RESOLUCIÓN 90708 DE 2013
(agosto 30)
Diario Oficial No. 48.904 de 5 de septiembre de 2013
MINISTERIO DE MINAS Y ENERGÍA
<NOTAS DE VIGENCIA: Resolución derogada por el artículo 4 de la Resolución 40117 de 2024. Consultar las disposiciones transitorias en su artículo 3>
Por la cual se expide el Reglamento Técnico de Instalaciones Eléctricas – RETIE.
EL MINISTRO DE MINAS Y ENERGÍA,
en ejercicio de sus facultades legales, en especial las que le confiere el numeral 7 del artículo 5o del Decreto 381 de 2012 y en aplicación de lo dispuesto en el parágrafo del artículo 8o de la Ley 1264 de 2008 y
CONSIDERANDO:
Que según lo dispuesto en el literal c del artículo 4o de la Ley 143 de 1994, el Estado en relación con el servicio de electricidad deberá mantener y operar sus instalaciones preservando la integridad de las personas, de los bienes y del medio ambiente y manteniendo los niveles de calidad y seguridad establecidos. Así mismo, de conformidad con el parágrafo del citado artículo, los agentes económicos que participen en actividades de electricidad, deben sujetarse al cumplimiento de este objetivo.
Que el inciso 1o del artículo 72 de la Ley 1480 de 2011 señala que cuando alguna norma legal o reglamentaria haga referencia a las –normas técnicas oficializadas– o las –normas técnicas oficiales obligatorias–, estas expresiones se entenderán reemplazadas por la expresión –reglamentos técnicos–.
Que el inciso segundo ibídem establece que de acuerdo con las disposiciones establecidas en el Acuerdo de Obstáculos Técnicos al Comercio de la Organización Mundial del Comercio (OMC) y demás compromisos adquiridos con los socios comerciales de Colombia, no se podrá publicar en la Gaceta Oficial un reglamento técnico que no cuente con la certificación expedida por el Punto de Contacto de Colombia frente a la OMC”.
Que mediante documento G/TBT/N/COL/20/Add.9, el Comité de Obstáculos Técnicos al Comercio la Organización Mundial del Comercio (OMC), certifica el establecimiento del plazo para comentarios al proyecto de Reglamento Técnico de Instalaciones Eléctricas (RETIE) presentado a su consideración por este Ministerio.
Que dentro de dicho plazo se recibió solo una observación, fundamentada en una norma técnica brasilera, referente al producto ducha eléctrica, la cual fue tenida en cuenta dentro del reglamento y se realizaron los ajustes de forma resultante de las demás observaciones.
Que en cumplimiento de lo dispuesto en el artículo 32 de la Decisión 419 de la Comunidad Andina de Naciones, el Comité Andino de Normalización, Acreditación, Ensayos, Certificación, Reglamentos Técnicos y Metrología mediante documento CAN/TBT/N/COL/20/Add.9, certifica la notificación del Proyecto de Reglamento Técnico de Instalaciones Eléctricas (RETIE).
Que en aplicación de lo dispuesto en el artículo 7o de la Ley 1340 de 2009, se le solicitó a la Superintendencia de Industria y Comercio concepto de abogacía, el cual fue atendido mediante comunicación con radicado SIC número 13-122227-1-0 del 20 de mayo de 2013 y radicado MME número 2013031933 del 23 de mayo de 2013, en la que se señala que “(…) el proyecto de la Norma Técnica no tiende a generar un efecto anticompetitivo en el mercado de instalaciones eléctricas (…)”.
Que el Reglamento Técnico de Instalaciones Eléctricas (RETIE) contiene los requisitos de seguridad que deben guardar las instalaciones eléctricas, atendiendo plenamente el mandato establecido en parágrafo del artículo 8o de la Ley 1264 de 2008.
Que se cumplieron los términos de las notificaciones anteriores y se atendieron e incluyeron las observaciones.
Que surtidos los trámites requeridos para la adopción del presente reglamento,
RESUELVE:
ARTÍCULO 1o. <Resolución derogada por el artículo 4 de la Resolución 40117 de 2024> Expedir el Reglamento Técnico de Instalaciones Eléctricas (RETIE) para la República de Colombia, el cual se encuentra contenido en:
1. El Anexo General, en 205 páginas.
2. <Ver Notas del Editor> El Anexo número 2 que lo conforman los siete primeros capítulos de la Norma Técnica Colombiana NTC 2050, Primera Actualización de 1988, que tiene su origen en la norma técnica NFPA 70, el cual fue publicado en el Diario Oficial número 45.592 de 2004.
ARTÍCULO 2o. <Resolución derogada por el artículo 4 de la Resolución 40117 de 2024> A partir de la expedición de la presente Resolución, el Reglamento Técnico de Instalaciones Eléctricas (RETIE), será de obligatorio cumplimiento en el todo el territorio nacional.
ARTÍCULO 3o. <Resolución derogada por el artículo 4 de la Resolución 40117 de 2024> Revisar y/o actualizar cada cinco (5) años las causas que originaron la expedición del reglamento técnico para establecer si se mantienen, fueron modificadas o desaparecieron y, de ser necesario, proceder a actualizarlo o derogarlo, de conformidad con lo establecido en el subnumeral 6 del literal c) del numeral 3.1.3 del Capítulo 3 de la Circular Única de la Superintendencia de Industria y Comercio.
ARTÍCULO 4o. La presente resolución rige a partir de la fecha de su publicación en el Diario Oficial y deroga todas las disposiciones que le sean contrarias, en especial las Resoluciones 180398 del 7 de abril 2004, 180498 del 27 de abril de 2005, 181419 del 1o de noviembre de 2005, 180466 del 2 de abril de 2007, 182011 del 4 de diciembre de 2007, 180632 del 29 de abril de 2011 <sic, 2008>, 181294 del 6 de agosto de 2008 y 181877 del 15 de noviembre de 2011 y 90404 del 28 de mayo de 2013.
Publíquese y cúmplase.
Dada en Bogotá, D. C., a 30 de agosto de 2013.
El Ministro de Minas y Energía,
FEDERICO RENGIFO VÉLEZ.
REGLAMENTO TÉCNICO DE INSTALACIONES ELÉCTRICAS (RETIE).
En cumplimiento del artículo 2o. de la Constitución Nacional, les corresponde a las autoridades de la República proteger a todas las personas residentes en Colombia en su vida, honra y bienes. En tal sentido el Ministerio de Minas y Energía como máxima autoridad en materia energética, adopta los reglamentos técnicos orientados a garantizar la protección de la vida de las personas contra los riesgos que puedan provenir de los bienes y servicios relacionados con el sector a su cargo.
El conocimiento de las leyes físicas que regulan la electricidad en los dos últimos siglos ha permitido grandes avances tecnológicos y una alta dependencia de esta forma de energía. Igualmente, este desarrollo científico y tecnológico ha permitido ver como la vida humana, animal o vegetal, tiene asociados procesos energéticos en su mayoría con manifestaciones eléctricas, cuyos valores de tensión y corriente son tan pequeños que los hace fácilmente alterables cuando el organismo es sometido a la interacción de energía eléctrica de magnitudes de mayor valor, como las aplicadas usualmente en los procesos domésticos, industriales o comerciales. Es por esto que este reglamento establece los requisitos que deben cumplir los materiales, equipos e instalaciones, así como la obligatoriedad de evaluar los riesgos de origen eléctrico y tomar las medidas necesarias para evitar que tales riesgos se materialicen en incidentes o accidentes y conocer y acatar tales requisitos será la mejor opción de aprovechar las ventajas de la electricidad, sin que esta cause daños.
Teniendo en cuenta principios generales que orientan la gestión del riesgo, como son los de: igualdad, protección, solidaridad social, autoconservación, participación, diversidad cultural, interés público o social, precaución, sostenibilidad ambiental, gradualidad, coordinación, concurrencia, subsidiariedad y oportuna información. Esperamos que todos los habitantes del territorio nacional, apoyen una gestión de los riesgos de origen eléctrico y actúen bajo los principios antes señalados, tanto en lo personal como en lo social, aplicándolos a los bienes utilizados en las instalaciones eléctricas y en los procedimientos propios de los servicios de diseño, construcción, operación y mantenimiento de dichas instalaciones.
El esquema actual del comercio mundial no permite restricciones innecesarias al mercado de bienes y servicios y solo se pueden aceptar aquellas que salvaguarden intereses legítimos del país, siempre que se hagan mediante reglamentos técnicos sometidos previamente a discusión pública, a notificación internacional y a publicación, con tales condiciones los reglamentos técnicos son de obligatorio cumplimiento en el país que los emita.
En el Reglamento Técnico de Instalaciones Eléctricas - RETIE, se establecen los requisitos que garanticen los objetivos legítimos de protección contra los riesgos de origen eléctrico, para esto se han recopilado los preceptos esenciales que definen el ámbito de aplicación y las características básicas de las instalaciones eléctricas y algunos requisitos que pueden incidir en las relaciones entre las personas que interactúan con las instalaciones eléctricas o el servicio y los usuarios de la electricidad.
Se espera que al aplicar tales preceptos con ética, conciencia y disciplina por todas las personas, que intervengan, los usuarios de los bienes y servicios relacionados con la electricidad, así como los que los ejecutan estén exentos de los riesgos de origen eléctrico.
Para efectos del presente reglamento, las palabras deber y tener, como verbos y sus conjugaciones, deben entenderse como “estar obligado”.
El Ministerio de Minas y Energía agradece la participación de los profesionales colombianos en el campo de la electrotecnia, las empresas del subsector de la electricidad, los gremios relacionados y la academia por los valiosos aportes para complementar y mejorar el RETIE, en especial al ingeniero Favio Casas Ospina y su equipo de trabajo por la entrega y dedicación a este proyecto.
DISPOSICIONES GENERALES.
ARTÍCULO 1o. OBJETO. El objeto fundamental de este reglamento es establecer las medidas tendientes a garantizar la seguridad de las personas, de la vida tanto animal como vegetal y la preservación del medio ambiente; previniendo, minimizando o eliminando los riesgos de origen eléctrico. Sin perjuicio del cumplimiento de las reglamentaciones civiles, mecánicas y fabricación de equipos.
Adicionalmente, señala las exigencias y especificaciones que garanticen la seguridad de las instalaciones eléctricas con base en su buen funcionamiento; la confiabilidad, calidad y adecuada utilización de los productos y equipos, es decir, fija los parámetros mínimos de seguridad para las instalaciones eléctricas.
Igualmente, es un instrumento técnico-legal para Colombia, que sin crear obstáculos innecesarios al comercio o al ejercicio de la libre empresa, permite garantizar que las instalaciones, equipos y productos usados en la generación, transmisión, transformación, distribución y utilización de la energía eléctrica, cumplan con los siguientes objetivos legítimos:
La protección de la vida y la salud humana.
La protección de la vida animal y vegetal.
La preservación del medio ambiente.
La prevención de prácticas que puedan inducir a error al usuario.
Para cumplir estos objetivos legítimos, el presente reglamento se basó en los siguientes objetivos específicos:
a. Fijar las condiciones para evitar accidentes por contacto directo o indirecto con partes energizadas o por arcos eléctricos.
b. Establecer las condiciones para prevenir incendios y explosiones causados por la electricidad.
c. Fijar las condiciones para evitar quema de árboles causada por acercamiento a redes eléctricas.
d. Establecer las condiciones para evitar muerte de personas y animales causada por cercas eléctricas.
e. Establecer las condiciones para evitar daños debidos a sobrecorrientes y sobretensiones.
f. Adoptar los símbolos que deben utilizar los profesionales que ejercen la electrotecnia.
g. Minimizar las deficiencias en las instalaciones eléctricas.
h. Establecer claramente las responsabilidades que deben cumplir los diseñadores, constructores, interventores, operadores, inspectores, propietarios y usuarios de las instalaciones eléctricas, además de los fabricantes, importadores, distribuidores de materiales o equipos y las personas jurídicas relacionadas con la generación, transformación, transporte, distribución y comercialización de electricidad, organismos de inspección, organismos de certificación, laboratorios de pruebas y ensayos.
i. Unificar los requisitos esenciales de seguridad para los productos eléctricos de mayor utilización, con el fin de asegurar la mayor confiabilidad en su funcionamiento.
j. Prevenir los actos que puedan inducir a error a los usuarios, tales como la utilización o difusión de indicaciones incorrectas o falsas o la omisión del cumplimiento de las exigencias del presente reglamento.
k. Exigir confiabilidad y compatibilidad de los productos y equipos eléctricos.
l. Exigir requisitos para contribuir con el uso racional y eficiente de la energía y con esto a la protección del medio ambiente y el aseguramiento del suministro eléctrico.
ARTÍCULO 2o. CAMPO DE APLICACIÓN. El presente reglamento aplica a las instalaciones eléctricas, a los productos utilizados en ellas y a las personas que las intervienen, en los siguientes términos:
Para efectos de este reglamento, se consideran como instalaciones eléctricas los circuitos eléctricos con sus componentes, tales como, conductores, equipos, máquinas y aparatos que conforman un sistema eléctrico y que se utilizan para la generación, transmisión, transformación, distribución o uso final de la energía eléctrica; sean públicas o privadas y estén dentro de los límites de tensión y frecuencia aquí establecidos, es decir, tensión nominal mayor o igual a 24 V en corriente continua (cc) o más de 25 V en corriente alterna (ca) con frecuencia de servicio nominal inferior a 1000 Hz.
<Inciso corregido por el artículo 1 de la Resolución 90907 de 2013. El nuevo texto es el siguiente:> Los requisitos del presente Reglamento aplican a las instalaciones eléctricas construidas con posterioridad a la entrada en vigencia del mismo, así como a las ampliaciones y remodelaciones. En las Construidas con posterioridad al 1o de mayo de 2005, el propietario o tenedor de la misma debe dar aplicación a las disposiciones contenidas en el RETIE vigente a la fecha de construcción y en las anteriores al 1o de mayo de 2005, garantizar que no representen alto riesgo para la salud o la vida de las personas y animales, o atenten contra el medio ambiente, o en caso contrario, hacer las correcciones para eliminar o mitigar el riesgo
Los requisitos y prescripciones técnicas de este reglamento serán de obligatorio cumplimiento en Colombia, en todas las instalaciones eléctricas utilizadas en la generación, transporte, transformación, distribución y uso final de la electricidad, incluyendo las que alimenten equipos para señales de telecomunicaciones, electrodomésticos, vehículos, máquinas, herramientas y demás equipos. Estos requisitos son exigibles en condiciones normales o nominales de la instalación. En caso de que se alteren las anteriores condiciones por fuerza mayor o situaciones de orden público, el propietario o tenedor de la instalación buscará restablecer las condiciones de seguridad en el menor tiempo posible.
Las instalaciones deben construirse de tal manera que las partes energizadas peligrosas, no deben ser accesibles a personas no calificadas y las partes energizadas accesibles no deben ser peligrosas, tanto en operación normal como en caso de falla.
2.1.1. CONFORMIDAD DE LA INSTALACIÓN.
Para determinar la conformidad de las instalaciones eléctricas con el Retie, además de lo exigido en el capítulo 10 del presente anexo, se deben seguir los siguientes lineamientos:
a. Toda instalación objeto del RETIE debe demostrar su cumplimiento mediante la declaración de cumplimiento suscrita por quien realice directamente la construcción, la remodelación o ampliación de la instalación eléctrica. En los casos en que se exija la certificación plena, ésta se entenderá como la declaración de cumplimiento acompañada del dictamen de inspección expedido por el organismo de inspección acreditado por ONAC, que valide dicha declaración.
b. El operador de red, el comercializador de energía o quien preste el servicio en la zona, no debe energizar la instalación ni suministrar el servicio de energía, si el propietario o tenedor de la instalación no demuestra la conformidad con el RETIE. Igual tratamiento se dará a instalaciones, que aun contando con la certificación en el momento de efectuar la visita técnica para su energización, se evidencien incumplimientos con el presente reglamento que pongan en alto riesgo o peligro inminente la salud o la vida de las personas o la seguridad de la misma instalación y las edificaciones contiguas. Si ocurre alguna eventualidad o accidente después de darle servicio a la instalación eléctrica, se debe investigar las causas y las personas responsables de la anormalidad encontrada, deben ser sancionadas por los organismos de control y vigilancia competentes.
c. En el evento que se energice una instalación que no demuestre su conformidad con el presente reglamento, la empresa que preste el servicio será la responsable por los efectos que se deriven de este hecho. En consecuencia, la SSPD podrá, una vez realizadas las investigaciones del caso, imponer sanciones en concordancia con el artículo 81 de la Ley 142 de 1994.
d. Los responsables de ampliaciones o remodelaciones que no cumplan con los requisitos establecidos en el RETIE exponiendo en alto riesgo o peligro inminente la salud o vida de las personas, también deben ser investigados y sancionados por el ente de control y vigilancia competente. Igualmente, deben ser investigados y sancionados los organismos acreditados que emitieron la certificación de la instalación sin el cumplimiento de los requisitos.
Este reglamento debe ser observado y cumplido por todas las personas naturales o jurídicas, nacionales o extranjeras, contratistas u operadores que generen, transformen, transporten, distribuyan la energía eléctrica; y en general, por quienes usen, diseñen, supervisen, construyan, inspeccionen, operen o mantengan instalaciones eléctricas en Colombia. Así como por los productores, importadores y comercializadores de los productos objeto del RETIE y por los organismos de evaluación de la conformidad.
Los productos contemplados en la tabla 2.1, por ser los de mayor utilización en las instalaciones eléctricas y estar directamente relacionados con el objeto y campo de aplicación del reglamento técnico de instalaciones eléctricas, RETIE, deben dar cumplimiento a los requisitos establecidos en éste y demostrarlo mediante un certificado de conformidad de producto.
<Tabla modificada por el artículo 1 de la Resolución 90795 de 2014. El nuevo texto es el siguiente:>
Tabla 2.1 Productos objeto del RETIE
| Ítem | Producto |
| 1 | Aisladores eléctricos de vidrio, cerámica y otros materiales, para uso en líneas, redes, subestaciones y barrajes eléctricos, de tensión superior a 100 V. |
| 2 | Alambres de aluminio o de cobre, aislados o sin aislar, para uso eléctrico. |
| 3 | Bandejas portacables para uso eléctrico. |
| 4 | Cables de aluminio, cobre u otras aleaciones, aislados o sin aislar, para uso eléctrico. |
| 5 | Cables de aluminio con alma de acero, para uso eléctrico. |
| 6 | Cables de acero galvanizado, para uso en instalaciones eléctricas (cables de guarda, templetes, cable puesta a tierra). |
| 7 | Cajas de conexión de circuitos eléctricos y conduletas. |
| 8 | Canalizaciones y canaletas metálicas y no metálicas para uso eléctrico. |
| 9 | Canalizaciones con barras o ductos con barras. |
| 10 | Cargadores de baterías para vehículos eléctricos. |
Tabla 2.1 Productos objeto del RETIE
| Ítem | Producto |
| 11 | Celdas para uso en subestaciones de media tensión. |
| 12 | Cinta aislante eléctrica. |
| 13 | Clavijas eléctricas para baja tensión. |
| 14 | Controladores o impulsores para cercas eléctricas. |
| 15 | Contactores eléctricos para corrientes superiores a 15 A. |
| 16 | Condensadores y bancos de condensadores con capacidad nominal superior a 3 kVAR. |
| 17 | Conectores, terminales y empalmes para conductores de circuitos eléctricos. |
| 18 | Crucetas de uso en estructuras de apoyo de redes eléctricas (metálicas, madera, fibras poliestéricas, concreto.) |
| 19 | Dispositivos de protección contra sobretensiones transitorias para menos de 1000 V. |
| 20 | Dispositivos de protección contra sobretensiones transitorias para más de 1000 V y menos de 66 kV (limitadores de tensión). |
| 21 | Dispositivos de protección contra sobretensiones transitorias para más de 1000 V y menos de 66 kV (amortiguadores de onda). |
| 22 | Duchas eléctricas o calentadores eléctricos de paso. |
| 23 | Electrodos de puesta a tierra en cobre, aleaciones con más del 80% en cobre, acero inoxidable, acero recubierto en cobre, acero con recubrimiento galvanizado o cualquier tipo de material usado como electrodo de puesta a tierra. |
| 24 | Electrobombas de tensión superior a 25 V en corriente alterna o 48 V en corriente continua. |
| 25 | Equipos unitarios para alumbrados de emergencia. |
| 26 | Estructuras de líneas de transmisión y redes de distribución, incluye torrecillas y los perfiles metálicos exclusivos para ese uso. |
| 27 | Extensiones eléctricas para tensión menor a 600 V. |
| 28 | Fusibles y portafusibles para instalaciones eléctricas. |
| 29 | Generadores de corriente alterna o continua, de potencia igual a mayor de 1 kVA, incluyendo grupos electrógenos y pequeñas plantas de generación. |
| 30 | Herrajes para líneas de transmisión y redes de distribución eléctrica. |
| 31 | Interruptores o disyuntores automáticos para tensión menor a 1000 V. |
| 32 | Interruptores manuales o switches de baja tensión, incluyendo el tipo cuchilla. |
| 33 | Interruptores de media tensión. |
| 34 | Motores eléctricos para tensiones nominales mayores a 25 V y potencias iguales o mayores a 375 W de corriente continua o alterna, monofásicos o polifásicos, incluyendo aquellos incorporados en equipos como electrobombas y reductores de velocidad. |
| 35 | Multitomas eléctricas para tensión menor a 600 V. |
| 36 | Paneles solares fotovoltaicos para uso en instalaciones eléctricas de construcciones residenciales, comerciales o de uso público. |
| 37 | Portalámparas o portabombillas. |
| 38 | Postes de concreto, metálicos, madera u otros materiales, para uso en redes y líneas eléctricas. |
| 39 | Productos para instalaciones eléctricas especiales, para áreas clasificadas como peligrosas (áreas clasificadas), para instalaciones en lugares de asistencia médica, para instalaciones de viviendas móviles y vehículos recreativos y para instalaciones en minas. |
| 40 | Productos para equipos especiales, tales como: ascensores, montacargas, escaleras eléctricas, pasillos electromecánicos, grúas colgantes, elevadores de carga, equipos de rayos X, máquinas de riego controladas eléctricamente, piscinas, jacuzzis y fuentes similares y para sistemas contra incendio. |
| 41 | Productos para instalaciones eléctricas en lugares con alta concentración de personas. |
| 42 | Puertas cortafuego para uso en bóvedas de subestaciones eléctricas. |
| 43 | Puestas a tierra temporales. |
| 44 | Pulsadores eléctricos usados como accionamiento manual para conexión y desconexión de circuitos eléctricos. |
| 45 | Tableros eléctricos y paneles, armarios o encerramientos para tableros de tensión inferior o igual a 1000 V. |
| 46 | Celdas de media tensión. |
| 47 | Tomacorrientes para uso general o aplicaciones en instalaciones especiales para baja tensión. |
| 48 | Transferencias automáticas. |
| 49 | Relés térmicos y electrónicos para protección contra sobrecargas. |
| 50 | Reconectadores y seccionadores de media tensión. |
| 51 | Transformadores de capacidad mayor o igual a 3 kVA. |
| 52 | Tubos de hierro o aleación de hierro, para instalaciones eléctricas (Tubos Conduit metálicos). |
| 53 | Tubos no metálicos para instalaciones eléctricas (Tubos Conduit no metálicos). |
| 54 | Unidades ininterrumpidas de potencia (UPS). |
| 55 | Unidades de tensión regulada (reguladores de tensión) de potencia mayor a 500 W. |
Nota: el presente reglamento aplica a los productos con los nombres comerciales listados en la tabla 2.1 y a los que utilizando nombres distintos tienen el mismo uso. Las partidas del arancel de aduanas no serán las que determinan la aplicación de este reglamento, puesto que en estas se pueden clasificar productos que no son objeto del RETIE y además son susceptibles de modificación por la autoridad competente.
Para efectos de control y vigilancia, la tabla 2.2 muestra algunas partidas arancelarias y las notas marginales que precisan las condiciones en las cuales un producto, que siendo objeto del RETIE se puede excluir de su cumplimiento, por ser destinado a aplicaciones distintas al alcance y por tal razón no requieren demostrar conformidad con el RETIE. Cuando se haga uso de exclusiones, estas se deben probar ante la entidad de control, con los mecanismos previstos en la normatividad vigente.
| Partida arancelaria | Descripción según arancel | Nota marginal para aplicar o excluir un producto del cumplimiento del RETIE |
| 3917210000 | Tubos rígidos de polímeros de etileno. | Aplica únicamente a tuberías para instalaciones eléctricas, (tubos Conduit). |
| 3917220000 | Tubos rígidos de polímeros de propileno. | Aplica únicamente a tuberías para instalaciones eléctricas, (tubos Conduit). |
| 3917230000 | Tubos rígidos de polímeros de cloruro de vinilo. | Aplica únicamente a tuberías para instalaciones eléctricas, (tubos Conduit). |
| 3917291000 | Tubos rígidos, de los demás plásticos, de fibra vulcanizada. | Aplica únicamente a tuberías para instalaciones eléctricas, (tubos Conduit). |
| 3917299000 | Los demás tubos rígidos, de los demás plásticos. | Aplica únicamente a tuberías para instalaciones eléctricas, (tubos Conduit). |
| 3925900000 | Canalizaciones no metálicas. | Aplica únicamente a canalizaciones para instalaciones eléctricas. |
| 3919100000 | Placas, láminas, hojas, cintas, tiras y demás formas planas, autoadhesivas, de plástico, incluso en rollos de anchura inferior o igual a 20 cm. | Aplica única y exclusivamente a cinta aislante de uso eléctrico. |
| 3926909090 | Las demás manufacturas de plástico y manufacturas de las demás materias de las partidas 3901 a 3914 | Aplica única y exclusivamente a balizas utilizadas en líneas de transmisión como señales de aeronavegación, bandejas portacables para uso eléctrico. |
| 7222119000 | Barras y perfiles de acero inoxidable. | Aplica únicamente a electrodos de puesta a tierra (varillas de puesta a tierra). |
| 7304310000 | Los demás tubos y perfiles huecos, sin soldadura (sin costura), de hierro o acero sin alear, de sección circular, estirados o laminados en frío. | Aplica únicamente a tuberías metálicas para instalaciones eléctricas (tubos Conduit). |
| 7304390000 | Los demás tubos y perfiles huecos, sin soldadura (sin costura), de hierro o acero sin alear, de sección circular. | Aplica únicamente a tuberías metálicas para instalaciones eléctricas (tubos Conduit). |
| 7304510000 7304590000 7304900000 | Los demás tubos y perfiles huecos, sin soldadura (sin costura), de sección circular, de los demás aceros aleados, estirados o laminados en frío y los demás. | Aplica únicamente a tubos y tuberías metálicas para instalaciones eléctricas (tubos Conduit). |
| 7305190000 | ||
| 7304590000 | Los demás tubos y perfiles huecos, sin soldadura (sin costura), de sección circular, de los demás aceros aleados. | Aplica únicamente a tuberías para instalaciones eléctricas (tubos Conduit). |
| 7306309900 | Los demás tubos soldados longitudinalmente. | Aplica únicamente a tuberías para instalaciones eléctricas (tubos Conduit). |
| 7306610000 | Los demás tubos y perfiles huecos de sección cuadrada o rectangular. | Aplica únicamente a canaletas, canalizaciones metálicas para instalaciones eléctricas. |
| 7307920000 7307990000 | Accesorios de tuberías metálicos, como curvas, uniones, roscados o no roscados. | Aplica únicamente a accesorios de tubería eléctrica (Conduit). |
| 7308200000 | Torres y castilletes, de fundición, de hierro o de acero, excepto las construcciones prefabricadas de la partida 9406 | Aplica únicamente a torres, postes y demás estructuras metálicas para transporte o distribución de energía eléctrica. |
| 7314390000 | Las demás redes y rejas soldadas en los puntos de cruce. | Aplica únicamente a bandejas portacables metálicas. |
| 7326190000 | Las demás manufacturas de hierro o de acero forjadas o estampadas pero sin trabajar de otro modo. | Aplica únicamente a herrajes galvanizados utilizados en líneas y redes eléctricas y perfiles galvanizados para torres de líneas de transmisión o redes de distribución. |
| 7326901000 7326909000 | Barras de hierro o de acero. | Aplica únicamente a electrodos de puesta a tierra, con recubrimiento de cobre o cinc, acero inoxidable u otro material, para protección contra la corrosión. |
| 7407100000 | Barras y perfiles de cobre refinado o de aleaciones de cobre. | Aplica únicamente a electrodos de puesta a tierra y barras para uso eléctrico. |
| 7407210000 | Barras y perfiles a base de cobre-cinc (latón). | Aplica únicamente a electrodos de puesta a tierra, con recubrimiento de cobre o aleaciones cobre-cinc y barras para uso eléctrico. |
| 7408110000 | Alambre de cobre refinado con la mayor dimensión de la sección transversal superior a 6 mm. | Aplica únicamente a alambre sin aislar de uso eléctrico, sin incluir el alambrón sin trefilar. |
| 7408190000 | Los demás alambres de cobre refinado. | Aplica únicamente a alambre sin aislar de uso en conductores eléctricos, pero no aplica a alambre de cobre sin trefilar o cuando se fabriquen o importen para incorporarlos como parte constitutiva de automotores, navíos, aeronaves, electrodomésticos, equipos de electromedicina, elementos para señales de telecomunicaciones, sistemas de radio y demás máquinas y herramientas. |
| 7413000000 | Cables, trenzas y artículos similares de cobre, sin aislar para electricidad. | Aplica únicamente a cables y trenzas usadas en conductores de instalaciones eléctricas. No aplica cuando se importen o fabriquen para incorporarlos como parte integral de automotores, navíos, aeronaves, electrodomésticos, equipos de electromedicina, elementos para señales de telecomunicaciones, sistemas de radio y demás aparatos, máquinas y herramientas. |
| 7604101000 7604291000 | Barras de aluminio sin alear o aleadas. | Aplica únicamente a barras para uso eléctrico. |
| 7605110000 7605190000 | Alambres de aluminio con la mayor dimensión de la sección transversal superior a 7 mm 10 y las demás. | Aplica únicamente a alambres para uso eléctrico. |
| 7614100000 | Cables, trenzas y similares, de aluminio, con alma de acero, sin aislar para electricidad. | Aplica únicamente a cables y trenzas usadas como conductores en instalaciones eléctricas, pero no aplica cuando estos se importen o se fabriquen para incorporarlos como parte integral de automotores, navíos, aeronaves, electrodomésticos, equipos de electromedicina, elementos para señales de telecomunicaciones, sistemas de radio y demás aparatos, máquinas y herramientas. |
| 7614900000 | Los demás cables, trenzas y similares, de aluminio, sin aislar para electricidad. | Aplica únicamente a cables y trenzas usadas como conductores en instalaciones eléctricas, pero no aplica cuando estos se importen o se fabriquen para incorporarlos como parte integral de automotores, navíos, aeronaves, electrodomésticos, equipos de electromedicina, elementos para señales de telecomunicaciones, sistemas de radio y demás aparatos, máquinas y herramientas. |
| 8413 | Bombas propulsadas por motores eléctricos (electrobombas) para bombeo de líquidos. | Aplica a los motores eléctricos y demás elementos de conexión, protección y control eléctrico, instalados en las bombas para líquidos. |
| 8501 | Motores y generadores eléctricos, excepto los grupos electrógenos. | Se excluyen los motores menores a 375 W y los generadores de potencia menor a 1000 vatios y los motores y generadores eléctricos que se importen o se fabriquen exclusivamente para incorporarlos como parte integral de automotores, navíos, aeronaves, electrodomésticos, equipos de electromedicina, y demás aparatos, máquinas y herramientas siempre que tales máquinas o herramientas no estén consideradas como instalaciones eléctricas especiales en la NTC 2050 |
| 8502 | Grupos electrógenos y convertidores rotativos eléctricos, tanto de encendido por compresión como por chispa. | Se excluyen los grupos electrógenos y convertidores rotativos eléctricos de potencia inferior a 1 kVA. |
| 8504211000 | Transformadores de dieléctrico líquido, de potencia inferior o igual a 10 kVA. | Solo aplica a transformadores de distribución y de potencia superior o igual a 5 kVA. No aplica cuando se fabriquen o importen para incorporarlos como parte integral de automotores, navíos, aeronaves, equipos de electromedicina, elementos para señales de telecomunicaciones, sistemas de radio y demás aparatos, máquinas y herramientas siempre que tales máquinas o herramientas no estén consideradas como instalaciones eléctricas especiales en la NTC 2050 |
| 8504219000 | Los demás transformadores de dieléctrico líquido, de potencia superior a 10 kVA pero inferior o igual a 650 kVA. | No aplica cuando se fabriquen o importen para incorporarlos como parte integral de automotores, navíos, aeronaves, electrodomésticos, equipos de electromedicina, elementos para señales de telecomunicaciones, sistemas de radio. |
| 8504221000 | Transformadores de dieléctrico líquido, de potencia superior a 650 kVA pero inferior o igual a 1000 kVA. | No aplica cuando se fabriquen o importen para incorporarlos como parte integral de automotores, navíos, aeronaves, electrodomésticos, equipos de electromedicina, elementos para señales de telecomunicaciones, sistemas de radio. |
| 8504229000 | Los demás transformadores de dieléctrico líquido, de potencia superior a 1000 kVA pero inferior o igual a 10000 kVA. | No aplica cuando se fabriquen o importen para incorporarlos como parte integral de automotores, navíos, aeronaves, electrodomésticos, equipos de electromedicina, elementos para señales de telecomunicaciones, sistemas de radio. |
| 8504321000 | Los demás transformadores eléctricos, de potencia superior a 1 kVA pero inferior o igual a 10 kVA. | No aplica a transformadores de potencia menor de 5 kVA. No aplica cuando se fabriquen o importen para incorporarlos como parte integral de automotores, navíos, aeronaves, electrodomésticos, equipos de electromedicina, elementos para señales de telecomunicaciones, sistemas de radio y demás aparatos, máquinas y herramientas siempre que tales máquinas o herramientas no estén consideradas como instalaciones eléctricas especiales en la NTC 2050 |
| 8504329000 | Los demás transformadores eléctricos, de potencia superior a 10 kVA pero inferior o igual a 16 kVA. | No aplica cuando se fabriquen o importen para incorporarlos como parte integral de automotores, navíos, aeronaves, electrodomésticos, equipos de electromedicina, elementos para señales de telecomunicaciones, sistemas de radio y demás aparatos, máquinas y herramientas siempre que tales máquinas o herramientas no estén consideradas como instalaciones eléctricas especiales en la NTC 2050 |
| 8504330000 | Los demás transformadores eléctricos, de potencia superior a 16 kVA pero inferior o igual a 500 kVA. | No aplica cuando se fabriquen o importen para incorporarlos como parte integral de automotores, navíos, aeronaves, electrodomésticos, equipos de electromedicina, elementos para señales de telecomunicaciones, sistemas de radio. |
| 8504341000 | Los demás transformadores eléctricos, de potencia superior a 500 kVA pero inferior o igual 1600 kVA. | No aplica cuando se fabriquen o importen para incorporarlos como parte integral de automotores, navíos, aeronaves, electrodomésticos, equipos de electromedicina, elementos para señales de telecomunicaciones, sistemas de radio. |
| 8504342000 | Los demás transformadores eléctricos, de potencia superior a 1600 kVA. | No aplica cuando se fabriquen o importen para incorporarlos como parte integral de automotores, navíos, aeronaves, electrodomésticos, equipos de electromedicina, elementos para señales de telecomunicaciones, sistemas de radio. |
| 8504401000 8504409000 | Unidades de alimentación estabilizada (UPS) y demás convertidores estáticos. | Aplica únicamente a UPS o sistema de alimentación ininterrumpida, reguladores de tensión y aparatos de recargadores de baterías para vehículos eléctricos. |
| 8516100000 | Calentadores eléctricos de agua, de calentamiento instantáneo y calentadores eléctricos de inmersión. | Aplica únicamente calentadores eléctricos de paso y a duchas eléctricas. |
| 8535100000 8535210000 8535290000 8535300000 8535401000 8535409000 8535901000 8535909000 | Aparatos para corte y seccionamiento, protección, derivación, empalme, o conexión de circuitos eléctricos de media tensión, como interruptores, conmutadores, cortacircuitos, pararrayos (DPS), limitadores de tensión, supresores de sobretensiones transitorias, tomas de corriente, cajas de empalme, y demás conectores, fusibles, disyuntores y seccionadores, para tensiones mayores a 1000 V. | Aplica únicamente a fusibles, interruptores con fusible, cortacircuitos para redes de distribución, seccionadores, disyuntores o interruptores y reconectadores, dispositivos de protección contra sobretensiones, cajas de empalmen, para sistemas entre de 1000 a 57000 V (media tensión). |
| 8536102000 8536109000 8536202000 8536209000 8536301900 8536309000 8536411000 8536419000 8536491100 8536491900 8536499000 8536501900 8536509000 8536610000 8536690000 8536901000 8536902000 8536909000 | Aparatos para corte y seccionamiento, protección, derivación, empalme, o conexión de circuitos eléctricos de media tensión, como interruptores, conmutadores, relés, cortacircuitos, supresores de sobretensiones transitorias, clavijas y tomas de corriente (enchufes), portalámparas, cajas de empalme, y demás conectores y fusibles, para tensiones menores a 1000 V. | Aplica únicamente a fusibles, interruptores con fusible, interruptores manuales y automáticos, clavijas y tomas de corriente, portalámparas, dispositivos de protección contra sobretensiones, cajas de empalme, y demás conectores para sistemas de tensión inferior a 1000 V (baja tensión), contactores, fusibles para tensión mayor a 100 V y corriente mayor a 15 A. No aplican cuando se fabrique o importen para incorporarlos como parte integral de automotores, navíos, aeronaves, electrodomésticos, equipos de electromedicina, elementos para señales de telecomunicaciones, sistemas de radio y demás aparatos, máquinas y herramientas siempre que tales máquinas o herramientas no estén consideradas como instalaciones eléctricas especiales en la NTC 2050 |
| 8537200000 | Cuadros, paneles, consolas, armarios y demás soportes equipados con varios aparatos de las partidas 8535 u 8536, para control o distribución de electricidad, incluidos los que incorporen instrumentos o aparatos del capítulo 90, así como los aparatos de control numérico, excepto los aparatos de conmutación de la partida 8517, para una tensión superior a 1000 V. | Aplica a celdas de media tensión. |
| 8537101000 | Cuadros, armarios, consolas y demás soportes para controladores lógicos programables (PLC), para una tensión inferior o igual a 1000 V. | Aplica únicamente a los tableros o armarios que incorporen PLC. No aplica cuando se fabriquen o importen para incorporarlos como parte integral de automotores, navíos, aeronaves, electrodomésticos, equipos de electromedicina, elementos para señales de telecomunicaciones, sistemas de radio y demás aparatos, máquinas y herramientas siempre que tales máquinas o herramientas no estén consideradas como instalaciones eléctricas especiales en la NTC 2050 |
| 8537109000 | Los demás cuadros, paneles, consolas, armarios y demás soportes equipados con varios aparatos de las partidas 8535 u 8536, para control o distribución de electricidad, incluidos los que incorporen instrumentos o aparatos del capítulo 90, así como los aparatos de conmutación de la partida 8517, para una tensión menor o igual a 1000 V. | Aplica a tableros de baja tensión, no aplica cuando se fabriquen o importen para incorporarlos como parte integral de automotores, navíos, aeronaves, electrodomésticos, equipos de electromedicina, elementos para señales de telecomunicaciones, sistemas de radio y demás aparatos y máquinas siempre que tales máquinas no estén consideradas como instalaciones eléctricas especiales en la NTC 2050 |
| 8538100000 8538900000 | Cuadros, paneles, consolas, armarios y demás soportes, sin incluir aparatos y los demás partes destinadas a soportes de aparatos, sin incluir aparatos. | Aplica únicamente armarios consolas gabinetes y en general a los encerramientos que sirven de protección y soporte de aparatos eléctricos o como cajas de conexión, cajas de medidores y en general a cajas usadas como encerramientos eléctricos. No aplica cuando se fabriquen o importen para incorporarlos como parte integral de automotores, navíos, aeronaves, electrodomésticos, equipos de electromedicina, elementos para señales de telecomunicaciones, sistemas de radio y demás aparatos, máquinas y herramientas siempre que tales máquinas o herramientas no estén consideradas como instalaciones eléctricas especiales en la NTC 2050 |
| 8543701000 | Electrificadores de cercas. | Aplica únicamente a los generadores de pulsos o controladores de cercas eléctricas. |
| 8544422000 8544429000 8544491000 8544499000 | Hilos, cables y demás conductores eléctricos aislados para tensión inferior o igual a 1000 V, provistos o no de piezas de conexión. | Aplica únicamente a conductores eléctricos aislados incluyendo los armados, las extensiones, multitomas y canalizaciones con barras (bus de barras) incorporadas. |
| 8544601000 8544609000 | Cables y demás conductores eléctricos aislados para tensión superior a 1000 V. | Aplica únicamente a cables eléctricos aislados para media y alta y extra-alta tensión. |
| 8546100000 | Aisladores eléctricos, de vidrio. | Aplica únicamente a aisladores eléctricos usados en barrajes, líneas de transmisión, subestaciones o redes de distribución eléctrica. |
| 8546200000 | Aisladores eléctricos, de cerámica. | Aplica únicamente a aisladores eléctricos usados en soporte de barrajes, líneas de transmisión, subestaciones o redes de distribución. |
| 8546901000 | Aisladores eléctricos, de silicona. | Aplica únicamente a aisladores eléctricos usados en soporte de barrajes, líneas de transmisión, subestaciones o redes de distribución. |
| 8546909000 | Aisladores eléctricos, de las demás materias. | Aplica únicamente a aisladores eléctricos usados en soporte de barrajes, líneas de transmisión, subestaciones o redes de distribución. |
Tabla 22 Algunas partidas arancelarias
Nota: la no inclusión en la tabla 2.2 de la partida arancelaria que sea aplicable a algún producto objeto del RETIE, no podrá ser excusa válida para incumplir el reglamento.
2.3.1. CONFORMIDAD DE PRODUCTO.
Los productos usados en las instalaciones eléctricas objeto del RETIE y que estén listados en el tabla 2.1, deben demostrar la conformidad con el RETIE mediante un certificado de conformidad de producto expedido por un organismo de certificación acreditado, tal como se establece en el capítulo 10.
Se exceptúan del cumplimiento del presente reglamento y por ende de la demostración de la conformidad, las siguientes instalaciones y productos:
2.4.1. EXCEPCIONES EN INSTALACIONES.
a. Instalaciones propias de vehículos (automotores, trenes, barcos, navíos, aeronaves). Siempre que estos no estén destinados a vivienda, comercio o vehículos de recreo.
b. Instalaciones propias de los siguientes equipos: electromedicina, señales de radio, señales de TV, señales de telecomunicaciones, señales de sonido y señales de sistemas de control.
c. Instalaciones que utilizan menos de 24 voltios o denominadas de “muy baja tensión”, siempre que no estén destinadas a suplir la necesidades eléctricas de edificaciones o lugares donde se concentren personas, sus corrientes no puedan causar alto riesgo o peligro inminente de incendio o explosión por arcos o cortocircuitos.
d. Instalaciones propias de electrodomésticos, máquinas y herramientas, siempre que el equipo, máquina o sistema no se clasifique como instalación especial en la NTC 2050 primera actualización, o en el presente reglamento.
PARÁGRAFO. En un plazo no mayor a cinco años, contados a partir de la vigencia del presente anexo, se permitirá una excepción parcial del cumplimiento del RETIE a aquellas instalaciones domiciliarias que en los programas de legalización de usuarios el operador de red, compruebe que tales usuarios no cuenten con las condiciones económicas para asegurar que la instalación legalizada cumpla con todos los requerimientos exigidos por el RETIE. Bajo estas condiciones, se podrá legalizar tal instalación, siempre que los requisitos faltantes no pongan en alto riesgo o peligro inminente a los usuarios de dicha instalación o a terceros y se dé cumplimiento a los siguientes requisitos:
1. Distancias mínimas de seguridad a partes energizadas.
2. Contar con un sistema de puesta tierra.
3. Disponer de protección contra sobrecorriente en cada circuito, la cual no debe superar la capacidad de corriente del conductor.
4. Los conductores deben estar debidamente aislados y de calibres apropiados, para que en la operación de la instalación no se generen calentamientos capaces de producir incendios.
5. Contar con las envolventes o encerramientos que garanticen que las partes energizadas no estén fácilmente expuestas a contacto directo de personas.
Adicionalmente, un profesional competente <una persona competente>* del operador de red, conjuntamente con el usuario a legalizar deben firmar un documento donde se establezca el compromiso por parte del usuario de adecuar la instalación al cumplimiento del presente reglamento, en un lapso no superior a cinco años; el incumplimiento de ese compromiso podrá ser causal para terminar el contrato de condiciones uniformes y suspender el servicio.
2.4.2. EXCEPCIONES EN PRODUCTOS.
Se exceptúan del alcance del presente reglamento, los productos que aun estando clasificados en la tabla 2.1 estén destinados exclusivamente a:
a. Instalaciones contempladas en el numeral 2.4.1.
b. Materias primas o componentes para la fabricación, ensamble o reparación de máquinas, aparatos, equipos u otros productos, a menos que se trate de equipos especiales que requieran que sus componentes cuenten con certificación de producto.
c. Productos utilizados como muestras para certificación o investigaciones.
d. Muestras no comercializables, usadas en ferias o eventos demostrativos.
e. Productos para ensamble o maquila.
f. Productos para uso exclusivo como repuestos de equipos y máquinas, siempre que se precise el destino específico del producto.
ARTÍCULO 3o. DEFINICIONES. Para los efectos del presente reglamento se aplicarán las definiciones generales que aparecen a continuación y las de la NTC 2050 primera actualización. Para dar claridad y concordancia con el objeto del RETIE algunas definiciones pueden apartarse de las establecidas en normas con otros objetivos. Cuando un término no aparezca, se recomienda consultar las normas IEC serie 50 o IEEE 100.
Accesible: que está al alcance de una persona, sin valerse de mecanismo alguno y sin barreras físicas de por medio.
Accidente: evento no deseado, incluidos los descuidos y las fallas de equipos, que da por resultado la muerte, una lesión personal, un daño a la propiedad o deterioro ambiental.
Acometida: derivación de la red local del servicio respectivo, que llega hasta el registro de corte del inmueble. En edificios de propiedad horizontal o condominios, la acometida llega hasta el registro de corte general. En aquellos casos en que el dispositivo de corte esté aguas arriba del medidor, para los efectos del presente reglamento, se entenderá la acometida como el conjunto de conductores y accesorios entre el punto de conexión eléctrico al sistema de uso general (STN, STR o SDL) y los bornes de salida del equipo de medición.
Acreditación: procedimiento mediante el cual se reconoce la competencia técnica y la idoneidad de organismos de certificación e inspección, así como laboratorios de ensayo y de metrología.
Acto inseguro: violación de una norma de seguridad ya definida.
Administración de riesgos: la aplicación sistemática de políticas administrativas, procedimientos y prácticas de trabajo para mitigar, minimizar o controlar el riesgo.
Aislador: elemento de mínima conductividad eléctrica, diseñado de tal forma que permita dar soporte rígido o flexible a conductores o a equipos eléctricos y aislarlos eléctricamente de otros conductores o de tierra.
Aislamiento eléctrico básico: aislamiento aplicado a las partes vivas para prevenir contacto eléctrico.
Aislamiento funcional: es el necesario para el funcionamiento normal de un aparato y la protección contra contactos directos.
Aislamiento reforzado: sistema de aislamiento único que se aplica a las partes vivas peligrosas y provee un grado de protección contra el contacto eléctrico y es equivalente al doble aislamiento.
Aislamiento suplementario: aislamiento independiente aplicado de manera adicional al aislamiento básico, con el objeto de brindar protección contra contacto eléctrico en caso de falla del aislamiento básico.
Aislante eléctrico: material de baja conductividad eléctrica que puede ser tomado como no conductor o aislador.
Alambre: hilo o filamento de metal, trefilado o laminado, para conducir corriente eléctrica.
Alambre duro: aquel que ha sido trefilado en frío hasta su tamaño final, de manera que se acerque a la máxima resistencia a la tracción obtenible.
Alambre suave o blando: aquel que ha sido trefilado o laminado hasta su tamaño final y que luego es recocido para aumentar la elongación.
Alta concentración de personas u ocupación para reuniones públicas: <Definición modificada por el artículo 1 de la Resolución 40492 de 2015. El nuevo texto es el siguiente:> Es la concentración de 50 o más personas con el fin de desarrollar actividades tales como: trabajo, deliberaciones, comida, bebida, diversión, espera de transporte, culto, educación, salud o entretenimiento. En la aplicación de esta definición se deben tener en cuenta las densidades de personas así como los sistemas de evacuación de las áreas críticas y no la totalidad de las personas que contenga la edificación o lugar considerado como referente por lo que el número mínimo establecido para la alta concentración de personas puede ser inferior; para lo cual se recomienda aplicar la norma NFPA 101 (Código de seguridad humana).
Ambiente electromagnético: la totalidad de los fenómenos electromagnéticos existentes en un sitio dado.
Amenaza: peligro latente de que un evento físico de origen natural, o causado, o inducido por la acción humana de manera accidental, se presente con una severidad suficiente para causar pérdida de vidas, lesiones u otros impactos en la salud, así como también daños y pérdidas en los bienes, la infraestructura, los medios de sustento, la prestación de servicios y los recursos ambientales.
Análisis de riesgos: conjunto de técnicas para identificar, clasificar y evaluar los factores de riesgo. Es el estudio de consecuencias nocivas o perjudiciales, vinculadas a exposiciones reales o potenciales.
Apoyo: nombre genérico dado al dispositivo de soporte de conductores y aisladores de las líneas o redes aéreas. Pueden ser postes, torres u otro tipo de estructura.
Arco eléctrico: haz luminoso producido por el flujo de corriente eléctrica a través de un medio aislante, que produce radiación y gases calientes.
Aviso de seguridad: advertencia de prevención o actuación, fácilmente visible, utilizada con el propósito de informar, exigir, restringir o prohibir.
Baliza: señal fija de aeronavegación, que permite la visión diurna o nocturna de un conductor de fase o del cable de guarda.
Batería de acumuladores: equipo que contiene una o más celdas electroquímicas recargables.
Bil: nivel básico de aislamiento ante impulsos tipo rayo.
Bóveda: encerramiento dentro de un edificio con acceso solo para personas calificadas, reforzado para resistir el fuego, sobre o bajo el nivel del terreno, que aloja transformadores de potencia para uso interior aislados en aceite mineral, secos de más de 112,5 kVA o de tensión nominal mayor a 35 kV. Posee aberturas controladas (para acceso y ventilación) y selladas (para entrada y salida de canalizaciones y conductores).
Cable: conjunto de alambres sin aislamiento entre sí y entorchado por medio de capas concéntricas.
Cable apantallado: cable con una envoltura conductora alrededor del aislamiento que le sirve como protección electromecánica. Es lo mismo que cable blindado.
Cable portátil de potencia: cable extraflexible, usado para conectar equipos móviles o estacionarios en minas, a una fuente de energía eléctrica.
Calibración: diagnóstico sobre las condiciones de operación de un equipo de medición y los ajustes, si son necesarios, para garantizar la precisión y exactitud de las medidas que con el mismo se generan.
Calidad: la totalidad de las características de un ente que le confieren la aptitud para satisfacer necesidades explícitas e implícitas. Es un conjunto de cualidades o atributos, como disponibilidad, precio, confiabilidad, durabilidad, seguridad, continuidad, consistencia, respaldo y percepción.
Carga: la potencia eléctrica requerida para el funcionamiento de uno o varios equipos eléctricos o la potencia que transporta un circuito.
Carga normalizada: en referencia a cercas eléctricas. Es la carga que comprende una resistencia no inductiva de 500 ohmios ± 2,5 ohmios y una resistencia variable, la cual es ajustada para maximizar la energía de impulso en la resistencia.
Cargabilidad: límite térmico dado en capacidad de corriente, para líneas de transporte de energía, transformadores, etc.
Capacidad de corriente: corriente máxima que puede transportar continuamente un conductor o equipo en las condiciones de uso, sin superar la temperatura nominal de servicio.
Capacidad nominal: el conjunto de características eléctricas y mecánicas asignadas a un equipo o sistema eléctrico por el diseñador, para definir su funcionamiento bajo unas condiciones específicas. En un sistema la capacidad nominal la determina la capacidad nominal del elemento limitador.
Capacidad o potencia instalada: también conocida como carga conectada, es la sumatoria de las cargas en kVA continuas y no continuas, previstas para una instalación de uso final. Igualmente, es la potencia nominal de una central de generación, subestación, línea de transmisión o circuito de la red de distribución.
Capacidad o potencia instalable: se considera como capacidad instalable, la capacidad en kVA que puede soportar la acometida a tensión nominal de la red, sin que se eleve la temperatura por encima de 60 ºC para instalaciones con capacidad de corriente menor de 100 A o de 75 ºC si la capacidad de corriente es mayor.
Central o planta de generación: conjunto de equipos electromecánicos debidamente instalados y recursos energéticos destinados a producir energía eléctrica, cualquiera que sea el procedimiento empleado o la fuente de energía primaria utilizada.
Cerca eléctrica: barrera para impedir el paso de personas o animales, que forma un circuito de uno o varios conductores sostenidos con aisladores, en condiciones tales de que no reciban descargas peligrosas los animales ni las personas.
Certificación: procedimiento mediante el cual un organismo expide por escrito o por un sello de conformidad, que un producto, un proceso o servicio cumple un reglamento técnico o una(s) norma(s) de fabricación.
CERTIFICACIÓN DE LA EXPERIENCIA: <Definición adicionada por el artículo 2 de la Resolución 40293 de 2021. El nuevo texto es el siguiente:> Documento mediante el cual se certifica experiencia laboral. Al efecto se reconocerán como válidas las certificaciones expedidas con el lleno de requisitos establecidos en el artículo 2.2.2.3.8 del Decreto número 1083 de 2015, o la norma que la adicione, modifique o sustituya.
Certificación plena: proceso de certificación del cumplimiento de los requisitos establecidos en el RETIE a una instalación eléctrica, el cual consiste en la declaración de cumplimiento suscrita por el profesional competente <la persona competente>* responsable de la construcción de la instalación, acompañada del aval de cumplimiento mediante un dictamen de inspección, previa realización de la inspección de comprobación efectuada por inspector(es) de un organismo de inspección debidamente acreditado.
Certificado de conformidad: documento emitido conforme a las reglas de un sistema de certificación, en el cual se puede confiar razonablemente que un producto, proceso o servicio es conforme con un reglamento técnico, una norma, especificación técnica u otro documento normativo específico.
Circuito eléctrico: lazo cerrado formado por un conjunto de elementos, dispositivos y equipos eléctricos, alimentados por la misma fuente de energía y con las mismas protecciones contra sobretensiones y sobrecorrientes. No se toman los cableados internos de equipos como circuitos. Pueden ser de modo diferencial (por conductores activos) o de modo común (por conductores activos y de tierra).
Clavija: dispositivo que por inserción en un tomacorriente establece una conexión eléctrica entre los conductores de un cordón flexible y los conductores conectados permanentemente al tomacorriente.
Comité técnico de normalización: grupo de personas con diferentes intereses sobre un tema, que se reúnen regular y voluntariamente con el fin de identificar necesidades, analizar documentos y elaborar normas técnicas.
Compatibilidad electromagnética: es la capacidad de un equipo o sistema para funcionar satisfactoriamente en su ambiente electromagnético, sin dejarse afectar ni afectar a otros equipos por energía electromagnética radiada o conducida.
COMPETENCIA: <Definición adicionada por el artículo 2 de la Resolución 40293 de 2021. El nuevo texto es el siguiente:> Capacidad de aplicar conocimientos y habilidades para lograr la realización de una tarea o actividad y lograr los resultados previstos.
COMPETENCIA LEGAL PROFESIONAL: <Definición adicionada por el artículo 2 de la Resolución 40293 de 2021. El nuevo texto es el siguiente:> Atribución conferida por ley a una rama profesional determinada, la cual es aplicable por las personas con base en el cumplimiento de requisitos tales como la obtención de un título y una matrícula profesional.
COMPETENCIA TÉCNICA: <Definición adicionada por el artículo 2 de la Resolución 40293 de 2021. El nuevo texto es el siguiente:> Idoneidad de los profesionales que ejecutan cualquier actividad derivada de las disposiciones establecidas en el RETIE, para tomar decisiones con independencia e imparcialidad, así como para emitir un juicio profesional objetivo, sustentado y soportado, sobre el cumplimiento o no de requisitos establecidos en el reglamento o una norma aplicable.
Condenación: bloqueo de un aparato de corte por medio de un candado o de una tarjeta.
Condición insegura: circunstancia potencialmente riesgosa que está presente en el ambiente de trabajo.
Conductor activo: aquella parte destinada, en su condición de operación normal, a la transmisión de electricidad y por tanto sometidas a una tensión en servicio normal.
Conductor energizado: todo aquel que no está conectado a tierra.
Conductor neutro: conductor activo conectado intencionalmente al punto neutro de un transformador o instalación y que contribuye a cerrar un circuito de corriente.
Conductor a tierra: también llamado conductor del electrodo de puesta a tierra, es aquel que conecta un sistema o circuito eléctrico intencionalmente a una puesta a tierra.
Conexión equipotencial: conexión eléctrica entre dos o más puntos, de manera que cualquier corriente que pase no genere una diferencia de potencial sensible entre ambos puntos.
Confiabilidad: capacidad de un dispositivo, equipo o sistema para cumplir una función requerida, en unas condiciones y tiempo dado. Equivale a fiabilidad.
Conformidad: cumplimiento de un producto, proceso o servicio frente a uno o varios requisitos o prescripciones.
Consenso: acuerdo general caracterizado porque no hay oposición sostenida a asuntos esenciales, de cualquier parte involucrada en el proceso, y que considera las opiniones de todas las partes y reconcilia las posiciones divergentes, dentro del ámbito del bien común e interés general.
Consignación: conjunto de operaciones destinadas a abrir, bloquear y formalizar la intervención sobre un circuito.
Contacto directo: es el contacto de personas o animales con conductores activos o partes energizadas de una instalación eléctrica.
Contacto eléctrico: acción de unión de dos elementos con el fin de cerrar un circuito. Puede ser de frotamiento, de rodillo, líquido o de presión.
Contacto indirecto: es el contacto de personas o animales con elementos o partes conductivas que normalmente no se encuentran energizadas. Pero en condiciones de falla de los aislamientos se puedan energizar.
Contaminación: liberación artificial de sustancias o energía hacia el entorno y que puede causar efectos adversos en el ser humano, otros organismos vivos, equipos o el medio ambiente.
Contratista: persona natural o jurídica que responde ante el dueño de una obra, para efectuar actividades de asesoría, interventoría, diseño, supervisión, construcción, operación, mantenimiento u otras relacionadas con las instalaciones eléctricas y equipos asociados, cubiertas por el presente reglamento.
Control de calidad: proceso de regulación, a través del cual se mide y controla la calidad real de un producto o servicio.
Controlador de cerca eléctrica: aparato diseñado para suministrar periódicamente impulsos de alta tensión a una cerca conectada a él.
Corriente eléctrica: es el movimiento de cargas eléctricas entre dos puntos que no se hallan al mismo potencial, por tener uno de ellos un exceso de electrones respecto al otro.
Corriente de contacto: corriente que circula a través del cuerpo humano, cuando está sometido a una tensión de contacto.
Corrosión: ataque a una materia y destrucción progresiva de la misma, mediante una acción química, electroquímica o bacteriana.
Cortocircuito: unión de muy baja resistencia entre dos o más puntos de diferente potencial del mismo circuito.
Cuarto eléctrico: recinto o espacio en un edificio dedicado exclusivamente a los equipos y dispositivos eléctricos, tales como transformadores, celdas, tableros, UPS, protecciones, medidores, canalizaciones y medios para sistemas de control entre otros. Algunos edificios por su tamaño deben tener un cuarto eléctrico principal y otros auxiliares.
Daño: consecuencia material de un accidente.
Desastre: situación catastrófica súbita que afecta a gran número de personas.
Descarga disruptiva: falla de un aislamiento bajo un esfuerzo eléctrico, por superarse un nivel de tensión determinado que hace circular una corriente. Se aplica al rompimiento del dieléctrico en sólidos, líquidos o gases y a la combinación de estos.
Descuido: olvido o desatención de alguna regla de trabajo.
Dictamen de inspección: documento emitido por el organismo de inspección, mediante el cual se evidencia el cumplimiento o incumplimiento de los requisitos contemplados en el RETIE que le aplican a esa instalación eléctrica. Cuando el dictamen demuestra el cumplimiento del reglamento se considera una certificación de inspección.
Dieléctrico: ver aislante.
Disponibilidad: certeza de que un equipo o sistema sea operable en un tiempo dado. Cualidad para operar normalmente.
Dispositivo de control de hombre muerto: dispositivo diseñado para parar un equipo cuando un operario libera el mismo con la mano o pie.
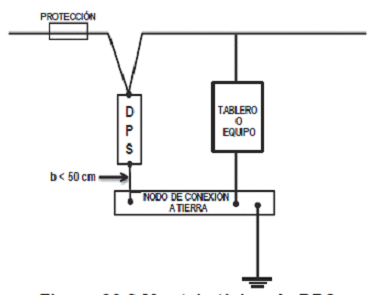
Dispositivo de protección contra sobretensiones transitorias: dispositivo diseñado para limitar las sobretensiones transitorias y conducir las corrientes de impulso. Contiene al menos un elemento no lineal.
Dispositivo de protección contra sobretensiones transitorias del tipo conmutación de tensión: un DPS que tiene una alta impedancia cuando no está presente un transitorio, pero que cambia súbitamente su impedancia a un valor bajo en respuesta a un transitorio de tensión. Ejemplos de estos dispositivos son: los vía de chispas, tubos de gas, tiristores y triacs.
Dispositivo de protección contra sobretensiones transitorias del tipo limitación de tensión: un DPS que tiene una alta impedancia cuando no está presente un transitorio, pero se reduce gradualmente con el incremento de la corriente y la tensión transitoria. Ejemplos de estos dispositivos son los varistores y los diodos de supresión.
Distancia a masa: distancia mínima, bajo condiciones especificadas, entre una parte bajo tensión y toda estructura que tiene el mismo potencial de tierra.
Distancia al suelo: distancia mínima, bajo condiciones ya especificadas, entre el conductor bajo tensión y el terreno.
Distancia de seguridad: distancia mínima alrededor de un equipo eléctrico o de conductores energizados, necesaria para garantizar que no habrá accidente por acercamiento de personas, animales, estructuras, edificaciones o de otros equipos.
Distribución de energía eléctrica: transferencia de energía eléctrica a los consumidores, dentro de un área específica.
Doble aislamiento: aislamiento compuesto de un aislamiento básico y uno suplementario.
Edificio o edificación: estructura fija, hecha con materiales resistentes para vivienda humana o para otros usos.
Edificio alto: es aquel que supera los 28 metros de altura, medidos desde el nivel donde puede acceder un vehículo de bomberos, según el Código de Sismorresistencia.
Electricidad: el conjunto de disciplinas que estudian los fenómenos eléctricos o una forma de energía obtenida del producto de la potencia eléctrica consumida por el tiempo de servicio.
Electricidad estática: una forma de energía eléctrica o el estudio de cargas eléctricas en reposo.
Eléctrico: aquello que tiene o funciona con electricidad.
Electrizar: producir la electricidad en cuerpo o comunicársela.
Electrocución: paso de corriente eléctrica a través del cuerpo humano, cuya consecuencia es la muerte.
Electrodo de puesta a tierra: es el conductor o conjunto de conductores enterrados que sirven para establecer una conexión con el suelo.
Electrónica: parte de la electricidad que maneja las técnicas fundamentadas en la utilización de haces de electrones en vacío, en gases o en semiconductores.
Electrotecnia: estudio de las aplicaciones técnicas de la electricidad.
Emergencia: situación que se presenta por un hecho accidental y que requiere suspender todo trabajo para atenderla.
Empalme: conexión eléctrica destinada a unir dos partes de conductores, para garantizar continuidad eléctrica y mecánica.
Empresa: unidad económica que se representa como un sistema integral con recursos humanos, de información, financieros y técnicos que producen bienes o servicios y genera utilidad.
Ensayo: conjunto de pruebas y controles a los cuales se somete un bien para asegurarse que cumple normas y pueda desempeñar la función requerida.
Equipo eléctrico móvil: equipo que está diseñado para ser energizado mientras se mueve.
Equipo eléctrico movible: equipo alimentado por un cable de arrastre y que está diseñado para ser movido solo cuando está desenergizado.
Equipo eléctrico de soporte de la vida: equipo eléctrico cuyo funcionamiento continuo es imprescindible para mantener la vida de un paciente.
Equipotencializar: es el proceso, práctica o acción de conectar partes conductivas de las instalaciones, equipos o sistemas entre sí o a un sistema de puesta a tierra, mediante una baja impedancia, para que la diferencia de potencial sea mínima entre los puntos interconectados.
Error: acción o estado desacertado o equivocado, susceptible de provocar avería o accidente.
Especificación técnica: documento que establece características técnicas mínimas de un producto o servicio.
ESQUEMA DE CERTIFICACIÓN: <Definición adicionada por el artículo 2 de la Resolución 40293 de 2021. El nuevo texto es el siguiente:> Conjunto de actividades, criterios, métodos y procedimientos que, al ser realizados, ayudan a obtener evidencias o resultados suficientes y pertinentes, a los cuales se les puede asociar un nivel de confianza, permitiendo soportar una decisión de certificación sobre la conformidad normativa. De igual manera, incluye la evaluación, administración y la apropiada documentación de las certificaciones para facilitar su revisión y validación permanente.
Los esquemas dispuestos para certificación de personas incluyen los prerrequisitos, competencias y aptitudes requeridas para profesionales.
Estructura: todo aquello que puede ser construido o edificado, pueden ser fijas o móviles, pueden estar en el aire, sobre la tierra, bajo tierra o en el agua.
Evaluación de la conformidad: procedimiento utilizado, directa o indirectamente, para determinar que se cumplen los requisitos o prescripciones pertinentes de los reglamentos técnicos o normas.
Evento: es una manifestación o situación, producto de fenómenos naturales, técnicos o sociales que puede dar lugar a una emergencia.
EXPERIENCIA LABORAL: <Definición adicionada por el artículo 2 de la Resolución 40293 de 2021. El nuevo texto es el siguiente:> Son los conocimientos, las habilidades y las destrezas adquiridas o desarrolladas mediante el ejercicio de una profesión, arte u oficio.
Explosión: expansión rápida y violenta de una masa gaseosa que genera una onda de presión que puede afectar sus proximidades.
Exposición ocupacional: toda exposición de los trabajadores ocurrida durante la jornada de trabajo, a un riesgo o contaminante.
Expuesto: aplicado a partes energizadas, que puede ser inadvertidamente tocado por una persona directamente o por medio de un objeto conductor, o que le permita aproximarse más cerca que la distancia mínima de seguridad. Igualmente, se aplica a las partes que no están adecuadamente separadas, aisladas o protegidas contra daños (ya sea que los genere o los reciba).
Extensión: conjunto compuesto de tomacorriente, cables y clavija; sin conductores expuestos y sin empalmes, utilizado con carácter provisional.
Extintor: aparato autónomo, que contiene un agente para apagar el fuego, eliminando el oxígeno.
Fabricación única: <Definición adicionada por el artículo 1 de la Resolución 40492 de 2015. El nuevo texto es el siguiente:> Se entiende como la fabricación de un solo producto o los productos necesarios para una maquina o equipo especial, sin que se repita la fabricación de dicho producto para otras aplicaciones utilizando los mismos diseños.
Factor de riesgo: condición ambiental o humana cuya presencia o modificación puede producir un accidente o una enfermedad ocupacional.
Falla: degradación de componentes. Alteración intencional o fortuita de la capacidad de un sistema, componente o persona, para cumplir una función requerida.
Fase: designación de un conductor, un grupo de conductores, un terminal, un devanado o cualquier otro elemento de un sistema polifásico que va a estar energizado durante el servicio normal.
Fibrilación ventricular: contracción espontánea e incontrolada de las fibras del músculo cardiaco.
Flecha: distancia vertical máxima en un vano, entre el conductor y la línea recta horizontal que une los dos puntos de sujeción.
Frecuencia: número de períodos por segundo de una onda. Se mide en Hertz o ciclos por segundo.
Frente muerto: parte de un equipo accesible a las personas y sin partes activas expuestas.
Fuego: combinación de combustible, oxígeno y calor. Combustión que se desarrolla en condiciones controladas.
Fuego clase C: el originado en equipos eléctricos energizados.
Fuente de energía: todo equipo o sistema que suministre energía eléctrica.
Fuente de respaldo: uno o más sistemas de suministro de energía (grupos electrógenos, bancos de baterías, UPS, circuito de suplencia) cuyo objetivo es proveer energía durante la interrupción del servicio eléctrico normal.
Fusible: componente cuya función es abrir, por la fusión de uno o varios de sus componentes, el circuito en el cual está insertado.
Generación de energía eléctrica: proceso mediante el cual se obtiene energía eléctrica a partir de alguna otra forma de energía.
Generador: persona natural o jurídica que produce energía eléctrica, que tiene por lo menos una central o unidad generadora. También significa equipo de generación de energía eléctrica incluyendo los grupos electrógenos.
Gestión del riesgo: es el proceso social de planeación, ejecución, seguimiento y evaluación de políticas y acciones permanentes para el conocimiento del riesgo y promoción de una mayor conciencia del mismo, impedir o evitar que se genere, reducirlo o controlarlo cuando ya existe y para prepararse y manejar las situaciones de desastre, así como para la posterior recuperación, entiéndase: rehabilitación y reconstrucción. Estas acciones tienen el propósito explícito de contribuir a la seguridad, el bienestar y calidad de vida de las personas y al desarrollo sostenible.
Iluminancia: es la densidad de flujo luminoso que incide sobre una superficie. Su unidad, el lux, equivale al flujo luminoso de un lumen que incide homogéneamente sobre una superficie de un metro cuadrado.
Impacto ambiental: acción o actividad que produce una alteración, favorable o desfavorable, en el medio ambiente o en alguno de los componentes del mismo.
Impericia: falta de habilidad para desarrollar una tarea.
Incendio: es todo fuego incontrolado.
Inducción: fenómeno en el que un cuerpo energizado, transmite por medio de su campo eléctrico o magnético, energía a otro cuerpo, a pesar de estar separados por un dieléctrico.
Inflamable: material que se puede encender y quemar rápidamente.
Inmunidad: es la capacidad de un equipo o sistema para funcionar correctamente sin degradarse ante la presencia de una perturbación electromagnética.
INSPECCIÓN: <Definición modificada por el artículo 2 de la Resolución 40293 de 2021. El nuevo texto es el siguiente:> Conjunto de actividades de evaluación respecto de normas, reglamentos y diseños específicos, correspondientes con una o varias características de un producto, instalación o sistema, para determinar su conformidad con requisitos específicos o, sobre la base del juicio profesional con requisitos generales.
INSPECTOR DE INSTALACIONES ELÉCTRICAS: <Definición adicionada por el artículo 2 de la Resolución 40293 de 2021. El nuevo texto es el siguiente:> Persona con formación profesional y competencias certificadas para evaluar instalaciones eléctricas en categorías de certificación determinadas.
INSTALACIÓN ELÉCTRICA: <Definición modificada por el artículo 3 de la Resolución 40293 de 2021. El nuevo texto es el siguiente:> Parte física de un sistema compuesto por el conjunto de aparatos eléctricos, conductores y circuitos asociados, dispuestos para la generación, transmisión, transformación, distribución y/o uso final de la energía eléctrica.
Instalación eléctrica ampliación: es aquella que implica solicitud de aumento de capacidad instalada o el montaje adicional de dispositivos, equipos, conductores y demás componentes.
Instalación eléctrica domiciliaria: <Definición adicionada por el artículo 1 de la Resolución 40492 de 2015. El nuevo texto es el siguiente:> Instalación eléctrica de uso final en unidades de vivienda, pequeños comercios, pequeñas industrias o pequeños talleres, así como en oficinas donde la persona pernocte o permanezca en una jornada de trabajo o más tiempo. En algunos apartes del reglamento se resume a instalación domiciliaria o similares, haciendo alusión a esta misma definición.
Instalación eléctrica nueva: es toda instalación construida con posterioridad a mayo 1º de 2005, fecha de entrada en vigencia de la Resolución 180398 del 7 de abril de 2004 por la cual se expidió el RETIE.
Instalación eléctrica remodelación: es la sustitución de dispositivos, equipos, conductores y demás componentes de la instalación eléctrica.
Interferencia electromagnética: conjunto de fenómenos asociados a perturbaciones electromagnéticas que pueden producir la degradación en las condiciones y características de operación de un equipo o sistema.
Interruptor automático: dispositivo diseñado para que abra el circuito automáticamente cuando se produzca una sobrecorriente predeterminada.
Interruptor de falla a tierra: interruptor diferencial accionado por corrientes de fuga a tierra, cuya función es interrumpir la corriente hacia la carga cuando se excede algún valor determinado por la soportabilidad de las personas.
Interruptor de uso general: dispositivo para abrir y cerrar o para conmutar la conexión de un circuito, diseñado para ser operado manualmente, cumple funciones de control y no de protección.
Laboratorio de metrología: laboratorio que reúne la competencia e idoneidad necesarias para determinar la aptitud o funcionamiento de equipos de medición.
Laboratorio de prueba y ensayos: laboratorio nacional, extranjero o internacional, que posee la competencia e idoneidad necesarias para llevar a cabo en forma general la determinación de las características, aptitud o funcionamiento de materiales o productos.
Lesión: perjuicio fisiológico sufrido por una persona.
Límite de aproximación segura: es la distancia mínima, desde el punto energizado más accesible del equipo, hasta la cual el personal no calificado puede situarse sin riesgo de exposición al arco eléctrico.
Límite de aproximación restringida: es la distancia mínima hasta la cual el profesional competente <la persona competente>* puede situarse sin llevar los elementos de protección personal certificados contra riesgo por arco eléctrico.
Límite de aproximación técnica: es la distancia mínima en la cual solo el profesional competente <la persona competente>* que lleva elementos de protección personal certificados contra arco eléctrico realiza trabajos en la zona de influencia directa de las partes energizadas de un equipo.
Línea compacta: es una línea eléctrica donde sus dimensiones, altura y ancho de estructura y ancho de servidumbres son reducidas, respecto de las líneas convencionales, gracias a un diseño y construcción optimizada.
Línea eléctrica: conjunto compuesto por conductores, aisladores, estructuras y accesorios destinados al transporte de energía eléctrica.
Línea de transmisión: un sistema de conductores y sus accesorios, para el transporte de energía eléctrica, desde una planta de generación o una subestación a otra subestación. Un circuito teórico equivalente que representa una línea de energía o de comunicaciones.
Línea muerta: término aplicado a una línea sin tensión o desenergizada.
Línea viva: término aplicado a una línea con tensión o línea energizada.
Lugar o local húmedo: sitios interiores o exteriores parcialmente protegidos, sometidos a un grado moderado de humedad, cuyas condiciones ambientales se manifiestan momentáneamente o permanentemente.
Lugar o local mojado: instalación expuesta a saturación de agua u otros líquidos, así sea temporalmente o durante largos períodos. Las instalaciones eléctricas a la intemperie deben ser consideradas como locales mojados, así como el área de cuidado de pacientes que está sujeta normalmente a exposición de líquidos mientras ellos están presentes. No se incluyen los procedimientos de limpieza rutinarios o el derrame accidental de líquidos.
Lugar (clasificado) peligroso: aquella zona donde están o pueden estar presentes gases o vapores inflamables, polvos combustibles o partículas volátiles (pelusas) de fácil inflamación.
Maniobra: conjunto de procedimientos tendientes a operar una red eléctrica en forma segura.
Mantenimiento: conjunto de acciones o procedimientos tendientes a preservar o restablecer un bien, a un estado tal que le permita garantizar la máxima confiabilidad.
Máquina: conjunto de mecanismos accionados por una forma de energía, para transformarla en otra más apropiada a un efecto dado.
Masa: conjunto de partes metálicas de un equipo, que en condiciones normales, están aisladas de las partes activas y se toma como referencia para las señales y tensiones de un circuito electrónico. Las masas pueden estar o no estar conectadas a tierra.
Material: cualquier sustancia, insumo, parte o repuesto que se transforma con su primer uso o se incorpora a un bien como parte de él.
Material aislante: material que impide la propagación de algún fenómeno físico, (aislante eléctrico, material dieléctrico que se emplea para impedir el paso de cargas eléctricas. Aislante térmico, material que impide el paso de calor).
Método electrogeométrico: procedimiento que permite establecer cuál es el volumen de cubrimiento de protección contra rayos de una estructura para una corriente dada, según la posición y la altura de la estructura considerada como pararrayos.
Metrología: ciencia de la medición. Incluye aspectos teóricos y prácticos.
Modelo: procedimiento matemático que permite simular la evolución de variables y propiedades de un sistema, durante el desarrollo de un fenómeno físico o químico. Representación abstracta de un sistema.
Monitor de aislamiento: es un aparato o conjunto de aparatos que vigila la impedancia balanceada o no balanceada de cada fase de un circuito aislado de puesta a tierra y equipado con un circuito de prueba que acciona una alarma cuando la corriente de fuga supere el valor de referencia, sin disparar el circuito.
Monitoreo del conductor de tierra: acción de verificar la continuidad del conductor de puesta a tierra de las instalaciones.
Muerte aparente o muerte clínica: estado que se presenta cuando una persona deja de respirar o su corazón no bombea sangre.
Muerto: ser sin vida. También se aplica a un dispositivo enterrado en el suelo, cuyo fin es servir de punto de anclaje fijo.
Necrosis eléctrica: tipo de quemadura con muerte de tejidos.
Nivel de riesgo: equivale a grado de riesgo. Es el resultado de la valoración conjunta de la probabilidad de ocurrencia de los accidentes, de la gravedad de sus efectos y de la vulnerabilidad del medio.
Nodo: parte de un circuito en el cual dos o más elementos tienen una conexión común.
Nominal: término aplicado a una característica de operación, indica los límites de diseño de esa característica para los cuales presenta las mejores condiciones de operación. Los límites siempre están asociados a una norma técnica.
Norma de seguridad: toda acción encaminada a evitar un accidente.
Norma técnica: documento aprobado por una institución reconocida, que prevé, para un uso común y repetido, reglas, directrices o características para los productos o los procesos y métodos de producción conexos, servicios o procesos, cuya observancia no es obligatoria.
Norma técnica armonizada: documento aprobado por organismos de normalización de diferentes países, que establece sobre un mismo objeto, la intercambiabilidad de productos, procesos y servicios, o el acuerdo mutuo sobre los resultados de ensayos, o sobre la información suministrada de acuerdo con estas normas.
Norma técnica colombiana, NTC: norma técnica aprobada o adoptada como tal por el organismo nacional de normalización.
Norma técnica extranjera: norma que se toma en un país como referencia directa o indirecta, pero que fue emitida por otro país.
Norma técnica internacional: documento emitido por una organización internacional de normalización, que se pone a disposición del público.
Norma técnica regional: documento adoptado por una organización regional de normalización y que se pone a disposición del público.
Normalizar: establecer un orden en una actividad específica.
Objetivos legítimos: entre otros, la garantía y la seguridad de la vida y la salud humana, animal y vegetal, de su medio ambiente y la prevención de las prácticas que puedan inducir a error a los consumidores, incluyendo asuntos relativos a la identificación de bienes o servicios, considerando entre otros aspectos, cuando corresponda a factores fundamentales de tipo climático, geográfico, tecnológico o de infraestructura o justificación científica.
Operador de red: empresa de servicios públicos encargada de la planeación, de la expansión y de las inversiones, operación y mantenimiento de todo o parte de un sistema de transmisión regional o un sistema de distribución local.
Organismo de acreditación: entidad que acredita y supervisa los organismos de certificación e inspección y laboratorios de pruebas, ensayos y metrología que hagan parte del subsistema nacional de la calidad.
Organismo de certificación: entidad imparcial, pública o privada, nacional, extranjera o internacional, que posee la competencia y la confiabilidad necesarias para administrar un sistema de certificación, consultando los intereses generales.
Organismo de inspección: entidad que ejecuta actividades de medición, ensayo o comparación con un patrón o documento de referencia de un proceso, un producto, una instalación o una organización y confrontar los resultados con unos requisitos especificados.
Organismo nacional de normalización: entidad reconocida por el Gobierno Nacional, cuya función principal es la elaboración, adopción y publicación de las normas técnicas nacionales y la adopción como tales de las normas elaboradas por otros entes.
Pararrayos: elemento metálico resistente a la corrosión, cuya función es interceptar los rayos que podrían impactar directamente sobre la instalación a proteger. Más técnicamente se denomina terminal de captación.
Patrón: medida materializada, aparato de medición o sistema de medición destinado a definir, realizar, conservar o reproducir una unidad o uno o varios valores conocidos de una magnitud para trasmitirlos por comparación a otros instrumentos de medición.
PCB: bifenilo policlorado, aquellos clorobifenilos que tienen la fórmula molecular C12H10-nCln donde n es mayor que 1. Conocido comúnmente como Askarel.
Peligro: condición no controlada que tiene el potencial de causar lesiones a personas, daños a instalaciones o afectaciones al medio ambiente.
Peligro inminente: para efectos de interpretación y aplicación del RETIE, alto riesgo será equivalente a peligro inminente; entendido como aquella condición del entorno o práctica irregular, cuya frecuencia esperada y severidad de sus efectos puedan comprometer fisiológicamente el cuerpo humano en forma grave (quemaduras, impactos, paro cardíaco, paro respiratorio, fibrilación o pérdida de funciones); o afectar el entorno de la instalación eléctrica (contaminación, incendio o explosión). En general, se puede presentar por:
Deficiencias en la instalación eléctrica.
Prácticas indebidas de la electrotecnia.
Pequeño comercio o industria: para efectos del presente reglamento, se entenderá como pequeño comercio aquel que tenga una capacidad instalable menor a 10 kVA y una área no mayor a 50 m2 y pequeña industria aquella con una capacidad instalable menor a 20 kVA.
Persona advertida: <Definición reemplazada por el artículo 5 de la Resolución 40293 de 2021. Ver : "PERSONAL NO ELECTRICISTA">
PERSONA CALIFICADA: <Definición modificada por el artículo 3 de la Resolución 40293 de 2021. El nuevo texto es el siguiente:> Es la persona natural que ha demostrado, a través de un título técnico, tecnólogo o ingeniero formado en el campo de la electrotecnia, que cuenta con los conocimientos, aptitudes, habilidades y destrezas para desempeñar la electrotecnia y los riesgos asociados a la electricidad.
PERSONA COMPETENTE: <Definición adicionada por el artículo 6 de la Resolución 40293 de 2021. El nuevo texto es el siguiente:> Es la persona natural, que además de cumplir los requisitos de Persona Calificada, cuenta con matrícula profesional vigente que según la normatividad legal lo autorice o acredite para el ejercicio de la profesión y que ha adquirido conocimientos, habilidades y en caso de requerirse certificado de competencias para desarrollar actividades en un campo específico.
Persona habilitada: <Definición eliminada por el artículo 4 de la Resolución 40293 de 2021>
Persona jurídica: según el artículo 633 del Código Civil, se llama persona jurídica una persona ficticia, capaz de ejercer derechos y contraer obligaciones civiles y de ser representada judicial y extrajudicialmente. Sujeto susceptible de adquirir y ejercer derechos y de aceptar y cumplir obligaciones, ya lo sea por sí o por representante.
Persona natural: según el artículo 74 del Código Civil colombiano son personas todos los individuos de la especie humana, cualquiera que sea su edad, sexo, extirpe o condición.
PERSONAL NO ELECTRICISTA: <Definición adicionada por el artículo 5 de la Resolución 40293 de 2021. El nuevo texto es el siguiente:> Personas empleadas en trabajos de construcción, ampliación, modificación o labores, supervisada por Personas Calificadas, responsables de evitar los riesgos que podría generar al desarrollar una actividad relacionada con la electricidad.
Perturbación electromagnética: cualquier fenómeno electromagnético que puede degradar las características de desempeño de un equipo o sistema.
Piso conductivo: arreglo de material conductivo de un lugar que sirve como medio de conexión eléctrica entre personas y objetos para prevenir la acumulación de cargas electrostáticas
Plano eléctrico: representación gráfica de las características de diseño y las especificaciones para construcción o montaje de equipos y obras eléctricas.
Precaución: actitud de cautela para evitar o prevenir los daños que puedan presentarse al ejecutar una acción.
Prevención: evaluación predictiva de los riesgos y sus consecuencias. Conocimiento a priori para controlar los riesgos. Acciones para eliminar la probabilidad de un accidente.
Previsión: anticipación y adopción de medidas ante la posible ocurrencia de un suceso, en función de los indicios observados y de la experiencia.
Primeros auxilios: todos los cuidados inmediatos y adecuados, pero provisionales, que se prestan a alguien accidentado o con enfermedad repentina, para conservarle la vida.
Proceso de transformación: proceso en el cual los parámetros de la potencia eléctrica son modificados, por los equipos de una subestación.
Producto: todo bien o servicio. Cualquier bien, ya sea en estado natural o manufacturado, incluso si se ha incorporado en otro producto.
Productor: quien de manera habitual, directa o indirectamente, diseñe, produzca, fabrique, ensamble o importe productos. También se reputa productor, quien diseñe, produzca, fabrique, ensamble, o importe productos sujetos a reglamento técnico o medida sanitaria o fitosanitaria.
Profesión: empleo, facultad u oficio que tiene una persona y ejerce con derecho a retribución.
Profesional competente: <Definición reemplazada por el artículo 6 de la Resolución 40293 de 2021. Ver : "PERSONA COMPETENTE">
Puerta cortafuego: puerta que cumple los criterios de estabilidad, estanqueidad, no emisión de gases inflamables y aislamiento térmico cuando se encuentra sometida al fuego o incendio durante un período de tiempo determinado.
Puerto: punto de interfaz de comunicación entre un equipo y su entorno.
Puesta a tierra: grupo de elementos conductores equipotenciales, en contacto eléctrico con el suelo o una masa metálica de referencia común, que distribuye las corrientes eléctricas de falla en el suelo o en la masa. Comprende electrodos, conexiones y cables enterrados.
Punto caliente: punto de conexión que esté trabajando a una temperatura por encima de la normal, generando pérdidas de energía y a veces, riesgo de incendio.
Punto neutro: es el nodo o punto común de un sistema eléctrico polifásico conectado en estrella o el punto medio puesto a tierra de un sistema monofásico.
Quemadura: conjunto de trastornos tisulares, producidos por el contacto prolongado con llamas o cuerpos de temperatura elevada.
Rayo: la descarga eléctrica atmosférica o más comúnmente conocida como rayo, es un fenómeno físico que se caracteriza por una transferencia de carga eléctrica de una nube hacia la tierra, de la tierra hacia la nube, entre dos nubes, al interior de una nube o de la nube hacia la ionosfera.
Receptor: todo equipo o máquina que utiliza la electricidad para un fin particular.
Red de distribución: conjunto de circuitos y subestaciones, con sus equipos asociados, destinados al servicio de los usuarios de un municipio.
Red de transmisión: conjunto de líneas de alta y extra alta tensión con sus equipos asociados, incluyendo las interconexiones internacionales.
Red equipotencial: conjunto de conductores del sistema de puesta a tierra que no están en contacto con el suelo o terreno y que conectan sistemas eléctricos, equipos o instalaciones con la puesta a tierra.
Red interna o de uso final: es el conjunto de conductores, canalizaciones y equipos (accesorios, dispositivos y artefactos) que llevan la energía eléctrica desde la frontera del operador de red hasta los puntos de uso final.
Reglamento técnico: documento en el que se establecen las características de un producto, servicio o los procesos y métodos de producción, con inclusión de las disposiciones administrativas aplicables y cuya observancia es obligatoria.
Requisito: precepto, condición o prescripción que debe ser cumplida, es decir que su cumplimiento es obligatorio.
Resguardo: medio de protección que impide o dificulta el acceso de las personas o sus extremidades, a una zona de peligro.
Resistencia de puesta a tierra: es la relación entre el potencial del sistema de puesta a tierra a medir, respecto a una tierra remota y la corriente que fluye entre estos puntos.
RETIE: acrónimo del reglamento técnico de instalaciones eléctricas adoptado por Colombia.
Riesgo: probabilidad de que en una actividad, se produzca una pérdida determinada, en un tiempo dado.
Riesgo de electrocución: posibilidad de circulación de una corriente eléctrica mortal a través de un ser vivo.
Seccionador: dispositivo destinado a hacer un corte visible en un circuito eléctrico y está diseñado para que se manipule después de que el circuito se ha abierto por otros medios.
Seguridad: condición del producto conforme con la cual en situaciones normales de utilización, teniendo en cuenta la duración, la información suministrada en los términos de la presente ley y si procede, la puesta en servicio, instalación y mantenimiento, no presenta riesgos irrazonables para la salud o integridad de los consumidores. En caso de que el producto no cumpla con requisitos de seguridad establecidos en reglamentos técnicos o medidas sanitarias, se presumirá inseguro // Condición o estado de riesgo aceptable // Actitud mental de las personas.
Señalización: conjunto de actuaciones y medios dispuestos para reflejar las advertencias de seguridad en una instalación.
Servicio: prestación realizada a título profesional o en forma pública, en forma onerosa o no, siempre que no tenga por objeto directo la fabricación de bienes.
Servicio público: actividad organizada que satisface una necesidad colectiva en forma regular y continua, de acuerdo con un régimen jurídico especial, bien sea que se realice por el Estado directamente o por entes privados.
Servicio público domiciliario de energía eléctrica: es el transporte de energía eléctrica desde las redes regionales de transmisión hasta el domicilio del usuario final, incluida su conexión y medición.
Símbolo: imagen o signo que describe una unidad, magnitud o situación determinada y que se utiliza como forma convencional de entendimiento colectivo.
Sistema: conjunto de componentes interrelacionados e interactuantes para llevar a cabo una misión conjunta. Admite ciertos elementos de entrada y produce ciertos elementos de salida en un proceso organizado.
Sistema de emergencia: un sistema de potencia y control destinado a suministrar energía de respaldo a un número limitado de funciones vitales, dirigidas a garantizar la seguridad y protección de la vida humana.
Sistema de potencia aislado (IT): un sistema con el punto neutro aislado de tierra o conectado a ella a través de una impedancia. Cuenta con un transformador y un monitor de aislamiento. Se utiliza especialmente en centros de atención médica, minas, embarcaciones, vehículos, ferrocarriles y plantas eléctricas.
Sistema de puesta a tierra (SPT): conjunto de elementos conductores continuos de un sistema eléctrico específico, sin interrupciones, que conectan los equipos eléctricos con el terreno o una masa metálica. Comprende la puesta a tierra y la red equipotencial de cables que normalmente no conducen corriente.
Sistema de puesta a tierra de protección: conjunto de conexión, encerramiento, canalización, cable y clavija que se acoplan a un equipo eléctrico, para prevenir electrocuciones por contactos con partes metálicas energizadas accidentalmente.
Sistema de puesta a tierra de servicio: es la que pertenece al circuito de corriente; sirve tanto para condiciones de funcionamiento normal como de falla.
Sistema de puesta a tierra temporal: dispositivo de puesta en cortocircuito y a tierra, para protección del personal que interviene en redes desenergizadas.
Sistema ininterrumpido de potencia (UPS): sistema diseñado para suministrar electricidad en forma automática, cuando la fuente de potencia normal no provea la electricidad.
Sobrecarga: funcionamiento de un elemento excediendo su capacidad nominal.
Sobretensión: tensión anormal existente entre dos puntos de una instalación eléctrica, superior a la tensión máxima de operación normal de un dispositivo, equipo o sistema.
Subestación: conjunto único de instalaciones, equipos eléctricos y obras complementarias, destinado a la transferencia de energía eléctrica, mediante la transformación de potencia.
Susceptibilidad: es la sensibilidad de un dispositivo, equipo o sistema para operar sin degradarse en presencia de una perturbación electromagnética.
Tablero: encerramiento metálico o no metálico donde se alojan elementos tales como aparatos de corte, control, medición, dispositivos de protección, barrajes, para efectos de este reglamento es equivalente a panel, armario o cuadro.
Técnica: conjunto de procedimientos y recursos que se derivan de aplicaciones prácticas de una o varias ciencias.
Tensión: la diferencia de potencial eléctrico entre dos conductores, que hace que fluyan electrones por una resistencia. Tensión es una magnitud, cuya unidad es el voltio; un error frecuente es hablar de “voltaje”.
Tensión a tierra: para circuitos puestos a tierra, la tensión entre un conductor dado y el conductor del circuito puesto a tierra o a la puesta a tierra; para circuitos no puestos a tierra, la mayor tensión entre un conductor dado y algún otro conductor del circuito.
Tensión de contacto: diferencia de potencial que durante una falla se presenta entre una estructura metálica puesta a tierra y un punto de la superficie del terreno a una distancia de un metro.
Esta distancia horizontal es equivalente a la máxima que se puede alcanzar al extender un brazo.
Tensión de paso: diferencia de potencial que durante una falla se presenta entre dos puntos de la superficie del terreno, separados por una distancia de un paso (aproximadamente un metro).
Tensión de servicio: valor de tensión, bajo condiciones normales, en un instante dado y en un nodo del sistema. Puede ser estimado, esperado o medido.
Tensión máxima para un equipo: tensión máxima para la cual está especificado, sin rebasar el margen de seguridad, en lo que respecta a su aislamiento o a otras características propias del equipo.
Tensión máxima de un sistema: valor de tensión máxima en un punto de un sistema eléctrico, durante un tiempo, bajo condiciones de operación normal.
Tensión nominal: valor convencional de la tensión con el cual se designa un sistema, instalación o equipo y para el que ha sido previsto su funcionamiento y aislamiento. Para el caso de sistemas trifásicos, se considera como tal la tensión entre fases.
Tensión transferida: es un caso especial de tensión de contacto, donde un potencial es conducido hasta un punto remoto respecto a la subestación o a una puesta a tierra.
Tetanización: rigidez muscular producida por el paso de una corriente eléctrica.
Tierra (ground o earth): para sistemas eléctricos, es una expresión que generaliza todo lo referente a conexiones con tierra. En temas eléctricos se asocia a suelo, terreno, tierra, masa, chasis, carcasa, armazón, estructura o tubería de agua. El término “masa” solo debe utilizarse para aquellos casos en que no es el suelo, como en los aviones, los barcos y los carros.
Tierra redundante: conexión especial de conductores de puesta a tierra, para tomacorrientes y equipo eléctrico fijo en áreas de cuidado de pacientes, que conecta tanto la tubería metálica como el conductor de tierra aislado, para asegurar la protección de los pacientes contra las corrientes de fuga.
Tomacorriente: dispositivo con contactos hembra, diseñado para instalación fija en una estructura o parte de un equipo, cuyo propósito es establecer una conexión eléctrica con una clavija.
Toxicidad: efecto venenoso producido por un período de exposición a gases, humos o vapores y que puede dar lugar a un daño fisiológico o la muerte.
Trabajo: actividad vital del hombre, social y racional, orientada a un fin y un medio de plena realización.
Trabajos en tensión: métodos de trabajo, en los cuales un operario entra en contacto con elementos energizados o entra en la zona de influencia directa del campo electromagnético que este produce, bien sea con una parte de su cuerpo o con herramientas, equipos o los dispositivos que manipula.
Transformación: proceso mediante el cual son modificados, los parámetros de tensión y corriente de una red eléctrica, por medio de uno o más transformadores, cuyos secundarios se emplean en la alimentación de otras subestaciones o centros transformación (incluye equipos de protección y seccionamiento).
Transmisión: proceso mediante el cual se hace transferencia de grandes bloques de energía eléctrica, desde las centrales de generación hasta las áreas de consumo.
Umbral: nivel de una señal o concentración de un contaminante, comúnmente aceptado como de no daño al ser humano.
Umbral de percepción: valor mínimo de corriente a partir de la cual es percibida por el 99,5 % de los seres humanos. Se estima en 1,1 miliamperios para los hombres en corriente alterna a 60 Hz.
Umbral de reacción: valor mínimo de corriente que causa contracción muscular involuntaria.
Umbral de soltar o corriente límite: es el valor máximo de corriente que permite la separación voluntaria de un 99,5% de las personas. Se considera como la máxima corriente segura y se estima en 10 mA para hombres, en corriente alterna.
Urgencia: necesidad de trabajo que se presenta fuera de la programación y que permite realizarse cuando se terminen las tareas en ejecución.
Usuario: persona natural o jurídica que se beneficia con la prestación de un servicio público, bien como propietario del inmueble en donde este se presta, o como receptor directo del servicio. A este último usuario se denomina también consumidor // Toda persona natural o jurídica que, como destinatario final, adquiera, disfrute o utilice un determinado producto, cualquiera que sea su naturaleza para la satisfacción de una necesidad propia, privada, familiar o doméstica y empresarial cuando no esté ligada intrínsecamente a su actividad económica.
Vano: distancia horizontal entre dos apoyos adyacentes de una línea o red.
Vecindad del paciente: es el espacio destinado para el examen y tratamiento de pacientes, se define como la distancia horizontal de 1,8 metros desde la cama, silla, mesa u otro dispositivo que soporte al paciente y se extiende hasta una distancia vertical de 2,30 metros sobre el piso.
Vida útil: tiempo durante el cual un bien cumple la función para la que fue concebido.
Vulnerabilidad: susceptibilidad o fragilidad física, económica, social, ambiental o institucional que tiene una comunidad de ser afectada o de sufrir efectos adversos en caso de que un evento físico peligroso se presente. En temas eléctricos es la incapacidad o inhabilidad de un dispositivo, equipo o sistema para operar sin degradarse, en presencia de una perturbación electromagnética o un cambio de condiciones.
Zona de servidumbre: es una franja de terreno que se deja sin obstáculos a lo largo de una línea de transporte o distribución de energía eléctrica, como margen de seguridad para la construcción, operación y mantenimiento de dicha línea, así como para tener una interrelación segura con el entorno.
ARTÍCULO 4o. ABREVIATURAS, ACRÓNIMOS Y SIGLAS. Para efectos del presente reglamento y mayor información, se presenta un listado de las abreviaturas, acrónimos y siglas más comúnmente utilizadas en el sector eléctrico.
| Ámbito | Organismo de normalización | Norma | |
| Sigla/ acrónimo | Nombre | ||
| España | AENOR | Asociación Española de Normalización y Certificación | UNE |
| Francia | AFNOR | Association Francaise de Normalisation | NF |
| E.E. U.U. | Ansi | American National Standards Institute | ANSI |
| Inglaterra | BSI | British Standards Institution | BS |
| Sur América | CAN | Comité Andino de Normalización | |
| Sur América | Canena | Consejo de Armonización de Normas Electrotécnicas Naciones de América | |
| Europa | Cenelec | Comité Européen de Normalization Electrotechnique | EN |
| América | Copant | Comisión Panamericana de Normas Técnicas | COPANT |
| Colombia | Icontec | Instituto Colombiano de Normas Técnicas y Certificación | NTC |
| Internacional | IEC | International Electrotechnical Commission | IEC |
| Internacional | ISO | International Organization for Standardizaron | ISO |
| Internacional | UIT-ITU | Unión Internacional de Telecomunicaciones -International Telecomunication Union | UIT |
| Alemania | DIN | Deutsches Institut fur Normung | VDE |
Tabla 4.1. Organismos de normalización
Acrónimos, siglas y abreviaturas de común utilización
| AAC | All aluminum conductor |
| AAAC | All aluminum alloy conductor |
| ACSR | Aluminum conductor steel reinforced |
| AEIC | Association of Edison Illuminating Companies |
| ASTM | American Society for Testing and Materials |
| AT | Alta tensión |
| AWG | American wire gage |
| BT | Baja tensión |
| CEI | Comitato Electrotécnico Italiano |
| Cigre | Conseil International des Grands Réseaux Electriques |
| CREG | Comisión de Regulación de Energía y Gas |
| DPS | Dispositivo de protección contra sobretensiones transitorias |
| ESD | Electrostatic discharge |
| FIPS | Federal information processing standards |
| GPR | Ground potential rise |
| IACS | International annealed copper standard |
| Icea | Insulated Cable Engineers Association |
| ICNIRP | International Commission on Non lonizing Radiation Protection |
| ICS | International classification for standards |
| IEEE | Institute of Electrical and Electronics Engineers |
| IQNET | International certification network |
| MT | Media tensión |
| Nema | National Electrical Manufacturers Association |
| NFPA | National Fire Protection Association |
| NTC | Norma técnica colombiana |
| OMC | Organización Mundial del Comercio |
| Onac | Organismo Nacional de Acreditación de Colombia |
| PVC | Cloruro de polivinilo |
| SDL | Sistema de distribución local |
| SI | Sistema internacional de unidades |
| SIC | Superintendencia de Industria y Comercio |
| SPT | Sistema de puesta a tierra |
| SSPD | Superintendencia de Servicios Públicos Domiciliarios |
| STN | Sistema de transmisión nacional |
| STR | Sistema de transmisión regional |
| TBT | Technical barrieres to trade agreement (obstáculos técnicos al comercio) |
| TW | Thermoplastic wet (termoplástico resistente a la humedad) |
| THW | Thermoplastic heat wet (termoplástico resistente al calor (75 ºC) y a la humedad) |
| THHN | Thermoplastic High Heat Nylon (termoplástico resistente al calor (90 ºC) y a la abrasión) |
| UL | Underwrites Laboratories Inc. |
| XLPE | Cross linked polyethilene (polietileno de cadena cruzada) |
| ca | Corriente alterna |
| cc | Corriente continua |
| cmil | Circular mil |
| rms | Root mean square. Valor eficaz de una señal |
| t.c. | Transformador de corriente |
| t.t. | Transformador de tensión |
Tabla 4.2. Acrónimos, siglas y abreviaturas de común utilización
ARTÍCULO 5o. SISTEMA DE UNIDADES. En las instalaciones objeto del presente reglamento se debe aplicar el sistema internacional de unidades (SI), aprobado por la Resolución 1823 de 1991 de la Superintendencia de Industria y Comercio. En consecuencia, los siguientes símbolos y nombres tanto de magnitudes como de unidades deben utilizarse en las instalaciones eléctricas.
| Nombre de la magnitud | Símbolo de la magnitud | Nombre de la unidad | Símbolo de la unidad SI |
| Admitancia | Y | siemens | S |
| Capacitancia | C | faradio | F |
| Carga Eléctrica | Q | culombio | C |
| Conductancia | G | siemens | S |
| Conductividad | ó | siemens por metro | S/m |
| Corriente eléctrica | I | amperio | A |
| Densidad de corriente | J | amperio por metro cuadrado | A/m2 |
| Densidad de flujo eléctrico | D | culombio por metro | C/m2 |
| Densidad de flujo magnético | B | tesla | T |
| Energía activa | kWh | kilovatio hora | kWh |
| Factor de potencia | FP | uno | 1 |
| Frecuencia | F | hertz | Hz |
| Frecuencia angular | ù | radián por segundo | rad/s |
| Fuerza electromotriz | E | voltio | V |
| iluminancia | Ev | lux | lx |
| Impedancia | Z | ohmio | ? |
| Inductancia | L | henrio | H |
| Intensidad de campo eléctrico. | E | voltio por metro | V/m |
| Intensidad de campo | H | amperio por metro | A/m |
| Intensidad luminosa | Iv | candela | cd |
| Permeabilidad relativa | µr | uno | 1 |
| Permitividad relativa | år | uno | 1 |
| Potencia activa | P | vatio | W |
| Potencia aparente | Ps | voltamperio | VA |
| Potencia reactiva | PQ | voltamperio reactivo | VAr |
| Reactancia | X | ohmio | ? |
| Resistencia | R | ohmio | ? |
| Resistividad | ñ | ohmio metro | ?m |
| Tensión o potencial eléctrico | V | voltio | V |
Tabla 5.1. Simbología de magnitudes y unidades utilizadas en electrotecnia
Se deben tener en cuenta las siguientes reglas para el uso de símbolos y unidades:
a. No debe confundirse magnitud con unidad.
b. El símbolo de la unidad será el mismo para el singular que para el plural.
c. Cuando se va a escribir o pronunciar el plural del nombre de una unidad, se usarán las reglas de la gramática española.
d. Cada unidad y cada prefijo tiene un solo símbolo y este no debe ser cambiado. No se deben usar abreviaturas.
e. Los símbolos de las unidades se denotan con letras minúsculas, con la excepción del ohmio (?) letra mayúscula omega del alfabeto griego. Aquellos que provienen del nombre de personas se escriben con mayúscula.
f. El nombre completo de las unidades se debe escribir con letra minúscula, con la única excepción del grado Celsius, salvo en el caso de comenzar la frase o luego de un punto.
g. Las unidades solo podrán designarse por sus nombres completos o por sus símbolos correspondientes reconocidos internacionalmente.
h. Entre prefijo y símbolo no se deja espacio.
i. El producto de símbolos se indica por medio de un punto.
j. No se colocarán signos de puntuación luego de los símbolos de las unidades, sus múltiplos o submúltiplos, salvo por regla de puntuación gramatical, dejando un espacio de separación entre el símbolo y el signo de puntuación.
ARTÍCULO 6o. SIMBOLOGÍA Y SEÑALIZACIÓN.
Son de obligatoria aplicación los símbolos gráficos contemplados en la tabla 6.1, tomados de las normas unificadas IEC 60617, ANSI Y32, CSA Z99 e IEEE 315, los cuales guardan mayor relación con la seguridad eléctrica. Cuando se requieran otros símbolos se pueden tomar de las normas precitadas.
Cuando por razones técnicas, las instalaciones no puedan acogerse a estos símbolos, se debe justificar mediante documento escrito firmado por el profesional que conforme a la ley es responsable del diseño.
Dicho documento debe acompañar el dictamen de inspección que repose en la instalación.
6.1.1. SÍMBOLO DE RIESGO ELÉCTRICO.
Donde se precise el símbolo de riesgo eléctrico en señalización de seguridad, se deben conservar las proporciones de las dimensiones, según la siguiente tabla adoptada de la IEC 60417-1. Se podrán aceptar tolerancias de ± 10% de los valores señalados.

Tabla 6.2 Proporciones en las dimenciones del símbolo de riesgo eléctrico

Figura 6.1 Símbolo de riesgo eléctrico
6.2. SEÑALIZACIÓN DE SEGURIDAD.
El objetivo de las señales de seguridad es transmitir mensajes de prevención, prohibición o información en forma clara, precisa y de fácil entendimiento para todos, en una zona en la que se ejecutan trabajos eléctricos o en zonas de operación de máquinas, equipos o instalaciones que entrañen un peligro potencial. Las señales de seguridad no eliminan por sí mismas el peligro pero dan advertencias o directrices que permitan aplicar las medidas adecuadas para prevención de accidentes.
Para efectos del presente reglamento, los siguientes requisitos de señalización, tomados de las normas IEC 60617, NTC 1461, ISO 3461, ANSI Z535 e ISO 3864-2 son de obligatoria aplicación y el propietario de la instalación será responsable de su utilización. Su escritura debe ser en idioma castellano y deben localizarse en sitios visibles que permitan cumplir su objetivo.
El uso de las señales de riesgo adoptadas en el presente reglamento será de obligatorio cumplimiento, a menos que alguna norma de mayor jerarquía legal exija algo diferente, en tal caso las empresas justificarán la razón de su no utilización.
6.2.2. CLASIFICACIÓN DE LAS SEÑALES DE SEGURIDAD.
Las señales de seguridad según su tipo se clasifican en: de advertencia o precaución, de prohibición, de obligación, de información y de salvamento o socorro; estas deben aplicar las formas geométricas y los colores de la tabla 6.3.

Tabla 6.3. Clasificación y colores para las señales de seguridad.
Las dimensiones de la señales deben permitir ver y captar el mensaje a distancias razonables del elemento o área sujeta al riesgo; para compensar las diferencias entre las áreas triangular, redonda, rectangular o cuadrada y para asegurar que todos los símbolos parezcan relativamente iguales en tamaño, cuando se divisen a cierta distancia, se deben manejar las siguientes proporciones:
Base del triángulo equilátero: 100%
Diámetro del círculo: 80%
Altura del cuadrado o del rectángulo: 75%
Ancho del rectángulo 120%
Dimensiones típicas de la base del triángulo son: 25, 50, 100, 200, 400, 600, 900 mm. En la tabla 6.4 se presentan algunas de las principales señales de seguridad, su respectivo uso y la descripción del pictograma.


Tabla 6.4. Principales señales de seguridad
6.3. CÓDIGO DE COLORES PARA CONDUCTORES.
Con el objeto de evitar accidentes por errónea interpretación del nivel de tensión y tipo de sistema utilizado, se debe cumplir el código de colores para conductores aislados de potencia, establecido en las tablas 6.5 y 6.6 según corresponda. Se tomará como válido para determinar este requisito el color propio del acabado exterior del conductor o una marcación clara en las partes visibles, con pintura, con cinta o rótulos adhesivos del color respectivo. Este requisito igualmente aplica a conductores desnudos, que actúen como barrajes en instalaciones interiores y no para los conductores utilizados en instalaciones a la intemperie diferentes a la acometida.

Tabla 6.5 Código de colores para conductores c.a
<Tabla modificada por el artículo 2 de la Resolución 90795 de 2014. El nuevo texto es el siguiente:>
Tabla 6.6 Código de colores para conductores c.c.
| Sistema c.c. | Con conductor medio | Sin conductor medio | ||
| TN-S | TN-C y T-T | TN-S | TN-C y T-T | |
| Conductor positivo | Rojo | Rojo | Rojo | Rojo |
| Conductor negativo | Azul | Azul | Blanco | Blanco |
| Conductor medio | Blanco | Blanco | No aplica | No aplica |
| Tierra de protección | Verde o Verde/Amarillo | No aplica | Verde o Verde/Amarillo | No aplica |
En sistemas con tensión superior a 380 V, adicional a los colores, debe fijarse en los tableros y en puntos accesibles de conductores, una leyenda con el aviso del nivel de tensión respectivo.
En circuitos monofásicos derivados de sistemas trifásicos, el conductor de la fase debe ser marcado de color asignado a la fase en el sistema trifásico donde se derive. Igual tratamiento debe darse a sistemas monofásicos derivados de 2 fases. Si la acometida es monofásica derivada de sistema trifásico, una fase también podrá identificarse con negro.
En todos los casos el neutro debe ser de color blanco o marcado con blanco en todas las partes visibles y la tierra de protección color verde o marcada con franja verde. No se debe utilizar el blanco ni el verde para las fases.
Los tableros procedentes del exterior para uso en Colombia, también deben marcarse según los colores establecidos en el RETIE.
En sistemas de medida, el cableado de los transformadores tanto de potencial como de corriente, la conexión debe respetar el color de la fase asociada.
ARTÍCULO 7o. COMUNICACIONES PARA COORDINACIÓN DE TRABAJOS ELÉCTRICOS. Cada maniobra o trabajo que se realice en una línea, red o equipo energizado, susceptible de energizarse debe coordinarse con la(s) persona(s) que tenga control sobre su energización.
El trabajador que reciba un mensaje oral concerniente a maniobras de conexión o desconexión de líneas o equipos, debe repetirlo de inmediato al remitente y obtener la aprobación del mismo. El trabajador autorizado que envíe un mensaje oral, debe asegurarse de la identidad de su interlocutor.
Toda empresa de servicios públicos debe tener un sistema de comunicaciones con protocolos aprobados que garanticen la mayor seguridad y confiabilidad. En el caso de que la empresa no posea un sistema de comunicaciones seguro para la ejecución de maniobras por radio, debe adoptar el código Q.
Para efectos del presente reglamento y en razón al uso de comunicaciones por radio para todo tipo de maniobras y coordinación de trabajos, se adoptan las siguientes abreviaturas de servicio, tomadas del código telegráfico o código Q, utilizado desde 1912.
| Abreviatura | Significado | Abreviatura | Significado |
| QAB | Pedir autorización | QRU | ¿Tiene algún mensaje para mí? |
| QAP | Permanecer en escucha | QRV | Preparado para |
| QAQ | ¿Existe peligro? | QRX | ¿Cuándo vuelve a llamar? |
| QAY | Avisar cuando pase por | QSA | Intensidad de la señal (de 1 a 5) |
| QBC | Informe meteorológico | QSG | Mensajes por enviar |
| QCB | Está ocasionando demora | QSI | Informar a.... |
| QCS | Mi recepción fue interrumpida | QSL | Confirmar recepción |
| QDB | Enviar el mensaje a... | QSM | Repetir último mensaje |
| QEF | Llegar al estacionamiento | QSN | ¿Ha escuchado? |
| QEN | Mantener la posición | QSO | Necesito comunicarme con... |
| QGL | ¿Puedo entrar en...? | QSR | Repetir la llamada |
| QGM | ¿Puedo salir de...? | QSY | Pasar a otra frecuencia |
| QOD | Permiso para comunicar | QSR | Repetir la llamada |
| QOE | Señal de seguridad | QSX | Escuchar a... |
| QOF | Calidad de mis señales | QSY | Pasar a otra frecuencia |
| QOT | Tiempo de espera para comunicación | QTA | Cancelar el mensaje |
| QRA | Quien llama | QTH | Ubicación o lugar |
| QRB | Distancia aproximada entre estaciones | QTN | Hora de salida |
| QRD | Sitio hacia donde se dirige | QTR | Hora exacta |
| QRE | Hora de llegada | QTU | Hora en que estará al aire |
| QRF | Volver a un sitio | QTX | Estación dispuesta para comunicar |
| QRG | Frecuencia exacta | QTZ | Continuación de la búsqueda |
| QRI | Tono de mi transmisión | QUA | ¿Tiene noticias de...? |
| QRK | ¿Cómo me copia? | QUB | Datos solicitados |
| QRL | Estar ocupado | QUD | Señal de urgencia |
| QRM | ¿Tiene interferencia? | QUE | ¿Puedo hablar en otro idioma? |
| QRO | Aumentar la potencia de transmisión | QUN | Mi situación es |
| QRP | Disminuir la potencia de transmisión | QUO | Favor buscar |
| QRQ | Transmitir más rápido | CQ | Llamado general |
| QRRR | Llamada de emergencia | MN | Minutos |
| QRS | Transmitir más despacio | RPT | Favor repetir |
| QRT | Cesar de transmitir | TKS | Gracias |
Tabla 7.1. Código Q
ARTÍCULO 8o. PROGRAMA DE SALUD OCUPACIONAL. Para efectos del presente reglamento, toda empresa o persona natural que desarrolle actividades relacionadas con la construcción, operación y mantenimiento de instalaciones de energía eléctrica, debe dar cumplimiento a los requisitos de salud ocupacional, establecidos en la legislación y regulación colombiana vigente y en particular la resolución expedida por el Ministerio de la Protección Social número 1348 de 2009, o la que la modifique, adicione o sustituya, algunos de los cuales se sintetizan en lo siguiente.
a. Todos los empleadores públicos, privados, contratistas y subcontratistas, están obligados a organizar y garantizar el funcionamiento de un programa de salud ocupacional. Su cumplimiento será vigilado por la autoridad competente.
b. El programa de salud ocupacional consiste en la planeación, organización, ejecución y evaluación de las actividades de medicina preventiva, medicina del trabajo, higiene industrial y seguridad industrial.
c. Cada empresa debe tener su propio programa, en caso de que se desarrolle el programa en conjunto con otra empresa, se entiende que cada una tendrá su programa específico, pero podrá compartir, en conjunto los recursos necesarios para su desarrollo.
d. Elaborar un panorama de riesgos para obtener información sobre estos en los sitios de trabajo de la empresa, que permita su localización y evaluación.
e. Los subprogramas de medicina preventiva y del trabajo, tienen como finalidad principal la promoción, prevención y control de la salud del trabajador, protegiéndolo de los factores de riesgo ocupacionales.
f. Establecer y ejecutar las modificaciones en los procesos u operaciones, sustitución de materias primas peligrosas, encerramiento o aislamiento de procesos, operaciones u otras medidas, con el objeto de controlar en la fuente de origen o en el medio, los agentes de riesgo.
g. Delimitar o demarcar las áreas de trabajo, zonas de almacenamiento y vías de circulación, y señalizar salidas de emergencia, resguardos y zonas peligrosas de las máquinas e instalaciones.
h. Organizar y desarrollar un plan de emergencia teniendo en cuenta las siguientes ramas:
- Rama preventiva.
- Rama pasiva o estructural.
- Rama activa o control de las emergencias.
Adicional a estas medidas, se deben estudiar e implantar los programas de mantenimiento preventivo de las máquinas, equipos, herramientas, instalaciones locativas, alumbrado y redes eléctricas. Así mismo, se deben inspeccionar periódicamente las redes e instalaciones eléctricas, la maquinaria, equipos y herramientas utilizadas y en general todos aquellos elementos que generen riesgos de origen eléctrico.
REQUISITOS TÉCNICOS ESENCIALES.
Los requisitos contenidos en este capítulo, son de aplicación obligatoria en todos los niveles de tensión y en todos los procesos y deben ser cumplidos según la situación particular en las instalaciones eléctricas objeto del presente reglamento.
ARTÍCULO 9o. ANÁLISIS DE RIESGOS DE ORIGEN ELÉCTRICO. En general la utilización y dependencia tanto industrial como doméstica de la energía eléctrica ha traído consigo la aparición de accidentes por contacto con elementos energizados o incendios, los cuales se han incrementado por el aumento del número de instalaciones, principalmente en la distribución y uso final de la electricidad. Esta parte del RETIE tiene como principal objetivo crear conciencia sobre los riesgos existentes en todo lugar donde se haga uso de la electricidad o se tengan elementos energizados.
El resultado final del paso de una corriente eléctrica por el cuerpo humano puede predecirse con un gran porcentaje de certeza, si se toman ciertas condiciones de riesgo conocidas y se evalúa en qué medida influyen todos los factores que se conjugan en un accidente de tipo eléctrico. Por tal razón el personal que intervenga en una instalación, en función de las características de la actividad, proceso o situación, debe aplicar las medidas necesarias para que no se potencialice un riesgo de origen eléctrico.
Esta disciplina estudia los efectos de corriente eléctrica, potencialmente peligrosa, que puede producir lesiones en el organismo, así como el tipo de accidentes que causa. Las consecuencias del paso de la corriente por el cuerpo humano pueden ocasionar desde una simple molestia hasta la muerte, dependiendo del tipo de contacto; sin embargo, debe tenerse en cuenta que en general la muerte no es súbita. Por lo anterior, el RETIE ha recopilado los siguientes conceptos básicos para que las personas tengan en cuenta:
- Los accidentes con origen eléctrico pueden ser producidos por: contactos directos (bipolar o fasefase, fase-neutro, fase-tierra), contactos indirectos (inducción, contacto con masa energizada, tensión de paso, tensión de contacto, tensión transferida), impactos de rayo, fulguración, explosión, incendio, sobrecorriente y sobretensiones.
- Los seres humanos expuestos a riesgo eléctrico, se clasifican en individuos tipo “A” y tipo “B”. El tipo “A” es toda persona que lleva conductores eléctricos que terminan en el corazón en procesos invasivos; para este tipo de paciente, se considera que la corriente máxima segura es de 80 µA. El individuo tipo “B” es aquel que está en contacto con equipos eléctricos y que no lleva conductores directos al corazón.
- Algunos estudios, principalmente los de Dalziel, han establecido niveles de corte de corriente de los dispositivos de protección que evitan la muerte por electrocución (ver tabla 9.1).
| Corriente de disparo | 6mA (rms) | 10mA (rms) | 20mA (rms) | 30mA (rms) |
| Hombres | 100% | 98,5% | 7,5% | 0% |
| Mujeres | 99,5% | 60% | 0% | 0% |
| Niños | 92,5% | 7,5% | 0% | 0% |
Tabla 9.1. Porcentaje de personas que se protegen según la corriente de disparo
- Biegelmeier estableció la relación entre el I2.t (energía específica) y los efectos fisiológicos (ver tabla 9.2).
| Energía específica I2.t. (A2s x 10-6) | Percepciones y reacciones fisiológicas |
| 4 a 8 | Sensaciones leves en dedos y en tendones de los pies. |
| 10 a 30 | Rigidez muscular suave en dedos, muñecas y codos. |
| 15 a 45 | Rigidez muscular en dedos, muñecas, codos y hombros. Sensación en las piernas. |
| 40 a 80 | Rigidez muscular y dolor en brazos y piernas. |
| 70 a 120 | Rigidez muscular, dolor y ardor en brazos, hombros y piernas. |
Tabla 9.2. Relación entre energía específica y efectos fisiológicos
- Debido a que los umbrales de soportabilidad de los seres humanos, tales como el de paso de corriente (1,1 mA), de reacción a soltarse (10 mA) y de rigidez muscular o de fibrilación (25 mA) son valores muy bajos; la superación de dichos valores puede ocasionar accidentes como la muerte o la pérdida de algún miembro o función del cuerpo humano.
- En la siguiente gráfica tomada de la NTC 4120, con referente IEC 60479-2, se detallan las zonas de los efectos de la corriente alterna de 15 Hz a 100 Hz.

Figura 9.1 Zonas de tiempo/corriente de los efectos de las corrientes alternas de 15 Hz a 100 Hz
- Cuando circula corriente por el organismo, siempre se presentan en mayor o menor grado tres efectos: nervioso, químico y calorífico.
- En cada caso de descarga eléctrica intervienen una serie de factores variables con efecto aleatorio, sin embargo, los principales son: intensidad de la corriente, la resistencia del cuerpo humano, trayectoria, duración del contacto, tensión aplicada y frecuencia de la corriente.
- El paso de corriente por el cuerpo, puede ocasionar el estado fisiopatológico de shock, que presenta efectos circulatorios y respiratorios simultáneamente.
- La fibrilación ventricular consiste en el movimiento anárquico del corazón, el cual no sigue su ritmo normal y deja de enviar sangre a los distintos órganos.
- El umbral de fibrilación ventricular depende de parámetros fisiológicos y eléctricos, por ello se ha tomado la curva C1 como límite para diseño de equipos de protección. Los valores umbrales de corriente en menos de 0,2 segundos se aplican solamente durante el período vulnerable del ciclo cardíaco.
- Electrización es un término para los accidentes con paso de corriente no mortal.
- La electrocución se da en los accidentes con paso de corriente, cuya consecuencia es la muerte, la cual puede ser aparente, inmediata o posterior.
- La tetanización muscular es la anulación de la capacidad del control muscular, la rigidez incontrolada de los músculos como consecuencia del paso de una corriente eléctrica.
- La asfixia se produce cuando el paso de la corriente afecta al centro nervioso que regula la función respiratoria, ocasionando el paro respiratorio. Casi siempre por contracción del diafragma.
- Las quemaduras o necrosis eléctrica se producen por la energía liberada al paso de la corriente (calentamiento por efecto Joule) o por radiación térmica de un arco eléctrico.
- El bloqueo renal o paralización de la acción metabólica de los riñones, es producido por los efectos tóxicos de las quemaduras o mioglobinuria.
- Pueden producirse otros efectos colaterales tales como fracturas, conjuntivitis, contracciones, golpes, aumento de la presión sanguínea, arritmias, fallas en la respiración, dolores sordos, paro temporal del corazón, etc.
- El cuerpo humano es un buen conductor de la electricidad. Para efectos de cálculos, se ha normalizado la resistencia como 1000
. Experimentalmente se mide entre las dos manos sumergidas en solución salina, que sujetan dos electrodos y una placa de cobre sobre la que se para la persona. En estudios más profundos el cuerpo humano se ha analizado como impedancias (Z) que varían según diversas condiciones (ver figura 9.2). Los órganos como la piel, los músculos, etc., presentan ante la corriente eléctrica una impedancia compuesta por elementos resistivos y capacitivos.

- Los estados en función del grado de humedad y su tensión de seguridad asociada son:
– Piel perfectamente seca (excepcional): 80 V
– Piel húmeda (normal) en ambiente seco: 50 V
– Piel mojada (más normal) en ambientes muy húmedos: 24 V
– Piel sumergida en agua (casos especiales): 12 V
Nota: la alta dependencia de la impedancia del cuerpo con el contenido de agua en la piel obliga a que en las instalaciones eléctricas en áreas mojadas, tales como cuartos de baños, mesones de cocina, terrazas, espacios inundados, se deben tomar mayores precauciones como el uso de tomas o interruptores con protección de falla a tierra y el uso de muy baja tensión en instalaciones como las de piscinas.
9.2. EVALUACIÓN DEL NIVEL DE RIESGO.
Para la elaboración del presente reglamento se tuvieron en cuenta los elevados gastos en que frecuentemente incurren el Estado y las personas o entidades afectadas cuando se presenta un accidente de origen eléctrico, los cuales superan significativamente las inversiones que se hubieren requerido para minimizar o eliminar el riesgo.
Para los efectos del presente reglamento se entenderá que una instalación eléctrica es de peligro inminente o de alto riesgo, cuando carezca de las medidas de protección frente a condiciones donde se comprometa la salud o la vida de personas, tales como: ausencia de la electricidad, arco eléctrico, contacto directo e indirecto con partes energizadas, rayos, sobretensiones, sobrecargas, cortocircuitos, tensiones de paso, contacto y transferidas que excedan límites permitidos.
9.2.1. MATRIZ DE ANÁLISIS DE RIESGOS.
Con el fin de evaluar el nivel o grado de riesgo de tipo eléctrico, se puede aplicar la siguiente matriz para la toma de decisiones (tabla 9.3). La metodología a seguir en un caso en particular, es la siguiente:
a. Definir el factor de riesgo que se requiere evaluar o categorizar.
b. Definir si el riesgo es potencial o real.
c. Determinar las consecuencias para las personas, económicas, ambientales y de imagen de la empresa. Estimar dependiendo del caso particular que analiza.
d. Buscar el punto de cruce dentro de la matriz correspondiente a la consecuencia (1, 2, 3, 4, 5) y a la frecuencia determinada (a, b, c, d, e): esa será la valoración del riesgo para cada clase.
e. Repetir el proceso para la siguiente clase hasta que cubra todas las posibles pérdidas.
f. Tomar el caso más crítico de los cuatro puntos de cruce, el cual será la categoría o nivel del riesgo.
g. Tomar las decisiones o acciones, según lo indicado en la tabla 9.4.

Tabla 9.3 Matriz para análisis de riesgo

Tabla 9.4 Decisiones y acciones para controlar el riesgo
9.2.2. CRITERIOS PARA DETERMINAR ALTO RIESGO.
Para determinar la existencia de alto riesgo, la situación debe ser evaluada por un profesional competente <una persona competente>* en electrotecnia y basarse en los siguientes criterios:
a. Que existan condiciones peligrosas, plenamente identificables, especialmente carencia de medidas preventivas específicas contra los factores de riesgo eléctrico; equipos, productos o conexiones defectuosas; insuficiente capacidad para la carga de la instalación eléctrica; violación de distancias de seguridad; materiales combustibles o explosivos en lugares donde se pueda presentar arco eléctrico; presencia de lluvia, tormentas eléctricas y contaminación.
b. Que el peligro tenga un carácter inminente, es decir, que existan indicios racionales de que la exposición al factor de riesgo conlleve a que se produzca el accidente. Esto significa que la muerte o una lesión física grave, un incendio o una explosión, puede ocurrir antes de que se haga un estudio a fondo del problema, para tomar las medidas preventivas.
c. Que la gravedad sea máxima, es decir, que haya gran probabilidad de muerte, lesión física grave, incendio o explosión, que conlleve a que una parte del cuerpo o todo, pueda ser lesionada de tal manera que se inutilice o quede limitado su uso en forma permanente o que se destruyan bienes importantes de la instalación o de su entorno.
d. Que existan antecedentes comparables, el evaluador del riesgo debe referenciar al menos un antecedente ocurrido con condiciones similares.
9.3. FACTORES DE RIESGO ELÉCTRICO MÁS COMUNES.
Por regla general, todas las instalaciones eléctricas tienen implícito un riesgo y ante la imposibilidad de controlarlos todos en forma permanente, se seleccionaron algunos factores, que al no tenerlos presentes ocasionan la mayor cantidad de accidentes.
El tratamiento preventivo de la problemática del riesgo de origen eléctrico, obliga a saber identificar y valorar las situaciones irregulares, antes de que suceda algún accidente. Por ello, es necesario conocer claramente el concepto de riesgo; a partir de ese conocimiento, del análisis de los factores que intervienen y de las circunstancias particulares, se tendrán criterios objetivos que permitan detectar la situación de riesgo y valorar su grado de peligrosidad. Identificado el riesgo, se han de seleccionar las medidas preventivas aplicables.
En la tabla 9.5 se ilustran algunos de los factores de riesgo eléctrico más comunes, sus posibles causas y algunas medidas de protección.




Tabla 9.5. Factores de riesgos eléctricos más comunes
9.4. MEDIDAS A TOMAR EN SITUACIONES DE ALTO RIESGO.
En circunstancias que se evidencie alto riesgo o peligro inminente para las personas, se debe interrumpir el funcionamiento de la instalación eléctrica, excepto en aeropuertos, áreas críticas de centros de atención médica o cuando la interrupción conlleve a un riesgo mayor; caso en el cual se deben tomar otras medidas de seguridad, tendientes a minimizar el riesgo.
En estas situaciones, la persona calificada que tenga conocimiento del hecho, debe informar y solicitar a la autoridad competente que se adopten medidas provisionales que mitiguen el riesgo, dándole el apoyo técnico que esté a su alcance; la autoridad que haya recibido el reporte debe comunicarse en el menor tiempo posible con el responsable de la operación de la instalación eléctrica, para que realice los ajustes requeridos y lleve la instalación a las condiciones reglamentarias; de no realizarse dichos ajustes, se debe informar inmediatamente al organismo de control y vigilancia, quien tomará la medidas pertinentes.
9.5. NOTIFICACIÓN DE ACCIDENTES.
En los casos de accidentes de origen eléctrico con o sin interrupción del servicio de energía eléctrica, que tengan como consecuencia la muerte, lesiones graves de personas o afectación grave de inmuebles por incendio o explosión, la persona que tenga conocimiento del hecho debe comunicarlo en el menor tiempo posible a la autoridad competente o a la empresa prestadora del servicio.
Las empresas responsables de la prestación del servicio público de energía eléctrica, deben dar cumplimiento a lo establecido en el inciso d) del artículo 4º de la Resolución 1348 de 2009 expedida por el Ministerio de la Protección Social, en lo referente al deber de investigar y reportar cualquier accidente o incidente ocurrido con su personal directo o de contratistas en sus redes eléctricas. Adicionalmente, deben reportar cada tres meses al sistema único de información (SUI) los accidentes de origen eléctrico ocurridos en sus redes y aquellos con pérdida de vidas en las instalaciones de sus usuarios. Para ello, debe recopilar los accidentes reportados directamente a la empresa y las estadísticas del Instituto de Medicina Legal o la autoridad que haga sus veces en dicha jurisdicción, siguiendo las condiciones establecidas por la Superintendencia de Servicios Públicos Domiciliarios, SSPD, en su calidad de administrador de dicho sistema; el reporte debe contener como mínimo el nombre del accidentado, tipo de lesión, causa del accidente, lugar y fecha, y las medidas tomadas. Esta información será para uso exclusivo de las entidades de control, Ministerio del Trabajo, Ministerio de Salud y Protección Social y Ministerio de Minas y Energía. El incumplimiento de este requisito, el encubrimiento o alteración de la información sobre los accidentes de origen eléctrico, será considerado una violación al RETIE.
ARTÍCULO 10. REQUERIMIENTOS GENERALES DE LAS INSTALACIONES ELÉCTRICAS. Toda instalación eléctrica objeto del presente reglamento debe cumplir los siguientes requerimientos generales:
10.1. DISEÑO DE LAS INSTALACIONES ELÉCTRICAS. <Numeral modificado por el artículo 3 de la Resolución 90795 de 2014. El nuevo texto es el siguiente:>
Toda instalación eléctrica a la que le aplique el RETIE, debe contar con un diseño realizado por un profesional o profesionales legalmente competentes para desarrollar esa actividad. El diseño podrá ser detallado o simplificado según el tipo de instalación.
10.1.1 Diseño Detallado: El Diseño detallado debe ser ejecutado por profesionales de la ingeniería cuya especialidad esté relacionada con el tipo de obra a desarrollar y la competencia otorgada por su matrícula profesional, conforme a las Leyes 51 de 1986 y 842 de 2003. Las partes involucradas con el diseño deben atender y respetar los derechos de autor y propiedad intelectual de los diseños. La profundidad con que se traten los temas dependerá de la complejidad y el nivel de riesgo asociado al tipo de instalación y debe contemplar los ítems que le apliquen de la siguiente lista:
a) Análisis y cuadros de cargas iniciales y futuras, incluyendo análisis de factor de potencia y armónicos.
b) Análisis de coordinación de aislamiento eléctrico.
c) Análisis de cortocircuito y falla a tierra.
d) Análisis de nivel de riesgo por rayos y medidas de protección contra rayos.
e) Análisis de riesgos de origen eléctrico y medidas para mitigarlos.
f) Análisis del nivel tensión requerido.
g) Cálculo de campos electromagnéticos para asegurar que en espacios destinados a actividades rutinarias de las personas, no se superen los límites de exposición definidos en la Tabla 14.1
h) Cálculo de transformadores incluyendo los efectos de los armónicos y factor de potencia en la carga.
i) Cálculo del sistema de puesta a tierra.
j) Cálculo económico de conductores, teniendo en cuenta todos los factores de pérdidas, las cargas resultantes y los costos de la energía.
k) Verificación de los conductores, teniendo en cuenta el tiempo de disparo de los interruptores, la corriente de cortocircuito de la red y la capacidad de corriente del conductor de acuerdo con la norma IEC 60909, IEEE 242, capítulo 9 o equivalente.
l) Cálculo mecánico de estructuras y de elementos de sujeción de equipos.
m) Cálculo y coordinación de protecciones contra sobre corrientes. En baja tensión se permite la coordinación con las características de limitación de corriente de los dispositivos según IEC 60947-2 Anexo A.
n) Cálculos de canalizaciones (tubo, ductos, canaletas y electroductos) y volumen de encerramientos (cajas, tableros, conduletas, etc.).
o) Cálculos de pérdidas de energía, teniendo en cuenta los efectos de armónicos y factor de potencia.
p) Cálculos de regulación.
q) Clasificación de áreas.
r) Elaboración de diagramas unifilares.
s) Elaboración de planos y esquemas eléctricos para construcción.
t) Especificaciones de construcción complementarias a los planos, incluyendo las de tipo técnico de equipos y materiales y sus condiciones particulares.
u) Establecer las distancias de seguridad requeridas.
v) Justificación técnica de desviación de la NTC 2050 cuando sea permitido, siempre y cuando no comprometa la seguridad de las personas o de la instalación.
w) Los demás estudios que el tipo de instalación requiera para su correcta y segura operación, tales como condiciones sísmicas, acústicas, mecánicas o térmicas.
Nota 1. La profundidad con que se traten los ítems dependerá del tipo de instalación, para lo cual debe aplicarse el juicio profesional del responsable del diseño.
Nota 2. El diseñador deberá hacer mención expresa de aquellos ítems que a su juicio no apliquen.
Nota 3. Para un análisis de riesgos de origen eléctrico, el diseñador debe hacer una descripción de los factores de riesgos potenciales o presentes en la instalación y las recomendaciones para minimizarlos.
10.1.2 Diseño Simplificado: El diseño simplificado podrá ser realizado por ingeniero o tecnólogo de la especialidad profesional acorde con el tipo de instalación y que esté relacionada con el alcance de la matrícula profesional. Igualmente, el técnico electricista que tenga su certificación de competencia en diseño eléctrico otorgada en los términos de la Ley 1264 de 2008, podrá realizar este tipo de diseño.
El diseño simplificado se aplica para los siguientes casos:
a) Instalaciones eléctricas de vivienda unifamiliar o bifamiliares y pequeños comercios o pequeñas industrias de capacidad instalable mayor de 7 kVA y menor o igual de 15 kVA, tensión no mayor a 240 V, no tengan ambientes o equipos especiales y no hagan parte de edificaciones multifamiliares o construcciones consecutivas objeto de una misma licencia o permiso de construcción que tengan más de cuatro cuentas del servicio de energía y se especifique lo siguiente:
-- Análisis de riesgos de origen eléctrico y medidas para mitigarlos.
-- Diseño del sistema de puesta a tierra.
-- Cálculo y coordinación de protecciones contra sobre corrientes.
-- Cálculos de canalizaciones y volumen de encerramientos (tubos, ductos, canaletas, electroductos).
-- Cálculos de regulación.
-- Elaboración de diagramas unifilares.
-- Elaboración de planos y esquemas eléctricos para construcción.
-- Establecer las distancias de seguridad requeridas.
b) Ramales de redes aéreas rurales de hasta 50 kVA y 13,2 kV, por ser de menor complejidad. El diseño simplificado debe basarse en especificaciones predefinidas por el operador de red y cumplir lo siguiente:
-- Análisis de riesgos de origen eléctrico y medidas para mitigarlos.
-- Diseño de puesta a tierra.
-- Protecciones contra sobrecorriente y sobretensión.
-- Elaboración de planos y esquemas eléctricos para construcción.
-- Especificar las distancias mínimas de seguridad requeridas.
-- Definir tensión mecánica máxima de conductores y templetes.
El diseño simplificado debe ser suscrito por el profesional competente <la persona competente>* responsable de la construcción de la instalación eléctrica o quien la supervise, con su nombre, apellidos, número de cédula de ciudadanía y número de la matrícula profesional de conformidad con la ley que regula el ejercicio de la profesión. Dicho diseño debe ser entregado al propietario de la instalación.
10.1.3 Casos de reemplazo del diseño: Para las instalaciones de edificaciones para uso domiciliario o similar, clasificadas como instalaciones básicas cuya capacidad instalable sea menor o igual a 7 KVA, que no hagan parte de edificaciones con más de 4 cuentas, ni contemplen instalaciones especiales, el diseño se podrá reemplazar por un esquema o plano de construcción, basado en especificaciones predefinidas, que debe suscribir con su nombre, cédula de ciudadanía, número de matrícula profesional y firma el técnico, tecnólogo o ingeniero responsable de la construcción de la instalación y entregarlo al propietario de la instalación, el cual deberá conservarlo para el mantenimiento y posteriores reparaciones de la instalación y se anexará copia con la declaración de cumplimiento para efectos de legalización de la instalación con el operador de la red.
En el esquema o plano de construcción que sustituye el diseño deberá evidenciarse y precisarse los siguientes aspectos:
a) Que se cumplen las distancias mínimas de seguridad a partes expuestas de redes eléctricas y no se invaden servidumbres de líneas de transmisión.
b) El tipo y ubicación del sistema de puesta a tierra, especificando el tipo de electrodo, sus dimensiones así como el calibre y tipo del conductor de puesta a tierra.
c) Identificación de la capacidad y tipo de las protecciones de sobrecorriente, acorde con la carga y calibre del conductor de cada circuito.
d) Un diagrama unifilar de la instalación y el cuadro de carga de los circuitos.
e) La localización de tablero de medición, tablero de distribución, tipo y diámetro de tubería, número y calibres de conductores, interruptores y tomacorrientes y demás aparatos involucrados en la instalación eléctrica.
10.2. INTERVENCIÓN DE PERSONAS CON LAS COMPETENCIAS PROFESIONALES.
La construcción, ampliación o remodelación de toda instalación eléctrica objeto del RETIE, debe ser dirigida, supervisada y ejecutada directamente por profesionales competentes, que según la ley les faculte para ejecutar esa actividad y deben cumplir con todos los requisitos del presente reglamento que le apliquen.
Conforme a la legislación vigente, la competencia para realizar bajo su responsabilidad directa actividades de construcción, modificación, reparación, operación y mantenimiento de las instalaciones eléctricas, corresponderá a los siguientes profesionales, quienes responderán por los efectos resultantes de su participación en la instalación:
a. Ingenieros electricistas, electromecánicos, de distribución y redes eléctricas, de conformidad con las leyes 51 de 1986, 842 de 2003, las demás que la adicionen, modifiquen o sustituyan. Ingenieros electrónicos, ingenieros de control y de otras ingenierías especializadas en actividades relacionadas con las instalaciones eléctricas, solo podrán ejecutar la parte o componente de la instalación eléctrica que le corresponda a su especialización y competencia técnica y legal.
b. Tecnólogos en electricidad o en electromecánica, de acuerdo con la Ley 842 de 2003 y en lo relacionado con su consejo profesional se regirá por la Ley 392 de 1997 de conformidad con lo establecido en la Sentencia C-570 de 2004.
c. Técnicos electricistas conforme a las leyes 19 de 1990 y 1264 de 2008, en el alcance que establezca su matrícula profesional para el ejercicio de la profesión a nivel medio.
PARÁGRAFO 1o. En las actividades donde se actúe bajo la supervisión del ingeniero, este será quien debe suscribir la declaración de cumplimiento de la instalación.
PARÁGRAFO 2o. Si la persona que dirige y/o ejecuta directamente la instalación no posee matrícula profesional, se deberá dar aviso a la autoridad competente, por ejercicio ilegal de la profesión. Del hecho se le informará a la Superintendencia de Industria y Comercio por el incumplimiento de reglamentos técnicos.
Cuando el responsable de la construcción, teniendo matrícula profesional no tiene la competencia conforme a las leyes que regulan el ejercicio de su profesión, se debe dar aviso al consejo profesional respectivo.
PARÁGRAFO 3o. Actividades relacionadas con la instalación pero que no estén directamente asociadas con riesgos de origen eléctrico, tales como, apertura de regatas o excavaciones, obras civiles, tendido de conductores, rocerías y podas de servidumbres, hincada de postes, operaciones de grúa y en general las actividades desarrolladas por los ayudantes de electricidad, podrán ser ejecutadas por personas advertidas, conforme a la definición del presente reglamento.
10.2.1. RESPONSABILIDAD DE LOS DISEÑADORES.
Los diseños de las instalaciones eléctricas deben propiciar que en la construcción de la instalación se cumplan todos los requerimientos del RETIE que le apliquen. Tanto las memorias de cálculo como los planos o diagramas deben contemplar en forma legible el nombre, apellidos y número de matrícula profesional de la persona o personas que actuaron en el diseño, quienes firmarán tales documentos y con la firma aceptan dar cumplimiento a los requerimientos del RETIE, en consecuencia serán responsables de los efectos derivados de la aplicación del diseño.
El diseñador debe atender las inquietudes del constructor e interventor y si se requieren cambios hacer los ajustes pertinentes.
El diseñador, previamente a la elaboración del diseño, debe cerciorarse en el terreno que las distancias mínimas de seguridad y franjas de servidumbre, se pueden cumplir y debe dejar las evidencias de esta condición en las memorias de cálculo, planos de construcción y fotografías.
10.2.2. RESPONSABILIDAD DE LOS CONSTRUCTORES.
Los responsables de la construcción, ampliación o remodelación de cualquier estructura o edificación donde se tenga cualquier tipo de instalación eléctrica objeto del RETIE y el profesional competente <la persona competente>* responsable de la dirección o la construcción directa de la instalación eléctrica deben cumplir los siguientes requisitos y estar registrados en el registro de productores e importadores de productos (bienes o servicios) sujetos al cumplimiento de reglamentos técnicos de la SIC:
a. Asegurarse de contratar personas calificadas, técnica y legalmente competentes para ejecutar dichas actividades.
b. Asegurarse de que se utilicen los productos y materiales que cumplan los requisitos establecidos en RETIE y cuenten con la certificación del producto.
c. Tanto el constructor de la obra donde esté involucrada la instalación, como el responsable de la dirección o la construcción directa de la instalación eléctrica desde el inicio de las obras deben verificar que al aplicar el diseño la instalación resultante tendrá la conformidad con el RETIE. Si por razones debidamente justificadas consideran que no es apropiado, deben solicitar al diseñador que realice los ajustes y dejar registro de la solicitud. Si no es posible que el diseñador realice las correcciones, el profesional calificado responsable de la construcción de la instalación eléctrica hará los ajustes, dejará constancia de ellas y se responsabilizará por los efectos resultantes; en ningún caso se permitirá que los ajustes se aparten del cumplimiento del RETIE. Para las instalaciones que el servicio de ingeniería, construcción o montaje, figuran a nombre de una empresa, las responsabilidades derivadas de estos servicios deben ser solidarias entre las partes.
d. El profesional competente <La persona competente>* responsable de la dirección o construcción directa de la instalación eléctrica, deben asegurar que la instalación cumple con todos los requisitos del presente reglamento que le apliquen y demostrarlo mediante el diligenciamiento y suscripción del documento denominado Declaración de cumplimiento con el reglamento técnico de instalaciones eléctricas, RETIE, en los términos del formato establecido en el numeral 34.3.4 del presente anexo. El profesional competente <La persona competente>* que suscriba la declaración será responsable de los efectos que se deriven de la construcción, ampliación o remodelación de la instalación, durante la operación de la misma.
e. Los planos finales se dejarán conforme a la instalación construida, dichos planos deben ser firmados por el profesional competente <la persona competente>* responsable de la dirección o construcción directa de la instalación eléctrica.
PARÁGRAFO 1o. En el evento que se detecten incumplimientos al reglamento, atribuibles a la persona responsable de la construcción, quien lo detecte deberá dar aviso al comercializador u OR del área correspondiente para que tome las medidas tendientes a evitar la ocurrencia de un accidente o incidente de origen eléctrico.
PARÁGRAFO 2o. El incumplimiento del presente reglamento en la instalación eléctrica, que conlleve a un peligro inminente será causal de la suspensión del servicio por parte del operador de red.
10.3. PRODUCTOS USADOS EN LAS INSTALACIONES ELÉCTRICAS.
La selección de los productos o materiales eléctricos y su instalación debe estar en función de la seguridad, su utilización e influencia del entorno, por lo que se deben tener en cuenta entre otros los siguientes criterios básicos, además los exigidos en el artículo 20 de este anexo general:
a. Certificado de conformidad de producto conforme al RETIE.
b. Compatibilidad de materiales: no deben causar deterioro en otros materiales, en el medio ambiente ni en las instalaciones eléctricas adyacentes.
c. Corriente de cortocircuito: los equipos deben soportar las corrientes de cortocircuito previstas durante el tiempo de disparo de las protecciones y las protecciones deben despejar la falla, en condiciones que no causen peligro a las personas.
d. Corriente y tensión de trabajo: asegurar que la corriente y tensión de operación no exceda la nominal del equipo, teniendo en cuenta los derrateos, temperatura de trabajo y altura sobre el nivel del mar en el punto de operación.
e. Espacios disponibles para la operación y mantenimiento de la instalación y de los equipos.
f. Frecuencia: se debe tomar en cuenta la frecuencia de servicio cuando influya en las características de los materiales.
g. Influencias externas (medio ambiente, condiciones climáticas, corrosión, altitud, etc.).
h. Otros parámetros eléctricos o mecánicos que puedan influir en el comportamiento del producto, tales como el factor de potencia, tipo de corriente, conductividad eléctrica y térmica etc.).
i. Posibilidades de sujeción mecánica y refrigeración de los equipos.
j. Potencia: que no supere la potencia de servicio.
k. Temperaturas normales y extremas de operación.
l. Tensión de ensayo dieléctrico: tensión asignada mayor o igual a las sobretensiones previstas.
Nota: el constructor de la instalación eléctrica o quien la dirija debe cerciorarse que los productos a instalar cuenten con la certificación de conformidad de producto y que el producto corresponda con el del certificado. Aquellos productos a los que se les evidencie incumplimientos con el presente reglamento, así cuenten con el certificado deben ser rechazados y denunciarse el hecho ante las autoridades de control y vigilancia. También se podrá denunciar a quienes rechacen sin motivo, productos certificados que cumplen plenamente este reglamento.
10.4. ESPACIOS PARA EL MONTAJE, OPERACIÓN Y MANTENIMIENTO DE EQUIPOS.
Los lugares donde se construya cualquier instalación eléctrica deben contar con los espacios (incluyendo los accesos) suficientes para el montaje, operación y mantenimiento de equipos y demás componentes, de tal manera que se garantice la seguridad tanto de las personas como de la misma instalación.
En cumplimiento de lo dispuesto en la Ley 388 de 1997, en los planes de ordenamiento territorial se debe disponer de los espacios para la construcción, operación y mantenimiento de las redes de distribución y las líneas y subestaciones de transmisión, asegurando los anchos de servidumbre y distancias de seguridad requeridas para el nivel de tensión y configuración de la instalación; las autoridades de planeación municipal y curadurías deben tener especial atención en el momento de otorgar licencias de construcción para que se garantice el cumplimiento de las distancias mínimas de seguridad a elementos energizados de las líneas, subestaciones y redes eléctricas.
En estructuras o cuartos eléctricos compartidos con otros servicios, tales como televisión o telecomunicaciones, donde a criterio del operador de la red eléctrica se determine que los elementos de mayor riesgo para la seguridad de las personas son los componentes eléctricos, este operador debe establecer en su normatividad técnica las distancias y condiciones mínimas para la instalación de los demás elementos.
En subestaciones y cuartos eléctricos de media y baja tensión se debe contar con puertas o espacios adecuados para la entrada o salida de los equipos, para efectos de su montaje inicial o posterior reposición. El ancho del ala de las puertas de acceso al espacio de trabajo no debe ser menor a 90 cm y en los cuartos donde se alojan transformadores de MT, las alas de las puertas deben abrir hacia fuera y disponer de cerradura antipánico, independiente de la potencia y de los equipos que albergan.
Cuando se tengan partes expuestas energizadas a menos de 150 V de un lado y conectadas a tierra en el otro, el espacio de trabajo mínimo no debe ser inferior a 1,9 m de altura (medidos verticalmente desde el piso o plataforma) o la altura del equipo cuando este sea más alto y 0,75 m de ancho o el ancho del equipo si este es mayor. En todo caso la profundidad del espacio de trabajo frente al equipo no debe ser inferior a 0,9 m.
Cuando se tengan partes expuestas energizadas a tensión entre 2500 V y 9000 V a un lado y puesta tierra en el otro, el espacio de trabajo mínimo no debe ser inferior a 1,9 m de altura (medidos verticalmente desde el piso o plataforma) o la altura del equipo cuando este sea más alto y 0,9 m de ancho o el ancho del equipo si este es mayor. En estos casos, la profundidad del espacio de trabajo no debe ser inferior a 1,5 m.
<Inciso modificado por el artículo 4 de la Resolución 90795 de 2014. El nuevo texto es el siguiente:> Cuando se tengan equipos con un ancho superior a 1,8 m y una corriente nominal igual o superior a 1200 amperios, se deben tener dos (2) accesos al espacio de trabajo. En todo caso, se debe asegurar que el trabajador pueda evacuar el sitio. Se permitirá un solo acceso, cuando el ancho del espacio de trabajo sea de al menos el doble, tal como se indica en la sección 110-16 c) de la NTC 2050.
10.5. CONFORMIDAD CON EL PRESENTE REGLAMENTO.
Toda instalación eléctrica y todo producto que sean objeto del presente reglamento deben cumplir los requisitos que le apliquen y demostrarlo mediante la certificación de conformidad correspondiente establecida en el capítulo 10 del presente anexo general.
10.6. OPERACIÓN Y MANTENIMIENTO DE INSTALACIONES ELÉCTRICAS.
En todas las instalaciones eléctricas, incluyendo las construidas con anterioridad a la entrada en vigencia del RETIE (mayo 1º de 2005), el propietario o tenedor de la instalación eléctrica debe verificar que ésta no presente alto riesgo o peligro inminente para la salud o la vida de las personas, animales o el medio ambiente.
El propietario o tenedor de la instalación, será responsable de mantenerla en condiciones seguras, por lo tanto, debe garantizar que se cumplan las disposiciones del presente reglamento que le apliquen, para lo cual debe apoyarse en personas calificadas tanto para la operación como para el mantenimiento. Si las condiciones de inseguridad de la instalación eléctrica son causadas por personas o condiciones ajenas a la operación o al mantenimiento de la instalación, el operador debe prevenir a los posibles afectados sobre el riesgo a que han sido expuestos y debe tomar medidas para evitar que el riesgo se convierta en un peligro inminente para la salud o la vida de las personas. Adicionalmente, debe solicitar al causante, que elimine las condiciones que hacen insegura la instalación y si este no lo hace oportunamente debe recurrir a la autoridad competente para que le obligue.
Quienes suministren el fluido eléctrico, una vez enterados del peligro inminente, deben tomar las medidas pertinentes para evitar que el riesgo se convierta en accidente, incluyendo si es del caso, la desenergización de la instalación y se deben dejar registros del hecho. Si como consecuencia de la no aplicación de los correctivos ocurre un accidente, la persona o personas que generaron la causa de la inseguridad y quienes a sabiendas del riesgo no tomaron las medidas necesarias, deben ser investigadas por los entes competentes y deben responder por las implicaciones derivadas del hecho.
Las instalaciones que no cumplen las normas vigentes al momento de la construcción y presenten riesgos para la seguridad de las personas, la misma instalación, las edificaciones o infraestructura aledaña, deben actualizar la instalación bajo los requisitos del RETIE.
Si como parte de un programa de inspecciones, tal como se le realiza a los medidores, el operador de red o el comercializador de la energía detecta situaciones de peligro inminente, deben solicitarle al propietario o tenedor de la instalación que realice las adecuaciones necesarias para eliminar o minimizar el riesgo. La fecha de entrada en vigencia del reglamento no podrá considerarse excusa para no corregir las deficiencias que catalogan a la instalación como de alto riesgo o peligro inminente para la salud o la vida de las personas.
En el caso que los responsables de causar la condición que convierten en peligro inminente la instalación, se nieguen a corregir las deficiencias, cualquier ciudadano podrá informar ante los entes de control y vigilancia o hacer uso de los instrumentos legales de participación ciudadana, ante las autoridades judiciales, haciendo la descripción de los aspectos que hacen de la instalación un elemento de peligro inminente o alto riesgo.
10.7. PÉRDIDAS TÉCNICAS ACEPTADAS.
En el diseño de las instalaciones eléctricas, excepto en las residenciales de menos de 15 kVA de carga instalable, se debe hacer análisis del conductor más económico en acometida y alimentadores, considerando el valor de las pérdidas de energía en su vida útil, teniendo en cuenta las cargas estimadas, los tiempos de ocurrencia, las pérdidas adicionales por armónicos y los costos de energía proyectando el valor actual en la vida útil de la instalación. En las instalaciones de uso general se deben cumplir los requisitos de pérdidas técnicas determinadas por la CREG o la reglamentación técnica aplicable sobre uso eficiente de la energía eléctrica. El constructor de la instalación debe atender este requerimiento de diseño y no podrá disminuir las especificaciones del conductor, si con la modificación supera los niveles de pérdidas aceptados.
ARTÍCULO 11. COMPATIBILIDAD ELECTROMAGNÉTICA. Las técnicas de la compatibilidad electromagnética (CEM) se deben aplicar cuando los niveles de operación de los dispositivos, equipos o sistemas sean más exigentes que los requeridos para cumplir con la seguridad de personas. La CEM es la armonía que se presenta en un ambiente electromagnético, en el cual operan satisfactoriamente los equipos receptores. El correcto desempeño se puede ver afectado por el nivel de las perturbaciones electromagnéticas existentes en el ambiente, por la susceptibilidad de los dispositivos y por la cantidad de energía de la perturbación que se pueda acoplar a los dispositivos. Cuando estos tres elementos propician la transferencia de energía nociva, se produce una interferencia electromagnética, que se puede manifestar como una mala operación, error, apagado y reencendido de equipos o su destrucción.
Los componentes de la compatibilidad electromagnética son: emisor, canal de acople y receptor. En la siguiente figura 11.1 se expone la estructura de la compatibilidad electromagnética, donde,
PE = Perturbación electromagnética.
C = Canal de acople.
IE = Interferencia electromagnética.

Figura 11.1 Estructura de la CEM
Para efectos del presente reglamento, los equipos y dispositivos utilizados en las instalaciones eléctricas deben operar adecuadamente en un entorno electromagnético sin generar perturbaciones no deseadas al sistema o a otros equipos y tener la capacidad de soportar las perturbaciones producidas por otros equipos o sistemas y continuar operando satisfactoriamente.
A partir de enero 1º de 2016, los equipos objeto del presente reglamento y de regulación internacional sobre compatibilidad electromagnética deben marcarse con la clase y grupo de compatibilidad electromagnética, conforme a normas internacionales o equivalentes.
ARTÍCULO 12. CLASIFICACIÓN DE LOS NIVELES DE TENSIÓN. Para efectos del presente reglamento, se estandarizan los siguientes niveles de tensión para sistemas de corriente alterna, los cuales se adoptan de la NTC 1340:
a. Extra alta tensión (EAT): corresponde a tensiones superiores a 230 kV.
b. Alta tensión (AT): tensiones mayores o iguales a 57,5 kV y menores o iguales a 230 kV.
c. Media tensión (MT): los de tensión nominal superior a 1000 V e inferior a 57,5 kV.
d. Baja tensión (BT): los de tensión nominal mayor o igual a 25 V y menor o igual a 1000 V.
e. Muy baja tensión (MBT): tensiones menores de 25 V.
Toda instalación eléctrica objeto del RETIE, debe asociarse a uno de los anteriores niveles. Si en la instalación existen circuitos en los que se utilicen distintas tensiones, el conjunto del sistema se clasificará, en el grupo correspondiente al valor de la tensión nominal más elevada.
ARTÍCULO 13. DISTANCIAS DE SEGURIDAD. Para efectos del presente reglamento y teniendo en cuenta que frente al riesgo eléctrico la técnica más efectiva de prevención, siempre será guardar una distancia respecto a las partes energizadas, puesto que el aire es un excelente aislante, en este apartado se fijan las distancias mínimas que deben guardarse entre líneas o redes eléctricas y elementos físicos existentes a lo largo de su trazado (carreteras, edificaciones, piso del terreno destinado a sembrados, pastos o bosques, etc.), con el objeto de evitar contactos accidentales. Las distancias verticales y horizontales que se presentan en las siguientes tablas, se adoptaron de la norma ANSI C2; todas las tensiones dadas en estas tablas son entre fases, para circuitos con neutro puesto a tierra sólidamente y otros circuitos en los que se tenga un tiempo despeje de falla a tierra acorde con el presente reglamento.
Los constructores y en general quienes presenten proyectos a las curadurías, oficinas de planeación del orden territorial y demás entidades responsables de expedir las licencias o permisos de construcción, deben manifestar por escrito que los proyectos que solicitan dicho trámite cumplen a cabalidad con las distancias mínimas de seguridad establecidas en el RETIE.
Es responsabilidad del diseñador de la instalación eléctrica verificar que en la etapa preconstructiva este requisito se cumpla. No se podrá dar la conformidad con el RETIE a instalaciones que violen estas distancias. El profesional competente <La persona competente>* responsable de la construcción de la instalación o el inspector que viole esta disposición, sin perjuicio de las acciones penales o civiles, debe ser denunciado e investigado disciplinariamente por el consejo profesional respectivo.
El propietario de una instalación que al modificar la construcción viole las distancias mínimas de seguridad, será objeto de la investigación administrativa correspondiente por parte de las entidades de control y vigilancia por poner en alto riesgo de electrocución no sólo a los moradores de la construcción objeto de la violación, sino a terceras personas y en riesgo de incendio o explosión a las edificaciones contiguas.
A menos que se indique lo contrario, todas las distancias de seguridad deben ser medidas de superficie a superficie. Para la medición de distancias de seguridad, los accesorios metálicos normalmente energizados serán considerados como parte de los conductores de línea y las bases metálicas de los terminales del cable o los dispositivos similares, deben ser tomados como parte de la estructura de soporte. La precisión en los elementos de medida no podrá tener un error de más o menos 0,5%.
Para mayor claridad se deben tener en cuenta las notas explicativas, las figuras y las tablas aquí establecidas.
Nota 1: las distancias de seguridad establecidas en las siguientes tablas, aplican a conductores desnudos.
Nota 2: en el caso de tensiones mayores a 57,5 kV entre fases, las distancias de aislamiento eléctrico especificadas en las tablas se incrementarán en un 3% por cada 300 m que sobrepasen los 1000 metros sobre el nivel del mar.
Nota 3: las distancias verticales se toman siempre desde el punto energizado más cercano al lugar de posible contacto.
Nota 4: la distancia horizontal “b” se toma desde la parte energizada más cercana al sitio de posible contacto, es decir, trazando un círculo desde la parte energizada, teniendo en cuenta la posibilidad real de expansión vertical que tenga la edificación y que en ningún momento la red quede encima de la construcción.
Nota 5: si se tiene una instalación con una tensión diferente a las contempladas en el presente reglamento, debe cumplirse el requisito exigido para la tensión inmediatamente superior.
Nota 6: cuando los edificios, chimeneas, antenas o tanques u otras instalaciones elevadas no requieran algún tipo de mantenimiento, como pintura, limpieza, cambio de partes o trabajo de personas cerca de los conductores; la distancia horizontal “b”, se podrá reducir en 0,6 m.
Nota 7: un techo, balcón o área es considerado fácilmente accesible para los peatones si éste puede ser alcanzado de manera casual a través de una puerta, rampa, ventana, escalera o una escalera a mano permanentemente utilizada por una persona, a pie, alguien que no despliega ningún esfuerzo físico extraordinario ni emplea ningún instrumento o dispositivo especial para tener acceso a éstos. No se considera un medio de acceso a una escalera permanentemente utilizada si es que su peldaño más bajo mide 2,45 m o más desde el nivel del piso u otra superficie accesible fija.
Nota 8: si se tiene un tendido aéreo con cable aislado y con pantalla no se aplican estas distancias; tampoco se aplica para conductores aislados para baja tensión.
Nota 9: en techos metálicos cercanos o en casos de redes de conducción que van paralelas o que cruzan las líneas de media, alta y extra alta tensión, se debe verificar que las tensiones inducidas no generen peligro o no afecten el funcionamiento de otras redes.
Nota 10: donde el espacio disponible no permita cumplir las distancias horizontales de la tabla 13.1 para redes de media tensión, tales como edificaciones con fachadas o terrazas cercanas, la separación se puede reducir hasta en un 30%, siempre y cuando, los conductores, empalmes y herrajes tengan una cubierta que proporcione suficiente rigidez dieléctrica para limitar la probabilidad de falla a tierra, tal como la de los cables cubiertos con tres capas para red compacta. Adicionalmente, deben tener espaciadores y una señalización que indique que es cable no aislado.
En zonas arborizadas urbanas se recomienda usar esta tecnología para disminuir las podas.
Nota 11: en general los conductores de la línea de mayor tensión deben estar a mayor altura que los de la de menor tensión.
13.1. DISTANCIAS MÍNIMAS DE SEGURIDAD EN ZONAS CON CONSTRUCCIONES.
Las distancias mínimas de seguridad que deben guardar las partes energizadas respecto de las construcciones, son las establecidas en la tabla 13.1 del presente reglamento y para su interpretación se debe tener en cuenta la figura 13.1.
Distancias mínimas de seguridad en zonas con construcciones
| Descripción | Tensión nominal entre fases (kV) | Distancia (m) |
| Distancia vertical “a” sobre techos y proyecciones, aplicable solamente a zonas de muy difícil acceso a personas y siempre que el propietario o tenedor de la instalación eléctrica tenga absoluto control tanto de la instalación como de la edificación. (Figura 13.1). | 44/34,5/33 | 3,8 |
| 13,8/13,2/11,4/7,6 | 3,8 | |
| <1 | 0,45 | |
| Distancia horizontal “b” a muros, balcones, salientes, ventanas y diferentes áreas independientemente de la facilidad de accesibilidad de personas. (Figura 13.1). | 66/57,5 | 2,5 |
| 44/34,5/33 | 2,3 | |
| 13,8/13,2/11,4/7,6 | 2,3 | |
| <1 | 1,7 | |
| Distancia vertical “c” sobre o debajo de balcones o techos de fácil acceso a personas, y sobre techos accesibles a vehículos de máximo 2,45 m de altura. (Figura 13.1). | 44/34,5/33 | 4,1 |
| 13,8/13,2/11,4/7,6 | 4,1 | |
| <1 | 3,5 | |
| Distancia vertical “d” a carreteras, calles, callejones, zonas peatonales, áreas sujetas a tráfico vehicular. (Figura 13.1) para vehículos de más de 2,45 m de altura. | 115/110 | 6,1 |
| 66/57,5 | 5,8 | |
| 44/34,5/33 | 5,6 | |
| 13,8/13,2/11,4/7,6 | 5,6 | |
| <1 | 5 | |
Tabla 13.1. Distancias mínimas de seguridad en zonas con construcciones
| Igualmente, en instalaciones construidas bajo criterio de la norma IEC 60364, para tensiones mayores de 1 kV, se deben tener en cuenta y aplicar las distancias de la IEC 61936 -1. Únicamente se permite el paso de conductores por encima de construcciones (distancia vertical “a”) cuando el tenedor de la instalación eléctrica tenga absoluto control, tanto de la instalación eléctrica como de las modificaciones de la edificación o estructura de la planta. Entendido esto como la administración, operación y mantenimiento, tanto de la edificación como de la instalación eléctrica. En ningún caso se permitirá el paso de conductores de redes o líneas del servicio público, por encima de edificaciones donde se tenga presencia de personas. | ![]() |
| Figura 13.1 Distancias de seguridad en zonas con construcciones | |
Nota: en redes públicas o de uso general no se permite la construcción de edificaciones debajo de los conductores; en caso de presentarse tal situación el OR solicitará a las autoridades competentes tomar las medidas pertinentes.
Tampoco será permitida la construcción de redes para uso público por encima de las edificaciones.
13.2. DISTANCIAS MÍNIMAS DE SEGURIDAD PARA DIFERENTES LUGARES Y SITUACIONES.
En líneas de trasmisión o redes de distribución, la altura de los conductores respecto del piso o de la vía, como lo señalan las figuras 13.2 y 13.3, no podrá ser menor a las establecidas en la tabla 13.2.


Nota: en el caso de tensiones línea - tierra que superen 98 kV, se podrán aumentar las distancias de la tabla 13.2 o disminuir el campo eléctrico, considerando que el vehículo o equipo más grande esperado bajo la línea fuera conectado a tierra para limitar a 5 mA rms la corriente de estado estacionario debida a los efectos electrostáticos.
| Descripción | Tensión nominal entre fases (kV) | Distancia (m) |
| Distancia mínima al suelo “d” en cruces con carreteras, calles, callejones, zonas peatonales, áreas sujetas a tráfico vehicular (figura 13.2). | 500 | 11,5 |
| 230/220 | 8,5 | |
| 115/110 | 6,1 | |
| 66/57,5 | 5,8 | |
| 44/34,5/33 | 5,6 | |
| 13,8/13,2/11,4/7,6 | 5,6 | |
| <1 | 5,0 | |
| Cruce de líneas aéreas de baja tensión en grandes avenidas. | <1 | 5,6 |
| Distancia mínima al suelo “d1” desde líneas que recorren avenidas, carreteras y calles (figura 13.2). | 500 | 11,5 |
| 230/220 | 8,0 | |
| 115/110 | 6,1 | |
| 66/57,5 | 5,8 | |
| 44/34,5/33 | 5,6 | |
| 13,8/13,2/11,4/7,6 | 5,6 | |
| <1 | 5,0 | |
| Distancia mínima al suelo “d” en zonas de bosques de arbustos, áreas cultivadas, pastos, huertos, etc. Siempre que se tenga el control de la altura máxima que pueden alcanzar las copas de los arbustos o huertos, localizados en las zonas de servidumbre (figura 13.2). | 500 | 8,6 |
| 230/220 | 6,8 | |
| 115/110 | 6,1 | |
| 66/57,5 | 5,8 | |
| 44/34,5/33 | 5,6 | |
| 13,8/13,2/11,4/7,6 | 5,6 | |
| <1 | 5,0 | |
| <Descripción corregida por el artículo 2 de la Resolución 90907 de 2013. El nuevo texto es el siguiente:> En áreas de bosques y huertos donde se dificulta el control absoluto del crecimiento de estas plantas y sus copas puedan ocasionar acercamientos peligrosos, se requiera el uso de maquinaria agrícola de gran altura o en cruces de ferrocarriles sin electrificar, se debe aplicar como distancia “e” estos valores (Figura 13.3) | 500 | 11,1 |
| 230/220 | 9,3 | |
| 115/110 | 8,6 | |
| 66/57,5 | 8,3 | |
| 44/34,5/33 | 8,1 | |
| 13,8/13,2/11,4/7,6 | 8,1 | |
| <1 | 7,5 | |
| Distancia mínima vertical en el cruce “f” a los conductores alimentadores de ferrocarriles electrificados, teleféricos, tranvías y trole-buses (figura 13.4). | 500 | 4,8 |
| 230/220 | 3,0 | |
| 115/110 | 2,3 | |
| 66/57,5 | 2,0 | |
| 44/34,5/33 | 1,8 | |
| 13,8/13,2/11,4/7,6 | 1,8 | |
| <1 | 1,2 | |
| Distancia mínima vertical respecto del máximo nivel del agua “g” en cruce con ríos, canales navegables o flotantes adecuados para embarcaciones con altura superior a 2 m y menor de 7 m (figura 13.4). | 500 | 12,9 |
| 230/220 | 11,3 | |
| 115/110 | 10,6 | |
| 66/57,5 | 10,4 | |
| 44/34,5/33 | 10,2 | |
| 13,8/13,2/11,4/7,6 | 10,2 | |
| <1 | 9,6 | |
| Distancia mínima vertical respecto del máximo nivel del agua “g” en cruce con ríos, canales navegables o flotantes, no adecuadas para embarcaciones con altura mayor a 2 m (figura 13.4). | 500 | 7,9 |
| 230/220 | 6,3 | |
| 115/110 | 5,6 | |
| 66/57,5 | 5,4 | |
| 44/34,5/33 | 5,2 | |
| 13,8/13,2/11,4/7,6 | 5,2 | |
| <1 | 4,6 | |
| Distancia mínima vertical al piso en cruce por espacios usados como campos deportivos abiertos, sin infraestructura en la zona de servidumbre, tales como graderías, casetas o cualquier tipo de edificaciones ubicadas debajo de los conductores. | 500 | 14,6 |
| 230/220 | 12,8 | |
| 115/110 | 12 | |
| 66/57,5 | 12 | |
| 44/34,5/33 | 12 | |
| 13,8/13,2/11,4/7,6 | 12 | |
| <1 | 12 | |
| Distancia mínima horizontal en cruce cercano a campos deportivos que incluyan infraestructura, tales como graderías, casetas o cualquier tipo de edificación asociada al campo deportivo. | 500 | 11,1 |
| 230/220 | 9.3 | |
| 115/110 | 7,0 | |
| 66/57,5 | 7,0 | |
| 44/34,5/33 | 7,0 | |
| 13,8/13,2/11,4/7,6 | 7,0 | |
| <1 | 7,0 | |
Tabla 13.2. Distancias mínimas de seguridad para diferentes situaciones
Las distancias verticales mínimas en cruces o recorridos paralelos de distintas líneas, no podrán ser menores a las establecidas en la tabla 13.3.
| DISTANCIAS EN METROS | ||||||||||
| Tensión nominal (kV) entre fases de la línea superior | 500 | 4,8 | 4,2 | 4,2 | 4,2 | 4,3 | 4,3 | 4,6 | 5,3 | 7,1 |
| 230/220 | 3,0 | 2,4 | 2,4 | 2,4 | 2,5 | 2,6 | 2,9 | 3,6 | ||
| 115/110 | 2,3 | 1,7 | 1,7 | 1,7 | 1,8 | 1,9 | 2,2 | |||
| 66 | 2,0 | 1,4 | 1,4 | 1,4 | 1,5 | 1,5 | ||||
| 57,5 | 1,9 | 1,3 | 1,3 | 1,3 | 1,4 | |||||
| 44/34,5/33 | 1,8 | 1,2 | 1,2 | 1,3 | ||||||
| 13,8/13,2/11,4/7,6 | 1,8 | 1,2 | 0,6 | |||||||
| <1 | 1,2 | 0,6 | ||||||||
| Comunicaciones | 0,6 | |||||||||
| Comunicación | <1 | 13,8/ 13,2/ 11,4/ 7,6 | 44/ 34,5/ 33 | 57,5 | 66 | 115/ 110 | 230/ 220 | 500 | ||
| Tensión nominal (kV) entre fases de la línea inferior | ||||||||||
Tabla 13.3. Distancias verticales mínimas en vanos con líneas de diferentes tensiones
13.3. DISTANCIAS MÍNIMAS ENTRE CONDUCTORES EN LA MISMA ESTRUCTURA.
Los conductores sobre apoyos fijos, deben tener distancias horizontales y verticales entre cada uno, no menores que el valor requerido en las tablas 13.4 y 13.5.
Cuando se tienen conductores de diferentes circuitos, la tensión considerada debe ser la de fase-tierra del circuito de más alta tensión o la diferencia fasorial entre los conductores considerados.
Cuando se utilicen aisladores de suspensión y su movimiento no esté limitado, la distancia horizontal de seguridad entre los conductores debe incrementarse de tal forma que la cadena de aisladores pueda moverse transversalmente hasta su máximo ángulo de balanceo de diseño, sin reducir los valores indicados en la tabla 13.4. El desplazamiento de los conductores debe incluir la deflexión de estructuras flexibles y accesorios, cuando dicha deflexión pueda reducir la distancia horizontal de seguridad entre los conductores.
| Clase de circuito y tensión entre los conductores considerados | Distancias horizontales de seguridad (cm) |
| Conductores de comunicación expuestos | 15(1) 7,5(2) |
| Alimentadores de vías férreas 0 a 750 V (4/0 AWG o mayor calibre) 0 a 750 V (calibre menor de 4/0 AWG) Entre 750 V y 8,7 kV | 15 30 30 |
| Conductores de suministro del mismo circuito 0 a 8,7 kV Entre 8,7 y 50 kV Más de 50 kV | 30 30 más 1 cm por kV sobre 8,7 kV Debe atender normas internacionales |
| Conductores de suministro de diferente circuito(3) 0 a 8,7 kV Entre 8,7 y 50 kV Entre 50 kV y 814 kV | 30 30 más 1 cm por kV sobre 8,7 kV 71,5 Más 1 cm por kV sobre 50 kV |
Tabla 13.4. Distancia horizontal entre conductores soportados en la misma estructura de apoyo
Nota 1: no se aplica en los puntos de transposición de conductores.
Nota 2: permitido donde se ha usado regularmente espaciamiento entre pines, menor a 15 cm. No se aplica en los puntos de transposición de conductores.
Nota 3: para las tensiones que excedan los 57,5 kV, la distancia de seguridad debe ser incrementada en un 3% por cada 300 m en exceso de 1000 m sobre el nivel del mar. Todas las distancias de seguridad para tensiones mayores de 50 kV se basarán en la máxima tensión de operación.
| Conductores a mayor altura | ||||
| Conductores de suministro a la intemperie (tensión en kV) | ||||
| Hasta 1 kV | Entre 7,6 y 66 kV | |||
| Conductores a menor altura | Conductores y cables de comunicación, localizados en el apoyo de empresa de energía, o de empresas comunicaciones | 0,4 | 0,4 más 0,01 m por kV sobre 7,6 kV | |
| Conductores de suministro eléctrico a la intemperie | Hasta 1 kV | 0,4 | 0,4 más 0,01 m por kV sobre 7,6 kV | |
| Entre 1 kV y 7,6 kV | No permitido | 0,4 más 0,01 m por kV sobre 7,6 kV | ||
| Entre 11,4 kV y 34,5 kV | No permitido | 0,6 más 0,01 m por kV sobre 7,6 kV | ||
| Entre 44 kV y 66 kV | No permitido | 0,6 más 0,01 m por kV sobre 7,6 kV | ||
Tabla 13.5. Distancia vertical mínima en metros entre conductores sobre la misma estructura
Nota 1: estas distancias son para circuitos de una misma empresa operadora. Para circuitos de diferentes empresas la distancia se debe aumentar en 0,6 m.
Nota 2: para las tensiones que excedan los 66 kV, la distancia de seguridad vertical entre conductores debe ser incrementada por el factor de corrección por altura.
Nota 3: los conductores del mismo circuito de una red compacta con cables cubiertos o semiaislados, no deben tener una separación menor a 18 cm para tensiones menores de 15 kV, ni menor a 27 cm para tensiones entre 15 kV y 34,5 kV.
PARÁGRAFO. Se podrá usar tecnología de líneas compactas para una línea o varias líneas en la misma estructura, siempre que se cumplan las distancias de seguridad definidas en normas internacionales, de reconocimiento internacional como IEEE o recomendaciones del Cigre para este tipo de configuraciones.
13.4. DISTANCIAS MÍNIMAS PARA TRABAJOS EN O CERCA DE PARTES ENERGIZADAS.
Las partes energizadas a las que el trabajador pueda estar expuesto, se deben poner en condición de trabajo eléctricamente seguro antes de trabajar en o cerca de ellas, a menos que se demuestre que desenergizar introduzca riesgos adicionales.
Actualmente se han incrementado los accidentes por arcos eléctricos, originados en cortocircuitos, fallas a tierra, contacto de herramientas con partes energizadas, choque térmico, acumulación de polvos, pérdidas de aislamiento, depósitos de material conductor o la ionización del medio. El arco genera radiación térmica hasta de 20000 ºC, presenta un aumento súbito de presión hasta de 30 t/m2 con niveles de ruido por encima de 120 dB y expide vapores metálicos tóxicos por desintegración de productos. Se debe tomar como frontera de protección contra arco eléctrico, para sistemas mayores a 50 voltios, la distancia a la cual la energía incidente es igual a 5 J/cm2 (1,2 cal/cm2).
Para actividades tales como cambio de interruptores o partes de él, intervenciones sobre transformadores de corriente, mantenimiento de barrajes, instalación y retiro de medidores, apertura de condensadores, macromediciones, medición de tensión y corriente, entre otras; deben cumplirse procedimientos seguros como los establecidos en la NFPA 70 E o IEC 60364. En todo caso se deben cumplir los siguientes requisitos:
a. Realizar un análisis de riesgos donde se tenga en cuenta la tensión, la potencia de cortocircuito y el tiempo de despeje de la falla, para definir la categoría del riesgo que determina el elemento de protección a utilizar. El análisis de arco debe revisarse en periodos no mayores a cinco años o cuando se realicen modificaciones mayores.
b. Fijar etiquetas donde se indique el nivel de riesgo y el equipo requerido.
c. Realizar una correcta señalización del área de trabajo y de las zonas aledañas a esta.
d. Tener un entrenamiento apropiado para trabajar en tensión, si es el caso.
e. Tener un plano actualizado y aprobado por un profesional competente <una persona competente>* .
f. Tener una orden de trabajo firmada por la persona que lo autoriza.
g. Usar equipos de protección personal certificados para el nivel de tensión y energía incidente involucrados, los cuales no deben tener nivel de protección menor al establecido en la tabla 13.6.
| Categoría | Nivel mínimo de protección Cal/cm2 |
| 0 | Prenda normal de algodón |
| 1 | 4 |
| 2 | 8 |
| 3 | 25 |
| 4 | 40 |
Tabla 13.6. Nivel mínimo de protección térmica según NFPA 70E
h. Las personas no calificadas, no deben sobrepasar el límite de aproximación seguro. Los OR atenderán las solicitudes de cubrimiento o aislamiento temporal para redes de media tensión y baja tensión que haga el usuario cuando requiera intervenir su fachada, el costo estará a cargo del usuario.
i. El límite de aproximación restringida debe ser señalizado ya sea con una franja visible hecha con pintura reflectiva u otra señal que brinde un cerramiento temporal y facilite al personal no autorizado identificar el máximo acercamiento permitido.
j. Cumplir las distancias mínimas de aproximación a equipos energizados de las tablas 13.7 o 13.8 y la figura 13.4 según corresponda, las cuales son adaptadas de la NFPA 70 e IEEE 1584. Estas distancias son barreras que buscan prevenir lesiones al trabajador y son básicas para la seguridad eléctrica.
| Tensión nominal del sistema (fase - fase) | Límite de aproximación seguro [m] | Límite de aproximación restringida (m) Incluye movimientos involuntarios | Límite de aproximación técnica (m) | |
| Parte móvil expuesta | Parte fija expuesta | |||
| 50 V - 300 V | 3,0 | 1,0 | Evitar contacto | Evitar contacto |
| 301 V - 750 V | 3,0 | 1,0 | 0,30 | 0,025 |
| 751 V - 15 kV | 3,0 | 1,5 | 0,7 | 0,2 |
| 15,1 kV - 36 kV | 3,0 | 1,8 | 0,8 | 0,3 |
| 36,1 kV - 46 kV | 3,0 | 2,5 | 0,8 | 0,4 |
| 46,1 kV - 72,5 kV | 3,0 | 2,5 | 1,0 | 0,7 |
| 72,6 kV - 121 kV | 3,3 | 2,5 | 1,0 | 0,8 |
| 138 kV - 145 kV | 3,4 | 3,0 | 1,2 | 1,0 |
| 161 kV - 169 kV | 3,6 | 3,6 | 1,3 | 1,1 |
| 230 kV - 242 kV | 4,0 | 4,0 | 1,7 | 1,6 |
| 345 kV - 362 kV | 4,7 | 4,7 | 2,8 | 2,6 |
| 500 kV - 550 kV | 5,8 | 5,8 | 3,6 | 3,5 |
Tabla 13.7. Distancias mínimas para trabajos en o cerca de partes energizadas en corriente alterna
| Tensión nominal | Límite de aproximación seguro [m] | Límite de aproximación restringida (m) Incluye movimientos involuntarios | Límite de aproximación técnica (m) | |
| Parte móvil expuesta | Parte fija expuesta | |||
| 100 V - 300 V | 3,0 m | 1,0 m | Evitar contacto | Evitar contacto |
| 301 V - 1 kV | 3,0 m | 1,0 m | 0,3 m | 25 mm |
| 1,1 kV - 5 kV | 3,0 m | 1,5 m | 0,5 m | 0,1 m |
| 5,1 kV - 15 kV | 3,0 m | 1,5 m | 0,7 m | 0,2 m |
| 15,1 kV - 45 kV | 3,0 m | 2,5 m | 0,8 m | 0,4 m |
| 45,1 kV - 75 kV | 3,0 m | 2,5 m | 1,0 m | 0,7 m |
| 75,1 kV - 150 kV | 3,3 m | 3,0 m | 1,2 m | 1,0 m |
| 150,1 kV - 250 kV | 3,6 m | 3,6 m | 1,6 m | 1,5 m |
| 250,1 kV - 500 kV | 6,0 m | 6,0 m | 3,5 m | 3,3 m |
| 500,1 kV - 800 kV | 8,0 m | 8,0 m | 5,0 m | 5,0 m |
Tabla 13.8. Distancias mínimas para trabajos en o cerca de partes energizadas en corriente continua

Figura 13.4 Límites de aproximación
ARTÍCULO 14. CAMPOS ELECTROMAGNÉTICOS. El presente reglamento establece valores de máxima intensidad de campo eléctrico y densidad de flujo magnético en baja frecuencia, para las zonas donde puedan permanecer personas, independientemente del tiempo de permanencia, los cuales están basados en criterios de la OMS y la institución internacional para la protección de la población y el medio ambiente, frente a las radiaciones no-ionizantes, ICNIRP (revisión 2009).
El campo electromagnético es una modificación del espacio debida a la interacción de fuerzas eléctricas y magnéticas simultáneamente, producidas por un campo eléctrico y uno magnético que varían en el tiempo, por lo que se le conoce como campo electromagnético variable. Es producido por diferencias de potencial y cargas eléctricas en movimiento y tiene la misma frecuencia de la corriente eléctrica que lo produce. Se ha demostrado que los campos electromagnéticos de bajas frecuencias (0 a 300Hz) no producen efectos nocivos en los seres vivos. Las instalaciones del sistema eléctrico a 60 Hz producen campos electromagnéticos a esta frecuencia, lo que permite medir o calcular el campo eléctrico y el campo magnético en forma independiente.
Es una alteración del espacio, que hace que las partículas cargadas, experimenten una fuerza debido a su carga, es decir, si en una región determinada una carga eléctrica experimenta una fuerza, entonces en dicha región hay un campo eléctrico. A este campo también se le conoce como campo electrostático debido a que su intensidad en un punto no depende del tiempo. La intensidad del campo eléctrico en un punto depende del nivel de tensión de la instalación y de la distancia a ésta, así: a mayor tensión mayor intensidad de campo eléctrico, y a mayor distancia menor intensidad de campo eléctrico.
La intensidad del campo eléctrico se mide en (V/m) o (kV/m). Esta medida representa el efecto eléctrico sobre una carga presente en algún punto del espacio.
Es una alteración del espacio que hace que en las cargas eléctricas en movimiento (corrientes) se genere una fuerza proporcional a su velocidad y a su carga. También se le conoce como magnetostático debido a que su intensidad en un punto no depende del tiempo. En teoría, se debería hablar siempre de intensidad de campo magnético, pero en la práctica se toma la densidad de flujo magnético, que se representa con la letra B y se mide en teslas (el gauss ya no se toma como unidad oficial), la cual tiene la siguiente equivalencia: 1 tesla = 1 N/(A.m) = 1 V.s/m2 = 1 Wb/m2 = 10 000 gauss.
14.3. VALORES LÍMITES DE EXPOSICIÓN A CAMPOS ELECTROMAGNÉTICOS.
Para el caso de las instalaciones objeto de este reglamento, las personas que por sus actividades están expuestas a campos electromagnéticos o el público en general, no debe ser sometido a campos que superen los valores establecidos en la tabla 14.1.
| Tipo de exposición | Intensidad de campo eléctrico (kV/m) | Densidad de flujo magnético (µT) |
| Exposición ocupacional en un día de trabajo de ocho horas | 8,3 | 1000 |
| Exposición del público en general hasta ocho horas continuas | 4,16 | 200 |
Tabla 14.1. Valores límites de exposición a campos electromagnéticos
Nota: la población expuesta ocupacionalmente consiste de adultos que generalmente están expuestos a campos electromagnéticos bajo condiciones conocidas y que son entrenados para estar conscientes del riesgo potencial y para tomar las protecciones adecuadas. En contraste, el público en general comprende individuos de todas las edades y de estados de salud variables, y puede incluir grupos o individuos particularmente susceptibles. En muchos casos no están conscientes de su exposición a los CEM."
14.4. CÁLCULO Y MEDICIÓN DE CAMPOS ELECTROMAGNÉTICOS.
Los diseños de líneas o subestaciones de tensión superior a 57,5 kV, en zonas donde se tengan en las cercanías edificaciones ya construidas, deben incluir un análisis del campo electromagnético en los lugares donde se vaya a tener la presencia de personas.
Los diseños de edificaciones aledañas a las zonas de servidumbre, deben incluir memorias de cálculo de campos electromagnéticos que se puedan presentar en cada piso. Para este efecto, el propietario u operador de la línea o subestación debe entregar al diseñador o al propietario del proyecto los máximos valores de tensión y corriente. La medición siempre debe hacerse a un metro de altura del piso donde esté ubicada la persona (lugar de trabajo) o domicilio.
En el caso de líneas de transmisión el campo electromagnético se debe medir en la zona de servidumbre en sentido transversal al eje de la misma; el valor de exposición al público en general se tomará como el máximo que se registre en el límite exterior de la zona de servidumbre.
Para redes de distribución y uso final, el valor de exposición al público debe medirse a partir de las distancias de seguridad, donde se tenga la posibilidad de permanencia prolongada de personas (hasta 8 horas) o en zonas de amplia circulación del público.
Para lugares de trabajo se debe medir en el lugar asignado por la empresa para cumplir el horario habitual del trabajador.
El equipo con el que se realicen las mediciones debe poseer un certificado de calibración vigente y estar sometidos a un control metrológico. Para la medición se pueden usar los métodos de la IEEE 644 o la IEEE 1243.
PARÁGRAFO 1o. <Parágrafo adicionado por el artículo 2 de la Resolución 40492 de 2015. El nuevo texto es el siguiente:> El campo eléctrico se debe calcular en zonas de servidumbre de líneas de transmisión de tensión igual o mayor a 110 kV, y solo se debe medir como mecanismo de comprobación en lugares de fachadas de edificaciones a la altura de los conductores más cercanos a la fachada que se encuentre en la frontera de la servidumbre.
PARÁGRAFO 2o. <Parágrafo adicionado por el artículo 2 de la Resolución 40492 de 2015. El nuevo texto es el siguiente:> La densidad de flujo magnético se debe calcular para corrientes mayores a 1000 A y debe medirse sobre bandejas portacables, buses de barras y otros cables prearmados que transporten estos niveles de corriente y estén ubicados hasta 30 cm de lugares de trabajo o de permanencia de personas. Igualmente, se debe medir en líneas de transmisión que superen estas corrientes a distancias hasta 1,5 m del conductor para máximos acercamientos de público en general y a 30 cm para personas que laboran en la línea. En ningún caso se debe aceptar la permanencia de personas en distancias menores a las antes señaladas.
ARTÍCULO 15. SISTEMA DE PUESTA A TIERRA. Toda instalación eléctrica que le aplique el RETIE, excepto donde se indique expresamente lo contrario, tiene que disponer de un sistema de puesta a tierra (SPT), para evitar que personas en contacto con la misma, tanto en el interior como en el exterior, queden sometidas a tensiones de paso, de contacto o transferidas, que superen los umbrales de soportabilidad del ser humano cuando se presente una falla.
La exigencia de puestas a tierra para instalaciones eléctricas cubre el sistema eléctrico como tal y los apoyos o estructuras metálicas que ante una sobretensión temporal, puedan desencadenar una falla permanente a frecuencia industrial, entre la estructura puesta a tierra y la red.
Los objetivos de un sistema de puesta a tierra (SPT) son: la seguridad de las personas, la protección de las instalaciones y la compatibilidad electromagnética.
Las funciones de un sistema de puesta a tierra son:
a. Garantizar condiciones de seguridad a los seres vivos.
b. Permitir a los equipos de protección despejar rápidamente las fallas.
c. Servir de referencia común al sistema eléctrico.
d. Conducir y disipar con suficiente capacidad las corrientes de falla, electrostática y de rayo.
e. Transmitir señales de RF en onda media y larga.
f. Realizar una conexión de baja resistencia con la tierra y con puntos de referencia de los equipos.
Se debe tener presente que el criterio fundamental para garantizar la seguridad de los seres humanos, es la máxima energía eléctrica que pueden soportar, debida a las tensiones de paso, de contacto o transferidas y no el valor de resistencia de puesta a tierra tomado aisladamente. Sin embargo, un bajo valor de la resistencia de puesta a tierra es siempre deseable para disminuir la máxima elevación de potencial o GPR (ground potential rise).
15.1. REQUISITOS GENERALES DEL SISTEMA DE PUESTA A TIERRA.
El sistema de puesta a tierra debe cumplir los siguientes requisitos:
a. Los elementos metálicos que no forman parte de las instalaciones eléctricas, no podrán ser incluidos como parte de los conductores del sistema de puesta a tierra. Este requisito no excluye el hecho de que se deben conectar a tierra, en muchos casos.
b. Los elementos metálicos principales que actúan como refuerzo estructural de una edificación deben tener una conexión eléctrica permanente con el sistema de puesta a tierra general.
c. Las conexiones que van bajo el nivel del suelo (puesta a tierra), deben ser realizadas con soldadura exotérmica o conector certificado para enterramiento directo conforme a la norma IEEE 837 o la norma NTC 2206.
d. Para verificar que las características del electrodo de puesta a tierra y su unión con la red equipotencial cumplan con el presente reglamento, se deben dejar puntos de conexión accesibles e inspeccionables al momento de la medición. Cuando para este efecto se construyan cajas de inspección, sus dimensiones internas deben ser mínimo de 30 cm x 30 cm, o de 30 cm de diámetro si es circular y su tapa debe ser removible, no aplica a los electrodos de líneas de transporte.
Para evitar el sobrecalentamiento de conductores, en sistemas trifásicos de instalaciones de uso final con cargas no lineales, los conductores de neutro deben ser dimensionados por lo menos al 173% de la corriente de fase según los lineamientos de las normas la IEEE 519 o IEEE1100. Igualmente, se debe aceptar el dimensionamiento del conductor de neutro como se indica en la norma IEC 60364-5-52 (artículos 523, 524 y anexo E), cuando se conocen con precisión las corrientes armónicas de tercer orden, que efectivamente circulen por el neutro. En todo caso en el diseño se debe hacer mención expresa de la norma utilizada.
e. Cuando por requerimientos de un edificio existan varias puestas a tierra, todas ellas deben estar interconectadas eléctricamente, según criterio adoptado de IEC-61000-5-2, tal como aparece en la figura 15.1.

Figura 15.1 Sistemas con puestas a tierra dedicadas e interconectadas
La anterior figura deja claro que se deben interconectar todas las puestas a tierra de un edificio, es decir, aquellas partes del sistema de puesta a tierra que están bajo el nivel del terreno y diseñadas para cada aplicación particular, tales como: fallas a tierra de baja frecuencia, evacuación de electrostática, protección contra rayos o protección catódica. Esta interconexión puede hacerse por encima o por debajo del nivel del terreno.
f. Para un mismo edificio, quedan expresamente prohibidos los sistemas de puesta a tierra que aparecen en las figuras 15.2 y 15.3, según criterio adoptado de la IEC 61000-5-2, el cual está establecido igualmente en la NTC 2050 y en la IEC 60364.

g. No se deben superar los valores dados en la tabla 15.1, que corresponden a la máxima tensión de contacto aplicada al ser humano (con una resistencia equivalente de 10000
), la cual está dada en función del tiempo de despeje de la falla a tierra, de la resistividad del suelo y de la corriente de falla. Estos son los valores máximos de soportabilidad del ser humano a la circulación de corriente y consideran la resistencia o impedancia promedio netas del cuerpo humano entre mano y pie, sin que se presenten perforaciones en la piel y sin el efecto de las resistencias externas adicionalmente involucradas entre la persona y la estructura puesta a tierra o entre la persona y la superficie del terreno natural.
Para el cálculo se tuvieron en cuenta los criterios establecidos en la IEEE 80, tomando como base la siguiente ecuación, para un ser humano de 50 kilos.
![]()
La columna dos aplica a sitios con acceso al público en general y fue obtenida a partir de la norma IEC 60479 y tomando la curva C1 de la figura 9.1 de este reglamento (probabilidad de fibrilación del 5%). La columna tres aplica para instalaciones de media, alta y extra alta tensión, donde se tenga la presencia de personal que conoce el riesgo y está dotado de elementos de protección personal.
| Tiempo de despeje de la falla | Máxima tensión de contacto admisible (rms ca) según IEC para 95% de la población. (Público en general) | Máxima tensión de contacto admisible (rms ca) según IEEE para personas de 50 kg. (Ocupacional) |
| Mayor a dos segundos | 50 voltios | 82 voltios |
| Un segundo | 55 voltios | 116 voltios |
| 700 milisegundos | 70 voltios | 138 voltios |
| 500 milisegundos | 80 voltios | 164 voltios |
| 400 milisegundos | 130 voltios | 183 voltios |
| 300 milisegundos | 200 voltios | 211 voltios |
| 200 milisegundos | 270 voltios | 259 voltios |
| 150 milisegundos | 300 voltios | 299 voltios |
| 100 milisegundos | 320 voltios | 366 voltios |
| 50 milisegundos | 345 voltios | 518 voltios |
Tabla 15.1. Máxima tensión de contacto admisible para un ser humano
15.2. DISEÑO DEL SISTEMA DE PUESTA A TIERRA.
El diseñador de sistemas de puesta a tierra para centrales de generación, líneas de transmisión de alta y extra alta tensión o subestaciones, debe comprobar mediante el empleo de un procedimiento de cálculo, reconocido por la práctica de la ingeniería actual, que los valores máximos de las tensiones de paso y de contacto a que puedan estar sometidos los seres humanos, no superen los umbrales de soportabilidad.
Dichos cálculos deben tomar como base una resistencia del cuerpo de 1000
y cada pie como una placa de 200 cm2 aplicando una fuerza de 250 N.
El procedimiento básico sugerido es el siguiente:
a. Investigar las características del suelo, especialmente la resistividad.
b. Determinar la corriente máxima de falla a tierra, que debe ser entregada por el operador de red, en media y alta tensión para cada caso particular.
c. Determinar el tiempo máximo de despeje de la falla para efectos de simulación.
d. Investigar el tipo de carga.
e. Calcular de forma preliminar la resistencia de puesta a tierra.
f. Calcular de forma preliminar las tensiones de paso, contacto y transferidas en la instalación.
g. Evaluar el valor de las tensiones de paso, contacto y transferidas calculadas con respecto a la soportabilidad del ser humano.
h. Investigar las posibles tensiones transferidas al exterior, debidas a tuberías, mallas, conductores de neutro, blindaje de cables, circuitos de señalización, además del estudio de las formas de mitigación.
i. Ajustar y corregir el diseño inicial hasta que se cumpla los requerimientos de seguridad.
j. Presentar un diseño definitivo.
En instalaciones de uso final con subestación tipo poste, el diseño de la puesta a tierra puede simplificarse, pero deben tenerse en cuenta los parámetros de resistividad del terreno, corrientes de falla que se puedan presentar y los tipos de cargas a instalar. En todo caso se deben controlar las tensiones de paso y contacto.
15.3. MATERIALES DE LOS SISTEMAS DE PUESTA A TIERRA.
Los materiales para sistemas de puesta a tierra deben ser certificados y cumplir los siguientes requisitos:
15.3.1. ELECTRODOS DE PUESTA A TIERRA.
Para efectos del presente reglamento, los electrodos de puesta a tierra, deben cumplir los requisitos:
a. La puesta a tierra debe estar constituida por uno o varios de los siguientes tipos de electrodos: varillas, tubos, placas, flejes, alambres o cables desnudos.
b. No se permite el uso de aluminio en los electrodos de las puestas a tierra.
c. Los productores de electrodos de puesta a tierra deben garantizar que la resistencia a la corrosión del electrodo, sea de mínimo 15 años contados a partir de la fecha de instalación. Para certificar este requisito se debe utilizar el método de la inmersión en cámara salina durante 1000 horas o usando muestras de suelo ácido, preparadas en laboratorio o en electrolitos de solución ácida con débil concentración, que permita simular los suelos más corrosivos donde se prevea instalar los electrodos de acuerdo con la norma ASTM G 162 o la ASTM G 1. Para electrodos en cables de acero galvanizado, no es suficiente el ensayo de cámara salina, adicionalmente se debe probar con muestras del suelo similar a donde se pretenda instalar.
d. El recubrimiento exigido en la tabla 15.2, en ningún punto debe ser inferior a los valores indicados.
e. Debe probarse la adherencia y doblado del electrodo con recubrimiento, conforme a lo establecido en la norma NTC 2206 o equivalente.
f. El electrodo tipo varilla o tubo debe tener mínimo 2,4 m de longitud.
g. Los electrodos deben cumplir las dimensiones y valores de la tabla 15.2, los cuales son adaptados de las normas IEC 62305-3, IEC 60364, BS 7430, AS 1768, UL 467, UNESA 6501F, NTC 4552, NTC 2206, NTC 2050, ASTM F 1136 y DIN ISO 10683.
| TIPODE ELECTRODO | MATERIALES | DIMENSIONES MINIMAS | |||
| Diámetro mm | Área mm2 | Espesor mm | Recubrimiento gm | ||
| Varilla | Cobre | 12,7 | |||
| Aleaciones de cobre | 12.7 | ||||
| Acero inoxidable | 15 | ||||
| Acero galvanizado en caliente | 16 | 70 | |||
| Acero con recubrimiento electrodepositado de cobre | 14 | 250 | |||
| Acero con recubrimiento total en cobre | 15 | 2000 | |||
| Tubo | Cobre | 20 | 2 | ||
| Acero inoxidable | 25 | 2 | |||
| Acero galvanizado en caliente | 25 | 2 | 55 | ||
| Fleje o cinta sólida | Cobre | 50 | 2 | ||
| Acero inoxidable | 100 | 3 | |||
| Cobre cincado | 50 | 2 | 40 | ||
| Cable trenzado | Cobre o cobre estañado | 1,8 para cada hilo | 50 | ||
| Acero galvanizado en caliente | 1,8 para cada hilo | 70 | |||
| Alambre redondo | Cobre | 8 | 50 | ||
| Acero galvanizado | 10 | 78,5 | 70 | ||
| Acero inoxidable | 10 | ||||
| Acero recubierto de cobre | 10 | 250 | |||
| Placa sólida | Cobre | 250000 | 1,5 | ||
| Acero inoxidable | 360000 | 6 | |||
Tabla15.2. Requisitos para electrodos de puesta a tierra.
h. Marcación: el electrodo tipo varilla, debe estar identificado con la razón social o marca registrada del fabricante y sus dimensiones; esto debe hacerse dentro los primeros 30 cm medidos desde la parte superior.
a. Para la instalación de los electrodos se deben considerar los siguientes requisitos:
El productor debe informar al usuario si existe algún procedimiento específico para su instalación y adecuada conservación.
La unión entre el electrodo y el conductor a tierra, debe hacerse con soldadura exotérmica o con un conector certificado para enterramiento directo.
Cada electrodo debe quedar enterrado en su totalidad.
El punto de unión entre el conductor del electrodo de puesta a tierra y la puesta a tierra debe ser accesible y la parte superior del electrodo enterrado debe quedar a mínimo 15 cm de la superficie. Este ítem no aplica a electrodos enterrados en las bases de estructuras de líneas de transmisión ni a los instalados horizontalmente.
El electrodo puede ser instalado en forma vertical, con una inclinación de 45º o de forma horizontal (a 75 cm de profundidad), siempre que garantice el cumplimiento de su objetivo, conforme al numeral 3 del literal c del de la sección 250-83 de la NTC 2050.
15.3.2. CONDUCTOR DEL ELECTRODO DE PUESTA A TIERRA O CONDUCTOR A TIERRA.
| Es el conductor que une el electrodo o malla de la puesta a tierra con el barraje principal de puesta a tierra. Para baja tensión, se debe seleccionar con la tabla 250-94 de la NTC 2050 o con la siguiente ecuación de la IEC 60364-5-54. | ![]() |
Para el conductor del electrodo de puesta a tierra o conductor a tierra, además del cobre, se pueden utilizar otros materiales conductores o aleación de ellos, siempre que se garantice su protección contra la corrosión durante la vida útil de la puesta a tierra y la resistencia del conductor no comprometa la efectividad de la puesta a tierra.
| El conductor a tierra para media tensión, alta tensión y extra alta tensión, debe ser seleccionado con la siguiente ecuación, la cual fue adoptada de la norma ANSI/IEEE 80. | ![]() |
En donde:
A mm2 es la sección del conductor en mm2.
I es la corriente de falla a tierra, suministrada por el OR (rms en kA).
Kf es la constante de la tabla 15.3, para diferentes materiales y valores de Tm (Tm es la temperatura de fusión o el límite de temperatura del conductor a una temperatura ambiente de 40 ºC).
tc es el tiempo de despeje de la falla a tierra.
| Material | Conductividad (%) | Tm (ºC) | KF |
| Cobre blando | 100 | 1083 | 7 |
| Cobre duro cuando se utiliza soldadura exotérmica | 97 | 1084 | 7,06 |
| Cobre duro cuando se utiliza conector mecánico | 97 | 250 | 11,78 |
| Alambre de acero recubierto de cobre | 40 | 1084 | 10,45 |
| Alambre de acero recubierto de cobre | 30 | 1084 | 14,64 |
| Varilla de acero recubierta de cobre | 20 | 1084 | 14,64 |
| Aluminio grado EC | 61 | 657 | 12,12 |
| Aleación de aluminio 5005 | 53,5 | 652 | 12,41 |
| Aleación de aluminio 6201 | 52,5 | 654 | 12,47 |
| Alambre de acero recubierto de aluminio | 20,3 | 657 | 17,2 |
| Acero 1020 | 10,8 | 1510 | 15,95 |
| Varilla de acero recubierta en acero inoxidable | 9,8 | 1400 | 14,72 |
| Varilla de acero con baño de cinc (galvanizado) | 8,5 | 419 | 28,96 |
| Acero inoxidable 304 | 2,4 | 1400 | 30,05 |
Nota 1: de acuerdo con las disposiciones del presente reglamento no se debe utilizar aluminio enterrado.
Nota 2: se permite el uso de cables de acero galvanizado en sistemas de puestas a tierra en líneas de transmisión, redes de distribución e instalaciones de uso final, para lo cual se podrán utilizar los parámetros de la varilla de acero recubierta en cinc.
Nota 3: se permite el uso de conductores con distinta geometría (platinas en L o en T) y de otros materiales que demuestren su resistencia mecánica y a la corrosión, probados a 1000 horas de cámara salina.
Nota 4: el recubrimiento en cobre de la varilla de acero, no debe ser menor a 0,25 mm.
15.3.3. CONDUCTOR DE PROTECCIÓN O DE PUESTA A TIERRA DE EQUIPOS.
El conductor de protección, también llamado conductor de puesta a tierra de equipos, debe cumplir los siguientes requisitos:
a. El conductor para baja tensión, debe seleccionarse con la tabla 250-95 de la NTC 2050.
b. El conductor para media tensión, alta tensión y extra alta tensión, debe seleccionarse de forma tal que su temperatura no supere la del aislamiento de los conductores activos alojados en la misma canalización, como se establece en el capítulo 9 de la IEEE 242.
c. Los conductores del sistema de puesta a tierra deben ser continuos, sin interruptores o medios de desconexión y cuando se empalmen, deben quedar mecánica y eléctricamente seguros mediante soldadura o conectores certificados para tal uso.
d. El conductor de puesta a tierra de equipos, debe acompañar los conductores activos durante todo su recorrido y por la misma canalización.
e. Los conductores de los cableados de puesta a tierra que por disposición de la instalación se requieran aislar, deben ser de aislamiento color verde, verde con rayas amarillas o identificados con marcas verdes en los puntos de inspección y extremos.
15.4. VALORES DE REFERENCIA DE RESISTENCIA DE PUESTA A TIERRA.
Un buen diseño de puesta a tierra debe garantizar el control de las tensiones de paso, de contacto y transferidas. En razón a que la resistencia de puesta a tierra es un indicador que limita directamente la máxima elevación de potencial, pueden tomarse como referencia los valores máximos de la tabla 15.4, adoptados de las normas técnicas IEC 60364-4-442, ANSI/IEEE 80, NTC 2050 y NTC 4552. El cumplimiento de estos valores, no exonera al diseñador y constructor de garantizar que las tensiones de paso, contacto y transferidas aplicadas al ser humano en caso de una falla a tierra, no superen las máximas permitidas.
| Aplicación | Valores máximos de resistencia de puesta a tierra |
| Estructuras y torrecillas metálicas de líneas o redes con cable de guarda | 20 |
| Subestaciones de alta y extra alta tensión | 1 |
| Subestaciones de media tensión | 10 |
| Protección contra rayos | 10 |
| Punto neutro de acometida en baja tensión | 25 |
| Redes para equipos electrónicos o sensibles | 10 |
Tabla 15.4. Valores de referencia para resistencia de puesta a tierra
Cuando existan altos valores de resistividad del terreno, elevadas corrientes de falla a tierra o prolongados tiempos de despeje de las mismas, se deben tomar las siguientes medidas para no exponer a las personas a tensiones por encima de los umbrales de soportabilidad del ser humano:
a. Hacer inaccesibles zonas donde se prevea la superación de los umbrales de soportabilidad para seres humanos.
b. Instalar pisos o pavimentos de gran aislamiento.
c. Aislar todos los dispositivos que puedan ser sujetados por una persona.
d. Establecer conexiones equipotenciales en las zonas críticas.
e. Aislar el conductor del electrodo de puesta a tierra a su entrada en el terreno.
f. Disponer de señalización en las zonas críticas donde puedan trabajar profesionales competentes, siempre que cuenten con las instrucciones sobre el tipo de riesgo y estén dotados de los elementos de protección personal con aislamiento adecuado.
15.5. Mediciones para sistemas de puesta a tierra.
15.5.1. Medición de resistividad aparente.
Existen diversas técnicas para medir la resistividad aparente del terreno. Para efectos del presente reglamento, se puede aplicar el método tetraelectródico de Wenner, que es el más utilizado para aplicaciones eléctricas y que se muestra en la figura 15.4. Se pueden usar otros métodos debidamente reconocidos y documentados en las normas y prácticas de la ingeniería.

Figura 15.4. Esquema de medición de resistividad aparente
La ecuación exacta para el cálculo es:

Donde
ñ es la resistividad aparente del suelo en ohmios metro
a es la distancia entre electrodos adyacentes en metros
b es la profundidad de enterramiento de los electrodos en metros
R es la resistencia eléctrica medida en ohmios, dada por V/I
Cuando b es muy pequeño comparado con a, se tiene la siguiente expresión: ñ = 2ðaR
15.5.2. MEDICIÓN DE RESISTENCIA DE PUESTA A TIERRA.
La resistencia de puesta a tierra debe ser medida antes de la puesta en funcionamiento de un sistema eléctrico, como parte de la rutina de mantenimiento o excepcionalmente como parte de la verificación de un sistema de puesta a tierra. Para su medición se puede aplicar el método de caída de potencial, cuya disposición de montaje se muestra en la figura 15.5.

En donde,
d es la distancia de ubicación del electrodo auxiliar de corriente, la cual debe ser 6,5 veces la mayor dimensión de la puesta a tierra a medir, para lograr una precisión del 95% (según IEEE 81).
x es la distancia del electrodo auxiliar de tensión. La resistencia de puesta a tierra en ohmios, se calcula con V/I.
El valor de resistencia de puesta a tierra que se debe tomar al aplicar este método, es cuando la disposición del electrodo auxiliar de tensión se encuentra al 61,8 % de la distancia del electrodo auxiliar de corriente, siempre que el terreno sea uniforme. Igualmente, se podrán utilizar otros métodos debidamente reconocidos y documentados en las normas y prácticas de la ingeniería.
En líneas de transmisión con cable de guarda, la medición debe hacerse desacoplando el cable de guarda o usando un telurómetro de alta frecuencia (25 kHz).
15.5.3. MEDICIÓN DE TENSIONES DE PASO Y CONTACTO.
<Inciso modificado por el artículo 5 de la Resolución 90795 de 2014. El nuevo texto es el siguiente:> Las tensiones de paso y contacto que se calculen en la fase de diseño, deben medirse antes de la puesta en servicio de subestaciones de alta y extra alta tensión, así como en las estructuras de las líneas de transmisión de tensiones mayores o iguales a 110 kV, localizadas en zonas urbanas o que estén localizadas a menos de 20 m de escuelas o viviendas de zonas rurales; para verificar que se encuentren dentro de los límites admitidos. En la medición deben seguirse los siguientes criterios adoptados de la IEEE-81.2 o los de una norma técnica que le aplique, tal como la IEC 61936-1:
a. Las mediciones se deben hacer preferiblemente en la periferia de la instalación de la puesta a tierra. Se emplearán fuentes de alimentación de potencia o generador de impulsos, adecuados para simular la falla, de forma que la corriente inyectada sea suficientemente alta, a fin de evitar que las medidas queden falseadas como consecuencia de corrientes espurias o parásitas circulantes por el terreno.
b. Para subestaciones, deben medirse hasta un metro por fuera del encerramiento y en el caso de torres o postes a un metro de la estructura.
c. Se debe procurar que la corriente inyectada sea del 1% de la corriente para la cual ha sido dimensionada la instalación y no inferior a 50 A.
d. Los electrodos de medida para simulación de los pies, deben tener cada uno una superficie de 200 cm2y ejercer sobre el suelo una fuerza de 250 N.
e. Los cálculos para determinar las tensiones máximas posibles, se harán asumiendo que existe proporcionalidad.
f. Se aceptan otros métodos de medición siempre y cuando estén avalados por normas técnicas internacionales, regionales, de reconocimiento internacional o NTC; en tales casos, quien utilice dicho método dejará constancia escrita del método utilizado y la norma aplicada.
PARÁGRAFO. <Parágrafo adicionado por el artículo 3 de la Resolución 40492 de 2015. El nuevo texto es el siguiente:> En subestaciones de media tensión se deben medir las tensiones de paso y contacto al borde de la malla de cerramiento, si las corrientes de falla son superiores a 10 kA o si la medida de resistencia de puesta a tierra resulta dos o más veces el valor considerado en el diseño. En caso de que se superen los valores establecidos en la Tabla 15.1 del Anexo General se deberán tomar las medidas pertinentes de conformidad con este Reglamento
15.6. MANTENIMIENTO DE SISTEMAS DE PUESTA A TIERRA.
Los componentes del sistema de puesta a tierra tienden a perder su efectividad después de unos años, debido a corrosión, fallas eléctricas, daños mecánicos e impactos de rayos. Los trabajos de inspección y mantenimiento deben garantizar una continua actualización del SPT para el cumplimiento del RETIE. Si una inspección muestra que se requieren reparaciones, estas deben ser realizadas sin retraso y no ser pospuestas hasta el próximo ciclo de mantenimiento.
La inspección debe hacerse por un especialista en el tema, el cual debe entregar registros de lo observado, dicha inspección incluye la verificación de la documentación técnica, reportes visuales, pruebas y registros. Todo SPT debe ser inspeccionado de acuerdo con la tabla 15.5.
| Nivel de tensión de la instalación | Inspección visual (años) | Inspección visual y mediciones (años) | Sistemas críticos(1) inspección visual y mediciones (años) |
| Baja | 1 | 5 | 1 |
| Media | 3 | 6 | 1 |
| Alta y extra alta | 2 | 4 | 1 |
Tabla 15.5. Máximo período entre mantenimientos de un SPT
(1) Los sistemas críticos deben ser definidos por cada empresa o usuario.
Los intervalos de la anterior tabla pueden variar, según condiciones climáticas locales, fallas que comprometan la integridad del SPT, normas de seguridad industrial, exigencias de compañías de seguros, procedimientos o regulaciones técnicas de empresa.
15.6.1. Pruebas: las pruebas que deben realizarse como parte de inspección son:
a. Realizar ensayos de equipotencialidad.
b. Medir resistencia de puesta a tierra. Los resultados deben quedar consignados en los reportes de inspección.
c. Medir corrientes espurias o de modo común.
15.6.2. Registros: la inspección del SPT debe documentar y evidenciar mediante registros, como mínimo la siguiente información:
a. Condiciones generales de los conductores del sistema.
b. Nivel de corrosión.
c. Estado de las uniones de los conductores y componentes.
d. Valores de resistencia.
e. Desviaciones de los requisitos respecto del RETIE.
f. Documentar todos los cambios frente a la última inspección.
g. Resultados de las pruebas realizadas.
h. Registro fotográfico
i. Rediseño o propuesta de mejoras del SPT si se requieren
15.7. PUESTAS A TIERRA TEMPORALES.
El objeto de un equipo de puesta a tierra temporal es limitar la corriente que puede pasar por el cuerpo humano.
15.7.1. REQUISITOS DE PRODUCTO.
El equipo de puesta a tierra temporal debe cumplir las siguientes especificaciones mínimas, adaptadas de las normas IEC 61230 y ASTM F 855:
a. Electrodo: barreno con longitud mínima de 1,5 m.
b. Grapas o pinzas: el tipo de grapa debe ser el adecuado según la geometría del elemento a conectar (puede ser plana o con dientes).
c. Cable en cobre extraflexible, cilíndrico y con cubierta transparente o translucida que permita su inspección visual y cuyo calibre soporte una corriente de falla mínima de: en alta tensión 40 kA; en media tensión 8 kA y en baja tensión 3 kA eficaces en un segundo con temperatura final de 700 ºC a criterio del operador de red o de la empresa de transmisión, se pueden utilizar cables de puestas a tierra de menor calibre, siempre que la corriente de falla calculada sea menor a los valores antes citados y el tiempo de despeje sea tal que la temperatura en el conductor no supere los 700 ºC. Si la corriente de falla es superior a los valores indicados, se debe usar un cable de capacidad suficiente para soportarla.
d. El productor debe entregar una guía de instalación, inspección y mantenimiento.
15.7.2. REQUISITOS DE INSTALACIÓN.
La puesta a tierra temporal debe instalarse de acuerdo con los siguientes requisitos:
a. El montaje debe hacerse de tal manera que los pies del liniero queden al potencial de tierra y que los conductores que se conectan a las líneas tengan la menor longitud e impedancia posible, tal como se muestra en la figura 15.6, adoptada de la guía IEEE 1048.
b. La secuencia de montaje debe ser desde la tierra hasta la última fase y para desmontarlo debe hacerse desde las fases hasta la tierra.
c. En el evento que la línea esté o sea susceptible de interrumpirse en la estructura, se debe conectar a tierra en ambos lados de la estructura.

Figura 15.6 Montajes típicos de puestas a tierra temporales
ARTÍCULO 16. PROTECCIÓN CONTRA RAYOS. El rayo es un fenómeno meteorológico de origen natural. De acuerdo con las investigaciones científicas realizadas en Colombia en las últimas tres décadas y lideradas por la Universidad Nacional de Colombia en cabeza del investigador Horacio Torres Sánchez, las cuales han quedado plasmadas en publicaciones internacionales y libros sobre el tema, permiten concluir que los parámetros del rayo son variables espacial y temporalmente. Colombia al estar situada en la zona de confluencia intertropical, presenta una de las mayores actividades de rayos del planeta; de allí la importancia de la protección contra dicho fenómeno, pues si bien los métodos desarrollados a nivel mundial se pueden aplicar, algunos parámetros del rayo son particulares para esta zona. Tales condiciones obligan a que se tomen las medidas para minimizar los riesgos por los efectos del rayo, tanto en las edificaciones como en las instalaciones eléctricas.
16.1. EVALUACIÓN DEL NIVEL DE RIESGO FRENTE A RAYOS.
La evaluación del nivel de riesgo por rayos, debe considerar la posibilidad de pérdidas de vidas humanas, pérdida del suministro de energía y otros servicios esenciales, pérdida o graves daños de bienes, pérdida cultural, así como los parámetros del rayo para la zona tropical, donde está ubicada Colombia y las medidas de protección que mitiguen el riesgo; por tanto, debe basarse en procedimientos establecidos en normas técnicas internacionales como la IEC 62305-2, de reconocimiento internacional o la NTC 4552-2.
Las instalaciones que hayan sido construidas dentro de la vigencia del RETIE, que les aplica este requisito y que requieran la implementación de medidas para controlarlo, deben darle cumplimiento en un periodo no superior a 12 meses de la entrada en vigencia del presente anexo general.
Las centrales de generación, líneas de transmisión, redes de distribución en media tensión y las subestaciones construidas con posterioridad al 1º de mayo de 2005 deben tener un estudio del nivel de riesgo por rayos, soportado en norma técnica internacional, de reconocimiento internacional o NTC.
También deben contar con una evaluación del nivel de riesgo por rayo, las instalaciones de uso final donde se tenga alta concentración de personas, tales como: edificaciones de viviendas multifamiliares, edificios de oficinas, hoteles, centros de atención médica, lugares de culto, centros educativos, centros comerciales, industrias, supermercados, parques de diversión, prisiones, aeropuertos, cuarteles, salas de juzgados, salas de baile o diversión, gimnasios, restaurantes, museos, auditorios, boleras, salas de clubes, salas de conferencias, salas de exhibición, salas de velación, lugares de espera de medios de transporte masivo. Igualmente aplica a edificaciones aisladas, edificaciones con alturas que sobresalgan sobre las de su entorno y donde se tenga conocimiento de alta densidad de rayos.
El estudio de evaluación del nivel de riesgo por rayo debe estar disponible para revisión de las autoridades de vigilancia y control.
16.2. DISEÑO E IMPLEMENTACIÓN DE UN SISTEMA DE PROTECCIÓN CONTRA RAYOS.
La protección se debe basar en la aplicación de un sistema integral, conducente a mitigar los riesgos asociados con la exposición directa e indirecta a los rayos.
El diseño e implementación, deben realizarse aplicando metodologías reconocidas por normas técnicas internacionales como la IEC 62305-3, de reconocimiento internacional o la NTC 4552, las cuales se basan en el método electrogeométrico. El profesional competente <La persona competente>*, encargado de un proyecto debe incluir unas buenas prácticas de ingeniería de protección contra rayos, con el fin disminuir sus efectos, que pueden ser de tipo electromagnético, mecánico o térmico.
16.3. COMPONENTES DEL SISTEMA DE PROTECCIÓN CONTRA RAYOS.
El sistema de protección contra rayos debe tener los componentes descritos en 16.3.1 a 16.3.3.
16.3.1. TERMINALES DE CAPTACIÓN O PARARRAYOS.
Cualquier elemento metálico de la estructura que se encuentre expuesto al impacto del rayo, como antenas de televisión, chimeneas, techos, torres de comunicación y cualquier tubería que sobresalga, debe ser tratado como un terminal de captación siempre que se garantice su capacidad de conducción y continuidad eléctrica.
En la tabla 16.1, adaptada de las normas IEC 62305 e IEC 61024-1, se presentan las características que deben cumplir los pararrayos o terminales de captación construidos para este fin.
| Material | Configuración | Área mínima1) (mm2) | Diámetros y espesores mínimos2) |
| Cobre | Cinta sólida Alambre Cable Varilla | 50 50 50 200 | 2 mm de espesor 8 mm de diámetro 1,7 mm de diámetro por hilo 16 mm de diámetro |
| Aluminio o aluminio recubierto de cobre | Cinta sólida Alambre Cable | 70 50 50 | 3 mm de espesor 8 mm de diámetro 1,7 mm de diámetro por hilo |
| Aleación de aluminio 6201 | Cinta sólida Alambre Cable Varilla | 50 50 50 200 | 2,5 mm de espesor 8 mm de diámetro 1,7 mm de diámetro por hilo 16 mm de diámetro |
| Acero galvanizado en caliente o acero recubierto de cobre | Cinta sólida Alambre Cable Varilla | 50 50 50 200 | 2,5 mm de espesor 8 mm de diámetro 1,7 mm de diámetro por hilo 16 mm de diámetro Espesor de la capa: 50 µm |
| Acero inoxidable | Cinta sólida Alambre Cable Varilla | 50 50 70 200 | 2,5 mm de espesor 8 mm de diámetro 1,7 mm de diámetro por hilo 16 mm de diámetro |
| Bronce | Alambre Tubo Varilla | 50 50 200 | 8 mm de diámetro 4 mm de espesor 16 mm de diámetro |
Si aspectos térmicos y mecánicos son importantes, estas dimensiones se pueden aumentar a 60 mm2 para cinta sólida y a 78 mm2 para alambre.
En las dimensiones de espesor, ancho y diámetro se admite una tolerancia de ±10 %.
No se deben utilizar terminales de captación o pararrayos con elementos radiactivos.
Tabla 16.1. Características de los terminales de captación y bajantes
Nota: los terminales de captación no requieren certificación de conformidad de producto. El constructor e inspector de la instalación verificarán el cumplimiento de los requisitos dimensiónales.
Para efectos de este reglamento, el comportamiento de todo pararrayos o terminal de captación debe tomarse como el de un pararrayos tipo Franklin.
a. El objeto de los conductores bajantes o simplemente bajantes, es conducir a tierra, en forma segura, la corriente del rayo que incide sobre la estructura e impacta en los pararrayos. Con el fin de reducir la probabilidad de daños debido a las corrientes del rayo que circulan por el sistema de protección contra rayos, las bajantes deben disponerse de tal manera que desde el punto de impacto hasta tierra existan varios caminos en paralelo para la corriente, la longitud de los caminos de corriente se reduzca al mínimo y se realicen conexiones equipotenciales a las partes conductoras de la estructura.
b. En los diseños se deben considerar dos tipos de bajantes, unirlas directamente a la estructura a proteger o aislarlas eléctricamente de la misma. La decisión de cual tipo de bajante utilizar depende del riesgo de efectos térmicos o explosivos en el punto de impacto de rayo y de los elementos almacenados en la estructura. En estructuras con paredes combustibles y en áreas con peligro de explosión se debe aplicar el tipo aislado.
c. La interconexión de bajantes se deben hacer en la parte superior; son opcionales la interconexión a nivel de piso y los anillos intermedios.
d. La geometría de las bajantes y la de los anillos de unión afecta a la distancia de separación.
e. En la tabla 16.2 se dan las distancias típicas recomendadas entre los conductores bajantes y entre anillos equipotenciales, en función del nivel de protección contra rayos (NPR).
| NPR | Distancia típica promedio [m] |
| I | 10 |
| II | 10 |
| III | 15 |
| IV | 20 |
Tabla 16.2. Distancias sugeridas para separación de bajantes y anillos
f. La instalación de más bajantes, espaciadas de forma equidistante alrededor del perímetro y conectadas mediante anillos equipotenciales, reduce la probabilidad de que se produzcan chispas peligrosas y facilita la protección interna. Esta condición se cumple en estructuras totalmente metálicas y en estructuras de concreto en las que el acero de refuerzo es eléctricamente continuo.
g. El número de bajantes no debe ser inferior a dos y deben ubicarse en el perímetro de la estructura a proteger, en función de las restricciones arquitectónicas y prácticas. Deben instalarse, en la medida de lo posible, en las esquinas opuestas de la estructura.
h. <Literal correjido por el artículo 4 de la Resolución 40492 de 2015. El nuevo texto es el siguiente:> Cada bajante debe terminar en una puesta tierra que tenga un camino vertical u horizontal a la corriente o una combinación de ambos.
i. Las bajantes deben instalarse, de manera que sean una continuación directa de los conductores del sistema de captación.
j. Los conductores bajantes deben instalarse de manera rectilínea y vertical, siguiendo el camino más corto y directo a tierra. Debe evitarse la formación de bucles en el conductor bajante y de curvas de menos de 20 cm de radio.
k. Las bajantes no deben instalarse en canales de drenaje de aguas, incluso si tienen un aislamiento eléctrico.
l. Los materiales deben cumplir las especificaciones dadas en la tabla 16.1.
m. Los marcos o elementos de la fachada pueden ser utilizados como bajantes, si son perfiles o rieles metálicos y sus dimensiones cumplen con los requisitos para los conductores bajantes, es decir, para laminas o tubos metálicos su espesor no sea inferior a 0,5 mm y su equipotencialidad vertical sea garantizada de tal manera que fuerzas mecánicas accidentales (por ejemplo vibraciones, expansión térmica, etc.) no causen el rompimiento de los materiales o la pérdida de equipotencialidad.
n. La puesta a tierra de protección contra rayos debe interconectarse con las otras puestas a tierra de la edificación.
16.3.3. PUESTA A TIERRA PARA PROTECCIÓN CONTRA RAYOS.
La puesta a tierra de protección contra rayos, debe cumplir con los requisitos que le apliquen del artículo 15 del presente anexo general, especialmente en cuanto a materiales e interconexión. La configuración debe hacerse con electrodos horizontales (contrapesos), verticales o una combinación de ambos, según criterio de la IEC 62305.
16.4. RECOMENDACIONES DE COMPORTAMIENTO FRENTE A RAYOS.
Para prevenir accidentes con rayos, es conveniente tener en cuenta las siguientes recomendaciones, en caso de presentarse una tormenta:
a. A menos que sea absolutamente necesario no salga al exterior ni permanezca a la intemperie.
b. Busque refugio en estructuras que ofrezcan protección contra el rayo, tales como:
- Edificaciones bajas que no tengan puntos sobresalientes.
- Viviendas y edificaciones con un sistema adecuado de protección contra rayos.
- Refugios subterráneos.
- Automóviles y otros vehículos cerrados, con carrocería metálica.
c. De ser posible, evite los siguientes lugares, que ofrecen poca o ninguna protección:
- Bajo los árboles con mayor riesgo de impacto de rayos, es decir, los más altos.
- Campos deportivos abiertos.
- Tiendas de campaña y refugios temporales en zonas despobladas.
- Vehículos descubiertos o no metálicos.
- Torres de comunicaciones o de energía eléctrica.
d. En los siguientes lugares extreme precauciones:
- Terrazas de edificios.
- Terrenos deportivos y campo abierto.
- Piscinas y lagos.
- Cercanías de líneas eléctricas, cables aéreos, cercas ganaderas, mallas eslabonadas, vías de ferrocarril y tendederos de ropa.
- Árboles aislados.
- Torres metálicas (de comunicaciones, de líneas de alta tensión, de perforación, etc.).
e. Si debe permanecer en un lugar con alta densidad de rayos a tierra:
- Busque zonas bajas.
- Busque zonas pobladas de árboles, pero evitando árboles aislados.
- Busque edificaciones y refugios seguros.
- Si tiene que escoger entre una ladera y el filo de una colina, sitúese en el filo.
f. Si se encuentra aislado en una zona donde se esté presentando una tormenta eléctrica:
- No se acueste sobre el suelo.
- Junte los pies.
- Adopte la posición de cuclillas.
- No coloque las manos sobre el suelo.
- No se escampe bajo un árbol.
g. Atienda las señales de alarma y siga las órdenes que impartan los brigadistas de emergencias, cuando se cuente con detectores de tormentas.
h. Desconecte los equipos electrónicos que no posean dispositivos de protección contra rayos.
ARTÍCULO 17. ILUMINACIÓN. <Artículo modificado por el artículo 6 de la Resolución 90795 de 2014. El nuevo texto es el siguiente:> La iluminación de espacios tiene amplia relación con las instalaciones eléctricas, ya que la mayoría de las fuentes modernas de iluminación se basan en las propiedades de incandescencia y la luminiscencia de materiales sometidos al paso de corriente eléctrica. Una buena iluminación, además de ser un factor de seguridad, productividad y de rendimiento en el trabajo, mejora el confort visual.
Considerando lo anterior, para efectos de demonstrar la conformidad con el presente Reglamento, los portalámparas o portabombillas fijos (rosetas o Plafones roscados) deben cumplir los requisitos de producto y de instalación establecidos en el numeral 20.29 del Anexo General del RETIE.
Los productos de uso en sistemas de iluminación de lugares clasificados como peligrosos, como los tratados en el Capítulo 5 de la NTC 2050, los de Piscinas y fuentes similares de la sección 680, los de sistemas contra incendios de la sección 695 y los de sistemas de emergencia de la Sección 700 de la NTC 2050 y los de instalaciones en minas, deben dar cumplimiento a lo establecido en el numeral 20.28 del Anexo General de la Resolución 90708 de 2013 para productos utilizados en instalaciones especiales. Las instalaciones de estos elementos deben cumplir lo establecido en la NTC 2050 y 29.4 del Anexo General, según corresponda y demostrar la conformidad con RETIE para ese tipo de aplicación.
Tanto el diseñador como el constructor de la instalación eléctrica, deben garantizar el suministro de energía para las fuentes de iluminación y sus respectivos controles, en los puntos definidos en el diseño detallado o en el esquema de iluminación, conforme a las necesidades de iluminación resultantes del cumplimiento del Reglamento Técnico de Iluminación y Alumbrado Público RETILAP. Si la edificación requiere diseño de RETILAP y no la tiene, en la certificación RETIE se debe dejar esta no conformidad.
En las construcciones que el RETILAP no les exija diseño detallado, tanto el diseñador como el constructor de la instalación eléctrica deben tener en cuenta los requerimientos de iluminación y ubicar las salidas necesarias para el montaje de las lámparas e interruptores en los lugares donde se requiera la iluminación y sus aparatos de control, en la certificación de cumplimiento del RETIE se debe verificar el cumplimiento de estos requisitos.
Si el sistema de iluminación requiere certificación plena, se debe dejar la observación en el dictamen de inspección RETIE.
17.1. ILUMINACIÓN DE SEGURIDAD. <Numeral modificado por el artículo 6 de la Resolución 90795 de 2014. El nuevo texto es el siguiente:>
En instalaciones donde la iluminación sea factor determinante de la seguridad se deben tener en cuenta los siguientes requisitos, los cuales deben ser verificados como parte de la conformidad con el RETIE sin excluirse por este motivo la demostración de conformidad con el RETILAP en lo que le corresponda:
a) La instalación eléctrica y los equipos asociados deben garantizar el suministro ininterrumpido para iluminación en sitios donde la falta de esta pueda originar riesgos para la vida de las personas, tal como en áreas críticas, salidas de emergencia o rutas de evacuación.
b) No se permite la utilización de lámparas de descarga con encendido retardado en circuitos de iluminación de emergencia.
c) El sistema de alumbrados de emergencia equipados con grupos de baterías deben garantizar su funcionamiento por lo menos durante los 60 minutos después de que se interrumpa el servicio eléctrico normal.
d) En los lugares en los que estén situados los equipos de emergencia como extintores y camillas, en las instalaciones de protección contra incendios de utilización manual y en los tableros de distribución del alumbrado, la iluminancia horizontal será mínimo de 5 lux a la altura del plano de uso.
e) Las rutas de evacuación deben estar claramente visibles, señalizadas e iluminadas con un sistema autónomo con batería, garantizando los parámetros fotométricos que se exijan en el RETILAP, aún en condiciones de humo o plena oscuridad.
f) Excepto donde se tengan ambientes clasificados como peligrosos las luminarias deben tener una hermeticidad no menor a IP20 para uso en interiores e IP65 para uso exterior y deben ser capaces de resistir la combustión a 70oC de temperatura ambiente, al menos en la mitad del tiempo su autonomía declarada.
g) Las baterías utilizadas en sistemas de iluminación de emergencia deben cumplir con la normatividad ambiental vigente.
17.2. PRUEBAS PERIÓDICAS A LOS SISTEMAS DE ILUMINACIÓN DE EMERGENCIA. <Numeral modificado por el artículo 6 de la Resolución 90795 de 2014. El nuevo texto es el siguiente:>
Con el fin de asegurar que en el momento de un evento donde se requiera la iluminación de emergencia, esta funcione correctamente y cumpla con su objetivo de salvar vidas, se debe hacer la verificación de ausencia de fallos en el sistema de iluminación de emergencia o sus componentes tales como la fuente de luz y/o lámpara de emergencia, baterías, autonomía de carga, conductores, conexiones y se debe verificar mensualmente su funcionamiento. Se recomienda aplicar normas tales como: NF-C71-801 o NF-C71-820 (auto test de iluminación de emergencia), UNE EN 50172 (supervisión y mantenimiento de una instalación de iluminación de emergencia).
La verificación de la funcionalidad del sistema de iluminación de emergencia se debe registrar en un libro de registro de informes, el cual debe estar al cuidado de la persona responsable designada por el propietario o tenedor del local o instalación y debe incluir al menos la siguiente información:
-- Fechas de cada una de las inspecciones periódicas y ensayos
-- Breve descripción de las mismas
-- Identificación de los defectos encontrados
-- Acciones correctoras realizadas
Modificaciones realizadas en la instalación del alumbrado de emergencia.
ARTÍCULO 18. TRABAJOS EN REDES DESENERGIZADAS. Un accidente eléctrico es casi siempre previsible y por tanto evitable. Los métodos básicos de trabajo son en redes desenergizadas o en tensión. Para garantizar la seguridad del operario, en ningún caso el mismo operario debe alternar trabajos en tensión con trabajos en redes desenergizadas.
Los trabajos que deban desarrollarse con las redes o equipos desenergizados, deben cumplir las siguientes “reglas de oro”:
a. Efectuar el corte visible de todas las fuentes de tensión, mediante interruptores y seccionadores, de forma que se asegure la imposibilidad de su cierre intempestivo. En aquellos aparatos en que el corte no pueda ser visible, debe existir un dispositivo que garantice que el corte sea efectivo.
b. Condenación o bloqueo, si es posible, de los aparatos de corte. Señalización en el mando de los aparatos indicando “no energizar” o “prohibido maniobrar” y retirar los portafusibles de los cortacircuitos. Se llama “condenación o bloqueo” de un aparato de maniobra al conjunto de operaciones destinadas a impedir la maniobra de dicho aparato, manteniéndolo en una posición determinada.
c. Verificar ausencia de tensión en cada una de las fases, con el detector de tensión apropiado al nivel de tensión nominal de la red, el cual debe probarse antes y después de cada utilización.
d. Puesta a tierra y en cortocircuito de todas las posibles fuentes de tensión que incidan en la zona de trabajo. Es la operación de unir entre sí todas las fases de una instalación, mediante un puente equipotencial de sección adecuada, que previamente ha sido conectado a tierra.
En tanto no estén efectivamente puestos a tierra, todos los conductores o partes del circuito se consideran como si estuvieran energizados a su tensión nominal.
Los equipos de puesta a tierra se deben manejar con pértigas aisladas, conservando las distancias de seguridad respecto a los conductores, en tanto no se complete la instalación.
Para su instalación, el equipo se conecta primero a tierra y después a los conductores que van a ser puestos a tierra, para su desconexión se procede a la inversa.
Los conectores se deben colocar firmemente, evitando que puedan desprenderse o aflojarse durante el desarrollo del trabajo.
Los equipos de puesta a tierra se conectarán a todos los conductores, equipos o puntos que puedan adquirir potencial durante el trabajo.
Cuando la estructura o apoyo tenga su propia puesta a tierra, se conecta a ésta. Cuando vaya a “abrirse” un conductor o circuito, se colocarán tierras en ambos lados.
Cuando dos o más trabajadores o cuadrillas laboren en lugares distintos de las mismas líneas o equipo, serán responsables de coordinar la colocación y retiro de los equipos de puesta a tierra en sus lugares de trabajo correspondientes.
e. Señalizar y delimitar la zona de trabajo. Es la operación de indicar mediante carteles con frases o símbolos el mensaje que debe cumplirse para prevenir el riesgo de accidente.
El área de trabajo debe ser delimitada por vallas, manilas o bandas reflectivas. En los trabajos nocturnos se deben utilizar conos o vallas fluorescentes y además señales luminosas.
Cuando se trabaje sobre vías que no permitan el bloqueo del tránsito, se debe parquear el vehículo de la cuadrilla atrás del área de trabajo y señalizar en ambos lados de la vía.
Por la seguridad de los trabajadores y del sistema, se debe disponer de un procedimiento que sea lógico, claro y preciso para la adecuada programación, ejecución, reporte y control de maniobras, esto con el fin de asegurar que las líneas y los equipos no sean energizados o desenergizados por error, un accidente o sin advertencia. Se prohíbe la apertura de cortacircuitos con cargas que puedan exponer al operario o al equipo a un arco eléctrico, salvo que se emplee un equipo que extinga el arco.
18.3. VERIFICACIÓN EN EL LUGAR DE TRABAJO.
El jefe de grupo debe realizar una inspección detenida con base en lo siguiente:
a. Que los equipos sean de la clase de tensión de la red.
b. Que los operarios tengan puesto su equipo de protección individual.
c. Que los operarios se despojen de todos los objetos metálicos.
d. Cuando se utilice camión canasta, verificar el correcto funcionamiento tanto de los controles en la canasta como los inferiores.
e. Que se efectúe una inspección de los guantes.
f. Que los operarios se encuentren en perfectas condiciones técnicas, físicas y síquicas para el desempeño de la labor encomendada.
g. <Literal modificado por el artículo 7 de la Resolución 90795 de 2014. El nuevo texto es el siguiente:> Que los espacios de trabajo tengan las dimensiones adecuadas y no presenten obstáculos que pongan en riesgo al trabajador.
h. Antes de entrar a una cámara subterránea, la atmósfera debe ser sometida a prueba de gases empleando la técnica y los instrumentos para detectar si existen gases tóxicos, combustibles o inflamables, con niveles por encima de los límites permisibles.
i. Una vez destapada la caja de inspección o subestación de sótano, el personal debe permanecer por fuera de ella, por lo menos durante 10 minutos, mientras las condiciones de ventilación son las adecuadas para iniciar el trabajo.
Todo trabajador que se halle ubicado a una altura igual o superior a 1,5 m, bien sea en los apoyos, escaleras, cables aéreos, helicópteros, carros portabobinas o en la canastilla de un camión, debe estar sujetado permanentemente al equipo o estructura, mediante un sistema de protección contra caídas, atendiendo la reglamentación del Ministerio del Trabajo (Resolución 1409 de 2012 o la que la modifique o sustituya).
Todos los postes y estructuras deben ser inspeccionados cuidadosamente antes de subir a ellos, para comprobar que están en condiciones seguras para desarrollar el trabajo y que puedan sostener pesos y esfuerzos adicionales. Deben revisarse los postes contiguos que se vayan a someter a esfuerzos.
18.5. TRABAJOS CERCA DE CIRCUITOS AÉREOS ENERGIZADOS.
Cuando se instalen, trasladen o retiren postes cerca de líneas aéreas energizadas, se deben tomar precauciones a fin de evitar el contacto directo con las fases. Los trabajadores que ejecuten dicha labor deben evitar poner en contacto partes de su cuerpo con el poste.
Los trabajadores ubicados en tierra o que estén en contacto con objetos conectados a tierra, deben evitar el contacto con camiones u otro equipo que no esté puesto a tierra de manera efectiva y que estén siendo utilizados para mover o retirar postes en o cerca de líneas energizadas, a no ser que dispongan de aislamiento aprobado para el nivel de tensión.
Se considera distancia mínima de seguridad para los trabajos en tensión a efectuarse en la proximidad de las instalaciones no protegidas de alta o media tensión, la existente entre el punto más próximo en tensión y el operario, herramienta o elemento que pueda manipular con movimientos voluntarios o involuntarios. En consecuencia quienes trabajan cerca de elementos en tensión deben acatar las siguientes distancias mínimas:
| Tensión nominal entre fases (kV) | Distancia mínima (m) |
| hasta 1 | 0,80 |
| 7,6/11,4/13,2/13,8 | 0,95 |
| 33/34,5 | 1,10 |
| 44 | 1,20 |
| 57,5/66 | 1,40 |
| 110/115 | 1,80 |
| 220/230 | 2,8 |
| 500 | 5,5 |
Tabla 18.1. Distancias mínimas de seguridad para trabajos cercanos a líneas energizadas
Nota 1: las distancias de la tabla 18.1 aplican hasta 900 msnm, para trabajos a mayores altura y tensiones mayores a 57,5 kV, debe hacerse la corrección del 3% por cada 300 m.
Nota 2: se podrán aceptar las distancias para trabajo en líneas energizadas establecidas en el estándar 516 de la IEEE.
Personal no calificado o que desconozca los riesgos de las instalaciones eléctricas, no podrá acercarse a elementos energizados a distancias menores a las establecidas en la siguiente tabla:
| Tensión de la instalación | Distancia (m) |
| Instalaciones aisladas menores a 1000V | 0,4 |
| Entre 1 y 57,5 kV | 3 |
| Entre 57,5 y 110 kV | 4 |
| Entre 110 y 230 kV | 5 |
| Mayores a 230 kV | 8 |
Tabla 18.2. Distancias mínimas de seguridad para personal no especialista
Nota 1: esta tabla indica el máximo acercamiento permitido a una red sin que la persona esté realizando labores sobre ella u otra red energizada cercana.
Nota 2: no se deben interpolar distancias para tensiones intermedias a las citadas.
Nota 3: las distancias mínimas de seguridad indicadas pueden reducirse si se protegen adecuadamente las instalaciones eléctricas y la zona de trabajo, con aislantes o barreras.
18.6. Lista de verificación para trabajos en condiciones de alto riesgo.
La siguiente lista de verificación es un prerrequisito al trabajo mismo, que debe ser diligenciada por un vigía de salud ocupacional, por el jefe del grupo de trabajo, por un funcionario del área de salud ocupacional o un delegado del comité paritario de la empresa encargada de la obra y debe ser diligenciada en todos los casos donde se deba trabajar en condiciones de alto riesgo.
| ¿Se tiene autorización escrita o grabada para hacer el trabajo? | SI | NO |
| ¿Se encuentra informado el ingeniero o supervisor? | SI | NO |
| ¿Se han identificado y reportado los factores de riesgo que no pueden obviarse? | SI | NO |
| ¿Se intentó modificar el trabajo para obviar los riesgos? | SI | NO |
| ¿Se instruyó a todo el personal la condición especial de trabajo? | SI | NO |
| ¿Se designó un responsable de informar al área de salud ocupacional, al comité paritario o al jefe de área? | SI | NO |
| ¿Se cumplen rigurosamente las reglas de oro? | SI | NO |
| ¿Se tiene un medio de comunicaciones? | SI | NO |
| ¿Se disponen y utilizan los elementos de protección personal? | SI | NO |
Tabla 18.3. Lista de verificación, trabajos en condiciones de alto riesgo
Nota: si falta algún SI, el trabajo NO debe realizarse, hasta efectuarse la correspondiente corrección.
18.7. APERTURA DE TRANSFORMADORES DE CORRIENTE Y SECCIONADORES.
El secundario de un transformador de corriente no debe ser abierto bajo ninguna condición, mientras se encuentre energizado. En el caso que no pueda desenergizarse todo el circuito, antes de empezar a trabajar con un instrumento, un relé u otra sección del lado secundario, el trabajador debe conectarlo en derivación con puentes.
Los seccionadores no deben ser operados con carga, a menos que estén certificados para esta condición o que se realice con un equipo especial para apertura con carga.
ARTÍCULO 19. TRABAJOS EN TENSIÓN O CON REDES ENERGIZADAS. Los métodos de trabajo más comunes, según los medios utilizados para proteger al operario y el nivel de tensión son:
a. Trabajo a distancia: en este método, el operario ejecuta el trabajo con la ayuda de herramientas montadas en el extremo de pértigas aislantes.
b. Trabajo a contacto: en este método, el operario se aísla del conductor en el que trabaja y de los elementos tomados como masa por medio de elementos de protección personal, dispositivos y equipos aislantes.
c. Trabajo a potencial: en el cual el operario queda al potencial de la línea de transmisión en la cual trabaja, mediante vestuario conductivo.
En todos los casos se deben cumplir los siguientes requisitos, adaptados de la norma IEEE-516, la cual hace referencia a las normas ASTM, IEC, IEEE e ISO sobre accesorios y dispositivos:
19.1. ORGANIZACIÓN DEL TRABAJO.
Todo trabajo en tensión está subordinado a la aplicación de un procedimiento previamente estudiado, el cual debe comprender:
a. Un título que indique la naturaleza de la instalación intervenida, la descripción precisa del trabajo y el método de trabajo.
a. <sic> Medios físicos (materiales y equipos de protección personal y colectiva) y recurso humano.
b. Descripción ordenada de las diferentes fases del trabajo, a nivel de operaciones concretas.
c. Croquis, dibujos o esquemas necesarios.
e) <Literal adicionado por el artículo 8 de la Resolución 90795 de 2014. El nuevo texto es el siguiente:> Todo trabajo en circuitos energizados de más de 450 voltios debe hacerse con un grupo de trabajo de al menos dos (2) personas. Los grupos de trabajos que realicen labores en circuitos por encima de 1000 V deben contar con al menos dos (2) operarios y un (1) jefe que coordine y supervise las labores estando atento del trabajo del grupo para controlar cualquier riesgo que los pueda afectar en el desarrollo del trabajo. Se exceptúan de este requisito, los trabajos de desenergización y energización de transformadores, ramales de redes en MT, cambios de fusibles en cortacircuitos, maniobra y operación de interruptores o seccionadores que podrá hacerlo un solo operador, siempre que use las herramientas adecuadas y protocolos seguros.
19.2. PROCEDIMIENTOS DE EJECUCIÓN.
a. Todo liniero de línea viva, es decir, capacitado para trabajos en tensión, debe haber recibido una formación especial y estar habilitado para tal fin, lo cual deber ser demostrado mediante certificación.
b. Todo liniero de línea viva, debe estar afiliado a la seguridad social y riesgos profesionales. Además, debe practicarse exámenes periódicos para calificar su estructura ósea o para detectar deficiencias pulmonares, cardíacas o sicológicas. Enfermedades como la epilepsia, consumo de drogas y alcoholismo también deben ser estudiadas por el médico.
c. El jefe del trabajo, una vez recibida la confirmación de que se tomaron las medidas precisas y antes de comenzar el trabajo, debe reunir y exponer a los linieros el procedimiento de ejecución que se va a realizar, cerciorándose que ha sido perfectamente comprendido, que cada trabajador conoce su función y que cada uno comprende cómo se integra en la operación conjunta.
d. El jefe del trabajo dirigirá y vigilará los trabajos, siendo responsable de las medidas de cualquier orden que afecten la seguridad. Al terminar los trabajos, verificará su correcta ejecución y comunicará al centro de control el fin de los mismos.
e. Ningún operario podrá participar en un trabajo en tensión si no dispone en la zona de trabajo de sus elementos de protección personal, que comprende:
- En todos los casos: casco aislante y guantes de protección.
- En casos particulares, los equipos previstos en los procedimientos de ejecución a utilizar serán, entre otros: botas dieléctricas o calzado especial con suela conductora para los trabajos a potencial, dos pares de guantes aislantes, gafas de protección contra rayos ultravioleta, manguitos aislantes, herramientas aislantes.
f. Cada operario debe cuidar de la conservación de su dotación personal. Estos materiales y herramientas deben conservarse en seco, al abrigo de la intemperie y transportarse en fundas, estuches o compartimientos previstos para este uso. No deben sacarse de los mismos hasta el momento de su empleo.
g. Antes de trabajar en un conductor bajo tensión, el operario debe unirse eléctricamente al mismo para asegurar su equipotencialidad con el conductor.
h. En el caso de presentarse lluvia o niebla, se pueden realizar los trabajos cuando la corriente de fuga por los elementos aislantes esté controlada y se mantenga por debajo de 1 µA por cada kV nominal de la instalación. En caso de no realizar control de la corriente de fuga y si la tensión es superior a 34,5 kV, estos trabajos deben ser interrumpidos inmediatamente.
i. En caso de tormentas eléctricas, los trabajos no deben comenzarse y de haberse iniciado se interrumpirán. Cuando las condiciones atmosféricas impliquen la interrupción del trabajo, se debe retirar al personal y se podrán dejar los dispositivos aislantes colocados hasta que las condiciones vuelvan a ser favorables.
j. Cuando se emplee el método de trabajo a contacto, los operarios deben llevar guantes aislantes revestidos con guantes de protección mecánica y guantes de algodón en su interior.
k. Todo operario que trabaje a potencial debe llevar una protección total tipo Jaula de Faraday.
l. En trabajos a distancia sobre con tensiones menores o iguales a 230 kV, cuando no se coloquen dispositivos de protección que impidan todo contacto o arco eléctrico con un conductor desnudo, la mínima distancia de aproximación al conductor es 0,8 m cuando las cadenas de aisladores sean menores a 0,8 m y la distancia mínima será igual a la longitud de la cadena cuando esta es mayor a 0,8 m. Esta distancia puede reducirse a 0,60 m para la colocación de dispositivos aislantes cerca de los puntos de fijación de las cadenas de aisladores y de los aisladores en sus soportes. Se entiende por distancia mínima de aproximación la distancia entre un conductor y una parte cualquiera del cuerpo del operario estando éste situado en la posición de trabajo más desfavorable.
m. Todo equipo de trabajo en tensión debe ser sometido a ensayos periódicos de acuerdo con las normas técnicas o recomendaciones del productor. A cada elemento de trabajo debe abrírsele y llenársele una ficha técnica.
n. Los guantes aislantes deben ser sometidos a una prueba de porosidad por inyección de aire, antes de cada jornada de trabajo y debe hacérseles un ensayo de rigidez dieléctrica en laboratorio, mínimo dos veces al año.
o. Para las mangas, cubridores, protectores, mantas, pértigas, tensores, escaleras y demás equipo, se debe hacer mínimo un ensayo de aislamiento al año.
p. Los vehículos deben ser sometidos a una inspección general y ensayos de aislamiento a las partes no conductoras, mínimo una vez al año.
REQUISITOS DE PRODUCTOS.
ARTÍCULO 20. REQUERIMIENTOS PARA LOS PRODUCTOS. Los productos objeto del RETIE, es decir los de mayor utilización en instalaciones eléctricas, listados en la tabla 2.1, deben cumplir los siguientes criterios generales, además de los requisitos particulares para cada producto:
a. Cumplir los requisitos de producto y demostrarlo mediante certificado de conformidad de producto, expedido por un organismo de certificación acreditado. Igualmente se deben cumplir los requisitos de instalación.
b. El certificado de conformidad de producto debe hacer clara y precisa referencia al producto que le aplica. El productor, importador, distribuidor y comercializador del producto, debe verificar que el producto a comercializar corresponda al producto certificado. Productos objeto del presente reglamento que no demuestren la conformidad serán considerados productos inseguros.
c. Los productos objeto del RETIE, contemplados en la tabla 2.1, que no tengan definidos los requisitos en el presente anexo general, deben dar cumplimiento al RETIE mediante un certificado de conformidad de producto conforme a la norma o normas técnicas que les aplique, expedido por un organismo acreditado.
d. Los requisitos de producto contemplados en el Código Eléctrico colombiano NTC 2050 (primera actualización), serán exigibles mediante certificado de conformidad de producto, siempre y cuando esté anexo general así lo estipule.
e. Para los productos objeto del RETIE contemplados en la tabla 2.1, que se les exija el cumplimiento de una norma técnica y adicionalmente se les exijan unos requisitos específicos, en el proceso de certificación se debe probar el cumplimiento de estos requisitos, así no estén incluidos en la norma técnica.
f. Las normas referenciadas para cada producto, indican métodos para probar el cumplimiento de los requisitos establecidos en el RETIE; en caso de que estas normas no indiquen tales métodos, el laboratorio o el organismo de certificación, podrá recurrir a otras normas técnicas de reconocimiento internacional o NTC relacionadas con dicho producto y dejará evidencia de la norma utilizada en las pruebas.
g. Toda información relativa al producto que haya sido establecida como requisito por el RETIE, incluyendo la relacionada con marcaciones o rotulados, debe estar escrita en castellano, en un lenguaje de fácil interpretación y debe ser verificada dentro del proceso de certificación del producto. Los parámetros técnicos allí establecidos deben ser validados mediante pruebas o ensayos realizados en laboratorios acreditados o evaluados según la normatividad vigente.
h. La información contenida en catálogos o instructivos del equipo, debe ser veraz, verificable técnicamente y no inducir a error al usuario, las desviaciones a este requisito se sancionarán con las disposiciones legales o reglamentarias sobre protección al consumidor.
i. <Literal modificado por el artículo 9 de la Resolución 90795 de 2014. El nuevo texto es el siguiente:> Todo producto objeto del presente reglamento debe estar rotulado con: la marca comercial, el nombre o logotipo del productor conforme a la Ley 1480 de 2011. Los productos que por su forma o tamaño, no sea posible incorporarle directamente la información exigida, se podrá plasmar en el empaque del producto.
j. Cuando un producto se fabrique para una o más funciones propias de otros productos contemplados en este artículo, se debe demostrar el cumplimiento de los requisitos particulares que le apliquen para cada función.
k. Los productos que sean componentes de equipos eléctricos, tales como: Las barras colectoras, terminales de cables, aisladores, interruptores entre otros, no deben estar dañados o contaminados por materias extrañas como restos de pintura, yeso, concreto, limpiadores, abrasivos o corrosivos que puedan afectar negativamente el buen funcionamiento o la resistencia mecánica de los equipos.
Para efectos del presente reglamento, los aisladores usados en líneas de transmisión, redes de distribución, subestaciones y barrajes equipotenciales de tensión superior a 100 V, deben cumplir los siguientes requisitos:
20.1.1. REQUISITOS GENERALES DE PRODUCTO.
a. Los materiales constructivos como porcelana, vidrio, resina epóxica, esteatita u otros aislantes equivalentes deben resistir las acciones de la intemperie, a menos que el aislador sea exclusivamente para uso en espacios cubiertos, conservando su condición aislante.
b. El aislador debe ofrecer la resistencia mecánica que supere los esfuerzos a que estará sometido, para lo cual el productor indicará el máximo esfuerzo que soporta y debe ser probado a esas condiciones, para determinar la pérdida de su función aislante, en caso de rotura, fisura o flameo.
c. Protección contra corrosión para el medio donde se vaya a utilizar, conforme a norma IEC 815-1.
20.1.2. REQUISITOS PARTICULARES DE PRODUCTO.
a. Aisladores en resina, tipo poste, para uso interior y tensiones mayores a 1000 V, deben ser sometidos a los siguientes ensayos y sus resultados deben ser conforme con las normas IEC 60660 o NTC 2685:
- Flamabilidad: deben ser autoextinguibles categoría V0 conforme a UL 94 o IEC 60695-11-10.
- Tensión de flameo tipo rayo en seco.
- Tensión no disruptiva a frecuencia industrial en seco.
- Tensión de extinción de descargas parciales o examen radiográfico para determinar que el aislador no tiene porosidades.
- Deflexión mecánica.
- De torque de apriete.
- De absorción de agua.
- De corrosión en partes metálicas y sistemas de conexión.
- Análisis dimensional, de distancia de fuga y de aislamiento.
- Rotulado: el aislador debe estar marcado de forma permanente por lo menos con la siguiente información: marca del productor, modelo, dimensión del sistema de conexión, tensión nominal del sistema.
b. Aisladores en resina, tipo poste, utilizados como soporte de barras y aisladores de fases en tableros y borneras para tensiones menores a 1000 V, deben ser sometidos a los siguientes ensayos:
- De hilo incandescente a 950 ºC de acuerdo con la norma IEC 60695-2-11.
- De tensión resistida a frecuencia industrial.
- De torque de apriete.
- De corrosión para las partes metálicas y sistemas de conexión.
- Análisis dimensional.
c. Aisladores suspensión de media y alta tensión en material polimérico deberán cumplir los requisitos establecidos en las normas IEC 61109, ANSI C 29.13 o NTC 3275 en lo referente a los siguientes aspectos:
- Galvanizado de los herrajes con un valor mínimo de 79 micras.
- Flamabilidad: deben ser autoextinguibles categoría V0 de acuerdo con la norma UL 94 o IEC 60695-11-10.
- Análisis dimensional donde se incluya la distancia de aislamiento y distancia de fuga.
- Rotulado: el aislador debe tener por lo menos la siguiente información: marca productor o del importador responsable, año de fabricación, carga de rotura nominal y tensión nominal.
d. Aisladores tipo PIN utilizados en redes de media tensión, fabricados en material polimérico bajo la norma NTC 5651 o norma internacional que le aplique, deben realizarle los siguientes ensayos:
- Flamabilidad: deben ser autoextinguibles categoría V0 de acuerdo con la norma UL 94 o IEC 60695-11-10.
- De porosidad sin penetración de fucsina.
- De envejecimiento UV sin grietas ni fisuras después de 1000 horas de exposición.
- De carga mecánica.
- De impacto con valor no menor a 10 J.
- De tensión de flameo en seco y húmedo.
- De impulso tipo rayo en seco y húmedo.
- Electromecánico.
- Análisis dimensional.
- Rotulado: marca productor, año de fabricación y carga mecánica.
e. Aisladores fabricados en porcelana o vidrio utilizados en redes de baja, media y alta tensión, deben cumplir los requisitos estipulados en la norma técnica aplicada a cada tipo de diseño de aislador, asegurando que se realicen los siguientes ensayos conforme a normas tales como IEC 60305, IEC 60383-1, ANSI C 29.1, NTC 1170, NTC 693, NTC 694, NTC 738, NTC 739, NTC 2620, NTC 1217 o equivalentes:
- De verificación de la rosca.
- De torsión cuando aplique.
- De tensión de rotura a frecuencia industrial en seco y húmedo.
- Tensión disruptiva tipo rayo en seco y húmedo.
- Mecánico o electromecánicos cuando apliquen.
- Mecánicos de tensión, compresión o cantiléver cuando aplique.
- De penetración de fucsina.
- Análisis dimensional.
- Rotulado: el aislador debe ser rotulado por lo menos con la siguiente información: productor, carga mecánica y año de fabricación.
f. Aisladores denominados espaciadores deben cumplir con al menos los siguientes requisitos y ensayos, probados bajo criterios de normas tales como: ANSI C29.5-C29.6 y 29.11, IEC 60507, NTC 1285 (ANSI C29.1), ASTM G154-98, IEC/TS 62073, ASTM D2303, ASTM D150-98.
- No debe formar caminos conductores (traking) y erosión.
- Dimensionamiento, el aislador o espaciador debe tener cuatro anillos elastoméricos para sujetar los conductores de las tres fases y el cable mensajero. Las distancias entre los puntos de amarre no deben ser menores a 27 cm para tensiones hasta 15 kV y 46 cm para tensiones entre 15 y 34,5 kV.
- De flamabilidad con clasificación V0 de acuerdo a UL 94 o IEC 60695-11-10.
- De envejecimiento UV realizado con lámpara de xenón de mínimo 1500 W por 1000 horas sin presentarse fisuras o grietas.
- De absorción de agua.
- De impacto con valor no menor a 10 J.
- Eléctricos de tensión a frecuencia industrial y tipo rayo en seco y húmedo.
- El aislador debe garantizar que sean libres de poros o burbujas internas y que su material sea no higroscópico.
- Rotulado: el aislador debe ser rotulado por lo menos con la siguiente información: nombre o marca del productor, lote y/o mes y año de fabricación, carga mecánica en kN, tensión nominal de servicio y BIL.
g. Aisladores denominados pasatapas para transformadores deben cumplir los requisitos de normas técnicas tales como NTC 2501-1 o norma internacional que le aplique y asegurar que se realicen los siguientes ensayos:
- De porosidad sin penetración de fucsina.
- De radiación UV con lámpara de xenón de mínimo 1500 W para pasatapas en material polimérico por 1000 horas sin presentarse fisuras o grietas.
- De cámara salina 1032 horas para aisladores en material polimérico sin que se afectan sus requisitos eléctricos.
- Eléctricos de tensión a frecuencia industrial y tipo rayo.
- Rotulado: el aislador debe rotularse por lo menos con la siguiente información: marca de productor, referencia o denominación, resistencia mecánica al voladizo.
h. Aisladores no descritos en este artículo, deben cumplir los requisitos establecidos en alguna norma técnica internacional o nacional que le apliqué.
20.2. ALAMBRES Y CABLES PARA USO ELÉCTRICO.
Los alambres y cables, aislados o desnudos, usados como conductores eléctricos de control y sistemas de puesta a tierra de las instalaciones eléctricas objeto del presente reglamento, deben cumplir los siguientes requisitos generales y particulares y demostrarlo mediante certificado de conformidad de producto. Igualmente aplica a cables de acero galvanizado usados en instalaciones eléctricas como: cables de guarda, templetes o contrapesos.
20.2.1. REQUISITOS GENERALES DE PRODUCTO.
Para efectos del presente reglamento, se toman como requisitos generales de los cables y alambres usados como conductores eléctricos y en consecuencia garantía de seguridad, los siguientes:
a. Resistencia eléctrica máxima en corriente continua referida a 20 ºC, que equivale a 1,02 veces la resistencia nominal en corriente continua.
Rmaxcc = 1,02*RNcc
Donde: Rmaxcc = Resistencia máxima en corriente continua y RNcc = Resistencia nominal en corriente continua.
b. La denominación del conductor debe hacerse con el cumplimento de los parámetros aquí definidos.
c. El área mínima de la sección trasversal del material conductor no debe ser menor al 98% del área nominal, presentada en las tablas 20.1 a 20.9. Se admiten áreas menores, siempre y cuando la resistencia en corriente continua cumpla con los requisitos establecidos en el presente anexo. La violación de este requisito pone en riesgo la seguridad de las instalaciones y será objeto de sanción por parte de los organismos de control y vigilancia.
d. El espesor del aislamiento y su resistencia, debe cumplir los valores establecidos en las tablas del presente artículo.
e. El productor debe identificar si los materiales del aislamiento garantizan que son autoextinguibles o retardantes a la llama. Tal condición debe ser informada por el productor y probado conforme a normas como IEC 60332-1, IEC 60332-3, UL 1581, UL 2556 o NTC 3203 que le apliquen.
f. Los conductores para instalación en interiores o en espacios donde se tenga la presencia de materiales combustibles, no deben propiciar la llama ni permitir su propagación; dichos requisitos deben ser probados bajo normas tales como: IEC 332-1, UL 83, NTC 1332 o NTC 1099-1 (para baja tensión) o normas equivalentes.
g. Se debe verificar la rigidez dieléctrica durante un minuto a frecuencia industrial o durante un minuto en corriente continua a tres veces la magnitud de tensión, según la tabla 20.6 o el valor de la norma de especificación.
h. Las pruebas de envejecimiento al aislamiento y a la cubierta exterior, deben garantizar el cumplimiento de sus parámetros durante la vida útil y se verificarán con normas técnicas para baja tensión tales como la NTC 1099 parte 1 y parte 2 y para los de media tensión conforme a ANS/ICEA S 108-720, AEIC CS9 o IEC 62067 u otras equivalentes. Los conductores y multiconductores con cubiertas adicionales al aislamiento, deben cumplir una norma técnica internacional, de reconocimiento internacional o NTC que les aplique.
i. La carga mínima de rotura para los cables de aluminio, ACSR, de aleaciones de aluminio y otras aleaciones, usados en redes o líneas aéreas, no debe ser menor a la presentada en las tablas 20.3, 20.4 y 20.5.
j. <Literal corregido por el artículo 3 de la Resolución 90907 de 2013. El nuevo texto es el siguiente:> Los cables de aluminio con refuerzo de acero (ACSR) y de aleaciones de aluminio (AAAC) deben tener el número de hilos definidos en las Tablas 20.4 y 20.5. Se aceptan otros tipos de cables, tales como ACCC, ACCR, ACSR/AW, ACAR, ACSR/TW, ACCS.
k. Los cables aislados para baja, media y alta tensión, que no tengan incluidos los requisitos en el RETIE y sean utilizados en las instalaciones objeto de este reglamento, deben cumplir una norma técnica internacional, de reconocimiento internacional o NTC que les aplique y demostrar que son aptos para esos usos, mediante un certificado de conformidad de producto.
l. Los conductores utilizados en bandejas portacables deben ser certificados bajo la norma IEC 60332-1-1, la UL 1685 o una norma equivalente.
m. Los cables o alambres aislados deben tener un rotulo en forma indeleble y legible, que se debe repetir a intervalos no mayores de 100 cm, el cual puede ser en alto relieve o impreso con tinta; igualmente, se acepta en bajo relieve, siempre y cuando no se reduzca el espesor de aislamiento que comprometa la rigidez dieléctrica establecida en este reglamento. El rótulo debe contener como mínimo la siguiente información:
- Calibre del conductor en kcmil, AWG o mm2.
- Material del conductor cuando es distinto a cobre de alta pureza.
- Razón social o marca registrada del productor o comercializador.
- Tensión nominal.
- Tipo de aislamiento.
- Temperatura máxima de operación.
n. Los cables o alambres desnudos deben estar acompañados de una etiqueta donde se especifique:
- Calibre del conductor en kcmil, AWG o mm2.
- Material del conductor.
- Tensión mecánica de rotura.
- Razón social o marca registrada del productor, importador o comercializador.
o. En el caso que el producto se entregue en rollos o carretes, estos deben contar con una etiqueta donde se especifique la longitud del conductor en metros, el calibre y la marca o el nombre del productor, comercializador o importador.
p. La conformidad se verifica mediante inspección y ensayos en laboratorios que garanticen el cumplimiento de los parámetros aquí establecidos.
q. Quienes importen, fabriquen o comercialicen alambres, cables o cordones flexibles, para uso en las instalaciones objeto del presente reglamento y que no cumplan las prescripciones que le apliquen, infringen el RETIE.
20.2.2. REQUISITOS PARTICULARES PARA ALAMBRES DE COBRE SUAVE.

Tabla 20.1 Requisitos para alambre de cobre suave
20.2.3. REQUISITOS PARTICULARES PARA CABLES DE COBRE SUAVE.

Tabla 20.2 Requisitos para cables de cobre suave.
Cableado Clases A, B, C y D
20.2.4. REQUISITOS PARTICULARES PARA CABLES DE ALUMINIO O ALUMINIO RECUBIERTO EN COBRE.

Tabla 20.3 Requisitos para cables de aluminio o aluminio recubiento es cobre - AAC
Nota 1: la resistencia nominal en corriente continua y el área nominal, también aplican para los tipos de cableado AA, A, B, C y D.
Nota 2: para los propósitos de esta tabla los cableados son clasificados como:
Clase AA: utilizado para conductores desnudos normalmente usados en líneas aéreas.
Clase A: utilizado para conductores a ser recubiertos con materiales impermeables, retardantes al calor y para conductores desnudos donde se requiere mayor flexibilidad que la proporcionada por la clase AA.
Clase B: utilizado para conductores que van a ser aislados con materiales tales como cauchos, papel, telas barnizadas y para conductores como los indicados en la clase A pero que requieren mayor flexibilidad que la proporcionada por el cableado clase A.
Clases C y D: para conductores donde se requiere mayor flexibilidad que la proporcionada por la clase B.
20.2.5. REQUISITOS PARTICULARES PARA CABLES DE ALUMINIO CON REFUERZO DE ACERO – ACSR. <Título modificado por el artículo 10 de la Resolución 90795 de 2014>

Tabla 20.4 Requisitos particulares para cables de aluminio o aluminio recubierto en acero - ACSR.
Nota: la carga mínima de rotura presentada en esta tabla aplica sólo para cables ACSR con núcleos de acero con recubrimiento tipo GA y MA.
20.2.6. REQUISITOS PARTICULARES PARA CABLES DE ALEACIÓN DE ALUMINIO (AAAC).

Tabla 20.5. Requisitos para cables de aleaciones de aluminio clase A y AA de AAAC
20.2.7. REQUISITOS PARTICULARES PARA ALAMBRES Y CABLES AISLADOS.


Tabla 20.6. Requisitos para alambres y cables aislados
20.2.8. REQUISITOS PARTICULARES PARA CONDUCTORES ESPECIFICADOS EN MM2 Y OTROS CONDUCTORES.
Cuando se especifique un cable o alambre en mm2, debe cumplir con los requisitos relacionados en las tablas que se presentan a continuación:

Tabla 20.7. Requisitos para Clase 1 - Alambres (Adaptada de IEC 60228)

Tabla 20.8. Espesor mínimo del aislamiento (Adaptada de IEC 60502-1)

Tabla 20.9. Requisitos para Clase 2 (cables)
Nota: 1) Mínimo número de hilos no especificado.
PARÁGRAFO 1o. Se podrán aceptar alambres y cables de uso eléctrico que cumplan los requisitos establecidos en la norma IEC 60228, verificados mediante certificado de conformidad de producto.
PARÁGRAFO 2o. En las instalaciones eléctricas de baja tensión, objeto de este reglamento, se aceptan cables o alambres aislados con otros materiales o tecnologías, siempre que el aislamiento y la tensión de ensayo no sea menor a las contempladas en la tablas 20.6 y 20.7 y estén soportadas en una norma técnica.
PARÁGRAFO 3o. Ante la carencia de laboratorios acreditados para realizar las pruebas a cables con aislamiento para uso en sistemas con tensiones nominales mayores a 66 kV, se aceptará la declaración del proveedor (certificación de primera parte), teniendo en cuenta lo establecido en la norma ISO IEC 17050 para este tipo de certificación, adicionalmente, debe acompañar la declaración del proveedor con los reportes de los resultados de las pruebas tipo realizadas en laboratorios idóneos.
20.2.9. REQUISITOS DE INSTALACIÓN.
Los conductores utilizados en las instalaciones eléctricas deben cumplir los siguientes requisitos de instalación:
a. A los cables y cordones flexibles usados en instalaciones eléctricas, se les aplicarán los requisitos establecidos en la tabla 400-4 de la sección 400 de la NTC 2050 (primera actualización).
b. Tipos o clases de alambres, cables o cordones flexibles no contemplados en las tablas 20.1 a 20.9 del presente reglamento o en la tabla 400-4 de la NTC 2050, que tengan aplicaciones similares a los conductores referidos en dichas tablas, deben instalarse conforme a los requisitos establecidos en la norma NTC 5521 o en las normas equivalentes aplicables a tales conductores.
c. No se deben instalar en bandejas portacables, conductores que no sean certificados para este uso.
d. Cuando se instalen conductores, se debe respetar el radio mínimo de curvatura que recomienda el productor para evitar daños en la pantalla, el aislamiento o el conductor.
e. En interiores o en espacios donde se tenga la presencia de materiales inflamables, no se deben instalar conductores que permitan propiciar la llama o facilitar su propagación.
f. Los conductores no deben operar a una temperatura mayor a la de diseño del elemento asociado al circuito eléctrico (canalizaciones, accesorios, dispositivos o equipos conectados) que soporte la menor temperatura, la cual en la mayoría de equipos o aparatos no supera los 60 ºC, de acuerdo con el artículo 110-14 C de la NTC 2050.
g. <Literal modificado por el artículo 5 de la Resolución 40492 de 2015. El nuevo texto es el siguiente:> En los edificios que utilicen ascensores o en lugares con alta concentración de personas, tales como los listados en la Sección 518 de la NTC 2050 y salones comunales de edificaciones residenciales, se deben utilizar conductores eléctricos con aislamiento o recubrimiento de muy bajo contenido de halógenos, no mayor a 0,5%, no propagadores de llama y baja emisión de humos opacos, certificados según las normas aplicables, tales como IEC 60754-1-2 para el contenido de halógenos, acides y conductividad de humos, IEC 331, IEC 332-1, IEC 332-3 para retardo de la llama, IEC 61034-2 para opacidad o normas equivalentes como UL 2556 o NTC 5786”.
Los conductores de los cables de bajo contenido de halógenos, deberán ser del tipo cableado, no se admiten conductores sólidos.
h. Se aceptan alambres y cables no incluidos en el presente artículo o la NTC 2050, siempre que igualen o superen las especificaciones allí establecidas.
i. Se aceptan cables y alambres de aluminio recubierto en cobre, siempre que el procedimiento de recubrimiento cumpla con la norma ASTM B566 o equivalente para ese tipo de productos. Para efectos de cálculos, la resistencia y capacidad de corriente se tomará igual a la del conductor de aluminio, conforme a la sección 310 de la NTC 2050 o la parte pertinente de la IEC 60364.
j. Se aceptan cables o alambres de aluminio o aluminio recubierto en cobre en instalaciones de uso final, cuando se cumplen los siguientes requisitos:
- Sean de aleación de aluminio de alta ductibilidad, es decir, la serie AA 8000. No se admiten los de la serie 1350.
- El conductor de aluminio ha sido probado y certificado como serie AA 8000 y cumple la prueba de calentamiento cíclico de 2000 horas, conforme a normas tales como UL 83, UL 44, UL 2556 o equivalentes.
- Garantizar total compatibilidad con los equipos del sistema, la instalación debe tener en cuenta los efectos de dilatación térmica (creep), corrosión y par galvánico, para lo cual los conectores utilizados con conductores de aluminio y cobre deber ser bimetálicos, certificados bajo la norma que corresponda de la serie UL 486 o norma equivalente.
- <Viñeta modificada por el artículo 6 de la Resolución 40492 de 2015. El nuevo texto es el siguiente:> Los circuitos ramales de redes de uso final para instalaciones eléctricas domiciliarias, comerciales o de uso público que utilicen conductores de aluminio, deben ser instalados y mantenidos por personas calificadas y con la competencia profesional certificada por el Sena o por un organismo de certificación de competencias acreditado para la instalación de este tipo de producto. El organismo de inspección deberá verificar el cumplimiento de este requisito y dejar la observación.
- A toda conexión debe aplicársele gel retardantes de la oxidación.
- Sobre el cuerpo del dispositivo o equipo para uso directo con conductores de aluminio, se debe fijar un rotulado de advertencia en fondo de color amarillo y letra negra, en el cual se informe al usuario que el reemplazo de dicho dispositivo o equipo debe hacerse con uno apto para conexión de aluminio.
- No se deben conectar conductores de nomenclatura AWG con conectores especificados en mm2 o viceversa.
La bandeja portacables debe considerarse como un elemento de soporte y no como una canalización, puede soportar canalizaciones o determinados conductores certificados y rotulados para uso en bandejas, deben cumplir los requisitos de instalación establecidos en la sección 318 de la NTC 2050, o la IEC 60364-5-52 y los de producto establecidos en normas tales como IEC 61537, NEMA VE1, NEMA VE2, NMX-J-511-ANCE NEMA GF-1, ANSI/UL568 o en normas equivalentes. Adicionalmente, deben cumplir los siguientes requisitos:
a. Protección contra la corrosión, de acuerdo con la norma ISO 9227.
b. El productor de bandejas portacables, debe especificar los máximos esfuerzos mecánicos permitidos que pueden soportar, en ningún caso se aceptan bandejas construidas en lámina de acero de espesor inferior al calibre 22 o su equivalente 0,75 mm.
c. Los accesorios de conexión de bandejas portacables, deben ser diseñados para cumplir su función de soporte y sujeción de los cables y no deben presentar elementos cortantes que pongan en riesgo el aislamiento de los conductores.
d. Las bandejas portacables no metálicas deben ser de materiales retardantes a la llama, no propagadores de incendios y de baja emisión de gases tóxicos o sustancias corrosivas.
e. En una misma bandeja portacables no deben instalarse conductores eléctricos con tuberías para otros usos.
f. Los cables expuestos a radiación ultravioleta instalados en bandeja deben ser resistentes a este tipo de radiación.
g. Se debe asegurar la equipotencialidad entre las distintas secciones de la bandeja.
h. No se permite el cable sobre bandejas en instalaciones residenciales y demás excepciones definidas en la NTC 2050.
i. Los conductores a instalar, deben estar certificados y rotulados para usar en bandeja y cumplir los requisitos de instalación establecidos en la sección 318 de la NTC 2050. No se debe superar el 40% del volumen de llenado de la bandeja para cables de potencia y control ni el 50% para cables de instrumentación, tal como lo establece las normas IEEE 525 e IEEE 422. Los conductores deben ser marcados en partes visibles dando cumplimiento al código de colores.
j. Se podrá aceptar el montaje de conductores de calibres menores a 1/0 en bandejas portacables, siempre y cuando sean de sección mayor o igual a 12 AWG, se tenga en cuenta el derrateo por temperatura conforme a NTC 2431, estén separados de los cables de calibre 1/0 o mayores por una pared rígida de material compatible con el de la bandeja, la separación entre travesaños o peldaños de la bandeja horizontal no supere 15 cm para conductores entre 2 y 8 AWG y 10 cm para conductores entre 10 y 12 AWG. Este tipo de instalación no debe ser manipulada por personas no calificadas.
k. Se podrán aceptar instalaciones en bandejas portacables metálicas para algunas instalaciones especiales, siempre que se certifique que la resistencia al fuego sea de 1000 ºC durante 90 minutos, según DIN 4102-12 (E90) o y los cables utilizados sean a prueba de fuego.
20.4. BÓVEDAS, PUERTAS CORTAFUEGO, COMPUERTAS DE VENTILACIÓN Y SELLOS CORTAFUEGO.
Las bóvedas para alojar transformadores refrigerados con aceite mineral, independiente de su potencia o transformadores tipo seco con tensión mayor a 35 kV, deben cumplir los requisitos de la sección 450 de la NTC 2050 y los siguientes.
a. Las paredes, pisos y techos de la bóveda deben soportar como mínimo tres horas al fuego, sin permitir que las caras no expuestas al fuego supere los 150 ºC, cuando se tenga en el interior de la bóveda una temperatura de 1000 ºC, igualmente, se deben sellar apropiadamente las juntas de la o las puertas que impidan el paso de gases calientes entre la pared y el marco de la puerta.
b. Las bóvedas deben contar con los sistemas de ventilación, para operación normal de los equipos y con los dispositivos que automáticamente cierren en el evento de incendio.
c. Las bóvedas para alojar transformadores refrigerados con aceite mineral, independiente de su potencia o transformadores tipo seco con tensión mayor a 35 kV, instalados en interiores de edificios, requieren que las entradas desde el interior del edificio, estén dotadas de puertas cortafuego, capaces de evitar que el incendio del transformador se propague a otros sitios de la edificación.
d. Para transformadores secos, de potencia mayor o igual a 112,5 kVA, con RISE menor de 80 ºC y tensión inferior a 35 kV, se acepta una bóveda o cuarto de transformadores resistente al fuego durante una hora.
e. Para transformadores secos, de potencia mayor o igual a 112,5 kVA, con RISE mayor de 80 ºC y tensión inferior a 35 kV, no requiere puerta resistente al fuego, siempre y cuando estén instalados en cabina o gabinete metálico (celda) con abertura de ventilación tal como lo determina la NTC 2050.
f. Las bóvedas para transformadores aislados con líquidos de alto punto de inflamación (mayor a 300 ºC), deben cumplir el numeral 450-23 de la NTC 2050.
g. La conformidad de la bóveda se verificara en el proceso de inspección de la instalación.
h. Todo cuarto eléctrico donde puedan quedar personas atrapadas, deben contar con puertas que abran hacia afuera y estén dotadas de cerradura antipánico.
Para efectos del presente reglamento, las puertas cortafuego deben cumplir con los siguientes requisitos adaptados de las normas NFPA 251, NFPA 252, NFPA 257, NFPA 80, ANSI A156.3, UL 10 B, ASTM A653 M, ASTM E152 y EN 1634 -1.
a. Resistir el fuego mínimo durante tres horas cuando la bóveda aloja transformadores refrigerados en aceite o transformadores secos de tensión mayor a 35 kV.
b. Ser fabricadas en materiales que mantengan su integridad física, mecánica y dimensiones, para minimizar y retardar el paso a través de ella de fuego o gases calientes, capaces de provocar la ignición de los materiales combustibles que estén a distancia cercana, del lado de la cara no expuesta al fuego.
c. No emitir gases inflamables ni tóxicos tanto a temperatura normal o a la temperatura del incendio.
d. La temperatura en la pared no expuesta al fuego no debe ser mayor a 200 ºC en cualquiera de los termopares situados a distancias mayores de 100 mm de los marcos o uniones y la temperatura media de estos termopares no debe superar los 150 ºC; la temperatura medida en los marcos no debe superar los 360 ºC cuando en la cara expuesta al fuego se han alcanzado temperaturas no menores a 1000 ºC en un tiempo de tres horas de prueba.
e. Estar dotadas de una cerradura antipánico que permita abrir la puerta desde adentro de forma manual con una simple presión aunque externamente esté asegurada con llave y que garantice que en caso de incendio, la chapa de la puerta no afecte sus características y buen funcionamiento. El mecanismo antipánico debe tener unas dimensiones que cubra mínimo un 80% del ancho de la hoja móvil. La operación de la cerradura desde adentro debe garantizarse por un tiempo mínimo de 30 minutos después de iniciado el fuego.
f. No tener elementos cortantes o punzantes que sean peligrosos para los operadores.
g. Se deben probar en un horno apropiado, que permita elevar la temperatura en un corto tiempo, a los siguientes valores mínimos de temperatura: a 5 minutos 535 ºC, a 10 minutos 700 ºC, a 30 minutos 840 ºC, a 60 minutos 925 ºC, a 120 minutos 1000 ºC y a 180 minutos 1050 ºC.
h. Rotulado: debe tener adherida en lugar visible (cara no expuesta) una placa metálica permanente con la siguiente información:
- Nombre o razón social del productor.
- Dimensiones.
- Peso de la puerta.
- Fecha de fabricación.
i. Deben tener en lugar visible una placa permanente con el símbolo de riesgo eléctrico de acuerdo con las características establecidas en el presente reglamento.
PARÁGRAFO. Se podrán aceptar puertas cortafuego para resistir incendio hasta de una hora a temperaturas de 700 ºC, siempre que se garantice la hermeticidad de la bóveda, que impida la entrada de aire, apagando el conato de incendio en un tiempo no mayor a cinco minutos. Para esto se debe verificar que las compuertas, empaques intumescentes de la puerta, sellos de ductos o cárcamos de entrada o salidas de cables, hagan de la bóveda un encerramiento plenamente hermético a la entrada del aire en un tiempo no mayor al necesario para impedir mantener la conflagración.
20.4.3. COMPUERTA DE VENTILACIÓN.
Las compuertas de ventilación (dámper) y fusibles, deben cumplir una norma técnica internacional, de reconocimiento internacional o NTC que les aplique.
Los sellos cortafuego, deben cumplir una norma técnica internacional, de reconocimiento internacional o NTC que les aplique.
PARÁGRAFO. Cuando los aceites refrigerantes de los transformadores tengan mayor temperatura de ignición a la de los aceites minerales, los tiempos de resistencia al fuego de las bóvedas y puertas cortafuego, será las que determinen normas técnicas internacionales o de reconocimiento internacional para este propósito.
20.5. CAJAS Y CONDULETAS (ENCERRAMIENTOS).
Para efectos del presente reglamento, las cajas, conduletas y en general los elementos utilizados como encerramientos de aparatos eléctricos deben cumplir los siguientes requisitos adaptados de las normas ANSI/STCE 77, ASTM A 633, ASTM F1136, DIN ISO 10683, IEC 60670-1, IEC 60670-24, IEC 60695-2- 11, IEC 60998-2-5, NTC 2958, UL 50 o UL 746C:
20.5.1. REQUISITOS DE PRODUCTO.
a. Ser resistentes a la corrosión. Para cajas pintadas con esmalte o recubrimiento anticorrosivo, este debe aplicarse por dentro y por fuera de la caja después de realizado el maquinado y verificarse mediante pruebas bajo condiciones de rayado en ambiente salino, durante mínimo 400 horas, sin que la progresión de la corrosión en la raya sea mayor a 2 mm. Para cajas galvanizadas se deben realizar los ensayos de corrosión de acuerdo con lo establecido en normas internacionales o de reconocimiento internacional.
b. Las cajas de acero de volumen inferior a 1640 cm3, deben estar fabricadas en lámina de mínimo 0,9 mm de espesor o su equivalente calibre 20. Las cajas metálicas de volumen mayor de 1640 cm3, deben estar fabricadas en materiales rígidos y resistentes a los esfuerzos mecánicos que se requieran. Si son de lámina de acero el espesor de la lámina no debe ser inferior a 0,9 mm.
c. Las paredes de cajas o conduletas de hierro maleable, de aluminio, latón, bronce o cinc fundido, no deben tener menos de 2,4 mm de espesor. Las cajas o conduletas de otros metales deben tener paredes de espesor igual o mayor a 3,2 mm.
d. Tanto las cajas metálicas como las no metálicas, no deben presentar deformaciones durante su instalación y su operación, para lo cual se les debe realizar ensayo de aplastamiento (compresión) e impacto, y en general los requisitos de resistencia mecánica establecidos en la norma IEC 60670-1 o norma equivalente, de modo que se asegure su adecuado desempeño atendiendo sus expectativas de montaje superficial, semiempotrado o empotrado; su aptitud para ser instaladas en concreto durante el proceso de vaciado o en cualquier otro tipo de instalación diferente al concreto; y su posible afectación mecánica o fisicoquímica por exposición a temperaturas adversas durante su instalación o durante el vaciado y curado del concreto.
e. En las cajas de acero, las pestañas usadas para asegurar los dispositivos tales como interruptores o tomacorrientes, deben ser perforadas de tal manera que la rosca tenga una profundidad igual o mayor a 1,5 mm y el tipo de rosca debe ser el 6-32 o su equivalente (diámetro 6 y 32 hilos por pulgada). En las cajas no metálicas o de metales blandos, debe garantizarse la permanencia de la rosca donde se aseguran los aparatos durante la vida útil de la caja. Igualmente en las cajas no metálicas, se permite el uso de otro tipo de elementos para asegurar los dispositivos, siempre que se garantice que mantengan sus características durante la vida útil de la caja.
f. Las cajas para alojar dispositivos de mayor tamaño y peso que los interruptores o tomacorrientes, deben contar con los elementos de fijación de los dispositivos, capaces de soportar los esfuerzos mecánicos y eléctricos durante su vida de la caja.
g. Las dimensiones internas mínimas de las cajas rectangulares para instalación de interruptores manuales o tomacorrientes de uso general en instalaciones domiciliarias o similares deben ser: para cajas metálicas 53,9 mm de ancho, 101 mm de largo y 47,6 mm de profundidad y para cajas no metálicas 53 mm de ancho, 97 mm de largo y 41 mm de profundidad. En todo caso debe garantizarse espacio suficiente para alojar los elementos, para lo cual el volumen de la caja debe atender los lineamientos de la sección 370 de la NTC 2050 o de una norma equivalente.
h. Las cajas para la instalación de tomacorrientes o tomacorriente-interruptor con protección de falla a tierra deben tener como mínimo las siguientes dimensiones internas: 60 x 100 x 47,6 mm.
i. Para cajas de otra geometría (octagonales o cuadradas) las dimensiones deben ser tales que se garantice el volumen interno establecido en la NTC 2050, en ningún caso debe ser menor a 210 cm3.
j. Las partes no portadoras de corriente de las cajas y conduletas no metálicas deben probarse con el hilo incandescente a 650 ºC, las destinadas a soportar partes portadoras de corriente con hilo incandescente a 850 ºC y las superficies a ser empotradas a 960 ºC.
k. Los suplementos utilizados en las cajas para instalar los aparatos deben ser autoextinguibles.
20.5.2. REQUISITOS DE INSTALACIÓN.
a. Las cajas y conduletas deben instalarse de conformidad con los lineamientos del capítulo 3 de la NTC 2050 primera actualización, sin superar los porcentajes de llenado de la tabla 370-16.b, para lo cual se debe seleccionar la caja con el volumen útil indicado en la tabla 370-16a. Se deben limpiar y retirar todos los materiales o elementos que no correspondan a la instalación.
b. Las cajas utilizadas en las salidas para artefactos de alumbrado (portalámparas), deben estar diseñadas para ese fin y no se permite la instalación de cajas rectangulares.
c. En paredes o cielorrasos de concreto, ladrillo o cualquier otro material no combustible, las cajas deben ser instaladas de modo que su borde frontal no se encuentre a más de 15 mm de la superficie de acabado final; cuando por razones constructivas no se pueda cumplir este requisito se deben instalar suplementos a la caja, aprobados para ese uso; en todo caso se debe garantizar el encerramiento, la estabilidad mecánica del aparato o equipo a instalar y las distancias de seguridad.
d. En paredes o cielorrasos construidos en madera u otro material combustible, las cajas deben quedar a ras o sobresalir de la superficie de acabado.
e. No se deben retirar tapas de entrada de ductos no utilizadas, ni se deben hacer perforaciones adicionales.
f. Las aberturas no utilizadas de las cajas, canalizaciones, canales auxiliares, gabinetes, carcasas o cajas de los equipos, se deben cerrar eficazmente para que ofrezcan una protección similar a la pared del equipo.
g. En los proceso de vaciado y curado de concreto, se debe proteger adecuadamente el interior de las cajas para evitar la pérdida del galvanizado.
Las canalizaciones son conductos cerrados, de sección circular, rectangular o cuadrada, de diferentes tipos (canaletas, tubos o conjunto de tubos, prefabricadas con barras o con cables, ductos subterráneos, entre otros) destinadas al alojamiento de conductores eléctricos de las instalaciones. También se constituyen en un sistema de cableado.
Las canalizaciones, así como sus accesorios y en general cualquier elemento usado para alojar los conductores de las instalaciones objeto del presente reglamento, deben cumplir los requisitos establecidos en el presente anexo general adaptados de normas tales como: ANSI C80.1, ANSI B1.201, IEC 601084, IEC 60423, IEC 60439-1, IEC 60439-2, IEC 60529, IEC 60614-2-7, IEC 61000-2-4, IEC 61439-6, IEEE STD 693, NEMA TC14, NEMA FG1, NTC 169, NTC 171, NTC 332, NTC 979, NTC 1630, NTC 3363, NTC105, UL 5A, UL 85, UL 94, UL 857, UL 870, UL 1684 o UNE-EN 50086-2-3, que les aplique, además de los contenidos en el capítulo 3 de la NTC 2050 primera actualización, así:
- Tuberías eléctricas plegables no metálicas. Sección 341.
- Tubo Conduit metálico intermedio (tipo IMC). Sección 345.
- Tubo Conduit metálico rígido (tipo RMC). Sección 346.
- Tubo Conduit rígido no metálico. Sección 347.
- Tubo eléctrico metálico de pared delgada (tipo EMT). Sección 348.
- Tubo eléctrico metálico flexible de pared delgada. Sección 349.
- Tubo Conduit metálico flexible. Sección 350.
- Tubo Conduit metálico y no metálico flexible, herméticos a los líquidos. Sección 351.
- Canalizaciones superficiales metálicas y no metálicas (canaletas). Sección 352.
- Canalizaciones bajo piso. Sección 354.
- Canalizaciones en pisos metálicos celulares. Sección 356.
- Canalizaciones para piso celulares de concreto. Sección 358.
- Canaletas metálicas y no metálicas (metal wireways - and nonmetallic wireways). Sección 362.
- Bus de barras o canalizaciones con barras o electroductos. Sección 364.
- Bus de cables o canalización pre-alambrada. Sección 365.
- Canaletas auxiliares. Sección 374.
a. Las partes de canalizaciones que estén expuestas o a la vista, deben marcarse en franjas de color naranja de al menos 10 cm de anchas para distinguirlas de otros usos.
b. Cuando en una misma canalización se instalen conductores eléctricos con cableados o tuberías para otros usos, debe existir una separación física entre ellos.
c. Cuando las condiciones específicas de la instalación lo requieran, las canalizaciones y accesorios deben cumplir los requisitos establecidos para esa condición.
d. En la escogencia e instalación del tipo de canalización, se deben evaluar las condiciones particulares de la instalación y su ambiente y aplicar los elementos más apropiados teniendo en cuenta los usos permitidos y las prohibiciones, de los elementos disponibles en el mercado.
Esta sección aplica a todos los tubos y sus accesorios, utilizados como encerramientos de conductores eléctricos o canalizaciones en las instalaciones objeto del RETIE.
Para efectos de este reglamento, el término tubería se debe entender como un conjunto de tubos y sus accesorios (uniones, curvas, conectores). Tubo Conduit, se entenderá como el tubo metálico o no metálico (incluidos los de material polimérico no reforzado o reforzado con otros materiales tales como fibra de vidrio), apropiado para alojar conductores eléctricos aislados, con pared resistente a los impactos mecánicos.
20.6.1.1. REQUISITOS DE PRODUCTO.
a. El productor de tubos informará sobre los usos permitidos y no permitidos de su producto.
b. Los accesorios de conexión de tubos y tuberías deben ser diseñados para cumplir su función y no deben presentar elementos cortantes o rayantes que pongan en riesgo el aislamiento de los conductores.
c. En la certificación se deben verificar aspectos como flamabilidad, resistencia al impacto, aplastamiento bajo carga, absorción de agua, resistencia a la distorsión por calentamiento, tolerancia en diámetros y espesores, prueba de calidad de extrusión.
d. Los espesores mínimos de las paredes de tubos metálicos y no metálicos, aceptados para las instalaciones eléctricas objeto de este reglamento, deben ser los establecidos en la tabla 20.10 con dimensiones en mm. Los espesores mínimos aceptados para tuberías de plástico reforzado serán los establecidos en la norma NEMA TC 14 o equivalente. El incumplimiento de este requisito coloca la instalación en alto riesgo. En el evento que el tubo o sus accesorios no cumplan estos requisitos, así estén certificados, se deben rechazar y dar aviso a la autoridad competente (Superintendencia de Industria y Comercio), informando la dirección de la instalación, nombre del responsable de la construcción, nombre del organismo de certificación del producto y marca del tubo.

Tabla 20.10. Espesores mínimos de tubos no metálicos y metálicos
e. Las tuberías eléctricas plegables no metálicas para uso en las instalaciones objeto del presente reglamento, deben cumplir los requisitos de la norma internacional IEC 61386-1 o equivalente y demostrarlo mediante certificado de conformidad.
f. Para evitar que filos cortantes puedan rasgar el aislamiento de los conductores, los extremos de los tubos metálicos deben ser alisados interiormente y las salientes del cordón de soldadura deben ser removidas mediante un proceso adecuado como el de burilado.
g. El proceso de galvanizado se debe hacer mediante inmersión en caliente, según la norma ANSI C 80.1 u otra equivalente, asegurando que la superficie interna del tubo quede lisa y con una capa del galvanizado no menor a 20 µm.
h. Los tubos deben ser suministrados con las roscas de acuerdo con la norma ANSI B1.201, NTC 332 u otras equivalentes y deben ser protegidas, igualmente el tubo debe ser suministrado con una unión roscada que se acople al tubo.
i. En el proceso de certificación de tuberías no metálicas se debe verificar aspectos como la flamabilidad, resistencia al impacto, aplastamiento bajo carga, absorción de agua, resistencia a la distorsión por calentamiento, tolerancias en diámetros y espesores, pruebas de calidad de extrusión, de acuerdo con una norma técnica internacional, de reconocimiento internacional o NTC; para tuberías de plástico termoestable reforzado con fibra de vidrio aplicar norma NEMA TC 14 u otra norma equivalente.
j. Los tubos deben ser marcados en bajo relieve o con plantilla con el nombre del productor.
20.6.1.2. REQUISITOS DE INSTALACIÓN.
a. En ambientes corrosivos, con humedad permanente o bajo tierra, no se aceptan elementos metálicos para alojamiento de conductores, que no estén apropiadamente protegidos contra la corrosión y que no cumplan con la resistencia al impacto y al aplastamiento requeridas.
b. En edificaciones de más de tres pisos, las tuberías eléctricas plegables no metálicas que por su composición química al momento de incendio pueda expedir gases que por su alto contenido de halógenos u otras sustancias puedan ser tóxicos, deben ir ocultas dentro de cielorrasos, cielos falsos, pisos, muros o techos, siempre y cuando los materiales constructivos usados tengan una resistencia al fuego de mínimo 15 minutos, o menos si se tiene un sistema contra incendio de regaderas automáticas en toda la edificación. Igual tratamiento de recubrimiento debe darse a las tuberías flexibles usadas en viviendas multifamiliares.
c. Los espacios entre elementos que soporten tuberías no metálicas, no podrán ser mayores a 1,2 m para tubería hasta de 19 mm de diámetro; 1,5 m para tuberías entre 25 y 51 mm; 1,8 m para tuberías entre 63 y 76 mm y 2,1 m para tuberías entre 89 y 102 mm.
d. No se podrán usar tuberías no metálicas, en espacios donde por efectos de la carga eléctrica en los conductores, se tengan temperaturas por encima de las tolerables por la tubería.
e. No se permite el uso de tubería eléctrica plegable no metálica, como soporte de aparatos, enterrada directamente en el suelo, ni para tensiones mayores de 600 V, a no ser que esté certificada para ese uso.
f. No deben instalarse tuberías no metálicas en lugares expuestos a daños físicos o a la luz solar directa, si no están certificadas para ser utilizadas en tales condiciones.
g. La resistencia al impacto o al aplastamiento transversal de tuberías no metálicas usadas en paredes, pisos de concreto o enterradas, no podrá ser menor a la especificada en normas internacionales o de reconocimiento internacional para ese producto y aplicaciones.
h. No se deben instalar tuberías no metálicas livianas (tipo A), expuestas ni en cielos falsos; solo se admiten si van embebidas en concreto o en materiales resistentes al fuego mínimo de 15 minutos.
i. En construcciones con tuberías embebidas en concreto, los instaladores deben tener especial cuidado en que no se deformen o se obstruyan en el proceso de vaciado del concreto o enterramiento. Previo al vaciado se debe asegurar que los extremos estén completamente taponados. Para tuberías no metálicas se recomienda calentar y comprimir las puntas expuestas para asegurar que no sean removidos los tapones hasta cuando se empalmen con otras tuberías o se instalen las cajas de conexión o paso.
j. En las juntas de dilatación se debe instalar canalización flexible conforme los requisitos del Código Sismorresistente.
Nota: tuberías no metálicas de material termoplástico reforzado con materiales como fibra de vidrio, pueden suplir las restricciones de los literales d y e, siempre que cumplan con la norma NEMA TC 14 o una norma equivalente.
20.6.2. CANALIZACIONES SUPERFICIALES METÁLICAS Y NO METÁLICAS (CANALETAS).
Las canaletas, sean metálicas o no metálicas deben cumplir los siguientes requisitos:
20.6.2.1. REQUISITOS DE PRODUCTO.
La canaleta debe cumplir una norma técnica internacional, de reconocimiento internacional o NTC que le aplique y los siguientes requisitos:
a. Debe estar protegida contra corrosión, las pintadas con ensayo a 400 horas de cámara salina.
b. El productor especificará los máximos esfuerzos mecánicos permitidos que puede soportar la canaleta; el área efectiva de cada división, en ningún caso se aceptarán canaletas metálicas en lámina de acero de espesor inferior al calibre 22 o su equivalente a 0,75 mm.
c. Las canaletas plásticas, deben cumplir la prueba de flamabilidad de acuerdo a UL 5 A, UL 94 o pruebas equivalentes establecidas en normas IEC.
d. En la certificación de la canaleta se deben verificar aspectos como flamabilidad, resistencia al impacto, aplastamiento bajo carga, resistencia a la distorsión por calentamiento, espesores y calidad de extrusión.
20.6.2.2. REQUISITOS DE INSTALACIÓN.
Adicional a los requisitos de la NTC 2050, las canaletas deben cumplir lo siguientes:
a. No se permite el uso de canaletas no metálicas en: instalaciones ocultas (excepto cuando atraviesan muros o paredes), donde estén expuestas a daño físico, en los espacios vacíos de ascensores, en ambientes con temperaturas superiores a las certificadas para la canalización o donde alojen conductores cuyos límites de temperatura del aislamiento excedan aquellos para los cuales se certifica la canaleta.
b. Deben instalarse de tal manera que se asegure la continuidad mecánica y la continuidad eléctrica por medio de puentes equipotenciales.
c. Deben estar sólidamente montadas y con encerramiento completo.
d. Se debe evitar la abrasión o el corte del aislamiento de los conductores, mediante el uso de pasacables, tubos o accesorios adecuados.
20.6.3. CANALIZACIONES ELÉCTRICAS PREFABRICADAS O ELECTRODUCTOS.
La canalización metálica prefabricada, también llamada bus de barras, canalización con barras, electroductos, canalización eléctrica con barras incorporadas, busways o busbar trunking system; contiene conductores desnudos o aislados (generalmente barras, varillas o tubos de cobre o aluminio), además de sus accesorios y fijaciones.
Este sistema está constituido por las siguientes partes: unidad de alimentación, tramo de transporte, tramo de derivación, adaptador de calibre, unidades de expansión térmica, unidad de transposición de conductores, caja de derivación y sus diferentes accesorios tanto de construcción como de montaje. La certificación de producto debe verificar y abarcar todas las partes del sistema.
Se utilizan generalmente para distribución de potencia en edificios, oficinas, hoteles, centros comerciales, instalaciones agrícolas e industriales y están consideradas como un sistema de cableado completo.
Según la norma IEEE 141 los electroductos se clasifican en cuatro tipos:
a. Electroducto alimentador. Debe disponer de baja impedancia y mínima caída de tensión a la potencia requerida.
b. Electroducto de conexión rápida (plug-in). Permite fácil conexión y redistribución de cargas.
c. Electroducto para iluminación. Provee potencia eléctrica y soportes mecánicos para iluminación o pequeñas cargas.
d. Electroducto para equipos movibles como montacargas, grúas y herramientas.
20.6.3.1. REQUISITOS DE PRODUCTO.
Los electroductos o canalizaciones con barras, deben cumplir en su totalidad con los siguientes requisitos adoptados de IEC 60439-2, IEC 61439-6, IEC 60695-2-1 UL 857, IEEE STD 693 o NTC 3283:
a. El sistema debe estar cubierto por una envolvente rígida fabricada en acero galvanizado en caliente o aluminio que proteja a los conductores de los impactos mecánicos y podrá ser utilizado como conductor de protección o de puesta a tierra, siempre que soporte la corriente de falla esperada, acorde con lo dispuesto en la NTC 2050 o la IEC 60364. La envolvente del sistema debe garantizar la continuidad eléctrica a lo largo del recorrido, para prevenir accidentes por contacto directo.
b. Propiedades dieléctricas, incluye distancias de aislamiento y fuga.
c. Pruebas de calentamiento (elevación de la temperatura).
d. Efectividad del circuito de protección.
e. Resistencia estructural.
f. Verificación de las distancias de seguridad y líneas de fuga.
g. Resistencia al aplastamiento.
h. Verificación de resistencia y reactancia.
i. Verificación de la resistencia de materiales aislantes al calor y al fuego.
j. Nivel de cortocircuito (resistencia a los cortocircuitos).
k. Grado de protección o tipo de encerramiento.
l. Resistencia a la propagación de la llama.
m. Operación mecánica.
n. Rotulado: el productor debe suministrar mínimo la siguiente información:
- Nombre del productor.
- Uso del elemento, es decir, como alimentador, para derivación o para iluminación.
- Tipo de ambiente para el que fue diseñado, en caso de ser especial (corrosivo, intemperie, o áreas explosivas).
- Instrucciones para instalación, operación y mantenimiento.
o. Las derivaciones deben cumplir con las siguientes características:
- La continuidad del conductor de protección entre la canalización y la derivación debe establecerse antes que la conexión de los conductores activos, garantizando así la seguridad de las personas, en particular durante el montaje bajo tensión.
- Los interruptores utilizados en las derivaciones, deben minimizar los impactos de manifestación de cortocircuito.
p. Cuando se requieran hacer provisiones para la remoción de barreras, la apertura del encerramiento o la extracción de partes del encerramiento (puertas, carcasas, tapas y similares) se deberá cumplir con los siguientes requerimientos destinados a mitigar el riesgo de contacto directo:
- La remoción, apertura o extracción debe hacerse mediante el uso de herramientas apropiadas.
- Asegurar el aislamiento de todas las partes vivas que puedan ser tocadas antes de abrir una puerta; por ejemplo mediante el uso de enclavamientos entre la puerta y el elemento de desconexión de una caja de derivación de modo que la puerta se pueda abrir únicamente si el elemento de desconexión se encuentra en la posición “abierto” o mediante la inclusión de una barrera o cortina interna que confine las partes vivas, de manera que no puedan ser tocadas inadvertidamente cuando la puerta se encuentre abierta. En este caso no debe ser posible la remoción de esta barrera o cortina sin el uso de una herramienta adecuada.
q. En sistemas en donde la distorsión armónica total (THD) en corriente, sea superior o igual al 15%, se deben dimensionar todos los conductores o barras de acuerdo con el factor de corrección exigido en la IEC 60364-5-523 anexo C y presentado en la figura 20.1.

Figura 20.1 Factor de Corrección en función de la proporción de armónicos
r. Las partes no portadoras de corriente de las canalizaciones con barras deben probarse con el hilo incandescente a 650 ºC y las partes portadoras de corriente con hilo incandescente a 960 ºC, según IEC 60695-2-11.
20.6.3.2. REQUISITOS DE INSTALACIÓN.
Para instalación se deben cumplir los requisitos establecidos en la sección 364 de la NTC 2050 y en especial los siguientes:
a. En instalaciones verticales en donde la canalización con barras incorporadas pasa a través de varios pisos, en cada uno de ellos se debe instalar un muro de mínimo 11 cm de altura alrededor de la canalización y distanciado del borde del orificio al menos 30 cm, con el fin de proteger la canalización de derrames de líquidos.
b. Cuando se instale el electroducto de forma vertical en instalaciones residenciales y comerciales debe tener un IP no menor a 44.
c. Cuando la etiqueta o placa no especifique los puntos de soporte, deben ser instalados a no más de 1,5 m.
d. Se deben dejar los espacios apropiados entre estas canalizaciones, que permitan ejecutar las labores de mantenimiento. En la perforación entre pisos (pasa losa) se debe dejar los espacios de tal forma que a los lados y parte trasera se separe 20 cm de la barra y 30 cm de frente para facilitar su operación, mantenimiento y reposición.
Es permitido utilizar tecnologías de enterramiento directo para transmisión subterránea de potencia eléctrica usando puentes, túneles, excavaciones u otro tipo de estructura compartida, siempre que el productor haya certificado los cables para dicho tipo de uso, se cumplan los requerimientos de instalación establecidos por él y se sigan las directrices establecidas por el Cigre, en cuanto a servicios y requerimientos generales necesarios para este tipo de aplicación.
20.7. CARGADORES DE BATERÍAS PARA VEHÍCULOS ELÉCTRICOS.
Los cargadores de baterías para vehículos eléctricos (VE) se clasifican según el modo de recarga de acuerdo con IEC 61851, así:
- Modo 1: la conexión del VE a la red eléctrica se realiza directamente por medio de un tomacorriente monofásico o trifásico tipo doméstico, con una puesta a tierra incorporada. Tanto el cargador, el sistema de control y el cable hacen parte del vehículo.
- Modo 2: la conexión del VE a la red eléctrica se realiza por medio de un tomacorriente monofásico o trifásico tipo doméstico a través de un monitor de recarga, que puede tener incorporado o no el cable de recarga. La carga se limita a 10 A.
- Modo 3: la conexión del VE a la red eléctrica se realiza a través de una base con tomacorrientes especiales que se alimenta desde un circuito dedicado. El sistema de monitoreo de la recarga está incorporado a la base.
- Modo 4: es el caso típico de estaciones de carga. La conexión del VE a la red eléctrica se realiza en corriente continua, en tiempo corto. El cargador se encuentra fijo y tiene las funciones de monitoreo de recarga y protección.
20.7.1. REQUISITOS DE PRODUCTO.
Los equipos destinados a la carga de baterías de vehículos automotores de tracción eléctrica (VE), deben cumplir los siguientes requisitos adaptados de las normas IEC 61851-1, SAE J1772, UL 2594, UL 2231, UL 991, UL 1998, UL 2251 y demostrarlo mediante certificado de conformidad de producto:
a. Ser diseñados según las tensiones normalizadas en Colombia y para ser conectados a la instalación eléctrica domiciliaria, instalaciones eléctricas industriales, estaciones de carga o sitios de parqueo.
b. El cargador debe contar con los sistemas de protección que impidan accidentes a las personas o el daño del sistema de carga del vehículo o de la red de alimentación.
c. Marcado y etiquetado: debe tener una placa con marcación legible y permanente con la siguiente información, parámetros que deben ser verificados mediante pruebas en el proceso de certificación:
- Número de fases.
- Tensión nominal de la fuente.
- Tensión máxima y mínima de la carga.
- Rata de carga.
- Marca registrada o nombre del productor en Colombia o del importador.
- Potencia consumida.
- Factor de potencia.
- Distorsión armónica.
20.7.2. REQUISITOS DE INSTALACIÓN.
En la instalación se deben cumplir los preceptos de la norma IEC 61851-1 o de la sección 625 de la norma NTC 2050, especialmente los siguientes:
a. Los cargadores de baterías de vehículos eléctricos deben ser revisados técnicamente con la periodicidad que recomiende el productor o por lo menos una vez al año si el productor no determina la frecuencia de revisión, para validar su funcionalidad.
b. En los modos de carga 3 y 4 deben tomarse las precauciones para prevenir la alimentación accidental del VE al punto fijo de alimentación.
c. Separación eléctrica. Una fuente no puesta a tierra que abastece un vehículo eléctrico, debe tener una separación simple.
d. Se debe proteger el equipo de influencias externas tales como:
- Presencia de agua (EA). Cuando el punto de conexión está instalado al aire libre, el equipo será seleccionado con un grado de protección de al menos IPX4 para proteger contra salpicaduras de agua (AD4).
- Presencia de cuerpos extraños sólidos (AE). Cuando el punto de conexión está instalado al aire libre, el equipo deberá ser seleccionado o provisto de un grado de protección de al menos IP4X con el fin de proteger contra el ingreso de objetos pequeños (AE3).
- Impacto (AG). El equipo instalado en las zonas públicas y sitios de parqueo debe estar protegido contra daños mecánicos (impacto de la severidad media AG2).
Igualmente, estas influencias externas se pueden controlar con sistemas de protección NEMA 3R.
- La protección básica del equipo debe incluir las siguientes opciones:
Cada punto de conexión deberá estar protegido individualmente por un interruptor diferencial con una corriente residual de funcionamiento que no exceda de 30 mA a excepción de los circuitos que utilizan la medida de protección de la separación eléctrica. Los dispositivos seleccionados deben desconectar todos los conductores activos, incluido el neutro.
Dispositivo de protección contra sobrecorriente. Cada punto de conexión deberá ser suministrada por un circuito individual protegido por un dispositivo de protección contra sobrecorrientes.
- Cada enchufe o conector de vehículo debe estar situado lo más cerca posible del lugar de estacionamiento VE para su carga.
- Un enchufe o conector de vehículo deberán suministrar carga a un solo vehículo eléctrico.
- La parte más baja de cualquier tomacorriente debe estar colocado a una altura entre 0,5 m y 1,5 m del suelo.
Para efectos del presente reglamento, las cercas eléctricas, deben cumplir los siguientes requisitos adaptados de las normas IEC 60335-2-76 e IEC 60695-2-11:
20.8.1. REQUISITOS DE PRODUCTO.
El generador de pulsos o controlador por ser el elemento fundamental de la cerca eléctrica, debe cumplir lo siguiente:
a. La tensión máxima del circuito de alimentación no debe ser mayor a 250 V.
b. La frecuencia de los pulsos no debe exceder un ciclo por segundo.
c. La duración del pulso no debe exceder 10 milisegundos para la carga nominal.
d. En controladores de energía limitada, la energía por pulso no debe exceder de 5 J para la resistencia estándar de 500
.
e. Se permite el uso de controladores de corriente limitada, siempre y cuando se verifique en el equipo que la duración del pulso es menor de 0,1 ms y la corriente máxima es menor de 15,7 A, para la resistencia estándar de 500
.
f. En el controlador de cercas eléctricas con caja en plástico deben probarse las partes no portadoras de corriente con hilo incandescente a 650 ºC y las partes portadoras de corriente con hilo incandescente 950 ºC.
g. Debe estar marcado y etiquetado mínimo con la siguiente información:
- Tensión nominal.
- Aviso de prevención para no conectarse a la red eléctrica, en los que operan con baterías.
- Duración de cada pulso.
- Energía máxima.
- Resistencia tomada como estándar.
- Tiempo entre pulsos.
- Razón social o marca registrada del productor.
20.8.2. REQUISITOS DE INSTALACIÓN.
a. En condiciones normales de operación no debe generar riesgos a las personas o animales.
b. Evitar que junto a las cercas eléctricas haya almacenamiento o ubicación de materiales combustibles que puedan causar incendios.
c. Las cercas de púas o cortantes como la concertina, no deben ser energizadas por un controlador.
d. Todo controlador debe tener un sistema de puesta a tierra. Si la resistividad del terreno es muy alta, se admite un cable de tierra paralelo con la cerca.
e. Los controladores deben disponer de especificaciones de soportabilidad de las sobretensiones transitorias con origen en los rayos, que provengan desde la cerca o la red eléctrica.
f. Las partes metálicas deben protegerse contra la corrosión.
g. La cerca no debe energizarse desde dos controladores diferentes o desde circuitos diferentes de un mismo controlador.
h. El alambrado de toda cerca debe montarse sobre aisladores.
i. Debe haber un mínimo de 2 m entre dos cercas diferentes, alimentadas con fuentes independientes.
j. La cerca eléctrica debe estar a una distancia de separación mínima dada por la tabla 20.11.
| Tensión de la red (kV) | Distancia de seguridad (m) |
| < 1 | 3 |
| > 1 y < 33 | 4 |
| =33 | 8 |
Tabla 20.11. Distancias mínimas de seguridad de cercas eléctricas a circuitos de distribución
k. La altura de las cercas eléctricas en inmediaciones de líneas aéreas de energía no debe sobrepasar los 2 m sobre el suelo.
l. Toda cerca paralela a una vía pública debe ser claramente identificada, mediante una placa de 10 cm x 20 cm con el anuncio “cuidado - cerca eléctrica” con impresión indeleble, inscrita a ambos lados, las letras deben ser mínimo de 2,5 cm en color negro sobre fondo amarillo.
m. Se permitirá el uso de cercas eléctricas como barreras de seguridad en edificaciones o espacios domiciliarios, comerciales o industriales, siempre que no estén al alcance de los niños, hayan sido construidas por personas calificadas y cuenten con el certificado de conformidad, tanto del pulsador como de la instalación.
20.9. CINTAS AISLANTES ELÉCTRICAS.
Para efectos del presente reglamento, las cintas termoplásticas ya sean de PVC (policloruro de vinilo, copolimero de policloruro de vinilo y acetato de vinilo) o de polietileno o las bandas usadas como aislamiento eléctrico sobre empalmes de alambres y cables cuya temperatura no sea mayor de 80 ºC, en instalaciones eléctricas hasta un nivel de tensión de 600 V, deben cumplir los siguientes requisitos adaptados de las normas IEC 60454-3, NTC-1023, NTC 2208, NTC 3302, UL 510 y ASTM - D 1000:
20.9.1. REQUISITOS DE PRODUCTO.
a. Cada rollo de cinta aislante debe estar exento de un efecto telescópico y de distorsión; sus bordes deben ser rectos y continuos.
b. Cuando sea desenrollada, la superficie de la cinta que no contiene el adhesivo debe conservarse lisa, uniforme y estar exenta de grumos.
c. La rigidez dieléctrica no debe ser menor de 5 kV para cintas iguales o menores a 0,13 mm de espesor o 7 kV para cintas mayores 0,13 mm y hasta 0,18 mm de espesor.
d. La cinta debe garantizar la adherencia al acero conforme a la norma.
e. La cinta no debe presentar efecto bandera cuando se realice el ensayo de resistencia al calor, según norma UL 510.
f. El material de la cinta debe ser autoextinguible (pruebas de flamabilidad).
g. Rotulado: cada rollo de cinta aislante o su empaque deben ir marcados de una manera clara e indeleble con la siguiente información:
- Razón social o marca registrada del productor.
- Clase de cinta. PVC o PE y la leyenda “aislante eléctrico”.
- Largo y ancho nominales.
- La temperatura mínima de servicio (80 ºC).
- Cada rollo debe llevar impresa la identificación del lote de producción o la fecha de fabricación.
Nota: las cintas aislantes eléctricas tanto de otros materiales (Ej. caucho) como para tensiones superiores a 600 V, deben cumplir una norma técnica internacional o de reconocimiento internacional y deben demostrar su cumplimiento mediante certificado de conformidad de producto.
20.9.2. REQUISITOS DE INSTALACIÓN.
Las cintas aislantes usadas en instalaciones eléctricas exteriores deben ser de color negro y para las cintas aislantes usadas en instalaciones interiores se recomienda seleccionarlas aplicando el código de colores de este anexo general.
20.10. CLAVIJAS Y TOMACORRIENTES.
Para efectos del presente reglamento, las clavijas y tomacorrientes deben cumplir los siguientes requisitos adaptados de las normas IEC 60695-2-11, IEC-60884-1, IEC 60309-1/2, UL 498, UL 943 o NTC 1650.
20.10.1. REQUISITOS DE PRODUCTO.
a. Los contactos macho (clavija) y hembra (tomacorriente) deben ser diseñados y fabricados de tal forma que garanticen una correcta conexión eléctrica y en condiciones de servicio no deben tener partes energizadas expuestas.
b. Los tomacorrientes deben ser construidos de tal manera que no acepten una clavija con valores de tensión diferente o capacidad de corriente mayor a aquellas para las cuales fueron diseñados, pero a la vez deben aceptar clavijas de capacidades de corriente menores.
c. Los tomacorrientes deben ser fabricados con materiales que garanticen la permanencia de las características mecánicas, dieléctricas, térmicas y de flamabilidad del producto, sus componentes y accesorios, de modo que no exista la posibilidad de que como resultado del envejecimiento natural o del uso normal se altere su desempeño y se afecte la seguridad.
d. Los tomacorrientes y clavijas para uso directo de conductor de aluminio, deben cumplir las normas UL 498 y UL 1567 o equivalentes, en especial las pruebas de calentamiento cíclico.
e. Sobre el cuerpo del tomacorriente para uso directo con conductores de aluminio, se debe fijar un rotulado de advertencia en fondo de color amarillo y letra negra, en el cual se informe al usuario que el reemplazo de dicho dispositivo debe hacerse con uno apto para conexión de aluminio.
f. Las clavijas y tomacorrientes deben probarse con el hilo incandescente a 650 ºC a las partes no portadoras de corriente y que dan protección contra contacto eléctrico, también aplica a los aros y marcos decorativos. Igualmente, debe aplicarse la prueba de hilo incandescente a 850 ºC a las partes portadoras de corriente.
g. Los tomacorrientes deben suministrarse e instalarse con su respectiva placa, tapa o cubierta destinada a evitar el contacto directo con partes energizadas; estos materiales deben ser de alta resistencia al impacto.
h. Los tomacorrientes polarizados y con polo a tierra, deben tener claramente identificados mediante letras, colores o símbolos, los terminales de neutro y tierra y si son trifásicos los terminales donde se conectan las fases también se deben marcar con letras. En los tomacorrientes monofásicos el terminal plano más corto debe ser el de la fase.
i. Los tomacorrientes deben realizar un número adecuado de ciclos de acuerdo con lo establecido en la norma técnica que les aplique, de modo que resistan sin desgaste excesivo u otro efecto perjudicial, las tensiones mecánicas dieléctricas, térmicas y de flamabilidad que se presenten en su utilización normal.
j. Los tomacorrientes para uso general se deben especificar para capacidades nominales de 10, 15, 20, 30, 50, 60, 63 y 125 A, a tensiones de 125, 150, 220 o 250 V, con 2, 3 o 4 polos y conexión de puesta a tierra. Las partes conductoras de corriente deben tener la capacidad de transportar continuamente la corriente nominal señalada sin que alcance la mayor temperatura definida en 45 ºC con criterios de prueba de norma IEC o de 30 ºC bajo los criterios de prueba de norma UL.
k. Las partes destinadas a la conducción de corriente deben ser fabricadas en cobre o sus aleaciones, pero no en materiales ferrosos. Se exceptúan de este requisito los tornillos, remaches o similares destinados solamente a la fijación mecánica de componentes o apriete de cables y las partes no sometidas a desgaste.
l. La resistencia de aislamiento no debe ser menor de 5 M?, tanto para el tomacorriente como para la clavija, valor medido entre puntos eléctricos de diferente polaridad y entre estos y cualquier punto en el cuerpo del dispositivo.
m. Los terminales de los tomacorrientes y clavijas deben permitir una conexión eléctrica suficientemente segura de los conductores eléctricos para evitar recalentamientos.
n. Los tomacorrientes con protección de falla a tierra deben tener un sistema de monitoreo visual que indique la funcionalidad de la protección.
o. Rotulado: las clavijas y tomacorrientes deben marcarse con las siguientes características:
Razón social o marca registrada del productor.
Corriente nominal en amperios (A).
Tensión nominal.
Identificación de las polaridades respectivas si les aplica.
Los tomacorrientes deben identificar el uso mediante colores y marcaciones respectivas en el cuerpo del mismo.
p. Los tomacorrientes con tierra aislada para conexión a equipo sensible no conectados a pacientes, deben identificarse con un triángulo color naranja.
q. Los tomacorrientes “grado hospitalario” deben tener como identificación un punto verde en su exterior y deben ser certificados para tal uso.
r. Los tomacorrientes con dispositivos diferenciales que detectan una corriente de fuga a tierra, conocidos como GFCI, RCCB o RCBO, deben cumplir los siguientes requisitos, adaptados de las normas UL 943, IEC 61008 -1, IEC 61008 - 2-1, IEC 61008-2-2, IEC 61009-1 e IEC 61009-2:
- Ser certificados para tal uso.
- Poseer una señal que indique su funcionamiento y mecanismo que verifique su adecuada operación.
- Prevención de disparos en falso en caso de ser expuesto a condiciones de radio frecuencia.
- Los dispositivos deben indicar claramente en su acabado exterior ésta función y la de sus controles.
- Indicar la corriente nominal de disparo o de fuga o su equivalente en clase.
Nota: las clavijas y tomacorrientes para usos especiales, deben demostrar que son aptos para tales usos, mediante un certificado de conformidad de producto, donde se señale la norma técnica internacional, de reconocimiento internacional o NTC que les aplique y los alcances específicos de aplicación.
20.10.2. REQUISITOS DE INSTALACIÓN.
a. La conexión de los conductores eléctricos a los terminales de los tomacorrientes y clavijas debe ser lo suficientemente segura para evitar recalentamientos de los contactos.
b. Los tomacorrientes instalados en lugares húmedos deben tener un grado de encerramiento IP (o su equivalente Nema), adecuado para la aplicación y condiciones ambientales que se esperan y deben identificar este uso.
c. Las clavijas y tomacorrientes para uso en intemperie, deben tener un grado de encerramiento IP (o su equivalente Nema), adecuado para la aplicación y condiciones ambientales que se esperan. Los tomacorrientes instalados en lugares sujetos a la lluvia o salpicadura de agua deben tener una cubierta protectora o encerramiento a prueba de salpicadura.
d. En ambientes con chorros de agua (lugares de lavado) se deben usar enchufes y tomacorrientes con encerramiento no menor a IP67 o su equivalente Nema. Los tomacorrientes con protección de falla tierra no son aptas para estas aplicaciones, a menos que el productor así lo garantice.
e. Donde se tenga la presencia permanente de niños menores de tres años, los terminales de los tomacorrientes deben ser protegidos para evitar que introduzcan objetos y hagan contacto con partes energizadas. En salacunas o jardines infantiles o lugares de alta concentración de niños menores de tres años los tomacorrientes deben tener protección contra contacto a partes energizadas, tales como protección aumentada, a prueba de manipulación o a prueba de niños como se le conoce (tamper resistant), tapas de protección o estar localizadas a una altura (1,70 m) que no afecte la seguridad de los niños.
f. Cuando los tomacorrientes se instalen de forma horizontal, el contacto superior debe corresponder al neutro. Cuando exista un arreglo de varios tomacorrientes en un mismo producto, el contacto superior debe ser el neutro.
g. En lugares clasificados como peligrosos se deben utilizar clavijas y tomacorrientes aprobados y certificados para uso en estos ambientes.
h. Los tomacorrientes deben instalarse de acuerdo con el nivel de tensión de servicio, tipo de uso y la configuración para la cual fue diseñado.
i. Las clavijas y tomacorrientes utilizados en áreas clasificadas deben instalarse de tal forma que no se deteriore el grado de encerramiento requerido.
j. En lugares sometidos a inundaciones frecuentes, la altura del tomacorriente debe ser tal que supere el nivel histórico de inundación.
k. Cuando se instalen tomacorrientes en redes con conductores de aluminio, la conexión debe hacerse mediante conector de compresión dual Cu-Al, conector bimetálico o bornera de aleación de aluminio serie 6000, tal como lo establece la sección 110 -14 de la NTC 2050. Si la clavija y tomacorriente son CO/ALR no se necesitan los conectores indicados anteriormente, tal como lo indican los numerales 380-14 y 410-56 de la NTC-2050 ya que el cable de aluminio se conecta directamente a estos dispositivos.
20.11. CONDENSADORES DE BAJA Y MEDIA TENSIÓN.
Para efectos del presente reglamento, los condensadores individuales con capacidad mayor o igual a 3 kVAR y bancos de condensadores con capacidad mayor o igual a 5 kVAR, utilizados en baja o media tensión, deben cumplir los siguientes requisitos adaptados de las normas IEC 60831-1, IEC 60831-2, BS 1650, VDE 0560, CSA 22-2-190, UL 810, UL 945VA, JIS C 4901, NTC 3422, NTC 2834, NTC 2807 o IEC 60871-1/2.
a. Clase de aislamiento.
b. Pruebas de tensión.
c. Máxima sobrecarga admisible a frecuencia nominal.
d. Límite de temperatura de operación.
e. Rata de caída de tensión.
f. Enclavamiento electromecánico en bancos de condensadores en media tensión.
g. Nivel admisible de sobrecorriente por efecto de armónicos en la red que es capaz de soportar sin deteriorarse.
Para realizar trabajos sobre condensadores, una vez desconectados se esperará el tiempo de descarga predefinido, de acuerdo con las características del equipo, luego se cortocircuitan sus terminales y se ponen directamente a tierra o por intermedio de la carcasa, antes de iniciar los trabajos. Los condensadores no se deben abrir con tensión.
Para instalaciones donde la distorsión armónica total de tensión (THD), sea superior al 5% en el punto de conexión, los bancos capacitivos deben ser dotados de reactancias de sintonización o en su defecto se deben implementar filtros activos de armónicos.
20.12. CONECTORES, TERMINALES Y EMPALMES PARA CONDUCTORES ELÉCTRICOS.
Para efectos del presente reglamento los conectores, empalmes y terminales usados como elementos de unión, conexión o fijación de conductores o para el control del par galvánico en las uniones de conductores, terminales o bornes que el contacto pueda generar corrosión, deben cumplir los siguientes requisitos, adaptados de las normas UL 486 A, B y C:
20.12.1. REQUISITOS DE PRODUCTO.
a. Los conectores deben cumplir una norma técnica internacional, de reconocimiento internacional o NTC que le aplique y demostrarlo con certificado de producto expedido por organismo de certificación de productos acreditado.
b. Deben garantizar que no generan corrosión con el conductor o conductores que conecta.
c. El material del conector, empalme o terminal debe garantizar que los cambios de temperatura por el paso de corriente, no ocasione puntos calientes, arcos eléctricos o falsas conexiones.
20.12.2. REQUISITOS DE INSTALACIÓN.
a. No se deben instalar dos o más conectores o terminales en la misma bornera o al mismo tornillo.
b. Debido a las diferentes características del cobre y del aluminio, deben usarse conectores o uniones a presión o terminales soldados y apropiados para el tipo de conductor e instalarse adecuadamente.
c. No deben unirse terminales y conductores de materiales distintos, como cobre y aluminio, a menos que el dispositivo esté identificado y aprobado para esas condiciones de uso.
d. Si se utilizan materiales como soldadura, fundentes o compuestos, deben ser adecuados para el uso y de un tipo que no cause daño a los conductores, sus aislamientos, la instalación o a los equipos.
e. El uso de materiales retardantes, geles o inhibidores de corrosión debe asegurar que no se comprometa la conductividad del empalme, conector o terminal y que la parte del conductor cercana a la unión no produzca corrosión, ni tampoco deterioro a las condiciones dieléctricas del aislamiento.
Estos elementos deben garantizar la conmutación de corriente durante toda su vida útil. Su fabricación y los materiales deben tener características que les permitan soportar fallas eléctricas, cortocircuitos, sobretensiones, sobrecargas, para lo cual deben cumplir y probar los siguientes requisitos de producto, conforme a normas tales como IEC 60947-4-2, IEC 60947-1, IEC 60947-5-1, IEC 60947.4.1, JISC 4520, UL 508 o CSA C22.2 SPEC 14:
a. Aumento de la temperatura.
b. Propiedades dieléctricas.
c. Capacidad de cierre y apertura.
d. Límites operativos.
e. Grado de protección IP o su equivalente Nema.
f. Tensión nominal, de aislamiento y de impulso.
g. Corriente nominal de funcionamiento correspondiente a cada categoría de utilización.
h. Frecuencia nominal.
i. Marcación y rotulado.
20.14. DISPOSITIVOS DE PROTECCIÓN CONTRA SOBRETENSIONES TRANSITORIAS (DPS).
20.14.1. REQUISITOS DE PRODUCTO.
Para efectos del presente reglamento, los dispositivos de protección contra sobretensiones transitorias, también llamados supresores o limitadores de sobretensiones, deben cumplir los siguientes requisitos adaptados de las normas IEC 61643-1, IEC 61643-12, IEC 60099-1, IEC60099-4, UL 1449, IEEE C62.41-1, IEEE C62.41-2 e IEEE C62.45:
a. Los DPS utilizados en media, alta y extra alta tensión con envolvente en material de porcelana, deben contar con algún dispositivo de alivio de sobrepresión automático que ayude a prevenir la explosión del equipo.
b. Los DPS utilizados en media tensión con envolvente en material polimérico, deben contar con algún dispositivo externo de desconexión en caso de quedar en cortocircuito.
c. Bajo ninguna condición los materiales constitutivos de la envolvente del DPS deben entrar en ignición; para lo cual el DPS con envolvente plástico debe probarse con el hilo incandescente a 650 ºC sobre las partes no portadoras de corriente.
d. En caso de explosión del DPS, el material aislante no debe lanzar fragmentos capaces de hacer daño a las personas o equipos adyacentes. En baja tensión, este requisito se puede remplazar por un encerramiento a prueba de impacto.
e. Los DPS de baja tensión deben cumplir una norma técnica, tales como las antes señaladas.
f. Marcación. Los parámetros básicos que debe cumplir un DPS de baja tensión y que deben estar a disposición del usuario, en el equipo o en catálogo, son:
- Corriente nominal de descarga, que en ningún caso será menor a 5 kA por módulo, para DPS instalados en el inicio de la red interna.
- Tensión nominal, según la red eléctrica en que se instalará.
- Máxima tensión de operación continua, que debe ser mayor o igual a 1,1 veces la tensión máxima del sistema en régimen permanente.
- El nivel de protección en tensión, que debe ser menor que el nivel básico de aislamiento.
PARÁGRAFO 1o. Para DPS de tensión nominal superior a 66 kV, el certificado de conformidad de producto expedido por un organismo de certificación de producto, se podrá sustituir por la declaración escrita del productor, donde señale que cumple los requisitos exigidos en el RETIE, acompañada de las pruebas tipo realizadas en un laboratorio reconocido.
PARÁGRAFO 2o. Las puntas o terminales de captación del rayo, las bayonetas y cuernos de arco, que puedan estar clasificadas comercialmente como dispositivos de protección de sobretensiones, no requieren demostrar la conformidad con certificado de producto. El constructor y el inspector de la instalación verificará que se cumplan los requisitos dimensiónales y de materiales contemplados en el artículo 16 del presente anexo general.
20.14.2. REQUISITOS DE INSTALACIÓN.
Para efectos del presente reglamento, los DPS deben cumplir los siguientes requisitos, adaptados de las normas IEC 61643-12, IEC 60664, IEC 60664-1, IEC 60071, IEC 60099, IEC 60364-4-443, IEC 60364-5- 534, IEC 61000-5-6, IEC 61312, IEEE 141, IEEE 142 y NTC 4552:
a. Toda subestación (transformador) y toda transición de línea aérea a cable aislado de media, alta o extra alta tensión, deben disponer de DPS. En los demás equipos de media, alta o extra alta tensión o en redes de baja tensión o de uso final, la necesidad de DPS dependerá del resultado de una evaluación técnica objetiva del nivel de riesgo por sobretensiones transitorias a que pueda ser sometido dicho equipo o instalación. Tal evaluación debe hacerla el responsable del diseño de la instalación, para lo cual debe tener en cuenta entre otros los siguientes factores:
El uso de la instalación.
La coordinación de aislamiento.
La densidad de rayos a tierra.
Las condiciones topográficas de la zona.
Las personas que podrían someterse a una sobretensión.
Los equipos a proteger.
b. La coordinación de protección contra sobretensiones, debe estar acorde con el régimen de conexión a tierra (TN-C-S, TN-S, IT).
c. Los DPS que actúen como protección básica, deben instalarse en modo común (fase/ tierra o neutro/tierra) y los que actúen como protección complementaria, pueden instalarse en modo diferencial (fase/fase o fase/neutro).
d. La figura 20.2 indica el esquema general de conexión de un DPS en modo común. Se debe tener como objetivo que la tensión residual del DPS sea casi igual a la aplicada al equipo, para lo cual la distancia “b” en lo posible no debe ser mayor de 50 cm y el conductor de conexión entre el DPS y el equipo lo más corto posible.
e. En subestaciones de distribución al interior de edificios, el diseñador evaluará y justificará la posibilidad de instalar sólo los DPS en la transición a la acometida subterránea y no en el transformador.

Figura 20.2 Montaje típico de DPS
f. Para la instalación de un DPS se debe tener en cuenta que la distancia entre los bornes del mismo y los del equipo a proteger debe ser lo más corta posible (las normas recomiendan máximo 50 cm), de tal manera que la inductancia sea mínima.
g. Para efectos de seguridad, en la instalación los DPS deben quedar en modo común, es decir, entre fase(s) y tierra.
h. Cuando se requieran DPS, se debe dar preferencia a la instalación en el origen de la red interna. Se permite instalar DPS en interiores o exteriores, pero deben ser inaccesibles para personas no calificadas. Se permite que un bloque o juego de DPS proteja varios circuitos. Cuando se instalen varias etapas de DPS, debe aplicarse una metodología de zonificación y deben coordinarse por energía y no sólo por corriente.
i. No se deben instalar en redes eléctricas de potencia DPS construidos únicamente con tecnología de conmutación de la tensión.
j. La capacidad de cortocircuito del DPS debe estar coordinada con la capacidad de falla en el nodo donde va a quedar instalado.
k. En baja tensión, los conductores de conexión del DPS a la red y a tierra no deben ser de calibre inferior a 14 AWG en cobre. En media, alta y extra alta tensión los conductores de conexión a la red y a tierra no deben ser de calibre inferior a 6 AWG.
20.15. DUCHAS ELÉCTRICAS Y CALENTADORES DE PASO.
<Inciso modificado por el artículo 12 de la Resolución 90795 de 2014. El nuevo texto es el siguiente:> Para efectos del presente reglamento y debido al incremento en el uso de calentadores de paso y duchas eléctricas y el alto riesgo de contacto a que se exponen las personas con estos productos, se exige el cumplimiento de las normas IEC 60335-2-35, NBR 12483 o normas equivalentes y los siguientes requisitos:
20.15.1. REQUISITOS DE PRODUCTO.
a. La corriente de fuga no debe sobrepasar 5 mA en el agua a la temperatura de operación. Esta corriente se debe medir con agua de una conductividad superior a 1000 µS/cm a 15 ºC (equivalente a 1 k?.cm).
b. Los elementos metálicos de sujeción que estén en contacto con agua deben ser de material no ferroso y garantizar protección a la corrosión.
c. <Literal modificado por el artículo 13 de la Resolución 90795 de 2014. El nuevo texto es el siguiente:> Los elementos calefactores y bornes de contacto, deben estar soportados sobre material eléctrico al cual debe hacérsele la prueba de hilo incandescente a 750oC. Las demás partes no metálicas deben probarse con el hilo incandescente a 650oC.
d. Se debe identificar el conductor neutro, el de tierra y la fase o fases.
e. En duchas no se aceptan encerramientos metálicos.
f. La parte manipulable del selector de temperatura debe estar aislada eléctricamente.
g. Rotulado e instructivos de instalación y operación. La ducha y el calentador de paso deben tener en forma permanente y legible la siguiente información:
- Tensión de operación.
- Corriente nominal.
- Potencia nominal.
- Nombre del productor o marca comercial.
- Advertencia sobre la necesidad de conexión a tierra.
h. El productor debe entregar al usuario una guía para la correcta instalación y uso de la ducha o el calentador de paso.
20.15.2. REQUISITOS DE INSTALACIÓN.
a. La instalación de la ducha atenderá los requisitos e instrucciones suministrada por el productor.
b. Las duchas eléctricas, deben alimentarse mediante un circuito exclusivo, de capacidad no menor a 30 A para tensiones menores a 150 V y no menor a 20 A para tensiones mayores a 150 V y menores a 240 V con su protección termomagnética. El circuito debe tener protección diferencial contra falla a tierra en el caso de duchas sin blindaje. El circuito no debe tener interrupciones y debe garantizar la conexión permanente de la ducha. La protección debe estar localizada fuera del alcance de una persona expuesta en área mojada.
c. La conexión eléctrica debe ser a prueba de agua.
d. El circuito que alimenta la ducha debe tener un conductor de puesta a tierra, el cual debe estar conectado tanto al conductor puesto a tierra de la instalación como a la terminal de puesta tierra de la ducha.
e. Para evitar el contacto directo con el envolvente de la parte eléctrica en la ducha, en el cuarto de baño la ducha no debe tener partes localizadas a menos de 2 m del piso.
20.16. EQUIPOS DE CORTE Y SECCIONAMIENTO DE BAJA Y MEDIA TENSIÓN.
20.16.1. CORTACIRCUITOS PARA REDES DE DISTRIBUCIÓN.
Para efectos del presente reglamento, los cortacircuitos para redes de distribución, deben cumplir los requisitos establecidos en normas tales como NTC 2132, NTC 2133, NTC 2076, ANSI C37.41 o equivalentes.
20.16.2. INTERRUPTORES AUTOMÁTICOS DE BAJA TENSIÓN.
Para efectos del presente reglamento, los interruptores automáticos de baja tensión deben cumplir los siguientes requisitos, adoptados de las normas NTC 2116, NTC-IEC 947-2, IEC 60898 y UL 489:
20.16.2.1. REQUISITOS DE PRODUCTO.
a. El interruptor general de una instalación debe tener tanto protección térmica con un elemento bimetálico o dispositivo electrónico equivalente para la verificación del nivel de corriente, como protección magnética mediante la apertura de un contacto al superar un límite de corriente.
b. El productor debe proveer las curvas de disparo del interruptor, para su adecuada selección y coordinación de protecciones con otros equipos automáticos de respaldo, ubicados aguas arriba en la instalación.
c. Los dispositivos de interrupción de corriente por fuga a tierra para protección de las personas contra contacto directo, deben tener una corriente nominal diferencial menor a 30 mA y su tiempo de operación debe estar en concordancia con la figura 9.1 del presente reglamento.
d. Los contactos móviles de todos los polos de los interruptores multipolares deben estar acoplados mecánicamente, de tal modo que abran y cierren conjuntamente, bien sea manual o automáticamente, incluso si la sobrecarga se presenta solamente en un polo protegido.
e. Los interruptores deben tener un mecanismo de disparo libre.
f. Los interruptores deben estar construidos de tal manera que las partes móviles sólo puedan descansar en la posición cerrada o en la posición abierta, incluso cuando el elemento de maniobra se libere en una posición intermedia.
g. Los interruptores deben estar provistos de elementos que indiquen la posición cerrada y la posición abierta; los cuales deben ser fácilmente visibles desde el frente del interruptor, cuando este último tenga su placa o tapa de recubrimiento. Para los interruptores cuyo elemento de maniobra se libere en una posición intermedia, tal posición debe marcarse claramente para indicar que el interruptor se ha disparado.
h. Las partes exteriores de los interruptores automáticos, hechas en material aislante, no deben ser susceptibles de inflamarse y propagar el fuego, cuando las partes conductoras en condiciones de falla o sobrecarga alcancen temperaturas elevadas.
i. Los interruptores automáticos deben realizar un número adecuado de ciclos a corriente y tensión nominales, de modo que resistan sin desgaste excesivo u otro efecto perjudicial, los esfuerzos mecánicos, dieléctricos y térmicos que se presenten en su utilización normal.
j. Los interruptores automáticos deben ser construidos con materiales que garanticen la permanencia de las características mecánicas, dieléctricas, térmicas y de flamabilidad del producto, sus componentes y accesorios, de modo que no exista la posibilidad de que como resultado del envejecimiento natural o del uso normal se altere su desempeño y se afecte la seguridad.
k. Los interruptores automáticos deben ser probados con el hilo incandescente a 650 ºC a partes no portadoras de corriente y que dan protección contra contacto eléctrico, también aplica a los aros y marcos decorativos y del hilo incandescente a 950 ºC a partes portadoras de corriente.
l. Rotulado y etiquetado: el interruptor automático debe ser rotulado sobre la parte externa del mismo dispositivo de manera permanente, claramente visible y legible con los siguientes datos:
- Razón social o marca registrada del productor o proveedor.
- Corriente nominal.
- Indicación de las posiciones de abierto y cerrado.
- Tensión de operación nominal.
- Capacidad de interrupción de cortocircuito, para cada valor de tensión nominal.
- Terminales de línea y carga.
m. Información adicional que debe estar disponible para el usuario en el catálogo:
- Su uso como seccionador, si es aplicable.
- Designación del tipo o número serial.
- Frecuencia nominal, si el interruptor se ha diseñado para una sola frecuencia.
- Especificar instrucciones para instalación, operación y mantenimiento.
- Temperatura de referencia para dispositivos no compensados, si es diferente a 30 ºC.
- Número de polos.
- Tensión nominal del aislamiento.
- Indicar la corriente de cortocircuito. Es expresada como la máxima corriente pico esperada.
20.16.2.2. REQUISITOS DE INSTALACIÓN.
a. Un interruptor automático debe fijarse en una posición tal que al conectarse el circuito alimentador llegue al terminal de línea y la salida se conecte a los terminales de carga. En caso de transferencias, el interruptor de planta podrá alimentarse por los terminales de carga y conectarse al barraje por los terminales de línea, siempre que el productor del interruptor así lo permita y se señalice tal condición.
b. Un interruptor automático debe tener unas especificaciones de corriente y tensión, no menores a los valores nominales de los circuitos que controla.
c. Los dispositivos de interrupción de corriente por fuga a tierra, pueden ir incorporados en los interruptores automáticos o ubicados al lado del mismo formando un conjunto dentro del panel o tablero que los contiene.
d. Debe instalarse protección contra falla a tierra de equipos, en sistemas en estrella sólidamente puestos a tierra, con una tensión a tierra superior a 150 V, pero que no supere 600 V entre fases, por cada dispositivo de desconexión de la acometida de 1000 A nominales o más. El sensor puede abarcar todos los conductores del circuito o sólo el puente equipotencial principal.
e. Cada circuito ramal de un panel de distribución debe estar provisto de protección contra sobrecorriente.
f. No se debe conectar permanentemente en el conductor puesto a tierra de cualquier circuito, un dispositivo contra sobrecorriente, a menos que la apertura del dispositivo abra simultáneamente todos los conductores de ese circuito.
g. La protección automática para bombas contra incendio debe ser contra cortocircuitos, pero no contra sobrecarga.
h. Los dispositivos de protección contra sobrecorriente deben estar fácilmente accesibles.
i. Los interruptores diferenciales contra riesgo de incendio, deben tener una corriente nominal diferencial menor o igual a 300 mA, aunque pueden ser de actuación instantánea o retardada.
j. En lugares clasificados como peligrosos se deben utilizar interruptores aprobados y certificados para uso en estos ambientes.
k. No se debe aceptar la instalación de interruptores automáticos reutilizados, si no cuentan con protocolas de pruebas tipo que aseguren su funcionalidad, realizados después de haber sido utilizados.
20.16.3. INTERRUPTORES MANUALES DE BAJA TENSIÓN.
Esta sección del reglamento aplica únicamente a interruptores operados manualmente, o con otras partes del cuerpo humano, destinados a instalaciones eléctricas, industriales, comerciales, domiciliarias y similares de baja tensión, tanto interiores como exteriores. No aplica a interruptores de muy baja tensión como los destinados a usos en electrónica, tampoco aplica los interruptores empleados en sistemas donde en su operación no interviene la mano humana, tales como los interruptores de fin de carrera, controles de nivel, volumen, temperatura, presión, entre otros.
Para efectos del presente reglamento, los interruptores deben cumplir los siguientes requisitos, adaptados de las normas NTC 1337, IEC.60669-1, IEC 60947-5 y UL 20:
20.16.3.1. REQUISITOS DE PRODUCTO.
a. Las posiciones de encendido y apagado deben estar claramente indicadas en el cuerpo del interruptor. Este requisito no es exigible a interruptores para usos exclusivamente domiciliarios o similares. (Vivienda, comercio, oficinas).
b. Los interruptores deben estar diseñados en forma tal que al ser instalados y cableados, en uso normal las partes energizadas no sean accesibles a las personas.
c. Las cubiertas o tapas metálicas se deben proteger mediante aislamiento adicional hecho por revestimientos o barreras aislantes.
d. Para uso a la intemperie, los interruptores deben estar protegidos mediante encerramiento a prueba de lluvia.
e. Los interruptores se deben diseñar y construir de manera que, en su utilización normal, su funcionamiento sea confiable y libre de peligro para el usuario y para su entorno.
f. Los interruptores deben ser construidos con materiales que garanticen la permanencia de las características mecánicas, dieléctricas, térmicas y de flamabilidad del producto, sus componentes y accesorios, de modo que no exista la posibilidad que como resultado del envejecimiento natural o del uso normal se presenten alteraciones en su desempeño.
g. Las distancias entre partes bajo tensión que están separadas cuando los contactos están abiertos, entre partes bajo tensión de polaridad diferente; entre partes bajo tensión y partes de material aislante accesibles, partes metálicas puestas a tierra, marcos metálicos que soportan la base de los interruptores del tipo de incrustar, tornillos o dispositivos para ajustes de bases, cubiertas o placas de recubrimiento, partes metálicas del mecanismo (si se requiere que estén aisladas de las partes bajo tensión), no deben ser menores a 3 mm o ajustarse a los requisitos de la norma técnica internacional o de reconocimiento internacional que le aplique. El cumplimiento de este requisito debe además garantizarse en el tiempo como resultado del uso normal del producto.
h. Las partes aislantes de los interruptores, deben tener una resistencia de aislamiento mínima de 5 M? entre los polos y la carcasa con el interruptor en posición de encendido. No deben ser susceptibles de inflamarse y propagar el fuego, cuando las partes conductoras en condiciones de falla o sobrecarga alcancen temperaturas elevadas.
i. Los interruptores deben realizar un número adecuado de ciclos, a corriente y tensión nominales, de modo que resistan sin desgaste excesivo u otro efecto perjudicial los esfuerzos mecánicos, dieléctricos y térmicos que se presenten en su utilización.
j. Los interruptores para control de aparatos deben especificar la corriente y tensión nominales del equipo.
k. Los interruptores manuales de baja tensión deben probarse con el hilo incandescente a 650 ºC a las partes no portadoras de corriente y que dan protección contra contacto eléctrico, también aplica a los aros y marcos decorativos y la de hilo incandescente a 850 ºC a partes portadoras de corriente.
l. Los interruptores para uso directo de conductor de aluminio, deben cumplir las normas UL-20 y UL 1567 o equivalentes, en lo relacionado con las pruebas de calentamiento cíclico.
m. Marcado y etiquetado: cada interruptor debe llevar en forma indeleble los siguientes datos:
- Razón social o marca registrada del productor.
- Tensión nominal de operación.
- Corriente nominal a interrumpir.
PARÁGRAFO 1o. Los reguladores de corriente o tensión conocidos como dimers y utilizados como interruptores manuales para usos domiciliarios o similares, deben cumplir los requisitos para interruptores y demostrarlo mediante certificado de conformidad de producto.
PARÁGRAFO 2o. Los interruptores manuales de baja tensión denominados cuchillas, deben cumplir los requisitos de seguridad de una norma internacional, de reconocimiento internacional o NTC que les aplique y deben demostrarlo mediante certificado de conformidad de producto. El uso de este tipo de interruptores (cuchillas) estará ceñido a las restricciones dadas en la norma que les aplique.
PARÁGRAFO 3o. Sobre el cuerpo del interruptor para uso directo con conductores de aluminio, se debe fijar un rotulado de advertencia en fondo de color amarillo y letra negra, en el cual se informe al usuario que el reemplazo de dicho dispositivo debe hacerse con uno apto para conexión de aluminio.
20.16.3.2. REQUISITOS DE INSTALACIÓN.
a. Los interruptores deben instalarse en serie con los conductores de fase.
b. No debe conectarse un interruptor de uso general en el conductor puesto a tierra.
c. En ambientes especiales (clasificados como peligrosos) deben utilizarse interruptores apropiados a la técnica de protección seleccionada.
d. La caja metálica que alberga al interruptor debe conectarse sólidamente a tierra.
e. Los interruptores deben ser provistos de sus respectivas tapas que impidan el contacto con partes energizadas.
20.16.4. INTERRUPTORES, RECONECTADORES Y SECCIONADORES DE MEDIA TENSIÓN.
Para efectos del presente reglamento, los interruptores, reconectadores y seccionadores usados en media tensión, tanto manuales como automáticos, deben cumplir los requisitos de una norma técnica internacional como IEC 62265-1 (interruptores), IEC 62271-100 (interruptores), IEC 62271-102 (seccionadores), IEC 62271-105 (fusible-seccionador), de reconocimiento internacional como ANSI/IEEE C-37.60 (reconectadores) o NTC que les aplique.
En todo caso para demostrar la conformidad con RETIE, deben realizarse mínimo las siguientes pruebas:
a. Dieléctricas (BIL y frecuencia industrial),
b. Ensayo de incremento de temperatura,
c. Operación mecánica,
d. Corrientes soportables de corta duración y valor pico.
En lo posible, no se deben usar interruptores ni reconectadores con SF6 como medio de aislamiento en MT; en caso de utilizarse, no deben tener fugas mayores a las establecidas en la norma internacional que les aplique.
Para efectos del presente reglamento, los pulsadores de baja tensión, deben cumplir los requisitos, de normas internacionales o de reconocimiento internacional, tales como IEC 60947-1, IEC 60947-5-1, IEC 60947-5-4 o UL 508.
Para diferenciar los botones, se debe emplear el verde esmeralda para el botón de arranque y el rojo para todos los dispositivos de parada.
20.17. ESTRUCTURAS, POSTES Y CRUCETAS PARA REDES DE DISTRIBUCIÓN.
Para efectos del presente reglamento, las estructuras de soporte de las redes de distribución para tensión inferior a 57,5 kV pueden ser postes de madera, concreto, hierro, acero, fibras poliméricas reforzadas u otros materiales; así como torres o torrecillas metálicas. En cualquier caso, deben cumplir con los siguientes requisitos que les aplique, adaptados de normas como la ISO 9223, NTC 1329, NTC 776, NTC 1056, NTC 2222, NTC 1093, NTC 1057, NTC 2083, NTC 1966, NTC 5193, NTC 172, ASTM D 4923, ASTM G 155, ASTM D 2244, ASTM D4923, ASTM D 570, ASTM D 149, ASTM G 155, ASTM D 648, ASTM A 123, ASTM B 633, ASTM A 653 o ASCE 104.
20.17.1. REQUISITOS DE PRODUCTO.
a. Los postes, torrecillas y en general las estructuras de soporte de redes de distribución deben demostrar el cumplimiento del RETIE mediante certificado de conformidad de producto, expedido por un organismo de certificación acreditado por el Onac, o por el mecanismo que este anexo general establece para casos específicos.
Se deben usar postes de dimensiones estandarizadas de 8, 9, 10, 11, 12, 14, 15, 16, 18, 20 o 22 m, con tolerancias de más o menos 50 mm, se permite el uso de postes de 7 m de altura para la instalación de redes secundarias en zonas rurales. En áreas aisladas de escasa presencia de personas, donde se utilicen conductores aislados o semiaislados y para acometidas secundarias aisladas se permite el uso de postes de menor longitud. Además, se podrán utilizar postes de 6 m de altura (tipo alfardas) para soportar acometidas aéreas aisladas desde el contador hasta el tablero de distribución de la edificación, siempre que su resistencia a la rotura no sea menor de 250 kgf. Para lograr las dimensiones estandarizadas se podrá aceptar postes seccionados, siempre que la resistencia mecánica a la rotura no se menor a la requerida para soportar todos las fuerzas que actúen sobre él. En todo caso se debe garantizar el cumplimiento de las distancias mínimas de seguridad establecidas en el artículo 13 del presente anexo general. En las vías los postes se deben ubicar en las zonas de acceso peatonal y no en la calzada de tráfico vehicular.
b. Los postes de materiales distintos a madera deben ser especificados y probados para cargas de rotura mínimas de, 5001 N, 7355 N, 10300 N, 13240 N, 17640 N, 19600 N o sus equivalentes 510, 750, 1050, 1350, 1800 o 2000 kgf. Si las condiciones específicas de la instalación exigen cargas de rotura o longitudes mayores a las establecidas en el presente reglamento, el usuario justificará su uso y precisará las especificaciones técnicas requeridas. Se permite el uso de estructuras o postes metálicos o de materiales poliméricos reforzados, de resistencia a la rotura entre 250 kgf y 510 kgf, siempre que la resistencia de trabajo supere las resultante de las fuerzas que actúan sobre el poste generadas por la red en condiciones de menor temperatura y máximo viento y su aplicación se haga en lugares de difícil acceso, en los lugares aledaños a su instalación no se presenten concentración de personas y su resistencia mecánica a la rotura esté probada por un laboratorio para las condiciones ambientales similares a las del sitio de utilización.
c. Los postes y estructuras deben ser resistentes a la intemperie y deben ser probados para operación en estos ambientes.
d. Los postes de concreto de sección circular o poligonal deben presentar una conicidad entre 2 y 1,5 cm/m de longitud. Se exceptúan de este requisito los que son construidos por secciones acoplables con pernos.
e. El poste debe tener en la parte superior perforaciones diametrales, sobre un mismo plano a distancias uniformes con las dimensiones y tolerancias para ser atravesadas por pernos hasta de 19 mm de diámetro, estas no deben dejar expuesta las partes metálicas de la armazón, el número y distancias de las perforaciones dependerá de las dimensiones de los herrajes utilizados en la estructura. Algunas de estas perforaciones pueden tener una inclinación que permita el paso al interior del poste de los conductores de puesta a tierra. Por acuerdo entre productor y comprador se podrán tener postes con perforaciones para usos específicos o prescindir de estas.
f. Los postes de concreto deben ser construidos con las técnicas de mezclas y materiales reconocidos por el Código Sismorresistente o las normas técnicas internacionales para este tipo de requerimientos; no deben presentar partes de su armadura expuestas a la corrosión; la profundidad del hierro no debe ser menor a 25 mm para uso en ambientes salinos y 20 mm para uso en ambientes normales. Para postes armados vibrados destinados a ambientes salinos o corrosivos, la profundidad del hierro se aumentará en 5 mm o el valor determinado en una norma técnica internacional, de reconocimiento internacional o NTC aplicable; no deben presentar fisuras o grietas que comprometan la vida útil y la seguridad mecánica. El productor debe tener en cuenta las condiciones ambientales del lugar donde se vaya a instalar el poste y tomar las medidas constructivas para contrarrestar la corrosión.
g. Los postes de concreto, deben disponer de una platina u otro elemento metálico de sección no menor a 78 mm2, localizado a menos de un metro de la marcación de enterramiento, que sirva de contacto eléctrico entre el acero del armazón del poste y el medio exterior de conexión de la puesta a tierra.
h. Los postes con núcleo hueco deben suministrarse con dos perforaciones de diámetro no menor a 2 cm, localizadas a una distancia entre 20 y 50 cm por debajo de la marcación de enterramiento.
i. El factor de seguridad de los postes, calculado como la relación entre la carga mínima de rotura y la tensión máxima aplicada (carga máxima de trabajo), no puede ser inferior a 2,5. Se acepta un factor de seguridad no inferior a 2 para estructuras en acero o en fibra reforzada en vidrio siempre y cuando cuenten con los resultados de las pruebas de laboratorio que garanticen el conocimiento y homogeneidad de las características mecánicas de los materiales utilizados y su comportamiento en la estructura.
j. El poste, bajo la acción de una carga aplicada a 20 cm de la cima, con intensidad igual al 40% de la carga mínima de rotura, no debe producir una flecha superior al 3% de la longitud libre.
k. Centro de gravedad del poste. El productor debe marcar con pintura permanente la sección trasversal donde se encuentre el centro de gravedad del poste, esto con el fin de permitir su manipulación e izaje con el menor riesgo para el operario.
l. Rotulado: los postes y torrecillas deben llevar una placa visible en bajo relieve o embebida si es de concreto, localizada a dos metros de la señal de empotramiento, la siguiente información:
- Nombre o razón social del productor.
- Longitud del poste o torrecillas en metros.
- Carga mínima de rotura en N o kgf.
- Peso del poste.
- Fecha de fabricación.
m. Los postes, crucetas y demás elementos de madera usados en las redes eléctricas, deben ser tratados contra hongos y demás agentes que les puedan reducir su vida útil. Debe probarse el máximo contenido de humedad. Las dimensiones y esfuerzo de flexión no deben ser menores a los valores establecidos en normas técnicas internacionales o NTC.
n. Las crucetas usadas en las estructuras de redes eléctricas, podrán ser construidas en madera, acero, materiales poliméricos reforzados con elementos como la fibra de vidrio u otros materiales; siempre y cuando certifiquen lo siguiente:
- Cumplir una norma técnica internacional, de reconocimiento internacional o NTC que le aplique.
- Para las crucetas no metálicas la absorción de agua no debe ser mayor del 6% en una prueba de 24 horas a 25 ºC.
- <Viñeta modificada por el artículo 14 de la Resolución 90795 de 2014. El nuevo texto es el siguiente:> Rigidez dieléctrica no menor a 8 kV/mm para crucetas de materiales poliméricos.
- Ensayo de flamabilidad, bajo prueba del hilo caliente a 900 ºC para crucetas poliméricas.
- <Viñeta modificada por el artículo 14 de la Resolución 90795 de 2014. El nuevo texto es el siguiente:> Ensayo de envejecimiento bajo procedimientos de norma. Para crucetas metálicas galvanizadas en caliente deberá evaluarse la profundidad o espesor de la capa de galvanizado, la cual no debe ser menor a la establecida en normas tales como NTC 3320, ASTM A123, ASTM 153 o norma equivalente.
- Temperatura de termodeformación a 100 ºC según norma para crucetas de materiales poliméricos.
PARÁGRAFO. Los postes de concreto se deben aceptar en cualquiera de sus formas (tales como tronco de cono, tronco de pirámide o sección en I) y técnicas constructivas (armado o pretensado, vibrado o centrifugado); siempre y cuando cumplan los anteriores requisitos que les aplique.
20.17.2. REQUISITOS DE INSTALACIÓN.
a. Independiente del tipo de material, no se deben instalar postes o crucetas que presenten fisuras u otras anomalías que con el tiempo puedan comprometer sus condiciones mecánicas.
b. Los postes o torrecillas metálicas o de otros materiales susceptibles a la corrosión, deben ser protegidos para garantizar una vida útil no menor a 25 años.
c. Se les debe instalar una puesta a tierra a los postes o estructuras metálicas, excepto los destinados a baja tensión.
d. El poste debe ser empotrado a una profundidad igual a 60 cm más el 10% de la longitud del poste y siempre se debe verificar que no presente peligro de volcamiento. El productor debe marcar con pintura permanente la sección transversal donde se localice esta distancia.
PARÁGRAFO. Cuando el poste quede instalado en lugares aledaños a vías de alta velocidad vehicular, susceptibles de ser impactados por vehículos, el diseñador o el constructor debe determinar y utilizar la tecnología constructiva que presente el menor riesgo para pasajeros y vehículos.
20.18. EXTENSIONES Y MULTITOMAS.
Para efectos del presente reglamento y teniendo en cuenta que el uso de extensiones y multitomas eléctricas para baja tensión, los convierte en parte integral de la instalación, por ser el multitoma una ampliación del número de puntos de conexión en determinada lugar y la extensión es el producto para llevar el punto de conexión a otro lugar distinto al de la tomacorriente fija, se acepta su utilización, siempre y cuando se cumplan los siguientes requisitos adaptados de normas tales como IEC 60695-2- 11, NTC 1650 y NTC 1337.
20.18.1. REQUISITOS DE PRODUCTO.
a. Los contactos macho (clavija) y hembra (tomacorriente) de multitomas y extensiones, deben cumplir los requisitos del numeral 20.10.1 literales a, b, c, f, h, i, j, y k del presente anexo, deben ser diseñados y fabricados de tal forma que garanticen una correcta conexión eléctrica; la fabricación debe ser tal que en condiciones de servicio no haya partes expuestas.
b. La resistencia del aislamiento no debe ser menor de 5 M?, valor medido entre puntos eléctricos de diferente polaridad y entre estos y cualquier punto en el cuerpo del dispositivo.
c. Las partes no portadoras de corriente de las extensiones y multitomas deben ser probadas con hilo incandescente a 650 ºC y las partes portadoras de corriente con hilo incandescente a 850 ºC.
d. Todos los tomacorrientes de una multitomas deben tener el mismo rango de corriente y deben tener contactos de neutro y tierra separados. La capacidad de corriente de cada tomacorriente no debe ser inferior a 15 A.
e. Las extensiones polarizadas deben indicar esta característica y deben ser conectadas de una sola manera (encajando el contacto ancho de la clavija en la ranura ancha neutro del tomacorriente).
f. Los dispositivos de corte y protección de la multitomas, si los tiene, deben ser dimensionados como los de un circuito ramal.
g. El tipo de conductor (cable o cordón flexible) tanto en multitomas como extensiones y los terminales de conexión deben ser adecuados para la capacidad de corriente de toda la carga conectada, en ningún caso podrán ser inferiores al del conductor de cobre calibre 14 AWG.
h. El cable o cordón flexible usado en la extensión o multitomas debe estar marcado en sobrerrelieve, bajorrelieve o tinta indeleble permanente, con al menos la siguiente información: número de conductores, calibre del conductor, tipo de aislamiento y máxima corriente permanente permitida.
i. La marcación de la multitomas debe ser permanente, claramente visible, legible e impresa en el exterior del cuerpo de la multitomas. Debe contener como mínimo la siguiente información: razón social o marca registrada del productor y valores nominales en voltios (V) y amperios (A).
j. Además de la marcación permanente, en el cable de la extensión debe llevar un brazalete o etiqueta con la siguiente información: razón social o marca registrada del proveedor, valores nominales en voltios (V), amperios (A) y vatios (W) y longitud, sus prohibiciones o limitaciones de uso.
k. El proveedor de la extensión debe suministrar información que permita al usuario conocer la máxima corriente permanente permitida sin que se incremente la temperatura más de 45 ºC según pruebas bajo criterio de norma IEC o más de 30 ºC según pruebas bajo criterios de norma UL.
PARÁGRAFO. Los accesorios que se comercialicen por separado e incorporan cable, clavija y tomacorriente, usados como cables alimentadores de aparatos y equipos, se deben considerar como extensiones eléctricas y por ende deben cumplir los requisitos establecidos para estas, excepto el de carga que debe ser la del aparto a conectar.
20.18.2. REQUISITOS DE INSTALACIÓN.
a. La extensión o el multitoma sólo podrá ser conectados a un circuito ramal cuyos conductores y tomacorriente tengan la suficiente capacidad de soportar la corriente de todas las cargas conectadas, de la longitud apropiada de tal forma que la caída de tensión no supere los valores que afecten las cargas conectadas.
b. El usuario de la extensión o multitoma debe atender la información suministrada por el proveedor y no superar los valores de tensión y corriente especificados, ni incurrir en los usos prohibidos.
c. Los accesorios (clavija y tomacorriente) de las extensiones usadas a la intemperie deben ser a prueba de la humedad.
d. Debe evitarse que al usar extensiones se concentre calor por dejar enrollado o apilado el conductor, comprometiendo la seguridad tanto de la instalación como de su entorno.
e. Las extensiones de luces decorativas o iluminación navideña, deben cumplir los requisitos establecidos en el Retilap.
Los fusibles utilizados en las instalaciones objeto del presente reglamento deben cumplir los requisitos aquí referenciados de norma internacional, de reconocimiento internacional o NTC que les aplique, tales como: IEC 60269-1, IEC 60269-2-1, NTC 2133, IEC60282-1, IEC 60282-2 o NTC 2132.
a. Curva característica tiempo-corriente.
b. Tipo de fusible.
c. Corriente nominal.
d. Tensión nominal.
e. I2t (amperio2 segundo).
f. Capacidad de interrupción (kA).
g. Adicionalmente, se debe indicar si el fusible es de acción lenta, rápida o ultrarrápida.
20.20. HERRAJES DE LÍNEAS DE TRANSMISIÓN Y REDES DE DISTRIBUCIÓN.
Para los efectos del presente reglamento, se consideran bajo esta denominación todos los elementos utilizados para la fijación de los aisladores a la estructura, del conductor al aislador, de cable de guarda a la estructura, de las retenidas (templetes), los elementos de protección eléctrica de los aisladores y los accesorios del conductor.
Comprenden elementos tales como: grillete de anclaje, grapa de suspensión, grapa de retención, accesorios de conexión (adaptador anillo y bola, adaptador anillo, bola y bola alargada, adaptador horquilla y bola, adaptador rótula y ojo), descargadores, camisas para cable, varillas de blindaje, amortiguadores, separadores de línea. Los requisitos a cumplir son:
20.20.1. REQUISITOS DE PRODUCTO.
Para efectos del presente reglamento, los herrajes usados en líneas de transmisión y redes de distribución deben cumplir los requisitos de una norma técnica para la aplicación correspondiente y los siguientes requisitos generales adaptados de normas tales como IEC (61284, 60652, 60826, 60068-2- 11), IEEE (C135.61, 1691, 751, 951, 977, 1025, 1070 o 1217), ASTM (A 633, B 117 o F1136), DIN ISO 10683, ASCE (10-97, 48, 52 o 104):
a. Deben ser de diseño adecuado a la función mecánica y eléctrica de su aplicación.
b. Deben estar protegidos contra la acción corrosiva y elementos contaminantes; para lo cual deben utilizarse técnicas probadas tales como galvanizado en caliente, galvanizado electrolítico o recubrimiento organometálico. Los herrajes deben demostrar una protección contra la corrosión, mediante la prueba de cámara salina en tiempos no menores a 480 horas para ambientes de baja polución y a 720 horas para ambientes de mayor contaminación. El productor debe especificar la prueba que se le realizó y la información sobre uso en ambientes permitidos y los no permitidos.
c. Los herrajes deben tener superficies lisas y estar libres de bordes agudos, es decir, no presentar protuberancias, rebabas, escorias o escamas, que dificulten el acople, ni cambios bruscos de curvaturas, ni puntos de concentración de esfuerzos mecánicos o de gradiente eléctrico, los usados en líneas de 220 kV o más, deben estar diseñados para no propiciar el efecto corona.
d. Deben suministrarse e instalarse con todas sus partes.
e. Deben suministrar información de la carga mínima de ruptura y las características ambientales donde se pueda instalar.
PARÁGRAFO. <Parágrafo adicionado por el artículo 15 de la Resolución 90795 de 2014. El nuevo texto es el siguiente:> Los herrajes y demás productos galvanizados en caliente para uso en las instalaciones objeto del RETIE, la prueba de cámara salina podrá ser reemplazada por la prueba de profundidad o espesor de la capa de galvanizado, la cual no podrá ser menor a la establecida en normas tales como NTC 3320, ASTM A123, ASTM 153 o normas equivalentes.
20.20.2. REQUISITOS DE INSTALACIÓN.
a. Los herrajes sometidos a tensión mecánica por los conductores y cables de guarda o por los aisladores deben tener un coeficiente de seguridad mecánica no inferior a tres, respecto a su carga de trabajo nominal. Cuando la carga mínima de rotura se compruebe mediante ensayos, el coeficiente de seguridad podrá reducirse a 2,5.
b. Las grapas de retención del conductor y los empalmes deben soportar una tensión mecánica en el cable del por lo menos el 90% de la carga de rotura del mismo, sin que se produzca deslizamiento.
c. En la selección de los herrajes se deben tener en cuenta las características ambientales predominantes de la zona donde se requieran instalar.
20.21. MOTORES Y GENERADORES ELÉCTRICOS.
Para los efectos del presente reglamento, los motores y generadores eléctricos (máquinas eléctricas rotativas), nuevos, reparados o reconstruidos, de potencia mayor o igual a 375 W, deben cumplir los requisitos que son adaptados de las normas NTC 2805 e IEC 60034-1, siempre y cuando no sean parte integral de una máquina, excepto cuando estén acoplados a una instalación especial como bombas, escaleras eléctricas, ascensores o montacargas.
Aplica a los motores que contengan elementos mecánicos complementarios, tales como reductores o amplificadores de velocidad, bombas y embragues, así como a los generadores acoplados a máquinas motrices.
20.21.1. REQUISITOS DE PRODUCTO.
a. Los parámetros nominales de tensión, corriente, potencia, factor de potencia, frecuencia, velocidad y otros parámetros eléctricos como corriente de arranque, temperatura admisible, grados de protección y eficiencia energética, deben ser probados conforme a una norma técnica internacional, de reconocimiento internacional o NTC que le aplique, en laboratorios acreditados o evaluados como parte del proceso de certificación.
b. En el caso de generadores, se debe contar con protección contra sobrevelocidad y protección contra sobrecorriente.
c. Todo motor o generador eléctrico debe estar provisto de un diagrama de conexiones, el cual debe adherirse al encerramiento y una o varias placas de características. Las placas se deben elaborar en un material durable, con letras indelebles e instalarlas en un sitio visible y de manera que no sean removibles, además, contener como mínimo la siguiente información:
- Razón social o marca registrada del productor, comercializador o importador.
- Tensión nominal o intervalo de tensiones nominales.
- Corriente nominal.
- Potencia nominal, hasta 1000 msnm.
- Frecuencia nominal o especificar que es corriente continua.
- Velocidad nominal o intervalo de velocidades nominales.
- Número de fases para máquinas de corriente alterna.
- Grados de protección IP.
- Eficiencia energética a condiciones nominales de operación.
- Para las máquinas de corriente alterna, el factor de potencia nominal.
PARÁGRAFO 1o. Si la máquina se incorpora a un equipo, que no permita la libre observación de la placa de características, el productor debe suministrar una segunda placa para ser fijada en un lugar visible.
PARÁGRAFO 2o. Si una persona distinta del productor repara o modifica parcial o totalmente el devanado de una máquina o cualquier otro de sus componentes, se debe suministrar una placa adicional para indicar el nombre del reparador, el año de reparación y las modificaciones efectuadas.
d. El productor debe mantener a disposición del usuario la información que le sea aplicable de la siguiente lista:
- Corriente de arranque.
- Número de serie de la máquina o marca de identificación.
- Año de fabricación.
- Referencia numérica de las normas aplicadas.
- Características de funcionamiento específicas.
- Sobrevelocidad admisible.
- Temperatura ambiente máxima admisible.
- Temperatura ambiente mínima admisible.
- Altura sobre el nivel del mar para la cual está diseñada la máquina.
- Masa total de la máquina en kg.
- Torque de operación y torque de arranque.
- Posición de trabajo (vertical u horizontal).
- Clasificación térmica o calentamiento admisible (temperatura exterior máxima nominal).
- Clase de régimen nominal de tensión. Si es un intervalo entre tensión A y tensión B, debe marcarse A-B. Si es para doble tensión debe marcarse como A/B.
- Para las máquinas enfriadas por hidrógeno, presión del hidrógeno a la potencia nominal.
- Para las máquinas de corriente alterna, la frecuencia nominal o intervalo de frecuencias nominales.
- Para las máquinas de corriente alterna trifásica con más de tres puntos de conexión, instrucciones de conexión por medio de un esquema.
- Para las máquinas de corriente continua con excitación independiente o con excitación en derivación y para las máquinas sincrónicas, la tensión de excitación nominal y la corriente de excitación nominal.
- Para las máquinas de inducción con rotor bobinado, la tensión entre anillos de circuito abierto y corriente nominal del rotor.
- Para los motores de corriente continua cuyo inducido esté previsto para tener suministro mediante convertidores estáticos de potencia, el código de identificación del convertidor estático de potencia.
- Para motores que no sobrepasen los 5 kW, el factor de forma nominal y tensión alterna nominal en los bornes de entrada del convertidor estático de potencia, si ésta es superior a la tensión directa nominal del circuito de inducido del motor y los niveles de ruido.
e. El productor debe entregar al usuario las indicaciones y recomendaciones mínimas de montaje, operación y mantenimiento de la máquina.
20.21.2. REQUISITOS DE INSTALACIÓN.
a. El usuario debe atender las indicaciones y recomendaciones de montaje, operación y mantenimiento de la máquina suministradas por el proveedor, incluyendo la posición.
b. En lugares clasificados como peligrosos se deben utilizar motores aprobados y certificados para uso en estos ambientes.
c. Se debe conservar la posición de trabajo de la máquina (horizontal o vertical) indicada por el productor.
d. Las carcasas de las máquinas eléctricas rotativas deben ser sólidamente conectadas a tierra. Para generadores móviles debe tenerse un sistema aislado de tierra, el cual debe ser monitoreado.
e. Queda totalmente prohibida la utilización de motores abiertos en puntos accesibles a personas o animales.
f. La capacidad de la máquina se debe calcular teniendo en cuenta la corrección por la altura sobre el nivel del mar donde va a operar.
g. El motor o generador debe ser apropiado para el tipo de uso y condiciones ambientales del lugar donde opere.
h. Los sistemas accionados por motores eléctricos que impliquen riesgos mecánicos para las personas, deben tener un sistema de parada de emergencia. Igualmente, estas paradas de emergencia deben instalarse en bandas transportadoras, parques de juegos mecánicos y las demás máquinas que involucren rodillos y elementos cortantes.
i. Todo motor con corriente nominal igual o superior a 3 A, debe tener una protección termomagnética dedicada (exclusiva para el motor).
PARÁGRAFO. Para motores o generadores eléctricos de potencias mayores a 800 kW, el certificado de conformidad de producto, podrá sustituirse por la declaración del proveedor donde se especifique que cumple el presente reglamento, indicar las normas técnicas aplicadas y los resultados de las pruebas tipo y de rutina realizadas por un laboratorio; esta autocertificación se hará dando estricto cumplimiento a los criterios de la norma internacional IEC 17050. Igual tratamiento se dará a motores o generadores reutilizados o remanufacturados de potencia superior a 200 kW.
20.22. PANELES SOLARES FOTOVOLTAICOS.
Los paneles solares fotovoltaicos para proveer energía eléctrica a instalaciones domiciliarias o similares y establecimientos públicos, deben cumplir los requisitos de una norma técnica internacional o de reconocimiento internacional y demostrarlo mediante certificado de conformidad de producto expedido por un organismo de certificación acreditado.
La instalación eléctrica y el montaje de los paneles deben hacerse conforme a la sección 690 de la NTC 2050, por un profesional competente <una persona competente>* , quien debe declarar el cumplimiento del RETIE.
20.23. TABLEROS ELÉCTRICOS Y CELDAS.
Para efectos del presente reglamento, los productos llamados tableros, cuadros, gabinetes, paneles, o celdas, se denominarán tableros cuando sean de baja tensión y celdas cuando sean de media tensión. Se considera tablero principal, si contiene la protección principal y el puente equipotencial principal. Deben cumplir los requisitos exigidos en esta sección, según le apliquen.
20.23.1. TABLEROS DE BAJA TENSIÓN.
Los tableros de baja tensión se clasifican según la tabla 20.12 y de acuerdo con su tipo deben cumplir los requisitos que le apliquen, los cuales fueron adaptados de las normas relacionadas.
| Tipo de tablero | Norma IEC | Norma UL | NTC |
| De distribución | 60439-3 61439 -1/3 | 67 | 3475 2050 |
| De potencia | 60439-1 61439-1/2 | 891 508 | 3278 |
| Para instalaciones temporales | 60439-4 61439- 1/4 | 3278 2050 | |
| Para redes de distribución pública | 60439-5 61439-1/5 | 3278 2050 | |
Tabla 20.12. Normas de referencia para realizar pruebas de los tableros
Los tableros de distribución pueden contener interruptores automáticos enchufables (plug in) o tipo atornillable (bolt on).
20.23.1.1. CONDICIONES DE LA ENVOLVENTE O ENCERRAMIENTO (TAMBIÉN LLAMADO GABINETE O ARMARIO).
Los encerramientos destinados a tableros deben cumplir los siguientes requisitos adaptados de normas tales como IEC 60529, IEC 60695-2-11, IEC 60695-2-5, IEC 61439-1, IEC 62208, IEC 62262, UL 50, UL 65, NTC 1156, ANSI/NEMA-250 o ASTM 117.
a. Los tableros deben fabricarse de tal manera que las partes energizadas peligrosas no deben ser accesibles y las partes energizadas accesibles no deben ser peligrosas, tanto en operación normal como en caso de falla.
b. Tanto la envolvente como la tapa de un tablero, debe ser construido en lámina de acero, cuyo espesor y acabado debe resistir los esfuerzos mecánicos, eléctricos y térmicos, para los que fue diseñado.
c. El encerramiento del tablero de distribución, accesible sólo desde el frente; cuando sea metálico debe fabricarse en lámina de acero de espesor mínimo 0,9 mm para tableros hasta de 12 circuitos y en lámina de acero de espesor mínimo 1,2 mm para tableros desde 13 hasta 42 circuitos.
d. Los encerramientos deben tener un grado de protección contra sólidos no mayores de 12,5 mm, líquidos de acuerdo al lugar de operación y contacto directo, mínimo IP 2XC o su equivalente Nema.
e. Los encerramientos de los tableros deben resistir los efectos de la humedad y la corrosión, verificados mediante pruebas bajo condiciones de rayado en ambiente salino, durante mínimo 240 horas, sin que la progresión de la corrosión en la raya sea mayor a 2 mm. Para ambientes corrosivos la duración de la prueba no podrá ser menor a las 400 horas. El productor debe indicar cual tipo de prueba realizó.
f. Los encerramientos deben ser resistentes a impactos mecánicos externos mínimo grado IK 05.
g. Los compuestos químicos utilizados en la elaboración de las pinturas para aplicar en los tableros, no deben contener TGIC (isocianurato de triglicidilo).
h. Se admite la construcción de tableros de distribución con encerramientos plásticos o una combinación metal-plástico, siempre que sean autoextinguibles. Las partes no portadoras de corriente y que dan protección contra contacto directo deben probarse a hilo incandescente a 650 ºC durante 30 segundos y las partes aislantes que soporten elementos metálicos con hilo incandescente a 960 ºC según.
20.23.1.2. PARTES CONDUCTORAS DE CORRIENTE.
Las partes de los tableros destinadas a la conducción de corriente en régimen normal, deben cumplir los siguientes requisitos:
a. Las partes fijas deben ser construidas en plata, aleación de plata, cobre, aleación de cobre, aluminio, u otro metal que se haya comprobado útil para esta aplicación, no se debe utilizar el hierro o el acero en una parte que debe conducir corriente en régimen normal.
b. Los barrajes deben estar rígidamente sujetados a la estructura del encerramiento, sobre materiales aislantes para la máxima tensión que pueda recibir. Para asegurar los conectores a presión y los barrajes se deben utilizar tornillos y tuercas de acero con revestimiento que los haga resistentes a la corrosión o de bronce. Los revestimientos deben ser de cadmio, cinc, estaño o plata; el cobre y el latón no se aceptan como revestimientos para tornillos de soporte, tuercas ni terminales de clavija de conexión. Todo terminal debe llevar tornillos de soporte de acero en conexión con una placa terminal no ferrosa.
c. La capacidad de corriente de los barrajes de fase no debe ser menor que la máxima corriente de carga proyectada o la capacidad de los conductores alimentadores del tablero, excepto si tiene protección local incorporada. Todos los barrajes, incluido el del neutro y el de tierra aislada, se deben montar sobre aisladores.
d. La disposición de las fases de los barrajes en los tableros trifásicos, debe ser A, B, C, tomada desde el frente hasta la parte posterior; de la parte superior a la inferior, o de izquierda a derecha, vista desde el frente del tablero.
e. Todas las partes externas del panel deben ser puestas sólidamente a tierra mediante conductores de protección y sus terminales se deben identificar con el símbolo de puesta a tierra.
f. Todos los elementos internos que soportan equipos eléctricos deben estar en condiciones de resistir los esfuerzos electrodinámicos producidos por las corrientes de falla del sistema. Las dimensiones, encerramientos y barreras deben permitir espacio suficiente para alojamiento de los terminales y curvaturas de los cables.
g. Las partes fabricadas con materiales aislantes deben ser resistentes al calor, al fuego y a la aparición de caminos de fuga. La puerta o barrera que cubre los interruptores automáticos debe permitir su desmonte) solamente mediante el uso de una herramienta, puesto que su retiro deja componentes energizados al alcance (contacto directo).
h. Las partes de los tableros destinadas a la conducción de corriente en régimen normal, deben garantizar que se mantengan las condiciones de los materiales usados en las muestras sometidas a pruebas de certificación, para esto deben verificarse los siguientes parámetros:
- Contenido de cobre mínimo, o tipo de aleación de aluminio.
- Resistencia a la tracción (estado calibrado), mínima.
- Conductividad (estado calibrado), mínima.
- Dureza mínima.
- Ángulo de doblado.
- Módulo de elasticidad o módulo de Young.
20.23.1.3. TERMINALES DE ALAMBRADO.
Los terminales de alambrado de los tableros deben cumplir los siguientes requisitos:
a. Cada conductor que se instale en el tablero, debe conectarse mediante terminal que puede ser a presión o de sujeción por tornillo.
b. Se permiten conexiones en tableros mediante el sistema de peine, tanto para la parte de potencia como para la de control, siempre y cuando los conductores y aislamientos cumplan con los requisitos establecidos en el presente reglamento.
c. Cada circuito de derivación debe disponer de un terminal de salida para la conexión de los conductores de neutro o tierra requeridos.
d. El tablero debe proveerse con barrajes aislados para los conductores de neutro y puesta a tierra aislada, tanto del circuito alimentador como de los circuitos derivados y solo en el tablero principal, se debe instalar el puente equipotencial principal.
e. El tablero debe tener un barraje para conexión a tierra del alimentador, con suficientes terminales de salida para los circuitos derivados.
f. El alambrado del tablero debe cumplir el código de colores establecido en el presente reglamento.
20.23.1.4. ROTULADO E INSTRUCTIVOS.
Un tablero debe tener adherida de manera clara, permanente y visible, mínimo la siguiente información:
a. Tensión(es) nominal(es) de operación.
b. Corriente nominal de alimentación.
c. Número de fases.
d. Número de hilos (incluyendo tierras y neutros).
e. Razón social o marca registrada del productor, comercializador o importador.
f. El símbolo de riesgo eléctrico.
g. Cuadro para identificar los circuitos.
h. Indicar, de forma visible, la posición que deben tener las palancas de accionamiento de los interruptores, al cerrar o abrir el circuito.
i. Todo tablero debe tener su respectivo diagrama unifilar actualizado.
Adicional al rotulado, el productor de tableros debe poner a disposición del usuario, mínimo la siguiente información:
a. Grado de protección o tipo de encerramiento.
b. Diagrama unifilar original del tablero.
c. El tipo de ambiente para el que fue diseñado en caso de ser especial (corrosivo, intemperie o áreas explosivas).
d. Instrucciones para instalación, operación y mantenimiento.
20.23.2. CELDAS DE MEDIA TENSIÓN.
Las celdas de media tensión, deben cumplir los requisitos de una norma técnica internacional, tal como IEC 62271-1, IEC 62271-200, IEC 60695-11-10 de reconocimiento internacional, tales como la UL 347, UL94, ANSI- IEEE C37, NTC 3309 o NTC 3274 que les aplique, en todo caso debe asegurar el cumplimiento de los siguientes requisitos:
a. Las celdas del equipo de seccionamiento deben permitir controlar los efectos de un arco (sobrepresión, esfuerzos mecánicos y térmicos), evacuando los gases hacia arriba, hacia los costados, hacia atrás o al frente si lo hace por lo menos a dos metros del piso.
b. En celdas de media tensión, los aisladores deben cumplir la prueba de flamabilidad.
c. Las puertas y tapas deben tener un seguro para permanecer cerradas.
d. Las piezas susceptibles de desprenderse, tales como chapas o materiales aislantes, deben estar firmemente aseguradas.
e. Cuando se presente un arco, este no debe perforar partes externas accesibles.
f. Deben tener conexiones efectivas con el sistema de puesta a tierra.
g. Rotulado: la celda deberá tener especificada la clasificación de resistencia al arco interno y de rotulado establecidos en el numeral 20.23.1.4 del presente anexo general.
h. Las partes conductoras de corriente deben cumplir el literal h del numeral 20.23.1.2.
PARÁGRAFO 1o. En las celdas de transformador tipo seco se debe facilitar el intercambio de calor en el transformador, por lo que a este tipo de celdas no les aplica el literal a) del presente numeral.
PARÁGRAFO 2o. En ningún caso se aceptan celdas con encerramientos que tengan requisitos menores a los de los tableros de BT numeral 20.23.1.1 del presente anexo.
20.23.3. CERTIFICACIÓN DE TABLEROS Y CELDAS.
Para efectos de la certificación de los tableros de baja tensión y las celdas de media tensión, se debe verificar mediante pruebas, mínimo los siguientes parámetros:
a. Grados de protección IP no menor a 2XC (o su equivalente Nema) e IK declarados.
b. Incremento de temperatura.
c. Propiedades dieléctricas.
d. Distancias de aislamiento y fuga.
e. Efectividad del circuito de protección.
f. Comprobación del funcionamiento mecánico de sistemas de bloqueo, puertas, cerraduras u otros elementos destinados a ser operados durante el uso normal del tablero.
g. Resistencia a la corrosión del encerramiento.
h. Resistencia al calor anormal y al fuego de los elementos aislantes.
i. Medidas de protección contra el contacto directo (barreras, señales de advertencia, etc.).
j. Resistencia al cortocircuito.
k. Arco interno (solo para el caso de celdas de media tensión).
PARÁGRAFO 1o. Por un periodo no mayor a cinco años o antes si en el país se cuenta con laboratorios que permitan hacer pruebas de cortocircuito y de arco interno, el organismo de certificación podrá aceptar que se remplacen tales pruebas por simulaciones efectuadas mediante cálculos, programas de cómputo o similares, siempre que el modelo utilizado para la simulación se soporte adecuadamente en la literatura técnica y haya sido validado por un laboratorio de ensayos que tenga acreditadas pruebas eléctricas relacionadas o esté asistido por un laboratorio de una universidad que tenga programa aprobado de ingeniería eléctrica. El organismo de certificación debe asegurarse que el ente que desarrolle la simulación cumpla las condiciones de idoneidad, transparencia e independencia requerida en un proceso de certificación.
Igualmente se podrán aceptar simulaciones usando el procedimiento de la norma IEC 61439-1, anexo D o de otra norma equivalente. Para la prueba se debe tomar una muestra del ensamble o de las partes del ensamble para verificar si el diseño cumple con los requisitos indispensables del ensamble estándar.
El organismo de certificación debe especificar en el certificado de conformidad, si este se expide basado en la simulación o en la prueba de cortocircuito y de arco interno.
PARÁGRAFO 2o. No se aceptará como certificado de la conformidad con RETIE de la celda o del tablero, solamente el certificado del encerramiento.
PARÁGRAFO 3o. <Parágrafo adicionado por el artículo 16 de la Resolución 90795 de 2014. El nuevo texto es el siguiente:> Las pruebas de los tableros se harán atendiendo la norma IEC 61439-1 o equivalente y las normas a las que remitan para cada tipo de prueba. La prueba de resistencia al cortocircuito aplica a celdas y tableros. Acorde con el numeral 10.11.2 de la norma IEC 61439-1, están exentos de esta prueba los siguientes productos: a) tableros con corriente de corta duración o corriente de cortocircuito inferiores a 10 kA eficaces; b) tableros protegidos por dispositivos limitadores de corriente con una corriente de corte que no exceda 17 kA; c) tableros ensamblados a transformadores de potencia no mayor a 10 kVA. Los requisitos de la pruebas de resistencia al cortocircuito y de arco interno (o en su defecto las simulaciones de dichas pruebas) serán exigibles a partir del primero (1o) de enero de 2015.
20.23.4. INSTALACIÓN DE CELDAS Y TABLEROS.
Las celdas y tableros eléctricos son equipos de frecuente riesgo de arco eléctrico; para minimizar este riesgo, se deben aplicar las siguientes prescripciones:
a. La instalación y puesta en servicio de celdas y tableros debe ser ejecutada por profesionales competentes.
b. Cuando la celda o el tablero este diseñado para uso en interior el equipo debe ser almacenado en posición vertical en un lugar seco y ventilado, protegido de la lluvia, temperaturas extremas y el polvo, esto con el fin de evitar el deterioro de características propias del producto originalmente testeado.
c. Los tableros con sistema de instalación tipo riel DIN, no podrán superar el nivel de ocupación definido por el productor.
d. El piso debe ser plano y las máximas desviaciones de nivel serán las permitidas por el productor.
e. Salvo que el productor especifique otro valor, la distancia de la celda al techo no debe ser menor de 60 cm.
f. Los barrajes de tierra de un conjunto de secciones modulares deben quedar interconectadas, utilizando tornillos y tuercas mínimo grado o clase 5, con la presión adecuada a la tornillería.
g. Los cables nunca deben atravesar los barrajes.
h. Se debe conectar primero el barraje de tierra del tablero a la malla de tierra para asegurar la protección del personal.
i. La instalación de amarra-cables, no debe afectar el grado de protección IP.
j. Se deben utilizar terminales para hacer las conexiones entre cables y barrajes. Si la conexión es con cable de aluminio se deben utilizar conectores bimetálicos.
k. Cuando la conexión involucra varias barras por fase, los conectores se deben colocar enfrentados y con espaciadores de cobre entre las barras.
l. Cuando las conexiones van directamente a los terminales de los equipos, se deben aplicar los torques especificados por el productor.
m. Se deben respetar las distancias de seguridad definidas por el productor para garantizar el correcto funcionamiento de los equipos.
n. Los cables del sistema de control deben alambrarse en canaleta, bajo los siguientes criterios:
- Las canaletas se deben asegurar por lo menos cada 600 mm.
- Las canaletas no deben llenarse a más del 70% de su capacidad.
- Las conexiones deben ser hechas en borneras.
- Todos los hilos de un conductor deben insertarse en el agujero del borne.
- Ajustar firmemente, teniendo el cuidado de no cortar los hilos.
- Los conductores deben ser blindados, cuando sean para señales de comunicaciones y se debe conectar a tierra el blindaje.
o. Se deben realizar las siguientes verificaciones:
- Funcionalidad de las rejillas de ventilación, las tapas laterales y las puertas.
- Identificaciones del tablero y de los conductores de control y potencia.
- Conexión a tierra de las puertas.
- Remover el polvo.
- Medir equipotencialidad entre partes conductoras del tablero.
- Verificar los torques de las uniones mecánicas, eléctricas y de anclaje.
- Verificar los enclavamientos mecánicos de los equipos del tablero.
- Inspeccionar visualmente de toda la estructura del tablero, especialmente la pintura. Hacer retoques si es necesario.
- Engrasar ligeramente los contactos eléctricos (grasa contactal).
- Remover todos los objetos extraños que puedan impedir la operación del tablero (restos de cables, tuercas, tornillos, herramientas, etc.).
- Realizar las pruebas de aislamiento: las mediciones deben ser realizadas usando un megómetro a una tensión de por lo menos 500 Vcc. El valor de la resistencia de aislamiento debe ser no menor de 1000 ?/V.
- Después de estos pasos y dejando registros de evidencia podrá proceder con la energización.
p. La instalación de tableros en espacios públicos deben atender los lineamientos del planeamiento urbano del municipio y en ningún caso debe generar riesgos para el público en general.
q. Se prohíbe la instalación de tableros en paredes contiguas a los peldaños de las escaleras, o en espacios que contravengan los requerimientos establecidos en la NTC 2050.
20.24. TRANSFERENCIAS AUTOMÁTICAS.
Las transferencias utilizadas en sistemas de emergencia, suplencias de circuitos, deben estar incorporadas en un encerramiento que cumpla los requisitos del numeral 20.23.1.1 de este anexo general. Sus componentes y alambrado deben cumplir normas técnicas internacionales, de reconocimiento internacional o NTC aplicable a este tipo de producto, tales como UL 1008, IEC 60947- 6-1 o equivalentes.
Para efectos del presente reglamento, los transformadores eléctricos de capacidad mayor o igual a 3 kVA, nuevos, reparados o reconstruidos, deben cumplir con los siguientes requisitos, adaptados de las normas IEC 60076-1, ANSI C57 12, NTC 3609, NTC 1490, NTC 1656, NTC 3607, NTC 3997, NTC 4907, NTC 1954 o NTC 618.
20.25.1. REQUISITOS DE PRODUCTO.
a. Los transformadores deben tener un dispositivo de puesta a tierra para conectar sólidamente el tanque, el gabinete, el neutro y el núcleo, acorde con los requerimientos de las normas técnicas que les apliquen y las características que requiera su operación.
b. Todos los transformadores sumergidos en líquido refrigerante que tengan cambiador o conmutador de derivación de operación exterior sin tensión, deben tener un aviso: “manióbrese sin tensión”.
c. Todos los transformadores sumergidos en líquido refrigerante deben tener un dispositivo de alivio de sobrepresión automático, fácilmente reemplazable, el cual debe operar a una presión inferior a la máxima soportada por el tanque.
d. Los transformadores de distribución, deben poseer un dispositivo para levantarlos o izarlos, el cual debe ser diseñado para proveer un factor de seguridad mínimo de cinco para transformadores en refrigerados en aceite y de tres para transformadores secos. El esfuerzo de trabajo es el máximo desarrollado en los dispositivos del levantamiento por la carga estática del transformador completamente ensamblado.
e. Los dispositivos de soporte para colgar en poste, deben ser diseñados para proveer un factor de seguridad de cinco, cuando el transformador es soportado en un plano vertical desde el dispositivo superior.
f. El nivel máximo de ruido (presión de ruido LPA) no debe superar los niveles establecidos en las normas técnicas de producto aplicables.
g. El productor debe entregar al usuario las indicaciones y recomendaciones mínimas de montaje y mantenimiento del transformador.
h. Rotulado: todo transformador debe estar provisto de una placa fabricada en material resistente a la corrosión y fijada en un lugar visible que contenga los siguientes datos en forma indeleble.
- Marca o razón social del productor o proveedor.
- Número de serie dado por el productor.
- Año de fabricación.
- Clase de transformador.
- Número de fases.
- Frecuencia nominal.
- Potencias nominales, de acuerdo al tipo de refrigeración.
- Tensiones nominales, número de derivaciones.
- Corrientes nominales.
- Impedancia de cortocircuito.
- Peso total en kilogramos.
- Grupo de conexión.
- Diagrama de conexiones.
i. La siguiente información adicional, debe estar disponible para el usuario (catálogo):
- Corriente de cortocircuito simétrica.
- Duración del cortocircuito simétrico máximo permisible.
- Métodos de refrigeración.
- Clase de aislamiento.
- Líquido aislante.
- Volumen del líquido aislante.
- Nivel básico de asilamiento de cada devanado, BIL.
- Valores máximos de ruido permisibles en transformadores y su forma de medición.
- Pérdidas de energía totales a condiciones nominales.
PARÁGRAFO 1o. Si una persona distinta del productor repara o modifica parcial o totalmente el devanado de un transformador o cualquier otro de sus componentes, se debe suministrar una placa adicional para indicar el nombre del reparador, el año de reparación y las modificaciones efectuadas.
PARÁGRAFO 2o. Excepciones en el procedimiento de certificación. El productor o proveedor de transformadores de fabricación única, de transformadores de potencias mayores a 800 kVA o el que repare o modifique un transformador, podrá remplazar el certificado expedido por un organismo de certificación de producto, por la declaración de proveedor o del reparador, teniendo en cuenta los requisitos de la norma ISO-IEC-NTC 1750; para lo cual debe utilizar productos de calidad debidamente certificada de acuerdo con los requisitos establecidos en éste reglamento, realizar las pruebas pertinentes e incluir dentro de sus protocolos de ensayo la información correspondiente a los resultados de las verificaciones de las características exigidas en el RETIE, comprobadas mediante la ejecución de cálculos, ensayos tipo, ensayos de rutina, según aplique.
PARÁGRAFO 3o. Los propietarios de transformadores rebobinados deben disponer de los protocolos de pruebas entre ellas las de pérdidas de energía, para cuando la SIC u otra autoridad competente los solicite.
20.25.2. REQUISITOS DE INSTALACIÓN.
a. Cuando el transformador no sea de tipo sumergible y se aloje en cámaras subterráneas sujetas a inundación, éstas deben ser debidamente impermeabilizadas para evitar humedad y en lo posible debe separarse de la cámara de maniobras. Cuando la cámara subterránea no sea impermeable se debe instalar transformador y caja de maniobras tipo sumergible.
b. Los transformadores refrigerados en aceite no deben ser instalados en niveles o pisos que estén por encima o contiguos a sitios de habitación, oficinas y en general lugares destinados a ocupación permanente de personas, que puedan ser objeto de incendio o daño por el derrame del aceite. Los transformadores con más de 2000 galones de aceite deben instalarse mínimo a 9 m de las paredes de la subestación, si no se cumple esa condición deben colocarse paredes resistentes al fuego conforme a la norma NFPA 255. Si el volumen de aceite está entre 500 y 2000 galones, la distancia se puede reducir a 7 m y si no se puede cumplir tal distancia se debe colocar la pared resistente al fuego mínimo de dos horas.
c. Cuando un transformador aislado en aceite requiera instalación en bóveda (conforme a la sección 450 de la norma NTC 2050), la bóveda debe asegurar que a temperaturas por encima de 150 ºC no permita la entrada de aire para apagar el incendio por ausencia de oxígeno. La bóveda debe cumplir los requisitos señalados en el numeral 20.4.1 del presente anexo.
d. Los transformadores y barrajes del secundario, cuando se usen en instalaciones de uso final, deben instalarse de acuerdo con lo establecido en la sección 450 de la NTC 2050.
e. Todo transformador con tensión nominal superior a 1000 V debe protegerse por lo menos en el primario con protecciones de sobrecorriente, cuando se usen fusibles estos deben ser certificados y seleccionados de acuerdo con una adecuada coordinación de protecciones.
f. El nivel de ruido en la parte externa del encerramiento no debe superar los valores establecidos en las disposiciones ambientales sobre la materia, de acuerdo con la exposición a las personas.
20.26. UNIDADES DE POTENCIA ININTERRUMPIDA (UPS).
Para los efectos del presente reglamento, las UPS deben observar lo establecido en la NTC 2050 para su instalación y cumplir los requisitos de producto de una norma técnica internacional como la IEC 62040-3 o de reconocimiento internacional como la UL 1778.
Las UPS deben tener entre otros las siguientes indicaciones en la marcación:
a. Número de fases (a menos que sea una UPS monofásica).
b. Potencia activa nominal de salida en W o kW.
c. Potencia aparente nominal de salida en VA o kVA.
d. Tensión nominal de salida.
e. Corriente nominal de salida.
f. Frecuencia nominal de salida.
Cuando se instalen unidades en paralelo, debe tenerse especial atención con la sincronización de ellas, así como el retorno de tensión desde la carga y la sobrecarga permitida.
20.27. UNIDADES DE TENSIÓN REGULADA (REGULADORES DE TENSIÓN).
Para los efectos del presente reglamento, cubre únicamente a reguladores de baja tensión de potencia mayor o igual a 500 VA, los cuales deben cumplir los requisitos de una norma técnica internacional, de reconocimiento internacional que le aplique o la NTC 2540.
20.28. PRODUCTOS UTILIZADOS EN INSTALACIONES ESPECIALES.
Los productos utilizados en este tipo de instalaciones (aquellas localizadas en ambientes clasificados como peligrosos, con alta concentración de personas o que alimentar equipos o sistemas complejos), es decir, las del artículo 28 del presente anexo general y tratados con mayor detalle en los capítulos 5, 6 y 7 de la NTC 2050, deben cumplir una norma técnica internacional, de reconocimiento internacional o NTC que le aplique al producto y a la condición de instalación y deben demostrarlo mediante certificado de conformidad.
Para verificar si un producto es el apropiado para las condiciones especiales, el inspector de la instalación debe comprobarlo, comparando el alcance de la norma técnica en la cual se soporta el certificado de conformidad de producto, con las condiciones especiales en las cuales operará la instalación.
20.29. PORTALÁMPARAS O PORTABOMBILLAS.
Si bien los portalámparas usados en las instalaciones objeto del presente reglamento, están asociados con los requisitos de iluminación establecidos en el reglamento técnico de iluminación y alumbrado público, Retilap, los requisitos de producto y su instalación están relacionados con seguridad contra riesgos de origen eléctrico, en consecuencia deben cumplir los siguientes requisitos y demostrar su cumplimiento con RETIE:
20.29.1. REQUISITOS DE PRODUCTO.
a. El portabombillas para lámparas con casquillo roscada debe ser del tipo E 27 y cumplir las dimensiones y tolerancias de la norma IEC 60061. Para alumbrado público o industrial se podrá aceptar portalámparas para bombillas con casquillo E 40 o E 39 (tipo Mogul).
b. Las partes externas de material aislante no cerámico que proveen protección contra choque eléctrico deben ser sometidas a la prueba de hilo incandescente a 650 ºC durante 30 s, cualquier llama o incandescencia del espécimen se extinguirá dentro de los 30 s después de retirar el filamento y cualquier llama que caiga no encenderá una pieza de 5 capas de papel de seda especificado en el numeral 6.8.6 de la norma ISO 4046, extendido horizontalmente, 200 mm ± 5 mm debajo del prototipo bajo ensayo.
c. Las partes de material aislante que mantienen en posición las partes vivas deben someterse al ensayo del quemador de aguja según la norma IEC 695-2-1. Si es necesario retirar ciertas partes del portalámparas para realizar el ensayo, se debe vigilar que las condiciones de ensayo no se alejen de manera significativa de aquellas que existen en uso normal.
d. El portabombillas debe tener una resistencia mecánica para soportar una torsión de por lo menos 2,26 N, debida a la inserción de la bombilla y el material no conductor debe ser autoextinguible demostrado mediante la prueba de hilo incandescente a 650 ºC durante 30 segundos, sin que se mantenga la llama, cuando se retire el hilo caliente.
e. El casquillo y el contacto central del portabombilla y las demás partes conductoras de corriente, deben ser de un material no ferroso y resistente a la corrosión.
20.29.2. REQUISITOS DE INSTALACIÓN.
a. Los portalámparas deben instalarse atendiendo los requisitos establecidos en la sección 410 de la NTC 2050. Asegurando que partes energizadas no queden expuestas para lo cual debe comprobarse que la fase esté conectada el terminal central del portalámparas y el neutro a la camisa roscada.
b. La ubicación de portalámparas debe asegurar el cumplimiento de principios del Retilap, en especial lo relacionado con uso racional y eficiente de energía, niveles de iluminación y el control de deslumbramiento. Igualmente debe asegurar la evacuación del calor producido por la lámpara para evitar incendio de materiales aledaños.
c. Estos aspectos están relacionados con la seguridad de la instalación eléctrica y deben ser verificados en el proceso de establecer la conformidad con RETIE.
REQUISITOS PARA EL PROCESO DE GENERACIÓN.
Central o planta de generación es el conjunto de instalaciones que contienen máquinas, generadores, motores, aparatos de control, maniobra, protección y medida, que sirven para la producción de energía eléctrica, distintas a las consideradas como plantas de emergencia.
Para efectos del presente reglamento, una central de generación por tener implícitos los procesos de transmisión, transformación, distribución y uso final, debe cumplir con los requisitos de cada proceso que le sean aplicables. Los requisitos de este capítulo son de obligatorio cumplimiento y deben ser tomados como complementarios de los contenidos en los demás capítulos del presente anexo general.
Las disposiciones contenidas en este reglamento, son de obligatoria aplicación en todo el territorio colombiano y deben ser cumplidas por las empresas generadoras que operen en el país.
ARTÍCULO 21. PRESCRIPCIONES GENERALES. Adicional al cumplimiento de los permisos, requerimientos ambientales, de planeación municipal o distrital y las concesiones a que haya lugar, la central de generación debe cumplir los siguientes requisitos:
a. Las edificaciones y estructuras de las centrales de generación deben cumplir el Código Sismorresistente colombiano.
b. Las instalaciones eléctricas para uso final, deben cumplir la NTC 2050 primera actualización o la norma internacional IEC 60364, pero no la mezcla de normas.
c. El edificio de la central de generación eléctrica debe ser independiente de toda construcción no relacionada con el proceso de generación. Se exceptúan de este requisito las instalaciones en industrias que tengan procesos de cogeneración.
d. Queda terminantemente prohibido el empleo de materiales combustibles en las proximidades de las canalizaciones y de las máquinas o equipos bajo tensión, permitiéndose su utilización siempre y cuando estén alejados de la parte en tensión o debidamente protegidos (por ejemplo en instalaciones con plantas diésel).
e. En el centro de control de la planta debe disponerse de un mímico que represente el diagrama unifilar de la central, que cubra los sistemas de media y alta tensión y de las líneas de transmisión asociadas con conexión física directa a la central, el cual debe ir sobre paneles o en pantallas de computador y cerca de los centros de mando.
f. Los puente grúas que se tengan para maniobrar los elementos en las centrales deben estar provistos de limitadores de recorrido, tanto en el sentido de traslación como de elevación y debe señalizarse la altura disponible de elevación y el peso máximo. Además, deben disponer de un indicador sonoro con el fin de avisar al personal de operación cuando éste se encuentre en movimiento de translación.
g. Las compuertas de captación de la central hidráulica deben tener un sistema de control automático y además un control manual mecánico para la apertura o cierre según sea el caso.
h. En las plantas térmicas que poseen chimeneas de alturas mayores de 25 m, éstas deben pintarse con los requerimientos de la señalización aeronáutica.
i. En las proximidades de partes bajo tensión o de máquinas en movimiento, se prohíbe el uso de pavimentos excesivamente pulidos y el montaje de escaleras estrechas.
j. Se debe evitar la construcción de depósitos de agua sin confinar en el interior de las centrales en las zonas próximas a las instalaciones de alta tensión, que puedan poner en riesgo la seguridad de las personas o la instalación.
k. En los cuartos de baterías no deben existir vapores de alcohol, amoniaco, ácido acético, clorhídrico, nítrico o residuos volátiles. Estos cuartos no deben tener comunicación directa con el centro de control, deben ser secos, bien ventilados y no estar sujetos a vibraciones perjudiciales que puedan originar desprendimientos de gases y desgastes prematuros, se debe disponer además de un dispositivo para lavado de ojos y manos en caso de emergencia.
l. Para edificaciones en caverna se deben utilizar transformadores tipo seco para los sistemas de servicios auxiliares y en general sistemas de baja tensión.
m. Los pasillos de gran longitud y en general donde exista la posibilidad de producirse arcos eléctricos, deben tener dos accesos como mínimo. Los cables que vayan por estos pasillos y los pasa-tapas deben ser de materiales retardantes a la llama.
n. La central de generación debe tener un sistema automático de extinción de incendios y un plan de emergencias.
o. Los sistemas de protección contra incendios deben operar mínimo a las señales de temperatura y humo.
p. Todos los circuitos de baja tensión situados en las proximidades de máquinas, aparatos u otros circuitos de alta tensión, deben ser considerados como pertenecientes a instalaciones de alta tensión, en los casos en que, por falta de protección, se pueda presentar un contacto entre ellos.
q. Las canalizaciones eléctricas no se deben instalar en las proximidades de tuberías de calefacción, de conducciones de vapor y en general de lugares de temperatura elevada y de ventilación defectuosa.
El cableado debe estar ordenado, amarrado y con sus circuitos debidamente identificados en todas las canaletas. Los cables deben tener un aislamiento en material auto extinguible o con retardantes de llama.
r. La iluminación en la central y en las subestaciones debe ser uniforme, evitando en especial el deslumbramiento en las zonas de lectura de tableros, los valores de iluminancia deben cumplir los requisitos establecidos en el reglamento técnico de iluminación y alumbrado público, Retilap.
s. En las centrales que exijan personal operando permanentemente, debe disponerse de un alumbrado de emergencia que provenga de una fuente diferente al alumbrado normal. Cada lámpara de este sistema debe tener una autonomía mínima de 60 minutos.
t. Todos los lugares de circulación de personas, tales como accesos, salas, pasillos, etc., deben estar libres de objetos que puedan dar lugar a accidentes o interrumpan visiblemente la salida en casos de emergencia. Las rutas de evacuación deben estar demarcadas con avisos y señales de salida que sean luminosas, con pintura fotoluminicente y con luces conectadas al circuito de emergencia de la central.
u. Para evitar los peligros que pudieran originar el incendio de un transformador de más de 100 kVA o un interruptor de gran volumen de aceite, se debe construir un foso o sumidero en el que se colocarán varias capas de gravilla que servirán como filtro y para ahogar la combustión.
v. Los transformadores con potencia igual o mayor 100 kVA, ubicados al interior de la casa de máquinas deben ser instalados en celdas diseñadas con muros y puertas antiexplosión. Cada celda debe tener un sistema automático de extinción de incendio y además un sistema de renovación de aire por medio de una unidad manejadora.
w. Los transformadores con potencia igual o mayor 100 kVA, ubicados en la subestaciones deben ser instalados en espacios protegidos por muros y puertas cortafuego.
x. Las conducciones de gas deben ir siempre alejadas de las canalizaciones eléctricas. Queda prohibida la colocación de ambas conducciones en un mismo ducto o banco de ductos. En áreas que se comuniquen con tuberías donde se presente acumulación de gas metano es obligatorio el uso de equipos a prueba de explosión.
y. Las centrales de generación deben cumplir con los límites de emisiones, de ruido y demás normas establecidas por las autoridades ambientales; igualmente las normas de sismorresistencia.
PARÁGRAFO. Las pequeñas centrales o microcentrales eléctricas, se podrán apartar de algunos de estos requisitos, siempre que no se comprometa la seguridad de las personas, animales y el medio ambiente.
21.2. DISTANCIAS DE SEGURIDAD.
Las centrales de generación deben cumplir las distancias de seguridad establecidas en el artículo 13 del presente anexo general.
Con el fin garantizar la seguridad del personal en las centrales de generación, se deben cumplir los criterios establecidos en el artículo 15 del presente anexo general.
21.4. VALORES DE CAMPO ELECTROMAGNÉTICO.
En sitios de trabajo debe verificarse que los niveles de campo electromagnético no superen los valores establecidos en el artículo 14 del anexo general.
21.5. SUBESTACIONES ASOCIADAS A CENTRALES DE GENERACIÓN.
Para unificar responsabilidades y criterios, cuando la central de generación tenga asociada una subestación, para los efectos de certificación de la conformidad se debe considerar como un conjunto y tener un solo certificado que incluya todos los componentes.
21.6. OTRAS ESTRUCTURAS ASOCIADAS A LA CENTRAL DE GENERACIÓN.
Las estructuras asociadas a la central de generación tales como: presas o diques, estructuras de captación, conducción y descarga de agua, patios de subestaciones o de almacenamientos, bodegas, y campamentos, deben cumplir normas técnicas internacionales o de reconocimiento internacional para estas estructuras, el Código de Sismorresistencia colombiano, las normas ambientales que le apliquen y las normas y disposiciones de planeación municipal o distrital donde se localice la central.
21.7. OPERACIÓN Y MANTENIMIENTO DE LAS CENTRALES DE GENERACIÓN.
La operación y mantenimiento de la central de generación debe cumplir todos los requerimientos de tipo regulatorio, comercial, ambiental y de planeación municipal o distrital, así como los permisos y concesiones que le apliquen.
REQUISITOS PARA EL PROCESO DE TRANSMISIÓN.
Las disposiciones contenidas en el presente capítulo se refieren a las prescripciones técnicas que deben cumplir las líneas eléctricas aéreas de alta y extra alta tensión de corriente alterna trifásica a 60 Hz de frecuencia nominal.
Para los efectos del presente reglamento, se considera transmisión a la transferencia (o transporte) de energía eléctrica en altas y extra altas tensiones, iguales o mayores a 57,5 kV y no se debe confundir con los nombres y niveles de tensión establecidos en la regulación para aspectos de tipo comercial o de calidad del servicio.
Los sistemas de transmisión entregan la energía desde las plantas generadoras a las subestaciones y a grandes instalaciones industriales, desde las cuales los sistemas de distribución proporcionan el servicio a las zonas residenciales y comerciales. También sirven para interconectar plantas de generación, permitiendo el intercambio de energía, cuando las plantas generadoras están fuera de servicio por haber sufrido un daño o por reparaciones de rutina.
Los requisitos de este capítulo son de obligatorio cumplimiento y deben ser tomados como complementarios de los contenidos en los otros capítulos del presente reglamento.
Las disposiciones contenidas en este reglamento, son de aplicación en todo el territorio colombiano y deben ser cumplidas por las empresas que construyan y operen líneas de transmisión de energía con tensiones superiores a 57,5 kV en corriente alterna.
Aquellas líneas en las que se prevea utilizar otros sistemas de transmisión de energía (corriente continua o cables subterráneos o corriente alterna monofásica o polifásica) deben ser objeto de una justificación especial ante el Ministerio de Minas y Energía o la entidad que éste determine y se deben adaptar a las prescripciones y principios básicos del presente reglamento y las particulares para el caso específico.
ARTÍCULO 22. PRESCRIPCIONES GENERALES DE LAS LÍNEAS DE TRANSMISIÓN. Las disposiciones contenidas en el presente reglamento se refieren a las prescripciones técnicas mínimas que deben cumplir las líneas eléctricas aéreas de alta y extra alta tensión.
Toda línea de transmisión construida o modificada en la vigencia del presente reglamento, debe contar con una certificación plena, con el mecanismo de certificación vigente al inicio de la construcción.
Toda línea de transmisión objeto del RETIE debe contar con los diseños eléctricos, mecánicos y de obras civiles, que garanticen los niveles de confiabilidad exigidos por la regulación para cada tipo de línea, con el diseño integral de las líneas de transmisión requiere un trabajo multidisciplinario y los profesionales que intervengan deben identificarse con su nombre, número de matrícula profesional y suscribir los documentos con su firma.
El diseño debe contemplar mínimo los siguientes documentos: memorias de cálculos eléctricos, estructurales, mecánicos y geotécnicos; especificaciones técnicas; requerimientos ambientales; análisis económicos y planos.
Los planos deben mostrar el tipo de obra a ejecutar, fabricación de estructuras, construcción de accesos, montaje de estructuras, tendido de conductor, cantidad de obra a construir, cantidad y tipo de estructuras, cantidad y tipo de conductor. En las especificaciones técnicas el diseñador debe definir el alcance de los trabajos, las normas generales y particulares aplicables, los equipos, métodos y procedimientos a seguir en la construcción.
El diseño debe contener mínimo los siguientes planos; de localización, de planta y perfil, a lo largo de toda la línea. En la vista de perfil deben dibujarse las variaciones de altura de cota del terreno en la proyección del eje de la línea, localizando detalles, la cota a cada 20 m y las pendientes laterales en ese punto, localización, altura y tipo de estructura y plantilladlo de la curva del conductor más bajo a mayor temperatura.
El diseño también debe contener los planos de las cimentaciones e identificar cada una de las fuerzas que actúan en la estructura y en la cimentación.
En el diseño se deben tener en cuenta las alternativas de menor impacto ambiental, siguiendo los lineamientos de la autoridad ambiental y los usos del suelo establecidos en los planes de ordenamiento territoriales de los municipios.
El diseño eléctrico debe contemplar mínimo lo siguiente:
a. Comportamiento de la línea tanto en régimen permanente como en régimen transitorio.
b. Confiabilidad de la línea (número de salidas por 100 km/año).
c. Coordinación de aislamiento.
d. Coordinación de protecciones.
e. Distancias de seguridad.
f. Establecer los parámetros de la línea.
g. Estudio de apantallamiento.
h. Estudio de flujo de cargas.
i. Estudio de pérdidas de energía.
j. Evaluar el efecto corona y gradientes superficiales.
k. Evaluar las sobretensiones por ondas tipo rayo y tipo maniobra.
l. Evaluar los niveles de campos electromagnéticos en la zona de servidumbre.
m. Evaluar los niveles de radiointerferencia.
n. Puesta a tierra.
o. Nivel de ruido audible.
p. Conductor económico.
q. Calculo de pérdidas por efecto corona.
Para efectos del presente reglamento, las zonas de servidumbre deben ceñirse a las siguientes consideraciones:
a. <Literal corregido por el artículo 5 de la Resolución 90907 de 2013. El nuevo texto es el siguiente:> Toda línea de transmisión aérea con tensión nominal igual o mayor a 57,5 kV, debe tener una zona de seguridad o derecho de vía. Esta zona debe estar definida antes de la construcción de la línea, para lo cual se deben adelantar las gestiones para la constitución de la servidumbre, ya sea por mutuo acuerdo con los propietarios del terreno o por vía judicial, el propietario u operador de la línea debe hacer uso periódico de la servidumbre ya sea con el mantenimiento de la línea o poda de la vegetación y debe dejar evidencia de ello. En los casos que la servidumbre se vea amenazada, en particular con la construcción de edificaciones, debe solicitar el amparo policivo y demás figuras que tratan las leyes.
b. Dentro de la zona de servidumbre se debe impedir la siembra o crecimiento natural de árboles o arbustos que con el transcurrir del tiempo comprometan la distancia de seguridad y se constituyan en un peligro para las personas o afecten la confiabilidad de la línea.
c. <Literal corregido por el artículo 6 de la Resolución 90907 de 2013. El nuevo texto es el siguiente:> No se deben construir edificios, edificaciones, viviendas, casetas o cualquier tipo de estructuras para albergar personas o animales. Tampoco se debe permitir alta concentración de personas en estas áreas de servidumbre, o la presencia permanente de trabajadores o personas ajenas a la operación o mantenimiento de la línea, ni el uso permanente de estos espacios como lugares de parqueo, o reparación de vehículos o para el desarrollo de actividades comerciales o recreacionales. Las oficinas de planeación municipal y las curadurías deben abstenerse de otorgar licencias o permisos de construcción en dichas áreas y los municipios atender su responsabilidad en cuanto al control del uso del suelo y el espacio público de conformidad con la ley.
d. En los planes de ordenamiento territorial, POT, se debe respetar las limitaciones en el uso del suelo por la infraestructura eléctrica existente. Igualmente, los POT deben tener en cuenta los planes de expansión para poder garantizar la prestación del servicio de energía eléctrica.
e. En los casos en que los planes de ordenamiento territorial no permitan la construcción de una línea aérea en la zona urbana o las afectaciones por campos electromagnéticos o distancias de seguridad, superen los valores establecidos en el presente reglamento, la línea debe ser subterránea, teniendo en cuenta los espacios adecuados para la operación y el mantenimiento.
f. El operador de red debe negar la conexión a la red de distribución local, a una instalación que invada la zona de servidumbre, por el riesgo que representa para la vida de las personas.
g. En la zona de servidumbre a un metro de altura del piso los campos electromagnéticos no deben superar los valores establecidos en el artículo 14 del presente anexo general, para exposición ocupacional. En los alrededores de las áreas de servidumbre los valores a considerar serán los de exposición del público en general y si se tienen edificaciones deben medirse a un metro de altura del piso donde permanezcan las personas.
h. Para efectos del presente reglamento y de acuerdo con las tensiones normalizadas en el país, en la tabla 22.1 se fijan los valores mínimos requeridos en el ancho de la zona de servidumbre, cuyo centro es el eje de la línea.
<Tabla modificada por el artículo 17 de la Resolución 90795 de 2014. El nuevo texto es el siguiente:>
Tabla 22.1 Ancho de la zona de servidumbre de líneas de transmisión [m]
| TIPO DE ESTRUCTURA | TENSIÓN (kV) | ANCHO MÍNIMO (m) |
| Torres/postes | 500 (2 Ctos.) | 65 |
| 500 (1 Cto.) | 60 | |
| Torres/postes | 400 (2 Ctos.) | 55 |
| 400 (1 Cto.) | 50 | |
| Torres | 220/230 (2 Ctos.) | 32 |
| 220/230 (1 Cto.) | 30 | |
| Postes | 220/230 (2 Ctos.) | 30 |
| 220/230 (1 Cto.) | 28 | |
| Torres | 110/115 (2 Ctos.) | 20 |
| 110/115 (1 Cto.) | 20 | |
| Postes | 110/115 (2 Ctos.) | 15 |
| 110/115 (1 Cto.) | 15 | |
| Torres/postes | 57,5/66 (1 o 2 Ctos.) | 15 |
Nota 1: Cuando en una misma estructura se instalen circuitos de diferente nivel de tensión, el ancho de servidumbre mínimo debe ser el que le corresponde a la línea de mayor tensión.
Nota 2: Para líneas de transmisión en corriente directa (HVDC) los anchos mínimos de las franjas de servidumbre, serán las de la tabla anterior reducida en un 10%,
Nota 3: Los valores de servidumbre establecidos en la tabla 22.1 hacen alusión a anchos mínimos, no obstante, atendiendo el principio de economía y la reducción del impacto visual y ambiental, los anchos máximos no deben superar el 10% del valor señalado en la tabla.

Figura 22.1. Ancho de la zona de servidumbre
i. Servidumbre en líneas compactas: el ancho mínimo de la servidumbre en los tramos compactos de una línea nueva, se determinará como la distancia entre los puntos a ambos lados de la línea a partir de los cuales a un metro de altura del suelo o el piso donde se tenga presencia humana, el campo eléctrico y el campo magnético no superan los valores establecidos en el artículo 14 del presente anexo general, para exposición del público en general, incluyendo las condiciones más críticas de temperatura, vientos o fuerzas electromagnéticas a que puedan estar sujetos los conductores en la línea de transmisión. Dicha servidumbre nunca podrá ser menor que la que resulte de considerar las distancias de seguridad establecidas en el literal “j” del presente numeral.
j. Para líneas de transmisión con tensión nominal menor o igual a 500 kV que crucen zonas urbanas o áreas industriales y para las cuales las construcciones existentes imposibilitan dejar el ancho de la zona de servidumbre establecido en la tabla 22.1, se acepta construir la línea aérea, bajo los siguientes requisitos: a) que el plan de ordenamiento territorial existente en el momento de la planeación del proyecto así lo permita, b) Que un estudio de aislamiento del caso en particular, demuestre que no hay riesgos para las personas o bienes que se encuentran en las edificación, c) que en la edificación los valores de campos electromagnéticos para público en general no sean superados, d) que los valores de radiointerferencia ni ruido acústico supere los valores establecidos por la autoridad competente, e) que se asegure cumplir distancias de seguridad horizontales de por lo menos 3,5 m para 57,5 kV, 4 m para 115 kV, 6 m para 230 kV y 8,6 m para 500 kV, teniendo en cuenta los máximos movimientos de acercamiento a la edificación que pueda tener el conductor, estas distancias se deben medir entre la proyección vertical más saliente del conductor y el punto más cercano de la edificación.
Para estos casos se recomienda el uso de líneas compactas y podrá utilizar corredores de líneas de otras tensiones, montando varias líneas en la misma estructura ya sea torre o poste. En ningún caso la línea podrá ser construida sobre edificaciones o campos deportivos que tengan asociado algún tipo de construcción.
Las estructuras de apoyo de las líneas de transmisión deben estar soportadas en las cimentaciones apropiadas al tipo de suelo, peso y demás esfuerzos a que pueden estar sometidas, para impedir su volcamiento, giro o hundimiento que comprometa la estabilidad mecánica de la línea. Se debe hacer control de aguas para evitar deslizamientos que afecten la estabilidad de la cimentación.
Para efectos del presente reglamento y con el fin garantizar la seguridad tanto del personal que trabaja en las líneas como de los usuarios, se deben cumplir los criterios establecidos en el, artículo 15 del presente anexo general. Adicionalmente, las tensiones de paso y contacto deben ser comprobadas en las estructuras de líneas de transmisión con tensión igual o superior a 115 kV en zonas urbanas y en estructuras localizadas a menos de 20 m de escuelas, viviendas, industrias, comercios y en general en lugares de alta concentración de personas.
22.5. REQUISITOS MECÁNICOS EN ESTRUCTURAS O APOYOS DE LÍNEAS DE TRANSMISIÓN.
Los diseños, materiales empleados, forma constructiva y montaje de la estructura deben garantizar el cumplimiento de los requerimientos mecánicos a que pueda estar sometida, según los siguientes tipos de aplicación y condiciones de operación, para lo cual se deben cumplir los siguientes requisitos:
22.5.1. ESTRUCTURAS DE SUSPENSIÓN.
a. Condición normal: todos los conductores y cable(s) de guarda sanos, viento máximo de diseño y temperatura coincidente.
b. Condición anormal:
Para líneas con conductores en haz:
– El 50% de los subconductores rotos en cualquier fase; los demás subconductores, fases y cables de guarda sanos. Viento máximo promedio y temperatura coincidente.
– Un cable de guarda roto y las fases y el cable de guarda restante (si existe) sanos. Viento máximo promedio y temperatura coincidente.
Para líneas con un solo conductor por fase:
– Un conductor roto en cualquier fase. Las demás fases y el (los) cable (s) de guarda sanos. Viento máximo promedio y temperatura coincidente.
– Un cable de guarda roto y las fases y el cable de guarda restante (si existe) sanos. Viento máximo promedio y temperatura coincidente.
22.5.2. ESTRUCTURAS DE RETENCIÓN.
a. Condición normal: todos los conductores y cables de guarda sanos. Viento máximo de diseño y temperatura coincidente.
b. Condición anormal:
Para líneas con conductores en haz:
– Todos los subconductores en cualquier fase y un cable de guarda rotos simultáneamente. Las demás fases y el cable de guarda restante (si existen), sanos. Viento máximo promedio y temperatura coincidente.
Para líneas con un solo conductor por fase:
– Cualquier fase y un cable de guarda rotos simultáneamente. Las demás fases y el cable de guarda restante (si existe), sanos. Viento máximo promedio y temperatura coincidente.
– Dos fases diferentes rotas. La fase restante y el (los) cable (s) de guarda, sanos. Viento máximo promedio y temperatura coincidente.
22.5.3. ESTRUCTURAS TERMINALES.
a. Condición normal: todos los conductores y cables de guarda sanos. Viento máximo de diseño y temperatura coincidente.
b. Condición anormal:
Para las líneas con conductores en haz:
– Todos los subconductores en cualquier fase y un cable de guarda rotos simultáneamente. Las demás fases y el cable de guarda restante (si existe), sanos. Viento máximo promedio y temperatura coincidente.
– Todos los subconductores rotos en dos fases diferentes. La fase restante y el (los) cable(s) de guarda, sano(s). Viento máximo promedio y temperatura coincidente.
Para línea con un solo conductor fase:
– Cualquier fase y un cable de guarda rotos simultáneamente. Las demás fases y el cable de guarda restante (si existe), sanos. Viento máximo promedio y temperatura coincidente.
– Dos fases diferentes rotas. La fase restante y el (los) cable (s) de guarda, sanos. Viento máximo promedio y temperatura coincidente.
Los herrajes de líneas de transmisión deben cumplir los requisitos establecidos en el numeral 20.20 del presente anexo general y deben ser apropiados para el tipo de línea, dimensiones de conductores, cables de guarda, condiciones eléctricas, mecánicas y ambientales del medio donde se van a instalar.
22.7. AISLADORES Y AISLAMIENTO DE CONDUCTORES.
a. El aislamiento debe ser apropiado para las características eléctricas de la línea, teniendo en cuenta entre otros aspectos, el nivel de tensión, el número de salidas aceptadas por la regulación, densidad de rayos a tierra de la zona, sobretensiones por maniobra, polución o contaminación ambiental del lugar y tensión mecánica de conductores que determine cargas de rotura.
b. Carga de rotura de los aisladores. Para la determinación de la carga de rotura en los aisladores usados en líneas de transmisión se deben diferenciar las estructuras en suspensión y retención, con base en las cargas mecánicas a condición normal, aplicando los factores de seguridad calculados con base en el numeral 7.3.6 de la norma IEC 60826, así:
- Aisladores para estructuras en suspensión. La carga de rotura mínima debe ser igual a la sumatoria vectorial de las cargas verticales y transversales (máximo absoluto en la cadena) por el factor de seguridad, el cual no podrá ser menor de 2,5.
- Aisladores para estructuras en retención. La carga de rotura mínima del aislador debe ser igual a la máxima carga longitudinal a que este expuesto por el factor de seguridad, el cual no debe ser menor de 2,5.
c. La resistencia mecánica correspondiente a cadenas paralelas, puede tomarse igual al producto del número de cadenas que la forman por la resistencia de cada cadena simple, siempre que en estado normal se reparta entre todas y con una cadena rota, la carga se reparta por igual entre las demás.
d. Mantenimiento de aisladores. Los aisladores deben someterse a mantenimiento para conservar sus características aislantes. El criterio para determinar la pérdida de la función de un aislador, será la rotura o pérdida de sus propiedades aislantes, al ser sometidos simultáneamente a tensión eléctrica y esfuerzo mecánico.
e. El nivel de aislamiento de los conductores de líneas subterráneas, debe cumplir normas internacionales o de reconocimiento internacional, de acuerdo al nivel de tensión utilizado.
f. Los conductores de línea subterránea deben tener cámaras de inspección y de transposición.
22.8. DISTANCIAS MÍNIMAS DE SEGURIDAD.
a. Las líneas de transmisión deben cumplir las distancias mínimas de seguridad establecidas en el artículo 13 del presente anexo general, en las condiciones más críticas de temperatura, vientos o fuerzas electromagnéticas que soporten los conductores.
b. Se debe garantizar que en las zonas de servidumbre se mantenga controlado el crecimiento de la vegetación de tal forma que no se comprometan las distancias de seguridad.
c. El dimensionamiento eléctrico de las estructuras se debe definir mediante combinación de las distancias mínimas correspondientes a las sobretensiones debidas a descargas eléctricas atmosféricas, a las sobretensiones de maniobra y a las de frecuencia industrial. Adicionalmente, debe tener en cuenta los niveles de contaminación, la altura sobre el nivel del mar y las distancias mínimas para mantenimiento en tensión.
22.9. CONDUCTORES Y CABLES DE GUARDA.
Los conductores de fase y los cables de guarda usados en líneas de transmisión, deben cumplir los siguientes requisitos específicos para su instalación y operación, además de los propios del producto:
a. Deben ser apropiados para las condiciones ambientales donde se instalen.
b. La tensión mecánica de tendido del conductor no debe superar el 25% de la tensión de rotura del conductor sin carga.
c. Los herrajes utilizados para empalmar o sujetar los conductores deben ser apropiados a las características y tipos de conductores y no deben permitir el deslizamiento.
d. Se deben reparar o empalmar en el menor tiempo posible los conductores que presenten rotura de algunos de sus hilos.
e. Deben disponer de los elementos para amortiguar oscilaciones mecánicas de los conductores y cables de guarda causadas por vientos, fuerzas electromecánicas y cambios bruscos de temperatura.
22.10. SEÑALES DE AERONAVEGACIÓN.
En las superficies limitadoras de obstáculos y conos de aproximación a aeropuertos reguladas por Aerocivil, deben instalarse balizas en los conductores de las fases o los cables de guarda de mayor altura, cumpliendo los requisitos del reglamento aeronáutico de Colombia (Resolución 01092 de 2007 publicada en el Diario Oficial 46591 del 4 de abril del 2007) o la norma que la modifique o sustituya. Para efectos del presente reglamento, las balizas de señalización diurna, deben cumplir con los requisitos mínimos presentados a continuación:
a. Debe ser fabricada de un material resistente a la intemperie, de acuerdo con el procedimiento establecido en la ASTM G 155 o una norma equivalente. En general se debe asegurar que la baliza mantenga las características mecánicas y ópticas para que permanezca durante largo tiempo.
b. No se deben instalar balizas cuyo deterioro sea superior a 5 unidades calculado por el método de la norma ASTM D D2244.
c. Los diámetros exteriores mínimos son de 600 mm o las establecidas por las normas aeronáuticas.
d. Para la fijación de las balizas se deben utilizar mordazas, cables o aditamentos apropiados, en material galvánicamente compatible con el material del cable donde se instale y ajustable a diferentes calibres.
e. El color de las balizas debe ser “rojo aviación” o “naranja aeronáutica internacional” o los establecidos por la reglamentación técnica expedida por la Aerocivil.
f. Si se requieren balizas de señalización nocturna, pueden ser lámparas estroboscópicas, de encendido por inducción de la línea u otra tecnología, siempre que cumplan los requerimientos de la reglamentación aeronáutica.
PARÁGRAFO 1o. La baliza podrá demostrar la conformidad con el presente reglamento mediante declaración de proveedor o el productor, en la que se incluya: dimensiones, color, envejecimiento o resistencia a la intemperie, rigidez dieléctrica y desempeño.
22.11. USO DE NUEVAS TECNOLOGÍAS.
Se permite el uso de las tecnologías de transmisión como las GIL (gas insulated lines), las HPFF (high- pressure fluid filled lines), los VFT (variable frecuency transformers), HVDC (high voltage direct current transmission systems), FACTS (flexible AC transmission systems) y los conductores de alta temperatura, siempre que estén sujetos al cumplimiento de estándares internacionales o a guías de uso y aplicación de entidades como Cigre, IEEE, IEC o semejantes. Por ejemplo para las GIL existe “IEEE PC37.122.4 Guide for application and user guide for gas-insulated transmission lines (GIL), rated 72.5 kV and above”.
Los sistemas de transmisión en corriente continua para alta tensión, debe considerar los requerimientos de tecnologías como conversores AC/DC (rectificadores) y DC/AC (inversores), transformadores de conversión, líneas de transporte filtros AC y DC, los cuales deben cumplir los requisitos de una norma internacional como la IEC/TC 115 o equivalente.
La transmisión subterránea podrá realizarse por diversos tipos de canalización tales como ductos, bóvedas o enterramiento directo; usando la infraestructura existente como puentes, túneles u otro tipo de estructuras compartidas, siempre que se tengan las condiciones mecánicas y de espacios que no pongan en riesgo a personas, la infraestructura o la instalación eléctrica, que el productor de los cables y demás accesorios de la línea los haya certificado para dicho tipo de montaje y se cumplan los requerimientos establecidos por el productor o por una guía de reconocimiento internacional como las del Cigre o del IEEE.
Toda línea subterránea debe disponer de planos donde se identifique la ruta y profundidad y tener las señalizaciones apropiadas en su recorrido, para evitar que al realizar excavaciones, se pueda comprometer la seguridad de las personas o de la misma línea, la profundidad de enterramiento debe cumplir normas técnicas internacionales o de reconocimiento internacional para este tipo de líneas.
22.13. INFORMACIÓN DE SEGURIDAD A PERSONAS CERCANAS A LA LÍNEA.
Los propietarios u operadores de líneas de transmisión deben informar periódicamente a los residentes aledaños a las franjas de servidumbre de la línea, sobre los riesgos de origen eléctrico u otros riesgos que se puedan generar por el desarrollo de prácticas indebidas con la línea o sus alrededores y deben dejar evidencias del hecho.
REQUISITOS PARA EL PROCESO DE TRANSFORMACIÓN (SUBESTACIONES).
Las disposiciones contenidas en este reglamento son de aplicación en todo el territorio colombiano y deben ser cumplidas por las empresas que involucren el proceso de transformación de energía y que operen en el país; aplican a las subestaciones con tensiones nominales mayores a 1 kV.
Una subestación eléctrica es un conjunto de equipos utilizados para transferir el flujo de energía en un sistema de potencia, garantizar la seguridad del sistema por medio de dispositivos automáticos de protección y para redistribuir el flujo de energía a través de rutas alternas durante contingencias.
Una subestación puede estar asociada con una central de generación, controlando directamente el flujo de potencia al sistema, con transformadores de potencia convirtiendo la tensión de suministro a niveles más altos o más bajos, o puede conectar diferentes rutas de flujo al mismo nivel de tensión.
ARTÍCULO 23. ASPECTOS GENERALES DE LAS SUBESTACIONES. El proceso de transformación se entenderá como el aplicado a las subestaciones, para ello, se debe hacer distinción entre los diferentes tipos de subestaciones por su uso o por su nivel de tensión y potencia que manejen.
Todo propietario de subestación o unidades constructivas componentes de la subestación debe responder por el cumplimiento de RETIE en lo que le corresponda. Los requisitos de este capítulo son de obligatorio cumplimiento y deben ser tomados como complementarios de los contenidos en los otros capítulos del presente reglamento.
Para efectos del presente reglamento las subestaciones se clasificarán en:
a. Subestaciones de patio de alta y extra alta tensión (puede incluir, maniobra, transformación o compensación).
b. Subestaciones de alta y extra alta tensión tipo interior o exterior encapsulada generalmente aislada en gas, tal como el hexafluoruro de azufre (SF6).
c. Subestaciones de patio de distribución de media tensión.
d. Subestaciones de patio híbridas de media y alta tensión, conformadas por bahías encapsuladas o compactas más equipos de patio con aislamiento en aire. Las bahías compactas incluyen todas las funciones necesarias para un campo de conexión, mediante operación de los equipos que la conforman como el interruptor, seccionador de barras, seccionador de línea, seccionador de puesta a tierra, transformadores de corriente y transformadores de potencial.
e. Subestaciones de distribución en media tensión, localizadas en interiores de edificaciones y bajo control y operación del operador de red.
f. Subestaciones en interiores de edificaciones (de propiedad y operación del usuario).
g. Subestaciones tipo pedestal.
h. Subestaciones sumergibles (tanto el transformador como los equipos asociados de maniobra deben ser este tipo) IP X8.
i. Subestaciones semisumergibles o a prueba de inundación (el equipo debe estar protegido a una inmersión temporal IP X7 y la bóveda o cámara debe garantizar el drenaje en un tiempo menor al soportado por el equipo).
j. Subestaciones de distribución tipo poste.
23.1. REQUISITOS GENERALES DE SUBESTACIONES.
Las subestaciones, cualquiera que sea su tipo, deben cumplir los requisitos que le apliquen:
a. Toda subestación debe contar con un diseño eléctrico.
b. En los sistemas eléctricos de los distribuidores, grandes consumidores y transportadores, el tiempo máximo de despeje de falla de la protección principal, desde el inicio de la falla hasta la extinción del arco en el interruptor de potencia, no debe ser mayor que 150 milisegundos.
c. En los espacios en los cuales se encuentran instaladas las subestaciones con partes energizadas expuestas, deben colocarse y asegurar la permanencia de cercas, pantallas, tabiques o paredes, de tal modo que límite la posibilidad de acceso a personal no autorizado. Las puertas deben contar con elementos de seguridad que limite la entrada de personal no autorizado. Este requisito no se aplica para subestaciones tipo poste que cumplan las distancias mínimas de seguridad.
d. En cada entrada de una subestación eléctrica debe fijarse una señal con el símbolo de riesgo eléctrico, así como en la parte exterior de la malla eslabonada, cuando sea accesible a personas.
e. Los muros o mallas metálicas que son utilizados para encerrar las subestaciones, deben tener una altura mínima de 2,50 metros y deben estar debidamente conectados a tierra.
f. Con el fin garantizar la seguridad tanto del personal que trabaja en las subestaciones como del público en general, se deben cumplir los requisitos de puesta a tierra que le apliquen, establecidos en el artículo 15 del presente anexo general.
g. En todas las subestaciones se deben calcular las tensiones de paso, contacto y transferidas, para asegurar que no se exponga a las personas a tensiones por encima del umbral de soportabilidad.
h. Para la evaluación de la conformidad, se debe tener especial atención en el nivel de tensión y la potencia de la subestación. Esta labor sólo debe realizarse por profesionales competentes y con entrenamiento específico; quienes deben usar las técnicas y equipos apropiados para las pruebas, ensayos y mediciones.
i. El organismo de inspección de subestaciones no podrá inspeccionar subestaciones de alta y extra alta tensión si no tiene la acreditación expresa para estos niveles de tensión.
j. Los encerramientos utilizados en las subestaciones para alojar en su interior los equipos de corte y seccionamiento deben ser metálicos y los límites de dichos encerramientos no deben incluir las paredes del cuarto dedicado la subestación. Las ventanas de inspección deben garantizar el mismo grado de protección del encerramiento (IP) y el mismo nivel de aislamiento.
k. Las cubiertas, puertas o distancias de aislamiento, no deben permitir el acceso de personal no calificado, a barrajes o elementos energizados.
l. En el caso que los elementos energizados sean removibles se debe garantizar que no se puedan retirar mientras el sistema opere en condiciones normales, para lo cual deben implementarse sistemas de cerraduras o enclavamientos. Si los elementos energizados son fijos, debe asegurarse que no se puedan retirar sin la ayuda de herramientas manejadas por profesionales competentes que conozcan el funcionamiento de las subestaciones.
m. Los enclavamientos entre los diferentes elementos de corte y seccionamiento en una subestación son indispensables por razones de seguridad de las personas y conveniencia operativa de la instalación para no permitir que se realicen maniobras indebidas.
n. Para el caso de equipos del tipo extraíble, los enclavamientos deben asegurar que las siguientes operaciones no sean posibles de realizar:
– Extracción del interruptor de protección a menos que esté en posición abierto.
– Operación del interruptor, a menos que éste se encuentre en servicio, desconectado, extraído o puesto a tierra.
– Cerrar el interruptor, a menos que esté conectado al circuito auxiliar o diseñado para abrir automáticamente sin el uso de un circuito auxiliar.
o. Para el caso de equipos fijos estos deben poseer los enclavamientos necesarios para evitar maniobras erróneas.
p. La continuidad e integridad del sistema de puesta a tierra deben ser aseguradas teniendo en cuenta el esfuerzo térmico y mecánico causado por la corriente que éste va a transportar en caso de falla.
q. El encerramiento de cada unidad funcional debe ser conectado al conductor de tierra de protección.
r. Todas las partes metálicas puestas a tierra y que no pertenezcan a los circuitos principales o auxiliares, deben ser conectadas al conductor de tierra directamente o a través de la estructura metálica.
s. Con el fin de realizar las labores de mantenimiento en las subestaciones con seguridad para el personal encargado, es imprescindible que el sistema permita poner a tierra las partes energizables.
t. La posición de los elementos que realicen la puesta a tierra de la celda deben estar claramente identificados a través de un elemento que indique visualmente la maniobra de puesta a tierra de equipo.
u. En las subestaciones está prohibido que crucen canalizaciones de agua, gas natural, aire comprimido, gases industriales o combustibles, excepto las tuberías de extinción de incendios y de refrigeración de los equipos de la subestación.
v. Para evitar los peligros de propagación de un incendio ocasionado por derrame del aceite, se debe construir un foso o sumidero en el que se agregarán varias capas de gravilla que sirvan como filtro y absorbente para ahogar la combustión; se exceptúan las subestaciones tipo poste, las de tipo pedestal y las subestaciones con transformadores en aceite cuya capacidad total no supere 112,5 kVA.
w. En las subestaciones sujetas a inundación, el grado de protección IP o equivalente Nema de los equipos debe ser apto para esa condición.
x. Toda subestación debe contar con las protecciones de sobrecorriente. En los circuitos protegidos por fusibles la capacidad máxima de los fusibles debe ser la establecida por un estudio de coordinación de protecciones y debe garantizar la adecuada protección del transformador y la desenergización del circuito en el evento que se requiera. Para lo cual el operador de red establecerá una tabla con los valores para estos fines y exigirá su cumplimiento.
23.2. DISTANCIAS DE SEGURIDAD EN SUBESTACIONES EXTERIORES.
Los cercos en mallas que son instalados como barreras para el personal no autorizado, deben colocarse de tal manera que las partes expuestas energizadas queden por fuera de la zona de distancia de seguridad, tal como se ilustra en la figura 23.1 y las distancias mínimas a cumplir son las de la tabla 23.1.

Figura 23.1. Distancias de seguridad para prevenir contactos directos en subestaciones exteriores
| Tensión nominal entre fases (kV) | Dimensión “R”(m) |
| 0,151-7.2 | 3,0 |
| 13,8/13,2/11,4 | 3,1 |
| 34,5/44 | 3,2 |
| 66/57,5 | 3,5 |
| 115/110 | 4,0 |
| 230/220 | 4,7 |
| 500 | 5,3 |
Tabla 23.1. Distancias de seguridad para la Figura 23.1
En subestaciones de media tensión, con encerramiento en pared, la distancia horizontal entre la pared y elementos energizados podrá reducirse al valor del espacio libre de trabajo dado en la columna dos tabla 110-34a de la NTC 2050, siempre y cuando, la pared tenga mínimo 2,5 m de altura y no tenga orificios por donde se puedan introducir elementos conductores que se acerquen a partes energizadas. En todos los casos se debe asegurar que se cumplen los espacios mínimos para la ventilación y acceso de los equipos, así como los de trabajo definidos en la sección 110 de la NTC 2050.
Las subestaciones exteriores o de patio de alta y extra alta tensión deben cumplir las distancias de seguridad y lineamientos expresados en las figuras 23.1, 23.2 y 23.3 y las tablas 23.1 y 23.2, relacionadas con la coordinación de aislamiento y el comité 23 del Cigre y la norma IEC 60071-2.


Figura 23.3. Zonas de seguridad

Tabla 23.2. Distancias de seguridad en el aire, para las Figuras 23.1 y 23.2
(*) El valor mínimo recomendado es 3 m, pero puede ser un poco menor según las condiciones locales, procedimientos estandarizados de trabajo.
(**) Se determina en cada caso.
23.3. DISTANCIAS DE SEGURIDAD EN SUBESTACIONES INTERIORES.
Las distancias de seguridad que se deben mantener en los interiores de un cuarto destinado a subestación deben cumplir con el artículo 13 del presente anexo general en lo que le aplique y las distancias de seguridad y espacios de ventilación y de trabajo establecidas en la sección 110 de la NTC 2050 primera actualización.
23.4. SALAS DE OPERACIONES, MANDO Y CONTROL.
La sala o espacio en donde haya instalado equipo eléctrico, de operación, mando o control, de una subestación, debe cumplir con los siguientes requisitos:
a. Los materiales de construcción deben tener alto punto de ignición.
b. Las instalaciones deben estar libres de materiales combustibles, polvo y humo, y no serán utilizadas para reparación, fabricación o almacenamiento, excepto para partes menores esenciales en el mantenimiento del equipo instalado.
c. Debe estar suficientemente ventilada con el fin de mantener las temperaturas de operación dentro de los rangos debidos y minimizar la acumulación de contaminantes transportados por el aire, bajo cualquier condición de operación.
d. Las instalaciones eléctricas deben permanecer secas. En las subestaciones externas o ubicadas en túneles mojados, pasos subterráneos u otros lugares húmedos o de alto grado de humedad, el equipo eléctrico debe ser apropiado para soportar las condiciones ambientales imperantes.
e. Todo el equipo eléctrico fijo debe ser soportado y asegurado para las condiciones de servicio. Se debe prestar consideración al hecho de que algunos equipos pesados, tales como transformadores, puedan ser asegurados en el lugar; sin embargo, el equipo que genere fuerzas dinámicas durante su operación, podrá requerir medidas adicionales.
f. En la sala de control debe haber indicación de la posición de los contactos de los elementos de interrupción y seccionamiento que muestren el estado real de la operación que se está ejecutando, con el fin de tener plena conciencia de tal condición.
ARTÍCULO 24. REQUISITOS ESPECÍFICOS DE SUBESTACIÓN. Según el tipo de subestación deben cumplir los siguientes requisitos específicos:
24.1. SUBESTACIONES DE ALTA Y EXTRA ALTA TENSIÓN.
a. Deben ser construidas bajo estándares que garanticen tanto la seguridad como la confiabilidad.
b. La subestación debe estar provista de manuales de operación y mantenimiento, precisos que no den lugar a equivocaciones.
c. Deben medirse las tensiones de paso, contacto y transferidas, asegurando que no se exponga a riesgo a personas con tensiones por encima del umbral de soportabilidad. La medición debe hacerse en las mallas de encerramiento y hasta un metro del lado externo.
24.2. SUBESTACIONES DE MEDIA TENSIÓN TIPO INTERIOR O EN EDIFICACIONES.
Independiente de que la subestación pertenezca a un operador de red o a uno o varios usuarios, este tipo de subestaciones deben cumplir lo establecido en la sección 450 de la norma NTC 2050 y adicionalmente los siguientes requisitos que le apliquen, adoptados de la norma IEC 62271-200:
a. En toda edificación que requiera subestación, debe destinársele el espacio con las dimensiones apropiadas de acuerdo al tipo de subestación y los requisitos de este reglamento.
b. En las subestaciones dentro de edificios, el local debe estar ubicado en un sitio de fácil acceso desde el exterior, localizado en áreas comunes, con medios apropiados que faciliten la entrada y salida de los equipos, para permitir a los profesionales competentes las labores de mantenimiento, revisión e inspección.
c. En subestaciones y cuartos eléctricos debe asegurarse que una persona no autorizada no pueda acceder a las partes energizadas del sistema, ni tocándolas de manera directa ni introduciendo objetos que lo puedan poner en contacto con un elemento energizado.
d. Para prevenir accidentes por arcos eléctricos al interior de la subestación, debe cumplir los siguientes requisitos:
- <Viñeta modificada por el artículo 18 de la Resolución 90795 de 2014. El nuevo texto es el siguiente:> Las celdas deben cumplir los requerimientos de protección establecidos en el numeral 20.23.2 del presente Anexo.
- Las puertas deben tener seguros y permanecer cerradas.
- Todos los elementos fijos deben estar debidamente, soportados o asegurados que no se presente desprendimientos.
- No deben colocarse elementos combustibles o que propaguen el fuego dentro del alcance de un arco eléctrico.
- Las mallas y cerramientos deben estar sólidamente conectados a tierra.
e. Toda subestación alojada en cuartos debe disponer del número y forma apropiada de salidas de emergencia, para evitar que un operador quede atrapado en caso de un accidente.
f. Toda subestación eléctrica alojada en cuartos, sótanos, debe contar con los elementos de drenaje o bombeo que impida la inundación; en caso que esta condición no se pueda garantizar, el equipo debe ser tipo sumergible.
g. Los equipos eléctricos de la subestación o de cuartos eléctricos deben estar separados de la planta de emergencia por un muro o barrera que impida el acercamiento de personas no calificadas a elementos energizados.
24.3. SUBESTACIONES TIPO POSTE.
Las subestaciones que tengan el transformador montado sobre postes, deben cumplir los siguientes requisitos de montaje:
a. Se podrán instalar subestaciones con transformador en poste, sin ningún tipo de encerramiento, siempre que no supere 250 kVA ni 800 kgf de peso. Los transformadores menores o iguales a 112,5 kVA y con un peso inferior a 600 kgf, se deben instalar en un solo poste que tenga una resistencia de rotura no menor a 510 kgf; transformadores de potencia superior a 112,5 y menor o igual a 150 kVA con pesos menores a 700 kgf, se deben instalar en un solo poste con carga de ruptura no menor a 750 kgf, transformadores de potencia mayores a 150 kVA y menores o iguales a 250 kVA preferiblemente se deben instalar en un solo poste de resistencia no menor a 1050 kgf. En áreas urbanas se debe evitar el uso de estructuras con doble poste para la instalación de transformadores, ya que generan mayor impacto visual e incomodidad en la movilidad.
b. En instalaciones rurales, pequeños caseríos los transformadores menores o iguales a 25 kVA podrán instalarse en postes de madera, con resistencia de rotura menor a 510 kgf. En todos los casos se debe hacer un análisis de esfuerzos y garantizar la estabilidad mecánica de la estructura. Igualmente se deben atender las normas de planeamiento municipal o distrital, sobre uso del suelo y espacio público y propiciar que la subestación no genere contaminación visual, especialmente cuando se comparte la infraestructura con otros servicios.
c. Toda subestación tipo poste debe tener por lo menos en el lado primario del transformador protección contra sobrecorrientes y contra sobretensiones (DPS).
d. El DPS debe instalarse en el camino de la corriente de impulso y lo más cerca posible de los bujes del transformador.
e. El transformador debe tener el punto neutro y la carcasa sólidamente conectados a tierra.
f. En la instalación se debe garantizar que se cumplan las distancias de seguridad que le apliquen, establecidas en el artículo 13 de este anexo general.
g. Los elementos de fijación del transformador deben soportar por lo menos 2,5 veces el peso de este.
h. Las conexiones en media tensión, deben tener una forma y rigidez mecánica que no les permita moverse con el viento o vibraciones, de tal forma que las ponga en contacto con partes que no se deben energizar, o acercamientos que produzcan arcos eléctricos.
i. Con el fin garantizar la seguridad tanto del personal del OR, como del público en general, se deben cumplir los requisitos de puesta a tierra que le apliquen, establecidos en el artículo 15 de este anexo general.
j. El DPS que protege el transformador debe instalarse cumpliendo la figura 20.2.
k. Subestaciones tipo poste instaladas con anterioridad a la vigencia del presente anexo, que el operador evidencie que presenten acercamientos de partes energizadas en media tensión con lugares accesibles a personas que las pongan en peligro inminente, el operador de la red debe tomar las medidas necesarias para impedir que la persona en riesgo haga contacto con la parte energizada.
En los demás lugares que no se cumplen las distancias mínimas de seguridad pero no se evidencia un peligro inminente, el operador de red en sus planes de remodelación tomará las medidas para minimizar el riesgo. Si la causa que pone en alto riesgo a las personas no fue generada por el operador de red, deberá exigirle directamente o por la vía legal o mediante amparo policivo, para que se elimine el peligro inminente y debe dejar los registros del hecho.
24.4. SUBESTACIONES TIPO PEDESTAL O TIPO JARDÍN.
a. Los transformadores de distribución tipo pedestal (pad mounted en inglés) son diseñados para servicio subterráneo y exterior, normalmente van montados sobre una base de concreto.
b. Debe ser fabricado con los compartimientos de alta y baja tensión separados y equipados con puertas frontales.
c. El compartimiento de alta tensión no debe ser accesible mientras la puerta del compartimiento de baja tensión este abierta.
d. El compartimiento de baja tensión debe estar provisto de un sistema para que el usuario instale un candado de seguridad.
e. Por seguridad, todas las partes energizadas deben estar en compartimientos bloqueables.
f. Una cubierta sobre la toma del tanque es accesible a través del gabinete y proporciona la protección contra daños por vandalismo y el medio ambiente.
g. Para subestaciones tipo pedestal o tipo jardín expuestas al contacto del público en general, que en condiciones normales de operación la temperatura exterior del cubículo supere en 45 ºC la temperatura ambiente, debe instalarse una barrera de protección para evitar quemaduras y debe colocar avisos que indiquen la existencia de una “superficie caliente”. Si el transformador posee una protección que garantice el corte o desenergización cuando exista una sobretemperatura o no este localizada en espacios accesibles al público, no requiere dicha barrera.
24.5. CERTIFICACIÓN SUBESTACIONES PARA INSTALACIONES DE USO FINAL.
Las subestaciones que alimenten exclusivamente instalaciones de uso final, deben demostrar la conformidad con el presente reglamento en conjunto con la instalación que alimenta y la acometida hasta la frontera donde termine la red de uso general.
24.6 MANTENIMIENTO DE SUBESTACIONES. <Numeral adicionado por el artículo 19 de la Resolución 90795 de 2014. El nuevo texto es el siguiente:>
A las subestaciones eléctricas se les deben realizar mantenimientos periódicos que aseguren la continuidad del servicio y la seguridad tanto de los equipos y demás componentes de la instalación como del personal que allí interviene, de tales actividades deben quedar las evidencias y registros, que podrán ser requeridas por cualquier autoridad de control y vigilancia.
En subestaciones tele controladas, también llamadas no atendidas, los equipos de detección y extinción de incendios deben ser automáticos. En caso de no ser automáticos, la subestación debe contar con la presencia permanente de personal calificado para su operación, sin distinción de la fecha de entrada en operación de la subestación.
En toda subestación debe asegurarse una revisión y mantenimiento periódico de los equipos de control y protección, con personal especializado, además, debe realizarse la limpieza adecuada de elementos y espacios de trabajo que faciliten las labores de revisión y mantenimiento.
De las actividades de mantenimiento y de limpieza deben quedar los registros respectivos. La periodicidad de los mantenimientos y limpieza dependerá de las condiciones ambientales del lugar, en todo caso no podrá ser mayor a semestral.
REQUISITOS PARA EL PROCESO DE DISTRIBUCIÓN.
Para los efectos del presente reglamento se calificará como instalación eléctrica de distribución todo conjunto de aparatos y de circuitos asociados para transporte y transformación de la energía eléctrica, cuyas tensiones nominales sean iguales o superiores a 120 V y menores a 57,5 kV.
Los requisitos de este capítulo son de obligatorio cumplimiento y deben ser tomados como complementarios de los contenidos en los demás capítulos del RETIE.
Las disposiciones contenidas en este reglamento, son de aplicación en todo el territorio colombiano y deben ser cumplidas por las empresas de distribución de energía que operen en el país y demás propietarios de redes eléctricas comprendidas dentro de esta categoría.
ARTÍCULO 25. PRESCRIPCIONES GENERALES.
25.1. ALCANCE DEL SISTEMA DE DISTRIBUCIÓN.
Para efectos del presente reglamento un sistema típico de distribución consta de:
a. Subestaciones de distribución, que deben cumplir los requisitos que le apliquen, del capítulo 6 del RETIE.
b. Circuitos primarios o “alimentadores”, que suelen operar en el rango de 7,6 kV a 44 kV y que alimentan a la carga en una zona geográfica bien definida.
c. Transformadores de distribución en capacidades nominales superiores a 3 kVA, los cuales pueden instalarse en postes, sobre emplazamientos a nivel del suelo o en bóvedas, en la cercanía de los consumidores.
d. Celdas de maniobra, medida y protección para los transformadores de distribución secundaria en el caso de subestaciones de potencia.
e. Circuitos de baja tensión, que llevan la energía desde el transformador de distribución, a lo largo de las vías, espacios públicos o terrenos de particulares.
25.2. REQUISITOS BÁSICOS PARA SISTEMAS DE DISTRIBUCIÓN.
Adicional a lo establecido en la Resolución CREG 070 de 1998 o las que la modifiquen o sustituyan en lo referente a operación y mantenimiento de las redes de distribución, el operador de red o propietario de la instalación de distribución eléctrica, debe cumplir los siguientes requisitos:
a. Todo proyecto de distribución debe contar con un diseño, con memorias de cálculos y planos de construcción, con el nombre, firma y matrícula profesional del responsable del diseño.
b. La empresa debe dejar un registro de las pruebas técnicas y rutinas de mantenimiento, tanto de la instalación como de los equipos que permitan hacer la trazabilidad del mantenimiento.
c. La empresa que opere una red de distribución, debe proporcionar capacitación a cada una de las personas calificadas que laboren en las instalaciones energizadas o en las proximidades de éstas, la cual debe incluir información sobre los riesgos eléctricos; así mismo tiene que asegurarse que cada uno de los profesionales que trabajan en dichas instalaciones estén calificados y autorizados para atender las exigencias de rutina del trabajo.
d. Todo profesional competente <Toda persona competente>* que desarrolle actividades asociadas a las redes de distribución, debe estar capacitada sobre los procedimientos que deben seguirse en caso de que ocurra alguna emergencia de tipo eléctrico, así como de las reglas de primeros auxilios, incluyendo los métodos probados de reanimación. Copias de dichas reglas y procedimientos deben mantenerse en sitios visibles tanto en vehículos como en lugares donde el número de trabajadores o la naturaleza del trabajo lo justifiquen.
e. El responsable de la construcción, operación y mantenimiento debe proveer los elementos de protección, en cantidad suficiente para que las personas calificadas puedan cumplir con los requerimientos de la labor que se va a emprender, los cuales deben estar disponibles en lugares fácilmente accesibles y visibles.
f. Las personas calificadas deben conocer perfectamente las normas de seguridad y pueden ser evaluados en cualquier momento –por la autoridad o la empresa propietaria de la red– para demostrar sus conocimientos sobre las mismas. Así mismo, si la labor se realiza en las proximidades de equipos o líneas energizadas, deben ejecutar sólo aquellas tareas para las cuales han sido capacitados, equipados y autorizados. Aquellos que no tengan la suficiente experiencia, deben trabajar bajo la dirección de un profesional competente <una persona competente>* y ejecutar sólo tareas dirigidas.
g. Los operadores de otros servicios que comparten la infraestructura para la prestación del servicio de energía eléctrica, deben garantizar la disponibilidad de espacios y cumplir los procedimientos seguros para el montaje, adecuación, operación y mantenimiento tanto de la infraestructura de esos servicios como el de electricidad. Igualmente, debe garantizarse que las exigencias de esfuerzos mecánicos resultantes en cada estructura de soporte, por el peso de cables, equipos y demás cargas aplicadas, garanticen cumplir las exigencias del RETIE en la actividades de diseño, supervisión, construcción, operación, mantenimiento, reposición u otras relacionadas con las líneas, las redes eléctricas y los equipos asociados.
h. Las instalaciones objeto del presente reglamento que hagan parte del sistema de distribución deben contar con el certificado de conformidad con el RETIE y estar disponible para cuando lo requiera la Superintendencia de Servicios Públicos Domiciliarios y demás autoridades competentes.
25.3. PUESTAS A TIERRA DE SISTEMAS DE DISTRIBUCIÓN.
Para los efectos del presente reglamento y con el fin garantizar la seguridad tanto del personal que trabaja en los circuitos de distribución como del público en general, se deben atender los siguientes requisitos:
a. En los sistemas de puesta a tierra se deben cumplir los criterios establecidos en el artículo 15 de este anexo general.
b. El operador de red debe entregar a los diseñadores de un proyecto, el valor de la máxima corriente de falla a tierra esperada en el nodo respectivo.
c. Los trabajadores deben considerar todas las partes metálicas no puestas a tierra, como energizadas con la tensión más alta a la cual están expuestos, a menos que se verifique mediante pruebas que estas partes están sin tensión.
Las redes de distribución aéreas se deben soportar en estructuras tales como: torres, torrecillas, postes de concreto en cualquiera de sus técnicas de construcción (armado o pretensado); postes de hierro, postes de madera u otros materiales; siempre y cuando cumplan los siguientes requisitos, además de los de producto que les aplique del capítulo 3 del presente anexo: los postes, torres o torrecillas usados como soportes de redes de distribución deben tener una tensión de rotura de mínimo 2,5 veces para concreto y 2 veces para metálico y poliméricos reforzados, entendido este factor como la suma de las tensiones mecánicas resultantes de la interacción de los diferentes esfuerzos a que este sometida la estructura, para lo cual, se debe tener en cuenta los esfuerzos de los cables de la red eléctrica y los demás cables y elementos que actúen sobre la estructura.
a. Deben utilizarse postes o estructuras con dimensiones y carga de rotura estandarizadas.
b. Los postes de madera y todos los elementos de madera usados en las redes de distribución deben estar debidamente tratados para la protección contra hongos y demás agentes que aceleran su deterioro.
c. Deben estar protegidas contra la corrosión, para soportar una vida útil no menor a 25 años y los que soporten redes de media tensión deben estar sólidamente puestos a tierra. La pintura deberá ser de resina epóxica con el espesor adecuado que resista la abrasión, la corrosión, la humedad y el desprendimiento tal como lo estipulan las normas ASTM sobre el tema de pinturas.
d. La soldadura utilizada para fabricar el poste metálico debe cumplir lo estipulado en norma ASCE-48.
e. Los postes que presenten fisuras u otros deterioros que comprometan las condiciones mecánicas y la seguridad de la estructura, deben ser cambiados.
f. Los postes o estructuras en suspensión, pueden fabricarse en materiales sintéticos, siempre y cuando su resistencia de rotura sea mayor a 250 kgf, su montaje se haga en lugares de difícil acceso, en sus alrededores no se presente concentraciones de personas, su resistencia mecánica a la rotura supere la resultantes de las fuerzas que actúan sobre el poste en condiciones de menor temperatura y máximo viento y esté certificado para condiciones ambientales similares a las del sitio de instalación.
g. En zonas no interconectadas y lugares de difícil acceso, se permite la instalación de postes de concreto, o torrecillas metálicas, construidos o armadas en sitio o en lugares cercanos, para estos postes y torrecillas, la conformidad con el presente reglamento se hará mediante declaración del proveedor, utilizando el criterio de la norma ISO/IEC/NTC 17050 partes 1 y 2, dicha declaración la suscribirá el productor y debe estar acompañada de los diseños, descripción técnica de materiales y constructivas que garantice cumplir los requerimientos mecánicos y de protección contra la corrosión exigidos en el presente anexo general. Igualmente se permite la utilización de postes de madera siempre que hayan sido debidamente inmunizados para una vida útil no menor a 15 años y soporten las cargas mecánicas a las cuales se les va a someter.
h. En zonas urbanas o semiurbanas, susceptibles de iluminación con alumbrado público, las estructuras deben instalarse teniendo en cuenta alturas e interdistancias apropiadas para un sistema de alumbrado público que atienda los objetivos y requisitos del Retilap.
Se consideran bajo esta denominación todos los elementos utilizados para la fijación de los aisladores a la estructura, los de soporte de conductores, aisladores o de cable de guarda a la estructura, los elementos de protección eléctrica de los aisladores y los accesorios del conductor, como, separadores y amortiguadores, los cuales deben cumplir los siguientes requisitos:
a. Los herrajes, usados en distribución deben demostrar el cumplimiento con el RETIE mediante certificado de conformidad de producto expedido por un organismo acreditado por el Onac.
b. Los herrajes empleados en los circuitos de media tensión deben ser de diseño adecuado a su función mecánica y eléctrica y deben resistir la acción corrosiva durante su vida útil, para estos efectos se tendrán en cuenta las características predominantes del ambiente en la zona donde se requieran instalar.
c. Los herrajes sometidos a tensión mecánica por los conductores y cables de guarda o por los aisladores, deben tener un coeficiente de seguridad mecánica no inferior a 2,5 respecto a su carga de trabajo. Cuando la carga mínima de rotura se compruebe mediante ensayos, el coeficiente de seguridad podrá reducirse a 2.
d. Las grapas de retención del conductor deben soportar un esfuerzo mecánico en el cable no menor del 80% de la carga de rotura del mismo, sin que se produzca deslizamiento.
Las redes de distribución deben cumplir los requerimientos de aislamiento de las partes energizadas, para evitar contactos, tanto por disminución en las distancias de seguridad cuando el aislamiento es el aire o por deficiencias o insuficiencias de los materiales aislantes.
25.6.1. DISTANCIAS DE SEGURIDAD EN REDES DE DISTRIBUCIÓN.
a. Para efectos del presente reglamento los conductores de los circuitos de distribución deben cumplir las distancias de seguridad establecidas en el artículo 13 y las establecidas para subestaciones en el capítulo 6 de este anexo general, que le apliquen.
b. Los proyectos nuevos o de ampliación de edificaciones que se presenten ante las oficinas de planeación municipal, curadurías o demás autoridades que expidan las licencias o permisos de construcción, deben dar estricto cumplimiento al RETIE, en especial en lo referente a distancias mínimas de seguridad y servidumbres. Sin perjuicio de las acciones legales, cuando el funcionario o curador no de cumplimiento a este requisito, el operador de red que se vea afectado por la decisión deberá denunciar ante la Procuraduría General de la Nación, ya que la licencia o permiso es un acto propio de función pública.
c. Quien detecte que los constructores de las edificaciones no cumplen con las distancias mínimas de seguridad en las redes de distribución eléctrica, podrá denunciar el hecho ante la autoridad competente (SIC o planeación municipal) por el incumplimiento de reglamentos técnicos.
d. En los planes de ordenamiento territorial se debe tener en cuenta lo dispuesto en la Ley 388 de 1997 o en las normas que la modifiquen, sustituyan o reglamenten, en lo que respecta a limitaciones en el uso del suelo, en el sentido de apropiar y respetar los espacios para las redes de los servicios públicos.
Los aisladores usados en distribución deberán demostrar el cumplimiento con el presente reglamento mediante un certificado de conformidad de producto, expedido por un organismo de certificación acreditado por el Onac. Adicionalmente, deben cumplir los siguientes requisitos:
a. Tener como mínimo las siguientes cargas de rotura:
Los de suspensión tipo disco, por lo menos el 80% de la tensión de rotura del conductor utilizado.
Tipo carrete, mínima equivalente al 50% de la carga de rotura del conductor utilizado.
Tipo espigo (o los equivalentes a Line Post), mínima equivalente al 10% de la carga de rotura del conductor utilizado.
Tipo tensor, debe verificarse que la carga de rotura sea superior a los esfuerzos mecánicos a que será sometido por parte de la estructura y del templete en las condiciones ambientales más desfavorables.
b. Mantenimiento. El criterio para determinar la pérdida de su función, será la rotura o pérdida de sus cualidades aislantes, al ser probados a tensión eléctrica y esfuerzo mecánico de acuerdo con las normas que le apliquen.
25.7. CONDUCTORES, CABLES DE GUARDA Y CABLES DE RETENCIÓN.
Los conductores, cables de guarda y cables de retención usados en redes de distribución deben cumplir los requerimientos eléctricos y mecánicos para las condiciones donde sean instalados.
a. En ningún momento los conductores deben ser sometidos a tensiones mecánicas por encima de las especificadas y el tendido en redes aéreas no debe pasar el 25% de la tensión de rotura.
b. Deben instalarse con los herrajes apropiados para el tipo, material y calibre del conductor.
c. En el diseño debe tenerse en cuenta el criterio de pérdidas técnicas en la selección del conductor económico.
d. En áreas donde no se puedan garantizar las distancias de seguridad, deben utilizarse conductores aislados o semiaislados con las restricciones establecidas en el artículo 13 del presente anexo general.
e. Los empalmes de conductores aéreos deben garantizar operar por lo menos al 90% de la tensión mecánica de rotura sin que el conductor se deslice.
f. Los conectores o uniones con otros conductores deben ser de materiales apropiados que no produzcan par galvánicos, que pongan en riesgo de rotura el conductor.
g. Cuando se observe deterioro del conductor por la pérdida de hilos, afectaciones por arcos o cortocircuitos que disminuyan la disminución de su tensión de rotura, deben cambiarse o tomarse las acciones correctivas.
h. El propietario o tenedor de una red aérea debe retensionar los cables que por el uso se han distensionado y estén violando la altura mínima de seguridad. Si con esa medida no se logra la altura requerida debe ampliar la altura de las estructuras de soporte, o usar cables aislados o semiaislados.
25.7.2. CONDUCTORES SUBTERRÁNEOS.
Para efectos del presente reglamento, en el tendido de cables subterráneos se aplicarán los siguientes requisitos adaptados de la reglamentación para la ejecución de instalaciones eléctricas en inmuebles de la Asociación Electrotécnica argentina:
a. Las canalizaciones o ductos deben ser de materiales que reúnan las siguientes condiciones:
- No higroscópicos.
- Mantener un grado de protección adecuado al tipo de uso.
- Garantizar que no rasguen o deterioren el aislamiento de los conductores.
b. Se acepta el uso de tubos corrugados de PVC de doble pared (tipo TDP) o de polietileno alta densidad para la protección mecánica térmica de cables de redes de media y baja tensión.
c. Debe mantenerse una distancia útil mínima de 0,20 m entre el borde externo del conductor y cualquier otro servicio (gas, agua, calefacción, vapor, aire comprimido, entre otros). Si esta distancia no puede ser mantenida, se deben separar en forma efectiva las instalaciones a través de una hilera cerrada de ladrillos u otros materiales dieléctricos resistentes al fuego y al arco eléctrico, de por lo menos 5 cm de espesor.
d. Los conductores dentro del ducto debe conservar la misma disposición y adecuación a lo largo de todo su recorrido, asegurando que se mantenga la separación de los circuitos.
e. No se admite la instalación de cables sobre el nivel del suelo terminado, se entiende por “suelo terminado” el que habitualmente es pisado por las personas.
f. La profundidad de enterramiento de ductos para redes de distribución subterráneas, tomada desde la superficie superior del suelo terminado hasta la parte superior del conductor o del ducto, no debe ser menor a los valores de la tabla 25.1. Excepción: cuando existan conflictos con otras instalaciones subterráneas existentes en áreas peatonales para menos de 150 V pueden ser enterradas a una profundidad no menor a 0,45 m.
| Tensión fase- fase (V) | Profundidad ducto (m) | Profundidad conductor enterramiento directo (m) |
| Alumbrado público | 0,50 | 0,50 |
| 0 a 600 | 0,60 | 0,60 |
| 601 a 34500 | 0,75 | 0,95 |
| 34501 a 57500 | 1,00 | 1,20 |
Tabla 25.1. Profundidades mínimas de enterramiento de redes de distribución subterráneas
g. Los ductos se colocarán, con pendiente mínima del 0,1% hacia las cámaras de inspección, en una zanja de profundidad suficiente que permita el recubrimiento de relleno sobre el ducto.
h. Los cables subterráneos instalados debajo de construcciones deben estar alojados en un ducto que salga como mínimo 0,30 m del perímetro de la construcción.
i. Se debe instalar todos los conductores de un circuito de la línea, sea monofásica o polifásica con su conductor de neutro y puesta a tierra de protección en el mismo ducto, si por las dimensiones del ducto no caben todos los conductores del circuito, se deberán utilizar ductos paralelos, siempre que estén cercanos y no sean de materiales conductores de la electricidad. En ductos metálicos o conductores todo el circuito debe ir en el mismo ducto, ya que circuitos incompletos inducen corrientes que calientan el ducto, comprometiendo la seguridad.
j. Las canalizaciones subterráneas en base a ductos, deben tener cámaras de inspección o de paso, se deben instalar en tramos rectos a distancias no mayores a 80 m, salvo cuando existan causas debidamente justificadas en cálculos de tensión de halado que exijan una distancia diferente (por ejemplo, cruce de grandes avenidas), en cuyo caso debe quedar asentado en la memoria o especificación técnica del proyecto.
k. Para cables de enterramiento directo, el fondo de la zanja será una superficie firme, lisa, libre de discontinuidades y sin obstáculos. El cable se dispondrá con una barrera de protección contra el deterioro mecánico, para lo cual se podrán utilizar ladrillos u otro tipo de cubierta mecánica. A una distancia entre 20 y 30 cm por encima del cable deben instalarse cintas de identificación o señalización no degradables en un tiempo menor a la vida útil del cable enterrado.
l. Todas las transiciones entre tipos de cables, las conexiones a las cargas, o las derivaciones, deben realizarse en cámaras o cajas de inspección que permitan mantener las condiciones y grados de protección aplicables. Las dimensiones internas útiles de las cajas o cámaras de paso, derivación, conexión o salida deben ser adecuadas a las funciones específicas y permitir el tendido en función de la sección de los conductores.
m. Las cajas y tapas para redes subterráneas, podrán ser prefabricadas, siempre que sean de materiales resistentes a la corrosión, que resistan impacto y aplastamiento, dependiendo del ambiente y el uso del suelo donde se instalen, lo cual debe demostrarse mediante el cumplimiento de una norma técnica para ese tipo de producto, tal como la ANSI/STCE 77.
n. El circuito y sus fases deben quedar debidamente identificados en las cámaras de inspección.
o. Los empalmes y derivaciones de los conductores deben ser accesibles.
p. Las uniones entre conductores deben asegurar la máxima hermeticidad posible y no deben alterar su sección transversal interna. Cuando se utilicen ductos metálicos, estos deben ser galvanizados en caliente y estar conectados eléctricamente a tierra.
q. Se permite el uso de conductores de aluminio en redes subterráneas de baja y media tensión siempre que el cable este certificado para uso subterráneo, sea instalado por profesionales competentes y se cumpla una norma técnica internacional, de reconocimiento internacional o NTC, tanto del producto como en la instalación.
El operador de red o quien tenga el manejo de la red debe asegurar un mantenimiento adecuado de sus redes y subestaciones de distribución que minimice o elimine los riesgos, tanto de origen eléctrico como mecánico asociados a la infraestructura de distribución y deberá dejar evidencias mediante registros de las actividades desarrolladas en tales mantenimientos.
ARTÍCULO 26. INFORMACIÓN DE SEGURIDAD PARA EL USUARIO Y PÚBLICO EN GENERAL. Los responsables de la operación de sistemas de distribución eléctrica deben mantener informada a la población de los riesgos asociados a la electricidad. La Superintendencia de Servicios Públicos Domiciliarios podrá constatar el cumplimiento de este requisito.
El operador de red debe producir y difundir una cartilla orientada a los usuarios residenciales, comerciales e industriales, en la cual se hará énfasis en las condiciones de seguridad y correcta utilización de la energía eléctrica, teniendo en cuenta mínimo las siguientes consideraciones:
a. Estar escrita de manera práctica, sencilla y concisa, en lo posible con ilustraciones al texto de referencia.
b. Estar dirigida al usuario final y al potencial, ser entregada el día en que se pone en servicio una instalación eléctrica. Igualmente, debe estar disponible y permitir ser consultada en puntos de atención al público.
c. Indicar los procedimientos a seguir para adquirir información e ilustración relativa al servicio de energía eléctrica, incluidos los procedimientos relativos a las solicitudes de ampliación del servicio, identificación y comunicación con la empresa prestadora del servicio.
d. Informar de una manera resaltada, cómo y dónde reportar emergencias que se presenten en el interior o en el exterior del domicilio.
e. Resumir las principales acciones de primeros auxilios en caso de contacto eléctrico.
f. Contener recomendaciones prácticas relacionadas con el manejo de los artefactos eléctricos.
El operador de red o el comercializador, según sea el caso, deben instruir al usuario del servicio de energía, al menos cada seis meses, sobre recomendaciones de seguridad, escritas en letras con un tamaño de fuente mínimo ocho, impresa en la factura o en volantes anexos a esta. Igualmente, deben realizar campañas de advertencia de los riesgos asociados a las redes, en particular aquellas aledañas a viviendas.
En el mantenimiento preventivo o correctivo de redes, el OR debe informar a los residentes cercanos al lugar del trabajo objeto del mantenimiento (en redes urbanas mínimo costado de la manzana donde se hace el mantenimiento), sobre los riesgos de origen eléctrico que se pueden ocasionar por inadecuadas prácticas que rompan las distancias mínimas de seguridad o la zona de servidumbres y dejaran evidencias del hecho. Igual tratamiento se dará en los procesos de revisión y supervisión de las redes en aquellos lugares que a juicio del OR presentan mayor vulnerabilidad al riesgo de origen eléctrico.
REQUISITOS PARA INSTALACIONES DE USO FINAL.
Este capítulo del reglamento es aplicable a las instalaciones eléctricas destinadas a la conexión de equipos o aparatos para el uso final de la electricidad y en todo tipo de construcciones, ya sean de carácter público o privado. Como en los otros apartes del reglamento, los requisitos establecidos se aplican a condiciones normales y nominales de la instalación.
En general, comprende los sistemas eléctricos que van desde la frontera con la red de servicio general, incluyendo la acometida o ramales de acometida que entregan la energía al equipo de entrada de servicio del usuario, hacia el interior de una edificación o al punto de conexión de los equipos o elementos de consumo. En los casos de instalaciones de propiedad del operador de red que incluyan subestación para el servicio de varios usuarios, la acometida y la subestación se considerarán como parte de la instalación red de distribución.
Las instalaciones para uso final de la electricidad, denominadas comúnmente como instalaciones interiores o instalaciones domiciliarias o receptoras, son las que están alimentadas por una red de distribución o por una fuente de energía propia y tienen como objeto permitir la entrega de la energía eléctrica al usuario. Dentro de este concepto queda incluida cualquier instalación receptora aunque toda o alguna de sus partes esté situada a la intemperie.
Para efectos del presente reglamento los requisitos contenidos en este capítulo, deben ser tomados como complementarios de los requisitos de los demás capítulos.
ARTÍCULO 27. REQUISITOS GENERALES PARA LAS INSTALACIONES DE USO FINAL. Si en una instalación eléctrica para uso final están integrados circuitos o elementos en los que las tensiones empleadas son superiores al límite establecido para baja tensión y para los cuales este capítulo no señala un requisito específico, se deben cumplir en ella las prescripciones técnicas y de seguridad de media o alta tensión.
En las instalaciones de uso final de la electricidad se deben adoptar las medidas de seguridad, tanto para la protección de los usuarios como de las redes y los bienes conexos a estas, las cuales deben ser especificadas según las características eléctricas de los aparatos receptores.
El alto número de incendios ocasionados por deficiencias en la instalación, en especial lo relacionado con dimensionamiento de conductores y protecciones, malas conexiones, daños de aislamiento de conductores y empalmes, uso de equipos, aparatos y materiales inapropiados, uso de lámparas y luminarias sin espacio para evacuación del calor; obliga a dar estricto cumplimiento a las normas de construcción de la instalación y atender los lineamientos de otros reglamentos técnicos, como el de iluminación y alumbrado público.
27.1. APLICACIÓN DE NORMAS TÉCNICAS.
Debido a que el contenido de la NTC 2050 primera actualización (Código Eléctrico colombiano), del 25 de noviembre de 1998, basada en la norma técnica NFPA 70 versión 1996, encaja dentro del enfoque que debe tener un reglamento técnico y considerando que tiene plena aplicación en las instalaciones para la utilización de la energía eléctrica, incluyendo las de edificaciones utilizadas por empresas prestadoras del servicio de electricidad, se declaran de obligatorio cumplimiento los primeros siete capítulos con las tablas relacionadas (publicados en el Diario Oficial 45.592 del 27 de junio de 2004) incluidas las tablas del capítulo 9 de NTC 2050 y la introducción en los aspectos que no contradigan el presente reglamento. En consecuencia estos apartes de la citada norma hacen parte integral del reglamento técnico de instalaciones eléctricas, RETIE.
Los capítulos de obligatorio cumplimiento son:
Capítulo 1. Definiciones y requisitos generales para instalaciones eléctricas.
Capítulo 2. Los requisitos de alambrado y protecciones.
Capítulo 3. Los métodos y materiales de las instalaciones.
Capítulo 4. Los requisitos de instalación para equipos y elementos de uso general.
Capítulo 5. Los requisitos para ambientes especiales.
Capítulo 6. Los requisitos para equipos especiales.
Capítulo 7. Las condiciones especiales de las instalaciones.
Para la adecuada aplicación de estos capítulos deben tomarse las consideraciones establecidas en la sección 90 (introducción); la persona calificada que utilice la norma debe tener en cuenta todas las consideraciones y excepciones aplicables a cada caso.
En el evento en que se presenten diferencias entre el presente anexo general y la NTC 2050 o la IEC 60364, primará lo establecido en el anexo general y la autoridad para dirimir cualquier conflicto por interpretación del reglamento es el Ministerio de Minas y Energía.
Igualmente, se aceptan instalaciones para uso final de la electricidad que cumplan normas técnicas internacionales, de la serie IEC 60364. En tales instalaciones, estas normas serán de obligatorio cumplimiento.
No se deben aceptar instalaciones donde se combinen las normas NTC 2050 con las de la serie IEC 60364, ya que esto puede generar altos riesgos a la seguridad contraviniendo el objeto del reglamento.
Quien diseñe y construya la instalación eléctrica hará clara mención de la norma utilizada.
27.2. RÉGIMEN DE CONEXIÓN A TIERRA (RCT).
Los regímenes de conexión a tierra (RTC), también llamados “regímenes de neutro”, tienen una clasificación acordada internacionalmente para sistemas eléctricos de baja tensión, los cuales se consideran equivalentes en cuanto a seguridad de personas frente a contactos indirectos, cada uno tiene sus ventajas. Los más universales son TN y TT, cuyo código de letras es aceptado en las normas internacionales.
Salvo las excepciones establecidas en el presente anexo general y la NTC 2050, en la red de baja tensión para servicio domiciliario o similar, sólo se aceptan como regímenes de conexión a tierra, los de conexión sólida (TN-C-S o TN-S) o los de impedancia limitadora TN, esto significa que el punto neutro del transformador debe ser puesto a tierra sólidamente y el usuario debe conectar la masas al conductor puesto a tierra (casi siempre el conductor neutro). La letra S significa que las funciones de neutro (N) y de protección (P) se hacen con conductores separados y la letra C significa que las funciones de neutro y de protección están combinadas en un solo conductor (PEN). Queda expresamente prohibido el régimen en el cual las funciones de neutro y de protección las cumple el mismo conductor (TN-C). La figura 27.1 muestra el esquema indicativo del régimen de conexión TN-C-S.
Figura 27.1. Esquema indicativo del régimen de conexión a tierra TN-C-S
El régimen IT debe ser aplicado a algunas zonas o procesos específicos, no a la conexión de una acometida. Requiere un esquema de detección de fallas a tierra y monitoreo de aislamiento.
La acometida de una instalación eléctrica de uso final, debe cumplir los requisitos de construcción definidos en la sección 230 de la NTC 2050, su dimensionamiento debe tener en cuenta la sección 220. En el evento que la instalación se diseñe y construya bajo parámetros de IEC, la acometida debe cumplir los requisitos de dicha norma. Adicionalmente deben cumplir lo siguiente:
a. En acometidas que atraviesen vías vehiculares se deben cumplir los siguientes requisitos: los cables deben estar sólidamente sujetados tanto a la estructura de soporte de la red de uso general como a la edificación a alimentar, la altura no podrá ser menor a 5,5 m o la que supere la altura máxima autorizada para vehículos que transiten en esa vía, en el caso que la altura de la edificación no permita lograr dicha altura se deben utilizar una tubería de acero galvanizado tipo intermedio o pesado, de diámetro y resistencia mecánica adecuada y si es necesario un poste o torrecilla que realce los conductores en el cruce, la tubería debe disponer de un capacete o elemento que impida la entrada de agua, el tubo o poste debe permitir el anclaje de una percha o gancho de sujeción de los cables de acometida y debe estabilizarse mecánicamente con la ayuda de templetes, o apoyos debidamente empotrados que no generen riesgos de volcamiento o rotura. En acometidas que no crucen la vía se permite la derivación directa en cualquier parte del vano siempre que se utilicen los conectores apropiados y no se generen tensiones mecánicas en la red de uso general que afecten su seguridad.
b. El cable de acometida aérea de baja tensión debe ser de tipo antifraude como el concéntrico, o trenzado cumplir una norma técnica como la UL 854 o la NTC 4564, apto para instalaciones a la intemperie, de cobre calibre no menor a 10 AWG para instalaciones monofásicas de capacidad instalable menores o iguales a 3 kVA y 8 AWG para instalaciones entre 3 kVA y a 10 kVA. Para potencias superiores se debe hacer el cálculo conforme a la sección 220 de la NTC 2050. En el evento de utilizar conductores de aluminio grado eléctrico debe ser de serie AA8000 y la sección deberá ser dos calibres mayores a la del conductor de cobre y se debe utilizar los conectores bimetálicos que se requieran para controlar corrosión por efectos del par galvánico, aflojamiento, puntos calientes o arco eléctrico. El operador de red podrá aceptar otros tipos de cables aptos para acometidas, siempre que cumplan los requerimientos de la capacidad instalable, de uso a la intemperie y estén certificados para este uso.
c. Se debe asegurar que la regulación de tensión en la acometida no supere el 3%. En lugares con bajo nivel de fraude.
d. En la fachada no se permite el uso de conductores a la vista, ni incrustados directamente, los cables que lleguen a la caja del medidor deben ser encerrados en tubería metálica incrustada y en los lugares donde por limitaciones de los materiales de las paredes no se pueda hacer la incrustación, la canalización debe ser certificada para intemperie y a prueba de impacto no menor al de la tubería metálica tipo intermedio. Se aceptarán cables a la vista sólo si el cable de la acometida es tipo concéntrico con cubierta XLPE o HDPE, no presenta bucles que generen contaminación visual en la fachada, no contravengan las normas de planeación municipal o disposiciones de las autoridades municipales competentes sobre fachadas y se le comunique previamente al usuario. No serán necesarios acuerdos ni disposiciones especiales con las autoridades municipales ni con los usuarios, cuando al usuario se le ha comprobado fraude o cuando las perdidas atribuibles a los usuarios superen el 10%, después de restarle a los valores de la macromedición en BT, en el transformador objeto de control, la energía facturada a todos los usuarios alimentados desde ese transformador y las pérdidas técnicas de la red de BT.
e. En la instalación de la acometida se deben tomar las medidas necesarias para evitar que esta se convierta en canal de transporte de agua lluvia a la fachada o al equipo de medida.
f. Se podrán aceptar conductores de acometida empalmados, siempre que para el empalme se utilice un procedimiento técnico aprobado y aceptado por el operador de red.
27.4. PROTECCIÓN DE LAS INSTALACIONES DE USO FINAL.
Todas las instalaciones para uso final de la electricidad, deben contar con elementos y medidas de protección para impedir los efectos de las sobrecorrientes y sobretensiones, resguardar a los usuarios de los contactos directos a partes energizadas y anular los efectos de los contactos indirectos.
Igualmente, debe contar con las protecciones para evitar daños en la instalación o en el medio que la rodea.
En toda instalación de uso final, el conductor neutro y el conductor de puesta a tierra deben ir independientes entre sí y deben conectarse con un puente equipotencial principal en el tablero general, donde está la protección principal, se conecta con la puesta tierra de la instalación.
27.4.1. MEDIDAS DE PROTECCIÓN CONTRA CONTACTO DIRECTO O PROTECCIÓN BÁSICA.
a. Se debe contar con el aislamiento apropiado acorde con el nivel de tensión de la parte energizada.
b. Se debe asegurar el alejamiento de las personas a partes bajo tensión.
c. Se deben colocar obstáculos o barreras que impidan el acceso de las personas no autorizadas a las partes energizadas.
d. En algunos tipos de aplicaciones, se deben emplear sistemas de muy baja tensión (< 50 V en locales secos, < 24 V en locales húmedos).
e. Se debe disponer de dispositivos de corte automático de la alimentación en cada circuito.
f. En las áreas donde la instalación genere mayor vulnerabilidad de la persona al paso de la corriente, tales como lugares húmedos, se deben utilizar interruptores diferenciales de alta sensibilidad (GFCI o RCD).
g. En algunas instalaciones, según las necesidades, se deben usar sistemas de potencia aislados.
27.4.2. MEDIDAS DE PROTECCIÓN CONTRA CONTACTO INDIRECTO O PROTECCIÓN POR FALLA.
a. El aislamiento debe ser adecuado para el nivel de tensión de los equipos.
b. Toda instalación eléctrica debe disponer de un sistema de puesta a tierra, a menos que en el presente anexo general o normas técnicas internacionales establezcan lo contrario.
c. Todas las carcasas o masas de equipos deben contar con conexión a tierra, que protejan a las personas frente a las corrientes de fuga.
d. Se debe buscar la inaccesibilidad simultánea entre elementos conductores y tierra.
e. Se debe disponer de conexiones equipotenciales.
f. Los circuitos protegidos por un interruptor diferencial de fuga deben operar con una curva de sensibilidad que supere la exigencia de la curva C1 de la figura 9.1 del presente anexo.
g. En algunas instalaciones se deben utilizar sistemas de muy baja tensión.
h. En algunas instalaciones se debe disponer de circuitos aislados galvánicamente, con transformadores de seguridad.
27.4.3. PROTECCIONES CONTRA SOBRECORRIENTES.
a. Toda instalación eléctrica para el uso final de la electricidad debe contar con protección automática contra sobrecorriente.
b. Cada circuito debe ser provisto de un interruptor automático, que lo proteja de sobrecorrientes.
c. La corriente de disparo del interruptor no debe superar la corriente a la cual el aislamiento del conductor o los equipos asociados, alcancen la temperatura máxima de operación permitida. No se debe cambiar el interruptor automático por uno de mayor capacidad que supera la cargabilidad de los conductores del circuito a proteger.
d. El tablero donde se alojen los interruptores automáticos debe ser fácilmente accesible, es decir que no se requiera de elementos adicionales ni retirar obstáculos para poder acceder a él, debe permitir accionar manualmente los interruptores y el espacio de trabajo donde se localice el tablero debe tener las dimensiones adecuadas que permita la movilidad del operario que requiera retirar sus tapas, abrir sus puertas y sustraer, reparar o mantener sus componentes.
27.5. MANTENIMIENTO Y CONSERVACIÓN DE INSTALACIONES PARA USO FINAL.
a. El propietario o poseedor de cualquier instalación eléctrica de uso final, independiente de la fecha de construcción, debe mantenerla y conservarla en buen estado, de tal forma que no presente alto riesgo o peligro inminente para la salud o la vida de las personas, el medio ambiente o la misma instalación y su entorno. En consecuencia él será responsable de los efectos resultantes de una falta de mantenimiento o una inadecuada operación de dicha instalación.
b. En el evento que una instalación eléctrica para el uso final de la electricidad, presente alto riesgo para la salud o la vida de las personas, el propietario o tenedor de la instalación debe corregir la deficiencia en el menor tiempo posible y si es necesario comunicar al operador de red tal situación. En el caso que el propietario o tenedor no corrija la anomalía, cualquier persona que tenga conocimiento debe comunicar al operador de red o a quien suministre el servicio de energía para que de acuerdo con el contrato uniforme para la prestación del servicio éste tome las medidas pertinentes. Quien informe debe identificarse y especificar la dirección del lugar donde se presenta el alto riesgo o peligro inminente.
c. Los trabajos de mantenimiento y conservación deben ser realizados por profesionales competentes, quienes deben informar al propietario de las deficiencias de la instalación, ayudar a su corrección y serán solidariamente responsables con el propietario o tenedor de la instalación, de los efectos que se causen por cualquier deficiencia.
d. El propietario o poseedor de una instalación eléctrica, donde se presente un accidente de origen eléctrico que genere una lesión grave o la muerte de una persona, debe reportarlo a la autoridad competente y al comercializador que le preste el servicio, informando el nombre del accidentado, tipo de accidente, lugar y fecha del acontecimiento. Si él no lo hace cualquier persona podrá denunciar el hecho.
27.6. CLASIFICACIÓN DE LAS INSTALACIONES DE USO FINAL.
Para efectos del presente reglamento las instalaciones para uso final de la electricidad se clasifican en:
a. Instalaciones básicas.
b. Instalaciones provisionales.
c. Instalaciones especiales.
ARTÍCULO 28. REQUISITOS ESPECÍFICOS SEGÚN EL TIPO DE INSTALACIÓN.
Son aquellas instalaciones de baja complejidad y riesgo, que se ciñen a los cuatro primeros cuatro capítulos de la NTC 2050 primera actualización y las redes externas de baja tensión, tanto para uso particular, como destinadas a la prestación del servicio público de electricidad. Adicionalmente, se deben cumplir los siguientes requisitos:
a. En unidades de vivienda con capacidad instalable menor o igual a 7 kW, se permite que los tomacorrientes con interruptor de circuito por falla a tierra, puedan hacer parte del circuito para pequeños artefactos de cocina y de iluminación y fuerza en baños, siempre y cuando en el mesón de la cocina no se tengan más de dos salidas de tomacorriente doble y en el baño no más de una salida de tomacorriente doble.
b. En dormitorios con área menor o igual a 9 m2 se podrá aceptar que se disponga de sólo dos tomacorrientes dobles, siempre que estén ubicados en paredes opuestas. En el resto de la vivienda se debe atender lo establecido en el artículo 210.52 de la NTC 2050, teniendo en cuenta las excepciones de movilidad.
c. La instalación de tomacorrientes con protección de falla a tierra se debe exigir en los espacios y condiciones determinadas por la NTC 2050, teniendo en cuenta que el objetivo es la protección de la persona contra contactos indirectos por corrientes de fuga, principalmente en la conexión o desconexión frecuente de los equipos, en condiciones de mayor vulnerabilidad como en los casos de piel mojada o sumergida.
d. En los cuartos de baño que contienen bañeras, duchas o lavamanos y las zonas circundantes, el riesgo de contacto aumenta en razón de la reducción de la resistencia eléctrica del cuerpo humano mojado y del mayor contacto con tierra, por ello sólo se aceptan las duchas eléctricas que cumplan los requerimientos tanto de producto como de instalación establecidos en el numeral 20.15 del presente anexo. Las tomacorriente estén protegidas con interruptor de falla a tierra y los interruptores no estén instalados en áreas mojadas o a menos de 80 cm de la puerta de la zona de la ducha.
e. Las duchas eléctricas, deben instalarse en circuitos apropiados de capacidad no menor a 30 A para instalación monofásica a tensión menor de 150 V y 20 A para 208/220/240 V protegidos con un interruptor automático, con neutro y conductor de tierra plenamente identificados y conectado sólidamente a tierra o disponer de una protección diferencial.
f. Los cuartos de baño de áreas sociales en viviendas, se eximen de la instalación de tomacorrientes cercano al lavamanos, siempre que en este recinto no se utilicen equipos eléctricos a más de 25 voltios, distintos al sistema fijo de iluminación del cuarto y los demás cuartos de baño de la vivienda cuente con tomacorriente con protección de falla a tierra. En ningún caso se permite el uso de extensiones eléctricas o multitomas en los cuartos de baño al menos que estén derivadas de una toma corriente con protección de falla a tierra.
g. Las instalaciones eléctricas de las unidades de vivienda, de área construida menor a 50 m2 y capacidad instalable no mayor a 7 kVA, deben ser construidas mínimo con los siguientes circuitos:
1. Un circuito para pequeños artefactos de cocina, despensa y comedor, de capacidad no menor a 20 A, a este circuito se le puede incorporar la carga del cuarto de baño.
2. Un circuito para conexión de plancha y lavadora de ropa, de capacidad no menor a 20 A.
3. Un circuito para iluminación y tomacorrientes de uso general en el resto de la vivienda, de capacidad no menor a 20 A.
4. Las instalaciones localizadas en alturas por encima de 1500 msnm, deben disponer de un circuito exclusivo para ducha eléctrica, a menos que en el momento de demostrar la conformidad con el RETIE, el cuarto de baño ya disponga de otro medio para el calentamiento del agua para el aseo personal.
Nota 1: algunos de estos requisitos particulares pueden apartarse de la NTC 2050.
Nota 2: el número y capacidad de los circuitos para las unidades de vivienda de mayor tamaño y mayor potencia instalable deben cumplir los requisitos de la NTC 2050.
28.2. INSTALACIONES PROVISIONALES.
<Inciso modificado por el artículo 7 de la Resolución 40492 de 2015. El nuevo texto es el siguiente:> Para efectos de cumplimiento del RETIE, se entenderá como instalación provisional aquella que se construye para suministrar el servicio de energía a un proyecto en construcción, con un tiempo de vigencia hasta la energización definitiva, la terminación de la construcción, o para el suministro temporal de energía a instalaciones transitorias como ferias o espectáculos, montajes de equipos, demoliciones y proyectos de investigación tales como pruebas sísmicas o perforaciones exploratorias. La condición de provisionalidad se otorgará para periodos no mayores a seis meses (prorrogables según el criterio del OR o quien preste el servicio, previa solicitud del usuario). El Operador de Red y en general quien preste el servicio provisional suspenderá el suministro de energía de la instalación provisional, cuando la instalación presente alto riesgo o en la operación se apliquen prácticas inseguras, que pongan en peligro inminente la salud o la vida de las personas, el medio ambiente o los bienes físicos conexos a la instalación.
La instalación provisional debe cumplir con lo especificado en la sección 305 del Código Eléctrico colombiano (NTC 2050 primera actualización) y con los siguientes requisitos:
a. Debe tener un tablero o sistema de distribución provisional con protección de falla a tierra, excepto para los equipos que no lo permitan porque la protección diferencial puede causar mayor riesgo.
b. El servicio de energía a instalaciones provisionales debe estar condicionado a que un profesional competente <una persona competente>* presente un procedimiento escrito de control de los riesgos eléctricos de esta instalación y se responsabilice del cumplimiento del mismo directamente o en cabeza de otro profesional competente <otra persona competente>*. El procedimiento, así como el nombre y número de matrícula profesional del responsable, debe estar a disposición del operador de red y de cualquier autoridad competente.
c. Por su carácter transitorio y las continuas modificaciones que presentan este tipo de instalaciones, no se requiere la certificación, la cual se remplaza por el documento del procedimiento establecido para el control de la misma, suscrito por el personal competente responsable del cumplimiento, durante el tiempo de existencia de este tipo de instalación.
d. En ningún caso la instalación provisional se debe dejar como definitiva.
e. Para las instalaciones eléctricas provisionales de ferias y espectáculos, las autoridades locales responsables de los espectáculos, deben exigir y verificar que se cumplan los requisitos de seguridad en dichas instalaciones. El operador de red podrá desenergizar aquellas instalaciones que presenten peligro inminente para las personas.
En las instalaciones provisionales se deben cumplir mínimo los siguientes requisitos:
- Todo circuito debe tener una protección de sobrecorriente, con el encerramiento apropiado contra contacto directo o indirecto de personas.
- No se permite la instalación directa en el piso de cables que puedan ser pisados por las personas o vehículos al menos que estén certificados para esta aplicación.
- No se permite el uso de tomacorrientes sin su encerramiento apropiado.
- Los conductores móviles deben ser tipo cable y con revestimiento para dicho uso.
28.3. INSTALACIONES ESPECIALES.
Son aquellas instalaciones que por estar localizadas en ambientes clasificados como peligrosos o por alimentar equipos o sistemas complejos, presentan mayor probabilidad de riesgo que una instalación básica y por tanto, requieren de medidas especiales, para mitigar o eliminar tales riesgos. Las siguientes instalaciones especiales deben cumplir los requisitos establecidos tanto en el anexo general como en la NTC 2050, para cada una:
28.3.1. INSTALACIONES ELÉCTRICAS EN LUGARES CLASIFICADOS COMO PELIGROSOS.
En las áreas clasificadas como peligrosas o de alto riesgo se pueden generarse atmósferas potencialmente explosivas debido a las condiciones locales y operacionales, que permiten que continúe un proceso de combustión, después que tuvo lugar la ignición, por lo tanto las instalaciones deben cumplir los siguientes requisitos:
a. Tanto los equipos como las instalaciones deben cumplir normas internacionales, de reconocimiento internacional o NTC que apliquen, tales como IEC 60079-0/14; ANSI/NFPA 30; ANSI/NFPA 32; ANSI/NFPA 33; ANSI/NFPA 34; ANSI/NFPA 35; ANSI/NFPA 36; ANSI/NFPA 45; ANSI/NFPA 50A; ANSI/NFPA 50B; ANSI/NFPA 58; ANSI/NFPA 59; ANSI/NFPA 325; ANSI/NFPA 496; ANSI/NFPA 497; ANSI/NFPA 499; ANSI/NFPA 820; ANSI/NFPA 913; ANSI/UL 1203; ANSI/API 500; API RP 2003; API 545; UL 1604; ANSI/ISA-S12.10 y el certificado debe hacer mención de las aplicaciones permitidas o de las no permitidas.
b. Debido a que durante la elaboración, procesamiento, transporte y almacenamiento de sustancias inflamables, productos químicos y derivados del petróleo es inevitable que ocurran escapes que en contacto con el oxígeno de la atmósfera, pueden producir mezclas de una concentración explosiva, los lugares donde se tenga presencia de una instalación o equipo eléctrico se deben clasificar. La clasificación se debe hacer dependiendo de las propiedades de los vapores, líquidos o gases inflamables y los polvos o fibras combustibles que pueda haber en ellos y por la posibilidad de que se produzcan concentraciones o cantidades inflamables o combustibles, que se genere una atmósfera potencialmente explosiva. Cuando los únicos materiales utilizados o manipulados en estos lugares sean pirofóricos (materiales que se inflaman al contacto con el aire), estos lugares no deben ser clasificados.
c. Para la clasificación del área se deben considerar al menos los siguientes factores: a) temperatura ambiente, b) presión barométrica, c) humedad, d) ventilación, e) distancia a la fuente del gas o vapor y f) características físico-químicas del producto manejado (densidad, presión, [flash point] temperatura de evaporación, temperatura de ignición, límites de explosividad, etc.). Se deben considerar las fuentes de ignición o factores de riesgo, tales como: superficies calientes, llamas, gases y partículas calientes, chispas de origen mecánico, chispas y arcos de origen eléctrico, corrientes eléctricas parásitas, electricidad estática, rayos, ondas electromagnéticas, radiaciones ionizantes, ultrasonidos, compresión adiabática y ondas de choque, reacciones exotérmicas. Debe tenerse en cuenta los siguiente niveles de energía: MIE (minimum ingnition energy) mínima energía de ignición, MEIC (most easily ignited concentration) concentración más fácilmente inflamable, LEL (lower explosive limit) límite inferior de explosividad o inflamabilidad y UEL (upper explosive limit) límite superior de explosividad o inflamabilidad.
d. La clasificación de áreas, el alambrado y la selección de equipos deben estar supervisados por un ingeniero competente en éstos procedimientos, demostrable con experiencia certificada o certificado de competencia profesional. Todas las áreas designadas como lugares peligrosos, deben estar adecuadamente documentadas. Esta documentación debe estar disponible para quienes están autorizados a diseñar, instalar, inspeccionar, mantener u operar el equipo eléctrico en el lugar.
e. La clasificación de áreas debe hacerse de acuerdo a la metodología de IEC (zonas) o la de NFPA (clases, divisiones), y tener en cuenta lo referente a grupos y códigos de temperatura, así:
Según IEC la clasificación se basa en zonas, así:
– La zona 0 abarca áreas, en las cuales exista la presencia de una atmósfera de gas explosivo de manera permanente o por períodos prolongados.
- La zona 1 abarca áreas, en las cuales se puede esperar que exista la presencia de una atmósfera de gas explosivo de manera ocasional o poco frecuente.
- La zona 2 abarca áreas, en las cuales sólo puede esperarse la presencia de una atmósfera de gas explosivo de manera muy poco frecuente de atmósfera explosiva constituida por una mezcla de aire con sustancias inflamables en forma de gas, vapor o niebla o y si ella se genera, existirá por períodos breves únicamente.
IEC también tiene especificadas zonas para lugares de asistencia médica, zonas para polvos combustibles y fibras inflamables y una clasificación independiente para la minería subterránea.
En el sistema de clasificación por zonas, existen tres grupos:
- Grupo IIC para hidrógeno y acetileno.
- Grupo IIB para acetaldehído y etileno.
- Grupo IIA para metano, gasolina y propano.
Según la NFPA las clases están asociadas al tipo o forma de sustancias existentes en el ambiente:
- Clase I: gases, vapores y líquidos inflamables.
- Clase II: polvos combustibles.
- Clase III: fibras y partículas combustibles.
Las divisiones hace referencia a la frecuencia que en un sitio puede estar presente en el aire gases o vapores inflamables, polvos o fibras combustibles, en cantidad suficiente para producir mezclas explosivas o inflamables en:
- División 1: condiciones normales de operación o de mantenimiento.
- División 2: operación anormal, o lugar adyacente a división 1.
Los grupos, se refieren a clasificaciones más precisas por el poder explosivo y límites de explosividad de los materiales, así:
- Para clase I son divididos en cuatro grupos: A acetileno, B hidrógeno, C etileno y D propano.
- Para clase II, solo en división 1, se clasifica en tres grupos: E metales, F carbón y G granos orgánicos.
- Para la clase III, no hay clasificación por grupos.
Similar al método de clasificación por clases o áreas peligrosas, el método de las zonas también agrupa a los gases o vapores peligrosos y se apoya con las características de esos gases o vapores.
Código de temperatura. Tanto en el método de las clases como el de las zonas, se requiere que el equipo este marcado para mostrar la temperatura de operación o rango de temperatura. El rango de temperatura está identificado a través del uso de un número de identificación.
f. Para su clasificación, cada lugar, local, sección o área se debe considerar individualmente. Los equipos deben estar construidos e instalados de manera que garanticen un funcionamiento seguro en condiciones adecuadas de uso y mantenimiento.
g. Las estaciones de servicio que suministran gasolina y gas natural vehicular deben contar con los planos de clasificación de áreas.
h. Se debe evitar que estén presentes materiales inflamables (gas, vapor, niebla o polvo) y aire (oxígeno) en condiciones y cantidades apropiadas para producir una mezcla explosiva. Si no se puede garantizar esta condición, se deben tomar acciones especiales para controlar la energía de las fuentes de ignición.
i. Las instalaciones de la industria petroquímica, plantas de gas natural, refinerías y otras indicadas en la norma NTC 2050, capítulo 5, deben tener disponibles y vigentes los planos de clasificación de áreas de la instalación, los cuales deben ser elaborados y firmados por un ingeniero experto en áreas clasificadas y procesos; estos son documentos de seguridad muy importantes en los cuales debe basarse el diseñador de la instalaciones eléctricas de dichas áreas. Estos planos deben estar disponibles con las memorias de cálculo del estudio realizado para clasificar estos riesgos de explosión.
j. La clasificación es activa, o sea, que debe permanecer actualizada cada vez que se modifiquen procesos o magnitudes de producción o cada vez que los usuarios midan atmósferas explosivas por fuera de los sitios ya clasificados.
k. Los equipos eléctricos instalados en áreas peligrosas deben estar aprobados para los parámetros de la clasificación del área correspondiente, estar rotulados y cumplir con los requisitos de una norma internacional, de reconocimiento internacional o NTC para el producto y uso.
l. Se aceptan dos filosofías de control del riesgo: aquellas que evitan la atmósfera explosiva, sustituyendo la sustancia explosiva por otra, limitando su concentración, inertizado o propiciando la ventilación adecuada, o las que limitan los efectos de la explosión, haciendo que los elementos constructivos la lleven a niveles aceptables, debe aplicar una de estas dos filosofías para controlar el riesgo. Algunas de las técnicas de protección aceptadas son:
- Equipos a prueba de explosión. Contienen la explosión y permiten que los gases se enfríen y escapen de la envolvente a través de las juntas roscadas, juntas planas o juntas dentadas. Estas envolventes metálicas están taladradas y roscadas para el uso de tubería metálica o conectores tipo glándula.
- Seguridad intrínseca. Un tipo de protección en el que el aparato eléctrico contiene circuitos que no tienen posibilidad de provocar una explosión en la atmósfera circundante. Un circuito o una parte de un circuito tienen seguridad intrínseca, cuando alguna chispa o efecto térmico en este circuito, producidos en las condiciones de operación normal o de falla, no puede ocasionar una ignición.
- Seguridad aumentada. Este tipo de protección es usado para aparatos eléctricos que bajo condiciones normales de operación, no forman una ignición. Aparatos que producen arcos o chispas durante su operación normal o aparatos que generen calor “excesivo” no son apropiados en este tipo de protección. Por esta razón este tipo de protección no es usada en equipos como un interruptor, estaciones de arranque-paro o motores.
- Equipo antideflagrante. Un tipo de protección en el que las partes, que pueden encender una atmósfera explosiva, son colocadas en una caja herméticamente sellada, la cual puede resistir la presión generada durante una detonación interna de una mezcla explosiva y que evita la propagación de la explosión a las atmósferas explosivas que rodean la caja. La transmisión de la explosión al entorno atmosférico circundante esta prevenida.
- Presurización. Un tipo de protección en el que se evita el ingreso de una atmósfera circundante en la caja del equipo eléctrico, manteniendo en el interior de la mencionada caja un gas protector (aire, gas inerte u otro gas apropiado) a una mayor presión que la de la atmósfera circundante.
- Inmersión en aceite. Un tipo de protección en el que el equipo eléctrico o una parte de él es sumergido en aceite de manera tal que una atmósfera explosiva, que puede generarse arriba del aceite o afuera de la caja protectora no pueda encenderse.
- Relleno de polvo. Un tipo de protección en el que la cubierta del equipo eléctrico está rellena de un material en estado de gránulos finos de modo que, en las previstas condiciones de operación, cualquier arco que se produzca dentro de la caja del equipo no encenderá la atmósfera circundante.
- Moldeado. Un tipo de protección en el que las partes que pueden encender una atmósfera explosiva, son encerradas dentro una resina, con resistencia efectiva a las influencias ambientales, de modo que esta atmósfera explosiva no pueda ser encendida por chispas o calentamiento, que pudieran generarse dentro del encapsulado.
También son válidos los sistemas de detección de gas combustible y los equipos a prueba de ignición de polvos.
m. Los productos eléctricos seleccionados para operar en un ambiente clasificado como peligroso, deben estar diseñados y manufacturados para un uso seguro, con la adecuada instalación y mantenimiento y deben demostrar tal condición mediante un certificado de producto, donde señale la aplicación para la cual está certificado y la norma que le aplica. Debe tenerse presente que frecuentemente se pueden ubicar la mayor parte de los equipos en lugares menos peligrosos o no peligrosos, con lo que se reduce el número de equipos especiales necesarios.
n. En la selección de los equipos, estos deben ser aprobados no solo para la clase, división (o zona), grupo y clasificación (código) de temperatura del lugar, sino también con base en las propiedades explosivas o combustibles del, gas, vapor, polvos, fibras o partículas que están presentes.
Adicionalmente, se debe considerar el calor que producen los equipos; no deben operar con temperaturas por arriba de la temperatura señalada por el productor, lo que pudiera ser potencialmente una fuente de ignición.
o. En los equipos a prueba de explosión, las cubiertas de estos equipos deben contener y prevenir la propagación de la llama hacia afuera, a través de las juntas o aberturas, para evitar que las mezclas de vapores alrededor se incendien. Las cubiertas deben ser suficientemente fuertes para resistir, sin rotura o seria deformación, la presión interna de la ignición. La temperatura de la cubierta no debe incrementarse como para hacer encender los gases o vapores a su alrededor.
p. El equipo eléctrico debe seleccionarse de tal modo que se asegure, que la clase térmica indicada en los equipos, no exceda la temperatura de ignición de la sustancia explosiva existente en el sitio donde está instalado.
q. Las conexiones equipotenciales se deben hacer mediante accesorios u otros medios adecuados para ese propósito. Como medio de conexión equipotencial no se debe depender del contacto de las boquillas del tipo con contratuerca o con doble contratuerca. Los medios para conexiones equipotenciales se deben aplicar a todas las canalizaciones, accesorios, cajas, armarios, etc. involucrados entre los lugares clase I, II o III y el punto de puesta a tierra del equipo de acometida o de un sistema derivado independiente. Cuando se utilice tubo metálico flexible o tubo metálico flexible hermético a los líquidos y se empleen esos tubos como el único medio de puesta a tierra de los equipos, se deben instalar puentes equipotenciales internos en paralelo con cada tubo Conduit y que cumplan lo establecido en el artículo 250-79 de la NTC 2050.
28.3.2. INSTALACIONES EN INSTITUCIONES DE ASISTENCIA MÉDICA.
El objetivo primordial de este apartado es la protección de los pacientes y demás personas que laboren o visiten dichos inmuebles, reduciendo al mínimo los riesgos eléctricos que puedan producir electrocución o quemaduras en las personas e incendios y explosiones en las áreas médicas.
La importancia de este tipo de instalación radica en que los pacientes en áreas críticas pueden sufrir electrocución con corrientes del orden de microamperios, que pueden no ser detectadas ni medidas, especialmente cuando se conecta un conductor eléctrico directamente al músculo cardíaco del paciente, por lo que es necesario extremar las medidas de seguridad.
Los requisitos para este tipo de instalación, aplican tanto a los inmuebles dedicados exclusivamente a la asistencia médica de pacientes como a aquellos dedicados a otros propósitos pero en cuyo interior funcione al menos un área para el diagnóstico y cuidado de la salud, sea de manera permanente o ambulatoria. Igualmente, aplica a clínicas odontológicas, centros de salud y en general aquellos lugares en donde el paciente sea sometido a procesos invasivos con equipos electromédicos.
Estas instalaciones de atención médica deben cumplir, además de los requisitos generales de las instalaciones de uso final que les aplique, los siguientes de carácter específico:
a. En las instalaciones de atención médica se debe cumplir lo establecido en la norma NTC 2050 primera actualización y particularmente su sección 517. Igualmente, se aceptan instalaciones de atención médica que cumplan la norma IEC 60364-7-710. No se acepta la combinación de normas.
b. El diseño, construcción, pruebas de puesta en servicio, funcionamiento y mantenimiento, debe encargarse a profesionales especializados y deben seguirse las normas exclusivas para dichas instalaciones.
c. En los laboratorios se debe instalar un sistema de extracción con suficiente ventilación, para evacuar los gases, vapores, humos u otros como el óxido de etileno (elemento inflamable y tóxico).
d. Se debe efectuar una adecuada coordinación de las protecciones eléctricas con la selectividad que garantice al máximo la continuidad del servicio. Los interruptores deberán garantizar que su poder de corte sea igual a la corriente declarada de corte en servicio de acuerdo con la norma IEC 60947-2.
e. Las clínicas, hospitales y centros de salud que cuenten con acometida eléctrica de media tensión, deben disponer de una transferencia automática que se conecte a otra fuente de alimentación.
f. En los centros de atención hospitalaria debe instalarse una fuente alterna de suministro de energía eléctrica que entre en operación dentro de los 10 segundos siguientes al corte de energía del sistema normal. Además, debe proveerse un sistema de transferencia automática con interruptor de conmutador de red (by pass) que permita, en caso de falla, la conmutación de la carga eléctrica al sistema normal. En las áreas críticas que trata la sección 517-30 b) 4), para demanda máxima del sistema eléctrico esencial hasta de 150 kVA, se permite que haya un solo conmutador de transferencia para uno o más ramales o sistemas.
g. En las áreas médicas críticas, donde la continuidad del servicio de energía es esencial para la conservar la vida, debe instalarse un sistema ininterrumpido de potencia (UPS) en línea para los equipos eléctricos de asistencia vital, de control de gases medicinales y de comunicaciones. El circuito alimentador de estas áreas debe contar con protección en cascada contra sobretensiones y los elementos de protección ser de tipo extraíble o desenchufable, para garantizar un rápido cambio en caso de falla.
h. En las áreas médicas críticas, es decir en quirófanos, salas de cirugía o de neonatología, unidades de cuidados intensivos, unidades de cuidados especiales, unidades de cuidados coronarios, salas de partos, laboratorios de cateterismo cardíaco o laboratorios angiográficos, salas de procedimientos intracardiacos, así como en áreas donde se manejen anestésicos inflamables (áreas peligrosas) o donde el paciente esté conectado a equipos que puedan introducir corrientes de fuga en su cuerpo y en otras áreas críticas donde se estime conveniente, debe proveerse un sistema de potencia aislado o no puesto a tierra (denominado IT), el cual debe conectarse a los circuitos derivados exclusivos del área crítica, que deben ser construidos con conductores eléctricos de muy bajas corrientes de fuga.
El sistema de potencia aislado debe incluir un transformador de aislamiento para área crítica de hospital, de muy bajas corrientes de fuga (microamperios), un monitor de aislamiento de línea para 5 mA y los conductores de circuitos no conectados a tierra. Debe disponerse de dispositivos que permitan localizar las fallas a tierra en el menor tiempo posible. Todas las partes del sistema deben ser completamente compatibles, cada una debe cumplir normas técnicas para la aplicación en centros de atención médica, tales como la IEC 60364-7-7 10, la UL 1047, la NFPA 99 o norma equivalente y demostrarlo mediante certificado expedido por un organismo de certificación acreditado.
El transformador de aislamiento del sistema de potencia aislado, no debe tener una potencia nominal inferior a 0,5 kVA ni superior a 10 kVA para áreas de cuidados críticos o 25 kVA para tableros de rayos x, la tensión en el secundario no debe exceder 250 V, el transformador debe ser construido con un aislamiento tipo H o B y debe suministrar potencia al 150% de su capacidad nominal para abastecer grandes cargas intermitentes, garantizando que en caso de una falla inicial de línea a tierra se pueda mantener en un valor tan bajo como 5 mA, sin interrumpirse el suministro de energía. El monitor de aislamiento debe dar alarma si la resistencia de aislamiento entre fase y tierra es menor de 50 k?. En el secundario del transformador deben instalarse interruptores bipolares de mínimo 20 A, los cuales deben abrir tanto la fase como el neutro del circuito solo en caso de que se presente una segunda falla eléctrica que genere cortocircuito.
i. En las áreas húmedas donde la interrupción de corriente eléctrica bajo condiciones de falla pueda ser admitida, como en piscinas, baños y tinas terapéuticas, debe instalarse interruptores diferenciales de falla a tierra para la protección de las personas contra electrocución, así como junto a los lavamanos, independientemente de que estos se encuentren o no dentro de un baño.
j. Con el fin de prevenir que la electricidad estática produzca chispas que generen explosión, en las áreas médicas donde se utilicen anestésicos inflamables, en las cámaras hiperbáricas o donde aplique, debe instalarse un piso conductivo. Los equipos eléctricos no podrán fijarse a menos de 1,53 m sobre el piso terminado (a no ser que sean a prueba de explosión) y el personal médico debe usar calzado conductivo.
k. Igualmente se debe instalar piso conductivo en los lugares donde se almacenen anestésicos inflamables o desinfectantes inflamables. En estos lugares, todo equipo eléctrico a usarse a cualquier altura debe ser a prueba de explosión.
l. Para eliminar la electricidad estática en los centros de atención médica, debe cumplirse lo siguiente:
– Mantener un potencial eléctrico constante en el piso de los quirófanos y adyacentes por medio de pisos conductivos.
– El personal médico que usa el quirófano debe llevar calzado conductivo.
– El equipo a usarse en ambientes con anestésicos inflamables debe tener las carcasas y ruedas de material conductor.
– Los camisones de los pacientes deben ser de material antiestático.
m. En todas las áreas de cuidado de pacientes, para dar protección contra electrocución, los tomacorrientes y equipos eléctricos fijos deben estar conectados a un sistema de puesta a tierra redundante, conformado por:
– Un conductor de cobre aislado debidamente calculado, instalado junto con los conductores de suministro del circuito derivado (circuito ramal) correspondiente y conectado tanto al terminal de tierra del tomacorriente como al punto de tierra del panel de distribución.
– Una canalización metálica o un cable ensamblado con forro o armadura metálica que aloje en su interior al circuito derivado mencionado y conectada en ambos extremos al terminal de tierra.
Tanto la canalización como el cable ensamblado deben calificar como un conductor de puesta a tierra de equipos, (no se admiten canalizaciones no metálicas).
n. Los tableros de aislamiento para uso hospitalario en salas de cirugía, cuidados intensivos, cuidados coronarios, deben ser certificados para uso hospitalario y deben cumplir con los requerimientos de norma técnica internacional, de reconocimiento internacional o NTC que les aplique, tales como la UL1047.
o. En sala de cirugía y áreas de cuidados críticos, la longitud de los conductores y la calidad de su aislamiento debe ser tal que no genere corrientes de fuga mayores a 10 µA y tensiones capaces de producir corrientes en el paciente mayores a 10 mA, considerando que la resistencia promedia del cuerpo humano con piel abierta es de 500 ?.
p. Los tableros o paneles de distribución de los sistemas normal y de emergencia que alimenten la misma cama del paciente, deben conectarse equipotencialmente entre sí mediante un conductor de cobre aislado de calibre no menor al 10 AWG. Todos los circuitos de la red de emergencia deben ser protegidos mecánicamente mediante canalización metálica no flexible.
q. Los tomacorrientes que alimenten áreas de pacientes generales o críticos, deben diseñarse para alimentar el máximo número de equipos que necesiten operar simultáneamente y deben derivarse desde al menos dos fuentes de energía diferentes o desde la fuente de energía de suplencia (planta de emergencia), mediante dos transferencias automáticas. Dichos tomacorrientes deben ser dobles con polo a tierra del tipo grado hospitalario. En áreas de pacientes generales debe instalarse un mínimo de cuatro tomacorrientes y en áreas de pacientes críticos un mínimo de seis tomacorrientes, todos conectados a tierra mediante un conductor de cobre aislado.
r. En áreas siquiátricas no debe haber tomacorrientes. En áreas pediátricas los tomacorrientes de 125 V de 15 ó 20 A, deben ser del tipo a prueba de abuso, o estar protegidos por una cubierta de este tipo (no se aceptarán otros tomacorrientes u otro tipo de cubiertas en estas áreas).
s. Todos los tomacorrientes del sistema de emergencia deben ser de color rojo y estar plenamente identificados con el número del circuito derivado y el nombre del tablero de distribución correspondiente. No se permite el uso de tomacorrientes con terminal de tierra aislada (triángulo naranja) en instalaciones en áreas de cuidado de pacientes.
t. Bajo ninguna circunstancia se podrán utilizar extensiones eléctricas en salas de cirugía o en áreas de cuidados críticos.
u. No se deben utilizar los interruptores automáticos, como control de encendido y apagado de la iluminación en un centro de atención hospitalaria.
v. En áreas donde se utilicen duchas eléctricas, estas deben alimentarse mediante un circuito exclusivo, protegerse mediante interruptores de protección del circuito de falla a tierra y su conexión debe ser a prueba de agua.
w. Los conductores de los sistemas normal, de emergencia y aislado no puesto a tierra, no podrán compartir las mismas canalizaciones.
x. Debe proveerse el número necesario de salidas eléctricas de iluminación que garanticen el acceso seguro para cada área, tanto a los pacientes, equipos y suministros. Deben proveerse unidades de iluminación de emergencia por baterías donde sea conveniente para la seguridad de las personas y donde su instalación no cause riesgos.
y. En el ramal vital, es decir, el subsistema de un sistema de emergencia, se deben incluir las puertas operadas automáticamente usadas en las salidas de los edificios.
z. Se debe entregar un estudio de coordinación de aislamiento que contemple el uso de protecciones de sobretensión en cascada en los circuitos más críticos para garantizar la continuidad de servicio ante eventos de sobretensiones transitorias generadas por descargas atmosféricas o por maniobras en la red.
aa. Los tableros principales de distribución y transferencia deben prever mecanismos de servicio rápido en caso de falla, como por ejemplo incorporar módulos extraíbles o componentes enchufables.
28.3.3. LUGARES CON ALTA CONCENTRACIÓN DE PERSONAS.
Esta sección aplica a instalaciones eléctricas en lugares con alta concentración de personas, es decir aquellos lugares que en cualquier momento se puedan reunir simultáneamente más de 50 personas, tales como son sitios de reuniones públicas, grandes supermercados, lugares de espectáculos como teatros, áreas de audiencias de cine o televisión, carnavales, circos, ferias y espectáculos similares, auditorios, boleras, comedores públicos, cuarteles, gimnasios, iglesias, museos, pistas de patinaje, restaurantes o centros de comidas, salas de conferencias; salas de espera de aeropuertos, puertos y estaciones de transporte masivo; salas de exhibición, salas de juegos, salas de reuniones, salas de uso múltiples, salas de velación, salones de baile, y en general los considerados en las secciones 518, 520 y 525, 530 del Código Eléctrico colombiano (NTC 2050, primera actualización). Estas instalaciones deben cumplir los requisitos generales de las instalaciones de uso final, establecidos en la sección que les aplique y los siguientes:
a. Estas instalaciones deben proveerse con un sistema de potencia de emergencia, destinados a suministrar automáticamente energía eléctrica dentro de los 10 segundos siguientes al corte, a los sistemas de alumbrado y fuerza para áreas y equipos previamente definidos, y en caso de falla del sistema destinado a alimentar circuitos esenciales para la seguridad y la vida humana.
b. Los sistemas de emergencia deben suministrar energía a las señales de salida, la ventilación, alarma contra incendio, bombas contra incendio, ascensores, sistemas de comunicación, procesos industriales y demás sistemas en los que la interrupción del suministro eléctrico puede producir serios peligros para la seguridad de la vida humana. En los sitios donde se requiera la fuente de respaldo de energía, el sistema debe proveer autonomía por lo menos 60 minutos a plena carga, sin que la tensión baje del 87,5 % de su valor nominal. Cuando el sistema de emergencia utilice grupos de baterías de acumuladores, estos deben proveerse con cargador automático. Cuando se use grupo electrógeno, en el cuarto debe disponerse de tomacorrientes para el precalentado, el cargador de baterías y para cualquier otro uso necesario.
c. Las subestaciones para el servicio de lugares con alta concentración de personas o donde el fuego producido por el aceite de transformadores se pueda propagar en todo el edificio, no se deben tener transformadores con aislamiento en aceite a menos que estén confinados en una bóveda con resistencia al fuego mínimo de tres horas o las condiciones establecidas en los numerales 450-42 y 450-43 de la NTC 2050.
d. Las instalaciones eléctricas deben ser operadas y mantenidas por profesionales competentes, quienes deben garantizar que la instalación en ningún caso genere un peligro inminente y se debe dejar registros del mantenimiento. Estas instalaciones se deben inspeccionar por un organismo acreditado en periodos no mayores a cinco años.
28.3.4. EDIFICACIONES PREFABRICADAS.
Las edificaciones o viviendas prefabricadas y los componentes prefabricados que incorporen instalaciones eléctricas deben cumplir los requisitos establecidos en la sección 545 de la NTC 2050.
28.3.5. EDIFICIOS PARA USOS AGRÍCOLAS O PECUARIOS.
Las instalaciones eléctricas en edificaciones con alto contenido de humedad, polvo, polvo con agua o atmosferas corrosivas, como las presentes en establos, granjas agrícolas, avícolas o porcícolas, deben cumplir los requisitos establecidos en la sección 547 de la NTC 2050.
28.3.6. VIVIENDAS MÓVILES, VEHÍCULOS RECREATIVOS, REMOLQUES ESTACIONADOS.
Las viviendas móviles, los vehículos recreativos y los remolques adaptados como vivienda o aplicaciones similares, deben cumplir los requisitos de las secciones 550, 551 y 552, que les aplique.
28.3.7. CASAS FLOTANTES Y PALAFÍTICAS.
Las casas flotantes y palafíticas sometidas a inundaciones periódicas, deben cumplir lo establecido en la sección 553 de la NTC 2050.
28.3.8. INSTALACIÓN DE EQUIPOS ESPECIALES.
Son considerados equipos especiales los avisos luminosos e iluminaciones de contorno, los sistemas de alambrados prefabricados, los muebles y divisiones de oficinas prealambrados, las grúas colgantes y elevadores de carga; los ascensores, montacargas, escaleras y pasillos mecánicos, elevadores para sillas de rueda, equipo de carga de vehículos eléctricos, equipos de soldadura eléctrica, equipos de grabación de sonido y similares, equipos informáticos o de computo, órganos de tubos, equipos de rayos x, equipos de calentamiento por inducción y pérdida en el electrodo, celdas electrolíticas, equipos de galvanoplastia, maquinas fijas industriales, equipos de riego movidos o controlados eléctricamente (incluye bombas accionadas por motor eléctrico). Las instalaciones asociadas a estos equipos deben cumplir los requisitos que les apliquen establecidos en las secciones 600 a 675 de la NTC 2050.
28.3.9. PISCINAS, FUENTES E INSTALACIONES SIMILARES.
Como se anotó en el numeral 9.1 del presente anexo, la soportabilidad del cuerpo humano a la corriente eléctrica, con la piel mojada o sumergida es mucho menor que en condiciones de piel seca, por lo que se requiere que las instalaciones eléctricas en piscinas, fuentes, e instalaciones similares, sean ejecutadas por personas calificadas competentes y cumplan a cabalidad los siguientes requisitos:
a. La construcción de instalaciones eléctricas (conductores y equipos) que estén localizados al interior o cercano a piscinas deportivas, recreativa, terapéuticas y decorativas, fuente, baños termales y bañeras de hidromasajes permanentes y portátiles, así como sus equipos eléctricos auxiliares como bombas, filtros y similares deben cumplir con los requisitos establecidos en la sección 680 de la NTC 2050.
b. Las instalaciones de alumbrado dentro de la piscina, deben alimentarse desde un transformador de aislamiento de 12 V de salida no puesto a tierra y con pantalla electrostática entre los devanados, el cual debe estar certificado para este uso particular y su primario debe trabajar a una tensión menor o igual a 150 V. Igualmente, la instalación eléctrica de la piscina se podrá alimentar directamente desde un ramal protegido por un interruptor diferencial de falla a tierra para luminarias que operan a más de 15 V pero no más de 150 V.
28.3.10. SISTEMAS INTEGRADOS Y SISTEMAS SOLARES FOTOVOLTAICOS.
a. Las instalaciones de sistemas integrados en las que es necesaria una parada ordenada (programada) para lograr una operación segura, deben cumplir los requisitos de la sección 685 de la NTC 2050.
b. Las instalaciones de sistemas fotovoltaicos de generación de energía eléctrica, incluyendo sus los reguladores de tensión, cargadores e inversores, deben cumplir lo establecido en la sección 690 de la NTC 2050. En unidades de vivienda o similares no se permite la conexión de sistemas solares a más de 220 V. Cuando la carga de acumulación en las baterías supere los 1000 A/h, se deben instalar en un cuarto aireado, independiente al lugar donde se alojen los demás equipos del sistema solar.
28.3.11. SISTEMAS CONTRA INCENDIO.
Este es un tipo de instalación especial por la importancia de las bombas y en general los sistemas contra incendio como medio de seguridad en las edificaciones y deben cumplir los siguientes requisitos, además de los establecidos en las secciones 695 y 760 de la NTC 2050:
a. Cuando las bombas requieran alimentación eléctrica externa esta debe proveerse independiente de la acometida eléctrica general, es decir, desde otra acometida exclusiva para este propósito e independiente del resto de la instalación o desde un grupo electrógeno de emergencia, evitándose que un incendio producido en la acometida o en la subestación afecte las instalaciones de la bomba contra incendio. Para ello deben instalarse barreras cortafuego en el cableado.
b. El control de la bomba debe efectuarse mediante un controlador certificado para bombas contra incendio. Debe contar con un elemento de protección solo contra corto circuito no contra sobrecarga.
c. La fuente de energía debe ser confiable y tener la capacidad adecuada para transportar las corrientes de rotor bloqueado de la motobomba y de los equipos accesorios.
d. Para garantizar la continuidad del servicio de energía en el sistema contra incendio, la medida de energía asociada exclusivamente al sistema contra incendios, se debe hacer con equipo de medición indirecto, es decir usando transformadores de corriente.
e. Para evitar quemaduras y lograr una protección contra incendios, los materiales conectados de manera estable, susceptibles de producir arcos o chispas en servicio normal, deben de cumplir por lo menos una de las siguientes condiciones:
- Estar completamente encerrados en materiales resistentes a los arcos. Los materiales de las carcasas dispuestas alrededor de los materiales eléctricos, deben soportar las temperaturas más altas susceptibles de ser producidas por el material eléctrico.
- Estar separados de los elementos de la construcción por pantallas resistentes a los arcos.
- Estar instalados a una distancia suficiente de los elementos de la construcción, sobre los cuales los arcos y chispas podrían tener efectos perjudiciales, permitiendo una extinción segura de los mismos.
- Las partes accesibles de los equipos eléctricos, no deben alcanzar temperaturas susceptibles de provocar quemaduras a las personas y deben satisfacer los límites establecidos en la tabla 28.1.
| Partes accesibles | Materiales de las partes accesibles | Temperatura máxima (ºC) |
| Elementos de control manual | Metálicos No metálicos | 55 65 |
| Previstas para ser tocadas pero no destinadas a ser tomadas con la mano. | Metálicos No metálicos | 70 80 |
| No destinadas a ser tocadas en servicio normal | Metálicos No metálicos | 80 90 |
Tabla 28.1. Límites de temperatura - equipo eléctrico
28.3.12. SISTEMAS DE EMERGENCIA.
Son aquellos destinados a suministrar automáticamente energía eléctrica a sistemas de iluminación, de potencia o ambos, para las áreas y los equipos determinados, en caso de falla del suministro normal o falla en componentes de un sistema destinado para suministrar, distribuir o controlar la potencia o alumbrado esenciales para la seguridad de la vida humana. Estos sistemas deben cumplir los requisitos establecidos en la sección 700 de la NTC 2050.
Adicional a las fuentes señaladas en la NTC 2050 para suministrar energía a los sistemas de emergencia, se podrá mantener la carga total durante por lo menos dos horas con celdas de combustible u otras fuentes energéticas.
28.3.13. OTROS SISTEMAS DE SUMINISTRO.
Sistemas de reserva legal, reservas opcionales y fuentes de generación de energía eléctrica interconectadas, son los equipos y circuitos destinados para el suministro, distribución y control de la electricidad de alumbrado o fuerza que requieren garantizar la continuidad del servicio, estas instalaciones y equipos deben cumplir los requisitos de la NTC 2050, en particular las secciones 701, 702 y 705 respectivamente.
ARTÍCULO 29. INSTALACIONES ELÉCTRICAS EN MINAS. Para efectos del presente reglamento y con el fin de garantizar la seguridad de las personas y equipos contra riesgos de origen eléctrico. Las instalaciones eléctricas en la minas deben cumplir los siguientes requisitos adaptados de las normas IEC 61557-8, DIN VDE 0118-1, NEMA WC-58 o de la norma técnica peruana sobre uso de electricidad en minas.
a. Toda mina debe ser evaluada como una instalación especial y debe clasificarse las áreas de acuerdo a los componentes presentes, conforme lo establece el presente anexo general y el capítulo 5 de la NTC 2050. Se podrá exceptuar este requisito sólo si luego de hacer un minucioso estudio se demuestra que no existe ni existirá la presencia de gases, líquidos o polvos que puedan causar incendio o explosión.
b. Toda mina superficial o bajo tierra, donde se use electricidad debe disponer de planos o diagramas que muestren información actualizada del sistema eléctrico, la cual debe estar siempre disponible para la operación, mantenimiento o requerimiento de la autoridad competente.
c. Las reparaciones, ampliaciones y cambios en las instalaciones eléctricas deben ser efectuadas solamente por profesionales competentes y deben ser plasmadas en los planos o esquemas.
d. Se deben instalar interruptores en el punto de suministro de toda instalación temporal. Para este propósito se consideran instalaciones eléctricas temporales aquéllas destinadas al mantenimiento y reparación de equipos o estructuras o al traslado de equipos exclusivamente mientas dura la actividad.
e. Toda red aérea debe cumplir las distancias de seguridad establecidas en el artículo 13 de este anexo general, incrementadas de acuerdo con las alturas máximas alcanzables por equipos de transporte y extracción. Las redes que estén fuera de servicio deben ser desconectadas de su fuente de alimentación, aisladas y puestas a tierra.
f. Los medios de desconexión de un circuito deben estar bloqueados y etiquetados en la posición abierta, mientras se realice trabajos en una máquina o equipo.
g. Toda área con equipo eléctrico debe contar con un extintor por lo menos.
h. Los cables portátiles de potencia que no excedan los 750 V, deben ser certificados para uso en minería como el tipo SHC-GC o similares, aislados por lo menos para 2000 V.
i. Todos los cables instalados en el interior de una mina o sus vías de escape, no deben ser propagadores de llama y tener una baja emisión de humos. Los cables portátiles de potencia que operen a tensiones que excedan los 750 V, deben ser conductores de potencia apantallados individualmente y conductor de tierra, tal como el tipo SHD o conductores de potencia apantallados individualmente, conductores de tierra y un conductor de monitoreo de tierra, tal como el SHD-GC o similares, aislados por lo menos para 25000 V. Estos cables deben ser a prueba de llama e incluir esta condición en su rotulado.
j. Cuando una mina es abandonada o deja de ser operada, deben desenergizarse todos los circuitos para evitar condiciones de riesgo para las personas.
k. Todo equipo eléctrico instalado en lugares de almacenamiento de explosivos, detonadores o en general se presenten ambientes con gases o vapores explosivos, debe cumplir con los requerimientos correspondientes a la clasificación clase II, división 2, según NTC 2050 o su equivalente IEC.
l. Los polvorines en superficie deben estar ubicados, como mínimo a 60 m de redes aéreas y como mínimo a 100 m de subestaciones eléctricas.
m. En todos los circuitos que operen a tensiones que excedan los 300 V, se deben instalar medios de desconexión del tipo apertura visible u otros que indiquen que los contactos estén abiertos y localizarse tan cerca como sea posible al punto de suministro. Se permite el uso de interruptores automáticos de caja moldeada sin apertura visible, siempre y cuando, se tomen medidas para asegurar que todas las fases queden abiertas.
n. Se debe contar un sistema de alumbrado de emergencia cuando exista la posibilidad de peligro al personal por causa de una falla en el sistema de alumbrado.
o. Toda sección accesible de una banda transportadora accionada eléctricamente debe tener un cordón de seguridad que se extienda a lo largo de ella y que esté dispuesto de tal manera que pare la banda en caso de emergencia. El interruptor operado por el cordón de seguridad debe ser de reposición manual. Una banda transportadora usada en mina subterránea o una banda transportadora de más de 15 m de longitud instalada en un edificio u otra estructura cerrada debe tener un dispositivo de detección para parar el motor en el caso de que la banda se obstruya o se desvíe.
p. Cuando se hagan empalmes permanentes en cables de arrastre, estos deben ser mecánicamente fuertes, con una adecuada conductividad eléctrica, aislados y sellados en forma efectiva para evitar el ingreso de humedad. Su continuidad y aislamiento deben ser probadas por profesionales competentes antes de ser puestos en servicio.
q. Los acopladores que se usen para unir cables portátiles de potencia que operen a tensiones que excedan los 300 V, deben tener un dispositivo de sujeción mecánico, para unir el acoplador de cable, con una resistencia a la tracción mayor que el de los cables portátiles de potencia; dispositivos liberadores de esfuerzo adecuados para el cable portátil de potencia y medios para prevenir el ingreso de humedad.
29.2. SISTEMA DE CONEXIÓN A TIERRA EN INSTALACIONES DE MINAS.
a. Para el propósito de mayor protección y reducción del arco en caso de falla a tierra, los circuitos de suministro deben ser puestos a tierra a través de una impedancia limitadora (sistema IT), el cual requiere un sistema de vigilancia o monitoreo del aislamiento de la red que permita indicar permanentemente la continuidad del circuito de tierra y proteja la instalación mediante desconexión, la cual debe hacerse como máximo en 1,5 segundos o que active un sistema de alarma. El monitoreo debe estar instalado en un circuito a prueba de fallas.
b. La impedancia limitadora debe ser dimensionada para funcionamiento continuo, excepto cuando se provea un dispositivo de disparo de falla a tierra; monitoreada de tal manera que desenergice la fuente si la impedancia se abre y conectada al neutro tan cerca como sea posible de la fuente.
c. En redes con tensiones nominales de hasta 1000 V, debe instalarse una lámpara de luz intermitente en zonas de permanencia de personas, la cual debe prenderse si la resistencia de aislamiento de la red desciende por debajo de 50 ? por cada voltio de tensión nominal fase-tierra. Cuando se use una alarma visible para indicar una falla a tierra, esta alarma será continua hasta que se elimine la falla. En caso que se use alarmas audibles y visibles, la alarma audible podrá ser cancelada y remplazada por la alarma visible hasta que se elimine la falla.
d. Cuando se tengan sistemas no puestos a tierra se debe instalar un dispositivo indicador de falla a tierra acoplado con la protección del circuito. En estos casos, una falla a tierra debe ser investigada y eliminada tan pronto como sea posible.
29.3. REQUISITOS PARA EQUIPOS.
29.3.1. Equipos movibles. Los equipos movibles que operen en baja tensión por encima de los 300 V y estén conectados a una fuente de tensión con un cable portátil de potencia deben:
a. Usar cables portátiles de potencia multiconductor con conductores de tierra, conductor de chequeo de tierra y un apantallado total para 2000 V o más, tal como el tipo SHC-GC o similares.
b. Tener protección de falla a tierra y monitoreo del conductor de tierra en el lado de la fuente o conectar a la red equipotencial del sistema de puesta a tierra el equipo movible, usando un conductor adicional, de capacidad equivalente a los conductores de tierra del cable portátil de potencia.
29.3.2. Equipos móviles. Los cables portátiles de potencia usados para alimentar a los equipos eléctricos móviles deben ser del tipo SHC-GC, SHD-GC o similar y certificados para uso en minería; tener conectores de entrada del cable que eviten el ingreso de agua, polvo y otras condiciones ambientales a las cajas de empalme y caja de interruptores.
29.3.3. Vehículos mineros. Toda locomotora o vehículo eléctrico sobre rieles, debe ser equipado con lámparas que permanecerán energizadas si el interruptor está en la posición de encendido.
a. Toda locomotora en movimiento debe emitir una luz en la dirección del viaje la cual otorgue una iluminación para hacer claramente visible a las personas y objetos a una distancia mínima de 30 metros.
b. Toda locomotora o vehículo eléctrico sobre rieles debe ser equipado con algún tipo de control del tipo “hombre muerto” el que debe quitar la energía automáticamente cuando el operador abandona su compartimiento.
29.3.4. Subestaciones. Las subestaciones que consistan de un conjunto de equipos eléctricos montados sobre una estructura autoportante movible deben cumplir con lo siguiente:
a. La estructura autoportante debe ser apta para el movimiento a través de terreno irregular o estar provista de medios de izaje para permitir el levantamiento sobre un medio de transporte.
b. El transformador de potencia y los demás componentes de la subestación deben estar dentro de una cubierta totalmente cerrada o una malla eslabonada que la encierre o barrera equivalente con una altura mínima de dos metros.
c. El transformador que alimente de energía a un equipo eléctrico móvil con más de 300 V ca, debe tener una potencia nominal al menos del 125% de la potencia nominal del equipo eléctrico móvil que alimenta.
d. La conexión de la impedancia limitadora debe hacerse tan cerca como sea posible del punto neutro del transformador. Si el cable que conecta el neutro del transformador y el dispositivo de puesta a tierra excede los dos metros de longitud debe ser protegido contra daños físicos.
e. La resistencia del sistema de puesta a tierra de la subestación movible con electrodos debe ser medida y probada la protección de falla a tierra después de cada instalación o cambio de ubicación de la subestación. Se deben hacer los cambios necesarios, hasta asegurar que la máxima elevación del potencial de tierra sea menor o igual a 100 V.
29.4. ILUMINACIÓN Y SEÑALIZACIÓN.
a. Se debe iluminar las zonas de descarga en transportadores, tanto de banda como de cadena; la descarga en las cabezas, principal y secundaria, de los tajos largos, las zonas de tensado y retorno en transportadores, etc.; en general, cualquier parte donde se desarrollen actividades de explotación que puedan involucrar a varias personas y pueda preverse la intervención en grupo.
b. Se deben proveer de cofres o tableros dedicados al control de la iluminación.
c. Los circuitos de alumbrado no deben tener tensión superior a 240 V ca por lo que de ser necesario por efectos de regulación se debe usar transformadores auxiliares, denominado transformador o cofre de alumbrado.
ARTÍCULO 30. REQUISITOS ESPECÍFICOS PARA MINAS SUBTERRÁNEAS. Las instalaciones eléctricas de las minas subterráneas deben cumplir los siguientes requisitos, adicional a los requisitos generales para minas que les aplique:
30.1. CLASIFICACIÓN DE ÁREAS EN MINAS SUBTERRÁNEAS.
Toda mina subterránea debe considerarse como un ambiente clasificado como peligroso por la presencia probada o posible de gases y polvos explosivos, en consecuencia debe clasificarse.
Una explotación subterránea en la que históricamente aparecen gases potencialmente explosivos debe clasificarse como con riesgo de explosión y aquella en la que no ha sido detectado el riesgo de explosión, únicamente puede desecharse el riesgo potencial después de haber realizado una serie de medidas rigurosas y exhaustivas, que permitan concluir que no se tendrá la presencia de gases explosivos.
30.2. USO DE EQUIPOS APROPIADOS.
En minas subterráneas se deben utilizar los equipos con los grados de protección apropiados, tanto a la penetración de cuerpos sólidos, gases o agua, como al impacto, teniendo en cuenta los siguientes requerimientos:
El grado de protección IP o su equivalente Nema, se refiere al nivel de estanqueidad frente a la penetración de polvo y de agua al interior de cualquier envolvente. La identificación del nivel de protección se hace por medio de las letras IP seguido de dos cifras, la primera indica el nivel relativo de estanqueidad al polvo y la segunda al agua. En minas subterráneas deben utilizarse mínimo los siguientes grados IP o sus equivalentes Nema:
IP 20: también llamada protección de dedos, está destinado principalmente a partes de aparatos contenidos en otras envolventes, por ejemplo seccionadores o transformadores de auxiliares situados en el mismo compartimento que el resto de aparatos. IP 23: exigido para envolventes de equipos sin modo de protección destinados a estar instalados en el interior de locales o habitáculos cerrados (sin acceso libre al personal). IP 54: exigible a envolventes de equipos sin modo de protección cuando están instalados con acceso directo al personal de explotación (locales o lugares abiertos). También para equipos con modo de protección con envolvente antideflagrante. IP 55: exigible a envolventes de equipos de seguridad intrínseca y de seguridad aumentada, o ambos como modo de protección.
El grado de protección de robustez mecánica IK o su equivalente Nema, se refiere al grado de protección de la envolvente o parte de ella contra impactos. Se debe usar en cualquier tipo de equipo de instalación subterránea, tanto de áreas clasificada como sin clasificación.
Los equipos eléctricos de interior deben presentar alta resistencia mecánica a fin de ser capaces de asegurar el suministro eléctrico con la seguridad exigible para ambientes subterráneos no clasificados o con riesgo de explosión, los grados IK mínimos requeridos son: IK09 para equipos eléctricos destinados a frentes de arranque, preparación y, en general, cualquier labor de interior que implique proximidad a con maquinaria pesada, e IK07 para otros equipos eléctricos, alumbrado general, señalización, control, gasometría, etc.
Encerramiento de transformadores: un transformador instalado en una mina subterránea debe ser protegido contra daño físico; resguardado de tal manera que se impida el acceso a personal no calificado y no autorizado, tener espaciamientos alrededor del mismo para permitir un acceso seguro para inspección, mantenimiento y reparación, ser montado sobre una base a prueba de fuego y en una ubicación que minimice la propagación del fuego, no debe ser usado donde haya riesgo de inundación al menos que este certificado para operar sumergido, debe y estar provisto con una cubierta que cumpla con los requerimientos de la NTC 2050.
Aislamiento de transformadores:cuando un transformador del tipo seco o de relleno con nitrógeno sea instalado en una mina subterránea, debe tener materiales aislantes iguales o superiores que la clase H de acuerdo con la IEC 85 y estar a una distancia mínima de tres metros de puntos de trabajo, o de circulación de personas.
Tableros eléctricos: las máquinas para realizar las labores de arranque, preparación y transporte que disponen de motores eléctricos de alta o baja tensión, para los accionamiento de máquinas destinadas a labores propias de frentes de explotación o preparación deben ser controlados, protegidos y monitorizados, desde tablero eléctricos apropiados para esos fines (denominados cofres de tajo), los cuales son equipos robustos, construidos en envolvente metálica electrosoldada y deben contar con certificado de conformidad con la norma que le aplique. Cuando van a ser utilizados en minas clasificadas con riesgo de explosión deben estar certificados y marcados como IECEx, ATEX o similar, deben disponer de un sistema de apertura-cierre que facilite el acceso, el cual debe asegurarse por medio de enclavamientos mecánicos.
30.3. USO DE CABLES ELÉCTRICOS APROPIADOS.
Los cables usados en minas subterráneas deben cumplir los siguientes requisitos:
a. Los conductores o cables de potencia que alimenten a equipos fijos, con tensiones a tierra que excedan los 150 V, deben estar aprobados para el tipo de clasificación requerida, ser construidos de tal forma que las tres fases estén en un mismo bloque o ducto, para que al protegerlos con armaduras, tubos rígidos u otros medios mecánicos similares, no se induzcan corrientes capaces de producir calentamientos peligrosos. Estos cables son:
- Cables armados: son especialmente indicados para instalaciones fijas, construidos en un solo bloque los tres conductores aislados para sistema trifásico, un relleno de material plástico, una armadura metálica, y una cubierta exterior de PVC.
- Cables flexibles armados o semiflexibles: se utilizan en instalaciones de baja movilidad; en general son cables de muy amplio rango de aplicación en toda clase de instalaciones subterráneas, están formados por los tres conductores aislados para sistema trifásico, un relleno de material plástico, una armadura metálica y una cubierta exterior de gran resistencia a la abrasión.
- Cables flexibles: están indicados para instalaciones móviles son cables de construcción y tratamiento más complejos, requieren de una protección eléctrica especial denominada protección de cable flexible y están compuestos del tres conductores aislados para sistema trifásico, un relleno central plástico, una pantalla metálica y una cubierta exterior de gran resistencia a la abrasión.
b. Cuando se hagan empalmes en cables o conductores que excedan los 750 V, deben tener características mecánicas y eléctricas equivalentes a las del cable, deben ser realizados por una persona competente, tener un aislamiento igual o superior que el cable original y estar sellado contra la humedad.
c. Para que cualquier equipo eléctrico pueda utilizarse legalmente en una explotación minera subterránea, debe disponer de un marcado específico y de una certificación escrita la cual debe ser coherente con el marcado, que asegura que el equipo está diseñado para uso en minería subterránea.
PROHIBICIONES.
ARTÍCULO 31. PROHIBICIONES. Por considerarse contrario a los principios y objetivos del presente reglamento, se prohíbe la comercialización de los siguientes productos.
31.1. COMPUESTOS PERSISTENTES.
Se prohíbe que los productos usados en instalaciones eléctricas objeto de este reglamento contengan compuestos orgánicos persistentes, incluyendo los bifenilos y terfenilos policlorados y polibromados (PCB y PCT), además de los asbestos en todas sus formas, incluyendo el amianto. En las concentraciones o proporciones reglamentadas por la autoridad ambiental o de salud.
En el caso de usar tecnologías de aislamiento eléctrico, con productos como el SF6, el porcentaje de fugas debe ser controlado, dando cumplimiento a normas técnicas internacionales para este propósito.
A partir del 1º de mayo de 2005, quedó prohibida la instalación, fabricación e importación de pararrayos o terminales de captación con material radiactivo.
31.3. MATERIALES REUTILIZADOS EN INSTALACIONES DE USO FINAL.
A partir del 1º de mayo de 2005, quedó prohibido el uso de materiales o artefactos reutilizados o remanufacturados en instalaciones para el uso final de la electricidad.
La restricción es aplicada a los equipos que por su uso pueden perder sus características originales y propiedades de operación, exponiendo a riesgos a los usuarios, tales como interruptores automáticos, relés diferenciales, interruptores de protección de falla a tierra y en general aquellos que no demuestren la conservación de sus características técnicas. Por tal razón, productos usados o remanufacturados se podrán utilizar en las instalaciones eléctricas solo si demuestran la conformidad con el presente reglamento, mediante el cumplimiento de pruebas tipo, realizadas por laboratorios acreditados o en su defecto laboratorios evaluados por organismos de certificación de producto.
El uso de equipos y materiales de una instalación que se traslade de lugar está limitado a que los resultados de pruebas de funcionalidad y de aislamiento sean satisfactorios. De tales pruebas y sus resultados se dejaran los registros correspondientes, los cuales serán revisados en la certificación de la instalación, como documentos de sustitución de los certificados de conformidad de producto.
31.4. USO DE LA TIERRA COMO ÚNICO CONDUCTOR DE RETORNO.
A partir del 1º de mayo de 2005, quedó prohibida la construcción de instalaciones eléctricas donde se use la tierra como único conductor de retorno de la corriente, es decir, no se aceptan sistemas monofilares, a excepción de las que conecten la señal de salida de pulsadores de cercas eléctricas.
No se permite la reposición de equipos de sistemas monofilares así estos hubieran sido construidos con anterioridad a la vigencia del RETIE, estos sistemas se deberán remodelar plenamente, cumpliendo los requisitos del presente reglamento.
Aquellos sistemas monofilares donde los sistemas de puesta a tierra presenten deficiencias, deben ser considerados como instalaciones eléctricas de alto riesgo; en consecuencia el propietario, operador o tenedor de tales instalaciones, deben corregir las deficiencias de tales instalaciones.
DEMOSTRACIÓN DE LA CONFORMIDAD.
ARTÍCULO 32. MECANISMOS DE EVALUACIÓN DE CONFORMIDAD. Como mecanismo de verificación del cumplimiento del presente reglamento y de apoyo al control y vigilancia ejercida por el Estado, se recurre a instancias establecidas en el subsistema nacional de la calidad, utilizando organismos de evaluación de la conformidad debidamente acreditados, mediante mecanismos como la certificación de productos, la certificación de personas, la realización de pruebas y ensayos en laboratorios y la inspección de las instalaciones.
Conforme a la Ley 1480 de 2011 en su artículo 73, los organismos de evaluación de la conformidad serán responsables por los servicios de evaluación que presten dentro del marco del certificado o del documento de evaluación de la conformidad que hayan expedido. Sin perjuicio de las multas a que haya lugar, el evaluador de la conformidad (profesional competente <persona competente>*, laboratorio, organismo de certificación y organismo de inspección) será responsable frente al consumidor (usuarios del producto o de la instalación) por el servicio de evaluación de la conformidad. El evaluador de la conformidad no será responsable cuando el evaluado haya modificado los elementos, procesos, sistemas o demás condiciones evaluadas y exista nexo causal entre dichas variaciones y el daño ocasionado.
PARÁGRAFO. En toda publicidad o información en los que se avise que un producto o proceso ha sido certificado o evaluado, se debe indicar, en los términos de la Ley 1480, el alcance de la evaluación, el organismo de evaluación de la conformidad y la entidad que acreditó al organismo de evaluación.
32.1. ACREDITACIÓN Y ORGANISMOS DE EVALUACIÓN DE LA CONFORMIDAD.
Los laboratorios de calibración, laboratorios de pruebas y ensayos; los organismos de certificación y los organismos de inspección que intervengan en el proceso de demostración de la conformidad con el presente reglamento, deben estar acreditados por el Organismo Nacional de Acreditación, Onac, conforme al Decreto 2124 de 2012 y deben cumplir las norma expedidas por éste organismo de acreditación y demás normatividad aplicable sobre la materia.
Para efectos del presente reglamento, los organismos acreditados para la evaluación de la conformidad deben cumplir los siguientes requisitos:
32.1.1. LABORATORIOS DE PRUEBAS Y ENSAYOS.
Salvo las excepciones aquí definidas, los ensayos y pruebas requeridas para la expedición de los certificados de conformidad de los productos objeto del presente reglamento, deben ser realizados en laboratorios acreditados por el Onac.
Los organismos de certificación, solicitaran al laboratorio acreditado la realización de las pruebas y ensayos requeridos, y este en un plazo no mayor a 15 días calendarios, después de recibir la solicitud con la suficiente precisión del servicio requerido, deberán comunicarle al organismo de certificación el tiempo máximo en que podrán entregar los resultados de las pruebas o ensayos.
Solo en caso de no existir laboratorios acreditados para la realización de los ensayos, o que los laboratorios acreditados hayan manifestado por escrito no poder atender la solicitud en un plazo menor a 30 días, los ensayos o pruebas se podrán efectuar en laboratorios evaluados previamente por el organismo de certificación, en este caso el laboratorio evaluado debe iniciar su proceso de acreditación dentro del año siguiente a la prestación del primer servicio bajo ésta condición. Si vencido el plazo de dos años contados a partir del primer servicio prestado este laboratorio no ha obtenido su acreditación respectiva, no se podrán seguir utilizando sus servicios.
Cuando no exista en Colombia laboratorios para la realización de algunas de las pruebas o ensayos requeridos para demostrar la conformidad con el presente reglamento de un producto determinado, el organismo de certificación acreditado en Colombia podrán aceptar pruebas y ensayos realizados en el exterior, siempre que sean efectuadas por laboratorios acreditados preferencialmente por organismos de acreditación reconocidos por ILAC o a IAF o en su defecto que tengan un reconocido prestigio, sin dejar de lado la responsabilidad que le asiste al organismo certificador en la evaluación de la conformidad del producto.
32.1.2. ORGANISMOS DE CERTIFICACIÓN DE PRODUCTOS.
Para efectos de la demostración de conformidad con el presente reglamento, solo se aceptan los certificados de conformidad de productos emitidos por organismos de certificación de producto acreditados por el Onac y los que homologue o convalide la SIC.
La acreditación de organismo de certificación de producto debe atender los requerimientos de la guía ISO IEC 65, la normativa expedida por el Onac y los requisitos establecidos en el presente reglamento.
Los organismos de certificación deben realizar las pruebas y ensayos en laboratorios acreditados, pruebas en laboratorios no acreditados o en el exterior solo se aceptaran en las excepciones mencionadas en este reglamento.
32.1.3. ORGANISMO DE CERTIFICACIÓN DE PERSONAS NATURALES. <Numeral modificado por el artículo 7 de la Resolución 40293 de 2021. El nuevo texto es el siguiente:> Los organismos de certificación de personas naturales que deseen prestar servicios de certificación para Inspectores de Instalaciones Eléctricas objeto del Reglamento Técnico de Instalaciones Eléctricos (RETIE), entre otros, deben acreditarse ante el ONAC siguiendo sus lineamientos y con alcance a los requerimientos de la norma ISO/IEC 17024, el esquema de certificación del que trata el numeral 35.1 y la(s) Norma(s) Sectorial(es) de Competencia Laboral elaboradas por los Comités Técnicos de Mesas Sectoriales, siguiendo la metodología y los procedimientos del Servicio Nacional de Aprendizaje (Sena) o, en su defecto, las Normas Técnicas elaboradas por el Instituto Colombiano de Normas Técnicas y Certificación (Icontec).
32.1.3.1. NORMAS PARA CERTIFICACIÓN DE COMPETENCIAS DE INSPECTORES Y DIRECTORES TÉCNICOS DE ORGANISMOS DE INSPECCIÓN DE INSTALACIONES ELÉCTRICAS EXPEDIDAS POR ORGANISMOS ACREDITADOS. <Numeral derogado por el artículo 11 de la Resolución 40293 de 2021>
32.1.4. ORGANISMOS DE INSPECCIÓN DE INSTALACIONES ELÉCTRICAS.
Los organismos de inspección para las instalaciones del presente reglamento, deberán cumplir los siguientes requisitos:
a. Los organismos de inspección acreditados para instalaciones eléctricas objeto del RETIE deben ser tipo A según criterios de la norma ISO/IEC 17020.
b. Adicional a los requerimientos de la norma ISO/IEC 17020, en el proceso de acreditación, el organismo que aspire a la acreditación debe presentar los procedimientos que pretenda aplicar, en la inspección, los cuales deben asegurar que son los adecuados para la verificación del cumplimiento de todos los requerimientos establecidos en el RETIE que son aplicables a la instalación objeto de inspección. Los procedimientos, métodos y equipos de medición presentados en el trámite de acreditación ante el Onac deben atender los requerimientos de prueba de los distintos ítems contemplados en los formatos de verificación establecidos en el presente reglamento y deben mantener y aplicar tales condiciones durante la vigencia de la acreditación.
c. Tanto el director técnico o quien suscriba los dictámenes, como los inspectores deben demostrar su competencia técnica y legal en las ramas de la electrotecnia objeto de las inspecciones y un conocimiento amplio de los requisitos establecidos en el presente reglamento, lo cual se debe demostrar mediante un certificado de competencia profesional, expedido por un organismo de certificación de personas acreditado por el Onac conforme a la norma NTC-ISO-IEC 17024, certificados de experiencia laboral en actividades del proceso a inspeccionar, así como la idoneidad para emitir un juicio profesional sobre la determinación de la conformidad de la instalación inspeccionada. Adicionalmente deben estar dispuestos a sustentar tal juicio ante cualquier requerimiento de las autoridades o clientes que se lo solicite. La competencia legal se la otorga la matrícula profesional que lo habilite para ejercer la profesión y expedir el dictamen de inspección como un juicio propio de la experticia profesional en los temas de la electricidad asociados al tipo de instalación objeto de la inspección. El certificado de experiencia profesional será exigible a partir del 1º de julio de 2014.
d. El organismo de inspección debe contar con los recursos humanos con capacidades técnicas, los equipos de medida y de pruebas y ensayos requeridos para el tipo de instalación a inspeccionar, así como con el personal competente para ejecutar tales pruebas y mediciones. La SIC o el Onac podrán verificar en cualquier momento el cumplimiento de este requisito.
e. Los organismos de inspección que inspeccionan subestaciones de potencia igual o mayor a 20 MVA, líneas de transmisión de tensiones iguales a superiores a 110 kV, centrales de generación de potencia igual o mayor de 20 MVA, instalaciones donde se tenga alta concentración de personas, instalaciones médicas, instalaciones en ambientes clasificados como peligrosos e instalaciones en minas, deben disponer de los procedimientos y equipos adecuados y el personal profesional debidamente capacitado y entrenado para este tipo de instalaciones. En el proceso de acreditación deberá evaluarse tal condición y la acreditación debe hacer expresa mención del alcance, en este tipo de instalaciones.
f. El organismo de inspección podrá solicitar en el proceso de acreditación, la posibilidad de inspeccionar etapas de la construcción, en tal caso debe garantizar que la inspección parcial no se convierta en asesoría o interventoría que afecte el principio de independencia e imparcialidad en el dictamen final.
g. <Literal modificado por el artículo 21 de la Resolución 90795 de 2014. El nuevo texto es el siguiente:> En el proceso de acreditación, el organismo de inspección debe adjuntar las hojas de vida y copias de los certificados de experiencia y de la Certificación de Competencia Profesional vigente del director técnico o de quien suscriba los dictámenes y de los inspectores. Los retiros de inspectores deben ser notificados al ONAC, así como sus reemplazos. Antes de utilizar los servicios profesionales de un inspector, el organismo de inspección deberá comprobar su idoneidad, certificado de competencia vigente y la tenencia de su matrícula profesional. El director técnico o quien suscriba los dictámenes y los inspectores deben ser titulados en alguna de las profesiones relacionadas directamente con las instalaciones a inspeccionar; no podrán dictaminar sobre actividades que superen o sean ajenas al alcance otorgado por la ley o normas que regulen el ejercicio profesional.
ARTÍCULO 33. CERTIFICACIÓN DE CONFORMIDAD DE PRODUCTOS. Salvo las excepciones aquí establecidas, los productores o importadores de todos los productos cubiertos por el alcance y campo de aplicación del presente reglamento, previamente a su comercialización en el país, o previamente al levante aduanero para el caso de productos importados, deben demostrar que cumplen con los requisitos aquí establecidos, a través de un certificado de conformidad de producto expedido por un organismo de certificación de productos acreditado por Onac.
33.1. REQUISITOS GENERALES DE LA CERTIFICACIÓN DE PRODUCTOS.
La demostración de la conformidad de los productos objeto del presente reglamento, deben cumplir los siguientes requisitos:
a. <Literal modificado por el artículo 22 de la Resolución 90795 de 2014. El nuevo texto es el siguiente:> El certificado de conformidad de producto expedido por un organismo de certificación acreditado por el Onac, debe cumplir los requisitos y procedimientos establecidos en los artículos 7º y 8º del Decreto 2269 de 1993 por el cual se organiza el sistema nacional de normalización, certificación y metrología, o aquellos que lo modifiquen, adicionen o sustituyan y los criterios de acreditación de la guía ISO/IEC 1765 y los sistemas de certificación de producto establecidos en la guía ISO/IEC 17067, en su versión más actualizada.
b. Requieren certificación de la conformidad con el RETIE, aquellos productos listados en la tabla 2.1 y que no correspondan a sus exclusiones. Productos que aun teniendo la misma partida arancelaria pero que no sean objeto del RETIE o estén destinados a instalaciones excluidas de este reglamento, no requieren demostrar la conformidad con RETIE.
c. Los productos con requisitos establecidos en el presente anexo general, deben ser certificados, probando cada uno de tales requisitos.
d. En el proceso de certificación, el organismo acreditado debe tener en cuenta el tipo de aplicación del producto y hacer mención expresa en el certificado. Este requisito es primordial en la certificación de los productos para instalaciones especiales.
e. Los productos que por su condición particular, en el presente anexo general se les exige certificado de conformidad con una norma técnica internacional, de reconocimiento internacional o NTC que le aplique, de conformidad con el RETIE, se deben probar con los requisitos de dicha norma y el certificado hará mención del cumplimiento tanto de la norma como del RETIE. Si se exigen requisitos adicionales a los de la norma, deben probarse cada uno de ellos y verificar el cumplimiento de rotulado y trazabilidad.
f. <Literal modificado por el artículo 22 de la Resolución 90795 de 2014. El nuevo texto es el siguiente:> El organismo de certificación de productos se debe soportar en los resultados de ensayos de laboratorios acreditados por el Onac. En ausencia de los anteriores, los organismos de certificación podrán soportar sus certificaciones en ensayos realizados en laboratorios acreditados por miembros de ILAC y en los casos excepcionales ya señalados, en laboratorios evaluados. La aceptación o reconocimiento de resultados de ensayos es responsabilidad del organismo de certificación, en aplicación de lo establecido en la guía ISO/IEC 17065.
g. En el proceso de certificaciones, se deben probar cada uno de los parámetros relacionados con los ítems establecidos en el rotulado y marcado, para lo cual se debe utilizar los procedimientos establecidos en la norma de producto aplicada para la certificación.
PARÁGRAFO 1o. Las muestras para pruebas o ensayo no requieren demostrar cumplimiento del RETIE previo a su levante.
PARÁGRAFO 2o. No se podrá prohibir, limitar, ni obstaculizar la comercialización, ni la puesta en funcionamiento de los productos que cumplen con las disposiciones del presente reglamento.
33.2. SISTEMAS DE CERTIFICACIÓN DE PRODUCTO ACEPTADOS.
<Inciso modificado por el artículo 22 de la Resolución 90795 de 2014. El nuevo texto es el siguiente:> Para efectos de la conformidad con el presente reglamento, solo se aceptaran certificados expedidos bajo los siguientes sistemas establecidos en la guía ISO IEC 17067:
33.2.1. CERTIFICACIÓN DE MUESTRA - SISTEMA 1A.
Este sistema incluye el ensayo/prueba y se evalúa la conformidad sobre muestras del producto. Los resultados cubren únicamente la muestra evaluada. Este sistema de certificación incluye lo siguiente:
– Muestras suministradas por el cliente al organismo de certificación.
– Ejecución de inspección por atributos y ensayos/pruebas; de acuerdo con los requisitos del referencial aplicable.
– Evaluación de la conformidad de acuerdo con los resultados de la inspección por atributos y ensayos/pruebas.
– Revisión y emisión de resultados del proceso de evaluación.
– Decisión.
Nota: cuando las pruebas sean destructivas, se podrán aceptar resultados de pruebas a muestras de los mismos lotes donde se sacó la muestra a certificar.
Vigencia: para este sistema, los certificados emitidos no cuentan con vigencia, y son aplicables únicamente a las muestras evaluadas.
33.2.2. CERTIFICACIÓN DE LOTES - SISTEMA 1B.
Este sistema incluye el ensayo/prueba; se evalúa la conformidad sobre muestras del producto. El muestreo es estadísticamente significativo sobre el total del lote, teniendo en cuenta que las muestras a ser evaluadas durante el proceso son tomadas mediante técnicas normalizadas.
Este sistema de certificación incluye lo siguiente:
– Muestras tomadas por el organismo de certificación, de la fábrica o del mercado, dependiendo del tipo de producto.
– Ejecución de inspección por atributos y ensayos/pruebas, de acuerdo con los requisitos del referencial aplicable.
– Evaluación de la conformidad de acuerdo con los resultados de la inspección por atributos y ensayos/pruebas.
– Revisión y emisión de resultados del proceso de evaluación.
– Decisión.
Vigencia: para este sistema, los certificados emitidos no cuentan con vigencia, y son aplicables al total del lote evaluado.
Este sistema incluye el ensayo/prueba y la vigilancia de muestras de fábrica o del mercado o de ambos. Está enfocado para aquellos productos nacionales, que no cuentan con un sistema de gestión de calidad, y para aquellos importadores cuyo productor no cuente con sistema de gestión de calidad.
Este sistema de certificación incluye lo siguiente:
Para productores nacionales:
– Muestras tomadas por el organismo de certificación, de la fábrica o del mercado, dependiendo del tipo de producto.
– Ejecución de inspección por atributos y ensayos/pruebas sobre las muestras seleccionadas; de acuerdo con los requisitos del referencial aplicable.
– Evaluación inicial del proceso de producción o del sistema de la calidad para evaluar la capacidad del productor para manufacturar los productos.
– Evaluación de la conformidad de acuerdo con los resultados de la inspección por atributos y ensayos/pruebas y con los resultados de la inspección.
– Revisión y emisión de resultados del proceso de evaluación.
– Autorización (licencia) para el uso del certificado durante el tiempo de vigencia.
– Vigilancia mediante inspección del proceso de producción del fabricante
– Vigilancia mediante ensayos/pruebas o inspección de muestras tomadas por el organismo de certificación, de la fábrica y del mercado, dependiendo del tipo de producto.
Para productores en el extranjero, donde el cliente es el importador nacional:
– Muestras tomadas por el organismo de certificación, de la fábrica o de la bodega del importador o comercializador o del mercado, dependiendo del tipo de producto.
– Ejecución de inspección por atributos y ensayos/pruebas sobre las muestras seleccionadas; de acuerdo con los requisitos del referencial aplicable.
– Inspección inicial del proceso de producción para evaluar la capacidad del productor para manufacturar los productos.
– Evaluación de la conformidad de acuerdo con los resultados de la inspección por atributos y ensayos/pruebas y con los resultados de la inspección.
– Revisión y emisión de resultados del proceso de evaluación.
– Autorización (licencia) para el uso del certificado durante el tiempo de vigencia.
– Vigilancia mediante inspección del proceso de producción del productor.
– Vigilancia mediante ensayos/pruebas o inspección de muestras tomadas por el organismo de certificación, de la fábrica o del mercado, dependiendo del tipo de producto.
Vigencia: se otorga un certificado de conformidad vigente durante un año con un seguimiento semestral.
33.2.4. SELLO DE CERTIFICACIÓN DE PRODUCTO - SISTEMA 5.
Este sistema incluye los ensayos o pruebas del producto y la auditoría del sistema de gestión de la calidad.
Para productores nacionales:
- Ejecución de inspección por atributos y ensayos/pruebas sobre las muestras seleccionadas; de acuerdo con los requisitos del referencial aplicable.
- <Viñeta modificada por el artículo 23 de la Resolución 90795 de 2014. El nuevo texto es el siguiente:> En el otorgamiento y en la renovación del certificado, se debe realizar auditoría de sistema de gestión de calidad del producto emitido por un organismo acreditado o la validación del sistema productivo, mediante la evaluación presencial en fábrica.
- Evaluación de la conformidad de acuerdo con los resultados de la inspección por atributos, ensayos/pruebas y auditoría al sistema de gestión de la calidad.
- Revisión y emisión de resultados del proceso de evaluación.
- Autorización (licencia) para el uso del sello de certificación durante el tiempo de vigencia del certificado.
- Vigilancia mediante auditoría del sistema de gestión de la calidad o validación de la vigilancia a la certificación otorgada por un organismo acreditado, mediante revisión documental y se deben extraer muestras del producto del mercado, del punto de producción o de ambos, las cuales se evalúan para determinar la continuidad de la conformidad.
Para productores en el extranjero, donde el cliente es el importador nacional:
- Muestras tomadas por el organismo de certificación, de fábrica o de la bodega del importador o comercializador o del mercado, dependiendo del tipo de producto.
- Ejecución de inspección por atributos y ensayos/pruebas sobre las muestras seleccionadas; de acuerdo con los requisitos del referencial aplicable.
- <Viñeta modificada por el artículo 24 de la Resolución 90795 de 2014. El nuevo texto es el siguiente:> En el otorgamiento y en la renovación del certificado, se debe realizar auditoría de sistema de gestión de calidad del producto emitido por un organismo acreditado o la validación del sistema productivo, mediante la evaluación presencial en fábrica.
- Evaluación de la conformidad de acuerdo con los resultados de la inspección por atributos, ensayos/pruebas, inspección del proceso de bodegaje y auditoría al sistema de gestión de la calidad.
- Revisión y emisión de resultados del proceso de evaluación.
- Autorización (licencia) para el uso del sello de certificación durante el tiempo de vigencia del certificado.
- Vigilancia mediante auditoría del sistema de gestión de la calidad o validación de la vigilancia a la certificación otorgada por un organismo acreditado, mediante revisión documental.
- Vigilancia mediante inspección del proceso de bodegaje en Colombia para verificar la conformidad del producto durante su almacenamiento.
- Vigilancia mediante ensayos/pruebas o inspección de muestras tomadas por el organismo de certificación, de la fábrica o del mercado, dependiendo del tipo de producto.
- Adicionalmente, se realizará inspección del proceso de bodegaje en Colombia para verificar la conformidad del producto durante su almacenamiento.
Vigencia: se otorga un certificado de conformidad vigente durante tres años con seguimientos anuales. Las evaluaciones de vigilancia o de re-certificación siempre se deben realizar en un plazo de máximo 12 meses posteriores a la evaluación anterior (inicial, o vigilancia o re-certificación)
33.3. SEGUIMIENTO DE LA CERTIFICACIÓN.
<Inciso modificado por el artículo 22 de la Resolución 90795 de 2014. El nuevo texto es el siguiente:> Las actividades de seguimiento a la certificación, tal como se establece en la guía ISO/IEC 17067 son de obligatoria ejecución para todas las modalidades de certificación que se emitan con alguna vigencia en el tiempo y tal vigencia se condiciona a la realización de las actividades de seguimiento y su resultado positivo.
33.4. FORMAS EXCEPCIONALES DE CERTIFICACIÓN DE PRODUCTO.
33.4.1. CERTIFICADOS DE CONFORMIDAD DE PRODUCTO EXPEDIDOS EN EL EXTERIOR. <Numeral modificado por el artículo 8 de la Resolución 40492 de 2015. El nuevo texto es el siguiente:>
Se podrá aceptar la demostración de la conformidad con RETIE a productos certificados en el exterior, siempre y cuando i) el certificado sea expedido por un organismo de certificación acreditado por un miembro perteneciente a IAF, y ii) la Superintendencia de Industria y Comercio (SIC) en su ejercicio de control y vigilancia evalúe y reconozca estos certificados de conformidad a través de la Ventanilla Única de Comercio Exterior (VUCE), como parte del proceso de importación. Para la evaluación y reconocimiento del certificado, además de los aspectos que garanticen la confianza del mismo, la SIC verificará que la norma o reglamento base del certificado tenga equivalencia con el RETIE.
La SIC reconocerá certificados en el exterior expedidos bajo esquemas de certificación definidos en el presente reglamento y podrá reconocer otros sistemas o esquemas, siempre que cada certificado venga acompañado de sus propios soportes, expedidos por el mismo organismo de certificación, en los cuales se señale el esquema de certificación y sus características. En el evento en que el certificado haya sido expedido con un año o más de anterioridad, se deberá anexar evidencia documental (tales como registro de última auditoría de seguimiento, constancia, certificación u otro documento proveniente del organismo de certificación) donde se pronuncie sobre la vigencia del certificado de conformidad en mención.
El responsable de la importación o comercialización, debe constatar que el producto importado corresponda al producto efectivamente certificado; en todo caso la SIC podrá verificar el cumplimiento de los requisitos certificados y sancionar a aquellos que presenten desviaciones, independiente de haber tenido previamente los vistos buenos tanto en la VUCE como en la DIAN.
33.4.2. CONCEPTO DE EQUIVALENCIA DE NORMA O REGLAMENTO TÉCNICO CON RETIE.
Para efectos de la homologación de certificados expedidos en el exterior, se podrá emitir conceptos de equivalencia a aquellas normas o reglamentos técnicos de otros países que guarden semejanza con los requisitos obligatorios para cierto producto establecidos en el RETIE, en tal condición el concepto de equivalencia de reglamento técnico de otro país o norma técnica con el RETIE, es un acto de interpretación del reglamento, en consecuencia serán otorgadas únicamente por el Ministerio de Minas y Energía o por quien este delegue. Para otorgar el concepto de equivalencia de norma o reglamento técnico con el RETIE, el interesado debe hacer una solicitud a la dirección de energía eléctrica, especificando la norma que pretende el concepto de equivalencia, adicionando una matriz que contenga cada uno de los requisitos de producto establecidos en el RETIE, comparándolos con el aparte correspondiente de la norma o reglamento técnico extranjero que se pretenda establecer la equivalencia. Adicionalmente, debe suministrar copia de la totalidad de la norma o reglamento, para verificar la veracidad de los requisitos y su contexto de aplicación. Este trámite se puede hacer por medio electrónico.
En ningún caso el concepto de equivalencia es un certificado de producto, no remplaza el certificado expedido por el organismo de certificación, ni obliga a la SIC a la validación del certificado.
33.4.3. SUSTITUCIÓN DE PRUEBAS DE CORTOCIRCUITO Y ARCO ELÉCTRICO.
En un plazo no mayor a cinco años, contados a partir de la publicación del presente anexo o antes si se cuenta con un laboratorio para realizar dichas pruebas, se podrá remplazar estas pruebas por simulaciones las cuales deben ser validadas por un laboratorio que tenga acreditadas pruebas relacionadas o este asistido por un laboratorio reconocido de una universidad que tenga aprobado un programa de ingeniería eléctrica.
33.4.4. DECLARACIÓN DE PROVEEDOR.
De no existir laboratorio en Colombia para realizar las pruebas a un producto objeto del reglamento y de no disponer de laboratorios acreditados en el exterior para esa prueba, se podrá aceptar la declaración del proveedor atendiendo los criterios de la norma IEC/ISO 17050 partes 1 y 2, adjuntando los soportes (resultados de los ensayos realizados, cálculos, simulaciones o demás pruebas, que permiten probar el cumplimiento), igualmente la relación de las normas que cumple dicho producto.
<Inciso modificado por el artículo 25 de la Resolución 90795 de 2014. El nuevo texto es el siguiente:> También se aceptará la declaración del proveedor a productos que por su baja rotación y alto costo de los laboratorios no cuenten con laboratorios acreditados, o distintos a los del productor que puedan ser evaluados por el organismo certificador, estos productos son: Motores, generadores y transformadores, de potencias superiores a 800 kVA; DPS, bancos de condensadores, aisladores y cables, con aislamiento para tensiones superiores a 66 kV. La declaración del proveedor debe estar acompañada de los resultados de las pruebas realizadas en los laboratorios del productor y debe hacer precisión de las normas técnicas que cumple. Adicionalmente, los productos de fabricación única (que no se repitan) podrán demostrar el cumplimiento del presente Reglamento por medio de una declaración del proveedor, sin embargo, se deben dejar las evidencias en las cuales se soporta la declaración, atendiendo los lineamientos de la ISO-IEC-NTC 17050. La declaración del proveedor debe ser validada con la firma y número de matrícula de un profesional de ingeniería eléctrica o electromecánica.
Sin perjuicio de lo establecido por las autoridades competentes, para aceptar la importación y comercialización de productos ya usados o remanufacturados, en las instalaciones objeto del presente reglamento, se podrá aceptar la declaración del proveedor como mecanismo para demostrar la conformidad con RETIE, a los siguientes productos usados o remanufacturados: motores o generadores eléctricos de potencia mayor a 150 kVA, transformadores de potencias superiores a 1000 kVA y se asegure estar libre de PCB y a celdas de media o alta tensión, la declaración debe ser suscrita por el importador o remanufacturador y debe estar soportada con los resultados de las pruebas tipo o de rutina que se hacen a estos equipos, incluyendo el de pérdidas de energía para el caso de motores y transformadores, en ningún caso se aceptará la comercialización de interruptores, DPS y cables reutilizados y en general de aquellos productos reutilizados que no se les pueda garantizar el cumplimiento de los objetivos del presente reglamento, en especial los de seguridad o de inducción al error al usuario.
PARÁGRAFO. La declaración de proveedor deberá ser suscrita por el productor nacional o por el representante legal del importador y deberá ser validada por un ingeniero electricista o electromecánico, suscribiendo la declaración y anotando su matrícula profesional. El instalador y el organismo de inspección verificarán esta condición.
33.5. REGULACIONES PARA EL TRÁMITE DE LA CERTIFICACIÓN DE PRODUCTO.
Para efectos del presente reglamento, se deben cumplir, entre otras, las siguientes disposiciones legales, emitidas por las autoridades colombianas, en lo que se relaciona con el certificado de conformidad de producto, o aquellas que las modifiquen, adicionen o sustituyan:
a. Ley 155 de 1959 y Ley 1480 de 2011.
b. Circular Única de la Superintendencia de Industria y Comercio, publicada en el Diario Oficial 44511 del 6 de agosto de 2001, que es un solo cuerpo normativo de la SIC.
c. Decreto 2269 de 1993, por el cual se organiza el subsistema nacional de la calidad, con sus modificaciones.
d. Decreto 3273 de 2008 o el que lo sustituya o modifique, por el cual se establece el procedimiento para verificar el cumplimiento de las normas técnicas colombianas oficiales obligatorias y los reglamentos técnicos en los productos importados.
e. Decreto 4738 de 2008 por el cual se dictan normas sobre intervención en la economía para el ejercicio de las funciones de acreditación de organismos de evaluación de la conformidad que hagan parte del subsistema nacional de la calidad y se modifica la estructura de la Superintendencia de Industria y Comercio.
f. Decreto 2124 de 2012, por el cual se designa el Organismo Nacional de Acreditación.
g. Decisión 506 de 2001, de la Comunidad Andina de Naciones, sobre certificados de conformidad de producto.
h. Decisión 562 de 2003, de la Comunidad Andina de Naciones.
ARTÍCULO 34. DEMOSTRACIÓN DE CONFORMIDAD DE INSTALACIONES ELÉCTRICAS.
34.1. ASPECTOS GENERALES DE LA CERTIFICACIÓN DE LA INSTALACIÓN.
Toda instalación eléctrica construida con posterioridad al 1º de mayo de 2005, ampliación o remodelación según lo dispuesto en el artículo 2º “Campo de aplicación”, debe contar con el certificado de conformidad con el presente reglamento. Igual condición aplica a las ampliaciones o remodelaciones.
Para efectos del presente reglamento y de acuerdo con la Ley 1480 de 2011, la instalación eléctrica, en su conjunto, se considera un producto, en consecuencia y conforme la Decisión 506 de 2001 de la Comunidad Andina de Naciones, se acepta como certificado de conformidad la declaración del proveedor o productor, que para el caso será la declaración de cumplimiento suscrita por el profesional competente <la persona competente>* responsable de la construcción directa o de la supervisión de la construcción de la instalación eléctrica.
Con el fin de garantizar una certificación expedida bajo principios de idoneidad, independencia e imparcialidad a las instalaciones que implican mayor riesgo, la declaración de cumplimiento debe ser validada mediante un dictamen de inspección, expedido por un organismo de inspección acreditado por el Onac. En este caso, se considera que la certificación es plena.
La certificación es un requisito individual para cada instalación, en consecuencia toda cuenta del servicio público de energía en instalaciones de uso final y toda instalación eléctrica que constituya unidades constructivas individuales objeto de reconocimiento en la asignación de tarifas, requerida para la prestación del servicio de energía eléctrica, debe contar con su certificación de conformidad con el presente reglamento.
Para instalaciones eléctricas en construcciones para varios clientes tales como bodegas, centros comerciales, oficinas, consultorios, apartamentos, centros educativos, entre otros, en donde el constructor del inmueble entrega la instalación eléctrica sólo hasta un tablero general o de distribución, para energizar dicha instalación el constructor debe entregarla certificada hasta ese punto, dejando en el certificado claridad del alcance de la instalación certificada. En estos casos el servicio debe tener el carácter de provisional y sólo se convertirá en servicio definitivo cuando los propietarios o usuarios terminen la construcción y obtengan los dictámenes de inspección respectivos. En el periodo que el servicio tenga la condición de provisional, el constructor del inmueble será responsable de que en las instalaciones parciales se dé cumplimiento al RETIE. Esta responsabilidad se transferirá al responsable de la instalación parcial en el momento que se certifique y legalice dicha instalación parcial.
Para poder suministrar el servicio de energía eléctrica, el comercializador que preste el servicio debe solicitarle a cada cliente el certificado de conformidad con el presente reglamento, de la instalación de uso final a la cual se le prestará el servicio, y debe remitir copia del certificado al operador de red.
Para ampliación o remodelación de instalaciones, la parte ampliada o remodelada, debe cumplir y demostrar la conformidad con el RETIE, mediante la declaración de cumplimiento y el dictamen de inspección en los casos que le aplique. En caso de que la remodelación supere el 80%, debe acondicionarse toda la instalación al presente reglamento y se le dará el tratamiento como a una instalación nueva.
34.2. DECLARACIÓN DE CUMPLIMIENTO.
Para efectos de la certificación de la conformidad con el presente reglamento, en todos los casos el profesional competente <la persona competente>* responsable directo de la construcción o de la dirección de la construcción de la instalación eléctrica, cualquiera que fuere el tipo, así como la remodelación o ampliación, debe declarar el cumplimiento del RETIE, diligenciando y firmando el formato “Declaración de cumplimiento del reglamento técnico de instalaciones eléctricas”.
Esta declaración se considera un certificado de primera parte que es un documento, emitido bajo la gravedad de juramento y se constituye en el requisito fundamental del proceso de certificación. Quien la suscribe, adquiere la condición de proveedor y de certificador de la conformidad, en consecuencia asume la mayor responsabilidad de los efectos de la instalación por lo que debe numerarla y asignarle condiciones de seguridad para evitar su adulteración o falsificación.
La no emisión de la declaración por la persona responsable de la construcción, ampliación o remodelación de la instalación, o la emisión sin el cumplimiento de todos los requisitos que le apliquen a esa instalación, se consideran incumplimientos al presente reglamento y la SIC o la entidad de vigilancia que le corresponda podrá sancionarlo conforme a la Ley 1480 de 20011 y demás normatividad aplicable.
34.3. INSPECCIÓN CON FINES DE CERTIFICACIÓN.
La inspección de la instalación eléctrica es el examen y comprobación de la funcionalidad de la instalación y la determinación de su conformidad con los requisitos establecidos en el RETIE y debe ser hecha sobre la base de un juicio profesional, por lo que requiere que la persona que la realice posea las más altas competencias sobre el tema a inspeccionar y lo demuestre con su certificación de competencia profesional. El diseño es una herramienta de apoyo de la inspección pero no es el objeto a determinarle la conformidad.
La inspección realizada por un organismo independiente es el mecanismo para validar la declaración de cumplimiento, se debe realizar a las instalaciones que requieran certificación plena y debe cumplir los siguientes requisitos:
a. Tanto el organismo de inspección como su director técnico y los inspectores deben cumplir plenamente el presente reglamento y su incumplimiento será objeto de investigación y de las sanciones que la SIC les aplique.
b. <Literal modificado por el artículo 9 de la Resolución 40492 de 2015. El nuevo texto es el siguiente:> La inspección con fines de demostrar la conformidad con RETIE la debe contratar el constructor o el propietario o representante legal del proyecto donde está incorporada la instalación eléctrica, quien será el dueño del certificado. El propietario de la instalación o el responsable de su construcción debe entregar al organismo de inspección la documentación completa que le aplique a la instalación, así mismo debe permitir el desarrollo y la ejecución de las pruebas y las mediciones necesarias para la verificación de la conformidad con RETIE. Dado que el proceso de inspección es una validación de la declaración de cumplimiento, en la inspección debe estar presente la persona responsable de la instalación eléctrica, es decir, quien suscribe dicha declaración, y solo se permitirá delegar tal actividad, mediante documento escrito firmado por el delegante y el delegado, este último debe ser un profesional de la misma competencia técnica y legal del responsable de la construcción. En el dictamen se dejará constancia del hecho.
c. En todo proceso de inspección el organismo acreditado se obliga a realizar las medidas, pruebas y ensayos eléctricos mediante los cuales se pueda determinar la conformidad de la instalación eléctrica bajo inspección y debe dejar los registros de los valores medidos y de actividades de inspección fundamentales para la decisión.
d. Los procedimientos, métodos, equipos, aprobados en el proceso de acreditación, son de obligatorio cumplimiento por parte del organismo acreditado.
e. En el proceso de inspección se buscará la trazabilidad de las diferentes etapas de la instalación eléctrica, para lo cual se debe tener en cuenta lo actuado y documentado por las personas calificadas que participaron en: diseño, dirección de la construcción, interventoría cuando exista; en todos los casos se dejará consignado en el formato de inspección, la matrícula profesional del responsable de cada etapa. Los diseños son elementos de ayuda para definir la conformidad de la instalación con el reglamento pero no son el objeto del dictamen.
f. Los procedimientos de inspección deben ser acordes con la norma ISO 17020. Se debe realizar la inspección en el sitio de la instalación y dejar las evidencias del hecho. Para garantizar que la instalación eléctrica sea segura y apta para el uso previsto, se debe realizar la inspección tanto visual como ejecutando las pruebas y medidas requeridas y registrar los resultado en los formatos de dictamen establecidos en el presente anexo general.
g. Se verificarán las certificaciones de la conformidad de los productos utilizados en la instalación eléctrica, que según el RETIE requieran cumplir tal requisito, pero si se detectan inconformidades en el producto, así este certificado se deberá rechazar y se deberá informar del hecho a la SIC, no será necesario que el organismo de inspección mantenga archivos de todos los certificados de producto.
h. En todos los casos se debe consignar en los formatos de dictamen el tipo de instalación, si es construcción, ampliación o remodelación, la identidad del propietario, la dirección de localización de la instalación, los nombres y matrículas profesionales de las personas calificadas que actuaron en las diferentes etapas de la instalación (diseñador, constructor o director de la construcción e interventor). Igualmente, se consignará en el formato el nombre y matrícula profesional del inspector y el nombre, dirección y teléfono del organismo acreditado responsable de la inspección.
i. El dictamen de resultado de la inspección y pruebas de la instalación eléctrica, debe determinar el cumplimiento de los requisitos, relacionados en el formato de inspección, que apliquen.
j. No se deben aceptar inspecciones en el sitio de una instalación domiciliaria o similar de duración inferior al tiempo establecido por el organismo de inspección en el proceso de acreditación, que en ningún caso podrá ser menor a 40 minutos, y deberá hacerse con inspectores certificados e inscritos ante el Onac.
k. Si la instalación inspeccionada no es aprobada, el inspector debe dejar por escrito las no conformidades y el organismo acreditado debe determinar con el usuario la programación de la nueva visita de inspección para cerrar la no conformidad de la instalación frente al reglamento. En todo caso el organismo de inspección debe cerrar la inspección emitiendo el dictamen de aprobación o de no aprobación y debe reportarlo a la base de datos.
l. El dictamen de inspección es un documento individual para cada cuenta, el organismo de inspección debe emitir un dictamen para cada instalación inspeccionada y entregarlo al propietario de la instalación. En los casos de edificaciones que involucren varios propietarios, a cada uno se le debe entregar su dictamen y el será responsable de su custodia y de suministrarlo cuando el operador de red o la autoridad se lo exija. Los dictámenes correspondientes a áreas comunes o instalaciones como subestaciones, redes de alimentación, ascensores y en general aquellas instalaciones comunes a la copropiedad deben ser administrados y custodiados por la administración de la edificación.
m. El organismo acreditado guardará reserva sobre los procedimientos, planos, cartas, informes, o cualquier otro documento o información calificada como confidencial y relacionada con la instalación a inspeccionar. No obstante, en el evento de requerimiento por parte de autoridad judicial, la Superintendencia de Servicios Públicos o la de Industria y Comercio debe suministrar la información.
n. El inspector debe dejar constancia del alcance y estado real de la instalación al momento de la inspección, con mecanismos tales como registros fotográficos, diagrama unifilar y planos o esquemas eléctricos.
o. <Literal modificado por el artículo 2 de la Resolución 40056 de 2022. El nuevo texto es el siguiente:> El organismo de inspección debe reportar los dictámenes en el Sistema de Información de Certificados de Conformidad – SICERCO, administrado por la Superintendencia de Industria y Comercio. Los operadores de red o los comercializadores de energía deberán consultar el SICERCO para verificar la autenticidad de los dictámenes que le sean presentados en las solicitudes de prestación del servicio de energía.
p. La vigencia de la prestación del servicio de inspección de instalaciones eléctricas iniciará con la firma del acuerdo, convenio o contrato entre el organismo y su cliente y su terminación se dará con la entrega del dictamen, ya sea aprobado o no aprobado.
q. Los organismos de inspección deben reportar a la SIC, dentro de los 10 días hábiles, siguientes a la terminación del plazo dado para cerrar las no conformidades, aquellas instalaciones inspeccionadas que no fueron aprobadas, informando las razones de la no aprobación, junto con el nombre del proyecto, dirección, nombre del constructor y responsables y fecha de inspección. Esta información debe aportarse en medio digital en formato PDF. Si se tiene información que la instalación fue energizada debe hacerse mención del caso.
r. En las instalaciones, que tengan como único fin alimentar la instalación de uso final de la electricidad objeto de la inspección y su alimentación tenga asociada otros procesos, construidos a costa de los propietarios de la instalación de uso final, en el proceso de inspección se debe verificar cada uno de los componentes de la instalación desde la frontera con la red de uso general, diligenciando los formatos que correspondan para cada proceso involucrado, los cuales tendrán la condición de anexo(s) del formato para uso final que será el que tendrá el número de control consecutivo del dictamen. No se aceptan certificaciones parciales. Si la instalación es para varias cuentas, los formatos de los procesos aguas arriba de las acometidas parciales que alimenten cada medidor, deben asociarse con la cuenta del área administrativa o de usos comunes de la edificación.
s. <Literal corregido por el artículo 7 de la Resolución 90907 de 2013. El nuevo texto es el siguiente:> La inspección para verificar las condiciones de seguridad de instalaciones energizadas con anterioridad a la vigencia del RETIE, o en la renovación del dictamen de conformidad, no requieren la declaración del responsable de la construcción, ni los certificados de los productos, en el dictamen se hará la observación de tal condición.
t. El propietario o administrador de una instalación eléctrica de una edificación de uso comercial, industrial, oficial o residencial multifamiliar o la destinada a la prestación del servicio público de energía, debe mantener disponible una copia del dictamen de inspección de la instalación eléctrica, a fin de facilitar su consulta cuando lo requiera el responsable de la prestación del servicio o autoridad administrativa, judicial, de policía o de control o vigilancia. Si en la instalación están asociadas cuentas de varios propietarios el administrador de la edificación será quien debe mantener los dictámenes de las instalaciones de áreas comunes e instalaciones comunes desde el tablero de medidores a la frontera del operador de red, por los demás certificados responderá cada uno de los propietarios.
PARÁGRAFO. Casos excepcionales de la certificación de las instalaciones. Cuando no se cuente con inspectores con la competencia técnica certificada por organismo de certificación acreditado para inspeccionar las instalaciones de centrales de generación de potencias mayores a 20 MVA, subestaciones de alta y extra alta tensión, de potencia mayores o iguales a 20 MVA o líneas de transmisión, el dictamen debe ser suscrito por el profesional responsable de la interventoría de dicho proyecto.
34.4. INSTALACIONES QUE REQUIEREN DICTAMEN DE INSPECCIÓN.
Requieren certificación plena y por ende declaración de cumplimiento y dictamen de inspección, las siguientes instalaciones construidas, ampliadas o remodeladas en la vigencia del RETIE:
34.4.1. CONSTRUCCIONES NUEVAS.
a. Todas las instalaciones especiales, tales como: instituciones de asistencia médica, instalaciones en ambientes especiales o clasificados como peligrosos, hangares para aeronaves, gasolineras y estaciones de servicio, almacenamientos de combustibles, procesos de pinturas, sitios de reunión pública, industrias harineras, silos de granos, edificaciones donde se acumula polvo con agua o tengan atmosferas corrosivas; instalaciones de ascensores, grúas, montacargas, escaleras y pasillos mecánicos; instalaciones de más de 24 V de vivienda o comercio móviles, vehículos recreativos, casas flotantes, equipos especiales, hornos o equipos de calentamiento por inducción, celdas electrolíticas, y de galvanoplastia, equipos y maquinaria de riego, piscinas y fuentes de instalaciones similares, sistemas de bombas contra incendio, sistemas de emergencia.
b. Las instalaciones residenciales multifamiliares o comerciales que hagan parte de un mismo proyecto de construcción, donde se involucren cinco (5) o más cuentas de energía, correspondientes al mismo permiso o licencia de construcción, así su capacidad instalable individual sea inferior a los 10 kVA.
c. Instalaciones residenciales de capacidad instalable individual igual o superior a 10 kVA.
d. Instalaciones industriales de capacidad instalable igual o superior a 20 kVA.
e. Instalaciones comerciales de capacidad instalable igual o superior a 10 kVA.
f. Instalaciones en minas.
g. Instalaciones de uso final construidas con conductores de aluminio, cualquiera que sea su potencia instalable.
h. Circuitos de distribución nuevos o ramales de derivación nuevos, en redes de uso general, cuando lo nuevo supere 5 km, sumada tanto de red primaria como secundaria o la potencia instalada nueva, en transformación sea igual o superior a 300 kVA.
i. Si la red o subestación atiende edificaciones objeto de una misma licencia de construcción, las instalaciones que se deriven de la red de servicio general se deben inspeccionar asociadas a las instalaciones de uso final, utilizando los formatos asociados a cada proceso, los cuales se anexarán al dictamen de la instalación de uso final de áreas comunes de la edificación o edificaciones, independiente de quien sea el propietario de dichas redes o subestaciones de uso exclusivo de los usuarios del servicio en las edificaciones objeto de la misma licencia de construcción.
j. Líneas de transmisión por encima de 57,5 kV, cualquiera que sea su potencia y longitud.
k. Áreas comunes en edificaciones con cinco o más cuentas de energía.
l. Construcciones nuevas o remodelaciones de acometidas que involucren subestación, que alimente edificaciones, independiente de quien sea el propietario de la infraestructura.
m. Equipos paquetizados o prearmados que constituyen sistemas funcionales asimilables a una instalación para uso final o una subestación, que usualmente incorporan transformación de potencia, con sus sistemas de control y protección y dispositivos o aparatos de conexión que en su conjunto pueden entregar 20 kVA o más. A estos equipos se les dará el tratamiento de instalación de transformación y de uso final y los productos componentes del sistema que sean objeto del RETIE deben contar con el certificado de conformidad.
34.4.2. AMPLIACIONES Y REMODELACIONES.
Igualmente, se requiere certificación plena para las siguientes ampliaciones y remodelaciones:
a. En instalaciones residenciales: cuando la ampliación supere 10 kVA, de potencia instalable o se remodele más del 50% de los dispositivos o conductores en una instalación que la parte remodelada superior 10KVA de capacidad instalable, o se les adicione equipos o instalaciones especiales.
b. <Literal modificado por el artículo 26 de la Resolución 90795 de 2014. El nuevo texto es el siguiente:> En instalaciones comerciales: en instalaciones con potencia instalada menor a 100 kVA cuando la ampliación o la parte remodelada supera 10 kVA. Para instalaciones que superen los 100 kVA de potencia instalada, cuando se remodela o se amplía más del 30%, o cuando se le adicione o remodele con instalaciones o equipos especiales.
c. <Literal modificado por el artículo 26 de la Resolución 90795 de 2014. El nuevo texto es el siguiente:> En instalaciones industriales de potencia instalada menor o igual a 50 kVA, cuando la remodelación o ampliación supere 20 kVA. En instalaciones industriales de capacidad instalada de más de 50 kVA, cuando la ampliación o remodelación supere el 30% de la capacidad instalada. En cualquier instalación industrial de capacidad instalada de más de 20 kVA, cuando se cambie más del 50% de los aparatos o más del 50% del alambrado. En instalaciones en ambientes clasificados como peligrosos, en instalaciones hospitalarias y en instalaciones en minas cuando se hace cualquier tipo de ampliación o remodelación.
d. En redes de distribución de uso general, cuando la ampliación supere el 30% de la capacidad instalada o el 30% de la longitud del circuito intervenido y con la ampliación, ampliaciones o remodelaciones efectuadas en el mismo circuito durante un año las partes remodeladas o ampliadas superen 300 kVA y 5 km de red. En el evento que la red de distribución sea de uso exclusivo de una edificación debe dársele el tratamiento de instalación de uso final, independiente de quien sea el propietario.
e. En una planta de generación cuando la ampliación supere el 30% de la capacidad instalada y se deba al montaje de nuevos equipos eléctricos en la misma casa de máquinas. En una subestación cuando la ampliación supere el 30% del costo inicial reconocido por la CREG para cada unidad constructiva o el 30% de la capacidad instalada.
f. En una línea de transmisión cuando la ampliación aumente su tensión nominal de operación o su capacidad instalada.
g. En una subestación de uso general que sirva a usuarios de distintas edificaciones, cuando la ampliación supere el 30% del costo reconocido por la CREG para cada unidad constructiva, o el 30% de la capacidad instalada, y la ampliación o remodelación supere los 300 kVA.
PARÁGRAFO. El solo cambio del transformador y sus protecciones no se considera una remodelación o ampliación.
34.4.3. CRITERIOS PARA DEFINIR LOS PORCENTAJES DE EN AMPLIACIONES O REMODELACIONES.
Para instalaciones ampliadas o remodeladas, el porcentaje será determinado teniendo en cuenta los siguientes criterios:
a. Para instalaciones de uso final se tomará el número de las salidas o puntos de conexión en cada nivel de tensión.
b. Para instalaciones de distribución de propiedad de los operadores de red, el porcentaje estará referido al inventario de todas las unidades constructivas del mismo tipo, existentes en el circuito o a los componentes de la unidad constructiva donde se realicen la remodelación. En redes de baja tensión el porcentaje será referido a la longitud total de la red asociada al transformador.
c. Remodelación de subestaciones. En subestaciones de transformación no asociadas a la instalación de uso final, el porcentaje estará referido al número de elementos de la unidad constructiva o conjunto de unidades constructivas donde se realice la remodelación. La certificación plena se aplicará a la unidad o unidades constructivas remodeladas.
d. En plantas de generación los porcentajes estarán referenciados al componente donde se realicen los trabajos de remodelación, asimilándolos a un proceso así: casa de máquinas a uso final y subestaciones a transformación.
34.5. COMPONENTES DEL DICTAMEN DE INSPECCIÓN.
El dictamen de inspección debe tener básicamente los siguientes componentes:
a. Identificación plena del organismo de inspección y del inspector o inspectores que actuaron en la inspección, así como los documentos que determinan el alcance de la inspección.
b. La identificación plena de la instalación (tipo y localización) y las personas que intervinieron.
c. Los aspectos a evaluar con sus resultados y observaciones.
d. El resultado final de la conformidad.
e. El dictamen de inspección debe ser firmado tanto por el director técnico del organismo de inspección o quien haga sus veces, como por el inspector responsable de la inspección. Tanto el director técnico o quien firme el dictamen, como el inspector que realiza el juicio profesional, deben ser profesionales competentes y expertos en procesos de inspección, conforme a la norma ISO 17020 y serán quienes asuman la responsabilidad general del dictamen.
f. No se podrá aceptar como dictamen de inspección para energizar una instalación de uso final, solo el dictamen de la subestación o de la red general del proyecto. Igualmente, no se debe aceptar energizar la instalación de uso final si no se contempla la conformidad con RETIE de la subestación y red general del proyecto.
g. Al cierre de la inspección los formatos del dictamen deben estar debidamente firmados, tanto por el inspector que realizó la inspección, como por la persona asignada por el organismo como responsable de aprobación del resultado del dictamen.
h. <Literal adicionado por el artículo 27 de la Resolución 90795 de 2014. El nuevo texto es el siguiente:> El dictamen de inspección de una instalación eléctrica, para efectos de la demostración de la conformidad con el RETIE es un juicio profesional que tendrá el carácter de Dictamen Pericial, por lo tanto la competencia para emitirlo corresponde al profesional de la ingeniería cuya especialidad corresponda a la materia objeto del dictamen conforme a los artículos 12 de la Ley 51 de 1986 y 19 de la Ley 842 de 2003. No obstante, la competencia general refrendada por el título profesional, no es suficiente para demostrar el conocimiento específico y experticia en la valoración del cumplimiento del RETIE de la instalación objeto de inspección.
34.6. VIGENCIA DE LOS DICTÁMENES DE INSPECCIÓN.
Los dictámenes de inspección tendrán una validez de cinco años para instalaciones especiales, de 10 años para instalaciones básicas e instalaciones de redes de distribución y de 15 años para plantas de generación, líneas y subestaciones asociadas a transmisión.
Para dar cumplimiento al artículo 4º de la Ley 143 de 1994 en lo referente a la seguridad de la instalación, los responsables de la prestación del servicio de electricidad deben garantizar la operación y mantener los niveles de seguridad establecidos en el presente reglamento y demás disposiciones sobre la materia y solicitar al usuario la verificación de que se mantienen las condiciones de seguridad, mediante la revisión de la instalación y la renovación de la certificación del cumplimiento del RETIE, incluyendo el dictámenes de inspección, cuando requiera certificación plena.
En la inspección, el inspector debe verificar el cumplimiento del RETIE en cuanto a que la instalación eléctrica no presente riesgos para la salud o vida de personas y la vida animal y vegetal, riesgos al medio ambiente, a la misma instalación o a los bienes contiguos. Por tal razón el dictamen se basará en el resultado de la inspección física, con las mediciones y pruebas pertinentes en la instalación, sin necesidad de profundizar en la revisión documental y debe utilizar los formatos del presente anexo general, haciendo la observación que se trata de una inspección de revisión.
34.7. VALIDEZ DE CERTIFICADOS Y DICTÁMENES EMITIDOS BAJO OTRAS RESOLUCIONES Y ACTUALIZACIÓN DE LAS ACREDITACIONES. <Numeral modificado por el artículo 28 de la Resolución 90795 de 2014. El nuevo texto es el siguiente:> Los certificados de producto y los dictámenes de inspección conforme al RETIE expedidos por organismos acreditados bajo las Resoluciones 181294 de 2008 o 180195 de 2009 tendrán validez hasta el término de su vigencia.
Los documentos de la demostración de la conformidad con el RETIE expedidos por los laboratorios, organismos de certificación y organismos de inspección acreditados bajo las Resoluciones 181294 de 2008 y 180195 de 2009 con posterioridad al 5 de septiembre de 2013, tendrán validez, solo si el organismo inició su proceso de actualización de la acreditación dentro de los ocho (8) meses siguientes de la entrada en vigencia de la Resolución 90708 de agosto 30 de 2013. No tendrán validez los documentos de la demostración de la conformidad con el RETIE, expedidos a partir del 5 de noviembre de 2014 por Organismos o Laboratorios que no hayan obtenido la acreditación bajo la Resolución 90708 de 2013 por parte de la ONAC o que expidan Organismo con posterioridad a la fecha en la que ONAC les haya negado la acreditación.
Una vez actualizada la acreditación con la Resolución 90708 de 2013, por la cual se expide el RETIE, los documentos de la demostración de la conformidad con RETIE deberán ceñirse a los procedimientos y formatos de dicha Resolución. Cuando se apliquen requisitos de las Resoluciones 181294 de 2008 y 180195 de 2009 aceptados por la transitoriedad definida en el numeral 38.3 del Anexo General de la Resolución 90708 de 2013, se deben utilizar los formatos del Anexo General de esta última Resolución.
34.8. EXCEPCIONES DEL DICTAMEN DE INSPECCIÓN.
Se exceptúan de la exigencia del dictamen de inspección las siguientes instalaciones:
a. Las no incluidas en el numeral 34.4 del presente anexo general.
b. Instalaciones eléctricas de guarniciones militares o de policía y en general aquellas que demanden reserva por aspectos de Seguridad Nacional. Para estas instalaciones se exigirá que el formato de inspección que corresponda sea diligenciado y suscrito por el profesional competente <la persona competente>* responsable de la interventoría o supervisión de la construcción de la instalación eléctrica y por el comandante.
c. Instalaciones provisionales.
Estas excepciones no las excluyen de la certificación mediante la declaración de cumplimiento suscrita por el profesional competente <la persona competente>* responsable de la construcción directa o supervisión de la construcción de la instalación eléctrica.
Tanto la declaración de cumplimiento, como el dictamen de inspección tendrán el carácter de documentos de uso público y no podrá argumentarse reserva cuando se requiera su consulta.
d. <Literal adicionado por el artículo 3 de la Resolución 40056 de 2022. El nuevo texto es el siguiente:> Instalaciones individuales de generación ubicadas en Zonas No Interconectadas con potencia inferior a 10 kVA con una única fuente de energía.
34.9. Formatos de la declaración de conformidad.
La declaración de cumplimiento debe ser diligenciada y suscrita en el siguiente formato.
<Formato no incluido>
Nota: el responsable de suscribir la declaración de cumplimiento, debe señalar una sola opción respecto del tipo de diseño.
34.10. FORMATOS PARA DICTAMEN DE INSPECCIÓN.
Para el dictamen de inspección se debe diligenciar el formato correspondiente, no se podrá alterar su contenido, y sólo podrá adicionársele el nombre, logotipo o marca del organismo de inspección, el del organismo de acreditación y el número correspondiente. Adicionalmente se deben tener en cuenta los siguientes requisitos:
a. El organismo de inspección aplicará el formato correspondiente, al proceso que pertenezca la instalación y debe diligenciar cada uno de los ítems, con respuestas concretas, especificando si aplica o no el ítem y en caso afirmativo si cumple o no cumple los requisitos relacionados.
b. El documento debe tener los medios de seguridad que no faciliten el deterioro o que sea adulterado.
c. El formato del dictamen de inspección debe tener un original que debe conservar el propietario o tenedor de la instalación, una copia para el operador de red y una copia que debe guardar el organismo de inspección emisor del dictamen.
d. Cada organismo de inspección debe asignarle numeración continua a los formularios para que facilite su control, la SIC o el Onac podrán investigar y sancionar cuando se incumpla este requisito o las fechas de emisión del dictamen presenten inconsistencias con el orden de la numeración.
e. En proyectos con instalaciones para uso final que incorporen subestaciones, redes o tramos de línea, el dictamen de inspección para la instalación de uso final se debe complementar con los resultados de las demás verificaciones de la conformidad, anexando al formato de uso final los resultados en formatos similares a los correspondientes para subestación, red o tramo de línea correspondiente, pero asignándole el mismo número del formato para uso final, al menos que el dictamen haya sido expedido con anterioridad, en tal caso en el formato del dictamen de uso final se debe dejar la observación, anotando los números de los dictámenes de la subestación y de la red.
f. En instalaciones para varios usuarios, el formato del dictamen de la subestación y el de la red general se debe anexar al de la instalación de áreas comunes.
g. Dado que la interventoría no es obligatoria para las obras de particulares, el nombre del responsable de la interventoría se registrará en el formato del dictamen sólo si se efectuó.
h. Los valores de los parámetros que requieran medición, deben plasmarse en el documento del dictamen y podrán ser verificados por la entidad de control y vigilancia, cuando ésta lo considere pertinente.
<Formato no incluido>
34.11 REVISIÓN DE LAS INSTALACIONES. <Numeral adicionado por el artículo 8 de la Resolución 40293 de 2021. El nuevo texto es el siguiente:> Para asegurar que las instalaciones mantengan la seguridad durante su vida útil, se deben atender los siguientes requisitos:
a) Todas las instalaciones objeto del presente reglamento se les debe verificar que no presentan alto riesgo, mediante inspecciones teícnicas adelantadas por Organismos de Inspección acreditados para ese fin. La periodicidad de la revisión de las instalaciones de uso final seráí de máximo diez años para las instalaciones básicas y cinco años para las instalaciones clasificadas como especiales.
b) En caso de que por deficiencias de la instalación eléctrica se presente alto riesgo o peligro inminente para la salud o la vida, se debe dar aviso inmediato al Operador de Red (OR) con el propósito de que éste tome las medidas necesarias en la instalación comprometida. Si el propietario de la instalación eléctrica o la persona causante de generar la condición de peligro inminente para la salud o la vida, no corrigen tal situación, quienes se consideren afectados podrán solicitar la actuación de instancias administrativas o judiciales que sean del caso. Si las condiciones que generan el peligro inminente son causadas por personas distintas al propietario o tenedor de la instalación eléctrica, éste debe solicitar a la autoridad competente para que obligue al causante a eliminar los factores que generan el peligro inminente.
c) Cuando se realicen modificaciones a las instalaciones eléctricas destinadas al uso final de la electricidad, el propietario o administrador de las mismas debe asegurar que los trabajos sean realizados por personas calificadas. Tales modificaciones deben documentarse y estar disponibles de manera que sea fácil su consulta, en caso de ser necesario.
d) Las modificaciones a las redes ejecutadas directamente por personal del OR, o por profesionales competentes de terceros bajo por delegación del OR, deben ser adaptadas a las condiciones de seguridad establecidas en el presente reglamento. Tales modificaciones deben documentarse y estar disponibles en una dependencia del OR de manera que sea fácil su consulta, en caso de ser necesario.
e) En las instalaciones existentes a la entrada en vigencia del RETIE, el propietario o tenedor de la instalacioín deberaí verificar que ésta no presente alto riesgo o peligro inminente para la vida de las personas, para lo cual debe apoyarse en diagnoísticos, o revisiones realizados por personas calificadas. En el evento que la instalación presente peligro inminente, se deberáí advertir a las personas de los posibles riesgos y tomar las medidas necesarias para minimizarlos.
f) Para liíneas de transmisioín, redes de distribucioín, subestaciones y centrales de generacioín, el propietario o tenedor de la instalacioín debe asegurar que se mantengan las condiciones de cumplimiento del presente reglamento y la instalacioín no presente peligro inminente. Las controversias sobre el cumplimiento de estas condiciones se resolveraín basados en un dictamen emitido por un organismo de inspeccioín acreditado por ONAC, o un dictamen pericial.
ARTÍCULO 35. CERTIFICACIÓN DE PERSONAS. <Artículo subrogado por el artículo 9 de la Resolución 40293 de 2021>
35.1 ESQUEMA DE CERTIFICACIÓN DE PERSONAS NATURALES. <Numeral adicionado por el artículo 9 de la Resolución 40293 de 2021. El nuevo texto es el siguiente:>
Para efectos de la certificación de competencias de inspectores, las personas naturales se deberán certificar en un alcance específico de acuerdo con las competencias requeridas en este reglamento.
Los procesos de certificación de personas deberán tener como referente normativo específico la(s) Norma(s) Sectorial(es) de Competencia Laboral elaboradas por los Comités Técnicos de Mesas Sectoriales, siguiendo la metodología y los procedimientos del Servicio Nacional de Aprendizaje (SENA), o en su defecto las Normas Técnicas elaboradas por el Instituto Colombiano de Normas Técnicas y Certificación (Icontec).
Los Organismos de Certificación podrán expedir certificaciones en las áreas y con las categorías dispuestas y no podrá expedir certificación de competencia a personas que no cumplan los prerrequisitos dispuestos en el presente numeral.
Las evaluaciones realizadas por los Organismos de Certificación deberán considerar mecanismos suficientes, con alcance a las actividades claves, criterios de desempeño generales y específicos, así como para los conocimientos esenciales establecidos en las normas de competencia, dejando al efecto evidencia de su aplicación. Como mínimo deberá aplicar los siguientes mecanismos:
- Un examen de conocimientos;
- Una prueba práctica (en obra, simulación o en laboratorio), y
- Una evaluación/valoración de la experiencia específica).
Cuando se trate de la renovación de una certificación, el Organismo deberá aplicar los mismos procesos e instrumentos de evaluación como si se tratara de una certificación inicial.
Las decisiones sobre certificación deberán basarse en la aprobación o superación satisfactoria de mínimo el 80% del valor asignado a cada instrumento de evaluación aplicado.
Como resultado de un debido proceso de investigación y sanción adelantado por las entidades y/o autoridades competentes, a la persona certificada en su ejercicio profesional, las certificaciones podrán ser suspendidas o retiradas por el Organismo de Certificación.
PARÁGRAFO 1o. La vigencia de las certificaciones expedidas bajo este esquema será de cinco años. Durante esta vigencia deberán realizarse dos seguimientos así: el primer seguimiento entre el mes 20 y el mes 25 contados a partir del día siguiente de la fecha de la certificación del inspector. El segundo seguimiento deberá realizarse entre el mes 40 y el mes 45 contados a partir del día siguiente de la fecha de la certificación del inspector.
Los inspectores deberán acudir dentro de los términos establecidos anteriormente ante al Organismo de Certificación para cumplir con los seguimientos.
El seguimiento corresponderá a la aplicación por parte del organismo de certificación de personas de un mecanismo de verificación del desempeño en la actividad como inspector verificando que se mantienen las condiciones bajo las cuales se otorgó la certificación.
PARÁGRAFO 2o. Los mecanismos a aplicar por parte del Organismo de certificación de personas deberán ser presentados y aprobados en el proceso de acreditación ante el ONAC, de acuerdo a lo establecido en la norma técnica ISO/IEC 17024:2012.
35.1.1. ÁREAS DE CERTIFICACIÓN. <Numeral adicionado por el artículo 9 de la Resolución 40293 de 2021. El nuevo texto es el siguiente:>
Las áreas en las cuales las personas naturales pueden certificarse como inspectores de instalaciones eléctricas según el Reglamento Técnico de Instalaciones Eléctricas (RETIE), son las siguientes:
a) Instalaciones eléctricas de generación de energía eléctrica en niveles de tensión de corriente directa (C.D) y corriente alterna (C.A) superior a 1.000 V.
b) Instalaciones eléctricas de transmisión de energía eléctrica y subestaciones eléctricas asociadas en niveles de tensión iguales o superiores a 57.500 V.
c) Instalaciones eléctricas de redes eléctricas de Distribución y subestaciones eléctricas asociadas en niveles de tensión inferiores a 57.500 V.
d) Instalaciones eléctricas de uso final, redes y subestaciones eléctricas asociadas al uso final.
35.1.2. CATEGORÍAS DE LA CERTIFICACIÓN. <Numeral adicionado por el artículo 9 de la Resolución 40293 de 2021. El nuevo texto es el siguiente:>
Según el Reglamento Técnico de Instalaciones Eléctricas (RETIE), la certificación de personas naturales por competencias para inspectores de instalaciones, expedida por los organismos que la efectúen, deberá tener una de las siguientes categorías:
a) Inspector de instalaciones eléctricas de generación de energía eléctrica, en niveles de tensión de corriente directa y corriente alterna superior a 1.000 V.
b) Inspector de instalaciones eléctricas de transmisión de energía eléctrica y subestaciones eléctricas asociadas, en niveles de tensión iguales o superiores a 57.500 V.
c) Inspector de instalaciones eléctricas de redes eléctricas de Distribución y subestaciones eléctricas asociadas, en niveles de tensión inferiores a 57.500 V.
d) Inspector de instalaciones eléctricas de uso final en instituciones de asistencia médica, incluyendo sus instalaciones asociadas de: autogeneración y cogeneración de electricidad, con niveles de tensión de corriente directa y corriente alterna inferior a 1.000 V; redes de distribución y subestaciones asociadas, con tensión inferior a 57.500 V.
e.) Inspector de instalaciones eléctricas de uso final en lugares clasificados como peligrosos, incluyendo sus instalaciones asociadas de: autogeneración y cogeneración de electricidad con niveles de tensión de corriente directa y corriente alterna inferior a 1.000 V; redes de distribución y subestaciones asociadas, con tensión inferior a 57.500 V.
f) Inspector de instalaciones eléctricas de uso final para equipos especiales (incluidos ascensores, sistemas de red y bombas contra incendio, sistemas de emergencia, piscinas, fuentes y similares).
g) Inspector de instalaciones eléctricas de uso final especiales (tales como alta concentración de personas, edificaciones prefabricadas, edificios para usos agrícolas o pecuarios, viviendas móviles, vehículos recreativos, remolques estacionados y casas flotantes y palafíticas).
h) Inspector de instalaciones eléctricas de uso final en minas, minas subterráneas, túneles y cavernas.
i) Inspector de instalaciones eléctricas de uso final distintas a las de los literales d), e), f), g), h), incluyendo sus instalaciones asociadas de: autogeneración y cogeneración de electricidad, con niveles de tensión de corriente directa y corriente alterna inferior a 1.000 V; redes eléctricas de distribución y subestaciones eléctricas asociadas, con tensión inferior a 57.500 V.
PARÁGRAFO. <Parágrafo corregido por el artículo 1 de la Resolución 40356 de 2023. El nuevo texto es el siguiente:> En el caso de las instalaciones asociadas de autogeneración y cogeneración, las mismas podrán ser incluidas en el alcance de la certificación de la persona, hasta que el Ministerio de Minas y Energía haya establecido los requisitos mínimos aplicables a este tipo de instalaciones, mientras esto ocurre, deberán certificarse de acuerdo a las disposiciones previstas para cada tipo de instalación, de conformidad con el Anexo General del RETIE.
35.1.3. DESCRIPCIÓN DEL TRABAJO Y LAS TAREAS DE INSPECCIÓN. <Numeral adicionado por el artículo 9 de la Resolución 40293 de 2021. El nuevo texto es el siguiente:>
El trabajo a realizar por un inspector de instalaciones eléctricas en cualquiera de las categorías certificables, corresponde al conjunto de tareas o actividades, bien desarrolladas bajo las orientaciones y procedimientos de un Organismo de Inspección y/o directamente como parte de su ejercicio profesional, tales como evaluar, medir, examinar, ensayar, declarar, verificar, validar, revisar y comparar con requisitos establecidos en el RETIE para una instalación eléctrica, con el fin de determinar su conformidad con el mismo.
En las instalaciones eléctricas en general, se requerirá el reconocimiento de los factores ambientales y locativos especiales y, por ende, el ajuste de las actividades de inspección para la verificación de todos los requisitos aplicables al tipo de instalación a inspeccionar.
35.1.4. COMPETENCIAS REQUERIDAS. <Numeral adicionado por el artículo 9 de la Resolución 40293 de 2021. El nuevo texto es el siguiente:>
Las competencias mínimas requeridas para llevar a cabo la inspección de una instalación eléctrica en cualquiera de las áreas o categorías mencionadas en los numerales 35.1.1 y 35.1.2, sin perjuicio de las que se deriven de las normas de competencia aplicables, serán las siguientes:
- Análisis e identificación de Riesgos de acuerdo con el tipo de instalación eléctrica.
- Interpretación de planos eléctricos (Simbología, funcionalidad del sistema, dimensionamiento de equipos y elementos eléctricos), memorias de cálculo y declaración de cumplimiento.
- Manejo de los equipos de medida, aseguramiento metrológico, procedimientos y metodologías de medición, interpretación de resultados y registro de información, asociados a los procesos de inspección de instalaciones eléctricas.
- Interpretación y aplicación del RETIE y cualquier tipo de normatividad aplicable a la instalación a inspeccionar.
- Toma de decisión independiente sobre la conformidad con el RETIE de la instalación eléctrica inspeccionada.
- Emisión de un juicio profesional sobre el cumplimiento o incumplimiento de la instalación inspeccionada, así como la capacidad de sustentar dicho juicio.
- Conocimiento y aplicación de metodologías de planeación para las inspecciones.
35.1.5 PRERREQUISITOS. <Numeral adicionado por el artículo 9 de la Resolución 40293 de 2021. El nuevo texto es el siguiente:>
Los prerrequisitos para certificarse en competencias profesionales aplicables a inspectores de instalaciones eléctricas serán los siguientes:
I. Matrícula profesional de ingeniero en la especialidad que lo habilite legalmente para emitir un dictamen pericial sobre la instalación objeto de inspección, conforme con las Leyes 51 de 1986 y 842 de 2003 y aquellas que las adicionen, modifiquen o sustituyan.
II. Certificaciones de Experiencia Laboral del ejercicio profesional como sigue:
- Por más de dos años para inspectores en la categoría de certificación del literal i del numeral 35.1.2. en actividades de diseño y/o construcción y/u operación y/o mantenimiento y/o inspección de instalaciones eléctricas de la misma o similar categoría en la que se solicita la certificación.
- Por más de cinco años para inspectores en las categorías de certificación diferentes a las del literal i del numeral 35.1.2. en actividades de diseño y/o construcción y/u operación y/o mantenimiento y/o inspección de instalaciones eléctricas de la misma o similar categoría en la que se solicita la certificación.
En el caso de los Directores Técnicos de organismos de inspección de instalaciones eléctricas según el Reglamento Técnico de Instalaciones Eléctricas (RETIE), además de los prerrequisitos antes mencionados, se deberá contar con la certificación en cada uno de los alcances en los cuales esté acreditado el Organismo de inspección de instalaciones eléctricas. Cuando el Organismo de inspección cuente con varios Directores Técnicos, las certificaciones con las que estos cuenten deberán cubrir el alcance acreditado por el ONAC. Se aclara que solo podrán firmar los dictámenes emitidos bajo las categorías de certificación certificados para cada Director Técnico. Adicionalmente, los profesionales que ejerzan como directores técnicos deberán contar con certificaciones de Experiencia Laboral del ejercicio profesional como sigue:
- Más de diez años para directores técnicos en actividades de diseño y/o construcción y/u operación y/o mantenimiento y/o inspección de instalaciones eléctricas además de actividades de gerencia o dirección (experiencia que no podrá ser inferior a 2 años de la experiencia total), de la misma o similar categoría en la que se solicita la certificación.
Para obtener certificación en las categorías de la a la h del numeral 35.1.2, se deberá disponer de certificación vigente con la categoría dispuesta en el literal i del mismo numeral.
35.1.6. CÓDIGO DE CONDUCTA. <Numeral adicionado por el artículo 9 de la Resolución 40293 de 2021. El nuevo texto es el siguiente:>
Con el fin de garantizar que los inspectores y directores técnicos de organismos de inspección de instalaciones eléctricas según el Reglamento Técnico de Instalaciones Eléctricas (RETIE) realicen un ejercicio idóneo y ético en virtud de su competencia profesional, debe darse cumplimiento de las Leyes 51 de 1986 y 842 de 2003 y el Decreto número 1873 de 1996, compilado por el Decreto número 1073 de 2015, o aquellos que los adicionen, modifiquen o sustituyan. Adicionalmente deberán cumplirse los códigos de ética de los organismos de certificación de personas.
VIGILANCIA, CONTROL Y RÉGIMEN SANCIONATORIO.
ARTÍCULO 36. ENTIDADES DE VIGILANCIA Y CONTROL. La vigilancia y control del cumplimiento del presente reglamento, corresponde a: La Superintendencia de Servicios Públicos Domiciliarios, la Superintendencia de Industria y Comercio, las alcaldías municipales o distritales, la Dirección de Impuestos y Aduanas Nacionales y los consejos profesionales, de acuerdo con las competencias otorgadas a cada una de estas entidades en las siguientes disposiciones legales o reglamentarias y aquellas que las modifiquen, complementen o sustituyan:
a. De conformidad con lo dispuesto en el artículo 79 de la Ley 142 de 1994, a la Superintendencia de Servicios Públicos Domiciliarios, SSPD, le corresponde entre otras funciones, vigilar y controlar el cumplimiento de las leyes y actos administrativos a los que estén sujetos quienes presten servicios públicos, en cuanto el servicio afecte en forma directa e inmediata a usuarios determinados y sancionar las violaciones, siempre y cuando esta función no sea competencia de otra autoridad. En consecuencia corresponde a esta superintendencia vigilar el cumplimiento del RETIE en lo relacionado con las instalaciones eléctricas para la prestación del servicio público de electricidad.
b. <Literal modificado por el artículo 29 de la Resolución 90795 de 2014. El nuevo texto es el siguiente:> Conforme a la Ley 1480 de 2011, los decretos 2269 de 1993 y sus modificatorios 3144 de 2008, 3257 de 2008, 3273 de 2008, 3735 de 2009 y 4886 de 2011, la Superintendencia de Industria y Comercio – SIC, en ejercicio de las facultades de vigilancia y control, le corresponde entre otras funciones, velar por el cumplimiento de las disposiciones sobre protección al consumidor, realizar las actividades de verificación de cumplimiento de reglamentos técnicos sometidos a su control, supervisar, vigilar y sancionar a los organismos de certificación e inspección, así como a los laboratorios de pruebas y ensayos y de metrología, que presten servicio de evaluación de la conformidad relacionados con el presente reglamento. Como quiera que los objetivos del RETIE están íntimamente relacionados con la protección del consumidor, le corresponde a la SIC vigilar y controlar el cumplimiento del presente reglamento, excepto en lo que corresponde a las instalaciones destinadas a la prestación del servicio público de electricidad e investigar y sancionar su incumplimiento.
c. De conformidad con el artículo segundo del Decreto 3273 de 2008, los productos objeto del presente reglamento que se importen, el primer control se efectuará por la SIC en el momento del trámite de la aprobación del registro o licencia de importación a través de la ventanilla única de comercio exterior, VUCE.
d. Los productores e importadores de bienes y servicios sujetos al cumplimiento de reglamentos técnicos y los constructores de la instalación, cuyo control corresponde a la Superintendencia de Industria y Comercio, deben estar inscritos en el registro único de productores e importadores, RUPI, y actualizar la información.
e. Dentro de las facultades de supervisión y control de la Superintendencia de Industria y Comercio, otorgadas por la Ley 1480 de 2011 y el Decreto 3735 de 2009, en relación con los reglamentos técnicos cuya vigilancia tenga a su cargo, podrá imponer las medidas y sanciones previstas en esta ley, a los productores, ensambladores, importadores, constructores y demás responsables de los productos e instalaciones objeto de RETIE, así como a quienes evalúen su conformidad, violando el reglamento.
f. Según lo señalado en el artículo 62 de la Ley 1480 de 2011, los alcaldes ejercerán en sus respectivas jurisdicciones las mismas facultades administrativas de control y vigilancia que la Superintendencia de Industria y Comercio. Así mismo, el artículo 1º del Decreto 3735 de 2009 señala que de acuerdo con sus competencias legales, los alcaldes podrán adelantar las actuaciones administrativas e imponer las sanciones señaladas en ese mismo artículo en el territorio de su jurisdicción, en caso de incumplimiento de las disposiciones relativas a etiquetado, contenidas en los reglamentos técnicos, para lo cual observarán cumplir las disposiciones aplicables del Código Contencioso Administrativo.
g. A la DIAN, de acuerdo con lo señalado en los decretos 2685 de 1999 y 3273 de 2008, le corresponde la revisión documental del registro o licencia de importación, excepto que la importación de los productos sea eximida del registro o licencia de importación por el Gobierno Nacional; en cuyo caso el control y vigilancia se ejercerá por parte de la DIAN en el momento de la solicitud del levante aduanero de las mercancías.
h. Sin perjuicio de las sanciones por el incumplimiento del presente reglamento que le imponga la SIC o las alcaldías, en cumplimiento de la Ley 1480 de 2011, en relación con la responsabilidad que les asiste por el del diseño, construcción, inspección, operación o mantenimiento de las instalaciones eléctricas. La vigilancia y control del ejercicio profesional de los ingenieros, tecnólogos y técnicos de la electrotecnia, que intervienen en dichas instalaciones corresponde a los consejos profesionales, conforme a las leyes que regulan el ejercicio de dichas profesiones (Ley 842 de 2003 y Ley 1264 de 2008).
ARTÍCULO 37. RÉGIMEN SANCIONATORIO. Sin perjuicio de la responsabilidad civil o penal a que haya lugar, el incumplimiento de los requisitos establecidos en el presente reglamento se sancionará según lo establecido en la legislación colombiana vigente, así:
a. Las empresas de servicios públicos por el régimen establecido en las leyes 142 y 143 de 1994, demás normas que adicionen, modifiquen o sustituyan y demás disposiciones legales aplicables.
b. Las personas calificadas responsables del diseño, construcción, supervisión, inspección, operación y mantenimiento de las instalaciones objeto del RETIE, por las leyes que reglamentan el ejercicio de las profesiones relacionadas con la electrotecnia, por la Ley 1480 en lo relacionado con la protección al consumidor y las demás disposiciones legales aplicables. Así como las sanciones disciplinarias establecidas por los consejos profesionales, por violaciones al respectivo código de ética profesional, adoptados por las leyes 842 de 2003 y 1264 de 2008 y las demás normas que adicionen, modifiquen o sustituyan.
c. Los usuarios de conformidad con lo establecido en el Decreto 1842 de 1992 “Estatuto nacional de usuarios de los servicios públicos domiciliarios”, Ley 142 de 1994, Resolución CREG 108 de 1997 y demás normatividad aplicable.
d. Los productores, importadores, comercializadores, constructores de edificaciones o infraestructura que incorpore instalaciones objeto del RETIE, por el Decreto 3466 de 1982, Ley 1480 de 2011 y demás disposiciones legales aplicables.
e. Los laboratorios de pruebas y ensayos, los organismos de certificación de personas y certificación de productos y los organismos de inspección, acreditados por lo dispuesto en los decretos 2152 de 1992 y 2269 de 1993, Ley 1480 de 2011 y demás disposiciones legales aplicables que lo modifiquen, adicionen o sustituyan.
f. Los profesionales competentes que expidan la declaración de cumplimiento de la instalación por la Ley 1480 de 2011 en lo relacionado con la certificación de la conformidad y las leyes 842 de 2003 y 1264 de 2008 en cuanto al ejercicio profesional.
DISPOSICIONES TRANSITORIAS.
En cumplimiento de los acuerdos comerciales y las condiciones particulares de algunos requisitos, se establecen los periodos transitorios en los siguientes casos:
ARTÍCULO 38. REQUISITOS TRANSITORIOS. Para los efectos del presente anexo general se tendrán en cuenta las siguientes disposiciones transitorias:
38.1.CERTIFICADOS DE COMPETENCIAS DE PERSONAS. <Numeral derogado por el artículo 11 de la Resolución 40293 de 2021. Consultar sobre el tema Artículo 35>
38.2. CERTIFICADOS DE CONFORMIDAD DE PRODUCTOS.
La demostración de la conformidad con el RETIE debe tener en cuenta las siguientes condiciones transitorias:
a. El certificado de conformidad de producto con el RETIE para cargadores de baterías de vehículos eléctricos, duchas eléctricas o calentadores de paso eléctricos, transferencias automáticas, relés térmicos para protección contra sobrecargas, reconectadores de media tensión, crucetas de uso en estructuras de apoyo de redes eléctricas y los requisitos de productos adicionales a los fijados en el anexo general de la Resolución 181294 de 2008, serán exigibles a partir de los seis meses después de la publicación del presente anexo general. Los productos que se hubieran fabricado o importado con anterioridad a los 6 meses contados a partir de la publicación del presente anexo general, cumpliendo los requisitos de la Resolución 181294 de 2008 y cuenten con los certificados vigentes de producto deben ser aceptados.
b. <Literal modificado por el artículo 31 de la Resolución 90795 de 2014. El nuevo texto es el siguiente:> Para aquellos productos objeto del RETIE incluidos por primera vez en la tabla 2.1 del Anexo General que no estaban contemplados en anteriores Resoluciones y que no estén contemplados dentro del alcance de certificación de por lo menos 2 organismos acreditados, podrán demostrar la conformidad con la declaración del proveedor, hasta cuando se cuente con la acreditación del segundo organismo y tres (3) meses más. En la declaración se debe manifestar el cumplimiento del presente reglamento, las pruebas que soportan la declaración y cumplir lo establecido en la norma ISO/IEC 17050 partes 1 y 2. Después de los tres meses de contar con por lo menos dos organismos de certificación del producto, acreditados por ONAC, no será válida la declaración del proveedor.
38.3. DEMOSTRACIÓN DE CONFORMIDAD DE INSTALACIONES.
<Inciso aclarado por el artículo 32 de la Resolución 90795 de 2014. El nuevo texto es el siguiente:> Las instalaciones que demuestren que iniciaron su proceso constructivo en la vigencia de la Resolución 181294 de 2008 o lo hayan iniciado dentro de los seis (6) primeros meses de la vigencia de la Resolución 90708 de 2013, podrán terminarse y demostrar la conformidad con los requisitos establecidos en el Anexo General de la Resolución 181294. En todo caso en la conformidad deberá usar los criterios y formatos del Anexo General de la Resolución 90708 de 2013 y dejar declarado en las observaciones que se evaluó con los requisitos de la Resolución 181294 de 2008.
La certificación plena, es decir, la declaración de la persona responsable de la construcción avalada por el dictamen del organismo de inspección para demostrar la conformidad de instalaciones eléctricas de generación, transmisión y subestaciones de alta y extra alta tensión, son exigibles desde cuando quedaron acreditados cinco (5) organismos de inspección para ese tipo de instalaciones.
Los certificados o dictámenes de conformidad expedidos por organismos de certificación o inspección acreditados bajo las resoluciones, 181294 de 2008, continuarán siendo válidos hasta su vencimiento y se podrán seguir expidiendo por un término no mayor a seis meses contados a partir de la publicación del presente anexo.
38.4. ACTUALIZACIÓN DE LAS NORMAS DE OPERADORES DE RED, TRANSMISORES Y GENERADORES.
En un plazo no mayor a seis meses contados a partir de la publicación del presente anexo, los operadores de red, los propietarios u operadores de líneas de transmisión, subestaciones y centrales de generación deberán hacer los ajustes a las normas técnicas internas que aplican dichas empresas, asegurando que no contravengan el presente reglamento, sean de público conocimiento, no sean discriminatorias, ni contravengan los principios generales de los servicios públicos domiciliarios establecidos en la ley.
Transcurrido el plazo señalado, en cualquier momento este ministerio o la Superintendencia de Servicios Públicos Domiciliarios podrán solicitarles tales normas y las empresas deben suministrarlas sin costo, para verificar su conformidad con el presente reglamento.
La Superintendencia de Servicios Públicos Domiciliarios sancionará el incumplimiento de estos requisitos.
REVISIÓN Y ACTUALIZACIÓN.
ARTÍCULO 39. INTERPRETACIÓN, REVISIÓN Y ACTUALIZACIÓN DEL REGLAMENTO. El contenido de este reglamento, expedido por el Ministerio de Minas y Energía cumple con los procedimientos y metodologías aceptados por el acuerdo sobre obstáculos técnicos al comercio y es el resultado de una amplia discusión con la participación democrática de las distintas partes interesadas.
El Ministerio de Minas y Energía de Colombia es el órgano competente para la elaboración, revisión, actualización, interpretación y modificación del RETIE, lo cual lo podrá hacer de oficio o por solicitud de terceros.
En atención al desarrollo tecnológico y en casos excepcionales o situaciones objetivas suficientemente justificadas, el Ministerio de Minas y Energía, podrá autorizar requisitos técnicos diferentes de los incluidos en el RETIE; para ello los revisará y evaluará a fin de que los citados requisitos no contravengan los objetivos del RETIE.
Cuando el diseñador de una instalación prevea la utilización o aplicación de nuevas tecnologías o se planteen circunstancias no previstas en el presente reglamento, podrá justificar la introducción de dichas innovaciones señalando los objetivos, así como las normas y prescripciones que soportan la innovación, siempre que tales modificaciones no afecten la seguridad. El Ministerio de Minas y Energía podrá aceptar o rechazar el proyecto dependiendo si resultan o no justificadas las innovaciones que contenga y de acuerdo con los objetivos legítimos.
Las empresas del sector eléctrico, sin apartarse de los principios de eficiencia y adaptabilidad que trata la Ley 143 de 2004 <sic>, podrán presentar propuestas complementarias, señalando las condiciones técnicas de carácter concreto que sean esenciales para conseguir mayor seguridad en las instalaciones eléctricas. En todo caso estas condiciones no pueden contravenir los principios generales de los servicios públicos. Estas propuestas deben basarse en normas técnicas internacionales o de reconocimiento internacional y deben ajustarse a los preceptos aquí establecidos. Para su implementación deben ser presentadas a la dirección de energía eléctrica del Ministerio de Minas y Energía para su aprobación.
Publíquese y cúmplase.
Dada en Bogotá, D.C., a 30 de agosto de 2013.
MINISTRO DE MINAS Y ENERGÍA


