en cm3 de hidróxido de sodio 0,1 mol/l d es la densidad relativa de la muestra de 1, 1, 1 -tricloroetano.
REQUISITOS PARA EL TAMIZADO.
Tabla B.1
Medidas de los tamices y tolerancias
| Abertura nominal de la malla | Diámetro nominal de los hilos de los tamices de ensayo | |||
| Desviación máxima para el tamaño de una abertura individual | Tolerancia de las aberturas medias | Desviación intermedia (máx. 6% de las aberturas pueden superar la abertura nominal más esta cifra) | ||
| mm | mm | (mm) | mm | (mm) |
| 0,500 | 0,315 | + 0,090 | ± 0,018 | + 0,054 |
PREPARACIÓN Y ANÁLISIS DE LAS MUESTRAS DE ENSAYO.
El diagrama siguiente da una indicación para determinar el método que se debe utilizar en función de los diferentes materiales de los juguetes.

Figura C.1. Diagrama que muestra el método y el análisis de las muestras de ensayo
CONTEXTO Y JUSTIFICACIONES DE LOS REQUISITOS Y MÉTODOS DE ENSAYO EXPUESTOS EN ESTA PARTE DE LA NORMA NTC EN 71.
D.1 Introducción
La definición del término “biodisponibilidad” que figura en la directiva relativa a la seguridad de los juguetes[8] implica la inclusión en la norma de métodos de ensayo tendientes a determinar la magnitud de la migración de los elementos solubles a partir de los materiales de los juguetes.
El proceso que contempla la determinación del contenido total de los elementos no se ha tenido en cuenta por las razones siguientes:
a) La directiva indica unos límites de biodisponibilidad y, hasta la fecha, no se ha observado relación alguna entre la disponibilidad de un elemento en un material del juguete y el contenido total de dicho elemento en el material, cuando se han realizado extracciones mediante soluciones gástricas simuladas;
b) En determinados casos, como el del sulfato de bario, un 2% puede ir incluido en los productos con el fin de hacerlos radioopacos. Esta utilización del bario debería excluirse en el caso de los juguetes, o bien ser objeto de una normativa separada.
Los compuestos de cadmio pueden utilizarse como estabilizadores en las materias plásticas como el policloruro de vinilo (PVC). En condiciones normales, estos compuestos no son solubles en la solución gástrica simulada. Por lo tanto, si se hubiera querido determinar el contenido total de los elementos, habría habido que justificar su utilización en las prescripciones de la norma. Es también el caso del selenio, que puede estar presente en forma de constituyente de pigmentos insolubles, etc. (véase también el numeral D.4).
D.2 Campo de aplicación
D.2.1 Embalaje
“Salvo en caso de que formen parte del juguete” parece hacer alusión, por ejemplo, a las cajas que contienen los rompecabezas o al lugar en que están situadas las instrucciones sobre el embalaje, en el caso de los juegos, etc., sin olvidar el segundo párrafo de la nota del campo de aplicación, que limita las exigencias a los juguetes destinados a niños menores de 6 años. No se trata, por ejemplo, de los embalajes en forma de película que contienen simples instrucciones.
D.2.2 Nota del campo de aplicación
Esta nota pretende precisar el procedimiento que hay que adoptar para decidir sobre los juguetes o las partes de juguetes que se deben excluir de la norma por poseer características que hagan improbable el riesgo de daño debido a la ingestión de materiales que contengan elementos tóxicos.
Se ha considerado que se trata de un procedimiento lógico por algunas razones, entre las que se encuentran las siguientes:
– Cuanto mayor es el niño, menor tendencia tiene a llevarse a la boca el juguete o los materiales del juguete y, por tanto, el riesgo unido a la ingestión de elementos tóxicos se reduce.
– Cuanto más grande es el juguete, menos accesible es el material, más reducido es el riesgo de ingestión de elementos tóxicos.
Por esta razón, se ha decidido que todos los juguetes susceptibles de llevarse a la boca o cerca de esta se sometan a los ensayos (los lápices, por ejemplo).
Se ha considerado que los juguetes destinados a los niños de más de seis años no conllevan un riesgo de daño significativo por ingestión de elementos tóxicos.
D.3 Requisitos específicos (véase el numeral 4.1)
El límite de migración del bario soluble ha pasado de 500 mg/kg a 1 000 mg/kg por las razones siguientes:
– La utilización de sulfato de bario en los juguetes ha dado a 37 ºC unos niveles de bario soluble en la solución de extracción c(HCI) = 0,07 mol/l ± 0,005 mol/l comprendidos entre 400 mg/kg y 600 mg/kg, tal y como se expresan en función del peso del material del juguete que se toma como muestra. Este nivel es tal que, en razón de la incertidumbre estadística de la determinación, no se ha podido pronunciar el rechazo o la aceptación.
– La formación de cristales de sulfato de bario coloidal no biodisponible en el filtrado, que da unos niveles de bario aparentemente soluble que superan los 500 mg/kg, en razón de problemas de filtrado.
– Además, el anterior límite de migración del bario de 500 mg/kg a partir de materiales de los juguetes no era coherente ni con los 25,0 íg/día de biodisponibilidad, ni con los 8 mg/día de consumo de material del juguete. 25,0 íg corresponden a un límite de migración de 3 125 g/kg. Evidentemente, se ha elegido de manera deliberada el límite de los 500 mg/kg a pesar de la cifra “teórica” de 3 125 g/kg. El límite de los 500 mg/kg tiene como efecto rebajar la biodisponibilidad de los 25 íg recomendados a 4 íg. Hay que destacar que la cifra de 25,0 íg se ha fijado para rebajar el nivel que se había fijado inicialmente en 50,0 íg, no por razones toxicológicas, sino, según la Comisión de las Comunidades Europeas, “para evitar que aumente de forma inútil la carga corporal”.
D.4 Incertidumbre estadística del procedimiento operativo de ensayo e interpretación de los resultados (véase el numeral 4.2) La mayor parte de los métodos de ensayo químicos están destinados a medir el contenido total de una sustancia en un material. Esto facilita la obtención de resultados exactos con una mayor concordancia estadística entre los diferentes laboratorios, dado que se dispone de un valor absoluto o verdadero.
Habida cuenta de la definición del término “biodisponibilidad” en la directiva relativa a la seguridad de los juguetes[1*], los métodos de ensayo indicados en la norma miden la magnitud de la migración de los elementos solubles a partir de un material del juguete dado. Con este tipo de ensayo químico, los resultados dependen de las condiciones de ensayo especificadas y no existen valores absolutos o verdaderos. Por consiguiente, cuando se realizan estos ensayos de migración, es más difícil obtener una concordancia estadística entre los diferentes laboratorios.
Este hecho se ilustra con los datos estadísticos que figuran en la edición anterior de la norma de 1988, datos obtenidos a partir de un ensayo interlaboratorios europeo, realizado en 1987 en 17 laboratorios. Los resultados obtenidos sobre un material idéntico variaban al menos en un 30% y hasta en un 50% entre los diferentes laboratorios, en función de la técnica instrumental utilizada para medir la concentración en el filtrado de elementos solubles. Además estas cifras habrían sido 3 veces superiores si se hubieran ajustado para obtener un nivel de confianza del 95%.
Este grado de incertidumbre estadística es fuente de problemas para los fabricantes y para el legislador si los resultados del ensayo se acercan a los límites máximos admitidos en la norma. Resulta estadísticamente imposible concluir un rechazo o una aceptación del juguete, por lo que aparecen incoherencias en la interpretación de los resultados.
No existe ninguna relación directa entre el contenido total de un elemento dado en un material del juguete y la migración soluble del mismo elemento en condiciones de ensayo normales. Por esta razón, el hecho de medir el contenido total y transformar los resultados para obtener un valor correspondiente al elemento soluble en cuestión no resuelve el problema.
Sería posible fijar unos límites máximos del contenido total, pero habría que enmendar la directiva relativa a la seguridad de los juguetes[9] (véase también el numeral D.1).
Desde 1988, el procedimiento operatorio de ensayo de los revestimientos de pintura aplicados sobre los juguetes es objeto de investigaciones profundas, con el objetivo de detectar los parámetros que influyen sobre los resultados de forma significativa. Los parámetros más críticos son la forma, las dimensiones y la masa de las partículas de pintura obtenidas al retirar esta última y en su triturado ulterior. El método de agitación, la temperatura y el tipo y la porosidad del papel de filtro son parámetros menos críticos.
En consecuencia, se ha propuesto un método determinado de raspado y de pulverizado, que permita recoger una muestra de ensayo de pintura comprendida entre 300 íg y 500 íg, en concepto de revisión del procedimiento operatorio de ensayo. En 1993 se ha realizado un ensayo interlaboratorios europeo en 29 laboratorios, para comparar el procedimiento operatorio enmendado con el que se describe en la norma de 1988.
Este ensayo ha mostrado que los resultados obtenidos a partir de un material idéntico pueden variar en al menos un 25% y hasta en un 80% dependiendo de la técnica instrumental utilizada para medir la concentración de elementos solubles en el filtrado.
La concordancia estadística entre los diferentes laboratorios mejoró al utilizar un método determinado de raspado, pero no con una muestra de ensayo comprendida entre 300 ím y 500 ím. No obstante, la mejora no fue lo bastante significativa como para justificar las modificaciones propuestas.
El ensayo confirmó que el recurso a diferentes técnicas instrumentales contribuye a la incertidumbre estadística del procedimiento operatorio de ensayo. Se observó también que los laboratorios necesitan controlar y calibrar regularmente sus instrumentos para poder garantizar la exactitud de las mediciones. El plasma de acoplamiento inductivo (ICP) fue el más utilizado por los laboratorios en esta ocasión y la tendencia fue obtener un mayor acuerdo en la mayor parte de los elementos, especialmente el arsénico, el antimonio y el selenio. No obstante, este método no es tan sensible como los métodos de generación de hidruro para los niveles bajos de estos mismos elementos.
Un método de ensayo que dé unos resultados que varíen, en el mejor de los casos, en un 25% entre los diferentes laboratorios se suele considerar como técnicamente inadecuado si sirve de método de referencia. No obstante, en realidad, la aceptación o el rechazo de los juguetes sometidos a este ensayo es fácil de obtener y los resultados sólo se sitúan en la zona de incertidumbre en contadas ocasiones. Cuando se da el caso, es importante que los laboratorios interpreten los resultados de la misma forma.
Está admitido que el procedimiento operatorio de ensayo no se puede mejorar sin imponer a los laboratorios cargas onerosas, que provocan una pérdida de tiempo y, en algunos casos, son irrealizables y sólo traen ventajas limitadas en términos de seguridad y de concordancia estadística. Así pues, el método operatorio permite a los laboratorios utilizar la técnica de su elección para raspar la pintura en la superficie de los juguetes, recoger una muestra de ensayo que pueda pasar a través de un tamiz de 500 ím y determinar la concentración de elementos solubles en el filtrado.
Para poder interpretar los resultados de forma coherente, la norma indica un factor de corrección para cada elemento, aplicable a todas las técnicas instrumentales. Estos factores, que figuraban en los datos relativos a la precisión de la norma de 1988, se aplican cuando el resultado del análisis es igual o superior al límite máximo. Estos resultados se corrigen con arreglo a la descripción del numeral 4.2, utilizando el factor de corrección apropiado.
Esta forma de interpretar los resultados es totalmente adecuada como ensayo eliminatorio para diferenciar los juguetes seguros de los que no lo son, así como para garantizar la seguridad de los niños.
Se recomienda, para el futuro, que los laboratorios controlen y comparen sus resultados cuando apliquen el método de ensayo, utilizando materiales de referencia y participando en un programa de control.
D.5 Reactivos (véase el numeral 6.1)
D.5.1 1, 1, 1-Tricloroetano (Véase el numeral 6.1.6)
Este numeral limita el nivel máximo de acidez que puede contener el 1, 1, 1 -tricloroetano.
Es sabido que este disolvente se descompone por la luz solar para producir ácido clorhídrico.
En virtud del Protocolo de Montreal, la utilización del 1, 1, 1 -tricloroetano para usos generales se suprimirá de forma progresiva. La norma indica que se pueden utilizar otros disolventes adecuados, pero que deberán ser objeto de una evaluación para garantizar que han sido igual de eficaces que el 1, 1, 1 -tricloroetano para extraer toda la cera/grasa.
D.6 Aparatos (véase el numeral 6.2)
D.6.1 Tamices metálicos de acero inoxidable de tejido sencillo (Véase el numeral 6.2.1)
Véase el numeral D.4.
D.6.2 Medio para medir el pH (Véase el numeral 6.2.2)
La medición del pH se puede realizar por medio de cualquier otro instrumento que no sea un medidor de pH.
D.6.3 Centrífuga (Véase el numeral 6.2.4)
Nuevo numeral que especifica las exigencias de prestaciones en materia de límites de centrifugado y de duración admitida para el centrifugado (hasta 10 min) y en el que se establece que estos datos deben indicarse en el numeral 10 e). Este último numeral es necesario, pues se ha observado que el centrifugado facilita la extracción del bario.
D.6.4 Elección de los recipientes (Véase el numeral 6.2.6)
La indicación del volumen total de los recipientes está destinada a garantizar el movimiento adecuado de la solución, lo que permite obtener una extracción más eficaz.
D.7 Elección de las muestras de ensayo (Véase el numeral 7)
El análisis de muestras de ensayo “compuestas” (combinación de varios materiales o colores) no es adecuado y no será, en principio, necesario (habida cuenta de la existencia del método de ensayo de los “5,0 ml”). El análisis de los materiales compuestos no es satisfactorio, porque puede, en teoría, generar una disminución de la migración de los elementos tóxicos que, en otras condiciones, no hubiera estado limitada. Podemos citar a este respecto un ejemplo simple: el caso en que la extracción del bario contenido en la pintura resulta incompleta cuando se realiza junto con otra pintura. Esta circunstancia puede deberse a la presencia de un contra-ión en la segunda pintura, que podría provocar una precipitación del bario. El contra-ión puede ser sulfato, pero ignoramos si se trata o no de sulfato, y además no tiene importancia para el establecimiento de este principio. Así pues, salvo en los casos en los que la separación de los colores o de los materiales de los juguetes es irrealizable (impresión por puntos, por ejemplo), cada superficie discreta debe tratarse como una muestra única.
La nota precisa que es posible someter a la prueba materiales de los juguetes que no se presenten en forma de juguetes, por necesidades de referencia. No obstante, la norma indica claramente que las muestras de ensayo deben tomarse en el juguete mismo.
D.8 Papel y cartón (Véase el numeral 8.3)
D.8.1 Toma y preparación de la muestra (véase el numeral 8.3.1)
El papel y el cartón deben considerarse como un material único, es decir, que los revestimientos de superficie, si los hay, no deben retirarse, pero las muestras de ensayo deberán incluir partes representativas de la superficie en cuestión. Se ha optado por este procedimiento operatorio porque cuando en la práctica un niño mastica papel o cartón, es poco probable que haya una separación del revestimiento y del sustrato y ambos son igualmente importantes.
D.9 Textiles, naturales o sintéticos (véase el numeral 8.4)
D.9.1 Toma y preparación de la muestra (véase el numeral 8.4.1) No es posible tomar por separado muestras coloreadas de un tejido con motivos impresos entremezclados, por lo que hay que tomar una sola muestra de ensayo que represente todos los colores del material.
D.10 Cristal, cerámica, materiales metálicos (véase el numeral 8.5)
D.10.1 Toma y preparación de la muestra (véase el numeral 8.5.1)
Los juguetes o componentes de los mismos que no entren completamente en el “cilindro para pequeños elementos” mencionado en la norma NTC EN 71-1 no se someterán al ensayo, pues no presentan riesgo alguno de ingestión y la extracción obtenida mediante el simulador de saliva no es significativa. Este cilindro se utiliza para evaluar el tamaño de los juguetes y componentes de juguetes destinados a todas las franjas de edad adecuadas.
El pulverizado del cristal, de la cerámica y de los materiales metálicos no resulta adecuado.
La agitación de la solución de ensayo sería imposible en numerosos casos, por lo que la extracción se realiza sin agitación. El diámetro del recipiente y la orientación de la muestra de ensayo se han elegido para minimizar variables.
El cristal, la cerámica y los materiales metálicos totalmente revestidos, de modo que el cristal, la cerámica o el metal no son accesibles, de acuerdo con la definición que figura en la norma NTC EN 71-1 no se someterán al ensayo con arreglo a estos requisitos.
Cuando las superficies metálicas, de cristal o de cerámica son accesibles, aunque estén parcialmente cubiertas por un revestimiento, se someterán al ensayo descrito en el numeral 8.5.2 después de haber retirado el revestimiento parcial de acuerdo con el método del numeral 8.1.1. Este procedimiento operatorio es un compromiso, pues, tal y como se especifica en el numeral 7 de esta norma, un solo juguete puede considerarse como una muestra.
D.11 Otros materiales, coloreados en la masa o no (véase el numeral 8.6)
Este numeral trata de los materiales coloreados en la masa, así como otros materiales no coloreados, como la madera, tableros duros, cuero o hueso, que hayan podido someterse a cualquier otro tratamiento pero que no estaban cubiertos por la norma de 1988.
NORMA TECNICA NTC 4894 SEGURIDAD DE JUGUETES.
PROPIEDADES MECANICAS Y FISICAS.
1. Objeto
Los requisitos de esta norma se aplican a todos los juguetes, es decir, cualquier material diseñado o claramente destinado para uso en juegos de niños menores de 14 años de edad.
Son aplicables a los juguetes tal como los recibe inicialmente el consumidor y, además, se aplican después que los juguetes se someten a condiciones razonablemente previsibles de uso normal y abuso.
Los requisitos de esta norma especifican criterios aceptables para las características estructurales de los juguetes, como su forma, tamaño, contorno, espacios entre partes (por ejemplo, sonajeros, partes pequeñas, puntas y bordes agudos, espacio libre en la línea de articulación, respectivamente) así como criterios aceptables para propiedades peculiares de ciertas categorías de juguetes (por ejemplo, valores máximos de energía cinética para proyectiles con puntas no elásticas, mínimos ángulos de inclinación para ciertos tipos de juguetes en los que se puede montar).
Esta norma especifica requisitos y métodos de ensayo para juguetes destinados al uso por parte de niños en diferentes grupos de edades, desde el nacimiento hasta los 14 años. Los requisitos varían de acuerdo con el grupo de edades para el cual está destinado un juguete particular. Los requisitos para un grupo de edades particular reflejan la naturaleza de los riesgos y las capacidades mentales y/o físicas esperadas del niño para manejar el juguete.
Esta norma también exige que se den las advertencias y/o instrucciones adecuadas para el uso en ciertos juguetes o en sus empaques. Debido a los problemas lingüísticos que pueden presentarse en diferentes países, la redacción de estas advertencias e instrucciones no se especifica, pero se da como información general en el Anexo C. Conviene anotar que existen diferentes requisitos legales en muchos países respecto a ese tipo de rotulado.
Esta norma no pretende cubrir o incluir todos los riesgos potenciales concebibles de un juguete o categoría de juguetes particular. Excepto por los requisitos de rotulado que indican los riesgos funcionales y el rango de edades para los cuales se ha diseñado el juguete, esta norma no tiene requisitos para aquellas características de los juguetes que representan un riesgo inherente y reconocido, integral a la función del juguete.
Nota. Un ejemplo de estos riesgos es la punta aguda necesaria para el correcto funcionamiento de una aguja. La aguja es un riesgo bien comprendido por el comprador de un costurero de juguete, y el riesgo funcional de la punta se comunica al usuario, tanto como parte del proceso normal de educación, como en el punto de venta por medio de un rotulado de advertencia en el empaque del producto.
Como otro ejemplo, una patineta tiene riesgos inherentes y reconocidos asociados con su uso (por ejemplo, inestabilidad durante el uso, especialmente mientras se aprende). Los riesgos potenciales asociados con sus características estructurales (bordes afilados, riesgo de punciones, etc.) se minimizan al cumplir los requisitos de esta norma.
Los productos no incluidos en el objeto de esta norma son:
a) Bicicletas, excepto las que se consideran juguetes, es decir, las que tienen una altura máxima del sillín de 435 mm (véase el literal E.1);
b) Hondas (caucheras) (Nota. Las “caucheras” también se conocen como “catapultas”);
c) Dardos con puntas metálicas;
d) Equipos para campos de juegos públicos;
e) Escopetas y pistolas de aire comprimido y operadas a gas (véase el literal E.1);
e) Cometas (excepto por la receptividad de sus cuerdas, que está incluida);
g) Estuches para modelado, artículos para pasatiempos y artesanía, en los cuales el artículo terminado no tiene primordialmente valor como juego;
h) Artículos y equipos deportivos, para camping, equipo atlético, instrumentos musicales y muebles; sin embargo, se incluyen los juguetes que son sus contrapartes.
Se reconoce que frecuentemente hay una sutil distinción entre, por ejemplo, un instrumento musical o un artículo deportivo y su contraparte de juguete. La intención del productor o distribuidor, así como el uso normal y abuso razonablemente previsible, determinan si el artículo es un juguete o no;
i) Modelos de aeronaves, cohetes, botes y vehículos terrestres accionados por motores de combustión; sin embargo, se incluyen los juguetes que son sus contrapartes (véase literal E.1);
j) Productos coleccionables para adultos;
k) Decoraciones navideñas destinadas en principio para propósitos ornamentales (véase el literal E.1);
l) Equipo acuático destinado para uso en aguas profundas;
m) Juguetes instalados en sitios públicos (por ejemplo, galerías y centros comerciales);
n) Rompecabezas que tengan más de 500 piezas o que no tengan ilustración, destinados para especialistas;
o) Fuegos artificiales, incluidos los fulminantes, excepto los diseñados específicamente como juguetes;
p) Productos que contienen elementos generadores de calor destinados para uso bajo supervisión de un adulto en un contexto didáctico;
q) Máquinas a vapor de juguete;
r) Videojuegos que se puedan conectar a una pantalla de video y operar a una tensión nominal mayor que 24 v;
s) Chupos para bebés (dummies);
t) Reproducciones fieles de armas de fuego;
u) Hornos, planchas y otros artículos funcionales eléctricos operados a una tensión nominal mayor que 24 v;
v) Arcos para tiro al blanco con una longitud total en extensión mayor que 120 cm;
w) Joyería de fantasía para niños (véase el literal E.1).
2. Referencias normativas
Las siguientes normas contienen disposiciones que, a través de su referencia en este texto, constituyen disposiciones de la presente norma. En el momento de su publicación eran válidas las ediciones indicadas. Todas las normas están sujetas a actualización y se recomienda a las partes que realizan acuerdos con base en esta norma, estudiar la posibilidad de aplicar las ediciones más recientes de las normas indicadas en seguida. Los miembros de ISO e IEC llevan registros de las normas internacionales válidas actualmente.
ISO 868:1985, Plastics and Ebonite. Determination of Indentation Hardness by Means of a Durometer (Shore hardness).
ISO 4287-2:1997, Surface Roughness. Terminology. Part 2: Measurement of Surface Roughness Parameters.
ISO 4593:1993, Plastics. Film and Sheeting. Determination of Thickness by Mechanical Scanning.
ISO 6508-1:1999, Metallic Materials. Rockwell Hardness Test. Part 1: Test Method (Scales A, B, C, d, E, F, g, h, k, n, t).
3. Términos y definiciones
Nota. Siempre que se use el término “meses” en esta norma, se denota que se completa el número designado de meses (es decir, 18 meses significa hasta 18 meses de edad inclusive).
Para los propósitos de esta parte de la norma aplican los siguientes términos y definiciones.
3.1 Accesibilidad: se describe como cualquier área del juguete que se puede contactar con cualquier parte delantera del collar de la sonda de accesibilidad “A” o “B”, tal como se determina en el numeral
5.7 (accesibilidad de una parte o componente).
3.2 Juguete acuático: artículo que puede ser inflable o no, destinado para soportar el peso de un niño y ser utilizado como instrumento de juego en aguas poco profundas.
Los juguetes para el baño y balones de playa no se consideran juguetes acuáticos.
3.3 Balón: objeto esférico, ovoide o elipsoidal, diseñado o destinado para lanzarlo, golpearlo, patearlo, hacerlo rodar, dejarlo caer o rebotar;
Notas:
1. Las definiciones incluidas de los balones como objeto esférico, ovoide o elipsoidal unido a un juguete o artículo mediante una cuerda, cable elástico o atadura similar; objeto multilateral formado por planos conectados y cualquier innovación de forma generalmente esférica, ovoide o elipsoidal diseñada o destinada para ser usada como balón.
2. El término “balón” no incluye dados o bolas que permanecen encerradas dentro de máquinas de billar romano (pinball), laberintos o en recipientes exteriores similares. Un balón está encerrado permanentemente no sale del contenedor externo cuando se ensaya de acuerdo con lo especificado en el numeral 5.25 (abuso razonablemente previsible).
3.4 Respaldo: material que se adhiere a una lámina plástica flexible.
3.5 Juguete operado por batería: juguete que depende para su funcionamiento de la energía proporcionada por una batería.
3.6 Aspereza: rugosidad causada por un acabado o partición del material que no han sido rectificados.
3.7 Colapso: doblamiento repentino o inesperado de una estructura.
3.8 Cable: tramo de material delgado y flexible, incluidos cables unifilares, cables trenzados y retorcidos, sogas, cintas plásticas textiles, cintas y materiales fibrosos conocidos como cuerda.
3.9 Aplastamiento: lesión en una parte del cuerpo como resultado de la compresión entre dos superficies rígidas.
3.10 Mecanismo de descarga: dispositivo destinado para descargar e impulsar un proyectil.
3.11 Mecanismos impulsores: ensamble de partes o componentes ligados (como palancas de cambios, mecanismos de devanado, bandas transportadoras), al menos uno de los cuales se mueve por la energía de una fuente (es decir, por medios eléctricos o mecánicos) independiente del niño.
3.12 Borde.
3.12.1 Borde curvado: borde en el cual la parte de la lámina adyacente al borde se dobla en un arco y forma un ángulo de menos de 90o con la lámina base, como ilustra la Figura 1.
3.12.2 Borde confinado: aquel en el cual la parte de una lámina adyacente al borde se repliega sobre sí misma en un ángulo de aproximadamente 180o, de manera que queda aproximadamente paralela a la lámina principal, como se ilustra en la Figura 1.
3.12.3 Borde enrollado: aquel en el cual la parte de la lámina adyacente al borde se dobla en un arco y forma un ángulo entre 90o y 120o con la lámina principal, como se ilustra en la Figura 1.
3.13 Material expansible: material cuyo volumen se expande cuando se expone al agua.
3.14 Elemento de fijación: dispositivo mecánico que une dos o más elementos entre sí.
EJEMPLOS.
Tornillos, remaches, ganchos.
3.15 Biselado: achaflanado de un borde (o disminución en el espesor hacia el borde causada durante el corte o cizallamiento del material).


Figura 1. Bordes
3.16 Rebaba: material de exceso que escapa entre las partes que se unen en un ensamble moldeado.
3.17 Mecanismo de plegado: ensamble con bisagras, de pivote, con pliegues o deslizable, que podría triturarse, cortarse, pincharse o rasgarse durante la operación.
EJEMPLOS.
Tablas de planchar de juguete, cochecitos caminadores de juguete.
3.18 Juguete funcional: juguete que funciona, se usa en la misma forma y suele ser un modelo a escala de cierto producto, artefacto o instalación destinada para uso por parte de adultos.
EJEMPLO.
Estufa con propiedades de calefacción.
3.19 Pelusa: briznas de material tipo fibroso que se pueden retirar de los juguetes con una superficie pilosa.
3.20 Vidrio: sustancia dura, quebradiza, amorfa, producida por fusión, generalmente constituida por sílica y silicatos mutuamente disueltos, que también contiene soda y cal.
3.21 Prejuicio: lesiones y/o daños físicos a la salud o la propiedad.
3.22 Peligro: fuente potencial de perjuicio.
Nota. El término peligro generalmente se asigna para definir su origen o la naturaleza del perjuicio esperado (es decir, peligro de choque eléctrico, peligro de aplastamiento, peligro de corte, peligro de intoxicación, peligro de incendio, peligro de ahogamiento).
3.23 Proyección peligrosa: proyección que, debido a su material o configuración, o ambos, puede representar un riesgo de herida punzante si un niño se para o cae sobre ella.
Notas:
1. De esta definición se excluyen los riesgos de punción a los ojos y/o la boca debido a la imposibilidad de eliminar estos riesgos de dichas áreas del cuerpo por el diseño del producto.
2. Si la proyección está en un juguete pequeño que se vuelca cuando se le aplica presión al extremo de la proyección, es improbable que represente un riesgo.
3.24 Borde peligroso: borde accesible de los juguetes que no representa un riesgo razonable de daño durante el uso normal o el abuso razonable previsible.
3.25 Punta peligrosa: punta accesible que presenta un riesgo no razonable de lesiones durante el uso normal o abuso razonablemente previsible.
3.26 Espacio libre en la línea de articulación: distancia entre la parte estacionaria de un juguete y la parte móvil a lo largo o adyacente a una línea proyectada a través del eje de rotación como se ilustra en la Figura 2.
3.27 Uso destinado: diseñado, etiquetado o comercializado.
Clave:
1. Línea de bisagra.
2. Tapa.
3. Caja
l Espacio entre bordes ensamblados
Figura 2 Espacio libre en la línea de articulación
3.28 Junta traslapada: junta en la cual un borde se traslapa sobre una superficie paralela pero no está necesariamente unido a ella por medios mecánicos en todos sus puntos en toda su longitud, como en los ejemplos que se ilustran en la Figura 1.
3.29 Juguete grande y voluminoso: juguete que tiene un área de base proyectada de más de 0,26 m2 o un volumen de más de 0,08 m3, calculado sin tener en cuenta apéndices menores.
Nota. El área de base para juguetes que tienen patas unidas permanentemente se debe medir calculando el área encerrada por el perímetro formado por las líneas rectas que conectan el borde más externo de cada pata.
3.30 Canica: esfera hecha de un material duro, como vidrio, ágata, mármol o plástico, que se usa en varios juegos infantiles, generalmente como pieza o marcador de juego.
3.31 Metal: incluye tanto metales elementales como metales de aleación.
3.32 Uso normal: modos de juego que cumplen las instrucciones suministradas con el juguete, establecidas por tradición o costumbre o que son evidentes al examinar el juguete.
3.33 Empaque: material que acompaña al juguete cuando se compra, pero no previsto para funcionar como juguete.




3.35 Mueble de juguete: mueble destinado o que puede soportar el peso de un niño.
3.36 Pompón: tramos o hebras de fibra, hilaza o hilos, sujetos o asegurados y atados en el centro y peinados para formar una figura esférica.
Notas:
1. También incluyen accesorios de forma esférica hechos de materiales rellenos (véase Figura 3).
2. Las borlas con hebras largas no se consideran pompones (véase Figura 4).

Figura 3. Pompones regulares y redondos

Figura 4. Borla con hebras largas 3.37 Proyectil: objeto destinado para ser lanzado en vuelo libre o en una trayectoria al aire.
3.38 Juguete proyectil con energía almacenada: es un juguete con un proyectil impulsado por medio de un mecanismo de descarga capaz de almacenar y liberar energía.
3.39 Juguete proyectil sin energía almacenada: es el proyectil que se descarga por la energía impartida por un niño.
3.40 Tapa o cubierta protectora: componente que se asegura a un borde o proyección potencialmente peligrosa para reducir la posibilidad de lesiones.
3.41 Juguete de halar: juguete destinado para ser “halado” por el piso o suelo.
Nota. Los juguetes destinados para niños mayores de 36 meses de edad no se consideran como juguetes de halar.
3.42 Abuso razonablemente previsible: es el uso de un juguete bajo condiciones o para propósitos no previstos por el proveedor, pero que pueden presentarse inducidos por el juguete combinado con, o como resultado de la conducta común en un niño.
EJEMPLOS.
Desensamblar, dejar caer o usar deliberadamente un juguete para un propósito para el cual no estaba destinado.
Nota. En el numeral 5.25 se presentan ensayos de abuso simulado para juguetes (ensayo de abuso razonablemente previsible).
3.43 Componente removible: parte o componente destinada para ser retirada del juguete sin el uso de herramientas.
3.44 Rigidez: dureza de un material que excede de 70 en la escala de dureza Shore A, medida de acuerdo con lo especificado en la norma ISO 868.
3.45 Riesgo: la frecuencia probable de ocurrencia de un peligro que causa perjuicio y el grado de severidad del perjuicio.
3.46 Dispositivo protector simulado: es un juguete diseñado para productos de imitación que confiere cierto tipo de protección física al usuario.
EJEMPLOS.
Cascos protectores, visores.
3.47 Juguete de relleno blando (peluche): es un juguete, vestido o no, con superficies corporales blandas y lleno de materiales blandos, que permite comprimir el torso fácilmente con la mano.
3.48 Astilla: es un fragmento de punta dura.
3.49 Resortes.
3.49.1 Resorte helicoidal: es el que tiene forma de bobina (véase la Figura 5).
3.49.1.1 Resorte de compresión: es el que regresa a su estado inicial después de la compresión.
3.49.1.2 Resorte de extensión: es el que retorna a su estado inicial después de la tensión.
3.49.2 Resorte espiral: resorte tipo mecanismo de relojería (véase la Figura 6).
3.50 Juguete para la dentición: es un juguete diseñado para uso oral, destinado principalmente para aliviar las molestias sintomáticas de la dentición.
3.51 Herramienta: destornillador, moneda u otro objeto que se puede usar para accionar un tornillo, pasador o dispositivo de fijación similar.
3.52 Juguete: cualquier producto o material diseñado o claramente destinado para uso en juegos de niños menores de 14 años de edad.
3.53 Bicicleta de juguete: vehículo de dos ruedas, con o sin estabilizadores, con una altura máxima del sillín de 435 mm y que se impulsa solamente por la energía muscular del niño que va sobre él, en especial por medio de pedales.
3.54 Baúl para juguetes: contenedor con tapa articulada que encierra un volumen mayor que 0,03 m3, específicamente diseñado para almacenar juguetes.

Figura 5. Resorte helicoidal

Figura 6. Resorte espiral
4. Requisitos
Nota. Las palabras en itálica se definen en el numeral 3.
4.1 Uso normal (véase el literal E numeral 2).
Los juguetes se deben ensayar para simular el uso normal razonablemente previsible con el fin de asegurar que no se generen riesgos como resultado del desgaste y/o deterioro normal (véase el literal E numeral 2 para guía).
Los juguetes rotulados como lavables se deben someter a lavado de acuerdo con lo especificado en el numeral 5.24 (juguetes lavables).
Después de ensayar el juguete, este debe seguir cumpliendo los requisitos pertinentes del numeral 4.
4.2 Abuso razonablemente previsible (véase el literal E numeral 3)
Los juguetes se deben ensayar primero de acuerdo con los requisitos pertinentes de los numerales 5.1 y a 5.23 y los correspondientes métodos de ensayo. A menos que se indique otra cosa, los juguetes destinados para niños menores de 96 meses (8 años) se deben ensayar luego de acuerdo con lo indicado en el numeral 5.24 (ensayos de abuso razonablemente previsible), (véase el literal E numeral 3).
Después de ensayar el juguete, este debe seguir cumpliendo los requisitos pertinentes del numeral 4.
4.3 Material
4.3.1 Calidad del material (véase el literal E numeral 4)
Todos los materiales deben estar visiblemente limpios y libres de infestación. La evaluación visual de los materiales se debe hacer a simple vista y no con dispositivos de aumento.
4.3.2 Materiales expansibles (véase el literal E numeral 5)
Los juguetes y sus componentes que encajen completamente en el cilindro para partes pequeñas de acuerdo con lo indicado en el numeral 5.2 (ensayo de partes pequeñas), no deben expandirse más del 50% en ninguna dimensión cuando se ensayan conforme a lo especificado en el numeral 5.21 (materiales expansibles).
4.4 Partes pequeñas (véase literal E numeral 6)
4.4.1 Para niños mayores a 36 meses
Los juguetes y sus componentes removibles, antes y después de los ensayos 5.24 de uso normal y abuso razonablemente previsible, no deben encajar completamente, cualquiera sea su orientación, en el cilindro para partes pequeñas cuando se ensayan de acuerdo con lo especificado en el numeral 5.24 (ensayo de partes pequeñas).
El requisito también se aplica a fragmentos de juguetes, incluidos, sin limitarse a ellos, los pedazos de rebabas, astillas de plásticos y pedazos de espuma o desbaste.
Los siguientes productos se exceptúan antes y después de someter al juguete a los ensayos conforme al numeral 5:
– Libros de papel y otros artículos hechos de papel y pedazos de papel.
– Materiales para escritura, como crayones, tiza, lápices y esferos.
– Arcilla para moldear y productos similares.
– Pinturas para aplicar con los dedos, acuarelas, juegos de pinturas y brochas para pintar.
– Globos.
– Telas textiles.
– Hilaza.
– Elásticos y cuerdas.
En el literal B numeral 4.2 se da una guía sobre cuáles categorías de juguetes se pueden considerar destinados para niños menores de 36 meses de edad.
4.4.2 Para niños de 37 a 72 meses
Los juguetes, que contienen componentes removibles que encajan completamente en el cilindro para partes pequeñas cuando se ensayan conforme a lo especificado en el numeral 5.2 (ensayo de partes pequeñas), deben llevar una advertencia (véase literal C numeral 2.3 para guía).
4.5 Forma, tamaño y resistencia de ciertos juguetes (véase literal E numeral 7).
4.5.1 Juguetes compresibles, sonajeros y otros juguetes
Estos requisitos se aplican a los siguientes tipos de juguetes, excepto los de relleno blando (peluches) o partes de ellos, o partes de telas:
– Juguetes compresibles destinados para niños menores de 18 meses de edad.
– Sonajeros.
– Juguetes para la dentición.
– Patas de soporte de gimnasio para bebes y también los siguientes juguetes con masa inferior a 0,5 kg, destinados para niños demasiado pequeños para sentarse sin ayuda:
– Componentes removibles de juguetes destinados para colgarlos de una cuerda entre las barandillas de una cuna, corral o cochecito paseador.
– Componentes removibles de gimnasio para bebes.
– Patas de soporte de gimnasios para bebés. Los requisitos de los ítems a) y b) a continuación se aplican independientemente de la masa del juguete al cual están unidas las patas.
a) Los juguetes se deben diseñar de manera que ninguna de sus partes pueda entrar y penetrar completamente en la cavidad de la plantilla de ensayo A, cuando se ensayan conforme especifica el numeral 5.3;
b) Los juguetes que tengan extremos casi esféricos, hemisféricos o circulares acampanados se deben diseñar de manera que tales extremos no puedan entrar y penetrar completamente en la cavidad de la plantilla de ensayo complementaria B, cuando se ensayan conforme especifica el numeral 5.3
4.5.2 Pelotas pequeñas
Una pelota pequeña es cualquier pelota que pase a través de la plantilla cuando se ensaya conforme a lo especificado en el numeral 5.4.
a) Los juguetes destinados para niños menores de 36 meses de edad no deben ser pelotas pequeñas ni contener pelotas pequeñas removibles;
b) Los juguetes destinados para niños mayores de 37 meses pero menores o de 96 meses, que sean pelotas pequeñas o contengan pelotas removibles deben llevar una advertencia (véase literal C numeral 2.5a para guía).
4.5.3 Pompones (véase el literal E numeral 8)
Los juguetes destinados para niños que tengan hasta 36 meses de edad que se desprenden cuando se ensayan de acuerdo a lo especificado en el numeral 5.24.6.3 (ensayos de tensión para pompones) no deben pasar por completo a través de la plantilla de ensayo cuando se ensayan conforme al numeral 5.5 (ensayo para pompones).
Ningún componente, pedazo o hebra individual que se separe de los pompones durante los ensayos de torsión o tracción se debe someter al ensayo indicado en el numeral 5.5 (ensayo para pompones).
4.5.4 Figuras para juegos preescolares (véase el literal E numeral 9)
Excepto por las figuras blandas hechas de textiles, las figuras destinadas a niños menores de 36 meses de edad, para juegos preescolares que tengan:
a) Un extremo redondo, esférico o semiesférico con cuello cónico unido a una forma cilíndrica simple sin accesorios;
b) Una longitud global no mayor que 64 mm (véanse ejemplos en la Figura 7) se deben diseñar de manera que ninguna parte pueda entrar y atravesar la profundidad total de la cavidad de la plantilla de ensayo cuando se ensayan

Figura 7. Ejemplos de figuras para juegos
El requisito se aplica a figuras con elementos adicionados o moldeados, tales como sombreros o pelo, que conservan la forma redondeada del extremo.
4.5.5 Chupos de entretención
La longitud de los chupos de entretención fijados a juguetes destinados para niños menores de 36 meses de edad o que se venden junto a tales juguetes no debe ser mayor que 16 mm. Esta medida se toma desde el lado del chupo que va contra el protector hasta el extremo del chupo.
Nota. Los chupos de entretención reales fijados a juguetes destinados para niños menores de 36 meses de edad o que se venden junto con tales juguetes deben cumplir los reglamentos nacionales para chupos de entretención reales.
4.5.6 Globos (véase también numerales 4.10c y 4.25d y literal E numeral 10)
Los globos de látex deben llevar una advertencia (véase el literal C numeral 2.4 para guía).
4.5.7 Canicas
El empaque de las canicas y juguetes que contienen canicas removibles o canicas libres después del ensayo de 5.24 debe llevar una advertencia (véase literal C numeral 2.5b para guía).
4.6 Bordes (véase literal E numeral 11)
4.6.1 Bordes afilados accesibles de metal o vidrio
a) Los juguetes destinados para niños menores de 96 meses de edad no deben tener bordes afilados peligrosos accesibles de vidrio o metal cuando se ensayan conforme a lo especificado en el numeral 5.8 (ensayo de bordes afilados).Si un borde accesible falla en el ensayo de bordes afilados tal como se especifica en el numeral 5.8 se debe evaluar el borde para determinar si presenta un riesgo no razonable de lesión tomando en cuenta el uso previsible y el rango de edad previsto para el juguete;
b) Los bordes de metal o vidrio potencialmente afilados se deben considerar no accesibles si quedan adyacentes a una superficie de la muestra de ensayo y ningún espacio vacío entre el borde y la superficie adyacente excede los 0,5 mm (por ejemplo en las juntas traslapadas y bordes confinados Véase la figura 6);
c) Los bordes de piezas destinadas para servir como conductores eléctricos y los portaobjetos de microscopios y cubiertas deslizantes se consideran bordes funcionales y no requieren advertencia.
4.6.2 Bordes afilados funcionales
a) Los juguetes destinados para niños menores de 36 meses de edad no deben tener bordes afilados funcionales, peligrosos, accesibles;
b) Los juguetes destinados para niños de 36 meses a 96 meses de edad que en razón de su función incluyan necesariamente un borde afilado peligroso y no incluyan bordes afilados no funcionales están exentos de los requisitos del numeral 4.6 (por ejemplo, las tijeras funcionales de juguete y los juegos de herramientas de juguete funcionales) siempre y cuando el empaque lleve una advertencia (véase literal C numeral 2.12 para guía).
4.6.3 Bordes en juguetes metálicos
Los bordes metálicos accesibles, incluidos orificios y ranuras, en juguetes destinados para niños menores de 96 meses de edad deben estar libres de asperezas peligrosas y biselados, o deben estar confinados, enrollados o curvados (véase la Figura 1) o deben incorporar un dispositivo o acabado protector permanente.
Independientemente de la manera en que se terminen los bordes, se deben someter al ensayo de bordes afilados como se indica en el numeral 5.8.
4.6.4 Bordes en los juguetes moldeados
Los bordes accesibles, esquinas o áreas de separación de juguetes moldeados destinados para niños menores de 96 meses de edad deben estar libres de bordes afilados peligrosos producidos por asperezas y rebabas o deben estar protegidos de manera que los bordes peligrosos no sean accesibles.
4.6.5 Bordes en tornillos expuestos o varillas roscadas
Los extremos accesibles de tornillos o varillas roscadas deben estar libres de bordes afilados y asperezas, o sus extremos deben estar cubiertos por tapas protectoras de manera que no queden accesibles. Toda tapa protectora que se utilice debe someterse al ensayo de compresión indicado en el numeral 5.24.6 (ensayo de compresión), independientemente de si la tapa es accesible o no al contacto con superficies planas durante los ensayos apropiados indicados en el numeral 5.24 (ensayos de abuso razonablemente previsible). Las tapas protectoras también se deben someter al ensayo especificado en el numeral 5.24.5 (ensayo de torsión) seguido por el ensayo del numeral 5.24.6.1 (ensayo de tensión - generalidades).
4.7 Puntas (véase literal E numeral 12)
4.7.1 Puntas agudas accesibles
a) Los puntos accesibles de juguetes destinados para niños menores de 96 meses de edad no deben tener puntas agudas peligrosas accesibles cuando se ensayan conforme con lo especificado en el numeral 5.9 (ensayo de puntas agudas).
Si una punta accesible falla en el ensayo de puntas agudas indicado en el numeral 5.9, se debe evaluar para determinar si presenta un riesgo razonable de lesiones tomando en cuenta el uso previsible y el grado de edad para el cual está destinado el juguete.
Puntas de lápices e implementos similares de dibujo no son considerados como puntas afiladas;
b) Las puntas potencialmente agudas se deben considerar no accesibles si quedan al lado de una superficie de la muestra de ensayo y hay un espacio libre entre la punta y la superficie no mayor de 0,50 mm;
c) Las puntas de los juguetes para niños menores de 36 meses de edad cuya dimensión de sección transversal más grande sea de 2 mm o menos y que no presenten necesariamente una punta aguda cuando se ensayan de acuerdo con lo indicado en el numeral 5.9 (ensayo de puntas agudas), se consideran puntas potencialmente peligrosas. Por lo tanto, se deben evaluar para determinar si presentan un riesgo no razonable de lesiones tomando en cuenta el uso previsible y el grado de edad para el cual está destinado el juguete.
4.7.2 Puntas agudas funcionales
a) Los juguetes destinados para niños menores de 36 meses de edad no deben tener puntas agudas funcionales peligrosas accesibles;
b) Los juguetes destinados para niños de 37 meses (incluidos) a 96 meses de edad que por razones de su función presenten necesariamente el peligro de puntas agudas y no tengan puntas agudas no funcionales están exentos de los requisitos indicados en el numeral 4.7.1 (por ejemplo, una máquina de coser de juguete con aguja) siempre y cuando el empaque lleve una advertencia (véase literal C numeral 2.12 para guía).
4.7.3 Juguetes de madera
Las superficies accesibles y los bordes de la madera empleada en juguetes deben estar libres de astillas.
4.8 Proyecciones (véase el literal E numeral 13)
Si una proyección presenta un peligro potencial de punción en la piel, se debe proteger con los medios adecuados, como voltear el extremo de un alambre o fijarle una tapa o cubierta protectora de acabado liso que aumente efectivamente el área de la superficie de contacto potencial con la piel. La tapa o cubierta protectora no debe desprenderse cuando se ensaya de acuerdo con lo especificado en el numeral 5.24.6.4 (ensayo de tensión para componentes protectores).
Las piezas individuales y artículos totalmente ensamblados de los juguetes destinados para ser ensamblados y separados repetidas veces, que se ilustran en las gráficas, instrucciones y otros anuncios en los empaques se deben evaluar por separado.
Los requisitos para el juguete ensamblado no se aplican a los juguetes en los cuales el ensamblado es una parte importante del valor lúdico del juguete.
Como este requisito tiene relación con el peligro que origina la caída de un niño sobre el juguete, sólo se deben evaluar las proyecciones verticales o casi verticales. El juguete se debe ensayar en la posición más peligrosa. Las esquinas de las estructuras no caben en esta categoría.
4.9 Alambres y varillas metálicas (véase el literal E numeral 14)
Los alambres y varillas metálicos deben cumplir los siguientes requisitos:
a) Los alambres metálicos u otros materiales de metal que se usen para dar rigidez o para conservar la forma de los juguetes no se deben fracturar produciendo puntas agudas, bordes afilados o proyecciones peligrosas cuando se ensayan conforme con lo especificado en el numeral 5.2.4.8 (ensayo de flexión) si el componente se puede doblar en un arco de 60o mediante la fuerza aplicable;
b) Los extremos de las varillas de las sombrillas de juguete deben estar protegidos. Si la protección se retira cuando se ensaya de acuerdo con lo especificado en el numeral 5.24.6.4 (ensayo de tensión para componentes protectores) los extremos de las varillas deben estar libres de bordes afilados y puntas agudas cuando se ensayan como indica el numeral 5.8 (ensayo de bordes afilados) y el numeral 5.9 (ensayo de puntas agudas). Además, si los componentes protectores se retiran en el ensayo de tensión, las varillas de las sombrillas de juguete deben tener un diámetro mínimo de 2 mm y los extremos deben ser lisos, redondeados y aproximadamente esféricos, sin asperezas.
4.10 Película plástica en los empaques y los juguetes (véase el literal E numeral 15)
Los siguientes artículos están exentos de los requisitos indicados en este numeral:
– Bolsas que tengan un perímetro de abertura menor que 360 mm;
– Bolsas que tengan un perímetro de abertura de 360 mm o más, en las cuales la profundidad y perímetro de apertura combinados sean menores que 584 mm.
– Películas contraíbles, con un espesor nominal menor que 0,038 mm, las cuales forman una envoltura que normalmente se destruye al abrir el empaque.
Las películas o láminas plásticas flexibles que no tengan respaldo, con un área mayor que 100 mm x 100 mm y utilizadas en juguetes deben:
las bolsas hechas de películas de plástico flexibles y las láminas flexibles que se usan como materiales de empaque para auto-empaques o que se usan con juguetes deben:
a) tener un espesor nominal de 0,038 mm o más, pero nunca menor que 0,032 mm cuando se ensayan conforme con lo especificado en el numeral 5.10 (determinación del espesor de las películas y láminas plásticas);
b) Tener perforaciones con orificios bien definidos (cuando el material se ha retirado) de 1% mínimo en cualquier área de 30 mm x 30 mm como máximo.
Para globos plásticos el requisito de espesor del literal a) se aplica a capas dobles de lámina plástica (es decir, el espesor se mide sin inflar o destruir el globo).
4.11 Cables y elásticos (véase literal E numeral 16)
4.11.1 Cables y elásticos en juguetes destinados para niños menores de 18 meses de edad
La longitud libre de los cables o elásticos que se pueda enredar se debe dar la vuelta para formar un nudo corredizo en conexión con alguna parte del juguete, deben tener menos de 220 mm[10] de longitud cuando se miden bajo una tensión de 25 N ± 2 N.
Si los cables o elásticos o los cables o elásticos múltiples se pueden enredar y/o formar una lazada con nudo corredizo o fijo en conexión con cualquier parte del juguete, incluso en los nudos terminales u otros accesorios ubicados los extremos del cable o elástico, el perímetro de la lazada debe ser menor que 360 mm cuando se mide bajo una tensión de 25 N ± 2 N.
Los cables y elásticos presentes en los juguetes deben tener un espesor (dimensión más pequeña) de 1,5 mm o más cuando se mide de acuerdo con lo especificado en el numeral 5.11.1 (determinación del espesor del cable).
4.11.2 Cables autorretraíbles en juguetes destinados para niños menores de 18 meses de edad
Los cables accesibles que se usan en mecanismos activados por cables no se deben retraer más de 6,4 mm cuando se ensayan conforme indica el numeral 5.11.2 (cables autorretraíbles).
4.11.3 Cables para juguetes de halar destinados para niños menores de 36 meses de edad
Los cables y elásticos para juguetes de halar destinados para niños de 36 meses de edad y menores, que tengan una longitud mayor que 220 mm cuando, se miden bajo una tensión de 25 N ± 2 N, no deben estar provistos de cuentas u otros accesorios que se puedan enredar para formar una lazada con nudo corredizo o fijo.
4.11.4 Cables en bolsas para juguetes
Las bolsas de juguete hechas de material impermeable con un perímetro de apertura mayor que 360 mm no deben tener cuerdas corredizas o cables como medio de cierre (véase el numeral 4.10).
4.11.5 Móviles para cuna
Los móviles para cuna destinados para ir asegurados a una cuna o corral deben estar acompañados de instrucciones que llamen la atención sobre el peligro que representa no retirar el móvil cuando el bebé empieza a levantarse sobre sus manos y rodillas. Las instrucciones también deben indicar cómo ensamblar correctamente el móvil (véase literal C numerales 2.7 y 3.2 para guía).
En el Anexo D se dan directrices sobre el diseño de juguetes destinados para asegurarlos en cunas y corrales.
4.11.6 Gimnasios para cunas y juguetes similares
Los gimnasios para cunas, incluidos los ejercitadores y juguetes similares destinados para colgarlos atados atravesados en una cuna, corral o cochecito paseador deben estar acompañados de instrucciones que llamen la atención sobre el peligro de no retirar el gimnasio cuando el bebé empieza a levantarse sobre sus manos y rodillas. Las instrucciones también deben indicar el modo correcto de ensamblar el gimnasio (véase el literal C numerales 2.10 y 3.3 para guía).
En el Anexo D se dan directrices sobre el diseño de juguetes destinados para asegurarlos en cunas y corrales.
4.11.7 Cables, cuerdas y cables eléctricos para juguetes voladores
Los cables, cuerdas y cables eléctricos que se sostienen en la mano, cuya longitud sea superior a 1,8 m, unidos a cometas de juguete u otros juguetes voladores deben tener una resistencia eléctrica de más de 108 ú/cm cuando se ensayan conforme indica el numeral 5.11.3 (resistividad eléctrica de los cables).
Las cometas de juguete y otros juguetes voladores deben llevar una advertencia (véase el literal C numeral 2.16 para guía).
4.12 Mecanismos de plegado
4.12.1 Sillas de empujar para bebé, cochecitos paseadores y juguetes similares (véase el literal E numeral 17).
Los requisitos indicados en este numeral no se aplican a juguetes que tengan una superficie potencial para sentarse cuyo ancho sea menor que 140 mm.
Las sillitas de empujar para bebé, cochecitos paseadores y caminadores y juguetes similares con mecanismos plegables y deslizantes deben cumplir los siguientes requisitos:
a) Los juguetes que tengan manijas u otros miembros estructurales que se puedan doblar sobre el niño deben tener:
Tal cual al menos un dispositivo de seguro principal y al menos uno secundario, que deben actuar directamente sobre el mecanismo de plegado.
al menos uno de los mecanismos de seguro debe engranarse automáticamente cuando se endereza el juguete.
Cuando se ensaya conforme indica el numeral 5.22.2 (sillas de empujar para bebé y cochecitos paseadores de juguete), el juguete no debe colpasar y ninguno de sus dispositivos de seguro debe fallar o desengranarse.
Dos dispositivos de la misma construcción (por ejemplo anillos de seguridad) uno en el lado izquierdo y otro en el derecho se consideran como un dispositivo de seguro.
Si es posible enderezar parcialmente una silla o cochecito de juguete sin que uno de los dispositivos de seguro esté engranado, el ensayo especificado en el numeral 5.22.2 se debe llevar a cabo en esa orientación.
Nota. Enderezar parcialmente significa enderezar de tal manera que el usuario pueda creer erróneamente que el juguete está completamente derecho.
En la Figura 8 se ilustra un ejemplo de silla de empujar para bebé o cochecito paseador de juguete que se ajusta a lo especificado en el literal a).

1 Movimiento de la manija
2 Movimiento del chasis
Figura 8. Silla de empujar para bebé o cochecito paseador de juguete cubierto por el literal a) del numeral 4.12.1 b)
Las sillas y cochecitos de juguete que no presenten el peligro de que una manija u otro miembro estructural se doble sobre el niño: deben tener al menos:
Un dispositivo de seguro o un tope de seguridad, que puede ser de operación manual.
Cuando se ensaya conforme indica el numeral 5.22.2 el juguete no debe colapsar y el dispositivo de seguro o tope de seguridad no debe fallar o desengranarse.
Si es posible enderezar parcialmente una silla o cochecito de juguete sin que uno de los dispositivos de seguro esté engranado, el ensayo especificado en el numeral 5.22.2 se debe llevar a cabo en esa orientación (véase la nota).
En la Figura 9 se ilustra un ejemplo de silla o cochecito de juguete que se ajusta a lo especificado en el literal b).

1 Dirección del movimiento de chasis
Figura 9. Sillas de empujar de juguete cubiertas por el literal b) del numeral 4.12.1
4.12.2 Otros juguetes con mecanismos de plegado (véase literal E numeral 18)
Los muebles de juguete y otros juguetes en los cuales un mecanismo de plegado, brazo o abrazadera está destinado para sostener a un niño o un peso comparable deben:
a) Tener un tope de seguridad o dispositivo de traba para impedir un movimiento inesperado o repentino o el colapso del juguete. El juguete no debe colapsar cuando se ensaya conforme se especifica en el numeral 5.22.3 (otros juguetes con mecanismo de plegado), o
b) Tener un espacio libre adecuado entre las partes móviles para proteger los dedos de las manos y pies contra aplastamiento o laceración en el evento de un movimiento repentino o colapso del juguete. Si es posible insertar una varilla de 5 mm de diámetro entre dos partes móviles, también debe ser posible insertar una de 12 mm de diámetro.
4.12.3 Espacio libre en la línea de articulación (véase literal E numeral 19)
Los juguetes que tengan un espacio libre o vacío a lo largo de la línea de articulación entre una parte estacionaria y una parte móvil que pese más de 0,25 kg deben construirse de manera que, si el espacio libre accesible en la línea de articulación admite una varilla de 5 mm de diámetro, también admita una varilla de 12 mm de diámetro en todas las posiciones de articulación.
4.13 Orificios, espacios libres y accesibilidad de los mecanismos
4.13.1 Orificios circulares en materiales rígidos (véase literal E numeral 20)
Juguetes para niños hasta 60 meses de edad incluyendo los de 60, si un orificio circular accesible en un material rígido con un espesor menor que 1, 58 mm puede admitir la inserción de una varilla de 6 mm de diámetro a una profundidad de 10 mm o más, también debe admitir una varilla de 10 mm de diámetro.
4.13.2 Espacios libres accesibles para segmentos móviles (véase el literal E numeral 21)
Juguetes para niños hasta 96 meses de edad incluyendo los de 96, si los espacios libres accesibles para segmentos móviles admiten la inserción de una varilla de 5 mm de diámetro, también deben admitir una varilla de 12 mm de diámetro.
4.13.3 Cadenas o bandas en juguetes para montar (véase el literal E numeral 22)
Las cadenas y bandas de transmisión de energía en juguetes para montar deben estar protegidas para hacerlas inaccesibles. No debe ser posible retirar la protección sin el uso de una herramienta.
4.13.4 Otros mecanismos de impulso (véase el literal E numeral 23)
Los mecanismos de reloj, operados por pilas, por inercia u otros mecanismos de transmisión de energía en juguetes deben estar encerrados de manera que no expongan bordes afilados accesibles o puntas agudas ni representen de ninguna otra manera un peligro de aplastamiento de los dedos u otras partes del cuerpo.


Figura 10. Cadenas motrices y protección de la cadena
4.13.5 Llaves para dar cuerda a los juguetes (véase literal E numeral 24)
Este requisito se aplica a los juguetes, destinados para niños menores de 36 meses de edad, en los que se emplea una llave para darles cuerda, la cual rota mientras el mecanismo se desenvuelve. Este requisito se aplica a las llaves que consisten en una placa plana unida a un vástago y que sobresale de una superficie rígida del cuerpo del juguete.
Si el espacio libre entre las lengüetas de la llave y el cuerpo del juguete admite una varilla de 5 mm de diámetro, también debe admitir una varilla de 12 mm de diámetro en todas las posiciones de la llave. Para llaves cubiertas por este requisito, no debe haber aberturas en las lengüetas de la llave que puedan admitir una varilla de 5 mm de diámetro.
4.14 Resortes (véase literal E numeral 25)
Los resortes deben cumplir los siguientes requisitos:
a) Los resortes espirales no deben ser accesibles si el espacio vacío entre dos espirales consecutivos es mayor que 3 mm en cualquier posición de uso;
b) Los resortes helicoidales de extensión no deben ser accesibles si el espacio vacío entre dos vueltas consecutivas es mayor que 3 mm cuando el resorte se somete a una fuerza de tracción de 40 N.
Este requisito no se aplica a resortes que no regresen a su posición original después de liberarlos de la fuerza;
c) Los resortes helicoidales de compresión no deben ser accesibles si el espacio vacío entre dos vueltas consecutivas es mayor que 3 mm en reposo y el resorte, cuando se usa el juguete, se puede someter a una fuerza de compresión de 40 N o más.
Este requisito no se aplica a resortes que no regresen a su posición original después de someterlos a una fuerza de 40 N, ni a resortes devanados alrededor de un segundo componente del juguete (por ejemplo, una varilla de guía), de manera que no sea posible insertar la sonda A de accesibilidad (véase el numeral 5.7) entre espirales consecutivos por más de 5 mm.
4.15 Requisitos de estabilidad y sobrecarga
4.15.1 Estabilidad de los juguetes de montar y asientos de juguete
Los requisitos de 4.15.1 a 4.15.1.3 se aplican a juguetes de montar, juguetes tipo acción como caballitos de madera y juguetes estacionarios con asientos, como los muebles de juguete destinados para niños de hasta 60 meses (5 años) de edad. Los juguetes para montar de formas esféricas, cilíndricas u otras, que normalmente no tengan una base estable (bicicletas de juguete o juguetes similares) no están cubiertos por estos requisitos.
4.15.1.1 Estabilidad de los laterales, pies disponibles para estabilización (véase literal E numeral 26). Los juguetes de montar o asientos de juguete, cuando la altura del asiento desde el suelo es de 27 mm o más y cuando los pies y/o piernas del niño no tienen restricción en su movimiento lateral, por lo cual están disponibles para estabilización, no deben ladearse cuando se ensayan conforme especifica el numeral 5.12.2 (ensayo de estabilidad, pies disponibles para estabilización).
4.15.1.2 Estabilidad de los laterales, pies no disponibles para estabilización (véase literal E numeral 26). Los juguetes de montar o asientos de juguete, cuando los pies y/o piernas del niño están restringidos en su movimiento lateral (por ejemplo, por un espacio lateral encerrado en un automóvil de juguete), no deben ladearse cuando se ensayan conforme especifica el numeral 5.12.3 (ensayo de estabilidad, pies no disponibles para estabilización).
4.15.1.3 Estabilidad anterior y posterior (véase literal E numeral 27). Los juguetes de montar y juguetes estacionarios con asientos donde el ciclista no puede usar sus piernas para estabilizarse no deben inclinarse hacia adelante o hacia atrás cuando se ensayan conforme se especifica en el numeral 5.12.3 (ensayo de estabilidad anterior y posterior).
4.15.2 Requisitos de sobrecarga para juguetes de montar y asientos de juguete (véase el literal E numeral 28).
Los juguetes de montar, juguetes destinados para usarlos como sillas y juguetes destinados para sostener todo el peso de un niño o parte de él, no deben colapsar cuando se ensayan conforme se especifica en los numerales 5.12.5 (ensayo de sobrecarga para juguetes de montar y asientos de juguete) y 5.24.4 (ensayo dinámico de resistencia para juguetes de montar con ruedas).
4.15.3 Estabilidad de juguetes estacionarios de piso (véase el literal E numeral 29)
Los juguetes estacionarios de piso con alturas superiores a 760 mm y peso mayor que 4,5 kg no deben ladearse cuando se ensayan conforme se especifica en el numeral 5.12.6 (ensayo de estabilidad de juguetes estacionarios de piso).
4.16 Encerramientos (véase el literal E numeral 30)
4.16.1 Ventilación
a) Cualquier juguete hecho de material impermeable provisto de una puerta o tapa que encierre un volumen continuo mayor que 0,03 m3 y en el cual todas las dimensiones internas sean de 150 mm o más, debe disponer de medios para respirar mediante la incorporación de áreas de ventilación sin obstrucciones. Estas áreas de ventilación deben estar constituidas por un mínimo de dos orificios, cada uno de los cuales debe tener un área total de 650 mm2 como mínimo, colocados a una distancia de 150 mm como mínimo o una abertura equivalente a los dos orificios de 650 mm2 expandida para incluir el área de separación (véase la Figura 11);
b) El área de ventilación debe permanecer sin obstrucciones cuando el juguete se coloca sobre el piso en cualquier posición y al lado de dos superficies planas verticales que se encuentren en un ángulo de 90o, para simular la esquina de una habitación. Si para subdividir un espacio continuo se usan divisiones permanentes o barras (dos o más) que limiten efectivamente el espacio continuo haciendo que la dimensión interna más grande sea menor que 150 mm, no se requiere área de ventilación.

a) Superficie total de ventilación

b) Superficie de ventilación alternativa equivalente 1300 mm2 mínimo
Figura 11. Ejemplo de área de ventilación alternativa
4.16.2 Cierres
4.16.2.1 Tapas, puertas y dispositivos similares. Los cierres, como tapas, cubiertas y puertas o dispositivos similares para encerramientos no deben tener dispositivos de cierre de seguridad automático.
Los cierres deben ser de un tipo que se pueda abrir con una fuerza de 45 N o menos cuando se ensayan de acuerdo con lo especificado en el numeral 5.13.1 (cierres).
De este requisito se excluye el uso de botones, cremalleras y elementos de fijación similares en las tapas, cubiertas y puertas.
4.16.2.2 Soporte de la tapa de los baúles para juguetes y juguetes similares a) Los baúles para juguetes y juguetes similares con tapas articuladas de apertura vertical deben disponer de mecanismos de soporte para la tapa, que impidan el colapso o caída repentina de la misma. El mecanismo de soporte de la tapa debe sostenerla de manera que en ninguna posición en su arco de recorrido desde 50 mm de la posición totalmente cerrada, la tapa caiga más de 12 mm bajo la influencia de su propio peso, a través de un arco no mayor de 60o desde la posición totalmente cerrada, excepto en los últimos 50 mm de recorrido. El ensayo se debe realizar de acuerdo con lo especificado en el numeral 5.13.2.1 (soporte de la tapa).
El mecanismo de soporte de la tapa debe cumplir con este requisito antes y después de ser sometido a 7 000 ciclos de cierre y apertura, como se describe en el numeral 5.13.2.2 (ensayo de durabilidad para tapas de baúles para juguetes);
b) El mecanismo de soporte de la tapa no debe requerir ajuste por parte del consumidor para sostener adecuadamente la tapa ni para cumplir con el requisito del literal a) después de los ciclos especificados en el numeral 5.13.2.2 (ensayo de durabilidad en tapas de baúles para juguetes);
c) La tapa y su mecanismo de soporte deben cumplir los requisitos especificados en el numeral 4.12;
d) Los baúles para juguetes deben ir acompañados de instrucciones para el correcto ensamble y mantenimiento (véase el literal C numeral 3.4 para guía).
4.16.3 Juguetes en los que se encierra la cabeza
Los juguetes en los que se encierra la cabeza, como los cascos espaciales, y que están hechos de material impermeable deben permitir respirar mediante la incorporación de áreas de ventilación sin obstrucciones cerca a la zona de la boca y la nariz. Estas áreas de ventilación deben consistir en un mínimo de dos orificios, cada uno de los cuales debe tener un área total de 650 mm2 como mínimo, separados por una distancia mínima de 150 mm (véase la Figura 10). También es aceptable una abertura equivalente a los dos orificios de 650 mm2 expandida para incluir el área de separación (véase la Figura 11).
4.17 Dispositivos protectores simulados como cascos, sombreros y gafas de protección (véase el literal E numeral 31)
a) Ningún juguete rígido que cubra la cara, como gafas de protección, cascos espaciales o escudos faciales, cuando se ensayan conforme específica el numeral 5.14 (ensayo de impacto en juguetes que cubren la cara), debe producir bordes afilados, puntas agudas o partes sueltas que puedan penetrar en los ojos. Esto se aplica a juguetes con orificios para los ojos, así como a artículos que cubren los ojos;
b) Los juguetes que simulan dispositivos protectores de seguridad y están destinados para ser usados por niños (entre los ejemplos se incluyen, sin limitarse a ellos, los cascos para construcción y para deportes) y sus empaques deben llevar una advertencia (véase el literal C.2.11 para guía).
4.18 Proyectiles de juguete (véase el literal E numeral 32)
4.18.1 Generalidades
Los proyectiles de juguete y juguetes proyectiles deben cumplir los siguientes requisitos:
a) Todos los proyectiles rígidos deben tener un radio de punta no menor que 2 mm;
b) Los rotores e impulsores de alta velocidad deben estar diseñados de manera que su perímetro tenga forma de anillo, con el fin de reducir el peligro de lesiones.
El requisito no se aplica a rotores o impulsores que se doblen cuando el juguete no está activado. Sin embargo, las puntas y bordes sobresalientes de este tipo de rotores o impulsores deben ser de un material flexible adecuado.
4.18.2 Juguetes proyectiles con energía almacenada
Los juguetes proyectiles con energía almacenada deben cumplir los siguientes requisitos:
a) Cuando se ensayan conforme se especifica en el numeral 5.15 (energía cinética de los proyectiles, arcos y flechas), si la máxima energía cinética de un proyectil es superior a 0,08 J:
1. El proyectil debe tener una punta protectora de material flexible, tal que la energía cinética por unidad de área de contacto no exceda de 0,16 J/cm2.
2. La punta protectora:
– No debe separarse del proyectil cuando se ensaya conforme se especifica en el numeral 5.25.5 (ensayo de torsión) o el numeral 5.25.6.4 (ensayo de tensión para componentes protectores).
– Si la punta protectora se separa del proyectil cuando se ensaya conforme se especifica en los numerales 5.25.5 y 5.25.6.4, no debe ser posible lanzar el proyectil mediante el mecanismo previsto de descarga.
3. Se debe llamar la atención del usuario sobre el peligro potencial del uso indebido (véase el literal C2.15 para guía);
b) Cuando se ensayan conforme se especifica en el numeral 5.15 (energía cinética de los proyectiles, arcos y flechas), los proyectiles disparados por el mecanismo de descarga no deben producir bordes afilados peligrosos ni puntas agudas peligrosas;
c) El mecanismo de descarga se debería diseñar de manera que no descargue ningún otro tipo de proyectiles improvisados potencialmente peligrosos (por ejemplo, lápices, puntillas, piedras) sin modificación por parte del usuario. Cuando el mecanismo de descarga puede descargar un objeto distinto del que se entrega con el juguete, se debe llamar la atención del usuario sobre el peligro potencial del uso indebido (véase el literal C 2.15 para guía).
Con el fin de reducir el riesgo de lesiones en los ojos, se recomienda especialmente a los fabricantes diseñar juguetes de manera que no puedan descargar mísiles distintos de los que se entregan con el juguete.
4.18.3 Juguetes proyectiles sin energía almacenada
Los juguetes proyectiles sin energía almacenada deben cumplir los siguientes requisitos:
a) Cuando el proyectil tiene forma de flecha o dardo, debe:
1. Incluir una punta protectora que sea parte integral del extremo frontal del cuerpo del proyectil.
2. Tener un extremo frontal romo al cual vaya asegurada una punta protectora;
b) La punta protectora debe tener un área de contacto de al menos 3 cm2 y, a menos que dependa de fuerzas magnéticas, la punta debe ser de un material flexible adecuado;
c) La punta protectora no debe separarse del proyectil cuando se ensaya conforme se especifica en el numeral 5.25.4 (ensayo de torsión) o el numeral 5.25.5.4 (ensayo de tensión para componentes protectores).
1. La protección de la punta no debe hacerse separado del proyectil 2. Si la protección de la punta esta separada del proyectil, el proyectil no debe ser capaz de ser lanzado por el método de lanzamiento;
d) Para un conjunto de arco y flecha, si la máxima energía cinética de las flechas es mayor que 0,08 J cuando se ensaya conforme a lo especificado en el numeral 5.15 (energía cinética de proyectiles, arcos y flechas), la energía cinética por unidad de área de contacto no debe exceder de 0,16 J/cm2;
e) Se debe llamar la atención del usuario sobre el peligro potencial de uso indebido (véase el literal C 2.15 para guía).
4.19 Juguetes acuáticos y de flotación (véase el literal E numeral 33)
Todas las entradas de aire de los juguetes acuáticos inflables y de flotación deben tener válvulas con tapones asegurados permanentemente al juguete.
Cuando el juguete se infla, el tapón debe poder empujarse dentro del juguete, de manera que no sobresalga más de 5 mm de la superficie del mismo.
Ni en anuncios publicitarios ni en gráficos se debe declarar o implicar que el juguete es seguro para el niño si se deja sin supervisión.
Los juguetes acuáticos y de flotación deben llevar una advertencia de que el producto no es un salvavidas (véase el literal C numeral 2.6 para guía).
4.20 Frenado (véase el literal E numeral 34)
Estos requisitos en a) y b) no se aplican.
– Juguetes en los cuales las manos o pies proporcionan la energía motriz a las ruedas a través de transmisión directa (por ejemplo, carros de pedales, triciclos).
– Juguetes eléctricos de montar impulsados a una velocidad máxima de 1 m/s sin carga, cuya altura del sillín sea menor que 300 mm y en los cuales los pies queden libres.
– Bicicletas de juguete (véase el numeral 4.21.3).
a) Los juguetes para montar, con propulsión mecánica o eléctrica, con medios de movimiento libre de las ruedas de acuerdo con lo especificado en el numeral 5.16.1 (determinación de los medios de movimiento libre de las ruedas) deben tener un dispositivo de frenado.
Cuando el juguete se ensaya conforme especifica el numeral 5.16.2 (desempeño de los frenos para juguetes de montar de accionamiento eléctrico o mecánico distintos de las bicicletas de juguete) no debe moverse más de 5 cm;
En este tipo de juguetes con una masa de 30 kg o más, debe ser posible asegurar el freno;
b) Los juguetes eléctricos para montar deben accionarse por medio de un interruptor que, cuando se libera, corte la energía automáticamente sin inclinar el juguete. La aplicación de los frenos debe cortar automáticamente la energía para la conducción.
4.21 Bicicletas de juguete (véase el literal E numeral 4.13.3 y E35)
Los requerimientos en las bicicletas con una altura máxima en la silla de montar entre 435 mm y 635 mm esta determinado en la ISO 8098.
4.21.1 Instrucciones de uso
Las bicicletas de juguete deben entregarse con instrucciones de ensamble y mantenimiento.
Se debe llamar la atención de los padres o adultos a cargo de los niños sobre los peligros potenciales de montar las bicicletas de juguete y las precauciones que se deben tomar (véase el literal C numeral 2.17 para guía).
4.21.2 Determinación de la máxima altura del sillín
El soporte del sillín debe tener una marca que indique la mínima profundidad de inserción del soporte en el marco. La marca debe estar ubicada a una distancia equivalente y no inferior a dos y media veces el diámetro del soporte desde la parte inferior del diámetro completo del soporte y no debe afectar la resistencia del soporte del sillín.
4.21.3 Requisitos de frenado
Las bicicletas de juguete provistas de un medio de movimiento libre de las ruedas conforme con lo especificado en el numeral 5.16.1 deben estar equipadas con un sistema de frenos que opere en la rueda trasera.
Para frenos manuales la dimensión de la palanca del freno, d, medida en el punto medio de la palanca como se ilustra en la Figura 12 no debe exceder los 60 mm. El rango de ajuste en las palancas ajustables debe permitir alcanzar esta dimensión. La longitud de la palanca (l) debe ser de 80 mm como mínimo.
Cuando se ensaya conforme con lo especificado en el numeral 5.16.3 (desempeño de los frenos en bicicletas de juguete), el juguete no debe moverse más de 5 cm.
Dimensiones en mm

1 d punto medio de la palanca
2 pivote a dimensión de la palanca del freno b longitud de la palanca,
Figura 12. Dimensiones de la palanca del freno manual.
4.22 Limitación de la velocidad de los juguetes eléctricos para montar (véase el literal E numeral 36)
Los juguetes eléctricos para montar deben tener una velocidad máxima de 8 km/h cuando se ensayan conforme se indica en el numeral 5.
4.23 Juguetes que contienen una fuente de calor
Este requisito no cubre los quemadores en juegos de instrumentos químicos u otros juegos experimentales relacionados, ni las bombillas y artículos similares.
Cuando se ensayan de acuerdo con lo indicado en el numeral 5.18 (determinación de los aumentos de temperatura):
a) Los juguetes que contienen una fuente de calor no deben hacer ignición al usarlos a la máxima entrada de energía;
b) El aumento de la temperatura de las manijas, perillas y partes similares que se puedan tocar con la mano no debe exceder los siguientes valores:
partes hechas de metal 25 K partes hechas de vidrio o porcelana 30 K partes hechas de plástico o madera 35 K c) El aumento de las temperaturas de otras partes accesibles del juguete no debe exceder los siguientes valores: partes hechas de metal 45 K partes hechas de otros materiales 55 K
4.24 Juguetes llenos de líquido (véase el literal E numeral 37)
Al completar cualquiera de los ensayos pertinentes conforme con lo especificado en el numeral 5, los juguetes que se llenan de líquido en los cuales el líquido no está accesible, se deben ensayar conforme se indica en el numeral 5.19 (fugas en los juguetes llenos de líquido) y no deben presentar fugas del contenido que puedan generar peligros potenciales.
Los juguetes para la dentición llenos de líquido deben llevar una marca de advertencia de no colocarlos en compartimientos congeladores (véase el literal C numeral 3.5 para guía).
4.25 Juguetes activados con la boca (véase el literal E. 38)
Los juguetes activados con la boca deben cumplir los siguientes requisitos:
a) Los juguetes activados con la boca y las piezas bucales removibles de estos no deben encajar completamente en el cilindro para partes pequeñas cuando se ensayan conforme se indica en el numeral 5.2 (ensayos de partes pequeñas);
b) Las piezas bucales no desprendibles de los juguetes activados con la boca, si se separan al ensayarlas conforme con lo especificado en el numeral 5.25.4 (ensayo de torsión) y en el numeral 5.25.5.1 (ensayo de tensión - generalidades), no deben encajar completamente en el cilindro para partes pequeñas cuando se ensayan como indica el numeral 5.2;
c) Los juguetes activados con la boca que contienen componentes no fijos, tales como las esferas de un silbato o la lengüeta de un instrumento musical, cuando se ensayan de acuerdo con lo indicado en el numeral 5.20 (durabilidad de los juguetes activados con la boca) no deben liberar objetos que encajen completamente en el cilindro para partes pequeñas cuando se ensayan conforme indica el numeral 5.2;
d) Las piezas bucales removibles o no separables acondicionadas a los globos deben cumplir los requisitos de los literales a) y b) (véase también numeral 4.5.6).
4.26 Patines y patinetas para niños
Los patines y patinetas para niños son productos con un peso máximo de 20 Kg.
Los patines y patinetas para niños deben llevar una advertencia de que es necesario usar equipo protector (véase el literal C numeral 2.14 para guía).
4.27 Cápsulas de fulminantes (véase el literal E numeral 40)
Si se supone un uso razonablemente previsible, las cápsulas de fulminantes específicamente diseñadas para uso en juguetes no deben producir llamas, partes que destellen ni otros desechos que sean peligros potenciales para los ojos.
El empaque de las cápsulas de fulminantes debe llevar una advertencia (véase el literal C numeral 2.18 para guía).
5. Métodos de ensayo
5.1 Generalidades
Los métodos de ensayo especificados en este numeral se deben emplear para determinar la conformidad de los juguetes con los requisitos de esta norma.
Los ensayos que se encuentran en los numerales 5.2 a 5.23 se aplican a tipos particulares de juguetes, como se especifica en los requisitos del numeral 4.
El objetivo de los ensayos indicados en el numeral 5.24 es simular el abuso razonablemente previsible y el daño al cual se pueden ver sometidos los juguetes. Los métodos de ensayo son para uso en exposición a peligros potenciales que podrían generarse por el abuso razonablemente previsible y el daño a los juguetes destinados para niños.
Se han establecido ciertos métodos de ensayo para las siguientes edades:
– Desde el nacimiento hasta los 18 meses (inclusive).
– De 19 meses en adelante pero menos de 36 meses.
– De 36 meses en adelante pero menos de 96 meses.
Si mediante marcación, rotulado, publicidad o por algún otro medio se declara que un juguete está destinado para niños en edades que cubren más de uno de estos grupos de edad, el juguete se debe someter al ensayo con los requisitos más exigentes.
Si un juguete o su empaque no tiene claro y visible el rotulado que indica la edad para la cual está dirigido o, si se marca incorrectamente con base en factores como prácticas comerciales y patrones de costumbres de uso por parte de los niños y si está destinado o es apropiado para niños de hasta 96 meses de edad, también se debe someter a los requisitos de ensayo más exigentes.
Si durante el ensayo el juguete ha tenido materiales afectados, por ejemplo grapas o equipos de ensayo similares, se debe realizar un ensayo adicional con un juguete nuevo.
A menos que se especifique otra cosa en el método de ensayo, cada muestra se debe someter antes de los ensayos a una temperatura de 21 ºC ± 5 ºC por lo menos durante 4 h. Los juguetes textiles y los de relleno blando (peluches) se deben acondicionar a una temperatura de 21 ºC ± 5 ºC y humedad relativa de 65% ± 5% por lo menos durante 4 h.
Los ensayos para juguetes deben comenzar dentro de los 5 min. posteriores al momento en que el juguete se ha sacado de la atmósfera de acondicionamiento.
Si el empaque o las instrucciones de un juguete aparentemente destinado para ser ensamblados por un adulto y no destinado para que un niño lo desarme indican claramente que el artículo sólo debe ser ensamblado por un adulto, se debe ensayar sólo estando ensamblado.
En situaciones en que se puede aplicar un procedimiento de ensayo en más de una forma a un componente de ensayo de un juguete, se debe usar el punto (o dirección) de aplicación de la fuerza (o torsión) que produzca las condiciones más severas.
5.2 Ensayo de partes pequeñas (véanse los numerales 4.3.2 y 4.25).
Se coloca el juguete, sin comprimirlo y en cualquier orientación, en el cilindro que se ilustra en la Figura 13.
Dimensiones en mm

Figura 13. Cilindro para partes pequeñas.
Se repite el procedimiento con cualquier componente removible que tenga el juguete y si algún componente es liberado después del ensayo acordado en el numeral 5.24 (abusos previsibles durante la prueba de ensayo).
Se determina si el juguete o cualquier componente removible encaja completamente dentro del cilindro.
5.3 Ensayo para determinar la forma y tamaño de ciertos juguetes (véase el numeral 4.5.1)
a) Se coloca y se asegura la plantilla de ensayo A que se ilustra en la Figura 14 de manera que el eje de la ranura quede sustancialmente vertical y la ranura no tenga obstrucciones en las aberturas de la parte superior e inferior;
b) Se orienta el juguete por ensayar en una forma que pueda permitir su entrada en la ranura de la plantilla de ensayo se coloca el juguete en la ranura en la orientación declarada, de manera que la única fuerza que se ejerce sobre él sea la de su masa;
c) Se observa si el juguete pasa a través de la ranura o si alguna de las partes del juguete sobresale de la base de la plantilla de ensayo.
Se repite el procedimiento para juguetes que tengan extremos casi esféricos, hemisféricos o circulares acampanados, utilizando la plantilla complementaria B que se ilustra en la Figura 15, excepto que sólo los extremos esféricos, hemisféricos o circulares acampanados deben colocarse en la plantilla.
Dimensiones en mm

Figura 14. Plantilla de ensayo A

Figura 15. Plantilla complementaria de ensayo B 5.4 Ensayo para pelotas pequeñas (véase numeral 4.5.2)
Se coloca y se sujeta la plantilla de ensayo C que se ilustra en la Figura 16 de manera que el eje de la ranura quede sustancialmente vertical y la ranura no tenga obstrucciones en las aberturas de las partes superior e inferior.
Dimensiones en mm

Figura 16. Plantilla de ensayo C.
La pelota por ensayar se orienta en una posición que pueda permitir su entrada a través de la ranura en la plantilla de ensayo. Se coloca la pelota en la ranura de manera que la única fuerza que se ejerce sobre el juguete sea la fuerza debida a su masa.
Se observa si la pelota pasa completamente a través de la plantilla de ensayo.
5.5 Ensayo para pompones (véase el numeral 4.5.3)
Se coloca y se asegura la plantilla de ensayo C que se ilustra en la Figura 16 de manera que el eje de la ranura quede sustancialmente vertical y que no tenga obstrucciones en las aberturas de la parte superior e inferior.
Se orienta el pompón por ensayar en una posición que pueda permitir su entrada a través de la ranura en la plantilla de ensayo y se pone libre de las fibras dentro de la primera plantilla Se coloca el pompón en la ranura de manera que la única fuerza que se ejerce sobre el juguete sea la fuerza debida a su masa.
Determine si el pompón pasa completamente a través de la ranura de ensayo.
5.6 Ensayo de las figuras para juegos (véase el numeral 4.5.4)
Se coloca y se asegura la plantilla de ensayo complementaria B que se ilustra en la Figura 15 de manera que el eje de la ranura quede sustancialmente vertical y la ranura no tenga obstrucciones en las aberturas de la parte superior e inferior.
Se orienta la figura por ensayar en una posición que pueda permitir la entrada de su extremo redondeado en la ranura en la plantilla de ensayo. Se coloca el juguete en la ranura de manera que la única fuerza que se ejerce sobre él sea la fuerza debida a su masa.
Se observa si el juguete pasa completamente a través de la ranura de ensayo o si cualquiera de las partes del juguete sobresale de la base de la plantilla de ensayo.
5.7 Accesibilidad de una parte o componente (véanse los numerales 4.6, 4.7,. 4.13, 4.14 y 4.23)
5.7.1 Principio
Se mueve una sonda articulada hasta la parte o componente que se va a ensayar. Si cualquier parte delantera del collar hace contacto con la parte o componente, esa parte o componente se debe considerar accesible.
5.7.2 Aparatos sondas articuladas para determinar la accesibilidad, tal como se especifica en la Tabla 1 y se ilustra en la Figura 17, fabricadas de material rígido.
La tolerancia en las dimensiones debe ser ± 0,1 mm, excepto para f y g, que tienen una tolerancia de ± 1 mm.
Tabla 1
Dimensiones de las sondas de accesibilidad (véase la Figura 17)
| Clasificación por edad* | Sonda | Dimensiones en mm | ||||||
| (a) | b | c | d | e | f | g | ||
| Menos de 36 meses | A | 2,8 | 5,6 | 25,9 | 14,7 | 44,0 | 25,4 | 464,3 |
| De 36 meses en adelante | B | 4,3 | 8,6 | 38,4 | 19,3 | 57,9 | 38,1 | 451,6 |
* Se recomienda ensayar los juguetes destinados para niños con edades comprendidas en ambos grupos de edad utilizando ambas sondas.
Dimensiones en mm 1 puntos de pivote 2 collar 3 Hemisferio (a) 4 extensión

Figura 17. Sonda de accesibilidad.
5.7.3 Procedimiento
Se retiran todos los componentes del juguete que estén destinados para ser retirados sin utilizar herramientas.
Cuando una herramienta está destinada para utilizarla junto con el juguete, se recomienda retirar todos los componentes del juguete que se puedan extraer con ella.
Se procede de la siguiente manera maniobrando la sonda articulada de accesibilidad en cualquier forma conveniente hacia la parte o componente del juguete que se está ensayando.
Cada junta de la sonda se puede rotar hasta 90o para simular el movimiento de articulación.
Si es necesario se hace girar la sonda sobre el eje en cualquiera de sus juntas para que haga contacto con la parte o componente del juguete.
Nota. Cuando la parte sea una punta aguda que queda al lado de una superficie plana y el espacio vacío entre ellas sea de 0,5 mm o menos, la punta se considera no accesible y no es necesario llevar a cabo el procedimiento especificado en el literal b).
a) Para cualquier orificio, estría u otra abertura que tenga una dimensión menor (véase la Nota 3) más pequeña que el diámetro del collar de la sonda, se inserta la sonda de manera que la profundidad total de inserción para accesibilidad sea hasta el collar.
Nota 3. La dimensión menor de una abertura es el diámetro de la esfera más grande que pasa a través de ella;
b) Para cualquier orificio, estría u otra abertura que tenga una dimensión menor más grande que el diámetro del collar de la sonda A, pero menor que 187 mm cuando se usa la sonda A, o una dimensión menor más grande que el diámetro del collar de la sonda B pero menor que 230 mm cuando se usa la sonda B, la profundidad total de inserción para accesibilidad se determina insertando la sonda apropiada, con la extensión que indica la Figura 17, en cualquier dirección por hasta 2,25 veces la dimensión menor del orificio, estría o abertura, medida desde cualquier punto en el plano de la abertura;
c) Para cualquier orificio, estría u otra abertura que tenga una dimensión menor de 187 mm o más cuando se usa la sonda A, o una dimensión menor de 230 mm o más cuando se usa la sonda B, la profundidad total de inserción para accesibilidad no tiene restricción, a menos que se encuentren otros orificios, estrías o aberturas dentro del orificio, estría o abertura originales, que tengan dimensiones conformes con lo especificado en los literales a) o b) de este numeral; en tales casos se sigue el procedimiento del literal apropiado. Si se van a usar ambas sondas y la dimensión menor es 187 mm o más, esta dimensión determina el acceso irrestricto.
Determine si es posible que una porción delantera del collar de la sonda de accesibilidad haga contacto con una parte o componente ensayados.
5.8 Ensayo de bordes afilados (véanse numerales 4.6 y 4.9)
5.8.1 Principio
Se coloca una cinta adhesiva sobre un mandril que se hace girar luego en una sola revolución de 360o a lo largo del borde accesible que se está ensayando. Después se examina la cinta para determinar la longitud del corte.
5.8.2 Aparatos Deben ser como se ilustra en la Figura 18.
5.8.2.1 Mandril hecho de acero. La superficie de ensayo del mandril debe estar libre de rayones, picaduras o asperezas y debe tener una rugosidad de superficie Ra no mayor que 0,40 ím cuando se mide de acuerdo con lo especificado en la norma ISO 4287-2:1984. Esta superficie debe tener una dureza Rockwell no menor que 40, medida conforme especifica la norma ISO 6508. El diámetro del mandril debe ser de 9,35 mm ± 0,12 mm.
5.8.2.2 Dispositivo para hacer rotar el mandril y aplicarle fuerza. El dispositivo debe poder hacer girar el mandril a una velocidad tangencial constante de 23 mm/s ± 4 mm/s durante el 75% central de su recorrido de 360o; el inicio del movimiento y la detención del mandril deben ser suaves, sin movimientos bruscos. El dispositivo puede ser portátil o no y de cualquier diseño conveniente, debe poder aplicar una fuerza de hasta 6 N al mandril, perpendicular al eje de este.

Ángulo variable para encontrar el emplazamiento más desfavorable
1 Cualquier dispositivo apropiado que permita aplicar una fuerza conocida al mandril y provocar un movimiento de rotación.
2 Arrollamiento unido a la cinta adhesiva.
3 Angulo variable para encontrar el emplazamiento más desfavorable.
4 Mandril.
5 Borde debajo del ensayo.
Figura 18. Aparato para ensayo de borde.
5.8.2.3 cinta de politetrafluoretileno (PTFE) sensible a la presión. El espesor del respaldo de politetrafluoretileno debe estar entre 0,066 mm y 0,090 mm. El adhesivo debe ser un polímero de silicona sensible a la presión con un espesor nominal de 0,08 mm. El ancho de la cinta no debe ser menor que 6 mm.
5.8.6 Procedimiento por el método descrito en el numeral 5.7 (accesibilidad de una parte o componente) se determina si el borde por ensayar es accesible.
Se sostiene el juguete de tal manera que el borde accesible por ensayar no se doble o se mueva cuando se aplica la fuerza del mandril. Se asegura que el soporte no esté a menos de 15 mm del borde por ensayar.
Si una parte del juguete se ha retirado o desensamblado para ensayar un borde particular y, como resultado, la rigidez del borde en ensayo se ha visto afectada, se sostiene ese borde de manera que su rigidez se aproxime a la del borde en el juguete ensamblado.
Se envuelve el mandril con una capa de cinta para obtener suficiente área donde realizar el ensayo.
Se coloca el mandril con la cinta de modo que su eje forme un ángulo de 90o ± 5o con la línea de un borde recto, o 90o ± 5o con una tangente en el punto de ensayo de un borde curvo y la cinta haga contacto con la parte más afilada del borde (es decir, la peor situación) cuando se rota el mandril a una revolución completa (véase la Figura 18).
Se aplica una fuerza de (6+0,0 -0.5 )N al mandril a 3 mm del borde principal de la cinta y se hace rotar el mandril 360o alrededor de su eje, asegurando que no ocurra movimiento relativo entre el mandril y el borde durante la rotación del mandril. Si este procedimiento hace que el borde se doble, se aplica la máxima fuerza que no lo haga doblar.
Se retira la cinta del mandril sin agrandar ningún corte o causar una incisión en la cinta que pueda convertirse en corte. Se mide la longitud de la cinta cortada, incluso cualquier corte intermitente. Se mide la longitud de la cinta que ha hecho contacto con el borde durante el ensayo. Calcula el porcentaje de longitud de la cinta que se ha cortado durante el ensayo.
Si es mayor que 50% de la longitud de contacto, el borde es potencialmente peligroso y se identifica como agudo.
5.9 Ensayo de puntas agudas (véanse numerales 4.7 y 4.9)
5.9.1 Principio
Se aplica un probador de puntas a una punta aguda accesible y se observa si la punta en ensayo penetra o no una distancia especificada en el probador de puntas agudas. A la prueba de penetración del punto que se le está determinando la agudeza del punto de contacto de una cadena sensora que esté a una distancia de 0,38 mm ± 0,02 mm por debajo del casquillo del extremo puede mover la cabeza sensora una distancia adicional de 0.12 mm ± 0.02 mm de un resorte de retorno, este punto se debe identificar como potencialmente agudo.
5.9.2 Equipos
Probador de puntas (por ejemplo el que se ilustra en la Figura 19) Una abertura rectangular que mida 1,02 mm ± 0,02 mm de ancho por 1,15 mm ± 0,02 mm de longitud en el extremo de la tapa ranurada establece dos dimensiones de referencia.
Se hace una estría en la cabeza sensora a 0,38 mm ± 0,02 mm abajo de la tapa. Hay una distancia de 0,12 mm ± 0,02 mm entre ella y un resorte de retorno con una fuerza de (250 -0,3)N.

1- Ranura de calibración
2- Tapa de calibración
3- Cabeza sensora
4- Resorte de carga
5- Anillo de seguridad
6- Barril
7- Marca de referencia del ajuste
8- Divisiones del micrómetro
9- Celda seca R03
10- Resorte de contacto eléctrico
11- Ensamble de lámpara indicadora y tuerca adaptadora
12- Punta de ensayo
13- El espacio vacío se cierra al insertar suficientemente la punta aguda para que pase a través de la ranura de calibración y presione la cabeza sensora 0,12 mm. De este modo el circuito eléctrico se completa y la lámpara indicadora se enciende - la punta aguda falla en el ensayo.
Figura 19. Probador de puntas
5.9.3 Procedimiento
Se determina si la punta por ensayar es accesible por el método descrito en el numeral 5.7 (accesibilidad de una parte o componente).
Se sostiene el juguete por ensayar de modo que la punta no se mueva durante el ensayo.
En la mayoría de los casos no es necesario sostener la punta directamente; sin embargo, si es necesario, se sostiene a una distancia no menor que 6 mm de la punta por ensayar.
Si se debe retirar o desensamblar parte del juguete para ensayar una punta particular y, como resultado, la rigidez de la punta en ensayo se ve afectada, se sostiene la punta de manera que su rigidez sea aproximadamente igual a la de la punta en el juguete ensamblado.
Se ajusta el probador de punta aflojando el anillo de seguridad y rotándolo de manera que se mueva hacia el ensamble de la lámpara indicadora una distancia suficiente para exponer la marca de calibración de referencia sobre el barril. Se hace rotar la tapa de calibración en sentido horario hasta que la lámpara indicadora se encienda. Se gira la tapa en sentido antihorario hasta que la cabeza sensora se mueva una distancia de 0,12 mm ± 0,02 mm desde el punto de contacto con la celda seca, como ilustra la Figura 19.
Nota. Cuando la tapa de calibración incluye marcas micrométricas, la distancia se puede alcanzar fácilmente rotando la tapa en sentido antihorario hasta que la marca apropiada del micrómetro corresponda con la marca de calibración de referencia. La tapa de calibración se puede asegurar entonces en esta posición rotando el anillo de seguridad hasta que esté firmemente encajado contra la tapa.
Se inserta la punta, en la dirección más inconveniente, en la ranura de la tapa y se aplica una fuerza de 4,5 N para comprimir el resorte lo más posible sin recortar la punta en los bordes de la ranura o extruirla a través de la ranura. Si la punta en ensayo penetra una distancia de 0,50 mm o más en la ranura de calibración haciendo que la lámpara se encienda y mantiene su forma original mientras está bajo una fuerza de 4,5 N, se considera como una punta aguda.
5.10 Determinación del espesor de la película y lámina plástica (véase el numeral 4.10)
Se preparan bolsas plásticas cortando los bordes, sin estirarlos, en dos láminas individuales.
Con un dispositivo de medición capaz de medir el espesor con una exactitud de 1 ím de acuerdo con lo especificado en la norma ISO 4593, se mide el espesor de cualquier lámina en 10 puntos equidistantes a través de la diagonal de un área de 100 mm x 100 mm.
Determine si el grosor cumple con los requerimientos.
5.11 Ensayo para cables 5.11.1 Determinación del espesor del cable (véase el numeral 4.11.1)
Se tensiona el cable en ensayo con una fuerza de 25 N ± 2 N.
Se mide el espesor del cable en entre tres y cinco sitios en toda su longitud con un dispositivo que tenga una exactitud de ± 0,1 mm. Para cables con un espesor aproximado de 1,5 mm se usa un método de no compresión, por ejemplo, un proyector óptico.
Se calcula el espesor promedio del cable.
Determine si el grosor cumple con los requerimientos.
5.11.2 Cables de halar auto-retráctiles (véase el numeral 4.11.2)
Con un elemento de fijación adecuado se coloca el juguete de forma que el cable vertical y el juguete queden en la posición más favorable para la retracción. Se extiende el cable completamente y se le anexa una masa de (0,9+0,05 0,0) kg.
Para cables unifilares con diámetro menor que 2 mm se usa una masa de (0,45+0,05 0,0) kg.
Se determina si el cable se retrae más de 6,4 mm.
5.11.3 Receptividad eléctrica de los cables (véase el numeral 4.11.7)
Se acondicionan las muestras por 7 h como mínimo a una temperatura de 25 ºC ± 3 ºC y una humedad relativa de 50% a 65% y se lleva a cabo el ensayo en esta atmósfera.
Se determina la resistencia eléctrica utilizando un artefacto apropiado.
Usando un equipo apropiado se determina si la resistencia eléctrica es de más de 8 ú/cm
5.12 Ensayos de estabilidad y sobrecarga (véase el numeral 4.15)
5.12.1 General
Cuando el juguete está destinado para soportar la masa de más de un niño a la vez, se ensayan simultáneamente todas las sillas o áreas para estar de pies.
5.12.2 Ensayo de estabilidad, pies disponibles para estabilización (véase el numeral 4.15.1.1)
Se coloca el juguete sobre una superficie lisa, inclinado en un ángulo de 10o+0,5o 0,0o con el plano horizontal.
Se gira el mecanismo de dirección, si lo hay, a una posición en la cual sea más probable que se pueda ladear el juguete. Se traban las ruedas para restringir la rotación pero se deja que las ruedecillas (casters) asuman su posición natural antes de aplicar las trabas.
La superficie del juguete destinada para pararse o sentarse se carga con la masa apropiada de acuerdo con lo indicado en la Tabla 2.
Tabla 2
Carga para ensayo de estabilidad
| Grupo de edades | Carga, kg |
| Menos de 36 meses | 25 ± 0,2 |
| De 36 meses en adelante | 50 ± 05 |
Se observa si el juguete se ladea en 1 min.
La carga se debe aplicar de manera que el eje principal esté perpendicular a la horizontal real mientras el juguete está en la inclinación especificada. La carga se debe diseñar de manera que la altura de su centro de gravedad esté 220 mm ± 10 mm arriba de la superficie del asiento. Para todos los juguetes de montar, el centro de gravedad de la carga se debe asegurar 43 mm ± 3 mm atrás de la posición delantera del área designada para sentarse, y 43 mm ± 3 mm adelante de la posición posterior del área designada para sentarse (nota: dos ensayos separados). Si no hay un área designada para sentarse, la carga se debe colocar en la posición más desfavorable que sea razonable esperar que el niño escogerá.
5.12.3 Ensayo de estabilidad, pies no disponibles para estabilización (véase numeral 4.15.1.2)
Se realiza el ensayo de acuerdo con lo indicado en el numeral 5.12.2 ensayo de estabilidad, pies disponibles para estabilización excepto que la pendiente debe estar inclinada 15o+0,5o 0,0o respecto al plano horizontal.
Se observa si el juguete se ladea en 1 min. Después de la aplicación de la carga. Se observa si el juguete se ladea en 1 min Después de la aplicación de la carga.
5.12.4 Ensayo de estabilidad anterior y posterior (véase el numeral 4.15.1.3)
Los juguetes de montar se deben ensayar con el timón, si lo tienen a) En posición hacia adelante;
b) En un ángulo de aproximadamente 45o a la izquierda de la posición hacia adelante;
c) En un ángulo de aproximadamente 45o a la derecha de la posición hacia adelante.
Para caballos mecedores se desplaza el juguete al límite del arco.
Se coloca el juguete en la pendiente de una superficie lisa inclinada 15o+0,5o
0,0o respecto al plano horizontal. El juguete se ensaya tanto hacia arriba como hacia abajo en la pendiente.
Se carga el juguete como se indica en el numeral 5.12.1 (ensayo de estabilidad, pies disponibles para estabilización).
Se observa si el juguete se ladea en 1 min.
5.12.5 Ensayo de sobrecarga para juguetes de montar y sillas de juguete (véase el numeral 4.15.2):
Se coloca el juguete sobre un plano horizontal.
Sobre la superficie del juguete destinada para pararse o sentarse se carga la masa apropiada de acuerdo con lo indicado en la Tabla 3.
Tabla 3
Cargas para ensayo de sobrecarga
| Grupo de edades | Carga, kg |
| Menos de 36 meses incluyendo los de 36 meses | 35 ± 0,3 |
| De 37 meses a 96 meses incluyendo los de 96 meses | 80 ± 1,0 |
| 97 meses o más | 140 ± 2,0 |
El ensayo para determinar conformidad con los requisitos de sobrecarga se debe realizar de manera que sea consistente con la capacidad de peso que se anuncia comercialmente para el juguete, si esa cifra es más alta que la carga requerida de acuerdo con lo indicado en la Tabla 3.
Se observa si el juguete colapsa de manera que no cumpla los requisitos pertinentes de esta norma.
5.12.6 Ensayo de estabilidad de juguetes estacionarios de piso (véase numeral 4.15.3)
Se coloca el juguete sobre una pendiente de una superficie lisa inclinada 10o con el plano horizontal, con todas las partes móviles extendidas al máximo, hacia abajo en el lado de la pendiente.
Se observa si el juguete se ladea en 1 min.
5.13 Ensayo de cierres y tapas de baúles para juguetes ±(véase numeral 4.16.2)
5.13.1 Cierres
Con el cierre en posición cerrada se aplica una fuerza de 45 N ± 1,3 N en dirección hacia afuera al interior del cierre perpendicular al plano del cierre y en cualquier punto a 25 mm desde el centro geométrico del cierre.
Observe si el cerramiento se abre
5.13.2 Tapas de baúles para juguetes
El baúl para juguetes debe estar ensamblado de acuerdo con las instrucciones del fabricante.
5.13.2.1 Soporte de la tapa. Se levanta la tapa en cualquier posición de su arco de recorrido a una distancia mayor de 50 mm pero que no haga mover la tapa en un arco de más de 60o desde su posición totalmente cerrada, medidos en el borde más externo de la tapa.
Se suelta la tapa y se mide el movimiento de caída en un punto en el centro aproximado del borde más externo de la tapa.
Determine si el tipo de juguete o el mecanismo de soporte de la tapa cumple con los requisitos del numeral.
5.13.2.2 Ensayo de durabilidad para tapas de baúles para juguetes. Se somete la tapa a 7 000 ciclos de apertura y cierre. Un ciclo consiste en levantar la tapa desde su posición totalmente cerrada hasta la posición totalmente abierta y regresarla a la posición totalmente cerrada. Con el fin de evitar un esfuerzo indebido sobre los tornillos o elementos de fijación utilizados para asegurar el mecanismo de soporte de la tapa, se recomienda tener cuidado de no forzarla más allá de su arco normal de recorrido.
El tiempo para completar un ciclo debe ser aproximadamente 15 s. Los 7 000 ciclos se deben completar dentro de un tiempo de 72 h, después del cual se debe repetir el ensayo descrito en el numeral 5.13.2.1 (soporte de la tapa).
Determine si el soporte de la tapa del juguete y la tapa de soporte del mecanismo suave cumple con los requerimientos de 4.16.2.2.
5.14 Ensayo de impacto de juguetes que cubren la cara (véase numeral 4.17)
Se asegura el juguete firmemente en un medio de sujeción adecuado, con la parte que cubre la cara, o en el caso de los orificios para los ojos la parte que rodea los ojos, en un plano horizontal.
Se deja caer una esfera de acero de 16 mm de diámetro, con una masa de (15+0,8 0) g desde una altura de 130 cm ± 0,5 cm sobre la superficie superior horizontal del juguete en el área que cubriría los ojos en el uso normal. En el caso de juguetes con orificios para los ojos se hace impacto sobre el área que quedaría directamente adyacente a los ojos en uso normal.
La esfera se puede guiar pero sin restringir su caída, dejándola caer a través de un tubo perforado que se extienda hasta una distancia aproximada de 100 mm del juguete.
Determine si el juguete ha producido bordes peligrosos, puntas peligrosas o partes sueltas que puedan entrar en el ojo.
5.15 Energía cinética de los proyectiles, arcos y flechas (véase numeral 4.18)
5.15.1 Principio
Se calcula la energía cinética del juguete bajo condiciones normales. Se calcula la energía cinética a partir de la máxima de cinco lecturas de velocidad.
Si se entrega con el juguete más de un tipo de proyectil, se debe calcular la energía cinética de cada uno.
Para arcos, se usa una flecha destinada para el arco y se tensa la cuerda de este lo máximo que permita la flecha, pero no más de 70 cm.
5.15.2 Aparatos
5.15.2.1 Medio que sea capaz de determinar la velocidad para dar una energía cinética calculada con una exactitud de 0,005 J.
5.15.3 Procedimiento 5.15.3.1 Determinación de la energía cinética. La máxima energía cinética, Ek, del proyectil en vuelo libre se determina mediante la siguiente ecuación:
![]()
Donde:
m = es la masa del proyectil, en kilogramos
v = es la velocidad del proyectil, en metros por segundo
A = es el área de impacto del proyectil, en centímetros cuadrados
Ek área = es la máxima energía cinética por área de contacto, en julios por cm2.
Un método aceptable para determinar el área de contacto de un proyectil de punta flexible es aplicar un agente manchador o tinta adecuada (por ejemplo, azul de prusia) al proyectil, dispararlo en una superficie perpendicular a 300 mm ± 5 mm de distancia y medir el área de impresión residual. También, si es más apropiado, puede hacerse una impresión en la superficie de impacto (por ejemplo cubrirla con papel carbón) en lugar de hacerla en el proyectil.
a) Se aplica un agente manchador o tinta a la punta del proyectil. Se coloca una hoja de papel blanco limpio sobre un bloque de madera. Se sostiene la hoja plana contra el bloque; o El área de impacto se determina de la siguiente forma: soporte de tal forma que no se mueva al ser impactado.
Se coloca una hoja de papel blanco limpio entre el bloque de madera y una hoja de papel carbón (el lado del carbón contra el papel blanco). Se sostienen las hojas planas contra el bloque;
b) Se carga el proyectil por ensayar en el mecanismo de descarga. Se orienta el mecanismo cargado perpendicular a la superficie del bloque, con la punta del proyectil a 300 mm ± 5 mm del bloque. Si el mecanismo de descarga tiene más de una posición de ajuste de la velocidad, se ajusta a la máxima;
c) Se impulsa el proyectil hacia el papel;
d) Se mide el área de la imagen sobre el papel blanco. El área de impacto es el promedio de un mínimo de cinco mediciones;
e) Se calcula la máxima energía cinética por área de contacto.
5.16 Ensayo de medio de movimiento libre de las ruedas y desempeño de los frenos
5.16.1 Determinación del medio de movimiento libre de las ruedas (véase numeral 4.20 y 4.21.3)
Se carga el juguete como se indica en el numeral 5.12.2 (ensayo de estabilidad, pies disponibles para estabilización) con la masa apropiada indicada en la Tabla 2 y se apoya sobre un plano horizontal.
Se hala el juguete a una velocidad constante de 2 m/s ± 0,2 m/s sobre una superficie cubierta con un papel de aluminio P60 y se determina la máxima fuerza de halado.
El juguete no tiene movimiento libre de las ruedas si:

Donde F1 es la máxima fuerza de halado, en newtons, para un juguete destinado a niños menores de 36 meses;
F2 es la máxima fuerza de halado, en newtons, para un juguete destinado a niños mayores de 36 meses;
m es la masa del juguete, en kilogramos.
Nota. Si un juguete acelera bajando por una pendiente de 10o cuando está cargado con una masa de 50 kg, se puede esperar que tenga movimiento libre de las ruedas.
5.16.2 Desempeño de los frenos para juguetes de montar eléctricos o mecánicos distintos de bicicletas de juguete (véase numeral 4.20)
Se carga el juguete como indica el numeral 5.12.2 con la masa apropiada indicada en la Tabla 2 y se apoya sobre un plano inclinado a (10o+0,5º 0º) cubierto con una superficie de papel de aluminio P60, con su eje longitudinal paralelo al plano inclinado.
Se aplica una fuerza de 50 N ± 2 N en la dirección en la cual se acciona normalmente la manija del freno.
La fuerza se aplica a la manija en el punto en que normalmente se aplica en uso.
Si el freno se acciona con un pedal, se aplica una fuerza de 50 N ± 2 N al pedal en la dirección de operación para producir el efecto del freno.
Si el vehículo tiene varios frenos se ensaya cada uno por separado.
Determine si el juguete se mueve más de 5 cm después de haberle aplicado la fuerza a la palanca de freno.
5.16.3 Desempeño de los frenos de las bicicletas de juguete (véase el numeral 4.21)
Se carga la bicicleta con una masa de 50 kg ± 0,5 kg, cuyo centro de gravedad esté 150 mm arriba de la superficie sobre la cual se sienta el niño. Se coloca la bicicleta sobre un plano inclinado a (10o+0,5º 0,0º) con su eje longitudinal paralelo al plano inclinado.
Si el freno se acciona con una manija, se aplica una fuerza similar a la de la bicicleta de 30 N ± 2 N en ángulos rectos con el eje de la manija en el punto medio de esta.
Si el freno se acciona con un pedal, se aplica una fuerza de 50 N ± 2 N en la dirección de operación para producir el efecto del freno.
5.17 Determinación de la velocidad de los juguetes eléctricos de montar (véase el numeral 4.22)
Se carga el juguete en su posición normal, el niño sentado o de pies, con una masa de 25 kg ± 0,2 kg.
Se acciona el juguete sobre una superficie horizontal y se determina si el máximo de velocidad no supera los 8 km por hora.
5.18 Determinación de los aumentos de temperatura (véase numeral 4.23)
En una temperatura ambiente libre de corrientes atmosféricas de aire de 21ºC ± 5 ºC se acciona el juguete como indiquen las instrucciones de uso a la máxima entrada hasta que se alcance el equilibrio térmico.
Se mide la temperatura de las partes accesibles y se calculan los aumentos de temperatura.
Se observa si el juguete hace ignición.
5.19 Fugas en los juguetes llenos de líquido (véase numeral 4.24) Se acondiciona el juguete a una temperatura de 37 ºC ± 1 ºC por un mínimo de 4 h.
En un tiempo de 30 s después de haber retirado el juguete del acondicionamiento se aplica una fuerza de (5+0,5 0) N a la superficie externa del juguete a través de una aguja de acero con un diámetro de 1 mm ± 0,1 mm y con un radio de punta de 0,5 mm ± 0,05 mm.
La fuerza se aplica gradualmente en un período de 5 s y se mantiene por 5 s.
Después se examina el juguete para determinar si hay fuga del contenido. Para determinar la fuga se aplica papel con cloruro de cobalto sobre el área donde se aplica la fuerza mientras en otra parte se aplica compresión con una fuerza de (5+0,5 0) N, utilizando un medio adecuado diferente de una aguja.
El ensayo se repite después de acondicionar el juguete en una temperatura de 5 ºC ± 1 ºC por 4 h como mínimo.
Si se usa un líquido distinto del agua, se confirma la fuga utilizando otro medio adecuado.
Después de completar el ensayo se examina el juguete para determinar si hay fugas del contenido.
Nota. El papel de cloruro de cobalto no se debería utilizar después del ensayo a 5 ºC ya que la condensación puede dar resultados falsos.
5.20 Durabilidad de los juguetes activados con la boca (véase numeral 4.25)
Se conecta una bomba de pistón capaz de descargar y recibir más de 300 cm3 de aire en menos de 3 s a la pieza bucal del juguete. Se dispone una válvula de alivio para que la bomba no genere una presión positiva o negativa mayor que 13,8 kPa. Se somete el juguete, en 5 s, a 10 ciclos alternos de soplado y succión de 295 cm3 ± 10 cm3 de aire, como mínimo, incluido el volumen que se puede descargar a través de la válvula de alivio. Si la salida del aire es accesible, se asegura que lo anterior también se aplique a la salida.
Se determina si algún componente liberado encaja completamente en el cilindro para partes pequeñas cuando se ensaya conforme indica el numeral 5.2 (ensayo de partes pequeñas).
5.21 Materiales expansibles (véase el numeral 4.3.2)
Se acondiciona el juguete o componente a una temperatura de 21 ºC ± 5 ºC y humedad relativa de 65% ± 5% por 7 h antes del ensayo. Se miden las máximas dimensiones del juguete o componente removible en las direcciones x, y y z utilizando un calibrador.
Se sumerge el juguete completamente en un recipiente con agua desmineralizada a 21 ºC ± 5 ºC por 24 h ± 0,5 h. Se debe estar seguro de utilizar el exceso de agua, es decir, que no quede agua sobrante al final del ensayo.
Se retira el artículo con un par de pinzas. Si no se puede retirar debido a su insuficiente resistencia mecánica se completa con los requerimientos de 4.3.2.
Se deja drenar el exceso de agua por 1 min y se vuelve a medir el artículo.
Se calcula la expansión en las dimensiones x, y y z como un porcentaje de la medición original.
Se determina si el ítem cumple con los requerimientos del 4.3.2.
5.22 Mecanismos de plegado o deslizamiento
5.22.1 Cargas
Se carga el juguete con una masa de 50 kg ± 0,5 kg.
Para juguetes destinados a niños menores de 36 meses se carga el juguete con una masa de 25 kg ± 0,2 kg.
5.22.2 Sillas de empujar para bebé y cochecitos paseadores de juguete
Se preacondiciona el juguete enderezándolo y plegándolo 10 veces.
a) Sillas de empujar para bebé y cochecitos paseadores de juguete cubiertos por el objeto del numeral 4.12.1a):
Se endereza el juguete sobre una superficie horizontal con los dispositivos de seguro engranados y se carga con la masa apropiada especificada en el numeral 5.22.1, asegurándose de que el marco soporte la carga. Cuando sea necesario, se usa un soporte adecuado para asegurar que el material de la silla no se dañe. Se aplica la carga al marco en la posición menos favorable con respecto a las partes plegables. Se aplica la carga pareja en 5 s y se mantiene por 5 min.
Se examina si es posible enderezar parcialmente el juguete sin engranar uno de los dispositivos de seguro. Si lo es, también se carga el juguete como se indicó anteriormente en la posición parcialmente erguido.
Si la silla se puede separar del chasis, el ensayo también se debe llevar a cabo en el chasis solamente, utilizando un soporte conveniente para la masa de ensayo.
Determine si el juguete colapsa y si los dispositivos de seguro estén funcionando y engranando b) Sillas de empujar para bebé y cochecitos paseadores de juguete cubiertos por el objeto del numeral 4.12.1b):
Se endereza el juguete sobre una superficie horizontal con los dispositivos de seguridad engranados y se carga con la masa apropiada en 5.22.1, asegurándose de que el marco la soporte. Cuando sea necesario se usa un soporte conveniente para asegurar que el material de la silla no se dañe. Se aplica la carga al marco en la posición menos favorable con respecto a las partes plegables. Se aplica la carga uniformemente en 5 s y se mantiene por 5 min.
Se examina si es posible enderezar parcialmente el juguete sin engranar los dispositivos de seguro. Si lo es, el juguete se carga en la posición parcialmente erguido.
Se observa si el juguete colapsa y si los dispositivos de seguro o el tope de seguridad están funcionando y engranados.
5.22.3 Otros juguetes con mecanismos de plegado
a) Se endereza el juguete. Se levanta y se observa si el dispositivo de seguro se desengrana cuando se inclina el juguete en un ángulo de 30o ± 1o respecto al plano horizontal;
b) Se endereza el juguete y se coloca sobre una superficie inclinada (10o+0,5º 0,0º) y en la orientación menos favorable con respecto a las partes plegables. Se engrana el dispositivo de seguro. Se carga el juguete por 5 min. con la masa apropiada especificada en el numeral 5.22.1. Se aplica la carga donde sea posible que el niño se siente y en la posición menos favorable con respecto a las partes plegables. Se asegura que el marco soporte la carga. Cuando sea necesario se usa un soporte para asegurar que el material de la silla no se dañe.
Determine si el juguete colapsa o si el mecanismo de seguro se desengancha.
5.23 Juguetes lavables (véase el numeral 4.1)
Determine si la masa de cada juguete al comienzo del ensayo:
Se somete el juguete a seis ciclos en lavadora y secadora, a menos que el fabricante del juguete especifique un método diferente mediante una etiqueta permanente.
Para este ensayo se puede usar cualquier detergente disponible comercialmente destinado para uso en el hogar.
Nota 1. Se debe tomar en consideración los tipos específicos de máquinas lavadoras (de carga superior o frontal) que se usan en el país donde se espera vender el juguete.
El peso de cada juguete se determina antes de empezar el ensayo.
Lave los juguetes, más una carga simulada de ropa suficiente para elevar el peso seco total a un mínimo de 1,8 kg, se lavan en una lavadora automática en la posición de agua “tibia” y un ciclo de lavado de aproximadamente 12 min. en la posición “normal”.
Seque los juguetes y la carga simulada se secan en una secadora automática en la posición “tibio” o se exponen al aire hasta que toda la carga esté seca.
Nota 2. Para posiciones equivalentes en otros tipos de máquinas “tibio” equivale aproximadamente a 40 ºC y una carga “normal” es para un tamaño promedio de acuerdo con la máquina que se esté utilizando.
El juguete se debe considerar seco cuando el peso final no excede el peso seco original en más de 10%.
Determine si el juguete cumple con los requerimientos de la cláusula 4.
5.24 Ensayos de abuso razonablemente previsible (véase el numeral 4.2)
5.24.1 General
Los ensayos indicados en este numeral tienen el propósito de simular situaciones en que puede ocurrir daño a un juguete como resultado del abuso razonablemente previsible.
A menos que se declare otra cosa, estos ensayos sólo son aplicables a juguetes destinados para niños menores de 96 meses.
Después de completar cada uno de los ensayos apropiados se examina el juguete para determinar posibles peligros y si sigue cumpliendo los requisitos pertinentes de esta norma.
5.24.2 Ensayo de caída
Excepto por los juguetes cubiertos por el objeto del numeral 5.25.2 (ensayo de vuelco para juguetes grandes y voluminosos), los juguetes que se encuentran dentro de los límites de peso indicados en la Tabla 4 se dejan caer en un área de impacto especificada. El número de veces que el juguete se deje caer y la altura desde la cual cae se determinan también con base en la Tabla 4. El juguete se deja caer en orientación aleatoria.
La superficie de impacto debe consistir en una baldosa compuesta, de vinilo, con un espesor nominal aproximado de 3 mm, sobre una superficie de concreto de aproximadamente 64 mm de espesor. La baldosa debe tener una dureza Shore “A” de 80 ± 10 y el área de impacto debe ser como mínimo de 0,3 m2.
Para juguetes que operan con pilas, se colocan las pilas recomendadas en su lugar durante el ensayo de caída. Si no se recomienda un tipo de pila específico, se debe usar la más pesada que se consiga.
Tabla 4
Ensayo de caída
| Grupo de edades | Criterio de peso | Número de caídas | Altura de la caída, cm |
| Menos de 19 meses | <1 | 10 | 138 ± 5 |
| De 19 meses a 96 meses | <4 | 4 | 93 ± 5 |
Después de cada caída se deja el juguete en reposo y se examina para evaluarlo antes de continuar.
5.24.3 Ensayo de volcado para juguetes grandes y voluminosos.
Los juguetes grandes y voluminosos no se deben someter al ensayo especificado en el numeral 5.24.2 (ensayo de caída) sino que se ensayan conforme al siguiente procedimiento:
Se ensaya el juguete volcándolo tres veces, una de las cuales es en la peor situación, empujándolo lentamente por su centro de balance sobre el medio de impacto descrito en el numeral 5.24.2 (ensayo de caída).
Después de cada volcadura se deja en reposo el juguete y se examina para evaluarlo antes de continuar.
Determine si continúa conforme a los requerimientos de la cláusula 4.
5.24.4 Ensayo dinámico de resistencia para juguetes de montar con ruedas
Se carga el juguete en la posición más inconveniente aplicando la masa apropiada de acuerdo con lo especificado en la Tabla 2 sobre la superficie en que se sienta o se para el niño.
La carga se asegura al juguete en una posición correspondiente al uso normal del mismo.
Se conduce el juguete tres veces a una velocidad de 2 m/s ± 0,2 m/s en un escalón no flexible de una altura de 50 mm de altura.
Si el juguete está destinado para soportar la masa de más de un niño a la vez, se ensayan simultáneamente las áreas destinadas para sentarse o pararse.
Determine si el juguete continúa conforme a los requerimientos relevantes de la cláusula 4.
5.24.5 Ensayo de torsión
Cualquier juguete que tenga una proyección, parte o ensamble que un niño pueda agarrar al menos con el pulgar y el índice o con los dientes se debe someter a este ensayo:
Se coloca el juguete rígido en cualquier posición razonable para ensayo. Se aplica un medio de sujeción que pueda sostener el componente en ensayo firmemente y transmitirle una fuerza de torsión.
Utilizando un calibrador de torsión o una llave de torque se aplica un torque de 0,45 Nm ± 0,02 Nm en sentido horario hasta que:
a) Se haya logrado una rotación de 180o desde la posición original, b) O, se alcance la torsión requerida.
Se aplica la máxima rotación o torque requerido de manera uniforme en un período de 5 s y se mantiene por otros 10 s. Luego se retira el torque y se deja que el componente en ensayo regrese a una condición relajada.
Se repite el procedimiento en sentido anti-horario.
Las proyecciones, partes o ensambles montados rígidamente sobre una varilla o eje accesible diseñado para rotar a lo largo de las proyecciones, partes o ensambles, se deben ensayar con la varilla o eje asegurado para impedir la rotación.
Si un componente que se une con un tornillo roscado el cual ha sido ensamblado por el fabricante o de acuerdo con las instrucciones que él indica, se afloja durante la aplicación del torque requerido, se continúa aplicando el torque hasta que se exceda el valor requerido o la parte se desensamble. Si es obvio que la parte en ensayo seguirá rotando a menos del límite de torque requerido y no se va a desensamblar, se aconseja terminar el ensayo.
Si la parte se desensambla y expone un componente accesible que puede ser agarrado como se anotó anteriormente, se repite el ensayo en el componente.
Determine si el juguete continúa conforme a los requerimientos relevantes de la cláusula 4.
5.24.6 Ensayo de tensión
5.24.6.1 Procedimiento general. Cualquier juguete con una proyección, parte o ensamble que un niño pueda agarrar al menos con el pulgar y el índice o con los dientes se debe someter a este ensayo. El ensayo de tensión se lleva a cabo en los mismos componentes del juguete sometidos al ensayo de torsión.
Se emplea un medio de sujeción capaz de aplicar la carga de tensión al componente en ensayo de manera que no afecte la integridad estructural del medio de unión entre el componente y el juguete. El dispositivo de carga debe ser un calibrador auto-indicador u otro medio apropiado que tenga una exactitud de ± 2 N. Con la muestra de ensayo asegurada en una posición conveniente se debe fijar un medio de sujeción apropiado al objeto de ensayo o componente.
Se aplica una fuerza de 70 N ± 2 N paralela al eje principal del componente de ensayo de manera uniforme en un período de 5 s y se mantiene por 10 s.
El medio de sujeción se retira y se fija al objeto de ensayo un segundo medio de sujeción apto para aplicar una carga de tensión perpendicularmente al eje principal del componente de ensayo.
Se aplica una fuerza de 70 N ± 2N perpendicularmente al eje principal del componente de ensayo de manera uniforme en un período de 5 s y se mantiene por 10 s.
Determine si el juguete continúa conforme a los requerimientos relevantes de la cláusula 4.
5.24.6.2 Ensayo de tensión para costuras en juguetes de relleno blando (peluches) y juguetes tipo “bolsita de fríjoles” (beanbag).
Para las costuras de los juguetes de relleno blando (peluches) o bolsitas de fríjoles, fabricados con material flexible con costuras (incluidas, sin limitarse a ellas, las costuras hechas con puntadas, engomadas, selladas al calor o con soldadura ultrasónica) deben someterse a un ensayo de tensión separado.
Los medios de sujeción que se usen para asir el material de cada lado de la costura por ensayar deben tener mordazas a las cuales van unidas arandelas de 19 mm de diámetro (véase la Figura 24).
Los medios de sujeción se fijan al material de cobertura del juguete de peluche completamente ensamblado de manera que el diámetro externo de la arandela de 19 mm en el punto más cercano a las costuras quede cerca, pero no a menos de 13 mm, del borde de la costura.
< GRÁFICA NO INCLUIDA. VER ORIGINAL EN Diario Oficial No. 46.751 de 14 de septiembre de 2007 EN LA CARPETA “ANEXOS” O EN LA PÁGINA WEB www.imprenta.gov.co >
1 Discos planos
Figura 20. Medio de sujeción para costuras.
Se aplica uniformemente una fuerza de 70 N ± 2 N en 5 s y se mantiene por 10 s.
Si el material adyacente a la costura no se puede asir entre el pulgar y el índice de la persona que realiza el ensayo lo suficiente para asegurarlo con las arandelas de 19 mm de la mordaza, no se debe realizar este ensayo. En tal caso, en lugar del ensayo de la costura se somete un brazo, pierna u otra parte del juguete al ensayo de torsión indicado en el numeral 5.25.4 y al ensayo de tensión –generalidades– indicado en el numeral 5.24.6.1.
Determine si el juguete continúa conforme a los requerimientos relevantes de la cláusula 4.
5.24.6.3 Ensayo de tensión para pompones (véase el numeral 4.5.3). Los pompones se someten al ensayo indicado en el numeral 5.25.4 (ensayo de torsión) y al de tensión que se describe en este numeral.
Los medios de sujeción que se usan para asir el material por ensayar deben tener mordazas a las cuales se fijan arandelas de 19 mm de diámetro (véase la Figura 24). Uno de los medios de sujeción se debe fijar al pompón y el otro al material de base.
Se aplica uniformemente una fuerza de 70 N ± 2 N en 5 s y se mantiene por 10 s.
Determine si el juguete continúa conforme a los requerimientos relevantes de la cláusula 4.
5.24.6.4 Ensayo de tensión para componentes protectores (véanse los numerales 4.8 y 4.18.1). Se somete la parte por ensayar a una fuerza de tracción de 70 N ± 2 N de manera uniforme en un período de 5 s y se mantiene por 10 s.
Determine si el juguete continúa conforme a los requerimientos relevantes de la cláusula 4.
5.24.7 Ensayo de compresión
Cualquier área de la superficie del juguete que sea accesible a un niño y no accesible al contacto con una superficie plana cuando se ensaya conforme indica el numeral 5.24.1 (ensayo de caída) se debe someter a este ensayo.
La fuerza de compresión se determina a partir de la Tabla 5 de acuerdo con el grupo de edades para el cual está destinado el juguete.
El dispositivo de carga debe ser un disco de metal rígido de 30 mm ± 1,5 mm de diámetro y 10 mm de espesor como mínimo. El perímetro del disco se debe redondear en un radio de 0,8 mm para eliminar los bordes irregulares.
Se asegura el disco a una escala de compresión apropiada que tenga una exactitud de ± 2 N.
Se coloca el juguete sobre una superficie plana y dura en cualquier posición conveniente.
Se coloca el disco de forma que la superficie plana de contacto esté paralela a la superficie en ensayo.
Se aplica de manera uniforme la fuerza requerida en 5 s a todo el disco y se mantiene por 10 s.
Tabla 5
Fuerza de compresión
| Categoría de edad | Fuerza de compresión, N |
| Menos de 36 meses | 113,5 ± 2,0 |
| De 36 meses a 96 meses | 135,7 ± 2,0 |
5.27.8 Ensayo de flexión (véase el numeral 4.9)
Este ensayo aplica para metales y es para determinar la conformidad con los requisitos para alambres o varillas que se utilizan como esqueletos flexibles.
Se asegura el juguete en un aparato de sujeción con mordazas equipado con protectores fabricados de acero laminado en frío de 1,7 mm ± 0,1 mm u otro material similar y que tenga un radio interno de 10 mm ± 0,5 mm como ilustra la Figura 25.
Se dobla el componente en un arco de 60o mediante una fuerza de 70 N ± 2 N, aplicada perpendicularmente al eje principal del componente en un punto a 50 mm de la intersección del componente con el cuerpo principal del juguete. Si el componente tiene una longitud menor que 50 mm, se aplica la fuerza en el extremo del alambre.
El componente se dobla luego en la dirección inversa en un arco de 120o. Este proceso se repite por 30 ciclos a una velocidad de un ciclo por 2 s con un período de descanso de 60 s que debe tener lugar cada 10 ciclos. Dos doblamientos en arcos de 120o constituyen un ciclo.
Dimensiones en mm

Figura 21. Probador de flexión.
A.1 Definición de juguete operado con pilas
Estos requisitos son específicos para los juguetes operados con pilas y tienen relación con los riesgos de lesiones asociados con el sobrecalentamiento, fugas, explosión e incendio de las pilas, y con el peligro de ahogarse o tragarse una de estas. También se exigen para cumplir todos los requisitos mecánicos y físicos.
A.2 Requisitos específicos
A.2.1 El compartimiento para las pilas o el área inmediatamente adyacente deben llevar una marca permanente que indique la polaridad y voltaje de las pilas. Si el fabricante decide que no es práctico marcar esta información en el juguete, se puede colocar en las instrucciones.
A.2.2 No debe ser posible cargar pilas recargables cuando están dentro del juguete. Sin embargo, se permite cargarlas bajo las siguientes condiciones:
a) Si son para juguetes con una masa menor que 5 kg, que no sea posible:
– Retirar la pila sin romper el juguete.
– Cargar otras pilas con energía del juguete;
b) Si son para juguetes con una masa de 5 kg o más:
– Que la pila esté fija en el juguete.
– Que se proporcionen medios de conexión que garanticen la polaridad correcta al cargar la pila y que no sea posible accionar el juguete durante la carga.
A.2.3 Para juguetes destinados a niños menores de 36 meses de edad ninguna pila debe ser accesible sin el uso de una herramienta o después de haber aplicado simultáneamente dos movimientos independientes, como mínimo, al compartimiento para las pilas.
Las pilas no deben ser accesibles cuando los ensayos indicados en el numeral 5.7 de esta norma.
El ensayo se lleva a cabo con las pilas recomendadas instaladas.
A.2.4 Para todos los juguetes, las pilas que son partes pequeñas, cuando se ensayan conforme especifica el numeral 5.2 (ensayo para partes pequeñas) de esta norma, no deben ser accesibles sin ayuda de una herramienta o después de haber aplicado al menos dos movimientos independientes simultáneamente al compartimiento para las pilas.
Las pilas no deben ser accesibles antes y después de los ensayos conforme indica el numeral 5 de esta norma.
El ensayo se lleva a cabo con las pilas recomendadas instaladas.
A.2.5 Los juguetes operados por pilas no deben recibir energía eléctrica que tenga una tensión nominal mayor que 24 V y ninguna parte accesible del juguete puede exceder de 24 V a.c. o d.c.
A.2.6 Las pilas de diferente tipo o capacidad no se deben mezclar dentro de ningún circuito eléctrico sencillo. En aplicaciones que requieran pilas con más de un tipo de capacidad para realizar diferentes funciones o en aplicaciones que requieran la combinación de corriente alterna y pilas primarias, cada circuito debe estar eléctricamente aislado para impedir el flujo de corriente entre circuitos individuales.
A.2.7 Durante el uso normal y abuso razonablemente previsible, incluidas las condiciones de motor ahogado y cortocircuito de los conductores accesibles, y después de haber retirado partes desprendibles, los juguetes operados por pilas deben cumplir los siguientes requisitos a), b) y c). El ensayo se termina después de 30 s si el juguete se debe mantener encendido con la mano o el pie. Sin embargo, sólo se aplica un cortocircuito si es posible hacer un puente en un aislamiento con un alambre de acero recto que tenga un diámetro de 0,5 mm y una longitud mínima de 25 mm:
a) El aumento en la temperatura de las manijas, perillas y partes similares que se puedan tocar con la mano durante el juego no debe exceder los siguientes valores:
– Partes de metal 25 K – Partes de vidrio o porcelana 30 K – Partes de plástico o madera 35 K b) El aumento en las temperaturas de otras partes accesibles del juguete no debe exceder los siguientes valores:
– Partes de metal 45 K – Partes de otros materiales 55 K Los ensayos de las pilas se deben realizar en un sitio libre de corrientes de aire, a una temperatura de 21oC ± 5 ºC.
c) Requerimientos adicionales – El compuesto sellante no debe escaparse.
– El juguete no debe emitir llamas o metal fundido.
– No debe producir gas venenoso o inflamable en cantidades peligrosas o cualquier otra sustancia peligrosa.
– No se debe acumular vapor en el juguete.
– Los cierres no se deben deformar hasta el punto de alterar la conformidad con esta norma.
– Las pilas no deben dejar escapar sustancias peligrosas o explotar.
– Los materiales no deben carbonizarse.
A.2.8 El aislamiento entre partes de diferente polaridad debe tener la resistencia mecánica adecuada para impedir las fallas durante el uso y abuso razonablemente previsible si es posible que un cortocircuito de las partes en cuestión cause la no conformidad con el requisito del numeral A.2.7.
A.2.9 Los circuitos eléctricos no deben hacer contacto eléctrico con ninguna parte de la pila excepto en las superficies terminales de contacto.
A.2.10 Los juguetes operados por pilas deben contener instrucciones cuando sea aplicable sobre el uso seguro de las pilas. Estas instrucciones deben contener un texto que avise al consumidor lo siguiente:
– Cómo retirar e insertar las pilas.
– No recargar las pilas no recargables.
– Se requiere supervisión de un adulto cuando se cargan las pilas recargables.
– No se deben mezclar pilas nuevas con gastadas o diferentes tipos de pilas.
– Las pilas agotadas se deben retirar del juguete.
– Los terminales de alimentación no se deben poner en cortocircuito.
DIRECTRICES PARA CLASIFICACIÓN POR EDADES.
B.1 Objeto
La buena práctica respecto a la clasificación por edades es importante para asegurar que los juguetes sean apropiados y seguros en las diferentes etapas del desarrollo físico y mental.
El rotulado según la edad tiene por objeto dar información en el punto de venta a los consumidores para la selección de los juguetes apropiados para los niños con respecto a las habilidades e intereses promedio de los diferentes grupos de edades y a aspectos de seguridad de los juguetes mismos.
Con estas directrices se pretende proveer las reflexiones y consideraciones necesarias para establecer recomendaciones significativas sobre la edad para productos de juguetes.
Otra información se puede complementar en (12).
B.2 Criterios para establecer los grados de edades
Se recomienda considerar los siguientes criterios al establecer la clasificación por edades para los juguetes. Aunque todos se deberían considerar en su totalidad, cada uno se puede valorar individualmente para llegar al grado de edad apropiado.
a) La capacidad física de un niño para manipular y jugar con los elementos específicos de un juguete.
Esto requiere entender la coordinación física, las capacidades de motricidad fina y gruesa, el tamaño y la fuerza disponibles en una determinada edad;
b) La capacidad mental de un niño para entender cómo usar el juguete (es decir, entender instrucciones, secuencias de operaciones, el objetivo del juguete).
Es importante considerar las habilidades mentales a determinada edad para tener un concepto que desafíe las capacidades y estimule el desarrollo futuro, pero sin frustrar al niño.
El logro no debería ser ni demasiado fácil ni demasiado difícil de alcanzar para el niño;
c) El juguete debe satisfacer las necesidades de juego y los intereses en diferentes niveles de desarrollo. Para asignar los grados de edad apropiados es importante entender los niveles de desarrollo e identificar los materiales y ambientes de juego que permiten mejorar cada etapa del desarrollo. Los intereses en el juego y las preferencias por los juguetes cambian rápidamente. Para que un juguete mejore el juego, obviamente debe atraer al usuario. En resumen, debe ser divertido.
B.3 Recursos para establecer los grados de edad
El uso de los siguientes recursos puede ayudar a guiar en el establecimiento de una clasificación por edades para los juguetes. Estos recursos no están organizados en un orden particular de importancia; todos se deberían tomar en consideración durante el proceso de clasificación por edades:
– Experiencia previa con el juguete o con uno similar en el mercado que indique aptitud para un grupo específico de edades.
– Materiales de referencia en mediciones comparativas del cuerpo y elementos de factores humanos.
– Recursos de referencia en pautas de desarrollo de los niños para establecer hitos en el desarrollo.
– Identificación de los rasgos del desarrollo que se deben mejorar / estimular dentro de ciertos intervalos de edades.
– Pericia de asesores externos, especialistas en desarrollo de los niños, médicos y psicólogos.
– Ensayo de modelos o prototipos con niños.
– Observación de los niveles de destreza en los niños cuando juegan.
– Búsqueda de opiniones de los padres.
– Interactuar con los niños y hacerles preguntas.
B.4 Consideraciones de seguridad en la clasificación por edades
B.4.1 Generalidades
Los juguetes deben ser seguros para los usuarios a los cuales están destinados. Una vez se ha determinado el nivel de habilidad, se debe adaptar el diseño para satisfacer los requisitos de esta norma asociados con el nivel de edad, es decir, un juguete apto para el nivel de habilidad e interés de un niño de dos años y que contenga partes pequeñas no se puede clasificar como apto para niños de tres años con el fin de evitar agrandar esas partes.
Los grados de edad son indicadores del desarrollo promedio que no necesariamente reflejan la idoneidad para los niños excepcionales. Los padres siguen siendo quienes mejor pueden juzgar si un niño está en una etapa apropiada de desarrollo para jugar de manera segura con un juguete particular.
B.4.2 Adecuación de juguetes para niños menores de tres años de edad
a) Una primera consideración debería ser el peligro potencial de ahogamiento y aspiración asociado con las partes pequeñas. Los niños menores de tres años son proclives a colocar objetos en su boca. Sin embargo, la propensión a poner objetos no comestibles en la boca no desaparece a la edad cronológica de tres años. Los siguientes juguetes son apropiados para niños menores de tres años de edad.
Juguetes compresibles, juguetes para la dentición, ejercitadores, gimnasios y móviles para cuna, juguetes destinados para fijarlos en una cuna, cochecito paseador, corral o carro para bebés, juguetes de halar y empujar, juguetes para golpear, bloques y juegos de apilar, juguetes para bañeras, piscinas inflables y arena, mecedoras en forma de caballitos y otras figuras, con resortes y de palo, carillones, pelotas y carruseles musicales, muñecos de resorte en caja de sorpresa, animales y otras figuras de peluche, de felpa y rellenos de plumas, juguetes, juegos y rompecabezas para preescolares, juguetes para montar, muñecas y figuras animales, carros, camiones y otros vehículos destinados para uso por parte de niños menores de tres años de edad;
b) A continuación se listan por clase de juguete algunas características que describen los juguetes preescolares apropiados para niños menores de tres años:
– Muñecas. muñecas de cuerpo blando o muñecas que representen personajes para alzar o abrazar, muñecas de peluche o “bolsitas de fríjoles”, muñecas de trapo o de paño de configuración simple (incluidos accesorios) y muñecas plásticas livianas de configuración pequeña y articulación limitada en las uniones de los miembros;
– Juguetes para bebé. Juguetes destinados para usarlos en una cuna o corral, para sostenerlos fácilmente en una mano pequeña, juguetes para agitar, agarrar, hacer sonar o abrazar.
– Vehículos de juguete. Carros, camiones, botes y trenes de forma simple y gruesa, decorados con colores primarios sin detalles o representaciones descriptivas extensas de una marca o modelo particular de vehículo y que requieren acciones simples como rodar, dejar caer, empujar y soltar.
– Juguetes de acción. Juguetes de acción simple para identificación de sonidos o dibujos y juguetes de acción sorpresa.
– Juguetes para aprendizaje temprano. Juguetes, libros y rompecabezas para aprender temas básicos como letras, números o formas, y movimientos físicos simples como hacer girar una rueda o perilla, halar y soltar o clasificar por tamaño, etc.
– Pelotas blandas y artículos similares. Pelotas u otras formas suaves, livianas, para exprimirlas, agitarlas, hacerlas rodar o arrojarlas.
B.4.3 Juguetes no apropiados para niños menores de tres años de edad
Los juguetes que no se deberían considerar apropiados para niños menores de tres años de edad y que por lo tanto no es conveniente rotular como tales, tienen las siguientes características:
– Son juguetes que requieren movimientos digitales intrincados o ajustes controlados, encajar piezas complicadas.
– Juegos que requieren o incorporan capacidades de lectura más allá del abecedario y los números dígitos.
– Juguetes que simulan figuras o personajes adultos y sus accesorios asociados.
– Conjuntos de colección (como figuras y vehículos).
– Juguetes tipo proyectil, vehículos para lanzar (como cohetes), aviones, etc.
– Estuches de maquillaje.
– Juguetes que incorporan cables o cuerdas largas.
B.4.4 Juguetes para niños de ocho años de edad en adelante
Se ha considerado que otro corte importante en el desarrollo ocurre a los ocho años, cuando la capacidad de lectura ha progresado de manera que un niño puede, por sí mismo, leer, entender y prestar atención a instrucciones, advertencias, etc. Debido a que las instrucciones y advertencias son necesarias para el uso seguro del producto en ciertos casos, es conveniente rotular los productos con la indicación de que son para uso por parte de niños de ocho años de edad.
Los productos que caben en esta categoría incluyen los siguientes:
– Estuches cuyo contenido tiene relación con la ciencia y el ambiente o estuches que contengan componentes de vidrio rompible e instrucciones complejas.
– Modelos complejos y juegos para manualidades que requieran ensambles precisos y destreza en los dedos o que incorporen herramientas o componentes afilados.
– Juguetes accionados eléctricamente, que incorporen elementos generadores de calor.
– Ciertos equipos de química, vehículos con combustible, cohetes, etc. que contengan productos químicos potencialmente peligrosos, que no puedan ser manejados de manera segura por niños incapaces de leer y entender instrucciones y advertencias. La edad mínima para la cual se recomiendan tales productos es ocho años y sólo bajo la supervisión de un adulto.
B.5 Rotulado descriptivo según la edad
a) Los fabricantes pueden ayudar a los padres y otros compradores en la selección correcta de juguetes al incorporar un rotulado descriptivo que identifique preocupaciones potenciales de seguridad si el juguete es accesible para niños fuera del grupo de edad recomendado;
b) Los factores a considerar incluyen el atractivo del juguete para los niños pequeños, la experiencia en el mercado, el diseño o construcción del juguete y si el empaque da una indicación visual de las piezas pequeñas. Además, es conveniente que los fabricantes consideren la posibilidad de que un comprador sobreestime la capacidad física o mental del niño y su comprensión de un peligro potencial relacionado con el juguete.
DIRECTRICES PARA EL ROTULADO DE SEGURIDAD Y MARCAS DEL PRODUCTOR.
C.1 Introducción
Este Anexo sirve como guía para el rotulado de ciertos tipos de juguetes.
El propósito del rotulado de seguridad es dar la información apropiada al consumidor en el punto de venta (es decir, en el juguete o en el empaque si lo hay) y/o antes del uso inicial del juguete (es decir, en las instrucciones) y/o antes de cada uso del juguete (es decir, en el rotulado del juguete).
Los requisitos de rotulado de seguridad para ciertos juguetes o características de estos se dan en los numerales de la sección 4.
Se debe anotar que estas directrices no aseguran plena conformidad con los requisitos nacionales pertinentes de seguridad para juguetes del mercado en que se va a distribuir el producto. Por lo tanto, se aconseja al usuario de estas directrices estudiar los requisitos nacionales pertinentes.
C.2 Directrices para rotulado de seguridad
C.2.1 Definición y ubicación de la etiqueta
El rotulado de seguridad debe ser visible, legible, fácil de entender e indeleble.
La información sobre seguridad debería tener un formato que llame la atención del consumidor y estar colocada sobre el empaque o el producto, de manera que el consumidor, en el punto de compra, la pueda ver fácilmente.
C.2.2 Clasificación por edad
Los juguetes sujetos a cualquiera de los requisitos de esta norma deberían llevar una etiqueta que indique la edad mínima para el uso previsto. Si el juguete o el empaque no tienen marcada la edad para uso de manera clara y evidente o si están mal rotulados, el juguete se debería someter a los requisitos aplicables más exigentes de esta norma. Parte de la ISO 8124.
Para ciertos juguetes, tales como disfraces y juguetes de montar, también puede ser apropiado, desde el punto de vista de la seguridad, rotular el juguete, su empaque o ambos, en términos de limitaciones de peso o tamaño.
En el Anexo B se dan directrices para determinar el grado de edad apropiado para los juguetes.
C.2.3 Juguetes pequeños y juguetes que contienen partes pequeñas (véase numeral 4.4)
El juguete o su empaque deberían llevar una declaración como la siguiente:
“Advertencia. No apto para niños menores de 3 años. Contiene partes pequeñas”.
Las palabras “Advertencia! No apto para niños menores de 3 años de edad” se pueden sustituir por un símbolo gráfico como el que se ilustra en la Figura C.1.
La indicación de los peligros específicos debería aparecer en el juguete mismo, en el empaque o en las instrucciones para uso.

Figura C.1. Símbolo gráfico para advertencia de edad.
Se recomienda que los detalles del diseño del símbolo gráfico sean de la siguiente forma:
– El círculo y la línea deberían ser rojos.
– El fondo debería ser blanco.
– El rango de edad y el esquema de la cara deberían ser negros.
– El símbolo debería tener un diámetro de 10 mm como mínimo y las proporciones entre sus diferentes elementos deberían ser como se especifica en la Figura C.1.
– El rango de edad para el cual no es apto el juguete se debería expresar en números, por ejemplo, 0-3.
C.2.4 Globos (véase el numeral 4.5.2) y Canicas (Véase el numeral 4.5.7)
Los embalajes deben portar una declaración o algo similar donde figure lo siguiente:
Advertencia: Los niños menores de 8 años se pueden asfixiar con bombas desinfladas o rotas. Se requiere de la supervisión de un adulto. Mantenga las bombas desinfladas fuera del alcance de los niños. Las bombas rotas se deben mantener fuera del alcance de los niños.
C.2.5 Bolas pequeñas y canicas (véase el numeral 4.5.2) a)
Si el juguete es o contiene una pelota pequeña se recomienda rotular el juguete o su empaque de la siguiente forma:
“Este juguete es una pelota pequeña que puede representar un peligro de ahogamiento.
No apto para niños menores de 3 años”, o “Este producto contiene una pelota pequeña que puede representar riesgo de ahogamiento. No apto para niños menores de 3 años”;
b) Si el juguete es o contiene una canica se recomienda rotular el juguete o su empaque de la siguiente forma:
“Este juguete es una canica que puede representar un peligro de ahogamiento. No apto para niños menores de 3 años”, o “Este producto contiene una canica que puede representar riesgo de ahogamiento. No apto para niños menores de 3 años”.
C.2.6 Juguetes acuáticos o de flotación (véase el numeral 4.19)
Los juguetes acuáticos y de flotación deberían llevar una declaración de que no son dispositivos salvavidas, seguida por una advertencia de que sólo se recomienda usar el juguete en aguas poco profundas y bajo supervisión.
C.2.7 Móviles y juguetes para cunas y corrales (véase el numeral 4.11.5)
El juguete y su empaque deberían llevar una declaración que llame la atención sobre la posibilidad de enredarse o estrangularse si el juguete no se retira cuando el bebé empieza a levantarse sobre sus manos y rodillas (véase también literal C numerales 3.2 y 3.3).
C.2.8 Juguetes que entran en contacto con la comida
El empaque, las instrucciones o ambos, para juguetes y sus componentes destinados para usarlos en contacto con la comida deberían llevar una etiqueta para advertir a los adultos que laven el producto minuciosamente antes y después del uso.
C.2.9 Juguetes destinados para ser ensamblados por un adulto
El empaque de los juguetes destinados para ser ensamblados por un adulto deberían llevar una etiqueta que indique esta característica (véase el literal C numeral 3.6).
C.2.10 Gimnasios para cunas y juguetes similares (véase el numeral 4.11.6)
Los gimnasios para cunas y juguetes similares destinados exclusivamente para colgarlos atravesados en una cuna, corral o cochecito con una cuerda, cordón, elástico o correa, así como sus empaques, deberían llevar una declaración que llame la atención sobre el peligro de que el niño se enrede o se estrangule si el juguete se deja asegurado a la cuna, corral o cochecito y no se retira cuando el bebé empieza a levantarse en sus manos y rodillas (véase también literal C numerales 3.2 y 3.3).
C.2.11 Dispositivos protectores simulados (véase el numeral 4.17)
Los juguetes que simulan dispositivos protectores (por ejemplo, sin limitarse a ellos, cascos de construcción, cascos para deportes, cascos de bomberos), así como sus empaques, deben llevar una declaración en la cual se informe al consumidor que son juguetes y no ofrecen protección.
C.2.12 Juguetes con bordes afilados y puntas agudas funcionales (véase los numerales 4.6.2 y 4.7.2)
Los juguetes que están destinados para uso por parte de niños entre las edades de 36 meses y 96 meses, que contengan bordes afilados y puntas agudas accesibles que sean necesariamente parte de la función del juguete, deberían llevar una declaración en el empaque de que existe un borde afilado, una punta aguda, o ambos.
C.2.13 Juguetes funcionales
Los juguetes funcionales deberían llevar una etiqueta en la que se declare que el producto sólo se debería usar bajo la supervisión directa de un adulto.
C.2.14 Patinetas y patines de ruedas para niños (véase el numeral 4.26)
Los patines y patinetas de juguete son productos que han sido proyectados para ser usados por niños con un peso de 20 kg. máximo.
Las patinetas y patines para niños deberían llevar una etiqueta en la que se recomiende al usuario el empleo de equipo protector como protector de puños, protector de codos y protector de rodillas y además no debe ser usado sobre las calles.
C.2.15 Juguetes proyectiles (véase el numeral 4.18.1)
Los juguetes con proyectiles deberían ir acompañados de instrucciones para uso que llamen la atención sobre el riesgo de apuntar a los ojos o la cara y de usar proyectiles distintos de los que suministra o recomienda el fabricante.
C.2.16 Cometas de juguete (véase el numeral 4.11.7)
Las cometas u otros juguetes voladores con cuerdas deberían llevar una advertencia de no usarlas cerca de líneas eléctricas aéreas o durante las tormentas.
C.2.17 Bicicletas de juguete (véase el numeral 4.21.1)
Las bicicletas de juguete deberían llevar una etiqueta en la que se recomiende el uso de un casco protector cuando se está montando.
Además, las instrucciones para uso deben contener una advertencia de que no se permite el uso de la bicicleta en carreteras públicas. Adicionalmente, los padres o adultos responsables deberían asegurarse de que los niños reciban las instrucciones adecuadas sobre el uso de las bicicletas de juguete, particularmente respecto al uso seguro de los sistemas de frenos.
C.2.18 Cápsulas de fulminantes (véase el numeral 4.28)
Los empaques de las cápsulas de fulminantes deberían llevar una advertencia de no usarlos en espacios interiores y no llevarlos sueltos en los bolsillos.
C.3 Literatura instructiva C.3.1 Información e instrucciones
La información e instrucciones que se entregan para el uso o ensamble seguro, o ambos, de un juguete, sea que se encuentren en el empaque o en una hoja adjunta, deben ser fáciles de leer.
C.3.2 Cuna juegos de corral y Móviles (véase el numeral 4.11.5)
Los móviles destinados para montarlos en una cuna, corral, pared o cielorraso deberían llevar instrucciones para el ensamble, instalación y uso correcto, con el fin de garantizar que el producto no representa peligro de enredarse. Las instrucciones deberían incluir al menos la siguiente información:
– Los móviles para cuna no están destinados para que el niño los agarre.
– Si se aseguran a una cuna o corral, se deben retirar cuando el bebé empiece a levantarse sobre sus manos y rodillas.
– Si son para montar en la pared o cielorraso, se deben instalar fuera del alcance de un bebé cuando está en pie.
– Siempre se deben aplicar todos los elementos de fijación (cuerdas, correas, abrazaderas, etc.) ajustados a la cuna o corral de acuerdo con las instrucciones. Se deben revisar frecuentemente.
– No se deben añadir cuerdas o correas adicionales para asegurarlos a la cuna o corral.
C.3.3 Juguetes para cunas y corrales (véase el numeral 4.11.6)
Los juguetes destinados para colgarlos atravesados en una cuna o corral por medio de cuerdas, cables, elásticos o correas (incluidos, sin limitarse a ellos, los ejercitadores y gimnasios para cuna y los centros de actividades), deben llevar instrucciones para el ensamble, instalación y uso apropiados, con el fin de garantizar que el producto no represente peligro de enredarse o estrangularse.
Las instrucciones deberían incluir al menos la siguiente información:
– Este juguete no está previsto para que el bebé se lo lleve a la boca y se recomienda ubicarlo fuera del alcance de la boca y cara del bebé.
– En las cunas en que se puede ajustar el nivel de altura del colchón, la posición más alta podría permitir que el juguete quede demasiado cerca del bebé.
– El lado abatible de la cuna nunca se debería bajar con el juguete en su lugar y el bebé sin supervisión.
– Siempre se deben aplicar todos los elementos de fijación suministrados (cuerdas, correas, abrazaderas, etc.) ajustados a la cuna o corral de acuerdo con las instrucciones. Se deben revisar frecuentemente.
C.3.4 Baúles para juguetes (véase el numeral 4.16.2.2 d))
Las instrucciones para el ensamble y mantenimiento apropiado deberían ser suficientemente detalladas para describir el ensamble correcto de los componentes, el peligro que surge si el dispositivo de soporte de la tapa no se instala y una descripción de cómo determinar si el soporte está funcionando correctamente.
C.3.5 Juguetes llenos de líquido para la dentición y juguetes para ayudar a la dentición (véase el numeral 4.24)
Los juguetes llenos de líquido para la dentición y los juguetes para ayudar a la dentición deberían llevar la instrucción de no colocarlos en el compartimiento del congelador.
C.3.6 Juguetes destinados para ser ensamblados por un adulto
Las instrucciones que acompañan a los juguetes destinados para ser ensamblados por un adulto y que contienen bordes afilados o puntas agudas potencialmente peligrosos, o que contienen partes pequeñas, si están destinados para niños menores de 3 años de edad deben llevar una declaración que indique esta característica y el requisito de ser ensamblados por un adulto (véase también literal C numeral 2.9).
C.4 Marcas del productor
Un componente principal del juguete, el empaque, o una etiqueta o folleto que acompañe el juguete deberían llevar marcado el nombre y dirección del fabricante o distribuidor, o la marca que lo identifique. Todas estas marcas deben ser visibles y fáciles de leer por el consumidor y deben resistir las condiciones normales de uso.
DIRECTRICES DE DISEÑO PARA JUGUETES FIJOS EN CUNAS O CORRALES D.1 PROPÓSITO Y OBJETO.
Este Anexo sirve de guía para prácticas de diseño destinadas a estimular el cuidadoso examen de las características y configuraciones del producto con respecto a la seguridad.
Como no hay medios objetivos para determinar la conformidad con estas directrices de diseño, estas no se deben utilizar para juzgar la conformidad con la presente norma
D.2 Directrices
El diseño de los productos destinados para asegurarlos en cunas o corrales debería ser tal que haya una posibilidad ínfima de que las cuerdas, cintas, elásticos o partes de vestidos sean atrapados en el producto y por lo tanto puedan crear situaciones de peligro en las que pueda ocurrir estrangulación.
Ejemplos de la implementación de la buena práctica del diseño para ambientes de cunas y corrales incluyen los siguientes:
– Evitar protuberancias peligrosas que puedan contribuir a enredar los juguetes fijos a las cunas y corrales.
– Esquinas redondeadas con radios amplios siempre que sea posible.
– Contornos uniformes que minimicen los cambios de forma abruptos en los cuales se puedan quedar atrapadas cuerdas, cintas, elásticos o prendas de vestir holgadas.
– Ocultar o asegurar las piezas metálicas mediante cavidades, ensanchamientos u otros métodos similares.
– Reducir la posibilidad de que haya superficies desiguales en las que algo pueda quedar atrapado.
JUSTIFICACIÓN.
E.1 Objeto
En el objeto se encuentran listados muchos productos que para los propósitos de esta norma no se consideran juguetes. Sin embargo, se estima que son necesarios algunos comentarios siguientes:
a) Esta norma cubre las bicicletas de juguete con una altura máxima del sillín de 435 mm. Las bicicletas para niños con una altura del sillín entre 435 mm y 635 mm están cubiertas por las norma ISO 8098:1989, Cycles - Safety Requirements for Bicycles for Very Young Children;
e) El término “pistolas y escopetas de aire comprimido y operadas con gas” se refiere a armas que emplean aire comprimido u otros gases para disparar balas metálicas o plásticas o dardos pequeños y que son utilizadas frecuentemente por adultos en competencias. En muchos países existen restricciones legales sobre la venta de estas armas a los niños. La restricción no incluye armas de juguete que lancen agua por medio de aire comprimido;
i) Los “modelos de aeronaves, cohetes, botes y vehículos terrestres con motores de combustión” también incluyen el motor mismo como parte de repuesto;
w) Las “joyas de fantasía para niños” no incluyen joyería que sea parte de, por ejemplo, una muñeca y no esté destinada para uso por parte de un niño. Tampoco incluye equipos para hacer joyas.
E.2 Uso normal (véase el numeral 4.1)
El objetivo de estos ensayos es simular el modo de juego normal del juguete, por lo que los ensayos no tienen relación con los ensayos de abuso razonablemente previsible especificados en el numeral 4.2 (abuso razonablemente previsible). Los ensayos están destinados para exponer peligros potenciales, antes que para demostrar la confiabilidad de un juguete.
Para los propósitos de esta norma, el hecho de que un juguete no pase los ensayos de uso normal sólo es relevante si la falla genera un peligro potencial de acuerdo con los métodos de ensayo apropiados indicados en el numeral 5.
Se recomienda someter los juguetes a los ensayos apropiados para simular el modo de uso esperado del juguete particular. Por ejemplo, las palancas, ruedas, pestillos, gatillos, cuerdas, alambres, cadenas, etc. que estén destinados para ser activados por un niño deberían accionarse repetidas veces. Los dispositivos activados por resortes o a motor deberían ensayarse de manera similar.
Es conveniente realizar los ensayos en un ambiente de uso esperado. Por ejemplo, los juguetes destinados para uso en la bañera se deberían ensayar en agua jabonosa y los juguetes destinados para uso en areneras deberían exponerse a la arena durante los ensayos.
En este Anexo no se definen requisitos específicos; sería imposible en vista de la amplia gama de juguetes que cubre esta norma. Sin embargo, es aconsejable que el fabricante o distribuidor lleve a cabo suficientes ensayos para asegurarse de que se haya simulado el uso normal durante el tiempo de vida útil calculado para el juguete.
E.3 Abuso razonablemente previsible (véase el numeral 4.2)
La intención de los ensayos indicados en el numeral 5.24 (ensayos de abuso razonablemente previsible) es simular la exposición de un juguete al daño estructural causado cuando se deja caer, se hala, se retuerce y se somete a otras acciones que pueda realizar un niño al interactuar con el juguete. Estas interacciones simuladas se caracterizan como ensayo de abuso razonablemente previsible.
La severidad de los ensayos indicados en el numeral 5.25 se debería determinar de acuerdo con el grupo de edad para el cual está destinado el juguete. Si está destinado para un rango que cubra más de un grupo de edades, se debería someter al ensayo más severo.
Después de ensayarlos conforme especifica el numeral 5.25, los juguetes deberían seguir cumpliendo los requisitos pertinentes de esta norma.
E.4 Calidad del material (véase el numeral 4.3.1)
La intención de este requisito es que los materiales utilizados en juguetes sean nuevos, o si son reprocesados, sean tan refinados que el nivel de contaminación con sustancias peligrosas no exceda el que se encuentra en el material nuevo. No debería haber infestación de animales o plagas.
E.5 Materiales expansibles (véase el numeral 4.3.2)
Este requisito busca reducir los riesgos relacionados con ciertos objetos que se expanden dramáticamente al ser tragados. Han ocurrido accidentes fatales cuando los niños han tragado tales objetos.
E.6 Partes pequeñas (véase el numeral 4.4)
El propósito de este requisito es reducir los riesgos de ingestión o inhalación de objetos pequeños como juguetes pequeños y componentes pequeños de juguetes.
Los juguetes hechos de espuma con partes pequeñas se rasgan cuando se les ensayan como en el numeral 5.24 (Razonablemente previsible el abuso en los ensayos) son considerados peligrosos. Estas aplicaciones son utilizadas en juguetes de relleno donde la composición del relleno está constituida de partes pequeñas ya que puede llegar a ser accesible de acuerdo con el numeral 5.24 Los nudos de la madera en juguetes de madera por naturaleza nunca son los mismos y no se pueden sacar conclusiones sobre el nivel de seguridad para ciertas clases de productos a partir de un solo juguete con nudos de madera sueltos. Los nudos pequeños de madera en los juguetes de madera que se pueden halar o empujar fácilmente, se deberían considerar como componentes pequeños removibles.
E.7 Forma, tamaño y resistencia de ciertos juguetes (véase el numeral 4.5)
El propósito de los requisitos indicados en el numeral 4.5 es identificar ciertos juguetes que pueden generar riesgo de ahogamiento o sofocación debido a que su diseño o construcción les permite entrar en la boca de un niño y alojarse en la garganta. También se pretende identificar los peligros potenciales de impacto asociados con los juguetes para la dentición y los juguetes compresibles destinados para niños menores de 18 meses de edad.
Al determinar cuáles juguetes están destinados para niños que no pueden sentarse sin ayuda y para niños menores de 18 meses, son relevantes los siguientes factores: la declaración de la intención del fabricante (por ejemplo en una etiqueta), si es razonable, la publicidad, la promoción, la comercialización y si los juguetes se consideran aptos para el grupo de edad en cuestión.
Se debe admitir que los niños empiezan a sentarse sin ayuda aproximadamente a los cinco meses de edad.
E.8 Pompones (véase el numeral 4.5.3)
La definición de pompones incluye pompones regulares así como las borlas redondeadas tales como las descritas en las Figuras 3 y 4. Además, aunque son diferentes en la construcción, los accesorios de forma esférica hechos de material relleno son muy similares a los pompones en cuanto a sensación y apariencia y se usan para adornar productos de manera semejante. Estos plantean un peligro similar al de los pompones y por lo tanto se deberían someter a los mismos requisitos.
Los datos sobre lesiones no apoyan la necesidad de incluir las borlas con cuerdas largas como las que ilustra la Figura 4.
E.9 Figuras para juegos preescolares (véase el numeral 4.5.4)
El propósito de este requisito atañe al peligro potencial de ahogamiento y/o obstrucción asociados con ciertas figuras para juegos preescolares destinadas para niños menores de 36 meses de edad.
E.10 Globos (véase el numeral 4.5.6)
Los pedazos de globos de látex rotos representan un peligro de ahogamiento y sofocación para los niños y deberían llevar una advertencia.
E.11 Bordes (véase el numeral 4.6)
El objetivo de estos requisitos es reducir los riesgos relacionados con los cortes y laceraciones producidos por bordes afilados en juguetes.
La norma hace referencia a bordes de metal y vidrio solamente, ya que no hay métodos de ensayo disponibles para bordes plásticos. Sin embargo, los fabricantes al diseñar, producir y equipar los juguetes deberían evitar los bordes plásticos lo más posible.
Se ha considerado que el método de ensayo para evaluar los bordes afilados se debería complementar con una evaluación subjetiva para determinar si realmente son peligrosos.
Podría haber bordes en juguetes que, aunque sean afilados de acuerdo con el método de ensayo, no representen un peligro.
La presencia de rebabas en un borde se establece pasando un dedo a lo largo del borde.
Para no cumplir el requisito, es necesario que la rugosidad sea suficiente para fallar en el probador de bordes afilados.
Se ha establecido que es imposible fabricar conductores eléctricos (por ejemplo en cajas de baterías) que no presenten bordes afilados. Este peligro, sin embargo, se ha considerado de naturaleza menor y se toleran bordes de hasta 10 mm.
E.12 Puntas (véase el numeral 4.7)
El objetivo de estos ensayos es reducir los riesgos generados por las puntas agudas en juguetes que puedan causar punciones en la piel, etc. No obstante, conviene anotar que no se pretende cubrir los riesgos relacionados con los ojos, los cuales son demasiado delicados para ser protegidos.
Se ha considerado que el método de ensayo para evaluar las puntas agudas se debería complementar con una evaluación subjetiva que permita determinar si realmente son peligrosas.
Podría haber puntas en juguetes que, aunque sean agudas de acuerdo con el método de ensayo, no representen un peligro. Un ejemplo de estas son las puntas para limpiadores de pipas, que se utilizan como juguetes, y son tan débiles que no pueden puncionar la piel.
Para niños menores de 36 meses, sin embargo, las puntas que no sean agudas de acuerdo con el método de ensayo, pueden representar un riesgo no razonable. En el numeral 4.7.1 c) se dan requisitos para puntas con una sección transversal de 2 mm como máximo.
E.13 Proyecciones (véase el numeral 4.8)
El objetivo de estos ensayos es minimizar los posibles peligros de punciones en la piel si un niño cae sobre tubos o componentes rígidos no protegidos, como los manubrios de una bicicleta, las palancas de los cochecitos y los marcos de los caminadores. Tales partes protuberantes deberían estar protegidas. El tamaño y la forma de la protección no se ha estipulado pero se debería disponer de un área suficientemente grande para ella.
Como el requisito tiene que ver con los peligros que surgen de la caída de un niño sobre un juguete, se deduce que este requisito sólo tiene relación con las proyecciones verticales o casi verticales. El juguete se ensaya en la posición más desfavorable.
Si la proyección está en un juguete pequeño que se viene abajo cuando se le aplica presión al extremo de la proyección, es improbable que represente un peligro.
E.14 Alambres y varillas de metal (véase el numeral 4.9)
Los alambres que están destinados o tienen la posibilidad de doblarse, sea que estén cubiertos por otros materiales o no, se someten al ensayo de flexibilidad y no se deben romper ni producir puntas agudas. Los alambres se usan frecuentemente en juguetes de relleno blando, los cuales se consideran aptos para niños menores de 36 meses. Si uno de estos alambres se rompe, eventualmente podría salirse a través de la cubierta y constituirse en un peligro para el niño.
E.15 Película plástica en el empaque y en los juguetes (véase el numeral 4.10)
El objetivo de estos requisitos es minimizar la posibilidad de asfixia que podrían generar las películas delgadas si cubrieran la cara de un niño o fueran inhaladas.
Las láminas plásticas delgadas se pueden adherir a la boca y nariz del niño, haciéndole imposible respirar. Si el espesor es mayor que 0,038 mm, el riesgo se considera menos peligroso.
Los globos de látex no están cubiertos por el objeto del numeral 4.10 ya que no son de plástico. Los globos de plástico normalmente son tan fuertes que un niño no los puede romper y, por lo tanto, el espesor de la lámina de plástico se debería medir con capas dobles de lámina (es decir, sin cortar el globo).
E.16 Cables y elásticos (véase el numeral 4.11)
El objetivo de estos requisitos es prevenir que los niños sean estrangulados por cables de juguetes que puedan formar una lazada alrededor de su cuello. También tratan sobre el riesgo de que el niño se enrede en los cables auto-retráctiles, por ejemplo el de un carillón.
Los cables no trenzados (unifilares) no pueden formar lazadas fácilmente.
El requisito indicado en el numeral 4.11.6 tiene el objeto de reducir el posible riesgo de estrangulación causada por juguetes, por ejemplo un cable fijo atravesado entre las barandas de una cuna. Si el niño está tratando de pararse en la cuna, puede enredarse en el cable, el cual podría formar un lazo alrededor del cuello o el niño podría caer y su garganta quedar atrapada en el lazo.
El propósito de los requisitos indicados en el numeral 4.11.7 es prevenir que el usuario de una cometa de juguete sufra un choque eléctrico al entrar la cometa en contacto con cables aéreos de energía. También destacan el peligro de volar una cometa en medio de una tormenta.
E.17 Mecanismos de doblado (véase numeral 4.12.1)
Estos requisitos hacen referencia a algunos, no todos, los posibles peligros de aplastamiento, laceración y punción que podrían generarse por el colapso repentino e inesperado de un juguete plegable, sea que esté destinado a soportar el peso de un niño o no.
También se busca con los requisitos reducir el posible riesgo de que un niño se quede atrapado en una silla o cochecito que colapsa, y de que los niños atasquen los dedos en un juguete cuando están interactuando con él.
Se sabe que han ocurrido accidentes fatales cuando colapsa una silla para bebé y la manija cae sobre la cabeza o garganta del niño que está tratando de sentarse o subirse a la silla. Se ha considerado necesario exigir que las sillas o cochecitos estén equipados con dos dispositivos de traba y/o seguridad, como es el caso para las sillas y cochecitos tamaño grande.
Algunas sillas para bebé no están diseñadas con una manija que se dobla sobre ellas cuando colapsan, sino que se dobla hacia los lados. Se considera que estos juguetes no representan un peligro tan severo y en consecuencia no requieren dos dispositivos de seguridad separados.
Sin embargo, se considera imposible eliminar todos los peligros potenciales de atascamiento en los juguetes cuando se doblan en la forma prevista. Los fabricantes deberían reducir esos peligros lo más posible, por ejemplo dejando un espacio libre de 12 mm entre partes móviles o usando topes de seguridad. Es conveniente tener gran cuidado al diseñar los juguetes con partes que se doblan o deslizan, de manera que se eviten en lo posible las acciones tipo tijera de las partes móviles.
E.18 Otros juguetes colapsibles (véase el numeral 4.12.2)
El requisito de que el juguete debería estar destinado para sostener el peso de un niño o un peso comparable excluye a los juguetes más pequeños.
E.19 Angulo de la línea de articulación (véase el numeral 4.1)
El objetivo de este requisito es eliminar el peligro de aplastamiento relacionado con los ángulos en la línea de articulación, que admiten la entrada de dedos en una posición de la parte articulada pero no en otra.
Sólo es aplicable a ensambles articulados de los cuales ambas partes tengan una masa de 250 g o más y donde la parte móvil respecto a la bisagra se pueda considerar como una “tapa” o “puerta”. Una puerta o tapa se puede definir para el propósito de este requisito como un cierre que tiene un área superficial extensa con una línea de articulación prolongada.
Otras partes articuladas que no tengan un área o una línea de articulación significativa probablemente clasifican en la categoría de mecanismos de plegado (véase el numeral 4.12.1) u otros juguetes colapsibles (véase el numeral 4.12.2).
El requisito tiene relación con el peligro de quedar atrapado o de la lesión producida por machacarse un dedo entre los bordes de la línea de articulación y entre superficies paralelas con la línea de articulación como se ilustra en la Figura 2, pero no entre otros bordes y superficies del ensamble. Trata sólo con la fuerza considerable que se puede aplicar a los bordes de la línea de articulación cuando se abre o cierra la tapa o puerta.
No se consideró posible especificar un área de articulación en lugar de una línea de articulación. Sin embargo, los fabricantes deberían considerar esto y tratar de reducir el riesgo de aplastamiento de los dedos u otras partes del cuerpo, por ejemplo, dejando un espacio libre de 12 mm entre las partes móviles cerca a la línea de articulación.
E.20 Orificios circulares en materiales rígidos (véase el numeral 4.13.1)
El objetivo de este requisito es evitar que los dedos se queden atrapados en orificios accesibles en láminas metálicas y otros materiales rígidos en juguetes destinados para niños menores de 60 meses (5 años) de edad. Se cree que los orificios no circulares no representan un peligro significativo ni cortan la circulación sanguínea en los dedos atrapados.
E.21 Espacios libres accesibles para segmentos móviles (véase el numeral 4.1)
Este requisito trata sobre los espacios libres entre segmentos móviles de juguetes donde sólo existe el potencial de aplastamiento de los dedos u otros apéndices. Incluye, sin limitarse a ellas, las ruedas y pozos de rueda rígida, cercas o el espacio radial entre las ruedas y el chasis de los juguetes de montar que funcionan por energía eléctrica, resortes o inercia.
E.22 Cadenas y bandas en juguetes para montar (véase el numeral 4.13.3)
Los mecanismos de impulso deberían estar encerrados para impedir que los dedos y otras partes del cuerpo se atasquen o se aplasten. Los juguetes que deben ser ensamblados por un adulto se ensayan estando ensamblados.
E.23 Otros mecanismos de impulso (véase el numeral 4.13.4)
El objetivo de estos requisitos es reducir el riesgo causado por los bordes afilados y puntas expuestas y evitar la punción o laceración al quedarse los dedos atrapados en orificios si el juguete se ha dañado.
La falla según este numeral ocurre cuando los mecanismos quedan accesibles y la accesibilidad de las partes móviles puede hacer que se atasquen los dedos o el niño sufra cualquier otra lesión. Se deberían excluir los mecanismos pequeños, como los de los autos pequeños que no tienen suficiente potencia para atascar los dedos. Se debe verificar la potencia insertando un dedo o lápiz en el mecanismo.
E.24 Llaves para dar cuerda (véase el numeral 4.13.5)
El objetivo de estos requisitos es evitar la punción o laceración de los dedos entre la llave y el cuerpo del juguete y evitar que los dedos se queden atrapados en orificios de las lengüetas de las llaves.
E.25 Resortes (véase el numeral 4.14)
El objetivo de estos requisitos es evitar la punción o laceración de los dedos de las manos y los pies y otras partes del cuerpo con juguetes que tengan resortes.
E.26 Requisito de estabilidad de los laterales (véase numerales 4.15.1.1 y 4.15.1.2)
El objetivo de estos requisitos es minimizar los peligros inesperados causados por un juguete que se pueda ladear fácilmente. Se reconocen dos tipos de posibles peligros relacionados con la estabilidad: los asociados con los juguetes de montar o sillas en que los pies pueden proporcionar estabilización y las situaciones en que los pies están restringidos por una estructura que los encierra. Se toma en cuenta el uso de las piernas del niño como medio de estabilización y se reconoce que un niño aprende instintivamente a compensar las posiciones inclinadas.
E.27 Estabilidad anterior y posterior (véase el numeral 4.15.1.3)
Este requisito tiene relación con la estabilidad de los juguetes de montar o sillas en la dirección anterior y posterior con respecto al jinete, cuando este no puede usar fácilmente sus piernas para estabilizarse. Se busca asegurar la estabilidad anterior y posterior de, por ejemplo, los triciclos y caballitos mecedores de forma que no se vuelquen inesperadamente.
E.28 Requisitos de sobrecarga para juguetes de montar y sillas (véase el numeral 4.15.2)
El objetivo de este requisito es minimizar los peligros inesperados que podrían surgir cuando un juguete no es capaz de soportar la sobrecarga.
E.29 Estabilidad de los juguetes estacionarios de piso (véase el numeral 4.15.3)
El objetivo de estos requisitos es minimizar los peligros que podría causar un juguete que se ladea cuando una puerta, cajón u otra parte móvil se extiende en la totalidad de su recorrido.
E.30 Encerramientos (véase el numeral 4.16)
El objetivo de estos requisitos es reducir el posible riesgo de que un niño se quede atrapado en un juguete que forme un encerramiento, por ejemplo, una carpa o un baúl para juguetes y evitar la posible sofocación en los juguetes que encierran la cabeza, tales como cascos espaciales.
Todos los juguetes que forman un espacio confinado en el cual pueda entrar un niño están cubiertos por este requisito, independientemente de si el juguete está diseñado para sostener a un niño o no. Aún si se asegura que hay ventilación, tiene que ser posible para el niño escapar fácilmente del confinamiento sin ayuda desde el exterior.
E.31 Dispositivos protectores simulados, como cascos, sombreros y gafas protectoras (véase el numeral 4.17)
El objetivo de estos requisitos es minimizar los peligros que pueden causar, por ejemplo, las gafas protectoras o cascos espaciales, si falla el material del cual están hechos, o los juguetes que simulan dispositivos protectores, tales como los cascos y almohadillas deportivas, si el usuario emplea el artículo como un dispositivo de protección real, en lugar de usarlo como un juguete.
Los artículos como gafas para natación y máscaras para buceo, que ofrecen protección al niño, no se consideran juguetes y no están cubiertos por esta norma.
Las gafas de sol para niños, no se consideran juguetes ya que ofrecen protección contra la luz ultravioleta. Sin embargo, las gafas de sol para muñecas, osos de peluche, etc., que son demasiado pequeñas para que las use un niño, si se consideran juguetes.
E.32 Juguetes proyectiles (véase el numeral 4.18)
El objetivo de estos requisitos tiene relación con ciertos, pero no todos, los peligros potenciales inesperados que podría generar un juguete que dispara proyectiles y el hecho de disparar proyectiles improvisados desde uno de tales juguetes.
Algunos peligros bien reconocidos inherentes a los juguetes tradicionales, como las hondas y dardos no están cubiertos por estos requisitos.
Un juguete típico en el cual la energía cinética se determina por el juguete mismo y no por el niño, es una escopeta u otro dispositivo con tensión de resorte. Una bodoquera es un ejemplo de un juguete con un proyectil (el bodoque) en el cual la energía cinética la determina el niño al soplar.
Los vehículos de juguete con base en tierra impulsados a lo largo de una pista u otra superficie no se consideran proyectiles, aún si incluyen un elemento de movimiento en vuelo libre, por ejemplo entre pistas.
La velocidad de los proyectiles se puede medir por medios directos o indirectos.
E.33 Juguetes acuáticos y de flotación (véase el numeral 4.19)
El objetivo de estos requisitos es reducir el riesgo de ahogarse debido a la pérdida repentina de flotabilidad de los juguetes acuáticos inflables si el aire se libera a través de la entrada. También tienen el objeto de informar a los adultos y niños sobre los peligros de usar estos juguetes en aguas profundas. La norma cubre juguetes inflables destinados para soportar el peso de un niño y utilizados para jugar en aguas poco profundas, generalmente bajo supervisión de un adulto.
Los tapones de las válvulas no se deberían desprender y deberían estar protegidas contra la remoción inadvertida. Frecuentemente se suministran válvulas de no retorno para facilitar la labor de inflar el juguete.
Otros productos, como botes inflables grandes, que en virtud de su tamaño y diseño están destinados para ser usados en aguas profundas, no están cubiertos por estos requisitos. Las bandas para los brazos y ayudas de flotación similares están exentas ya que se consideran ayudas para natación y no juguetes.
Los juguetes para el baño generalmente se usan en espacios interiores, en una bañera y no están cubiertos por este numeral ni son pelotas de playa inflables, las cuales se usan principalmente en la playa y no en el agua.
E.34 Frenado (véase el numeral 4.20)
El objetivo de estos requisitos es prevenir accidentes debidos a las capacidades de frenado insuficientes de los vehículos de juguete. Especifican que todos los juguetes de montar que tengan un medio de movimiento libre de las ruedas deben estar equipados con un freno. Se excluyen los juguetes con transmisión directa, como los triciclos con pedales en la rueda delantera, carritos de pedales y carros eléctricos, en los cuales los pies del niño están libres y se pueden usar para frenar el vehículo.
Al evaluar el movimiento libre de las ruedas, suele ser conveniente y más práctico ensayar el juguete en una pendiente de 10o y establecer si acelera al bajar la pendiente. Sólo debería ser necesario en caso de incertidumbre utilizar la fórmula.
La fórmula completa para calcular el medio de movimiento libre de las ruedas es:
![]()
![]()
![]()
Donde m es la masa del vehículo juguete.
E.35 Bicicletas de juguete (véase el numeral 4.21)
Esta norma cubre bicicletas con una altura máxima del sillín de hasta 435 mm. Estas bicicletas pequeñas no están destinadas para (y no deberían) ser usadas en las calles o carreteras.
En ciertos países pueden existir requisitos legales respecto al equipo y/o uso de bicicletas para niños pequeños.
E.36 Límite de velocidad de los juguetes eléctricos de montar (véase el numeral 4.22)
Nótese que en ciertos países pueden existir limitaciones en la legislación sobre juguetes eléctricos de montar.
E.37 Juguetes llenos de líquido (véase el numeral 4.24)
El objetivo de estos requisitos es reducir los riesgos relacionados con los juguetes para la dentición y productos similares, y las situaciones en las cuales el niño puede entrar en contacto con líquidos contaminados o contaminarse debido a la punción.
Conviene anotar que este requisito no se aplica a los electrolitos en las pilas. Tampoco a las pinturas, esmaltes o artículos similares en recipientes.
La advertencia especificada en el numeral 4.24 tiene el propósito de advertir a los padres el riesgo asociado con dar a un niño un juguete para la dentición cuya temperatura esté tan baja que lo pueda lastimar.
E.38 Juguetes activados con la boca (véase el numeral 4.25)
El objetivo de estos requisitos es impedir que los juguetes activados con la boca o sus piezas bucales sean inhalados sin intención y causen asfixia en el usuario.
Es esencial que tales juguetes, así como las piezas bucales removibles o separables de los juguetes (por ejemplo, la pieza bucal de una trompeta) no sean tan pequeñas que puedan ser tragadas o inhaladas sin intención.
Para averiguar si las partes pequeñas no se aflojan cuando se está usando un juguete activado con la boca, como una armónica o un silbato, tales juguetes se deberían someter a un ensayo de succión y soplado en el cual un volumen especificado de aire sea forzado a través del juguete.
Este requisito se aplica independientemente de la edad del niño para el cual esté destinado.
E.40 Cápsulas de fulminantes diseñadas específicamente para uso en juguetes (véase el numeral 4.28)
El objetivo de estos requisitos es reducir el riesgo de daño a los ojos por chispas, llamas y partes que destellen, provenientes de cápsulas de fulminantes de juguete que exploten accidentalmente fuera del juguete o por el peligro que representan las cápsulas usadas correctamente pero que han sido mal fabricadas o construidas. También se aplican a las lesiones causadas por las reacciones simultáneas de un gran número de cápsulas.
ACÚSTICA.
Nota. Los requerimientos y métodos de ensayo acordados en la norma EN 71-1: 1998 dan la información. El siguiente reporte (13-). Lo s requerimientos y los periodos de transición y actualmente son revisados por CEN.
F.1 Términos y definiciones relacionados con este anexo F.1.1 Juguetes destinados a estar cerca de las orejas
Juguete diseñado específicamente para emitir sonido y está destinado para ser utilizado cerca de las orejas es decir en una posición hipotética normalmente a 2 cm de la parte que emite el sonido más cercano de dicho juguete que puede ponerse contra la oreja del niño.
EJEMPLO.
Los teléfonos que timbran o hacen Beep en el auricular.
F.1.2 Juguetes sostenidos por las manos
Juguete diseñado específicamente para emitir sonido destinado a ser sostenido por la mano.
F.1.3 Sonajero
Juguete explícito para emitir sonido al agitarse; destinado para niños demasiado pequeños sentados sin ayuda o para que otra persona se lo active.
F.1.4 Juguete de apretar
Juguete maleable con una característica de hacer ruido incorporado activado a la fuerza a través de una apertura manifiesta para emitir sonidos al apretar, destinados para niños pequeños.
F.1.5 Juguete para mesa y piso
Juguete destinado para emplearse en la mesa y el piso.
F.2 Requerimientos (Véase la norma EN 71-1:1998)
Los requisitos de este numeral no se aplican a:
– Juguetes activados con la boca, es decir, juguetes en los que el nivel de ruido se determina por la acción de soplar por parte del niño (por ejemplo, silbatos e instrumentos musicales de imitación, como trompetas y flautas).
– Juguetes activados por niños, es decir, juguetes en los cuales el nivel de ruido se determina por la acción muscular del niño (por ejemplo, xilófonos, campanas, tambores).
Los sonajeros y juguetes compresibles sí están cubiertos por estos requisitos.
– Caseteras, reproductores de discos compactos y otros juguetes electrónicos similares.
Sin embargo, si estos juguetes se entregan con audífonos para colocar en la cabeza (supraauriculares o circum-auriculares) o en el oído (intraauriculares o de inserción), están dentro del objeto de estos requisitos.
Cuando se ensayan conforme indica el numeral 5.23 (determinación de los niveles de presión de la emisión del sonido), los juguetes evidentemente diseñados para emitir sonidos deben cumplir los siguientes requisitos:
a) El nivel de presión de la emisión del sonido A-ponderado, LpA, producido por los juguetes que se usan cerca a los oídos no debe exceder los 92 dB cuando se mide en un campo libre.
El valor de 92 dB permanece vigente por un período de tres años después de la fecha de disponibilidad de esta norma al público. Después de ese período el valor debe ser de 80 dB.
El nivel de presión de la emisión del sonido A-ponderado, LpA, producido por los juguetes que se usan cerca a los oídos no debe exceder de 102 dB cuando se mide utilizando un acoplador para los oídos.
El valor de 102 dB permanece vigente por un período de tres años después de la fecha de disponibilidad de esta norma al público. Después de ese período el valor debe ser de 90 dB;
b) El nivel de presión acústica de emisión ponderado A de una sola secuencia, LpA, 1s, producido por sonajeros o juguetes de goma llorones no deberá superar los 85 dB;
c) El nivel de presión acústica de emisión maximomponderado C, LpC peak, producido por sonajeros o juguetes de goma llorones no deberá superar los 110 dB;
d) el nivel pico de presión de la emisión del sonido C-ponderado, LpC pico, producido por cualquier tipo de juguete, excepto los que emplean cápsulas de fulminantes, no debe exceder de 125 dB.
Nota El valor de 140 dB en la posición de medida que corresponde a 150-160 dB a una distancia aproximadamente de 2,5 cm.
El valor de 140 dB permanece vigente por un período de tres años después de la fecha de disponibilidad de esta norma. Después de ese período el valor debe ser de 125 dB;
e) Si el nivel pico de presión de la emisión del sonido C-ponderado, LpA pico, producido por un juguete excepto aquellos con fulminantes no deberá superar los 125 dB;
f) Si el nivel de presión acústica de emisión máximo ponderado C,LpCpeak, producido por un juguete es superior a 110 dB, se deberá llamar la atención del usuario sobre el peligro potencial que supone para la audición (véase el numeral 7.15).
F.3 Determinación del nivel de presión sonora de emisión (véase el numeral F.2)
F.3.1 Condiciones de instalación y montaje
F.3.1.1 Generalidades. Se llevan a cabo las mediciones en un juguete nuevo. El ensayo de los juguetes de pilas debe llevarse a cabo con baterías de pilas nuevas o con acumuladores totalmente cargados.
Nota. No es conveniente utilizar fuentes de alimentación externas ya que, con frecuencia, afectan a las prestaciones del juguete.
F.3.1.2 Entorno del ensayo. Cualquier entorno que cumpla con los requisitos del Anexo A de la norma EN ISO 3746.
Notas:
1. En la práctica, esto significa que la mayoría de las habitaciones normalmente amuebladas, cuyo volumen supere los 30 M3, reúne las condiciones para unas distancias de medida de 50 cm, siempre que la dimensión más grande del juguete no supere los 50 cm.
Para distancias inferiores a 25 cm, prácticamente cualquier entorno reuniría las condiciones necesarias.
2. Si se utiliza la norma EN ISO 11201, mucho más precisa, es conveniente que el entorno de ensayo cumpla con los requisitos de la Norma EN ISO 3744.
F.3.1.3 Montaje. Los dispositivos de ensayo utilizados para el montaje de los juguetes y/o el usuario del juguete no deberán afectar a la emisión sonora del juguete sometido a ensayo ni provocar reverberaciones acústicas susceptibles de aumentar los niveles de presión sonora en los puntos de medida.
Nota 1. A menudo es práctico poder hacer girar el objeto sometido a ensayo en lugar de desplazar el micrófono.
Se montan los juguetes que se ponen cerca de la oreja y los juguetes de mano, en un dispositivo de ensayo adecuado, a 100 cm como mínimo sobre el plano reflector, o se hacen funcionar dichos juguetes por un usuario adulto, con el brazo extendido.
Nota 2. Si se recurre a un usuario, debería utilizar un aparato de protección auditiva durante los ensayos de juguetes que emiten sonidos elevados.
Se ponen sobre el plano reflector (el suelo) los juguetes estáticos para colocar sobre una mesa o en el suelo.
Nota 3. Los juguetes también pueden colocarse sobre una mesa de ensayo estándar, según las descripciones de la norma EN ISO 1120 1.
Los juguetes de autopropulsión que se han de colocar sobre una mesa o en el suelo, se montan sobre el plano reflector en un dispositivo de ensayo, de forma que puedan accionarse a toda potencia pero impidiendo su desplazamiento.
Se ponen los juguetes provistos de mecanismo de fricción sobre el plano reflector y se sujetan a un dispositivo de ensayo que les permite desplazarse a distintas velocidades en línea recta, pasando entre los micrófonos de medida (ensayo de “paso”). Cerciórese de que el rozamiento del plano reflector impide que las ruedas patinen.
Los juguetes provistos de cuerda accionada manualmente, con el resorte de la cuerda totalmente en tensión, se colocan sobre el plano reflector de forma que la parte delante del juguete se encuentre a 40 cm ± 1 cm (distancia medida sobre el eje de la X) de los micrófonos del ensayo de “paso” (véase la Figura 25).
Se montan los auriculares de inserción en una oreja artificial, con arreglo a la norma CEI 60126. Se montan los auriculares supra-aurales en una oreja artificial según la norma CEI 60318. Se montan los auriculares circum-aurales en una oreja artificial conforme a la norma CEI 60318 pero con un adaptador especial.
Se montan los otros tipos de juguetes de la forma más adecuada a partir de los principios señalados en los párrafos anteriores.
F.3.1.4 Condiciones de funcionamiento. Se hace funcionar el juguete sometido a ensayo según el modo de uso previsto o previsible, que genere el nivel máximo de presión sonora de emisión en el emplazamiento del micrófono, donde se percibe el máximo nivel de ruido.
En particular:
– Los juguetes cuyo accionamiento es manual, excepto los juguetes provistos de mecanismo de fricción, se hacen funcionar aplicando la fuerza en el lugar y dirección previstos o previsibles, que generen el máximo nivel de presión acústica de emisión. Para un juguete destinado a ser agitado se efectúa un movimiento de ± 15 cm tres veces por s.
– Los sonajeros se hacen funcionar cogiéndolos por la parte prevista a tal efecto, o, en caso de duda, por la parte que permite obtener el mango más largo entre la mano y la parte sonora del sonajero. Se verifica que el hecho de asirlo no altere el sonido emitido. Se dan 10 golpes fuertes hacia abajo a ritmo lento. Se utiliza la muñeca manteniendo el antebrazo más o menos horizontal. Se procura conseguir el nivel sonoro más elevado posible. Hay que estar de perfil con respecto al micrófono y mantener el sonajero a la misma altura que el micrófono, a una distancia de 50 cm.
– Los juguetes para apretar se hacen funcionar cogiéndolos con las dos manos por el sitio previsto a tal efecto, o, en caso de duda, por la parte que permita conseguir el nivel sonoro más elevado. Se presiona con los dos pulgares para obtener el nivel sonoro más elevado posible. Se repite la operación 10 veces a ritmo lento. Hay que estar frente al micrófono.
Se mantiene el orificio de paso de aire a una distancia de 50 cm del micrófono y orientado hacia este.
– Los juguetes provistos de mecanismo de fricción se hacen funcionar a una velocidad máxima de 2 m/s, generando el nivel máximo de presión sonora de emisión.
– Los juguetes que usan fulminante se hacen funcionar utilizando los fulminantes recomendados por el fabricante y disponibles en el mercado.
– Los magnetófonos, reproductores de discos compactos y otros juguetes electrónicos similares suministrados con cascos o auriculares se hacen funcionar con grabaciones normalizadas.
F.3.2 Procedimiento de medida Normas internacionales básicas a utilizar
El requisito mínimo consiste en determinar los niveles de presión sonora de emisión en emplazamientos específicos alrededor del juguete con arreglo a las normas EN ISO 11202 y EN ISO 11204 que son métodos de control. En caso de desacuerdo, deberá utilizarse la norma EN ISO 11201 que es más precisa.
Notas:
1. A causa de una menor reverberación debido a los límites de la habitación, este método tiende a dar unos valores ligeramente inferiores a los de las normas EN ISO 11202 y EN ISO 11204.
2. En algunos casos, la Norma EN ISO 11204 puede tener la precisión de un método técnico.
F.3.2.2 Instrumental. El sistema instrumental, incluidos micrófono y cable, deberán ajustarse a los requisitos de tipo 1 o de tipo 2 de la norma CEI 6065 1, o a los de la norma CEI 60804 en caso de sonómetros integradores-promediadores. Cuando se miden altos niveles de pico de presión sonora de emisión, por ejemplo, los de los juguetes que utilizan fulminantes, el micrófono y todo el sistema instrumental deberán ser capaces de manejar unos niveles de pico lineales que excedan los niveles de pico de ponderación C en 10 dl3 como mínimo.
Nota. La utilización de la norma EN ISO 11201 requiere un instrumento de tipo 1.
F.3.2.3 Posición de los micrófonos F.3.2.3.1 Generalidades. Los micrófonos deberán utilizarse en diversas posiciones. En la práctica, esto significa a menudo el desplazamiento de un micrófono de un lugar a otro.
Siempre que sea factible, existe la alternativa de hacer girar el objeto. Hay que prestar atención para respetar la distancia correcta de medida.
F.3.2.3.2 Juguetes destinados a estar cerca de la oreja. Se localiza la posición del nivel máximo de presión sonora (LpA) de un juguete destinado a estar en cerca de la oreja (véase el numeral 8.31.2.4), desplazando el juguete o el micrófono de medida de tal forma que la distancia de medida sea de 2,5 cm ± 0,5 cm con respecto a la superficie del juguete donde se encuentra la fuente principal de ruido. Esta posición se considera como el emplazamiento del micrófono para llevar a cabo las mediciones. Por lo que se refiere a auriculares y cascos, el acoplador indica los emplazamientos del micrófono.
F.3.2.3.3 juguetes accionados por el niño y juguetes de mano F.3.2.3.3.1 Juguetes con fulminantes. Se definen seis posiciones del micrófono alrededor del juguete. Se coloca la parte del juguete que emite más ruido en el origen del sistema de coordenadas de medida en su orientación normal de funcionamiento, de tal forma que los ejes principales del juguete coincidan con los ejes del sistema de coordenadas de medida (véase la Figura 22). Si la longitud del juguete sobrepasa 50 cm, se hace girar el juguete en el plano xy 45o alrededor del eje de la Z, sin cambiar los emplazamientos del micrófono.
Se seleccionan dos posiciones de micrófono a lo largo de cada eje, distantes 50 cm ± 1 cm del origen en ambas direcciones, tal y como aparece en la Figura 22.
Distancias en centímetros

Figura F.1. Emplazamientos del micrófono para la medida de los niveles de presión sonora de juguetes de mano y juguetes accionados por el niño.
F.3.2.3.3.2. Sonajeros y juguetes para apretar. Se instala el micrófono a una altura de 1,2 m del suelo y a una distancia de 0,5 m de la fuente sonora, en una habitación suficiente mente grande o con suficiente poder absorbente como para que la reverberación del sonido sea insignificante.
F.3.2.3.3.3 Otros juguetes de mano. Se seleccionan seis emplazairúentos de micrófono sobre una superficie de medida en forma de caja, situada a 50 cm de distancia alrededor de la caja de referencia del juguete, tal y como se define en la norma EN ISO 3746 (véase la Figura 23). Los emplazamientos se sitúan en el centro de cada lado de la superficie de medida, a una distancia de 50 cm de la caja de referencia.

Figura F.2. Emplazamientos de micrófono para juguetes de mano, distintos a los juguetes con fulminantes.
F.3.2.3.4 Juguetes estáticos y autopropulsados para colocar sobre una mesa o en el suelo.
Se seleccionan cinco emplazamientos de micrófono, o nueve en caso de que el juguete tuviera una anchura o longitud superior a 100 cm, sobre una superficie de medida en forma de caja, situada a 50 cm alrededor de la caja de referencia del juguete, como se indica en la Figura 24. Los lados de la caja de medida con una altura H se encuentran siempre situados a 50 cm de los lados de la caja de referencia. Todos los emplazamientos de micrófono se hallan sobre la caja de medida.

Figura F.3. Emplazamientos de micrófono para la medida de los juguetes estáticos y autopropulsados para colocar sobre una mesa o en el suelo.
F.3.2.3.5 Juguetes provistos de mecanismo de fricción y juguetes propulsados por un resorte accionado a mano. Para juguetes cuyo ancho es igual o inferior a 25 cm se utilizan dos emplazamientos de micrófono situados a 50 cm del eje de la X del sistema de coordenadas de medida, como se indica en la Figura 25.
Para juguetes cuyo ancho es superior a 25 cm se utilizan dos emplazamientos de micrófono situados a 40 cm más la mitad del ancho del juguete, del eje de la X, como se indica en la Figura 25 (40 + w/2, véase la Figura 25).
Se coloca el juguete, en su orientación normal de funcionamiento, sobre un dispositivo de ensayo o sobre un plano reflector, de tal forma que permita el movimiento del juguete a lo largo del eje de la X pasando entre los emplazamientos de micrófono.
Distancias en centímetros

Figura F.4. Emplazamientos de micrófono para la medida de juguetes provistos de mecanismo de fricción y juguetes propulsados por un resorte accionado a mano (ensayo de “paso”).
F.3.2.4 Mediciones
F.3.2.4.1 General. Antes de realizar los ensayos, se deberá lograr el/los modo(s) de funcionamiento normal(es).
Si el juguete que se ha de ensayar tiene un ciclo de funcionamiento claramente definido, se mide el nivel de presión sonora promediado en el tiempo (continuo equivalente) para cada emplazamiento de micrófono durante al menos un ciclo completo. Los períodos de descanso superiores a 15 s deberán excluirse del período de medida.
Para los ensayos de paso se mide el nivel de presión sonora de pico ponderado C. Se mide cada lado dos veces.
En caso de que el juguete sometido a ensayo produzca un ruido continuado sin un ciclo de funcionamiento claramente definido, se mide el nivel de presión sonora promediado en el tiempo (continuo equivalente) para cada emplazamiento de micrófono durante 15 s como mínimo, incluido el modo de funcionamiento en el que el nivel de ruido es el más elevado.
Se mide el nivel de pico de al menos 3 impulsos (sucesos, ciclos) en cada emplazamiento de micrófono.
Se repite el procedimiento de medida en cada emplazamiento de micrófono.
F.3.2.4.2 Medida relativa a sonajeros y juguetes para apretar. Se mide el nivel de presión sonora de emisión ponderado A de un solo suceso, LpA,1s, y el nivel de presión sonora de emisión de pico ponderado C, LpC peak, para diez movimientos (presiones, golpes). Se repite la operación tres veces.
Nota. Se puede medir LAeq en lugar del nivel de un único suceso (SEL) y se registra el tiempo total de medida t. El nivel de presión sonora de emisión de un solo suceso puede calcularse entonces a partir de la ecuación: SEL = LAeq + 10 Ig (t).
F.3.2.4.3 Resultados de la medida. Los resultados de la medida sonora deben indicar:
a) El nivel de presión sonora de emisión ponderado A en la posición especificada, LpA en decibelios;
b) El nivel de presión sonora de emisión ponderado A de un solo suceso en la posición especificada, LpA1s en decibelios;
c) El nivel de presión sonora de emisión de pico ponderado C en la posición especificada, LpC peak en decibelios.
Nota. Debido al bajo coste de los juguetes, el método principal utilizado en esta norma ofrece el grado de precisión de un método de control ISO, que requiere un menor esfuerzo de medida que el correspondiente método técnico que se utiliza normalmente para las mediciones del nivel de ruido. Sin embargo, se recomienda a los usuarios de esta norma utilizar el método técnico, más exacto, sobre todo cuando el nivel de ruido se acerca a los valores límites.
El resultado de la medida corresponde al valor más elevado registrado (LpA y LpC peak), cualquiera que sea el emplazamiento del micrófono.
Para sonajeros y juguetes para apretar, el resultado corresponde a la media de los niveles de presión sonora de un solo suceso y al valor de pico de los niveles de pico. Se resta 10 dB a LpAl, para conseguir el valor de una secuencia.
F.4 Advertencias e instrucciones de uso
Los juguetes que producen altos impulsos de niveles de sonido en su empaque deben tener la siguiente advertencia:
“Advertencia! No taparse el oído con el juguete. El mal empleo puede ocasionar daños al escuchar”.
Para juguetes de fulminantes.
“No usar en lugares cerrados”.
F.6 Razones fundamentales
Estos requerimientos están destinados a la reducción del riesgo de posibles daños auditivos debido a los altos niveles de continuos en impulsos de ruido.
Se aplican solo a juguetes destinados a emitir sonidos es decir juguetes con características de emitir sonidos, dispositivos eléctricos o electrónicos motores que emiten sonidos, casquillos de percusión, componentes sonajeros etc.
Las definiciones en el Anexo F se incluyen con el propósito de ayudar a la interpretación del numeral F2 (Requisitos) y F3 (Determinaciones de los niveles de presión de ruido).
Muchos juguetes que emiten ruido continuo o ruido impulsivo. La sensibilidad del ruido en los niños hasta el momento se desconoce, pero básicamente existen científicos que sostienen que debido a que el canal auditivo de un niño es más pequeño que el de los adultos existe una alta diferencia para que los niños sean más sensibles a los sonidos de altas frecuencias.
El ruido impulsivo es peligroso puede que sea muy difícil para el humano determinar los niveles de sonido ya que los periodos de tiempo son cortos. Es un hecho que después de una exposición a niveles de pico alto causa daños permanentes a la audición.
Los juguetes acústicos deben cumplir con otros requisitos concernientes a la NTC 4894.
DOCUMENTO DE REFERENCIA
INTERNATIONAL ORGANIZATION FOR STANDARDIZATION. Safety of Toys.
Part 1: Mechanical and Physical Properties. Draft International Standard ISO/DIS 8124-1.3. Geneva, Switzerland, 998. 73 p.
***
1* Por ejemplo un recinto de ensayo en el cual el movimiento de aire sea inferior a 0,2 m/s, al principio del ensayo, y que no esté además influido por la puesta en funcionamiento de los aparatos mecánicos durante el ensayo. Es esencial que el volumen de aire en el recinto de ensayo sea tal que el ensayo no se vea afectado por ninguna reducción de la concentración de oxígeno. Cuando se utilice un recinto abierto para el ensayo, hay que asegurarse de que la muestra de ensayo está, al menos, a 300 mm de las paredes del recinto.
1. g = 9,806 65 m/s2.
2. g = 9,806 65 m/s2.
3. g = 9,806 65 m/s2.
4. g = 9,806 65 m/s2.
5. g = 9,806 65 m/s2.
6. g = 9,806 65 m/s2.
7. g = 9,806 65 m/s2.
8. Véase la Directiva del Consejo Europeo 88/CEE del 3 de mayo de 1988, relativa a la seguridad de los juguetes (publicada en el Diario Oficial de la CE N' L 187 del 16 de julio de 1988).
9. Véase la Nota página 20.
10 Valor no establecido aún.