Derechos de autor reservados - Prohibida su reproducción
RESOLUCIÓN 5008 DE 2017
(noviembre 29)
Diario Oficial No. 50.433 de 30 de noviembre de 2017
MINISTERIO DEL TRABAJO
Por la cual se modifican parcialmente las Resoluciones número 4566 de 2016 y 1530 de 2017, sobre el financiamiento del programa “Estado Joven” prácticas laborales en el sector público y se dictan otras disposiciones.
LA MINISTRA DEL TRABAJO,
en uso de sus atribuciones legales y reglamentarias, en particular las consagradas en los artículos 13 y 22 de la Ley 1780 de 2016, los numerales 1, 6 y 16 del artículo 6o del Decreto número 4108 de 2011 y los artículos 2.2.6.1.7.3. y 2.2.6.1.7.7. del Decreto número 1072 de 2015, Decreto Único Reglamentario del Sector Trabajo, en desarrollo de la Sección 7 del Capítulo 1 del Título 6 de la Parte 2 del Libro 2 del Decreto número 1072 de 2015, y
CONSIDERANDO:
Que mediante los artículos 1o y 2o de la Ley 1636 de 2013, este último adicionado por el artículo 10 de la Ley 1780 de 2016, se creó el Mecanismo de Protección al Cesante y se dispuso el Fondo de Solidaridad de Fomento al Empleo y Protección al Cesante (Fosfec), como uno de sus componentes.
Que el literal a) del artículo 4o de la misma ley señaló que la solidaridad es uno de los principios del Mecanismo de Protección al Cesante, definiéndolo como la práctica del mutuo apoyo para garantizar el acceso y sostenibilidad del Fondo de Solidaridad de Fomento al Empleo y Protección al Cesante (Fosfec), entre las personas, los empleadores y los agentes del sistema; señalando también que es deber del Estado garantizar el respeto de este principio mediante la participación, el control y dirección del referido mecanismo.
Que el inciso 1 del artículo 13 de la Ley 1780 de 2016 dispone que “El Gobierno nacional, a través del Ministerio del Trabajo y el Departamento Administrativo de la Función Pública, desarrollará y reglamentará una política que incentive, fomente y coordine los programas de jóvenes talentos, orientados a que jóvenes sin experiencia puedan realizar prácticas laborales, judicatura y relación docencia de servicio en el área de la salud, en las entidades públicas, las cuales contarán como experiencia para el acceso al servicio público”.
Que el parágrafo 3 del precitado artículo señala que: “A través del Mecanismo de Protección al Cesante y con cargo al Fosfec, podrá financiarse práctica laboral, judicatura y relación docencia de servicio en el área de la salud como mecanismo para que los jóvenes adquieran experiencia laboral relacionada a su campo de estudio”.
Que el artículo 22 de la Ley 1780 de 2016 consagra: “Para priorizar el desarrollo de las políticas que se establezcan en el marco del Mecanismo de Protección al Cesante, el Ministerio del Trabajo, de acuerdo a la reglamentación que expida para tal fin, podrá establecer los lineamientos, mecanismos y herramientas que permitan realizar la adecuada redistribución regional de los recursos que hacen parte del Fondo de Solidaridad de Fomento al Empleo y Protección al Cesante (Fosfec), a fin de atender las prioridades de la población objetivo y cumplir con la finalidad de los mismos”.
Que de conformidad con lo señalado en el artículo 15 de la Ley 1780 de 2016, las prácticas laborales son “una actividad formativa desarrollada por un estudiante de programas de formación complementaria ofrecidos por las escuelas normales superiores y educación superior de pregrado, durante un tiempo determinado, en un ambiente laboral real, con supervisión y sobre asuntos relacionados con su área de estudio o desempeño y su tipo de formación; para el cumplimiento de un requisito para culminar sus estudios u obtener un título que lo acreditará para el desempeño laboral. Por tratarse de una actividad formativa, la práctica laboral no constituye relación de trabajo”.
Que mediante el Decreto número 1376 de 2016, se adicionó al Capítulo 1 del Título 6 de la Parte 2 del Libro 2 del Decreto número 1072 de 2015, Único Reglamentario del Sector Trabajo, la Sección 7 que reglamenta la financiación de práctica laboral, judicatura y relación docencia de servicio en el área de la salud, para adquirir experiencia laboral, en el marco de lo establecido por el parágrafo 3 del artículo 13 de la Ley 1780 de 2016.
Que mediante el Decreto número 1669 de 2016, se adicionaron unos artículos a la Sección 7 del Capítulo 1 del Título 6 de la Parte 2 del Libro 2 del Decreto número 1072 de 2015, reglamentando lo referente a la seguridad social de los estudiantes que hagan parte de los programas de incentivo para las prácticas laborales y judicatura en el sector público.
Que mediante la Resolución número 4566 de 2016 del Ministerio del Trabajo, se creó el programa “Estado Joven” de incentivos para las prácticas laborales y judicatura en el sector público, para promover escenarios de práctica laboral en entidades públicas, financiado a través de los recursos del Fondo de Solidaridad de Fomento al Empleo y Protección al Cesante (Fosfec), administrados por las cajas de compensación familiar.
Que la Resolución número 5215 de 2016 expedida por este Ministerio, “por medio la cual se dan lineamientos para la destinación de parte de los saldos de los recursos de la vigencia 2015 del Fondo de Solidaridad de Fomento al Empleo y Protección al Cesante (Fosfec) y se dictan otras disposiciones”, en su artículo 6 determina la distribución de recursos del Fosfec de la vigencia 2015 para dar alcance a las metas del programa “Estado Joven”, indicando las apropiaciones para cada una de las Cajas de Compensación Familiar, en el Anexo 3 de esa misma resolución.
Que la Resolución número 1530 de 2017 de este Ministerio modificó la Resolución número 4566 de 2016, para trasladar y adicionar recursos para el financiamiento del programa “Estado Joven”, y dictó otras disposiciones.
Que en aplicación del principio de solidaridad y en desarrollo de lo dispuesto en el artículo 22 de la Ley 1780 de 2016, resulta necesario: (i) brindar claridad y permitir mayor eficiencia en la ejecución de los recursos destinados al programa “Estado Joven”, modificando la distribución de los mismos; (ii) establecer los convenios como una herramienta que permita realizar la adecuada redistribución regional de los recursos que hacen parte del Fondo de Solidaridad de Fomento al Empleo y Protección al Cesante (Fosfec); (iii) establecer que las Cajas de Compensación Familiar con mayores índices de registro de plazas de práctica de la 2 convocatoria del programa, utilicen recursos adicionales a los dispuestos en el artículo 7o de la Resolución número 4566 de 2016, modificado por la Resolución número 1530 de 2017. Todo lo anterior a fin de atender las prioridades de la población objetivo y cumplir con la finalidad del programa “Estado Joven”.
Que con los convenios y el uso de recursos adicionales, se permitirá que el programa “Estado Joven” cuente con más recursos para su ejecución, garantizando de esta manera que más jóvenes y regiones resulten beneficiados por esta iniciativa.
Que por otra parte, es necesario destacar que los recursos destinados para financiar el programa “Estado Joven”, conforme dispone el artículo 4o de la Resolución número 1530 de 2017 son saldos, es decir son recursos no ejecutados o remanentes de 2015; de manera que con este acto administrativo no se afectará el adecuado funcionamiento del Fosfec, ni las iniciativas de programas que con él se financian, de conformidad con lo previsto en la Ley 1636 de 2013.
En virtud de lo expuesto,
RESUELVE:
ARTÍCULO 1o. MODIFICACIÓN DEL ARTÍCULO 7° DE LA RESOLUCIÓN NÚMERO 4566 DE 2016. Modifíquese el artículo 7o de la Resolución número 4566 de 2016, el cual quedará así:
“Artículo 7o. Financiación de incentivos. De acuerdo con lo establecido por el parágrafo 3 del artículo 13 de la Ley 1780 de 2016 y la Sección 7 del Capítulo 1 del Título 6 de la Parte 2 del Libro 2 del Decreto número 1072 de 2015, para que los jóvenes adquieran experiencia laboral relacionada con su campo de estudio a través de la vinculación formativa en las entidades públicas, las Cajas de Compensación Familiar dispondrán de treinta y tres mil doscientos setenta y nueve millones doscientos veintisiete mil seiscientos sesenta y siete pesos ($33.279.227.667) moneda legal y corriente, provenientes de los saldos de los recursos del Fosfec de la vigencia 2015, sobre los cuales el programa destinará un diez por ciento (10%) para gastos administrativos y tres por ciento (3%) para cubrir imprevistos.
PARÁGRAFO 1. De los establecidos en el presente artículo y para la fase piloto del programa a realizar en Bogotá, D. C., y el municipio de Arauca, las Cajas de Compensación Familiar Compensar y Comfiar, contarán con los siguientes recursos:
| Caja de Compensación | Municipio | Valor a asignar |
| Compensar | Bogotá, D.C. | $2.262.556.667 |
| Comfiar | Arauca | $178.572.360 |
PARÁGRAFO 2. Los recursos determinados en el presente artículo deberán incorporarse a la subcuenta de gestión y colocación de empleo del Fosfec”.
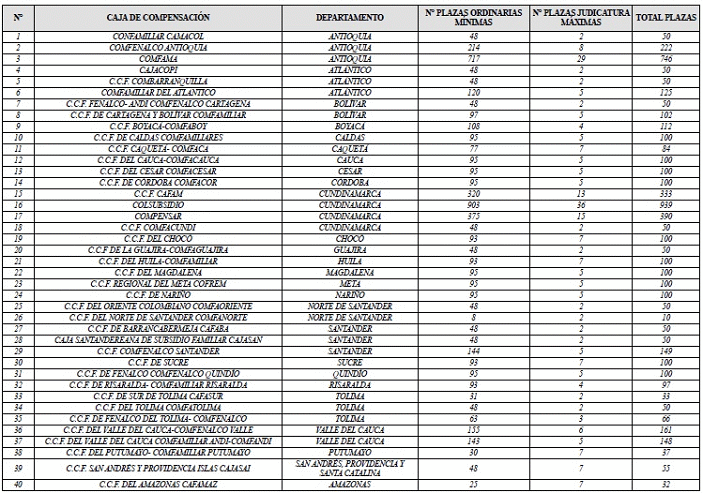
ARTÍCULO 2o. MODIFICACIÓN DEL ANEXO TÉCNICO. Modifíquese el anexo técnico de la Resolución número 4566 de 2016, el cual quedará así:
“Anexo Técnico
Las plazas de práctica por Cajas de Compensación Familiar, se determinaron teniendo en cuenta, los recursos disponibles por Caja, una vez descontados el porcentaje de administración (10%) e imprevistos (3%).
Las anteriores deducciones definieron el total de los recursos netos para incentivos de práctica por valor de veintiocho mil novecientos cincuenta y dos millones novecientos veintiocho mil setenta pesos ($28.952.928.070) moneda legal y corriente, de los cuales se realizó una distribución por modalidad de plazas de práctica y por Caja de Compensación Familiar, de la siguiente manera:


(*) Esta Caja de Compensación Familiar no cuenta actualmente con Agencia de Gestión y Colocación de Empleo para operar el Programa.
La distribución realizada permite cumplir con las plazas mínimas a atender. En dado caso que no se agoten los recursos disponibles para las plazas de judicatura, las Cajas de Compensación Familiar, podrán reasignarlos para plazas adicionales de la modalidad ordinaria (hasta 5 meses). Lo anterior, teniendo en cuenta que el valor de los incentivos a pagar por joven en el marco de este programa”.
ARTÍCULO 3o. MODIFICACIÓN DEL ARTÍCULO 6º DE LA RESOLUCIÓN NÚMERO 1530 DE 2017. Modifíquese el artículo 6o de la Resolución número 1530 de 2017, el cual quedará así:
“Artículo 6o. Convenios para fortalecer Estado Joven. La Caja de Compensación Familiar Compensar podrá fortalecer la atención a la población objetivo del programa “Estado Joven”, mediante la celebración de convenios con otras Cajas de Compensación, hasta por un monto de dos mil ciento cuarenta y ocho millones trescientos veinte mil pesos ($2.148.320.000) moneda legal y corriente.
PARÁGRAFO. El desembolso de recursos a través de los convenios a los que hace referencia el presente artículo se realizará, teniendo en cuenta la asignación efectiva de las plazas de práctica, los practicantes vinculados al programa y la ejecución del mismos por parte de las Cajas de Compensación Familiar destinatarias de los recursos”.
ARTÍCULO 4o. MODIFICACIÓN DEL ARTÍCULO 7º DE LA RESOLUCIÓN NÚMERO 1530 DE 2017. Modifíquese el artículo 7o de la Resolución número 1530 de 2017, el cual quedará así:
“Artículo 7o. Financiamiento para el fortalecimiento del programa Estado Joven. En concordancia con el artículo 7o de la Resolución número 4566 de 2016 y sus modificaciones, y para dar alcance a las metas del programa “Estado Joven” a las que se refiere el anexo técnico de dicha resolución, las Cajas de Compensación Familiar deberán apropiar recursos de los saldos de la vigencia 2015 del Fondo de Solidaridad de Fomento al Empleo y Protección al Cesante, de acuerdo con la siguiente tabla:
APROPIACIÓN DE SALDOS 2015 DEL FOSFEC PARA EL PROGRAMA “ESTADO JOVEN”

ARTÍCULO 5o. ANEXO TÉCNICO PARA LOS CONVENIOS. Para la realización de los convenios establecidos en el artículo 3o de la presente resolución, que modifica el artículo 6o de la Resolución número 1530 de 2017, la Caja de Compensación Familiar Compensar tendrá en cuenta la priorización contemplada en el Anexo Técnico número 1 denominado “Diagnóstico para asignación de recursos por convenio” que hace parte integral de la presente resolución, el cual define el monto específico de recursos objeto de los convenios y la caja destinataria.
ARTÍCULO 6o. ASIGNACIÓN DE RECURSOS ADICIONALES PARA EL PROGRAMA “ESTADO JOVEN”. Las Cajas de Compensación Familiar que superen en más de un doscientos por ciento (200%) el registro de plazas de práctica en entidades públicas, establecidas en el anexo técnico de la Resolución número 4566 de 2016, modificado por la Resolución número 1530 de 2017 y por el artículo 2o de la presente resolución, y que cuenten con recursos disponibles de saldos 2015 del Fondo de Solidaridad de Fomento al Empleo y Protección al Cesante (Fosfec), podrán solicitar el uso de estos recursos para este programa, con exclusividad a plazas de práctica ordinarias, acorde con lo establecido en el Anexo Técnico número 2 denominado “Cajas que superan el registro de plazas asignadas” de la presente resolución que hace parte integral de la misma.
PARÁGRAFO. La asignación de recursos a los que hace referencia el presente artículo será utilizado en cupos de plazas de práctica ordinarias adicionales, sin que esta nueva asignación supere en ningún caso el cien por ciento (100%) del número de plazas fijadas en el anexo técnico de la Resolución número 4566 de 2016, modificado por la Resolución número 1530 de 2017 y por el artículo 2o de la presente resolución.
ARTÍCULO 7o. TÉRMINO PARA LA SOLICITUD DE ASIGNACIÓN DE RECURSOS ADICIONALES. Las Cajas de Compensación Familiar que opten por hacer uso de la facultad establecida en el artículo 6o de la presente resolución, dentro de los cinco (5) días hábiles siguientes a la publicación en el Diario Oficial de la misma, deberán informar los recursos a adicionar ante la Dirección de Generación y Protección del Empleo y Subsidio Familiar del Ministerio del Trabajo y el número de cupos a financiar de acuerdo con el costo promedio establecido en el Anexo Técnico número 2 de la presente resolución.
PARÁGRAFO. Una vez vencido el término para la realización de la solicitud dispuesta en el presente artículo, el Ministerio del Trabajo expedirá el acto administrativo en el cual decida lo respectivo frente a la asignación de los recursos, en atención a las Cajas de Compensación Familiar que hagan uso de esta facultad.
ARTÍCULO 8o. VIGENCIA Y DEROGATORIAS. La presente resolución rige a partir de su publicación, modifica el artículo 7o y el anexo técnico de la Resolución número 4566 de 2016, y modifica los artículos 6o y 7o de la Resolución número 1530 de 2017, expedidas por este Ministerio.
Publíquese y cúmplase.
Dada en Bogotá, D. C., a 29 de noviembre de 2017.
El Ministra del Trabajo,
GRISELDA JANETH RESTREPO GALLEGO.
ANEXO TÉCNICO NÚMERO 1
DIAGNÓSTICO PARA ASIGNACIÓN DE RECURSOS POR CONVENIO
La Caja de Compensación Familiar Compensar, en aras de apoyar las iniciativas desarrolladas por el Gobierno nacional en pro de los jóvenes, podrá fortalecer la atención a la población objetivo del programa Estado Joven, mediante la celebración de convenios, hasta por un monto de $2.148.320.000. Es así que para poder cumplir con esta labor la CCF Compensar deberá contar con el presente diagnóstico realizado por el Ministerio del Trabajo, que presenta las CCF objeto de convenio y los recursos.
Este diagnóstico presenta el resultado del seguimiento que ha realizado el Ministerio del Trabajo con respecto a la eficiencia, eficacia y necesidad de los recursos en algunos departamentos para la ejecución del programa. Esto permitirá que más jóvenes y territorios resulten beneficiados por esta iniciativa y, en esta medida, participar en la construcción de una paz estable y duradera.
Una vez verificadas las plazas iniciales por CCF, se evidenció que algunas de estas no contaban con un mínimo plazas que permitiera la operación del programa, de allí la necesidad de buscar un mecanismo para la ampliación de cobertura.
Es así que revisada la información financiera de saldos 2015 del FOSFEC, se evidenció lo siguiente:
1. Para la ampliación de plazas, algunas CCF contaban con recursos en sus saldos 2015 que les permitían realizar apropiación.
2. Algunas CCF para ampliar su cobertura requieren apropiar recursos propios y de otra fuente.
3. Hay CCF que no cuentan con saldos 2015 del Fosfec y requieren ser financiados por otra fuente.
Por lo anterior, la asignación de recursos a través de convenios, permite que las CCF cumplan con un número de plazas de práctica mínimas, amplíen su cobertura y garanticen la operación del programa en su territorio, beneficiando así a más jóvenes y entidades públicas.
Es así que 8 departamentos serán beneficiados con esta iniciativa, pasando de 315 a 615 plazas de práctica a financiar, es decir un incremento del 105% con respecto a las plazas iniciales, tal como se relaciona a continuación:

Los departamentos del suroriente colombiano promoverán la participación de los jóvenes de Guainía, Vichada, Vaupés y Guaviare, en cuyos territorios no se adelantó operación del programa “Estado Joven” por parte de la Caja de Compensación Familiar Campesina (Comcaja).
ANEXO TÉCNICO NÚMERO 2
CAJAS QUE SUPERAN EL REGISTRO DE PLAZAS ASIGNADAS
Este anexo presenta las Cajas de Compensación Familiar cuyo registro de plazas de práctica realizado en la etapa de convocatoria de entidades públicas, superó los cupos asignados en más de un doscientos por ciento (200%) y que podrán acogerse a la asignación de saldos para la operación del programa “Estado Joven”, de acuerdo con la presente resolución, siempre y cuando cuenten con recursos disponibles en los saldos 2015 del Fosfec.

Los recursos a asignar se determinarán a partir del costo de una plaza de práctica ordinaria en la vigencia 2018, estimada en un valor de seis millones veinte mil pesos moneda legal ($6.020.000 moneda legal), que incluye el valor del auxilio de práctica, la cotización a los subsistemas de seguridad social en salud, pensiones y riesgos laborales, así como los gastos de administración e imprevistos.
Las notas de vigencia, concordancias, notas del editor, forma de presentación y disposición de la compilación están protegidas por las normas sobre derecho de autor. En relación con estos valores jurídicos agregados, se encuentra prohibido por la normativa vigente su aprovechamiento en publicaciones similares y con fines comerciales, incluidas -pero no únicamente- la copia, adaptación, transformación, reproducción, utilización y divulgación masiva, así como todo otro uso prohibido expresamente por la normativa sobre derechos de autor, que sea contrario a la normativa sobre promoción de la competencia o que requiera autorización expresa y escrita de los autores y/o de los titulares de los derechos de autor. En caso de duda o solicitud de autorización puede comunicarse al teléfono 617-0729 en Bogotá, extensión 101. El ingreso a la página supone la aceptación sobre las normas de uso de la información aquí contenida.