CARTA CIRCULAR 39942 DE 2016
(octubre 25)
<Fuente: Archivo interno entidad emisora>
MINISTERIO DE HACIENDA Y CRÉDITO PÚBLICO
| DIRIGIDO A: | GOBERNADORES, ALCALDES DISTRITALES Y MUNICIPALES. |
| DE: | DIRECCIÓN GENERAL DE REGULACIÓN ECONÓMICA DE LA SEGURIDAD SOCIAL DEL MINISTERIO DE HACIENDA Y CRÉDITO PÚBLICO |
| ASUNTO: | INSTRUCCIONES PARA LA ACTUALIZACIÓN DE LA DEUDA POR CONCEPTO DE CUOTAS PARTES Y METODOLOGIA EN LA OBTENCIÓN DEL CÁLCULO QUE REALIZA EL “LIQUIDADOR DE CUOTAS PARTES PENSIONALES”. |
El artículo 2 de la Ley 33 de 1985 y el artículo 11 del Decreto 2709 de 1994 que reglamentó el artículo 7 de la Ley 71 de 1985, establecieron para todas las entidades públicas la obligación de contribuirle a la entidad pagadora de una pensión de jubilación o de vejez, con la cuota parte pensional que corresponda.
Con relación a la responsabilidad que ostentan las entidades territoriales para sanear su pasivo pensional causado por cuotas partes pensiónales, las Leyes 549 de 1999 y 863 de 2003 establecen autorizaciones para el retiro de recursos del FONPET, así como los limites porcentuales que deben aplicarse a dichas operaciones.
Que el Ministerio de Hacienda y Crédito Público -MHCP a través de la Dirección General de Regulación Económica de la Seguridad Social puso a disposición de las entidades el "Liquidador de Cuotas Partes Pensiónales”, herramienta que facilita la obtención del cálculo y el saneamiento del pasivo pensional de las entidades territoriales, y que para este proceso son apoyadas por el Fondo Nacional de Pensiones de las Entidades Territoriales -FONPET y por el programa de “Seguimiento y Actualización de los Cálculos Actuariales del Pasivo Pensional de las Entidades Territoriales" conocido como PASIVOCOL, teniendo en cuenta la normatividad vigente y las necesidades de las entidades dentro del procedimiento para el cruce, pago y/o compensación de sus cuotas partes pensiónales.
Así por ejemplo, el “liquidador de cuotas partes pensiónales” facilita a las entidades realizar bajo resultados certificables, la suscripción de acuerdos de pago para la utilización de los recursos disponibles de las entidades territoriales en el FONPET y permite verificar el proceso que cuantifica el valor presente de obligaciones pensiónales de una entidad en Pasivocol. Adicionalmente, se generan otro tipo de beneficios para la entidad, tales como: Disminución en los procesos administrativos, acceso en línea, realización de una liquidación sin intermediarios, de forma gratuita y en un proceso automatizado el cual contiene una metodología estándar.
Ingreso al liquidador
El ingreso al liquidador de cuotas partes se hace a través de la dirección https://www.pasivocol.qov.co/liquidadores, en donde se requiere un usuario y una contraseña (La misma que las entidades utilizan para trabajar con el programa PASIVOCOL dentro del portal Webpasivocol).
Si es la primera vez que ingresa al sistema, este le pedirá al funcionario que seleccione la entidad a la que pertenece. Este proceso se realiza por una sola vez.
ACTUALIZACIÓN DE LA DEUDA POR CONCEPTO DE CUOTAS PARTES
Teniendo en cuenta que la herramienta cuenta con tres formularios de liquidación, a través de la presente Carta Circular se señala las instrucciones para la actualización de la deuda por concepto de cuotas partes y la metodología en la obtención de los diferentes cálculos que realiza el “liquidador de cuotas partes pensiónales”, los cuales son:
1. Cálculo de Cuotas Partes Futuras (Decreto Ley 019 de 2012 y Decretos 2191 de 2013)
El pago de cuotas partes pensiónales futuras, quedó establecido dentro del Artículo 141 del Decreto Ley 019 de 2012, el cual ofrece la posibilidad de pagar anticipadamente la totalidad del valor actuarial de la deuda por concepto de cuotas partes pensiónales entre entidades territoriales y con entidades de orden nacional. La anterior disposición fue reglamentada en los artículos 1o y 3 o del Decreto 2191 de 2013, en donde se autoriza la compensación y/o pago anticipado a las entidades públicas del orden nacional y territorial.
Las ventajas de realizar la compensación o pago anticipado de cuotas partes pensiónales, entre otras son:
- Extinción definitiva de la obligación.
- Disminución del Pasivo Pensional a cargo de la entidad deudora.
- Disminución en los procesos administrativos a cargo de las entidades.
- Aprovechamiento del recurso humano de las entidades, en otras tareas de igual o mayor importancia.
- Al extinguir la obligación de pagar, las entidades evitan la liquidación periódica de cuotas partes y el análisis de prescripción.
- Así mismo, ambas entidades se evitan la revisión y/o proyección permanente de soportes documentales tales como; cuentas de cobro persuasivo o cuentas de cobro coactivo, entre otros.
- Una vez se cancela la obligación con el pago total anticipado, se extingue la posibilidad de que la entidad territorial incurra en intereses de mora, o de que se interpongan embargos y/o procesos judiciales.
El procedimiento definido para la utilización de los recursos del FONPET, se encuentra establecido en la Carta Circular del 23 de Junio de 2016, la cual podrá descargar desde la página del Ministerio de Hacienda y Crédito Público, enlace normatividad FONPET. Tenga en cuenta que el pago anticipado del valor actuarial de cuotas partes pensiónales con recursos ahorrados en el FONPET, se realiza una vez se haya suscrito un acuerdo de pago entre los representantes legales de las entidades.
Conforme a lo establecido en el artículo 1 del Decreto 2191 de 2013, cuando se trate del pago del valor actuarial de las obligaciones por cuotas partes pensiónales, estas deberán estar debidamente registradas en los cálculos actuariales de las entidades territoriales involucradas, dentro del programa PASIVOCOL.
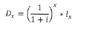
- Metodología para el cálculo:

Donde “año1" corresponde al año anterior a la fecha de corte, “año2" al anterior a éste y así sucesivamente.
La tasa real (r) para cálculos es 4,8%. (Según artículo 1 del de Decreto 2783 de 2001 y artículo 1 del Decreto 2984 de 2009 del Ministerio de Hacienda y Crédito Público).
Partiendo de las Tablas de Mortalidad de Rentistas dispuestas por la Superintendencia Financiera en la Resolución 1555 del 30 de Julio de 2010, se calculan los factores de conmutación:

donde:

x = edad actuarial del pensionado
lx = cantidad de vivos en la edad x
y = edad actuaría! del cónyuge
Se calculan las reservas de jubilación (RJ), de las mesadas adicionales (RMA), de supervivencia (RJS), de mesadas adicionales de supervivencia (RMAS) y de auxilio funerario (RAF)

BeneficioAuxFun= Si la pensión es menor a cinco veces el salario mínimo del año de cálculo, se tomará como beneficio para calcular la reserva del auxilio funerario, cinco veces el salario mínimo de año de cálculo. Si la pensión es mayor a diez veces el salario mínimo del año de cálculo, se tomará como beneficio para calcular la reserva del auxilio funerario, diez veces el salario mínimo del año de cálculo. Para los demás casos se tomará como beneficio, la pensión sin ninguna modificación. (Ley 100, art. 51)
Nota: Una renta vitalicia de sustitución se calcula con las fórmulas correspondientes a la de jubilación con la edad del sustituto(a).
Renta de Sustitución Temporal: Este grupo está compuesto por los hijos menores de 18 años; los hijos mayores de 18 años y hasta los 25 años, incapacitados para trabajar por razón de sus estudios y si dependían económicamente del causante al momento de su muerte (artículo 47 numeral b de la ley 100 de 1993). También se incluyen, en forma temporal, el cónyuge o la compañera permanente supérstite, siempre y cuando dicho beneficiario, a la fecha del fallecimiento del causante, tenga menos de 30 años de edad, y no haya procreado hijos con este. La pensión temporal se pagará mientras el beneficiario viva y tendrá una duración máxima de 20 años. En este caso, el beneficiario deberá cotizar al sistema para obtener su propia pensión, con cargo a dicha pensión. Si tiene hijos con el causante aplicará el literal a) del Art. 13 de la Ley 797 de 2003. (Art. 47 de la ley 100 de 1993 modificado por el Art. 13 de la Ley 797/03).

x es la edad actuarial del pensionado sustituto
m duración en años que el sustituto recibe el beneficio
2. Cálculo de Cuotas Partes Vencidas (Decretos 2191 de 2013 y 1658 de 2015)
El pago y/o compensación de cuotas partes pensiónales vencidas, se encuentra reglamentado en el Decreto 2191 de 2013 el cual fue modificado por el Decreto 1658 de 2015. Esta opción del liquidador, le ofrece a las entidades territoriales la posibilidad de determinar el valor exigible de las cuotas partes pensiónales, aplicando como tasa de interés la DTF mensual (promedio ponderado de la operaciones de depósitos a término fijo a 90 días), publicada por el Banco de la República.
Así mismo, la herramienta le permite a las entidades identificar las obligaciones generadas por conceptos de cuotas partes pensiónales que por efecto de su interrupción en su prescripción estén vigentes, teniendo en cuenta las reglas contenidas en el artículo 4 de la Ley 1066 de 2006 el cual dispone:
"(...) Las obligaciones por concepto de cuotas partes pensiónales causarán un interés del DTF entre la fecha de pago de la mesada pensional y la fecha de reembolso por parte de la entidad concurrente. El derecho al recobro de las cuotas partes pensiónales prescribirá a los tres (3) años siguientes al pago de la mesada pensional respectiva”.
El procedimiento definido para la utilización de los recursos ahorrados en el FONPET, se encuentra en la Carta Circular No. 2 del 6 de Mayo de 2016, la cual podrá descargar desde la página del Ministerio de Hacienda y Crédito Público, enlace normatividad FONPET. Tenga en cuenta que el pago y/o compensación de cuotas partes pensiónales con recursos ahorrados en el FONPET, se realiza una vez se haya suscrito un acuerdo de pago entre los representantes legales de las entidades.
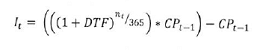
- Metodología para el cálculo:
Para cada liquidación se construirá una matriz, cuyas filas corresponderán a cada mesada liquidada y las columnas corresponderán a la fecha de causación de la cuota (día de causación de la mesada, último día del mes), fecha causación primeros intereses (día de causación de los primeros intereses, último día del mes siguiente a la causación de la mesada), mesada pensional (100% de la mesada correspondiente a cada periodo e incrementada en los términos del artículo 14 de la 100 de 1993), mesadas adicionales (100% de la mesada adicional, si la hay), % cuota parte (*), cuota parte (**) intereses (***), cuota parte + intereses.
-
- 
- (***) Para la cuota parte, la liquidación de los intereses se hace a partir del siguiente mes de la fecha de causación del pago, de esta manera mes a mes se causaran interés vencidos, aplicando la siguiente formula:

It=valor de los intereses en un periodo
t=periodo de cobro de intereses
DTF–tasa de interés promedio mensual de los certificados de depósito a término 90 días de las captaciones de CDT publicada por el Banco de la República mensualmente.
nt=número de días a liquidar en el periodo
CP = Valor de la Cuota Partes
El último período liquidado corresponde al mes de la última cuota parte cobrada.
- El total de capital adeudado por concepto de cuotas partes es la sumatoria de las cuotas partes.
- El total de la deuda, será la suma del capital y el total de intereses.
3. Cálculo de Cuotas Partes Vencidas (Decretos 2191 de 2013 y Ley 550 de 1999)
Esta opción del liquidador, está dirigida a las entidades territoriales que ejecutan acuerdos de reestructuración de pasivos en el marco de la Ley 550 de 1999. El pago y/o compensación de cuotas partes pensiónales vencidas, se encuentra establecido en el Decreto 2191 de 2013.
Esta herramienta le permite a las entidades liquidar las cuotas partes pensiónales, eligiendo una de las diferentes opciones a aplicar en la tasa de interés causada (DTF, IPC, o una tasa de interés pactado) y el término de prescripción al derecho de recobro consagrado en la Ley 550, sus decretos reglamentarios y las condiciones establecidas en los acuerdos de reestructuración de pasivos, y excepcionalmente en las actas de comité de vigilancia, si en alguna de ellas se interpretan las condiciones de pago de cuotas partes pensiónales como acreencias ciertas y exigibles.
El procedimiento definido para la utilización de los recursos ahorrados en el FONPET, se encuentra en la Carta Circular No. 1 del 7 de Marzo de 2016, la cual podrá descargar desde la página del Ministerio de Hacienda y Crédito Público, enlace normatividad FONPET.
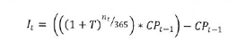
- Metodología para el cálculo:
Para cada liquidación se construirá una matriz, cuyas tilas corresponderán a cada mesada liquidada y las columnas corresponderán a la fecha de causación de la cuota (día de causación de la mesada, último día del mes), fecha causación primeros intereses (día de causación de los primeros intereses, último día del mes siguiente a la causación de la mesada), mesada pensional (100% de la mesada correspondiente a cada periodo e incrementada en los términos del artículo 14 de la 100 de 1993), mesadas adicionales (100% de ia mesada adicional, si la hay), % cuota parte (*), cuota parte (**) intereses (***), cuota parte + intereses.


- (***) Para la cuota parte, la liquidación de los intereses se hace a partir del siguiente mes de la fecha de causación del pago, de esta manera mes a mes se causaran interés vencidos, aplicando la siguiente formula:
- Para los casos de cobros de intereses anteriores a la Ley 1066 de 2006 la tasa de interés que se aplica para el mes es constante (1% mensual) correspondiente al 12% anual de acuerdo a la Ley 68 de 1923.

t–periodo de cobro de intereses
i=interes mensual = 1%
CP = Valor de la Cuota Partes
Con posterioridad a dicha Ley la tasa de interés que se aplica es la siguiente:

It=valor de los intereses en un periodo
t-periodo de cobro de intereses
DTF=tasa promedio de interés a aplicar de los certificados de deposito a término 90 días de las captaciones de CDT publicada por el Banco de la República mensualmente
n,=número de días a liquidar en el período
CP = Valor de la Cuota Partes
- Para los casos en que la liquidación (actualización) se pacte como tasa de interés el IPC la tasa T es igual al IPC de los últimos doce (12) meses (Acuerdos de reestructuración de Pasivos)

It=valor de los intereses en un periodo
t=periodo de cobro de intereses
T=IPC–índice de precios a! consumidor
n,=número de días a liquidar en el periodo
CP = Valor de ¡a Cuota Partes
- Para los casos en que la liquidación (actualización) se pacte una tasa fija mes vencido (Acuerdos de reestructuración de Pasivos), la liquidación de los intereses se hace a partir del siguiente mes de la fecha de causación del pago, de esta manera mes a mes se causaran interés vencidos, aplicando la siguiente formula:
![]()
It=valor de los intereses en un periodo
t=periodo de cobro de intereses
i=interés pactado
CP = Valor de la Cuota Partes
Se debe entender que las cuotas partes siempre causan intereses en el mes siguiente a su causación y dicha causación es el último día del mes.
- El total de capital adeudado por concepto de cuotas partes es la sumatoria de las cuotas partes.
- El total de la deuda, será la suma del capital y el total de intereses.
- Consulta y consolidación de información
Todos los cálculos realizados en el "Liquidador de cuotas partes pensiónales” se almacenarán y estarán a disposición del usuario en cualquier momento, los cuales podrán ser consultados haciendo “clic" en la opción "Consultar Histórico" de la herramienta. De igual forma, se podrá ver un listado de todos los cálculos que han sido registrados y se podrá consolidar los resultados en un informe que totaliza los registros seleccionados.
Si tiene alguna inquietud con el liquidador de cuotas partes, se puede comunicar con el agente regional asignado para su entidad territorial o con alguno de los asesores del grupo de gestión del FONPET quienes brindan asesoría permanente en las instalaciones del Ministerio de Hacienda y Crédito Público, en jornada continua de lunes a viernes de 08:00AM a 5:00AM. ó también puede escribirnos al e-mail pasivocol@minhacienda.gov.co.
Atentamente,
JAIME EDUARDO CARDONA RIVADENEIRA
Director General de Regulación Económica de la Seguridad Social Ministerio de Hacienda y Crédito Público