Derechos de autor reservados - Prohibida su reproducción
República de Colombia
Corte Suprema de Justicia
CORTE SUPREMA DE JUSTICIA
SALA DE CASACIÓN LABORAL
JORGE MAURICIO BURGOS RUÍZ
MAGISTRADO PONENTE
SL 785-2013
Radicación No. 40517
Acta No 36
Bogotá, D.C., seis (06) de noviembre de dos mil trece (2013).
Resuelve la Corte el recurso de casación interpuesto por el apoderado de NIDIA ESPERANZA BETANCUR HENAO contra la sentencia de fecha 5 de marzo de 2009 proferida por la Sala Laboral del Tribunal Superior del Distrito Judicial de Bogotá, en el proceso ordinario laboral promovido por la recurrente contra la CAJA DE PREVISIÓN SOCIAL DE COMUNICACIONES, CAPRECOM.
I-. ANTECEDENTES
La actora mencionada demandó a la citada Caja para que se le reconozca la pensión especial de vejez por tener una hija en estado de invalidez, de acuerdo con el artículo 33 de la Ley 100 de 1993, modificado por el artículo 9º de la Ley 797 de 2003, a partir del 1º de febrero de 2006, liquidada con el 75% de todos los factores devengados en el último año de servicios.
Como fundamento de sus pretensiones, manifestó que laboró para la extinta empresa TELECOM desde el 15 de marzo de 1985 hasta el 31 de enero de 2006, fecha a partir de la cual le fue suprimido definitivamente el cargo, para un total de tiempo de servicio de 20 años, 10 meses y 17 días, como trabajadora oficial; que, inicialmente, había sido retirada por supresión del cargo, desde el 31 de enero de 2004, pero, a consecuencia de la sentencia C-388 DE 2005, fue reintegrada a su puesto de trabajo junto con el pago de sus derechos laborales, con la orden de permanecer hasta que se liquidara definitivamente la empresa, como medida de protección de los derechos fundamentales de los menores y de madre cabeza de familia. Por esta razón, su contrato se prolongó hasta el 31 de enero de 2006. Para la fecha de presentación de la demanda, su hija tenía 7 años de edad; y, de acuerdo con la valoración médica realizada por la Junta de Calificación Regional de Invalidez, se determinó que la menor presentaba una invalidez por contingencia común, con 56.10% de pérdida de la capacidad laboral, con fecha de estructuración 26 de julio de 1999.
De acuerdo con el tiempo de servicio, la parte actora sostiene que supera ampliamente las 1.100 semanas de cotización requeridas para efectos de la pensión de vejez; por tanto, dada la situación especial de su hija y por ser madre cabeza de familia sin alternativa económica, reclama el reconocimiento de la pensión con fundamento en el artículo 9º de la Ley 797 de 2003, en concordancia con la Ley 100 de 1993. Que después de su retiro, como persona natural, cotizó al ISS.
Añade que, el 13 de octubre de 2006, solicitó a CAPRECOM la pensión especial y esta entidad se la negó por no estar laborando a la fecha de la solicitud, toda vez que se había desvinculado desde el 1º de febrero de 2006. Las razones que tuvo la demandada para negar la pensión desconocen la sentencia C-227 de 2004 que reconoce la pensión sin consideración a la edad del menor, como también el mismo contenido de la norma, pues, en su criterio, los requisitos para tener derecho a esta pensión especial no son otros que tener un hijo que padezca invalidez física o mental debidamente calificada y contar con el mínimo de semanas de cotización, los cuales dice cumplir a cabalidad.
La demandada, en la contestación, se opuso a las pretensiones de la demanda. Alegó que, según el artículo 9º de la Ley 797 de 2003 que modificó el 33 de la Ley 100 de 1993, para obtener la pensión especial que reclama la actora se requiere que la madre haya cotizado el mínimo de semanas exigidas en el sistema general de pensiones para el régimen de prima media, tope que, al 2006, año de retiro de la actora, era de 1075 semanas, lo cual equivale a 20 años, 10 meses y 25 días; pero la actora no cumple este tiempo de servicios, en razón a que, conforme a la relación de tiempos de servicios, ella laboró 20 años, 10 meses y 12 días, al tomarse en cuenta una suspensión de 5 días; por tanto, considera claro que la actora no cumple con el requisito mínimo de cotización.
Añade que, para tener derecho a esta pensión, se debe demostrar que el hijo de la madre dependa de esta, cosa que, en su criterio, no se acredita; amén de que la reclamante no dice nada acerca del padre de la menor, quien legalmente también debe alimentos a la menor. Que, por otra parte, la norma hace un calificativo que ellos no pueden desconocer y es que se refiere a la madre como trabajadora, lo cual, a su juicio, consiste en una exigencia positiva al momento de acceder o solicitar la pensión, calificativo que, desafortunadamente, la actora no cumple en el momento de solicitar su pensión. Y que, por tanto, no es afiliada activa a esa administradora.
Opuso a las pretensiones de la demanda la inexistencia de la obligación y la declaratoria oficiosa de otras excepciones.
Mediante sentencia del 5 de diciembre de 2008, el Juzgado Primero Laboral de descongestión del Circuito de Risaralda declaró probada la excepción de inexistencia de la obligación por falta del derecho de la demandante, en consideración a que la reclamante no tenía la calidad de trabajadora y que no reunía las 1075 semanas de cotización exigidas en el numeral 2º del artículo 33 de la Ley 100 de 1993, para el año 2006.
II-. SENTENCIA DEL TRIBUNAL
Al desatar el recurso de apelación interpuesto por el apoderado de la demandante, el Tribunal Superior del Distrito Judicial de Pereira, en sentencia del 5 de marzo de 2009, confirmó el fallo del juzgado.
El ad quem, en primer lugar, trascribió el artículo 33 de la Ley 100 de 1993 modificado por el artículo 9º de la Ley 797 de 2003, e hizo la concordancia con las sentencias de constitucionalidad C-227 de 2004, en cuanto declaró inexequible la expresión “menor de 18 años”, y la C-989 de 2006, que declaró exequible condicionalmente el término “madre trabajadora” para hacer extensiva la pensión a los padres cabeza de familia.
A renglón seguido señaló que la norma es muy clara al referirse que dicho beneficio se concede a la madre o padre trabajador que tenga un hijo o hijos discapacitados y con el exclusivo fin de que abandone sus labores y se dedique al cuidado y rehabilitación de aquel, dándole la posibilidad de pensionarse anticipadamente, o sea, dejando al margen el factor edad, y teniendo en cuenta que dicha madre o padre hayan cumplido con la densidad de semanas que se exigen en el régimen de prima media para adquirir la pensión de vejez, amén de que se debe demostrar la invalidez del hijo y que este depende económicamente del progenitor que solicita la prestación.
Para reforzar su posición se apoya en el aparte de la sentencia C-294 de 2007 que, en su criterio, hace alusión a la condición de ser trabajador para tener derecho a la pensión de vejez anticipada, y en pasajes de las sentencias C-989 de 2006 y C-227 de 2004 donde se hace referencia a que la dependencia del hijo inválido, respecto del padre o la madre, es la de carácter económico.
Tras las mencionadas reflexiones, el ad quem concluyó que, como la demandante fue retirada del cargo desde el 31 de enero de 2006 y en el hecho 9º se dice que ella es madre cabeza de familia sin alternativa económica, coligió que la actora no se encontraba laborando en esos momentos; además, estimó que no se allegó prueba que demostrara la dependencia económica de su hija discapacitada para con ella, por lo que estimó obligatorio confirmar la sentencia de primera instancia.
III-. DEMANDA DE CASACIÓN
Con este recurso extraordinario, la censura pretende que esta Sala case totalmente la sentencia de segunda instancia en cuanto confirma la dictada por el Juzgado Primero Laboral de Descongestión de Pereira el 28 de noviembre de 2008 y, como consecuencia de ello, en sede de instancia y en reemplazo de la sentencia acusada, se revoque la sentencia de primer grado en cuanto absuelve a la demandada de las pretensiones de la demanda, para que, en su lugar, se ordene el reconocimiento y pago de la pensión de vejez a favor de la actora desde el 01 de febrero de 2006, en la cuantía que corresponda de acuerdo con el ingreso base de liquidación, incluidas las mesadas adicionales y los intereses de mora a que haya lugar.
Con el anterior propósito, presenta dos cargos que fueron objeto de réplica y se estudiarían conjuntamente por valerse de las mismas normas, perseguir la misma finalidad y sustentarse en argumentos complementarios.
PRIMER CARGO.
Acusa la sentencia por “Violación indirecta de la ley sustancial por error de hecho manifestado en la apreciación errónea de la prueba que condujo a la infracción directa de los artículos 48 y 53 de la Constitución Política; Artículo 33 de la Ley 100 de 1993 modificado y adicionado por el inciso 2 parágrafo 4° artículo 9 de la Ley 797 de 2003”.
Según la censura, el ad quem incurrió en los siguientes yerros fácticos:
Dar por demostrado, sin estarlo, que la señora Betancourt Henao no tenía la condición o status de madre trabajadora para la fecha en que el derecho a la pensión especial de vejez prevista en el artículo 33 de la Ley 100 de 1993 modificado y adicionado por el inciso 2 parágrafo 4° artículo 9 de la Ley 797 de 2003, pudo hacerse exigible.
No dar por demostrado, estándolo, que la pensión de vejez prevista en el artículo 33 de la Ley 100 de 1993 modificado y adicionado por el inciso 2 parágrafo 4° artículo 9 de la Ley 797 de 2003, pudo haberla exigido la actora y por ende reclamado desde el 29 de agosto de 2004, fecha en la cual acreditó los requisitos legales para el efecto, por ser madre cabeza de familia con hija discapacitada y haber acreditado el mínimo de semanas requeridas para la pensión de vejez.
No haber dado por demostrado, estándolo, que la actora, para el 31 de enero de 2006, fecha del retiro de TELECOM, contaba con el derecho adquirido a la pensión especial de vejez prevista en el artículo 33 de la Ley 100 de 1993 modificado y adicionado por el inciso 2 parágrafo 4° artículo 9 de la Ley 797 de 2003.
Para la censura, los yerros denunciados se presentaron por la indebida apreciación de las siguientes pruebas:
Dictamen emitido por la Junta Regional de Calificación de Invalidez de Risaralda el día 03 de abril de 2006 y que, igualmente, fuera presentado ante la entidad demandada en la reclamación administrativa. (Folios 51 a 53 de cuaderno No. 1)
Resolución No. 0092 del 12 de enero de 2007 expedida por CAPRECOM, en la cual esta entidad considera y acepta el hecho de la invalidez de la hija de la actora. (Folios 47 a 48 del cuaderno No. 1)
Certificado de tiempo de servicios de la actora expedido por el Patrimonio Autónomo de Remanente de Telecom.
Copia del decreto 1615 del 12 de junio de 2003, artículo 20 (Folios 12 a 26 del cuaderno No. 1)
Normas infringidas de manera indirecta:
Artículos 48 y 53 de la Constitución Política.
Artículo 33 de la Ley 100 de 1993 modificado y adicionado por el inciso 2 parágrafo 40 artículo 9 de la Ley 797 de 2003.
DEMOSTRACIÓN DEL CARGO:
Comienza con la trascripción del pasaje de la sentencia del ad quem, donde este señaló:
“Establecido lo anterior, tenemos que la norma es muy clara al referirse que dicho beneficio, se concede a la madre o padre trabajador, que tenga un hijo o hijos discapacitados y con el exclusivo fin de que abandone sus labores y se dedique al cuidado y rehabilitación de aquél, dándole la posibilidad de pensionarse anticipadamente, o sea, dejando al margen el factor edad y teniendo en cuenta que dicha madre o padre hayan cumplido con la densidad de semanas que se exigen en el Régimen de Prima Media para adquirir la pensión de vejez, amén de que debe demostrar la invalidez de su hijo y que depende económicamente del progenitor que solicita la prestación.
[…]
Visto lo anterior, y toda vez que la accionante fue retirada del cargo que ocupaba en la extinta “TELECOM” a partir del 31 de enero de 2006 y en el hecho noveno de la demanda se afirma que es “madre cabeza de familia sin alternativa económica” se colige que no se encuentra laborando en estos momentos, y que además, en parte alguna del infolio se adosó prueba que demuestre la dependencia económica de su hija discapacitada para con ella, se hace obligatorio confirmar integralmente la decisión de la primera instancia.” (Subrayas del texto original, y negrillas del recurrente)
Para el recurrente, con la sentencia censurada se violaron o vulneraron las disposiciones sustanciales citadas en atención a que “la falta de apreciación o la indebida apreciación” de las pruebas que se citaron en el literal 1.3., valga decir, del dictamen emitido por la Junta Regional de Calificación de Invalidez de Risaralda, de la resolución mediante la cual se niega la pensión a la demandada y del certificado de tiempo de servicios de la actora, impidieron que el ad quem estudiara y, por ende, se aplicara en debida forma el artículo 33 de la Ley 100 de 1993 modificado y adicionado por el inciso 2 parágrafo 4° artículo 9 de la Ley 797 de 2003, en relación con los artículos 48 y 53 de la Constitución Política.
Agrega que los documentos citados permiten deducir, con claridad, que el derecho a la pensión especial de vejez a favor de la actora no surgió solo a partir el 01 de febrero de 2006 sino mucho antes por lo siguiente:
En el dictamen emitido por la Junta Regional de Calificación de Invalidez de Risaralda, se determina que la hija menor de la actora, Tatiana, tiene una pérdida de capacidad laboral equivalente al 56.10% con fecha de estructuración 26 de julio de 1999, al habérsele diagnosticado de manera definitiva Síndrome de Dawn e hipotiroidismo leve, de acuerdo con la ponencia presentada. Con este dictamen y, desde luego, con el registro civil de nacimiento de la menor, se demuestra que la señora demandante tiene una hija en situación de discapacidad, es decir, que padece de invalidez física y mental desde el 26 de julio de 1999 y el estado de invalidez se halla debidamente calificado.
Sobre la dependencia económica de la menor, sostiene que esta se presume legalmente por ser menor de 18 años y además discapacitada, pero, además, pide tener en cuenta que este aspecto no fue objeto de controversia en vía administrativa, pues la entidad demandada negó el derecho con el argumento de “...que de acuerdo con lo anterior, se establece que la peticionaria no tiene derecho al reconocimiento de la pensión especial de vejez, toda vez que no llena los requisitos exigidos por la Ley y consignados en el aparte antes transcrito, puesto que a la fecha de la solicitud, no se encontraba laborando, toda vez que se desvinculó de TELECOM a partir del 01 de febrero de 2006”.
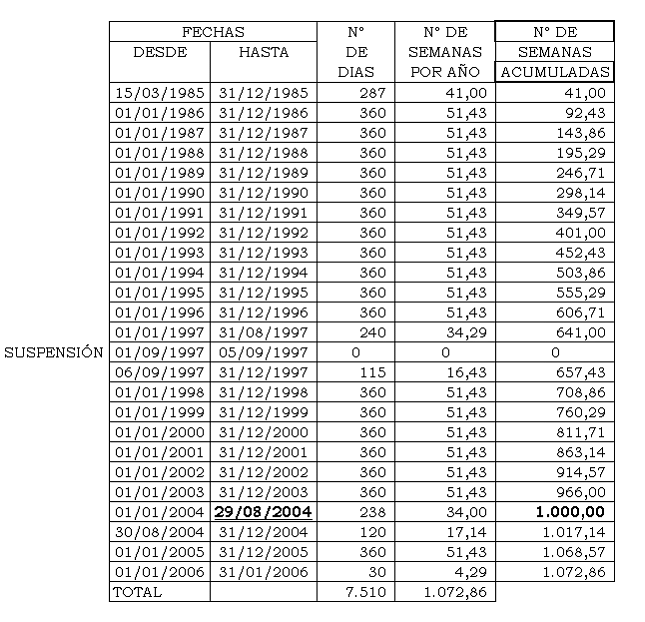
Para determinar el momento en que la actora acreditó el requisito de semanas cotizadas en el sistema, se remite al certificado de tiempo de servicios de la actora, donde aparece que ésta prestó sus servicios a TELECOM entre el 15 de marzo de 1985 y el 31 de enero de 2006, con una interrupción de cinco (5) días comprendidos entre el 1º de septiembre de 1997 y el 05 de septiembre de 1997; de donde deduce que la actora acredita 1000 semanas de cotizaciones para el 29 de agosto de 2004.
Afirma que, para el año 2004, el número de semanas mínimas requeridas por el sistema general de pensiones para la pensión de vejez, de conformidad con lo dispuesto en el artículo 33 de la Ley 100 de 1993 modificado por el artículo 9 de la Ley 797 de 2003, eran precisamente 1000 semanas; para el año 2005 eran 1050 semanas; y para el año 2006, 1075 semanas.
Como la fecha de estructuración de la invalidez de la menor Tatiana Londoño Betancurt es el 26 de julio de 1999, y la actora acredita las semanas mínimas para la pensión de vejez desde el 29 de agosto de 2004, debe decirse que desde esta fecha la actora tenía derecho a la pensión especial de vejez, derecho que si bien no había sido solicitado por ignorancia de la ley, ello no la priva de solicitarlo en cualquier tiempo y mientras subsistan las condiciones o causas que la originan.
La falta o indebida apreciación de las pruebas por parte del Tribunal, en opinión del recurrente, conllevaron a la violación de los artículos 48 y 53 de la Constitución Política y del artículo 33 de la Ley 100 de 1993 modificado y adicionado por el inciso 2, parágrafo 4° artículo 9 de la Ley 797 de 2003.
Estima que, siendo la seguridad social un derecho de carácter irrenunciable, no podría afirmarse que por el hecho de que la actora no hubiere solicitado su pensión especial de vejez cuando se hallaba laborando, esta circunstancia la prive de ese derecho que adquirió antes del 31 de enero de 2006, puesto que, desde esa data, ya había cumplido los requisitos para el efecto.
Agrega que, en relación con los principios establecidos en las normas constitucionales laborales, la Corte Constitucional de manera reiterativa ha señalado que siendo éstos de rango constitucional no son de libre disposición de las partes y deben respetarse, en cada caso concreto; para corroborar su dicho alude a varias sentencias de la Corte Constitucional.
Termina su argumento con la aseveración de que si el tribunal hubiera estudiado o apreciado debidamente el dictamen de la Junta Regional de Calificación de Invalidez de Risaralda y, más específicamente, la fecha de estructuración de la invalidez de la hija menor de la actora, además del certificado de tiempo de servicios de la misma, habría deducido de estos documentos que la pensión a favor de la demandante se había causado desde la fecha en que ésta tenía u ostentaba la condición de trabajadora, condición que echó de menos el tribunal y fue lo que, en últimas, motivó la negación del derecho y por ende la confirmación de la sentencia de primer grado.
SEGUNDO CARGO
Acusa la sentencia de violar directamente la ley sustancial en la modalidad de interpretación errónea.
Relaciona como normas sustanciales infringidas:
Constitución Política de Colombia, artículos 6, 53 y 228.
Artículo 33 de la Ley 100 de 1993 modificado y adicionado por el inciso 2, parágrafo 4º del artículo 9 de la Ley 797 de 2003.
Artículo 27 del C. C.
DEMOSTRACIÓN DEL CARGO
Le reprocha al tribunal haber interpretado que la pensión de vejez prevista en el inciso final del artículo 33 de la Ley 100 de 1993, modificado por la Ley 797 de 2003, artículo 9º, solo está prevista para la madre o padre trabajador que tenga un hijo o hijos inválidos, no para el que se haya retirado o esté cesante, interpretación que no solo califica de restrictiva y desfavorable sino además alejada de los postulados constitucionales y legales.
Luego de trascribir las consideraciones del tribunal al respecto, estima que si bien obedece al tenor literal, esa interpretación, en sentido lógico o racional, en atención a los destinatarios del mismo, como son los hijos discapacitados de las madres trabajadoras, no consulta los principios fundamentales de favorabilidad contenidos en la Constitución.
Asegura que, el legislador al prever la pensión especial de vejez para la madre trabajadora que, habiendo cumplido las semanas mínimas previstas para el régimen de prima media con prestación definida, tenga un hijo(a) que padezca de una invalidez física o mental debidamente comprobada, lo que buscó no solo fue proteger a la madre trabajadora sino al hijo discapacitado para que aquella se dedique a su cuidado y protección.
Agregó que es claro que lo que origina la pensión especial de vejez no es solo el hecho de tener un hijo(a) inválido, sino, además, contar con el mínimo de semanas necesarias para la misma prestación ordinaria, tal como lo había señalado anteriormente, de donde colige que quien debe reconocer y pagar la pensión no es el empleador de la trabajadora o empleada sino la entidad de previsión a la cual se halla afiliada.
Considera que el legislador ha entendido, entonces, que, para brindar la protección especial a la madre del hijo discapacitado y a éste mismo, cuando la progenitora ya ha cotizado el número de semanas necesario para la pensión, no es menester esperarse al cumplimiento de la edad mínima, pues la situación de su hijo le habilita la edad mientras subsistan las condiciones de discapacidad de éste o se reincorpore la madre a la fuerza laboral.
Que, por tanto, no se puede interpretar, como se hace en la sentencia acusada, que lo único que motiva la pensión anticipada es el hecho de que la trabajadora pueda desligarse o retirarse de su actividad laboral para dedicarse a su hijo, y que, si ésta se halla cesante, no tiene derecho, por la sencilla razón de que si la protección brindada por la ley es a la madre y su hijo, una madre que se halla cesante así esté en presencia de su hijo no tendría posibilidades de dedicarle el cuidado, la atención y la rehabilitación requerida en razón a que carecería de recursos económicos para brindarle una congrua subsistencia.
Asegura que, de acuerdo con la ley, el cuidado y protección del hijo en estado de discapacidad debe hacerse con recursos económicos, no con la mera presencia de la madre, por ello se erigió a favor de ésta la pensión de vejez especial; que, si la intención de legislador hubiera sido otorgar un simple descanso remunerado a la mujer trabajadora, posiblemente lo hubiera hecho con cargo a la nómina, no al sistema general de pensiones, y no habría exigido un mínimo de semanas cotizadas.
Considera que interpretar, como lo hace el tribunal, que solo la madre trabajadora, es decir aquella que cuenta con trabajo, tiene derecho a la pensión especial de vejez es permitir que aquella que ha quedado cesante luego de haber cotizado un considerable número de semanas y que además tiene la carga de su hijo inválido, tenga que padecer las nocivas consecuencias de no solo no recibir un salario por falta de trabajo, sino, además, la imposibilidad de brindarle a su hijo que se halla en estado de invalidez un bienestar, una congrua subsistencia, es decir que, además de desempleada, tenga que aguantar las consecuencias nocivas de no tener trabajo y de afrontar sin recursos el cuidado de su hijo que se halla en tal situación de discapacidad, lo que francamente no corresponde a una interpretación que incorpore los mínimos principios establecido por el constituyente en el artículo 53 de la Carta.
Sostiene que, en tratándose de la interpretación de normas de carácter laboral, el Constituyente se ocupó de este tema, cuando en el artículo 53 erigió como principios mínimos, entre otros, “situación más favorable al trabajador en caso de duda en la aplicación e interpretación de las fuentes formales de derecho” y “Primacía de la realidad sobre formalidades establecidas por los sujetos en las relaciones laborales”.
Dice que no es pues dable al intérprete y operador laboral restringir el sentido o alcance de normas de carácter laboral para deducir, en contra del destinatario de las mismas, una consecuencia adversa, porque, precisamente, hasta en la interpretación se han fijado reglas para el efecto, tal como lo previó el inciso 2, artículo 27 del Código Civil.
Añade que lo anterior demuestra que el tribunal interpreta de manera restrictiva la norma que consagra la pensión de vejez especial sin detenerse a estudiar que la pensión fue concebida para madre del hijo inválido, pero, de manera especial, para la protección de éste y, por ende, viola el artículo 53 de la Constitución Política de Colombia, además del inciso final artículo 33 de la Ley 100 de 1993 modificado por el artículo 9 de la Ley 797 de 2003.
RÉPLICA:
El antagonista del recurso está de acuerdo con la interpretación que hizo el ad quem del artículo 9º de la Ley 797 de 2003, en cuanto a que, para la aplicación de esta norma, se requiere que la madre o padre tengan la calidad de trabajador, puesto que si no la tienen, estarían en condiciones de dedicarse al cuidado de su hijo discapacitado. Amén de que la norma clara y expresamente exige esa condición. Que no se deben tener en cuenta las cotizaciones requeridas para el momento de la acreditación de la invalidez, sino las exigidas a la fecha del cumplimiento de los requisitos del citado artículo 9º de la Ley 797.
CONSIDERACIONES:
Le corresponde establecer a la Sala, en primer lugar, si el ad quem se equivocó al exigir la condición de trabajadora activa para el momento de la solicitud de la pensión especial establecida en el segundo inciso del Parágrafo 4º del artículo 9º de la Ley 797 de 2003.
Previamente a entrar a dilucidar el problema planteado, conviene traer a cuento el origen y la razón de ser de esta especial pensión.
La pensión especial que reclama la actora fue establecida mediante el artículo 9° de la Ley 797 de 2003 que modificó el artículo 33 de la Ley 100 de 1993, concretamente en el inciso segundo del Parágrafo 4º, cuyo texto reza:
“La madr trabajadora cuyo hijo menor de 18 año padezca invalidez física o mental, debidamente calificada y hasta tanto permanezca en este estado y continúe como dependiente de la madre, tendrá derecho a recibir la pensión especial de vejez a cualquier edad, siempre que haya cotizado al Sistema General de Pensiones cuando menos el mínimo de semanas exigido en el régimen de prima media para acceder a la pensión de vejez. Este beneficio se suspenderá si la trabajadora se reincorpora a la fuerza laboral. Si la madre ha fallecido y el padre tiene la patria potestad del menor inválido, podrá pensionarse con los requisitos y en las condiciones establecidas en este artículo.
Esta pensión es una acción afirmativa establecida por el legislador que consiste en eximir el requisito de edad exigido, por regla general, para obtener la pensión de vejez del sistema integral de seguridad social, siempre que se haya cotizado “…cuando menos el mínimo de semanas exigido en el régimen de prima media para acceder a la pensión de vejez”, en razón de la invalidez sufrida por el hijo que depende económicamente de la madre trabajadora o padre o trabajador. En tales circunstancias especialísimas, basta completar el mínimo de semanas exigido en el régimen de prima media para acceder a la pensión de vejez.
Esta posición de la Sala concuerda con lo dicho por la Corte Constitucional, en este sentido, en la sentencia C-227 de 2004 que declaró inexequible la limitación de ser “menor de 18 años” de edad respecto al hijo inválido que traía originalmente la norma:
“16. El inciso segundo del parágrafo 4 del artículo 9 de la Ley 797 de 2003 tiene como finalidad hacer posible que las personas menores de edad, afectadas por una invalidez física o mental, sean cuidadas por su madre o, en el caso de que ella hubiera fallecido y el padre tuviere la patria potestad, por su padre, acudientes que en este caso tienen derecho a la pensión especial de vejez. Este tipo especial de pensión constituye una excepción a la exigencia general de haber alcanzado una determinada edad (en este momento, 60 años los hombres y 55 las mujeres) para poder acceder a la pensión de vejez. Es decir, la norma hace posible que las madres – o los padres – de las personas que padecen una invalidez física o mental puedan acceder a la pensión sin importar su edad.
De acuerdo con la norma, para acceder a este beneficio deben cumplirse cuatro condiciones:
A su vez, la disposición establece como condición de permanencia dentro de este régimen especial de pensión de vejez:
La fundamentación de esta pensión excepcional estriba en “… facilitarle a las madres [comprende también a los padres según la sentencia C-989 de 2006] el tiempo y el dinero necesarios para atender a aquellos hijos que están afectados por una invalidez física o mental, que no les permita valerse por sí mismos, y que dependen económicamente de ellas. Con el beneficio creado por la norma se espera que las madres puedan compensar con su cuidado personal las insuficiencias de sus hijos, para impulsarlos en su proceso de rehabilitación o para ayudarlos a sobrevivir en una forma digna.
Así lo asentó la Corte Constitucional, como basamento, para arribar a la conclusión de que no se justificaba la limitación de edad impuesta por el legislador en cuanto a que la protección solo se daba de cara a los hijos discapacitados menores de 18 años, por lo que declaró inexequible este requisito. En dicha oportunidad precisó:
“… Al respecto es claro que el fin perseguido por la norma es legítimo, puesto que persigue proteger de manera especial, de conformidad con lo dispuesto en la Constitución, a las personas que sufren una invalidez. Además, sin duda alguna, la norma persigue un fin importante para el ordenamiento jurídico, cual es el de garantizarle a los hijos discapacitados la atención que requieren tanto para poder llevar una vida digna como para su rehabilitación. De igual manera, el medio escogido es adecuado, puesto que a través de la pensión especial de vejez las madres podrán dispensar a sus hijos afectados por una invalidez los cuidados que requieren, lo cual seguramente redundará en su bienestar y desarrollo.
Resta por observar, entonces, si el medio seleccionado es, además de adecuado, efectivamente conducente para alcanzar el fin perseguido por la norma que es objeto de este análisis constitucional.
18. Como se señaló anteriormente, el objetivo del inciso en el cual se encuentra la expresión demandada es facilitarle a las madres el tiempo y el dinero necesarios para atender a aquellos hijos que están afectados por una invalidez física o mental, que no les permita valerse por sí mismos, y que dependen económicamente de ellas. Con el beneficio creado por la norma se espera que las madres puedan compensar con su cuidado personal las insuficiencias de sus hijos, para impulsarlos en su proceso de rehabilitación o para ayudarlos a sobrevivir en una forma digna.
Al leer los apartes transcritos de la exposición de motivos se puede percibir la importancia que se le asigna a la asistencia maternal para el trabajo de rehabilitación de los niños. En estas circunstancias, la primera pregunta que debe formularse es si tiene sentido que cese la pensión especial de vejez para aquellas madres trabajadoras cuyos hijos afectados por una invalidez física o mental están dentro de un proceso de rehabilitación aún no culminado, pero alcanzan los 18 años. Es decir, el interrogante que surge es si en aquellos casos en los que se observa que ha habido modificaciones en el estado de la discapacidad del hijo, pero aún no se ha logrado su rehabilitación completa, debe perder vigencia la pensión especial de vejez por el hecho de que el hijo alcance la mayoría de edad.
Puesto que una de las metas esenciales del beneficio es la de facilitar la rehabilitación de los niños no es razonable que este proceso de recuperación se traumatice por el simple hecho de que el hijo llegue a la mayoría de edad. Si el fin de la norma es precisamente facilitar la rehabilitación del niño discapacitado, lo propio es que ese proceso de rehabilitación pueda continuar en el tiempo, sin considerar la edad del hijo, hasta que éste pueda culminar su proceso e integrarse a la sociedad. En este punto es, entonces, claro que la diferenciación establecida en la norma alrededor de la edad no es efectivamente conducente para alcanzar el fin buscado. Interrumpir el apoyo maternal en el proceso de rehabilitación cuando el hijo cumpla 18 años puede incluso demorar o frustrar el cabal logro del fin al cual apunta la norma parcialmente acusada”.
Lo anterior pone de presente que el fin de la norma es facilitar la rehabilitación del hijo discapacitado, por tanto se ha de examinar si la condición de trabajadora activa al momento de la solicitud exigida por el tribunal como requisito para acceder a dicha pensión es conducente para lograr el fin buscado por la acción afirmativa en comento.
Considera la Corte que, contrario a lo entendido por el ad quem, el legislador, con la expresión “madre [o padre] trabajadora [o trabajador]”, no se refirió en el sentido estricto de que el solicitante tenga vigente el contrato de trabajo al momento de la petición, como lo entendió el ad quem.
De acuerdo con el contexto normativo y por tratarse de una acción afirmativa en pro de quienes se encuentran en condición de debilidad manifiesta como es el caso de los inválidos y de los progenitores de estos a cargo de su manutención, para esta Corte la interpretación acertada de la norma es la que entiende que el titular del derecho establecido en la citada disposición es aquel que vive exclusivamente de su trabajo, en razón a que no cuenta con alternativa económica diferente a la de su actividad laboral, independientemente de si es trabajadora activa o no; cuyo ingreso pecuniario le es indispensable para la manutención de su hijo discapacitado. Todo esto engloba la expresión “madre trabajadora”. (Entiéndase, para todos los efectos de esta norma, por trabajadora también “trabajador”, de acuerdo con la sentencia de la Corte Constitucional C-989 de 2006)
Adicionalmente que, por encontrarse afiliada al sistema integral de seguridad social, ya sea como trabajadora dependiente o independiente, sea cotizante activo o inactivo, reúne “…cuando menos el mínimo de semanas exigido en el régimen de prima media para acceder a la pensión de vejez.
La anterior situación del padre o la madre cabeza de familia, más la condición de tener un hijo en estado de invalidez comprobada que depende económicamente de ella (o de él), basta para que la ley le dispense el requisito de edad y le exija solo el mínimo de semanas requerido por el régimen de prima media, para que tenga el derecho a gozar del citado beneficio pensional; de tal manera que pueda dedicarse al cuidado de su hijo sin perjuicio del ingreso económico indispensable para la supervivencia no solo del discapacitado sino del progenitor cabeza de familia.
Nótese como la disposición también dice que “este beneficio se suspenderá si la trabajadora se reincorpora a la fuerza laboral”, de donde claramente se ve que el legislador no usa el vocablo “trabajadora” únicamente como equivalente a “trabajadora activa”, pues está previendo la hipótesis en que la trabajadora o trabajador “se reincorpora a la fuerza laboral”, de donde se confirma que la calidad de trabajadora no está ligada, exclusivamente, a la situación de encontrarse laborando, como lo entendió el tribunal.
La interpretación de la Sala no desentona con lo dicho por la Corte Constitucional sobre el tema. Si bien esa Corte, en la sentencia citada por el tribunal en apoyo de su posición, C-294 de 2007, manifestó que “…solo se tiene derecho a la pensión de vejez anticipada, que regula la norma acusada, si se es trabajador”, también lo es que no le quiso dar el significado entendido por el ad quem. En dicha oportunidad, dada la ocurrencia de la cosa juzgada, para responder por segunda vez a los cargos de inexequibilidad formulados contra la expresión “madre trabajadora” contenida en el artículo 9º de la Ley 797 tantas veces mencionado, por haber sido acusada nuevamente de ser discriminatoria por razones de género, la Corte Constitucional anotó:
“Como puede verse, a pesar de que en la parte resolutiva de la sentencia C-989 de 2006 sólo se hizo referencia a la expresión 'madre' contenida en el artículo 9º de la Ley 797 de 2003 y, en esta oportunidad se impugnaron los enunciados 'la madre trabajadora' y 'la madre' incluidas en el mismo artículo, lo cierto es que la providencia anterior se refería, sin duda, a la madre trabajadora que ahora es objeto de nueva impugnación. Además, es evidente que la demanda objeto de análisis está sustentada en los mismos cargos y formula los mismos problemas jurídicos que ya fueron resueltos por esta Corporación en dicha providencia. Entonces, pese a que, a primera vista, podría pensarse que existe cosa juzgada constitucional únicamente respecto de la expresión “madre” y que, por consiguiente, correspondería a la Corte resolver sobre la constitucionalidad de la expresión “trabajadora”, ese planteamiento no es de recibo por dos motivos principales.
El primero, porque de acuerdo con los argumentos expuestos en la demanda, el vocablo 'trabajadora' no constituye una proposición jurídica completa, esto es, no tiene un contenido jurídico propio, comprensible y coherente con los cargos formulados por el actor. De hecho, como se evidencia fácilmente en el resumen de la demanda que se elaboró en precedencia, los reproches de inconstitucionalidad están dirigidos a cuestionar la diferencia de trato por razones de género y el trato desfavorable para los discapacitados por su condición de hijos de padre trabajador cabeza de familia. Luego, para efectos de la regulación de la prestación especial de pensión de vejez por invalidez del hijo, la expresión 'trabajadora' sólo tiene sentido jurídico si se integra al vocablo 'madre', es lógico concluir que no puede ser objeto de pronunciamiento de fondo por esta Corporación.
El segundo, porque tal y como se vio en los apartes de la sentencia C-989 de 2006 que fueron trascritos, la Corte Constitucional analizó la diferencia de trato que surge entre los hijos de la madre y el padre trabajadores, pues sólo se tiene derecho a la pensión de vejez anticipada, que regula la norma acusada, si se es trabajador, por lo que resulta evidente que la referencia que la providencia hizo a la madre era necesariamente a la madre trabajadora, cuyo texto es nuevamente acusado.”
Como se puede ver, el Tribunal Constitucional no determinó que, a la luz de la Constitución, la condición de trabajadora aludida en la precitada norma, respecto de la madre (o padre), debía entenderse en el sentido de que esta fuera trabajadora activa al momento de la reclamación, pues ese no fue el problema jurídico a resolver esa vez.
En cambio, en la sentencia C-989 de 2006, el Tribunal Constitucional equiparó el concepto de “madre trabajadora” con el de “padre trabajador”, con fundamento en las expresiones de madre o padre cabeza de familia, para efectos de excluir una discriminación por razones de género, en vista que la norma solo decía “madre trabajadora”. Así se expresó en ese entonces:
“…se debe recordar que la Corte ha explicado que las medidas de protección especial previstas a favor de la madre, se encaminan a cobijar al grupo familiar que se encuentra a su cargo, es decir, a los hijos que de ella dependan económicamente Con ese propósito, el Legislador ha establecido una serie de medidas concretas de apoyo a la madre trabajadora entre otras, en la Ley 790 de 2002, mediante las cuales se busca proteger al núcleo familiar que de ella dependa, el cual se supone está compuesto por los hijos menores propios y otras personas incapaces o incapacitadas para trabajar. (Negrillas de esta Sala).
Dichos beneficios tienen por finalidad exclusiva el cumplimiento y desarrollo de los mandatos constitucionales previstos, entre otros, en los artículos 1°, 2°, 13, 42, 43, 44 y 47 superiores, que propenden expresamente por la protección de los derechos de los hijos menores o discapacitados -en este caso- que dependan económicamente de sus progenitores, independientemente de que se trate de la madre o el padre de familia.
En ese orden de ideas, como lo afirma la Vista Fiscal, si lo pretendido por el Legislador a través del establecimiento de ese tipo de medidas de protección particular a favor de las madres –acciones afirmativas-, es beneficiar a los hijos discapacitados que estén a su cargo y cuidado por depender económicamente de ellas, esto con el fin de hacer efectiva la prevalencia de los derechos de que gozan los sujetos de especial protección constitucional -en este caso los disminuidos físicos-; de conformidad con el principio de igualdad no existe, una razón válida que justifique la diferenciación entre los hijos discapacitados cuya atención esté sujeta a la madre cabeza de familia y aquellos que se encuentran al cuidado del padre que fácticamente se encuentra en las mismas circunstancias. (Negrillas de esta Sala).
Es claro entonces, que el beneficio pensional previsto en el inciso 2° del parágrafo 4º del artículo 33 de la Ley 100 de 1993 –modificado por el artículo 9º de la Ley 797 de 2003- para la madre en función de los hijos discapacitados que se encuentren a su cuidado personal y que dependan de ésta económicamente excluye a los hombres -padres cabeza de familia- que se hallen en las mismas condiciones de hecho que dichas madres, razón por la cual en relación con los beneficios antes aludidos no encuentra la Corte que exista un fundamento constitucional en virtud del cual se pueda establecer una diferencia de trato entre los hijos discapacitados –menores o adultos- que están a cargo de la madre cabeza de familia, frente a los que están al cuidado del padre cabeza de familia, esto es, que se encuentra en la misma situación a que alude la disposición en análisis, por cuanto en uno y otro caso se trata de personas respecto de las cuales el Estado tiene una obligación de protección especial y categórica (arts. 13, 43 y 47 C.P). (Negrillas de esta Sala).
De forma tal que, al reconocerse el beneficio pensional previsto en la disposición legal acusada exclusivamente a la madre cabeza de familia, se produce una violación del derecho a la igualdad del hijo discapacitado que depende económicamente del padre cabeza de familia, por el simple hecho de ser el hombre y no la mujer quien responde económicamente por su manutención; sin tener en cuenta la especial condición de discapacidad que padece y que finalmente es en virtud de la cual se busca protegerlo, para que no solamente no le falten recursos económicos que permitan su adecuada rehabilitación a la vida social, de ser ello posible; sino que se deja igualmente de lado el hecho de que el padre también puede hacerse cargo del hijo afectado por dicha invalidez, brindándole los cuidados y atención necesarios, ello, sin limitar tal circunstancia únicamente a aquellos eventos en que haya fallecido la madre de familia. (Negrillas de esta Sala).
En conclusión, en el caso concreto del inciso 2° del parágrafo 4º del artículo 33 de la Ley 100 de 1993 –modificado por el artículo 9º de la Ley 797 de 2003-, la protección que allí se establece está encaminada en forma directa a beneficiar al niño o adulto discapacitado que por sus condiciones físicas o mentales no puede valerse por sí mismo, razón por la cual se torna en un sujeto de protección especialísima al cual Estado le debe brindar todas las garantías necesarias para el goce efectivo de sus derechos, de allí la necesidad de que indistintamente de que se trate de la madre o el padre, siempre que i) como lo dispone la norma la discapacidad del menor esté debidamente calificada y que ii) se hayan cotizado al Sistema General de Seguridad Social en Pensiones el mínimo de semanas requeridas en el régimen de prima media para obtener la pensión de vejez, se deba conceder el beneficio pensional allí previsto, de forma tal que, se pueda dar efectivo cumplimiento al propósito de la disposición legal ibídem, que no es otro que otorgarle de manera anticipada recursos económicos al progenitor a cuyo cargo se encuentre el niño o el adulto incapaz, con el fin de permitirle dedicar su tiempo a la adecuada rehabilitación de éste. (Negrillas de esta Sala).
Así las cosas, en armonía con reiterada jurisprudencia frente al cargo formulado en el presente proceso por violación del derecho a la igualdad, la Corte declarará la exequibilidad condicionada de la expresión acusada 'madre', en el entendido, que el beneficio pensional previsto en dicho artículo se hará extensivo al padre cabeza de familia de hijos discapacitados y que dependan económicamente de él, y así quedará señalado en la parte resolutiva de esta providencia. (Negrillas de la CC)
La interpretación que aquí adopta la Sala armoniza con la finalidad de la acción afirmativa establecida en la norma en comento, cual es facilitar la rehabilitación del hijo discapacitado, puesto que la madre o padre que tiene a cargo la manutención del hijo inválido puede dedicarse a la atención de su hijo sin perjuicio del ingreso económico indispensable para el sustento del grupo familiar.
La diferencia de trato entre los hijos discapacitados de padre o madre con contrato de trabajo vigente y aquellos a cuyos padres se les terminó el vínculo laboral que trae consigo la decisión del ad quem es abiertamente discriminatoria, amén de que se aparta injustificadamente de la finalidad de la pensión especial en comento.
La interpretación del ad quem supone que el hijo discapacitado con dependencia económica de la madre, o padre, cuyo contrato de trabajo terminó antes de la solicitud del derecho no merece la protección especial consagrada en la norma, no obstante que su situación de indefensión es la misma de aquel cuyo padre tiene vigente el contrato, y que, en ambos casos, la madre, o el padre, deben cumplir con las semanas de cotización requeridos.
Adicionalmente, se precisa que no basta con que se tenga un hijo discapacitado sino que es menester que este dependa económicamente de la madre, como lo anotó la Corte Constitucional:
“Por otra parte, la Corte también concluye que la dependencia del niño inválido con respecto a la madre debe ser de tipo económico. Es decir, el requisito de la dependencia con respecto a la madre no se satisface con la simple necesidad afectiva o psicológica del niño de contar con la presencia, el cariño y el acompañamiento de su madre. No le cabe ninguna duda a esta Corporación que el apoyo de la madre es fundamental para los niños afectados por una discapacidad, pero para efectos de obtener el derecho a acceder a la pensión especial de vejez esta dependencia no es suficiente. En la misma exposición de motivos transcrita en algunos apartes se expresa que el objetivo de la norma era concederle el beneficio a las madres trabajadoras que eran responsables de la manutención del hijo afectado por una invalidez física o mental, lo que indica que de lo que se trata es de facilitarle a la madre que acompañe a su hijo, para lo cual se la releva del esfuerzo diario por obtener medios para la subsistencia. Y, ciertamente, la garantía de la pensión especial de vejez que confiere la norma le permite a la madre asegurar unos ingresos económicos que le posibilitan dejar su trabajo para poder dedicarse a su hijo, con el objeto de acompañarlo en su proceso de rehabilitación o de suplir sus insuficiencias.
De la precisión anterior se deriva también que el beneficio de la pensión especial de vejez no podrá ser reclamado por las madres trabajadoras, cuando sus niños afectados por una invalidez física o mental tengan bienes o rentas propios para mantenerse. En este caso, estos niños no dependerían económicamente de la madre, requisito que debe cumplirse para poder acceder a la pensión especial de vejez. Tampoco sería aplicable la norma cuando estos niños reciban un beneficio del Sistema de Seguridad Social que los provea de los medios para subsistir.
Por lo tanto, este aparte de la norma será declarado constitucional, en el entendido de que la dependencia de la madre debe ser de carácter económico.
En este orden de ideas, encuentra la Sala que el ad quem se equivocó en la interpretación del inciso 2º del Parágrafo 4º del artículo 9º de la Ley 797 de 2003, al exigir como condición, para que nazca el derecho, el que el peticionario de esta pensión especial de vejez sea trabajador o trabajadora activa o con contrato de trabajo vigente, por cuanto se trata de una condición que no se desprende del contexto normativo, ni es de la esencia del beneficio; y se aparta abiertamente, sin justificación, de la finalidad de la acción afirmativa contenida en la citada norma.
La errada interpretación que hizo el ad quem al inciso segundo del Parágrafo 4º del artículo 9º de la Ley 797 de 2003, lo llevó a confirmar la decisión del a quo que negó la pensión reclamada, por estimar que la demandante “…fue retirada del cargo que ocupaba en la extinguida 'TELECOM' a partir del 31 de enero de 2006 y en el hecho noveno de la demanda se afirma que es 'madre cabeza de familia sin alternativa económica', [de donde]… colige que no se encuentra laborando en estos momentos, y que además, en parte alguna del infolio se adosó prueba que demuestre la dependencia económica de su hija discapacitada para con ella.”
De acuerdo con lo anterior, el ad quem no se detuvo a examinar cuándo se estructuró la invalidez de la hija menor de la demandante, o el número de semanas cotizadas por la actora, por lo que no pudo incurrir en los yerros fácticos achacados al respecto; aparte de la exigencia de la condición de trabajadora activa, el ad quem solo hizo referencia a la falta de prueba de la dependencia económica de la menor discapacitada.
Sobre la falta de prueba de la dependencia de la menor discapacitada, también determinante de la sentencia absolutoria, el censor la refuta con el argumento de que el ad quem no se dio cuenta que este aspecto no fue objeto de controversia por CAPRECOM en la vía administrativa, pues la entidad demandada le negó el derecho porque “…a la fecha de la solicitud, no se encontraba laborando, toda vez que se desvinculó de TELECOM a partir del 01 de febrero de 2006”.
Ciertamente, como lo alega la censura, el tribunal puso en entredicho la dependencia económica de la menor discapacitada, no obstante que la demandada no hizo reparo alguno sobre este punto cuando resolvió la petición del beneficio, según la R. 0092 de 2007 de CAPRECOM, fl.47. Amén de que no había razón para dudar sobre la dependencia económica de la hija respecto de su madre, pues, justamente, la condición de madre cabeza de familia de la demandante a la que alude el ad quem para reforzar su negativa a conceder el derecho por no estar trabajando la actora, implica tener hijos a cargo económicamente, como quiera que es de la esencia del estatus de madre cabeza de familia el tener a cargo la manutención de los hijos. Menos se podía cuestionar la dependencia económica, frente al hecho incontrovertido de la invalidez sufrida por la menor.
Lo discurrido basta para que se case la sentencia.
FALLO DE INSTANCIA:
De acuerdo con lo dicho atrás por esta Sala, de cara a los requisitos de esta pensión especial contenida en el inciso 2º del Parágrafo 4º del artículo 9º de la precitada Ley 797 de 2003, se tiene que tal beneficio se causa cuando el peticionario reúna las siguientes circunstancias.
Ser madre (o padre) trabajadora (o trabajador) que haya cotizado “…cuando menos el mínimo de semanas exigido en el régimen de prima media para acceder a la pensión de vejez”.
Tener un hijo inválido que dependa económicamente de la madre o padre cabeza de familia.
Una vez reunidos los anteriores requisitos, el derecho se causa, y su exigibilidad estará sujeta a que la madre o padre del discapacitado se dedique de manera exclusiva a los cuidados de su hijo. Y el goce de la pensión se suspenderá cuando la madre o padre se reincorpore a la fuerza laboral; y durará “…hasta tanto el hijo permanezca en este estado y continúe como dependiente de la madre [o padre].”
En el presente caso, a fl. 49 está el registro civil de nacimiento de la hija de la actora ocurrido el 26 de julio de 1999; a fls. 51 a 53 está el dictamen médico de donde se deprende que la hija de la actora padece de Síndrome de Down y retardo mental, que le produce una invalidez del 56.10% de pérdida de capacidad laboral, estructurada desde el 26 de julio de 1999, es decir la menor tiene la condición de inválida desde su nacimiento; y de la relación de tiempo de servicios de fl. 50 se puede deducir que la actora laboró para TELECOM desde el 15 de marzo de 1985 hasta el 31 de enero de 2006, con una suspensión de cinco días, del 1 de septiembre de 1997 al 5 del mismo mes y año; y a fl. 85 obra respuesta a oficio proveniente del Patrimonio Autónomo de Remanentes de Telecom, donde se dice que no se le pagó a la actora prima de retiro por su desvinculación a partir de febrero de 2006, “…ya que dicha señora se encontraba cobijada en la extinta Telecom en liquidación por el retén social en calidad de madre cabeza de familia…”.
Según lo anterior, para la fecha de entrada en vigencia de la Ley 797 de 2003, norma creadora de la pensión en cuestión, 29 de enero de 2003 (fecha de la publicación), la actora ya tenía una hija en estado de invalidez; la demandante se favoreció del retén social por su condición de “madre cabeza de familia” en el proceso de reestructuración de TELECOM que inició con el D. 1615 de 2003; y, en el año 2004, completó las 1000 semanas de cotización al sistema de pensiones que exigía, para ese entonces, el artículo 33 de la Ley 100 de 1993, como tope mínimo para acceder a la pensión de vejez, como se puede ver en el siguiente cuadro:

Sobre la dependencia económica de la hija inválida de la actora, amén de que no fue objeto de controversia por la entidad demandada al momento de resolver la solicitud de pensión negándola, no le queda duda a la Sala de que sí cumple con este requisito, en razón al estado de discapacidad de la menor desde su nacimiento y a la responsabilidad alimentaria que le asigna la ley a los padres, la cual deduce la Sala que la demandante sí viene cumpliendo, en vista de que la propia entidad empleadora le reconoció su condición de madre cabeza de familia al otorgarle la protección del retén social. No es posible concebir una madre cabeza de familia y que su hija inválida no dependa económicamente de ella.
Por otra parte, la sola circunstancia de que el hijo discapacitado tenga padre reconocido no desvirtúa el hecho de que la madre tenga a cargo su manutención, puesto que de la mera existencia del otro progenitor no se puede deducir inexorablemente que el padre esté cumpliendo con las responsabilidades familiares frente a su hijo, para que pueda darse por desvirtuada la dependencia económica respecto de la madre. Más aún, se itera, como sucedió en este caso, donde la actora fue beneficiaria del retén social en el proceso de liquidación de la entidad empleadora, por ser considerada madre cabeza de familia.
De acuerdo con lo anterior, para la Sala es claro que la actora causó la pensión en el momento en que ella completó la semana 1000, en el 2004; sin embargo, esta se hizo exigible a partir del momento en que la demandante dejó de trabajar, el 31 de enero de 2006.
En consecuencia, se revocará la decisión de primera instancia, y, en su lugar, se ordenará reconocer la pensión especial en cabeza de la demandante, desde el 1º de febrero de 2006, teniendo en cuenta que esta se suspende en el caso de que la actora ingrese o hubiese ingresado a la fuerza laboral.
Para efectos de liquidar la pensión, para mejor proveer, se ordenará a la entidad demandada que certifique el ingreso base sobre el cual la actora cotizó en los últimos 10 años.
Dado que prosperó el recurso no se condenará en costas en el presente trámite. Las de las instancias a cargo de la parte demandada.
En mérito de lo expuesto, la Corte Suprema de Justicia, Sala de Casación Laboral, administrando justicia en nombre de la República y por autoridad de la ley, CASA la sentencia de fecha 5 de marzo de 2009 proferida por la Sala Laboral del Tribunal Superior del Distrito Judicial de Bogotá, en el proceso ordinario laboral promovido por NIDIA ESPERANZA BETANCUR HENAO contra la CAJA DE PREVISIÓN SOCIAL DE COMUNICACIONES, CAPRECOM.
En instancia, para mejor proveer, se ordenará a la entidad demandada que, en el término máximo de 15 días contados a partir de la comunicación secretarial, allegue a este despacho la relación mes por mes del ingreso base sobre el cual cotizó la actora en los últimos 10 años.
Cópiese, notifíquese, publíquese y cúmplase.
JORGE MAURICIO BURGOS RUIZ
ELSY DEL PILAR CUELLO CALDERÓN clara cecilia dueñas quevedo
RIGOBERTO ECHEVERRI BUENO……gustavo hernando lópez algarra
LUIS GABRIEL MIRANDA BUELVAS CARLOS ERNESTO MOLINA MONSALVE
2
Las notas de vigencia, concordancias, notas del editor, forma de presentación y disposición de la compilación están protegidas por las normas sobre derecho de autor. En relación con estos valores jurídicos agregados, se encuentra prohibido por la normativa vigente su aprovechamiento en publicaciones similares y con fines comerciales, incluidas -pero no únicamente- la copia, adaptación, transformación, reproducción, utilización y divulgación masiva, así como todo otro uso prohibido expresamente por la normativa sobre derechos de autor, que sea contrario a la normativa sobre promoción de la competencia o que requiera autorización expresa y escrita de los autores y/o de los titulares de los derechos de autor. En caso de duda o solicitud de autorización puede comunicarse al teléfono 617-0729 en Bogotá, extensión 101. El ingreso a la página supone la aceptación sobre las normas de uso de la información aquí contenida.