Derechos de autor reservados - Prohibida su reproducción
RESOLUCIÓN 1395 DE 2020
(julio 28)
Diario Oficial No. 51.390 de 29 de julio de 2020
MINISTERIO DEL TRABAJO
Por la cual se dictan medidas para la operación de los artículos 3o y 4o del Decreto Legislativo 553 de 2020, expedido dentro del Estado de Emergencia Económica, Social y Ecológica.
EL MINISTRO DEL TRABAJO,
en ejercicio de las facultades legales, en especial las conferidas en el numeral 16 del artículo 2o, los numerales 2, 5 y 13 del artículo 6o del Decreto número 4108 de 2011 y el artículo 4o del Decreto Legislativo 553 de 2020 expedido en desarrollo de lo previsto en el Decreto número 417 del 17 de marzo de 2020, por el cual se declara un Estado de Emergencia Económica, Social y Ecológica en todo el territorio nacional, y
CONSIDERANDO:
Que el Gobierno nacional a través del Decreto número 417 del 17 de marzo de 2020 declaró el Estado de Emergencia Económica, Social y Ecológica en todo el territorio nacional por el término de treinta (30) días, con el fin de conjurar la grave calamidad pública que afecta al país por causa de la expansión del nuevo Coronavirus COVID-19.
Que el Decreto Legislativo 488 del 27 de marzo de 2020 por el cual se dictan medidas de orden laboral, dentro del Estado de Emergencia Económica, Social y Ecológica, dispuso en su artículo 6o:
“Artículo 6o. Beneficios relacionados con el Mecanismo de Protección al Cesante. Hasta tanto permanezcan los hechos que dieron lugar a la Emergencia Económica, Social y Ecológica, y hasta donde permita la disponibilidad de recursos, los trabajadores dependientes o independientes cotizantes categoría A y B, cesantes, que hayan realizado aportes a una Caja de Compensación Familiar durante un (1) año, continuo o discontinuo, en el transcurso de los últimos cinco (5) años, recibirán, además de los beneficios contemplados en el artículo 11 de la Ley 1636 de 2013, una transferencia económica para cubrir los gastos, de acuerdo con las necesidades y prioridades de consumo de cada beneficiario, por un valor de dos (2) salarios mínimos mensuales legales vigentes, divididos en tres (3) mensualidades iguales que se pagarán mientras dure la emergencia y, en todo caso, máximo por tres meses.
PARÁGRAFO. El aspirante a este beneficio deberá diligenciar ante la Caja de Compensación Familiar a la que se encuentre afiliado, la solicitud pertinente para poder aspirar a obtener el beneficio de que trata el presente artículo.
La Superintendencia de Subsidio Familiar impartirá instrucciones inmediatas a las Cajas de Compensación Familiar para que la solicitud, aprobación y pago de este beneficio se efectúe por medios virtuales, en razón a la emergencia declarada”.
Que la Ley 1636 de 2013 creó el Mecanismo de Protección al Cesante con el fin de mitigar los efectos del desempleo que enfrentan los trabajadores, relacionados principalmente con la disminución de los ingresos económicos de los trabajadores y sus familias y la desprotección frente al Sistema de Seguridad Social Integral, para lo cual estableció dos beneficios concurrentes:
(i) Aportes al Sistema General de Seguridad Social en Salud y Pensiones, calculado sobre un (1) salario mínimo legal mensual vigente. El cesante que así lo considere podrá, con cargo a sus propios recursos cotizar al Sistema de Pensiones por encima de un (1) salario mínimo legal mensual vigente.
(ii) Acceso a la cuota monetaria del subsidio familiar en las condiciones establecidas en la legislación vigente aplicable al Sistema de Subsidio Familiar.
Que el beneficio creado en el artículo 6o del Decreto número 488 de 2020, hace parte del Mecanismo de Protección al Cesante contenido en las normas citadas anteriormente, y que el Ministerio del Trabajo expidió la Resolución 853 de 2020 mediante la cual dictó medidas para la operación de lo señalado en el mencionado artículo.
Que la atención del número de postulaciones radicadas en las Cajas de Compensación Familiar para acceder a los señalados beneficios requiere mayores recursos a aquellos de que dispone el FOSFEC de cada Caja de Compensación Familiar.
Que el Decreto número 552 del 15 de abril de 2020, por el cual se adiciona recursos al Fondo de Mitigación de Emergencia (FOME), creado por el Decreto 444 de 2020, en el marco del Estado de Emergencia Económica, Social y Ecológica y se dictan otras disposiciones, adiciona recursos del Fondo de Riesgos Laborales (FRL) al FOME, para transferencias económicas no condicionadas para las personas adultas mayores que se encuentren registradas en la lista de priorización del Programa Colombia Mayor, y la transferencia para los beneficiarios de las prestaciones económicas del Fondo de Solidaridad de Fomento al Empleo y Protección al Cesante (FOSFEC).
Que el Decreto número 553 del 15 de abril de 2020 estableció en el artículo 3o que las transferencias económicas para las prestaciones económicas del Fondo de Solidaridad de Fomento al Empleo y Protección al Cesante (FOSFEC), se efectuarán a través de giros directos a las Cajas de Compensación Familiar con destinación específica a la cuenta de prestaciones económicas, con el fin de apalancar la financiación de las prestaciones económicas para los trabajadores cesantes, contemplados en el artículo 11 de la Ley 1636 de 2013 y el artículo 6o del Decreto número 488 de 2020.
Que el Decreto número 553 de 2020, en el artículo 4o faculta al Ministerio del Trabajo para definir las condiciones y criterios de acceso a estos recursos por parte de las Cajas de Compensación Familiar.
En mérito de lo expuesto,
RESUELVE:
ARTÍCULO 1o. OBJETO. La presente resolución tiene como objeto establecer las condiciones y criterios de distribución de los recursos provenientes del Fondo de Mitigación de Emergencia (FOME) para el mecanismo de protección al cesante, entre las Cajas de Compensación Familiar que se realizará por parte del Ministerio del Trabajo, para la operación de los artículos 3o y 4o del Decreto Legislativo 553 de 2020, expedido dentro del Estado de Emergencia Económica, Social y Ecológica.
ARTÍCULO 2o. ÁMBITO DE APLICACIÓN. La presente resolución se aplicará a las Cajas de Compensación Familiar para acceder a los recursos del FOME a través de una transferencia de giro directo, dentro de lo definido en el Decreto Legislativo 553 de 2020.
ARTÍCULO 3o. BENEFICIARIOS. Los beneficiarios de los recursos provenientes del Fondo de Emergencia Económica (FOME), serán los cesantes, contemplados en el artículo 6o del Decreto Legislativo 488 de 2020, hasta agotar los recursos según lo contemplado en el Decreto Legislativo 553 de 2020, que hayan sido trabajadores dependientes o independientes, cotizantes a categoría A y B, que hayan realizado aportes a una Caja de Compensación Familiar durante doce (12) meses continuos o discontinuos, en el transcurso de los últimos cinco (5) años, y en el cual se priorizará a quienes se encuentren en lista de espera y hayan cumplido los requisitos contemplados en el presente artículo.
ARTÍCULO 4o. ESQUEMA DE ACCESO A LOS RECURSOS FOME. Una vez determinados los recursos disponibles para los efectos de la presente resolución en el Presupuesto del Fondo de Emergencia Económica (FOME), las Cajas de Compensación Familiar que pretendan acceder a dichos recursos, dentro de los diez (10) días hábiles siguientes a la expedición de la presente resolución, podrán solicitar al Ministerio del Trabajo - Subdirección de Subsidio Familiar, mediante oficio suscrito por su Director o por el Representante Legal, la asignación de recursos, especificando:
i) Copia de los estados financieros del FOSFEC comprometidos con: balance general con estado de la situación financiera, estado de resultados, estado de flujos de efectivo de los recursos del FOSFEC comprometidos, teniendo en cuenta la aplicación del concepto financiero de unidad de caja entre subcuentas del fondo habilitada por el artículo 7o del Decreto Legislativo 488 de 2020, y las disposiciones dadas en el parágrafo 3 del artículo 3o del Decreto Legislativo 770 de 2020. En este sentido, las Cajas deberán tener en cuenta solo los recursos totales a recaudar durante la vigencia 2020 para este fondo, y mostrar que son insuficientes para atender el pago de los beneficios correspondientes a las postulaciones efectivas.
ii) Número de postulaciones asignadas a la fecha en que se hace la solicitud, en el marco del Estado de Emergencia Sanitaria.
iii) Número de postulaciones efectivas que cumplen con los criterios de asignación de los beneficios de prestaciones económicas, en los términos del artículo 3o de la presente resolución, y que se encuentren en lista de espera porque la Caja no cuenta con los recursos para hacer el desembolso del respectivo beneficio económico.
iv) El monto requerido de recursos para atender las postulaciones efectivas, señaladas en el numeral anterior.
v) Registro Único Tributario (RUT) de la Caja de Compensación Familiar
vi) Certificación actualizada de la cuenta bancaria a la que se debe realizar la transferencia.
PARÁGRAFO. Dentro de los cinco (5) días hábiles siguientes al recibo de la solicitud realizada por la Caja de Compensación Familiar, la Subdirección de Subsidio Familiar del Ministerio del Trabajo verificará la información recibida y el cumplimiento de requisitos e informará sobre ello a la Secretaría General del Ministerio del Trabajo quien a través de la Subdirección Financiera y Administrativa del mismo realizará el giro directo a la Caja de Compensación Familiar, de conformidad con los criterios señalados en la presente resolución.
ARTÍCULO 5o. CRITERIOS DE DISTRIBUCIÓN Y ASIGNACIÓN DE LOS RECURSOS DEL FOME A LAS CAJAS DE COMPENSACIÓN FAMILIAR. Los recursos girados a las Cajas de Compensación Familiar atenderán los siguientes criterios:
- Cálculo de la distribución de los recursos provenientes del FOME para cada caja.
Postulaciones efectivas: hacen referencia a aquellas que cumplen todas las condiciones de los Decretos números 488 de 2020, 553 de 2020 y 770 de 2020.
Postulaciones asignadas: Entiéndase como todas las postulaciones que se asignarán con recursos FOSFEC, con recursos pagados, actuales y provenientes del ejercicio de anticipación de recursos a diciembre de 2020 de las Cajas de Compensación Familiar (CCF).
Las postulaciones asignadas también contemplan las proyecciones de postulaciones a atender con los recursos de FOSFEC a diciembre de 2020 en el marco del parágrafo 3 del artículo 3o del Decreto Legislativo 770 de 2020.
1. Déficit proyectado de cobertura por caja (DPC): Entiéndase por el déficit en cupos potenciales a atender, calculado como la diferencia (déficit) entre las postulaciones efectivas por atender por la CCF y las postulaciones asignadas con recursos FOSFEC de 2020.
![]()
2. Déficit proyectado de cobertura nacional (DPCN): Es la sumatoria de los déficits de todas las cajas.

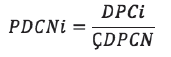
3. Participación del déficit de la caja en el déficit nacional (PDCN): Es el porcentaje de participación del déficit calculado de cada Caja en el déficit nacional.

4. Distribución de recursos para cada caja (VA): El porcentaje de participación calculado en el numeral 3 del presente artículo se utiliza para definir el porcentaje de participación en los recursos disponibles del FOME.
![]()
PARÁGRAFO 1o. En ningún caso el valor de los recursos a distribuir a una Caja de Compensación Familiar podrá superar el 20% del total de recursos disponibles, ni superar el monto necesario para cubrir el total de personas con postulaciones efectivas en la respectiva Caja de Compensación Familiar.
PARÁGRAFO 2o. El Ministerio del Trabajo realizará la distribución de recursos en dos momentos. En el primero se distribuirá el 80% de los recursos disponibles entre todas las Cajas de Compensación Familiar y en el segundo momento el 20% restante; en este último solamente participarán las Cajas de Compensación Familiar tipo I y II según la distribución del fondo FOSFEC, en concordancia con los principios del Mecanismo de Protección al Cesante, contemplados en el artículo 4o de la Ley 1636 de 2013, tales como solidaridad, eficiencia, y sostenibilidad.
ARTÍCULO 6o. DETERMINACIÓN DE LA DISTRIBUCIÓN DE RECURSOS. El Ministerio del Trabajo una vez revisada la información, determinará la distribución de recursos entre las Cajas de Compensación Familiar a las que proceda el giro directo, de acuerdo con lo informado por su Director o su representante legal y conforme a los criterios de distribución enunciados en el artículo 5o de la presente resolución.
ARTÍCULO 7o. RESPONSABILIDAD DE LA INFORMACIÓN REPORTADA. Los directores administrativos y representantes legales de las Cajas de Compensación Familiar responderán por la veracidad de la información que se reporte al Ministerio del Trabajo para acceder a los recursos del FOME. En caso de incumplimiento a esta obligación estarán sujetos a las sanciones correspondientes por parte de las entidades competentes de vigilancia y control de conformidad con las normas vigentes.
ARTÍCULO 8o. SEGUIMIENTO DEL USO DE LOS RECURSOS FOME POR PARTE DE LAS CAJAS DE COMPENSACIÓN FAMILIAR. Las Cajas de Compensación Familiar que reciban giros directos del Ministerio del Trabajo provenientes del FOME, deberán reportar a la Superintendencia del Subsidio Familiar el registro estadístico, contable y financiero del uso de los recursos.
La Superintendencia de Subsidio Familiar realizará los ajustes pertinentes en el Sistema de Información para poder tener el seguimiento y supervisión que le corresponde, bajo la periodicidad que considere necesaria para el reporte de información por parte de las Cajas de Compensación Familiar.
ARTÍCULO 9o. VIGENCIA. La presente resolución rige a partir de la fecha de su publicación.
Publíquese, comuníquese y cúmplase.
Dada en Bogotá, D. C., a 28 de julio de 2020.
El Ministro del Trabajo,
Ángel Custodio Cabrera Báez.
Las notas de vigencia, concordancias, notas del editor, forma de presentación y disposición de la compilación están protegidas por las normas sobre derecho de autor. En relación con estos valores jurídicos agregados, se encuentra prohibido por la normativa vigente su aprovechamiento en publicaciones similares y con fines comerciales, incluidas -pero no únicamente- la copia, adaptación, transformación, reproducción, utilización y divulgación masiva, así como todo otro uso prohibido expresamente por la normativa sobre derechos de autor, que sea contrario a la normativa sobre promoción de la competencia o que requiera autorización expresa y escrita de los autores y/o de los titulares de los derechos de autor. En caso de duda o solicitud de autorización puede comunicarse al teléfono 617-0729 en Bogotá, extensión 101. El ingreso a la página supone la aceptación sobre las normas de uso de la información aquí contenida.