Derechos de autor reservados - Prohibida su reproducción
FICHA TÉCNICA DE INSTRUMENTOS FINANCIEROS DERIVADOS DE CRÉDITOS Y PRODUCTOS ESTRUCTURADOS QUE INVOLUCREN DERIVADOS DE CRÉDITO.
<Formato no incluido>
MECANISMOS PARA SOLICITAR LA APROBACIÓN DE LOS COMPROMISOS SEÑALADOS EN EL ARTÍCULO 2.1.1.1.13 DEL DECRETO 2555 DE 2010
<Anexo adicionado por la Circular 20 de 2013. El nuevo texto es el siguiente:>
<Inciso modificado por la Circular 32 de 2013. El nuevo texto es el siguiente:> De acuerdo con el artículo 2.1.1.1.13 del Decreto 2555 de 2010, las entidades de las que trata el presente Capítulo deben solicitar a la Superintendencia Financiera de Colombia (SFC) la aprobación de los compromisos sobre las utilidades del ejercicio en curso y sobre las reservas ocasionales, es decir, los señalados en los literales a), b) y j) del citado artículo.
Para el efecto, las entidades deben diligenciar y remitir a la SFC, de manera individual, los siguientes documentos:
1. Carta de solicitud de aprobación de compromisos: <Párrafo modificado por la Circular 32 de 2013. El nuevo texto es el siguiente:> Este documento debe ser diligenciado por las entidades cuando la respectiva Asamblea General de Accionistas u Órgano que haga sus veces, decida establecer, modificar o prorrogar los compromisos a los que se refieren los literales a), b) y j) del artículo 2.1.1.1.13 del Decreto 2555 de 2010.
2. Documento de compromiso: Este documento debe adjuntarse a la “Carta de solicitud de aprobación de compromisos”, indicando de manera puntual el (los) compromiso(s) que decida asumir.
Es necesario recordar que de conformidad con lo dispuesto en el referido Decreto 2555 de 2010, las entidades están en libertad de decidir si establecen o no estos compromisos y, en tal sentido, señalar cuáles de ellos y en qué términos se van adoptar.
<Inciso modificado por la Circular 32 de 2013. El nuevo texto es el siguiente:> En el evento en que la entidad decida no asumir los compromisos a los que se refieren los literales a), b) y j) del artículo 2.1.1.1.13 del citado Decreto, dicha situación debe ser igualmente informada a la SFC.
En virtud de lo anterior, a continuación se presentan los modelos de comunicación que, en caso de realizarse el compromiso, las entidades deben emplear para solicitar la aprobación de los mismos. Toda solicitud debe ser enviada a la SFC con copia del extracto del acta de la Asamblea General de Accionistas u Órgano que haga sus veces, en la cual conste la manifestación de la aprobación de tales compromisos, a través del trámite 126 “Solvencia para establecimientos de crédito”.
Bogotá, DD de MM de AAAA.
Doctor(a)
(NOMBRE DEL SUPERINTENDENTE DELEGADO)
Superintendente Delegado para Intermediarios Financieros
Superintendencia Financiera de Colombia
Ciudad
Estimado(a) doctor(a):
<Inciso modificado por la Circular 32 de 2013. El nuevo texto es el siguiente:> En mi calidad de Representante Legal Principal de (Nombre de la Entidad) me permito someter a aprobación de la Superintendencia Financiera de Colombia, el documento con los compromisos señalados en los literales a), b) y j) del artículo 2.1.1.1.13 del Decreto 2555 de 2010.
Para el efecto le informamos que, tal y como se establece en el documento que se adjunta, la Asamblea General de Accionistas u Órgano que haga sus veces, en reunión realizada el (DD/MM/AAA), decidió efectuar compromisos en relación con:
| La capitalización o incremento de la reserva legal en un porcentaje de las utilidades que se generen en el ejercicio en curso, al término del mismo. | |
| La definición de un periodo de permanencia mínima sobre las reservas ocasionales diferentes a la reserva fiscal a la que hace referencia el Decreto 2336 de 1995. | |
| <Inciso adicionado por la Circular 32 de 2013. El nuevo texto es el siguiente:> El incremento del fondo para la protección de aportes sociales o de la reserva legal en un porcentaje de los excedentes que se generen en el ejercicio en curso, durante o al término del mismo. |
La entidad debe indicar a qué tipo de compromiso se refiere señalándolo con una “X”.
Cordial saludo,
Nombre
C.C
REPRESENTANTE LEGAL PRINCIPAL
(NOMBRE DE LA ENTIDAD)
(Nit Entidad)
DOCUMENTO DE COMPROMISOS
ARTÍCULO 2.1.1.1.13 DEL DECRETO 2555 DE 2010
Bogotá, DD de MM de AAAA.
Yo,___________________________________________________________ identificado con C.C ____________________ , en mi calidad de Representante Legal Principal de (Nombre de la entidad) y habiendo sido designado por la Asamblea General de Accionistas u Órgano que haga sus veces para reportar los compromisos a que se refiere el artículo 2.1.1.1.13 del Decreto 2555 de 2010, me permito informar que en la reunión realizada por la mencionada Asamblea el (DD/MM/AAA), la cual consta en el acta número (Número del Acta), se establecieron los siguientes compromisos:
1. Capitalizar o incrementar la reserva legal en un valor equivalente al (X%) de las utilidades que se generen en el ejercicio en curso, al término del mismo.
2. Establecer la permanencia mínima de cinco (5) años2 contados a partir de la fecha, sobre las reservas ocasionales diferentes a la reserva fiscal a la que hace referencia el Decreto 2336 de 1995, para que éstas sean reconocidas como capital regulatorio una vez la Superintendencia lo apruebe.
| Destinación de la Reserva Ocasional | Valo (millones de pesos) | Permanencia (años) |
Añadir más líneas en caso de ser necesario
3. <Numeral adicionado por la Circular 32 de 2013. El nuevo texto es el siguiente:> Incrementar el fondo para la protección de aportes sociales o la reserva legal en un valor equivalente al (X%) de los excedentes que se generen en el ejercicio en curso, durante o al término del mismo.
Manifiesto que el compromiso señalado en el numeral 1 del presente documento es irrevocable y estará vigente hasta la próxima reunión de la Asamblea General de Accionistas u Órgano que haga sus veces.
De la misma forma, manifiesto que la Asamblea General de Accionistas u Órgano que haga sus veces es consciente de la seriedad de este compromiso y de sus efectos. En tal sentido este documento se firma en la ciudad de (Nombre Ciudad) a los (AA) días del mes de (MMMMMMM) de (AAAA).
Nombre
C.C
REPRESENTANTE LEGAL PRINCIPAL
(NOMBRE DE LA ENTIDAD)
(Nit Entidad)
1 En virtud de lo previsto en el artículo 2.1.1.1.13 del Decreto 2555 de 2010. En caso de que la entidad decida prorrogar o crear nuevos compromisos debe presentar la solicitud correspondiente a la SFC para su aprobación.
2 Se recuerda que la reservas ocasionales diferente a la reserva fiscal a la que hace referencia el Decreto 2336 de 1995, se reconocen en el Patrimonio Adicional hasta por un valor máximo equivalente al 10% del Patrimonio Técnico.
INSTRUCCIONES PARA SOLICITAR LA CLASIFICACIÓN DE LOS INSTRUMENTOS DE CAPITAL EN EL PATRIMONIO TÉCNICO.
<Anexo adicionado por la Circular 20 de 2013. El nuevo texto es el siguiente:>
Las entidades de las que trata el presente Capítulo deben presentar ante la Superintendencia Financiera de Colombia (SFC) la solicitud de clasificación de los instrumentos de capital regulatorio (acciones e instrumentos de deuda subordinada) para el cómputo de los mismos en el Patrimonio Básico Ordinario (PBO), Patrimonio Básico Adicional (PBA) o Patrimonio Adicional (PA).
Para el efecto, deben remitir a la Delegatura para Intermediarios Financieros una comunicación oficial, firmada por el representante legal de la entidad, en la cual se incorpore la siguiente información para cada uno de los instrumentos:
a) Propuesta de clasificación del instrumento de capital en PBO, PBA o PA.
b) Exposición de las razones que sustentan la propuesta del literal a), para lo cual deben tener en cuenta el cumplimiento de los criterios señalados en los artículos 2.1.1.1.7, 2.1.1.1.8 y 2.1.1.1.9 del Decreto 2555 de 2010.
c) Evidencia documental que soporte las razones señaladas en el literal b).
d) Prospecto de emisión de cada instrumento. Sin embargo, cuando los prospectos de emisión aprobados se encuentren en la Superintendencia y contengan parte de la información solicitada, no se requerirá el envío del mismo, sino que bastará que en la solicitud se referencien los apartes en los cuales se puede verificar dicha información y se identifique el prospecto correspondiente.
Se recuerda que la SFC evaluará la solicitud a la luz de la información proporcionada por la entidad y de los criterios señalados en los artículos 2.1.1.1.7, 2.1.1.1.8 y 2.1.1.1.9 del Decreto 2555 de 2010. Los instrumentos que la SFC no clasifique en el capital regulatorio no computarán en el Patrimonio Técnico de la entidad.
La SFC clasificará los instrumentos presentados por las entidades de acuerdo a lo previsto anteriormente. Sin embargo, se podrá modificar dicha clasificación si existe evidencia de situaciones que afecten el cumplimiento de los criterios señalados en los artículos 2.1.1.1.7, 2.1.1.1.8 y 2.1.1.1.9 del Decreto 2555 de 2010.
La solicitud de clasificación de los instrumentos de capital regulatorio debe remitirse a esta Superintendencia a través del trámite 126 “Solvencia para establecimientos de crédito”.
-------------
F.1000-48 Formato 110
F.0000-97 Formato 301.
REGLAS RELATIVAS AL SISTEMA DE ADMINISTRACIÓN DE
RIESGO DE MERCADO.
<Anexo 1 del Capítulo XXI modificado por la Circular 51 de 24 de octubre de 2007. El nuevo texto es el siguiente: >
1. CONSIDERACIONES GENERALES
En el presente Anexo se establece el Modelo Estándar para la medición de riesgos de mercado adoptado por la SFC, el cual deben emplear los establecimientos de crédito, las instituciones oficiales especiales, los organismos cooperativos de grado superior y el que se derive de las operaciones por cuenta propia y con recursos propios realizadas por las sociedades comisionistas de bolsa de valores
Sin embargo, las entidades que cuenten con modelos internos no objetados por la SFC deberán utilizarlos de acuerdo con lo establecido en el numeral 5.2.2. del presente capítulo.
2. REGLAS RELATIVAS A LA APLICACIÓN DE MODELOS PARA LA MEDICION DE RIESGOS DE MERCADO
2.1 Reglas relativas a la medición de riesgos de mercado a través del modelo estándar para establecimientos de crédito, las instituciones oficiales especiales, los organismos cooperativos de grado superior y a las sociedades comisionistas de bolsa de valores.
La metodología estandarizada se compone de cuatro (4) módulos los cuales se calculan separadamente y son los siguientes:
· Riesgo de tasa de interés.
· Riesgo de tasa de cambio.
· Riesgo de precio de acciones.
· Riesgo de inversiones en carteras colectivas.
Para obtener la exposición total a riesgos de mercado los resultados de estos módulos se deben agregar aritméticamente.
Para los módulos de tasa de interés y de acciones, se toman en cuenta únicamente las posiciones del libro de tesorería. En el caso del módulo de tasa de cambio se incluyen también las posiciones del libro bancario.
2.1.1 Tratamiento de las posiciones en derivados y otras operaciones
La posiciones en instrumentos derivados y en operaciones de repo o reporto, en operaciones simultáneas y en operaciones de transferencia temporal de valores serán tenidas en cuenta para el cálculo de los requerimientos de capital en cada uno de los módulos de acuerdo a las condiciones señaladas a continuación.
2.1.1.1 Posiciones en derivados
Para su inclusión en los cálculos del cargo de capital del presente numeral, los instrumentos derivados deberán ser convertidos en posiciones de los instrumentos subyacentes correspondientes. Los montos reportados corresponderán al valor de mercado de las posiciones nocionales reportadas. A continuación se presentan instrucciones referentes al tratamiento de algunos instrumentos específicos.
a. Futuros y Forwards sobre tasa de interés
Estos instrumentos deberán ser tratados como dos (2) posiciones nocionales en bonos cero cupón.
Cuando la entidad vigilada vende un futuro sobre una tasa de interés o compra un forward sobre tasa de interés, es decir, que se compromete a pagar una tasa de interés durante un periodo de tiempo en el futuro, esta posición se descompone en:
1. Una posición nocional corta en un bono cero cupón con madurez residual igual al tiempo que resta hasta el inicio del contrato más el periodo efectivo de pago de la tasa de interés.
2. Una posición nocional larga en un bono cero cupón con madurez residual igual al tiempo que resta hasta el inicio del contrato.
Para el caso contrario (la entidad compra un futuro o vende un FRA), la primera posición nocional descrita es larga y la segunda corta.
<Inciso adicionado por la Circular 8 de 2012. El nuevo texto es el siguiente:> Para efectos de los futuros y forwards sobre variaciones de índices no accionarios les será aplicable lo establecido en el presente literal (i.e. futuro sobre inflación).
b. Futuros, Forwards y Operaciones a Plazo sobre títulos de deuda
Estos instrumentos deberán ser tratados como dos (2) posiciones nocionales, una en el título subyacente y otra en un bono cero cupón. Cuando la entidad tenga una posición larga en las operaciones de que trata el presente literal (es decir que se compromete a comprar un título a un precio previamente establecido en un punto de tiempo en el futuro), esta posición se descompone en:
1. Una posición nocional larga en el título subyacente.
2. Una posición nocional corta en un bono cero cupón con madurez residual igual al tiempo que resta para el cumplimiento del contrato (el valor nominal de está posición corresponde al precio pactado).
Para el caso contrario (posición corta en el futuro, el forward o la operación a plazo), la primera posición nocional descrita es corta y la segunda larga.
Cuando el título subyacente de la operación esté denominado en una moneda distinta a la legal, la primera posición nocional descrita deberá ser clasificada en la escalera de duraciones modificadas respectiva y adicionalmente deberá ser tenida en cuenta para calcular la exposición al riesgo de tasa de cambio.
<Inciso adicionado por la Circular 42 de 2010. El nuevo texto es el siguiente:> En el caso de los futuros sobre bonos nocionales que se negocien en la Bolsa de Valores de Colombia, la posición nocional larga de que trata el presente literal será calculada cómo el cociente entre el valor a precios de mercado del “cheapest to deliver” a la fecha de valoración respectiva y el factor de conversión definido por la Bolsa de Valores de Colombia.
<Inciso adicionado por la Circular 42 de 2010. El nuevo texto es el siguiente:> Para este tipo de futuros, la posición nocional corta se definirá de acuerdo con las instrucciones señaladas en el presente literal.
c. Futuros, Forwards y Operaciones a Plazo sobre divisas
Estos instrumentos deberán ser tratados como dos (2) posiciones nocionales en bonos cero cupón en las monedas aplicables.
1. Una posición nocional larga en un bono cero cupón, denominado en la moneda comprada y con una madurez residual igual al tiempo que resta para el cumplimiento del contrato.
2. Una posición nocional corta en un bono cero cupón, denominado en la moneda vendida y con una madurez residual igual al tiempo que resta para el cumplimiento del contrato.
Estas posiciones deberán ser tenidas en cuenta para calcular la exposición al riesgo de tasa de cambio.
d. Swaps de tasas de interés
Estos instrumentos deberán ser tratados como dos posiciones nocionales en bonos subyacentes en las tasas de interés respectivas. En este sentido la posición se descompone en:
1. Una posición nocional larga en un título pactado a la tasa de interés que recibe la entidad.
2. Una posición nocional corta en un título pactado a la tasa de interés que la entidad paga.
Cuando la tasa de interés del instrumento subyacente sea fija, la madurez residual correspondiente será igual a la duración del contrato.
Para los casos en que la tasa de interés sea variable, la duración del flujo se calculará de acuerdo a lo estipulado en el numeral 2.1.2.1 del presente capítulo para dichas posiciones.
En el caso de swaps que involucren posiciones en distintas monedas (cross currency swaps) cada una de las posiciones deberá ser clasificada en la respectiva escalera para el cálculo del riesgo de tasa de interés y adicionalmente deberá ser tenida en cuenta para calcular la exposición al riesgo de tasa de cambio.
<Inciso adicionado por la Circular 8 de 2012. El nuevo texto es el siguiente:> Para efectos de los futuros cuya estructura se asemeje a intercambios de flujos calculados sobre tasas de interés les será aplicable lo establecido en el presente literal (i.e. futuro sobre IBR).
e. Futuros, Forwards y Operaciones a Plazo sobre acciones (o índices de acciones)
Estas operaciones deben descomponerse en dos (2) posiciones nocionales, una correspondiente a la acción (o índice de acciones) subyacente y otra correspondiente a un bono cero cupón con madurez residual igual al tiempo remanente para el cumplimiento del contrato.
Cuando la entidad tenga una posición larga en las operaciones de que trata el presente literal (es decir que se compromete a comprar una acción o índice de acciones a un precio previamente establecido en un punto de tiempo en el futuro), esta posición se descompone en:
1. Una posición nocional larga en el título subyacente.
2. Una posición nocional corta en un bono cero cupón con madurez residual igual al tiempo que resta para el cumplimiento del contrato (el valor nominal de esta posición corresponde al precio pactado).
Para el caso contrario (posición corta en el futuro, el forward o la operación a plazo), la primera posición nocional descrita es corta y la segunda larga.
Sólo la posición en el bono cero cupón computará en el cálculo de riesgo de tasa de interés. La posición en acciones será incluida en el módulo de Riesgo de precio de acciones.
f. Operaciones Carrusel
En términos financieros, un carrusel consiste en una secuencia de operaciones de compra y venta de un título a futuro. Por lo anterior, para efectos de la exposición a riesgos de mercado de que trata el presente capítulo, estas operaciones deberán ser tratadas como una serie de operaciones de compra y venta a futuro del título subyacente. Cada una de estas operaciones deberá ser tratada de acuerdo a lo estipulado en el literal b del presente numeral.
g. Opciones
El tratamiento de estas operaciones será descrito en la sección 2.1.6.
Para valorar aquellas posiciones nocionales asimiladas a bonos cero cupón, se deberán seguir las siguientes indicaciones:
<Ordinales modificados por la Circular 39 de 2012. El nuevo texto es el siguiente:>
(i) Cuando la posición se encuentre en moneda legal, se deberá utilizar la curva cero cupón para títulos TES tasa fija en pesos, suministrada por el proveedor de precios para valoración designado como oficial para el segmento correspondiente;
(ii) Cuando la posición se encuentre denominada en UVR se deberá utilizar la curva cero cupón para títulos TES en UVR, suministrada por el proveedor de precios para valoración designado como oficial para el segmento correspondiente.
h. Notas estructuradas
<Literal adicionado por la Circular 42 de 2010. El nuevo texto es el siguiente:> El riesgo de mercado de las notas estructuradas que puedan descomponerse en instrumentos de renta fija o variable e instrumentos derivados deberá calcularse para cada uno de sus componentes.
Cuando se trate de notas estructuradas que, de acuerdo con su valoración, puedan descomponerse, el riesgo de mercado deberá calcularse teniendo en cuenta:(i) el módulo de tasa de interés, de acuerdo con las reglas contenidas en el numeral 2.1.2 de este anexo, cuando se trate de instrumentos de renta fija; (ii) el factor de riesgo de tasa de cambio, de acuerdo con las reglas contenidas en el numeral 2.1.3 del presente anexo, y; (iii) el factor de riesgo de precio de acciones o índice accionario, de acuerdo con las reglas contenidas en el numeral 2.1.4 del presente anexo, para el caso de instrumentos de renta variable.
Cuando se trate de notas estructuradas que, de acuerdo con su valoración, no puedan descomponerse y se asemejen en su comportamiento y estructura a una opción, el riesgo de mercado deberá calcularse de acuerdo con las reglas contenidas en el numeral 2.1.6 del presente instructivo.
i. Inversiones clasificadas hasta el vencimiento entregadas como garantías
<Literal adicionado por la Circular 42 de 2010. El nuevo texto es el siguiente:> Las inversiones que sean entregadas como garantías en una cámara de riesgo central de contraparte con el fin de respaldar el cumplimiento de las operaciones aceptadas para su compensación y liquidación deberán ser tenidas en cuenta para el cálculo de la exposición al riesgo de tasa de interés, por su valor de mercado, independientemente de su clasificación contable.
Así mismo, en el evento en que estas inversiones estén expresadas en moneda diferente a moneda legal, deberán tenerse en cuenta adicionalmente en el cálculo de la exposición al riesgo de tasa de cambio.
2.1.1.2 Operaciones de reporto o repo, operaciones simultáneas y operaciones de transferencia temporal de valores
Las operaciones a que hace referencia el presente subnumeral generan un intercambio de valores y de dinero entre las partes, con el compromiso de reversarlo al final de la operación.
En las operaciones de reporto o repo (repo) y simultáneas, el “Enajenante” le entrega valores al ”Adquirente”, y al hacerlo le transfiere la propiedad de éstos. A cambio, el ”Adquirente” le entrega dinero al ”Enajenante”. De manera análoga, en las operaciones de transferencia temporal de valores el ”Originador” le entrega valores al “Receptor” y, al hacerlo, le transfiere la propiedad de éstos. A cambio, el ”Receptor” le entrega dinero o valores al “Originador”, en cuyo caso también se transfiere la propiedad.
Dado que en las tres (3) operaciones mencionadas la vocación del valor es regresar a manos del “Enajenante”, del “Originador” o del “Receptor”, según sea el caso, la realidad financiera de la operación exige que el riesgo siga en el balance de las entidades que entregaron los valores al principio de las mismas.
Teniendo en cuenta lo anterior, para efectos del cálculo de la exposición a los riesgos de mercado las posiciones en las operaciones de que trata el presente numeral deben ser tenidas en cuenta de acuerdo a las siguientes instrucciones:
a. <Literal modificado por la Circular 42 de 2010. El nuevo texto es el siguiente:> Los valores entregados en desarrollo de las tres (3) operaciones mencionadas deben ser tenidos en cuenta, por su valor de mercado, independientemente de su clasificación contable, para efectos de los cálculos de los riesgos de mercado del agente que los entregó al principio de la operación. Se exceptúan los valores obtenidos previamente a través de cualquiera de las operaciones mencionadas.
b. <Literal modificado por la Circular 42 de 2010. El nuevo texto es el siguiente:> En los casos en los que una entidad actuando como adquirente en una operación repo o en una operación simultánea venda de manera definitiva a través de operaciones de contado los valores objeto de la operación, ó los entregue como enajenante en una nueva operación repo, simultánea o transferencia temporal de valores, la posición corta o la posición pasiva resultante deberá ser tenida en cuenta para efectos de los cálculos de la exposición a riesgos de mercado de que trata el presente capítulo.
c. <Literal modificado por la Circular 42 de 2010. El nuevo texto es el siguiente:> Igual tratamiento recibirán las posiciones cortas o posiciones pasivas resultantes en los casos en los cuales cualquiera de las partes involucradas en una transferencia temporal de valores venda de manera definitiva a través de operaciones de contado los valores que recibió en desarrollo de la mencionada operación, ó los entregue como enajenante en una nueva operación repo, simultánea o transferencia temporal de valores.
<Inciso adicionado por la Circular 42 de 2010. El nuevo texto es el siguiente:> En todo caso, las entidades vigiladas deberán seguir las instrucciones señaladas en el Capítulo XXV de la Circular Básica Contable y Financiera con el fin de medir la exposición de riesgo de mercado de las operaciones de contado.
2.1.1.3 Operaciones de compra y venta de Fondos interbancarios
Las operaciones con fondos interbancarios están expuestas a riesgo de crédito pero no a riesgo de mercado. Por lo anterior, estas operaciones no serán tenidas en cuenta para el cálculo de los requerimientos de capital por riesgo de mercado de que trata este capítulo.
A continuación se describen las metodologías para el cálculo de la exposición a los riesgos de mercado en cada uno de los módulos que componen el modelo estándar.
2.1.2 Riesgo de tasa de interés
Este numeral describe la metodología estandarizada para medir el riesgo de tomar o mantener posiciones, en el libro de tesorería, en instrumentos sensibles a cambios adversos en tasas de interés.
Para efectos de lo estipulado en el presente numeral deben tenerse en cuenta:
1. Las inversiones en títulos de renta fija, bien sean pactados a tasa fija o a tasa variable.
2. Las exposiciones asociadas a instrumentos derivados cuyos subyacentes sean títulos de renta fija o tasas de interés según lo determinado en el numeral 2.1.1.
3. Adicionalmente, cuando corresponda según lo previsto en el numeral 2.1.6., las posiciones delta ponderadas de opciones cuyo subyacente sea una tasa de interés o un título de deuda.
<Inciso adicionado por la Circular 42 de 2010. El nuevo texto es el siguiente:> Se deberá incluir en el cálculo de la exposición al riesgo de tasa de interés, las posiciones de las inversiones clasificadas como para mantener hasta el vencimiento entregadas como garantías en una cámara de riesgo central de contraparte con el fin de respaldar el cumplimiento de las operaciones aceptadas para su compensación y liquidación, de acuerdo a lo establecido en el literal i) del numeral 2.1.1.1 del presente anexo.
Para efectos de los cálculos a que hace referencia el presente numeral, las entidades deben reportar las exposiciones netas en cada instrumento. En ese sentido, se pueden excluir posiciones calzadas en los siguientes casos:
1. Cuando las posiciones largas y cortas calzadas correspondan a una emisión idéntica, incluyendo las posiciones en subyacentes derivadas de la participación en forwards, futuros y operaciones a plazo.
No se pueden excluir posiciones calzadas entre distintas emisiones de un mismo emisor, dado que las diferencias en cupones, opciones implícitas o liquidez, entre otros elementos, pueden ocasionar divergencia entre los precios de dichas emisiones en el corto plazo.
2. Para las posiciones nocionales asociadas a instrumentos derivados, con excepción de las posiciones nocionales en títulos subyacentes, se podrán excluir las posiciones largas y cortas calzadas cuando:
i. Las posiciones estén en la misma moneda;
ii. Para swaps y FRAs, la tasa de referencia debe ser idéntica y la diferencia entre los cupones pactados debe ser menor a quince (15) puntos básicos;
iii. Si la madurez residual (o próxima fecha de reprecio) de las posiciones nocionales es menor o igual a treinta días y el descalce entre ellas es menor o igual a un (1) día; o,
iv. si la madurez residual (o próxima fecha de reprecio) de las posiciones nocionales es mayor que treinta (30) días y menor o igual a trescientos sesenta y cinco (365) días, y el descalce entre ellas es menor o igual a siete (7) días; o,
v. si la madurez residual (o próxima fecha de reprecio) de las posiciones nocionales es mayor a trescientos sesenta y cinco (365) días y el descalce entre ellas es menor o igual a treinta (30) días; y
vi. si las posiciones a calzar están en dos (2) categorías distintas de acuerdo a su madurez residual, el calce podrá realizarse sólo si se cumple con las condiciones de la posición con menor madurez residual. Por ejemplo, si se tiene una posición larga con una madurez residual de trescientos sesenta y tres (363) días, esta podrá calzarse con una posición corta, con una madurez residual de hasta trescientos sesenta y nueve (369) días, para garantizar que el descalce entre ellas sea menor a siete (7) días.
2.1.2.1 Medición del riesgo de tasa de interés
La exposición a riesgo de tasa de interés refleja el riesgo asociado a movimientos adversos en las tasas de interés del mercado. Dicha exposición debe ser medida por las entidades de manera separada para las posiciones en moneda legal, en moneda extranjera y en Unidades de Valor Real (UVR).
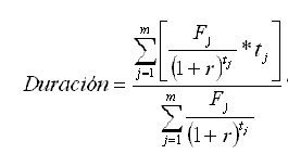
2.1.2.1.1 Cálculo de la duración modificada
Las entidades deberán calcular la duración modificada de cada una de las posiciones, incluyendo las nocionales asociadas a los instrumentos derivados, como una aproximación a la sensibilidad de su valor frente a cambios en la tasa de interés. Para dicho cálculo se debe utilizar la siguiente fórmula:

Dónde:
r <Variable modificada por la Circular 39 de 2012. El nuevo texto es el siguiente:> Último rendimiento disponible en la fecha de cálculo (tasa efectiva anual). Es decir la última tasa de descuento disponible para el título, de acuerdo con la información para valoración suministrada por el proveedor de precios designado como oficial para el segmento correspondiente.
Para el cálculo de la duración de los diferentes instrumentos se deben seguir las instrucciones presentadas a continuación:
a. Duración de instrumentos pactados a tasa fija.
La duración de un título pactado a tasa fija corresponde al plazo promedio de los flujos asociados a dicho título. Partiendo de los flujos contractuales y de la tasa de rendimiento del título, la duración del instrumento corresponde a:

Donde:
Fj j-ésimo flujo de fondos del instrumento, j =1,..., m.
tj tiempo restante hasta el j-ésimo flujo medido en número de años (número de días/365).
r <Variable modificada por la Circular 39 de 2012. El nuevo texto es el siguiente:> Último rendimiento disponible en la fecha de cálculo (tasa efectiva anual). Es decir la última tasa de descuento disponible para el título, de acuerdo con la información para valoración suministrada por el proveedor de precios designado como oficial para el segmento correspondiente.
m Número de flujos futuros de efectivo asociados al instrumento.
La duración deberá ser menor que la madurez contractual del instrumento, salvo en aquellos casos en que el instrumento tiene un único flujo de efectivo que ocurre en la fecha de vencimiento.
b. Duración de instrumentos pactados a tasa variable con y sin margen.
Teniendo en cuenta que en la valoración de los instrumentos pactados a tasa variable se tiene en cuenta un margen relacionado con las características del emisor y que, por ende, los flujos de efectivo posteriores a la siguiente fecha de reprecio pueden cambiar de valor ante movimientos en el margen, la duración de estos instrumentos debe ser calculada utilizando la siguiente expresión:

Donde:
Fj j-ésimo flujo de fondos del instrumento, j =1,..., m.
tj tiempo restante hasta el j-ésimo flujo medido en número de años (número de días/365).
FD <Variable modificada por la Circular 39 de 2012. El nuevo texto es el siguiente:> Último factor de descuento disponible en la fecha de cálculo, de acuerdo con la información para valoración suministrada por el proveedor de precios designado como oficial para el segmento correspondiente.
m Número de flujos futuros de efectivo asociados al instrumento.
En la determinación del factor de descuento y de los flujos futuros de efectivo asociados a estos instrumentos se debe tener en cuenta lo estipulado en el capítulo I de la Circular Externa 100 de 1995 (Circular Básica Financiera y Contable) o en el título séptimo de la parte primera de la Resolución 1200 de la Superintendencia de Valores, según sea el caso.
Sin embargo, la duración de los títulos “tasa variable” pactados a tasas de referencia internacionales corresponderá al periodo de tiempo existente hasta el siguiente reprecio, es decir, hasta el siguiente momento en que se revise la tasa para calcular el pago del cupón. Dicha duración deberá ser calculada en número de años.
c. Duración de instrumentos pactados en UVR.
Para calcular la duración de los instrumentos financieros pactados en Unidades de Valor Real (UVR), los flujos futuros de efectivo deben proyectarse teniendo en cuenta la tasa pactada en UVR. La duración en este caso se calcula siguiendo el procedimiento establecido en el inciso a) del presente numeral.
Cabe aclarar que el cálculo de la duración no se ve afectado por la unidad en que estén denominados los flujos de efectivo al momento de realizarlo.
d. Duración de instrumentos pactados en moneda extranjera.
Para calcular la duración de los instrumentos financieros pactados en moneda extranjera, los flujos futuros de efectivo deben proyectarse teniendo en cuenta la tasa pactada en la moneda original. La duración en este caso se calcula siguiendo el procedimiento establecido en los literales a) y b) del presente numeral.
Cabe aclarar que el cálculo de la duración no se ve afectado por la unidad en que estén denominados los flujos de efectivo al momento de realizarlo.
e. Duración de instrumentos con opción de prepagos.
En el caso de los títulos que incorporen opción de prepagos, su duración se debe calcular de acuerdo con la expresión mencionada en el literal a), utilizándose como referencia los escenarios de prepago que se emplean para su valoración a precios de mercado, de acuerdo con lo establecido en el capítulo I de la CE 100 de 1995 o en el título séptimo de la parte primera de la Resolución 1200 de la Superintendencia de Valores, según sea el caso.
2.1.2.1.1 Cálculo de los componentes de la exposición a riesgo de tasas de interés.
Para calcular la exposición al riesgo de tasa de interés deben seguirse los siguientes pasos:
a. Cálculo de las sensibilidades
1. La sensibilidad neta de las posiciones en cada instrumento frente a cambios en la tasa de interés, debe calcularse multiplicando la posición neta en dicho instrumento por su duración modificada y por el cambio asumido en la tasa de interés para la banda y moneda correspondientes según lo registrado en la Tabla 1.
<Inciso modificado por la Circular 42 de 2010. El nuevo texto es el siguiente:> Para los títulos “tasa variable” pactados a tasas de referencia nacionales, los cambios en tasa de interés aplicables para la realización del cálculo de esta sensibilidad neta corresponderán al respectivo choque de tasas registrado en la Tabla 1 para la moneda correspondiente.
Para las escaleras de moneda extranjera y Unidad de Valor Real (UVR), las posiciones netas deben ser expresadas en términos de moneda legal, de forma tal que las sensibilidades obtenidas estén denominadas en una única moneda.
2. Dichas sensibilidades netas se clasifican en las escaleras de bandas correspondientes a la moneda de denominación del instrumento. Para cada una de estas escaleras se calculará separadamente la exposición a riesgo de tasa de interés, razón por la cual los procedimientos referidos en los numerales siguientes deberán ser realizados de manera independiente sin efectuar ajustes entre sensibilidades de posiciones denominadas en unidades diferentes.
3. Se calcula la sensibilidad neta de cada banda como la diferencia entre la suma de las sensibilidades de las posiciones largas y la suma de las sensibilidades de las posiciones cortas clasificadas en la banda en cuestión.
4. Se calcula la sensibilidad neta de cada una de las tres (3) zonas definidas en la Tabla 1, como la diferencia entre la suma de las sensibilidades netas positivas y el valor absoluto de la suma de las sensibilidades netas negativas correspondientes a las bandas pertenecientes a dicha zona según lo calculado en el numeral 3 del presente literal.
5. Si las sensibilidades netas de las zonas 1 y 2, calculadas de acuerdo a lo estipulado en el numeral 4 tienen signos contrarios se pueden compensar.
6. Si las sensibilidades netas de las zonas 1 y 2 son del mismo signo, y la sensibilidad neta de la zona 3 es de signo contrario, las sensibilidades netas de las zonas 2 y 3 se pueden compensar
b. Ajustes entre bandas y zonas
Dado que las posiciones al interior de cada banda, entre bandas y entre zonas no son homogéneas, se debe realizar el siguiente ajuste de las sensibilidades calculadas en el literal anterior, con base en los parámetros establecidos en la Tabla 1.
1. El monto compensado al interior de cada banda (equivalente a la menor entre la suma de las sensibilidades de las posiciones largas y la suma de las sensibilidades de las posiciones cortas) es multiplicado por el factor de ajuste vertical indicado en la tabla 1 (â), para obtener el cargo por ajuste de sensibilidades al interior de una banda.
2. El monto compensado entre bandas de la misma zona es multiplicado por el factor de ajuste horizontal correspondiente a cada zona ( ë1, ë2 y ë3 ), para obtener el cargo por ajuste de sensibilidades al interior de una zona.
3. El cargo por ajuste de sensibilidades entre las zonas 1 y 2 se calcula como el producto entre el monto compensado (equivalente al menor valor absoluto de las sensibilidades netas) y el factor de ajuste horizontal ë12.
4. El cargo por ajuste de sensibilidades entre las zonas 2 y 3 se calcula como el producto entre el monto compensado y el factor de ajuste horizontal ë23.
5. El cargo por ajuste descrito en el numeral anterior también debe ser utilizado cuando, habiendo realizado el procedimiento descrito en el numeral 3, la sensibilidad neta no compensada corresponda a la zona 2 (esto ocurre cuando el valor absoluto de la sensibilidad neta de esta zona es superior al valor absoluto de la sensibilidad neta de la zona 1) y tenga signo contrario a la sensibilidad neta de la zona 3.
6. En los casos en que habiendo realizado el ajuste descrito en el numeral 3, la sensibilidad neta no compensada corresponda a la zona 1 (esto ocurre cuando el valor absoluto de la sensibilidad neta de esta zona es superior al valor absoluto de la sensibilidad neta de la zona 2) y tenga signo contrario a la sensibilidad neta de la zona 3, estas se podrán compensar. El cargo por el ajuste de dichas sensibilidades se calcula como el producto entre el monto compensado y el factor de ajuste horizontal ë13.
7. El cargo por ajuste descrito en el numeral anterior también debe aplicarse en los casos en que, habiendo realizado el procedimiento descrito en el numeral 4, la sensibilidad neta no compensada corresponda a la zona 3 (esto ocurre cuando el valor absoluto de la sensibilidad neta de esta zona es superior al valor absoluto de la sensibilidad neta de la zona 2) y tenga signo contrario a la sensibilidad neta de la zona 1.
8. Luego de realizar, según corresponda, los ajustes descritos en los literales anteriores se obtiene la sensibilidad neta del portafolio que agrupa las sensibilidades que no se pudieron compensar.
c. Cálculo del riesgo de tasa de interés para cada escalera de bandas
Teniendo en cuenta los procedimientos descritos, el riesgo de tasa de interés para cada una de las escaleras de bandas corresponde a la sumatoria de:
1. El cargo por ajuste vertical de cada una de las bandas descrito en el literal b.1.
2. El cargo por ajuste al interior de las zonas descrito en el literal b.2.
3. El cargo por ajuste entre las zonas 1 y 2 descrito en el literal b.3.
4. El cargo por ajuste entre las zonas 2 y 3 descrito en los literales b.4 y b.5.
5. El cargo por ajuste entre las zonas 1 y 3 descrito en los literales b.6 y b.7.
6. La posición neta ponderada del portafolio descrita en el literal b.8.
Tabla 1
Bandas, Choques de tasas de interés y factores de ajuste vertical y horizontal.
Riesgo general de tasa de interés

Los factores en la Tabla 1 serán revisados por la SFC y podrán ser modificados cuando los niveles establecidos no reflejen apropiadamente la sensibilidad de las posiciones expuestas al riesgo de tasa de interés.
2.1.2.2 Determinación exposición total
Para el cálculo de la exposición al riesgo de tasa de interés deben sumarse los valores correspondientes al riesgo para cada escalera de bandas, calculados según lo descrito en el subnumeral 2.1.2.1. Adicionalmente deben añadirse cuando correspondan los siguientes cargos asociados a las posiciones en opciones:
a. Para las entidades elegibles para el tratamiento simplificado de opciones descrito en el numeral 2.1.6.1., la exposición resultante de las posiciones en opciones cuyos subyacentes sean tasas de interés o títulos de deuda, o
b. Para las entidades que deban aplicar la metodología intermedia descrita en el numeral 2.1.6.2., los cargos correspondientes a los riesgos Gamma y Vega de dichas opciones.
2.1.3 Riesgo de tasa de cambio
Esta sección muestra la metodología para calcular el requerimiento mínimo de capital necesario para cubrir los riesgos asociados a tomar o mantener posiciones denominadas en monedas extranjeras, tanto en el libro de tesorería como en el bancario.
Para calcular la posición neta en cada moneda deben sumarse las siguientes posiciones:
a. La posición neta de las operaciones spot de la entidad, calculada como la diferencia entre los activos y los pasivos, incluyendo en ambos casos los intereses causados, denominados en la moneda en cuestión.
b. La posición neta de las operaciones forward de la entidad, calculada como la diferencia entre las posiciones largas en forwards, futuros y operaciones a plazo sobre la moneda en cuestión, y las posiciones cortas en dichos instrumentos.
c. La posición neta de las operaciones en derivados de la entidad cuyo subyacente no sea una divisa pero si un título o una tasa de interés denominados en dicha moneda. Para calcular esta posición deberá computarse la diferencia entre las posiciones nocionales largas y las posiciones nocionales cortas determinadas de acuerdo a lo previsto en el numeral 2.1.1.
d. Adicionalmente, cuando corresponda según lo previsto en el numeral 2.1.6., las posiciones delta ponderadas de opciones en monedas.
Una vez obtenida la posición neta de cada moneda, su equivalente en moneda legal se calculará de la siguiente manera:
(i) Para determinar la exposición neta en dólares de los Estados Unidos de Norteamérica, se multiplicará la posición neta en dólares por la Tasa de Cambio Representativa del Mercado (TCRM) calculada en la fecha de la evaluación.
(ii) Para monedas distintas al dólar de los Estados Unidos de Norteamérica, se debe convertir previamente las exposiciones a dólares de los Estados Unidos de Norteamérica con base en las tasas de conversión de divisas publicadas para el día del cálculo en la página Web del Banco Central Europeo (BCE), con seis (6) decimales aproximando el último por el sistema de redondeo (inciso segundo, literal b del numeral 6.1.3 del Capítulo I de la Circular Básica Contable y Financiera).
Para el cálculo de la exposición al riesgo de tasa de cambio, las entidades vigiladas deben calcular la sensibilidad neta en cada moneda como el producto de la posición neta y el factor de sensibilidad correspondiente definido en la Tabla 2. Esta sensibilidad tendrá un valor positivo cuando la posición neta en una moneda sea larga y negativo cuando la posición neta sea corta.
<Inciso adicionado por la Circular 27 de 2017. El nuevo texto es el siguiente:> Para los casos en donde la entidad vigilada tenga inversiones en subordinadas del exterior, se debe emplear el factor de sensibilidad definido en la Tabla 2, correspondiente a la moneda de cada país en donde se encuentre domiciliada la respectiva subordinada.
La exposición al riesgo de tasa de cambio se calcula entonces como la suma de los siguientes componentes:
a.) El mayor valor entre la suma de las sensibilidades netas positivas y el valor absoluto de la suma de las sensibilidades netas negativas.
b.) Para las entidades elegibles para la aproximación simplificada de tratamiento de opciones descrita en 2.1.6.1., la exposición resultante de las posiciones en opciones sobre monedas, o
c.) Para las entidades que deban aplicar la metodología intermedia descrita en el numeral 2.1.6.2., los cargos correspondientes a los riesgos Gamma y Vega de dichas opciones.
2.1.4 Riesgo de precio de acciones
Esta sección muestra la metodología para calcular los riesgos asociados a tomar o mantener posiciones en acciones en el libro de tesorería.
Para efectos de lo estipulado en el presente numeral deben tenerse en cuenta:
a. <Literal modificado por la Circular 42 de 2010. El nuevo texto es el siguiente:> Las inversiones en títulos participativos incluidas en el libro de tesorería, incluyendo las inversiones en acciones emitidas en el exterior y listadas en Colombia.
b. Para el caso de los establecimientos de crédito, en concordancia con lo establecido en el literal b) del artículo 7° del Decreto 1720 de 2001 o demás normas que lo sustituyan, modifiquen o subroguen, las inversiones en títulos participativos de baja o mínima bursatilidad computan por su valor neto de provisiones ajustado por el cincuenta por ciento (50 %) de sus valorizaciones y/o el 100% de sus desvalorizaciones, según corresponda.
c. En el mismo sentido, las inversiones disponibles para la venta en títulos participativos de alta o media bursatilidad, computan por su valor a precios de mercado, ajustado por el cincuenta por ciento (50 %) de las ganancias o pérdidas no realizadas asociadas a tales inversiones.
d. Las inversiones no contempladas en los literales b) y c) computan por su valor de acuerdo a las normas de valoración aplicables según lo dispuesto por las SFC.
e. Las posiciones en derivados cuyo subyacente sean acciones, tales como futuros y forwards sobre acciones individuales o índices de acciones. También deberán contemplarse las operaciones a plazo realizadas en las Bolsas de Valores.
f. <Literal modificado por la Circular 27 de 2017. El nuevo texto es el siguiente:> Adicionalmente deben ser tenidas en cuenta las posiciones delta ponderadas de las opciones sobre acciones, siempre que la metodología aplicada por las entidades sea la descrita en el numeral 2.1.6.
Sin perjuicio de lo anterior, las siguientes inversiones deben excluirse del cálculo de la exposición al riesgo de cambio de precio en acciones:
a. Para el caso de establecimientos de crédito, las inversiones de que tratan los literales d) y e) del artículo 6° del Decreto 1720 de 2001 o demás normas que lo sustituyan, modifiquen o subroguen. Lo anterior porque estas inversiones ya fueron deducidas del patrimonio básico de la entidad.
b. Las inversiones en títulos participativos efectuadas en entidades sometidas a la inspección y vigilancia de la SFC, cuando se trate de entidades con respecto a las cuales haya lugar a consolidación.
c. En el mismo sentido, para el caso de las comisionistas de bolsa, las inversiones de que trata el numeral 1 del Artículo 2.2.1.5. de la Resolución 400 de 1995 expedida por la Sala General de la Superintendencia de Valores o demás normas que lo sustituyan, modifiquen o subroguen no deben tenerse en cuenta para el cálculo del cargo de capital a que hace referencia el presente numeral toda vez que ya han sido deducidas del capital primario de la entidad.
d. Las inversiones constituidas dentro de procesos de reestructuración realizados de acuerdo con la Ley 550 de 1999 o demás normas que lo sustituyan, modifiquen o subroguen. Así mismo, no deben considerarse las acciones recibidas como dación en pago mientras permanezcan clasificadas como tales.
e. <Literal adicionado por la Circular 50 de 2010. El nuevo texto es el siguiente:> Para el caso de las corporaciones financieras, los valores participativos clasificados como inversiones disponibles para la venta que cumplan con las condiciones señaladas en el literal a) del numeral 5.2.1 del Capítulo XXI de esta Circular.
2.1.4.1 Cálculo del riesgo de precio de acciones
El cálculo de riesgo de precio de acciones busca capturar el riesgo asociado a movimientos adversos en el mercado accionario y corresponde a la suma de las posiciones netas ponderadas en cada acción. Con el fin de tener en cuenta las distintas sensibilidades de los precios de acciones particulares a movimientos en el índice del mercado, la posición neta ponderada de cada acción corresponde al producto de dos (2) componentes:
a. La posición neta en cada acción.
b. El factor de sensibilidad al riesgo general de acciones definido en la Tabla 2, que refleja la volatilidad del Índice General de la Bolsa de Valores de Colombia (IGBC).
Para calcular la exposición al riesgo de precio de acciones de un mercado accionario en particular, se deben sumar los valores absolutos de las posiciones netas ponderadas en acciones del respectivo mercado.
Para los casos en que la entidad tenga posiciones en más de un mercado accionario, el componente de riesgo general debe ser calculado separadamente para cada mercado. Para mercados de acciones distintos a la Bolsa de Valores de Colombia S.A., el factor de riesgo aplicable debe ser calculado por la entidad como el percentil uno (1) de las variaciones observadas, para un horizonte de tenencia de diez (10) días hábiles, en el índice representativo de dicho mercado. Para esta estimación la entidad debe utilizar un periodo correspondiente a los últimos cinco (5) años de historia, y deberá ser actualizado de forma que la última observación utilizada en el cálculo se encuentre en los tres (3) meses anteriores a la fecha del cálculo de la exposición a los riesgos de mercado a que hace referencia el presente numeral.
Para efectos del presente numeral debe entenderse por mercado accionario aquél sistema de negociación de valores en el cual se negocien acciones, bien sea este nacional o extranjero.
2.1.4.2 Determinación exposición total
Para el cálculo de la exposición al riesgo de precio de acciones deben sumarse los valores correspondientes al riesgo para cada mercado de acciones en que participe la entidad de acuerdo a lo estipulado en el subnumeral 2.1.4.1. Adicionalmente deben añadirse, cuando correspondan, los siguientes cargos correspondientes a las posiciones en opciones:
a. Para las entidades elegibles para la aproximación simplificada de tratamiento de opciones descrita en 2.1.6.1., la exposición resultante de las posiciones en opciones sobre acciones, o
b. Para las entidades que deban aplicar la metodología intermedia descrita en el numeral 2.1.6.2., los cargos correspondientes a los riesgos Gamma y Vega de dichas opciones.
Tabla 2
Factores de Sensibilidad para el Cálculo de Riesgos de Tasa de Cambio y de Precio de Acciones
<Tabla modificada por la Circular 27 de 2017. El nuevo texto es el siguiente:>
| Moneda | Factor de Sensibilidad |
| Dólar de Estados Unidos de Norteamérica | 12.49% |
| Euro | 11% |
| Otras monedas | 13.02% |
| Riesgo general precio de acciones | 14.7% |
Los factores consignados en la Tabla 2 serán revisados por la SFC y podrán ser modificados si ésta considera que los niveles establecidos no reflejan apropiadamente la sensibilidad de las posiciones expuestas a los riesgos allí contemplados.
2.1.5 Riesgo en inversiones realizadas en carteras colectivas.
Para las inversiones en carteras colectivas, es decir, para fondos comunes de inversión, fondos de valores y fondos de inversión la exposición a riesgos de mercado de las entidades es calculada como el producto entre el factor de riesgo aplicable a dicho fondo y la posición invertida en él. El factor de riesgo aplicable corresponde a:
a. Cuando la sociedad administradora de la cartera colectiva reporte a la entidad adherente o suscriptora la composición del portafolio de inversión de la misma, la exposición a riesgos de mercado deberá ser calculada por la entidad adherente de acuerdo a las disposiciones impartidas en el numeral 2.1 del presente capítulo.
El factor de riesgo de la cartera colectiva corresponderá a la razón entre esta exposición y el valor del portafolio en la correspondiente fecha de cálculo. Sin perjuicio de lo anterior, este factor de riesgo puede ser utilizado para el cálculo de la exposición a riesgos de mercado de la entidad adherente o suscriptora por un periodo de hasta treinta días, contados a partir de la última fecha de cálculo;
b. Cuando la sociedad administradora de la cartera colectiva reporte a la entidad adherente o suscriptora la exposición a riesgos de mercado de la cartera colectiva, calculada de acuerdo a las disposiciones impartidas en el numeral 2.1 del presente capítulo, el factor de riesgo de dicha cartera colectiva corresponderá a la razón entre esta exposición y el valor del portafolio a la respectiva fecha de cálculo. Sin perjuicio de lo anterior, este factor de riesgo puede ser utilizado para el cálculo de la exposición a riesgos de mercado de la entidad adherente o suscriptora por un periodo de hasta treinta (30) días, contados a partir de la última fecha de cálculo; y
c. En los demás casos, el factor de riesgo aplicable es igual a un catorce punto siete por ciento (14.7%), equivalente al cargo asociado a las posiciones más riesgosas contempladas en el modelo estándar (acciones).
2.1.6 Tratamiento de las posiciones en opciones
Las entidades vigiladas deben seguir una de las dos (2) aproximaciones que se describen a continuación para incorporar sus posiciones en opciones en el cálculo de los requerimientos de capital por riesgos de mercado.
Para los casos en que la entidad tenga registradas solamente posiciones largas en opciones, puede utilizar la aproximación simplificada descrita en el numeral 2.1.6.1. Aquellas entidades que posean posiciones cortas en opciones deben utilizar la aproximación intermedia descrita en el numeral 2.1.6.2.
2.1.6.1 Aproximación simplificada
En la aproximación simplificada, la exposición a los riesgos de mercado corresponde a la suma de las exposiciones individuales calculadas como el menor valor entre:
a. El producto entre el valor razonable (“fair value”) del instrumento subyacente y el factor de sensibilidad relevante (Tablas 1 y 2 )
b. El valor de mercado de la opción, de acuerdo con la metodología especificada en el Capítulo XVIII.
El resultado del cálculo anterior debe ser sumado al módulo correspondiente (2.1.2 a 2.1.5).
2.1.6.2 Aproximación intermedia
En la aproximación intermedia el cargo de capital asociado a las posiciones en opciones es calculado a partir de los factores de sensibilidad (“Griegas”) delta, gamma y vega de acuerdo a lo estipulado en los siguientes incisos:
a. Posición delta ponderada.
Bajo está aproximación la posición delta ponderada de las opciones está sujeta a los requerimientos de capital descritos en los numerales 2.1.2. a 2.1.5. dependiendo de los cargos aplicables al subyacente de la opción.
b. Riesgo Gamma
Para cada opción, un impacto gamma deberá ser calculado como:

Donde:
VS Variación del Valor del Subyacente
Gamma Cambio del factor delta ante un cambio de una unidad en el valor del subyacente.
La variación en el valor del subyacente corresponde al factor de sensibilidad de la banda correspondiente en la Tabla 1 cuando el subyacente sea un título de deuda o una tasa de interés. Para las opciones en acciones, la variación en el valor del subyacente es el factor de ponderación correspondiente según lo estipulado en 2.1.4. Para las posiciones en moneda extranjera o divisas, el cambio en el valor del subyacente es el estipulado en la Tabla 2 según corresponda.
Posteriormente, las posiciones en opciones se agruparán según el instrumento subyacente, como se explica a continuación:
1.) Por banda en las escaleras de duración modificada en el caso de opciones con subyacentes expuestos a riesgo de tasa de interés.
2.) Por mercado nacional en el caso de opciones con subyacentes expuestos a riesgo de cambios en el precio de acciones.
3.) Por moneda en el caso de opciones con subyacentes expuestos a riesgo de tasa de cambio.
Para cada grupo se calcula un impacto gamma neto, como la suma de los impactos gamma de todas las posiciones en la agrupación. Para el cálculo de los requerimientos de capital solamente se tienen en cuenta, en valor absoluto, los impactos gamma netos negativos.
c. Riesgo Vega
El riesgo vega refleja la sensibilidad del valor de las posiciones en opciones con respecto a cambios en la volatilidad del valor del instrumento subyacente. El cargo de capital correspondiente a este tipo de riesgo es calculado como la suma de los impactos vega de cada opción.
Estos impactos se calculan aplicando a la volatilidad del valor subyacente asociado un cambio de 25% positivo o negativo según sea la posición (corta o larga), sobre el factor vega correspondiente.
El factor vega correspondiente mide el cambio del valor de la opción ante un cambio unitario en la volatilidad del valor del instrumento subyacente.
Para el cálculo de los factores de sensibilidad delta, gamma y vega, así como de las volatilidades de los subyacentes que se utilicen en el cálculo del riesgo vega, las instituciones financieras deben aplicar metodologías concordantes con los modelos para la valoración de dichos instrumentos, de acuerdo a lo estipulado en el Capítulo XVIII de la presente circular.
2.1.7 Cálculo exposición total a los riesgos de mercado con el modelo estándar.
Con el fin de calcular la exposición total a los riesgos de mercado, las entidades a que hace referencia el presente numeral deben sumar las exposiciones obtenidas para cada uno de los módulos de la metodología estandarizada, de acuerdo a lo descrito en los subnumerales 2.1.2. a 2.1.5.
<Inciso modificado por la Circular 18 de 2012. El nuevo texto es el siguiente:> El monto obtenido siguiendo este procedimiento, corresponde a los riesgos de mercado aplicables al cálculo de la relación de solvencia de los establecimientos de crédito de acuerdo a lo estipulado en el Artículo 2.1.1.1.2 del Decreto 2555 de 2010 o demás normas que lo sustituyan, modifiquen o subroguen. De forma análoga, el valor obtenido computa en la relación de solvencia de las sociedades comisionistas de bolsa de valores de acuerdo con lo estipulado en el artículo 2.9.1.1.2 del Decreto 2555 de 2010 o demás normas que lo sustituyan, modifiquen o subroguen.
2.2 Reglas relativas a la medición de riesgos de mercado a través de modelos internos para establecimientos de crédito, las instituciones oficiales especiales, los organismos cooperativos de grado superior y las sociedades comisionistas de bolsa de valores.
<Inciso modificado por la Circular 18 de 2012. El nuevo texto es el siguiente:> Los establecimientos de crédito, las instituciones oficiales especiales, los organismos cooperativos de grado superior y las sociedades comisionistas de bolsa de valores quienes de acuerdo con lo señalado en el presente capítulo puedan adoptar modelos internos para la medición de los riesgos de mercado, deben tener en cuenta en su diseño los parámetros mínimos establecidos en el presente numeral y someterlos a revisión previa de la SFC, de acuerdo con lo establecido en el numeral 5.2.2 del presente capítulo.
En todo caso, hasta tanto no cuenten con modelos internos no objetados por la SFC, tales entidades deben utilizar el modelo estándar para la medición de sus exposiciones a los riesgos de mercado.
Sin perjuicio de lo anterior, todas las entidades a que se refiere este numeral deben estar en capacidad de reportar el valor que resultaría de calcular la exposición a riesgos de mercado utilizando la metodología estandarizada.
REGLAS RELATIVAS A LA MEDICIÓN DE RIESGOS DE MERCADO APLICABLES A LAS SOCIEDADES FIDUCIARIAS, SOCIEDADES ADMINISTRADORAS DE FONDOS DE PENSIONES Y CESANTÍA, LAS ENTIDADES ADMINISTRADORAS DEL RÉGIMEN SOLIDARIO DE PRIMA MEDIA, ENTIDADES ASEGURADO RAS, SOCIEDADES DE CAPITALIZACIÓN Y CARTERAS COLECTIVAS ADMINISTRADAS POR SOCIEDADES COMISIONISTAS DE BOLSA Y DEMÁS FONDOS Y/O FIDEICOMISOS LISTADOS EN EL LITERAL E) DEL NUMERAL 5.2.1 DEL CAPÍTULO XXI.
<Anexo 2 del Capítulo XXI modificado por la Circular 51 de 24 de octubre de 2007. El nuevo texto es el siguiente: >
1. CONSIDERACIONES GENERALES
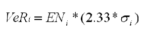
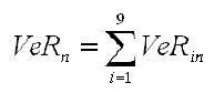
<Numeral modificado por la Circular 42 de 2010. El nuevo texto es el siguiente:> Las sociedades fiduciarias, sociedades administradoras de fondos de pensiones y de cesantía, las entidades administradoras del régimen solidario de prima media, entidades aseguradoras y sociedades de capitalización, así como los fondos y fideicomisos que éstas administren, deben medir el riesgo de mercado respecto de los fondos y/o que les aplique conforme a la lista establecida en el numeral 5.2.1. del Capítulo XXI de la Circular 100 de 1995, únicamente respecto del valor en riesgo correspondiente al activo de su libro de tesorería, utilizando para ello, el modelo estándar establecido en el presente Anexo.
Las sociedades comisionistas de bolsa de valores, deberán utilizar el modelo presentado en el presente Anexo para medir de forma independiente la exposición a riesgos de mercado para las posiciones de cada uno de los portafolios administrados.
Para tal efecto, se debe seguir un modelo de factores de riesgo, correlacionado, calculando la exposición por cada factor de acuerdo a los subnumerales siguientes:
1.1. Tratamiento de las posiciones en derivados y otras operaciones
<Inciso modificado por la Circular 42 de 2010. El nuevo texto es el siguiente:> El presente numeral aplicará para aquellas entidades, carteras colectivas o portafolios, que por su régimen de inversiones puedan realizar este tipo de operaciones. Las posiciones en instrumentos derivados y en operaciones de repo o reporto, en operaciones simultáneas y en operaciones de transferencia temporal de valores serán tenidas en cuenta para el cálculo de la exposición al riesgo de mercado, independientemente de su clasificación contable y de acuerdo con las condiciones señaladas a continuación.
1.1.1. Posiciones en derivados
Para su inclusión en el cálculo de la exposición a riesgos de mercado del presente numeral, los instrumentos derivados deberán ser convertidos en posiciones de los instrumentos subyacentes correspondientes. Los montos reportados corresponderán al valor de mercado de las posiciones nocionales reportadas. A continuación se presentan instrucciones referentes al tratamiento de algunos instrumentos específicos.
a. Futuros y Forwards sobre tasa de interés
Estos instrumentos deberán ser tratados como dos (2) posiciones nocionales en bonos cero cupón.
Cuando la entidad vigilada vende un futuro sobre una tasa de interés o compra un forward sobre tasa de interés, es decir, que se compromete a pagar una tasa de interés durante un periodo de tiempo en el futuro, esta posición se descompone en:
1. Una posición nocional corta en un bono cero cupón con madurez residual igual al tiempo que resta hasta el inicio del contrato más el periodo efectivo de pago de la tasa de interés.
2. Una posición nocional larga en un bono cero cupón con madurez residual igual al tiempo que resta hasta el inicio del contrato.
Para el caso contrario (la entidad compra un futuro o vende un FRA), la primera posición nocional descrita es larga y la segunda corta.
b. Futuros, Forwards y Operaciones a Plazo sobre títulos de deuda.
Estos instrumentos deberán ser tratados como dos (2) posiciones nocionales, una en el título subyacente y otra en un bono cero cupón. Cuando la entidad tenga una posición larga en las operaciones de que trata el presente literal (es decir que se compromete a comprar un título a un precio previamente establecido en un punto de tiempo en el futuro), esta posición se descompone en:
1. Una posición nocional larga en el título subyacente.
2. Una posición nocional corta en un bono cero cupón con madurez residual igual al tiempo que resta para el cumplimiento del contrato (el valor nominal de está posición corresponde al precio pactado).
Para el caso contrario (posición corta en el futuro, el forward o la operación a plazo), la primera posición nocional descrita es corta y la segunda larga.
Cuando el título subyacente de la operación esté denominado en una moneda distinta a la legal, la primera posición nocional descrita deberá ser tenida en cuenta para calcular la exposición al riesgo de tasa de cambio.
<Incisos adicionados por la Circular 42 de 2010. El nuevo texto es el siguiente:> En el caso de los futuros sobre bonos nocionales que se negocien en la Bolsa de Valores de Colombia, la posición nocional larga de que trata el presente literal será calculada cómo el cociente entre el valor a precios de mercado del “cheapest to deliver” a la fecha de valoración respectiva y el factor de conversión definido por la Bolsa de Valores de Colombia.
Para este tipo de futuros sobre bonos nocionales, la posición nocional corta se definirá de acuerdo con las instrucciones señaladas en el presente literal.
<Inciso adicionado por la Circular 8 de 2012. El nuevo texto es el siguiente:> Para efectos de los futuros y forwards sobre variaciones de índices no accionarios les será aplicable lo establecido en el presente literal (i.e. futuro sobre inflación).
c. Futuros, Forwards y Operaciones a Plazo sobre divisas.
Estos instrumentos deberán ser tratados como dos (2) posiciones nocionales en bonos cero cupón en las monedas aplicables.
1. Una posición nocional larga en un bono cero cupón, denominado en la moneda comprada y con una madurez residual igual al tiempo que resta para el cumplimiento del contrato.
2. Una posición nocional corta en un bono cero cupón, denominado en la moneda vendida y con una madurez residual igual al tiempo que resta para el cumplimiento del contrato.
Estas posiciones deberán ser tenidas en cuenta para calcular la exposición al riesgo de tasa de cambio.
d. Swaps de tasas de interés.
Estos instrumentos deberán ser tratados como dos posiciones nocionales en bonos subyacentes en las tasas de interés respectivas. En este sentido la posición se descompone en:
1. Una posición nocional larga en un título pactado a la tasa de interés que recibe la entidad.
2. Una posición nocional corta en un título pactado a la tasa de interés que la entidad paga.
Cuando la tasa de interés del instrumento subyacente sea fija, la madurez residual correspondiente será igual a la duración del contrato. Para los casos en que la tasa de interés sea variable, la duración del flujo se calculará de acuerdo a lo estipulado en el numeral 2.1.2.1 del Anexo 1 del presente capítulo.
En el caso de swaps que involucren posiciones en distintas monedas (cross currency swaps) cada una de las posiciones deberá ser tenida en cuenta para calcular la exposición al riesgo de tasa de cambio.
<Inciso adicionado por la Circular 8 de 2012. El nuevo texto es el siguiente:> Para efectos de los futuros cuya estructura se asemeje a intercambios de flujos calculados sobre tasas de interés les será aplicable lo establecido en el presente literal (i.e. futuro sobre IBR).
e. Futuros, Forwards y Operaciones a Plazo sobre acciones (o índices de acciones).
Estas operaciones deben descomponerse en dos (2) posiciones nocionales, una correspondiente a la acción (o índice de acciones) subyacente y otra correspondiente a un bono cero cupón con madurez residual igual al tiempo remanente para el cumplimiento del contrato.
Cuando la entidad tenga una posición larga en las operaciones señaladas en el presente literal (es decir que se compromete a comprar una acción o índice de acciones a un precio previamente establecido en un punto de tiempo en el futuro), esta posición se descompone en:
1. Una posición nocional larga en el título subyacente.
2. Una posición nocional corta en un bono cero cupón con madurez residual igual al tiempo que resta para el cumplimiento del contrato (el valor nominal de esta posición corresponde al precio pactado).
Para el caso contrario (posición corta en el futuro, el forward o la operación a plazo), la primera posición nocional descrita es corta y la segunda larga.
Sólo la posición en el bono cero cupón computará en el cálculo de riesgo de tasa de interés. La posición en acciones estará sujeta al factor de riesgo de precio de acciones.
f. Operaciones Carrusel
En términos financieros, un carrusel consiste en una secuencia de operaciones de compra y venta de un título a futuro. Por lo anterior, para efectos de la exposición a riesgos de mercado de que trata el presente capítulo, estas operaciones deberán ser tratadas como una serie de operaciones de compra y venta a futuro del título subyacente. Cada una de estas operaciones deberá ser tratada de acuerdo a lo estipulado en el literal b del presente numeral.
g. Opciones.
El tratamiento de estas operaciones será descrito en la sección 1.7.
Para valorar aquellas posiciones nocionales asimiladas a bonos cero cupón, se deberán seguir las siguientes indicaciones:
<Ordinales modificados por la Circular 39 de 2012. El nuevo texto es el siguiente:>
(i) Cuando la posición se encuentre en moneda legal, se deberá utilizar la curva cero cupón para títulos TES tasa fija en pesos suministrados por el proveedor de precios para valoración designado como oficial para el segmento correspondiente.
(ii) Cuando la posición se encuentre denominada en UVR se deberá utilizar la curva cero cupón para títulos TES en UVR suministrados por el proveedor de precios para valoración designado como oficial para el segmento correspondiente; y
(iii) Para el caso de posiciones denominadas en moneda extranjera, la tasa de descuento aplicable es la tasa “London Interbank Offer Rate” (LIBOR).
h. Notas estructuradas
El riesgo de mercado de las notas estructuradas que puedan descomponerse en instrumentos de renta fija o variable e instrumentos derivados deberá calcularse para cada uno de sus componentes.
<Inciso modificado por la Circular 42 de 2010. El nuevo texto es el siguiente:> Cuando se trate de notas estructuradas que, de acuerdo con su valoración, puedan descomponerse, el riesgo de mercado deberá calcularse teniendo en cuenta:(i) el módulo de tasa de interés, de acuerdo con las reglas contenidas en el numeral 1.2 de este anexo, cuando se trate de instrumentos de renta fija. (ii) el factor de riesgo de tasa de cambio, de acuerdo con las reglas contenidas en el numeral 1.3 del presente anexo. (iii) el factor de riesgo de precio de acciones o índice accionario, de acuerdo con las reglas contenidas en el numeral 1.4 del presente anexo, para el caso de instrumentos de renta variable.
Cuando se trate de notas estructuradas que, de acuerdo con su valoración, no puedan descomponerse y se asemejen en su comportamiento y estructura a una opción, el riesgo de mercado deberá calcularse de acuerdo con las reglas contenidas en el numeral 1.7 del presente instructivo.
1.1.2. Operaciones de reporto o repo, operaciones simultáneas y operaciones de transferencia temporal de valores
Las operaciones a que hace referencia el presente subnumeral generan un intercambio de valores y de dinero entre las partes, con el compromiso de reversarlo al final de la operación.
En las operaciones de reporto o repo (repo) y simultáneas, el “Enajenante” le entrega valores al ”Adquirente”, y al hacerlo le transfiere la propiedad de éstos. A cambio, el ”Adquirente” le entrega dinero al ”Enajenante”. De manera análoga, en las operaciones de transferencia temporal de valores el ”Originador” le entrega valores al “Receptor” y, al hacerlo, le transfiere la propiedad de éstos. A cambio, el ”Receptor” le entrega dinero o valores al “Originador”, en cuyo caso también se transfiere la propiedad.
Dado que en las tres (3) operaciones mencionadas la vocación del valor es regresar a manos del “Enajenante”, del “Originador” o del “Receptor”, según sea el caso, la realidad financiera de la operación exige que el riesgo siga en el balance de las entidades que entregaron los valores al principio de las mismas.
Teniendo en cuenta lo anterior, para efectos del cálculo de la exposición a los riesgos de mercado las posiciones en las operaciones de que trata el presente numeral deben ser tenidas en cuenta de acuerdo a las siguientes instrucciones:
<Literales modificado por la Circular 42 de 2010. El nuevo texto es el siguiente:>
a. Los valores entregados en desarrollo de las tres (3) operaciones mencionadas deben ser tenidos en cuenta, por su valor de mercado, independientemente de su clasificación contable, para efectos del cálculo de los riesgos de mercado del agente que los entregó al principio de la operación. Se exceptúan los valores obtenidos previamente a través de cualquiera de las operaciones mencionadas.
b. En los casos en los que una entidad actuando como adquirente en una operación repo o en una operación simultánea venda de manera definitiva a través de operaciones de contado los valores objeto de la operación, o los entregue como enajenante en una nueva operación repo, simultánea o transferencia temporal de valores, la posición corta o posición pasiva resultante deberá ser tenida en cuenta para efectos de los cálculos de la exposición a riesgos de mercado de que trata el presente capítulo.
c. Igual tratamiento recibirán las posiciones cortas o posiciones pasivas resultantes en los casos en los cuales cualquiera de las partes involucradas en una transferencia temporal de valores venda de manera definitiva a través de operaciones de contado los valores que recibió en desarrollo de la mencionada operación, o los entregue como enajenante en una nueva operación repo, simultánea o transferencia temporal de valores.
d. En todo caso, las entidades vigiladas deberán seguir las instrucciones señaladas en el Capítulo XXV de la Circular Básica Contable y Financiera con el fin de medir la exposición de riesgo de mercado de las operaciones de contado.
1.2. Evaluación del riesgo de tasa de interés
La medición del riesgo de interés por mantener posiciones en títulos o valores de renta fija se calculará de acuerdo a lo expuesto en el presente numeral.
1.2.1. Factores de Riesgo de tasa de interés
a. Las posiciones en títulos o valores de tasa fija en pesos, así como los títulos o valores emitidos en el exterior con calificación por debajo del nivel de inversión, estarán sujetas a los factores de riesgo, Componente principal 1, Componente principal 2 y Componente principal 3, asociados a la Curva Cero Cupón Pesos (factores de riesgo 1, 2 y 3 respectivamente, según tabla 5).
b. Las posiciones en títulos o valores indexadas al UVR, estarán sujetas a los factores de riesgo, Componente principal 1, Componente principal 2 y Componente principal 3, asociados a la Curva Cero Cupón UVR (factores de riesgo 4, 5 y 6 respectivamente, según tabla 5).
c. Las posiciones en títulos o valores emitidos en el exterior, con calificación grado de inversión, estarán sujetas a los factores de riesgo, Componente principal 1, Componente principal 2 y Componente principal 3, asociados a la Curva Cero Cupón Tesoros (factores de riesgo 7, 8 y 9 respectivamente, según tabla 5).
d. Las posiciones en títulos o valores indexados al DTF y con un plazo al vencimiento menor o igual a un año, estarán sujetas al factor de riesgo de corto plazo asociado a las tasas DTF (factor de riesgo número 10, según tabla 5).
e. Las posiciones en títulos o valores indexados al DTF y con un plazo al vencimiento mayor a un año, estarán sujetas al factor de riesgo de largo plazo asociado a las tasas DTF (factor de riesgo número 11, según tabla 5).
f. Las posiciones en títulos o valores indexados al IPC estarán sujetas al factor de riesgo IPC (factor de riesgo número 12, según tabla 5).
1.2.2. Cálculo de la exposición neta, mapeo de posiciones y cálculo de la sensibilidad al riesgo
Para efectos del cálculo de la sensibilidad al riesgo de tasa de interés, se menciona a continuación el proceso según el cual como primer paso se deben mapear las posiciones tanto largas como cortas del portafolio, luego calcular el valor de la exposición neta, para finalmente realizar el cálculo de la sensibilidad al riesgo.
1.2.2.1. Mapeo de posiciones
1.2.2.1.1. Mapeo de posiciones tasa fija en pesos, UVR y emisiones del exterior.
Los flujos de este tipo de títulos o valores se mapearán con base en los días al vencimiento de los flujos del título, como lo muestra la Tabla 4.
Tabla 4
| RANGOS días vencimiento | Asignación | ||
| Desde | Hasta | nodo | Días al vencimiento |
| 0 | 180 | 1 | 180 |
| 181 | 545 | 2 | 365 |
| 546 | 910 | 3 | 730 |
| 911 | 1275 | 4 | 1095 |
| 1276 | 1640 | 5 | 1460 |
| 1641 | 2190 | 6 | 1825 |
| 2191 | 2920 | 7 | 2555 |
| 2921 | 3650 | 8 | 3285 |
| 3651 | - | 9 | 5475 |
<Inciso modificado por la Circular 15 de 2008. El nuevo texto es el siguiente:> Por ejemplo, para un flujo que se encuentra entre 0 y 180 días al vencimiento, el nodo asignado será el nodo uno (1) (180 días al vencimiento), mientras que para un flujo con 890 días al vencimiento, el nodo asociado al mismo, será el tres (3) (730 días al vencimiento). Esta asignación de nodos será la que permita calcular la exposición total de cada título.
<Inciso modificado por la Circular 39 de 2012. El nuevo texto es el siguiente:> Posterior a la asignación de nodo para cada flujo del título o valor, se debe calcular el valor presente del mismo, utilizado como tasa de descuento, la tasa cero cupón del flujo y el margen correspondiente suministrados por el proveedor de precios para valoración designado como oficial para el segmento correspondiente. En el caso de la curva de tesoros de los Estados Unidos, cuando los días al vencimiento del flujo no estén contemplados dentro de los nodos publicados por bloomberg (Curva Cero Cupón on the run) la entidad debe encontrar una aproximación a dicha tasa a través de interpolaciones de las tasas publicadas.
Calculado el valor presente del flujo del título o valor, éste debe multiplicarse por la duración modificada del flujo calculada como el tiempo anual al vencimiento descontado por la correspondiente tasa cero cupón del vencimiento del flujo. Por último, se deben sumar los flujos correspondientes a cada nodo asignado, con el fin de hallar la exposición total de cada nodo.

Donde:
Exposición del titulo o valor k en el nodo i, i = 1,...,9
VPFn Valor presente del flujo n
DMn Duración modificada del flujo n
1.2.2.1.2. Mapeo de posiciones indexadas al DTF e IPC.
<Numeral modificado por la Circular 15 de 2008. El nuevo texto es el siguiente:>
Las pociones indexadas al DTF e IPC se mapearán de forma completa, ponderadas por la duración modificada de cada título o valor.
![]()
Exposición al factor i, i = DTF, IPC
VPn Valor Presente del titulo o valor n
DMn Duración modificada del título o valor
1.2.2.2. Cálculo de la exposición neta
1.2.2.2.1 Cálculo de la exposición neta a riesgo de tasa de interés.
a. La posición neta de las operaciones spot de la entidad, calculada como la diferencia entre las posiciones largas y cortas de los flujos de los títulos o valores de renta fija.
b. La posición neta de las operaciones forward de la entidad, calculada como la diferencia entre las posiciones largas en forwards, futuros y operaciones a plazo que tengan como subyacente tasas de interés, y las posiciones cortas en dichos instrumentos.
c. La posición neta de las operaciones en derivados de la entidad, cuyo subyacente sean tasas de interés.
d. Adicionalmente, cuando corresponda según lo previsto en el numeral 1.7., las posiciones delta ponderadas de opciones en tasas de interés.
1.2.2.3. Cálculo de la sensibilidad al riesgo.
1.2.2.3.1. Cálculo de la sensibilidad al riesgo de posiciones tasa fija, UVR y emisiones del exterior.
Con el fin de calcular la sensibilidad al riesgo por cada factor de riesgo relacionado con cada una de las posiciones netas se debe hacer la suma aritmética de las exposiciones netas de cada nodo ponderadas por la matriz de choques que suministrará la Superintendencia Financiera de Colombia según lo dispuesto en el numeral 1.8 del presente instructivo.
Donde:
VeR icr: Valor en riesgo para el componente i de la curva de referencia específica, con i = 1, 2, 3.
Choquein: Choque del componente i para el nodo n, con n= 1,…,9
Exposiciónn : sumatoria total (exposición neta) de los flujos ubicados en el nodo n
1.2.2.3.2. Cálculo de la sensibilidad al riesgo de posiciones indexadas al DTF e IPC.
(11)
VeRi Valor en riesgo individual por exposición a tasa de interés del factor i, con i = DTF, IPC.
EFi Exposición al factor i, i = DTF, IPC.
ói Volatilidad asociada al factor de riesgo i.
1.3. Evaluación del riesgo de tasa de cambio
<Inciso modificado por la Circular 42 de 2010. El nuevo texto es el siguiente:> El presente apartado muestra la metodología para medir la exposición al riesgo de mercado asociado a tomar o mantener posiciones denominadas en monedas extranjeras, tanto en el libro de tesorería como en el libro bancario. Para calcular esta exposición, se deben tener en cuenta lo contenido en el presente numeral.
1.3.1. Factores de riesgo de Tasa de Cambio
Las posiciones en moneda extranjera estarán sujetas a uno de los factores de riesgo mencionados a continuación. Para estos efectos el valor de la posición que se tiene en la moneda original, deberá convertirse a dólares de los Estados Unidos de América o a Euros según sea el caso, con el fin de encontrar la exposición neta al respectivo factor de riesgo, tal como es expone en el numeral 1.3.2 del presente capítulo.
Para efectos de convertir los saldos originales a dólares de los Estados Unidos de América o a Euros deberán ser tenidas en cuenta las tasas de conversión de divisas publicadas para el día del cálculo en la página Web del Banco Central Europeo (BCE), con seis (6) decimales aproximando el último por el sistema de redondeo (inciso segundo, literal b del numeral 6.1.3 del Capítulo I de la Circular Básica Contable y Financiera.
a. Posiciones en moneda extranjera atadas al factor de riesgo de Tasa de cambio Representativa del Mercado.
Las posiciones en moneda extranjera de países pertenecientes a los continentes que se listan a continuación deberán estarán atadas al factor de riesgo de tasa de cambio de dólares (dólares de los Estados Unidos de América) - Tasa Representativa de Mercado -.
1. América.
2. Oceanía.
3. Asia.
b. Posiciones en moneda extranjera atadas al factor de tasa de de cambio euro / pesos.
Las posiciones en moneda extranjera de países pertenecientes a los continentes que se listan a continuación deberán estarán atadas al factor de riesgo de tasa de cambio de euro / pesos.
1. Europa.
2. África.
1.3.2 Cálculo de la exposición neta y sensibilidad al riesgo
Con el fin de evaluar la exposición neta para cada factor de riesgo, se deben expresar las posiciones totales en términos de Dólares o Euros según sea el caso. Dado lo anterior la exposición neta se calculará de la siguiente manera:
a. La posición neta de las operaciones spot de la entidad, calculada como la diferencia entre las posiciones largas y cortas, incluyendo en ambos casos los intereses causados, denominados en la moneda en cuestión.
b. La posición neta de las operaciones forward de la entidad, calculada como la diferencia entre las posiciones largas en forwards, futuros y operaciones a plazo sobre la moneda en cuestión, y las posiciones cortas en dichos instrumentos.
c. La posición neta de las operaciones en derivados de la entidad cuyo subyacente no sea una divisa pero si un título o una tasa de interés denominados en dicha moneda. Para calcular esta posición deberá computarse la diferencia entre las posiciones nocionales largas y las posiciones nocionales cortas determinadas de acuerdo a lo previsto en el numeral 1.1.
d. Adicionalmente, cuando corresponda según lo previsto en el numeral 1.7., las posiciones delta ponderadas de opciones en monedas.
Una vez obtenida la posición neta de cada moneda, su equivalente en moneda legal se calculará de acuerdo a la TRM vigente para el día de cálculo. Para el caso de las posiciones en euros, deberán expresarse en dólares y adicionalmente utilizar la TRM vigente para el día de cálculo.
Entonces el valor en riesgo para estos factores de riesgo se calculara de la siguiente forma:

Donde:
VeRi: Valor en riesgo por variación en el factor de riesgo i, i = (dólar, euro).
ENi: valor absoluto de la exposición neta de posiciones atadas al factor de riesgo i.
ói: Volatilidad asociada al factor de riesgo i.
1.4. Evaluación del riesgo del precio de acciones o índices accionarios
La exposición al riesgo de mercado como consecuencia de la variación en el nivel de precios de las acciones, deberá calcularse de acuerdo a lo establecido en el presente numeral.
1.4.1 Factores de riesgo asociados a precios de acciones o índices accionarios
a. <Literal modificado por la Circular 42 de 2010. El nuevo texto es el siguiente:> La exposición neta que una entidad tenga en acciones emitidas en Colombia, índices de acciones nacionales y acciones emitidas en el exterior y negociadas en Colombia, estarán asociadas al factor de riesgo de renta variable IGBC.
b. La exposición neta que una entidad tenga en índices de acciones internacionales y acciones emitidas en países del exterior estarán asociadas al factor de riesgo de renta variable World Index.
1.4.2 Cálculo de la exposición neta y sensibilidad al riesgo
La exposición neta en acciones o índices de acciones, deberán calcularse de la siguiente forma:
a. La posición neta de las operaciones spot de la entidad, calculada como la diferencia entre las posiciones largas y cortas en acciones o índices de acciones.
b. La posición neta de las operaciones forward de la entidad, calculada como la diferencia entre las posiciones largas en forwards, futuros y operaciones a plazo sobre el subyacente (acción o índice de acciones), y las posiciones cortas en dichos instrumentos.
c. La posición neta de las operaciones en derivados de la entidad, cuyo subyacente sean acciones o índices de acciones.
d. Adicionalmente, cuando corresponda según lo previsto en el numeral 1.7., las posiciones delta ponderadas de opciones en acciones
Entonces el valor en riesgo para estos factores de riesgo se calculara de la siguiente forma:

Donde:
VeRi: Valor en riesgo por variación en el factor de riesgo i, i = (literales a y b, del numeral 1.3.1).
ENi: valor absoluto de la exposición neta de posiciones atadas al factor de riesgo i.
ói: Volatilidad asociada al factor de riesgo i.
1.5. Evaluación del riesgo de mercado por inversiones en Carteras Colectivas
Aquellas entidades que por su régimen de inversiones puedan tener participaciones en carteras colectivas, deberán medir la exposición al riesgo de mercado por estas participaciones de acuerdo a lo señalado en el presente numeral.
1.5.1. Factores de riesgo asociados a las inversiones en carteras colectivas
a. Las entidades que tengan inversiones en carteras colectivas, cuyo reglamento estipule que al menos el 60% de su portafolio puede constituirse por acciones o índices accionarios, estarán sujetos al factor de riesgo de precios de acciones señalado en el literal a del numeral 1.4.1.
b. Las entidades que tengan inversiones en carteras colectivas diferentes a las señaladas en el presente numeral, estarán atadas al factor de riesgo de carteras colectivas.
1.5.2. Cálculo de la exposición neta y sensibilidad al riesgo
La exposición neta en participaciones en carteras colectivas, deberán calcularse de la siguiente forma:
a. La posición neta de las operaciones spot de la entidad, calculada como la diferencia entre las posiciones largas y cortas de participaciones en carteras colectivas.
b. La posición neta de las operaciones forward de la entidad, calculada como la diferencia entre las posiciones largas en forwards, futuros y operaciones a plazo sobre el subyacente (participación en carteras colectivas), y las posiciones cortas en dichos instrumentos.
c. La posición neta de las operaciones en derivados de la entidad, cuyo subyacente sean participaciones en carteras colectivas.
d. Adicionalmente, cuando corresponda según lo previsto en el numeral 1.7., las posiciones delta ponderadas de opciones sobre participaciones en carteras colectivas.
Entonces el valor en riesgo para estos factores de riesgo se calculara de la siguiente forma:
![]()
Donde:
VeRi: Valor en riesgo por variación en el factor de riesgo i, i = (literales a y b, del numeral 1.4.1).
ENi: valor absoluto de la exposición neta de posiciones atadas al factor de riesgo i.
ói: Volatilidad asociada al factor de riesgo i.
1.6 Agregación de los valores en riesgo
El modelo establecido por la SFC para la medición del riesgo de mercado es un modelo de factores. En este tipo de modelos, en el caso en que el comportamiento de cada factor de riesgo no dependa del comportamiento de los demás factores de riesgo (cero correlación), los valores en riesgo elevados al cuadrado para cada factor se pueden sumar aritméticamente, y por lo tanto, el valor en riesgo corresponderá a la raíz cuadrada de esta suma. En caso contrario, y específicamente en este modelo, es necesario agregar los valores en riesgo de cada factor a través de la metodología que se describe en el presente numeral. Para este efecto la Tabla 5 resume los diferentes factores de riesgo.
El método de agregación consiste en sumar los Valores en Riesgo originados por cada uno de los factores de riesgo teniendo en cuenta la correlación que existe entre estos. Para ello, a continuación se explica el procedimiento a seguir para la agregación del VeR de cada factor de riesgo, la obtención de las correlaciones entre los factores de riesgo y la suma de los valores en riesgo teniendo en cuenta dichas correlaciones.
En general, el método de agregación se puede resumir en dos (2) pasos:
i. Suma aritmética de los VeR que se originen por un mismo factor de riesgo.
ii. Agregación de los VeR de diferentes factores de riesgo haciendo uso de la matriz de correlaciones.
Tabla 5
| Riesgo | Factor | |
| Tasa de Interés | Curva Cero Cupón Pesos | 1. Componente Principal 1 |
| 2. Componente Principal 2 | ||
| 3. Componente Principal 3 | ||
| Curva Cero Cupón UVR | 4. Componente Principal 1 | |
| 5. Componente Principal 2 | ||
| 6. Componente Principal 3 | ||
| Curva Cero cupón Tesoros | 7. Componente Principal 1 | |
| 8. Componente Principal 2 | ||
| 9. Componente Principal 3 | ||
| DTF | 10. Corto Plazo | |
| 11.Largo Plazo | ||
| 12. IPC | ||
| Tasa de Cambio | 13. TRM | |
| 14. Euro / Pesos | ||
| Precio de Acciones | 15. IGBC | |
| 16. World INDEX | ||
| Participación en Carteras colectivas | 17. Carteras colectivas | |
* Los componentes principales 1, 2 y 3 describen los choques de tasa paralelo, de pendiente y convexidad respectivamente y se comportan como factores de riesgo independientes.
1.6.1. Suma aritmética de los VeR de cada factor de riesgo (suma de los Valores en Riesgo de un mismo factor de riesgo).
a. Factores de riesgo con cálculo de exposición por banda de tiempo
En el caso del riesgo de tasa de interés en moneda legal y extranjera (Componentes Principales de las Curvas Cero Cupón, pesos, UVR y tesoros), existe un VeR por banda de tiempo para cada uno de los factores de riesgo (en este caso se aplicara solo para los factores 1 a 9 según la Tabla 5). Este valor en riesgo debe ser agregado aritméticamente de la siguiente forma.

Donde:
n: Factor de riesgo n, n = 1…..9.
i: Banda de tiempo para cálculo de exposición al riesgo de mercado para tasa de interés
: Valor en Riesgo de la banda de tiempo i para el factor de riesgo n.
: Valor en riesgo total del factor de riesgo n.
b. Factores de riesgo con cálculo de exposición total (sin bandas de tiempo)
En el caso de los factores de riesgo 10 a 17, listados en la Tabla 5, no se hace necesaria una agregación aritmética de la exposición dado que estos no utilizan bandas de tiempo para el cálculo de la exposición. En este caso se tomará el valor de la exposición total calculada, según lo descrito en el presente instructivo.
1.6.2. Método de agregación (suma de los Valores en Riesgo de los diferentes factores de riesgo)
Para generar la exposición total al riesgo de mercado, es necesario calculara el VeR del portafolio diversificado de la siguiente manera:

Donde:
VeR: Valor en riesgo diversificado del portafolio.
VeR individual: Vector de valores en riesgo por cada factor.
: Matriz de Correlación de los factores
1.6.3 Cargos adicionales por posiciones en opciones.
Los cargos gamma y vega calculados según lo dispuesto en el numeral 1.7, deben adicionarse al valor en riesgo diversificado de forma aritmética como choques adicionales.
1.7. Tratamiento de las posiciones en opciones
Para el cálculo del valor en riesgo por posiciones en opciones, se deben utilizar los factores de sensibilidad (“Griegas”) delta, gamma y vega de acuerdo a lo estipulado en los siguientes incisos:
a. Posición delta ponderada.
La posición delta ponderada de las opciones está sujeta a los factores de riesgo descritos en los numerales 1.2. a 1.4. dependiendo del subyacente de la opción.
b. Riesgo Gamma
Para cada opción, un impacto gamma deberá ser calculado como:

Donde:
VS Variación del Valor del Subyacente
Gamma Cambio del factor delta ante un cambio de una unidad en el valor del subyacente.
La variación en el valor del subyacente corresponderá a las volatilidades asociadas al factor de riesgo correspondiente a cada subyacente. Posteriormente, las posiciones en opciones se agruparán según el factor de riesgo asociado al instrumento subyacente.
Para cada grupo se calcula un impacto gamma neto, como la suma de los impactos gamma de todas las posiciones en la agrupación.
Cuando el subyacente de la opción, sea el mismo factor de riesgo asociado, este cargo no deberá ser tenido en cuenta.
c. Riesgo Vega
El riesgo vega refleja la sensibilidad del valor de las posiciones en opciones con respecto a cambios en la volatilidad del valor del instrumento subyacente. El valor en riesgo es calculado como la suma de los impactos vega de cada opción.
Estos impactos se calculan aplicando a la volatilidad del valor subyacente asociado un cambio de 25% positivo o negativo según sea la posición (corta o larga), sobre el factor vega correspondiente.
El factor vega correspondiente mide el cambio del valor de la opción ante un cambio unitario en la volatilidad del valor del instrumento subyacente.
Para el cálculo de los factores de sensibilidad delta, gamma y vega, así como de las volatilidades de los subyacentes que se utilicen en el cálculo del riesgo vega, las instituciones financieras deben aplicar metodologías concordantes con los modelos para la valoración de dichos instrumentos, de acuerdo a lo estipulado en el Capítulo XVIII de la presente circular.
1.8 Matrices de choques por componente principal, volatilidades y correlaciones de los factores de riesgo
Las matrices de choques por componente principal, las volatilidades y la matriz de correlaciones se actualizarán mensualmente, a más tardar el día 25 de cada mes, o el siguiente día hábil si este último no lo es, a través de la página web de la Superintendencia Financiera de Colombia.
2. REGLAS RELATIVAS A LOS REPORTES DE INFORMACION
Los resultados de la medición de riesgos de mercado deben reportarse a la Superintendencia Financiera de Colombia con la periodicidad establecida en los formatos previstos para este propósito.
<Anexo adicionado por la Circular 18 de 2012. El nuevo texto es el siguiente:>
CONSIDERACIONES GENERALES
En el presente Anexo se establece el Modelo Estándar para la medición de riesgos de mercado adoptado por la SFC, el cual deben emplear las entidades de seguros generales para las inversiones que respalden sus reservas técnicas.
Sin embargo, las entidades que cuenten con modelos internos no objetados por la SFC deberán utilizarlos de acuerdo con lo establecido en el numeral 5.2.2. del presente capítulo.
1. REGLAS RELATIVAS A LA APLICACIÓN DE MODELOS PARA LA MEDICION DE RIESGOS DE MERCADO
1.1. Reglas relativas a la medición de riesgos de mercado a través del modelo estándar para las entidades de seguros generales.
La metodología estandarizada se compone de cuatro (4) módulos los cuales se calculan separadamente y son los siguientes:
· Riesgo de tasa de interés.
· Riesgo de tasa de cambio.
· Riesgo de precio de acciones.
· Riesgo de inversiones en carteras colectivas.
Para obtener la exposición total a riesgos de mercado los resultados de estos módulos se deben agregar aritméticamente.
Para los módulos de tasa de interés y de acciones, se toman en cuenta únicamente las posiciones del libro de tesorería. En el caso del módulo de tasa de cambio se incluyen también las posiciones del libro bancario.
1.1.1. Tratamiento de las posiciones en derivados y otras operaciones
Las posiciones en instrumentos derivados y en operaciones de repo o reporto, en operaciones simultáneas y en operaciones de transferencia temporal de valores serán tenidas en cuenta para el cálculo de los requerimientos de capital en cada uno de los módulos de acuerdo a las condiciones señaladas a continuación.
1.1.1.1. Posiciones en derivados
Para su inclusión en los cálculos del cargo de capital del presente numeral, los instrumentos derivados deberán ser convertidos en posiciones de los instrumentos subyacentes correspondientes. Los montos reportados corresponderán al valor de mercado de las posiciones nocionales reportadas. A continuación se presentan instrucciones referentes al tratamiento de algunos instrumentos específicos.
b. Futuros y Forwards sobre tasa de interés
Estos instrumentos deberán ser tratados como dos (2) posiciones nocionales en bonos cero cupón.
Cuando la entidad vigilada vende un futuro sobre una tasa de interés o compra un forward sobre tasa de interés, es decir, que se compromete a pagar una tasa de interés durante un periodo de tiempo en el futuro, esta posición se descompone en:
1. Una posición nocional corta en un bono cero cupón con madurez residual igual al tiempo que resta hasta el inicio del contrato más el periodo efectivo de pago de la tasa de interés.
2. Una posición nocional larga en un bono cero cupón con madurez residual igual al tiempo que resta hasta el inicio del contrato.
Para el caso contrario (la entidad compra un futuro o vende un FRA), la primera posición nocional descrita es larga y la segunda corta.
Para efectos de los futuros y forwards sobre variaciones de índices no accionarios les será aplicable lo establecido en el presente literal (i.e. futuro sobre inflación).
c. Futuros, Forwards y Operaciones a Plazo sobre títulos de deuda
Estos instrumentos deberán ser tratados como dos (2) posiciones nocionales, una en el título subyacente y otra en un bono cero cupón. Cuando la entidad tenga una posición larga en las operaciones de que trata el presente literal (es decir que se compromete a comprar un título a un precio previamente establecido en un punto de tiempo en el futuro), esta posición se descompone en:
1. Una posición nocional larga en el título subyacente.
2. Una posición nocional corta en un bono cero cupón con madurez residual igual al tiempo que resta para el cumplimiento del contrato (el valor nominal de esta posición corresponde al precio pactado).
Para el caso contrario (posición corta en el futuro, el forward o la operación a plazo), la primera posición nocional descrita es corta y la segunda larga.
Cuando el título subyacente de la operación esté denominado en una moneda distinta a la legal, la primera posición nocional descrita deberá ser clasificada en la escalera de duraciones modificadas respectiva y adicionalmente deberá ser tenida en cuenta para calcular la exposición al riesgo de tasa de cambio.
En el caso de los futuros sobre bonos nocionales que se negocien en la Bolsa de Valores de Colombia, la posición nocional larga de que trata el presente literal será calculada cómo el cociente entre el valor a precios de mercado del “cheapest to deliver” a la fecha de valoración respectiva y el factor de conversión definido por la Bolsa de Valores de Colombia.
Para este tipo de futuros, la posición nocional corta se definirá de acuerdo con las instrucciones señaladas en el presente literal.
d. Futuros, Forwards y Operaciones a Plazo sobre divisas
Estos instrumentos deberán ser tratados como dos (2) posiciones nocionales en bonos cero cupón en las monedas aplicables.
1. Una posición nocional larga en un bono cero cupón, denominado en la moneda comprada y con una madurez residual igual al tiempo que resta para el cumplimiento del contrato.
2. Una posición nocional corta en un bono cero cupón, denominado en la moneda vendida y con una madurez residual igual al tiempo que resta para el cumplimiento del contrato.
Estas posiciones deberán ser tenidas en cuenta para calcular la exposición al riesgo de tasa de cambio.
e. Swaps de tasas de interés
Estos instrumentos deberán ser tratados como dos posiciones nocionales en bonos subyacentes en las tasas de interés respectivas. En este sentido la posición se descompone en:
1. Una posición nocional larga en un título pactado a la tasa de interés que recibe la entidad.
2. Una posición nocional corta en un título pactado a la tasa de interés que la entidad paga.
Cuando la tasa de interés del instrumento subyacente sea fija, la madurez residual correspondiente será igual a la duración del contrato.
Para los casos en que la tasa de interés sea variable, la duración del flujo se calculará de acuerdo a lo estipulado en el numeral 1.1.2.1 del presente anexo para dichas posiciones.
En el caso de swaps que involucren posiciones en distintas monedas (cross currency swaps) cada una de las posiciones deberá ser clasificada en la respectiva escalera para el cálculo del riesgo de tasa de interés y adicionalmente deberá ser tenida en cuenta para calcular la exposición al riesgo de tasa de cambio.
Para efectos de los futuros cuya estructura se asemeje a intercambios de flujos calculados sobre tasas de interés les será aplicable lo establecido en el presente literal (i.e. futuro sobre IBR).
f. Futuros, Forwards y Operaciones a Plazo sobre acciones (o índices de acciones)
Estas operaciones deben descomponerse en dos (2) posiciones nocionales, una correspondiente a la acción (o índice de acciones) subyacente y otra correspondiente a un bono cero cupón con madurez residual igual al tiempo remanente para el cumplimiento del contrato.
Cuando la entidad tenga una posición larga en las operaciones de que trata el presente literal (es decir que se compromete a comprar una acción o índice de acciones a un precio previamente establecido en un punto de tiempo en el futuro), esta posición se descompone en:
1. Una posición nocional larga en el título subyacente.
2. Una posición nocional corta en un bono cero cupón con madurez residual igual al tiempo que resta para el cumplimiento del contrato (el valor nominal de esta posición corresponde al precio pactado).
Para el caso contrario (posición corta en el futuro, el forward o la operación a plazo), la primera posición nocional descrita es corta y la segunda larga.
Sólo la posición en el bono cero cupón computará en el cálculo de riesgo de tasa de interés. La posición en acciones será incluida en el módulo de Riesgo de precio de acciones.
g. Operaciones Carrusel
En términos financieros, un carrusel consiste en una secuencia de operaciones de compra y venta de un título a futuro. Por lo anterior, para efectos de la exposición a riesgos de mercado de que trata el presente capítulo, estas operaciones deberán ser tratadas como una serie de operaciones de compra y venta a futuro del título subyacente. Cada una de estas operaciones deberá ser tratada de acuerdo a lo estipulado en el literal b del presente numeral.
h. Opciones
El tratamiento de estas operaciones será descrito en la sección 1.1.6 del presente anexo.
Para valorar aquellas posiciones nocionales asimiladas a bonos cero cupón, se deberán seguir las siguientes indicaciones:
(i) <Ordinal modificado por la Circular 39 de 2012. El nuevo texto es el siguiente:> Cuando la posición se encuentre en moneda legal, se deberá utilizar la curva cero cupón para títulos TES tasa fija en pesos, suministrada por el proveedor de precios para valoración designado como oficial para el segmento correspondiente.
(ii) <Ordinal modificado por la Circular 39 de 2012. El nuevo texto es el siguiente:> Cuando la posición se encuentre denominada en UVR se deberá utilizar la curva cero cupón para títulos TES en UVR, suministrada por el proveedor de precios para valoración designado como oficial para el segmento correspondiente; y
(iii) Para el caso de posiciones denominadas en moneda extranjera, la tasa de descuento aplicable es la tasa “London Interbank Offer Rate” (LIBOR).
i. Notas estructuradas
El riesgo de mercado de las notas estructuradas que puedan descomponerse en instrumentos de renta fija o variable e instrumentos derivados deberá calcularse para cada uno de sus componentes.
Cuando se trate de notas estructuradas que, de acuerdo con su valoración, puedan descomponerse, el riesgo de mercado deberá calcularse teniendo en cuenta: (i) el módulo de tasa de interés, de acuerdo con las reglas contenidas en el numeral 1.1.2 de este anexo, cuando se trate de instrumentos de renta fija; (ii) el factor de riesgo de tasa de cambio, de acuerdo con las reglas contenidas en el numeral 1.1.3 del presente anexo, y; (iii) el factor de riesgo de precio de acciones o índice accionario, de acuerdo con las reglas contenidas en el numeral 1.1.4 del presente anexo, para el caso de instrumentos de renta variable.
Cuando se trate de notas estructuradas que, de acuerdo con su valoración, no puedan descomponerse y se asemejen en su comportamiento y estructura a una opción, el riesgo de mercado deberá calcularse de acuerdo con las reglas contenidas en el numeral 1.1.6 del presente anexo.
j. Inversiones clasificadas hasta el vencimiento entregadas como garantías
Las inversiones que sean entregadas como garantías en una cámara de riesgo central de contraparte con el fin de respaldar el cumplimiento de las operaciones aceptadas para su compensación y liquidación deberán ser tenidas en cuenta para el cálculo de la exposición al riesgo de tasa de interés, por su valor de mercado, independientemente de su clasificación contable.
Así mismo, en el evento en que estas inversiones estén expresadas en moneda diferente a moneda legal, deberán tenerse en cuenta adicionalmente en el cálculo de la exposición al riesgo de tasa de cambio.
1.1.1.2. Operaciones de reporto o repo, operaciones simultáneas y operaciones de transferencia temporal de valores
Las operaciones a que hace referencia el presente subnumeral generan un intercambio de valores y de dinero entre las partes, con el compromiso de reversarlo al final de la operación.
En las operaciones de reporto o repo (repo) y simultáneas, el “Enajenante” le entrega valores al “Adquirente”, y al hacerlo le transfiere la propiedad de éstos. A cambio, el “Adquirente” le entrega dinero al “Enajenante”. De manera análoga, en las operaciones de
transferencia temporal de valores el “Originador” le entrega valores al “Receptor” y, al hacerlo, le transfiere la propiedad de éstos. A cambio, el “Receptor” le entrega dinero o valores al “Originador”, en cuyo caso también se transfiere la propiedad.
Dado que en las tres (3) operaciones mencionadas la vocación del valor es regresar a manos del “Enajenante”, del “Originador” o del “Receptor”, según sea el caso, la realidad financiera de la operación exige que el riesgo siga en el balance de las entidades que entregaron los valores al principio de las mismas.
Teniendo en cuenta lo anterior, para efectos del cálculo de la exposición a los riesgos de mercado las posiciones en las operaciones de que trata el presente numeral deben ser tenidas en cuenta de acuerdo a las siguientes instrucciones:
a. Los valores entregados en desarrollo de las tres (3) operaciones mencionadas deben ser tenidos en cuenta, por su valor de mercado, independientemente de su clasificación contable, para efectos de los cálculos de los riesgos de mercado del agente que los entregó al principio de la operación. Se exceptúan los valores obtenidos previamente a través de cualquiera de las operaciones mencionadas.
b. En los casos en los que una entidad actuando como adquirente en una operación repo o en una operación simultánea venda de manera definitiva a través de operaciones de contado los valores objeto de la operación, ó los entregue como enajenante en una nueva operación repo, simultánea o transferencia temporal de valores, la posición corta o la posición pasiva resultante deberá ser tenida en cuenta para efectos de los cálculos de la exposición a riesgos de mercado de que trata el presente capítulo.
c. Igual tratamiento recibirán las posiciones cortas o posiciones pasivas resultantes en los casos en los cuales cualquiera de las partes involucradas en una transferencia temporal de valores venda de manera definitiva a través de operaciones de contado los valores que recibió en desarrollo de la mencionada operación, ó los entregue como enajenante en una nueva operación repo, simultánea o transferencia temporal de valores.
En todo caso, las entidades vigiladas deberán seguir las instrucciones señaladas en el Capítulo XXV de la Circular Básica Contable y Financiera con el fin de medir la exposición de riesgo de mercado de las operaciones de contado.
1.1.2. Riesgo de tasa de interés
Este numeral describe la metodología estandarizada para medir el riesgo de tomar o mantener posiciones, en el libro de tesorería, en instrumentos sensibles a cambios adversos en tasas de interés.
Para efectos de lo estipulado en el presente numeral deben tenerse en cuenta:
1. Las inversiones en títulos de renta fija, bien sean pactados a tasa fija o a tasa variable.
2. Las exposiciones asociadas a instrumentos derivados cuyos subyacentes sean títulos de renta fija o tasas de interés según lo determinado en el numeral 1.1.1 del presente anexo.
3. Adicionalmente, cuando corresponda según lo previsto en el numeral 1.1.6 del presente anexo, las posiciones delta ponderadas de opciones cuyo subyacente sea una tasa de interés o un título de deuda.
Se deberá incluir en el cálculo de la exposición al riesgo de tasa de interés, las posiciones de las inversiones clasificadas como para mantener hasta el vencimiento entregadas como garantías en una cámara de riesgo central de contraparte con el fin de respaldar el cumplimiento de las operaciones aceptadas para su compensación y liquidación, de acuerdo a lo establecido en el literal i) del numeral 1.1.1.1 del presente anexo.
Para efectos de los cálculos a que hace referencia el presente numeral, las entidades deben reportar las exposiciones netas en cada instrumento. En ese sentido, se pueden excluir posiciones calzadas en los siguientes casos:
1. Cuando las posiciones largas y cortas calzadas correspondan a una emisión idéntica, incluyendo las posiciones en subyacentes derivadas de la participación en forwards, futuros y operaciones a plazo.
No se pueden excluir posiciones calzadas entre distintas emisiones de un mismo emisor, dado que las diferencias en cupones, opciones implícitas o liquidez, entre otros elementos, pueden ocasionar divergencia entre los precios de dichas emisiones en el corto plazo.
2. Para las posiciones nocionales asociadas a instrumentos derivados, con excepción de las posiciones nocionales en títulos subyacentes, se podrán excluir las posiciones largas y cortas calzadas cuando:
i. Las posiciones estén en la misma moneda;
ii. Para swaps y FRAs, la tasa de referencia debe ser idéntica y la diferencia entre los cupones pactados debe ser menor a quince (15) puntos básicos;
iii. Si la madurez residual (o próxima fecha de reprecio) de las posiciones nocionales es menor o igual a treinta días y el descalce entre ellas es menor o igual a un (1) día; o,
iv. Si la madurez residual (o próxima fecha de reprecio) de las posiciones nocionales es mayor que treinta (30) días y menor o igual a trescientos sesenta y cinco (365) días, y el descalce entre ellas es menor o igual a siete (7) días; o,
v. Si la madurez residual (o próxima fecha de reprecio) de las posiciones nocionales es mayor a trescientos sesenta y cinco (365) días y el descalce entre ellas es menor o igual a treinta (30) días; y
vi. Si las posiciones a calzar están en dos (2) categorías distintas de acuerdo a su madurez residual, el calce podrá realizarse sólo si se cumple con las condiciones de la posición con menor madurez residual. Por ejemplo, si se tiene una posición larga con una madurez residual de trescientos sesenta y tres (363) días, esta podrá calzarse con una posición corta, con una madurez residual de hasta trescientos sesenta y nueve (369) días, para garantizar que el descalce entre ellas sea menor a siete (7) días.
1.1.2.1. Medición del riesgo de tasa de interés
La exposición a riesgo de tasa de interés refleja el riesgo asociado a movimientos adversos en las tasas de interés del mercado. Dicha exposición debe ser medida por las entidades de manera separada para las posiciones en moneda legal, en moneda extranjera y en Unidades de Valor Real (UVR).
1.1.2.1.1. Cálculo de la duración modificada
Las entidades deberán calcular la duración modificada de cada una de las posiciones, incluyendo las nocionales asociadas a los instrumentos derivados, como una aproximación a la sensibilidad de su valor frente a cambios en la tasa de interés. Para dicho cálculo se debe utilizar la siguiente fórmula:

Dónde:
r <Variable modificada por la Circular 39 de 2012. El nuevo texto es el siguiente:> Último rendimiento disponible en la fecha de cálculo (tasa efectiva anual). Es decir la última tasa de descuento disponible para el título, de acuerdo con la información para valoración suministrada por el proveedor de precios designado como oficial para el segmento correspondiente.
Para el cálculo de la duración de los diferentes instrumentos se deben seguir las instrucciones presentadas a continuación:
d. Duración de instrumentos pactados a tasa fija.
La duración de un título pactado a tasa fija corresponde al plazo promedio de los flujos asociados a dicho título. Partiendo de los flujos contractuales y de la tasa de rendimiento del título, la duración del instrumento corresponde a:

Donde:
Fj j-ésimo flujo de fondos del instrumento, j =1,..., m.
tj tiempo restante hasta el j-ésimo flujo medido en número de años (número de días/365).
r <Variable modificada por la Circular 39 de 2012. El nuevo texto es el siguiente:> Último rendimiento disponible en la fecha de cálculo (tasa efectiva anual). Es decir la última tasa de descuento disponible para el título, de acuerdo con la información para valoración suministrada por el proveedor de precios designado como oficial para el segmento correspondiente.
m Número de flujos futuros de efectivo asociados al instrumento.
La duración deberá ser menor que la madurez contractual del instrumento, salvo en aquellos casos en que el instrumento tiene un único flujo de efectivo que ocurre en la fecha de vencimiento.
e. Duración de instrumentos pactados a tasa variable con y sin margen.
Teniendo en cuenta que en la valoración de los instrumentos pactados a tasa variable se tiene en cuenta un margen relacionado con las características del emisor y que, por ende, los flujos de efectivo posteriores a la siguiente fecha de reprecio pueden cambiar de valor ante movimientos en el margen, la duración de estos instrumentos debe ser calculada utilizando la siguiente expresión:

Donde:
Fj j-ésimo flujo de fondos del instrumento, j =1,..., m.
tj tiempo restante hasta el j-ésimo flujo medido en número de años (número de días/365).
FD <Variable modificada por la Circular 39 de 2012. El nuevo texto es el siguiente:> Último factor de descuento disponible en la fecha de cálculo, de acuerdo con la información para valoración suministrada por el proveedor de precios designado como oficial para el segmento correspondiente.
m Número de flujos futuros de efectivo asociados al instrumento.
En la determinación del factor de descuento y de los flujos futuros de efectivo asociados a estos instrumentos se debe tener en cuenta lo estipulado en el capítulo I de la Circular Externa 100 de 1995 (Circular Básica Financiera y Contable).
Sin embargo, la duración de los títulos “tasa variable” pactados a tasas de referencia internacionales corresponderá al periodo de tiempo existente hasta el siguiente
reprecio, es decir, hasta el siguiente momento en que se revise la tasa para calcular el pago del cupón. Dicha duración deberá ser calculada en número de años.
f. Duración de instrumentos pactados en UVR.
Para calcular la duración de los instrumentos financieros pactados en Unidades de Valor Real (UVR), los flujos futuros de efectivo deben proyectarse teniendo en cuenta la tasa pactada en UVR. La duración en este caso se calcula siguiendo el procedimiento establecido en el inciso a) del presente numeral.
Cabe aclarar que el cálculo de la duración no se ve afectado por la unidad en que estén denominados los flujos de efectivo al momento de realizarlo.
g. Duración de instrumentos pactados en moneda extranjera.
Para calcular la duración de los instrumentos financieros pactados en moneda extranjera, los flujos futuros de efectivo deben proyectarse teniendo en cuenta la tasa pactada en la moneda original. La duración en este caso se calcula siguiendo el procedimiento establecido en los literales a) y b) del presente numeral.
Cabe aclarar que el cálculo de la duración no se ve afectado por la unidad en que estén denominados los flujos de efectivo al momento de realizarlo.
h. Duración de instrumentos con opción de prepagos.
En el caso de los títulos que incorporen opción de prepagos, su duración se debe calcular de acuerdo con la expresión mencionada en el literal a), utilizándose como referencia los escenarios de prepago que se emplean para su valoración a precios de mercado, de acuerdo con lo establecido en el capítulo I de la CE 100 de 1995.
1.1.2.1.2. Cálculo de los componentes de la exposición a riesgo de tasas de interés.
Para calcular la exposición al riesgo de tasa de interés deben seguirse los siguientes pasos:
b. Cálculo de las sensibilidades
1. La sensibilidad neta de las posiciones en cada instrumento frente a cambios en la tasa de interés, debe calcularse multiplicando la posición neta en dicho instrumento por su duración modificada y por el cambio asumido en la tasa de interés para la banda y moneda correspondientes según lo registrado en la Tabla 1.
Para los títulos “tasa variable” pactados a tasas de referencia nacionales, los cambios en tasa de interés aplicables para la realización del cálculo de esta sensibilidad neta corresponderán al respectivo choque de tasas registrado en la Tabla 1 para la moneda correspondiente.
Para las escaleras de moneda extranjera y Unidad de Valor Real (UVR), las posiciones netas deben ser expresadas en términos de moneda legal, de forma tal que las sensibilidades obtenidas estén denominadas en una única moneda.
2. Dichas sensibilidades netas se clasifican en las escaleras de bandas correspondientes a la moneda de denominación del instrumento. Para cada una de estas escaleras se calculará separadamente la exposición a riesgo de tasa de interés, razón por la cual los procedimientos referidos en los numerales siguientes deberán ser realizados de manera independiente sin efectuar ajustes entre sensibilidades de posiciones denominadas en unidades diferentes.
3. Se calcula la sensibilidad neta de cada banda como la diferencia entre la suma de las sensibilidades de las posiciones largas y la suma de las sensibilidades de las posiciones cortas clasificadas en la banda en cuestión
4. Se calcula la sensibilidad neta de cada una de las tres (3) zonas definidas en la Tabla 1, como la diferencia entre la suma de las sensibilidades netas positivas y el valor absoluto de la suma de las sensibilidades netas negativas correspondientes a las bandas pertenecientes a dicha zona según lo calculado en el numeral 3 del presente literal.
5. Si las sensibilidades netas de las zonas 1 y 2, calculadas de acuerdo a lo estipulado en el numeral 4 tienen signos contrarios se pueden compensar.
6. Si las sensibilidades netas de las zonas 1 y 2 son del mismo signo, y la sensibilidad neta de la zona 3 es de signo contrario, las sensibilidades netas de las zonas 2 y 3 se pueden compensar
c. Ajustes entre bandas y zonas
Dado que las posiciones al interior de cada banda, entre bandas y entre zonas no son homogéneas, se debe realizar el siguiente ajuste de las sensibilidades calculadas en el literal anterior, con base en los parámetros establecidos en la Tabla 1.
1. El monto compensado al interior de cada banda (equivalente a la menor entre la suma de las sensibilidades de las posiciones largas y la suma de las sensibilidades de las posiciones cortas) es multiplicado por el factor de ajuste vertical indicado en la tabla 1 (â), para obtener el cargo por ajuste de sensibilidades al interior de una banda.
2. El monto compensado entre bandas de la misma zona es multiplicado por el factor de ajuste horizontal correspondiente a cada zona (ë1, ë2 y ë3), para obtener el cargo por ajuste de sensibilidades al interior de una zona.
3. El cargo por ajuste de sensibilidades entre las zonas 1 y 2 se calcula como el producto entre el monto compensado (equivalente al menor valor absoluto de las sensibilidades netas) y el factor de ajuste horizontal ë12.
4. El cargo por ajuste de sensibilidades entre las zonas 2 y 3 se calcula como el producto entre el monto compensado y el factor de ajuste horizontal ë23.
5. El cargo por ajuste descrito en el numeral anterior también debe ser utilizado cuando, habiendo realizado el procedimiento descrito en el numeral 3, la sensibilidad neta no compensada corresponda a la zona 2 (esto ocurre cuando el valor absoluto de la sensibilidad neta de esta zona es superior al valor absoluto de la sensibilidad neta de la zona 1) y tenga signo contrario a la sensibilidad neta de la zona 3.
6. En los casos en que habiendo realizado el ajuste descrito en el numeral 3, la sensibilidad neta no compensada corresponda a la zona 1 (esto ocurre cuando el valor absoluto de la sensibilidad neta de esta zona es superior al valor absoluto de la sensibilidad neta de la zona 2) y tenga signo contrario a la sensibilidad neta de la zona 3, estas se podrán compensar. El cargo por el ajuste de dichas sensibilidades se calcula como el producto entre el monto compensado y el factor de ajuste horizontal ë13.
7. El cargo por ajuste descrito en el numeral anterior también debe aplicarse en los casos en que, habiendo realizado el procedimiento descrito en el numeral 4, la sensibilidad neta no compensada corresponda a la zona 3 (esto ocurre cuando el valor absoluto de la sensibilidad neta de esta zona es superior al valor absoluto de la sensibilidad neta de la zona 2) y tenga signo contrario a la sensibilidad neta de la zona 1.
8. Luego de realizar, según corresponda, los ajustes descritos en los literales anteriores se obtiene la sensibilidad neta del portafolio que agrupa las sensibilidades que no se pudieron compensar.
d. Cálculo del riesgo de tasa de interés para cada escalera de bandas
Teniendo en cuenta los procedimientos descritos, el riesgo de tasa de interés para cada una de las escaleras de bandas corresponde a la sumatoria de:
1. El cargo por ajuste vertical de cada una de las bandas descrito en el literal b.1.
2. El cargo por ajuste al interior de las zonas descrito en el literal b.2.
3. El cargo por ajuste entre las zonas 1 y 2 descrito en el literal b.3.
4. El cargo por ajuste entre las zonas 2 y 3 descrito en los literales b.4 y b.5.
5. El cargo por ajuste entre las zonas 1 y 3 descrito en los literales b.6 y b.7.
6. La posición neta ponderada del portafolio descrita en el literal b.8.
Tabla 1
Bandas, Choques de tasas de interés y factores de ajuste vertical y horizontal.
Riesgo general de tasa de interés

Los factores en la Tabla 1 serán revisados por la SFC y podrán ser modificados cuando los niveles establecidos no reflejen apropiadamente la sensibilidad de las posiciones expuestas al riesgo de tasa de interés.
1.1.2.2. Determinación exposición total
Para el cálculo de la exposición al riesgo de tasa de interés deben sumarse los valores correspondientes al riesgo para cada escalera de bandas, calculados según lo descrito en el subnumeral 1.1.2.1 del presente anexo. Adicionalmente, deben añadirse cuando correspondan los siguientes cargos asociados a las posiciones en opciones:
c. Para las entidades elegibles para el tratamiento simplificado de opciones descrito en el numeral 1.1.6.1 del presente anexo, la exposición resultante de las posiciones en opciones cuyos subyacentes sean tasas de interés o títulos de deuda, o
d. Para las entidades que deban aplicar la metodología intermedia descrita en el numeral 1.1.6.2 del presente anexo, los cargos correspondientes a los riesgos Gamma y Vega de dichas opciones.
1.1.3. Riesgo de tasa de cambio
Esta sección muestra la metodología para calcular el requerimiento mínimo de capital necesario para cubrir los riesgos asociados a tomar o mantener posiciones denominadas en monedas extranjeras, tanto en el libro de tesorería como en el bancario.
Para calcular la posición neta en cada moneda deben sumarse las siguientes posiciones:
e. La posición neta de las operaciones spot de la entidad, calculada como la diferencia entre los activos y los pasivos, incluyendo en ambos casos los intereses causados, denominados en la moneda en cuestión.
f. La posición neta de las operaciones forward de la entidad, calculada como la diferencia entre las posiciones largas en forwards, futuros y operaciones a plazo sobre la moneda en cuestión, y las posiciones cortas en dichos instrumentos.
g. La posición neta de las operaciones en derivados de la entidad cuyo subyacente no sea una divisa pero si un título o una tasa de interés denominados en dicha moneda. Para calcular esta posición deberá computarse la diferencia entre las posiciones nocionales largas y las posiciones nocionales cortas determinadas de acuerdo a lo previsto en el numeral 1.1.1 del presente anexo.
h. Adicionalmente, cuando corresponda según lo previsto en el numeral 1.1.6 del presente anexo, las posiciones delta ponderadas de opciones en monedas.
Una vez obtenida la posición neta de cada moneda, su equivalente en moneda legal se calculará de la siguiente manera:
(i) Para determinar la exposición neta en dólares de los Estados Unidos de Norteamérica, se multiplicará la posición neta en dólares por la Tasa de Cambio Representativa del Mercado (TCRM) calculada en la fecha de la evaluación.
(ii) Para monedas distintas al dólar de los Estados Unidos de Norteamérica, se debe convertir previamente las exposiciones a dólares de los Estados Unidos de Norteamérica con base en las tasas de conversión de divisas publicadas para el día del cálculo en la página Web del Banco Central Europeo (BCE), con seis (6) decimales aproximando el último por el sistema de redondeo (inciso segundo, literal b del numeral 6.1.3 del Capítulo I de la Circular Básica Contable y Financiera).
Para el cálculo de la exposición al riesgo de tasa de cambio, las entidades vigiladas deben calcular la sensibilidad neta en cada moneda como el producto de la posición neta y el factor de sensibilidad correspondiente definido en la Tabla 2. Esta sensibilidad tendrá un valor positivo cuando la posición neta en una moneda sea larga y negativo cuando la posición neta sea corta.
<Inciso adicionado por la Circular 27 de 2017. El nuevo texto es el siguiente:> Para los casos en donde la entidad vigilada tenga inversiones en subordinadas del exterior, se debe emplear el factor de sensibilidad definido en la Tabla 2, correspondiente a la moneda de cada país en donde se encuentre domiciliada la respectiva subordinada.
La exposición al riesgo de tasa de cambio se calcula entonces como la suma de los siguientes componentes:
a. El mayor valor entre la suma de las sensibilidades netas positivas y el valor absoluto de la suma de las sensibilidades netas negativas.
b. Para las entidades elegibles para la aproximación simplificada de tratamiento de opciones descrita en 1.1.6.1 del presente anexo, la exposición resultante de las posiciones en opciones sobre monedas, o
c. Para las entidades que deban aplicar la metodología intermedia descrita en el numeral 1.1.6.2 del presente anexo, los cargos correspondientes a los riesgos Gamma y Vega de dichas opciones.
1.1.4. Riesgo de precio de acciones
Esta sección muestra la metodología para calcular los riesgos asociados a tomar o mantener posiciones en acciones en el libro de tesorería.
Para efectos de lo estipulado en el presente numeral deben tenerse en cuenta:
a. Las inversiones en títulos participativos del libro de tesorería, incluyendo las inversiones en acciones emitidas en el exterior y listadas en Colombia.
b. Las inversiones en títulos participativos de baja o mínima bursatilidad computan por su valor neto de provisiones ajustado por el cincuenta por ciento (50%) de sus valorizaciones y/o el 100% de sus desvalorizaciones, según corresponda.
c. En el mismo sentido, las inversiones disponibles para la venta en títulos participativos de alta o media bursatilidad, computan por su valor a precios de mercado, ajustado por el cincuenta por ciento (50%) de las ganancias o pérdidas no realizadas asociadas a tales inversiones.
d. Las inversiones no contempladas en los literales b) y c) computan por su valor de acuerdo a las normas de valoración aplicables según lo dispuesto por las SFC.
e. Las posiciones en derivados cuyo subyacente sean acciones, tales como futuros y forwards sobre acciones individuales o índices de acciones. También deberán contemplarse las operaciones a plazo realizadas en las Bolsas de Valores.
f. Adicionalmente deben ser tenidas en cuenta las posiciones delta ponderadas de las opciones sobre acciones, siempre que la metodología aplicada por las entidades sea la descrita en el numeral 1.1.6.2 del presente anexo.
Sin perjuicio de lo anterior, las siguientes inversiones deben excluirse del cálculo de la exposición al riesgo de cambio de precio en acciones:
a. Las inversiones en títulos participativos efectuadas en entidades sometidas a la inspección y vigilancia de la SFC, cuando se trate de entidades con respecto a las cuales haya lugar a consolidación.
b. Las inversiones constituidas dentro de procesos de reestructuración realizados de acuerdo con la Ley 550 de 1999 o demás normas que lo sustituyan, modifiquen o subroguen. Así mismo, no deben considerarse las acciones recibidas como dación en pago mientras permanezcan clasificadas como tales.
1.1.4.1. Cálculo del riesgo de precio de acciones
El cálculo de riesgo de precio de acciones busca capturar el riesgo asociado a movimientos adversos en el mercado accionario y corresponde a la suma de las posiciones netas ponderadas en cada acción. Con el fin de tener en cuenta las distintas sensibilidades de los precios de acciones particulares a movimientos en el índice del mercado, la posición neta ponderada de cada acción corresponde al producto de dos (2) componentes:
a. La posición neta en cada acción.
b. El factor de sensibilidad al riesgo general de acciones definido en la Tabla 2, que refleja la volatilidad del Índice General de la Bolsa de Valores de Colombia (IGBC).
Para calcular la exposición al riesgo de precio de acciones de un mercado accionario en particular, se deben sumar los valores absolutos de las posiciones netas ponderadas en acciones del respectivo mercado.
Para los casos en que la entidad tenga posiciones en más de un mercado accionario, el componente de riesgo general debe ser calculado separadamente para cada mercado. Para mercados de acciones distintos a la Bolsa de Valores de Colombia S.A., el factor de riesgo aplicable debe ser calculado por la entidad como el percentil cinco (5) de las variaciones observadas, para un horizonte de tenencia de veinte (20) días hábiles de negociación, en el índice representativo de dicho mercado. Para esta estimación la entidad debe utilizar un periodo correspondiente a los últimos cinco (5) años de historia, y deberá ser actualizado de forma que la última observación utilizada en el cálculo se encuentre en los tres (3) meses anteriores a la fecha del cálculo de la exposición a los riesgos de mercado a que hace referencia el presente numeral.
Para efectos del presente numeral debe entenderse por mercado accionario aquel sistema de negociación de valores en el cual se negocien acciones, bien sea este nacional o extranjero.
1.1.4.2. Determinación exposición total
Para el cálculo de la exposición al riesgo de precio de acciones deben sumarse los valores correspondientes al riesgo para cada mercado de acciones en que participe la entidad de acuerdo a lo estipulado en el subnumeral 1.1.4.1 del presente anexo. Adicionalmente deben añadirse, cuando correspondan, los siguientes cargos correspondientes a las posiciones en opciones:
a. Para las entidades elegibles para la aproximación simplificada de tratamiento de opciones descrita en 1.1.6.1 del presente anexo, la exposición resultante de las posiciones en opciones sobre acciones, o
b. Para las entidades que deban aplicar la metodología intermedia descrita en el numeral 1.1.6.2 del presente anexo, los cargos correspondientes a los riesgos Gamma y Vega de dichas opciones.
Tabla 2
Factores de Sensibilidad para el Cálculo de Riesgos de Tasa de Cambio y de Precio de Acciones
<Tabla modificada por la Circular 27 de 2017. El nuevo texto es el siguiente:>
| Moneda | Factor de Sensibilidad |
| Dólar de Estados Unidos de Norteamérica | 12.49% |
| Euro | 11% |
| Otras monedas | 13.02% |
| Riesgo general precio de acciones | 9.1% |
Los factores consignados en la Tabla 2 serán revisados por la SFC y podrán ser modificados si ésta considera que los niveles establecidos no reflejan apropiadamente la sensibilidad de las posiciones expuestas a los riesgos allí contemplados.
1.1.5. Riesgo en inversiones realizadas en carteras colectivas.
Para las inversiones en carteras colectivas, es decir, para fondos comunes de inversión, fondos de valores y fondos de inversión la exposición a riesgos de mercado de las entidades es calculada como el producto entre el factor de riesgo aplicable a dicho fondo y la posición invertida en él. El factor de riesgo aplicable corresponde a:
a. Cuando la sociedad administradora de la cartera colectiva reporte a la entidad adherente o suscriptora la composición del portafolio de inversión de la misma, la exposición a riesgos de mercado deberá ser calculada por la entidad adherente de acuerdo a las disposiciones impartidas en el numeral 1.1 del presente anexo.
El factor de riesgo de la cartera colectiva corresponderá a la razón entre esta exposición y el valor del portafolio en la correspondiente fecha de cálculo. Sin perjuicio de lo anterior, este factor de riesgo puede ser utilizado para el cálculo de la exposición a riesgos de mercado de la entidad adherente o suscriptora por un periodo de hasta treinta días, contados a partir de la última fecha de cálculo;
b. Cuando la sociedad administradora de la cartera colectiva reporte a la entidad adherente o suscriptora la exposición a riesgos de mercado de la cartera colectiva, calculada de acuerdo a las disposiciones impartidas en el numeral 1.1 del presente capítulo, el factor de riesgo de dicha cartera colectiva corresponderá a la razón entre esta exposición y el valor del portafolio a la respectiva fecha de cálculo. Sin perjuicio de lo anterior, este factor de riesgo puede ser utilizado para el cálculo de la exposición a riesgos de mercado de la entidad adherente o suscriptora por un periodo de hasta treinta (30) días, contados a partir de la última fecha de cálculo; y
c. En los demás casos, el factor de riesgo aplicable es igual al establecido en la Tabla 2 para el riesgo general precio de acciones, es decir el cargo asociado a las posiciones más riesgosas contempladas en el modelo estándar (acciones).
1.1.6. Tratamiento de las posiciones en opciones
Las entidades de las que trata el presente anexo deben seguir una de las dos (2) aproximaciones que se describen a continuación para incorporar sus posiciones en opciones en el cálculo de los requerimientos de capital por riesgos de mercado.
Para los casos en que la entidad tenga registradas solamente posiciones largas en opciones, puede utilizar la aproximación simplificada descrita en el numeral 1.1.6.1 del presente anexo. Aquellas entidades que posean posiciones cortas en opciones deben utilizar la aproximación intermedia descrita en el numeral 1.1.6.2 del presente anexo.
1.1.6.1. Aproximación simplificada
En la aproximación simplificada, la exposición a los riesgos de mercado corresponde a la suma de las exposiciones individuales calculadas como el menor valor entre:
c. El producto entre el valor razonable (“fair value”) del instrumento subyacente y el factor de sensibilidad relevante (Tablas 1 y 2).
d. El valor de mercado de la opción, de acuerdo con la metodología especificada en el Capítulo XVIII.
El resultado del cálculo anterior debe ser sumado al módulo correspondiente (1.1.2 a 1.1.5 del presente anexo).
1.1.6.2. Aproximación intermedia
En la aproximación intermedia el cargo de capital asociado a las posiciones en opciones es calculado a partir de los factores de sensibilidad (“Griegas”) delta, gamma y vega de acuerdo a lo estipulado en los siguientes incisos:
d. Posición delta ponderada.
Bajo está aproximación la posición delta ponderada de las opciones está sujeta a los requerimientos de capital descritos en los numerales 1.1.2 a 1.1.5 del presente anexo dependiendo de los cargos aplicables al subyacente de la opción.
e. Riesgo Gamma
Para cada opción, un impacto gamma deberá ser calculado como:

Donde:
VS Variación del Valor del Subyacente
Gamma Cambio del factor delta ante un cambio de una unidad en el valor del subyacente.
La variación en el valor del subyacente corresponde al factor de sensibilidad de la banda correspondiente en la Tabla 1 cuando el subyacente sea un título de deuda o
una tasa de interés. Para las opciones en acciones, la variación en el valor del subyacente es el factor de ponderación correspondiente según lo estipulado en 1.1.4. Para las posiciones en moneda extranjera o divisas, el cambio en el valor del subyacente es el estipulado en la Tabla 2 según corresponda.
Posteriormente, las posiciones en opciones se agruparán según el instrumento subyacente, como se explica a continuación:
1.) Por banda en las escaleras de duración modificada en el caso de opciones con subyacentes expuestos a riesgo de tasa de interés.
2.) Por mercado nacional en el caso de opciones con subyacentes expuestos a riesgo de cambios en el precio de acciones.
3.) Por moneda en el caso de opciones con subyacentes expuestos a riesgo de tasa de cambio.
Para cada grupo se calcula un impacto gamma neto, como la suma de los impactos gamma de todas las posiciones en la agrupación. Para el cálculo de los requerimientos de capital solamente se tienen en cuenta, en valor absoluto, los impactos gamma netos negativos.
f. Riesgo Vega
El riesgo vega refleja la sensibilidad del valor de las posiciones en opciones con respecto a cambios en la volatilidad del valor del instrumento subyacente. El cargo de capital correspondiente a este tipo de riesgo es calculado como la suma de los impactos vega de cada opción.
Estos impactos se calculan aplicando a la volatilidad del valor subyacente asociado un cambio de 25% positivo o negativo según sea la posición (corta o larga), sobre el factor vega correspondiente.
El factor vega correspondiente mide el cambio del valor de la opción ante un cambio unitario en la volatilidad del valor del instrumento subyacente.
Para el cálculo de los factores de sensibilidad delta, gamma y vega, así como de las volatilidades de los subyacentes que se utilicen en el cálculo del riesgo vega, las instituciones financieras deben aplicar metodologías concordantes con los modelos para la valoración de dichos instrumentos, de acuerdo a lo estipulado en el Capítulo XVIII de la presente circular.
1.1.7. Cálculo exposición total a los riesgos de mercado con el modelo estándar.
Con el fin de calcular la exposición total a los riesgos de mercado, las entidades a que hace referencia el presente anexo deben sumar las exposiciones obtenidas para cada uno de los módulos de la metodología estandarizada, de acuerdo a lo descrito en los subnumerales 1.1.2 a 1.1.5 del presente anexo.
El monto obtenido siguiendo este procedimiento, corresponde al valor de la exposición por riesgo de mercado aplicable al cálculo del patrimonio adecuado de las entidades de seguros generales de conformidad con lo dispuesto en el artículo 2.31.1.2.10 del Decreto 2555 de 2010 o demás normas que lo sustituyan, modifiquen o subroguen.
1.2. Reglas relativas a la medición de riesgos de mercado a través de modelos internos para entidades de seguros generales.
Las entidades de seguros generales que de acuerdo con lo señalado en el presente capítulo puedan adoptar modelos internos para la medición de los riesgos de mercado, deben tener en cuenta en su diseño los parámetros mínimos establecidos en el presente numeral y someterlos a revisión previa de la SFC, de acuerdo con lo establecido en el numeral 5.2.2 del presente capítulo.
En todo caso, hasta tanto no cuenten con modelos internos no objetados por la SFC, tales entidades deben utilizar el modelo estándar para la medición de sus exposiciones a los riesgos de mercado.
Sin perjuicio de lo anterior, todas las entidades a que se refiere este numeral deben estar en capacidad de reportar el valor que resultaría de calcular la exposición a riesgos de mercado utilizando la metodología estandarizada.
REGLAS RELATIVAS A LA ADMINISTRACIÓN DEL RIESGO OPERATIVO.
LINEAS OPERATIVAS PARA EL REGISTRO DE EVENTOS DE RIESGO OPERATIVO.
- Consideraciones generales.
En desarrollo de lo dispuesto en el número XVI, del numeral 3.2.5.1. del Capítulo XXIII de la presente circular, las entidades sometidas a la inspección y vigilancia de la Superintendencia Financiera de Colombia (SFC) obligadas a contar con un Sistema de Administración de Riesgo Operativo (SARO), deben construir un registro de eventos de riesgo operativo y mantenerlo actualizado, atendiendo lo dispuesto en el presente anexo.
Para efectos del Capítulo en mención y del presente instructivo, deberá entenderse por líneas operativas el conjunto de actividades con características similares que permiten registrar en forma homogénea los eventos de riesgo operativo, atendiendo las diferentes operaciones que desarrollan las entidades vigiladas.
Sin perjuicio de lo dispuesto en el presente anexo, la SFC considera apropiado que las entidades acojan criterios internacionales para la clasificación de eventos de riesgo operativo, tales como los establecidos por Operacional Riskdata Exchange Association – ORX.
1. PRINCIPIOS PARA LA CLASIFICACIÓN EN LAS DIFERENTES LÍNEAS OPERATIVAS.
Las entidades deberán documentar y mantener a disposición de la SFC los criterios que tendrán en cuenta para clasificar las diferentes actividades en cada una de las líneas operativas de acuerdo con la clasificación que más adelante se establece, sin perjuicio de atender los siguientes principios:
1.1. Cualquier evento de riesgo operativo que se produzca en desarrollo de una actividad conexa a una principal deberá ser clasificado en la línea operativa que corresponda a la actividad principal.
1.2. Cuando un evento de pérdida afecte más de una línea operativa y una de las líneas genere el cincuenta por ciento (50%) o más de las pérdidas totales, se deberá asignar el valor total de esas pérdidas a dicha línea operativa.
1.3. Cuando un evento de pérdida afecte más de una línea operativa y ninguna de las líneas involucradas genere el cincuenta por ciento (50%) o más de las pérdidas totales, se deberá asignar el valor correspondiente a cada línea operativa afectada.
1.4. Los eventos de riesgo operativo deberán como mínimo registrarse en el primer y segundo nivel de desagregación.
1.5. Las entidades fiduciarias deberán incluir en el registro de eventos la naturaleza del negocio fiduciario, es decir si es de carácter público o privado.
Es importante tener en cuenta que todas las actividades incluidas en la clasificación, excepto las líneas operativas número 2 “Negociación y Ventas” y número 19 “Actividades Institucionales”, son desarrolladas directamente con clientes y/o usuarios.
<Anexo I Líneas Operativas para el Registro de Eventos de Riesgo Operativo - Circular Externa 037 de 2007 - Junio de 2007 – Página 1>
CLASIFICACIÓN DE LÍNEAS OPERATIVAS.
2. CLASIFICACIÓN DE LÍNEAS OPERATIVAS.
| N° | Líneas Operativas (Nivel 1) | N° | Líneas Operativas (Nivel 2) | Descripción |
| 1 | Finanzas Corporativas | 1.1 | Finanzas Corporativas | Evaluación y estructuración financiera de proyectos. Asesoría en licitaciones y en esquemas de participación privada en proyectos. Optimización de estructuras financieras. Valoración de proyectos de privatizaciones, fusiones y adquisiciones. Asesoría en estructuraciones, emisiones y colocaciones de instrumentos financieros al mejor esfuerzo. Asesoría en materia de estructuración del capital, en estrategia industrial y en cuestiones afines o relacionadas. Estudios de inversiones. Análisis financiero. |
| 1.2 | Finanzas de Administraciones Locales / Públicas | |||
| 1.3 | Banca de Inversión | |||
| 1.4 | Servicios de Asesoramiento | |||
| 2 | Emisión, Negociación y Venta | 2.1 | Ventas | Negociación en posición propia sobre valores u operaciones de derivados con subyacente valores, con independencia de sus características. Valores adquiridos en desarrollo de contratos de underwriting. Emisión de deuda o acciones. |
| 2.2 | Creación de Mercado | |||
| 2.3 | Posición Propia | |||
| 2.4 | Tesorería | |||
| 2.5 | Emisión | |||
| 3 | Banca Personal y Minorista | 3.1 | Banca Personal y Minorista | Recepción de depósitos en cualquier modalidad. Otorgamiento de créditos en las modalidades de microcrédito, consumo, vivienda y, en general, cualquier operación activa de crédito que celebren con sus clientes. Para la clasificación de las actividades en esta línea se deberá tener en cuenta que la actividad de captación y colocación de recursos se circunscribe únicamente a personas naturales y microempresas, según definición de la Ley 590 de 2000 con sus modificaciones y/o adiciones. Sin embargo, en el caso de créditos de vivienda se deben excluir los otorgados para financiar proyectos de construcción con independencia de si se otorgan a persona natural o jurídica. |
| 4 | Banca Comercial | 4.1 | Banca Comercial | Recepción de depósitos en cualquier modalidad. Otorgamiento de créditos en las modalidades de comercial, vivienda y en general cualquier clase de operación activa de crédito. Para la clasificación de las actividades en esta línea se deberá tener en cuenta que la actividad de captación y colocación de recursos se circunscribe únicamente a personas jurídicas excepto micorempresas. En los créditos de vivienda solamente se deben incluir los otorgados para financiar proyectos de construcción con independencia de si se otorgan a persona natural o jurídica. |
| 5 | Compensación, Liquidación y Registro | 5.1 | Compensación, Pago y Liquidación | Prestación de servicio de compensación como contraparte central de operaciones. Administración de sistemas de compensación y liquidación de operaciones. Administración de las garantías otorgadas para la compensación, pago y liquidación de operaciones. Administración de sistemas de pago de bajo y alto valor. |
| 5.2 | Registro de Operaciones | Registro de operaciones realizadas por las bolsas de valores, agropecuarias y sistemas de negociación que no impliquen compensación y liquidación. | ||
| 6 | Servicios de Agencia | 6.1 | Custodia | Custodia y administración de instrumentos financieros por cuenta de clientes, incluidos el depósito y servicios conexos como la gestión de efectivo y de garantías reales. |
| 6.2 | Agente de Transferencias | Obrar como agente de transferencia. | ||
| 7 | Administración de Activos | 7.1 | Administración de Fondos | Administración de fondos y/o recursos distintos de los señalados en las líneas operativas números 8 a 12. |
| 7.2 | Almacenamiento de Activos | Almacenamiento y administración general de mercancías de terceros en bodegas propias o particulares como consignatarios o como parte de la prestación de un servicio. Expedición de certificados de depósito de mercancías y bonos de prenda. | ||
| 8 | Negocios Fiduciarios de Inversión y Fondos Mutuos de Inversión | 8.1 | Fondo Común Ordinario | Contratos fiduciarios que tienen como finalidad principal la inversión o colocación de los recursos fideicomitidos. Fondos mutuos de inversión administrados o no por una sociedad fiduciaria. |
| 8.2 | Fondo Común Especial | |||
| 8.3 | Fideicomiso de Inversión con Destinación Especifica | |||
| 8.4 | Fondos Mutuos de Inversión | |||
| 9 | Negocios Fiduciarios Inmobiliarios | 9.1 | Administración y Pagos | Contratos fiduciarios cuya finalidad principal es la administración de recursos y bienes afectos a un proyecto inmobiliario o la administración de los recursos asociados al desarrollo y ejecución de dicho proyecto. Recaudo de los dineros provenientes de la promoción y consecución de interesados en adquirir inmuebles dentro de un proyecto inmobiliario. |
| 9.2 | Tesorería | |||
| 9.3 | Preventas | |||
| 10 | Negocios Fiduciarios de Administración | 10.1 | Administración y Pagos | Contratos fiduciarios de administración cuya finalidad es la entrega de bienes a una sociedad fiduciaria para que los administre y desarrolle la gestión encomendada por el constituyente y destine los rendimientos al cumplimiento de la finalidad señalada. |
| 10.2 | Patrimonios derivados de Procesos de Titularización | |||
| 10.3 | Administración de Cartera | |||
| 10.4 | Acuerdos de Reestructuración | |||
| 11 | Negocios Fiduciarios en Garantía | 11.1 | Fiducia en Garantía | Contratos fiduciarios en virtud de los cuales una persona transfiere bienes o recursos con la finalidad de garantizar el cumplimiento de obligaciones propias o de terceros. |
| 11.2 | Fiducia en Garantía y Fuente de Pago | |||
| 12 | Seguridad Social y Cesantías | 12.1 | Administración de recursos del régimen de ahorro individual con solidaridad. | Administración de fondos, pasivos o recursos relacionados con el sistema de seguridad social integral excepto aquellos relacionados con riesgos profesionales. Administración de cesantías. Administración de fondos de pensiones voluntarias. |
| 12.2 | Administración de Recursos del Régimen de Prima Media con Prestación Definida. | |||
| 12.3 | Administración de Pasivos Pensionales | |||
| 12.4 | Administración de Fondos de Jubilación e Invalidez - Fondos Voluntarios | |||
| 12.5 | Administración de Cesantías | |||
| 12.6 | Administración de otros recursos del Sistema de Seguridad Social Integral. | |||
| 13 | Comisión y Corretaje | 13.1 | Intermediación de Valores, Seguros y Reaseguros. | Intermediación para la negociación de valores u operaciones de derivados con subyacente valores, con independencia de sus características. Valores adquiridos en desarrollo de contratos de underwriting. Recepción y transmisión de órdenes de clientes en relación con uno o más instrumentos financieros. Ejecución de órdenes en nombre de clientes. Actividad de intermediación de seguros, reaseguros y de capitalización. |
| 14 | Seguros de Personas | 14.1 | Exequias | Celebración de contratos de seguros de personas, en los ramos señalados en el nivel 2. |
| 14.2 | Accidentes personales | |||
| 14.3 | Colectivo vida | |||
| 14.4 | Educativo | |||
| 14.5 | Vida grupo | |||
| 14.6 | Salud | |||
| 14.7 | Vida individual | |||
| 14.8 | Pensiones voluntarias | |||
| 14.9 | Previsional de invalidez y sobrevivencia | |||
| 14.10 | Enfermedades de alto costo | |||
| 14.11 | Pensiones Ley 100 | |||
| 14.12 | Pensiones con conmutación pensional | |||
| 14.13 | Riesgos profesionales | |||
| 14.14 | SOAT | |||
| 15 | Seguros de Daños | 15.1 | Automóviles | Celebración de contratos de seguros de daños, en los ramos señalados en el nivel 2. |
| 15.2 | Incendio y terremoto | |||
| 15.3 | Sustracción | |||
| 15.4 | Corriente débil | |||
| 15.5 | Lucro Cesante | |||
| 15.6 | Montaje y rotura de maquinaria | |||
| 15.7 | Minas y petróleos | |||
| 15.8 | Vidrios | |||
| 15.9 | Agrícola | |||
| 15.10 | Semovientes | |||
| 15.11 | Todo riesgo contratista | |||
| 15.12 | Hogar | |||
| 15.13 | Transporte | |||
| 15.14 | Aviación | |||
| 15.15 | Navegación y casco | |||
| 16 | Seguros Patrimoniales y de Responsabilidad | 16.1 | Cumplimiento | Celebración de contratos de seguros patrimoniales y de responsabilidad en los ramos señalados en el nivel 2. |
| 16.2 | Manejo | |||
| 16.3 | Desempleo | |||
| 16.4 | Responsabilidad civil | |||
| 16.5 | Crédito comercial. Crédito a la exportación. | |||
| 17 | Reaseguros | 17.1 | Actividad de Reaseguros | Asunción de riesgos derivados de contratos de reaseguro. |
| 18 | Actividades No Financieras | 18.1 | Servicios Tecnológicos | Prestación de servicios tecnológicos (hardware, software y telecomunicaciones) por parte de las entidades a personas naturales o jurídicas. |
| 18.2 | Servicios Generales | Servicios y productos de carácter general ofrecidos a personas naturales y jurídicas, que no pueden catalogarse en ninguna de las líneas preestablecidas y que no tienen una relación directa con servicios tecnológicos o aduaneros. | ||
| 18.3 | Servicios Aduaneros | Intermediación aduanera en los diferentes procesos y modalidades de comercio internacional. | ||
| 19 | Actividades Institucionales | 19.1 | Institucionales | Actividades que no pueden ser catalogadas en ninguna línea operativa de las señaladas y que están relacionadas con el funcionamiento administrativo y/o de apoyo de las entidades. |
REGLAS RELATIVAS AL ESQUEMA DE PRUEBAS DE RESISTENCIA.
LINEAMIENTOS PARA EL ESQUEMA DE PRUEBAS DE RESISTENCIA (EPR) REQUERIDAS POR EL SUPERVISOR.
<Anexo modificado por la Circular 31 de 2017. El nuevo texto es el siguiente:>
1. CONSIDERACIONES GENERALES
Este anexo proporciona a los establecimientos de crédito sujetos a la implementación del EPR, los lineamientos sobre la manera de llevar a cabo las pruebas de resistencia requeridas por el supervisor en el marco del EPR, a partir de los escenarios proporcionados por la Superintendencia Financiera de Colombia (SFC). En este marco, las entidades deben desarrollar metodologías y procedimientos para transmitir los escenarios económicos suministrados por la SFC a sus estados financieros y para medir los riesgos a los que están expuestas. Dichas metodologías deben ser adecuadas y robustas, de manera que puedan incorporar las particularidades de sus operaciones.
2. ÁMBITO DE APLICACIÓN
El presente anexo aplica a los establecimientos bancarios, compañías de financiamiento, corporaciones financieras y cooperativas financieras, salvo cuando se indique de otra forma de conformidad con la siguiente distinción:
2.1 Grupo 1: Se refiere a los establecimientos bancarios cuyos activos representen el 2% o más del total de los activos del sector bancario con corte a 31 de diciembre del año inmediatamente anterior a la realización de las pruebas.
2.2 Grupo 2: Se refiere a los establecimientos bancarios cuyos activos representen menos del 2% del total de los activos del sector bancario con corte a 31 de diciembre del año inmediatamente anterior a la realización de las pruebas, las compañías de financiamiento, las corporaciones financieras, y las cooperativas financieras.
3. ESCENARIOS PARA LA REALIZACION DE LAS PRUEBAS
Para efectos de las pruebas requeridas por el supervisor, la SFC suministrará a las entidades dos escenarios con variables económicas y de mercado, con el fin de que proyecten con base en ellos sus estados financieros. Al transmitir estos escenarios a sus estados financieros, las entidades pueden necesitar variables adicionales. Los valores estimados y/o proyectados de las variables adicionales utilizadas por los modelos de cada entidad deben ser consistentes con los escenarios suministrados.
Las entidades deben reportar las proyecciones realizadas sobre sus estados financieros para los periodos requeridos, de acuerdo con lo establecido en el Formato 527 (Proforma F.1000-138), diseñado para el reporte de información estándar a la SFC.
Con el fin de evaluar el impacto de las pruebas sobre la solvencia, la liquidez y la rentabilidad de las entidades y del sistema financiero, la SFC utilizará, entre otros, indicadores de:
a. Solvencia
i. Patrimonio técnico
ii. Patrimonio básico ordinario
iii. Activos ponderados por riesgo
iv. Relación de solvencia básica
v. Relación de solvencia total
b. Liquidez
i. Disponible
ii. Encaje
iii. Otros activos líquidos
iv. Activos líquidos de alta calidad
v. Requerimientos de liquidez contractuales
vi. Requerimientos de liquidez no contractuales
c. Rentabilidad
i. ROA
ii. ROE
4. LINEAMIENTOS PARA LA MEDICION DE RIESGOS
La fecha de corte de los estados financieros iniciales para la ejecución de las pruebas corresponde al cierre del año inmediatamente anterior al de su realización. A partir de esos estados financieros, las entidades deben hacer las proyecciones con base en los escenarios suministrados por la SFC. Las proyecciones deben incorporar los planes de negocio de las entidades, así como aquellos sobre su capital, liquidez y utilidades.
En el informe cualitativo que remita cada entidad con los resultados de las pruebas de resistencia, se debe justificar la elección de las metodologías y modelos utilizados en la realización de las proyecciones. Con base en esos modelos y metodologías, las entidades deben transmitir los escenarios provistos por la SFC a sus estados financieros y a los indicadores de solvencia, liquidez y rentabilidad establecidas en el Formato 527 (Proforma F.1000-138). Cuando en la evaluación de los resultados del escenario adverso la entidad identifique que la materialización de los riesgos a los cuales se expone, compromete su estabilidad financiera, en términos de solvencia, rentabilidad y/o liquidez, de tal manera que requiere acciones para mitigarlos, debe hacer una tercera proyección que las incorpore.
Para la realización de las pruebas requeridas por el supervisor, las entidades pueden seguir la secuencia ilustrada por la Figura 1, que resume sus etapas estilizadas para los dos escenarios provistos por la SFC.
Figura 1. Etapas estilizadas de las pruebas de resistencia

Fuente: SFC con base en el esquema empleado por el Banco de Inglaterra (2015)
Las entidades del Grupo 1 deben llevar a cabo las pruebas de resistencia evaluando el impacto de los escenarios sobre los riesgos de crédito, de mercado y de liquidez, en sus estados financieros.
Las entidades del Grupo 2 deben identificar su grupo de activos significativo entre: (i) inversiones y operaciones con derivados y (ii) cartera de créditos y operaciones de leasing. Posteriormente, deben realizar la evaluación del impacto de los escenarios sobre el riesgo que corresponda al grupo de activos significativo, entre riesgo de mercado y de crédito. Una entidad puede tener uno o los dos grupos de activos significativos.
El grupo de activos significativo es la línea o unidad de negocio que es fundamental para que la entidad lleve a cabo su modelo de negocios y para que alcance sus objetivos principales. Para la identificación del grupo de activos significativo, la entidad debe utilizar elementos cuantitativos y cualitativos entre los que pueden estar el plan de negocios, la estructura organizacional de la entidad y la importancia estratégica de la actividad, y dicha identificación debe justificarse en el informe cualitativo.
La prueba de resistencia sobre el riesgo de liquidez la deben realizar las entidades de Grupo 1 y Grupo 2 y deben ser consistentes con el impacto de las pruebas sobre los riesgos de crédito y/o de mercado.
Para la realización de las pruebas la estructura de los estados financieros no debe cambiar de manera sustancial en el horizonte temporal del ejercicio, de manera que sólo podrán incorporar los cambios que resulten de la implementación del plan de negocio. Por tanto, en los ejercicios se deben reemplazar los activos y pasivos que vencen en el periodo de proyección por instrumentos financieros del mismo tipo y maduración que tenían en el año base de realización de las pruebas, teniendo en cuenta las condiciones de mercado según los correspondientes choques provistos por la SFC. No se deben dar de baja los activos incumplidos. También se debe suponer que en ese período las entidades solo realizan cambios en el modelo de negocio que resulten de la implementación del plan de negocio.
La incorporación del plan de negocio (emisiones de deuda, inversiones estratégicas, cambios estratégicos en el modelo de negocio, etc.) debe ser consistente con los escenarios suministrados por la SFC y no debe emplearse como un mecanismo para neutralizar los choques provistos. La entidad debe justificar en el informe cualitativo la inclusión de supuestos.
En el caso en el que la entidad identifique que debe realizar una tercera proyección que incorpora acciones para mitigar los riesgos, la estructura de los estados financieros en esta última proyección podrá cambiar a partir del segundo año en virtud de estas acciones.
4.1 Riesgo de crédito
Para todas las entidades del Grupo 1 el riesgo de crédito se debe examinar sobre todas las modalidades de la cartera: comercial, consumo, vivienda y microcrédito. El ejercicio consiste en afectar los segmentos de la cartera y las garantías de manera coherente con los escenarios propuestos.
Para las entidades del grupo 2 que tengan como grupo de activos significativo cartera de créditos y operaciones de leasing, el riesgo de crédito se debe examinar únicamente sobre el total de cartera y no se requiere una desagregación por modalidad.
Las entidades del Grupo 2 que no tengan como grupo de activos significativo cartera de créditos y operaciones de leasing, no deben examinar el riesgo de crédito.
En la realización de los ejercicios para evaluar el impacto del riesgo de crédito se debe conservar el supuesto de que el balance no cambia sustancialmente en el horizonte temporal de las pruebas. Por tanto, para efectos de este ejercicio las entidades no pueden suponer un remplazo ni venta de la cartera en mora en el escenario base y adverso sin acciones para mitigar los riesgos. De igual manera, es necesario tener en cuenta que las garantías solo pueden incrementar su valor en el escenario base y dicho incremento debe ser sustentado en el informe cualitativo. Así mismo, al proyectar sus ingresos por intereses para cada uno de los escenarios, las entidades deben incorporar el efecto de la evolución de la calidad del crédito, para el cual deberá presentar en el informe cualitativo, las estimaciones relacionadas con la cartera improductiva por modalidad y los efectos en materia de suspensión de intereses.
En el caso en que la entidad decida realizar proyecciones de su cartera basados en las proyecciones del comportamiento de la cartera del sistema, debe explicar claramente las razones para adoptar este supuesto. En todo caso, las proyecciones deben realizarse prioritariamente sobre el comportamiento de su propia cartera, considerando el perfil propio de sus portafolios.
La entidad debe considerar en sus proyecciones de cartera y provisiones, el riesgo derivado del incumplimiento de sus contrapartes que, según su análisis, puedan tener un impacto significativo en sus estados financieros a raíz de un posible deterioro en los entornos macroeconómicos, en línea con los escenarios base y adverso o por vulnerabilidades en su condición financiera.
Las condiciones para el cálculo y constitución de las provisiones, la recuperación de cartera, la constitución de garantías, la recalificación de los créditos, la causación de intereses y en general todos los elementos y reglas que componen el Sistema de Administración de Riesgo de Crédito (SARC), deben estar alineadas con la normativa vigente al respecto. Si en el cálculo de las provisiones individuales de las modalidades de comercial y de consumo, la entidad utiliza la metodología establecida para la fase desacumulativa, debe justificar las razones en el informe cualitativo.
4.2 Riesgo de mercado
Para todas las entidades del Grupo 1, el riesgo de mercado se debe examinar sobre todas las posiciones de los activos expuestos a variaciones en los precios de mercado. Por tanto, este riesgo será evaluado por medio de la transmisión de las fluctuaciones de los precios de los diferentes activos, contenidas en los escenarios, a las inversiones y operaciones con derivados. Para hacerlo, las entidades deben aplicar los factores de riesgo y las reducciones en los precios de sus activos correspondientes a cada uno de los escenarios. El impacto de las pruebas bajo ambos escenarios se debe evaluar sobre los estados financieros de acuerdo con la clasificación contable que tengan las inversiones. Los valores de las variables con base en las cuales se determinen los precios de los activos, que la SFC no suministre, deben ser coherentes con los escenarios propuestos.
Para las entidades del Grupo 2 que tengan como grupo de activos significativo inversiones y operaciones con derivados, el riesgo de mercado se debe proyectar sobre el total del rubro de inversiones y operaciones con derivados, evaluando el impacto de la transmisión de las fluctuaciones de los precios de los diferentes activos contenidas en los escenarios.
De acuerdo con estos principios, en las pruebas de resistencia las entidades deben evaluar el impacto en el libro de tesorería para cada uno de los escenarios propuestos, junto con los efectos en sus estados financieros. Para este propósito deben suponer que la desvalorización de los activos se presenta sobre el portafolio vigente en la fecha de inicio de las pruebas. No deben suponer nuevas coberturas, ventas y/o desmontes de posiciones, reclasificación de inversiones, gestión activa de portafolio, ni ninguna otra acción que mitigue el efecto adverso en la evaluación del impacto de los escenarios suministrados. Las inversiones sobre las cuales exista un flujo contractual con cumplimiento dentro del horizonte del ejercicio, serán reemplazadas por instrumentos financieros del mismo tipo y maduración que tenían en el año base de realización de las pruebas teniendo en cuenta las condiciones de mercado según los correspondientes choques provistos por la SFC. En la proyección que incorpore las acciones para mitigar los riesgos, la estructura del libro de tesorería podrá cambiar sólo a partir del segundo año.
Si como resultado de la implementación del plan de negocio las entidades tienen programada la realización de nuevas inversiones, coberturas, liquidación de posiciones o cualquier cambio en la estructura del portafolio, estas operaciones serán incorporadas en el ejercicio una vez se haya materializado el efecto de cada uno de los escenarios. Las operaciones que se incorporen solo podrán corresponder a la ejecución del plan de negocio y por lo tanto, serán las mismas para cada uno de los escenarios suministrados, excepto en el caso de la proyección con acciones para mitigar los riesgos, en la cual se podrán realizar operaciones diferentes a las establecidas en él a partir del segundo año.
4.2.1 Factores para evaluar el impacto de cada uno de los escenarios:
4.2.1.1 Las entidades del Grupo 1 deben estimar los siguientes factores para evaluar el impacto de cada uno de los escenarios en el libro de tesorería:
4.2.1.1.1 Valor de las inversiones clasificadas como negociables
Las entidades deben estimar el valor total de los activos clasificados como negociables que componen el libro de tesorería, para cada escenario. Las estimaciones del valor razonable de cada uno de los activos deben ser consistentes con las variables que componen los escenarios suministrados y no podrán suponer unos comportamientos favorables inconsistentes con ellos. El impacto sobre el valor de los activos del libro de tesorería debe incorporarse en los estados financieros.
4.2.1.1.2 Valor de las inversiones clasificadas como disponibles para la venta
Las entidades deben estimar el valor total de los activos clasificados como disponibles para la venta que componen el libro de tesorería, para cada escenario. Las estimaciones del valor razonable y del costo amortizado de las inversiones deben ser consistentes con las variables que componen los escenarios suministrados y no podrán suponer un comportamiento favorable que no sea consistente con ellos. El impacto de los escenarios sobre el valor de los activos del libro de tesorería debe incorporarse en los estados financieros.
4.2.1.1.3 Valor de las inversiones clasificadas al vencimiento
Las entidades deben estimar el valor total a costo amortizado de los activos clasificados al vencimiento que componen el libro bancario. Las estimaciones del costo amortizado de cada uno de los activos deben ser consistentes con las variables que componen los escenarios suministrados, es decir, no podrán suponer comportamientos favorables no consistentes con ellos. En el evento en que las entidades consideren como acción para mitigar los riesgos, solicitar autorización a la SFC para reclasificar sus inversiones hasta el vencimiento y liquidarlas, el impacto de dicha reclasificación debe verse reflejado en las proyecciones que realice en los estados financieros. El impacto de los escenarios sobre el valor de los activos del libro bancario debe incorporarse en los estados financieros.
4.2.1.1.4 Valor por reexpresión cambiaria
La medición del impacto de las variaciones de los precios de los activos debe incluir el efecto que tiene la reexpresión cambiaria, no sólo de los instrumentos del libro de tesorería, sino también de los instrumentos de libro bancario incluyendo los derivados de cobertura.
4.2.1.1.5 El Valor en Riesgo (VeR)
El VeR de las entidades se debe estimar de acuerdo con la matriz de volatilidades proporcionada por la SFC, correspondiente a cada escenario, de acuerdo con la metodología establecida en el Anexo 1 del capítulo XXI de la Circular Básica Contable y Financiera (CBCF). La estimación del VeR debe hacerse de forma desagregada por cada módulo de riesgo (tasa de interés, tasa de cambio, precio de acciones y fondos de inversión colectiva) y debe incorporarse en el cálculo de la relación de solvencia.
4.2.1.1.6 El valor de los instrumentos financieros derivados
Los supuestos y/o proyecciones que realice la entidad para la estimación del valor de los instrumentos financieros derivados, deben ser consistentes con cada uno de los escenarios suministrados. En el escenario adverso, las entidades no podrán suponer ningún ingreso por una variación en el cálculo del DVA (Debt valuation adjustment). Adicionalmente, el ajuste CVA (Credit Value Adjustment) debe ser concordante con los escenarios macroeconómicos propuestos por la SFC y considerar un deterioro simultáneo de las condiciones crediticias de las contrapartes de los instrumentos financieros derivados.
4.2.1.1.7 El valor de las inversiones en títulos participativos que no se encuentran inscritas en bolsa o que no marcan precio
En el caso de las inversiones en títulos participativos que no se encuentren inscritos en una bolsa de valores o que estando inscritos no hayan marcado precio en el último año, las entidades deben estimar para cada escenario el valor de dicha participación, de manera que refleje las expectativas del mercado sobre los flujos futuros de la inversión (por ejemplo, flujos de efectivo o ingresos y gastos). Dicha estimación debe ser consistente con los escenarios propuestos por la SFC.
4.2.1.2 Todas las entidades del Grupo 2 deben estimar el VeR total de manera consistente con los escenarios suministrados por la SFC. La estimación del VeR debe incorporarse en el cálculo de la relación de solvencia.
4.3 Riesgo de liquidez
Con el objetivo de identificar los factores de riesgo y las vulnerabilidades que pueden exacerbar la exposición al riesgo de liquidez en el corto plazo, como resultado de las fluctuaciones de los mercados y/o un deterioro en las condiciones del fondeo, las entidades deben realizar la prueba de liquidez con base en los escenarios suministrados.
La prueba de liquidez debe realizarse para cada uno de los trimestres del primer año siguiendo dos lineamientos: (i) La entidad debe proyectar sus flujos de activos y pasivos tanto contractuales como no contractuales, con el fin de identificar los posibles descalces que se puedan generar, con base en los escenarios suministrados y en el impacto de los mismos sobre sus proyecciones de cartera, portafolio y fuentes de fondeo, y (ii) La entidad debe estimar el valor de sus activos líquidos ajustados por riesgo de mercado y de los requerimientos de liquidez netos para los cierres de cada trimestre, de manera consistente con los escenarios suministrados.
4.3.1 Flujos de activos y pasivos
Las entidades deben proyectar el valor de los flujos de efectivo de sus activos, pasivos y posiciones fuera de balance, tanto los que presentan vencimientos contractuales, como los que no cuentan con flujos establecidos contractualmente. Dichas proyecciones deben ser consistentes con las proyecciones de sus estados financieros de acuerdo con los escenarios suministrados por la SFC y el plan de negocio de la entidad.
Los flujos proyectados deberán agruparse en bandas trimestrales así:
Banda 1: 1 de enero al 31 de marzo.
Banda 2: 1 de abril al 30 de junio.
Banda 3: 1 de julio al 30 de septiembre
Banda 4: 1 de octubre al 31 de diciembre
4.3.1.1 Flujos contractuales
Las entidades deben estimar el valor de los flujos de egresos contractuales y los ingresos contractuales para cada una de las bandas de tiempo definidas. Dicha estimación debe suponer que la entidad se ve afectada por las condiciones propuestas en cada trimestre del primer año de cada uno de los escenarios suministrados.
Las inversiones sobre las cuales exista un flujo contractual con cumplimiento dentro del horizonte del ejercicio, serán reemplazadas por instrumentos financieros del mismo tipo y maduración que tenían en el año base de realización de las pruebas teniendo en cuenta los choques provistos por la SFC.
Dentro de los ingresos contractuales, las entidades deben estimar de manera consistente con cada uno de los escenarios los ingresos por cartera, derechos de transferencia y otros ingresos que se encuentren definidos y claramente pactados para cada una de las bandas de tiempo. En el cálculo de los egresos contractuales deben tener en cuenta los vencimientos de los CDTs, otros títulos de deuda emitidos por la entidad, obligaciones financieras y otros egresos contractuales.
4.3.1.2 Flujos no contractuales
La estimación de los flujos no contractuales debe estar justificada en el informe cualitativo y se debe realizar teniendo en cuenta los escenarios suministrados y las proyecciones de los estados financieros.
Para el caso de los saldos de depósitos en cuentas corrientes y de ahorro, debe tenerse en cuenta que la estabilidad (tiempo de permanencia) sea coherente con cada uno de los escenarios propuestos. Para el efecto, las entidades deben estimar a partir de modelos propios los Factores de Retiros Netos (FRN) a 90 días.
Para el caso de las entidades del Grupo 1, deben segmentar el total de depositantes de cuentas de ahorro y cuentas corrientes como mínimo en las siguientes seis categorías:
4.3.1.2.1 Entidades gubernamentales
4.3.1.2.2 Fondos de inversión colectiva
4.3.1.2.3 Otros institucionales (fondos de pensiones, aseguradoras, entre otros)
4.3.1.2.4 Principales clientes
4.3.1.2.5 Minoristas
4.3.1.2.6 Otros
Cada depositante sólo podrá ser clasificado en una categoría, es decir éstas son excluyentes. La categoría a la que se refiere el numeral 4.3.1.2.4, corresponde a los clientes individuales (máximo 3) para los cuales debe calcularse un FRN independiente por su relevancia en el total de depositantes y persistencia en el tiempo. Si la entidad no identifica al menos un depositante que mantenga un saldo significativo de manera persistente en la ventana de tiempo que estableció para el cálculo del FRN, no debe calcular dicho FRN.
Para cada categoría, se deben estimar a partir de modelos propios un FRN que sea consistente con cada uno de los escenarios. Para el escenario adverso en la medición del FRN se debe incorporar el supuesto de una corrida de depositantes, originada, entre otros factores, por una corrida de inversionistas en los vehículos de inversión colectiva, propia de un deterioro de su rentabilidad de acuerdo con el escenario propuesto.
Para el caso de las entidades del Grupo 2, deben estimar un único FRN para el total de sus depósitos que sea consistente con cada uno de los escenarios.
En todo caso, dichos factores de retiros netos no podrán ser inferiores al percentil 5 de la serie histórica de variaciones a 90 días de los saldos de depósitos en cuentas corrientes y de ahorro de la entidad.
Adicionalmente, las entidades deben tener en cuenta que la proyección de los ingresos no contractuales por concepto de captaciones de depósitos en cuentas de ahorros y corrientes, renovaciones y/o nuevas emisiones de CDTs, bonos o cualquier otro instrumento de deuda, así como los prepagos de cartera o refinanciaciones, debe hacerse en línea con los escenarios suministrados y según lo establecido previamente en su plan de negocio.
4.3.2 El valor de los activos líquidos
Las entidades deben estimar el valor de los activos líquidos de alta calidad y de los otros activos líquidos definidos en el Capítulo VI de la CBCF al corte del último día calendario de las bandas de tiempo definidas, excluyendo el valor estimado del encaje del cálculo del total del disponible. La estimación del valor total de los activos líquidos debe ser consistente con el movimiento en las tasas de interés y los haircuts suministrados por la SFC para cada uno de los escenarios. En consecuencia, el valor del saldo de los activos vigentes al cierre del año a partir del cual se realizan las pruebas, debe ser afectado con las condiciones establecidas en cada uno de los trimestres del primer año de cada escenario. No deben suponer nuevas coberturas, ventas y/o desmontes de posiciones, reclasificación de inversiones, gestión activa de portafolio, ni ninguna otra acción que mitigue el efecto adverso en la evaluación del impacto de los escenarios suministrados.
5. EL INFORME CUALITATIVO
Además de los resultados cuantitativos de las pruebas, las entidades deben remitir un informe cualitativo. Este documento es complementario de la información contenida en el Formato 527 (Proforma F-1000-138) y debe estar en línea con este, ya que permite entender la forma en que se desarrolló el ejercicio.
El informe cualitativo (en formato PDF) deberá tener una extensión máxima de 60 hojas (sin incluir anexos) y deberá contener como mínimo la siguiente estructura:
5.1 Resumen Ejecutivo: Esta sección debe sintetizar los resultados del ejercicio por escenario en materia de riesgos de crédito, mercado y liquidez, así como los indicadores de solvencia y rentabilidad. Además explicar la forma como el ejercicio fue incorporado a los procesos internos de gestión de riesgos de la entidad. Finalmente, la entidad debe especificar si fue necesario estimar un escenario adverso con acciones mitigantes.
5.2 Integración del EPR a los procesos internos de la entidad: Especificar las áreas que participaron en la definición de los supuestos, ejecución y aprobación del ejercicio. Informar sobre el concepto del área que realizó la validación de los modelos. Indicar el grado de participación de la junta directiva y la alta gerencia dentro del ejercicio. En el caso de que las pruebas se hayan realizado por parte de un consultor externo se deberá especificar su rol en el ejercicio.
5.3 Plan de Negocio: Indicar los elementos del plan de negocio que fueron incorporados dentro de las proyecciones y la forma como su inclusión mitiga el efecto de los escenarios suministrados. Por ejemplo, si el plan de negocio contempla emisiones de bonos o acciones, se deben especificar los detalles de dichas emisiones.
5.4 Supuestos, Metodología de Proyección y Resultados:
5.4.1 Esquematizar la presentación en cinco secciones: riesgo de crédito, riesgo de mercado, riesgo de liquidez, rentabilidad y solvencia. En todos los casos indicar la ventana de tiempo utilizada y periodicidad de la información, explicar los supuestos incorporados para las proyecciones, detallar la metodología empleada y exponer la posible sensibilidad de los resultados ante cambios o alteraciones de dichos supuestos.
5.4.2 Describir por qué se espera un comportamiento estable para alguna de las variables a proyectar en los diferentes escenarios, si dentro de los supuestos se asume dicha relación.
5.4.3 Justificar la selección de los modelos, mencionando la forma como se integraron las particularidades de sus actividades significativas y su plan de negocio. Especificar en qué casos la estimación incorporó el juicio experto y establecer su impacto sobre los resultados presentados.
5.4.4 Indicar en qué casos utilizaron variables adicionales a las suministradas para desarrollar el ejercicio y listarlas.
5.4.5 La justificación de los resultados debe presentarse para cada escenario (base y adverso), en cada uno de los horizontes de proyección señalados. También se deben describir los efectos específicos del cierre y/o la contracción de líneas de crédito o redescuento, así como del posible incumplimiento de contrapartes significativas en sus balances.
5.4.6 Las entidades del Grupo 2 deben detallar el procedimiento empleado para identificar el grupo de activos significativo.
5.5 Acciones mitigantes: En el caso en el que las entidades realicen una tercera proyección (escenario adverso proyectado con acciones mitigantes) deben cuantificar el impacto del conjunto de las acciones propuestas y explicar los condicionantes (“triggers”) que dispararían la implementación de cada una de las acciones planteadas evidenciando la factibilidad de su adopción.
5.5.1 Para el caso de la prueba de resistencia de liquidez, las entidades deben remitir los planes de contingencia que implementarían en virtud de la materialización del escenario adverso. Estos planes deben describir las políticas y procedimientos para gestionar una crisis de liquidez, así como los protocolos necesarios para su activación. También deben tener en cuenta los costos de transacción en la liquidación de activos, las necesidades adicionales de colateral por variaciones de los precios de mercado y el acceso a las líneas de crédito de última instancia del banco central. Sin embargo, el acceso al banco central debe ser la última opción después de haber agotado las demás instancias, dado que no se trata de una línea de crédito contingente comprometida.
5.6 Anexos:
5.6.1 Presentar los resultados de los pronósticos intramuestra (backtesting) de los modelos estadísticos implementados en una ventana de tiempo no inferior a 1 año por medio de tablas y/o gráficos de los pronósticos contrastados con los datos observados y las pruebas de validación de supuestos estadísticos.
5.6.2 Especificar los saldos, duración y tipo de activo que conforma el portafolio de liquidez y de tesorería en el horizonte del ejercicio de acuerdo con el plan de negocio.
5.6.3 Especificar los saldos de los depósitos a la vista y los FRN de acuerdo a la segmentación requerida en el subnumeral 4.3.1.2 del presente Anexo.
5.6.4 Especificar el impacto que tienen los choques suministrados en los valores proyectados del portafolio de inversiones y derivados teniendo en cuenta su clasificación contable a la fecha de corte para las inversiones y finalidad, en el caso de los derivados. Para tal fin se debe detallar el efecto de los choques suministrados sobre los valores reportados en las respectivas cuentas del ORI (Otros Resultados Integrales) y del Estado de Resultados.
5.6.5 Otros: Demás anexos que considere la entidad, relacionados con la información de los numerales 5.1 al 5.5 del presente anexo.
Entidades del Grupo 1: deben cumplir con las instrucciones de los numerales 5.6.1 a 5.6.5 en relación con los anexos.
Entidades del Grupo 2 cuyo grupo de activos principal sea inversiones y operaciones con derivados deben cumplir con las instrucciones de los numerales 5.6.2 a 5.6.5 en relación con los anexos.
Entidades del Grupo 2 cuyo grupo de activos principal sea cartera de créditos y operaciones de leasing debe cumplir con las instrucciones de los numerales 5.6.3 y 5.6.5 en relación con los anexos.