Derechos de autor reservados - Prohibida su reproducción
República de Colombia
Corte Suprema de Justicia
CORTE SUPREMA DE JUSTICIA
SALA DE CASACIÓN LABORAL
JORGE MAURICIO BURGOS RUIZ
Magistrado Ponente
SL1488-2014
Radicación n° 43365
Acta n°04
Bogotá, D.C., doce (12) de febrero de dos mil catorce (2014).
Decide la Corte el recurso de casación interpuesto por el apoderado judicial de JORGE ARMANDO BORDA CABRA, contra la sentencia de 28 de mayo de 2009, proferida por la Sala Laboral del Tribunal Superior del Distrito Judicial de Bogotá, en Descongestión, en el proceso ordinario laboral promovido por el recurrente contra el INSTITUTO DE SEGUROS SOCIALES, en liquidación.
Acéptese como sustituto procesal del Instituto de Seguros Sociales a la Administradora Colombiana de Pensiones – Colpensiones, según la petición que obra a folios 43 y 44 cuaderno de la Corte, en los términos del artículo 60 del C. de P. C, aplicable a los procesos laborales y de la seguridad social por expresa remisión del artículo 145 del Código Procesal Laboral y de la Seguridad Social.
I-. ANTECEDENTES
1.- En lo que interesa a los efectos del recurso extraordinario, basta señalar que JORGE ARMANDO BORDA CABRA, solicitó condenar al ISS: a reliquidar el IBL de la pensión de vejez -estructurada el 4 de enero de 2003-, teniendo en cuenta todas las cotizaciones realizadas en su vida laboral y una tasa de reemplazo del 81%, y en consecuencia el pago del retroactivo que resulte de dicha diferencia, los intereses moratorios consagrados en el artículo 141 de la Ley 100 de 1993, los reajustes de ley, las diferencias pensionales debidamente indexadas y costas procesales.
En apoyo de su pedimento señaló, que el ISS mediante Resolución No. 018668 del 29 de agosto de 2003 le reconoció una pensión de vejez en cuantía de $574.706 mensuales, a partir del 1° de septiembre de 2003, sin disponer el retroactivo, decisión que fue controvertida al interponer los recursos de ley, a fin de que se reliquidara el IBL teniendo en cuenta los salarios base de cotización de toda su vida laboral. Desatado el recurso de reposición la entidad profirió la Resolución 007752 de 16 de abril de 2004 y fijó la cuantía de la prestación social en la suma de $589.595,oo a partir del 4 de enero de 2003, y pagó como retroactivo el valor de $5.954.075,oo. Al resolver el recurso de apelación se profirió el acto administrativo No. 00181 de febrero 18 de 2005, por medio del cual confirmó la resolución 018668 modificada por la Resolución 007752. Enfatiza el demandante que las Resoluciones Nos. 007752 de abril 16 de 2004, 018668 de 2003 y 00181 de febrero de 2005, le reconocen un total de 1.149 semanas cotizadas, la estructuración del derecho pensional el 4 de enero de 2003, la calidad de beneficiario del régimen de transición consagrado en el art. 36 de la Ley 100 de 1993 y la tasa de reemplazo a aplicar sobre el IBL del 81% de lo reportado por los diferentes empleadores desde el 13 de junio de 1991 hasta el 31 de octubre de 2002, actualizados con el IPC.
Agregó que el artículo 36 de la Ley 100 de 1993, plantea dos posibilidades para obtener el ingreso base de cotización, según sea más favorable al pensionado que le faltare menos de 10 años para estructurar el derecho pensional a saber: i) el promedio de lo devengado en el tiempo que les hiciere falta para ello; ii) y el promedio de lo cotizado durante todo el tiempo si este fuere superior, actualizado anualmente con base en el IPC certificado por el DANE; que al estar demostrado en el sub lite que el pensionado cotizó 1.149 semanas tiene derecho a que la pensión se le liquide con el 81% del IBL de toda la vida laboral, correspondiéndole como IBL la suma de $1.026.751, cuantía que al aplicarle el porcentaje indicado arroja la suma de $831.668 mensuales, que sería el valor que le corresponde como primera mesada pensional a partir del 4 de enero de 2003; finaliza el acápite de los hechos con una relación de las semanas cotizadas así:



2.- El Instituto al dar respuesta a la demanda, aceptó unos hechos, indicó respecto de otros que no lo son, y se opuso a las pretensiones de la demanda; adujo en su defensa que el ISS le ha venido reconociendo la pensión de vejez al demandante, por lo que no hay lugar al reconocimiento y pago de intereses moratorios; que las razones jurídicas expuestas frente a la reliquidación de la pensión del señor BORDA CABRA se encuentran consignadas en las resoluciones emitidas por la entidad, que dieron respuesta a las pretensiones pensionales elevadas por el actor; formuló las excepciones de inexistencia de la obligación y cobro de lo no debido.
3.- Mediante fallo de 29 de diciembre de 2006, el Juzgado Octavo Laboral del Circuito de Bogota, en Descongestión, absolvió a la entidad demandada de todas y cada una de las pretensiones incoadas en su contra y condenó en costas a la parte demandante.
II-. SENTENCIA DEL TRIBUNAL.-
El Tribunal en sentencia de 28 de mayo de 2009, confirmó la decisión absolutoria proferida por el juez de primera instancia, que negó la pretensión encaminada a obtener la reliquidación del IBL de la pensión de vejez reconocida por el ISS teniéndole en cuenta todo lo cotizado en su historia laboral.
Consideró el Tribunal:
«El quid del asunto en el sub lite no es otro sino interpretar la aplicación del régimen de transición consagrado en el inciso tercero del artículo 36 de la Ley 100 de 1993 al demandante, pues ese fue y ha sido su querer tanto en vía gubernativa como en la presente acción. Veamos:
La disposición en comento reza:
El ingreso base para liquidar la pensión de vejez de las personas referidas en el inciso anterior que les faltare menos de diez (10) años para adquirir el derecho, será el promedio de lo devengado en el tiempo que les hiciere falta para ello, o el cotizado durante todo el tiempo si este fuere superior, actualizado anualmente con base en la variación del Índice de Precios al consumidor, según certificación que expida el DANE...
Dentro de ese contexto legal y revisando el ejercicio matemático que efectuó el accionante en la narración fáctica de su demanda (HECHO 11, FOLIOS 17 Y 18), todo parece indicar que la razón está de su lado, pero, ello se va al traste porque así como relató lo atinente al tiempo cotizado durante toda su vida laboral, en los mismos términos debió demostrarse ese aspecto. Nos explicamos:
Argumenta el actor, por ejemplo, que desde el 2 de septiembre de 1968 hasta el 31 de diciembre de ese mismo año aportó 121 días con un ingreso base de $2.430,oo, pues sencillamente debió acreditar que durante ese tiempo ingresó los días que se afirman y ese era su salario base, encontrando la Sala que probó lo atinente al IBC, mas no, que trabajó 121 días, toda vez que revisando su historial nos encontramos con 20 días aportados en el año 1967 (FOLIO 130), y si acaso en la foliatura siguiente aparece que entre el 2 de septiembre de 1968 y el 23 de marzo de 1972 fueron 1330 días los cotizados, ya allí no se indica cual fue el ingreso base de cotización.
Lo mismo podemos decir frente al año 1991 donde también son notorias las diferencias temporales y dinerarias en lo inherente a los días aportados y el ingreso base que dice el actor ingresó al sistema, respecto de lo probado en el proceso, pues mientras manifiesta el demandante que en esas calendas fueron 365 días, con salarios de $61.950,00 entre enero y noviembre y $70.260,00 en lo correspondiente a diciembre, las pruebas arrimadas al juicio indican otros estadios y montos (FOLIO 121), avizorándose allí que los aportes para esa anualidad fueron no desde enero sino desde junio 13 de 1991 y el ingreso base no cambió de $61.950,00.
Así las cosas considera la Sala que no es necesario continuar ahondando en las diferentes calendas de la historia laboral del accionante a la caza de inconsistencias como las ya mostradas, precisamente porque este litigante estaba obligado en el discurrir de esta actividad procesal a demostrar íntegramente los supuestos fácticos en que sostiene sus pretensiones para que su querer saliera avante, puesto que esa carga probatoria corría por su cuenta como lo ordena el artículo 177 del Código de Procedimiento Civil que analógicamente aplicamos a esta situación de índole laboral. Dadme la prueba y os daré el derecho reza el viejo aforismo romano.
Señalado lo anterior no queda menos sino que confirmar en todas sus partes la sentencia impugnada. De otro lado menester es señalar que las costas de esta instancia serán a cargo del demandante por no prosperar su alzada, ello, tal y como lo dispone el artículo 392 de la obra adjetiva civil».
III-. RECURSO DE CASACIÓN.-
Interpuesto por el apoderado del demandante, JORGE ARMANDO BORDA CABRA, concedido por el Tribunal y admitido por la Corte, se procede a resolver previo estudio de la demanda del recurso extraordinario y la réplica del Instituto demandado.
Pretende el impugnante que la Corte case totalmente la sentencia impugnada para que en sede de instancia esta Corporación:
“CASE TOTALMENTE la sentencia impugnada, para que constituida en sede de instancia, revoque la sentencia de segunda instancia, y que en su lugar, obrando la Honorable Corte Suprema de Justicia en función de instancia condene al ISS a reliquidar la pensión de vejez del señor JORGE ARMANDO BORDA CABRA, de conformidad con el art. 36 de la Ley 100 de 1993 y decidiendo sobre costas las que en derecho corresponda.”
Con tal fin formuló dos cargos, de los cuales por razones de método la Sala abordará el estudio del segundo, así:
SEGUNDO CARGO
Acusa la sentencia impugnada de ser «violatoria indirecta de la ley sustantiva laboral del orden nacional, en la modalidad de aplicación indebida de los artículos 36 de la Ley 100 de 1993, artículo 3 del Decreto 813 de 1994, como consecuencia de evidentes y manifiestos errores de hecho en la apreciación de pruebas».
En la demostración del cargo señala los siguientes errores de hecho:
«1. No dar por establecido, estando, que el demandante por ser beneficiario del régimen de transición y por faltarle menos de 10 años para adquirir el derecho de pensión, su mesada pensional debe ser el resultado de aplicarle la tasa a prorrata sobre los ingresos base de cotización de toda su vida.
2.- No dar por demostrado, estando, todos los ingresos base de cotización que para pensión realizó el demandante durante toda la vida».
Señala como pruebas erróneamente valoradas:
«1 - Documental de fl 7, 8 y 9 (un documento que consta de tres folios), dando cuenta de las semanas de cotización y valor del aporte mensual.
2.- Documental de fl. 10, 11, 12 y 13 (un documento que consta de 4 folios), dando cuenta de las semanas de cotización y valor del aporte mensual.
3.- Documental de fl. 83 dando cuenta de las semanas de cotización y valor del aporte mensual.
4.- Documental de fl. 84 dando cuenta de las semanas de cotización y valor del aporte mensual.
5- Documental de fl. 104 y 105 (un documento que consta de dos folios), dando cuenta de las semanas de cotización y valor del aporte mensual.
6.- Documental de fl. 107, 108, 109, 110 y 111 (un documento que consta de cinco folios), dando cuenta de las semanas de cotización y valor del aporte mensual.
7- Documental de fl. 121, y 122 (un documento que consta de dos folios), dando cuenta de las semanas de cotización y valor del aporte mensual.
8.- Documental de fl. 130,131,132,133 (un documento que consta de cuatro folios), dando cuenta de las semanas de cotización y valor del aporte mensual.
9.- Documental a folio 125, 126, 127, 128 y 129 (un documento que consta de 5 folios), dando cuenta de las semanas de cotización y valor del aporte mensual».
En la demostración del cargo indica que:
«Aunque expresamente no lo dice el fallo, considero que el Honorable Tribunal, si valoró (erradamente) las pruebas obrantes de folio 7, 8, 9, 10,11,12, 13, 83, 84, 125 al 129, por cuanto a folio 6 de la sentencia textualmente expresó no es necesario continuar ahondando en las diferentes calendas de la historia laboral del accionante a la caza de inconsistencias como las ya demostradas, al igual que a folio 5 ibidem, expresa “toda vez que revisando su historial, y en efecto todos los folios citados relacionan las historia laboral del demandante.
Respecto del restante material probatorio tenido en cuenta por el ad quem comparto su valoración.
El honorable Tribunal se equivoca cuando sostiene que debió demostrarse lo atinente al tiempo cotizado, tal como se expresó en la demanda.
A modo de ejemplo y a folio 5 de la sentencia expresa que en la demanda se afirmó que el actor aportó para pensión 121 días entre el 2 de septiembre de 1968 y el 31 de diciembre del mismo año, pero que revisando el historial encontró solo 20 días de aportes para pensión en el año de 1967 (folio 130) y que si en foliatura siguiente aparece que entre el 2 de septiembre de 1968 y el 23 de marzo de1972 fueron 1330 días los cotizados, no se probó el ingreso base de cotización.
Seguidamente, afirma que para el año 1991, quedó probado que los aportes se realizaron desde el 13 de junio y el ingreso base fue de $ 61.950 (folio 121), y no durante todo el año de 1991, como se anotó en la demanda.
En consideración a la duda concreta del Honorable Tribunal respecto del periodo de cotización entre el 01/01/1967 y el 28/02/1967, prueba a documental a folio 7 y 8 que en efecto en el citado lapso el demandante cotizó 59 días como se adujo en el hecho 11 de la demanda, con un ingreso base de cotización de $ 1.290.
A folio 8, en la parte referente a los periodos pagados por la patronal expresamente el demandado anota Y METALURGICOS ASOCIADOS S.A. desde 1967/01/01 hasta 1967/02/28 DIAS 59.
En cuanto el ad quem se refiere que el demandante no probó los 121 días que laboró entre el 02/09/1968 y el 31/12/1968, a pesar de haber probado solo el I.B.C. en suma de $ 2.430, es de resaltar que la misma prueba aludida da cuenta que en efecto el demandado estuvo vinculado al sistema de pensiones del I.S.S. desde el 02/09/1968 hasta el 23/04/1972 ininterrumpidamente solo presentando en ese tiempo dos novedades relacionadas con su cambio de salario, es por ello que en el hecho 11 de la demanda tomé así: 121 días entre el 09/02/1968 y el 31/12/1968 con un salario de $2.430, 365 días entre el 01/01/1969 y el 31/12/1969 con un ingreso de $ 2.430, para un total de 486 días, en ese mismo orden, tomé 365 días más entre el 01/01/1970 y el 31/12/1970, con un ingresó de $ 3.300, 243 días entre el 01/01/1971 y el 31/08/1 971, con un ingreso de $3.300, 122 días entre 01/09/1971 y el 31/12/1971, con un ingreso de $4.410 y tomé 114 días entre el 01/01/1972 y el 23/04/1 972, con un ingreso de $4.410, para un total de 1.330 días. Se desglosó así la historia por la novedad del salario en ese periodo y poder realizar el cálculo actuarial.
Nuevamente el ad quem impreca que si bien en la foliatura siguiente aparece que entre el 02/09/1968 y 23/03/1972 se cotizó 1330 días, no se probó cual fue el I.B.C., fundamento desvirtuado con la documental aludida por cuanto sí establece claramente el monto del I.B.C. entre esos períodos, como en efecto se anotó anteriormente.
Para la anualidad de 1991, el Honorable Tribunal alude que solo se cotizó desde el 13/06/1991 y no desde el enero del mismo año, con un I.B.C. de $ 61.950, el cual no cambió; al respecto la misma prueba documental en cita, registra con una novedad de ingreso al sistema desde el 02/03/1990, con un I.B.C. de $61.950, hasta el 31/12/1991 fecha de retiro del sistema con un I.B.C. de $ 70.260, presentando solo en ese periodo una novedad de cambio de salario el 01/12/1991. El total de días cotizados en ese periodo fueron de 670. En el hecho 11 de la demanda esos 670 días se desglosaron así: desde el 02/03/1990 y el 31/12/1990, 305 días con un ingreso de $61.950, desde el 01/01/1991 y el 30/11/1991, 334 días con un ingreso de $61.950, desde el 01/12/1991 y el 31/12/1991, 31 días con un ingreso de $70.260. Se desglosó así por la novedad del salario en ese periodo y poder realizar el cálculo actuarial.
El honorable Tribunal, valoró erróneamente la prueba obrante a folio 121, al concluir con ella, que para la anualidad de 1991, el demandante solo cotizó desde el 13/06/1991 con un I.B.C. de $ 61.950 y no desde el (sic) enero del mismo año, como lo anoté en el hecho 11 de la demanda. El juzgador no determinó que los períodos de afiliación a que se refieren (sic) la referida prueba son solo los que tuvo en cuenta el I.S.S para liquidar la pensión del actor, por eso mismo los denominó “historia de los ingresos bases de liquidación”, como quiera que esos ingresos son los últimos diez años de cotización, solo relacionó en ese documento desde el 30 de junio de 1991, pero en manera alguna debe inferirse del mismo que no hubo otros periodos de cotización, máxime cuando de la prueba documental arrimada al proceso y obrantes a folio 7, 8 y 9 así lo demuestran con claridad suficiente y prueban que se registró novedad de ingreso al sistema desde el 02/03/1990, con un I.B.C. de $61950, hasta el 31/12/1991 fecha de retiro del sistema con un I.B.C. de $70.260, presentando solo en ese periodo una novedad de cambio de salario el 01/12/1991.
El Honorable Tribunal, valoró erróneamente la prueba obrante a folio 130 y foliatura siguiente al considerar que el demandante no probó los 121 días que laboró entre el 02/09/1968 y el 31/12/1968, que solo se probó el I.B.C en suma de $ 2.430, pero que al revisar el historial encontró 20 días aportados en el año de 1967 (folio 130) y que en foliatura siguiente aparece que entre el 02/09/1968 hasta el 23/04/1972, fueron 1330 sin que se indique el ingreso base de cotización.
Infiero de lo anterior que el ad quem si encontró probados los 121 días comprendidos entre el 02/09/1968 y el 31/12/1968, al aceptar que en foliatura siguiente aparece que entre el 02/09/1968 hasta el 23/04/1972, fueron 1330 días los cotizados.
El ingreso basé de cotización del periodo ibidem, aparece a folio 130 en la columna referente a salario, es de resaltar que allí da cuenta que en efecto el demandado estuvo vinculado al sistema de pensiones del I.S.S. desde el 02/09/1968 hasta el 23/04/1972 ininterrumpidamente solo presentando en ese tiempo dos novedades relacionadas con su cambio de salario, es por ello que en el hecho 11 de la demanda tomé así: 121 días entre el 09/02/1968 y el 31/12/1968 con un salario de $2.430, 365 días entre el 01/01/1969 y el 31/12/1969 con un ingreso de $ 3.300, para un total de días de 486, en ese mismo orden, tomé 365 días más entre el 01/01/1970 y el 31/12/1970, con un ingresó de $ 3.300, 243 días entre el 01/01/1971 y el 31/08/1971, con un ingreso de $ 3.300, 122 días entre 01/09/1971 y el 31/12/1971, con un ingreso de $4.410 y tomé 114 días entre el 01/01/1972 y el 23/04/1972, con un ingreso de $4.410, para un total de 1.330 días.
En cuanto el Tribunal se refiere que a folio 130, se probó solamente que para el año de 1967, se cotizó solo 20 días, es de anotar que la misma prueba relaciona como novedad de ingreso al sistema el 01/01/1967 con un salario de $ 1.290, hasta el día de 28/02/1967, fecha de novedad de retiro, con el mismo salario, para un total de 59 días.
Vale decir que la historia laboral del demandante que obra a folio 130, 131,132 y 133, da cuenta en efecto de todos los periodos de cotización realizados desde el 01/01/1967 hasta el 31/12/1994, con sus respectivos ingresos base de cotización y que obran también en el expediente otros medios probatorios que demuestren los periodos cotización (sic) comprendidos entre el mes de enero de 1995 hasta el 31 de enero de 2002 como las documentales a folios 121,122,125,126,127,128 y 129, es por ello que si era procedente continuar ahondando en las diferentes calendas de la historia laboral del demandante no a la caza propiamente de inconsistencias, como lo impreca el ad quem, si no al contrario, a la caza de las semanas de cotización que durante toda su vida laboral realizó el asegurado, de conformidad con la narración fáctica del proceso, máxime cuando a folio 132, aparece la relación de días pagados por salario desde el 28 de febrero de 1967, hasta el 31 de diciembre de 1994».
III-. CONSIDERACIONES DE LA CORTE
Pretende la censura que se reliquide el IBL de la pensión de vejez que le viene reconociendo el ISS, teniendo en cuenta lo cotizado durante toda su vida laboral, según lo dispone el artículo 36 de la Ley 100 de 1993.
El Tribunal erró en la apreciación de las pruebas con las que cimentó su decisión, al haber dado por probado que para el año 1967 el actor solo aportó lo correspondiente a 20 días de trabajo y además, en cuanto afirmó que no había prueba de los ingresos base de cotización del periodo corrido entre el 2 de septiembre de 1968 y el 23 de marzo de 1972, pues lo cierto es, que al corroborar lo asentado por el Tribunal con la historia laboral obrante a folios 7 a 13 del cuaderno principal, que dan cuenta de los periodos cotizados y los respectivos ingresos bases de cotización, se advierte que el demandante realizó aportes al sistema sin interrupción desde el 2 de septiembre de 1968 hasta el 23 de marzo de 1972, por lo que se pasa a indicar:
Encuentra la Sala que: para el año 1967 el actor cotizó lo correspondiente al periodo corrido desde el 01/01/1967 -fecha de ingreso- hasta el 28/02/1967 -fecha de retiro- sobre un IBC de $1.290,oo; del 2/09/1968 al 23/04/1972, se registraron las siguientes novedades relativas a los IBC, así: desde el 02/09/1968 -fecha de ingreso- hasta el 31/12/1969 sobre un IBC de $2.430,oo; desde el 01/01/1970 hasta el 31/08/1971 sobre un IBC de $3.300,oo; y desde el 01/09/1971 hasta el 23/04/1972 -fecha de retiro del sistema- sobre un IBC de $4.410,oo, y no como lo asentó el Tribunal hasta el 23/03/1972.
Ahora bien, respecto a las cotizaciones correspondientes al año 1991, expuso el Ad quem, con fundamento en la información consignada a folio 121, que el demandante no probó que laboró 365 días, ni que los ingresos base de cotización correspondientes a los meses de enero a noviembre se realizaron sobre la suma de $61.950,oo, y sobre la $70.260,oo para el mes de diciembre. Al punto encuentra la Sala que erró el Tribunal al haber arribado a dichas conclusiones por cuanto tomó de manera aislada dicha prueba -en la que solo aparece la historia de los ingresos base de liquidación a partir del 13/06/1991- sin tener presente la documental que de manera completa da cuenta de los aportes realizados por el actor durante toda su vida laboral, como se advierte en la historia laboral obrante a folios 7 a 13 del cuaderno principal, en la que se encuentra que el actor ingresó nuevamente al sistema de seguridad social el 02/03/1990 hasta el 31/12/1991, fecha de retiro del mismo, por lo que se entiende que en dicho lapso se realizaron de manera ininterrumpida las cotizaciones correspondientes a dicho periodo; y en segundo lugar, en cuanto no advirtió que para esa misma anualidad se reportó como novedad el cambio de salario para el mes de diciembre en la suma de $70.260,oo.
Por lo expuesto anteriormente el cargo prospera, y en consecuencia se casará la sentencia recurrida.
Dadas las resultas de esta acusación la Sala queda relevada del estudio del primer cargo.
Sin costas en el recurso extraordinario de casación.
FALLO DE INSTANCIA
Pretende la parte demandante que se condene al ISS a reliquidar la pensión de vejez que le fue reconocida a partir del 4 de enero de 2003, mediante la resolución número 007752 del 16 de abril de 2004, teniendo en cuenta como ingreso base de liquidación el 81% de lo reportado en toda su vida laboral, y en consecuencia obtener el pago de: la diferencia resultante, el reconocimiento y pago de los reajustes de Ley de las sumas pensionales, las mesadas adicionales debidamente indexadas, los intereses moratorios consagrados en el artículo 141 de la Ley 100 de 1993 y costas procesales.
Al no haber sido materia de controversia en el proceso, se dan por ciertos los siguientes supuestos: que el actor nació el 4 de enero de 1943; es beneficiario del régimen de transición, toda vez que a la entrada en vigencia de la Ley 100 de 1993 -1° de abril de 1994- contaba con 51 años; el Instituto de Seguros Sociales reconoció a favor del señor BORDA CABRA una pensión de vejez a partir del 4 de enero de 2003, en cuantía de $589.595,oo, (Fls.1 a 3) en aplicación del artículo 12 del Acuerdo 049 de 1990 aprobado por el Decreto 0758 de ese año; que le faltaban menos de 10 años para adquirir el derecho pensional (8 años, 9 meses y 4 días).
El actor centra la controversia en la aplicación del artículo 36 de la Ley 100 de 1993, al solicitar la reliquidación del IBL de la primera mesada pensional que le reconoció el ISS, teniendo en cuenta lo cotizado durante toda su vida laboral.
Al punto esta Corporación asentó su criterio en un caso similar al del sub lite, en el fallo de instancia proferido dentro de sentencia CSJ SL725-2013, en los siguientes términos:
«En sede de instancia se ha de precisar que no se discute que a la entrada en vigencia del sistema general de pensiones -1° de abril de 1994-, al demandante le faltaban menos de 10 años para adquirir el derecho a la pensión de vejez, el cual estructuró el 1° de junio de 2002.
Dada esa situación fáctica, el ingreso base de liquidación en este caso se rige por el inciso 3° del artículo 36 de la Ley 100, que contempla dos posibilidades para el cálculo del ingreso base de liquidación de la pensión de vejez de quienes encontrándose en régimen de transición, a la entrada en vigencia del sistema les faltare menos de 10 años para adquirir el derecho, bien tomando el promedio de lo devengado en el tiempo que hiciere falta para adquirir el derecho, ora acudiendo al promedio de lo cotizado durante todo el tiempo si éste fuere superior.
Esta ha sido la hermenéutica impartida por la Sala respecto de la disposición en comento. En fallo datado 12 de febrero de 2004, radicación N° 20968, reiterado en el de 18 de mayo de ese año, radicación N° 22151, se asentó el criterio en los siguientes términos:
“Así se afirma porque la aludida norma (artículo 36 de la Ley 100 de 1993) fija el ingreso base de liquidación de la pensión de vejez para aquellas personas que, como el actor, están beneficiadas por el régimen de transición, y determina que éste, para quienes les faltaren menos de diez años para adquirir el derecho, será el promedio de lo devengado en el tiempo que les hiciere falta para ello, pero también permite que ese ingreso base sea el promedio de lo cotizado durante todo el tiempo, si este fuere superior, en ambos casos actualizado anualmente con base en la variación del índice de precios al consumidor, según certificación que expida el DANE”.»
De conformidad con el anterior criterio jurisprudencial, la Sala realizará el respectivo cálculo a fin de obtener el IBL, teniendo en cuenta lo cotizado en toda la historia laboral del actor, como lo solicitó en la demanda inicial y lo reiteró en el recurso de apelación.
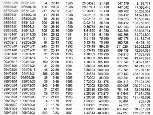
Analizadas las pruebas obrantes en el proceso encuentra la Sala a folios 7 a 13 que el actor realizó las siguientes cotizaciones en toda su vida laboral
| FECHAS | N° DE | N° DE | SALARIO | SALARIO | |
| DESDE | HASTA | DIAS | SEMANAS | DEVENGADO | INDEXADO |
| 01/01/1967 | 31/01/1967 | 31 | 4,43 | $1.290,00 | $678.788,08 |
| 01/02/1967 | 28/02/1967 | 28 | 4,00 | $1.290,00 | $ 678.788,08 |
| 02/09/1968 | 30/09/1968 | 29 | 4,14 | $2.430,00 | $1.278.647,31 |
| 01/10/1968 | 31/10/1968 | 31 | 4,43 | $2.430,00 | $1.278.647,31 |
| 01/11/1968 | 30/11/1968 | 30 | 4,29 | $2.430,00 | $1.278.647,31 |
| 01/12/1968 | 31/12/1968 | 31 | 4,43 | $ 2.430,00 | $1.278.647,31 |
| 01/01/1969 | 31/01/1969 | 31 | 4,43 | $ 2.430,00 | $1.187.315,36 |
| 01/02/1969 | 28/02/1969 | 28 | 4,00 | $ 2.430,00 | $1.187.315,36 |
| 01/03/1969 | 31/03/1969 | 31 | 4,43 | $ 2.430,00 | $1.187.315,36 |
| 01/04/1969 | 30/04/1969 | 30 | 4,29 | $2.430,00 | $1.187.315,36 |
| 01/05/1969 | 31/05/1969 | 31 | 4,43 | $ 2.430,00 | $1.187.315,36 |
| 01/06/1969 | 30/06/1969 | 30 | 4,29 | $ 2.430,00 | $1.187.315,36 |
| 01/07/1969 | 31/07/1969 | 31 | 4,43 | $ 2.430,00 | $ 1.187.315,36 |
| 01/08/1969 | 31/08/1969 | 31 | 4,43 | $2.430,00 | $1.187.315,36 |
| 01/09/1969 | 30/09/1969 | 30 | 4,29 | $2.430,00 | $1.187.315,36 |
| 01/10/1969 | 31/10/1969 | 31 | 4,43 | $ 2.430,00 | $1.187.315,36 |
| 01/11/1969 | 30/11/1969 | 30 | 4,29 | $ 2.430,00 | $ 1.187.315,36 |
| 01/12/1969 | 31/12/1969 | 31 | 4,43 | $ 2.430,00 | $1.187.315,36 |
| 01/01/1970 | 31/01/1970 | 31 | 4,43 | $3.300,00 | $1.456.364,52 |
| 01/02/1970 | 28/02/1970 | 28 | 4,00 | $3.300,00 | $ 1.456.364,52 |
| 01/03/1970 | 31/03/1970 | 31 | 4,43 | $3.300,00 | $ 1.456.364,52 |
| 01/04/1970 | 30/04/1970 | 30 | 4,29 | $3.300,00 | $1.456.364,52 |
| 01/05/1970 | 31/05/1970 | 31 | 4,43 | $3.300,00 | $1.456.364,52 |
| 01/06/1970 | 30/06/1970 | 30 | 4,29 | $3.300,00 | $ 1.456.364,52 |
| 01/07/1970 | 31/07/1970 | 31 | 4,43 | $3.300,00 | $1.456.364,52 |
| 01/08/1970 | 31/08/1970 | 31 | 4,43 | $3.300,00 | $1.456.364,52 |
| 01/09/1970 | 30/09/1970 | 30 | 4,29 | $3.300,00 | $1.456.364,52 |
| 01/10/1970 | 31/10/1970 | 31 | 4,43 | $ 3.300,00 | $1.456.364,52 |
| 01/11/1970 | 30/11/1970 | 30 | 4,29 | $ 3.300,00 | $ 1.456.364,52 |
| 01/12/1970 | 31/12/1970 | 31 | 4,43 | $ 3.300,00 | $ 1.456.364,52 |
| 01/01/1971 | 31/01/1971 | 31 | 4,43 | $ 3.300,00 | $1.368.100,00 |
| 01/02/1971 | 28/02/1971 | 28 | 4,00 | $ 3.300,00 | $ 1.368.100,00 |
| 01/03/1971 | 31/03/1971 | 31 | 4,43 | $3.300,00 | $1.368.100,00 |
| 01/04/1971 | 30/04/1971 | 30 | 4,29 | $3.300,00 | $ 1.368.100,00 |
| 01/05/1971 | 31/05/1971 | 31 | 4,43 | $ 3.300,00 | $1.368.100,00 |
| 01/06/1971 | 30/06/1971 | 30 | 4,29 | $ 3.300,00 | $1.368.100,00 |
| 01/07/1971 | 31/07/1971 | 31 | 4,43 | $ 3.300,00 | $1.368.100,00 |
| 01/08/1971 | 31/08/1971 | 31 | 4,43 | $ 3.300,00 | $1.368.100,00 |
| 01/09/1971 | 30/09/1971 | 30 | 4,29 | $4.410,00 | $1.828.279,09 |
| 01/10/1971 | 31/10/1971 | 31 | 4,43 | $4.410,00 | $1.828.279,09 |
| 01/11/1971 | 30/11/1971 | 30 | 4,29 | $4.410,00 | $1.828.279,09 |
| 01/12/1971 | 31/12/1971 | 31 | 4,43 | $4.410,00 | $1.828.279,09 |
| 01/01/1972 | 31/01/1972 | 31 | 4,43 | $4.410,00 | $1.630.627,30 |
| 01/02/1972 | 29/02/1972 | 29 | 4,14 | $4.410,00 | $ 1.630.627,30 |
| 01/03/1972 | 31/03/1972 | 31 | 4,43 | $4.410,00 | $1.630.627,30 |
| 01/04/1972 | 23/04/1972 | 23 | 3,29 | $4.410,00 | $1.630.627,30 |
| 06/11/1978 | 30/11/1978 | 25 | 3,57 | $11.850,00 | $ 1.266.561,33 |
| 01/12/1978 | 31/12/1978 | 31 | 4,43 | $11.850,00 | $ 1.266.561,33 |
| 01/01/1979 | 31/01/1979 | 31 | 4,43 | $11.850,00 | $1.066.577,96 |
| 01/02/1979 | 28/02/1979 | 28 | 4,00 | $14.610,00 | $1.314.996,12 |
| 01/03/1979 | 31/03/1979 | 31 | 4,43 | $14.610,00 | $1.314.996,12 |
| 01/04/1979 | 30/04/1979 | 30 | 4,29 | $14.610,00 | $1.314.996,12 |
| 01/05/1979 | 31/05/1979 | 31 | 4,43 | $14.610,00 | $1.314.996,12 |
| 01/06/1979 | 30/06/1979 | 30 | 4,29 | $14.610,00 | $1.314.996,12 |
| 01/07/1979 | 31/07/1979 | 31 | 4,43 | $14.610,00 | $1.314.996,12 |
| 01/08/1979 | 31/08/1979 | 31 | 4,43 | $14.610,00 | $1.314.996,12 |
| 01/09/1979 | 30/09/1979 | 30 | 4,29 | $14.610,00 | $1.314.996,12 |
| 01/10/1979 | 31/10/1979 | 31 | 4,43 | $14.610,00 | $1.314.996,12 |
| 01/11/1979 | 30/11/1979 | 30 | 4,29 | $17.790,00 | $1.601.217,04 |
| 01/12/1979 | 31/12/1979 | 31 | 4,43 | $17.790,00 | $1.601.217,04 |
| 01/01/1980 | 31/01/1980 | 31 | 4,43 | $17.790,00 | $1.241.760,15 |
| 01/02/1980 | 29/02/1980 | 29 | 4,14 | $17.790,00 | $1.241.760,15 |
| 01/03/1980 | 31/03/1980 | 31 | 4,43 | $21.420,00 | $1.495.137,86 |
| 01/04/1980 | 30/04/1980 | 30 | 4,29 | $21.420,00 | $1.495.137,86 |
| 01/05/1980 | 31/05/1980 | 31 | 4,43 | $21.420,00 | $1.495.137,86 |
| 01/06/1980 | 30/06/1980 | 30 | 4,29 | $21.420,00 | $1.495.137,86 |
| 01/07/1980 | 31/07/1980 | 31 | 4,43 | $ 30.150,00 | $2.104.500,77 |
| 01/08/1980 | 31/08/1980 | 31 | 4,43 | $ 30.150,00 | $2.104.500,77 |
| 01/09/1980 | 30/09/1980 | 30 | 4,29 | $ 30.150,00 | $2.104.500,77 |
| 01/10/1980 | 31/10/1980 | 31 | 4,43 | $ 30.150,00 | $2.104.500,77 |
| 01/11/1980 | 30/11/1980 | 30 | 4,29 | $ 30.150,00 | $2.104.500,77 |
| 01/12/1980 | 31/12/1980 | 31 | 4,43 | $ 30.150,00 | $2.104.500,77 |
| 01/01/1981 | 31/01/1981 | 31 | 4,43 | $ 30.150,00 | $1.669.968,22 |
| 01/02/1981 | 28/02/1981 | 28 | 4,00 | $41.040,00 | $2.273.150,77 |
| 01/03/1981 | 31/03/1981 | 31 | 4,43 | $41.040,00 | $2.273.150,77 |
| 01/04/1981 | 30/04/1981 | 30 | 4,29 | $41.040,00 | $2.273.150,77 |
| 01/05/1981 | 31/05/1981 | 31 | 4,43 | $41.040,00 | $2.273.150,77 |
| 01/06/1981 | 30/06/1981 | 30 | 4,29 | $41.040,00 | $2.273.150,77 |
| 01/07/1981 | 31/07/1981 | 31 | 4,43 | $41.040,00 | $2.273.150,77 |
| 01/08/1981 | 31/08/1981 | 31 | 4,43 | $41.040,00 | $2.273.150,77 |
| 01/09/1981 | 30/09/1981 | 30 | 4,29 | $41.040,00 | $2.273.150,77 |
| 01/10/1981 | 31/10/1981 | 31 | 4,43 | $41.040,00 | $2.273.150,77 |
| 01/11/1981 | 30/11/1981 | 30 | 4,29 | $41.040,00 | $2.273.150,77 |
| 01/12/1981 | 31/12/1981 | 31 | 4,43 | $41.040,00 | $2.273.150,77 |
| 01/01/1982 | 31/01/1982 | 31 | 4,43 | $41.040,00 | $1.799.577,69 |
| 01/02/1982 | 28/02/1982 | 28 | 4,00 | $41.040,00 | $1.799.577,69 |
| 01/03/1982 | 31/03/1982 | 31 | 4,43 | $41.040,00 | $1.799.577,69 |
| 01/04/1982 | 30/04/1982 | 30 | 4,29 | $5.790,00 | $253.887,79 |
| 01/05/1982 | 31/05/1982 | 31 | 4,43 | $ 47.370,00 | $2.077.144,13 |
| 01/06/1982 | 30/06/1982 | 30 | 4,29 | $ 47.370,00 | $2.077.144,13 |
| 01/07/1982 | 08/07/1982 | 8 | 1,14 | $ 47.370,00 | $2.077.144,13 |
| 15/11/1982 | 30/11/1982 | 16 | 2,29 | $14.610,00 | $640.639,13 |
| 01/12/1982 | 31/12/1982 | 31 | 4,43 | $14.610,00 | $640.639,13 |
| 01/01/1983 | 31/01/1983 | 31 | 4,43 | $14.610,00 | $516.484,26 |
| 16/05/1983 | 31/05/1983 | 16 | 2,29 | $54.630,00 | $1.931.248,14 |
| 01/06/1983 | 30/06/1983 | 30 | 4,29 | $54.630,00 | $1.931.248,14 |
| 01/07/1983 | 31/07/1983 | 31 | 4,43 | $54.630,00 | $1.931.248,14 |
| 01/08/1983 | 31/08/1983 | 31 | 4,43 | $54.630,00 | $1.931.248,14 |
| 11/04/1984 | 30/04/1984 | 20 | 2,86 | $47.370,00 | $1.436.960,02 |
| 01/05/1984 | 22/05/1984 | 22 | 3,14 | $47.370,00 | $1.436.960,02 |
| 16/07/1984 | 31/07/1984 | 16 | 2,29 | $47.370,00 | $1.436.960,02 |
| 01/08/1984 | 31/08/1984 | 31 | 4,43 | $47.370,00 | $1.436.960,02 |
| 01/09/1984 | 30/09/1984 | 30 | 4,29 | $47.370,00 | $1.436.960,02 |
| 01/10/1984 | 31/10/1984 | 31 | 4,43 | $47.370,00 | $1.436.960,02 |
| 01/11/1984 | 30/11/1984 | 30 | 4,29 | $47.370,00 | $1.436.960,02 |
| 01/12/1984 | 31/12/1984 | 31 | 4,43 | $47.370,00 | $1.436.960,02 |
| 01/01/1985 | 31/01/1985 | 31 | 4,43 | $47.370,00 | $1.213.612,30 |
| 01/02/1985 | 28/02/1985 | 28 | 4,00 | $47.370,00 | $1.213.612,30 |
| 01/03/1985 | 31/03/1985 | 31 | 4,43 | $47.370,00 | $1.213.612,30 |
| 01/04/1985 | 30/04/1985 | 30 | 4,29 | $47.370,00 | $1.213.612,30 |
| 01/05/1985 | 31/05/1985 | 31 | 4,43 | $47.370,00 | $1.213.612,30 |
| 01/06/1985 | 30/06/1985 | 30 | 4,29 | $47.370,00 | $1.213.612,30 |
| 01/07/1985 | 31/07/1985 | 31 | 4,43 | $47.370,00 | $1.213.612,30 |
| 01/08/1985 | 31/08/1985 | 31 | 4,43 | $47.370,00 | $1.213.612,30 |
| 01/09/1985 | 30/09/1985 | 30 | 4,29 | $47.370,00 | $1.213.612,30 |
| 01/10/1985 | 31/10/1985 | 31 | 4,43 | $47.370,00 | $1.213.612,30 |
| 01/11/1985 | 30/11/1985 | 30 | 4,29 | $47.370,00 | $1.213.612,30 |
| 01/12/1985 | 27/12/1985 | 27 | 3,86 | $47.370,00 | $1.213.612,30 |
| 01/01/1986 | 31/01/1986 | 31 | 4,43 | $ 21.420,00 | $448.084,13 |
| 01/02/1986 | 28/02/1986 | 28 | 4,00 | $ 21.420,00 | $448.084,13 |
| 01/03/1986 | 31/03/1986 | 31 | 4,43 | $ 21.420,00 | $448.084,13 |
| 01/04/1986 | 16/04/1986 | 16 | 2,29 | $ 21.420,00 | $448.084,13 |
| 29/05/1987 | 31/05/1987 | 3 | 0,43 | $ 21.420,00 | $370.476,64 |
| 01/06/1987 | 30/06/1987 | 30 | 4,29 | $ 21.420,00 | $370.476,64 |
| 01/07/1987 | 31/07/1987 | 31 | 4,43 | $ 21.420,00 | $370.476,64 |
| 01/08/1987 | 31/08/1987 | 31 | 4,43 | $ 21.420,00 | $370.476,64 |
| 01/09/1987 | 30/09/1987 | 30 | 4,29 | $ 21.420,00 | $370.476,64 |
| 01/10/1987 | 31/10/1987 | 31 | 4,43 | $ 21.420,00 | $370.476,64 |
| 01/11/1987 | 30/11/1987 | 30 | 4,29 | $ 21.420,00 | $370.476,64 |
| 01/12/1987 | 31/12/1987 | 31 | 4,43 | $ 21.420,00 | $370.476,64 |
| 01/01/1988 | 31/01/1988 | 31 | 4,43 | $25.530,00 | $356.040,70 |
| 11/02/1988 | 29/02/1988 | 19 | 2,71 | $25.530,00 | $356.040,70 |
| 01/03/1988 | 31/03/1988 | 31 | 4,43 | $25.530,00 | $356.040,70 |
| 01/04/1988 | 30/04/1988 | 30 | 4,29 | $25.530,00 | $356.040,70 |
| 01/05/1988 | 31/05/1988 | 31 | 4,43 | $25.530,00 | $356.040,70 |
| 01/06/1988 | 30/06/1988 | 30 | 4,29 | $25.530,00 | $356.040,70 |
| 01/07/1988 | 31/07/1988 | 31 | 4,43 | $25.530,00 | $356.040,70 |
| 01/08/1988 | 31/08/1988 | 31 | 4,43 | $25.530,00 | $356.040,70 |
| 01/09/1988 | 30/09/1988 | 30 | 4,29 | $25.530,00 | $356.040,70 |
| 01/10/1988 | 31/10/1988 | 31 | 4,43 | $25.530,00 | $356.040,70 |
| 01/11/1988 | 30/11/1988 | 30 | 4,29 | $25.530,00 | $356.040,70 |
| 01/12/1988 | 31/12/1988 | 31 | 4,43 | $25.530,00 | $356.040,70 |
| 01/01/1989 | 31/01/1989 | 31 | 4,43 | $39.310,00 | $427.504,06 |
| 01/02/1989 | 28/02/1989 | 28 | 4,00 | $39.310,00 | $427.504,06 |
| 01/03/1989 | 31/03/1989 | 31 | 4,43 | $39.310,00 | $427.504,06 |
| 02/03/1990 | 31/03/1990 | 30 | 4,29 | $61.950,00 | $534.387,11 |
| 01/04/1990 | 30/04/1990 | 30 | 4,29 | $61.950,00 | $534.387,11 |
| 01/05/1990 | 31/05/1990 | 31 | 4,43 | $61.950,00 | $534.387,11 |
| 01/06/1990 | 30/06/1990 | 30 | 4,29 | $61.950,00 | $534.387,11 |
| 01/07/1990 | 31/07/1990 | 31 | 4,43 | $61.950,00 | $534.387,11 |
| 01/08/1990 | 31/08/1990 | 31 | 4,43 | $61.950,00 | $534.387,11 |
| 01/09/1990 | 30/09/1990 | 30 | 4,29 | $61.950,00 | $534.387,11 |
| 01/10/1990 | 31/10/1990 | 31 | 4,43 | $61.950,00 | $534.387,11 |
| 01/11/1990 | 30/11/1990 | 30 | 4,29 | $61.950,00 | $534.387,11 |
| 01/12/1990 | 31/12/1990 | 31 | 4,43 | $61.950,00 | $534.387,11 |
| 01/01/1991 | 31/01/1991 | 31 | 4,43 | $61.950,00 | $403.589,50 |
| 01/02/1991 | 28/02/1991 | 28 | 4,00 | $61.950,00 | $403.589,50 |
| 01/03/1991 | 31/03/1991 | 31 | 4,43 | $61.950,00 | $403.589,50 |
| 01/04/1991 | 30/04/1991 | 30 | 4,29 | $61.950,00 | $403.589,50 |
| 01/05/1991 | 31/05/1991 | 31 | 4,43 | $61.950,00 | $403.589,50 |
| 01/06/1991 | 30/06/1991 | 30 | 4,29 | $61.950,00 | $403.589,50 |
| 01/07/1991 | 31/07/1991 | 31 | 4,43 | $61.950,00 | $403.589,50 |
| 01/08/1991 | 29/08/1991 | 29 | 4,14 | $61.950,00 | $403.589,50 |
| 01/09/1991 | 30/09/1991 | 30 | 4,29 | $61.950,00 | $403.589,50 |
| 01/10/1991 | 31/10/1991 | 31 | 4,43 | $ 61.950,00 | $403.589,50 |
| 01/11/1991 | 30/11/1991 | 30 | 4,29 | $61.950,00 | $403.589,50 |
| 01/12/1991 | 31/12/1991 | 31 | 4,43 | $ 70.260,00 | $457.727,17 |
| 01/01/1992 | 31/01/1992 | $ - | $ - | ||
| 12/02/1992 | 29/02/1992 | 18 | 2,57 | $ 70.260,00 | $ 360.956,46 |
| 01/03/1992 | 31/03/1992 | 31 | 4,43 | $ 99.630,00 | $511.843,05 |
| 01/04/1992 | 30/04/1992 | 30 | 4,29 | $99.630,00 | $ 511.843,05 |
| 01/05/1992 | 31/05/1992 | 31 | 4,43 | $99.630,00 | $511.843,05 |
| 01/06/1992 | 30/06/1992 | 30 | 4,29 | $99.630,00 | $511.843,05 |
| 01/07/1992 | 31/07/1992 | 31 | 4,43 | $99.630,00 | $ 511.843,05 |
| 01/08/1992 | 31/08/1992 | 31 | 4,43 | $ 99.630,00 | $511.843,05 |
| 01/09/1992 | 30/09/1992 | 30 | 4,29 | $99.630,00 | $511.843,05 |
| 01/10/1992 | 31/10/1992 | 31 | 4,43 | $99.630,00 | $511.843,05 |
| 01/11/1992 | 30/11/1992 | 30 | 4,29 | $136.290,00 | $700.181,56 |
| 01/12/1992 | 31/12/1992 | 31 | 4,43 | $ 136.290,00 | $700.181,56 |
| 01/01/1993 | 31/01/1993 | 31 | 4,43 | $ 136.290,00 | $ 559.430,99 |
| 01/02/1993 | 28/02/1993 | 28 | 4,00 | $ 165.180,00 | $678.016,08 |
| 01/03/1993 | 31/03/1993 | 31 | 4,43 | $ 165.180,00 | $ 678.016,08 |
| 01/04/1993 | 14/04/1993 | 14 | 2,00 | $165.180,00 | $678.016,08 |
| 01/05/1993 | 31/05/1993 | $ - | $ - | ||
| 16/06/1993 | 30/06/1993 | 15 | 2,14 | $165.180,00 | $678.016,08 |
| 01/07/1993 | 31/07/1993 | 31 | 4,43 | $165.180,00 | $678.016,08 |
| 01/08/1993 | 31/08/1993 | 31 | 4,43 | $165.180,00 | $678.016,08 |
| 01/09/1993 | 30/09/1993 | 30 | 4,29 | $165.180,00 | $678.016,08 |
| 01/10/1993 | 31/10/1993 | 31 | 4,43 | $165.180,00 | $678.016,08 |
| 01/11/1993 | 30/11/1993 | 30 | 4,29 | $165.180,00 | $678.016,08 |
| 01/12/1993 | 31/12/1993 | 31 | 4,43 | $165.180,00 | $678.016,08 |
| 01/01/1994 | 31/01/1994 | 31 | 4,43 | $165.180,00 | $553.065,98 |
| 01/02/1994 | 28/02/1994 | 28 | 4,00 | $200.000,00 | $669.652,47 |
| 01/03/1994 | 18/03/1994 | 18 | 2,57 | $ 200.000,00 | $669.652,47 |
| 08/04/1994 | 30/04/1994 | 23 | 3,29 | $260.000,00 | $870.548,21 |
| 01/05/1994 | 31/05/1994 | 31 | 4,43 | $260.000,00 | $870.548,21 |
| 01/06/1994 | 30/06/1994 | 30 | 4,29 | $260.000,00 | $870.548,21 |
| 01/07/1994 | 31/07/1994 | 31 | 4,43 | $260.000,00 | $870.548,21 |
| 01/08/1994 | 31/08/1994 | 31 | 4,43 | $260.000,00 | $870.548,21 |
| 01/09/1994 | 30/09/1994 | 30 | 4,29 | $260.000,00 | $870.548,21 |
| 01/10/1994 | 31/10/1994 | 31 | 4,43 | $260.000,00 | $870.548,21 |
| 01/11/1994 | 30/11/1994 | 30 | 4,29 | $260.000,00 | $870.548,21 |
| 01/12/1994 | 31/12/1994 | 31 | 4,43 | $260.000,00 | $870.548,21 |
| 23/01/1995 | 31/01/1995 | 9 | 1,29 | $88.000,00 | $240.304,99 |
| 01/02/1995 | 28/02/1995 | 28 | 4,00 | $330.000,00 | $901.143,71 |
| 01/03/1995 | 31/03/1995 | $ - | $ - | ||
| 01/04/1995 | 30/04/1995 | 30 | 4,29 | $331.175,00 | $904.352,33 |
| 01/05/1995 | 31/05/1995 | 31 | 4,43 | $330.000,00 | $901.143,71 |
| 01/06/1995 | 30/06/1995 | 30 | 4,29 | $330.000,00 | $901.143,71 |
| 01/07/1995 | 31/07/1995 | 31 | 4,43 | $330.000,00 | $901.143,71 |
| 01/08/1995 | 31/08/1995 | 31 | 4,43 | $330.000,00 | $901.143,71 |
| 01/09/1995 | 30/09/1995 | 30 | 4,29 | $330.000,00 | $901.143,71 |
| 01/10/1995 | 31/10/1995 | 31 | 4,43 | $330.000,00 | $901.143,71 |
| 01/11/1995 | 30/11/1995 | 30 | 4,29 | $330.000,00 | $901.143,71 |
| 01/12/1995 | 31/12/1995 | 31 | 4,43 | $330.000,00 | $901.143,71 |
| 01/01/1996 | 31/01/1996 | 31 | 4,43 | $330.000,00 | $754.340,85 |
| 01/02/1996 | 29/02/1996 | 29 | 4,14 | $270.270,00 | $617.805,16 |
| 01/03/1996 | 31/03/1996 | 31 | 4,43 | $386.100,00 | $882.578,80 |
| 01/04/1996 | 30/04/1996 | 30 | 4,29 | $386.100,00 | $882.578,80 |
| 01/05/1996 | 31/05/1996 | 31 | 4,43 | $386.100,00 | $882.578,80 |
| 01/06/1996 | 30/06/1996 | 30 | 4,29 | $386.100,00 | $882.578,80 |
| 01/07/1996 | 31/07/1996 | 31 | 4,43 | $386.100,00 | $882.578,80 |
| 01/08/1996 | 31/08/1996 | 31 | 4,43 | $386.100,00 | $882.578,80 |
| 01/09/1996 | 30/09/1996 | 30 | 4,29 | $386.100,00 | $882.578,80 |
| 01/10/1996 | 03/10/1996 | 3 | 0,43 | $38.610,00 | $88.257,88 |
| 27/05/1998 | 31/05/1998 | 5 | 0,71 | $40.000,00 | $63.870,21 |
| 29/10/1998 | 31/10/1998 | 3 | 0,43 | $26.666,00 | $42.579,08 |
| 01/11/1998 | 30/11/1998 | 30 | 4,29 | $400.000,00 | $638.702,15 |
| 01/12/1998 | 31/12/1998 | 31 | 4,43 | $400.000,00 | $638.702,15 |
| 01/01/1999 | 31/01/1999 | 31 | 4,43 | $400.000,00 | $547.240,00 |
| 01/02/1999 | 28/02/1999 | 28 | 4,00 | $400.000,00 | $547.240,00 |
| 01/03/1999 | 31/03/1999 | 31 | 4,43 | $400.000,00 | $547.240,00 |
| 01/04/1999 | 30/04/1999 | 30 | 4,29 | $400.000,00 | $547.240,00 |
| 01/05/1999 | 31/05/1999 | 31 | 4,43 | $400.000,00 | $547.240,00 |
| 01/06/1999 | 30/06/1999 | 30 | 4,29 | $400.000,00 | $547.240,00 |
| 01/07/1999 | 31/07/1999 | 31 | 4,43 | $400.000,00 | $547.240,00 |
| 01/08/1999 | 31/08/1999 | 31 | 4,43 | $400.000,00 | $547.240,00 |
| 01/09/1999 | 30/09/1999 | 30 | 4,29 | $236.460,00 | $323.500,93 |
| 01/10/1999 | 31/10/1999 | 31 | 4,43 | $400.000,00 | $547.240,00 |
| 01/11/1999 | 30/11/1999 | 30 | 4,29 | $400.000,00 | $547.240,00 |
| 01/12/1999 | 31/12/1999 | 31 | 4,43 | $400.000,00 | $547.240,00 |
| 01/01/2000 | 31/01/2000 | 31 | 4,43 | $400.000,00 | $500.997,89 |
| 01/02/2000 | 29/02/2000 | 29 | 4,14 | $400.000,00 | $500.997,89 |
| 01/03/2000 | 31/03/2000 | 31 | 4,43 | $400.000,00 | $500.997,89 |
| 01/04/2000 | 30/04/2000 | 30 | 4,29 | $400.000,00 | $500.997,89 |
| 01/05/2000 | 31/05/2000 | 31 | 4,43 | $400.000,00 | $500.997,89 |
| 01/06/2000 | 30/06/2000 | 30 | 4,29 | $500.000,00 | $626.247,37 |
| 01/07/2000 | 31/07/2000 | 31 | 4,43 | $500.000,00 | $626.247,37 |
| 01/08/2000 | 31/08/2000 | 31 | 4,43 | $500.000,00 | $626.247,37 |
| 01/09/2000 | 30/09/2000 | 30 | 4,29 | $500.000,00 | $626.247,37 |
| 01/10/2000 | 31/10/2000 | 31 | 4,43 | $500.000,00 | $626.247,37 |
| 01/11/2000 | 30/11/2000 | 30 | 4,29 | $500.000,00 | $626.247,37 |
| 01/12/2000 | 31/12/2000 | 31 | 4,43 | $500.000,00 | $626.247,37 |
| 01/01/2001 | 31/01/2001 | 31 | 4,43 | $500.000,00 | $575.848,14 |
| 01/02/2001 | 28/02/2001 | 28 | 4,00 | $500.000,00 | $575.848,14 |
| 01/03/2001 | 31/03/2001 | 31 | 4,43 | $700.000,00 | $806.187,39 |
| 01/04/2001 | 30/04/2001 | 30 | 4,29 | $700.000,00 | $806.187,39 |
| 01/05/2001 | 31/05/2001 | 31 | 4,43 | $700.000,00 | $806.187,39 |
| 01/06/2001 | 30/06/2001 | 30 | 4,29 | $700.000,00 | $806.187,39 |
| 01/07/2001 | 31/07/2001 | 31 | 4,43 | $700.000,00 | $806.187,39 |
| 01/08/2001 | 31/08/2001 | 31 | 4,43 | $700.000,00 | $806.187,39 |
| 01/09/2001 | 30/09/2001 | 30 | 4,29 | $700.000,00 | $806.187,39 |
| 01/10/2001 | 31/10/2001 | 31 | 4,43 | $700.000,00 | $806.187,39 |
| 01/11/2001 | 30/11/2001 | 30 | 4,29 | $700.000,00 | $806.187,39 |
| 01/12/2001 | 31/12/2001 | 31 | 4,43 | $700.000,00 | $806.187,39 |
| 01/01/2002 | 31/01/2002 | 31 | 4,43 | $1.000.000,00 | $1.069.914,76 |
| 01/02/2002 | 28/02/2002 | 28 | 4,00 | $1.000.000,00 | $1.069.914,76 |
| 01/03/2002 | 31/03/2002 | 31 | 4,43 | $1.000.000,00 | $1.069.914,76 |
| 01/04/2002 | 30/04/2002 | 30 | 4,29 | $1.000.000,00 | $1.069.914,76 |
| 01/05/2002 | 31/05/2002 | 31 | 4,43 | $1.000.000,00 | $1.069.914,76 |
| 01/06/2002 | 30/06/2002 | 30 | 4,29 | $1.000.000,00 | $1.069.914,76 |
| 01/07/2002 | 31/07/2002 | 31 | 4,43 | $1.000.000,00 | $1.069.914,76 |
| 01/08/2002 | 31/08/2002 | 31 | 4,43 | $1.000.000,00 | $1.069.914,76 |
| 01/09/2002 | 30/09/2002 | 30 | 4,29 | $1.000.000,00 | $1.069.914,76 |
| 01/10/2002 | 31/10/2002 | 31 | 4,43 | $1.000.000,00 | $1.069.914,76 |
| 01/11/2002 | 30/11/2002 | 30 | 4,29 | $1.000.000,00 | $1.069.914,76 |
| 01/12/2002 | 31/12/2002 | 31 | 4,43 | $1.000.000,00 | $1.069.914,76 |
| 8.020 | 1.146 | ||||
| INGRESO BASE DE LIQUIDACIÓN CON LA HISTORIA LABORAL DE TODA LA VIDA | |||||
| I.B.L. | = | $1.011.379,15 | |||
| FECHA DE PENSION | = | 04/01/2003 | |||
| NUMERO DE SEMANAS | = | 1.146 | |||
| PORCENTAJE | = | 81% | |||
| VR. PENSION | = | $ 819.217,11 | |||

De conformidad con los anteriores cuadros, al actor le correspondía percibir -a la luz del artículo 12 del Acuerdo 049 de 1990 aprobado por el Decreto 0758 de ese año, en armonía con el artículo 36 de la Ley 100 de 1993- a partir del 4 de enero de 2003, como mesada pensional la suma de $ 819.217,11; en consecuencia, se ordenará el pago de las diferencias pensionales causadas entre el 4 de enero de 2003 hasta el 31 de enero de 2014, en la suma de $46'299.817,90; a partir del 1 de enero de 2014, el valor de la mesada pensional del actor será fijada en la suma de $ 1'307.864,31.
Pretende el actor el reconocimiento y pago de los intereses moratorios consagrados en el artículo 141 de la Ley 100 de 1993.
Esta Corporación ha sentado su posición frente al reconocimiento de los intereses moratorios, en el sentido de que no se causan sobre reajustes, entre los múltiples pronunciamientos, se expuso en sentencia CSJ SL725-2013, Rad.42835:
«En cuanto a la súplica de los intereses del artículo 141 de la Ley 100 de 1993, ha enseñado esta Sala de manera reiterada que en los eventos de diferencias pensionales derivadas de reajustes, o de reliquidaciones, no hay lugar a dichos intereses moratorios.
En sentencia de 3 de septiembre de 2003, rad. 21027, entre otras, anotó textualmente:
'Además, ha sostenido esta Corporación que los intereses moratorios '...sólo proceden en el caso que haya mora en el pago de las mesadas pensionales, pero no cuando, como en este asunto ocurre, lo que se presenta es un reajuste a las mismas por reconocimiento judicial' (Rad. 13717 – 30 de junio de 2000), argumento este plenamente aplicable a este caso, pues la condena consistió en 'los reajustes pensionales causados por su liquidación equivocada, actualizados anualmente a partir del 1º de enero de 1998, atendiendo el I.P.C. certificado por el DANE para el año inmediatamente anterior'”.
Como en el sub lite no se está en presencia de mora en el pago de mesadas, sino de diferencias derivadas de la reliquidación de la prestación, la preceptiva del artículo 141 de la Ley 100 de 1993 no resulta aplicable.'»
De conformidad con la anterior jurisprudencia, no procede en el sub lite en el reconocimiento y pago de intereses moratorios consagrados en el artículo 141 de la Ley 100 de 1993 sobre reajustes pensionales.
Solicita la parte demandante el pago de las diferencias pensionales debidamente indexadas, al punto se debe indicar que esta Corporación ya fijó su posición frente a la procedibilidad de la indexación de la condena, cuando esta haya sido solicitada por la parte interesada en la demanda inicial, como efectivamente ocurrió (Fls. 19 cdno. ppal.). Así lo asentó la Sala al dictar el fallo de instancia, dentro de la sentencia CSJ SL, 30 ene 2013, Rad.43.829, cuando en lo pertinente expuso:
“En atención a que se desató de manera desfavorable la súplica elevada por indemnización moratoria, y teniendo en cuenta que en la demanda se impetró la indexación de las sumas adeudadas (fl. 5), se accederá a lo pedido desde el momento de la exigibilidad del derecho al pago compensado de vacaciones y prima de vacaciones, con base en el IPC, como hecho de conocimiento público y notorio, al tenor de lo establecido en la Ley 794 de 2003, aplicable al procedimiento laboral por remisión analógica del artículo 145 del Código Procesal del Trabajo y de la Seguridad Social.”
Por lo anterior, y de conformidad con el segundo cuadro, plasmado en este fallo de instancia, el valor de la indexación de las mesadas dejadas de cancelar, se fijará en la suma de $8'895.198.19; sin perjuicio de que tal actualización se prolongue hasta la fecha en que la entidad demandada pague al actor las diferencias pensionales adeudadas.
Así las cosas, la Corte en sede de instancia, revocará la sentencia proferida por el a quo el 29 de diciembre de 2006, para en su lugar, condenar al ISS en Liquidación, sustituido procesalmente por la Administradora Colombiana de Pensiones – Colpensiones a reliquidar al señor JORGE ARMANDO BORDA CABRA su pensión de vejez, por cuanto el valor de la primera mesada pensional que le correspondía es de $819.217,11, a partir del 4 de enero de 2003; como mesada pensional para el mes de enero de 2014 se fijará en cuantía de $1'307.864,31. En consecuencia se impondrá el pago de los siguientes rubros: $46'299.817,90 por concepto de retroactivo de las diferencias pensionales pensional, desde la fecha de reconocimiento hasta el 31 de enero de 2014; y la suma de $8'895.198,19 por concepto de indexación de las diferencias dejadas de cancelar.
Sin costas en el recurso extraordinario de casación. Las de las instancias estarán a cargo de la parte demandada.
En mérito de lo expuesto, la Corte Suprema de Justicia, Sala de Casación Laboral, administrando justicia en nombre de la República y por autoridad de la Ley, CASA la sentencia de veintiocho (28) de mayo de dos mil nueve (2009) proferida por el Tribunal Superior del Distrito Judicial de Bogotá, en Descongestión, en el proceso seguido por JORGE ARMANDO BORDA CABRA contra el INSTITUTO DE SEGUROS SOCIALES, en liquidación, sustituido procesalmente por la Administradora Colombiana de Pensiones – Colpensiones. En sede de instancia se revoca la sentencia proferida por el Juzgado Octavo Laboral de Descongestión, el 29 de diciembre de 2006, y en su lugar, se condena al ISS en Liquidación, sustituido procesalmente por la Administradora Colombiana de Pensiones - Colpensiones-, al reajuste de la pensión de vejez del demandante, siendo el valor de la primera mesada pensional $819.217,11 a partir del 4 de enero de 2003; como mesada pensional para el mes de enero de 2014 se fija en cuantía de $1'307.864,31. En consecuencia se impone el pago de los siguientes rubros: $46'299.817,90 por concepto de retroactivo de diferencias pensionales, desde la fecha de reconocimiento hasta el 31 de enero de 2014; y la suma de $8'895.198,19 por concepto de indexación de las diferencias dejadas de cancelar.
Se absuelve de las demás pretensiones.
Costas como se indicó en la parte motiva.
Cópiese, notifíquese, publíquese y devuélvase el expediente al Tribunal de origen.
RIGOBERTO ECHEVERRI BUENO
JORGE MAURICIO BURGOS RUIZ
ELSY DEL PILAR CUELLO CALDERÓN
CLARA CECILIA DUEÑAS QUEVEDO
GUSTAVO HERNANDO LÓPEZ ALGARRA
LUIS GABRIEL MIRANDA BUELVAS
CARLOS ERNESTO MOLINA MONSALVE
2
Las notas de vigencia, concordancias, notas del editor, forma de presentación y disposición de la compilación están protegidas por las normas sobre derecho de autor. En relación con estos valores jurídicos agregados, se encuentra prohibido por la normativa vigente su aprovechamiento en publicaciones similares y con fines comerciales, incluidas -pero no únicamente- la copia, adaptación, transformación, reproducción, utilización y divulgación masiva, así como todo otro uso prohibido expresamente por la normativa sobre derechos de autor, que sea contrario a la normativa sobre promoción de la competencia o que requiera autorización expresa y escrita de los autores y/o de los titulares de los derechos de autor. En caso de duda o solicitud de autorización puede comunicarse al teléfono 617-0729 en Bogotá, extensión 101. El ingreso a la página supone la aceptación sobre las normas de uso de la información aquí contenida.