Derechos de autor reservados - Prohibida su reproducción

Inicio
 
Documento PDF Imprimir

Sentencia SU617/13

ACCION DE TUTELA CONTRA ACTO ADMINISTRATIVO DE TRAMITE O PREPARATORIOS-Improcedencia general

ACTO DE TRAMITE-Concepto

Sobre la procedencia excepcional de la acción de tutela frente a los actos administrativos de trámite, es importante precisar con respecto a su definición que estos no expresan en conjunto la voluntad de la administración, pues simplemente constituyen el conjunto de actuaciones intermedias, que preceden a la formación de la decisión administrativa que se plasma en el acto definitivo y, en la mayoría de los casos, no crean, definen, modifican o extinguen situaciones jurídicas. un acto de trámite puede tornarse definitivo cuando de alguna manera decida sobre la cuestión de fondo, o ponga fin a la actuación administrativa, de suerte que se haga imposible la continuación de ésta.

ACCION DE TUTELA FRENTE A ACTOS ADMINISTRATIVOS DE TRAMITE EN CONCURSO DE MERITOS-Procedencia excepcional

Contra los actos de trámite la acción de tutela solo procede de manera excepcional, cuando el respectivo acto tiene la potencialidad de definir una situación especial y sustancial dentro de la actuación administrativa y ha sido fruto de una actuación abiertamente irrazonable o desproporcionada del funcionario, con lo cual vulnera las garantías establecidas en la Constitución.

CONCURSO DE MERITOS PARA PROVEER CARGOS DE DOCENTES Y DIRECTIVOS DOCENTES-Convocatoria como norma reguladora

La Corte Constitucional ha considerado que el mecanismo de provisión de cargos públicos por medio del sistema de los concursos, es el componente idóneo para que el Estado, dentro de criterios de imparcialidad y objetividad, mida el mérito, las capacidades, la preparación y las aptitudes generales y específicas de los distintos aspirantes a un cargo, con el fin de escoger entre ellos a quien mejor pueda desempeñarlo, apartándose de consideraciones subjetivas, de preferencias o animadversiones y de toda influencia política, económica o de otra índole. Tratándose del concurso de méritos para la provisión de cargos docentes, el artículo 111.2 de la Ley 715 de 2001 concedió al Ejecutivo facultades extraordinarias para la expedición de un nuevo régimen de carrera docente y administrativa, dirigido a ofrecer regulación a las relaciones entre la administración y los docentes, directivos docentes y administrativos que ingresaran a partir de la promulgación de dicha Ley.

ESTATUTO DE PROFESIONALIZACION DOCENTE-Finalidad

El Presidente de la República expidió el Decreto 1278 de 2002, el cual contiene el estatuto de profesionalización docente que gobierna el ingreso, ascenso, retiro y, de manera general, los supuestos que rodean la permanencia del docente dentro del régimen especial de carrera que ha de aplicarse a la comunidad educativa. Uno de los fines esenciales que pretende ser realizado por medio de la aplicación de las disposiciones contenidas en tal estatuto consiste en garantizar “que la docencia sea ejercida por educadores idóneos, partiendo del reconocimiento de su formación, experiencia, desempeño y competencias como los atributos esenciales que orientan todo lo referente al ingreso, permanencia, ascenso y retiro del servidor docente”. El estatuto prevé el sistema de ingreso, permanencia y ascenso por medio de la valoración de aptitudes, experiencia y competencias básicas de los docentes. En él se define el concurso para ingreso al servicio educativo estatal, como un proceso de evaluación de aptitudes que termina con la elaboración de un listado de elegibles dispuestos ordenadamente según el resultado obtenido por los candidatos que hayan participado. Con la conformación de las listas se busca garantizar disponibilidad permanente para la provisión de vacantes en atención a la demanda del servicio educativo.

CONCURSO DE MERITOS PARA PROVEER CARGOS DE DOCENTES Y DIRECTIVOS DOCENTES-Caso en que se solicita ordenar al ICFES recalificar las pruebas dentro del concurso de méritos para cargos de docentes y directivos docentes

MULTIPLES DERECHOS DE PETICION-Requisitos para que mediante un escrito general se les pueda dar respuesta

Es aceptado por la Corte Constitucional que algunas peticiones sean resueltas de manera colectiva, siempre que cumplan los siguientes requisitos: (i) que exista un gran número de peticiones elevadas por personas diferentes acerca de un mismo punto; (ii) que se comunique la respuesta a los peticionarios directos para que puedan tener conocimiento de ella, lo que implica suficiente publicidad; y (iii) que se responda de fondo las solicitudes, requisitos que fueron atendidos por el instituto accionado.

DERECHO DE PETICION Y DERECHO DE INFORMACION-Procede recurso de insistencia de la ley 57/85 cuando entidad pública se niega a suministrar la información bajo el argumento de que es reservada

PRINCIPIO DE PUBLICIDAD DE ACTO ADMINISTRATIVO-Formas de notificación

Esta corporación ha reiterado que, en relación con el principio de publicidad de los actos administrativos, existen en el ordenamiento jurídico varios tipos de notificación, que razonablemente permiten inferir la realidad del enteramiento, que puede validar el legislador, en uso de su facultad de configuración, para que no sea inútilmente dispendiosa a la administración pública, en especial cuando se trate de actos administrativos que interesan a pluralidad o multitud de destinatarios, pudiéndose optar por una forma de notificación tradicional, como la publicación de una lista fijada en un lugar público, o por un medio electrónico, como el utilizado para la convocatoria, suponiéndose válidamente que ha de llegar de manera idónea a los mismos que respondieron tal convocatoria.

ACCION DE TUTELA CONTRA EL ICFES EN CONCURSO DE MERITOS PARA PROVEER CARGOS DE DOCENTES Y DIRECTIVOS DOCENTES-Improcedencia por cuanto procedimiento para la calificación de las pruebas se ajustó a los términos de las normas reguladoras

Se constata que el procedimiento adelantado por el ICFES para la calificación de las pruebas, se ajustó a los términos de las normas reguladoras y no vulnera ningún derecho fundamental de los demandantes, en cuanto era deber de la entidad eliminar las preguntas que generaban duda para dar estricto cumplimiento a las normas reguladoras del concurso y a las reglas sobre la calificación de las pruebas. El ICFES obró amparado en el cumplimiento de los principios superiores dentro de los que se desarrolla la función pública, a los que se debe sujetar todo concurso, a saber, igualdad de oportunidades, mérito, publicidad, objetividad, imparcialidad, confiabilidad, transparencia, validez, eficacia y eficiencia.

Referencia: Expedientes T-2687745, T-2692360, T-2695480, T-2707153, T-2709527, T-2712179, T-2715828, T-2724245, T-2724671, T-2727100, T-2727958, T-2728741, T-2.736.427, T-2736428, T-2737154, T-2739475, T-2771202, T-2771203, T-2771433, T-2771484, T-2773068, T-2773225, T-2774829, T-2775886, T-2777850, T-2779882, T-2781408, T-2781409 y T-2783291, acumulados.

Peticionarios: Doris Marcela Morales Hoyos y otros.

Entidad accionada: Instituto Colombiano para la Evaluación de la Educación, ICFES.

Magistrado ponente:

NILSON PINILLA PINILLA

Bogotá, D. C., cinco  (5) de septiembre dos mil trece (2013).

La Sala Plena de la Corte Constitucional, en cumplimiento de sus atribuciones constitucionales y legales, ha proferido la siguiente

SENTENCIA

En la revisión de los fallos adoptados por los respectivos juzgados y corporaciones de instancia, dentro de los asuntos de la referencia.

Mediante auto de junio 24 de 2010, la Sala Sexta de Selección decidió acumular entre sí los expedientes T-2687745, T-2692360 y T-2695840, y repartirlos al despacho del Magistrado sustanciador, por presentar unidad de materia, para ser fallados en una sola sentencia; posteriormente, la Sala Séptima de Selección, acumuló en julio 7 del mismo año, los expedientes T-707153, T-27<SEQ>09527 y T-2712179, que correspondieron por reparto al despacho de la Magistrada María Victoria Calle Correa.

En agosto 24 siguiente, la Sala Plena de la corporación decidió remitir a la Sala Sexta de Revisión los últimos expedientes citados, para acumularlos con los anteriores y fallarlos en una sola sentencia; igualmente, la Sala Séptima de Selección acumuló en julio 22 de 2010 los expedientes T-2715828, T-2724245, T-2724671, T-2727958, T-2736427, T-2736428 y T-2739475 que fueron así mismo repartidos a la Sala Sexta, para el mismo fin.

En sesión de septiembre 6 de 2010, la Sala Plena con fundamento en el inciso 1° del artículo 54A del Reglamento Interno de la Corte, modificado por el acuerdo 01 de diciembre 3 de 2008, dispuso que esas acciones presentadas contra el Instituto Colombiano para la Evaluación de la Educación, en adelante ICFES, fueran falladas por ella, mediante sentencia de unificación.

En auto de septiembre 7 de 2010, la Sala Novena de Selección decidió acumular y también remitir a la Sala Sexta de Revisión, por igual razón y para los mismos fines, los expedientes T-2727100, T-2728741, T-2737154, T-2771202, T-2771203, T-2771433, T-2771484, T-2773068, T-2773225, T-2774829, T-2775886, T-2777850, T-2779882, T-2781408, T-2781409 y T-2783291.

De esa manera, el suscrito Magistrado sustanciador, teniendo en cuenta la decisión adoptada por la Sala Plena y que efectivamente todos los expedientes antes relacionados guardan similitud en cuanto a hechos y pretensiones, evidenciando unidad de materia, asumió la acumulación de todos mediante auto de octubre 7 de 2010, suspendiendo los términos respectivos de acuerdo con lo preceptuado en el artículo 53 del Reglamento Interno de la Corte.

I. ANTECEDENTES.

A. Revisión metodológica del presente pronunciamiento.

Previamente, debe precisarse que si bien los asuntos bajo estudio en el presente juicio fueron expuestos mediante demandas separadas, éstas coinciden en sus aspectos esenciales: supuesto fáctico transgresor, material probatorio acopiado, entidad legitimada en la causa por pasiva[1], derechos fundamentales invocados y fundamentación jurídica empleada por los demandantes, razón por la cual, con fines de claridad expositiva y coherencia argumentativa, procederá a realizar un recuento en bloque sobre los hechos, diferenciando algunos elementos propios de cada caso, de ser ello necesario.

1. Identificación de los asuntos objeto de revisión.

A continuación, se relacionan los expedientes que fueron siendo acumulados al proceso de tutela T-2687745, con el nombre de los actores y la indicación de la respectiva entidad demandada:

EXPEDIENTEDEMANDANTEDEMANDADO
1T-2687745Doris Marcela Morales HoyosICFES
2T-2692360Norma Constanza Zabaleta RomeroICFES
3T-2695480Maribel Restrepo TobónICFES
4T-2707153Fabiola Huertas ForeroICFES
5T-2709527Alba Cecilia Forero RojasICFES
6T-2712179Luz Adela Zapata CorreaICFES
7T-2715828Adriana Alexandra Rodríguez Olaya ICFES
8T-2724245Gabriel Almendrales JiménezICFES
9T-2724671María Dolores Gómez TorresICFES
10T-2727100María Doris Agudelo VillarICFES
11T-2727958Yudis Díaz PalominoICFES
12T-2728741Pedro Triana TrianaICFES
13T-2736427Paola Mosquera MartínezICFES
14T-2736428Eduard Mosquera MenaICFES
15T-2737154Luz Ángela Suárez RodríguezICFES y CNSC
16T-2739475Nilda Dangelly Bermeo DoradoICFES y CNSC
17T-2771202José Montero Eskbenzon ICFES
18T-2771203Martha Lucía Patiño JaramilloICFES
19T-2771433Claudia Marcela Valbuena IsazaICFES
20T-2771484Oneida González ParraICFES y CNSC
21T-2773068Nydia Marlen Rodríguez MuñozICFES
22T-2773225Rafael Antonio Forero Ortiz ICFES
23T-2774829Wilson Hernández Benítez ICFES y CNSC
24T-2775886Aura María Gómez RiveraICFES y CNSC
25T-2777850Flor Stella Abril NovaICFES
26T-2779882Julieth Paola Garcés PosadaICFES
27T-2781408Gloria Sánchez NeiraICFES
28T-2781409Luz Mery Molina AlmanzaICFES
29T-2783291Jesús Antonio Buitrago TorresICFES

Atendiendo el número de procesos que fueron acumulados al expediente T-2687745, la información relacionada con las autoridades judiciales que dictaron los fallos únicos de instancia, y de primera y segunda instancia, junto con el sentido de los mismos, aparecen especificados en el cuadro que se anexa a esta sentencia, como parte integral suya.

2. La solicitud.

En general, todas las demandas acumuladas van dirigidas a procurar amparo para los derechos fundamentales al trabajo y al debido proceso; en algunos casos fueron además invocados los derechos de petición e información que, según afirman los demandantes, fueron desconocidos por el ICFES, en el acaecer que a continuación se sintetiza.

3. Hechos relevantes.

3.1. En los procesos sub examine, los actores manifestaron, básicamente, que se inscribieron a concurso abierto de méritos para proveer empleos vacantes de docentes y directivos docentes, de instituciones educativas oficiales en entes territoriales, dentro de las convocatorias 056 a 122 de 2009 de la CNSC.

3.2. Señalaron que en julio 5 de 2009 presentaron la prueba de aptitudes y competencias básicas, aplicada por el ICFES, compuesta por 100 preguntas, así: 40 de aptitud numérica, 30 de aptitud verbal y cuarenta 40 de competencias básicas, para un resultado final ponderado de esos componentes. Agregaron que dicha prueba tenía carácter eliminatorio y que el puntaje aprobatorio era de 60/100 para docentes y de 70/100 para directivos docentes.

3.3. Indicaron que al estar inconformes con los resultados obtenidos en dicha prueba[2], presentaron sendas reclamaciones ante el ICFES, en forma separada, entidad que sin embargo las resolvió conjuntamente en septiembre 8 de 2009, explicando: “Uno de los procesos posteriores a la aplicación de las pruebas consiste en revisar las preguntas reportadas como inconsistentes o dudosas por quienes presentaron el examen, a través del formulario dispuesto para tal fin en cada uno de los salones de aplicación. Si como producto de la revisión de dichas preguntas, se comprueban las inconsistencias reportadas, se procede a la eliminación de las mismas y a su exclusión del proceso de calificación.”[3] Refirió además: “Para el caso de la prueba aplicada el 5 de julio de 2009, el ICFES eliminó de la calificación las preguntas 39 y 47 de la prueba de aptitud numérica.”

3.4. Así, los demandantes adujeron que la prueba se calificó en forma indebida, al mantenerse sobre 100, según los parámetros establecidos para la convocatoria. En su sentir, cada pregunta de aptitud numérica tenía un valor de 3.57 (excluyendo las dos preguntas anuladas); las de aptitud verbal 3.33; y las de competencias básicas 2.50, pero la calificación aplicada por el ICFES a las pruebas no corresponde a un número exacto de preguntas acertadas.

3.5. Tratándose de la prueba de aptitud numérica, algunos peticionarios sostuvieron, desde diferentes perspectivas, que “el ICFES anuló dos preguntas, por ende el valor de cada pregunta debía ser 3.57 que por 28 preguntas finalmente válidas da un resultado de 100 puntos”, y refirieron específicamente lo que a continuación se reseña:

T-2687745“respondí 15 preguntas afirmativas de las 28 preguntas calificadas cuyo resultado sería 53.55 y no de 52.11, como se muestra en el informe de resultados, porque 3.57 x 15=53.55” (f. 4 cd. inicial respectivo).
T-2695480“respondí 17 preguntas afirmativas de las 28 preguntas calificadas cuyo resultado sería 56.66 y no de 56.59, como se muestra en el informe de resultados, porque 3.57 x 17=56.66” (f. 4 cd. inicial respectivo).
T-2724245“respondí 18 preguntas afirmativas de las 28 preguntas calificadas cuyo resultado sería 64.25 y no de 60.71, como se muestra en el informe de resultados, porque 3.57 x 18=64.25” (f. 4 cd. inicial respectivo).

Otro grupo de accionantes indicó que el valor de cada pregunta correspondía a 3.333, manifestando:

T-2712179“Si mi resultado en la prueba de aptitud numérica fue de 56.56 y dicho resultado lo divido por 3.333 me informa el número de respuestas acertadas que corresponden a 16.96 y si a ese resultado le sumo dos preguntas más, me daría un total de 18.96 preguntas acertadas que multiplicadas por 3.333 que valen cada una de las preguntas tendría un resultado de 63.226 en la prueba de aptitud numérica que sumado a la de aptitud verbal y a la de competencias me daría un resultado de más de 60 puntos que me permiten continuar en el proceso de la convocatoria y hacer parte del listado de elegibles.” (F. 3 cd. inicial respectivo).
T-2728741“Si mi resultado en la prueba de aptitud numérica fue de 61.10 y dicho resultado lo divido por 3.333 me informa el numero de respuestas acertadas que corresponden a 18  y si a ese resultado le sumo dos preguntas más, me daría un total de 20 preguntas acertadas que multiplicadas por 3.333 que valen cada una de las preguntas tendría un resultado de 66.66 en la prueba de aptitud numérica que sumado a la de aptitud verbal y a la de competencias me daría un resultado de más de 60 puntos que me permiten continuar en el proceso de la convocatoria y hacer parte del listado de elegibles. Lo mismo sucedería si, partiendo de que al anular las 2 preguntas quedaría un valor para cada pregunta acertada de 3.57 que multiplicado por el número de respuestas que fue de 71.4 también daría más del 60 por ciento que también me habilita para continuar en el concurso.” (F. 3 cd. inicial respectivo).
T-2736427“Si mi resultado en la prueba de aptitud numérica fue de 60.19 y dicho resultado lo divido por 3.333 me informa el numero de respuestas acertadas que corresponden a 18.05  y si a ese resultado le sumo dos preguntas más, me daría un total de 20.05 preguntas acertadas que multiplicadas por 3.333 que valen cada una de las preguntas tendría un resultado de 66.82 en la prueba de aptitud numérica que sumado a la de aptitud verbal y a la de competencias me daría un resultado de más de 60 puntos que me permiten continuar en el proceso de la convocatoria y hacer parte del listado de elegibles. Lo mismo sucedería si, partiendo de que al anular las 2 preguntas quedaría un valor para cada pregunta acertada de 3.57 que multiplicado por el número de respuestas que fue de 21.43 también daría más del 60 por ciento que también me habilita para continuar en el concurso.” (Fs. 2 y 3 cd. inicial respectivo).
T-2775886“Si mi resultado en la prueba de aptitud numérica fue de 56.65 y dicho resultado lo divido por 3.333 me informa el numero de respuestas acertadas que corresponden a 17 y si a ese resultado le sumo dos preguntas más, me daría un total de 19 preguntas acertadas que multiplicadas por 3.333 que valen cada una de las preguntas tendría un resultado de 63.32 en la prueba de aptitud numérica que sumado a la de aptitud verbal y a la de competencias me daría un resultado de más de 60 puntos que me permiten continuar en el proceso de la convocatoria y hacer parte del listado de elegibles.” (F. 3 cd. inicial respectivo).
T-2779882“Si mi resultado en la prueba de aptitud numérica fue de 59.16 y dicho resultado lo divido por 3.333 me informa el numero de respuestas acertadas que corresponden a 17.74, y si a ese resultado le sumo dos preguntas más, me daría un total de 19.74 preguntas acertadas que multiplicadas por 3.333 que valen cada una de las preguntas tendría un resultado de 65.79 en la prueba de aptitud numérica que sumado a la de aptitud verbal (57.06), y a la de competencias Básicas (59.21), me daría un resultado de 60.68 puntos que me permiten continuar en el proceso de la convocatoria y hacer parte del listado de elegibles. Lo mismo sucedería si, partiendo de que al anular las 2 preguntas quedaría un valor para cada pregunta acertada de 3.57 que multiplicado por el número de respuestas acertadas que fue de 21.31, también daría más del 60 por ciento que también me habilita para continuar en el concurso.” (Fs. 5 y 6 cd. inicial respectivo).
T-2781409“Si mi resultado en la prueba de aptitud numérica fue de 55.63 y dicho resultado lo divido por 3.333 me informa el numero de respuestas acertadas que corresponden a 16.69, y si a ese resultado le sumo dos preguntas más, me daría un total de 18.69 preguntas acertadas que multiplicadas por 3.333 que valen cada una de las preguntas tendría un resultado de 62.29 en la prueba de aptitud numérica que sumado a la de aptitud verbal (57.06), y a la de competencias Básicas (59.21), me daría un resultado de 60.68 puntos que me permiten continuar en el proceso de la convocatoria y hacer parte del listado de elegibles. Lo mismo sucedería si, partiendo de que al anular las 2 preguntas quedaría un valor para cada pregunta de 3.57 que multiplicado por el número de respuestas acertadas que fue de 18.69, también daría más del 60 por ciento que también me habilita para continuar en el concurso.” (F. 3 cd. inicial respectivo).

3.6. En los expedientes T-2692360, T-2707153, T-2709527, T-2715828, T-2724671, T-2727100, T-2727958, T-2737154, T-2739475, T-2771202, T-2771203, T-2771433, T-2771484, T-2773068, 2773225, 2774829, 2777850, 2781408 y T-2783291, los accionantes no precisaron ni supusieron la cantidad de respuestas correctas, afirmando que del puntaje obtenido resultó imposible deducir cuántas fueron contestadas acertadamente.

3.7. Las razones por las cuales los actores estimaron vulnerados sus derechos al debido proceso y al trabajo, las ubican fundamentalmente bajo tres argumentos. En primer lugar, no se les informó antes de publicar los puntajes obtenidos que habían sido eliminadas las preguntas 39 y 47 del componente de aptitud numérica, situación que les impidió controvertir tal decisión. En segundo término, la prueba no fue calificada siguiendo los parámetros establecidos en el artículo 1° de la Ley 1324 de 2009[4]. Tercero, el ICFES erró al manifestar que anuló las preguntas 39 y 47, ya que éstas no existían, pues la prueba de aptitud numérica solo tenía 30 preguntas.

3.8. En los expedientes T-2707153, T-2771202, T-2771203, T-2771433, T-2771484, T-2773068, T-2773225, T-2774829, T-2777850, T-2781408, T-2783291, T-2779882 y T-2781409, además de las razones anteriormente expuestas, los accionantes manifestaron que el ICFES desconoció sus derechos de petición e información, como quiera que la respuesta emitida de manera conjunta para todos los peticionarios no era satisfactoria, y dicha entidad no accedió a entregar copia del cuadernillo de preguntas y respuestas.

3.9. Con relación al derecho a la igualdad, de manera general sostuvieron que mediante providencia de diciembre 10 de 2009, la Sección Quinta del Consejo de Estado accedió al amparo del derecho fundamental al debido proceso de alguien que se encontraba en una situación similar.

4. Pretensiones formuladas por los accionantes.

4.1. Con fundamento en los hechos relacionados, los actores solicitaron ordenar al ICFES recalificar la prueba, bajo los parámetros establecidos en la convocatoria y, por tanto, dar a cada pregunta el mismo valor, para permitir inferir el número de preguntas contestadas correctamente. Solicitaron además que por “favorabilidad”, se sumara al resultado de sus puntuaciones el valor de las dos preguntas anuladas por carecer de una posible respuesta.

4.2. En los expedientes T-2707153, T-2771202, T-2771203, T-2771433, T-2771484, T-2773068, T-2773225, T-2774829, T-2777850, T-2781408, T-2783291, T-2779882 y T-2781409, los demandantes solicitaron que se ordenara al ICFES la expedición de las copias del cuadernillo de preguntas y respuestas, con la indicación de las que fueron resueltas acertadamente.

B. DOCUMENTOS RELEVANTES CUYA COPIA OBRA EN LOS EXPEDIENTES.

Las pruebas relevantes comúnmente aportadas a los trámites de tutela, todas de naturaleza origen documental, son las siguientes:

1. Acuerdo 029 de marzo 25 de 2009 (“Por el cual se convoca a concurso abierto de méritos para proveer los empleos vacantes de docentes y directivos docentes de instituciones educativas oficiales del Departamento de Antioquia”).

2. Ley 1324 de julio 13 de 2009 ("Por la cual se fijan parámetros y criterios para organizar el sistema de evaluación de resultados de la calidad de la educación, se dictan normas para el fomento de una cultura de la evaluación, en procura de facilitar la inspección y vigilancia del Estado y se transforma el Icfes”).

3. Convenio Interadministrativo N° 100, suscrito entre la CNSC y el ICFES, en abril 20 de 2009.

4. Guía de Contenido Mínimo para los Manuales de Procesamiento y Reportes, para la calificación del concurso docente de 2009.

5. Comunicado de septiembre 8 de 2009, proferido por el ICFES, dando respuesta conjunta a las reclamaciones, recursos, derechos de petición y demás escritos recibidos, con ocasión de la publicación de resultados efectuada en agosto 21 de ese año.

6. Fallo de diciembre 10 de 2009, proferido por la Sección Quinta del Consejo de Estado, dentro de la acción de tutela instaurada por Ofelia Arelis Gómez Duque contra el ICFES.

7. Cada accionante aportó copia del resultado de su examen y de las reclamaciones presentadas ante el ICFES.

C. RESPUESTA DE LAS ENTIDADES ACCIONADAS.

1. Instituto Colombiano para la Evaluación de la Educación, ICFES.

1.1. Mediante escritos de contenido similar, la Jefe de la Oficina Asesora Jurídica del ICFES se opuso a las pretensiones de los demandantes, indicando que las acciones eran improcedente por cuanto los peticionarios disponían de otros medios de defensa judicial para controvertir la legitimidad y validez del concurso. Para sustentar sus afirmaciones invocó previamente que el marco normativo del concurso dispuesto para las convocatorias 056 a 122 de 2009, está compuesto por los Decretos Ley 1278 de 2002 y 3982 de 2006.

1.2. Expuso que acorde con el artículo 3° del Decreto 3982 de 2006, al ICFES le corresponde diseñar, elaborar y aplicar las pruebas de aptitudes, competencias básicas y psicotécnicas de los concursos para docentes, así como calificar y divulgar los resultados obtenidos por los concursantes, en concordancia con el artículo 15 del Decreto 2232 de 2003.

1.3. Tratándose del reproche de los accionantes acerca de la forma como fueron ponderadas las pruebas de aptitudes y competencias básicas, explicó que el ICFES actuó conforme a la regulación establecida por el Gobierno Nacional y la CNSC; acerca de la primera, indicó haber cumplido con lo dispuesto en el artículo 13 del Decreto 3982 de 2006, el cual dispone:

“Valoración de las pruebas, antecedentes y entrevistas. Los resultados que obtengan los aspirantes a cargos de docentes y directivos docentes del servicio educativo estatal, en cada una de las pruebas, valoración de antecedentes y entrevistas, se expresarán en una calificación numérica en la escala de cero (0) a cien (100) puntos, para su registro y clasificación el puntaje incluirá una parte entera de dos (2) decimales.

La clasificación mínima para superar cada una de las pruebas de aptitudes y competencias básicas y psicotécnicas, y por ende, ser admitido la valoración de antecedentes y entrevista, es de sesenta (60,00) puntos para cargos docentes, y setenta (70,00) puntos para cargos directivos y docentes.

El resultado final del concurso obtenido por cada aspirante, se expresará en escala de cero (0) a cien (100) puntos, con una parte entera y dos (2) decimales.”

1.4. Con relación a la regulación de la CNSC sobre la ponderación de pruebas, indicó que se halla en el artículo 19 del Acuerdo 29 de 2009, expedido dentro del contexto normativo previsto en el Decreto 3982 de 2006, que atribuye al ICFES la competencia para agotar la primera etapa del concurso, que es la prueba de aptitudes, la cual comprende: aptitud numérica, aptitud verbal y de competencias básicas, con carácter eliminatorio y clasificatorio, para docentes con la aprobación de 60 puntos sobre cien 100, con valor en el concurso de 55%, y para directivos docentes con 70 puntos sobre 100, con valor en el concurso de 45%; para efectos de la ponderación, señaló haber estimado el número de preguntas que conformaba cada uno de los componentes de la prueba (aptitud numérica, verbal y de competencias básicas).

1.5. Indicó que para instituir el proceso de selección, en consenso con la CNSC, estableció el documento técnico denominado “Guía de Contenido Mínimo para los Manuales de Procesamiento y Reportes”; en el numeral 5° de dicho documento se implementó que el promedio de la prueba se establecería según el tamaño relativo de cada componente, es decir, para aptitud verbal y matemática se ponderaría por 3 respectivamente, y las competencias específicas por 4; para obtener el promedio se realizaría la suma de los valores ponderados de habilidad, y se dividiría entre el número total de ponderación, que para el caso es 10.

1.6. Manifestó además que el procedimiento de calificación de las pruebas aplicadas fue aprobado mediante Acta de Reunión N° 1 de agosto 13 de 2009, suscrita entre el ICFES y la CNSC, y que a la luz de este, el ejercicio de ponderación propuesto por los demandantes carece de validez, toda vez que dos preguntas, específicamente la 39 y la 47, no fueron consideradas en la evaluación porque, según advertencias de los participantes, estuvieron mal formuladas, lo cual conllevó a la modificación de los factores de ponderación.

Agregó que este hecho ocurrió como parte del procedimiento de calificación, en el cual se realizó primero la revisión de las preguntas que fueron reportadas con problemas de formulación durante la aplicación de la prueba, y como resultado de dicho análisis, se eliminaron dos preguntas de aptitud numérica, procedimiento que se surtió antes de la calificación de la prueba y acorde a la Guía de Contenido Mínimo para los Manuales de Procesamiento y Reportes, por lo cual, consideró que no tendría sentido otorgarle a algunos participantes un puntaje adicional como consecuencia de su supresión, máxime cuando una decisión en tal sentido comportaría desconocer los derechos al debido proceso y a la igualdad de los demás concursantes.

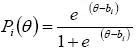
1.7. En cuanto al cálculo que realizaron los accionantes de la ponderación de sus puntajes, sostuvo que erraron al atribuir a todas las respuestas el mismo valor, ya que la calificación se realizó a partir del Modelo de Rasch, el cual “asigna, con base en la totalidad de las respuestas de todos los evaluados, no solo las habilidades de éstos sino también, simultáneamente y en la misma escala, la dificultad de cada una de las preguntas aplicadas. Como resultado de esta doble asignación la habilidad de un evaluado que tiene N respuestas correctas corresponde al nivel de dificultad de la N-ésima pregunta, cuando estas se ordenan por su dificultad. La habilidad de un evaluado no resulta de esta forma proporcional al número de respuestas que responde correctamente; por lo tanto no es correcto multiplicar por un número de puntos el número de respuestas correctas para obtener el puntaje de los evaluados como hacen los demandantes”.

1.8. La demandada expresó además que el fallo proferido por la Sección Quinta del Consejo de Estado en diciembre 10 de 2009, únicamente tiene efectos inter partes, de modo que no es posible extender sus efectos a los supuestos de hecho aquí alegados, tanto menos, cuando en dicho asunto se accedió al amparo en aplicación de la presunción de veracidad.

1.9. En torno al derecho al trabajo que reclaman los accionantes, afirmó que la adquisición de la condición de participante en un proceso de selección, como el referido, no otorga derecho a acceder a los cargos públicos vacantes, pues para ello es necesario agotar todas las etapas del concurso, superar las pruebas y los puntajes requeridos y, finalmente, conformar la lista de elegibles; hasta tanto ocurra todo esto, los participantes sólo tendrán una mera expectativa de continuar en el concurso.

1.10. Frente a la solicitud de varios de los actores para que el material del examen (cuadernillo y hojas de respuesta) fuera entregado para realizar la recalificación, indicó que éste tiene un carácter confidencial y de uso exclusivo de los concursantes, acorde con la Ley 1324 de 2009. Así, concluyó que las pretensiones de los actores deben ser negadas, al haberse actuado conforme a los lineamientos establecidos por las normas vigentes.

2. Comisión Nacional del Servicio Civil, CNSC.

2.1. La asesora jurídica de la CNSC respondió en los expedientes T-2737154, T-2739475, T-2775886 y T-2771484, afirmando que la acción es improcedente por falta de inmediatez; pues los supuestos fácticos invocados ocurrieron hace más de 8 meses y en la actualidad todas las etapas del concurso para docentes y directivos docentes están agotadas.

2.2. Manifestó que según lo dispuesto en el artículo 30 de la Ley 909 de 2004, la CNSC celebró con el ICFES el convenio interadministrativo N° 100 de 2009 para la realización de las pruebas de aptitudes, competencias básicas y prueba psicotécnica de las convocatorias 056 a 122 para proveer cargos docentes y directivos docentes. Entre las obligaciones del ICFES está procesar los resultados, al igual que calificar y entregar la correspondiente base de datos a la CNSC para su verificación y publicación, recibir los informes de la aplicación entregados por los delegados y atender las reclamaciones.

2.3. Adujo que la prueba de aptitud y competencias básicas estaba conformada por un componente de aptitud numérica con 30 preguntas (30% del valor), uno de aptitud verbal con 30 preguntas (30% del valor) y otro de competencias básicas con 40 preguntas (40% del valor); el puntaje total de la prueba de aptitudes y competencias básicas es el resultado ponderado de esos tres, siendo la prueba funcional eliminatoria, con un puntaje mínimo de 60 puntos; por ello, los actores que no lo alcanzaban debían ser excluidos del proceso.

2.4. Por último, aseguró que no ha incurrido en el presunto desconocimiento de los derechos fundamentales invocados y que el ICFES dio respuesta a todas las reclamaciones, de conformidad con las normas vigentes; por ello, solicitó la desvinculación de la CNSC, o negar el amparo.

D. DECISIONES JUDICIALES OBJETO DE REVISIÓN.

1. Cuestión previa.

Tal como se anotó en el acápite correspondiente a la identificación de los asuntos sujetos a revisión, en el cuadro siguiente aparecen las decisiones adoptadas por los diferentes despachos judiciales que conocieron las acciones de tutela objeto del presente pronunciamiento, de manera que, para efectos de verificar las determinaciones que fueron adoptadas en cada caso concreto, se puede acudir a este cuadro.

No obstante, atendiendo que se presentó disparidad entre las decisiones judiciales, ya que en 15 de ellas se denegó o rechazó la pretensión y en 14 se concedió, la Corte estima necesario efectuar muy breves referencias.


Exp

Accionante

Accionado

Primera
Instancia

Segunda
Instancia
12687745Doris Marcela Morales HoyosICFESTribunal Administrativo de Antioquia, Sala Cuarta de Decisión. Febrero 19 de 2010.

CONCEDE
Con presunción de veracidad, en cuanto el ICFES contestó tardíamente. Ordena el incremento (6.666%) al puntaje total del examen por la eliminación de dos preguntas, y por ende, la recalificación de este hasta 60 puntos como máximo, con las consecuencias que acarree el nuevo resultado.
Consejo de Estado, Sala de lo Contencioso Administrativo, Sección Quinta. Abril 29 de 2010.

CONFIRMA.
Por las mismas razones del a quo. No obstante, modificó la orden al aclarar que se adicionara el 6.666%, sin límite alguno.
22692360Norma Constanza Zabaleta RomeroICFESJuzgado Tercero Penal del Circuito con Funciones de Conocimiento de Neiva. Abril 30 de 2010.

CONCEDE
Con presunción de veracidad, en cuanto el ICFES contestó tardíamente. Ordena el incremento (6.666%) al puntaje total del examen por la eliminación de dos preguntas, y por ende, la recalificación de este con las consecuencias que acarree el nuevo resultado.
32695480Maribel Restrepo TobónICFESTribunal Administrativo de Antioquia, Sala Segunda de Decisión. Abril 20 de 2010.

CONCEDE.
Ordena tener como calificación de la accionante 60.00 puntos en la prueba de aptitud numérica.
42707153Fabiola Huertas ForeroICFESJuzgado Primero de Familia de Neiva. Mayo 13 de 2010.

CONCEDE.
Con presunción de veracidad, en cuanto el ICFES contestó tardíamente. Ordena el incremento del puntaje total del examen por la eliminación de dos preguntas y por ende, la recalificación de este con las consecuencias que acarree el nuevo resultado.
52709527Alba Cecilia Forero RojasICFESJuzgado Trece Laboral del Circuito de Bucaramanga. Mayo 4 de 2010.

CONCEDE.
Ordena el incremento del puntaje total del examen por la eliminación de dos preguntas y por ende, la recalificación de este con las consecuencias que acarree el nuevo resultado.
62712179Luz Adela Zapata CorreaICFESJuzgado Promiscuo Municipal de Caicedo, Antioquia. Mayo 18 de 2010.

CONCEDE.
Con presunción de veracidad, en cuanto el ICFES contestó tardíamente. Ordena la recalificación del examen con el aumento de 7.14 puntos correspondientes a las dos preguntas anuladas.
72715828Adriana Alexandra Rodríguez Olaya ICFESTribunal Administrativo de Cundinamarca, Sección Segunda, Subsección B. Mayo 12 de 2010.

CONCEDE.
Ordena la recalificación del examen, estimando  correctas las dos preguntas que fueron excluidas.
82724245Gabriel Almendrales JiménezICFESTribunal Administrativo de Antioquia. Abril 26 de 2010.

CONCEDE.
Con presunción de veracidad, en cuanto el ICFES contestó tardíamente. Ordena el incremento (6.666%) al puntaje total del examen por la eliminación de dos preguntas, y por ende, la recalificación de este hasta 60 puntos como máximo, con las consecuencias que acarree el nuevo resultado.
92724671María Dolores Gómez TorresICFESJuzgado Cuarto Civil del Circuito de Neiva. Junio 10 de 2010.

CONCEDE.
Con presunción de veracidad, en cuanto el ICFES contestó tardíamente. Ordena el incremento de (6.666%) al puntaje total del examen por la eliminación de dos preguntas y por ende, la recalificación de este con las consecuencias que acarree el nuevo resultado.
102727100María Doris Agudelo VillarICFESJuzgado Veinticuatro Civil del Circuito de Bogotá. Mayo 7 de 2010.

NIEGA.
Considera que hubo falta de inmediatez en la presentación de la tutela, puesto que pasaron ocho meses desde la publicación de los resultados. No obstante, CONCEDE el derecho de petición y ordena responder la solicitud de revisión del examen.
Tribunal Superior del Distrito Judicial de Bogotá. Junio 9 de 2010.

CONFIRMA.
Por la misma razón del a quo, además de considerar que se ha dado un trato igual a todos los concursantes.
REVOCA.
Por hecho superado mediante comunicado publicado en la página web de la entidad accionada.
112727958Yudis Díaz PalominoICFESJuzgado Sexto Penal del Circuito con Funciones de Conocimiento de Cúcuta. Mayo 18 de 2010.

CONCEDE.
Ordena la adición de 6.666 puntos a la calificación del examen de la accionante que sería el valor de las dos preguntas que fueron excluidas.
122728741Pedro Triana TrianaICFESJuzgado Décimo Administrativo del Circuito de Bogotá. Mayo 26 de 2010.

NIEGA.
Existen otros medios de defensa judicial y no se demostró la existencia de un perjuicio irremediable.
132736427Paola Mosquera MartínezICFESJuzgado Primero Penal del Circuito de Turbo, Antioquia. Mayo 20 de 2010.

CONCEDE.
Con presunción de veracidad, en cuanto el ICFES contestó tardíamente. Ordena el incremento del puntaje total del examen por la eliminación de dos preguntas, y por ende, la recalificación de este con las consecuencias que acarree el nuevo resultado.
142736428Eduard Mosquera MenaICFESJuzgado Primero Penal del Circuito de Turbo, Antioquia. Mayo 27 de 2010.

CONCEDE.
Con presunción de veracidad, en cuanto el ICFES contestó tardíamente. Ordena el incremento del puntaje total del examen por la eliminación de dos preguntas y por ende, la recalificación de este con las consecuencias que acarree el nuevo resultado.
152737154Luz Ángela Suárez RodríguezICFES y CNSCTribunal Administrativo de Boyacá. Abril 29 de 2010.

NIEGA.
Considera que existen otros medios de defensa judicial y que hubo falta de inmediatez por dejar trascurrir seis meses desde la publicación de resultados para recurrir a la acción de tutela.
162739475Nilda Dangelly Bermeo DoradoICFES y CNSCJuzgado Primero Promiscuo del Circuito de La Plata, Huila. Mayo 6 de 2010.

NIEGA.
En protección al principio de la autonomía administrativa y por falta de inmediatez.
Tribunal Superior del Distrito Judicial de Neiva. Junio 18 de 2010.

REVOCA.
Ordena la recalificación de la prueba practicada a la accionante, sumando como acertadas las preguntas que fueron excluidas.
172771202José Montero Eskbenzon ICFESJuzgado Cuarenta y cuatro Administrativo del Circuito  de Bogotá. Junio 4 de 2010.

CONCEDE.
Con presunción de veracidad, en cuanto el ICFES contestó tardíamente. Ordena la adición de 6.666 puntos a la calificación del examen de la accionante que sería el valor de las dos preguntas que fueron excluidas.
Tribunal Administrativo de Cundinamarca, Sección Segunda, Subsección A. junio 30 de 2010.

REVOCA.
No encuentra vulneración a derechos fundamentales, ya que el modelo de calificación que fue utilizado atribuye valores diferentes a cada respuesta según su complejidad, lo cual el actor no tuvo en cuenta.
182771203Martha Lucía Patiño JaramilloICFESJuzgado Veintiuno Administrativo del Circuito de Bogotá. Junio 4 de 2010.

CONCEDE.
En cuanto al derecho de petición (revisión de los resultados).
Tribunal Administrativo de Cundinamarca. Sección Segunda, Subsección A. Julio 13 de 2010.

CONFIRMA.
Por la misma razón.
192771433Claudia Marcela Valbuena IsazaICFESJuzgado Doce Administrativo de Descongestión del Circuito de Bogotá. Junio 23 de 2010.

NIEGA.
No encuentra vulneración a derechos fundamentales, porque el modelo de calificación que fue utilizado atribuye valores diferentes a cada respuesta según su complejidad, lo cual el actor no tuvo en cuenta y la petición de recalificación fue resuelta mediante comunicado en la página web de la entidad.
Tribunal Administrativo de Cundinamarca, Sección Segunda, Subsección B. Julio 29 de 2010.

CONFIRMA.
“Es del caso precisar que si bien esta Sala anteriormente venía acogiendo lo dicho por la Sección Quinta del Consejo de Estado, en esta oportunidad se aparta de esta tesis, dado que el ICFES presentó un informe a través del cual explicó el método que utilizó para calificar las pruebas realizadas… y desvirtuó la regla de tres simple empleada por el demandante…” No se asumen como acertadas las preguntas que fueron excluidas ya que a estas nunca se les dio un valor ni se tuvieron en cuenta al momento de la calificación.
202771448Oneida González ParraICFES y CNSCJuzgado Cuarenta y cuatro Civil del Circuito de Bogotá. Julio 14 de 2010.

NIEGA.
No se pueden tener como acertadas las preguntas que fueron excluidas ya que a estas nunca se les dio un valor ni se  tuvieron en cuenta al momento de la calificación.
212773068Nydia Marlen Rodríguez MuñozICFESJuzgado Treinta y uno Administrativo del Circuito de Bogotá. Junio 21 de 2010.


NIEGA.
No se pueden tener como acertadas las preguntas que fueron excluidas ya que a estas nunca se les dio un valor ni se  tuvieron en cuenta al momento de la calificación.
Tribunal Administrativo de Cundinamarca, Sección Cuarta, Subsección B. Julio 22 de 2010.

CONFIRMA.
Por la misma razón del a quo, y respecto al derecho al trabajo; las pruebas únicamente generan una expectativa.
222773225Rafael Antonio Forero Ortiz ICFESTribunal Administrativo de Cundinamarca, Sección Segunda, Subsección A. Mayo 7 de 2010.

NIEGA.
No encuentra vulneración al debido proceso en la metodología utilizada para calificar (Método de Rasch) ya que las preguntas eliminadas no se tuvieron en cuenta para la determinación del puntaje de cada concursante.
Consejo de Estado, Sala de lo Contencioso Administrativo, Sección Segunda. Julio 7 de 2010.

CONFIRMA.
Por la misma razón del a quo, y respecto al derecho al trabajo; las pruebas únicamente generan una expectativa.
232774829Wilson Hernández Benítez ICFES y CNSCTribunal Administrativo de Cundinamarca, Sección Segunda, Subsección A. Junio 1° de 2010.


NIEGA.
La actuación del ICFES se ajustó a la normatividad general del concurso de docentes y a la convocatoria.
Consejo de Estado,  Sala de lo Contencioso Administrativo. Sección Segunda. Julio 14 de 2010.

CONFIRMA.
La metodología utilizada incluye el uso de variables como la dificultad de la pregunta y el tiempo en ser resuelta, por lo que una sumatoria de las preguntas excluidas como si hubiesen sido acertadas, no corresponde a los parámetros fijados por la entidad accionada para la convocatoria.
242775886Aura María Gómez RiveraICFES y CNSCJuzgado Segundo de Familia del Circuito de Manizales. Mayo 21 de 2010.

NIEGA.
Existen otros medios de defensa judicial y no se demostró la existencia de un perjuicio irremediable.
Tribunal Superior del Distrito Judicial de Manizales, Sala Civil Familia. Junio 24 de 2010.

CONFIRMA.
Por las mismas razones del a quo.
252777850Flor Stella Abril NovaICFESJuzgado Sexto Administrativo de Descongestión del Circuito de Bogotá. Junio 21 de 2010.

DECLARA IMPROCEDENTE.
No encuentra cambios en las condiciones del concurso, y considera resueltas las peticiones mediante la publicación que hizo la entidad en la página web.
Considera que no se vulnera el derecho al trabajo ya que el concurso genera una mera expectativa.
Tribunal Administrativo de Cundinamarca, Sección Cuarta, Subsección B. Julio 23 de 2010.

REVOCA Y NIEGA.
La actuación del ICFES se ajustó al procedimiento previsto y le dio igual trato a todos los concursantes.
Considera que no se vulnera el derecho al trabajo, ya que el concurso genera una mera expectativa.
262779882Julieth Paola Garcés PosadaICFESJuzgado Primero Penal del Circuito de Turbo, Antioquia. Junio 22 de 2010.

CONCEDE.
Con presunción de veracidad, en cuanto el ICFES contestó tardíamente. Ordena el incremento del puntaje total del examen por la eliminación de dos preguntas y por ende, la recalificación de este con las consecuencias que acarree el nuevo resultado.
272781408Gloria Sánchez NeiraICFESJuzgado Veintiséis Administrativo del Circuito de Bogotá. Mayo 12 de 2010.

NIEGA.
Existen otros medios de defensa y no se demostró la existencia de un perjuicio irremediable, pues el concurso genera una mera expectativa de trabajo y no materializa el derecho.

La presentación de la demanda de tutela ocurrió nueve meses después de la publicación de los resultados, por lo que hubo falta de inmediatez.

Por otro lado, las peticiones presentadas por los concursantes, fueron resueltas de manera conjunta en la página web de la entidad.  
Tribunal Administrativo de Cundinamarca, Sección Tercera, Subsección B. Junio 30 de 2010.

MODIFICA Y DECLARA IMPROCEDENTE.
En cuanto a los derechos al debido proceso, a la igualdad y al trabajo ya que el accionante tuvo a su alcance los mecanismos ordinarios previstos y no los utilizó.

CONFIRMA.
En lo referente al derecho de petición, por las mismas razones del a quo.
282781409Luz Mery Molina AlmanzaICFESJuzgado Treinta Administrativo del Circuito de Bogotá. Junio 9 de 2010.

NIEGA.
Existen otros medios de defensa judicial y no se demostró la existencia de un perjuicio irremediable.
Tribunal Administrativo de Cundinamarca. Sección Tercera, Subsección B. Julio 28 de 2010.

DECLARA IMPROCEDENTE.
Considera que la acción de tutela es improcedente porque la accionante no acudió a los mecanismos ordinarios de defensa que tenía a su alcance.
292783291Jesús Antonio Buitrago TorresICFESJuzgado Treinta y cuatro Administrativo del Circuito de Bogotá. Junio 8 de 2010.

NIEGA.
El accionante pudo acudir a la acción de nulidad y restablecimiento del derecho, ya que la causa del daño está contenida en un acto administrativo.
Tribunal Administrativo de Cundinamarca, Sección Segunda, Subsección D. Julio 29 de 2010.

CONFIRMA.
La entidad accionada se ajustó a los parámetros establecidos para la calificación, tuvo un trato igualitario entre los concursantes y resolvió sus peticiones de manera conjunta en la página web.

2. Planteamientos generales contenidos en los fallos de instancia.

En los casos en que las pretensiones fueron negadas, las consideraciones de los jueces se soportaron básicamente en los siguientes argumentos:

2.1. Señalaron que el amparo era improcedente para resolver el conflicto, por cuanto no avizoraron un perjuicio irremediable, no sólo atendiendo la falta de inmediatez, sino por la existencia de otro mecanismo judicial idóneo, a saber, la acción de nulidad y restablecimiento del derecho, ante el cual ningún accionante demostró que generaría una carga excesiva por sus condiciones especiales, para que fuese procedente acudir a la tutela.

2.1.1. Indicaron que los actores interpretaron en forma errónea la respuesta a las reclamaciones dada por el ICFES, pues allí se expresó que la prueba de aptitud numérica estaba conformada por 30 preguntas, y en ningún momento que su numeración correspondía de la 1° a la 30, por lo que no puede tacharse como indicio de falsedad el haber señalado que las preguntas eliminadas fueron la 39 y la 47, mucho menos atendiendo que el examen contenía 100 preguntas.

2.1.2. Consideraron que el ICFES dio estricto cumplimiento a la normatividad aplicable a la convocatoria, con apoyo en la Guía de Contenido Mínimo para los Manuales de Procesamiento y Reportes, aprobada por el propio ICFES y la CNSC, y antes de cualquier procesamiento de datos fueron eliminadas las preguntas 39 y 47, al apreciar que estaban mal formuladas, por lo cual se realizó la respectiva ponderación para todos los participantes del concurso.

Agregaron que los mecanismos utilizados y la ponderación se realizó en debida forma y en igualdad de condiciones a todos los participantes, y se constató que la entidad informó a los concursantes en la página web, que las preguntas anuladas fueron descartadas antes de aplicar el modelo de Rash; de tal manera, antes de calificar la prueba de aptitudes y competencias básicas para todos, ya se habían modificado los factores de ponderación.

2.1.3. En estos fallos se concluyó la no vulneración de los derechos de petición e información, pues los accionantes ejercieron el derecho de defensa, y en respuesta a ello el ICFES emitió el comunicado de septiembre 8 de 2009, analizando conjuntamente las reclamaciones de los concursantes. Es aceptado por la Corte Constitucional que algunas peticiones sean resueltas de manera colectiva, siempre que cumplan los siguientes requisitos: (i) que exista un gran número de peticiones elevadas por personas diferentes acerca de un mismo punto; (ii) que se comunique la respuesta a los peticionarios directos para que puedan tener conocimiento de ella, lo que implica suficiente publicidad; y (iii) que se responda de fondo las solicitudes, requisitos que fueron atendidos por el instituto accionado.

2.1.4. Tratándose del presunto quebrantamiento del derecho al trabajo, se explicó que la participación en el concurso de méritos constituye una mera expectativa de acceder al empleo para el cual se concursó.

2.2. En los fallos proferidos accediendo a las pretensiones invocadas, se consideró que la acción de tutela era el mecanismo expedito para solucionar el conflicto presentado, ya que llevarlo a un proceso común no resultaría idóneo para que los interesados pudiesen continuar en el concurso. También estimaron, en general, que la eliminación de las dos preguntas fue una decisión arbitraria del ICFES, que no cumplió con el requisito de publicidad.

2.2.1. Expresaron que era procedente amparar el derecho al debido proceso de los actores, ya que la metodología que planteaban para la calificación en nada resultaba descabellada, pues acudieron a una operación indicada por el sentido común, como es dividir el máximo puntaje posible por el número de preguntas formuladas y multiplicar ese guarismo por el número de aciertos.

2.2.2. Determinaron que el puntaje o calificación publicado por el ICFES en la prueba de aptitud numérica de los accionantes, debía incrementarse hasta en 6.666, porcentaje de las 2 preguntas anuladas. En tal medida, ordenaron al ICFES recalificar el resultado total de la prueba de aptitudes y competencias básicas, con las consecuencias que acarrease el nuevo resultado.

2.2.3. Por otro lado, dichas providencias coincidieron en denegar el amparo del derecho al trabajo, pues en la etapa del concurso en la cual se encontraban los participantes, sólo se materializaba una mera expectativa.

2.2.4. Abordando una situación específica, cabe anotar que en el expediente T-2727100 el a quo negó la pretensión de recalificación por falta de inmediatez en el ejercicio de la acción, pero concedió el amparo al derecho de petición, por cuanto no se allegó al expediente la contestación a la solicitud de ese actor. Empero, el ad quem confirmó la denegación pero revocó el amparo al derecho de petición, al indicar que sí se había contestado mediante el comunicado de septiembre 8 de 2009, publicado en la página web del ICFES.

II. CONSIDERACIONES DE LA CORTE CONSTITUCIONAL.

Primera. Competencia.

La Sala Plena de la Corte Constitucional es competente para revisar las sentencias proferidas en los procesos de la referencia, con fundamento en lo dispuesto por los artículos 86 y 241 numeral 9º de la Constitución Política, en concordancia con los artículos 31 a 36 del Decreto 2591 de 1991 y, además, por su propia determinación de asumir el conocimiento, en aplicación de lo previsto en el artículo 54A del Acuerdo 05 de 1992, Reglamento Interno de la Corte Constitucional[5].

Segunda. Problemas jurídicos.

La Sala Plena de esta corporación considera que los problemas jurídicos a resolver en esta oportunidad, son los siguientes:

1. Si con ocasión de la publicación de los resultados de las pruebas de aptitudes y competencias básicas que efectuó el ICFES en agosto 21 de 2009, se vulneraron los derechos al debido proceso administrativo y al trabajo de los actores, al eliminar las preguntas 39 y 47 del componente de aptitud numérica.

2. Si, de otra parte, fue vulnerado el derecho fundamental de petición y debido proceso de los accionantes, al no haberse contestado individualmente, sino en forma colectiva, mediante el comunicado de septiembre 8 de 2009 del ICFES.

Para resolver lo expuesto, esta Sala Plena abordará los siguientes temas: (i) la procedencia excepcional de la acción de tutela contra actos de trámite en concursos; (ii) los concursos de mérito para proveer cargos de docentes y directivos docentes, y la convocatoria como norma reguladora; (iii) a partir de esos análisis, será resuelta la situación concreta.

Tercera. Procedencia excepcional de la acción de tutela frente a los actos administrativos de trámite proferidos en un concurso de méritos.

Esta corporación ha reiterado que, conforme al artículo 86 de la carta, la acción de tutela es un medio de protección de carácter residual y subsidiario, que puede ser utilizado ante la vulneración o amenaza de derechos fundamentales cuando no exista otro medio idóneo de defensa de los derechos invocados, o cuando existiéndolo se requiera acudir al amparo constitucional como mecanismo transitorio para evitar un perjuicio irremediable.

Por consiguiente, si hubiere otras instancias judiciales que resultaren eficaces, expeditas y oportunas para alcanzar la protección que se reclama, el interesado debe acudir a ellas, antes de pretender la tutela constitucional. Así, la subsidiaridad implica agotar previamente los medios de defensa legalmente disponibles al efecto, pues el amparo no puede desplazar los mecanismos específicos de defensa previstos en la correspondiente regulación común.

Con relación a las controversias que se suscitan contra actos administrativos, esta Corte ha precisado que si bien, en principio, no es viable el directo amparo constitucional, en casos excepcionales si procede. En ese sentido, esta corporación en sentencia T-945 de diciembre 16 de 2009, M. P. Mauricio González Cuervo, sintetizó:

“En situaciones relacionadas con la amenaza o vulneración de derechos fundamentales con ocasión de la expedición de actos administrativos, normativamente la tutela es un mecanismo viable de protección en virtud del artículo 86 de la Carta, y según lo previsto en los artículos 6[6], 7[7] y 8[8] del Decreto 2591 de 1991[9]. No obstante, esta Corporación ha considerado en general, como regla, que la tutela es improcedente en contra de actos administrativos teniendo en cuenta que existen normalmente otros mecanismos ordinarios de defensa judicial que resultan aptos para asegurar la protección de los derechos alegados[10], como pueden ser las acciones contencioso administrativas. Sin embargo, estas consideraciones no son óbice para que en ciertas situaciones la Corte Constitucional haya considerado procedente la tutela como mecanismo transitorio o principal –según el caso–, ante actuaciones administrativas que hayan implicado para las personas afectadas un perjuicio irremediable. Ello ha ocurrido especialmente en aquellas ocasiones en las que la acción de tutela es el único medio del que dispone una persona para evitar un perjuicio irremediable[11], o en circunstancias en las cuales la acción de tutela es el único medio idóneo de protección del derecho invocado[12].”

 

De otra parte, el perjuicio irremediable está circunscrito al grave e inminente detrimento de un derecho fundamental, que deba ser contrarrestado con medidas urgentes, de aplicación inmediata e impostergables, para neutralizar, cuando ello sea posible, la violación del derecho. Así fue precisado en la sentencia T-225 de junio 15 de 1993, M. P. Vladimiro Naranjo Mesa[13]:

 

“A). El perjuicio ha de ser inminente: 'que amenaza o está por suceder prontamente'. Con lo anterior se diferencia de la expectativa ante un posible daño o menoscabo, porque hay evidencias fácticas de su presencia real en un corto lapso, que justifica las medidas prudentes y oportunas para evitar algo probable y no una mera conjetura hipotética. Se puede afirmar que, bajo cierto aspecto, lo inminente puede catalogarse dentro de la estructura fáctica, aunque no necesariamente consumada. Lo inminente, pues, desarrolla la operación natural de las cosas, que tienden hacia un resultado cierto, a no ser que oportunamente se contenga el proceso iniciado. Hay inminencias que son incontenibles: cuando es imposible detener el proceso iniciado. Pero hay otras que, con el adecuado empleo de medios en el momento oportuno, pueden evitar el desenlace efectivo.

…  …  …

B). Las medidas que se requieren para conjurar el perjuicio irremediable han de ser urgentes, es decir, como calidad de urgir, en el sentido de que hay que instar o precisar una cosa a su pronta ejecución o remedio tal como lo define el Diccionario de la Real Academia. Es apenas una adecuación entre la inminencia y la respectiva actuación: si la primera hace relación a la prontitud del evento que está por realizarse, la segunda alude a su respuesta proporcionada en la prontitud.  Pero además la urgencia se refiere a la precisión con que se ejecuta la medida, de ahí la necesidad de ajustarse a las circunstancias particulares.

…  …  …

C). No basta cualquier perjuicio, se requiere que éste sea grave, lo que equivale a la gran intensidad del daño o menoscabo material o moral en el haber jurídico de la persona. La gravedad obliga a basarse en la importancia que el orden jurídico concede a determinados bienes bajo su protección, de manera que la amenaza  a uno de ellos es motivo de actuación oportuna y diligente por parte de las autoridades públicas.  Luego no se trata de cualquier tipo de irreparabilidad, sino sólo de aquella que recae sobre un bien de gran significación para la persona, objetivamente.  Y se anota la objetividad, por cuanto la gravedad debe ser determinada o determinable, so pena de caer en la indefinición jurídica, a todas luces inconveniente.

D). La urgencia y la gravedad determinan que la acción de tutela sea impostergable, ya que tiene que ser adecuada para restablecer el orden social justo en toda su integridad.  Si hay postergabilidad de la acción, ésta corre el riesgo de ser ineficaz por inoportuna.  Se requiere una acción en el momento de la inminencia, no cuando ya haya desenlace con efectos antijurídicos.  Se trata del sentido de precisión y exactitud de la medida, fundamento próximo de la eficacia de la actuación de las autoridades públicas en la conservación y restablecimiento de los derechos y garantías básicos para el equilibrio social.”

Ahora bien, sobre la procedencia excepcional de la acción de tutela frente a los actos administrativos de trámite[14], es importante precisar con respecto a su definición que estos no expresan en conjunto la voluntad de la administración, pues simplemente constituyen el conjunto de actuaciones intermedias, que preceden a la formación de la decisión administrativa que se plasma en el acto definitivo y, en la mayoría de los casos, no crean, definen, modifican o extinguen situaciones jurídicas.

Según lo dispuesto por el inciso final del artículo 50 del anterior C.C.A.[15], “son actos definitivos que ponen fin a la actuación administrativa, los que deciden directa o indirectamente el fondo del asunto; los actos de trámite pondrán fin a una actuación cuando hagan imposible continuarla”. En tal virtud, según lo ha entendido la jurisprudencia, los actos de trámite dan impulso a la actuación preliminar de la administración, o disponen u organizan los elementos de juicio que se requieren para que ésta pueda adoptar, a través del acto principal o definitivo, la decisión sobre el fondo del asunto.

Es obvio, como lo advierte la expresión final de la norma citada, que un acto de trámite puede tornarse definitivo cuando de alguna manera decida sobre la cuestión de fondo, o ponga fin a la actuación administrativa, de suerte que se haga imposible la continuación de ésta.

Con el fin de garantizar la eficiencia y celeridad de las funciones que le competen a la administración, el artículo 75 del nuevo Código de Procedimiento Administrativo y de lo Contencioso Administrativo (CPACA, Ley 1437 de 2011) ha previsto que los actos de trámite no sean susceptibles, por regla general, de recursos en vía gubernativa, de forma que su control solamente es viable frente al acto definitivo, bien sea interponiendo los recursos procedentes contra él, o bien denotando alguna causal de anulación ante la jurisdicción en lo contencioso administrativo. Ello puede ser ilustrado mediante la respectiva jurisprudencia, así:

“(…) al ser un acto que no define una actuación determinada, se tiene que el mismo no contiene una declaración de la administración que cree, transforme o extinga una situación jurídica determinada, por lo que sería inane una declaración judicial sobre un acto que analizado individualmente, no tiene efectos jurídicos claros y concretos.

La doctrina se ha referido al caso de la impugnación judicial de actos de trámite, conceptuando que:

Dentro de los actos excluidos de la jurisdicción contenciosa, en principio, se pueden distinguir los actos de trámite de los actos definitivos. El acto de trámite no incide en la decisión de la misma que haya de tomarse, tiene en cuenta aspectos de puro procedimiento.”[16]

Por su parte, sobre la procedencia excepcional del amparo contra los actos de trámite, señaló la Corte Constitucional en sentencia SU-201 de abril 21 de 1994, M. P. Antonio Barrera Carbonell:

“Los únicos actos susceptibles de acción contenciosa administrativa son los actos definitivos, no los de trámite o preparatorios; estos últimos se controlan jurisdiccionalmente al tiempo con el acto definitivo que pone fin a la actuación administrativa.

Partiendo del supuesto de que el acto de trámite o preparatorio no contiene propiamente una decisión en la cual se expresa en concreto la voluntad administrativa y que su control jurisdiccional se realiza conjuntamente con el acto definitivo, podría pensarse que la acción de tutela sólo es de recibo en relación con este último, como mecanismo transitorio para evitar un perjuicio irremediable (arts. 86 inciso 3° de la C.P. y 8° del Decreto 2591/91).

No obstante, a juicio de esta Corte, aunque en principio no procede la tutela contra los actos de trámite o preparatorios, que simplemente se limitan a ordenar que se adelante una actuación administrativa dispuesta por la ley, de manera oficiosa por la administración, en ejercicio del derecho de petición de un particular o cuando éste actúa en cumplimiento de un deber legal (art. 4° C.C.A.), excepcionalmente, algunos actos de trámite o preparatorios, pueden conculcar o amenazar los derechos fundamentales de una persona, en cuyo caso, sería procedente la acción de tutela como mecanismo definitivo.

…   …   …

'Adicionalmente, existen otras razones para avalar la procedencia de la tutela contra los actos de trámite o preparatorios. Ellas son:

'-Esta clase de actos no son susceptibles de acción contenciosa administrativa y, en tal virtud, no existe medio alternativo de defensa judicial que pueda ser utilizado para amparar los derechos constitucionales fundamentales vulnerados o amenazados de manera inmediata.'

-Según el art. 209 de la C.P., 'La función administrativa está al servicio de los intereses generales y se desarrolla con fundamento en los principios de igualdad, moralidad, eficacia, economía, celeridad, imparcialidad y publicidad...' y el artículo 29 de la C.P, garantiza el debido proceso en las actuaciones administrativas. La tutela contra actos de trámite que definen una cuestión esencial dentro de la actuación administrativa, a la manera de una medida preventiva, como se explicó antes, persigue la finalidad de que las actuaciones administrativas adelantadas con anterioridad a la adopción de la decisión final se adecuen a los mencionados principios y aseguren el derecho de defensa de los administrados. De esta manera, se logra la efectividad de los derechos de los administrados en forma oportuna, se les evita el tener que acudir necesariamente a la jurisdicción de lo contencioso administrativo para obtener su protección, a través de la impugnación del acto definitivo y, consecuencialmente, se conjura la proliferación de los procesos ante dicha jurisdicción, lo cual indudablemente redunda en beneficio del interés público o social."

Por tanto, contra los actos de trámite la acción de tutela solo procede de manera excepcional, cuando el respectivo acto tiene la potencialidad de definir una situación especial y sustancial dentro de la actuación administrativa y ha sido fruto de una actuación abiertamente irrazonable o desproporcionada del funcionario, con lo cual vulnera las garantías establecidas en la Constitución.

Cuarta. Los concursos de méritos para proveer cargos de docentes y directivos docentes. La convocatoria como norma reguladora.

La Corte Constitucional ha considerado que el mecanismo de provisión de cargos públicos por medio del sistema de los concursos, es el componente idóneo para que el Estado, dentro de criterios de imparcialidad y objetividad, mida el mérito, las capacidades, la preparación y las aptitudes generales y específicas de los distintos aspirantes a un cargo, con el fin de escoger entre ellos a quien mejor pueda desempeñarlo, apartándose de consideraciones subjetivas, de preferencias o animadversiones y de toda influencia política, económica o de otra índole.

Así, la Corte en la sentencia SU-133 de abril 2 de 1998, M. P. Jose Gregorio Hernández Galindo, señaló: "La finalidad del concurso estriba en últimas en que la vacante existente se llene con la mejor opción, es decir, con aquel de los concursantes que haya obtenido el más alto puntaje. A través de él se evalúa y califica el mérito del aspirante para ser elegido o nombrado." Por tanto, el mérito es la condición esencial para el ingreso, permanencia y promoción en la función pública, bajo el régimen jurídico que corresponde fijar al legislador, quien señala, además, el sistema de nombramiento, los requisitos y condiciones para determinar los méritos y calidades de los aspirantes, así como las causales de retiro del servicio oficial.

Tratándose del concurso de méritos para la provisión de cargos docentes, el artículo 111.2 de la Ley 715 de 2001 concedió al Ejecutivo facultades extraordinarias para la expedición de un nuevo régimen de carrera docente y administrativa, dirigido a ofrecer regulación a las relaciones entre la administración y los docentes, directivos docentes y administrativos que ingresaran a partir de la promulgación de dicha Ley.

Así, en desarrollo de tal habilitación, el Presidente de la República expidió el Decreto 1278 de 2002, el cual contiene el estatuto de profesionalización docente que gobierna el ingreso, ascenso, retiro y, de manera general, los supuestos que rodean la permanencia del docente dentro del régimen especial de carrera que ha de aplicarse a la comunidad educativa.

Uno de los fines esenciales que pretende ser realizado por medio de la aplicación de las disposiciones contenidas en tal estatuto consiste en garantizar "que la docencia sea ejercida por educadores idóneos, partiendo del reconocimiento de su formación, experiencia, desempeño y competencias como los atributos esenciales que orientan todo lo referente al ingreso, permanencia, ascenso y retiro del servidor docente"[17].

En la sentencia T-588 de junio 12 de 2008, M.P. Humberto Antonio Sierra Porto, esta corporación afirmó que las disposiciones del Estatuto Docente se encaminan a asegurar que los profesionales que ocupan tales plazas son, de manera efectiva, las personas que han acreditado las más altas calidades para desempeñarse en tales cargos. Además: "Dicho objetivo, que se predica en términos generales de la provisión de cargos de toda la Administración, adquiere especial importancia en el caso de la docencia, debido a su definitiva influencia en la formación de ciudadanos, razón suficiente para avanzar en el propósito cardinal del estatuto consistente en la profesionalización de la comunidad educativa."

De tal manera, el estatuto prevé el sistema de ingreso, permanencia y ascenso por medio de la valoración de aptitudes, experiencia y competencias básicas de los docentes. En él se define el concurso para ingreso al servicio educativo estatal, como un proceso de evaluación de aptitudes que termina con la elaboración de un listado de elegibles dispuestos ordenadamente según el resultado obtenido por los candidatos que hayan participado. Con la conformación de las listas se busca garantizar disponibilidad permanente para la provisión de vacantes en atención a la demanda del servicio educativo[18].

Por su parte, en desarrollo de las facultades de reglamentación otorgadas al Gobierno Nacional en el Estatuto Docente[19], fue expedido el Decreto Reglamentario 3982 de 2006, que estableció el procedimiento de selección mediante concurso para la carrera docente.

El artículo 3 del Decreto Reglamentario, estableció la estructura del concurso para la provisión de cargos docentes y directivos docentes del servicio educativo estatal, el cual estará conformado por las siguientes etapas:

"a) Convocatoria;

b) Inscripción y publicación de admitidos a las pruebas;

c) Aplicación de pruebas de aptitudes, competencias básicas y psicotécnicas;

d) Publicación de resultados de las pruebas de aptitudes, competencias básicas psicotécnicas;

e) Recepción de documentos, verificación de requisitos y citación a entrevista;

f) Valoración de antecedentes y entrevista;

g) Publicación de resultados de la valoración de antecedentes y entrevista;

h) Conformación y publicación de lista de elegibles;

i) Nombramiento en período de prueba;

j) Periodo de prueba."

En el artículo 5° se estipuló que la CNSC realizará la convocatoria del concurso y el cronograma que fije para la aplicación de las pruebas de aptitudes, de competencias básicas y psicotécnicas y el ICFES se encargará del diseño y aplicación de las mismas.

En sentencia T-256 de junio 6 de 1995, M.P. Antonio Barrera Carbonell, esta Corte señaló claramente la necesidad de respetar las bases del concurso:  

"... al señalarse por la administración las bases del concurso, estas se convierten en reglas particulares obligatorias tanto para los participantes como para aquélla; es decir, que a través de dichas reglas la administración se autovincula y autocontrola, en el sentido de que debe respetarlas y que su actividad, en cuanto a la selección de los aspirantes que califiquen para acceder al empleo o empleos correspondientes, se encuentra previamente regulada, de modo que no puede actuar en forma discrecional al realizar dicha selección. Por consiguiente, cuando la administración se aparta o desconoce las reglas del concurso o rompe la imparcialidad con la cual debe actuar, o manipula los resultados del concurso, falta a la buena fe (art. 83 C.P.), incurre en violación de los principios que rigen la actividad administrativa (igualdad, moralidad, eficacia e imparcialidad), y por contera, puede violar los derechos fundamentales al debido proceso, a la igualdad y al trabajo de quienes participaron en el concurso y resultan lesionados en sus intereses por el proceder irregular de aquélla."

De conformidad con lo expuesto, que ha sido reiterado en varias oportunidades por esta corporación, las reglas del concurso, una vez definidas, deben aplicarse de manera rigurosa para evitar arbitrariedades o subjetivismos, que conculquen la igualdad o vayan en contravía de los procedimientos que de manera general se han fijado con miras a satisfacer los objetivos del concurso, que se ha de desenvolver en un ámbito estrictamente reglado, que precisos límites a las autoridades encargadas de su administración y ciertas cargas a los participantes.

Adicionalmente, en los artículos 6°, 7°, 8° y 9° del Decreto Reglamentario 3982 de 2006, se determinó la necesidad de (i) divulgar la convocatoria a través de medios masivos que garanticen su amplia difusión; (ii) los requisitos para participar en el concurso; (iii) la forma de hacer la inscripción y (iv) el valor de los derechos de la participación.

Por su parte, el artículo 10° determinó que la prueba de aptitudes y competencias básicas tiene por objeto establecer niveles de dominio sobre la idoneidad profesional básica, como también las concepciones del aspirante frente al conocimiento de la disciplina y las respectivas funciones. Por su parte, la prueba psicotécnica valorará las actitudes, habilidades, motivaciones e intereses profesionales de los aspirantes, en la realización directa de los procesos pedagógicos o de gestión institucional. También consagró claramente que los aspirantes han de presentar las pruebas de aptitudes, competencias básicas y psicotécnicas en una misma oportunidad.

En cuanto a la valoración de las pruebas, antecedentes y entrevista, el artículo 13 dispone que los resultados que obtengan los aspirantes a cargos de docentes y directivos docentes del servicio educativo estatal, se expresarán en una calificación numérica en escala de 0 a 100 puntos, en cuyo registro y clasificación se incluirá una parte entera y 2 decimales.

La calificación mínima para superar cada una de las pruebas de aptitudes y competencias básicas y psicotécnicas y, por ende, ser admitido a la valoración de antecedentes y entrevista, es de 60.00 puntos para cargos docentes y 70.00 para cargos directivos docentes.

De otra parte, dicho Decreto Reglamentario dispone en su artículo 14 que los resultados deberán ser publicados en los medios y términos que la convocatoria señale, en la cual se determinará también las vías y tiempos para presentar las reclamaciones de los participantes en el concurso.

La publicación de resultados de las pruebas que se practiquen tiene la finalidad de dar impulso y continuidad al proceso, más no la de definir el resultado del concurso de méritos. Al respecto, el Consejo de Estado señaló que "las publicaciones de los resultados del concurso, son determinaciones que constituyen actos de trámite, los cuales fueron expedidos dentro de la actuación propia del concurso y las determinaciones que en ellos se adoptan, se realizan justamente para impulsar y dar continuidad al proceso propio de las convocatorias, en cumplimiento de los deberes legales de las entidades involucradas."[20]

Con relación a la facultad del ICFES para la aplicación de las pruebas de aptitudes, competencias básicas y psicotécnicas en el concurso docente, el Decreto 2232 de agosto 8 de 2003[21] señala en el artículo 3° numeral 13 que corresponde al ICFES desarrollar la fundamentación teórica, así como diseñar, aplicar y elaborar instrumentos de evaluación para el ingreso de docentes y directivos docentes al servicio de educación estatal, de acuerdo con las orientaciones que para el efecto defina el Gobierno Nacional.

Por su parte, el artículo 15 numeral 11 refiere la facultad de dicha entidad para desarrollar, adaptar e implementar modelos para el procesamiento y análisis de los resultados de los instrumentos de evaluación; el numeral 12 ibídem indica la forma de procesar y analizar los instrumentos de evaluación de la calidad de la educación, de acuerdo con los modelos psicométricos adoptados; y el 14 ibídem, la potestad de establecer los procedimientos estandarizados para los diferentes procesos adelantados, de acuerdo con los principios y métodos adoptados por ese Instituto.

Cabe señalar que para las convocatorias 056 a 122 del concurso de méritos para docentes y directivos docentes, el ICFES y la CNSC suscribieron el convenio administrativo N° 100 de abril 20 de 2009, en el cual  se indica que la primera entidad, por su experiencia y capacidad tecnológica, operativa y administrativa está en condiciones de contribuir a la realización del Concurso de Carrera Docente, participando en la aplicación de las pruebas de aptitudes, de competencias básicas y psicotécnicas. Además entre las obligaciones del ICFES está: "... 3. De acuerdo con los lineamientos básicos que se han desarrollado para este tipo de pruebas el Instituto elaborara los instrumentos que permitan la evaluación de los docentes y directivos docentes a los diferentes cargos a los que están aspirando. 4. Elaborar la Guía de Orientación de las pruebas en concordancia con el marco de fundamentación conceptual de las mismas... 9. Efectuar la lectura de las hojas de respuesta y adelantar la resolución de inconsistencias."

De otra parte, en la Guía de Contenido Mínimo para los Manuales de Procesamiento y Reportes elaborada por el ICFES en agosto 13 de 2009 y aprobada por la CNSC para proceder a la calificación de las pruebas presentadas con ocasión del concurso de docentes 2009, se explicó el método de calificación de la siguiente manera:

"1. Descripción, general, de la teoría psicométrica a utilizar.

...  ...  ...

Modelo de Rasch

Este modelo establece la probabilidad de respuesta de una persona ante un estímulo dado en términos de la diferencia entre la medida del rasgo de la persona (denominada 'habilidad' de ahora en adelante) y la medida del estímulo utilizado.

El modelo general considera que la respuesta a un ítem sólo depende de la interacción entre la habilidad del sujeto y la dificultad del ítem, es decir, de ? y de b. La Curva Característica del Ítem (CCI) viene dada por la función logística, y el único parámetro de los ítems que se tiene en cuenta es b, el índice de dificultad. No se hacen hipótesis globales sobre el patrón de respuestas de un grupo, ni sobre la adivinación sistemática. Por el contrario, se plantea que la adivinación es un patrón personal y puede ser detectada en función del ajuste o desajuste de las respuestas de una persona al modelo. Esta misma hipótesis aplica para los ítems. La medida de una persona es independiente de la prueba empleada y la calibración del ítem es independiente de la población que lo aborda. La ecuación 1 expresa el modelo.

                                                                          

donde,

P i (?) probabilidad de responder correctamente el ítem i para un valor (?)

(?) valor de la variable medida o habilidad

b i  índice de dificultad del ítem i

e  base de logaritmos neperianos

...   ...   ...

Este modelo genera calificaciones consistentes con el número de respuestas correctas y permite conocer la confiabilidad y validez del proceso de evaluación y de los instrumentos utilizados (pruebas de aptitudes y de competencias específicas). El modelo de crédito parcial propuesto es coherente con el marco teórico utilizado."

Por otro lado, en la mencionada guía de contenido mínimo, se establece el análisis de ítem, que consiste en la eliminación de la información que "introduzca ruido" a los valores de análisis, para lo cual se realizará el siguiente procedimiento con cada una de las pruebas (aptitud verbal, aptitud numérica, competencias específicas y psicotécnica):

"ANÁLISIS DE ÍTEM

El análisis de ítem se realizará utilizando, como criterio principal, el valor de ajuste (próximo y lejano) y siguiendo los procedimientos regulares del ICFES.

Especificación de las etapas para el análisis de ítem.

Antes de iniciar el procesamiento para el análisis de ítem es necesario eliminar los ítems identificados como dudosos en el proceso de aplicación, en caso de que sea necesario y se haya obtenido esta información.

Procesar cada prueba por separado (aptitud verbal, aptitud numérica, competencias específicas, psicotécnica, por separado) en, por lo menos, dos ocasiones sucesivas: la primera para identificar los valores de depuración y la segunda para obtener los primeros valores para el análisis de ítem. Si es necesario, y luego de un análisis preliminar, se volverá a procesar la información eliminando los ítems, de cada prueba, que sea necesario.

Se eliminan los ítems que sea necesario luego del proceso de análisis de ítem y reportados por la coordinación del Grupo de Evaluación de Educación.

Con los ítems que quedan, luego del análisis de ítem se procede a la calificación de los concursantes."

Quinta. Análisis de los casos concretos

Los actores interpusieron las acciones de tutela para solicitar que se ordene al ICFES recalificar las pruebas que atendieron en julio 5 de 2009, dentro del concurso abierto de méritos para proveer empleos vacantes de docentes y directivos docentes, de instituciones educativas oficiales en entes territoriales, dentro de las convocatorias 056 a 122 de 2009 de la CNSC.

5.1. En los expedientes T-2707153, T-2771202, T-2771203, T-2771433, T-2771484, T-2773068, T-2773225, T-2774829, T-2777850, T-2781408, T-2783291, T-2779882 y T-2781409, los demandantes solicitaron que se ordenara al ICFES la expedición de las copias del cuadernillo de preguntas y respuestas, con la indicación de las que fueron resueltas acertadamente.

Argumentan los actores que el Instituto accionado vulneró sus derechos fundamentales al trabajo y al debido proceso (en algunos casos fueron además invocados los derechos de petición e información) que, según afirman, fueron desconocidos toda vez que, en primer lugar, no se les informó antes de publicar los puntajes obtenidos que habían sido eliminadas las preguntas 39 y 47 del componente de aptitud numérica, situación que les impidió controvertir tal decisión. En segundo término, aducen que la prueba no fue calificada siguiendo los parámetros establecidos en el artículo 1° de la Ley 1324 de 2009. Tercero, el ICFES erró al expresar que anuló las preguntas 39 y 47, pues la prueba de aptitud numérica solo tenía 30 preguntas.

5.2. En los expedientes T-2707153, T-2771202, T-2771203, T-2771433, T-2771484, T-2773068, T-2773225, T-2774829, T-2777850, T-2781408, T-2783291, T-2779882 y T-2781409, además de las razones anteriormente expuestas, los accionantes manifestaron que el ICFES desconoció sus derechos de petición e información, como quiera que la respuesta emitida de manera conjunta para todos los peticionarios no era satisfactoria, y dicha entidad no accedió a entregar copia del cuadernillo de preguntas y respuestas.

Con relación al derecho a la igualdad, de manera general sostuvieron que mediante providencia de diciembre 10 de 2009, la Sección Quinta del Consejo de Estado accedió al amparo del derecho fundamental al debido proceso de alguien que se encontraba en una situación similar.

5.3. El ICFES consideró inexistente la vulneración de los derechos fundamentales aducidos, pues actuó conforme a la regulación establecida por el Gobierno Nacional y la CNSC; por tanto, cumplió lo dispuesto en el Decreto 3982 de 2006, el Acuerdo 29 de 2009, el documento técnico denominado "Guía de Contenido Mínimo para los Manuales de Procesamiento y Reportes" y el convenio interadministrativo N° 100 de 2009.

Por su parte, la CNSC aseguró que no ha incurrido en el presunto desconocimiento de los derechos fundamentales invocados y que el ICFES dio respuesta a todas las reclamaciones, de conformidad con las normas vigentes; por ello, solicitó la desvinculación de la CNSC, o negar el amparo.

5.4. En los casos en que las pretensiones fueron negadas, las consideraciones de los jueces se soportaron básicamente en que el amparo era improcedente, por no avizorarse un perjuicio irremediable. También indicaron que los actores interpretaron en forma errónea la respuesta a las reclamaciones dada por el ICFES, pues allí se expresó que la prueba de aptitud numérica estaba conformada por 30 preguntas, y en ningún momento que su numeración correspondía de la 1 a la 30. El ICFES dio cabal cumplimiento a la preceptiva aplicable a la convocatoria, con apoyo en la Guía de Contenido Mínimo para los Manuales de Procesamiento y Reportes, aprobada por el propio ICFES y la CNSC, y antes de cualquier procesamiento de datos fueron eliminadas las preguntas 39 y 47, al apreciar que estaban mal formuladas, por lo cual se realizó la respectiva ponderación para todos los participantes del concurso.

En tales fallos también se dedujo la no vulneración de los derechos de petición e información, pues los accionantes ejercieron el derecho de defensa y en respuesta el ICFES emitió el comunicado de septiembre 8 de 2009, analizando conjuntamente las reclamaciones de los concursantes. Es aceptado por la Corte Constitucional que algunas peticiones sean resueltas de manera colectiva, siempre que cumplan los siguientes requisitos: (i) que exista un gran número de peticiones diferentes, acerca de un mismo punto; (ii) que se comunique la respuesta a los peticionarios directos para que puedan tener conocimiento de ella, lo que implica suficiente publicidad; y (iii) que se responda de fondo las solicitudes, requisitos que fueron atendidos por el Instituto accionado.

Tratándose del presunto quebrantamiento del derecho al trabajo, se explicó que la participación en el concurso de méritos constituye una mera expectativa de acceder al empleo para el cual se concursó.

5.5. En los fallos proferidos accediendo a las pretensiones invocadas, se consideró que la acción de tutela era el mecanismo expedito para solucionar el conflicto presentado, ya que llevarlo a un proceso común no resultaría idóneo para que los interesados pudiesen continuar en el concurso. También estimaron, en general, que la eliminación de las dos preguntas fue una decisión arbitraria del ICFES, que no cumplió con el requisito de publicidad.

Expresaron que era procedente amparar el derecho al debido proceso de los actores, ya que la metodología que planteaban para la calificación en nada resultaba descabellada, pues acudieron a una operación indicada por el sentido común, como es dividir el máximo puntaje posible por el número de preguntas formuladas y multiplicar ese guarismo por el número de aciertos.

Así, determinaron que el puntaje o calificación publicado por el ICFES en la prueba de aptitud numérica de los accionantes, debía incrementarse hasta en 6.666, porcentaje de las 2 preguntas anuladas. En tal medida, ordenaron al ICFES recalificar el resultado total de la prueba de aptitudes y competencias básicas, con las consecuencias que acarrease el nuevo resultado.

Ahora bien, en los casos de la referencia, cada uno de los actores cuestiona el acto de la publicación de resultados de las pruebas practicadas con ocasión del concurso de méritos de docentes y directivos docentes a nivel nacional, pues según ellos el puntaje anunciado en ese acto no es el correcto, ya que la calificación realizada por el ICFES no siguió las pautas de la convocatoria.

Es importante precisar, como se indicó en las consideraciones generales, que las publicaciones de los resultados son actos de trámite contra los cuales, de acuerdo con lo dispuesto en el artículo 75 del nuevo Código de Procedimiento Administrativo y de lo Contencioso Administrativo (CPACA, Ley 1437 de 2011), no proceden los recursos por vía gubernativa, por lo tanto los actores carecen, prima facie, de otros medios de defensa judicial y, por tanto, de acciones eficaces para la defensa inmediata de los derechos fundamentales invocados por los peticionarios en cada una de las acciones de tutela.

5.6. Con respecto a la solución del primer problema jurídico planteado, sobre si con ocasión de la publicación de los resultados de las pruebas de aptitudes y competencias básicas que efectuó el ICFES en agosto 21 de 2009, se vulneraron los derechos al debido proceso administrativo y al trabajo de los actores, al eliminar las preguntas 39 y 47 del componente de aptitud numérica, es importante recordar, en cuanto a las reglas que fijaron la convocatoria:

  1. El artículo 10° del Decreto Reglamentario 3982 de 2006, señala que la selección debe realizarse mediante pruebas de aptitudes, competencias básicas y psicotécnicas, diseñadas y aplicadas por el ICFES.
  2. El artículo 13 del Decreto Reglamentario 3982 de 2006 dispone, en cuanto a la valoración de las pruebas, antecedentes y entrevista, que los resultados que obtengan los aspirantes a cargos de docentes y directivos docentes del servicio educativo estatal, se expresarán en una calificación numérica en escala de 0 a 100 puntos, con una parte entera y dos decimales para su registro y clasificación.
  3. El numeral 3.13 del Decreto 2232 de 2003 señala que corresponde al ICFES desarrollar la fundamentación teórica, y diseñar, aplicar y elaborar instrumentos de evaluación para el ingreso de docentes y directivos docentes al servicio de educación estatal, de acuerdo con las orientaciones que para el efecto defina el Gobierno Nacional.
  4. Por su parte, el numeral 15.11 refiere la facultad de dicha entidad para desarrollar, adaptar e implementar modelos para el procesamiento y análisis de los resultados de los instrumentos de evaluación; el 15.12 la de procesar y analizar los resultados aplicando los instrumentos de evaluación de la calidad de la educación, de acuerdo con los modelos psicométricos adoptados; y el 15.14 la potestad de establecer los procedimientos estandarizados para los diferentes procesos adelantados, de acuerdo con los principios y métodos adoptados por el ICFES.
  5. El convenio interadministrativo N° 100 de abril 20 de 2009, prevé que el ICFES, por su experiencia y capacidad tecnológica, operativa y administrativa, está en condiciones de contribuir a la realización del Concurso de Carrera Docente, participando en la aplicación de las pruebas de aptitudes, de competencias básicas y psicotécnicas. Además, entre las obligaciones de dicho Instituto se incluyó que "para este tipo de pruebas el Instituto elaborara los instrumentos que permitan la evaluación de los docentes y directivos docentes a los diferentes cargos a los que están aspirando", además de "la guía de orientación de las pruebas en concordancia con el marco de fundamentación conceptual de las mismas" y "9. Efectuar la lectura de las hojas de respuesta y adelantar la resolución de inconsistencias".
  6. La Guía de Contenido Mínimo para los Manuales de Procesamiento y Reportes elaborada por el ICFES en agosto 13 de 2009 y aprobada por la CNSC, indica que la teoría psicométrica a utilizar en la calificación de las pruebas, es la misma "que se usa para calificar las pruebas de los exámenes de Estado. Se trata de un modelo estadístico sofisticado, conocido en la literatura como Modelo de Rasch, que asigna un puntaje con base en la totalidad de las respuestas de todos los evaluados, no solo las habilidades de estos sino también, y simultáneamente y en la misma escala, la dificultad de cada una de las preguntas aplicadas. Como resultado de esta doble asignación la habilidad de un evaluado que tiene N respuestas correctas corresponde al nivel de dificultad de la N-ésima pregunta, cuando estas se ordenan por su dificultad. La habilidad de un evaluado no resulta de esta forma proporcional al número de respuestas que responde correctamente; por lo tanto no es correcto multiplicar por un número de puntos el número de respuestas correctas para obtener el puntaje de los evaluados."[22]
  7. En la Guía de contenido mínimo se establece el análisis de item, que consiste en la eliminación de la información que introduzca ruido a los valores de análisis, para lo cual es necesario eliminar los ítems identificados como dudosos en el proceso de aplicación, en caso de que sea necesario y se haya obtenido esta información.

De tal manera, se constata que el procedimiento adelantado por el ICFES para la calificación de las pruebas, se ajustó a los términos de las normas reguladoras y no vulnera ningún derecho fundamental de los demandantes, en cuanto era deber de la entidad eliminar las preguntas que generaban duda para dar estricto cumplimiento a las normas reguladoras del concurso y a las reglas sobre la calificación de las pruebas.  

Por el contrario, resulta errada la forma de calificación propuesta por los  actores, dado que ni en la convocatoria, ni en los Decretos 1278 de 2002 y 3982 de 2006, ni en el Convenio Interadministrativo N° 100 de abril 20 de 2009, ni en la Guía de Contenido Mínimo para los Manuales de Procesamiento y Reporte se encuentra contemplada disposición alguna que permita esa forma de promediar los puntajes obtenidos. Lo cierto es que los actores no aprobaron una de las pruebas programadas, al no superar el puntaje mínimo exigido.

En consecuencia, dado el carácter eliminatorio que impuso la convocatoria como norma reguladora del concurso, quienes no completaron el puntaje mínimo previsto en cada paso debían ser excluidos. Lo contrario, es decir, acceder a la insistencia de ser llamados a las demás etapas del concurso, hasta la inclusión en la lista de elegibles, implica desigualdad contra quienes si aprobaron, lo cual desvirtúa la finalidad del concurso y contradice las reglas que previamente se fijaron.

En síntesis sobre este aspecto, el ICFES obró amparado en el cumplimiento de los principios superiores dentro de los que se desarrolla la función pública, a los que se debe sujetar todo concurso, a saber, igualdad de oportunidades, mérito, publicidad, objetividad, imparcialidad, confiabilidad, transparencia, validez, eficacia y eficiencia.

5.7. De la misma forma, el Decreto Reglamentario 3982 de 2006 y las convocatorias estipularon como medio de publicidad la publicación a través de la página web de las entidades involucradas y, además, contemplaron dentro de sus estipulaciones una etapa para la atención de las reclamaciones, que garantizó el derecho de defensa de los participantes en el concurso.

Con base en lo anterior, en el procedimiento utilizado por las entidades para responder las peticiones individuales y las reclamaciones relacionadas con los resultados de las pruebas, se utilizó un escrito general que se dirigió a todos los peticionarios, proceder que responde a la obligación de la administración de adelantar sus tareas con eficiencia, economía y celeridad, de acuerdo con lo establecido en el artículo 209 de la Constitución Política, siendo posible la notificación global o general, por cuanto se adecúa al cumplimiento de los requisitos trazados por la jurisprudencia constitucional tratándose de múltiples solicitudes sobre el mismo punto, formuladas con idénticos argumentos.

Siendo la notificación de la respuesta al interesado una exigencia inherente al núcleo esencial del derecho de petición, la equivalencia, similitud y convergencia de lo solicitado posibilita dar una respuesta común, siempre y cuando se garantice a los interesados la satisfacción específica de lo pedido por cada quien, como ciertamente se cumple en todos los casos acumulados que motivan esta sentencia de unificación. Así se pronunció esta Corte en el fallo T-466 de mayo 13 de 2004, M. P. Manuel José Cepeda Espinosa:

"Al respecto es necesario reiterar que la jurisprudencia de la Corte ha enfatizado que la notificación de la respuesta al interesado forma parte del núcleo esencial del derecho de petición. Sin embargo, esta Sala considera que en casos como el presente, siempre que se cumplan los requisitos que luego se señalarán, es aceptable desde la perspectiva constitucional que la administración responda con un escrito general a todos los peticionarios. Este proceder se adecua, además, a la obligación de la  administración de adelantar sus tareas en seguimiento de los principios de eficiencia, economía y celeridad, de acuerdo con lo establecido en el artículo 209 de la Constitución.

Ahora bien, para que este tipo de respuesta sea admisible constitucionalmente, deben cumplirse varios requisitos, a saber:

1) que exista un alto número de peticiones elevadas por personas distintas acerca del mismo punto, y que ellas estén formuladas con el mismo formato y los mismos argumentos, de tal manera que se pueda presumir que hay una organización formal o informal que coordina e impulsa esas solicitudes;

2) que se dé suficiente publicidad al escrito de respuesta, de tal  manera que se garantice efectivamente que los peticionarios directos puedan tener  conocimiento de la contestación brindada;  

3) que se notifique de la respuesta a las directivas de las organizaciones  que han impulsado y coordinado la presentación de miles de solicitudes del mismo corte o, en el caso de que se trate de organizaciones informales, a los líderes de ellas que se puedan identificar; y

4) que el escrito de respuesta aporte los elementos necesarios para que cada uno de los peticionarios pueda conocer que en el documento se le está dando respuesta a su solicitud personal, bien sea porque en el escrito se mencionen los nombres de cada uno de los solicitantes o bien porque la respuesta se dirige hacia grupos u organizaciones que permitan individualizar a los destinatarios de la contestación."

De la misma forma, esta corporación ha reiterado que, en relación con el principio de publicidad de los actos administrativos, existen en el ordenamiento jurídico varios tipos de notificación, que razonablemente permiten inferir la realidad del enteramiento, que puede validar el legislador, en uso de su facultad de configuración, para que no sea inútilmente dispendiosa a la administración pública, en especial cuando se trate de actos administrativos que interesan a pluralidad o multitud de destinatarios, pudiéndose optar por una forma de notificación tradicional, como la publicación de una lista fijada en un lugar público, o por un medio electrónico, como el utilizado para la convocatoria, suponiéndose válidamente que ha de llegar de manera idónea a los mismos que respondieron tal convocatoria.

De tal manera, observados los expedientes acumulados objeto de esta revisión, se concluye que las peticiones y reclamaciones efectuadas sí fueron resueltas por el ICFES y contestadas debidamente, para todas las peticiones, principalmente a través del comunicado de septiembre 8 de 2009, expedido por el ICFES e incluido ese mismo día en su página web.

Por otra parte, es importante reiterar, como lo explicó el ICFES en el comunicado de septiembre 8 de 2009, que el material del examen (cuadernillo de preguntas y respuestas) empleado en el concurso docente es confidencial y de uso exclusivo por parte de los concursantes mientras transcurre la prueba, reserva que está consagrada en la citada Ley 1324 de 2009 (art. 4°), lo cual justifica que la entidad encargada de suministrar la información puede negar la solicitud elevada, situaciones en las cuales es procedente el mecanismo previsto por la Ley 57 de 1985[23].

Particularmente, en lo que tiene que ver con el derecho de acceso a documentos y la posibilidad de acudir ante los jueces administrativos cuando no sea posible conseguirlos, la referida Ley 57 de 1985 consagra en su artículo 21 lo siguiente:

 "ARTICULO 21. La Administración sólo podrá negar la consulta de determinados documentos o la copia o fotocopia de los mismos mediante providencia motivada que señale su carácter reservado, indicando las disposiciones legales pertinentes. Si la persona interesada insistiera en su solicitud, corresponderá al Tribunal de lo Contencioso Administrativo que tenga jurisdicción en el lugar donde se encuentren los documentos decidir en única instancia si se acepta o no la petición formulada o si se debe atender parcialmente.

 

Ante la insistencia del peticionario para que se le permita consultar o se le expida la copia requerida, el funcionario respectivo enviará la documentación correspondiente al Tribunal para que éste decida dentro de los diez (10) días hábiles siguientes. Se interrumpirá este término en el caso de que el Tribunal solicite copia o fotocopia de los documentos sobre cuya divulgación deba decidir y hasta la fecha en la cual los reciba y oficialmente."

Por lo precedentemente anotado, en ningún caso obra mérito para acceder a la protección constitucional instada y, en consecuencia, serán confirmadas las sentencias objeto de revisión que acertadamente negaron la tutela impetrada y, consecuentemente, revocadas las que concedieron el amparo[24].

En mérito de lo expuesto, la Corte Constitucional, administrando justicia en nombre del pueblo y por mandato de la Constitución,

RESUELVE

PRIMERO: LEVANTAR la suspensión del término de revisión, decretada mediante auto de octubre 7 de 2010.

SEGUNDO: REVOCAR el fallo proferido en abril 29 de 2010 por el Consejo de Estado, Sala de lo Contencioso Administrativo, Sección Quinta, que en su momento confirmó el emitido en febrero 19 de 2010 por el Tribunal Administrativo de Antioquia, Sala Cuarta de Decisión, que había concedido tutela a favor de la actora Doris Marcela Morales Hoyos, la cual se dispone DENEGAR (expediente T-2687745).

TERCERO: REVOCAR el fallo proferido en abril 30 de 2010 por el Juzgado Tercero Penal del Circuito con Funciones de Conocimiento de Neiva, que había concedido tutela a favor de la actora Norma Constanza Zabaleta Romero, la cual se dispone DENEGAR (expediente T-2692360).

CUARTO: REVOCAR el fallo adoptado en abril 20 de 2010 por el Tribunal Administrativo de Antioquia, Sala Segunda de Decisión, que había concedido tutela a favor de la actora Maribel Restrepo Tobón, la cual se dispone DENEGAR (expediente T-2695480).

QUINTO: REVOCAR el fallo adoptado en mayo 13 de 2010 por el Juzgado Primero de Familia de Neiva, que había concedido tutela a favor de la actora Fabiola Huertas Forero, la cual se dispone DENEGAR (expediente T-2707153).

SEXTO: REVOCAR el fallo adoptado en mayo 4 de 2010 por el Juzgado Tercero Laboral del Circuito de Bucaramanga, que había concedido tutela a favor de la actora Alba Cecilia Forero Rojas, la cual se dispone DENEGAR (expediente T-2709527).

SÉPTIMO: REVOCAR el fallo adoptado en mayo 18 de 2010 por el  Juzgado Promiscuo Municipal de Caicedo, Antioquia, que había concedido tutela a favor de la actora Luz Adela Zapata Correa, la cual se dispone DENEGAR (expediente T-2712179).

OCTAVO: REVOCAR el fallo adoptado en mayo 12 de 2010 por el Tribunal Administrativo de Cundinamarca, Sección Segunda, Subsección B, que había concedido tutela a favor de la actora Adriana Alexandra Rodríguez Olaya, la cual se dispone DENEGAR (expediente T-2715828).

NOVENO: REVOCAR el fallo adoptado en abril 23 de 2010 por el Tribunal Administrativo de Antioquia, que había concedido tutela a favor del actor Gabriel Almendrales Jiménez, la cual se dispone DENEGAR (expediente T-2724245).

DÉCIMO: REVOCAR el fallo adoptado en junio 10 de 2010 por el Juzgado Cuarto Civil del Circuito de Neiva, que había concedido tutela a favor de la actora María Dolores Gómez Torres, la cual se dispone DENEGAR (expediente T-2724671).

UNDÉCIMO: CONFIRMAR el fallo adoptado en junio 9 de 2010 por el Tribunal Superior de Bogotá, Sala Civil, que revocó parcialmente el emitido en mayo 7 de 2010 por el Juzgado Veinticuatro Civil del Circuito de Bogotá, denegando la tutela que había solicitado la actora María Doris Agudelo Villar (expediente T-2727100).

DUODÉCIMO: REVOCAR el fallo adoptado en mayo 18 de 2010 por el Juzgado Sexto Penal del Circuito con Funciones de Conocimiento de Cúcuta, que concedió tutela a favor de la actora Yudis Díaz Palomino, la cual se dispone DENEGAR (expediente T-2727958).

DÉCIMO TERCERO: CONFIRMAR el fallo adoptado en mayo 26 de 2010 por el Juzgado Décimo Administrativo del Circuito de Bogotá, que denegó la tutela solicitada por el actor Pedro Triana Triana (expediente T-2728741).

DÉCIMO CUARTO: REVOCAR el fallo adoptado en mayo 10 de 2010 por el Juzgado Primero Penal del Circuito de Turbo, Antioquia, que había concedido tutela a favor de la actora Paola Mosquera Martínez, la cual se dispone DENEGAR (expediente T-2736427).

DÉCIMO QUINTO: REVOCAR el fallo adoptado en mayo 27 de 2010 por el Juzgado Primero Penal del Circuito de Turbo, Antioquia, que había concedido tutela a favor del actor Eduard Mosquera Mena, la cual se dispone DENEGAR (expediente T-2736428).

DÉCIMO SEXTO: CONFIRMAR el fallo adoptado en abril 29 de 2010 por el Tribunal Administrativo de Boyacá, que denegó la tutela solicitada por la actora Luz Ángela Suárez Rodríguez (expediente T-2737154).

DÉCIMO SÉPTIMO: REVOCAR el fallo adoptado en junio 18 de 2010 por el Tribunal Superior del Distrito Judicial de Neiva, que había revocado el emitido en mayo 6 de 2010 por el Juzgado Primero Promiscuo del Circuito de La Plata, Huila, para conceder la tutela solicitada por la actora Nilda Dangelly Bermeo Dorado, la cual se dispone DENEGAR (expediente T-2739475).

DÉCIMO OCTAVO: CONFIRMAR el fallo adoptado en junio 30 de 2010 por el Tribunal Administrativo de Cundinamarca, Sección Segunda Subsección A, que revocó el proferido por el Juzgado Cuarenta y cuatro Administrativo del Circuito  de Bogotá, para en su lugar denegar la tutela solicitada por el actor José Montero Eskbenzon (expediente T-2771202).

DÉCIMO NOVENO: REVOCAR el fallo adoptado en julio 13 de 2010 por el Tribunal Administrativo de Cundinamarca, Sección Segunda, Subsección A, que en su momento confirmó el emitido en junio 4 de 2010 por el Juzgado Veintiuno Administrativo del Circuito de Bogotá, que había concedido tutela a favor de la actora Martha Lucía Patiño Jaramillo, la cual se dispone DENEGAR (expediente T-2771203).

VIGÉSIMO: CONFIRMAR el fallo adoptado en julio 29 de 2010 por el Tribunal Administrativo de Cundinamarca, Sección Segunda, Subsección B, que a su turno confirmó el emitido en junio 23 de 2010 por el Juzgado Doce Administrativo de Descongestión del Circuito de Bogotá, denegando la tutela pedida por la actora Claudia Marcela Valbuena Isaza (expediente T-2771433).

VIGÉSIMO PRIMERO: CONFIRMAR el fallo adoptado en julio 14 de 2010 por el Juzgado Cuarenta y cuatro Civil del Circuito de Bogotá, que denegó la tutela pedida por la actora Oneida González Parra (expediente T-2771448).

VIGÉSIMO SEGUNDO: CONFIRMAR el fallo adoptado en julio 22 de 2010 por el Tribunal Administrativo de Cundinamarca, Sección Cuarta, Subsección B, que a su turno confirmó el emitido en junio 21 de 2010 por el Juzgado Treinta y uno Administrativo del Circuito de Bogotá, denegando la tutela pedida por la actora Nydia Marlen Rodríguez Muñoz (expediente T-2773068).

VIGÉSIMO TERCERO: CONFIRMAR el fallo adoptado en julio 7 de 2010 por el Consejo de Estado, Sala de lo Contencioso Administrativo, Sección Segunda, que a su turno confirmó el emitido en mayo 7 de 2010 por el Tribunal Administrativo de Cundinamarca. Sección Segunda, Subsección A, denegando la tutela pedida por el actor Rafael Antonio Forero Ortiz (expediente T-2773225).

VIGÉSIMO CUARTO: CONFIRMAR el fallo adoptado en julio 14 de 2010 por el Consejo de Estado, Sala de lo Contencioso Administrativo, Sección Segunda, que a su turno confirmó el emitido en junio 1° de 2010 por el Tribunal Administrativo de Cundinamarca. Sección Segunda, Subsección D, denegando la tutela pedida por el actor Wilson Hernández Benítez (expediente T-2774829).

VIGÉSIMO QUINTO: CONFIRMAR el fallo adoptado en junio 24 de 2010 por el Tribunal Superior de Manizales, Sala Civil Familia, que a su turno confirmó el emitido en mayo 21 de 2010 por el Juzgado Segundo de Familia del Circuito de Manizales, denegando la tutela pedida por la actora Aura María Gómez Rivera (expediente T-2775886).

VIGÉSIMO SEXTO: CONFIRMAR el fallo adoptado en julio 23 de 2010 por el Tribunal Administrativo de Cundinamarca, Sección Cuarta, Subsección B, que en su momento revocó el de improcedencia emitido en junio 21 de 2010 por el Juzgado Sexto Administrativo de Descongestión del Circuito de Bogotá, y en su lugar denegó la tutela pedida por la actora Flor Stella Abril Nova (expediente T-2777850).

VIGÉSIMO SÉPTIMO: REVOCAR el fallo adoptado en junio 22 de 2010 por el Juzgado Primero Penal del Circuito de Turbo, Antioquia, que había concedido tutela a favor de la actora Julieth Paola Garcés Posada, la cual se dispone DENEGAR (expediente T-2779882).

VIGÉSIMO OCTAVO: REVOCAR el fallo adoptado en junio 30 de 2010 por el Tribunal Administrativo de Cundinamarca, Sección Tercera, Subsección B, que en su momento modificó el denegatorio emitido en mayo 12 de 2010 por el Juzgado Veintiséis Administrativo del Circuito de Bogotá, para en su lugar declarar la improcedencia en cuanto a los derechos al debido proceso, la igualdad y el trabajo y negar acerca del derecho de petición, la tutela que había solicitado la actora Gloria Sánchez Neira, la cual se dispone DENEGAR en su integridad (expediente T-2781408).

VIGÉSIMO NOVENO: REVOCAR el fallo adoptado en julio 28 de 2010 por el Tribunal Administrativo de Cundinamarca, Sección Tercera, Subsección B, que en su momento declaró la improcedencia de la acción, ante el denegatorio emitido en junio 9 de 2010 por el Juzgado Treinta Administrativo del Circuito de Bogotá, frente a la tutela solicitada por Luz Mery Molina Almanza, la cual se dispone DENEGAR (expediente T-2781409).

TRIGÉSIMO: CONFIRMAR el fallo adoptado en julio 29 de 2010 por el Tribunal Administrativo de Cundinamarca, Sección Segunda, Subsección D, que confirmó el proferido en junio 8 de 2010 por el Juzgado Treinta y cuatro Administrativo del Circuito de Bogotá, que había denegado la tutela solicitada por el actor Jesús Antonio Buitrago Torres.

TRIGÉSIMO PRIMERO: LÍBRENSE las comunicaciones a que alude el artículo 36 del Decreto 2591 de 1991, para que se cumpla lo indicado en dicho precepto en lo atinente a todos y cada uno de los procesos acumulados.

Notifíquese, comuníquese, publíquese e insértese en la Gaceta de la Corte Constitucional. Cúmplase.

JORGE IVÁN PALACIO PALACIO

Presidente

MARÍA VICTORIA CALLE CORREA               MAURICIO GONZÁLEZ CUERVO

                      Magistrada                                                  Magistrado

LUIS GUILLERMO GUERRERO PÉREZ  GABRIEL EDUARDO MENDOZA MARTELO

                       Magistrado                                                    Magistrado

NILSON PINILLA PINILLA           JORGE IGNACIO PRETELT CHALJUB

                Magistrado                                            Magistrado

ALBERTO ROJAS RÍOS                          LUIS ERNESTO VARGAS SILVA

              Magistrado                                                         Magistrado

MARÍA VICTORIA SÁCHICA MÉNDEZ

Secretaria General

[1] En algunos casos, aunque las demandas fueron dirigidas contra el ICFES, se vinculó a la Comisión Nacional del Servicio Civil, en adelante CNSC.

[2] La publicación de resultados se efectuó en agosto 21 de 2009.

[3] Comunicado publicado por el ICFES en septiembre 8 de 2009, consultar en: www.icfes.gov.co.

[4] Ley 1324 de julio 13 de 2009: "ARTÍCULO 1° PARÁMETROS Y CRITERIOS. El Estado en el ejercicio de su función suprema de inspección y vigilancia de la educación tiene el deber de valerse de exámenes de Estado y otras pruebas externas, para medir el nivel de cumplimiento de sus objetivos y buscar el mejoramiento continuo de la educación. La evaluación realizada a través de los exámenes de Estado y otras pruebas externas será practicada bajo los siguientes principios: independencia, igualdad, comparabilidad, periodicidad, reserva individual, pertinencia y relevancia. Es deber del Estado y de todos los miembros de la comunidad educativa propiciar y facilitar las evaluaciones pertinentes, con respeto a los mismos principios enunciados en el inciso anterior y a las garantías y límites previstos en la Constitución y esta ley."

[5] "Cuando a juicio de la Sala Plena, por solicitud de cualquier Magistrado, un proceso de tutela dé lugar a un fallo de unificación de jurisprudencia o la trascendencia del tema amerite su estudio por todos los magistrados, se dispondrá que la sentencia correspondiente sea proferida por la Sala Plena..."

[6] "Art. 6º Decreto 2591 de 1991. 'La acción de tutela no procederá: 1º Cuando existan otros recursos o medios de defensa judiciales, salvo que aquélla se utilice como mecanismo transitorio para evitar un perjuicio irremediable. La existencia de dichos mecanismos será apreciada en concreto, en cuanto a su eficacia, atendiendo las circunstancias en que se encuentre el solicitante." (La subraya fuera del original).

[7] "Dice el Artículo 7º del Decreto 2591 de 1991: 'Desde la presentación de la solicitud, cuando el juez expresamente lo considere necesario  y urgente para proteger el derecho, suspenderá la ejecución del acto concreto que lo amenace o vulnere.' (Subraya fuera del original)."

[8] "Dice el artículo 8º del decreto 2591 de 1991: 'Cuando se utilice como mecanismo transitorio para evitar un daño irreparable, la acción de tutela también podrá ejercerse conjuntamente con la acción de nulidad y las demás procedentes ante la jurisdicción de lo contencioso administrativa. En estos casos, el juez si lo estima procedente podrá ordenar que no se aplique el acto particular respecto de la situación jurídica concreta cuya protección se solicita, mientras dure el proceso.' (Subraya fuera del original)."

[9] "Sentencia T-007 de 2008. M. P. Manuel José Cepeda Espinosa."

[10] "Sentencia T-007 de 2008. M. P. Manuel José Cepeda Espinosa."

[11] "Ello se ha presentado, por ejemplo, en casos en que se produce una discriminación en concursos públicos y en el acceso a cargos de esta naturaleza, que compromete seriamente la confianza de los particulares en el Estado (art. 83 C.P.);  el derecho de acceder en igualdad de condiciones a los cargos públicos (art. 13 y 40 CP), el debido proceso (art. 29 C.P.) y el derecho al trabajo (art. 25 C.P.). La cuestión a resolver, en estos casos, es constitucional. De otra parte, el mecanismo ordinario que podría ser utilizado, no es plenamente idóneo para resarcir los eventuales daños. En consecuencia, la tutela se concede como mecanismo principal para evitar la lesión de los derechos fundamentales involucrados. Sobre este particular pueden revisarse las sentencias  T-100 de 1994, M. P. Carlos Gaviria Díaz;  T-256 de 1995, M. P. Antonio Barrera Carbonell; T-325 de 1995 M. P. Alejandro Martínez Caballero; T-389 de 1995, M. P. Fabio Morón Díaz; T-455 de 1996 y T-083 de 1997 M. P. Eduardo Cifuentes Muñoz y SU 133 de 1998, M. P. José Gregorio Hernández Galindo."

[12] "Sentencia T-007 de 2008. M. P. Manuel José Cepeda Espinosa."

[13] Reiterada entre otras en las sentencias T-377 de mayo 11 de 2011, M. P. Humberto Antonio Sierra Porto; T-500 de junio 29 de 2011, M. P. Luis Ernesto Vargas Silva; T-576ª de julio 25 de 2011, M. P. Gabriel Eduardo Mendoza Martelo; y T-067 de febrero 12 de 2013, M. P. Jorge Ignacio Pretelt Chaljub.

[14] Ver SU-201 de abril 21 de 1994 y T-420 de agosto 13 de 1998, en ambas M. P. Antonio Barrera Carbonell; T-961 de octubre 7 de 2004, M.P. Clara Inés Vargas Hernández; T-123 de febrero 22 de 2007; M. P. Álvaro Tafur Galvis, T-945 de diciembre 16 de 2009; M. P. Mauricio González Cuervo, T-1012 de diciembre 7 de 2010, M. P. María Victoria Calle Correa; y T-050 de febrero 5 de 2013, M. P. Nilson Pinilla Pinilla.

[15] El nuevo Código de Procedimiento Administrativo y de lo Contencioso Administrativo (CPACA, Ley 1437 de 2011), indica en su  artículo 43: "Son actos definitivos los que decidan directa o indirectamente el fondo del asunto o hagan imposible continuar la actuación."

[16] Consejo de Estado, Sección Tercera, agosto 19 de 2004, expediente 12279, con ponencia del Consejero Ramiro Saavedra Becerra, en la que esa corporación se inhibió de fallar de fondo en un asunto sometido a su consideración, pues la demanda pretendía la nulidad de un acto considerado por la Sala como de trámite.

[17] Art. 1° Decreto 1278 de 2002.

[18] En sentencia C-208 de marzo 21 de de 2007, M.P. Rodrigo Escobar Gil,  se declaró la exequibilidad del Decreto Ley 1278 de 2002, "siempre y cuando se entienda que el mismo no es aplicable a las situaciones administrativas relacionadas con la vinculación, administración y formación de los docentes y directivos docentes en los establecimientos educativos estatales ubicados en territorios indígenas que atienden población indígena, con la aclaración de que, mientras el legislador procede a expedir un estatuto de profesionalización docente que regule de manera especial la materia, las disposiciones aplicables a los grupos indígenas serán las contenidas en la Ley General de Educación y demás normas complementarias".

[19] Estas facultades fueron otorgadas en el parágrafo del artículo 9º del Decreto 1278 de 2002, de la siguiente forma: "PARÁGRAFO. El Gobierno Nacional reglamentará de manera general el contenido y los procedimientos de cada una de las etapas del concurso, la elaboración de las pruebas de selección y señalará los puntajes correspondientes para la selección y clasificación, determinando cuáles de ellas admiten recursos y su procedimiento." Los apartes tachados fueron declarados inexequibles por la Corte Constitucional mediante sentencia C-734 de agosto 23 de 2003, M.P. Álvaro Tafur Galvis.

[20] Octubre 11 de 2007, Consejo de Estado, Sala de lo Contencioso Administrativo, Sección Segunda, Subsección B, C. P. Alejandro Ordóñez Maldonado, asunto de radicación N° 23001-23-31-000-2007-00329-01(AC).

[21] "Por el cual se modifica la estructura del Instituto Colombiano para el Fomento de la Educación Superior, ICFES, y se dictan otras disposiciones."

[22] Comunicado del ICFES "en cumplimiento de la Resolución 353 del 26 de marzo de 2010... para dar respuesta conjunta a las numerosas reclamaciones, recursos, derechos de petición y demás escritos recibidos... relacionadas con los resultados del componente de aptitud numérica de la prueba aplicada por el ICFES el 5 de julio de 2009". Está en negrilla y subrayado en el texto original.   

[23]

Ver sentencia T-487 de junio 21 de 2011, M.P. Jorge Ignacio Pretelt Chaljub.

[24] Cfr. lo sintetizado en el acápite "DECISIONES JUDICIALES OBJETO DE REVISIÓN" de este fallo.

Ir al inicio

logoaj
Disposiciones analizadas por Avance Jurídico Casa Editorial Ltda.©
"Normograma - Colpensiones - Administradora Colombiana de Pensiones"
ISSN [2256-1633 (En linea)]
Última actualización: 31 de agosto de 2019

Las notas de vigencia, concordancias, notas del editor, forma de presentación y disposición de la compilación están protegidas por las normas sobre derecho de autor. En relación con estos valores jurídicos agregados, se encuentra prohibido por la normativa vigente su aprovechamiento en publicaciones similares y con fines comerciales, incluidas -pero no únicamente- la copia, adaptación, transformación, reproducción, utilización y divulgación masiva, así como todo otro uso prohibido expresamente por la normativa sobre derechos de autor, que sea contrario a la normativa sobre promoción de la competencia o que requiera autorización expresa y escrita de los autores y/o de los titulares de los derechos de autor. En caso de duda o solicitud de autorización puede comunicarse al teléfono 617-0729 en Bogotá, extensión 101. El ingreso a la página supone la aceptación sobre las normas de uso de la información aquí contenida.